- Tổng quan
- Nội dung
- VB gốc
- Tiếng Anh
- Hiệu lực
- VB liên quan
- Lược đồ
-
Nội dung hợp nhất
Tính năng này chỉ có tại LuatVietnam.vn. Nội dung hợp nhất tổng hợp lại tất cả các quy định còn hiệu lực của văn bản gốc và các văn bản sửa đổi, bổ sung, đính chính... trên một trang. Việc hợp nhất văn bản gốc và những văn bản, Thông tư, Nghị định hướng dẫn khác không làm thay đổi thứ tự điều khoản, nội dung.
Khách hàng chỉ cần xem Nội dung hợp nhất là có thể nắm bắt toàn bộ quy định hiện hành đang áp dụng, cho dù văn bản gốc đã qua nhiều lần chỉnh sửa, bổ sung.
- Tải về
Thông tư 13/2017/TT-BCT sửa quy định phương pháp xác định giá phát điện
| Cơ quan ban hành: | Bộ Công Thương |
Số công báo:
Số công báo là mã số ấn phẩm được đăng chính thức trên ấn phẩm thông tin của Nhà nước. Mã số này do Chính phủ thống nhất quản lý.
|
Đã biết
|
| Số hiệu: | 13/2017/TT-BCT | Ngày đăng công báo: |
Đã biết
|
| Loại văn bản: | Thông tư | Người ký: | Trần Tuấn Anh |
|
Ngày ban hành:
Ngày ban hành là ngày, tháng, năm văn bản được thông qua hoặc ký ban hành.
|
03/08/2017 |
Ngày hết hiệu lực:
Ngày hết hiệu lực là ngày, tháng, năm văn bản chính thức không còn hiệu lực (áp dụng).
|
Đang cập nhật |
|
Áp dụng:
Ngày áp dụng là ngày, tháng, năm văn bản chính thức có hiệu lực (áp dụng).
|
Đã biết
|
Tình trạng hiệu lực:
Cho biết trạng thái hiệu lực của văn bản đang tra cứu: Chưa áp dụng, Còn hiệu lực, Hết hiệu lực, Hết hiệu lực 1 phần; Đã sửa đổi, Đính chính hay Không còn phù hợp,...
|
Đã biết
|
| Lĩnh vực: | Thương mại-Quảng cáo , Công nghiệp , Điện lực |
TÓM TẮT THÔNG TƯ 13/2017/TT-BCT
Ngày 03/08/2017, Bộ Công Thương đã ban hành Thông tư số 13/2017/TT-BCT về việc sửa đổi bổ sung một số điều của Thông tư 56/2014/TT-BCT quy định phương pháp xác định giá phát điện, trình tự kiểm tra hợp đồng mua bán điện; Thông tư 30/2014/TT-BCT quy định vận hành thị trường phát điện cạnh tranh và Thông tư 57/2014/TT-BCT quy định phương pháp, trình tự xây dựng và ban hành khung giá phát điện.
Theo đó, Thông tư mới bãi bỏ khoản 1 Điều 22 của Thông tư 56/2014/TT-BCT về Hồ sơ đề nghị cho đàm phán lại giá điện và hợp đồng mua bán điện theo vốn đầu tư quyết toán; khoản 19 Điều 1 Thông tư 51/2015/TT-BCT về Điều chỉnh sản lượng hợp đồng tháng…
Về trách nhiệm của chủ đầu tư, Thông tư 13/2017/TT-BCT bổ sung như sau: Chủ đầu tư các nhà máy điện chịu trách nhiệm toàn bộ các chi phí phát sinh trong quá trình đầu tư dự án xây dựng công trình trước ngày ký kết chính thức hợp đồng mua bán điện. Trước khi ký kết hợp đồng vận chuyển than (bao gồm trong nước và nhập khẩu) hoặc giá vận chuyển than mới theo hợp đồng mua bán than, chủ đầu tư có trách nhiệm phối hợp với đơn vị vận chuyển than hoặc đơn vị kinh doanh than, cung cấp các hồ sơ pháp lý liên quan đến quá trình lựa chọn đơn vị vận chuyển than theo quy định và cung cấp các hồ sơ tài liệu tính toán, tách giá than và giá vận chuyển than (trường hợp vận chuyển than bằng băng tải) cho Tập đoàn Điện lực Việt Nam, để làm cơ sở có ý kiến về giá vận chuyển than trong quá trình thực hiện thanh toán chi phí nhiên liệu than. Chủ đầu tư chịu trách nhiệm, ký kết hợp đồng vận chuyển than theo quy định hiện hành, đảm bảo giá cạnh tranh, minh bạch.
Thông tư này có hiệu lực từ ngày 19/09/2017.
Xem chi tiết Thông tư 13/2017/TT-BCT có hiệu lực kể từ ngày 19/09/2017
Tải Thông tư 13/2017/TT-BCT
|
BỘ CÔNG THƯƠNG Số: 13/2017/TT-BCT |
CỘNG HÒA XÃ HỘI CHỦ NGHĨA VIỆT NAM Hà Nội, ngày 03 tháng 8 năm 2017 |
THÔNG TƯ
SỬA ĐỔI, BỔ SUNG MỘT SỐ ĐIỀU CỦA THÔNG TƯ SỐ 56/2014/TT-BCT QUY ĐỊNH PHƯƠNG PHÁP XÁC ĐỊNH GIÁ PHÁT ĐIỆN, TRÌNH TỰ KIỂM TRA HỢP ĐỒNG MUA BÁN ĐIỆN; THÔNG TƯ SỐ 30/2014/TT-BCT QUY ĐỊNH VẬN HÀNH THỊ TRƯỜNG PHÁT ĐIỆN CẠNH TRANH VÀ THÔNG TƯ SỐ 57/2014/TT-BCT QUY ĐỊNH PHƯƠNG PHÁP, TRÌNH TỰ XÂY DỰNG VÀ BAN HÀNH KHUNG GIÁ PHÁT ĐIỆN
Theo đề nghị của Cục trưởng Cục Điều tiết điện lực,
Bộ trưởng Bộ Công Thương ban hành Thông tư sửa đổi, bổ sung một số điều của Thông tư số 56/2014/TT-BCT ngày 19 tháng 12 năm 2014 của Bộ trưởng Bộ Công Thương quy định phương pháp xác định giá phát điện, trình tự kiểm tra hợp đồng mua bán điện; Thông tư số 30/2014/TT-BCT ngày 02 tháng 10 năm 2014 của Bộ trưởng Bộ Công Thương quy định vận hành thị trường phát điện cạnh tranh và Thông tư số 57/2014/TT-BCT ngày 19 tháng 12 năm 2014 của Bộ trưởng Bộ Công Thương quy định phương pháp, trình tự xây dựng và ban hành khung giá phát điện.
Điều 1. Sửa đổi, bổ sung một số điều của Thông tư số 56/2014/TT-BCT ngày 19 tháng 12 năm 2014 của Bộ trưởng Bộ Công Thương quy định phương pháp xác định giá phát điện, trình tự kiểm tra hợp đồng mua bán điện (Thông tư số 56/2014/TT-BCT) như sau:
1. Sửa đổi Khoản 10, bổ sung Khoản 17, Khoản 18, Khoản 19, Khoản 20 và Khoản 21 Điều 2 như sau:
“10. Năm cơ sở là năm tổng mức đầu tư dự án được phê duyệt lần đầu.
17. Hợp đồng nhập khẩu than là thỏa thuận giữa Đơn vị phát điện được phép nhập khẩu than theo quy định của cơ quan nhà nước có thẩm quyền với đơn vị kinh doanh than tại nước ngoài để cung cấp than cho nhà máy điện, được ký kết theo quy định hiện hành, đảm bảo giá cạnh tranh, minh bạch.
18. Hợp đồng vận chuyển than nhập khẩu là thỏa thuận giữa Đơn vị phát điện với đơn vị vận chuyển để vận chuyển than nhập khẩu cho nhà máy điện, được ký kết theo quy định hiện hành, đảm bảo giá cạnh tranh, minh bạch.
19. Hợp đồng mua bán than trong nước là thỏa thuận giữa Đơn vị phát điện với đơn vị kinh doanh than trong nước, kinh doanh than có xuất xứ nội địa hoặc nhập khẩu để cung cấp than cho nhà máy điện, được ký kết theo quy định hiện hành, đảm bảo giá cạnh tranh, minh bạch.
20. Hợp đồng vận chuyển than trong nước là thỏa thuận giữa Đơn vị phát điện với đơn vị vận chuyển để vận chuyển than cho nhà máy điện trong lãnh thổ Việt Nam, được ký kết theo quy định hiện hành, đảm bảo giá cạnh tranh, minh bạch.
21. Ngày khởi công xây dựng công trình là ngày ghi trong thông báo được Chủ đầu tư gửi cho cơ quan cấp phép xây dựng theo quy định tại Thông tư số 15/2016/TT-BXD ngày 30 tháng 6 năm 2016 của Bộ Xây dựng hướng dẫn về cấp giấy phép xây dựng hoặc văn bản sửa đổi, bổ sung, thay thế.”
2. Sửa đổi Điểm a Khoản 2 Điều 5 như sau:
“a) Tổng mức đầu tư: Được xác định trên cơ sở tổng mức đầu tư dự án được phê duyệt lần đầu; không đưa vào tổng mức đầu tư của dự án các chi phí đầu tư, nâng cấp thiết bị để duy trì vận hành nhà máy điện sau 20 năm vận hành thương mại.”
3. Sửa đổi Khoản 1 Điều 7 như sau:
“1. Thành phần giá biến đổi điều chỉnh theo biến động của chi phí nhiên liệu chính của nhà máy điện tại Năm cơ sở Thông tư 13/2017/TT-BCT của Bộ Công Thương về việc sửa đổi, bổ sung một số điều của Thông tư 56/2014/TT-BCT quy định phương pháp xác định giá phát điện, trình tự kiểm tra hợp đồng mua bán điện; Thông tư 30/2014/TT-BCT quy định vận hành thị trường phát điện cạnh tranh và Thông tư 57/2014/TT-BCT quy định phương pháp, trình tự xây dựng và ban hành khung giá phát điện(đồng/kWh), được xác định theo công thức sau:
Thông tư 13/2017/TT-BCT của Bộ Công Thương về việc sửa đổi, bổ sung một số điều của Thông tư 56/2014/TT-BCT quy định phương pháp xác định giá phát điện, trình tự kiểm tra hợp đồng mua bán điện; Thông tư 30/2014/TT-BCT quy định vận hành thị trường phát điện cạnh tranh và Thông tư 57/2014/TT-BCT quy định phương pháp, trình tự xây dựng và ban hành khung giá phát điện
Trong đó:
: Suất hao nhiên liệu tinh bình quân của nhiên liệu chính do hai bên thỏa thuận trên cơ sở thông số của nhà chế tạo thiết bị hoặc thông số bảo hành của nhà thầu EPC hoặc kết quả thí nghiệm tổ máy, nhà máy do đơn vị thí nghiệm được cơ quan nhà nước có thẩm quyền ủy quyền hoặc quyết định, được tính tương ứng với mức tải quy định tại Phụ lục 1 Thông tư số 56/2014/TT-BCT (kg/kWh hoặc BTU/kWh);
Giá nhiên liệu chính Năm cơ sở được quy định như sau:
- Đối với nhiên liệu than của Hợp đồng nhập khẩu than hoặc than được cấp từ nhiều hợp đồng: Giá than cơ sở áp dụng tính toán giá hợp đồng mua bán điện được xác định theo các hợp đồng mua bán than được quy định tại Khoản 15 Điều 1 Thông tư này;
- Đối với nhiên liệu khí: Giá khí là giá khí tại mỏ (đồng/BTU).”
4. Sửa đổi Điều 8 như sau:

: Suất hao nhiên liệu bình quân của nhiên liệu chính đối với nhà máy nhiệt điện than (kg/kWh) hoặc suất hao nhiệt tinh bình quân của nhiên liệu chính đối với nhà máy tuabin khí (BTU/kWh) và được xác định theo quy định tại Khoản 1 Điều 7 Thông tư số 56/2014/TT-BCT;
: Giá vận chuyển nhiên liệu chính cho phát điện Năm cơ sở, được tính bằng đồng/tấn, được quy đổi về đơn vị đồng/kg để tính toán, đối với nhiên liệu than hoặc tính bằng đồng/BTU đối với nhiên liệu khí.
5. Sửa đổi Điểm b Khoản 2 Điều 14 như sau:
“b) Thành phần giá vận hành và bảo dưỡng cố định theo chi phí nhân công tháng t, năm j (
) được xác định như sau:
- Trường hợp mức lương tính toán trong phương án giá điện bằng mức lương tối thiểu vùng thì thành phần giá vận hành và bảo dưỡng cố định theo chi phí nhân công được xác định theo công thức sau (đồng/kWh):

Trong đó:
: Giá vận hành và bảo dưỡng cố định theo chi phí nhân công được xác định theo phương pháp quy định tại Khoản 2 Điều 6 Thông tư số 56/2014/TT-BCT (đồng/kWh);
: Mức lương tối thiểu vùng tại thời điểm thanh toán tháng t, năm thứ j (đồng/người/tháng);
Mức lương tối thiểu vùng Năm cơ sở (đồng/người/tháng).
- Trường hợp mức lương tính toán trong phương án giá điện cao hơn mức lương tối thiểu vùng hoặc tổng chi phí nhân công TCnc được tính toán theo tỷ lệ chi phí nhân công của nhà máy điện thì thành phần giá vận hành và bảo dưỡng cố định theo chi phí nhân công được xác định theo công thức sau (đồng/kWh):

Trong đó:
: Giá vận hành và bảo dưỡng cố định theo chi phí nhân công được xác định theo phương pháp quy định tại Khoản 2 Điều 6 Thông tư số 56/2014/TT-BCT (đồng/kWh);
i: Tỷ lệ trượt thành phần giá vận hành và bảo dưỡng theo chỉ số giá tiêu dùng cả nước của Việt Nam (CPI) năm (l-1) so với năm (l-2) nhưng không vượt quá 2,5%/năm, theo chỉ số giá tiêu dùng cả nước tháng 12 của năm liền kề trước năm j, công bố trên Trang thông tin điện tử thống kê của Tổng cục Thống kê;
l: Số thứ tự năm thanh toán tính từ Năm cơ sở (đối với Năm cơ sở l = 1, i1 = 0).”
6. Sửa đổi Điểm a Khoản 3 Điều 14 như sau:
“a) Thành phần giá biến đổi điều chỉnh theo biến động của chi phí nhiên liệu chính (than, khí) của nhà máy điện tháng t, năm j
(đồng/kWh) được xác định theo công thức sau:

Thành phần giá biến đổi điều chỉnh theo biến động của chi phí nhiên liệu chính (than, khí) của nhà máy điện Năm cơ sở được xác định theo phương pháp quy định tại Khoản 1 Điều 7 Thông tư số 56/2014/TT-BCT (đồng/kWh);
:Tỷ lệ suy giảm hiệu suất năm thứ j (%);
: Giá nhiên liệu chính (than, khí) cho phát điện tại thời điểm thanh toán tháng t, năm j, được tính bằng đồng/tấn đối với nhiên liệu than hoặc đồng/BTU đối với nhiên liệu khí;
: Giá nhiên liệu chính (than, khí) cho phát điện tại Năm cơ sở, được xác định theo quy định tại Khoản 1 Điều 7 Thông tư số 56/2014/TT-BCT, tính bằng đồng/tấn đối với nhiên liệu than hoặc đồng/BTU đối với nhiên liệu khí.”.
7. Sửa đổi Khoản 4 Điều 14 như sau:
“4. Giá vận chuyển nhiên liệu chính của nhà máy điện tháng t, năm j
(đồng/kWh) được xác định theo công thức sau:

Giá vận chuyển nhiên liệu chính của nhà máy điện Năm cơ sở được xác định theo phương pháp quy định tại Điều 8 Thông tư số 56/2014/TT-BCT (đồng/kWh);
: Giá vận chuyển nhiên liệu chính (than, khí) tại thời điểm thanh toán tháng t, năm j (đồng/tấn đối với nhiên liệu than hoặc đồng/BTU đối với nhiên liệu khí);
: Giá vận chuyển nhiên liệu chính (than, khí) tại Năm cơ sở, được tính bằng đồng/tấn đối với nhiên liệu than hoặc đồng/BTU đối với nhiên liệu khí.”.
8. Sửa đổi Điểm b Khoản 2 Điều 15 như sau:
“b) Thành phần giá vận hành và bảo dưỡng cố định theo chi phí nhân công tháng t, năm j (
) được xác định như sau:

: Giá vận hành và bảo dưỡng cố định theo chi phí nhân công được xác định theo phương pháp quy định tại Khoản 2 Điều 11 Thông tư số 56/2014/TT-BCT (đồng/kWh);
Lmin,b: Mức lương tối thiểu vùng Năm cơ sở (đồng/người/tháng).
- Trường hợp mức lương tính toán trong phương án giá điện cao hơn mức lương tối thiểu vùng hoặc tổng chi phí nhân công TCnc được tính toán theo tỷ lệ chi phí nhân công của nhà máy điện thì thành phần giá vận hành và bảo dưỡng cố định theo chi phí nhân công được xác định theo công thức sau (đồng/kWh):

Giá vận hành và bảo dưỡng cố định theo chi phí nhân công được xác định theo phương pháp quy định tại Khoản 2 Điều 11 Thông tư số 56/2014/TT-BCT (đồng/kWh);
l: Số thứ tự năm thanh toán tính từ Năm cơ sở (đối với Năm cơ sở l = 1, i1= 0).”.
9. Sửa đổi Khoản 1 Điều 20 như sau:
“1. Chủ đầu tư dự án nhà máy điện có trách nhiệm lập hồ sơ đề nghị đàm phán hợp đồng mua bán điện gửi Bên mua để đàm phán và thực hiện các thủ tục thẩm định, phê duyệt để ký hợp đồng mua bán điện trước Ngày khởi công xây dựng công trình hoặc trước khi nhà máy điện thực hiện thí nghiệm phát điện lên hệ thống điện quốc gia.”
10. Sửa đổi Điểm d, Khoản 1 Điều 21 như sau:
“d) Quyết định phê duyệt tổng mức đầu tư lần đầu của dự án và các nội dung chính trong thiết kế cơ sở của dự án đầu tư có liên quan đến việc đàm phán hợp đồng mua bán điện, báo cáo thẩm định thiết kế cơ sở.”
11. Sửa đổi Khoản 1 Điều 26 như sau:
“1. Trình Cục Điều tiết điện lực kiểm tra hợp đồng mua bán điện theo quy định, hoàn thành ký kết hợp đồng mua bán điện trước Ngày khởi công xây dựng công trình hoặc trước khi nhà máy điện thực hiện thí nghiệm phát điện lên hệ thống điện quốc gia; chịu trách nhiệm, đảm bảo tính chính xác, hợp lý, hợp lệ của số liệu, tài liệu cung cấp.”
12. Sửa đổi Khoản 1 Điều 27 như sau:
“1. Chủ đầu tư các nhà máy điện có trách nhiệm:
a) Đàm phán hợp đồng mua bán điện và ký kết hợp đồng mua bán điện trước trước Ngày khởi công xây dựng công trình hoặc trước khi nhà máy điện thực hiện thí nghiệm phát điện lên hệ thống điện quốc gia;
b) Cung cấp đầy đủ các thông tin, chịu trách nhiệm, đảm bảo tính chính xác, hợp lý, hợp lệ của số liệu, tài liệu cung cấp cho các đơn vị, cơ quan liên quan trong quá trình đàm phán và kiểm tra hợp đồng mua bán điện.
c) Chịu trách nhiệm toàn bộ các chi phí phát sinh trong quá trình đầu tư dự án xây dựng công trình trước ngày ký kết chính thức hợp đồng mua bán điện.
d) Trước khi ký kết mới hợp đồng vận chuyển than (bao gồm trong nước và nhập khẩu) hoặc giá vận chuyển than mới theo hợp đồng mua bán than, Chủ đầu tư có trách nhiệm phối hợp với đơn vị vận chuyển than hoặc đơn vị kinh doanh than, cung cấp các hồ sơ pháp lý liên quan đến quá trình lựa chọn đơn vị vận chuyển than theo quy định và cung cấp các hồ sơ tài liệu tính toán, tách giá than và giá vận chuyển than (trường hợp vận chuyển than bằng băng tải) cho Tập đoàn Điện lực Việt Nam, để làm cơ sở có ý kiến về giá vận chuyển than trong quá trình thực hiện thanh toán chi phí nhiên liệu than. Chủ đầu tư chịu trách nhiệm, ký kết hợp đồng vận chuyển than theo quy định hiện hành, đảm bảo giá cạnh tranh, minh bạch.”
13. Bổ sung Khoản 2b, Khoản 2c, Khoản 2d sau Khoản 2a Điều 28 như sau:
“2b. Đối với nhà máy điện khởi công trước ngày 03 tháng 02 năm 2015 đã có hợp đồng mua bán điện nhưng giá điện đã hết hiệu lực, cho phép áp dụng Tổng mức đầu tư đã thỏa thuận trong phương án giá điện đang áp dụng để tính toán giá điện của nhà máy theo Thông tư số 56/2014/TT-BCT. Trong thời hạn một năm tính từ ngày ký kết hợp đồng sửa đổi, bổ sung, Chủ đầu tư nhà máy điện phải thực hiện hoàn thành quyết toán vốn đầu tư xây dựng công trình, hoàn thành đàm phán hợp đồng mua bán điện, giá điện với Tập đoàn Điện lực Việt Nam theo các quy định có liên quan.
2c. Đối với các dự án điện đã ký kết Hợp đồng mua bán điện theo phương pháp tính toán quy định tại Thông tư số 56/2014/TT-BCT, thì tiếp tục áp dụng quy định tại Thông tư số 56/2014/TT-BCT, khi có vốn quyết toán các bên có quyền đề nghị được thực hiện tính lại giá điện theo vốn đầu tư quyết toán được duyệt.
2d. Đối với dự án nhà máy điện mới khởi công trước ngày Thông tư này có hiệu lực tiếp tục áp dụng quy định về tổng mức đầu tư áp dụng tính toán giá điện tại Thông tư số 56/2014/TT-BCT và Thông tư số 51/2015/TT-BCT.”
14. Bãi bỏ Khoản 9 Điều 2, Khoản 5 Điều 3.
15. Bãi bỏ Khoản 1 Điều 22.
16. Bổ sung Phụ lục 1a như sau:
GIÁ THAN VÀ GIÁ VẬN CHUYỂN THAN CHO NHÀ MÁY ĐIỆN
a) Giá than cơ sở (đồng/tấn), được quy đổi về đơn vị đồng/kg để tính toán, được xác định như sau:

P0,m: Đối với Hợp đồng mua bán than trong nước, giá than được quy định tại Khoản 3 Điều 1 Thông tư này. Đối với Hợp đồng nhập khẩu than: Giá than là giá bao gồm giá FOB được xác định theo Hợp đồng nhập khẩu than, hao hụt, phí quản lý, bảo hiểm (nếu có) được hai bên mua điện và bán điện thỏa thuận và các khoản thuế nhập khẩu, phí theo quy định nhưng không bao gồm giá vận chuyển và giá trung chuyển than.
Trường hợp nếu Hợp đồng nhập khẩu than không tách được cước vận chuyển, giá nhiên liệu Năm cơ sở được xác định bằng giá trong Hợp đồng nhập khẩu than;
X0: Tỷ giá ngoại tệ Việt Nam đồng và đồng ngoại tệ tại thời điểm xác định giá than cơ sở, đối với Hợp đồng mua bán than trong nước giá trị X0 = 1;
Vm: Khối lượng than quy định tại các hợp đồng mua bán than m (tấn);
M: Tổng số hợp đồng mua bán than.
b) Giá vận chuyển than cơ sở (đồng/tấn), được quy đổi về đơn vị đồng/kg để tính toán, được xác định bằng bình quân gia quyền theo khối lượng và giá vận chuyển than theo Hợp đồng vận chuyển than nhập khẩu hoặc Hợp đồng vận chuyển than trong nước, trong đó: Đối với Hợp đồng vận chuyển than trong nước, giá vận chuyển than là giá vận chuyển hoặc giá vận chuyển than từ kho trung chuyển trong nước của đơn vị kinh doanh than đến nhà máy điện theo Hợp đồng vận chuyển than trong nước.
Đối với Hợp đồng vận chuyển than nhập khẩu, giá vận chuyển than với tỷ giá ngoại tệ Việt Nam đồng và đồng ngoại tệ tại thời điểm xác định giá vận chuyển than cơ sở được hai bên mua bán than thỏa thuận theo Hợp đồng vận chuyển than nhập khẩu.
Đối với hợp đồng mua bán than đã bao gồm giá vận chuyển than, trong trường hợp tách được giá vận chuyển thì giá vận chuyển than được xác định theo quy định tại hợp đồng mua bán than tương ứng. Trường hợp không tách được giá vận chuyển than thì giá vận chuyển than tương ứng bằng 0 (không).
2. Giá than và giá vận chuyển than tại thời điểm thanh toán
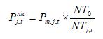
a) Giá than tại thời điểm thanh toán (đồng/tấn), được xác định như sau:

Pm, j,t: Giá than tại thời điểm thanh toán tính bằng bình quân gia quyền giá than theo khối lượng (đồng/tấn), được xác định như sau:

Xj,t: Tỷ giá ngoại tệ Việt Nam đồng và đồng ngoại tệ thực hiện mua than trong tháng t, được xác định tại thời điểm phát hành hóa đơn than theo tỷ giá bán ra của Ngân hàng thương mại do bên mua điện và bên bán điện thỏa thuận;
NT0: Nhiệt trị than cơ sở (kcal/kg), được xác định theo quy định tại Khoản 3 Điều 1 Thông tư này;
NTj, t: Nhiệt trị than bình quân của các hợp đồng mua bán than m trong tháng t (kcal/kg), được xác định bằng bình quân gia quyền theo khối lượng than Vq và nhiệt trị than thực tế giao nhận được quy đổi về nhiệt trị khô toàn phần của các hợp đồng mua bán than tương ứng, xác định theo hóa đơn than phát sinh trong tháng t và chứng từ chất lượng than đã được kiểm định (kcal/kg).
Q: Tổng số hóa đơn than hợp lệ phát sinh trong tháng t;
Vq: Khối lượng than (tấn) đã quy ẩm theo các hợp đồng mua bán than tại hóa đơn than q phát sinh trong tháng t.
b) Giá vận chuyển than tại thời điểm thanh toán (đồng/tấn), được xác định như sau:

NTj, t: Nhiệt trị than bình quân của hợp đồng mua bán than m trong tháng t (kcal/kg), được xác định theo quy định tại Điểm a Mục này;
: Giá vận chuyển than tại thời điểm thanh toán (đồng/tấn), được xác định bình quân gia quyền theo giá vận chuyển than và khối lượng than đã quy ẩm tại hóa đơn vận chuyển than phát sinh trong tháng t của các Hợp đồng vận chuyển than nhập khẩu hoặc Hợp đồng vận chuyển than trong nước.
17. Sửa đổi Khoản 2 Điều 2 Hợp đồng mua bán điện mẫu ban hành kèm theo Thông tư số 56/2014/TT-BCT (Phụ lục 3) như sau:
“2. Thời hạn Hợp đồng
Thời hạn Hợp đồng được tính từ ngày Hợp đồng có hiệu lực đến hết 25 năm kể từ Ngày vận hành thương mại của Nhà máy điện.”
Điều 2. Sửa đổi, bổ sung một số điều của Thông tư số 57/2014/TT-BCT ngày 19 tháng 12 năm 2014 của Bộ trưởng Bộ Công Thương quy định phương pháp, trình tự xây dựng và ban hành khung giá phát điện (Thông tư số 57/2014/TT-BCT) như sau:
1. Bãi bỏ Khoản 5 Điều 2.
2. Sửa đổi Khoản 3 Điều 6 như sau:
“3. Suất đầu tư là chi phí đầu tư cho 01 kW công suất tinh bình quân của Nhà máy điện chuẩn được tính toán trên cơ sở tổng mức đầu tư dự án được phê duyệt lần đầu, cập nhật tỷ giá ngoại tệ tại thời điểm tính toán. Các chi phí thành phần trong suất đầu tư bao gồm:
a) Chi phí xây dựng gồm chi phí xây dựng các công trình, hạng mục công trình; phá và tháo dỡ các vật liệu kiến trúc cũ; san lấp mặt bằng xây dựng; xây dựng công trình tạm; công trình phụ trợ phục vụ thi công; nhà tạm tại hiện trường để ở và để điều hành thi công;
b) Chi phí thiết bị gồm các chi phí mua sắm thiết bị công nghệ, đào tạo vận hành nhà máy; lắp đặt, thử nghiệm, hiệu chỉnh; vận chuyển, bảo hiểm, thuế và các loại phí liên quan khác;c) Chi phí bồi thường giải phóng mặt bằng và chi phí tái định cư theo quyết định của cơ quan nhà nước có thẩm quyền; chi phí xử lý gia cố nền móng công trình;
d) Chi phí quản lý dự án gồm các chi phí để tổ chức thực hiện công việc quản lý dự án từ khi lập dự án đến khi hoàn thành nghiệm thu bàn giao đưa công trình vào khai thác sử dụng;
đ) Chi phí tư vấn xây dựng gồm các chi phí cho tư vấn khảo sát, thiết kế, giám sát xây dựng, tư vấn thẩm tra và các chi phí tư vấn đầu tư xây dựng khác;
e) Chi phí khác gồm vốn lưu động trong thời gian chạy thử nghiệm thu nhà máy, chi phí lãi vay và các chi phí cho vay vốn trong thời gian xây dựng nhà máy điện và các chi phí cần thiết khác;
g) Chi phí dự phòng gồm các chi phí dự phòng cho khối lượng công việc phát sinh và dự phòng cho yếu tố trượt giá trong thời gian xây dựng công trình.”
Điều 3. Sửa đổi, bổ sung một số điều của Thông tư số 30/2014/TT-BCT ngày 02 tháng 10 năm 2014 của Bộ trưởng Bộ Công Thương quy định vận hành thị trường phát điện cạnh tranh (Thông tư số 30/2014/TT-BCT) như sau:
1. Sửa đổi Khoản 50 Điều 3 như sau:
“50. Nhà máy thủy điện chiến lược đa mục tiêu là nhà máy thủy điện được quy định tại Quyết định số 2012/QĐ-TTg ngày 24 tháng 10 năm 2016 của Thủ tướng Chính phủ phê duyệt danh mục nhà máy điện lớn có ý nghĩa đặc biệt quan trọng về kinh tế - xã hội, quốc phòng, an ninh và Quyết định số 4712/QĐ-BCT ngày 02 tháng 12 năm 2016 của Bộ trưởng Bộ Công Thương phê duyệt danh mục nhà máy điện phối hợp vận hành với nhà máy điện lớn có ý nghĩa đặc biệt quan trọng về kinh tế - xã hội, quốc phòng, an ninh.”.
2. Sửa đổi Khoản 3 Điều 17 như sau:
“3. Chi phí biến đổi của tổ máy nhiệt điện được xác định như sau:
a) Trường hợp xác định được giá trị suất hao nhiệt, chi phí biến đổi của tổ máy xác định như sau:

Trong đó:
: Thành phần giá biến đổi điều chỉnh theo biến động của chi phí nhiên liệu chính (than, khí) của nhà máy điện (đồng/kWh);
Thành phần giá biến đổi điều chỉnh theo biến động của chi phí nhiên liệu phụ (dầu) của nhà máy điện (đồng/kWh);
: Thành phần giá biến đổi điều chỉnh theo biến động khác của nhà máy điện (đồng/kWh).
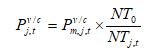
- Thành phần giá biến đổi điều chỉnh theo biến động của chi phí nhiên liệu chính của nhà máy điện
(đồng/kWh), được xác định theo công thức sau:

Trong đó:
Suất hao nhiên liệu tinh bình quân của nhiên liệu chính do hai bên thỏa thuận trên cơ sở thông số của nhà chế tạo thiết bị hoặc thông số bảo hành của nhà thầu EPC hoặc kết quả thí nghiệm tổ máy, nhà máy do đơn vị thí nghiệm được cơ quan nhà nước có thẩm quyền ủy quyền hoặc quyết định, được tính tương ứng với mức tải quy định tại Phụ lục 1 Thông tư số 56/2014/TT-BCT (kg/kWh hoặc BTU/kWh);
Đối với nhà máy điện sử dụng nhiên liệu than từ nhiều nguồn khác nhau bao gồm than nhập khẩu và than nội địa: Nhiệt trị than cơ sở (NT0) sử dụng tính toán suất hao nhiên liệu tinh bình quân được tính bằng bình quân gia quyền theo khối lượng và nhiệt trị than được quy đổi về nhiệt trị khô toàn phần, được quy định trong các hợp đồng mua bán than (kcal/kg).
: Giá nhiên liệu chính bao gồm cả giá vận chuyển nhiên liệu chính.
- Thành phần giá biến đổi điều chỉnh theo biến động của chi phí nhiên liệu phụ của nhà máy điện
(đồng/kWh), được xác định theo công thức sau:

Trong đó:
Suất hao nhiên liệu tinh bình quân của nhiên liệu phụ (dầu), do hai bên thỏa thuận trên cơ sở thông số của nhà chế tạo thiết bị (kg/kWh);
Giá nhiên liệu phụ (dầu) bao gồm cả cước vận chuyển và các loại phí khác theo quy định (đồng/kg).
- Suất hao nhiên liệu tinh bình quân của nhiên liệu (chính, phụ) do Đơn vị mua buôn duy nhất cung cấp và được hiệu chỉnh theo hệ số suy giảm hiệu suất. Trường hợp suất hao nhiệt trong hợp đồng là suất hao nhiệt bình quân cả đời dự án thì không điều chỉnh theo hệ số suy giảm hiệu suất. Trong trường hợp hợp đồng hoặc hồ sơ đàm phán hợp đồng chỉ có đường đặc tính suất hao tại các mức tải thì suất hao nhiệt của các tổ máy được xác định tại mức tải tương ứng với sản lượng điện năng phát bình quân nhiều năm của nhà máy điện được quy định trong hợp đồng mua bán điện.
Trường hợp tổ máy nhiệt điện không có số liệu suất hao nhiệt trong hợp đồng hoặc trong hồ sơ đàm phán hợp đồng mua bán điện, suất hao nhiệt của nhà máy điện đó được xác định bằng suất hao nhiệt của nhà máy điện chuẩn cùng nhóm theo công nghệ phát điện và công suất đặt. Đơn vị vận hành hệ thống điện và thị trường điện có trách nhiệm tính toán suất tiêu hao nhiệt của nhà máy điện chuẩn;
- Hệ số suy giảm hiệu suất của tổ máy nhiệt điện được xác định bằng hệ số suy giảm hiệu suất trong hợp đồng hoặc trong hồ sơ đàm phán hợp đồng mua bán điện do Đơn vị mua buôn duy nhất cung cấp.
Trường hợp nhà máy nhiệt điện không có số liệu hệ số suy giảm hiệu suất trong hợp đồng hoặc trong hồ sơ đàm phán hợp đồng mua bán điện, áp dụng hệ số suy giảm hiệu suất của nhà máy điện chuẩn cùng nhóm với nhà máy điện đó do Đơn vị vận hành hệ thống điện và thị trường điện xác định;
- Thành phần giá biến đổi điều chỉnh theo biến động khác của nhà máy điện
(đồng/kWh) được xác định theo công thức sau:

Trong đó:
Cvlp: Tổng chi phí vật liệu phụ hàng năm của nhà máy điện được xác định theo khối lượng và đơn giá các loại vật liệu phụ sử dụng cho phát điện (đồng);
Ckd: Tổng chi phí khởi động bao gồm chi phí nhiên liệu, chi phí khác cho khởi động (đồng);
Ck: Chi phí sửa chữa bảo dưỡng thường xuyên hàng năm, được tính trên cơ sở tổng vốn đầu tư xây lắp và thiết bị của nhà máy điện, tỷ lệ chi phí sửa chữa thường xuyên theo quy định tại Phụ lục 1 Thông tư số 56/2014/TT-BCT (đồng);
Pt: Tổng công suất tinh của nhà máy điện (kW);
kCS: Tỷ lệ suy giảm công suất được tính bình quân cho toàn bộ đời sống kinh tế của nhà máy điện được xác định theo quy định tại Điểm c Khoản 2 Điều 5 Thông tư này (%);
Tmax: Thời gian vận hành công suất cực đại trong năm tính bình quân cho nhiều năm trong cả đời dự án nhà máy điện (giờ) và quy định tại Phụ lục 1 Thông tư số 56/2014/TT-BCT.
b) Trường hợp không có số liệu suất hao nhiệt trong hợp đồng hoặc trong hồ sơ đàm phán hợp đồng mua bán điện và không có nhà máy điện chuẩn cùng nhóm phù hợp, chi phí biến đổi của tổ máy được xác định bằng giá biến đổi (bao gồm cả giá vận chuyển nhiên liệu chính) trong hợp đồng có cập nhật các yếu tố ảnh hưởng đến giá biến đổi của năm N theo phương pháp được thỏa thuận trong hợp đồng.”
3. Sửa đổi Khoản 1 và Khoản 2 Điều 22 như sau:
“1. Giá trần bản chào giá của tổ máy nhiệt điện được xác định theo công thức sau:
Ptr = (1 + KDC) x (PNLC x HRC + PNLP x HRP)
Trong đó:
Ptr: Giá trần bản chào của tổ máy nhiệt điện (đồng/kWh);
KDC: Hệ số điều chỉnh giá trần theo kết quả phân loại tổ máy nhiệt điện. Đối với tổ máy nhiệt điện chạy nền KDC = 0%; tổ máy nhiệt điện chạy lưng KDC = 5%; tổ máy nhiệt điện chạy đỉnh KDC = 20%;
PNLC: Giá nhiên liệu chính (bao gồm cả giá vận chuyển nhiên liệu chính) của tổ máy nhiệt điện (đồng/kCal hoặc đồng/BTU);
PNLP: Giá nhiên liệu phụ của tổ máy nhiệt điện (đồng/kCal hoặc đồng/BTU);
HRC: Suất tiêu hao nhiên liệu chính tại mức tải bình quân của tổ máy nhiệt điện (BTU/kWh hoặc kCal/kWh);
HRP: Suất tiêu hao nhiên liệu phụ tại mức tải bình quân của tổ máy nhiệt điện (BTU/kWh hoặc kCal/kWh).
2. Trường hợp không có số liệu suất hao nhiệt trong hợp đồng hoặc trong hồ sơ đàm phán hợp đồng mua bán điện và không có nhà máy điện chuẩn cùng nhóm phù hợp:
a) Giá trần bản chào giá của tổ máy nhiệt điện được xác định theo công thức sau:

Trong đó:
Ptr: Giá trần bản chào của tổ máy nhiệt điện (đồng/kWh);
KDC: Hệ số điều chỉnh giá trần theo kết quả phân loại tổ máy nhiệt điện. Đối với tổ máy nhiệt điện chạy nền KDC = 0%; tổ máy nhiệt điện chạy lưng KDC = 5%; tổ máy nhiệt điện chạy đỉnh KDC = 20%;
Giá biến đổi (bao gồm cả giá vận chuyển nhiên liệu chính) cho năm N theo hợp đồng mua bán điện dạng sai khác của nhà máy điện (đồng/kWh).
b) Giá biến đổi (bao gồm cả giá vận chuyển nhiên liệu chính) dùng để tính giá trần bản chào là giá biến đổi dự kiến cho năm N do Đơn vị mua buôn duy nhất cung cấp cho Đơn vị vận hành hệ thống điện và thị trường điện.
4. Bổ sung Điều 37a sau Điều 37 như sau:
“Điều 37a. Điều chỉnh sản lượng hợp đồng giờ
1. Các trường hợp xem xét điều chỉnh sản lượng hợp đồng giờ (Qc giờ):
a) Trường hợp sự cố ngừng lò hơi của tổ máy nhiệt điện than có nhiều lò hơi hoặc sự cố ngừng tổ máy của nhà máy điện;
b) Trường hợp lò hơi của tổ máy nhiệt điện than có nhiều lò hơi hoặc tổ máy của nhà máy điện kéo dài thời gian sửa chữa so với kế hoạch đã được phê duyệt và được đưa vào tính sản lượng hợp đồng giờ.
2. Trong trường hợp có đủ căn cứ xác nhận trường hợp quy định tại Điểm a Khoản 1 Điều này, thực hiện điều chỉnh sản lượng hợp đồng giờ theo nguyên tắc sau:
a) Trường hợp thời gian sự cố nhỏ hơn hoặc bằng 72 giờ (tương đương 72 chu kỳ giao dịch): Không điều chỉnh sản lượng hợp đồng (Qc) của nhà máy điện này;
b) Trường hợp thời gian sự cố lớn hơn 72 giờ:
- Trong giai đoạn từ thời điểm sự cố đến chu kỳ giao dịch thứ 72: Giữ nguyên sản lượng hợp đồng (Qc) đã phân bổ cho nhà máy điện;
- Trong giai đoạn từ chu kỳ giao dịch thứ 73 đến khi tổ máy khắc phục sự cố và khả dụng:
+ Trường hợp sản lượng phát thực tế tại điểm giao nhận (Qmq) của nhà máy nhỏ hơn sản lượng hợp đồng (Qc) nhà máy trong giai đoạn này, thực hiện điều chỉnh sản lượng hợp đồng giờ bằng sản lượng Qmq của nhà máy điện;
+ Trường hợp Qmq của nhà máy điện lớn hơn hoặc bằng Qc nhà máy điện trong giai đoạn này, không điều chỉnh Qc nhà máy điện.
3. Trong trường hợp có đủ căn cứ xác nhận trường hợp quy định tại Điểm b Khoản 1 Điều này, thực hiện điều chỉnh sản lượng hợp đồng giờ theo nguyên tắc sau:
Trong các chu kỳ kéo dài sửa chữa, nếu có chu kỳ mà sản lượng phát thực tế tại điểm giao nhận (Qmq) của nhà máy nhỏ hơn Qc của nhà máy thì điều chỉnh sản lượng hợp đồng giờ tại các chu kỳ đó bằng sản lượng Qmq của nhà máy.
4. Đơn vị phát điện trực tiếp giao dịch có trách nhiệm phối hợp với Đơn vị vận hành hệ thống điện và thị trường điện xác nhận các sự kiện quy định tại Khoản 1 Điều này theo quy định tại Quy trình phối hợp xác nhận các sự kiện phục vụ các khoản thanh toán trên thị trường do Cục trưởng Cục Điều tiết điện lực ban hành và gửi cho Đơn vị mua buôn duy nhất và Đơn vị phát điện trực tiếp giao dịch để làm cơ sở điều chỉnh sản lượng hợp đồng giờ của nhà máy điện. Đối với trường hợp xác nhận trường hợp sự cố lò hơi của tổ máy nhiệt điện than có nhiều lò hơi:
a) Trường hợp có đủ dữ liệu từ hệ thống điều khiển phân tán (hệ thống DCS) hoặc các hệ thống điều khiển tương đương khác cho sự kiện này: Thực hiện xác nhận sự kiện căn cứ theo các dữ liệu này;
b) Trường hợp có không có dữ liệu từ hệ thống điều khiển phân tán (hệ thống DCS) hoặc các hệ thống điều khiển tương đương khác: Sử dụng các thông tin, dữ liệu từ các nguồn số liệu khác cho từng trường hợp cụ thể theo quy định tại Quy trình phối hợp xác nhận các sự kiện phục vụ các khoản thanh toán trên thị trường do Cục trưởng Cục Điều tiết điện lực ban hành để thực hiện xác nhận sự kiện.
5. Đơn vị mua buôn duy nhất và Đơn vị phát điện trực tiếp giao dịch có trách nhiệm ký xác nhận lại sản lượng hợp đồng tháng và sản lượng hợp đồng giờ của nhà máy đã được điều chỉnh theo quy định tại Khoản 1, Khoản 2 và Khoản 3 Điều này.”
5. Sửa đổi Khoản 12, bổ sung Khoản 14 Điều 80 như sau:
”12. Đối với nhà máy điện có tổ máy phát điện tách ra ngoài hệ thống điện quốc gia và đấu nối vào lưới điện mua điện từ nước ngoài, căn cứ theo kết quả tính toán vận hành hệ thống điện năm tới của Đơn vị vận hành hệ thống điện và thị trường điện, việc tham gia thị trường điện trong năm tới và thanh toán cho nhà máy điện này được quy định như sau:
a) Trường hợp theo kết quả tính toán vận hành hệ thống điện năm tới, nhà máy điện có tổ máy đấu nối vào lưới điện mua điện từ nước ngoài với khoảng thời gian dự kiến trong năm tới từ 180 ngày trở lên thì tách toàn bộ nhà máy điện này ra ngoài thị trường điện trong năm tới. Toàn bộ sản lượng phát điện của nhà máy điện trong năm tới được thanh toán theo giá điện trong hợp đồng mua bán điện đã ký với Đơn vị mua buôn duy nhất;
b) Trường hợp theo kết quả tính toán vận hành hệ thống điện năm tới, nhà máy điện có tổ máy đấu nối vào lưới điện mua điện từ nước ngoài với khoảng thời gian dự kiến trong năm tới ít hơn 180 ngày thì nhà máy điện có trách nhiệm tham gia thị trường điện trong năm tới (là đơn vị phát điện trực tiếp giao dịch). Đối với các ngày giao dịch trong năm mà nhà máy điện có tổ máy phát điện tách ra ngoài hệ thống điện quốc gia và đấu nối vào lưới điện mua điện từ nước ngoài, toàn bộ sản lượng phát điện của nhà máy điện trong ngày giao dịch mà tổ máy có chu kỳ tách ra ngoài hệ thống điện quốc gia và đấu nối vào lưới điện mua điện từ nước ngoài được thanh toán theo giá điện trong hợp đồng mua bán điện đã ký với Đơn vị mua buôn duy nhất.
14. Trường hợp nhà máy điện có tổ máy phát điện tham gia thử nghiệm hệ thống tự động điều chỉnh công suất (AGC) theo yêu cầu của Đơn vị vận hành hệ thống điện và thị trường điện thì tách toàn bộ nhà máy điện này ra ngoài thị trường điện, toàn bộ sản lượng phát của nhà máy lên lưới trong các chu kỳ có thử nghiệm được thanh toán theo giá hợp đồng mua bán điện (giá Pc toàn phần) đã ký với Đơn vị mua buôn duy nhất. Trước ngày 01 tháng 12 năm N-1, Đơn vị vận hành hệ thống điện và thị trường điện có trách nhiệm lập và công bố danh sách các tổ máy phát điện dự kiến tham gia thử nghiệm hệ thống tự động điều chỉnh công suất (AGC) trong năm N cho các thành viên tham gia thị trường điện.”.
CƠ CHẾ THAM GIA THỊ TRƯỜNG PHÁT ĐIỆN CẠNH TRANH ĐỐI VỚI NHÀ MÁY ĐIỆN THUỘC KHU CÔNG NGHIỆP
Điều 88a. Trách nhiệm tham gia thị trường điện
Đơn vị phát điện sở hữu nhà máy điện thuộc khu công nghiệp (sau đây viết tắt là đơn vị phát điện) có công suất đặt lớn hơn 30 MW, đấu nối vào hệ thống điện quốc gia và bán một phần sản lượng lên hệ thống điện quốc gia (trừ trường hợp đã ký hợp đồng mua bán điện trước ngày 01 tháng 01 năm 2016 và hợp đồng mua bán điện này còn hiệu lực đến sau ngày 01 tháng 01 năm 2016 theo quy định tại Khoản 1 Điều 1 Thông tư số 51/2015/TT-BCT ngày 29 tháng 12năm 2015 của Bộ trưởng Bộ Công Thương sửa đổi, bổ sung một số điều của Thông tư số 30/2014/TT-BCT ngày 02 tháng 10 năm 2014 của Bộ trưởng Bộ Công Thương quy định vận hành thị trường phát điện cạnh tranh và Thông tư số 56/2014/TT-BCT ngày 19 tháng 12 năm 2014 của Bộ trưởng Bộ Công Thương quy định phương pháp xây dựng giá phát điện, trình tự kiểm tra hợp đồng mua bán điện (Thông tư số 51/2015/TT-BCT) có trách nhiệm:
1. Đăng ký tham gia thị trường điện theo quy định tại Thông tư số 30/2014/TT-BCT và Khoản 2, Khoản 3, Khoản 4 Điều 1 Thông tư số 51/2015/TT-BCT.
2. Đầu tư, hoàn thiện hệ thống trang thiết bị để đấu nối vào hệ thống thông tin thị trường điện, hệ thống SCADA/EMS và hệ thống đo đếm điện năng để xác định lượng điện năng phát của từng tổ máy phát điện và điện năng tiêu thụ của phụ tải địa phương, đáp ứng yêu cầu vận hành của thị trường điện theo quy định tại Khoản 5 Điều 4 Thông tư số 30/2014/TT-BCT.
3. Thực hiện các quy định vận hành thị trường phát điện cạnh tranh tại Thông tư số 30/2014/TT-BCT và Thông tư số 51/2015/TT-BCT khi tham gia thị trường điện.
4. Ký kết hợp đồng mua bán điện theo quy định tại Thông tư số 56/2014/TT-BCT, Thông tư số 51/2015/TT-BCT và Thông tư này.
Điều 88b. Lập kế hoạch vận hành năm tới, tháng tới, tuần tới
1. Đơn vị phát điện có trách nhiệm cung cấp cho Đơn vị vận hành hệ thống điện và thị trường điện các số liệu phục vụ tính toán, lập kế hoạch vận hành thị trường điện năm tới, tháng tới, tuần tới theo quy định tại Chương IV Thông tư số 30/2014/TT-BCT, Điều 1 Thông tư số 51/2015/TT-BCT và các quy định tại Quy trình quản lý vận hành hệ thống công nghệ thông tin điều hành thị trường điện và công bố thông tin thị trường điện do Cục trưởng Cục Điều tiết điện lực ban hành.
2. Trước ngày 15 tháng 7 hàng năm, đơn vị phát điện có trách nhiệm cung cấp cho Đơn vị vận hành hệ thống điện và thị trường điện nhu cầu phụ tải nội bộ dự kiến từng tháng của năm tiếp theo.
3. Trước ngày 20 hàng tháng, đơn vị phát điện có trách nhiệm cung cấp cho Đơn vị vận hành hệ thống điện và thị trường điện nhu cầu phụ tải nội bộ dự kiến của tháng tiếp theo.
4. Đơn vị vận hành hệ thống điện và thị trường điện có trách nhiệm tính toán và công bố giá trần bản chào tháng tới cho nhà máy điện thuộc khu công nghiệp tham gia thị trường điện theo quy định tại Điều 35 Thông tư số 30/2014/TT-BCT và Khoản 7 Điều 1 Thông tư số 51/2015/TT-BCT.
Điều 88c. Vận hành thị trường điện ngày tới, giờ tới
1. Đơn vị phát điện có trách nhiệm thực hiện các quy định về vận hành thị trường điện ngày tới, giờ tới tại Chương V Thông tư số 30/2014/TT-BCT.
2. Trước 14h00 ngày D-2, Đơn vị phát điện có trách nhiệm cung cấp cho Đơn vị vận hành hệ thống điện và thị trường điện biểu đồ dự báo nhu cầu phụ tải nội bộ của nhà máy điện thuộc khu công nghiệp trong từng chu kỳ giao dịch của ngày D. Sai số cho phép của dự báo nhu cầu phụ tải nội bộ là +/-10%. Trong giai đoạn phụ tải nội bộ thực hiện thí nghiệm hoặc có đầu tư mới, sai số cho phép của dự báo nhu cầu phụ tải nội bộ là +/-15%.
3. Chào giá ngày tới: Đơn vị phát điện có trách nhiệm lập và gửi về Đơn vị vận hành hệ thống điện và thị trường điện bản chào giá cho nhà máy điện thuộc khu công nghiệp theo quy định tại Điều 41 và Điều 45 Thông tư số 30/2014/TT- BCT và Đơn vị phát điện có trách nhiệm:
a) Chào bán cho toàn bộ công suất khả dụng của từng tổ máy phát điện;
b) Chào giá cho phụ tải nội bộ:
- Trường hợp phụ tải nội bộ cao hơn công suất phát ổn định thấp nhất của 01 tổ máy, chào giá bằng 0 đồng/kWh cho lượng công suất dự kiến huy động để cấp điện cho phụ tải nội bộ;
- Trường hợp phụ tải nội bộ thấp hơn công suất phát ổn định thấp nhất của 01 tổ máy, chào giá bằng 0 đồng/kWh cho lượng công suất phát ổn định thấp nhất;
c) Phần công suất dư còn lại: Giá chào tuân thủ quy định về giá sàn bản chào của tổ máy nhiệt điện quy định tại Điều 10 Thông tư số 30/2014/TT-BCT và giá trần bản chào do Đơn vị vận hành hệ thống điện và thị trường điện công bố theo quy định tại Khoản 4 Điều 88b Chương này;
d) Sử dụng một hoặc nhiều tổ máy để chào giá cho phần công suất đáp ứng phụ tải nội bộ. Trường hợp công suất một tổ máy không đủ đáp ứng phụ tải nội bộ, đơn vị phát điện được sử dụng bản chào của tổ máy tiếp theo để chào giá đáp ứng phụ tải nội bộ;
đ) Đơn vị phát điện có trách nhiệm xây dựng bản chào giá cho các tổ máy phát điện phù hợp với các ràng buộc kỹ thuật của tổ máy, các ràng buộc kỹ thuật quy định tại hợp đồng mua bán điện và các ràng buộc liên quan đến phụ tải hơi của nhà máy (nếu có).
4. Chào giá giờ tới: Đơn vị phát điện lập và gửi về Đơn vị vận hành hệ thống điện và thị trường điện bản chào giá giờ tới cho nhà máy điện thuộc khu công nghiệp và phụ tải nội bộ cập nhật trong giờ tới. Đơn vị phát điện có trách nhiệm cập nhật bản chào giá giờ tới và phụ tải nội bộ tối thiểu 45 phút trước chu kỳ giao dịch.
Điều 88d. Lập lịch huy động và điều độ thời gian thực
1. Đơn vị vận hành hệ thống điện và thị trường điện lập lịch huy động nhà máy điện thuộc khu công nghiệp căn cứ theo bản chào giá của đơn vị phát điện và theo quy định tại Mục 1, Mục 2 và Mục 3 Chương V Thông tư số 30/2014/TT-BCT.
2. Trước chu kỳ giao dịch, đơn vị phát điện được cập nhật tốc độ tăng, giảm tải thực tế của tổ máy phát điện (trong bản chào giờ tới) để phục vụ lập lịch huy động, điều độ thời gian thực và tính toán các khoản thanh toán trong thị trường điện.3. Trong trường hợp thừa nguồn, Đơn vị vận hành hệ thống điện và thị trường điện huy động nhà máy điện không thấp hơn phụ tải địa phương. Trường hợp phụ tải tại chỗ thấp hơn mức công suất ổn định tối thiểu thì Đơn vị vận hành hệ thống điện và thị trường điện huy động nhà máy bằng công suất ổn định tối thiểu của tổ máy.
Điều 88đ. Tính toán thanh toán trong thị trường điện
1. Tính toán sản lượng của nhà máy điện phục vụ thanh toán trong thị trường điện, bao gồm:
a) Sản lượng điện năng thanh toán theo giá chào đối với nhà máy điện trong khu công nghiệp có giá chào cao hơn giá trần thị trường (Qbp) trong chu kỳ giao dịch i: Xác định theo quy định tại Khoản 3 Điều 70 Thông tư số 30/2014/TT-BCT;
b) Sản lượng điện năng phát tăng thêm (Qcon) trong chu kỳ giao dịch i: Xác định theo quy định tại Khoản 4 Điều 70 Thông tư số 30/2014/TT-BCT;
c) Sản lượng điện năng phát sai khác so với mệnh lệnh điều độ (Qdu) trong chu kỳ giao dịch i: Xác định theo quy định tại Khoản 2 Điều 70 Thông tư số 30/2014/TT-BCT và Khoản 2 Điều 47 Quy trình Lập lịch huy động tổ máy, vận hành thời gian thực và tính toán thanh toán trong thị trường điện do Cục trưởng Cục Điều tiết điện lực ban hành. Sử dụng công tơ đầu cực để xác định sai số lệnh điều độ;
d) Sản lượng điện năng thanh toán theo giá điện năng thị trường điện (SMP) trong chu kỳ giao dịch được xác định như sau:
- Trường hợp có Qdui > 0: Qsmpi = Qmi - Qdui - Qconi - Qbpi
- Trường hợp có Qdui ≤ 0: Qsmpi = Qmi - Qconi - Qbpi
Trong đó:
Qmi: Sản lượng điện năng phát lên hệ thống điện trong chu kỳ giao dịch i (xác định theo sản lượng điện năng đo đếm tại điểm giao nhận trong chu kỳ giao dịch);
Qdui: Sản lượng điện năng phát sai khác so với mệnh lệnh điều độ trong chu kỳ giao dịch i;
Qbpi: Sản lượng điện được thanh toán theo giá chào trong chu kỳ giao dịch i đối với nhà máy điện thuộc khu công nghiệp có giá chào cao hơn giá trần thị trường (kWh);
Qconi: Sản lượng điện năng phát tăng thêm của nhà máy điện thuộc khu công nghiệp trong chu kỳ giao dịch i (kWh);
đ) Sản lượng điện năng thanh toán theo giá hợp đồng mua bán điện dạng sai khác cho nhà máy điện thuộc khu công nghiệp trong từng chu kỳ giao dịch i được xác định như sau:
Qci = Qhci × β
Trong đó:
Qci: Sản lượng điện năng thanh toán theo giá hợp đồng mua bán điện dạng sai khác cho nhà máy điện thuộc khu công nghiệp trong từng chu kỳ giao dịch i (đồng);
β: Tỷ lệ sản lượng điện năng thanh toán theo giá hợp đồng cho nhà máy thuộc khu công nghiệp do Cục Điều tiết điện lực quy định cho từng nhà máy điện thuộc khu công nghiệp theo loại hình công nghệ và vị trí địa lý.
Qhci: Sản lượng điện hiệu chỉnh trong chu kỳ giao dịch i (kWh) được xác định như sau:
- Trường hợp Qdui > 0, Qhci = Qmi - Qdui;
- Trường hợp Qdui ≤ 0, Qhci = Qmi.
Trong đó:
Qmi: Sản lượng điện năng phát lên hệ thống điện trong chu kỳ giao dịch i (xác định theo sản lượng điện năng đo đếm tại điểm giao nhận trong chu kỳ giao dịch).
2. Các thành phần sản lượng điện năng phục vụ thanh toán trong thị trường điện theo quy định tại Khoản 1 Điều này được điều chỉnh theo quy định tại Điều 71 Thông tư số 30/2014/TT-BCT.
3. Khoản thanh toán cho nhà máy điện thuộc khu công nghiệp trong từng chu kỳ giao dịch và chu kỳ thanh toán, bao gồm:
a) Thanh toán điện năng thị trường;
b) Thanh toán công suất thị trường;
c) Thanh toán theo giá hợp đồng mua bán điện dạng sai khác;
d) Các khoản thanh toán khác (nếu có).
4. Khoản thanh toán điện năng thị trường cho từng chu kỳ giao dịch được tính toán như sau:
Trong đó:
Rgi = Rsmpi + Rbpi + Rconi + Rdui
Rgi: Khoản thanh toán điện năng thị trường cho nhà máy điện thuộc khu công nghiệp trong từng chu kỳ giao dịch i (đồng);
Rsmpi: Khoản thanh toán cho phần sản lượng được thanh toán theo giá điện năng thị trường (SMP) của nhà máy điện trong chu kỳ giao dịch i được tính toán theo quy định tại Thông tư số 30/2014/TT-BCT (đồng);
Rbpi: Khoản thanh toán cho phần sản lượng được thanh toán theo giá chào đối với các nhà máy điện có giá chào lớn hơn giá trần thị trường trong chu kỳ giao dịch i được tính toán theo quy định tại Thông tư số 30/2014/TT-BCT (đồng);
Rconi: Khoản thanh toán cho phần sản lượng điện năng phát tăng thêm trong chu kỳ giao dịch i được tính toán theo quy định tại Thông tư số 30/2014/TT-BCT(đồng);
Rdui: Thanh toán cho sản lượng điện phát sai khác so với sản lượng huy động theo lệnh điều độ trong chu kỳ giao dịch i được tính toán theo quy định tại Thông tư 30/2014/TT-BCT (đồng);
β: Tỷ lệ sản lượng điện năng thanh toán theo giá hợp đồng cho nhà máy thuộc khu công nghiệp do Cục Điều tiết điện lực quy định cho từng nhà máy điện thuộc khu công nghiệp theo loại hình công nghệ và vị trí địa lý.
5. Khoản thanh toán công suất thị trường cho từng chu kỳ giao dịch được tính toán như sau:
Rcani = Qmi × CANi
Trong đó:
Rcani: Khoản thanh toán công suất cho nhà máy điện thuộc khu công nghiệp trong từng chu kỳ giao dịch i (đồng);
Qmi: Sản lượng điện năng phát lên hệ thống điện trong chu kỳ giao dịch i (xác định theo sản lượng điện năng đo đếm tại điểm giao nhận trong chu kỳ giao dịch);
CANi: Giá công suất thị trường trong chu kỳ giao dịch i (đồng/kWh);
6. Khoản thanh toán theo giá hợp đồng mua bán điện dạng sai khác cho từng chu kỳ giao dịch được tính toán như sau:
Rci = Qci × (Pc - SMPi - CANi)
Trong đó:
Rci: Khoản thanh toán theo giá hợp đồng mua bán điện dạng sai khác cho nhà máy điện thuộc khu công nghiệp trong từng chu kỳ giao dịch i (đồng);
Qci: Sản lượng điện năng thanh toán theo giá hợp đồng mua bán điện dạng sai khác cho nhà máy điện thuộc khu công nghiệp trong từng chu kỳ giao dịch i được xác định theo quy định tại Điểm đ Khoản 1 Điều này (đồng);
Pc: Giá hợp đồng mua bán điện (đồng/kWh);
SMPi: Giá điện năng thị trường trong chu kỳ giao dịch i (đồng/kWh);
CANi: Giá công suất thị trường trong chu kỳ giao dịch i (đồng/kWh);
7. Đối với các khoản thanh toán khác (nếu có), trừ trường hợp thanh toán chi phí khởi động do thừa nguồn thực hiện theo quy định tại Điều 80 Thông tư số 30/2014/TT-BCT và Khoản 24 Điều 1 Thông tư số 51/2015/TT-BCT.
8. Đơn vị phát điện có trách nhiệm tính toán khoản thanh toán theo giá hợp đồng mua bán điện. Đơn vị vận hành hệ thống điện và thị trường điện có trách nhiệm tính toán khoản thanh toán điện năng và công suất thị trường điện.
9. Đơn vị phát điện phối hợp với Đơn vị vận hành hệ thống điện và thị trường điện, Đơn vị mua buôn điện duy nhất thực hiện tính toán thanh toán, đối chiếu kiểm tra bảng kê thanh toán và thực hiện thanh toán theo trình tự quy định tại Chương VI Thông tư số 30/2014/TT-BCT.”
Điều 4. Bãi bỏ Khoản 7, Khoản 9, Khoản 19 Điều 1 Thông tư số 51/2015/TT-BCT ngày 29 tháng 12 năm 2015 của Bộ trưởng Bộ Công Thương sửa đổi, bổ sung một số điều của Thông tư số 30/2014/TT-BCT ngày 02 tháng 10 năm 2014 của Bộ trưởng Bộ Công Thương quy định vận hành thị trường phát điện cạnh tranh và Thông tư số 56/2014/TT-BCT ngày 19 tháng 12 năm 2014 của Bộ trưởng Bộ Công Thương quy định phương pháp xây dựng giá phát điện, trình tự kiểm tra hợp đồng mua bán điện.
Tập đoàn Điện lực Việt Nam không thực hiện việc tạm thanh toán hoặc thanh toán tiền điện cho nhà máy điện khi vận hành, phát điện lên lưới mà không ký kết chính thức hợp đồng mua bán điện. Trong trường hợp phải huy động các nhà máy này do yêu cầu đảm bảo an ninh cung cấp điện, Tập đoàn Điện lực Việt Nam có trách nhiệm báo cáo Bộ Công Thương, phối hợp với đơn vị phát điện thực hiện việc huy động, vận hành và thanh toán tiền điện cho nhà máy điện.
Điều 5. Điều khoản chuyển tiếp
Thời hạn của Họp đồng mua bán điện đối với các dự án nhà máy điện đã ký kết Hợp đồng mua bán điện trước thời điểm Thông tư này có hiệu lực được Tập đoàn Điện lực Việt Nam và các Đơn vị phát điện chuyển đổi theo thời hạn Hợp đồng quy định tại Khoản 16 Điều 1 Thông tư này; các nội dung khác của Hợp đồng mua bán điện và giá điện được giữ nguyên không thay đổi.
Điều 6. Hiệu lực thi hành
1. Thông tư này có hiệu lực thi hành từ ngày 19 tháng 9 năm 2017.
2. Trong quá trình thực hiện, nếu phát sinh vướng mắc, tổ chức cá nhân trách nhiệm phản ánh về Bộ Công Thương để bổ sung, sửa đổi cho phù hợp./.
|
Nơi nhận: |
BỘ TRƯỞNG
|
Bạn chưa Đăng nhập thành viên.
Đây là tiện ích dành cho tài khoản thành viên. Vui lòng Đăng nhập để xem chi tiết. Nếu chưa có tài khoản, vui lòng Đăng ký tại đây!
Bạn chưa Đăng nhập thành viên.
Đây là tiện ích dành cho tài khoản thành viên. Vui lòng Đăng nhập để xem chi tiết. Nếu chưa có tài khoản, vui lòng Đăng ký tại đây!