- Tổng quan
- Nội dung
- VB gốc
- Tiếng Anh
- Hiệu lực
- VB liên quan
- Lược đồ
-
Nội dung hợp nhất
Tính năng này chỉ có tại LuatVietnam.vn. Nội dung hợp nhất tổng hợp lại tất cả các quy định còn hiệu lực của văn bản gốc và các văn bản sửa đổi, bổ sung, đính chính... trên một trang. Việc hợp nhất văn bản gốc và những văn bản, Thông tư, Nghị định hướng dẫn khác không làm thay đổi thứ tự điều khoản, nội dung.
Khách hàng chỉ cần xem Nội dung hợp nhất là có thể nắm bắt toàn bộ quy định hiện hành đang áp dụng, cho dù văn bản gốc đã qua nhiều lần chỉnh sửa, bổ sung.
- Tải về
Thông tư 39/2024/TT-BTNMT định mức kinh tế-kỹ thuật công tác khai đào công trình, lấy mẫu trong điều tra cơ bản địa chất về khoáng sản
| Cơ quan ban hành: | Bộ Tài nguyên và Môi trường |
Số công báo:
Số công báo là mã số ấn phẩm được đăng chính thức trên ấn phẩm thông tin của Nhà nước. Mã số này do Chính phủ thống nhất quản lý.
|
Đã biết
|
| Số hiệu: | 39/2024/TT-BTNMT | Ngày đăng công báo: |
Đã biết
|
| Loại văn bản: | Thông tư | Người ký: | Trần Quý Kiên |
|
Ngày ban hành:
Ngày ban hành là ngày, tháng, năm văn bản được thông qua hoặc ký ban hành.
|
27/12/2024 |
Ngày hết hiệu lực:
Ngày hết hiệu lực là ngày, tháng, năm văn bản chính thức không còn hiệu lực (áp dụng).
|
Đang cập nhật |
|
Áp dụng:
Ngày áp dụng là ngày, tháng, năm văn bản chính thức có hiệu lực (áp dụng).
|
Đã biết
|
Tình trạng hiệu lực:
Cho biết trạng thái hiệu lực của văn bản đang tra cứu: Chưa áp dụng, Còn hiệu lực, Hết hiệu lực, Hết hiệu lực 1 phần; Đã sửa đổi, Đính chính hay Không còn phù hợp,...
|
Đã biết
|
| Lĩnh vực: | Tài nguyên-Môi trường, Khoáng sản, Công nghiệp |
TÓM TẮT THÔNG TƯ 39/2024/TT-BTNMT
Ngày 27/12/2024, Bộ Tài nguyên và Môi trường đã ra Thông tư 39/2024/TT-BTNMT ban hành định mức kinh tế - kỹ thuật công tác khai đào công trình và lấy mẫu tại các công trình khai đào trong điều tra cơ bản địa chất về khoáng sản và thăm dò khoáng sản. Dưới đây là một số nội dung đáng chú ý:
1. 11 hạng mục công việc trong định mức - kinh tế kỹ thuật được áp dụng khai đào công trình trong điều tra cơ bản địa chất về khoáng sản và thăm dò khoáng sản gồm:
- Thi công công trình dọn sạch vết lộ;
- Thi công công trình hố;
- Thi công công trình hào;
- Thi công công trình giếng;
- Thi công công trình lò;
- Lấp công trình hố, hào và giếng;
- Lấy mẫu cục;
- Lấy mẫu rãnh;
- Lấy mẫu điểm, mẫu rãnh điểm, mẫu lưới điểm;
- Lấy mẫu bóc tầng;
- Lấy mẫu khối.
2. Điều kiện thực hiện thi công công trình hố khai đào công trình và lấy mẫu tại các công trình khai đào điều tra cơ bản địa chất về khoáng sản gồm:
- Kích thước hố: có tiết diện miệng hố là 1,0 m2, chiều sâu không quá 2,0 m và tiết diện đáy hố từ 0,8 m2
đến 1,0 m2;
- Đối với hố đào ở khu vực dễ sập lở phải chống, chèn bảo đảm an toàn trong suốt thời gian thi công, thu thập tài liệu kỹ thuật và lấy mẫu;
- Đào sâu tối đa 1,0 m phải tạm dừng thi công cho cán bộ kỹ thuật đo vẽ, mô tả 01 lần (hố sâu trên 1,0 m cán bộ kỹ thuật đo vẽ, mô tả ít nhất 02 lần)
3. Nội dung công việc lấp công trình hào, hố và giếng bao gồm:
- Vận chuyển vật tư, dụng cụ từ địa điểm tập kết đến công trình trong thời gian thi công;
- Chuẩn bị dụng cụ để thi công;
- Đào hoặc xới tơi đất đá đã được hót lên từ trước, xúc đổ xuống công trình;
- Đầm nén đất đá trên mặt công trình và tiếp tục đưa đất đá vào lấp cho đến khi đầy;
- Kiểm tra việc lấp;
- Thu dọn dụng cụ và di chuyển địa điểm đến công trình khác trong phạm vi thi công đề án ≤ 10 km.
- Che chắn bảo vệ công trình.
Thông tư có hiệu lực kể từ ngày 12/02/2025.
Xem chi tiết Thông tư 39/2024/TT-BTNMT có hiệu lực kể từ ngày 12/02/2025
Tải Thông tư 39/2024/TT-BTNMT
|
BỘ TÀI NGUYÊN VÀ MÔI TRƯỜNG _______ Số: 39/2024/TT-BTNMT |
CỘNG HÒA XÃ HỘI CHỦ NGHĨA VIỆT NAM _____________________________ Hà Nội, ngày 27 tháng 12 năm 2024 |
THÔNG TƯ
Ban hành định mức kinh tế - kỹ thuật công tác khai đào công trình
và lấy mẫu tại các công trình khai đào trong điều tra cơ bản địa chất
về khoáng sản và thăm dò khoáng sản
_______________
Căn cứ Luật Khoáng sản ngày 17 tháng 11 năm 2010;
Căn cứ Nghị định số 158/2016/NĐ-CP ngày 29 tháng 11 năm 2016 của Chính phủ quy định chi tiết thi hành một số điều của Luật Khoáng sản;
Căn cứ Nghị định số 68/2022/NĐ-CP ngày 22 tháng 9 năm 2022 của Chính phủ quy định chức năng, nhiệm vụ, quyền hạn và cơ cấu tổ chức của Bộ Tài nguyên và Môi trường;
Theo đề nghị của Cục trưởng Cục Địa chất Việt Nam;
Bộ trưởng Bộ Tài nguyên và Môi trường ban hành Thông tư ban hành định mức kinh tế - kỹ thuật công tác khai đào công trình và lấy mẫu tại các công trình khai đào trong điều tra cơ bản địa chất về khoáng sản và thăm dò khoáng sản.
Điều 1. Ban hành kèm theo Thông tư này định mức kinh tế - kỹ thuật công tác khai đào công trình và lấy mẫu tại các công trình khai đào trong điều tra cơ bản địa chất về khoáng sản và thăm dò khoáng sản.
Điều 2. Điều khoản thi hành
1. Thông tư này có hiệu lực thi hành từ ngày 12 tháng 02 năm 2025.
2. Bãi bỏ Định mức kinh tế - kỹ thuật công tác khai đào quy định tại Phần IV ban hành kèm theo Thông tư số 11/2010/TT-BTNMT ngày 05 tháng 7 năm 2010 của Bộ trưởng Bộ Tài nguyên và Môi trường quy định định mức kinh tế - kỹ thuật các công trình địa chất.
3. Bãi bỏ Định mức kinh tế - kỹ thuật công tác lấy mẫu rãnh ngoài trời quy định tại điểm 5.1.1 Tiểu mục 5.1 Mục 5 Phần II ban hành kèm theo Thông tư số 11/2010/TT-BTNMT ngày 05 tháng 7 năm 2010 của Bộ trưởng Bộ Tài nguyên và Môi trường quy định định mức kinh tế - kỹ thuật các công trình địa chất.
4. Bãi bỏ Định mức kinh tế - kỹ thuật công tác thi công lò bằng quy định tại Chương I Phần III ban hành kèm theo Thông tư số 47/2015/TT-BTNMT ngày 05 tháng 11 năm 2015 của Bộ trưởng Bộ Tài nguyên và Môi trường ban hành Quy trình và định mức kinh tế - kỹ thuật của 12 dạng công việc trong điều tra cơ bản địa chất về khoáng sản và thăm dò khoáng sản.
5. Thay thế Bảng phân cấp đất đá cho công tác khai đào (Bảng 2) quy định tại Phụ lục ban hành kèm theo Thông tư số 07/2013/TT-BTNMT ngày 07 tháng 5 năm 2013 của Bộ trưởng Bộ Tài nguyên và Môi trường sửa đổi, bổ sung định mức kinh tế - kỹ thuật các công trình địa chất ban hành kèm theo Thông tư số 11/2010/TT-BTNMT ngày 05 tháng 7 năm 2010 của Bộ trưởng Bộ Tài nguyên và Môi trường bằng Bảng phân cấp đất đá cho công tác khai đào tại Phụ lục I ban hành kèm theo Thông tư này.
Điều 3. Tổ chức thực hiện
1. Các Bộ, cơ quan ngang Bộ, cơ quan thuộc Chính phủ, Ủy ban nhân dân các tỉnh, thành phố trực thuộc Trung ương, Cục Địa chất Việt Nam, các đơn vị trực thuộc Bộ Tài nguyên và Môi trường và các tổ chức, cá nhân có liên quan chịu trách nhiệm thi hành Thông tư này.
2. Trong quá trình tổ chức thực hiện, nếu có khó khăn, vướng mắc đề nghị các cơ quan, tổ chức, cá nhân phản ánh kịp thời về Bộ Tài nguyên và Môi trường để xem xét, giải quyết.
3. Văn bản được viện dẫn trong Thông tư này được sửa đổi, bổ sung hoặc thay thế thì thực hiện theo quy định mới./.
|
BỘ TÀI NGUYÊN VÀ MÔI TRƯỜNG _______ |
CỘNG HÒA XÃ HỘI CHỦ NGHĨA VIỆT NAM _____________________________ |
ĐỊNH MỨC KINH TẾ - KỸ THUẬT
CÔNG TÁC KHAI ĐÀO CÔNG TRÌNH VÀ LẤY MẪU TẠI CÁC CÔNG TRÌNH
KHAI ĐÀO TRONG ĐIỀU TRA CƠ BẢN ĐỊA CHẤT VỀ KHOÁNG SẢN
VÀ THĂM DÒ KHOÁNG SẢN
(Ban hành kèm theo Thông tư số 39/2024/TT-BTNMT ngày 27 tháng 12 năm 2024
của Bộ trưởng Bộ Tài nguyên và Môi trường)
_______
Phần I
QUY ĐỊNH CHUNG
1. Phạm vi điều chỉnh
Định mức - kinh tế kỹ thuật được áp dụng cho công tác khai đào công trình và lấy mẫu tại các công trình khai đào trong điều tra cơ bản địa chất về khoáng sản và thăm dò khoáng sản gồm 11 hạng mục công việc sau:
1.1. Thi công công trình dọn sạch vết lộ.
1.2. Thi công công trình hố.
1.3. Thi công công trình hào.
1.4. Thi công công trình giếng.
1.5. Thi công công trình lò.
1.6. Lấp công trình hố, hào và giếng.
1.7. Lấy mẫu cục.
1.8. Lấy mẫu rãnh.
1.9. Lấy mẫu điểm, mẫu rãnh điểm, mẫu lưới điểm.
1.10. Lấy mẫu bóc tầng.
1.11. Lấy mẫu khối.
2. Đối tượng áp dụng
Định mức kinh tế - kỹ thuật này áp dụng đối với cơ quan quản lý nhà nước về địa chất, khoáng sản; tổ chức và cá nhân thực hiện công tác thi công công trình khai đào và lấy mẫu tại các công trình khai đào trong hoạt động điều tra cơ bản địa chất về khoáng sản và thăm dò khoáng sản.
Bộ Luật Lao động số 45/2019/QH14 ngày 20 tháng 11 năm 2019.
Nghị định số 204/2004/NĐ-CP ngày 14 tháng 12 năm 2004 của Chính phủ về chế độ tiền lương đối với cán bộ, công chức, viên chức và lực lượng vũ trang;
Nghị định số 17/2013/NĐ-CP ngày 19 tháng 02 năm 2013 của Chính phủ về việc sửa đổi, bổ sung một số điều của Nghị định số 204/2004/NĐ-CP ngày 14 tháng 12 năm 2004 của Chính phủ về chế độ tiền lương đối với cán bộ, công chức, viên chức và lực lượng vũ trang;
Nghị định số 117/2016/NĐ-CP ngày 21 tháng 7 năm 2016 của Chính phủ sửa đổi bổ sung một số điều Nghị định số 204/2004/NĐ-CP ngày 14 tháng 12 năm 2004 của Chính phủ về chế độ tiền lương đối với cán bộ, công chức, viên chức và lực lượng vũ trang;
Nghị định số 145/2020/NĐ-CP ngày 14 tháng 12 năm 2020 của Chính phủ Quy định chi tiết và hướng dẫn thi hành một số điều của Bộ luật Lao động về điều kiện lao động và quan hệ lao động;
Nghị định số 32/2019/NĐ-CP ngày 10 tháng 4 năm 2019 của Chính phủ quy định giao nhiệm vụ, đặt hàng hoặc đấu thầu cung cấp sản phẩm, dịch vụ công sử dụng ngân sách nhà nước từ nguồn kinh phí chi thường xuyên;
Thông tư số 11/2010/TT-BTNMT ngày 05 tháng 7 năm 2010 của Bộ trưởng Bộ Tài nguyên và Môi trường về việc ban hành định mức kinh tế - kỹ thuật các công trình địa chất;
Thông tư số 07/2013/TT-BTNMT ngày 07 tháng 5 năm 2013 của Bộ trưởng Bộ Tài nguyên và Môi trường sửa đổi, bổ sung định mức kinh tế - kỹ thuật các công trình địa chất ban hành kèm theo Thông tư số 11/2010/TT-BTNMT ngày 05 tháng 7 năm 2010 của Bộ trưởng Bộ Tài nguyên và Môi trường;
Thông tư số 47/2015/TT-BTNMT ngày 05 tháng 11 năm 2015 của Bộ trưởng Bộ Tài nguyên và Môi trường ban hành quy trình và định mức kinh tế - kỹ thuật của 12 hạng mục công việc trong điều tra cơ bản địa chất về khoáng sản và thăm dò khoáng sản;
Thông tư liên tịch số 53/2015/TTLT-BTNMT-BNV ngày 08 tháng 12 năm 2015 của liên Bộ Tài nguyên và Môi trường - Bộ Nội vụ quy định mã số và tiêu chuẩn chức danh nghề nghiệp viên chức ngành điều tra tài nguyên môi trường;
Thông tư số 17/2019/TT-BLĐTBXH ngày 06 tháng 11 năm 2019 của Bộ trưởng Bộ Lao động - Thương binh và Xã hội hướng dẫn xác định chi phí tiền lương, chi phí nhân công trong giá, đơn giá sản phẩm, dịch vụ công sử dụng kinh phí ngân sách nhà nước do doanh nghiệp thực hiện;
Thông tư số 11/2020/TT-BLĐTBXH ngày 12 tháng 11 năm 2020 của Bộ trưởng Bộ Lao động - Thương binh và Xã hội ban hành Danh mục nghề, công việc nặng nhọc, độc hại, nguy hiểm và nghề, công việc đặc biệt nặng nhọc, độc hại, nguy hiểm;
Thông tư số 16/2020/TT-BTNMT ngày 18 tháng 12 năm 2020 của Bộ trưởng Bộ Tài nguyên và Môi trường quy định kỹ thuật công tác khai đào công trình và lấy mẫu địa chất tại công trình khai đào ;
Thông tư số 16/2021/TT-BTNMT ngày 27 tháng 9 năm 2021 của Bộ trưởng Bộ Tài nguyên và Môi trường quy định xây dựng định mức kinh tế - kỹ thuật thuộc phạm vi quản lý nhà nước của Bộ Tài nguyên và Môi trường;
Thông tư số 12/2022/TT-BTNMT ngày 24 tháng 10 năm 2022 của Bộ trưởng Bộ Tài nguyên và Môi trường sửa đổi, bổ sung một số quy định về tiêu chuẩn chức danh nghề nghiệp viên chức ngành tài nguyên và môi trường;
Thông tư số 23/2023/TT-BTC ngày 25 tháng 4 năm 2023 của Bộ trưởng Bộ Tài chính hướng dẫn chế độ quản lý, tính hao mòn, khấu hao tài sản cố định tại cơ quan, tổ chức, đơn vị và tài sản cố định do Nhà nước giao cho doanh nghiệp quản lý không tính thành phần vốn nhà nước tại doanh nghiệp;
Quyết định số 1267/QĐ-BTNMT ngày 08 tháng 6 năm 2020 của Bộ trưởng Bộ Tài nguyên và Môi trường về việc ban hành Danh mục, thời gian sử dụng và tỷ lệ hao mòn tài sản chưa đủ tiêu chuẩn nhận biết tài sản cố định hữu hình; Danh mục tài sản cố định đặc thù; Danh mục, thời gian sử dụng và tỷ lệ hao mòn tài sản cố định vô hình thuộc phạm vi quản lý của Bộ Tài nguyên và Môi trường.
|
TT |
Nội dung viết tắt |
Viết tắt |
|
|
|
|
|
|
|
|
|
|
|
|
|
|
|
|
|
|
|
|
|
|
|
|
|
|
|
|
|
|
|
|
|
|
|
|
|
|
|
|
|
|
|
|
|
|
|
|
|
|
|
|
|
|
|
|
|
|
|
|
|
|
|
|
|
|
|
|
|
|
|
|
|
|
Đặc điểm thời tiết |
Hệ số |
|
|
|
|
|
|
|
|
|
|
|
|
6. Các quy định khác
6.1. Định mức lao động
Định mức lao động là hao phí thời gian lao động cần thiết của người lao động trực tiếp sản xuất ra một sản phẩm (hoặc thực hiện một bước công việc hoặc một công việc cụ thể) và thời gian nghỉ được hưởng nguyên lương theo quy định của pháp luật hiện hành.
- Thành phần định mức lao động:
+ Nội dung công việc: liệt kê mô tả nội dung công việc, các thao tác cơ bản, thao tác chính để thực hiện công việc;
+ Xác định điều kiện chuẩn (phân loại mức khó khăn): xác định các yếu tố cơ bản như địa hình, địa vật, giao thông, thời tiết, địa chất và các điều kiện khác liên quan đến thực hiện công việc; xác định các mức khó khăn khác với điều kiện chuẩn;
+ Định biên: mô tả vị trí việc làm của từng lao động trong từng công đoạn, chu trình của công việc đến khi tạo ra sản phẩm. Trên cơ sở đó xác định số lượng và cấp bậc lao động cụ thể để thực hiện từng nội dung của từng công đoạn của công việc trong chu trình lao động đến khi hoàn thành sản phẩm;
+ Định mức: là mức hao phí thời gian lao động trực tiếp, cần thiết để sản xuất một sản phẩm và mức hao phí thời gian nghỉ được hưởng nguyên lương theo quy định của pháp luật hiện hành; đơn vị tính là công nhóm, ca sử dụng/đơn vị sản phẩm.
- Công lao động bao gồm: công đơn và công nhóm; thời gian lao động đối với một ngày công là 08 giờ làm việc đối với lao động bình thường và 06 giờ làm việc đối với công việc nặng nhọc, độc hại, nguy hiểm và đặc biệt nặng nhọc, độc hại, nguy hiểm. Theo đó, đối với công tác thi công công trình khai đào và lấy mẫu tại các công trình khai đào trong điều tra cơ bản địa chất về khoáng sản, thăm dò khoáng sản là công việc nặng nhọc, độc hại, nguy hiểm và đặc biệt nặng nhọc, độc hại, nguy hiểm nên thời gian lao động đối với một ngày là 06 giờ làm việc.
+ Công đơn (công cá nhân): là công lao động xác định cho một lao động trực tiếp thực hiện một bước công việc tạo ra sản phẩm;
+ Công nhóm: là công lao động xác định cho một nhóm lao động trực tiếp thực hiện một sản phẩm hoặc bước công việc tạo ra sản phẩm;
+ Thời gian nghỉ được hưởng nguyên lương đối với lao động trực tiếp, bao gồm: nghỉ phép, nghỉ tăng thêm theo thâm niên (nếu có), nghỉ lễ tết, nghỉ hội họp, học tập, tập huấn được tính là 34 ngày trên tổng số 312 ngày làm việc của một (01) năm.
- Xác định hao phí lao động tăng thêm so với điều kiện chuẩn, bao gồm: yếu tố về tự nhiên như: địa hình, địa vật, giao thông, địa chất, thời tiết. Các mức độ ảnh hưởng đến việc thực hiện (hao phí thời gian) chênh nhau từ 10% đến 20%, cá biệt không quá 30% của các loại, hạng, nhóm liền kề.
- Mức lao động công việc ngoại nghiệp khi phải ngừng nghỉ việc do hiện tượng thời tiết được quy định cụ thể trong nội dung định mức và áp dụng theo quy định pháp luật liên quan.
6.2. Định mức sử dụng máy móc, thiết bị
Định mức sử dụng máy móc, thiết bị là số ca (thời gian) người lao động trực tiếp sử dụng máy móc, thiết bị cần thiết để sản xuất ra một đơn vị sản phẩm. Đơn vị tính là ca sử dụng/đơn vị sản phẩm (m, m3, mẫu ...). Thời hạn sử dụng thiết bị theo quy định hiện hành.
6.3. Định mức sử dụng dụng cụ
Định mức sử dụng dụng cụ là số ca (thời gian) người lao động trực tiếp sử dụng dụng cụ cần thiết để sản xuất ra một đơn vị sản phẩm. Đơn vị tính là ca sử dụng/đơn vị sản phẩm (m, m3, mẫu ...). Thời hạn sử dụng dụng cụ là thời gian dụng cụ được sử dụng vào hoạt động sản xuất trong điều kiện bình thường, phù hợp các thông số kinh tế - kỹ thuật của dụng cụ. Đơn vị tính của thời hạn sử dụng dụng cụ là tháng.
6.4. Định mức tiêu hao vật liệu
Định mức tiêu hao vật liệu là mức sử dụng số lượng vật liệu cần thiết để sản xuất ra một đơn vị sản phẩm (m, m3, mẫu ...).
6.5. Định mức tiêu hao nhiên liệu
- Xác định nhu cầu sử dụng nhiên liệu cần thiết trong từng công đoạn của chu trình của công việc đến khi hoàn thành sản phẩm;
- Xác định danh mục, chủng loại nhiên liệu theo nhu cầu sử dụng trong từng công đoạn của chu trình của công việc đến khi hoàn thành sản phẩm;
- Xác định định mức tiêu hao nhiên liệu: định theo công suất máy móc, thiết bị, công cụ, dụng cụ có sử dụng nhiên liệu và thời gian thực hiện để sản xuất ra một đơn vị sản phẩm hoặc một bước công việc tạo ra sản phẩm.
Phần II
ĐỊNH MỨC KINH TẾ - KỸ THUẬT
Chương I
CÔNG TÁC KHAI ĐÀO CÔNG TRÌNH
I. Thi công công trình dọn sạch vết lộ
I.1. Định mức lao động
I.1.1. Nội dung công việc
- Chuẩn bị kế hoạch và tiến độ thi công;
- Vận chuyển vật tư, dụng cụ từ địa điểm tập kết đến công trình trong thời gian thi công;
- Chuẩn bị vị trí đặt công trình, san gạt mặt bằng, dọn đất đá, gốc cây, phát bụi rậm, đánh dấu vị trí thi công;
- Làm đường lên xuống công trình bảo đảm an toàn khi di chuyển, làm việc;
- Chuẩn bị dụng cụ cho thi công;
- Giám sát kỹ thuật, hướng dẫn công nhân thực hiện nhiệm vụ;
- Làm thủ tục xin cấp giấy phép sử dụng chất nổ (nếu phải nổ mìn);
- Đào xúc đất đá không sử dụng chất nổ, làm tơi đất đá bằng cuốc chim, hoặc bằng máy khoan đục để phá đất đá;
- Dọn sạch vết lộ để lộ các đối tượng địa chất, khoáng sản cần nghiên cứu;
- Đối với việc thi công có sử dụng chất nổ, làm tơi đất đá bằng nổ mìn, đục lỗ mìn, nạp thuốc nổ, làm sạch lỗ mìn, nạp thuốc nổ và các vật liệu nổ, bắn mìn, kiểm tra an toàn sau khi nổ mìn sau đó hất đất đá lên trên miệng;
- Mô tả đặc điểm thành phần đất đá được dọn, các đặc điểm địa chất, khoáng sản có tại vết lộ; vẽ thiết đồ;
- Hoàn thiện tài liệu địa chất: nhật ký thi công, bản mô tả, bản vẽ công trình (bản vẽ nguyên thủy và bản vẽ tổng hợp);
- Lấy mẫu, mô tả mẫu, ghi chép sổ sách, ghi nhãn mẫu, xếp mẫu vào thùng mẫu, bảo quản đóng gói mẫu và vận chuyển mẫu về nơi tập kết (trong phạm vi ≤ 10 km);
- Chụp ảnh trước và sau khi dọn sạch vết lộ (các ảnh phải có thước đo hoặc vật chuẩn thể hiện kích thước đối tượng quan tâm);
- Bảo quản vật tư, chất nổ tại vùng đề án đối với các công trình phải sử dụng chất nổ;
- Che chắn bảo vệ tại công trình;
- Nghiệm thu công việc và thu dọn dụng cụ, bàn giao và di chuyển công trình ≤ 10km.
* Điều kiện thực hiện
- Lựa chọn phương án thi công phù hợp với điều kiện thực tế thi công đảm bảo an toàn, tiết kiệm và bảo vệ môi trường;
- Thi công trong đất đá cấp I - IV bằng phương pháp thủ công;
- Sử dụng máy khoan đập hoặc mìn để phá đất đá theo cấp đất đá từ cấp V trở lên;
- Kích thước công trình: chiều dài, chiều rộng và sâu của công trình dọn sạch vết lộ phụ thuộc vào chiều dài, chiều rộng và bề dày của lớp phủ (bề dày đào dọn tối đa không quá 1,0 m).
* Những công việc chưa có trong định mức
- Vận chuyển mẫu từ nơi tập kết về đơn vị;
- Di chuyển công trình > 10 km;
- Chi phí vận chuyển vật liệu nổ từ nơi cung cấp đến nơi sử dụng, chi phí làm kho chứa vật liệu nổ và chi phí nhân công cho bảo vệ kho mìn và thủ kho nhập, xuất vật liệu nổ hàng ngày khi thi công công trình có sử dụng vật liệu nổ;
- Chuyển quân, vật tư từ đơn vị đến địa điểm tập kết thi công đề án và ngược lại.
I.1.2. Phân loại khó khăn
Phân loại khó khăn được quy định tại Phụ lục I và Phụ lục II.
I.1.3. Định biên
Bảng số 02
|
Loại lao động Hạng mục |
ĐTV.III bậc 4/9 |
CN4 (N2) |
CN3 (N2) |
Nhóm |
|
Thi công công trình dọn sạch vết lộ |
1 |
1 |
1 |
3 |
I.1.4. Định mức: công nhóm/100 m3
Định mức thời gian công tác thi công công trình dọn sạch vết lộ được quy định tại Bảng số 03.
Bảng số 03
|
Nội dung công việc |
Cấp đất đá |
|||||||
|
I-III |
IV |
V |
VI |
VII |
VIII |
IX |
X |
|
|
Thủ công, có sử dụng máy khoan đập |
23,50 |
24,50 |
27,10 |
28,50 |
30,70 |
37,20 |
51,40 |
54,80 |
|
Thủ công có sử dụng chất nổ |
|
|
25,28 |
26,58 |
30,50 |
42,44 |
54,47 |
56,15 |
* Ghi chú:
- Khi thi công trong điều kiện đất sét dẻo quánh hay dính chặt cuốc, xẻng, ở vùng rừng núi hẻo lánh, đảo xa, điều kiện giao thông khó khăn thì định mức được điều chỉnh với các hệ số k=1,15.
- Công việc phải ngừng nghỉ do thời tiết quy định tại Phụ lục II, định mức công tác thi công công trình dọn sạch vết lộ được điều chỉnh theo các hệ số quy định tại Bảng số 01.
I.2. Định mức sử dụng máy móc, thiết bị: ca/100 m3
Mức khấu hao thiết bị được quy định tại Bảng số 04 tính cho đất đá cấp I-III, cấp IV và VII. Đối với các cấp đất đá khác, được điều chỉnh theo hệ số quy định tại Bảng số 08.
Bảng số 04
|
TT |
Tên thiết bị |
ĐVT |
Thời hạn (năm) |
Số lượng |
Mức |
|||
|
Thủ công, có sử dụng máy khoan đập |
Thủ công có sử dụng chất nổ |
|||||||
|
Đất đá cấp |
I-III |
IV |
VII |
VII |
||||
|
1 |
Định vị vệ tinh (GPS) cầm tay |
bộ |
10 |
1 |
20,94 |
23,62 |
29,14 |
27,18 |
|
2 |
Máy tính xách tay0,04 kw |
cái |
5 |
1 |
20,94 |
23,62 |
29,14 |
27,18 |
|
3 |
Máy khoan đục |
cái |
5 |
1 |
|
|
29,14 |
27,18 |
|
4 |
Máy phát điện |
cái |
8 |
1 |
|
|
29,14 |
27,18 |
I.3. Định mức dụng cụ lao động: ca/100 m3
Mức hao mòn dụng cụ được quy định tại Bảng số 05 tính cho đất đá cấp VII. Đối với các cấp đất đá khác, được điều chỉnh theo hệ số quy định tại Bảng số 08.
Bảng số 05
|
TT |
Tên dụng cụ |
ĐVT |
Thời hạn (tháng) |
Số lượng |
Mức |
|
|
Thủ công, có sử dụng máy khoan đập |
Thủ công có sử dụng chất nổ |
|||||
|
1 |
Ba lô |
cái |
24 |
2 |
58,28 |
54,36 |
|
2 |
Búa địa chất |
cái |
24 |
1 |
29,14 |
27,18 |
|
3 |
Búa tạ 5 kg |
cái |
24 |
1 |
29,14 |
27,18 |
|
4 |
Choòng đục mẫu |
cái |
24 |
1 |
29,14 |
27,18 |
|
5 |
Cuốc chim |
cái |
24 |
1 |
29,14 |
27,18 |
|
6 |
Chuột máy tính |
cái |
12 |
1 |
29,14 |
27,18 |
|
7 |
Dao phát cây |
cái |
12 |
1 |
29,14 |
27,18 |
|
8 |
Địa bàn địa chất |
cái |
36 |
1 |
29,14 |
27,18 |
|
9 |
Găng tay BHLĐ |
đôi |
6 |
3 |
87,42 |
81,54 |
|
10 |
Giầy BHLĐ |
đôi |
6 |
3 |
87,42 |
81,54 |
|
11 |
Hòm tôn đựng dụng cụ |
cái |
60 |
1 |
29,14 |
27,18 |
|
12 |
Hòm tôn đựng tài liệu |
cái |
60 |
1 |
29,14 |
27,18 |
|
13 |
Khoá hòm |
cái |
36 |
2 |
58,28 |
54,36 |
|
14 |
Kính BHLĐ |
cái |
12 |
3 |
87,42 |
81,54 |
|
15 |
Kính lúp |
cái |
60 |
1 |
29,14 |
27,18 |
|
16 |
Máy ảnh kỹ thuật số |
cái |
60 |
1 |
29,14 |
27,18 |
|
17 |
Mũ BHLĐ |
cái |
12 |
3 |
87,42 |
81,54 |
|
18 |
Ổ cắm điện |
cái |
12 |
1 |
29,14 |
27,18 |
|
19 |
Ổ cứng ghi ngoài |
cái |
24 |
1 |
29,14 |
27,18 |
|
20 |
Ống đựng bản vẽ |
cái |
24 |
1 |
29,14 |
27,18 |
|
21 |
Quần áo mưa BHLĐ |
bộ |
9 |
3 |
87,42 |
81,54 |
|
22 |
Quần áo BHLĐ |
bộ |
9 |
3 |
87,42 |
81,54 |
|
23 |
Xô nhựa 10 lít |
cái |
12 |
1 |
29,14 |
27,18 |
|
24 |
Tất chống vắt |
đôi |
6 |
3 |
87,42 |
81,54 |
|
25 |
Thước cuộn vải 50 cm |
cái |
12 |
1 |
29,14 |
27,18 |
|
26 |
Thước nhựa 30 cm |
cái |
36 |
1 |
29,14 |
27,18 |
|
27 |
Thước thép cuộn 3 m |
cái |
24 |
1 |
29,14 |
27,18 |
|
28 |
Xắc cốt đựng tài liệu |
cái |
24 |
1 |
29,14 |
27,18 |
|
29 |
Xà beng |
cái |
24 |
1 |
29,14 |
27,18 |
|
30 |
Xẻng |
cái |
24 |
1 |
29,14 |
27,18 |
I.4. Định mức tiêu hao vật liệu: tính cho 100 m3
Mức tiêu hao vật liệu được quy định tại Bảng số 06 được tính chung cho tất cả các cấp đất đá.
Bảng số 06
|
TT |
Tên vật liệu |
ĐVT |
Mức tiêu hao |
|
|
Thủ công, có sử dụng máy khoan đập |
Thủ công có sử dụng chất nổ |
|||
|
1 |
Băng dính to |
cuộn |
10 |
10 |
|
2 |
Bìa đóng sổ |
tờ |
10 |
10 |
|
3 |
Bút bi |
cái |
10 |
10 |
|
4 |
Bút chì kim |
cái |
10 |
10 |
|
5 |
Bút xóa |
cái |
10 |
10 |
|
6 |
Giấy A4 |
ram |
0,2 |
0,2 |
|
7 |
Giấy ô ly |
tờ |
10 |
10 |
|
8 |
Ruột chì kim |
hộp |
10 |
10 |
|
9 |
Tẩy |
cái |
10 |
10 |
|
10 |
Túi Clear |
tờ |
10 |
10 |
|
11 |
Dây cháy chậm |
m |
|
207 |
|
12 |
Kíp nổ |
cái |
|
172 |
|
13 |
Thuốc nổ |
kg |
|
67 |
I.5. Định mức tiêu hao nhiên liệu: tính cho 100 m3
Mức tiêu hao nhiên liệu được quy định tại Bảng số 07 được tính cho đất đá cấp VII. Đối với các cấp đất đá khác, được điều chỉnh theo hệ số quy định tại Bảng số 08.
Bảng số 07
|
TT |
Tên nhiên liệu |
ĐVT |
Mức tiêu hao |
|
|
Thủ công, có sử dụng máy khoan đập |
Thủ công có sử dụng chất nổ |
|||
|
1 |
Xăng |
lít |
582,80 |
407,70 |
Bảng số 08
|
Cấp đất đá |
I-III |
IV |
V |
VI |
VII |
VIII |
IX |
X |
|
Hệ số |
0,72 |
0,81 |
0,83 |
0,87 |
1,00 |
1,39 |
1,79 |
1,84 |
II. Thi công công trình hố
II.1. Định mức lao động
II.1.1. Nội dung công việc
- Chuẩn bị kế hoạch và tiến độ thi công;
- Vận chuyển vật tư, dụng cụ từ địa điểm tập kết đến công trình trong thời gian thi công;
- Chuẩn bị vị trí đặt công trình, san gạt mặt bằng, dọn đất đá, gốc cây, phát bụi rậm, đánh dấu vị trí thi công;
- Làm đường lên xuống công trình bảo đảm an toàn khi di chuyển, làm việc;
- Chuẩn bị dụng cụ cho thi công;
- Giám sát kỹ thuật, hướng dẫn công nhân thực hiện nhiệm vụ;
- Đào xúc, chuyển đất đá ra khỏi hố đổ thành từng đống theo chiều sâu lấy mẫu;
- Đo vẽ, mô tả đặc điểm thành phần đất đá, các đặc điểm địa chất, khoáng sản có tại hố; vẽ thiết đồ;
- Hoàn thiện tài liệu địa chất: nhật ký thi công, bản mô tả, bản vẽ công trình (bản vẽ nguyên thủy và bản vẽ tổng hợp);
- Lấy mẫu, mô tả mẫu, ghi chép sổ sách, ghi nhãn mẫu, xếp mẫu vào thùng mẫu, bảo quản đóng gói mẫu và vận chuyển mẫu về nơi tập kết (trong phạm vi ≤ 10 km);
- Chụp ảnh trước và sau khi đào hố (các ảnh phải có thước đo hoặc vật chuẩn thể hiện kích thước đối tượng quan tâm);
- Che chắn bảo vệ tại công trình;
- Nghiệm thu công việc và thu dọn dụng cụ, bàn giao và di chuyển công trình ≤ 10km.
* Điều kiện thực hiện
- Kích thước hố: có tiết diện miệng hố là 1,0 m2, chiều sâu không quá 2,0 m và tiết diện đáy hố từ 0,8 m2 đến 1,0 m2;
- Đối với hố đào ở khu vực dễ sập lở phải chống, chèn bảo đảm an toàn trong suốt thời gian thi công, thu thập tài liệu kỹ thuật và lấy mẫu;
- Đào sâu tối đa 1,0 m phải tạm dừng thi công cho cán bộ kỹ thuật đo vẽ, mô tả 01 lần (hố sâu trên 1,0 m cán bộ kỹ thuật đo vẽ, mô tả ít nhất 02 lần)
* Những công việc chưa có trong định mức
- Vận chuyển mẫu từ nơi tập kết về đơn vị;
- Di chuyển công trình > 10 km;
- Chuyển quân, vật tư từ đơn vị đến địa điểm tập kết thi công đề án và ngược lại.
II.1.2. Phân loại khó khăn
Phân loại khó khăn được quy định tại Phụ lục I và Phụ lục II.
II.1.3. Định biên
Bảng số 09
|
Loại lao động Hạng mục |
ĐTV.III bậc 4/9 |
CN4 (N2) |
Nhóm |
|
Thi công công trình hố |
1 |
1 |
2 |
II.1.4. Định mức: công nhóm/100 m3
Định mức thời gian công tác thi công công trình hố được quy định tại Bảng số 10.
Bảng số 10
|
Nội dung công việc |
Cấp đất đá |
|
|
I-III |
IV |
|
|
Thi công công trình hố |
51,70 |
63,27 |
* Ghi chú:
- Khi thi công trong điều kiện đất sét dẻo quánh hay dính chặt cuốc, xẻng, ở vùng rừng núi hẻo lánh, đảo xa, điều kiện giao thông khó khăn thì định mức được điều chỉnh với các hệ số k=1,15.
- Công việc phải ngừng nghỉ do thời tiết quy định tại Phụ lục II, định mức công tác thi công công trình hố được điều chỉnh theo các hệ số quy định tại Bảng số 01.
II.2. Định mức sử dụng máy móc, thiết bị: ca/100 m3
Mức khấu hao thiết bị được quy định tại Bảng số 11.
Bảng số 11
|
TT |
Tên thiết bị |
ĐVT |
Thời hạn (năm) |
Số lượng |
Mức |
|
|
Đất đá cấp |
I-III |
IV |
||||
|
1 |
Định vị vệ tinh (GPS) cầm tay |
bộ |
10 |
1 |
46,58 |
57,00 |
|
2 |
Máy tính xách tay 0,04 kw |
cái |
5 |
1 |
46,58 |
57,00 |
II.3. Định mức dụng cụ lao động: ca/100 m3
Mức hao mòn dụng cụ được quy định tại Bảng số 12.
Bảng số 12
|
TT |
Tên dụng cụ |
ĐVT |
Thời hạn (tháng) |
Số lượng |
Mức |
|
|
Đất đá cấp I-III |
Đất đá cấp IV |
|||||
|
1 |
Ba lô |
cái |
24 |
2 |
93,15 |
114,00 |
|
2 |
Búa địa chất |
cái |
24 |
1 |
46,58 |
57,00 |
|
3 |
Búa tạ 5 kg |
cái |
24 |
1 |
46,58 |
57,00 |
|
4 |
Cuốc chim |
cái |
24 |
1 |
46,58 |
57,00 |
|
5 |
Chuột máy tính |
cái |
12 |
1 |
46,58 |
57,00 |
|
6 |
Dao phát cây |
cái |
12 |
1 |
46,58 |
57,00 |
|
7 |
Địa bàn địa chất |
cái |
36 |
1 |
46,58 |
57,00 |
|
8 |
Găng tay BHLĐ |
đôi |
6 |
3 |
139,73 |
171,00 |
|
9 |
Giầy BHLĐ |
đôi |
6 |
3 |
139,73 |
171,00 |
|
10 |
Hòm tôn đựng dụng cụ |
cái |
60 |
1 |
46,58 |
57,00 |
|
11 |
Hòm tôn đựng tài liệu |
cái |
60 |
1 |
46,58 |
57,00 |
|
12 |
Khoá hòm |
cái |
36 |
2 |
93,15 |
114,00 |
|
13 |
Kính BHLĐ |
cái |
12 |
3 |
139,73 |
171,00 |
|
14 |
Kính lúp |
cái |
60 |
1 |
46,58 |
57,00 |
|
15 |
Máy ảnh kỹ thuật số |
cái |
60 |
1 |
46,58 |
57,00 |
|
16 |
Mũ BHLĐ |
cái |
12 |
3 |
139,73 |
171,00 |
|
17 |
Ổ cắm điện |
cái |
12 |
1 |
46,58 |
57,00 |
|
18 |
Ổ cứng ghi ngoài |
cái |
24 |
1 |
46,58 |
57,00 |
|
19 |
Ống đựng bản vẽ |
cái |
24 |
1 |
46,58 |
57,00 |
|
20 |
Quần áo mưa BHLĐ |
bộ |
9 |
3 |
139,73 |
171,00 |
|
21 |
Quần áo BHLĐ |
bộ |
9 |
3 |
139,73 |
171,00 |
|
22 |
Xô nhựa 10 lít |
cái |
12 |
1 |
46,58 |
57,00 |
|
23 |
Tất chống vắt |
đôi |
6 |
3 |
139,73 |
171,00 |
|
24 |
Thước cuộn vải 50 m |
cái |
12 |
1 |
46,58 |
57,00 |
|
25 |
Thước nhựa 30 cm |
cái |
36 |
1 |
46,58 |
57,00 |
|
26 |
Thước thép cuộn 3 m |
cái |
24 |
1 |
46,58 |
57,00 |
|
27 |
Xắc cốt đựng tài liệu |
cái |
24 |
1 |
46,58 |
57,00 |
|
28 |
Xà beng |
cái |
24 |
1 |
46,58 |
57,00 |
|
29 |
Xẻng |
cái |
24 |
1 |
46,58 |
57,00 |
II.4. Định mức tiêu hao vật liệu: tính cho 100 m3
Mức tiêu hao vật liệu được quy định tại Bảng số 13 được tính chung cho tất cả các cấp đất đá.
Bảng số 13
|
TT |
Tên vật liệu |
ĐVT |
Mức |
|
1 |
Băng dính to |
cuộn |
10 |
|
2 |
Bìa đóng sổ |
tờ |
10 |
|
3 |
Bút bi |
cái |
10 |
|
4 |
Bút chì kim |
cái |
10 |
|
5 |
Bút xóa |
cái |
10 |
|
6 |
Giấy A4 |
ram |
0,2 |
|
7 |
Giấy ôly |
tờ |
10 |
|
8 |
Ruột chì kim |
hộp |
10 |
|
9 |
Tẩy |
cái |
10 |
|
10 |
Túi Clear |
tờ |
10 |
III. Thi công công trình hào
III.1. Định mức lao động
III.1.1. Nội dung công việc
- Chuẩn bị kế hoạch và tiến độ thi công;
- Vận chuyển vật tư, dụng cụ từ địa điểm tập kết đến công trình trong thời gian thi công;
- Chuẩn bị vị trí đặt công trình, san gạt mặt bằng, dọn đất đá, gốc cây, phát bụi rậm, đánh dấu vị trí thi công;
- Làm đường lên xuống công trình bảo đảm an toàn khi di chuyển, làm việc;
- Chuẩn bị dụng cụ cho thi công;
- Giám sát kỹ thuật, hướng dẫn công nhân thực hiện nhiệm vụ;
- Làm thủ tục xin cấp giấy phép sử dụng chất nổ (nếu phải nổ mìn);
- Đào xúc đất đá không sử dụng chất nổ, làm tơi đất đá bằng cuốc chim hoặc bằng máy khoan đục, xúc đất đá hất lên miệng hào (với độ sâu dưới 2 m), hoặc đổ vào thùng chứa dùng tời kéo lên miệng (đối với độ sâu trên 2 m), đưa đất đá lên bằng tời quay tay, làm sạch và sửa vách hào;
- Đối với việc thi công có sử dụng chất nổ, làm tơi đất đá bằng nổ mìn, đục lỗ mìn, nạp thuốc nổ, làm sạch lỗ mìn, nạp thuốc nổ và các vật liệu nổ, bắn mìn, kiểm tra an toàn sau khi nổ mìn sau đó hất đất đá lên trên miệng;
- Mô tả đặc điểm thành phần đất đá, các đặc điểm địa chất, khoáng sản, vẽ thiết đồ;
- Hoàn thiện tài liệu địa chất: nhật ký thi công, bản mô tả, bản vẽ công trình (bản vẽ nguyên thủy và bản vẽ tổng hợp);
- Lấy mẫu, mô tả mẫu, ghi chép sổ sách, ghi nhãn mẫu, xếp mẫu vào thùng mẫu, bảo quản đóng gói mẫu và vận chuyển mẫu về nơi tập kết (trong phạm vi ≤ 10 km);
- Chụp ảnh trước và sau khi đào hào (các ảnh phải có thước đo hoặc vật chuẩn thể hiện kích thước đối tượng quan tâm);
- Xử lý thông gió, chống ngạt, tháo khô công trình trong thời gian thi công;
- Bảo quản vật tư, chất nổ tại vùng đề án đối với các công trình phải sử dụng chất nổ;
- Vận chuyển gỗ chống từ nơi tập kết đến công trình;
- Chặt vì gỗ và chống chèn công trình;
- Che chắn bảo vệ tại công trình;
- Nghiệm thu công việc và thu dọn dụng cụ, bàn giao và di chuyển công trình ≤ 10 km.
* Điều kiện thực hiện
- Lựa chọn phương án thi công phù hợp với điều kiện thực tế thi công đảm bảo an toàn, tiết kiệm và bảo vệ môi trường;
- Thi công trong đất đá cấp I - IV bằng phương pháp thủ công;
- Sử dụng máy khoan đập hoặc mìn để phá đất đá theo cấp đất đá từ cấp V trở lên;
- Kích thước khoang hào: kích thước khoang hào rộng 1,0 m, dài không quá 5,0 m, chiều sâu không quá 8,0 m. Trường hợp hào có chống chèn thì chiều rộng hào sau chống chèn không nhỏ hơn 0,7 m;
- Khi đào hào theo tuyến, các khoang hào phải cách nhau tối thiểu 1,0 m. Trường hợp khu vực thi công đã có các công trình hào, giếng thì công trình hào đào mới phải bảo đảm khoảng cách tối thiểu 3,0 m đến các công trình hào, giếng đã có trong trường hợp đào song song với công trình này;
- Hào đào sâu từ 2,0 m trở lên phải chống, chèn trong suốt thời gian thi công;
- Đối với hào sâu hơn 2,0 m, cứ 2,0 m dừng đào một lần để kỹ thuật địa chất đo vẽ, thu thập tài liệu nguyên thủy và lấy mẫu;
- Khi thi công công trình hào có nước xuất lộ phải thực hiện công tác thoát nước;
- Đối với công trình hào khi phát hiện có hơi độc, khí nổ, bụi cháy hoặc sau khi nổ mìn thì phải thông gió để đảm bảo an toàn cho người lao động
* Những công việc chưa có trong định mức
- Vận chuyển mẫu từ nơi tập kết về đơn vị;
- Di chuyển công trình > 10 km;
- Chi phí vận chuyển vật liệu nổ từ nơi cung cấp đến nơi sử dụng, chi phí làm kho chứa vật liệu nổ và chi phí nhân công cho bảo vệ kho mìn và thủ kho nhập, xuất vật liệu nổ hàng ngày khi thi công công trình có sử dụng vật liệu nổ;
- Chuyển quân, vật tư từ đơn vị đến địa điểm tập kết thi công đề án và ngược lại.
III.1.2. Phân loại khó khăn
Phân loại khó khăn được quy định tại Phụ lục I và Phụ lục II.
III.1.3. Định biên
Bảng số 14
|
Loại lao động Hạng mục |
ĐTV.III bậc 4/9 |
CN6 (N2) |
CN4 (N2) |
CN3 (N2) |
Nhóm |
|
Thi công công trình hào |
1 |
1 |
1 |
2 |
5 |
III.1.4. Định mức: công nhóm/100 m3
a) Thi công công trình hào bằng phương pháp thủ công, có sử dụng máy khoan đập làm tơi đất đá, định mức thời gian được quy định tại Bảng số 15.
Bảng số 15
|
Khoảng sâu hào (m) |
Cấp đất đá |
|||||||
|
Thủ công |
Thi công, có sử dụng máy khoan đập làm tơi đất đá |
|||||||
|
I - III |
IV |
V |
VI |
VII |
VIII |
IX |
X |
|
|
0 - 2 |
19,93 |
22,42 |
22,97 |
24,08 |
27,68 |
38,48 |
49,55 |
50,93 |
|
0 - 4 |
24,47 |
25,86 |
26,49 |
27,77 |
31,92 |
44,37 |
57,14 |
58,73 |
|
0 - 6 |
26,91 |
28,44 |
29,14 |
30,55 |
35,11 |
48,81 |
62,85 |
64,61 |
|
0 - 8 |
30,95 |
32,71 |
33,51 |
35,13 |
40,38 |
56,13 |
72,28 |
74,30 |
b) Thi công công trình hào bằng phương pháp thủ công có sử dụng chất nổ để phá đá, định mức thời gian được quy định tại Bảng số 16.
Bảng số 16
|
Khoảng sâu hào (m) |
Cấp đất đá |
|||||
|
Thủ công có sử dụng chất nổ để phá đá |
||||||
|
V |
VI |
VII |
VIII |
IX |
X |
|
|
0 - 2 |
21,31 |
22,34 |
25,68 |
35,70 |
45,97 |
47,25 |
|
0 - 4 |
27,72 |
29,05 |
33,40 |
46,42 |
59,78 |
61,45 |
|
0 - 6 |
30,49 |
31,96 |
36,74 |
51,06 |
65,76 |
67,59 |
|
0 - 8 |
35,06 |
36,75 |
42,25 |
58,72 |
75,62 |
77,73 |
* Ghi chú:
- Khi thi công trong điều kiện đất sét dẻo quánh hay dính chặt cuốc, xẻng, ở vùng rừng núi hẻo lánh, đảo xa, điều kiện giao thông khó khăn thì định mức được điều chỉnh với các hệ số k = 1,15;
- Thi công hào có lượng nước:
+ Dạng giọt và dòng chảy đến 1,2 m3/h: hệ số 1,11;
+ Dạng dòng chảy từ 1,3 - 2,0 m3/h: hệ số 1,25;
+ Chảy thành dòng lớn > 2,0 m3/h: hệ số 1,35;
- Thi công hào có nguy hiểm về khí nổ và hơi độc: hệ số 1,05;
- Công trình khó đục lỗ mìn do ngập nước: hệ số 1,25;
- Công việc phải ngừng nghỉ do thời tiết quy định tại Phụ lục II, định mức công tác thi công công trình hào được điều chỉnh theo các hệ số quy định tại Bảng số 01.
III.2. Định mức sử dụng máy móc, thiết bị: ca/100 m3
Mức khấu hao thiết bị được quy định tại Bảng số 17 tính cho đất đá cấp I-III, cấp IV và VII của hào có khoảng sâu từ 0 đến 2,0 m. Đối với các điều kiện thi công khác, được điều chỉnh theo hệ số quy định tại Bảng số 08 và Bảng số 21.
Bảng số 17
|
TT |
Tên thiết bị |
ĐVT |
Thời hạn (năm) |
Số lượng |
Mức |
|||
|
Thủ công, có sử dụng máy khoan đập |
Thủ công có sử dụng chất nổ |
|||||||
|
Đất đá cấp |
I-III |
IV |
VII |
VII |
||||
|
1 |
Định vị vệ tinh (GPS) cầm tay |
bộ |
10 |
1 |
17,95 |
20,20 |
24,94 |
23,14 |
|
2 |
Máy tính xách tay0,04 kw |
cái |
5 |
1 |
17,95 |
20,20 |
24,94 |
23,14 |
|
3 |
Máy khoan đục |
cái |
5 |
1 |
|
24,94 |
23,14 |
|
|
4 |
Máy phát điện |
cái |
8 |
1 |
|
24,94 |
23,14 |
|
III.3. Định mức dụng cụ lao động: ca/100 m3
Mức hao mòn dụng cụ được quy định tại Bảng số 18 tính cho đất đá cấp VII của hào có khoảng sâu từ 0 đến 2 m. Đối với các điều kiện thi công khác, được điều chỉnh theo hệ số quy định tại Bảng số 08 và Bảng số 21.
Bảng số 18
|
TT |
Tên dụng cụ |
ĐVT |
Thời hạn (tháng) |
Số lượng |
Mức |
|
|
Thủ công, có sử dụng máy khoan đập |
Thủ công có sử dụng chất nổ |
|||||
|
1 |
Ba lô |
cái |
24 |
3 |
124,68 |
115,68 |
|
2 |
Búa địa chất |
cái |
24 |
1 |
24,94 |
23,14 |
|
3 |
Búa tạ 5 kg |
cái |
24 |
1 |
24,94 |
23,14 |
|
4 |
Choòng đục mẫu |
cái |
24 |
1 |
24,94 |
23,14 |
|
5 |
Cuốc chim |
cái |
24 |
1 |
24,94 |
23,14 |
|
6 |
Chuột máy tính |
cái |
12 |
1 |
24,94 |
23,14 |
|
7 |
Cưa gỗ |
cái |
12 |
1 |
24,94 |
23,14 |
|
8 |
Dao rựa |
cái |
12 |
1 |
24,94 |
23,14 |
|
9 |
Dao gấp |
cái |
12 |
1 |
24,94 |
23,14 |
|
10 |
Dao nhíp |
cái |
12 |
1 |
24,94 |
23,14 |
|
11 |
Dao phát cây |
cái |
12 |
2 |
49,87 |
46,27 |
|
12 |
Địa bàn địa chất |
cái |
36 |
1 |
24,94 |
23,14 |
|
13 |
Găng tay BHLĐ |
đôi |
6 |
5 |
124,68 |
115,68 |
|
14 |
Giầy BHLĐ |
đôi |
6 |
5 |
124,68 |
115,68 |
|
15 |
Hòm tôn đựng dụng cụ |
cái |
60 |
5 |
24,94 |
23,14 |
|
16 |
Hòm tôn đựng tài liệu |
cái |
60 |
1 |
24,94 |
23,14 |
|
17 |
Khoá hòm |
cái |
36 |
2 |
49,87 |
46,27 |
|
18 |
Kính BHLĐ |
cái |
12 |
5 |
124,68 |
115,68 |
|
19 |
Kính lúp |
cái |
60 |
1 |
24,94 |
23,14 |
|
20 |
Máy ảnh kỹ thuật số |
cái |
60 |
1 |
24,94 |
23,14 |
|
21 |
Mũ BHLĐ |
cái |
12 |
5 |
124,68 |
115,68 |
|
22 |
Ổ cắm điện |
cái |
12 |
1 |
24,94 |
23,14 |
|
23 |
Ổ cứng ghi ngoài |
cái |
24 |
1 |
24,94 |
23,14 |
|
24 |
Ống đựng bản vẽ |
cái |
24 |
1 |
24,94 |
23,14 |
|
25 |
Quần áo mưa BHLĐ |
bộ |
9 |
5 |
124,68 |
115,68 |
|
26 |
Quần áo BHLĐ |
bộ |
9 |
5 |
124,68 |
115,68 |
|
27 |
Xô nhựa 10 lít |
cái |
12 |
1 |
24,94 |
23,14 |
|
28 |
Tất chống vắt |
đôi |
6 |
5 |
124,68 |
115,68 |
|
29 |
Thước cuộn vải 50 m |
cái |
12 |
1 |
24,94 |
23,14 |
|
30 |
Thước nhựa 30 cm |
cái |
36 |
1 |
24,94 |
23,14 |
|
31 |
Thước thép cuộn 3 m |
cái |
24 |
1 |
24,94 |
23,14 |
|
32 |
Xắc cốt đựng tài liệu |
cái |
24 |
1 |
24,94 |
23,14 |
|
33 |
Xà beng |
cái |
24 |
1 |
24,94 |
23,14 |
|
34 |
Xẻng |
cái |
24 |
1 |
24,94 |
23,14 |
III.4. Định mức tiêu hao vật liệu: tính cho 100 m3
Mức tiêu hao vật liệu được quy định tại Bảng số 19 được tính chung cho tất cả các cấp đất đá, hào có khoảng chiều sâu từ 0 đến 2 m. Đối với hào thi công với khoảng chiều sâu khác, được điều chỉnh theo hệ số quy định tại Bảng số 21.
Bảng số 19
|
TT |
Tên vật liệu |
ĐVT |
Mức tiêu hao |
|||
|
Thủ công, có sử dụng |
Thủ công có sử dụng chất nổ |
|||||
|
máy |
khoan đập |
|||||
|
Khoảng sâu hào |
0 - 2m |
0-4m, 0-6m và 0-8m |
0 - 2m |
0 - 4m,0 - 6m và0 - 8m |
||
|
1 |
Băng dính to |
cuộn |
10 |
10 |
10 |
10 |
|
Khoảng sâu hào |
0 - 2m |
0-4m, 0-6m và 0-8m |
0 - 2m |
0 - 4m,0 - 6m và0 - 8m |
||
|
2 |
Bìa đóng sổ |
tờ |
10 |
10 |
10 |
10 |
|
3 |
Bút bi |
cái |
10 |
10 |
10 |
10 |
|
4 |
Bút chì kim |
cái |
10 |
10 |
10 |
10 |
|
5 |
Bút xóa |
cái |
10 |
10 |
10 |
10 |
|
6 |
Giấy A4 |
ram |
0,2 |
0,2 |
0,2 |
0,2 |
|
7 |
Giấy ôly |
tờ |
10 |
10 |
10 |
10 |
|
8 |
Ruột chì kim |
hộp |
10 |
10 |
10 |
10 |
|
9 |
Tẩy |
cái |
10 |
10 |
10 |
10 |
|
10 |
Túi Clear |
tờ |
10 |
10 |
10 |
10 |
|
11 |
Gỗ chống ø 10 - 15 cm |
m3 |
|
9,56 |
|
9,56 |
|
12 |
Đinh đỉa 10 - 15 cm |
cái |
|
1.000 |
|
1.000 |
|
13 |
Dây cháy chậm |
m |
|
|
207 |
207 |
|
14 |
Kíp nổ |
cái |
|
|
172 |
172 |
|
15 |
Thuốc nổ |
kg |
|
|
67 |
67 |
III.5. Định mức tiêu hao nhiên liệu: tính cho 100 m3
Mức tiêu hao nhiên liệu được quy định tại Bảng số 20 tính cho đất đá cấp VII của hào có khoảng sâu từ 0 đến 2,0 m. Đối với các điều kiện thi công khác, được điều chỉnh theo hệ số quy định tại Bảng số 08 và Bảng số 21.
Bảng số 20
|
TT |
Tên nhiên liệu |
ĐVT |
Mức tiêu hao |
|
|
Thủ công, có sử dụng máy khoan đập |
Thủ công có sử dụng chất nổ |
|||
|
1 |
Xăng |
lít |
731,43 |
719,55 |
Hệ số sử dụng thiết bị, dụng cụ và nhiên liệu theo khoảng sâu hào được quy định tại Bảng số 21.
Bảng số 21
|
TT |
Khoảng sâu hào (m) |
Hệ số |
|
1 |
0 - 2 |
1,00 |
|
2 |
0 - 4 |
1,05 |
|
3 |
0 - 6 |
1,10 |
|
4 |
0 - 8 |
1,15 |
IV. Thi công công trình giếng
IV.1. Định mức lao động
IV.1.1. Nội dung công việc
- Chuẩn bị kế hoạch và tiến độ thi công;
- Lập bản vẽ thiết kế trước khi thi công đối với công trình giếng sâu;
- Vận chuyển vật tư, dụng cụ từ địa điểm tập kết đến công trình trong thời gian thi công;
- Chuẩn bị mặt bằng thi công, san gạt nền mặt giếng, đưa vị trí thi công vào trạng thái an toàn;
- Làm đường lên xuống công trình bảo đảm an toàn khi di chuyển, làm việc;
- Chuẩn bị dụng cụ cho thi công;
- Vận chuyển gỗ, vận chuyển gỗ từ nơi tập kết đến công trình, chặt vì gỗ và chống chèn;
- Chặt vì gỗ và chống chèn công trình;
- Giám sát kỹ thuật, hướng dẫn công nhân thực hiện nhiệm vụ;
- Làm thủ tục xin cấp giấy phép sử dụng chất nổ (nếu phải nổ mìn);
- Đào xúc đất đá không sử dụng chất nổ, làm tơi đất đá bằng cuốc chim hoặc bằng máy khoan đục, xúc đất đá hất lên miệng giếng (với độ sâu dưới 2m), hoặc đổ vào thùng chứa dùng tời kéo lên miệng (đối với độ sâu trên 2 m), đưa đất đá lên bằng tời quay tay, làm sạch và sửa vách giếng;
- Đối với việc thi công có sử dụng chất nổ, làm tơi đất đá bằng nổ mìn, đục lỗ mìn, nạp thuốc nổ, làm sạch lỗ mìn, nạp thuốc nổ và các vật liệu nổ, bắn mìn, kiểm tra an toàn sau khi nổ mìn sau đó hất đất đá lên trên miệng;
- Mô tả đặc điểm thành phần đất đá, các đặc điểm địa chất, khoáng sản, vẽ thiết đồ;
- Hoàn thiện tài liệu địa chất: nhật ký thi công, bản mô tả, bản vẽ công trình (bản vẽ nguyên thủy và bản vẽ tổng hợp);
- Lấy mẫu, mô tả mẫu, ghi chép sổ sách, ghi nhãn mẫu, xếp mẫu vào thùng mẫu, bảo quản đóng gói mẫu và vận chuyển mẫu về nơi tập kết (trong phạm vi ≤ 10 km);
- Chụp ảnh trước, trong và sau khi đào giếng (các ảnh phải có thước đo hoặc vật chuẩn thể hiện kích thước đối tượng quan tâm);
- Xử lý thông gió, chống ngạt, hệ thống chiếu sáng, tháo khô công trình trong thời gian thi công;
- Bảo quản vật tư, chất nổ tại vùng đề án đối với các công trình phải sử dụng chất nổ;
- Sửa chữa dụng cụ làm việc, sửa chữa nhỏ thiết bị bơm, thông gió và các thiết bị phục vụ khác;
- Che chắn bảo vệ tại công trình;
- Nghiệm thu công việc và thu dọn dụng cụ, bàn giao và di chuyển công trình ≤ 10km.
* Điều kiện thực hiện
- Lựa chọn phương án thi công phù hợp với điều kiện thực tế thi công đảm bảo an toàn, tiết kiệm và bảo vệ môi trường;
- Thi công trong đất đá cấp I - IV bằng phương pháp thủ công;
- Sử dụng máy khoan đập hoặc mìn để phá đất đá theo cấp đất đá từ cấp V trở lên;
- Kích thước công trình giếng được quy định tại Bảng số 22.
Bảng số 22
|
Loại giếng |
Độ sâu (m) |
Kích thước đào (m) |
Tiết diện đào (m2) |
Kích thước sau chống (m) |
Tiết diện sau chống (m2) |
Mặt bằng nền (m2) |
|
Giếng nông |
0-10 |
1,2-1,4 |
1,68 |
|
|
24,0 |
|
Giếng nông |
0-10 |
1,4-1,4 |
1,96 |
|
|
24,0 |
|
Giếng sâu |
10-30 |
2,0x1,4 |
2,80 |
1,8x1,2 |
2,16 |
24,0 |
|
Giếng sâu |
30-60 |
2,4x1,8 |
4,32 |
2,2x1,6 |
3,52 |
30,0 |
- Trong quá trình thi công giếng phải đảm bảo đoạn chưa chống trong giếng không quá 2,0 m. Đối với giếng sa khoáng từ 0,2 m đến 0,4 m;
- Thi công trong đất đá ổn định, khô ráo, không sạt lở áp dụng phương pháp chống đơn (chống trụ) với khoảng cách các vì chống 0,5 m; từ 2 m - 2,5 m có 1 vì chính, khoảng cách chèn 0-1,5-2 m;
- Thi công trong đất đá không đồng nhất, mềm rắn xen kẽ nhau áp dụng phương pháp chống phối hợp (chống liền vì);
- Khi thi công giếng có nước xuất lộ phải thực hiện công tác thoát nước;
- Để đảm bảo an toàn cho người lao động, công tác thông gió được thực hiện tại tất cả các công trình giếng;
- Đối với giếng nông (đến 10 m), chiếu sáng bằng ánh sáng tự nhiên. Đối với giếng sâu trên 10 m, chiếu sáng bằng nguồn sáng nhân tạo;
- Đối với giếng sa khoáng, đất đá bở rời dễ sập lở và có lượng nước chảy vào giếng ≥ 0,3 m3/h áp dụng phương pháp chống liền vì, chiều sâu tối đa của giếng sa khoáng là 30 m. Đất đá cấp I-III và cấp IV được chuyển lên đổ thành từng đống ở chỗ dọn sạch trên miệng giếng;
- Đất đá đào từ giếng lên phải đổ cách mép giếng tối thiểu là 3,0 m và đảm bảo an toàn;
* Những công việc chưa có trong định mức
- Vận chuyển mẫu từ nơi tập kết về đơn vị;
- Di chuyển công trình > 10 km;
- Chi phí vận chuyển vật liệu nổ từ nơi cung cấp đến nơi sử dụng, chi phí làm kho chứa vật liệu nổ và chi phí nhân công cho bảo vệ kho mìn và thủ kho nhập, xuất vật liệu nổ hàng ngày khi thi công công trình có sử dụng vật liệu nổ;
- Chuyển quân, vật tư từ đơn vị đến địa điểm tập kết thi công đề án và ngược lại.
IV.1.2. Phân loại khó khăn
Phân loại khó khăn được quy định tại Phụ lục I và Phụ lục II.
IV.1.3. Định biên
Bảng số 23
|
Loại lao động Hạng mục |
ĐTV.III bậc 4/9 |
CN7 (N2) |
CN6 (N2) |
CN4 (N2) |
CN3 (N2) |
Nhóm |
|
Thi công công trình giếng |
1 |
1 |
1 |
1 |
2 |
6 |
IV.1.4. Định mức: công nhóm/100 m
a) Thi công công trình giếng bằng phương pháp thủ công, có sử dụng máy khoan đập làm tơi đất đá, định mức thời gian được quy định tại Bảng số 24.
Bảng số 24
|
TDG (m2) |
PPC |
CSG (m) |
Thủ công |
Thủ công, có sử dụng máy khoan đập |
||||||
|
I-III |
IV |
V |
VI |
VII |
VIII |
IX |
X |
|||
|
1,68 |
Chống trụ |
0-5 |
43,61 |
51,73 |
52,78 |
57,05 |
70,00 |
91,00 |
176,54 |
199,08 |
|
0-10 |
45,79 |
54,32 |
55,42 |
59,90 |
73,50 |
95,55 |
185,37 |
209,03 |
||
|
Chống liền vì |
0-5 |
65,42 |
77,60 |
79,17 |
85,58 |
105,00 |
136,50 |
264,81 |
298,62 |
|
|
0-10 |
68,69 |
81,47 |
83,13 |
89,85 |
110,25 |
143,33 |
278,05 |
313,55 |
||
|
1,96 |
Chống trụ |
0-5 |
50,89 |
60,37 |
61,59 |
66,58 |
81,69 |
106,20 |
206,02 |
232,33 |
|
0-10 |
53,44 |
63,39 |
64,67 |
69,91 |
85,77 |
111,51 |
216,32 |
243,94 |
||
|
Chống liền vì |
0-5 |
76,34 |
90,55 |
92,39 |
99,87 |
122,54 |
159,30 |
309,03 |
348,49 |
|
|
0-10 |
80,16 |
95,08 |
97,01 |
104,86 |
128,66 |
167,26 |
324,48 |
365,91 |
||
|
2,80 |
Chống trụ |
0-15 |
80,15 |
95,07 |
97,00 |
104,85 |
128,65 |
167,25 |
324,46 |
365,88 |
|
0-20 |
84,16 |
99,83 |
101,85 |
110,09 |
135,08 |
175,61 |
340,68 |
384,18 |
||
|
0-25 |
88,36 |
104,82 |
106,95 |
115,60 |
141,84 |
184,39 |
357,71 |
403,39 |
||
|
0-30 |
92,78 |
110,06 |
112,29 |
121,38 |
148,93 |
193,61 |
375,60 |
423,55 |
||
|
Chống liền vì |
0-15 |
120,22 |
142,61 |
145,50 |
157,28 |
192,98 |
250,87 |
486,69 |
548,82 |
|
|
0-20 |
126,24 |
149,74 |
152,78 |
165,14 |
202,62 |
263,41 |
511,02 |
576,27 |
||
|
0-25 |
132,55 |
157,23 |
160,42 |
173,40 |
212,76 |
276,58 |
536,57 |
605,08 |
||
|
0-30 |
139,17 |
165,09 |
168,44 |
182,07 |
223,39 |
290,41 |
563,40 |
635,33 |
||
|
4,32 |
Chống trụ |
0-15 |
123,61 |
146,63 |
149,61 |
161,71 |
198,42 |
257,94 |
500,41 |
564,30 |
|
0-20 |
129,79 |
153,96 |
157,09 |
169,80 |
208,34 |
270,84 |
525,43 |
592,51 |
||
|
0-25 |
136,28 |
161,66 |
164,94 |
178,29 |
218,75 |
284,38 |
551,70 |
622,14 |
||
|
0-30 |
143,10 |
169,74 |
173,19 |
187,20 |
229,69 |
298,60 |
579,28 |
653,25 |
||
|
0-35 |
150,25 |
178,23 |
181,85 |
196,56 |
241,18 |
313,53 |
608,25 |
685,91 |
||
|
0-40 |
157,77 |
187,14 |
190,94 |
206,39 |
253,24 |
329,21 |
638,66 |
720,20 |
||
|
0-45 |
165,65 |
196,50 |
200,49 |
216,71 |
265,90 |
345,67 |
670,59 |
756,21 |
||
|
0-50 |
173,94 |
206,32 |
210,51 |
227,54 |
279,19 |
362,95 |
704,12 |
794,02 |
||
|
0-55 |
182,63 |
216,64 |
221,04 |
238,92 |
293,15 |
381,10 |
739,33 |
833,72 |
||
|
0-60 |
191,77 |
227,47 |
232,09 |
250,86 |
307,81 |
400,15 |
776,30 |
875,41 |
||
b) Thi công công trình giếng bằng phương pháp thủ công có sử dụng chất nổ để phá đá, định mức thời gian được quy định tại Bảng số 25.
Bảng số 25
|
TDG (m2) |
PPC |
CSG (m) |
Có sử dụng mìn phá đá |
|||||
|
V |
VI |
VII |
VIII |
IX |
X |
|||
|
1,68 |
Chống trụ |
0-5 |
48,63 |
52,57 |
64,50 |
83,85 |
162,67 |
183,44 |
|
0-10 |
51,06 |
55,20 |
67,73 |
88,04 |
170,80 |
192,61 |
||
|
Chống liền vì |
0-5 |
79,17 |
85,58 |
105,00 |
136,50 |
264,81 |
298,62 |
|
|
0-10 |
83,13 |
89,85 |
110,25 |
143,33 |
278,05 |
313,55 |
||
|
1,96 |
Chống trụ |
0-5 |
56,75 |
61,35 |
75,27 |
97,85 |
189,83 |
214,07 |
|
0-10 |
59,59 |
64,41 |
79,04 |
102,75 |
199,33 |
224,78 |
||
|
Chống liền vì |
0-5 |
92,39 |
99,87 |
122,54 |
159,30 |
309,03 |
348,49 |
|
|
0-10 |
97,01 |
104,86 |
128,66 |
167,26 |
324,48 |
365,91 |
||
|
2,80 |
Chống trụ |
0-15 |
89,38 |
96,61 |
118,54 |
154,11 |
298,96 |
337,13 |
|
0-20 |
93,85 |
101,44 |
124,47 |
161,81 |
313,91 |
353,99 |
||
|
0-25 |
98,54 |
106,51 |
130,69 |
169,90 |
329,61 |
371,69 |
||
|
0-30 |
103,47 |
111,84 |
137,23 |
178,40 |
346,09 |
390,28 |
||
|
Chống liền vì |
0-15 |
145,50 |
157,28 |
192,98 |
250,87 |
486,69 |
548,82 |
|
|
0-20 |
152,78 |
165,14 |
202,62 |
263,41 |
511,02 |
576,27 |
||
|
0-25 |
160,42 |
173,40 |
212,76 |
276,58 |
536,57 |
605,08 |
||
|
0-30 |
168,44 |
182,07 |
223,39 |
290,41 |
563,40 |
635,33 |
||
|
4,32 |
Chống trụ |
0-15 |
137,85 |
149,00 |
182,83 |
237,68 |
461,09 |
519,96 |
|
0-20 |
144,74 |
156,45 |
191,97 |
249,56 |
484,14 |
545,96 |
||
|
0-25 |
151,98 |
164,28 |
201,57 |
262,04 |
508,35 |
573,26 |
||
|
0-30 |
159,58 |
172,49 |
211,65 |
275,14 |
533,77 |
601,92 |
||
|
0-35 |
167,56 |
181,12 |
222,23 |
288,90 |
560,46 |
632,01 |
||
|
0-40 |
175,94 |
190,17 |
233,34 |
303,34 |
588,48 |
663,62 |
||
|
0-45 |
184,73 |
199,68 |
245,01 |
318,51 |
617,90 |
696,80 |
||
|
0-50 |
193,97 |
209,66 |
257,26 |
334,43 |
648,80 |
731,64 |
||
|
0-55 |
203,67 |
220,15 |
270,12 |
351,15 |
681,24 |
768,22 |
||
|
0-60 |
213,85 |
231,15 |
283,62 |
368,71 |
715,30 |
806,63 |
||
* Ghi chú:
- Khi thi công trong điều kiện đất sét dẻo quánh hay dính chặt cuốc, xẻng, ở vùng rừng núi hẻo lánh, đảo xa, điều kiện giao thông khó khăn, khí hậu khắc nghiệt thì định mức được điều chỉnh với các hệ số k=1,15;
- Thi công giếng có lượng nước:
+ Dạng giọt và dòng chảy đến 1,2 m3/h: hệ số 1,11;
+ Dạng dòng chảy từ 1,3 đến 2,0 m3/h: hệ số 1,25;
+ Chảy thành dòng lớn > 2,0 m3/h: hệ số 1,35;
- Thi công giếng có nguy hiểm về khí nổ và hơi độc: hệ số 1,05;
- Công trình khó đục lỗ mìn do ngập nước: hệ số 1,25;
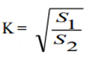
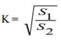
- Khi thi công tiết diện giếng khác với tiết diện ghi trong bảng định mức thì hệ số định mức sẽ được tính như sau:

Trong đó:
S1 - Tiết diện giếng thi công thực tế;
S2 - Tiết diện giếng ghi trong bảng định mức.
- Công việc phải ngừng nghỉ do thời tiết quy định tại Phụ lục II, định mức công tác thi công công trình giếng được điều chỉnh theo các hệ số quy định tại Bảng số 01;
- Đối với giếng sa khoáng được điều chỉnh theo hệ số k = 2,84.
IV.2. Định mức sử dụng máy móc, thiết bị: ca/100 m
Mức khấu hao thiết bị được quy định tại Bảng số 26 tính cho đất đá cấp I-III, cấp IV và VII của giếng có tiết diện 1,68m2; phương pháp chống trụ; chiều sâu giếng từ 0 đến 5,0 m. Đối với các điều kiện thi công khác, được điều chỉnh theo hệ số quy định tại Bảng số 32, Bảng số 33, Bảng số 34 và Bảng số 35.
Bảng số 26
|
TT |
Tên thiết bị |
ĐVT |
Thời hạn (năm) |
Số lượng |
Mức |
|||
|
Thủ công, có sử dụng máy khoan đập |
Thủ công có sử dụng chất nổ |
|||||||
|
Đất đá cấp |
I-III |
IV |
VII |
VII |
||||
|
1 |
Định vị vệ tinh (GPS) cầm tay |
bộ |
10 |
1 |
39,29 |
46,60 |
63,06 |
58,11 |
|
2 |
Máy tính xách tay 0,04 kw |
cái |
5 |
1 |
39,29 |
46,60 |
63,06 |
58,11 |
|
3 |
Máy khoan đục |
cái |
5 |
1 |
|
|
63,06 |
58,11 |
|
4 |
Máy phát điện |
cái |
8 |
1 |
|
|
63,06 |
58,11 |
IV.3. Định mức dụng cụ lao động: ca/100 m
Mức hao mòn dụng cụ được quy định tại Bảng số 27 tính cho đất đá cấp VII của giếng có tiết diện 1,68 m2, phương pháp chống trụ, chiều sâu giếng từ 0 đến 5,0 m. Đối với các điều kiện thi công khác được điều chỉnh theo hệ số quy định tại Bảng số 32, Bảng số 33, Bảng số 34 và Bảng số 35.
Bảng số 27
|
TT |
Tên dụng cụ |
ĐVT |
Thời hạn (tháng) |
Số lượng |
Mức |
|
|
Có sử dụng máy khoan đập |
Thủ công có sử dụng chất nổ |
|||||
|
Đất đá cấp |
VII |
VII |
||||
|
1 |
Ba lô |
cái |
24 |
6 |
378,38 |
348,65 |
|
2 |
Búa địa chất |
cái |
24 |
1 |
63,06 |
58,11 |
|
3 |
Búa tạ 5 kg |
cái |
24 |
1 |
63,06 |
58,11 |
|
4 |
Cà lê dẹt |
bộ |
36 |
1 |
63,06 |
58,11 |
|
5 |
Choòng đục mẫu |
cái |
24 |
1 |
63,06 |
58,11 |
|
6 |
Cuốc chim |
cái |
24 |
1 |
63,06 |
58,11 |
|
7 |
Chuột máy tính |
cái |
12 |
1 |
63,06 |
58,11 |
|
8 |
Cưa gỗ |
cái |
12 |
1 |
63,06 |
58,11 |
|
9 |
Dao rựa |
cái |
12 |
1 |
63,06 |
58,11 |
|
10 |
Dao gấp |
cái |
12 |
1 |
63,06 |
58,11 |
|
11 |
Dao nhíp |
cái |
12 |
1 |
63,06 |
58,11 |
|
12 |
Dao phát cây |
cái |
12 |
2 |
126,13 |
116,22 |
|
13 |
Địa bàn địa chất |
cái |
36 |
1 |
63,06 |
58,11 |
|
14 |
Găng tay BHLĐ |
đôi |
6 |
6 |
378,38 |
348,65 |
|
15 |
Giầy BHLĐ |
đôi |
6 |
6 |
378,38 |
348,65 |
|
16 |
Hòm tôn đựng dụng cụ |
cái |
60 |
1 |
63,06 |
58,11 |
|
17 |
Hòm tôn đựng tài liệu |
cái |
60 |
1 |
63,06 |
58,11 |
|
18 |
Kìm |
cái |
36 |
1 |
63,06 |
58,11 |
|
19 |
Khoá hòm |
cái |
36 |
2 |
126,13 |
116,22 |
|
20 |
Kính BHLĐ |
cái |
12 |
6 |
378,38 |
348,65 |
|
21 |
Kính lúp |
cái |
60 |
1 |
63,06 |
58,11 |
|
22 |
Máy ảnh kỹ thuật số |
cái |
60 |
1 |
63,06 |
58,11 |
|
23 |
Máy bơm nước |
cái |
36 |
1 |
63,06 |
58,11 |
|
24 |
Mũ BHLĐ |
cái |
36 |
6 |
378,38 |
348,65 |
|
25 |
Ổ cắm điện |
cái |
12 |
1 |
63,06 |
58,11 |
|
26 |
Ổ cứng ghi ngoài |
cái |
60 |
1 |
63,06 |
58,11 |
|
27 |
Ống đựng bản vẽ |
cái |
60 |
1 |
63,06 |
58,11 |
|
28 |
Ống dẫn gió 30 m |
cuộn |
48 |
1 |
63,06 |
58,11 |
|
29 |
Ống dẫn nước 30 m |
cuộn |
12 |
1 |
63,06 |
58,11 |
|
30 |
Quần áo mưa BHLĐ |
bộ |
12 |
5 |
315,32 |
290,54 |
|
31 |
Quần áo BHLĐ |
bộ |
24 |
5 |
315,32 |
290,54 |
|
32 |
Quạt thông gió |
cái |
24 |
1 |
63,06 |
58,11 |
|
33 |
Xô nhựa 10 lít |
cái |
12 |
1 |
63,06 |
58,11 |
|
34 |
Tất chống vắt |
cái |
12 |
6 |
378,38 |
348,65 |
|
35 |
Thước cuộn vải 50 m |
cái |
9 |
1 |
63,06 |
58,11 |
|
36 |
Thước nhựa 30 cm |
cái |
9 |
1 |
63,06 |
58,11 |
|
37 |
Thước thép cuộn 3 m |
cái |
36 |
1 |
63,06 |
58,11 |
|
38 |
Tời quay tay |
cái |
12 |
1 |
63,06 |
58,11 |
|
39 |
Xắc cốt đựng tài liệu |
cái |
6 |
1 |
63,06 |
58,11 |
|
40 |
Xà beng |
cái |
12 |
1 |
63,06 |
58,11 |
|
41 |
Xẻng |
cái |
36 |
1 |
63,06 |
58,11 |
IV.4. Định mức tiêu hao vật liệu: tính cho 100 m
a) Giếng không có chiếu sáng
Mức tiêu hao vật liệu được quy định tại Bảng số 28 được tính chung cho tất cả các cấp đất đá và chiều sâu giếng từ 0 đến 5,0 m, tiết diện giếng 1,68 m2, phương pháp chống trụ. Đối với các điều kiện thi công khác được điều chỉnh theo hệ số quy định tại Bảng số 33, Bảng số 34 và Bảng số 35.
Bảng số 28
|
TT |
Tên vật liệu |
ĐVT |
Mức tiêu hao |
|
|
Thủ công, có sử dụng máy khoan đập |
Thủ công có sử dụng chất nổ |
|||
|
1 |
Băng dính to |
cuộn |
10 |
10 |
|
2 |
Bìa đóng sổ |
tờ |
10 |
10 |
|
3 |
Bút bi |
cái |
10 |
10 |
|
4 |
Bút chì kim |
cái |
10 |
10 |
|
5 |
Bút xóa |
cái |
10 |
10 |
|
6 |
Cáp thép F 6 - 9cm |
m |
15 |
15 |
|
7 |
Giấy A4 |
ram |
0,2 |
0,2 |
|
8 |
Giấy ô ly |
tờ |
10 |
10 |
|
9 |
Ruột chì kim |
hộp |
10 |
10 |
|
10 |
Tẩy |
cái |
10 |
10 |
|
11 |
Túi Clear |
cái |
10 |
10 |
|
12 |
Gỗ chống ϕ 10 - 15cm |
m3 |
20 |
20 |
|
13 |
Đinh đỉa 10 - 15 cm |
cái |
1200 |
1200 |
|
14 |
Dây cháy chậm |
m |
|
529 |
|
15 |
Kíp nổ |
cái |
|
441 |
|
16 |
Thuốc nổ |
kg |
|
128 |
b) Giếng sâu có chiếu sáng
Mức tiêu hao vật liệu được quy định tại Bảng số 29 được tính chung cho tất cả các cấp đất đá và chiều sâu giếng từ 0 đến 5,0 m; tiết diện giếng 1,68 m2; phương pháp chống trụ. Đối với các điều kiện thi công khác được điều chỉnh theo hệ số quy định tại Bảng số 33, Bảng số 34 và Bảng số 35.
Bảng số 29
|
TT |
Tên vật liệu |
ĐVT |
Mức tiêu hao |
|
|
Thủ công, có sử dụng máy khoan đập |
Thủ công có sử dụng chất nổ |
|||
|
1 |
Băng dính to |
cuộn |
10 |
10 |
|
2 |
Bìa đóng sổ |
tờ |
10 |
10 |
|
3 |
Bút bi |
cái |
10 |
10 |
|
4 |
Bút chì kim |
cái |
10 |
10 |
|
5 |
Bút xóa |
cái |
10 |
10 |
|
6 |
Bóng đèn tròn 100 W |
cái |
10 |
10 |
|
7 |
Cáp thép F 6 - 9 cm |
m |
15 |
15 |
|
8 |
Dây điện đôi |
m |
60 |
60 |
|
9 |
Giấy A4 |
ram |
0,2 |
0,2 |
|
10 |
Giấy ô ly |
tờ |
10 |
10 |
|
11 |
Ruột chì kim |
hộp |
10 |
10 |
|
12 |
Tẩy |
cái |
10 |
10 |
|
13 |
Túi Clear |
cái |
10 |
10 |
|
14 |
Gỗ chống ϕ 10 - 15 cm |
m3 |
35 |
35 |
|
15 |
Đinh đỉa 10 - 15 cm |
cái |
1200 |
1200 |
|
16 |
Dây cháy chậm |
m |
|
716 |
|
17 |
Kíp nổ |
cái |
|
597 |
|
18 |
Thuốc nổ |
kg |
|
192 |
IV.5. Định mức tiêu hao nhiên liệu: tính cho 100 m
a) Giếng không có chiếu sáng
Mức tiêu hao nhiên liệu được quy định tại Bảng số 30 tính cho đất đá cấp VII, chiều sâu giếng từ 0 đến 5,0 m, tiết diện giếng 1,68 m2, phương pháp chống trụ, chiều sâu giếng từ 0 đến 5,0 m. Đối với các điều kiện thi công khác được điều chỉnh theo hệ số quy định tại Bảng số 32, Bảng số 33, Bảng số 34 và Bảng số 35.
Bảng số 30
|
TT |
Tên nhiên liệu |
ĐVT |
Mức tiêu hao |
|
|
Thủ công, có sử dụng máy khoan đập |
Thủ công có sử dụng chất nổ |
|||
|
1 |
Xăng |
lít |
1.702,70 |
1.568,92 |
b) Giếng có chiếu sáng
Mức tiêu hao nhiên liệu được quy định tại Bảng số 31 tính cho đất đá cấp VII, chiều sâu giếng từ 0 đến 5,0 m, tiết diện giếng 1,68m2; phương pháp chống trụ, chiều sâu giếng từ 0 đến 5,0 m. Đối với các điều kiện thi công khác được điều chỉnh theo hệ số quy định tại Bảng số 32, Bảng số 33, Bảng số 34 và Bảng số 35.
Bảng số 31
|
TT |
Tên nhiên liệu |
ĐVT |
Mức tiêu hao |
|
|
Thủ công, có sử dụng máy khoan đập |
Thủ công có sử dụng chất nổ |
|||
|
1 |
Xăng |
lít |
1891,89 |
1743,24 |
Hệ số mức sử dụng thiết bị, dụng cụ và nhiên liệu theo cấp đất đá được quy định tại Bảng số 32.
Bảng số 32
|
Cấp đất đá |
I-III |
IV |
V |
VI |
VII |
VIII |
IX |
X |
|
Hệ số |
0,623 |
0,739 |
0,754 |
0,815 |
1,00 |
1,300 |
2,522 |
2,844 |
Hệ số mức sử dụng thiết bị, dụng cụ và nhiên liệu theo phương pháp chống được quy định Bảng số 33.
Bảng số 33
|
STT |
PPC |
Hệ số |
|
1 |
Chống trụ |
1,00 |
|
2 |
Chống liền vì |
1,05 |
Hệ số mức sử dụng thiết bị, dụng cụ và nhiên liệu theo chiều sâu giếng được quy định Bảng số 34.
Bảng số 34
|
STT |
CSG (m) |
Hệ số |
|
1 |
Từ 0 đến 5,0 m |
1,00 |
|
2 |
Tăng chiều sâu lấy mẫu thêm 5m |
+0,05 |
Hệ số mức sử dụng thiết bị, dụng cụ và nhiên liệu theo tiết diện giếng được quy định Bảng số 35.
Bảng số 35
|
STT |
TDG (m2) |
Hệ số |
|
1 |
1,68 |
1,000 |
|
2 |
1,96 |
1,167 |
|
3 |
2,80 |
1,667 |
|
4 |
4,32 |
2,571 |
V. Thi công công trình lò
V.1. Định mức lao động
V.1.1. Nội dung công việc
- Chuẩn bị kế hoạch và tiến độ thi công;
- Lập bản vẽ thiết kế trước khi thi công;
- Vận chuyển vật tư, vật liệu và các nguồn năng lượng, dụng cụ, máy móc, thiết bị từ địa điểm tập kết đến công trình trong thời gian thi công;
- Triển khai lắp đặt, cho kiểm tra chạy thử các thiết bị, đảm bảo vận hành tốt trước khi thi công;
- Làm thủ tục xin cấp giấy phép sử dụng chất nổ (nếu phải nổ mìn);
- Làm đường lên xuống công trình bảo đảm an toàn khi di chuyển, làm việc;
- Vận chuyển gỗ, vận chuyển gỗ từ nơi tập kết đến công trình, chặt vì gỗ và chống chèn;
- Chặt vì gỗ và chống chèn công trình;
- Phá vỡ đất đá cửa lò; xúc và vận chuyển đất đá đổ vào nơi quy định; làm sạch và san bằng cửa lò; tạo rãnh thoát nước; lấy hướng đường trục lò theo thiết kế để tạo gương lò; chống chèn cửa lò.
- Giám sát kỹ thuật, hướng dẫn công nhân thực hiện nhiệm vụ;
- Xác định tim lò, cos cao;
- Thi công bắt mép đường lò: khoan nổ mìn gương; cậy om nóc triệt để, chống chèn gương lò và thi công các sườn taluy nóc và hai bên hông lò theo thiết kế; xúc bốc và vận chuyển đất đá; chuẩn bị thông gió, đo khí đưa gương về trạng thái an toàn;
- Công tác đào chống lò:
+ Công tác phá vỡ đá: với đất đá mềm từ cấp I - IV phá vỡ đất đá bằng cuốc chim và không nổ mìn; với đất đá cứng từ cấp V - X phá vỡ đất đá bằng nổ mìn; thi công lò cơ khí khoan lỗ mìn bằng búa khoan hơi ép; sau đó nạp và nổ mìn bằng dây cháy chậm hay bằng mìn điện; tính toán chỉ tiêu khoan nổ mìn;
+ Công tác cạy đá om nóc, hông lò, chống chèn tạm;
+ Công tác xúc bốc và vận chuyển đất đá: dùng xẻng xúc đất đá lên phương tiện vận chuyển (xe cút kít hoặc xe goòng), đẩy ra ngoài, đổ đất đá ra bãi thải, đẩy xe goòng hoặc xe cút kít không tải vào gương lò;
+ Chống, chèn ở lò: chặt vì, bổ chèn, đưa gỗ vào chỗ chống, đào lỗ chân cột, sửa nóc, sửa thành, lấy đúng hướng đi của lò, lắp vì chống chèn chắc chắn, dọn dẹp gỗ thừa và đất đá rời đưa ra khỏi lò.
- Công tác thông gió: gió sạch được đưa tới vị trí thi công nhờ hệ thống thông gió cục bộ đã được tính toán theo thiết kế. Gió sạch được đưa tới gương qua ống gió;
- Công tác củng cố và bảo vệ lò: kiểm tra tình trạng kỹ thuật lò theo trình tự từ ngoài vào đến gương; kiểm tra tình trạng các vì chống và cấu kiện của vì chống (gông, giằng, chèn...), khắc phục và thay thế ngay các vì chống và các cấu kiện của vì chống bị hư hỏng, xô lệch (nếu có); các vị trí xung yếu khi áp lực lò thay đổi phải có biện pháp củng cố tăng cường kịp thời để đảm bảo kỹ thuật, an toàn;
- Các công việc phụ trợ: cung cấp năng lượng, nối dài đường ống hơi, ống gió, ống nước, mở quạt thông gió, đặt đường tạm, đặt đường chính (với lò có đường ray), lát đường cho xe đi (với lò dùng xe cút kít), khơi rãnh thoát nước, sửa chữa nhỏ các dụng cụ, thiết bị làm việc, kiểm tra độ dốc của lò, rửa gương lò, phun nước chống bụi; công tác trắc địa, đo đạc;
- Mô tả đặc điểm thành phần đất đá, các đặc điểm địa chất, khoáng sản, vẽ thiết đồ;
- Hoàn thiện tài liệu địa chất: nhật ký thi công, bản mô tả, bản vẽ công trình (bản vẽ nguyên thủy và bản vẽ tổng hợp);
- Lấy mẫu, mô tả mẫu, ghi chép sổ sách, ghi nhãn mẫu, xếp mẫu vào thùng mẫu, bảo quản đóng gói mẫu và vận chuyển mẫu về nơi tập kết (trong phạm vi ≤ 10 km);
- Chụp ảnh trước, trong và sau khi thi công cửa lò, đường lò (các ảnh phải có thước đo hoặc vật chuẩn thể hiện kích thước đối tượng quan tâm);
- Bảo quản vật tư, chất nổ tại vùng đề án đối với các công trình phải sử dụng chất nổ;
- Sửa chữa dụng cụ làm việc, sửa chữa nhỏ thiết bị bơm, thông gió và các thiết bị phục vụ khác;
- Che chắn bảo vệ tại công trình;
- Nghiệm thu công việc và thu dọn dụng cụ, bàn giao và di chuyển công trình ≤ 10 km.
* Điều kiện thực hiện
- Lựa chọn phương án thi công phù hợp với điều kiện thực tế thi công đảm bảo an toàn, tiết kiệm và bảo vệ môi trường;
- Thi công trong đất đá cấp I - IV bằng phương pháp thủ công;
- Sử dụng máy khoan đập hoặc chất nổ để phá đất đá theo cấp đất đá từ cấp V trở lên;
- Thi công cửa lò được tiến hành theo phương pháp thủ công, đoạn cửa lò được chống liền vì một khoảng tối thiểu là 5,0 m;
- Kích thước lò: Kích thước lò theo chiều dài lò quy định tại Bảng số 36 Bảng số 36
|
Chiều dài lò (m) |
Kích thước lò chưa chống |
Kích thước lò đã chống |
||||||
|
Chiều rộng đáy (m) |
Chiều rộng nóc (m) |
Chiều cao lò (m) |
Tiết diện (m2) |
Chiều rộng đáy (m) |
Chiều rộng nóc (m) |
Chiều cao lò (m) |
Tiết diện (m2) |
|
|
0-50 |
1,6 |
1,4 |
1,9 |
2,85 |
1,4 |
1,2 |
1,8 |
2,34 |
|
0-100 |
1,8 |
1,6 |
1,9 |
3,23 |
1,6 |
1,4 |
1,8 |
2,70 |
|
0-300 |
2,0 |
1,8 |
2,0 |
3,80 |
1,8 |
1,6 |
1,9 |
3,23 |
- Khi thi công bằng phương pháp cơ khí: khoan lỗ mìn bằng búa khoan hơi ép loại YT-24 hoặc loại tương đương.
- Chống chèn ở lò bằng: chống gỗ tròn, khung chống hình thang, khoảng cách giữa các vì chống 0,5 m.
- Những công trình lò đào trong đất đá liền khối, có cấp đất đá từ cấp VI trở lên, có tiết diện hình vòm có thể không cần chống chèn;
- Đối với lò (đến 10 m), chiếu sáng bằng ánh sáng tự nhiên. Đối với lò sâu trên 10m, chiếu sáng bằng nguồn sáng nhân tạo”
- Dừng đào để thu thập tài liệu kỹ thuật và lấy mẫu: khi thi công lò, cứ 5,0 m dừng đào một lần để kỹ thuật địa chất đo vẽ, thu thập tài liệu, lấy mẫu;
- Độ dài lò chưa chống trong khi tiến gương lò không được vượt quá 2,0 m.
* Những công việc chưa có trong định mức
- Các thủ tục, chi phí liên quan đến công việc nổ mìn (cấp giấy phép, vận chuyển, nhân công và vật liệu nổ, xây dựng kho chứa, đảm bảo an toàn).
- Vận chuyển mẫu từ nơi tập kết về đơn vị;
- Di chuyển công trình > 10 km;
- Chi phí vận chuyển vật liệu nổ từ nơi cung cấp đến nơi sử dụng, chi phí làm kho chứa vật liệu nổ và chi phí nhân công cho bảo vệ kho mìn và thủ kho nhập, xuất vật liệu nổ hàng ngày khi thi công công trình có sử dụng vật liệu nổ;
- Chi phí xây tường chắn bằng gạch, đá hoặc bê tông để bịt cửa lò thông ra mặt đất khi kết thúc thi công lò;
- Chuyển quân, vật tư từ đơn vị đến địa điểm tập kết thi công đề án và ngược lại;
- Công tác kiểm định máy định kỳ theo quy định.
V.1.2. Phân loại khó khăn
Phân loại khó khăn được quy định tại Phụ lục I và Phụ lục II.
V.1.3. Định biên
a) Định biên công tác thi công cửa lò quy định tại Bảng số 37
Bảng số 37
|
Công việc |
CN7 (N3) |
CN4 (N3) |
Nhóm |
|
Thi công cửa lò |
1 |
3 |
4 |
b) Định biên công tác thi công đường lò quy định tại Bảng số 38
Bảng số 38
|
Công việc |
ĐTVIII Bậc 4/9 |
CN7 (N3) |
CN4 (N3) |
Nhóm |
|
Đào thủ công bằng thủ công |
1 |
1 |
2 |
4 |
|
Đào cơ khí bằng búa khoan hơi ép |
1 |
1 |
3 |
5 |
1.4. Định mức:
a) Đào xúc đất đá phần cửa lò: công nhóm/1 m3
Định mức thời gian công tác đào xúc đất đá phần cửa lò được quy định tại Bảng số 39.
Bảng số 39
|
Công việc |
Cấp đất đá |
|||||
|
I-III |
IV |
V-VI |
VII |
VIII |
IX-X |
|
|
Đào xúc đất đá bằng thủ công |
0,61 |
0,72 |
0,32 |
0,48 |
0,64 |
1,19 |
b) Chống cửa lò: công nhóm/1 m
Định mức thời gian công tác chống cửa lò được quy định tại Bảng số 40.
Bảng số 40
|
Công việc |
Nhóm cấp đất đá cho cả 3 tiết diện |
||
|
I-VI |
VII-VIII |
IX-X |
|
|
Chống cửa lò |
1,16 |
1,49 |
1,74 |
c) Thi công lò bằng: công nhóm/1 m
Định mức thời gian công tác thi công lò bằng được quy định tại Bảng số 41. Bảng số 41
|
TDL (m2) |
Phương pháp đào lò, vận chuyển |
Chiều dài lò (m) |
Cấp đất đá và điều kiện chống chèn |
||||||
|
LCC |
LKC |
||||||||
|
I-III |
IV |
V |
VI |
VII |
VIII |
IX-X |
|||
|
2,85 |
ĐTC, vận tải xe cút kít |
0-50 |
1,28 |
1,71 |
2,23 |
2,38 |
2,75 |
4,12 |
6,26 |
|
0-100 |
2,56 |
3,41 |
4,45 |
4,75 |
5,49 |
8,23 |
12,51 |
||
|
0-300 |
2,98 |
3,91 |
4,95 |
5,99 |
6,18 |
9,27 |
14,09 |
||
|
3,23 |
ĐCT, vận tải xe goòng |
0-50 |
1,38 |
1,84 |
2,36 |
2,88 |
3,01 |
4,51 |
6,86 |
|
0-100 |
2,76 |
3,67 |
4,71 |
5,75 |
6,01 |
9,02 |
13,71 |
||
|
0-300 |
3,10 |
4,11 |
5,15 |
6,19 |
6,57 |
9,86 |
14,99 |
||
|
3,23 |
ĐCK bằng búa khoan ép hơi, vận tải xe cút kít |
0-50 |
|
|
1,10 |
1,22 |
1,29 |
1,38 |
2,01 |
|
0-100 |
|
|
2,20 |
2,45 |
2,57 |
2,76 |
4,01 |
||
|
0-300 |
|
|
2,55 |
2,91 |
3,03 |
3,53 |
4,99 |
||
|
3,23 |
ĐCK bằng búa |
0-50 |
|
|
1,05 |
1,18 |
1,25 |
1,34 |
1,97 |
|
0-100 |
|
|
0,88 |
0,99 |
1,06 |
1,13 |
1,66 |
||
|
0-300 |
|
|
2,04 |
2,30 |
2,42 |
2,82 |
3,99 |
||
|
3,80 |
ĐCK bằng búa khoan ép hơi, vận tải xe cút kít |
0-50 |
|
|
1,29 |
1,44 |
1,51 |
1,62 |
2,36 |
|
0-100 |
|
|
2,58 |
2,88 |
3,02 |
3,25 |
4,72 |
||
|
0-300 |
|
|
2,99 |
3,42 |
3,56 |
4,15 |
5,87 |
||
|
3,80 |
ĐCK bằng búa khoan ép hơi, vận tải xe goòng |
0-50 |
|
|
1,23 |
1,39 |
1,47 |
1,58 |
2,31 |
|
0-100 |
|
|
1,04 |
1,17 |
1,24 |
1,33 |
1,95 |
||
|
0-300 |
|
|
2,39 |
2,70 |
2,85 |
3,32 |
4,69 |
||
* Ghi chú:
- Khi thi công tiết diện lò khác với tiết diện ghi trong bảng định mức thì hệ số định mức sẽ được tính như sau:

Trong đó:
S1 - Tiết diện lò thi công thực tế;
S2 - Tiết diện lò ghi trong bảng định mức.
- Khi thi công lò có độ dốc khác thì định mức thời gian được nhân với hệ số điều chỉnh theo hướng dốc k. Hệ số K được quy định tại Bảng số 42.
Bảng số 42
|
Độ dốc lò |
Hệ số điều chỉnh k |
|
a < 15° |
1,00 |
|
a = 15° - 25° |
1,03 |
|
a = 25° - 35° |
1,05 |
|
a = 35° - 45° |
1,11 |
- Công việc phải ngừng nghỉ do thời tiết quy định tại Phụ lục II, định mức công tác thi công công trình lò được điều chỉnh theo các hệ số quy định tại Bảng số 01.
V.2. Định mức sử dụng máy móc, thiết bị: ca sử dụng/1 m
Mức khấu hao thiết bị được quy định tại Bảng số 43, Bảng số 44 và Bảng số 45 tính cho điều kiện chiều sâu lò từ 0 đến 100 m, đất đá cấp VIII. Đối với các điều kiện thi công khác, được điều chỉnh theo hệ số quy định tại Bảng số 59.
Bảng số 43
|
TT |
Tên thiết bị |
ĐVT |
Thời hạn (năm) |
Số lượng |
Mức |
||||||
|
Tiết diện2,85 m2 ĐTC, vận tải xe cút kít |
Tiết diện3,23 m2, ĐTC, vận tải xe goòng |
Tiết diện2,85 m2 ĐTC, vận tải xe cút kít |
Tiết diện3,23 m2, ĐTC, vận tải xe goòng |
||||||||
|
LCC |
LKC |
LCC |
LKC |
LCC |
LKC |
LCC |
LKC |
||||
|
1 |
Định vị vệ tinh (GPS) cầm tay |
bộ |
10 |
1 |
1 |
1 |
1 |
7,41 |
7,41 |
8,13 |
8,13 |
|
2 |
Máy tính xách tay 0,04 kw |
cái |
5 |
1 |
1 |
1 |
1 |
7,41 |
7,41 |
8,13 |
8,13 |
|
3 |
Búa chèn hơi |
cái |
8 |
1 |
|
1 |
|
7,41 |
|
8,13 |
|
|
4 |
Goòng vận chuyển 0,28 -0,35 m3 |
cái |
8 |
|
|
1 |
1 |
|
|
8,13 |
8,13 |
|
5 |
Máy bơm nước5,5 kw |
cái |
4 |
1 |
1 |
1 |
1 |
7,41 |
7,41 |
8,13 |
8,13 |
|
6 |
Máy nén khí chạy dầu 10,3 m3/ph |
cái |
10 |
1 |
|
1 |
|
7,41 |
|
8,13 |
|
|
7 |
Máy phát điện20 kw |
cái |
10 |
1 |
1 |
1 |
1 |
7,41 |
7,41 |
8,13 |
8,13 |
|
8 |
Quạt gió 5,5 kw |
cái |
3 |
1 |
1 |
1 |
1 |
7,41 |
7,41 |
8,13 |
8,13 |
|
9 |
Xitec kim loại12 m3 |
cái |
3 |
1 |
1 |
1 |
1 |
7,41 |
7,41 |
8,13 |
8,13 |
Bảng số 44
|
TT |
Tên thiết bị |
ĐVT |
Thời hạn (năm) |
Số lượng |
Mức |
||||||
|
Tiết diện 3,23 m2 ĐCK, vận tải xe cút kít |
Tiết diện 3,23 m2 ĐCK, vận tải xe goòng |
Tiết diện 3,23 m2 ĐCK, vận tải xe cút kít |
Tiết diện 3,23 m2 ĐCK, vận tải xe goòng |
||||||||
|
LCC |
LKC |
LCC |
LKC |
LCC |
LKC |
LCC |
LKC |
||||
|
1 |
Định vị vệ tinh (GPS) cầm tay |
bộ |
10 |
1 |
1 |
1 |
1 |
2,49 |
2,49 |
1,02 |
1,02 |
|
2 |
Máy tính xách tay 0,04 kw |
cái |
5 |
1 |
1 |
1 |
1 |
2,49 |
2,49 |
1,02 |
1,02 |
|
3 |
Búa chèn hơi |
cái |
8 |
1 |
|
1 |
|
2,49 |
|
1,02 |
|
|
4 |
Búa khoan ép hơi YT24 hoặc tương đương |
cái |
8 |
1 |
1 |
1 |
1 |
2,49 |
2,49 |
1,02 |
1,02 |
|
5 |
Goòng vậnchuyển 0,28 - 0,35 m3 |
cái |
8 |
|
|
1 |
1 |
|
|
1,02 |
1,02 |
|
6 |
Máy bơm nước 5,5 kw |
cái |
4 |
1 |
1 |
1 |
1 |
2,49 |
2,49 |
1,02 |
1,02 |
|
7 |
Máy nén khí chạy dầu 10,3 m3/ph |
cái |
10 |
1 |
1 |
1 |
1 |
2,49 |
2,49 |
1,02 |
1,02 |
|
8 |
Máy phát điện 20 kw |
cái |
10 |
1 |
1 |
1 |
1 |
2,49 |
2,49 |
1,02 |
1,02 |
|
9 |
Quạt gió 5,5kw |
cái |
3 |
1 |
1 |
1 |
1 |
2,49 |
2,49 |
1,02 |
1,02 |
|
10 |
Thùng thép chịu áp lực 200 lít |
cái |
3 |
1 |
1 |
1 |
1 |
2,49 |
2,49 |
1,02 |
1,02 |
|
11 |
Xitec kim loại 5 m3 |
cái |
3 |
1 |
1 |
1 |
1 |
2,49 |
2,49 |
1,02 |
1,02 |
|
12 |
Xitec kim loại 12 m3 |
cái |
3 |
1 |
1 |
1 |
1 |
2,49 |
2,49 |
1,02 |
1,02 |
Bảng số 45
|
TT |
Tên thiết bị |
ĐVT |
Thời hạn (năm) |
Số lượng |
Mức |
||||||
|
Tiết diện 3,23 m2 ĐCK, vận tải xe cút kít |
Tiết diện 3,23 m2 ĐCK, vận tải xe goòng |
Tiết diện 3,23 m2 ĐCK, vận tải xe cút kít |
Tiết diện 3,23 m2 ĐCK, vận tải xe goòng |
||||||||
|
LCC |
LKC |
LCC |
LKC |
LCC |
LKC |
LCC |
LKC |
||||
|
1 |
Định vị vệ tinh (GPS) cầm tay |
bộ |
10 |
1 |
1 |
1 |
1 |
2,93 |
2,93 |
1,20 |
1,20 |
|
2 |
Máy tính xách tay 0,04 kw |
cái |
5 |
1 |
1 |
1 |
1 |
2,93 |
2,93 |
1,20 |
1,20 |
|
3 |
Búa chèn hơi |
cái |
8 |
1 |
|
1 |
|
2,93 |
|
1,20 |
|
|
4 |
Búa khoan ép hơi YT24 hoặc tương đương |
cái |
8 |
1 |
1 |
1 |
1 |
2,93 |
2,93 |
1,20 |
1,20 |
|
5 |
Goòng vận chuyển 0,28 - 0,35 m3 |
cái |
8 |
|
|
1 |
1 |
|
|
1,20 |
1,20 |
|
6 |
Máy bơm nước 5,5 kw |
cái |
4 |
1 |
1 |
1 |
1 |
2,93 |
2,93 |
1,20 |
1,20 |
|
7 |
Máy nén khí chạy dầu 10,3 m3/ph |
cái |
10 |
1 |
1 |
1 |
1 |
2,93 |
2,93 |
1,20 |
1,20 |
|
8 |
Máy phát điện 20 kw |
cái |
10 |
1 |
1 |
1 |
1 |
2,93 |
2,93 |
1,20 |
1,20 |
|
9 |
Quạt gió 5,5 kw |
cái |
3 |
1 |
1 |
1 |
1 |
2,93 |
2,93 |
1,20 |
1,20 |
|
10 |
Thùng thép chịu áp lực 200 lít |
cái |
3 |
1 |
1 |
1 |
1 |
2,93 |
2,93 |
1,20 |
1,20 |
|
11 |
Xitec kim loại 5 m3 |
cái |
3 |
1 |
1 |
1 |
1 |
2,93 |
2,93 |
1,20 |
1,20 |
|
12 |
Xitec kim loại12 m3 |
cái |
3 |
1 |
1 |
1 |
1 |
2,93 |
2,93 |
1,20 |
1,20 |
V.3. Định mức dụng cụ lao động:
a) Thi công cửa lò: ca/1 m3
Mức hao mòn dụng cụ cho công tác thi công cửa lò được quy định tại Bảng số 46 tính cho điều kiện đào xúc đất đá cấp VIII phần cửa lò, chống cửa lò cấp VII-VIII. Đối với các điều kiện thi công khác, được điều chỉnh theo hệ số quy định tại Bảng số 59 và Bảng số 58.
Bảng số 46
|
TT |
Tên dụng cụ |
ĐVT |
Thời hạn (tháng) |
Số lượng |
Mức |
||
|
Thi công cửa lò |
Thi công cửa lò |
||||||
|
Đào xúc cửa lò |
Chống cửa lò |
Đào xúc cửa lò |
Chống cửa lò |
||||
|
1 |
Ba lô |
cái |
24 |
4 |
4 |
2,31 |
5,37 |
|
2 |
Búa địa chất |
cái |
24 |
1 |
1 |
0,58 |
1,34 |
|
3 |
Búa tạ 5 kg |
cái |
24 |
2 |
2 |
1,15 |
2,68 |
|
4 |
Clê các loại |
bô |
36 |
1 |
1 |
0,58 |
1,34 |
|
5 |
Choòng đục mẫu |
cái |
24 |
2 |
2 |
1,15 |
2,68 |
|
6 |
Cuốc chim |
cái |
24 |
2 |
2 |
1,15 |
2,68 |
|
7 |
Cưa gỗ |
cái |
12 |
2 |
2 |
1,15 |
2,68 |
|
8 |
Dao rựa |
cái |
12 |
1 |
1 |
0,58 |
1,34 |
|
9 |
Dao gấp |
cái |
12 |
1 |
1 |
0,58 |
1,34 |
|
10 |
Dao nhíp |
cái |
12 |
1 |
1 |
0,58 |
1,34 |
|
11 |
Dao phát cây |
cái |
12 |
1 |
1 |
0,58 |
1,34 |
|
12 |
Địa bàn địa chất |
cái |
36 |
1 |
1 |
0,58 |
1,34 |
|
13 |
Găng tay BHLĐ |
đôi |
6 |
4 |
4 |
2,31 |
5,37 |
|
14 |
Giầy BHLĐ |
đôi |
6 |
4 |
4 |
2,31 |
5,37 |
|
15 |
Hòm tôn đựng dụng cụ |
cái |
60 |
1 |
1 |
0,58 |
1,34 |
|
16 |
Hòm tôn đựng tài liệu |
cái |
60 |
1 |
1 |
0,58 |
1,34 |
|
17 |
Khoá hòm |
cái |
36 |
2 |
2 |
1,15 |
2,68 |
|
18 |
Kính BHLĐ |
cái |
12 |
4 |
4 |
2,31 |
5,37 |
|
19 |
Kính lúp |
cái |
60 |
4 |
4 |
2,31 |
5,37 |
|
20 |
Máy ảnh kỹ thuật số |
cái |
60 |
1 |
1 |
0,58 |
1,34 |
|
21 |
Mũ BHLĐ |
cái |
12 |
4 |
4 |
2,31 |
5,37 |
|
22 |
Ổ cứng ghi ngoài |
cái |
24 |
1 |
1 |
0,58 |
1,34 |
|
23 |
Ống đựng bản vẽ |
cái |
24 |
1 |
1 |
0,58 |
1,34 |
|
24 |
Quần áo mưa BHLĐ |
bộ |
9 |
4 |
4 |
2,31 |
5,37 |
|
25 |
Quần áo BHLĐ |
bộ |
9 |
4 |
4 |
2,31 |
5,37 |
|
26 |
Xô nhựa 10 lít |
cái |
12 |
2 |
2 |
1,15 |
2,68 |
|
27 |
Tất chống vắt |
đôi |
6 |
4 |
4 |
2,31 |
5,37 |
|
28 |
Thước cuộn vải |
cái |
12 |
1 |
1 |
0,58 |
1,34 |
|
29 |
Thước nhựa 30 cm |
cái |
36 |
1 |
1 |
0,58 |
1,34 |
|
30 |
Thước thép cuộn 3 m |
cái |
24 |
1 |
1 |
0,58 |
1,34 |
|
31 |
Xắc cốt đựng tài liệu |
cái |
24 |
1 |
1 |
0,58 |
1,34 |
|
32 |
Xà beng |
cái |
24 |
2 |
2 |
1,15 |
2,68 |
|
33 |
Xẻng |
cái |
24 |
2 |
2 |
1,15 |
2,68 |
|
34 |
Xe cút kít |
cái |
36 |
1 |
1 |
0,58 |
1,34 |
b) Thi đông đường lò: ca/1 m
Mức hao mòn dụng cụ cho công tác thi công đường lò được quy định tại Bảng số 47, Bảng số 48 và Bảng số 49 tính cho điều kiện chiều sâu lò từ 0 đến 100 m, cấp đất đá VIII. Đối với các điều kiện thi công khác, được điều chỉnh theo hệ số quy định tại Bảng số 59.
Bảng số 47
|
TT |
Tên dụng cụ |
ĐVT |
Thời hạn (tháng) |
Số lượng |
Mức |
||||||
|
Tiết diện 2,85 m2 ĐCT, vận tải xe cút kít |
Tiết diện 3,23 m2ĐTC, vận tải xegoòng |
Tiết diện 2,85 m2 ĐTC, vận tải xe cút kít |
Tiết diện 3,23 m2 ĐTC, vận tải xe goòng |
||||||||
|
LCC |
LKC |
LCC |
LKC |
LCC |
LKC |
LCC |
LKC |
||||
|
1 |
Ba lô |
cái |
24 |
4 |
4 |
4 |
4 |
29,66 |
29,66 |
32,50 |
32,50 |
|
2 |
Búa địa chất |
cái |
24 |
1 |
1 |
1 |
1 |
7,41 |
7,41 |
8,13 |
8,13 |
|
3 |
Búa tạ 5 kg |
cái |
24 |
2 |
2 |
2 |
2 |
14,83 |
14,83 |
16,25 |
16,25 |
|
4 |
Clê các loại |
bộ |
36 |
1 |
1 |
1 |
1 |
7,41 |
7,41 |
8,13 |
8,13 |
|
5 |
Choòng đục mẫu |
cái |
24 |
2 |
3 |
3 |
3 |
14,83 |
22,24 |
24,38 |
24,38 |
|
6 |
Cuốc chim |
cái |
24 |
2 |
2 |
2 |
2 |
14,83 |
14,83 |
16,25 |
16,25 |
|
7 |
Chuột máy tính |
cái |
12 |
1 |
1 |
1 |
1 |
7,41 |
7,41 |
8,13 |
8,13 |
|
8 |
Cưa gỗ |
cái |
12 |
2 |
2 |
2 |
2 |
14,83 |
14,83 |
16,25 |
16,25 |
|
9 |
Dao rựa |
cái |
12 |
1 |
1 |
1 |
1 |
7,41 |
7,41 |
8,13 |
8,13 |
|
10 |
Dao gấp |
cái |
12 |
1 |
1 |
1 |
1 |
7,41 |
7,41 |
8,13 |
8,13 |
|
11 |
Dao nhíp |
cái |
12 |
1 |
1 |
1 |
1 |
7,41 |
7,41 |
8,13 |
8,13 |
|
12 |
Dao phát cây |
cái |
12 |
1 |
1 |
1 |
1 |
7,41 |
7,41 |
8,13 |
8,13 |
|
13 |
Đèn thợ mỏ |
cái |
12 |
4 |
4 |
4 |
4 |
29,66 |
29,66 |
32,50 |
32,50 |
|
14 |
Đèn xạc điện |
cái |
12 |
1 |
2 |
2 |
2 |
7,41 |
14,83 |
16,25 |
16,25 |
|
15 |
Địa bàn địa chất |
cái |
36 |
1 |
1 |
1 |
1 |
7,41 |
7,41 |
8,13 |
8,13 |
|
16 |
Găng tayBHLĐ |
đôi |
6 |
4 |
4 |
4 |
4 |
29,66 |
29,66 |
32,50 |
32,50 |
|
17 |
Giầy BHLĐ |
đôi |
6 |
4 |
4 |
4 |
4 |
29,66 |
29,66 |
32,50 |
32,50 |
|
18 |
Hòm tôn đựng dụng cụ |
cái |
60 |
1 |
1 |
1 |
1 |
7,41 |
7,41 |
8,13 |
8,13 |
|
19 |
Hòm tôn đựng tài liệu |
cái |
60 |
1 |
1 |
1 |
1 |
7,41 |
7,41 |
8,13 |
8,13 |
|
20 |
Hộp lắp đèn tín hiệu |
bộ |
24 |
1 |
1 |
1 |
1 |
7,41 |
7,41 |
8,13 |
8,13 |
|
21 |
Hộp nút bấm tín hiệu |
bộ |
24 |
1 |
1 |
1 |
1 |
7,41 |
7,41 |
8,13 |
8,13 |
|
22 |
Khoá hòm |
cái |
36 |
2 |
2 |
2 |
2 |
14,83 |
14,83 |
16,25 |
16,25 |
|
23 |
Kính BHLĐ |
cái |
12 |
4 |
4 |
4 |
4 |
29,66 |
29,66 |
32,50 |
32,50 |
|
24 |
Kính lúp |
cái |
60 |
1 |
1 |
1 |
1 |
7,41 |
7,41 |
8,13 |
8,13 |
|
25 |
Máy ảnh kỹ thuật số |
cái |
60 |
1 |
1 |
1 |
1 |
7,41 |
7,41 |
8,13 |
8,13 |
|
26 |
Mũ BHLĐ |
cái |
12 |
4 |
4 |
4 |
4 |
29,66 |
29,66 |
32,50 |
32,50 |
|
27 |
Ổ cắm điện |
cái |
12 |
1 |
1 |
1 |
1 |
7,41 |
7,41 |
8,13 |
8,13 |
|
28 |
Ổ cứng ghi ngoài |
cái |
24 |
1 |
1 |
1 |
1 |
7,41 |
7,41 |
8,13 |
8,13 |
|
29 |
Ống đựng bản vẽ |
cái |
24 |
1 |
1 |
1 |
1 |
7,41 |
7,41 |
8,13 |
8,13 |
|
30 |
Quần áo mưa BHLĐ |
bộ |
9 |
1 |
1 |
1 |
1 |
7,41 |
7,41 |
8,13 |
8,13 |
|
31 |
Quần áo BHLĐ |
bộ |
9 |
4 |
4 |
4 |
4 |
29,66 |
29,66 |
32,50 |
32,50 |
|
32 |
Xô nhựa 10 lít |
cái |
12 |
2 |
2 |
2 |
2 |
14,83 |
14,83 |
16,25 |
16,25 |
|
33 |
Tất chống vắt |
đôi |
6 |
4 |
4 |
4 |
4 |
29,66 |
29,66 |
32,50 |
32,50 |
|
34 |
Thước cuộn vải 50 m |
cái |
12 |
1 |
1 |
1 |
1 |
7,41 |
7,41 |
8,13 |
8,13 |
|
35 |
Thước nhựa 30 cm |
cái |
36 |
1 |
1 |
1 |
1 |
7,41 |
7,41 |
8,13 |
8,13 |
|
36 |
Thước thép cuộn 3 m |
cái |
24 |
1 |
1 |
1 |
1 |
7,41 |
7,41 |
8,13 |
8,13 |
|
37 |
Xắc cốt đựng tài liệu |
cái |
24 |
1 |
1 |
1 |
1 |
7,41 |
7,41 |
8,13 |
8,13 |
|
38 |
Xà beng |
cái |
24 |
2 |
2 |
2 |
2 |
14,83 |
14,83 |
16,25 |
16,25 |
|
39 |
Xẻng |
cái |
24 |
2 |
2 |
2 |
2 |
14,83 |
14,83 |
16,25 |
16,25 |
|
40 |
Xe cút kít |
cái |
36 |
1 |
1 |
|
|
7,41 |
7,41 |
|
|
Bảng số 48
|
TT |
Tên dụng cụ |
ĐVT |
Thời hạn (tháng) |
Số lượng |
Mức |
||||||
|
Tiết diện 3,23 m2 ĐCK, vận tải xe cút kít |
Tiết diện 3,23 m2 ĐCK, vậntải xegoòng |
Tiết diện 3,23 m2 ĐCK, vận tải xe cút kít |
Tiết diện 3,23 m2, ĐCK, vận tải xe goòng |
||||||||
|
LCC |
LKC |
LCC |
LKC |
LCC |
LKC |
LCC |
LKC |
||||
|
1 |
Ba lô |
cái |
24 |
4 |
4 |
4 |
4 |
9,95 |
9,95 |
4,07 |
4,07 |
|
2 |
Búa địa chất |
cái |
24 |
1 |
1 |
1 |
1 |
2,49 |
2,49 |
1,02 |
1,02 |
|
3 |
Búa tạ 5 kg |
cái |
24 |
2 |
2 |
2 |
2 |
4,97 |
4,97 |
2,04 |
2,04 |
|
4 |
Clê các loại |
bộ |
36 |
1 |
1 |
1 |
1 |
2,49 |
2,49 |
1,02 |
1,02 |
|
5 |
Choòng đục mẫu |
cái |
24 |
2 |
3 |
3 |
3 |
4,97 |
7,46 |
3,05 |
3,05 |
|
6 |
Cuốc chim |
cái |
24 |
2 |
2 |
2 |
2 |
4,97 |
4,97 |
2,04 |
2,04 |
|
7 |
Chuột máy tính |
cái |
12 |
1 |
1 |
1 |
1 |
2,49 |
2,49 |
1,02 |
1,02 |
|
8 |
Cưa gỗ |
cái |
12 |
2 |
2 |
2 |
2 |
4,97 |
4,97 |
2,04 |
2,04 |
|
9 |
Dao rựa |
cái |
12 |
1 |
1 |
1 |
1 |
2,49 |
2,49 |
1,02 |
1,02 |
|
10 |
Dao gấp |
cái |
12 |
1 |
1 |
1 |
1 |
2,49 |
2,49 |
1,02 |
1,02 |
|
11 |
Dao nhíp |
cái |
12 |
1 |
1 |
1 |
1 |
2,49 |
2,49 |
1,02 |
1,02 |
|
12 |
Dao phát cây |
cái |
12 |
1 |
1 |
1 |
1 |
2,49 |
2,49 |
1,02 |
1,02 |
|
13 |
Đèn thợ mỏ |
cái |
12 |
4 |
4 |
4 |
4 |
9,95 |
9,95 |
4,07 |
4,07 |
|
14 |
Đèn xạc điện |
cái |
12 |
1 |
2 |
2 |
2 |
2,49 |
4,97 |
2,04 |
2,04 |
|
15 |
Địa bàn địa chất |
cái |
36 |
1 |
1 |
1 |
1 |
2,49 |
2,49 |
1,02 |
1,02 |
|
16 |
Găng tay BHLĐ |
đôi |
6 |
4 |
4 |
4 |
4 |
9,95 |
9,95 |
4,07 |
4,07 |
|
17 |
Giầy BHLĐ |
đôi |
6 |
4 |
4 |
4 |
4 |
9,95 |
9,95 |
4,07 |
4,07 |
|
18 |
Hòm tôn đựng dụng cụ |
cái |
60 |
1 |
1 |
1 |
1 |
2,49 |
2,49 |
1,02 |
1,02 |
|
19 |
Hòm tôn đựng tài liệu |
cái |
60 |
1 |
1 |
1 |
1 |
2,49 |
2,49 |
1,02 |
1,02 |
|
20 |
Hộp lắp đèn tín hiệu |
bộ |
24 |
1 |
1 |
1 |
1 |
2,49 |
2,49 |
1,02 |
1,02 |
|
21 |
Hộp nút bấm tín hiệu |
bộ |
24 |
1 |
1 |
1 |
1 |
2,49 |
2,49 |
1,02 |
1,02 |
|
22 |
Khoá hòm |
cái |
36 |
2 |
2 |
2 |
2 |
4,97 |
4,97 |
2,04 |
2,04 |
|
23 |
Kính BHLĐ |
cái |
12 |
4 |
4 |
4 |
4 |
9,95 |
9,95 |
4,07 |
4,07 |
|
24 |
Kính lúp |
cái |
60 |
1 |
1 |
1 |
1 |
2,49 |
2,49 |
1,02 |
1,02 |
|
25 |
Máy ảnh kỹ thuật số |
cái |
60 |
1 |
1 |
1 |
1 |
2,49 |
2,49 |
1,02 |
1,02 |
|
26 |
Mũ BHLĐ |
cái |
12 |
4 |
4 |
4 |
4 |
9,95 |
9,95 |
4,07 |
4,07 |
|
27 |
Ổ cắm điện |
cái |
12 |
1 |
1 |
1 |
1 |
2,49 |
2,49 |
1,02 |
1,02 |
|
28 |
Ổ cứng ghi ngoài |
cái |
24 |
1 |
1 |
1 |
1 |
2,49 |
2,49 |
1,02 |
1,02 |
|
29 |
Ống đựng bản vẽ |
cái |
24 |
1 |
1 |
1 |
1 |
2,49 |
2,49 |
1,02 |
1,02 |
|
30 |
Quần áo mưaBHLĐ |
bộ |
9 |
1 |
1 |
1 |
1 |
2,49 |
2,49 |
1,02 |
1,02 |
|
31 |
Quần áo BHLĐ |
bộ |
9 |
4 |
4 |
4 |
4 |
9,95 |
9,95 |
4,07 |
4,07 |
|
32 |
Xô nhựa 10 lít |
cái |
12 |
2 |
2 |
2 |
2 |
4,97 |
4,97 |
2,04 |
2,04 |
|
33 |
Tất chống vắt |
đôi |
6 |
4 |
4 |
4 |
4 |
9,95 |
9,95 |
4,07 |
4,07 |
|
34 |
Thước cuộn vải |
cái |
12 |
1 |
1 |
1 |
1 |
2,49 |
2,49 |
1,02 |
1,02 |
|
35 |
Thước nhựa 30cm |
cái |
36 |
1 |
1 |
1 |
1 |
2,49 |
2,49 |
1,02 |
1,02 |
|
36 |
Thước thép cuộn3 m |
cái |
24 |
1 |
1 |
1 |
1 |
2,49 |
2,49 |
1,02 |
1,02 |
|
37 |
Xắc cốt đựng tài liệu |
cái |
24 |
1 |
1 |
1 |
1 |
2,49 |
2,49 |
1,02 |
1,02 |
|
38 |
Xà beng |
cái |
24 |
2 |
2 |
2 |
2 |
4,97 |
4,97 |
2,04 |
2,04 |
|
39 |
Xẻng |
cái |
24 |
2 |
2 |
2 |
2 |
4,97 |
4,97 |
2,04 |
2,04 |
|
40 |
Xe cút kít |
cái |
36 |
1 |
1 |
|
|
2,49 |
2,49 |
|
|
Bảng số 49
|
TT |
Tên dụng cụ |
ĐVT |
Thời hạn (tháng) |
Số lượng |
Mức |
||||||
|
Tiết diện 3,80 m2 ĐCK, vận tải xe cút kít |
Tiết diện 3,80 m2 ĐCK, vận tải xe goòng |
Tiết diện 3,80 m2 ĐCK, vận tải xe cút kít |
Tiết diện 3,80 m2 ĐCK, vận tải xe goòng |
||||||||
|
LCC |
LKC |
LCC |
LKC |
LCC |
LKC |
LCC |
LKC |
||||
|
1 |
Ba lô |
cái |
24 |
4 |
4 |
4 |
4 |
11,71 |
11,71 |
4,79 |
4,79 |
|
2 |
Búa địa chất |
cái |
24 |
1 |
1 |
1 |
1 |
2,93 |
2,93 |
1,20 |
1,20 |
|
3 |
Búa tạ 5 kg |
cái |
24 |
2 |
2 |
2 |
2 |
5,86 |
5,86 |
2,40 |
2,40 |
|
4 |
Clê các loại |
bộ |
36 |
1 |
1 |
1 |
1 |
2,93 |
2,93 |
1,20 |
1,20 |
|
5 |
Choòng đục mẫu |
cái |
24 |
2 |
3 |
3 |
3 |
5,86 |
8,78 |
3,59 |
3,59 |
|
6 |
Cuốc chim |
cái |
24 |
2 |
2 |
2 |
2 |
5,86 |
5,86 |
2,40 |
2,40 |
|
7 |
Chuột máy tính |
cái |
12 |
1 |
1 |
1 |
1 |
2,93 |
2,93 |
1,20 |
1,20 |
|
8 |
Cưa gỗ |
cái |
12 |
2 |
2 |
2 |
2 |
5,86 |
5,86 |
2,40 |
2,40 |
|
9 |
Dao rựa |
cái |
12 |
1 |
1 |
1 |
1 |
2,93 |
2,93 |
1,20 |
1,20 |
|
10 |
Dao gấp |
cái |
12 |
1 |
1 |
1 |
1 |
2,93 |
2,93 |
1,20 |
1,20 |
|
11 |
Dao nhíp |
cái |
12 |
1 |
1 |
1 |
1 |
2,93 |
2,93 |
1,20 |
1,20 |
|
12 |
Dao phát cây |
cái |
12 |
1 |
1 |
1 |
1 |
2,93 |
2,93 |
1,20 |
1,20 |
|
13 |
Đèn thợ mỏ |
cái |
12 |
4 |
4 |
4 |
4 |
11,71 |
11,71 |
4,79 |
4,79 |
|
14 |
Đèn xạc điện |
cái |
12 |
1 |
2 |
2 |
2 |
2,93 |
5,86 |
2,40 |
2,40 |
|
15 |
Địa bàn địa chất |
cái |
36 |
1 |
1 |
1 |
1 |
2,93 |
2,93 |
1,20 |
1,20 |
|
16 |
Găng tayBHLĐ |
đôi |
6 |
4 |
4 |
4 |
4 |
11,71 |
11,71 |
4,79 |
4,79 |
|
17 |
Giầy BHLĐ |
đôi |
6 |
4 |
4 |
4 |
4 |
11,71 |
11,71 |
4,79 |
4,79 |
|
18 |
Hòm tôn đựng dụng cụ |
cái |
60 |
1 |
1 |
1 |
1 |
2,93 |
2,93 |
1,20 |
1,20 |
|
19 |
Hòm tôn đựng tài liệu |
cái |
60 |
1 |
1 |
1 |
1 |
2,93 |
2,93 |
1,20 |
1,20 |
|
20 |
Hộp lắp đèn tín hiệu |
bộ |
24 |
1 |
1 |
1 |
1 |
2,93 |
2,93 |
1,20 |
1,20 |
|
21 |
Hộp nút bấm tín hiệu |
bộ |
24 |
1 |
1 |
1 |
1 |
2,93 |
2,93 |
1,20 |
1,20 |
|
22 |
Khoá hòm |
cái |
36 |
2 |
2 |
2 |
2 |
5,86 |
5,86 |
2,40 |
2,40 |
|
23 |
Kính BHLĐ |
cái |
12 |
4 |
4 |
4 |
4 |
11,71 |
11,71 |
4,79 |
4,79 |
|
24 |
Kính lúp |
cái |
60 |
1 |
1 |
1 |
1 |
2,93 |
2,93 |
1,20 |
1,20 |
|
25 |
Máy ảnh kỹ thuật số |
cái |
60 |
1 |
1 |
1 |
1 |
2,93 |
2,93 |
1,20 |
1,20 |
|
26 |
Mũ BHLĐ |
cái |
12 |
4 |
4 |
4 |
4 |
11,71 |
11,71 |
4,79 |
4,79 |
|
27 |
Ổ cắm điện |
cái |
12 |
1 |
1 |
1 |
1 |
2,93 |
2,93 |
1,20 |
1,20 |
|
28 |
Ổ cứng ghi ngoài |
cái |
24 |
1 |
1 |
1 |
1 |
2,93 |
2,93 |
1,20 |
1,20 |
|
29 |
Ống đựng bảnvẽ |
cái |
24 |
1 |
1 |
1 |
1 |
2,93 |
2,93 |
1,20 |
1,20 |
|
30 |
Quần áo mưa BHLĐ |
bộ |
9 |
1 |
1 |
1 |
1 |
2,93 |
2,93 |
1,20 |
1,20 |
|
31 |
Quần áoBHLĐ |
bộ |
9 |
4 |
4 |
4 |
4 |
11,71 |
11,71 |
4,79 |
4,79 |
|
32 |
Xô nhựa 10 lít |
cái |
12 |
2 |
2 |
2 |
2 |
5,86 |
5,86 |
2,40 |
2,40 |
|
33 |
Tất chống vắt |
đôi |
6 |
4 |
4 |
4 |
4 |
11,71 |
11,71 |
4,79 |
4,79 |
|
34 |
Thước cuộn vải 50 m |
cái |
12 |
1 |
1 |
1 |
1 |
2,93 |
2,93 |
1,20 |
1,20 |
|
35 |
Thước nhựa 30 cm |
cái |
36 |
1 |
1 |
1 |
1 |
2,93 |
2,93 |
1,20 |
1,20 |
|
36 |
Thước thép cuộn 3 m |
cái |
24 |
1 |
1 |
1 |
1 |
2,93 |
2,93 |
1,20 |
1,20 |
|
37 |
Xắc cốt đựng tài liệu |
cái |
24 |
1 |
1 |
1 |
1 |
2,93 |
2,93 |
1,20 |
1,20 |
|
38 |
Xà beng |
cái |
24 |
2 |
2 |
2 |
2 |
5,86 |
5,86 |
2,40 |
2,40 |
|
39 |
Xẻng |
cái |
24 |
2 |
2 |
2 |
2 |
5,86 |
5,86 |
2,40 |
2,40 |
|
40 |
Xe cút kít |
cái |
36 |
1 |
1 |
1 |
1 |
2,93 |
2,93 |
1,20 |
1,20 |
V.4. Định mức tiêu hao vật liệu: tính cho 1 m lò
a) Mức tiêu hao gỗ chống cửa lò
Mức tiêu hao gỗ chống cho công tác thi công cửa lò được quy định tại Bảng số 50, tính chung cho tất cả các cấp đất đá.
Bảng số 50
|
TT |
Tiết diện lò |
Mức tiêu hao gỗ chống (m3) |
|
1 |
2,85m2 |
1,002 |
|
2 |
3,23m2 |
1,072 |
|
3 |
3,80m2 |
1,147 |
b) Mức tiêu hao thuốc nổ, kíp nổ cho thi công đường lò
Mức tiêu hao thuốc nổ, kíp nổ cho thi công đường lò được quy định tại Bảng số 51.
Bảng số 51
|
TT |
Tên vật liệu theo loại công trình |
ĐVT |
Mức tiêu hao theo cấp đất đá |
|||
|
V-VI |
VII |
VIII |
IX-X |
|||
|
1 |
Tiết diện 2,85 m2 |
|
|
|
|
|
|
Dây cháy chậm |
m |
9,15 |
11,78 |
13,28 |
21 |
|
|
Kíp nổ |
cái |
6,1 |
7,85 |
8,85 |
14 |
|
|
Thuốc nổ |
kg |
2,33 |
2,7 |
3,5 |
6,46 |
|
|
2 |
Tiết diện 3,23m2 |
|
|
|
|
|
|
Dây cháy chậm |
m |
12,15 |
14,25 |
14,25 |
24,6 |
|
|
Kíp nổ |
cái |
8,1 |
9,5 |
9,5 |
16,4 |
|
|
Thuốc nổ |
kg |
3 |
3,45 |
4,49 |
8 |
|
|
3 |
Tiết diện 3,80 m2 |
|
|
|
|
|
|
Dây cháy chậm |
m |
16,16 |
18,95 |
18,95 |
32,72 |
|
|
Kíp nổ |
cái |
10,77 |
12,64 |
12,64 |
21,81 |
|
|
Thuốc nổ |
kg |
3,99 |
4,59 |
5,97 |
10,64 |
|
* Ghi chú:
- Bảng mức trên tính cho lò thi công với chiều sâu từ 0 đến 100 m. Khi thi công lò với chiều sâu từ 0 đến 50 m thì chiều dài dây cháy chậm nhân hệ số k = 0,66 lần; chiều sâu 300 m nhân hệ số k = 1,33.
- Dây cháy chậm được thay thế bằng dây dẫn điện, tính bình quân mỗi mét công trình lò tiêu thụ 25 m dây điện.
- Các định mức tiêu hao thuốc nổ trên được tính với loại thuốc nổ Amonit 6B và loại có sức công phá tương tự. Khi dùng loại thuốc nổ khác, định mức tiêu hao được tính lại theo công thức: Q = QB x E. Trong đó:
Q: lượng thuốc nổ cần thiết phải sử dụng theo loại thuốc nổ hiện có;
QB: lượng thuốc nổ Amonit 6B tính theo bảng mức;
E: hệ số khả năng công phá. Với Amonit 6B có E = 1, loại thuốc nổ mạnh như dinamit E = 0,8 - 0,84.
c) Mức tiêu hao vật liệu cho thi công đường lò không có chiếu sáng:
Mức tiêu hao vật liệu cho thi công đường lò được quy định tại Bảng số 52 và Bảng số 53.
Bảng số 52
|
TT |
Tên Vật liệu |
ĐVT |
Tiết diện 2,85 m2 |
Tiết diện 3,32 m2 |
||||||
|
ĐCT, vận tải xe cút kít |
ĐTC, vận tải xe goòng |
KLMbằng búa khoan ép hơi, vận tải xe cút kít |
KLMbằng búa khoan ép hơi, vận tải xe goòng |
|||||||
|
LCC |
LKC |
LCC |
LKC |
LCC |
LKC |
LCC |
LKC |
|||
|
1 |
Băng dínhto |
cuộn |
0,1 |
0,1 |
0,1 |
0,1 |
0,1 |
0,1 |
0,1 |
0,1 |
|
2 |
Bìa đóng sổ |
tờ |
0,1 |
0,1 |
0,1 |
0,1 |
0,1 |
0,1 |
0,1 |
0,1 |
|
3 |
Bút bi |
cái |
0,2 |
0,2 |
0,2 |
0,2 |
0,2 |
0,2 |
0,2 |
0,2 |
|
4 |
Bút chì kim |
cái |
0,1 |
0,1 |
0,1 |
0,1 |
0,1 |
0,1 |
0,1 |
0,1 |
|
5 |
Bút xóa |
cái |
0,1 |
0,1 |
0,1 |
0,1 |
0,1 |
0,1 |
0,1 |
0,1 |
|
6 |
Cáp điện lực4 lõi đồng |
m |
2,70 |
2,70 |
2,70 |
2,70 |
2,70 |
2,70 |
2,70 |
2,70 |
|
7 |
Cáp tín hiệu, điều khiển phòng nổ |
m |
2,70 |
2,70 |
2,70 |
2,70 |
2,70 |
2,70 |
2,70 |
2,70 |
|
8 |
Dầu bôi trơn |
kg |
2,31 |
2,10 |
2,53 |
2,30 |
2,53 |
2,30 |
0,63 |
0,45 |
|
9 |
Giấy A4 |
ram |
0,01 |
0,01 |
0,01 |
0,01 |
0,01 |
0,01 |
0,01 |
0,01 |
|
10 |
Giấy ôly |
tờ |
0,1 |
0,1 |
0,1 |
0,1 |
0,1 |
0,1 |
0,1 |
0,1 |
|
11 |
Gỗ |
m3 |
1,00 |
|
1,07 |
|
1,07 |
|
1,07 |
|
|
12 |
Ruột chì kim |
hộp |
0,1 |
0,1 |
0,1 |
0,1 |
0,1 |
0,1 |
0,1 |
0,1 |
|
13 |
Tẩy |
cái |
0,05 |
0,05 |
0,05 |
0,05 |
0,05 |
0,05 |
0,05 |
0,05 |
|
14 |
Túi Clear |
cái |
0,01 |
0,01 |
0,01 |
0,01 |
0,01 |
0,01 |
0,01 |
0,01 |
|
15 |
Mũi khoan đá F 42 mm |
cái |
|
|
|
|
0,47 |
0,47 |
0,47 |
0,47 |
|
16 |
Ray P-B cao 77 mm (20,2 kg/m) |
m |
|
|
2,40 |
2,40 |
2,40 |
2,40 |
2,40 |
2,40 |
|
17 |
Thanh giằng |
kg |
|
|
2,97 |
2,97 |
2,97 |
2,97 |
|
|
|
18 |
Ván lát đường |
m3 |
0,08 |
0,08 |
|
|
0,10 |
2,97 |
2,97 |
|
Bảng số 53
|
TT |
Tên Vật liệu |
ĐVT |
Tiết diện 3,80 m2 |
|||
|
KLM bằng búa khoan ép hơi, vận tải xe cút kít |
KLM bằng búa khoan ép hơi, vận tải xe goòng |
|||||
|
LCC |
LKC |
LCC |
LKC |
|||
|
1 |
Băng dính to |
cuộn |
0,1 |
0,1 |
0,1 |
0,1 |
|
2 |
Bìa đóng sổ |
tờ |
0,1 |
0,1 |
0,1 |
0,1 |
|
3 |
Bút bi |
cái |
0,2 |
0,2 |
0,2 |
0,2 |
|
4 |
Bút chì kim |
cái |
0,1 |
0,1 |
0,1 |
0,1 |
|
5 |
Bút xóa |
cái |
0,1 |
0,1 |
0,1 |
0,1 |
|
6 |
Cáp điện lực 4 lõi đồng |
m |
2,70 |
2,70 |
2,70 |
2,70 |
|
7 |
Cáp tín hiệu, điều khiển phòng nổ |
m |
2,70 |
2,70 |
2,70 |
2,70 |
|
8 |
Dầu bôi trơn |
kg |
3,36 |
3,06 |
0,84 |
0,60 |
|
9 |
Giấy A4 |
ram |
0,01 |
0,01 |
0,01 |
0,01 |
|
10 |
Giấy ô ly |
tờ |
0,1 |
0,1 |
0,1 |
0,1 |
|
11 |
Gỗ |
m3 |
1,42 |
|
1,42 |
|
|
12 |
Ruột chì kim |
hộp |
0,1 |
0,1 |
0,1 |
0,1 |
|
13 |
Tẩy |
cái |
0,05 |
0,05 |
0,05 |
0,05 |
|
14 |
Túi Clear |
cái |
0,01 |
0,01 |
0,01 |
0,01 |
|
15 |
Mũi khoan đá F 42 mm |
cái |
0,63 |
0,63 |
0,63 |
0,63 |
|
16 |
Ray P-B cao 77 mm (20,2 kg/m) |
m |
3,19 |
3,19 |
3,19 |
3,19 |
|
17 |
Thanh giằng |
kg |
3,95 |
3,95 |
|
|
|
18 |
Ván lát đường |
3 m3 |
0,13 |
3,95 |
3,95 |
|
d) Mức tiêu hao vật liệu cho thi công đường lò có chiếu sáng:
Bảng số 54
|
TT |
Tên Vật liệu |
ĐVT |
Tiết diện 2,85 m2 |
Tiết diện 3,32 m2 |
||||||
|
ĐTC, vận tải xe cút kít |
ĐTC, vận tải xe goòng |
KLM bằng búa khoan ép hơi, vận tải xe cút kít |
KLM bằng búa khoan ép hơi, vận tải xe goòng |
|||||||
|
LCC |
LKC |
LCC |
LKC |
LCC |
LKC |
LCC |
LKC |
|||
|
1 |
Băng dính to |
cuộn |
0,1 |
0,1 |
0,1 |
0,1 |
0,1 |
0,1 |
0,1 |
0,1 |
|
2 |
Bìa đóng sổ |
tờ |
0,1 |
0,1 |
0,1 |
0,1 |
0,1 |
0,1 |
0,1 |
0,1 |
|
3 |
Bút bi |
cái |
0,2 |
0,2 |
0,2 |
0,2 |
0,2 |
0,2 |
0,2 |
0,2 |
|
4 |
Bút chì kim |
cái |
0,1 |
0,1 |
0,1 |
0,1 |
0,1 |
0,1 |
0,1 |
0,1 |
|
5 |
Bút xóa |
cái |
0,1 |
0,1 |
0,1 |
0,1 |
0,1 |
0,1 |
0,1 |
0,1 |
|
6 |
Bóng đèn tròn 100 W |
cái |
1 |
1 |
1 |
1 |
1 |
1 |
1 |
1 |
|
7 |
Cáp điện lực4 lõi đồng |
m |
2,70 |
2,70 |
2,70 |
2,70 |
2,70 |
2,70 |
2,70 |
2,70 |
|
8 |
Cáp tín hiệu, điều khiển phòng nổ |
m |
2,70 |
2,70 |
2,70 |
2,70 |
2,70 |
2,70 |
2,70 |
2,70 |
|
9 |
Dầu bôi trơn |
kg |
2,31 |
2,10 |
2,53 |
2,30 |
2,53 |
2,30 |
0,63 |
0,45 |
|
10 |
Dây điện đôi |
m |
2 |
20 |
2 |
2 |
2 |
2 |
2 |
2 |
|
11 |
Giấy A4 |
ram |
0,01 |
0,01 |
0,01 |
0,01 |
0,01 |
0,01 |
0,01 |
0,01 |
|
12 |
Giấy ôly |
tờ |
0,1 |
0,1 |
0,1 |
0,1 |
0,1 |
0,1 |
0,1 |
0,1 |
|
13 |
Gỗ |
m3 |
1,00 |
|
1,07 |
|
1,07 |
|
1,07 |
|
|
14 |
Ruột chì kim |
hộp |
0,1 |
0,1 |
0,1 |
0,1 |
0,1 |
0,1 |
0,1 |
0,1 |
|
15 |
Tẩy |
cái |
0,05 |
0,05 |
0,05 |
0,05 |
0,05 |
0,05 |
0,05 |
0,05 |
|
16 |
Túi Clear |
cái |
0,01 |
0,01 |
0,01 |
0,01 |
0,01 |
0,01 |
0,01 |
0,01 |
|
17 |
Mũi khoan đá F 42 mm |
cái |
|
|
|
|
0,47 |
0,47 |
0,47 |
0,47 |
|
18 |
Ray P-B cao 77 mm (20,2 kg/m) |
m |
|
|
2,40 |
2,40 |
2,40 |
2,40 |
2,40 |
2,40 |
|
19 |
Thanh giằng |
kg |
|
|
2,97 |
2,97 |
2,97 |
2,97 |
|
|
|
20 |
Ván lát đường |
m3 |
0,08 |
0,08 |
|
|
0,10 |
2,97 |
2,97 |
|
Bảng số 55
|
TT |
Tên Vật liệu |
ĐVT |
Tiết diện 3,80 m2 |
|||
|
KLM bằng búa khoan ép hơi, vận tải xe cút kít |
KLM bằng búa khoan ép hơi, vận tải xe goòng |
|||||
|
LCC |
LKC |
LCC |
LKC |
|||
|
1 |
Băng dính to |
cuộn |
0,1 |
0,1 |
0,1 |
0,1 |
|
2 |
Bìa đóng sổ |
tờ |
0,1 |
0,1 |
0,1 |
0,1 |
|
3 |
Bút bi |
cái |
0,2 |
0,2 |
0,2 |
0,2 |
|
4 |
Bút chì kim |
cái |
0,1 |
0,1 |
0,1 |
0,1 |
|
5 |
Bút xóa |
cái |
0,1 |
0,1 |
0,1 |
0,1 |
|
6 |
Bóng đèn tròn 100W |
cái |
1 |
1 |
1 |
1 |
|
7 |
Cáp điện lực 4 lõi đồng |
m |
2,70 |
2,70 |
2,70 |
2,70 |
|
8 |
Cáp tín hiệu, điều khiển phòng nổ |
m |
2,70 |
2,70 |
2,70 |
2,70 |
|
9 |
Dầu bôi trơn |
kg |
3,36 |
3,06 |
0,84 |
0,60 |
|
10 |
Dây điện đôi |
m |
2 |
2 |
2 |
2 |
|
11 |
Giấy A4 |
ram |
0,01 |
0,01 |
0,01 |
0,01 |
|
12 |
Giấy ôly |
tờ |
0,1 |
0,1 |
0,1 |
0,1 |
|
13 |
Gỗ |
m3 |
1,42 |
|
1,42 |
|
|
14 |
Ruột chì kim |
hộp |
0,1 |
0,1 |
0,1 |
0,1 |
|
15 |
Tẩy |
cái |
0,05 |
0,05 |
0,05 |
0,05 |
|
16 |
Túi Clear |
cái |
0,01 |
0,01 |
0,01 |
0,01 |
|
17 |
Mũi khoan đá F 42mm |
cái |
0,63 |
0,63 |
0,63 |
0,63 |
|
18 |
Ray P-B cao 77mm (20,2kg/m) |
m |
3,19 |
3,19 |
3,19 |
3,19 |
|
19 |
Thanh giằng |
kg |
3,95 |
3,95 |
|
|
|
20 |
Ván lát đường |
3 m3 |
0,13 |
3,95 |
3,95 |
|
V.5. Định mức tiêu hao nhiên liệu: tính cho 1m lò
Mức tiêu hao nhiên liệu quy định tại Bảng số 56 tính cho điều kiện chiều sâu lò từ 0 đến 100m, đất đá cấp VIII. Đối với các điều kiện thi công khác, được điều chỉnh theo hệ số quy định tại Bảng số 59.
Bảng số 56
|
TT |
Nhiên liệu |
ĐVT |
Mức |
|||||||||||
|
Tiết diện 2,85 m2 ĐTC, vận tải xe cút kít |
Tiết diện 3,23 m2 ĐTC, vận tải xe cút goòng |
Tiết diện 3,23 m2 ĐCK, vận tải xe cút kít |
Tiết diện 3,23 m2 ĐCK, vận tải xe goòng |
Tiết diện 3,80 m2 ĐCK, vận tải xe cút kít |
Tiết diện 3,80 m2ĐCK vận tải xe goòng |
|||||||||
|
LCC |
LKC |
LCC |
LKC |
LCC |
LKC |
LCC |
LKC |
LCC |
LKC |
LCC |
LKC |
|||
|
1 |
Dầu diezen |
lit |
237,26 |
113,64 |
259,93 |
124,49 |
79,29 |
56,59 |
65,31 |
46,61 |
88,3 |
65,6 |
74,32 |
55,62 |
Hệ số sử dụng dụng cụ, thiết bị cho công tác đào xúc đất đá phần cửa lò Quy định tại Bảng số 57.
Bảng số 57
|
Công việc |
Cấp đất đá |
|||||
|
I-III |
IV |
V-VI |
VII |
VIII |
IX-X |
|
|
Đào xúc đất đá phần cửa lò bằng phương pháp thủ công |
0,95 |
1,13 |
0,49 |
0,74 |
1,00 |
1,85 |
Hệ số sử dụng dụng cụ, thiết bị cho công tác chống cửa lò quy định tại Bảng số 58.
Bảng số 58
|
Công việc |
Cấp đất đá cho cả 2 tiết diện |
||
|
I-VI |
VII-VIII |
IX-X |
|
|
Chống cửa lò |
0,85 |
1,00 |
1,16 |
Hệ số sử dụng dụng cụ, thiết bị và nhiên liệu cho thi công lò quy định tại Bảng số 59.
Bảng số 59
|
Tiết diện lò(m2) |
Phương pháp đào lò, vận chuyển |
Khoảng chiều sâu (m) |
Cấp đất đá và điều kiện chống chèn |
||||||
|
Lò có chống |
Lò không chống |
||||||||
|
I-III |
IV |
V |
VI |
VII |
VIII |
IX-X |
|||
|
2,85 |
ĐTC, vận tải xe cút kít |
0-50 |
0,16 |
0,21 |
0,27 |
0,29 |
0,33 |
0,50 |
0,76 |
|
0-100 |
0,31 |
0,41 |
0,54 |
0,58 |
0,67 |
1,00 |
1,52 |
||
|
0-300 |
0,36 |
0,48 |
0,60 |
0,73 |
0,75 |
1,13 |
1,71 |
||
|
2,85 |
ĐTC, vận tải xe goòng |
0-50 |
0,15 |
0,20 |
0,26 |
0,32 |
0,33 |
0,50 |
0,76 |
|
0-100 |
0,31 |
0,41 |
0,52 |
0,64 |
0,67 |
1,00 |
1,52 |
||
|
0-300 |
0,34 |
0,46 |
0,57 |
0,69 |
0,73 |
1,09 |
1,66 |
||
|
3,23 |
ĐCK bằng búa khoan ép hơi, vận tải xe cút kít |
0-50 |
|
|
0,40 |
0,44 |
0,47 |
0,50 |
0,73 |
|
0-100 |
|
|
0,80 |
0,89 |
0,93 |
1,00 |
1,45 |
||
|
0-300 |
|
|
0,92 |
1,05 |
1,10 |
1,28 |
1,81 |
||
|
3,23 |
ĐCK bằng búa khoan ép hơi, vận tải xe goòng |
0-50 |
|
|
0,93 |
1,04 |
1,11 |
1,19 |
1,74 |
|
0-100 |
|
|
0,78 |
0,88 |
0,93 |
1,00 |
1,46 |
||
|
0-300 |
|
|
1,80 |
2,03 |
2,14 |
2,50 |
3,53 |
||
|
3,80 |
ĐCK bằng búa khoan ép hơi, vận tải xe cút kít |
0-50 |
|
|
0,40 |
0,44 |
0,47 |
0,50 |
0,73 |
|
0-100 |
|
|
0,80 |
0,89 |
0,93 |
1,00 |
1,45 |
||
|
0-300 |
|
|
0,92 |
1,05 |
1,10 |
1,28 |
1,81 |
||
|
3,80 |
ĐCK bằng búa khoan ép hơi, vận tải xe goòng |
0-50 |
|
|
0,93 |
1,04 |
1,11 |
1,19 |
1,74 |
|
0-100 |
|
|
0,78 |
0,88 |
0,93 |
1,00 |
1,46 |
||
|
0-300 |
|
|
1,80 |
2,03 |
2,14 |
2,50 |
3,53 |
||
VI. Lấp công trình hào, hố và giếng
VI.1. Định mức lao động
VI.1.1. Nội dung công việc
- Vận chuyển vật tư, dụng cụ từ địa điểm tập kết đến công trình trong thời gian thi công;
- Chuẩn bị dụng cụ để thi công;
- Đào hoặc xới tơi đất đá đã được hót lên từ trước, xúc đổ xuống công trình;
- Đầm nén đất đá trên mặt công trình và tiếp tục đưa đất đá vào lấp cho đến khi đầy;
- Kiểm tra việc lấp;
- Thu dọn dụng cụ và di chuyển địa điểm đến công trình khác trong phạm vi thi công đề án ≤ 10 km.
- Che chắn bảo vệ công trình.
* Điều kiện thực hiện
- Lấp công trình hào, hố và giếng được thực hiện bằng phương pháp thủ công;
- Việc lấp được thực hiện lấy đất đá cách miệng công trình là ≤ 3 m;
- Đất đá để lấp thuộc đất tươi hoặc cục;
- Nếu công trình ở vùng ruộng đất canh tác, công trình phải được lấp đảm bảo bằng mặt ngang để có thể tiếp tục canh tác được;
- Công trình ở vùng đất không canh tác phải lấp tới định mức không gây tai nạn cho người và súc vật qua lại.
* Những công việc chưa có trong định mức
- Di chuyển giữa các công trình trong phạm vi > 10 km;
- Chuyển quân từ đơn vị đến điểm tập kết thi công và ngược lại.
1.2. Phân loại khó khăn
Phân loại khó khăn được quy định tại Phụ lục I và Phụ lục II.
1.3.Định biên
Bảng số 60
|
Loại lao động Hạng mục |
CN4 (N2) |
Nhóm |
|
Lấp công trình hào, hố và giếng |
1 |
1 |
1.4. Định mức: công nhóm/100 m3
Định mức thời gian công tác lấp công trình hào, hố và giếng bằng phương pháp thủ công được quy định tại Bảng số 61.
Bảng số 61
|
Công việc |
Định mức |
|
Lấp công trình hào, hố và giếng |
41,5 |
* Ghi chú:
- Khi thi công khác với điều kiện trên thì định mức thời gian được nhân với các hệ số sau:
- Điều kiện đất sét dẻo dính bết vào cuốc, xẻng khó thi công: hệ số 1,15;
- Điều kiện rừng núi hẻo lánh, khí hậu khắc nghiệt, giao thông đi lại khó khăn: hệ số 1,15.
- Công việc phải ngừng nghỉ do thời tiết quy định tại Phụ lục II, định mức công tác lấp công trình hào, hố và giếng được điều chỉnh theo các hệ số quy định tại Bảng số 01.
2. Định mức dụng cụ lao động: ca/100 m3
Mức hao mòn dụng cụ được quy định tại Bảng số 62 xây dựng cho lấp thủ công không đầm nén. Khi thi công có đầm nén, mức trên được điều chỉnh với hệ số k = 1,18.
Bảng số 62
|
TT |
Tên dụng cụ |
ĐVT |
Thời hạn (tháng) |
Số lượng |
Định mức |
|
1 |
Ba lô |
cái |
24 |
1 |
37,39 |
|
2 |
Cuốc chim |
cái |
24 |
1 |
37,39 |
|
3 |
Dao phát cây |
cái |
12 |
1 |
37,39 |
|
4 |
Găng tay BHLĐ |
đôi |
12 |
1 |
37,39 |
|
5 |
Giầy BHLĐ |
đôi |
6 |
1 |
37,39 |
|
6 |
Hòm tôn đựng dụng cụ |
cái |
6 |
1 |
37,39 |
|
7 |
Khoá hòm |
cái |
60 |
1 |
37,39 |
|
8 |
Kính BHLĐ |
cái |
36 |
1 |
37,39 |
|
9 |
Mũ BHLĐ |
cái |
12 |
1 |
37,39 |
|
10 |
Quần áo mưa BHLĐ |
bộ |
12 |
1 |
37,39 |
|
11 |
Quần áo BHLĐ |
bộ |
9 |
1 |
37,39 |
|
12 |
Xô nhựa 10 lít |
cái |
9 |
1 |
37,39 |
|
13 |
Tất chống vắt |
đôi |
6 |
1 |
37,39 |
|
14 |
Xà beng |
cái |
24 |
1 |
37,39 |
|
15 |
Xẻng |
cái |
24 |
1 |
37,39 |
Chương II
CÔNG TÁC LẤY MẪU TẠI CÁC CÔNG TRÌNH KHAI ĐÀO
I. Lấy mẫu cục
I.1. Định mức lao động
I.1.1. Nội dung công việc
- Chuẩn bị dụng cụ, vật liệu, di chuyển từ nơi ở đến nơi lấy mẫu;
- Chọn vị trí lấy mẫu, đánh dấu chu vi rãnh;
- Làm sạch vị trí lấy mẫu, trải lót bạt;
- Đục mẫu, đo kích thước mẫu, thu mẫu trên bạt bỏ vào túi, viết số hiệu, ghi chép vào sổ mẫu;
- Lấy tài liệu địa chất, mô tả mẫu;
- Bọc paraphin, đóng gói, lập danh sách và yêu cầu phân tích mẫu;
- Giám sát kỹ thuật, kiểm tra thực hiện công việc;
- Thu dọn bạt;
- Vận chuyển mẫu từ nơi lấy đến địa điểm tập kết;
- Di chuyển nơi ở trong vùng công tác.
* Điều kiện thực hiện
- Di chuyển giữa các công trình trong vòng 1.000 m;
- Vận chuyển mẫu từ nơi lấy đến địa điểm tập kết (có đường ôtô) trong vòng 2.000 m.
I.1.2.Phân loại khó khăn
Phân loại khó khăn được quy định tại Phụ lục I và Phụ lục II.
I.1.3. Định biên
Bảng số 63
|
Loại lao động Hạng mục |
ĐTV.III bậc 4/9 |
CN5 (N2) |
Nhóm |
|
Lấy mẫu cục |
1 |
1 |
2 |
I.1.4. Định mức: công nhóm/100 mẫu
Định mức thời gian công tác lấy mẫu cục được quy định tại Bảng số 64.
Bảng số 64
|
TT |
Kích thước mẫu cm (dài x rộng x dày) |
Cấp đất đá theo khai đào |
|||
|
I-III |
IV-VI |
VII-VIII |
IX-X |
||
|
1. |
10 x 10 x 10 |
18,50 |
37,56 |
56,06 |
64,47 |
|
2. |
20 x 10 x 5 |
18,50 |
37,56 |
56,06 |
64,47 |
|
3. |
30 x30 x 30 |
44,00 |
89,33 |
133,33 |
153,33 |
* Ghi chú:
- Công việc phải ngừng nghỉ do thời tiết quy định tại Phụ lục II, định mức công tác lấy mẫu cục được điều chỉnh theo các hệ số quy định tại Bảng số 01.
I.2. Định mức sử dụng máy móc, thiết bị: ca/100 mẫu
Mức khấu hao thiết bị được quy định tại Bảng số 65 tính cho đất đá cấp VII-VIII, kích thước mẫu cục là 10cm x 10cm x 10cm (dài x rộng x dày). Đối với điều kiện thi công khác, được điều chỉnh theo hệ số quy định tại Bảng số 68.
Bảng số 65
|
TT |
Tên thiết bị |
ĐVT |
Thời hạn (năm) |
Số lượng |
Định mức |
|
1 |
Định vị vệ tinh (GPS) cầm tay |
bộ |
10 |
1 |
50,50 |
|
2 |
Máy tính xách tay 0,04 kw |
cái |
5 |
1 |
50,50 |
I.3. Định mức dụng cụ lao động: ca/100 mẫu
Mức hao mòn dụng cụ được quy định tại Bảng số 66 tính cho đất đá cấp VII-VIII, kích thước mẫu cục là 10cm x 10cm x 10cm (dài x rộng x dày). Đối với điều kiện thi công khác, được điều chỉnh theo hệ số quy định tại Bảng số 68.
Bảng số 66
|
TT |
Tên dụng cụ |
ĐVT |
Thời hạn (tháng) |
Số lượng |
Định mức |
|
1 |
Ba lô |
cái |
24 |
2 |
101,01 |
|
2 |
Búa địa chất |
cái |
24 |
1 |
50,50 |
|
3 |
Búa tạ 5 kg |
cái |
24 |
1 |
50,50 |
|
4 |
Cân 50 hoặc 100 kg |
cái |
24 |
1 |
50,50 |
|
5 |
Choòng đục mẫu |
cái |
24 |
1 |
50,50 |
|
6 |
Cuốc chim |
cái |
24 |
1 |
50,50 |
|
7 |
Chuột máy tính |
cái |
12 |
1 |
50,50 |
|
8 |
Dao phát cây |
cái |
12 |
1 |
50,50 |
|
9 |
Địa bàn địa chất |
cái |
36 |
1 |
50,50 |
|
10 |
Găng tay BHLĐ |
đôi |
6 |
2 |
101,01 |
|
11 |
Giầy BHLĐ |
đôi |
6 |
2 |
101,01 |
|
12 |
Hòm tôn đựng dụng cụ |
cái |
60 |
1 |
50,50 |
|
13 |
Khoá hòm |
cái |
36 |
2 |
101,01 |
|
14 |
Kính BHLĐ |
cái |
12 |
2 |
101,01 |
|
15 |
Kính lúp |
cái |
60 |
1 |
50,50 |
|
16 |
Máy ảnh kỹ thuật số |
cái |
60 |
1 |
50,50 |
|
17 |
Mũ BHLĐ |
cái |
12 |
2 |
101,01 |
|
18 |
Ồ cứng ghi ngoài |
cái |
24 |
1 |
50,50 |
|
19 |
Quần áo mưa BHLĐ |
bộ |
9 |
2 |
101,01 |
|
20 |
Quần áo BHLĐ |
bộ |
9 |
2 |
101,01 |
|
21 |
Tất chống vắt |
đôi |
6 |
2 |
101,01 |
|
22 |
Thước thép cuộn 3 m |
cái |
24 |
1 |
50,50 |
|
23 |
Xắc cốt đựng tài liệu |
cái |
24 |
1 |
50,50 |
|
24 |
Xà beng |
cái |
24 |
1 |
50,50 |
|
25 |
Xẻng |
cái |
24 |
1 |
50,50 |
4. Định mức tiêu hao vật liệu: tính cho 100 mẫu
Mức tiêu hao vật liệu được quy định tại Bảng số 67 được tính chung cho tất cả các cấp đất đá.
Bảng số 67
|
TT |
Tên vật liệu |
ĐVT |
Định mức |
|
1 |
Băng dính to |
cuộn |
5,00 |
|
2 |
Bìa đóng sổ |
tờ |
5,00 |
|
3 |
Bút bi |
cái |
1,28 |
|
4 |
Bút chì kim |
cái |
1,28 |
|
5 |
Bút lông |
cái |
1,28 |
|
6 |
Bút lông viết sơn |
cái |
1,28 |
|
7 |
Bút xóa |
cái |
1,28 |
|
8 |
Chổi quét paraphin |
cái |
10,00 |
|
9 |
Dây bện |
kg |
2,56 |
|
10 |
Dây buộc mẫu |
kg |
0,20 |
|
11 |
Giấy can |
m |
5,00 |
|
12 |
Giấy kẻ ly 60 x 80 cm |
tờ |
2,56 |
|
13 |
Giấy kẻ ngang |
thếp |
1,28 |
|
14 |
Hộp gỗ vuông đựng mẫu |
cái |
100,00 |
|
15 |
Hộp tôn lấy mẫu |
cái |
5,00 |
|
16 |
Ruột chì kim |
hộp |
0,10 |
|
17 |
Paraphin |
kg |
30,00 |
|
18 |
Sổ 15 x 20 cm |
quyển |
0,64 |
|
19 |
Sổ 30 x 50 cm |
quyển |
1,28 |
|
20 |
Sổ nhãn mẫu (500 tờ) |
quyển |
0,64 |
|
21 |
Sơn các màu |
kg |
0,06 |
|
22 |
Tẩy |
cái |
0,13 |
|
23 |
Túi Clear |
cái |
5,00 |
|
24 |
Túi xác rắn đựng mẫu 40 x 60 cm |
cái |
100,00 |
|
25 |
Vải màn 0,7 m - 1,0 m |
m2 |
10,00 |
|
26 |
Xoong nấu paraphin |
cái |
0,30 |
Hệ số sử dụng dụng cụ và thiết bị của công tác lấy mẫu cục được quy định tại Bảng số 68.
Bảng số 68
|
STT |
Kích thước mẫu cm (dài x rộng x dày) |
Cấp đất đá theo khai đào |
|||
|
I-III |
IV-VI |
VII-VIII |
IX-X |
||
|
1 |
10 x 10 x 10 |
0,33 |
0,67 |
1,00 |
1,15 |
|
2 |
20 x 10 x 5 |
0,33 |
0,67 |
1,00 |
1,15 |
|
3 |
30 x30 x30 |
0,78 |
1,59 |
2,38 |
2,74 |
II. Lấy mẫu rãnh
II.1. Định mức lao động
II.1.1. Nội dung công việc
- Chuẩn bị dụng cụ, vật liệu, di chuyển từ nơi ở đến nơi lấy mẫu;
- Chọn vị trí lấy mẫu, đánh dấu chu vi rãnh;
- Làm sạch vị trí lấy mẫu, trải lót bạt;
- Đục mẫu, đo rãnh, thu mẫu trên bạt bỏ vào túi, viết số hiệu, cân mẫu, ghi chép vào sổ mẫu;
- Lấy tài liệu địa chất, mô tả mẫu;
- Hoàn chỉnh các tài liệu lấy mẫu thực địa;
- Giám sát kỹ thuật, kiểm tra thực hiện công việc;
- Thu dọn bạt;
- Vận chuyển mẫu từ nơi lấy đến địa điểm tập kết;
- Di chuyển nơi ở trong vùng công tác.
* Điều kiện thực hiện
- Chiều dài mẫu rãnh điểm từ 0,4m đến 1,0m trong trường hợp thân khoáng sản mỏng, cấu tạo và thành phần không đồng nhất; từ 1,0m đến 3,0m trong trường hợp thân khoáng sản dày, cấu tạo và thành phần tương đối đồng nhất;
- Di chuyển giữa các công trình trong vòng 1.000 m;
- Vận chuyển mẫu từ nơi lấy đến địa điểm tập kết (có đường ôtô) trong vòng 2.000 m.
II.1.2. Phân loại khó khăn
Phân loại khó khăn được quy định tại Phụ lục I và Phụ lục II.
II.1.3. Định biên
Bảng số 69
|
Loại lao động Hạng mục |
ĐTV.IH bậc 4/9 |
CN5 (N2) |
Nhóm |
|
Lấy mẫu rãnh |
1 |
1 |
2 |
II.1.4. Định mức: công nhóm/100 mẫu
Định mức thời gian công tác lấy mẫu rãnh được quy định tại Bảng số 70.
Bảng số 70
|
TT |
Tiết diện rãnh cm (rộng x sâu) |
Cấp đất đá theo khai đào |
|||
|
I-III |
IV-VI |
VII-VIII |
IX-X |
||
|
1 |
5 x 3 |
7,89 |
12,86 |
18,12 |
23,15 |
|
2 |
5 x 5 |
11,62 |
17,32 |
23,285 |
29,73 |
|
3 |
10 x 3 |
15,34 |
21,78 |
28,45 |
36,32 |
|
4 |
10 x 5 |
18,24 |
25,65 |
33,72 |
48,69 |
* Ghi chú:
- Công việc phải ngừng nghỉ do thời tiết quy định tại Phụ lục II, định mức công tác lấy mẫu rãnh được điều chỉnh theo các hệ số quy định tại Bảng số 01.
II.2. Định mức sử dụng máy móc, thiết bị: ca/100 mẫu
Mức khấu hao thiết bị được quy định tại Bảng số 71 tính cho đất đá cấp VII-VIII, tiết diện rãnh 5 cm x 5 cm. Đối với điều kiện thi công khác, được điều chỉnh theo hệ số quy định tại Bảng số 74.
Bảng số 71
|
TT |
Tên thiết bị |
ĐVT |
Thời hạn (năm) |
Số lượng |
Định mức |
|
1 |
Định vị vệ tinh (GPS) cầm tay |
bộ |
10 |
1 |
20,98 |
|
2 |
Máy tính xách tay 0,04kw |
cái |
5 |
1 |
20,98 |
II.3. Định mức dụng cụ lao động: ca/100 mẫu
Mức hao mòn dụng cụ được quy định tại Bảng số 72 tính cho đất đá cấp VII-VIII, tiết diện rãnh 5 cm x 5 cm. Đối với điều kiện thi công khác, được điều chỉnh theo hệ số quy định tại Bảng số 74.
Bảng số 72
|
TT |
Tên dụng cụ |
ĐVT |
Thời hạn (tháng) |
Số lượng |
Định mức |
|
1 |
Ba lô |
cái |
24 |
2 |
41,95 |
|
2 |
Búa địa chất |
cái |
24 |
1 |
20,98 |
|
3 |
Búa tạ 5 kg |
cái |
24 |
1 |
20,98 |
|
4 |
Cân 50 - 100 kg |
cái |
24 |
1 |
20,98 |
|
5 |
Choòng đục mẫu |
cái |
24 |
1 |
20,98 |
|
6 |
Cuốc chim |
cái |
24 |
1 |
20,98 |
|
7 |
Chuột máy tính |
cái |
12 |
1 |
20,98 |
|
8 |
Dao phát cây |
cái |
12 |
1 |
20,98 |
|
9 |
Địa bàn địa chất |
cái |
36 |
1 |
20,98 |
|
10 |
Găng tay BHLĐ |
đôi |
6 |
2 |
41,95 |
|
11 |
Giầy BHLĐ |
đôi |
6 |
2 |
41,95 |
|
12 |
Hòm tôn đựng dụng cụ |
cái |
60 |
1 |
20,98 |
|
13 |
Khoá hòm |
cái |
36 |
1 |
20,98 |
|
14 |
Kính BHLĐ |
cái |
12 |
2 |
41,95 |
|
15 |
Kính lúp |
cái |
60 |
2 |
41,95 |
|
16 |
Máy ảnh kỹ thuật số |
cái |
60 |
1 |
20,98 |
|
17 |
Mũ BHLĐ |
cái |
12 |
1 |
20,98 |
|
18 |
Ổ cứng ghi ngoài |
cái |
24 |
2 |
41,95 |
|
19 |
Quần áo mưa BHLĐ |
bộ |
9 |
1 |
20,98 |
|
20 |
Quần áo BHLĐ |
bộ |
9 |
1 |
20,98 |
|
21 |
Tất chống vắt |
đôi |
6 |
2 |
41,95 |
|
22 |
Thước thép cuộn 3m |
cái |
24 |
2 |
41,95 |
|
23 |
Xắc cốt đựng tài liệu |
cái |
24 |
2 |
41,95 |
|
24 |
Xà beng |
cái |
24 |
1 |
20,98 |
|
25 |
Xẻng |
cái |
24 |
1 |
20,98 |
II.4. Định mức tiêu hao vật liệu: tính cho 100 mẫu
Mức tiêu hao vật liệu được quy định tại Bảng số 73 được tính chung cho tất cả các cấp đất đá.
Bảng số 73
|
TT |
Tên vật liệu |
ĐVT |
Định mức |
|
1 |
Băng dính to |
cuộn |
5,00 |
|
2 |
Bìa đóng sổ |
tờ |
5,00 |
|
3 |
Bút bi |
cái |
1,28 |
|
4 |
Bút chì kim |
cái |
1,28 |
|
5 |
Bút lông |
cái |
1,28 |
|
6 |
Bút lông viết sơn |
cái |
1,28 |
|
7 |
Bút xóa |
cái |
1,28 |
|
8 |
Dây bện |
kg |
2,56 |
|
9 |
Dây buộc mẫu |
kg |
0,20 |
|
10 |
Giấy can |
m |
5,00 |
|
11 |
Giấy kẻ ly 60 x 80 cm |
tờ |
2,56 |
|
12 |
Giấy kẻ ngang |
thếp |
1,28 |
|
13 |
Ruột chì kim |
hộp |
0,10 |
|
14 |
Sổ 15 x 20 cm |
quyển |
0,64 |
|
15 |
Sổ 30 x 50 cm |
quyển |
1,28 |
|
16 |
Sổ nhãn mẫu (500 tờ) |
quyển |
0,64 |
|
17 |
Sơn các màu |
kg |
0,06 |
|
18 |
Tẩy |
cái |
0,13 |
|
19 |
Túi Clear |
cái |
5,00 |
|
20 |
Túi xác rắn đựng mẫu 40 x 60 cm |
cái |
100,00 |
Hệ số sử dụng dụng cụ và thiết bị của công tác lấy mẫu rãnh được quy định tại Bảng số 74.
Bảng số 74
|
TT |
Tiết diện rãnh (cm) (rộng x sâu) |
Cấp đất đá |
|||
|
I-III |
IV-VI |
VII-VIII |
IX-X |
||
|
1 |
5 x 3 |
0,22 |
0,44 |
0,66 |
0,76 |
|
2 |
5 x 5 |
0,33 |
0,67 |
1,00 |
1,15 |
|
3 |
10 x 3 |
0,37 |
0,74 |
1,11 |
1,28 |
|
4 |
10 x 5 |
0,49 |
0,99 |
1,33 |
1,67 |
III. Lấy mẫu điểm, mẫu rãnh điểm, mẫu lưới điểm
III.1. Định mức lao động
III.1.1. Nội dung công việc
- Chuẩn bị dụng cụ, vật liệu, di chuyển từ nơi ở đến nơi lấy mẫu;
- Chọn vị trí lấy mẫu, đánh dấu chu vi rãnh;
- Làm sạch vị trí lấy mẫu, trải lót bạt;
- Đục mẫu, đo rãnh, thu mẫu trên bạt bỏ vào túi, viết số hiệu, cân mẫu, ghi chép vào sổ mẫu;
- Lấy tài liệu địa chất, mô tả mẫu;
- Hoàn chỉnh các tài liệu lấy mẫu thực địa;
- Giám sát kỹ thuật, đo kiểm tra kích thước các điểm, rãnh, lưới lấy mẫu và cân khối lượng mẫu;
- Thu dọn bạt;
- Vận chuyển mẫu từ nơi lấy đến địa điểm tập kết;
- Di chuyển nơi ở trong vùng công tác.
* Điều kiện thực hiện
- Khối lượng một mẫu điểm từ 5,0 kg đến 10,0 kg;
- Chiều dài mẫu rãnh điểm từ 0,4 m đến 1,0 m trong trường hợp thân khoáng sản mỏng, cấu tạo và thành phần không đồng nhất; từ 1,0 m đến 3,0 m trong trường hợp thân khoáng sản dày, cấu tạo và thành phần tương đối đồng nhất;
- Cục mẫu của mẫu lưới điểm có kích thước khoảng 1,0 cm đến 3,0 cm;
- Di chuyển giữa các công trình trong vòng 1.000 m;
- Vận chuyển mẫu từ nơi lấy đến địa điểm tập kết (có đường ôtô) trong vòng 2.000 m.
III.1.2. Phân loại khó khăn
Phân loại khó khăn được quy định tại Phụ lục I và Phụ lục II.
III.1.3. Định biên
Bảng số 75
|
Loại lao động Hạng mục |
ĐTV.III bậc 4/9 |
CN5 (N2) |
Nhóm |
|
Lấy mẫu điểm, mẫu rãnh điểm, mẫu lưới điểm |
1 |
1 |
2 |
III.1.4. Định mức: công nhóm/100 mẫu
Mức hao phí thời gian thực hiện công tác lấy mẫu điểm, mẫu rãnh điểm, mẫu lưới điểm được quy định tại Bảng số 76.
Bảng số 76
|
Nội dung công việc |
Cấp đất đá theo khai đào |
|||
|
I-III |
IV-VI |
VII-VIII |
IX-X |
|
|
Mẫu điểm |
7,89 |
12,86 |
18,12 |
23,15 |
|
Mẫu rãnh điểm |
11,62 |
17,32 |
23,285 |
29,73 |
|
Mẫu lưới điểm |
15,34 |
21,78 |
28,45 |
36,32 |
* Ghi chú:
- Công việc phải ngừng nghỉ do thời tiết quy định tại Phụ lục II, công tác lấy mẫu điểm, mẫu rãnh điểm, mẫu lưới điểm được điều chỉnh theo các hệ số quy định tại Bảng số 01.
III.2. Định mức sử dụng máy móc, thiết bị: ca/100 mẫu
Mức khấu hao thiết bị được quy định tại Bảng số 77 tính cho đất đá cấp VII-VIII, mẫu rãnh điểm. Đối với các điều kiện thi công khác, được điều chỉnh theo hệ số quy định tại Bảng số 80.
Bảng số 77
|
TT |
Tên thiết bị |
ĐVT |
Thời hạn (năm) |
Số lượng |
Định mức |
|
1 |
Định vị vệ tinh (GPS) cầm tay |
bộ |
10 |
1 |
20,98 |
|
2 |
Máy tính xách tay 0,04 kw |
cái |
5 |
1 |
20,98 |
III.3. Định mức dụng cụ lao động: ca/100 mẫu
Mức hao mòn dụng cụ được quy định tại Bảng số 78 tính cho đất đá cấp VII-VIII, mẫu rãnh điểm. Đối với các điều kiện thi công khác, được điều chỉnh theo hệ số quy định tại Bảng số 80.
Bảng số 78
|
TT |
Tên dụng cụ |
ĐVT |
Thời hạn (tháng) |
Số lượng |
Định mức |
|
1 |
Ba lô |
cái |
24 |
2 |
41,95 |
|
2 |
Búa địa chất |
cái |
24 |
1 |
20,98 |
|
3 |
Búa tạ 5 kg |
cái |
24 |
1 |
20,98 |
|
4 |
Cân 50kg hoặc 100 kg |
cái |
24 |
1 |
20,98 |
|
5 |
Choòng đục mẫu |
cái |
24 |
1 |
20,98 |
|
6 |
Cuốc chim |
cái |
24 |
1 |
20,98 |
|
7 |
Chuột máy tính |
cái |
12 |
1 |
20,98 |
|
8 |
Dao phát cây |
cái |
12 |
1 |
20,98 |
|
9 |
Địa bàn địa chất |
cái |
36 |
1 |
20,98 |
|
10 |
Găng tay BHLĐ |
đôi |
6 |
2 |
41,95 |
|
11 |
Giầy BHLĐ |
đôi |
6 |
2 |
41,95 |
|
12 |
Hòm tôn đựng dụng cụ |
cái |
60 |
1 |
20,98 |
|
13 |
Khoá hòm |
cái |
36 |
1 |
20,98 |
|
14 |
Kính BHLĐ |
cái |
12 |
2 |
41,95 |
|
15 |
Kính lúp |
cái |
60 |
2 |
41,95 |
|
16 |
Máy ảnh kỹ thuật số |
cái |
60 |
1 |
20,98 |
|
17 |
MũBHLĐ |
cái |
12 |
1 |
20,98 |
|
18 |
Ổ cứng ghi ngoài |
cái |
24 |
2 |
41,95 |
|
19 |
Quần áo mưa BHLĐ |
bộ |
9 |
1 |
20,98 |
|
20 |
Quần áo BHLĐ |
bộ |
9 |
1 |
20,98 |
|
21 |
Tất chống vắt |
đôi |
6 |
2 |
41,95 |
|
22 |
Thước thép cuộn 3 m |
cái |
24 |
2 |
41,95 |
|
23 |
Xắc cốt đựng tài liệu |
cái |
24 |
2 |
41,95 |
|
24 |
Xà beng |
cái |
24 |
1 |
20,98 |
|
25 |
Xẻng |
cái |
24 |
1 |
20,98 |
III.4. Định mức tiêu hao vật liệu: tính cho 100 mẫu
Mức tiêu hao vật liệu được quy định tại Bảng số 79 được tính chung cho tất cả các cấp đất đá.
Bảng số 79
|
TT |
Tên vật liệu |
ĐVT |
Định mức |
|
1 |
Băng dính to |
cuộn |
5,00 |
|
2 |
Bìa đóng sổ |
tờ |
5,00 |
|
3 |
Bút bi |
cái |
1,28 |
|
4 |
Bút chì kim |
cái |
1,28 |
|
5 |
Bút lông |
cái |
1,28 |
|
6 |
Bút lông viết sơn |
cái |
1,28 |
|
7 |
Bút xóa |
cái |
1,28 |
|
8 |
Dây bện |
kg |
2,56 |
|
9 |
Dây buộc mẫu |
kg |
0,20 |
|
10 |
Giấy can |
m |
5,00 |
|
11 |
Giấy kẻ ly 60 x 80 cm |
tờ |
2,56 |
|
12 |
Giấy kẻ ngang |
thếp |
1,28 |
|
13 |
Ruột chì kim |
hộp |
0,10 |
|
14 |
Sổ 15 x 20 cm |
quyển |
0,64 |
|
15 |
Sổ 30 x 50 cm |
quyển |
1,28 |
|
16 |
Sổ nhãn mẫu (500 tờ) |
quyển |
0,64 |
|
17 |
Sơn các màu |
kg |
0,06 |
|
18 |
Tẩy |
cái |
0,13 |
|
19 |
Túi Clear |
cái |
5,00 |
|
20 |
Túi xác rắn đựng mẫu 40 x 60 cm |
cái |
100,00 |
Hệ số sử dụng dụng cụ và thiết bị của công tác lấy mẫu điểm, rãnh điểm, lưới điểm quy định tại Bảng số 80.
Bảng số 80
|
Nội dung |
Cấp đất đá |
|||
|
I-III |
IV-VI |
VII-VIII |
IX-X |
|
|
Mẫu điểm |
0,22 |
0,44 |
0,66 |
0,76 |
|
Mẫu rãnh điểm |
0,33 |
0,67 |
1,00 |
1,15 |
|
Mẫu lưới điểm |
0,37 |
0,74 |
1,11 |
1,28 |
IV. Lấy mẫu bóc tầng
IV.1. Định mức lao động
IV.1.1. Nội dung công việc
- Chuẩn bị dụng cụ, vật liệu, di chuyển từ nơi ở đến nơi lấy mẫu;
- Chọn vị trí lấy mẫu;
- Dọn sạch và làm phẳng vị trí cần lấy mẫu, trải lót bạt;
- Lấy tài liệu địa chất, mô tả mẫu, xác định vị trí tầng lấy mẫu; đo kích thước bố trí lấy mẫu;
- Hoàn chỉnh các tài liệu lấy mẫu thực địa;
- Giám sát kỹ thuật, đo kiểm tra kích thước và cân khối lượng mẫu;
- Thu dọn bạt;
- Vận chuyển mẫu từ nơi lấy đến địa điểm tập kết;
- Di chuyển nơi ở trong vùng công tác.
* Điều kiện thực hiện
- Diện tích khu vực lấy mẫu phải bằng phẳng, độ sâu lấy mẫu phải đồng nhất để bảo đảm tính đại diện của mẫu;
- Di chuyển giữa các công trình trong vòng 1.000 m;
- Vận chuyển mẫu từ nơi lấy đến địa điểm tập kết (có đường ôtô) trong vòng 2.000 m.
IV.1.2. Phân loại khó khăn
Phân loại khó khăn được quy định tại Phụ lục I và Phụ lục II.
IV. 1.3. Định biên
Bảng số 81
|
Loại lao động Hạng mục |
ĐTV.III bậc 4/9 |
CN5 (N2) |
Nhóm |
|
Lấy mẫu bóc tầng |
1 |
2 |
3 |
IV.1.4. Định mức: công nhóm/100 mẫu
Mức hao phí thời gian của thực hiện công tác lấy mẫu bóc tầng được quy định tại Bảng số 82.
Bảng số 82
|
Nội dung công việc |
Cấp đất đá theo khai đào |
|||
|
I-III |
IV-VI |
VII-VIII |
IX-X |
|
|
Mẫu bóc tầng |
11,62 |
17,32 |
23,285 |
29,73 |
* Ghi chú:
- Công việc phải ngừng nghỉ do thời tiết quy định tại Phụ lục II, định mức công tác lấy mẫu bóc tầng điều chỉnh theo các hệ số quy định tại Bảng số 01.
IV.2. Định mức sử dụng máy móc, thiết bị: ca/100 mẫu
Mức khấu hao thiết bị được quy định tại Bảng số 83 tính cho đất đá cấp VII-VIII. Đối với các điều kiện thi công khác, được điều chỉnh theo hệ số quy định tại Bảng số 86.
Bảng số 83
|
TT |
Tên thiết bị |
ĐVT |
Thời hạn (năm) |
Số lượng |
Định mức |
|
1 |
Định vị vệ tinh (GPS) cầm tay |
bộ |
10 |
1 |
20,98 |
|
2 |
Máy tính xách tay 0,04 kw |
cái |
5 |
1 |
20,98 |
IV.3. Định mức dụng cụ lao động: ca/100 mẫu
Mức hao mòn dụng cụ được quy định tại Bảng số 84 tính cho đất đá cấp VII-VIII. Đối với điều kiện thi công khác, được điều chỉnh theo hệ số quy định tại Bảng số 86.
Bảng số 84
|
TT |
Tên dụng cụ |
ĐVT |
Thời hạn (tháng) |
Số lượng |
Định mức |
|
1 |
Ba lô |
cái |
24 |
2 |
41,95 |
|
2 |
Búa địa chất |
cái |
24 |
1 |
20,98 |
|
3 |
Búa tạ 5 kg |
cái |
24 |
1 |
20,98 |
|
4 |
Cân 50 kg hoặc 100 kg |
cái |
24 |
1 |
20,98 |
|
5 |
Choòng đục mẫu |
cái |
24 |
1 |
20,98 |
|
6 |
Cuốc chim |
cái |
24 |
1 |
20,98 |
|
7 |
Chuột máy tính |
cái |
12 |
1 |
20,98 |
|
8 |
Dao phát cây |
cái |
12 |
1 |
20,98 |
|
9 |
Địa bàn địa chất |
cái |
36 |
1 |
20,98 |
|
10 |
Găng tay BHLĐ |
đôi |
6 |
2 |
41,95 |
|
11 |
Giầy BHLĐ |
đôi |
6 |
2 |
41,95 |
|
12 |
Hòm tôn đựng dụng cụ |
cái |
60 |
1 |
20,98 |
|
13 |
Khoá hòm |
cái |
36 |
1 |
20,98 |
|
14 |
Kính BHLĐ |
cái |
12 |
2 |
41,95 |
|
15 |
Kính lúp |
cái |
60 |
2 |
41,95 |
|
16 |
Máy ảnh kỹ thuật số |
cái |
60 |
1 |
20,98 |
|
17 |
Mũ BHLĐ |
cái |
12 |
1 |
20,98 |
|
18 |
Ổ cứng ghi ngoài |
cái |
24 |
2 |
41,95 |
|
19 |
Quần áo mưa BHLĐ |
bộ |
9 |
1 |
20,98 |
|
20 |
Quần áo BHLĐ |
bộ |
9 |
1 |
20,98 |
|
21 |
Tất chống vắt |
đôi |
6 |
2 |
41,95 |
|
22 |
Thước thép cuộn 3 m |
cái |
24 |
2 |
41,95 |
|
23 |
Xắc cốt đựng tài liệu |
cái |
24 |
2 |
41,95 |
|
24 |
Xà beng |
cái |
24 |
1 |
20,98 |
|
25 |
Xẻng |
cái |
24 |
1 |
20,98 |
IV.4. Định mức tiêu hao vật liệu: tính cho 100 mẫu
Mức tiêu hao vật liệu được quy định tại Bảng số 85 được tính chung cho tất cả các cấp đất đá.
Bảng số 85
|
TT |
Tên vật liệu |
ĐVT |
Định mức |
|
1 |
Băng dính to |
cuộn |
5,00 |
|
2 |
Bìa đóng sổ |
tờ |
5,00 |
|
3 |
Bút bi |
cái |
1,28 |
|
4 |
Bút chì kim |
cái |
1,28 |
|
5 |
Bút lông |
cái |
1,28 |
|
6 |
Bút lông viết sơn |
cái |
1,28 |
|
7 |
Bút xóa |
cái |
1,28 |
|
8 |
Dây bện |
kg |
2,56 |
|
9 |
Dây buộc mẫu |
kg |
0,20 |
|
10 |
Giấy can |
m |
5,00 |
|
11 |
Giấy kẻ ly 60 x 80 cm |
tờ |
2,56 |
|
12 |
Giấy kẻ ngang |
thếp |
1,28 |
|
13 |
Ruột chì kim |
hộp |
0,10 |
|
14 |
Sổ 15 x 20 cm |
quyển |
0,64 |
|
15 |
Sổ 30 x 50 cm |
quyển |
1,28 |
|
16 |
Sổ nhãn mẫu (500 tờ) |
quyển |
0,64 |
|
17 |
Sơn các màu |
kg |
0,06 |
|
18 |
Tẩy |
cái |
0,13 |
|
19 |
Túi Clear |
cái |
5,00 |
|
20 |
Túi xác rắn đựng mẫu 40 x 60 cm |
cái |
100,00 |
Hệ số sử dụng dụng cụ và thiết bị của công tác lấy mẫu bóc tầng quy định tại Bảng số 86.
Bảng số 86
|
Nội dung |
Cấp đất đá |
|||
|
I-III |
IV-VI |
VII-VIII |
IX-X |
|
|
Mẫu bóc tầng |
0,33 |
0,67 |
1,00 |
1,15 |
V. Lấy mẫu khối
V.1. Định mức lao động
V.1.1. Nội dung công việc
- Xác định kích thước và khối lượng mẫu theo phương được duyệt;
- Chuẩn bị dụng cụ, vật liệu, di chuyển từ nơi ở đến nơi lấy mẫu;
- Chọn vị trí lấy mẫu, đánh dấu chu vi rãnh;
- Xác định tầng, lớp, tầng chứa sản phẩm;
- Tách riêng phần quặng và phần không quặng bằng tay, rửa đãi hoặc bằng phương pháp thích hợp khác đối với mẫu khối làm mẫu hàm suất;
- Làm sạch vị trí lấy mẫu, trải lót bạt và che chắn xung quanh để tránh tổn thất mẫu;
- Bọc vải, phủ sáp, nến đối với mẫu khối làm mẫu thể trọng lớn;
- Viết số hiệu, cân mẫu, ghi chép vào sổ mẫu;
- Lấy tài liệu địa chất, mô tả mẫu;
- Hoàn chỉnh các tài liệu lấy mẫu thực địa;
- Giám sát kỹ thuật, đo kiểm tra kích thước và cân khối lượng mẫu;
- Thu dọn bạt;
- Vận chuyển mẫu từ nơi lấy đến địa điểm tập kết;
- Di chuyển nơi ở trong vùng công tác.
* Điều kiện thực hiện
- Di chuyển giữa các công trình trong vòng 1.000 m;
- Vận chuyển mẫu từ nơi lấy đến địa điểm tập kết (có đường ôtô) trong vòng 2.000 m.
V.1.2. Phân loại khó khăn
Phân loại khó khăn được quy định tại Phụ lục I và Phụ lục II.
V.1.3. Định biên
Bảng số 87
|
Loại lao động Hạng mục |
ĐTV.III bậc 4/9 |
CN6 (N2) |
CN4 (N2) |
Nhóm |
|
Lấy mẫu khối |
1 |
2 |
2 |
5 |
V.1.4. Định mức: công nhóm/1 mẫu
Mức hao phí thời gian thực hiện công tác lấy mẫu khối có kích thước 01 m3 được quy định tại Bảng số 88.
Bảng số 88
|
Nội dung công việc |
Cấp đất đá theo khai đào |
|||
|
I-III |
IV-VI |
VII-VIII |
IX-X |
|
|
Lấy mẫu khối |
1,15 |
1,38 |
2,07 |
5,64 |
* Ghi chú:
- Mẫu khối có kích thước lớn hơn 1m3, định mức trong Bảng số 88 được điều chỉnh theo hệ số k = kích thước mẫu thực tế lấy được (m3)/1 m3;
- Công việc phải ngừng nghỉ do thời tiết quy định tại Phụ lục II, định mức công tác lấy mẫu khối được điều chỉnh theo các hệ số quy định tại Bảng số 01.
V.2. Định mức sử dụng máy móc, thiết bị: ca/1 mẫu
Mức khấu hao thiết bị được quy định tại Bảng số 89 tính cho đất đá cấp VII-VIII của mẫu khối có kích thước bằng 1 m3. Đối với các điều kiện thi công khác, được điều chỉnh theo hệ số quy định tại Bảng số 93.
Bảng số 89
|
TT |
Tên thiết bị |
ĐVT |
Thời hạn (năm) |
Số lượng |
Định mức |
|
1 |
Định vị vệ tinh (GPS) cầm tay |
bộ |
10 |
1 |
1,86 |
|
2 |
Máy tính xách tay 0,04 kw |
cái |
5 |
1 |
1,86 |
|
3 |
Máy khoan đục |
cái |
5 |
1 |
1,86 |
|
4 |
Máy phát điện |
cái |
8 |
1 |
1,86 |
V.3. Định mức dụng cụ lao động: ca/1 mẫu
Mức hao mòn dụng cụ được quy định tại Bảng số 90 tính cho đất đá cấp VII-VIII của mẫu khối có kích thước bằng 1m3. Đối với các điều kiện thi công khác, được điều chỉnh theo hệ số quy định tại Bảng số 93.
Bảng số 90
|
TT |
Tên dụng cụ |
ĐVT |
Thời hạn (tháng) |
Số lượng |
Định mức |
|
1 |
Ba lô |
cái |
24 |
5 |
9,32 |
|
2 |
Búa địa chất |
cái |
24 |
1 |
1,86 |
|
3 |
Búa tạ 5 kg |
cái |
24 |
1 |
1,86 |
|
4 |
Choòng đục mẫu |
cái |
24 |
1 |
1,86 |
|
5 |
Cuốc chim |
cái |
24 |
1 |
1,86 |
|
6 |
Chuột máy tính |
cái |
12 |
1 |
1,86 |
|
7 |
Cưa gỗ |
cái |
12 |
1 |
1,86 |
|
8 |
Dao rựa |
cái |
12 |
1 |
1,86 |
|
9 |
Dao gấp |
cái |
12 |
1 |
1,86 |
|
10 |
Dao nhíp |
cái |
12 |
1 |
1,86 |
|
11 |
Dao phát cây |
cái |
12 |
2 |
3,73 |
|
12 |
Địa bàn địa chất |
cái |
36 |
1 |
1,86 |
|
13 |
Găng tay BHLĐ |
đôi |
6 |
5 |
9,32 |
|
14 |
Giầy BHLĐ |
đôi |
6 |
5 |
9,32 |
|
15 |
Hòm tôn đựng dụng cụ |
cái |
60 |
5 |
9,32 |
|
16 |
Hòm tôn đựng tài liệu |
cái |
60 |
1 |
1,86 |
|
17 |
Khoá hòm |
cái |
36 |
2 |
3,73 |
|
18 |
Kính BHLĐ |
cái |
12 |
5 |
9,32 |
|
19 |
Kính lúp |
cái |
60 |
1 |
1,86 |
|
20 |
Máy ảnh kỹ thuật số |
cái |
60 |
1 |
1,86 |
|
21 |
Mũ BHLĐ |
cái |
12 |
5 |
9,32 |
|
22 |
Ô cắm điện |
cái |
12 |
1 |
1,86 |
|
23 |
Ô cứng ghi ngoài |
cái |
24 |
1 |
1,86 |
|
24 |
Ống đựng bản vẽ |
cái |
24 |
1 |
1,86 |
|
25 |
Quần áo mưa BHLĐ |
bộ |
9 |
5 |
9,32 |
|
26 |
Quần áo BHLĐ |
bộ |
9 |
5 |
9,32 |
|
27 |
Xô nhựa 10 lít |
cái |
12 |
1 |
1,86 |
|
28 |
Tất chống vắt |
đôi |
6 |
5 |
9,32 |
|
29 |
Thước cuộn vải 50 m |
cái |
12 |
1 |
1,86 |
|
30 |
Thước nhựa 30 cm |
cái |
36 |
1 |
1,86 |
|
31 |
Thước thép cuộn 3 m |
cái |
24 |
1 |
1,86 |
|
32 |
Xắc cốt đựng tài liệu |
cái |
24 |
1 |
1,86 |
|
33 |
Xà beng |
cái |
24 |
1 |
1,86 |
|
34 |
Xẻng |
cái |
24 |
1 |
1,86 |
V.4. Định mức tiêu hao vật liệu: tính cho 1 mẫu
Mức tiêu hao vật liệu được quy định tại Bảng số 91 được tính chung cho tất cả các cấp đất đá.
Bảng số 91
|
TT |
Tên vật liệu |
ĐVT |
Định mức |
|
1 |
Băng dính to |
cuộn |
0,1 |
|
2 |
Bìa đóng sổ |
tờ |
0,1 |
|
3 |
Bút bi |
cái |
0,1 |
|
4 |
Bút chì kim |
cái |
0,1 |
|
5 |
Bút lông |
cái |
0,1 |
|
6 |
Bút lông viết sơn |
cái |
0,1 |
|
7 |
Bút xóa |
cái |
0,1 |
|
8 |
Giấy A4 |
ram |
0,002 |
|
9 |
Giấy ôly |
tờ |
0,1 |
|
10 |
Ruột chì kim |
hộp |
0,1 |
|
11 |
Sổ 15 x 20 cm |
quyển |
0,1 |
|
12 |
Sổ 30 x 50 cm |
quyển |
0,1 |
|
13 |
Sổ nhãn mẫu (500 tờ) |
quyển |
0,1 |
|
14 |
Sơn các màu |
kg |
0,1 |
|
15 |
Tẩy |
cái |
0,1 |
|
16 |
Túi Clear |
tờ |
0,1 |
V.5. Định mức tiêu hao nhiên liệu: tính cho 1 mẫu
Mức tiêu hao nhiên liệu được quy định tại Bảng số 92 tính cho đất đá cấp VII-VIII. Đối với các điều kiện thi công khác, được điều chỉnh theo hệ số quy định tại Bảng số 93.
Bảng số 92
|
TT |
Tên nhiên liệu |
ĐVT |
Mức tiêu hao |
|
1 |
Xăng |
lít |
55,89 |
Hệ số sử dụng dụng cụ và thiết bị và nhiên liệu của công tác lấy mẫu khối Bảng số 93
|
Cấp đất đá |
I-III |
IV-VI |
VII-VIII |
IX-X |
|
Hệ số |
0,33 |
0,67 |
1,00 |
1,15 |
Phụ lục I
BẢNG PHÂN CẤP ĐẤT ĐÁ CHO CÔNG TÁC KHAI ĐÀO
(Ban hành kèm theo Thông tư số 39/2024/TT-BTNMT ngày 27 tháng 12 năm 2024
của Bộ trưởng Bộ Tài nguyên và Môi trường)
|
Cấp đất đá |
Đất đá và quặng đặc trưng |
|
I |
Lớp phủ thổ nhưỡng; Trầm tích bở rời hạt nhỏ Đệ tứ: cát, bùn, than bùn, cát pha sét, sét pha cát. |
|
II |
Lớp phủ lẫn trên 30% sạn, dăm kích thước nhỏ hơn 5cm; sét nén chặt; Trầm tích bở rời hạt lớn Đệ tứ; |
|
III |
Trầm tích vụn thô: sạn, dăm, cuội sỏi có kích thước cuội nhỏ hơn 3cm trên 50%. Trầm tích gắn kết yếu, tuổi Neogen, Đệ tứ; Laterit gắn kết yếu. Than nâu; Quặng sắt limonit phong hóa, quặng mangan phong hóa; Đá phong hóa hoàn toàn; Đá cấp IV bị nứt nẻ, dập vỡ. |
|
IV |
Trầm tích Neogen gắn kết chắc; Đá bị phong hóa từ các đá cấp V:X; Đá cấp V bị nứt nẻ; Đá cấp VI bị dập vỡ; Đá cấp VII:X bị dập vỡ mạnh. |
|
V |
Trầm tích lục nguyên hạt nhỏ, hạt trung chưa bị biến chất; Đá trepel, diatomit. Than đá, antracit; Quặng sắt limonit; Đá bán phong hóa từ các đá cấp V¸X; Đá cấp VI bị nứt nẻ; Đá cấp VII bị dập vỡ. |
|
VI |
Trầm tích carbonat: đá vôi, đolomit, đá hoa, canxiphia phân lớp mỏng, trung bình (bề dày lớp <1m); Quặng sắt gơtit; quặng laterit kết tảng; Đá cấp VII bị nứt nẻ; Đá cấp VIII bị dập vỡ. |
|
VII |
Trầm tích lục nguyên hạt nhỏ, hạt trung bị biến chất yếu; Tufit, tuf. Đá vôi bị silic hóa; Đá carbonat bị thạch anh hóa có hàm lượng thạch anh, silic 30:50%; Đá biến đổi nhiệt dịch; quặng nhiệt dịch; Đá cấp VIII bị nứt nẻ; Đá cấp IX bị dập vỡ. |
|
VIII |
Cát kết hạt lớn, cuội kết, cát kết tuf, cuội kết tuf. Đá vôi, đolomit, đá hoa, canxiphia phân lớp dày (bề dày >1m); Trầm tích lục nguyên hạt nhỏ, hạt trung, bị thạch anh hóa, silic hóa; Đá biến chất thuộc nhóm đá phiến vi tinh; Đá cấp IX bị nứt nẻ; Đá cấp X bị dập vỡ. |
|
IX |
Đá magma xâm nhập và phun trào thành phần axit, trung tính, kiềm, mafic, siêu mafic và đá mạch; Đá biến chất thuộc nhóm đá phiến kết tinh; Cát kết dạng quarzit; Đá biến đổi nhiệt dịch silic hóa, thạch anh hóa có hàm lượng silic và thạch anh 50:70%. Đá skarn; Quặng sắt magnetit; quặng titan gốc; quặng bauxit trầm tích; Quặng đồng trong các đá biến chất, đá magma; Đá cấp X bị nứt nẻ. |
|
X |
Quarzit, đá silic, đá mạch thạch anh, đá sừng các loại; đá biến đổi nhiệt dịch silic hóa, thạch anh hóa có hàm lượng silic và thạch anh trên 70%; najdac; cuội tảng có thành phần cuội là đá silic, quarzit, thạch anh; đá có thành phần khoáng vật thạch anh chiếm chủ yếu; gneis dạng mắt; Đá xâm nhập, phun trào, biến chất bị thạch anh hóa, silic hóa có hàm lượng thạch anh, silic trên 70%; Quặng thiếc gốc, quặng wolfram gốc. |
* Ghi chú:
1. Khả năng phá đá trong khai đào:
a) Đá cấp I đến cấp III trong khai đào không dùng chất nổ để phá;
b) Đá cấp IV chủ yếu không sử dụng chất nổ;
c) Từ cấp V trở lên phải phá đá bằng nổ mìn hoặc dùng phương pháp đục bằng máy để phá đất đá;
2. Mức độ nứt nẻ, dập vỡ:
a) Nứt nẻ: có trên 3 hệ thống khe nứt; khoảng cách giữa các khe nứt (mỗi chiều) nhỏ hơn 0,3m;
b) Dập vỡ: đá dập vỡ tạo thành các tảng, cục có kích thước (mỗi chiều) nhỏ hơn 0,2m.
c) Dập vỡ mạnh: đá dập vỡ tạo thành các tảng, cục có kích thước (mỗi chiều) nhỏ hơn 0,1m.
3. Mức độ phong hóa:
a) Bán phong hóa: trên 50% các khoáng vật dễ bị phong hóa đã bị phong hóa, một số ít trong chúng đã biến thành khoáng vật khác. Giảm 1¸2 cấp độ cứng.
b) Phong hóa: hầu hết khoáng vật dễ bị phong hóa đã bị phong hóa biến thành khoáng vật khác nhưng cấu tạo nguyên sinh của đá vẫn còn quan sát được. Giảm 1¸2 cấp độ cứng.
c) Phong hóa hoàn toàn: hầu hết các khoáng vật (trừ thạch anh và các khoáng vật bền vững trong điều kiện phong hóa) đã bị phong hóa. Các đá không còn, hoặc hầu như không còn cấu tạo nguyên sinh. Đào được dễ dàng bằng cuốc chim./.
Phụ lục II
BẢNG PHÂN CẤP MỨC ĐỘ KHÓ KHĂN DO ĐIỀU KIỆN THỜI TIẾT
(Ban hành kèm theo Thông tư số 39/2024/TT-BTNMT ngày 27 tháng 12 năm 2024
của Bộ trưởng Bộ Tài nguyên và Môi trường)
|
Các tỉnh |
Đặc điểm thời tiết |
Loại khó khăn |
|
Quảng Ngãi, Bình Định, Phú Yên, Khánh Hoà, Kon Tum, Gia Lai, Đắc Lắc, Đắc Nông, Lâm Đồng, Ninh Thuận, BìnhThuận, Bình Phước, Đồng Nai |
Ảnh hưởng gió tây nam, khí hậu chia 2 mùa, mùa mưa và mùa khô, nhưng rất bất thường, ảnh hưởng của gió mùa đông bắc gây mây mù, mưa nhỏ |
Loại I |
|
Quảng Bình, Quảng Trị, Thừa Thiên Huế, Đà Nẵng, Quảng Nam |
Chịu ảnh hưởng của gió mùa đông bắc từ tháng 11 đến tháng 4, gây mây mù và mưa, gió lào tây nam cấp 4 đến 6 từ tháng 5 đến tháng 7, không thuận lợi khảo sát |
Loại II |
|
Điện Biên, Lai Châu, Sơn La, Lào Cai, Yên Bái, Phú Thọ, Hoà Bình, Hà Giang, Tuyên Quang, Cao Bằng, Bắc Kạn, Lạng Sơn, Thái Nguyên, Vĩnh Phúc, Bắc Giang, Bắc Ninh, Quảng Ninh, Ninh Bình, Thanh Hoá, Nghệ An, Hà Tĩnh |
Chịu ảnh hưởng trực tiếp của gió mùa đông bắc từ tháng 11 đến tháng 4, gây mây mù và mưa nhỏ kéo dài, vùng có lượng mưa lớn hơn 1 500 mm/năm, mùa mưa từ tháng 5 đến tháng 8, có 2 tháng 9 và 10 trong năm thuận lợi cho khảo sát |
Loại III |
Bạn chưa Đăng nhập thành viên.
Đây là tiện ích dành cho tài khoản thành viên. Vui lòng Đăng nhập để xem chi tiết. Nếu chưa có tài khoản, vui lòng Đăng ký tại đây!
Bạn chưa Đăng nhập thành viên.
Đây là tiện ích dành cho tài khoản thành viên. Vui lòng Đăng nhập để xem chi tiết. Nếu chưa có tài khoản, vui lòng Đăng ký tại đây!