- Tổng quan
- Nội dung
- VB gốc
- Tiếng Anh
- Hiệu lực
- VB liên quan
- Lược đồ
-
Nội dung hợp nhất
Tính năng này chỉ có tại LuatVietnam.vn. Nội dung hợp nhất tổng hợp lại tất cả các quy định còn hiệu lực của văn bản gốc và các văn bản sửa đổi, bổ sung, đính chính... trên một trang. Việc hợp nhất văn bản gốc và những văn bản, Thông tư, Nghị định hướng dẫn khác không làm thay đổi thứ tự điều khoản, nội dung.
Khách hàng chỉ cần xem Nội dung hợp nhất là có thể nắm bắt toàn bộ quy định hiện hành đang áp dụng, cho dù văn bản gốc đã qua nhiều lần chỉnh sửa, bổ sung.
- Tải về
Thông tư 51/2015/TT-BCT sửa Thông tư vận hành thị trường phát điện cạnh tranh
| Cơ quan ban hành: | Bộ Công Thương |
Số công báo:
Số công báo là mã số ấn phẩm được đăng chính thức trên ấn phẩm thông tin của Nhà nước. Mã số này do Chính phủ thống nhất quản lý.
|
Đã biết
|
| Số hiệu: | 51/2015/TT-BCT | Ngày đăng công báo: |
Đã biết
|
| Loại văn bản: | Thông tư | Người ký: | Hoàng Quốc Vượng |
|
Ngày ban hành:
Ngày ban hành là ngày, tháng, năm văn bản được thông qua hoặc ký ban hành.
|
29/12/2015 |
Ngày hết hiệu lực:
Ngày hết hiệu lực là ngày, tháng, năm văn bản chính thức không còn hiệu lực (áp dụng).
|
Đã biết
|
|
Áp dụng:
Ngày áp dụng là ngày, tháng, năm văn bản chính thức có hiệu lực (áp dụng).
|
Đã biết
|
Tình trạng hiệu lực:
Cho biết trạng thái hiệu lực của văn bản đang tra cứu: Chưa áp dụng, Còn hiệu lực, Hết hiệu lực, Hết hiệu lực 1 phần; Đã sửa đổi, Đính chính hay Không còn phù hợp,...
|
Đã biết
|
| Lĩnh vực: | Thương mại-Quảng cáo , Công nghiệp , Điện lực |
TÓM TẮT THÔNG TƯ 51/2015/TT-BCT
Đây là một trong những nội dung được quy định tại Thông tư số 51/2015/TT-BCT ngày 29/12/2015 sửa đổi, bổ sung một số điều của Thông tư số 30/2014/TT-BCT ngày 02/10/2014 của Bộ trưởng Bộ Công Thương quy định vận hành thị trường phát điện cạnh tranh và Thông tư số 56/2014/TT-BCT ngày 29/12/2014 của Bộ trưởng Bộ Công Thương quy định phương pháp xác định giá phát điện, trình tự kiểm tra hợp đồng mua bán điện.
Cụ thể, Thông tư quy định các nhà máy điện không tham gia thị trường điện bao gồm: Các nhà máy điện BOT (đã ký kết hợp đồng hoặc đã thỏa thuận xong hợp đồng nguyên tắc); Nhà máy điện sử dụng năng lượng tái tạo, trừ thủy điện; Nhà máy điện tuabia khí có các ràng buộc phải sử dụng tối đa nguồn nhiên liệu khí để đảm bảo lợi ích quốc gia; Nhà máy điện thuộc khu công nghiệp chỉ bán một phần sản lượng lên hệ thống điện quốc gia mà đã ký hợp đồng mua bán điện trước ngày 01/01/2016 và hợp đồng mua bán điện này còn hiệu lực đến sau ngày 01/01/2016.
Ngoài ra, Thông tư này cũng bổ sung quy định về hình thức nộp hồ sơ đăng ký tham gia thị trường điện. Theo đó, đơn vị phát điện có trách nhiệm nộp hồ sơ đăng ký tham gia thị trường điện với từng nhà máy điện về Cục Điều tiết điện lực theo một trong các hình thức: Đăng ký theo hình thức trực tuyến; gửi qua đường bưu điện hoặc nộp trực tiếp tại trụ sở Cục Điều tiết điện lực. Nếu đăng ký theo hình thức trực tuyến, số lượng hồ sơ phải nộp là 01 bộ; với các hình thức đăng ký còn lại, số lượng hồ sơ là 02 bộ.
Thông tư này có hiệu lực thi hành kể từ ngày 01/01/2016.
Xem chi tiết Thông tư 51/2015/TT-BCT có hiệu lực kể từ ngày 01/01/2016
Tải Thông tư 51/2015/TT-BCT
|
BỘ CÔNG THƯƠNG Số: 51/2015/TT-BCT |
CỘNG HÒA XÃ HỘI CHỦ NGHĨA VIỆT NAM Hà Nội, ngày 29 tháng 12 năm 2015 |
THÔNG TƯ
SỬA ĐỔI, BỔ SUNG MỘT SỐ ĐIỀU CỦA THÔNG TƯ SỐ 30/2014/TT-BCT
NGÀY 02 THÁNG 10 NĂM 2014 CỦA BỘ TRƯỞNG BỘ CÔNG THƯƠNG
QUY ĐỊNH VẬN HÀNH THỊ TRƯỜNG PHÁT ĐIỆN CẠNH TRANH VÀ THÔNG TƯ SỐ 56/2014/TT-BCT NGÀY 29 THÁNG 12 NĂM 2014 CỦA BỘ TRƯỞNG BỘ CÔNG THƯƠNG QUY ĐỊNH PHƯƠNG PHÁP XÁC ĐỊNH GIÁ PHÁT ĐIỆN, TRÌNH TỰ KIỂM TRA HỢP ĐỒNG MUA BÁN ĐIỆN
Căn cứ Nghị định số 95/2012/NĐ-CP ngày 12 tháng 11 năm 2012 của Chính phủ quy định chức năng, nhiệm vụ, quyền hạn và cơ cấu tổ chức của Bộ Công Thương;
Căn cứ Luật Điện lực ngày 03 tháng 12 năm 2004; Luật sửa đổi, bổ sung một số điều của Luật Điện lực ngày 20 tháng 11 năm 2012;
Căn cứ Quyết định số 63/2013/QĐ-TTg ngày 08 tháng 11 năm 2013 của Thủ tướng Chính phủ quy định về lộ trình, các điều kiện và cơ cấu ngành điện để hình thành và phát triển các cấp độ thị trường điện lực tại Việt Nam;
Theo đề nghị của Cục trưởng Cục Điều tiết điện lực,
Bộ trưởng Bộ Công Thương ban hành Thông tư sửa đổi, bổ sung một số điều của Thông tư số 30/2014/TT-BCT ngày 02 tháng 10 năm 2014 của Bộ trưởng Bộ Công Thương quy định vận hành thị trường phát điện cạnh tranh và Thông tư số 56/2014/TT-BCT ngày 29 tháng 12 năm 2014 của Bộ trưởng Bộ Công Thương quy định phương pháp xác định giá phát điện, trình tự kiểm tra hợp đồng mua bán điện.
Điều 1. Sửa đổi, bổ sung một số điều của Thông tư số 30/2014/TT-BCT ngày 02 tháng 10 năm 2014 của Bộ trưởng Bộ Công Thương quy định vận hành thị trường phát điện cạnh tranh như sau:
1. Sửa đổi Khoản 3, bổ sung Khoản 3a sau Khoản 3 Điều 4 như sau:
“3. Các nhà máy điện không tham gia thị trường điện bao gồm:
a) Các nhà máy điện BOT (đã ký kết hợp đồng hoặc đã thỏa thuận xong hợp đồng nguyên tắc);
b) Nhà máy điện sử dụng năng lượng tái tạo, trừ thủy điện;
c) Nhà máy điện tuabin khí có các ràng buộc phải sử dụng tối đa nguồn nhiên liệu khí để đảm bảo lợi ích quốc gia;
d) Nhà máy điện thuộc khu công nghiệp chỉ bán một phần sản lượng lên hệ thống điện quốc gia mà đã ký hợp đồng mua bán điện trước ngày 01 tháng 01 năm 2016 và hợp đồng mua bán điện này còn hiệu lực đến sau ngày 01 tháng 01 năm 2016.”
3a. Nhà máy điện BOT không thuộc trường hợp quy định tại Điểm a Khoản 3 Điều này, nhà máy điện thuộc khu công nghiệp chỉ bán một phần sản lượng lên hệ thống điện quốc gia không thuộc trường hợp quy định tại Điểm d Khoản 3 Điều này có trách nhiệm chuẩn bị cơ sở hạ tầng theo quy định tại Khoản 5 Điều này và tham gia thị trường điện theo quy định tại Khoản 1 Điều này.”
2. Bổ sung Khoản 1a sau Khoản 1, sửa đổi Khoản 3 Điều 5 như sau:
“1a. Đơn vị phát điện có trách nhiệm nộp hồ sơ đăng ký tham gia thị trường điện đối với từng nhà máy điện về Cục Điều tiết điện lực theo một trong các hình thức sau:
a) Đăng ký theo hình thức trực tuyến tại địa chỉ sau:
http://thamgiathitruongdien.dvctt.gov.vn;
b) Gửi qua đường bưu điện;
c) Nộp trực tiếp tại trụ sở Cục Điều tiết điện lực.
3. Số lượng hồ sơ
a) 01 bộ đối với đăng ký theo hình thức đăng ký trực tuyến;
b) 02 bộ đối với đăng ký qua đường bưu điện hoặc đăng ký trực tiếp tại trụ sở Cục Điều tiết điện lực.”
3. Bãi bỏ Khoản 1, sửa đổi Khoản 2, Khoản 3 Điều 6 như sau:
“2. Cục Điều tiết điện lực tiếp nhận hồ sơ, kiểm tra tính đầy đủ và hướng dẫn bổ sung hoàn thiện hồ sơ ngay khi nhận hồ sơ trong trường hợp hồ sơ nộp trực tiếp hoặc trong thời hạn 02 ngày làm việc kể từ ngày nhận được hồ sơ trong trường hợp tiếp nhận hồ sơ qua đường bưu điện hoặc đăng ký theo hình thức trực tuyến.
3. Trong thời hạn 02 ngày làm việc kể từ ngày nhận được hồ sơ đầy đủ, Cục Điều tiết điện lực gửi 01 bộ hồ sơ (gửi văn bản hoặc theo hình thức trực tuyến) cho Đơn vị vận hành hệ thống điện và thị trường điện.”
4. Sửa đổi Điểm b khoản 5 Điều 6 như sau:
“b) Trường hợp hồ sơ không hợp lệ:
- Cục Điều tiết điện lực gửi văn bản theo hình thức trực tuyến hoặc gửi qua đường bưu điện tới Đơn vị phát điện nêu rõ trường hợp hồ sơ không hợp lệ và yêu cầu Đơn vị phát điện giải trình, hoàn thiện hồ sơ;
- Trong thời hạn 05 ngày làm việc kể từ ngày Đơn vị phát điện nhận được văn bản yêu cầu, Đơn vị phát điện gửi Cục Điều tiết điện lực bằng hình thức gửi trực tiếp hoặc trực tuyến hoặc qua đường bưu điện văn bản giải trình và hồ sơ hoàn thiện;
- Trong thời hạn 03 ngày làm việc kể từ ngày nhận được hồ sơ đầy đủ của Đơn vị phát điện, Cục Điều tiết điện lực có trách nhiệm tổ chức đánh giá hồ sơ theo quy định tại Khoản này.”
5. Sửa đổi Khoản 1 Điều 11 như sau:
“1. Giá trị nước được sử dụng cho việc xác định giới hạn giá chào của tổ máy thuỷ điện trong thị trường điện.”
6. Sửa đổi Điểm b khoản 5, bổ sung Khoản 6 Điều 15 như sau:
“b) Tỷ lệ sản lượng điện năng thanh toán theo giá hợp đồng được quy định cho nhà máy điện theo loại hình công nghệ (thủy điện, nhiệt điện), tỷ lệ này không cao hơn 95% và không thấp hơn 60%, trừ các trường hợp quy định tại Khoản 6 Điều này.
6. Đối với tỷ lệ sản lượng điện năng thanh toán theo giá hợp đồng của các nhà máy điện BOT, nhà máy điện thuộc khu công nghiệp chỉ bán một phần sản lượng lên hệ thống điện quốc gia, Cục Điều tiết điện lực có trách nhiệm báo cáo Bộ Công Thương xem xét quyết định tỷ lệ sản lượng đối với các nhà máy điện quy định tại Khoản này.”
7. Sửa đổi Điểm a khoản 3 Điều 17 như sau:
“a) Trường hợp xác định được giá trị suất hao nhiệt, chi phí biến đổi của tổ máy xác định như sau:

Trong đó:
: Thành phần giá biến đổi điều chỉnh theo biến động của chi phí nhiên liệu chính (than, khí) của nhà máy điện (đồng/kWh);
: Thành phần giá biến đổi điều chỉnh theo biến động của chi phí nhiên liệu phụ (dầu) của nhà máy điện (đồng/kWh);
: Thành phần giá biến đổi điều chỉnh theo biến động khác của nhà máy điện (đồng/kWh).
- Thành phần giá biến đổi điều chỉnh theo biến động của chi phí nhiên liệu chính của nhà máy điện
(đồng/kWh), được xác định theo công thức sau:

Trong đó:
: - Suất hao nhiên liệu tinh bình quân của nhiên liệu chính do hai bên thỏa thuận trên cơ sở thông số của nhà chế tạo thiết bị và được tính tương ứng với mức tải quy định tại Phụ lục 1 Thông tư số 56/2014/TT-BCT ngày 29 tháng 12 năm 2014 của Bộ trưởng Bộ Công Thương quy định phương pháp xác định giá phát điện, trình tự kiểm tra hợp đồng mua bán điện;
: Giá nhiên liệu chính được quy định như sau:
- Đối với nhiên liệu than nội địa: Giá than là giá tại điểm xếp hàng của đơn vị cung cấp than, bao gồm hao hụt, phí quản lý, bảo hiểm (nếu có), nhưng không bao gồm cước vận chuyển (đồng/tấn). Trường hợp nếu hợp đồng mua bán than không tách được cước vận chuyển nhiên liệu, giá nhiên liệu được xác định bằng giá trong hợp đồng mua bán than (đồng/tấn);
- Đối với nhiên liệu than nhập khẩu: Giá than là giá tại cảng xuất khẩu than (đồng/tấn);
- Đối với nhiên liệu khí: Giá khí là giá khí tại mỏ (đồng/BTU).
- Thành phần giá biến đổi điều chỉnh theo biến động của chi phí nhiên liệu phụ của nhà máy điện
(đồng/kWh), được xác định theo công thức sau:

Trong đó:
: Suất hao nhiên liệu tinh bình quân của nhiên liệu phụ (dầu), do hai bên thoả thuận trên cơ sở thông số của nhà chế tạo thiết bị (kg/kWh);
: Giá nhiên liệu phụ (dầu) bao gồm cả cước vận chuyển và các loại phí khác theo quy định (đồng/kg).
- Suất hao nhiên liệu tinh bình quân của nhiên liệu (chính, phụ) do Đơn vị mua buôn duy nhất cung cấp và được hiệu chỉnh theo hệ số suy giảm hiệu suất. Trường hợp suất hao nhiệt trong hợp đồng là suất hao nhiệt bình quân cả đời dự án thì không điều chỉnh theo hệ số suy giảm hiệu suất. Trong trường hợp hợp đồng hoặc hồ sơ đàm phán hợp đồng chỉ có đường đặc tính suất hao tại các mức tải thì suất hao nhiệt của các tổ máy được xác định tại mức tải tương ứng với sản lượng điện năng phát bình quân nhiều năm của nhà máy điện được quy định trong hợp đồng mua bán điện.
Trường hợp tổ máy nhiệt điện không có số liệu suất hao nhiệt trong hợp đồng hoặc trong hồ sơ đàm phán hợp đồng mua bán điện, suất hao nhiệt của nhà máy điện đó được xác định bằng suất hao nhiệt của nhà máy điện chuẩn cùng nhóm theo công nghệ phát điện và công suất đặt. Đơn vị vận hành hệ thống điện và thị trường điện có trách nhiệm tính toán suất tiêu hao nhiệt của nhà máy điện chuẩn;
- Hệ số suy giảm hiệu suất của tổ máy nhiệt điện được xác định bằng hệ số suy giảm hiệu suất trong hợp đồng hoặc trong hồ sơ đàm phán hợp đồng mua bán điện do Đơn vị mua buôn duy nhất cung cấp.
Trường hợp nhà máy nhiệt điện không có số liệu hệ số suy giảm hiệu suất trong hợp đồng hoặc trong hồ sơ đàm phán hợp đồng mua bán điện, áp dụng hệ số suy giảm hiệu suất của nhà máy điện chuẩn cùng nhóm với nhà máy điện đó do Đơn vị vận hành hệ thống điện và thị trường điện xác định;
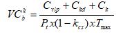
- Thành phần giá biến đổi điều chỉnh theo biến động khác của nhà máy điện
(đồng/kWh) được xác định theo công thức sau:

Trong đó:
Cvlp: Tổng chi phí vật liệu phụ hàng năm của nhà máy điện được xác định theo khối lượng và đơn giá các loại vật liệu phụ sử dụng cho phát điện (đồng);
Ckd: Tổng chi phí khởi động bao gồm chi phí nhiên liệu, chi phí khác cho khởi động (đồng);
Ck: Chi phí sửa chữa bảo dưỡng thường xuyên hàng năm, được tính trên cơ sở tổng vốn đầu tư xây lắp và thiết bị của nhà máy điện, tỷ lệ chi phí sửa chữa thường xuyên theo quy định tại Phụ lục 1 Thông tư số 56/2014/TT-BCT ngày 29 tháng 12 năm 2014 của Bộ trưởng Bộ Công Thương quy định phương pháp xác định giá phát điện, trình tự kiểm tra hợp đồng mua bán điện (đồng);
Pt: Tổng công suất tinh của nhà máy điện (kW);
kCS: Tỷ lệ suy giảm công suất được tính bình quân cho toàn bộ đời sống kinh tế của nhà máy điện được xác định theo quy định tại Điểm c Khoản 2 Điều 5 Thông tư này (%);
Tmax: Thời gian vận hành công suất cực đại trong năm tính bình quân cho nhiều năm trong cả đời dự án nhà máy điện (giờ) và được quy định tại Phụ lục 1 Thông tư số 56/2014/TT-BCT ngày 29 tháng 12 năm 2014 của Bộ trưởng Bộ Công Thương quy định phương pháp xác định giá phát điện, trình tự kiểm tra hợp đồng mua bán điện.”
8. Bổ sung Điểm e khoản 1 Điều 18 như sau:
“e) Đối với nhà máy thủy điện thuộc nhóm các nhà máy có hồ chứa điều tiết trên 01 tuần, nếu sản lượng điện trong Kế hoạch cung cấp điện năm do Bộ Công Thương ban hành hàng năm thấp hơn 65% sản lượng điện bình quân nhiều năm (GO), thì việc tham gia thị trường điện của nhà máy điện trong năm đó được áp dụng như đối với nhóm nhà máy thủy điện có hồ chứa điều tiết dưới 02 ngày quy định tại Thông tư này.
Đối với các nhà máy thủy điện sử dụng nước từ hồ chứa thủy lợi để phát điện và có các yêu cầu đặc biệt của cơ quan nhà nước có thẩm quyền thì Cục Điều tiết điện lực có trách nhiệm báo cáo Bộ Công Thương xem xét quyết định hình thức tham gia thị trường điện của nhà máy điện trong năm đó.”
9. Sửa đổi Khoản 1 Điều 22 như sau:
“1. Giá trần bản chào giá của tổ máy nhiệt điện được xác định theo công thức sau:
Ptr = (1 + K DC ) x (PNLC x HRC + PNLP x HRP)
Trong đó:
Ptr : Giá trần bản chào của tổ máy nhiệt điện (đồng/kWh);
KDC: Hệ số điều chỉnh giá trần theo kết quả ph n loại tổ máy nhiệt điện. Đối với tổ máy nhiệt điện chạy nền KDC = 0%; tổ máy nhiệt điện chạy lưng KDC = 5%; tổ máy nhiệt điện chạy đỉnh KDC = 20%;
PNLC: Giá nhiên liệu chính của tổ máy nhiệt điện (đồng/kCal hoặc đồng/BTU);
PNLP: Giá nhiên liệu phụ của tổ máy nhiệt điện (đồng/kCal hoặc đồng/BTU);
HRC: Suất tiêu hao nhiên liệu chính tại mức tải bình quân của tổ máy nhiệt điện (BTU/kWh hoặc kCal/kWh);
HRP: Suất tiêu hao nhiên liệu phụ tại mức tải bình quân của tổ máy nhiệt điện (BTU/kWh hoặc kCal/kWh).”
10. Sửa đổi Điểm a khoản 2 Điều 22 như sau:
“a) Giá trần bản chào giá của tổ máy nhiệt điện được xác định theo công thức sau:

Ptr : Giá trần bản chào của tổ máy nhiệt điện (đồng/kWh);
KDC: Hệ số điều chỉnh giá trần theo kết quả ph n loại tổ máy nhiệt điện. Đối với tổ máy nhiệt điện chạy nền KDC = 0%; tổ máy nhiệt điện chạy lưng KDC = 5%; tổ máy nhiệt điện chạy đỉnh KDC = 20%;
: Giá biến đổi cho năm N theo hợp đồng mua bán điện dạng sai khác của nhà máy điện
(đồng/kWh).”
11. Sửa đổi Khoản 1 Điều 24 như sau:
“1. Nhà máy điện mới tốt nhất cho năm N là nhà máy điện đủ điều kiện tham gia thị trường điện trong năm N theo quy định tại Khoản 1 Điều 4 Thông tư này và đáp ứng đủ các tiêu chí sau:
a) Bắt đầu vận hành thương mại và phát điện toàn bộ công suất đặt trong năm N-1;
b) Là nhà máy điện chạy nền, được phân loại theo tiêu chí tại Khoản 3 Điều 21 Thông tư này;
c) Sử dụng công nghệ nhiệt điện than hoặc tua-bin khí chu trình hỗn hợp;
d) Có chi phí phát điện toàn phần trung bình cho 01 kWh là thấp nhất.”
12. Bãi bỏ Khoản 2 Điều 25.
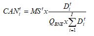
13. Sửa đổi Điểm b khoản 3 Điều 26 như sau:
“b) Xác định giá công suất thị trường cho từng chu kỳ giao dịch trong năm tới theo công thức sau:

Trong đó:
I: Tổng số chu kỳ giao dịch trong tháng t;
i: Chu kỳ giao dịch i trong tháng t;
: Giá công suất thị trường của chu kỳ giao dịch i (đồng/kW);
QBNE: Công suất khả dụng trung bình trong năm N của Nhà máy điện mới tốt nhất (kW);
MSt : Chi phí thiếu hụt tháng t của Nhà máy điện mới tốt nhất (đồng);
: Phụ tải hệ thống dự báo của chu kỳ giao dịch i theo biểu đồ phụ tải ngày điển hình dự báo của tháng t được quy định tại Điều 19 Thông tư này (MW).”
14. Sửa đổi Khoản 1 Điều 27 như sau:
“1. Lập kế hoạch vận hành hệ thống điện năm tới theo phương pháp lập lịch có ràng buộc. Thông số đầu vào sử dụng trong lập kế hoạch vận hành hệ thống điện năm tới là giá biến đổi của các nhà máy nhiệt điện, các đặc tính thuỷ văn và thông số kỹ thuật của nhà máy điện.”
15. Sửa đổi Điểm a khoản 3 Điều 31 như sau:
“a) Sản lượng phát điện dự kiến trong mô phỏng thị trường điện của nhà máy điện cho từng chu kỳ giao dịch.”
16. Sửa đổi Khoản 2 Điều 35 như sau:
“2. Đơn vị vận hành hệ thống điện và thị trường điện có trách nhiệm công bố các thông số áp dụng để tính toán giá trần bản chào của tổ máy nhiệt điện và kết quả tính toán giá trần bản chào của tổ máy nhiệt điện trong tháng tới theo lịch vận hành thị trường điện theo quy định tại Phụ lục 1 Thông tư này.”
17. Sửa đổi Điều 36 như sau:
“Điều 36. Điều chỉnh sản lượng hợp đồng tháng
1. Sản lượng hợp đồng tháng được phép điều chỉnh trong trường hợp lịch bảo dưỡng sửa chữa của nhà máy trong tháng M bị thay đổi so với kế hoạch vận hành năm do:
a) Yêu cầu của Đơn vị vận hành hệ thống điện và thị trường điện để đảm bảo an ninh hệ thống điện không phải do các nguyên nhân của nhà máy;
b) Yêu cầu của cơ quan nhà nước có thẩm quyền và được Đơn vị vận hành hệ thống điện và thị trường điện thống nhất căn cứ vào điều kiện vận hành thực tế của hệ thống.
2. Đơn vị vận hành hệ thống điện và thị trường điện có trách nhiệm điều chỉnh sản lượng hợp đồng tháng trong trường hợp quy định tại Khoản 1 Điều này theo nguyên tắc sau: Dịch chuyển giữa các tháng phần sản lượng Qc tương ứng với thời gian sửa chữa bị dịch chuyển, đảm bảo tổng Qc năm có điều chỉnh là không đổi theo hướng dẫn tại Quy trình điều chỉnh sản lượng hợp đồng do Cục Điều tiết điện lực ban hành.
Trường hợp nhà máy bị thay đổi lịch bảo dưỡng sửa chữa vào tháng cuối năm thì không dịch chuyển sản lượng Qc tương ứng với thời gian sửa chữa của tháng này vào năm tiếp theo.
3. Trường hợp lưu lượng nước về bình quân, sản lượng phát của nhà máy điện từ ngày 01 tháng 01 năm N đến ngày 20 hàng tháng và mức nước thượng lưu đầu kỳ dự kiến của tháng tới chênh lệch so với lưu lượng nước về, sản lượng hợp đồng lũy kế và mức nước hồ đầu tháng tính toán trong kế hoạch năm có khác biệt lớn, Đơn vị phát điện, Đơn vị mua buôn duy nhất có trách nhiệm phối hợp xác nhận với Đơn vị vận hành hệ thống điện và thị trường điện và báo cáo Cục Điều tiết điện lực để xem xét điều chỉnh cho tháng kế tiếp theo hướng dẫn tại Quy trình điều chỉnh sản lượng hợp đồng do Cục Điều tiết điện lực ban hành.”
18. Sửa đổi Khoản 3, Khoản 6 Điều 37 như sau:
“3. Trường hợp sản lượng hợp đồng của nhà máy điện trong chu kỳ giao dịch i lớn hơn sản lượng phát lớn nhất của nhà máy điện thì sản lượng hợp đồng trong chu kỳ giao dịch đó được điều chỉnh bằng sản lượng phát lớn nhất của nhà máy điện. Sản lượng phát lớn nhất của nhà máy trong chu kỳ giao dịch tương ứng với sản lượng trong một giờ tính theo công suất công bố trong bản chào mặc định tháng tới do Đơn vị phát điện gửi cho Đơn vị vận hành hệ thống điện và thị trường điện theo quy định tại Điểm a Khoản 3 Điều 47 Thông tư này.
6. Đơn vị vận hành hệ thống điện và thị trường điện có trách nhiệm công bố qua Cổng thông tin điện tử thị trường điện kết quả tính toán sản lượng hợp đồng giờ sơ bộ trong tháng cho Đơn vị mua buôn duy nhất và Đơn vị phát điện trực tiếp giao dịch trước ngày 23 hàng tháng. Đơn vị mua buôn duy nhất và Đơn vị phát điện có trách nhiệm phối hợp với Đơn vị vận hành hệ thống điện và thị trường điện kiểm tra các sai lệch trong kết quả tính toán sản lượng hợp đồng giờ tháng tới trước ngày 25 hàng tháng. Đơn vị vận hành hệ thống điện và thị trường điện có trách nhiệm gửi kết quả tính toán sản lượng hợp đồng giờ chính thức trong tháng cho Đơn vị mua buôn duy nhất và Đơn vị phát điện trực tiếp giao dịch theo lịch vận hành thị trường điện quy định tại Phụ lục 1 Thông tư này.”
19. Bổ sung Điều 37a sau Điều 37 như sau:
“Điều 37a. Điều chỉnh sản lượng hợp đồng giờ
1. Trường hợp tổ máy của nhà máy bị sự cố, sản lượng hợp đồng giờ (Qc giờ) của nhà máy được điều chỉnh như sau:
a) Trường hợp thời gian sự cố của tổ máy của nhà máy điện nhỏ hơn hoặc bằng 72 giờ (tương đương 72 chu kỳ giao dịch): Không điều chỉnh sản lượng hợp đồng (Qc) của nhà máy điện này;
b) Trường hợp thời gian sự cố của tổ máy của nhà máy điện lớn hơn 72 giờ:
- Trong giai đoạn từ thời điểm sự cố đến chu kỳ giao dịch thứ 72: Giữ nguyên sản lượng hợp đồng (Qc) đã ph n bổ cho nhà máy điện;
- Trong giai đoạn từ chu kỳ giao dịch thứ 73 đến khi tổ máy khắc phục sự cố và khả dụng:
+ Trường hợp sản lượng phát thực tế tại điểm giao nhận (Qmq) của nhà máy nhỏ hơn sản lượng hợp đồng (Qc) nhà máy trong giai đoạn này, thực hiện điều chỉnh sản lượng hợp đồng giờ bằng sản lượng Qmq của nhà máy điện;
+ Trường hợp Qmq của nhà máy điện lớn hơn hoặc bằng Qc nhà máy điện trong giai đoạn này, không điều chỉnh Qc nhà máy điện.
2. Trường hợp tổ máy của nhà máy kéo dài thời gian sửa chữa so với kế hoạch đã được phê duyệt và được đưa vào tính sản lượng hợp đồng giờ, sản lượng hợp đồng giờ của nhà máy trong các chu kỳ kéo dài sửa chữa được điều chỉnh như sau:
Trong các chu kỳ kéo dài sửa chữa, nếu có chu kỳ mà sản lượng phát thực tế tại điểm giao nhận (Qmq) của nhà máy nhỏ hơn Qc của nhà máy thì điều chỉnh sản lượng hợp đồng giờ tại các chu kỳ đó bằng sản lượng Qmq của nhà máy.
3. Đơn vị phát điện trực tiếp giao dịch có trách nhiệm phối hợp với Đơn vị vận hành hệ thống điện và thị trường điện xác nhận các sự kiện tổ máy bị sự cố hoặc sửa chữa kéo dài theo quy định tại Quy trình phối hợp xác nhận các sự kiện phục vụ các khoản thanh toán trên thị trường và gửi cho Đơn vị mua buôn duy nhất và Đơn vị phát điện trực tiếp giao dịch để làm cơ sở tính toán điều chỉnh Qc.
4. Đơn vị mua buôn duy nhất và Đơn vị phát điện trực tiếp giao dịch có trách nhiệm ký xác nhận lại sản lượng hợp đồng tháng và sản lượng hợp đồng giờ của nhà máy đã được điều chỉnh theo quy định tại Khoản 1 và Khoản 2 Điều này.”
20. Sửa đổi Khoản 7 Điều 41 như sau:
“7. Sản lượng dự kiến của các nhà máy thuỷ điện vi phạm mức nước giới hạn tuần trong 02 tuần liên tiếp được Đơn vị vận hành hệ thống điện và thị trường điện tính toán lập lịch huy động trong từng chu kỳ giao dịch của ngày tới.”
21. Sửa đổi Điểm d khoản 2 Điều 42 như sau:
“d) Bản chào giá sửa đổi tăng công suất của các đơn vị phát điện (trừ bản chào giá sửa đổi tăng công suất của nhà máy thủy điện có hồ chứa điều tiết dưới 02 ngày) chỉ được sử dụng làm bản chào lập lịch giờ tới trong trường hợp có cảnh báo thiếu công suất.”
22. Bổ sung Khoản 3 Điều 44 như sau:
“3. Các nhà máy thủy điện có hồ chứa điều tiết dưới 02 ngày được phép nộp bản chào giá giờ tới sửa đổi tăng công suất theo tình hình thủy văn thực tế của nhà máy.”
23. Sửa đổi Khoản 2 Điều 71 như sau:
“2. Đơn vị vận hành hệ thống điện và thị trường điện có trách nhiệm tính toán điều chỉnh lại các thành phần sản lượng điện năng phục vụ thanh toán trong thị trường trong các chu kỳ giao dịch quy định tại Khoản 1 Điều 70 Thông tư này căn cứ vào các thành phần sản lượng sau:
a) Sản lượng điện hợp đồng giờ của nhà máy điện trong chu kỳ giao dịch i (
) được xác định theo quy định tại Điều 37 Thông tư này;
b) Sản lượng điện năng thanh toán theo giá điện năng thị trường (Qsmpi) của nhà máy điện trong chu kỳ giao dịch i được xác định theo quy định tại Khoản 5 Điều 70 Thông tư này;
c) Sản lượng điện năng đo đếm của nhà máy điện trong chu kỳ giao dịch i (Qmqi).”
24. Bãi bỏ Khoản 4, Khoản 5 và Khoản 7 Điều 80; sửa đổi Khoản 9 Điều 80 như sau:
“9. Trường hợp nhà máy điện tuabin khí tạm thời gián tiếp tham gia thị trường điện theo yêu cầu của Đơn vị vận hành hệ thống điện và thị trường điện để đảm bảo an ninh hệ thống điện, toàn bộ sản lượng phát điện của nhà máy điện trong các chu kỳ giao dịch có liên quan được thanh toán theo giá hợp đồng mua bán điện.”
25. Bổ sung Khoản 5 Điều 83 như sau:
“5. Hình thức xác nhận bảng kê thanh toán và sự kiện thị trường điện:
Đơn vị phát điện trực tiếp giao dịch, Đơn vị mua buôn duy nhất và Đơn vị vận hành hệ thống điện và thị trường điện có trách nhiệm sử dụng chữ ký số để phục vụ công tác xác nhận, phát hành bảng kê thanh toán thị trường điện và xác nhận các sự kiện thị trường điện. Trong trường hợp chữ ký số bị sự cố, Đơn vị mua buôn duy nhất và Đơn vị vận hành hệ thống điện và thị trường điện có trách nhiệm xác nhận, phát hành bảng kê thanh toán thị trường điện và xác nhận các sự kiện thị trường điện trực tiếp và xác nhận lại sau khi sự cố được khắc phục.”
26. Sửa đổi Khoản 3 Điều 100 như sau:
“3. Trước ngày 20 hàng tháng, lập và công bố báo cáo vận hành thị trường điện tháng trước.”
27. Bổ sung Khoản 3 Điều 114 như sau:
“3. Xây dựng quy định tham gia thị trường điện cho các nhà máy điện BOT, nhà máy điện thuộc khu công nghiệp chỉ bán một phần sản lượng lên hệ thống điện quốc gia trình Bộ trưởng Bộ Công Thương xem xét quyết định.”
28. Bổ sung Khoản 1a sau Khoản 1 Điều 115 như sau:
“1a. Xây dựng bổ sung các quy trình, trình Cục Điều tiết điện lực ban hành, bao gồm:
a) Quy trình đào tạo, kiểm tra và công nhận chức danh kỹ sư điều hành giao dịch thị trường điện;
b) Quy trình điều chỉnh sản lượng hợp đồng.”
Điều 2. Sửa đổi, bổ sung một số điều của Thông tư số 56/2014/TT-BCT ngày 29 tháng 12 năm 2014 của Bộ trưởng Bộ Công Thương quy định phương pháp xác định giá phát điện, trình tự kiểm tra hợp đồng mua bán điện như sau:
1. Sửa đổi Khoản 8 Điều 2 như sau:
“8. Tổng mức đầu tư dự án được phê duyệt lần đầu là tổng mức đầu tư dự án kèm theo thiết kế cơ sở lần đầu được cơ quan có thẩm quyền phê duyệt theo quy định.”
2. Sửa đổi Điều 6 như sau:
“Điều 6. Phương pháp xác định giá vận hành và bảo dưỡng cố định của nhà máy nhiệt điện
Giá vận hành và bảo dưỡng cố định năm cơ sở FOMCb (đồng/kWh) được xác định theo công thức sau:

Trong đó:
: Giá vận hành và bảo dưỡng cố định theo chi phí sửa chữa lớn và các chi phí khác của Năm cơ sở, được xác định theo quy định tại Khoản 1 Điều này (đồng/kWh);
: Giá vận hành và bảo dưỡng cố định theo chi phí nhân công Năm cơ sở, được xác định theo quy định tại Khoản 2 Điều này (đồng/kWh).
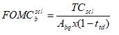
1. Giá vận hành và bảo dưỡng cố định theo chi phí sửa chữa lớn và các chi phí khác của Năm cơ sở
(đồng/kWh) được xác định theo công thức sau:

TCscl: Tổng chi phí sửa chữa lớn và chi phí khác của Năm cơ sở gồm chi phí sửa chữa lớn, chi phí vật liệu phụ, chi phí dịch vụ mua ngoài, chi phí bằng tiền khác (đồng). Trường hợp không xác định được tổng chi phí sửa chữa lớn và chi phí khác theo công thức tại Khoản này, áp dụng phương pháp tính toán tổng chi phí sửa chữa lớn và chi phí khác TCcsl của Năm cơ sở theo công thức sau:
TCcsl =VĐTXL+TB x kF,scl
Trong đó:
VĐTXL+TB: Tổng vốn đầu tư xây lắp và thiết bị của nhà máy nhiệt điện được xác định trên cơ sở tổng mức đầu tư tính toán giá điện quy định tại Khoản 2 Điều 5 Thông tư này (đồng);
kF,scl: Tỷ lệ chi phí sửa chữa lớn và chi phí khác (%) của nhà máy nhiệt điện, kF,scl quy định tại Phụ lục 1 Thông tư này;
Pt : Công suất đầu cực máy phát tại thiết kế được duyệt, được xác định theo quy định tại Điểm c Khoản 2 Điều 5 Thông tư này (kWh);
Tmax: Số giờ vận hành công suất cực đại bình quân nhiều năm của nhà máy, được xác định theo quy định tại Điểm c Khoản 2 Điều 5 Thông tư này (kWh);
ttd: Tỷ lệ điện tự dùng và tổn thất của nhà máy, được xác định theo quy định tại Điểm d Khoản 2 Điều 5 Thông tư này (%);
kCS: Tỷ lệ suy giảm công suất được tính bình quân cho toàn bộ đời sống kinh tế của nhà máy điện được xác định theo quy định tại Điểm c Khoản 2 Điều 5 Thông tư này (%).
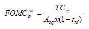
2. Giá vận hành và bảo dưỡng cố định theo chi phí nhân công Năm cơ sở
(đồng/kWh) được xác định theo công thức sau:

Trong đó:
TCnc: Tổng chi phí nhân công tại Năm cơ sở gồm chi phí tiền lương, chi phí bảo hiểm xã hội, chi phí bảo hiểm y tế và kinh phí công đoàn, các loại phụ cấp kèm theo (đồng) đối với dự án nhà máy điện khởi công sau ngày 03 tháng 02 năm 2015.
Đối với dự án nhà máy điện khởi công trước ngày 03 tháng 02 năm 2015: Tổng chi phí nhân công TCnc Năm cơ sở được xác định trên cơ sở Tổng chi phí nhân công tại năm vận hành thương mại của nhà máy và tính toán quy đổi về Năm cơ sở như sau:
- Trường hợp mức lương áp dụng tính toán chi phí nhân công tại năm vận hành thương mại của nhà máy bằng mức lương tối thiểu vùng: Tỷ lệ quy đổi về Năm cơ sở xác định căn cứ vào mức lương tối thiểu vùng;
- Trường hợp mức lương áp dụng tính toán chi phí nhân công tại năm vận hành thương mại của nhà máy cao hơn mức lương tối thiểu vùng: Tỷ lệ quy đổi về Năm cơ sở xác định theo Chỉ số giá tiêu dùng Việt Nam (CPI) nhưng không quá 2,5%/năm.
Trường hợp không xác định được tổng chi phí nhân công theo trường hợp trên: Áp dụng phương pháp tính toán tổng chi phí nhân công TCnc Năm cơ sở theo công thức sau:
TCnc =VĐTXL+TB x kF,nc
Trong đó:
VĐTXL+TB: Tổng vốn đầu tư xây lắp và thiết bị của nhà máy nhiệt điện được xác định trên cơ sở tổng mức đầu tư tính toán giá điện quy định tại khoản 2 Điều 5 Thông tư này (đồng);
kF,nc: Tỷ lệ chi phí nhân công (%) của nhà máy nhiệt điện, kF,nc quy định tại Phụ lục 1 Thông tư này.
Pt : Công suất đầu cực máy phát tại thiết kế được duyệt, được xác định theo quy định tại Điểm c Khoản 2 Điều 5 Thông tư này (kWh);
Tmax: Số giờ vận hành công suất cực đại bình quân nhiều năm của nhà máy, được xác định theo quy định tại Điểm c Khoản 2 Điều 5 Thông tư này (kWh);
ttd : Tỷ lệ điện tự dùng và tổn thất của nhà máy được xác định theo quy định tại Điểm d Khoản 2 Điều 5 Thông tư này (%);
kCS: Tỷ lệ suy giảm công suất được tính bình quân cho toàn bộ đời sống kinh tế của nhà máy điện được xác định theo quy định tại Điểm c Khoản 2 Điều 5 Thông tư này (%).”
3. Sửa đổi Khoản 3 Điều 7 như sau:
“3. Thành phần giá biến đổi điều chỉnh theo biến động khác của nhà máy điện Năm cơ sở
(đồng/kWh) được xác định theo công thức sau:

Trong đó:
Cvlp: Tổng chi phí vật liệu phụ hàng năm của nhà máy điện được xác định theo khối lượng và đơn giá các loại vật liệu phụ sử dụng cho phát điện Năm cơ sở (đồng);
Ckd: Tổng chi phí khởi động bao gồm chi phí nhiên liệu, chi phí khác cho khởi động (đồng); số lần khởi động cho phép do hai bên thỏa thuận trên cơ sở nhu cầu hệ thống điện và đặc tính vận hành của nhà máy điện;
Ck: Chi phí sửa chữa bảo dưỡng thường xuyên hàng năm, được tính trên cơ sở tổng vốn đầu tư xây lắp và thiết bị của nhà máy điện, tỷ lệ chi phí sửa chữa thường xuyên theo quy định tại Phụ lục 1 Thông tư này (đồng);
Pt: Tổng công suất tinh của nhà máy điện (kW);
kCS: Tỷ lệ suy giảm công suất được tính bình quân cho toàn bộ đời sống kinh tế của nhà máy điện được xác định theo quy định tại Điểm c Khoản 2 Điều 5 Thông tư này (%);
Tmax: Thời gian vận hành công suất cực đại trong năm tính bình quân cho nhiều năm trong cả đời dự án nhà máy điện (giờ) và được quy định tại Phụ lục 1 Thông tư này.”
4. Sửa đổi Điều 11 như sau:
“Điều 11. Phương pháp xác định giá vận hành và bảo dưỡng của nhà máy thủy điện
Giá vận hành và bảo dưỡng Năm cơ sở (FOMCb) được xác định theo công thức sau (đồng/kWh):

Trong đó:
: Giá vận hành và bảo dưỡng cố định theo chi phí sửa chữa lớn và các chi phí khác
Năm cơ sở, được xác định theo quy định tại Khoản 1 Điều này (đồng/kWh);
: Giá vận hành và bảo dưỡng cố định theo chi phí nhân công Năm cơ sở, được xác
định theo quy định tại Khoản 2 Điều này (đồng/kWh).
1. Giá vận hành và bảo dưỡng theo chi phí sửa chữa lớn và các chi phí khác Năm cơ sở (
) được xác định theo công thức sau:

Trong đó:
TCscl : Tổng chi phí sửa chữa lớn và chi phí khác của Năm cơ sở gồm chi phí sửa chữa lớn, chi phí vật liệu phụ, chi phí dịch vụ mua ngoài, chi phí bằng tiền khác (đồng). Trường hợp không xác định được tổng chi phí sửa chữa lớn và chi phí khác theo công thức tại Khoản này: Áp dụng phương pháp tính toán tổng chi phí sửa chữa lớn và chi phí khác TCcsl của Năm cơ sở theo công thức sau:
TCcsl =VĐTXL+TB x kscl
Trong đó:
VĐTXL+TB: Tổng vốn đầu tư xây lắp và thiết bị của nhà máy thủy điện được xác định trên cơ sở tổng mức đầu tư tính toán giá điện quy định tại Khoản 2 Điều 10 Thông tư này (đồng);
kscl: Tỷ lệ chi phí sửa chữa lớn và chi phí khác (%) của nhà máy thủy điện, kscl quy định tại Phụ lục 1 Thông tư này ;
Abq : Điện năng phát bình quân hàng năm tại đầu cực máy phát, được xác định theo quy định tại Điểm a Khoản 2 Điều 10 Thông tư này (kWh);
ttd : Tỷ lệ điện tự dùng và tổn thất máy biến áp tăng áp của nhà máy, được xác định theo quy định tại Điểm a Khoản 2 Điều 10 Thông tư này (%).
2. Giá vận hành và bảo dưỡng theo chi phí nhân công Năm cơ sở (
) được xác định theo công thức sau:

Trong đó:
TCnc : Tổng chi phí nhân công tại năm cơ sở gồm chi phí tiền lương, chi phí bảo hiểm xã hội, chi phí bảo hiểm y tế và kinh phí công đoàn, các loại phụ cấp kèm theo (đồng) đối với dự án nhà máy điện khởi công sau ngày 03 tháng 02 năm 2015.
Đối với dự án nhà máy điện khởi công trước ngày 03 tháng 02 năm 2015: Tổng chi phí nhân công TCnc Năm cơ sở được xác định trên cơ sở Tổng chi phí nhân công tại năm vận hành thương mại của nhà máy và tính toán quy đổi về Năm cơ sở như sau:
- Trường hợp mức lương áp dụng tính toán chi phí nhân công tại năm vận hành thương mại của nhà máy bằng mức lương tối thiểu vùng: Tỷ lệ quy đổi về Năm cơ sở xác định căn cứ vào mức lương tối thiểu vùng;
- Trường hợp mức lương áp dụng tính toán chi phí nhân công tại năm vận hành thương mại của nhà máy cao hơn mức lương tối thiểu vùng: Tỷ lệ quy đổi về Năm cơ sở xác định theo Chỉ số giá tiêu dùng Việt Nam (CPI) nhưng không quá 2,5%/năm.
Trường hợp không xác định được tổng chi phí nhân công theo trường hợp trên: Áp dụng phương pháp tính toán tổng chi phí nhân công TCnc Năm cơ sở theo công thức sau:
TCnc =VĐTXL+TB x knc
Trong đó:
VĐTXL+TB: Tổng vốn đầu tư xây lắp và thiết bị của nhà máy thủy điện được xác định trên cơ sở tổng mức đầu tư tính toán giá điện quy định tại Khoản 2 Điều 10 Thông tư này (đồng);
knc: Tỷ lệ chi phí nhân công (%) của nhà máy thủy điện, knc quy định tại Phụ lục 1 Thông tư này.
Abq : Điện năng phát bình quân hàng năm tại đầu cực máy phát, được xác định theo quy định tại Điểm a Khoản 2 Điều 10 Thông tư này (kWh);
ttd : Tỷ lệ điện tự dùng và tổn thất máy biến áp tăng áp của nhà máy, được xác định theo quy định tại Điểm a Khoản 2 Điều 10 Thông tư này (%).”
5. Sửa đổi Điểm b Khoản 2 Điều 14 như sau:
“b) Thành phần giá vận hành và bảo dưỡng cố định theo chi phí nhân công tháng t, năm j (
) được xác định như sau:
- Trường hợp mức lương tính toán trong phương án giá điện bằng mức lương tối thiểu vùng thì thành phần giá vận hành và bảo dưỡng cố định theo chi phí nhân công được xác định theo công thức sau (đồng/kWh):

Trong đó:
: Giá vận hành và bảo dưỡng cố định theo chi phí nhân công được xác định theo phương pháp quy định tại Khoản 2 Điều 6 Thông tư này (đồng/kWh);
Lmin, j,t : Mức lương tối thiểu vùng tại thời điểm thanh toán tháng t, năm thứ j (đồng/người/tháng);
Lmin,b: Mức lương tối thiểu vùng Năm cơ sở (đồng/người/tháng).
- Trường hợp mức lương tính toán trong phương án giá điện cao hơn mức lương tối thiểu vùng hoặc tổng chi phí nhân công TCnc được tính toán theo tỷ lệ chi phí nhân công của nhà máy điện thì thành phần giá vận hành và bảo dưỡng cố định theo chi phí nhân công được xác định theo công thức sau (đồng/kWh):

Trong đó:
: Giá vận hành và bảo dưỡng cố định theo chi phí nhân công được xác định theo phương pháp quy định tại Khoản 2 Điều 6 Thông tư này (đồng/kWh);
i: Tỷ lệ trượt thành phần giá vận hành và bảo dưỡng theo Chỉ số giá tiêu dùng Việt Nam (CPI) nhưng không vượt quá 2,5%/năm;
l: Số thứ tự năm thanh toán tính từ Năm cơ sở (đối với Năm cơ sở l=1).”
6. Sửa đổi Điểm b Khoản 2 Điều 15 như sau:
“b) Thành phần giá vận hành và bảo dưỡng cố định theo chi phí nhân công tháng t, năm j (
) được xác định như sau:
- Trường hợp mức lương tính toán trong phương án giá điện bằng mức lương tối thiểu vùng thì thành phần giá vận hành và bảo dưỡng cố định theo chi phí nhân công được xác định theo công thức sau (đồng/kWh):

Trong đó:
: Giá vận hành và bảo dưỡng cố định theo chi phí nhân công được xác định theo phương pháp quy định tại Khoản 2 Điều 11 Thông tư này (đồng/kWh);
Lmin,j,t : Mức lương tối thiểu vùng tại thời điểm thanh toán tháng t, năm thứ j (đồng/người/tháng);
Lmin,b: Mức lương tối thiểu vùng Năm cơ sở (đồng/người/tháng).
- Trường hợp mức lương tính toán trong phương án giá điện cao hơn mức lương tối thiểu vùng hoặc tổng chi phí nhân công TCnc được tính toán theo tỷ lệ chi phí nhân công của nhà máy điện thì thành phần giá vận hành và bảo dưỡng cố định theo chi phí nhân công được xác định theo công thức sau (đồng/kWh):

Trong đó:
: Giá vận hành và bảo dưỡng cố định theo chi phí nhân công được xác định theo phương pháp quy định tại Khoản 2 Điều 11 Thông tư này (đồng/kWh);
i: Tỷ lệ trượt thành phần giá vận hành và bảo dưỡng theo Chỉ số giá tiêu dùng Việt Nam (CPI) nhưng không vượt quá 2,5%/năm;
l: Số thứ tự năm thanh toán tính từ Năm cơ sở (đối với Năm cơ sở l=1).”
7. Bổ sung Khoản 2a sau Khoản 2 Điều 28 như sau:
“ 2a. Đối với dự án nhà máy điện khởi công trước ngày 03 tháng 02 năm 2015, trường hợp cần thiết cho phép sử dụng tổng mức đầu tư dự án có hiệu lực tại thời điểm khởi công xây dựng nhà máy được cơ quan có thẩm quyền phê duyệt theo quy định để tính giá điện thay cho Tổng mức đầu tư dự án được phê duyệt lần đầu. Trường hợp không xác định được tổng mức đầu tư dự án sử dụng tính toán giá điện tại thời điểm khởi công xây dựng nhà máy, Tập đoàn Điện lực Việt Nam và đơn vị phát điện báo cáo Bộ Công Thương xem xét tổng mức đầu tư sử dụng trong đàm phán giá điện và hợp đồng mua bán điện trên cơ sở tình hình thực tế.”
8. Sửa đổi Khoản 4 Điều 3 Phụ lục 3 Hợp đồng mua bán điện mẫu ban hành kèm theo Thông tư số 56/2014/TT-BCT như sau:
“4. Trong thời gian dừng thị trường điện hoặc giai đoạn trước khi nhà máy tham gia thị trường điện: Tiền điện thanh toán cho phần điện năng tại Điểm giao nhận điện trong thời gian dừng thị trường điện hoặc giai đoạn trước khi nhà máy tham gia thị trường điện được xác định theo giá hợp đồng quy định tại Mục I Phụ lục V Hợp đồng.”
Điều 3. Hiệu lực thi hành
1. Thông tư này có hiệu lực thi hành từ ngày 01 tháng 01 năm 2016.
2. Cục trưởng Cục Điều tiết điện lực, Chánh Văn phòng Bộ, Chánh Thanh tra Bộ, các Vụ trưởng, Tổng cục trưởng, Cục trưởng có liên quan thuộc Bộ, các đơn vị có liên quan và các thành viên thị trường điện chịu trách nhiệm thi hành Thông tư này./.
|
Nơi nhận: |
KT. BỘ TRƯỞNG |
Bạn chưa Đăng nhập thành viên.
Đây là tiện ích dành cho tài khoản thành viên. Vui lòng Đăng nhập để xem chi tiết. Nếu chưa có tài khoản, vui lòng Đăng ký tại đây!
Bạn chưa Đăng nhập thành viên.
Đây là tiện ích dành cho tài khoản thành viên. Vui lòng Đăng nhập để xem chi tiết. Nếu chưa có tài khoản, vui lòng Đăng ký tại đây!