- Tổng quan
- Nội dung
- Tiêu chuẩn liên quan
- Lược đồ
- Tải về
Tiêu chuẩn TCVN 14377:2025 Thuốc bảo vệ thực vật - Định lượng Metarhizium anisopliae bằng kỹ thuật đếm khuẩn lạc và khẳng định bằng giải trình tự gen
| Số hiệu: | TCVN 14377:2025 | Loại văn bản: | Tiêu chuẩn Việt Nam |
| Cơ quan ban hành: | Bộ Khoa học và Công nghệ | Lĩnh vực: | Công nghiệp , Nông nghiệp-Lâm nghiệp |
| Trích yếu: | Thuốc bảo vệ thực vật - Định lượng Metarhizium anisopliae bằng kỹ thuật đếm khuẩn lạc và khẳng định bằng giải trình tự gen | ||
|
Ngày ban hành:
Ngày ban hành là ngày, tháng, năm văn bản được thông qua hoặc ký ban hành.
|
08/10/2025 |
Hiệu lực:
|
Đã biết
|
| Người ký: | Đang cập nhật |
Tình trạng hiệu lực:
Cho biết trạng thái hiệu lực của văn bản đang tra cứu: Chưa áp dụng, Còn hiệu lực, Hết hiệu lực, Hết hiệu lực 1 phần; Đã sửa đổi, Đính chính hay Không còn phù hợp,...
|
Đã biết
|
TÓM TẮT TIÊU CHUẨN VIỆT NAM TCVN 14377:2025
Nội dung tóm tắt đang được cập nhật, Quý khách vui lòng quay lại sau!
Tải tiêu chuẩn Việt Nam TCVN 14377:2025
TIÊU CHUẨN QUỐC GIA
TCVN 14377:2025
THUỐC BẢO VỆ THỰC VẬT - ĐỊNH LƯỢNG METARHIZIUM ANISOPLIAE BẰNG KỸ THUẬT ĐẾM KHUẨN LẠC VÀ KHẲNG ĐỊNH BẰNG GIẢI TRÌNH TỰ GEN
Pesticides - Enumeration of Metarhizium anisopliae by colony counting and confirmation by gene sequencing
Lời nói đầu
TCVN 14377:2025 do Học viện Nông nghiệp Việt Nam biên soạn, Bộ Nông nghiệp và Môi trường đề nghị, Ủy ban Tiêu chuẩn Đo lường Chất lượng Quốc gia thẩm định, Bộ Khoa học và Công nghệ công bố.
THUỐC BẢO VỆ THỰC VẬT - ĐỊNH LƯỢNG METARHIZIUM ANISOPLIAE BẰNG KỸ THUẬT ĐẾM KHUẨN LẠC VÀ KHẲNG ĐỊNH BẰNG GIẢI TRÌNH TỰ GEN
Pesticides - Enumeration of Metarhizium anisopliae by colony counting and confirmation by gene sequencing
1 Phạm vi áp dụng
Tiêu chuẩn này quy định phương pháp định lượng vi nấm Metarhizium anisopliae (M. anisopliae) trong thuốc bảo vệ thực vật sinh học bằng kỹ thuật đếm khuẩn lạc trên môi trường chọn lọc và xác định M. anisopliae bằng phương pháp đánh giá hình thái và phân tích trình tự gen.
2 Tài liệu viện dẫn
Các tài liệu viện dẫn sau là rất cần thiết cho việc áp dụng tiêu chuẩn này. Đối với tài liệu viện dẫn ghi năm công bố thì áp dụng bản được nêu. Đối với tài liệu viện dẫn không ghi năm công bố thì áp dụng phiên bản mới nhất, bao gồm cả các bản sửa đổi, bổ sung (nếu có).
TCVN 7682 (ISO 20838). Vi sinh vật trong thực phẩm và thức ăn chăn nuôi - Phản ứng chuỗi polymeraza (PCR) để phát hiện sinh vật gây bệnh từ thực phẩm - Yêu cầu về khuếch đại và phát hiện đối với các phương pháp định tính.
ISO 22174. Microbiology of food and animal feeding stuffs - Polymerase chain reaction (PCR) for the detection of food-borne pathogens - General requirements and definitions (Vi sinh vật trong thực phẩm và thức ăn chăn nuôi - Phản ứng chuỗi trùng hợp để phát hiện sinh vật gây bệnh từ thực phẩm - Yêu cầu chung và định nghĩa).
3 Thuật ngữ và định nghĩa
Trong tiêu chuẩn này sử dụng các thuật ngữ và định nghĩa sau:
3.1
Metarhizium anisopliae (Metarhizium anisopliae)
Nấm Metarhizium anisopliae (M. anisopliae) (tên gọi khác là nấm xanh hay nấm lục cương) là một loài nấm ký sinh côn trùng với phổ ký chủ rất rộng, tồn tại tự nhiên trong đất. Nấm M. anisopliae sinh sản vô tính, bào tử nhỏ thuộc nhóm Hyphomycetes. Các sợi nấm phát triển dày đặc trên môi trường nuôi cấy, cuống sinh bào tử bện chặt, mỗi cuống sinh bào tử riêng rẻ phân nhánh nhiều lần. Tế bào sinh bào tử có đỉnh tròn bền chặt. Bào tử là một tế bào, kích thước từ 7 đến 9 μm không có vách ngăn, hình trụ tới hình trứng, hình thành theo dạng chuỗi, tạo thành các cột bào tử hình trụ có màu xanh xám, rêu, vàng nhạt hoặc màu trắng trên môi trường nuôi cấy.
3.2
Định lượng nấm M. anisopliae (Enumeration of M. anisopliae)
Xác định số lượng bào tử nấm M. anisopliae (điều 3.1) (CFU/g hoặc CFU/ml) trong một khối lượng hoặc thể tích cụ thể của chế phẩm thuốc bảo vệ thực vật chứa vi sinh vật khi tiến hành các thử nghiệm theo tiêu chuẩn này.
3.3.
Môi trường chọn lọc nấm M. anisopliae (Selective media for M. anisopliae)
Môi trường phân lập nấm M. anisopliae có bổ sung dodine (dodecylguanidine monoacetate) ức chế sinh trưởng của các loài nấm không phải nấm ký sinh côn trùng, hỗ trợ sinh trưởng của nấm M. anisopliae. Dodine ức chế sinh trưởng, trao đổi chất glucose và acetate, vận chuyển tích cực phosphor và carbon của tế bào vi nấm [10].
3.4.
Khuẩn lạc (colony)
Sinh khối sợi vi nấm tích tụ tại một vị trí mà có thể nhìn thấy, phát triển trên hoặc trong môi trường dinh dưỡng từ một phần tử sống (tế bào vi sinh vật, bào tử hay sợi nấm). Khuẩn lạc còn có thể gọi là tản nấm.
4 Nguyên tắc
Phương pháp khẳng định dựa trên đánh giá hình thái khuẩn lạc, cuống sinh bào tử và bào tử đặc trưng phát triển trên môi trường PDA có các yếu tố chọn lọc và phân tích trình tự gen vùng ITS để định danh nấm M. anisopliae [9].
Phương pháp định lượng sử dụng môi trường chọn lọc có bổ sung kháng sinh Chloramphenicol giúp loại bỏ vi khuẩn nhiễm tạp và chất ức chế nấm Dodin hạn chế khuẩn lạc lan rộng giúp kỹ thuật viên xác định mật độ thuận tiện hơn [8].
5 Môi trường, hóa chất
5.1 Yêu cầu chung
Sử dụng các loại hóa chất tinh khiết chuyên dùng cho phân tích vi sinh vật và theo khuyến cáo của nhà sản xuất. Chuẩn bị và thử hiệu năng môi trường nuôi cấy tham khảo theo tài liệu hướng dẫn [4].
5.2 Nước: nước, nước cất hoặc nước có chất lượng tương đương để pha chế hóa chất, môi trường nuôi cấy vi sinh vật[2]
5.3 Môi trường nuôi cấy: sử dụng môi trường PDA được bổ sung Chloramphenicol và Dodine
5.3.1 Thành phần
Bột khoai tây 200 g
Dextrose (C6H12O6) 20 g
Chloramphenicol (C11H12Cl2N2O5) 0,5 g
Dodine (C9H12N2S4) 0,05 g
Agar 20 g
Nước cất 1000 mL
Ghi chú: Ưu tiên sử dụng các môi trường thương mại có bán sẵn.
5.3.2 Chuẩn bị
Cân và hòa tan môi trường có sẵn theo hướng dẫn của nhà sản xuất hoặc các thành phần đã liệt kê tại (5.3.1) trong bình thủy tinh (6.2.2). Có thể bổ sung Chloramphenicol và Dodin trước khi khử trùng do chất kháng sinh và kháng nấm này có tính bền nhiệt cao. Chỉnh pH sao cho sau khi khử trùng pH là 5.6±0,2 ở 25 °C, dùng máy đo pH (6.1.7). Không vặn chặt nắp bình và khử trùng ở 121 °C trong 15 min, sử dụng nồi hấp khử trùng. Khi môi trường còn ấm (từ 55 đến 60 °C), phân phối đều 15 mL môi trường vào các đĩa petri vô trùng đã chuẩn bị sẵn (6.2.3) và để cho đông đặc. Khi bề mặt môi trường đã khô, đậy nắp và bảo quản lạnh ở 4 °C, sử dụng trong vòng một tuần. Các thao tác được tiến hành trong tủ cấy vi sinh vật (6.1.2).
5.4 Dung dịch pha loãng mẫu: NaCl 0,85% (8,5 g/L)
5.4.1 Thành phần
Sodium chloride (NaCI) 8,5 g
Nước 1 000 mL
5.4.2 Chuẩn bị
Hòa tan sodium chloride trong 1 000 mL nước đựng trong bình thủy tinh (6.2.2). Phân phối dung dịch pha loãng với lượng 90,0 mL vào mỗi bình thủy tinh (6.2.2) và 9,0 mL vào mỗi ống nghiệm (6.2.2). Không vặn chặt nắp bình và khử trùng ở 121 °C trong 15 min, sử dụng nồi hấp khử trùng (6.1.1). Sai số cho phép đo của thể tích cuối cùng sau khi khử trùng không được vượt quá ± 0,2 %.
5.5 Hóa chất nhuộm sợi nấm
Sử dụng ung dịch thuốc nhuộm Lactophenol Coton Blue.
5.5.1 Thành phầm thuốc nhuộm Lactophenol Cotton Blue
Phenol crystals (C6H5O4) 20.0 g
Cotton blue (Aniline blue) 0.05 g
Lactic acid (CH3CHOH COOH) 20.0 mL
Glycerol (C3H8O3) 20.0 mL
Nước cất 20.0 mL
Ghi chú: Ưu tiên sử dụng thuốc nhuộm Lactophenol Cotton Blue thương mại có bán sẵn.
5.5.2 Chuẩn bị
Thuốc nhuộm này được chuẩn bị trong hai ngày, Ngày thứ nhất, hòa tan Cotton blue trong nước cất và để hỗn hợp qua đêm với mục đích loại bỏ thuốc nhuộm không hòa tan. Ngày thứ hai, kỹ thuật viên đeo găng tay bổ sung Phenol crystal vào lactic acid đựng trong cốc thủy tinh. Đặt cốc trên máy khuấy từ và khuấy tới khi phenol crystal được hòa tan hết. Bổ sung glycerol và lọc hỗn hợp dung dịch Cotton blue và nước cất vào dung dịch phenol/lactic acid/glycerol. Giữ trong lọ kín ở nhiệt độ 10-30 °C, tránh ánh sáng.
5.5.3 Sử dụng thuốc nhuộm Lactophenol Cotton Blue
1. Đặt một giọt cồn 70° lên một lam kính sạch
2. Bằng cách sử que cấy, cẩn thận lấy và nhúng chìm mẫu vào giọt cồn
3. Nhỏ một giọt (nhiều nhất là 2 giọt) thuốc thử Lactophenol Cotton Blue lên lam kính chứa sợi nấm đã chuẩn bị ở bước 2 trước khi cồn bay hơi.
4. Đặt một lamen phủ lên mẫu đã chuẩn bị ở bước 3. Đợi khoảng 5 min. Thuốc nhuộm sẽ tạo màu xanh lam cho sợi nấm
5. Quan sát dưới kính hiển vi với độ phóng đại từ 40 đến 100X để xác định vị trí mẫu. Chuyển sang độ phóng đại 400-1000X để kiểm tra chi tiết về các cấu trúc khác của sợi nấm và bào tử.
Giải thích kết quả: Thuốc nhuộm này có ba thành phần chính: Axit lactic bảo tồn cấu trúc nấm và làm sạch mẫu trong khi phenol hoạt động như một chất khử trùng và Cotton blue tạo ra màu xanh dương cho bào tử và sợi nấm.
5.6 Hóa chất tách chiết ADN
Ưu tiên sử dụng các bộ kít thương mại (nếu có) hoặc các quy trình tách chiết ADN hoặc PCR phù hợp với điều kiện thực tế của phòng thử nghiệm và thực hiện theo hướng dẫn của nhà sản xuất.
5.6.1 Đệm chiết tách ADN (lysis buffer)
Hỗn hợp đệm chiết gồm SDS 3 %, EDTA 10 mM và Tris 30 mM pH 8.0. Đệm chiết tách ADN được hấp khử trùng và bảo quản ở nhiệt độ phòng.
5.6.2 Các hóa chất khác
- Dung dịch Chloroform: Isoamylalcohol (tỷ lệ thể tích 24:1)
- Isopropanol 100%
- Ethanol 70%
- Đệm TE (10 mM Tris-HCI; 1 mM EDTA)
- Nước cất
5.6.3 Cặp mồi oligonucleotit
Cặp mồi ITS1 và ITS4 cho PCR nhân dòng đoạn ITS gồm trình tự các vùng 18S, ITS1, 5.8S và ITS2 trong ADN của nấm để xác định M. anisopliae được trình bày trong Bảng 1.
Bảng 1 - Cặp mồi ITS1 và ITS4 cho PCR nhân đoạn trình tự ITS [6][7].
| Tên mồi | Trình tự mồi | Nồng độ gốc | Nhiệt độ gắn mồi |
| ITS1: | 5’- TCCGTAGGTGAACCTGCGG -3’ | 10 pmol/ μL | 55 °C |
| ITS4: | 5’-TCCTCCGCTTATTGATATGC -3’ | 10 pmol/ μL |
6 Thiết bị và dụng cụ
Sử dụng các thiết bị, dụng cụ của phòng thử nghiệm vi sinh thông thường:
6.1 Thiết bị
6.1.1 Nồi hấp khử trùng, có khả năng duy trì nhiệt độ 121°C ± 3°C, tương đương áp suất tối thiểu 101,3 kPa.
6.1.2 Tủ cấy vi sinh vật, đảm bảo độ vô trùng.
6.1.3 Tủ ấm, có khả năng duy trì nhiệt độ ở 25-37°C ± 1°C, thông gió đối lưu.
6.1.4 Tủ sấy, có khả năng sấy ở nhiệt độ lên tới 70 °C (nếu mục đích sấy vô trùng thì nhiệt độ là 160 °C), thông gió đối lưu
6.1.5 Tủ lạnh, với ngăn đông có thể duy trì nhiệt độ ổn định ở -20 °C ± 1 °C và ngăn lạnh duy trì nhiệt độ ổn định ở 4 °C ± 1 °C.
6.1.6 Máy trộn mẫu (máy vortex), có khả năng khuấy trộn mẫu đồng đều.
6.1.7 Máy đo pH, có bù nhiệt, chính xác đến ±0,1 đơn vị ở 25 °C
6.1.8 Cân kỹ thuật (chính xác đến 0,01 g).
6.1.9 Kính hiển vi quang học, vật kính có độ phóng đại 4X, 10X, 40X và vật kính dầu 100X
6.1.10 Lò vi sóng
6.1.11 Máy PCR cài đặt được chu kỳ nhiệt độ, có khả năng khuếch đại được ADN của mẫu.
6.1.12 Bể ổn nhiệt (water bath), có khả năng điều chỉnh nhiệt độ lên đến 99 °C ± 1 °C.
6.1.13 Máy ly tâm, có khả năng điều chỉnh tốc độ quay tối đa 14000 vòng/min và nhiệt độ đến 4 °C ±1 °C
6.1.14 Hệ thống điện di agarose: gồm bể điện di kích thước tùy điều kiện phòng thí nghiệm và nguồn điện có thể điều chỉnh cường độ dòng điện và thời gian
6.1.15 Máy đo nồng độ ADN: có thể điều chỉnh được bước sóng 260-280 nm để đo độ hấp thụ của dung dịch
6.1.16 Máy chụp ảnh gel điện di: gồm máy ảnh và đèn UV có bước sóng phù hợp để quan sát ADN trong gel điện di.
6.2 Dụng cụ
Các dụng cụ sử dụng trong nuôi cấy vi sinh vật phải tiệt trùng ở điều kiện 121 °C, 15 min sử dụng nồi hấp khử trùng (6.1.1) và sấy khô bằng tủ sấy (6.1.4) trước khi tiến hành bất kỳ thử nghiệm nào.
6.2.1 Pipet, có thể phân phối 1-10 μL, 10-100 μL, 100-1000 μL, 1-5 mL.
6.2.2 Chai, bình và ống nghiệm thủy tinh có dung tích thích hợp đề đựng môi trường nuôi cấy và pha loãng dung dịch, có nút đậy kín hoặc nắp đậy thích hợp.
6.2.3 Đĩa petri, vô trùng, bằng chất dẻo hoặc thủy tinh không màu trong suốt, đường kính 90 mm, chiều sâu tối thiểu là 10 mm.
6.2.4 Que dàn mẫu, vô trùng, bằng thủy tinh hoặc kim loại.
6.2.5 Ống falcon 15 ml và 50 ml, vô trùng.
6.2.6 Bi nghiền: đường kính 0,5-1 cm, chất liệu thép không rỉ hoặc gốm.
6.2.7 Đầu hút vô trùng các loại, có khả năng chịu nhiệt.
6.2.8 Màng lọc, vô trùng, màng xenluloza axetat, cỡ lỗ 0,22 μm
6.2.9 Que cấy, đầu tròn bằng nhựa hoặc kim loại
6.2.10 Ống ly tâm, 15 mL và 50 mL, bằng nhựa chịu nhiệt, có vạch chia đến 5 ml
6.2.11 Ống ly tâm 1,5 mL và 2,0 mL làm bằng nhựa chịu nhiệt, có vạch chia đến 0,5; 1, 1,5 và 2,0 mL.
6.2.12 Ống PCR, 0,2 mL, có thành mỏng, bằng nhựa chịu nhiệt.
7 Lấy mẫu
Việc lấy mẫu không quy định trong tiêu chuẩn này, nên lấy mẫu theo TCVN 12017:2017.
Mẫu gửi đến phòng thử nghiệm phải là mẫu đại diện và không bị hư hỏng hoặc biến đổi trong suốt quá trình vận chuyển hoặc bảo quản
8 Cách tiến hành
8.1 Chuẩn bị mẫu thử và các dung dịch pha loãng mẫu
Dùng cân kỹ thuật (6.1.8) cân 10 g mẫu hoặc dùng pipet (6.2.1) với đầu hút vô trùng (6.2.7) hút 10 mL mẫu cho vào bình thủy tinh (6.2.2) chứa 90 mL dung dịch NaCl 0,85%. Trộn đều mẫu trên máy vortex (6.1.6) cho đến khi đồng nhất mẫu Dung dịch phía trên sau khi phần tử nặng lắng xuống được gọi là dung dịch huyền phù ban đầu có độ pha loãng 10-1.
Dùng pipet (6.2.1) với đầu hút vô trùng (6.2.7) hút 10 mL dịch huyền phù ban đầu cho vào ống nghiệm (6.2.2) chứa 90 mL dung dịch pha loãng đã chuẩn bị như nêu tại 5.3.2. Nên để pipet ở tư thế nằm ngang (không để đứng) khi được làm đầy với một thể tích của huyền phù hoặc dung dịch pha loãng thích hợp. Tránh chạm đầu tip vào dung dịch pha loãng. Trộn kỹ trên máy trộn Vortex (6.1.6) trong thời gian dưới 1 min thu dung dịch mẫu có nồng độ 10-2. Lặp lại quy trình để thu được dung dịch có các các nồng độ pha loãng thập phân tiếp theo. Thường sử dụng nồng độ pha loãng 10-5, 10-6, 10-7, 10-8 đối với thuốc bảo vệ thực vật và nồng độ pha loãng 10-3, 10-4, 10-5 đối với các thuốc bảo vệ thực vật khác có chứa vi sinh vật[1].
8.2 Cấy và ủ mẫu
Dùng pipet (6.2.1) với đầu hút vô trùng (6.2.7) hút 0,1 mL dung dịch mẫu ở các nồng độ đã pha loãng cho vào mỗi đĩa petri (6.2.3) chứa môi trường PDA (5.3.1) đã chuẩn bị. Mỗi nồng độ pha loãng thực hiện 03 đĩa. Thực hiện đối với 03 độ pha loãng liên tiếp.
Dùng que cấy dàn mẫu (6.2.4) dàn đều dịch cấy trên bề mặt đĩa thạch. Sử dụng một que dàn mẫu vô trùng cho mỗi đĩa. Đậy nắp đĩa và để yên ở nhiệt độ phòng trong 15 min để dịch cấy hấp thụ vào bề mặt thạch rồi ủ đĩa ở 28 °C ± 1°C từ 24 đến 72h trong tủ ấm (6.1.3). Lập úp các đĩa đã chuẩn bị và nuôi trong tủ ấm (6.1.3) ở 28 °C ± 1°C từ 5 đến 7 ngày. Nếu sau thời gian trên, các khuẩn lạc chưa hình thành hoặc hình thành nhưng không rõ ràng, ủ đĩa thêm 24h nữa.
8.2 Đếm và nhận diện khuẩn lạc
Đếm khuẩn lạc sau từ 5 đến 7 ngày nuôi cấy ở 28 °C ± 1°C, chọn những đĩa ở tỷ lệ pha loãng có từ 10 đến 150 khuẩn lạc và tiến hành đếm số lượng khuẩn lạc có hình thái đặc trưng xuất hiện trên đĩa [3]. Khuẩn lạc nấm M. anisopliae có hệ sợi nấm phát triển trên bề mặt môi trường từ màu trắng từ 5 đến 7 ngày chuyển dần sang màu xanh lục từ tâm ra.
Khuẩn lạc M. anisopliae giả định được khẳng định thông qua phép thử khẳng định
8.3 Khẳng định khuẩn lạc nấm M. anisopliae
Lựa chọn ít nhất 5 khuẩn lạc giả định được xác định bằng hình thái đặc trưng để tiến hành phát thử khẳng định đồng thời dựa trên đặc điểm hình thái bào tử, cuống sinh bào tử và trình tự vùng ITS đặc trưng cho loài nấm M. Anisopliae.
8.3.1 Khẳng định khuẩn lạc nấm M. anisopliae dựa trên đặc điểm hình thái bào tử và cuống sinh bào tử
Quan sát hình thái hình thái ít nhất 5 khuẩn lạc bằng mắt và hình thái tế bào bằng kính hiển vi (6.1.8) để kiểm tra các đặc điểm đặc trưng của nấm M. anisopliae (phụ lục A): cuống sinh bào tử bện chặt, mỗi cuống sinh bào tử riêng rẻ phân nhánh nhiều lần, bào tử là một tế bào, kích thước từ 7 đến 9 μm không có vách ngăn, hình trụ tới hình trứng, hình thành theo dạng chuỗi, tạo thành các cột bào tử hình trụ có màu xanh xám, rêu, vàng nhạt hoặc màu trắng trên môi trường nuôi cấy (Bước này thực hiện song song với bước (8.3)). Nếu trên đĩa Petri có ít hơn 5 bào tử nấm thì lấy tất cả các bào tử nấm có mặt;
Bước 1: Chuẩn bị đĩa Petri, lam kính, lamen, panh, bông ẩm, môi trường PDA và được hấp vô trùng.
Bước 2: Đặt bông và lam kính vào đĩa Petri.
Bước 3: Đổ môi trường PDA vào một đĩa Petri khác để tạo một lớp mỏng 0,5 mm. Sau đó, cắt thành các miếng 1x1 cm, đặt lên trên lam kính.
Bước 4: Chấm điểm các chủng vi sinh vật lên cạnh của các mảnh môi trường, đặt lamen lên trên bề mặt môi trường.
Bước 5: Nuôi trong tủ ấm ở (28 °C ± 2) °C từ 5 đến 7 ngày
Tiến hành nhuộm lamen chứa hệ sợi nấm bằng thuốc nhuộm LPCB (Lactophenol cotton blue) để dễ quan sát hình thái bào tử nấm theo TCVN 13613:2022.
Quan sát cuống sinh bào tử của nấm bằng kính hiển vi quang học ở độ phóng đại 40 lần.
- Kiểm tra kết quả: các sợi nấm M. anisopliae có cuống sinh bào tử riêng rẽ phân nhánh nhiều lần. Bào tử là một tế bào, kích thước từ 7 đến 9 μm không có vách ngăn, hình trụ tới hình trứng, hình thành theo dạng chuỗi.
8.3.2 Khẳng định nấm M. anisopliae bằng phương pháp phân tích trình tự gen vùng ITS
8.3.2.1 Tách chiết ADN
* Có thể sử dụng các phương pháp tách chiết ADN đảm bảo được chất lượng ADN thu được đủ tiêu chuẩn cho PCR. Trong đó, ưu tiên sử dụng các bộ kít tách chiết ADN thương mại phù hợp với điều kiện thực tế của phòng thí nghiệm và thực hiện theo hướng dẫn của nhà sản xuất
Các khuẩn lạc mọc riêng rẽ trên đĩa được lấy bằng tăm tiệt trùng được hòa tan trong 200 μL lysis buffer trong ống từ 1,5 đến 2 mL đáy tròn, sau đó vortex (6.1.12) đều với bi nghiền (6.2.6) bằng thép hoặc gốm.
- Ủ ở 37 °C trong 1 giờ (30 min đảo ống một lần) trong bể ổn nhiệt (6.1.10)
- Thêm 60 μL SDS 20%, ủ ở 65 °C trong 2 giờ
- Thêm 300 μL Chloroform: isoamylalcohol sau đó đảo ống để trộn đều và ly tâm (6.1.11) 10000 vòng/min trong 10 min, thu dịch nổi vào một ống 1.5 mL mới
- Thêm 300 μL isopropanol, đảo ống nhẹ nhàng và ủ ở -20 °C trong 1 giờ.
- Ly tâm 12000 vòng/min trong 10 min, đổ dịch, thêm 500 μL cồn lạnh sau đó ly tâm 12000 vòng/min trong 10 min, đổ bỏ dịch nổi, lặp lại 1 lần nữa.
- Để khô ADN ở 25 °C.
- Thêm 30 μL H2O nước khử trùng hoặc TE.
- ADN sau tách chiết bảo quản ở -20 °C cho các thử nghiệm tiếp theo.
- Tiến hành điện di trên gel agarose 1% trên hệ thống điện di agarose (6.1.13) để kiểm tra kết quả tách chiết.
8.3.2.2 Giải trình tự đoạn ITS và định danh
Bước 1: Chuẩn bị phản ứng PCR
Bảng 2 - Thành phần hỗn hợp phản ứng PCR vùng ITS
| Thành phần | Nồng độ gốc | Thể tích (μL) |
| Nước dùng cho phản ứng PCR | - | 6,0 |
| Hỗn hợp phản ứng PCR (PCR master mix 2 x) | 2 x | 10,0 |
| Mồi xuôi ITS1 (10 pmol/μL) | 10 pmol/μL | 1,0 |
| Mồi ngược ITS4 (10 pmol/μL) | 10 pmol/μL | 1,0 |
| ADN | 10 ng/μL | 2,0 |
| Tổng thể tích | 20,0 | |
Trộn đều hỗn hợp phản ứng bằng pipet (6.2.1), sau đó ly tâm nhanh trong vài giây.
Chú ý: Quy trình luôn phải thực hiện song song mẫu thử nghiệm các mẫu sau đây:
+ Mẫu đối chứng trắng (ADN khuôn được thay bằng nước)
+ Mẫu đối chứng âm là mẫu ADN có thể sử dụng chủng Sacchsromyces sp. ATCC 18824, Trichoderma harzianum NBRC 104616 hoặc các chủng chuẩn khác được xác nhận
+ Mẫu đối chứng dương là ADN của chủng chuẩn M. anisopliae NBRC 5940, NBRC 8556, IFO 0565
Bước 2: Chu trình nhiệt PCR
Bảng 3 - Chương trình nhiệt độ và thời gian
| Chu trình nhiệt | |||
| Bước | Nhiệt độ | Thời gian | Chu kỳ |
| 1 | 95 °C | 5 min | 1 |
| 2 | 95 °C | 30 s | 35 |
| 55 °C | 30 s | ||
| 72 °C | 1 min | ||
| 3 | 72 °C | 10 min | 1 |
| 4 | 20 °C | ~ | ~ |
Bước 3: Điện di sản phẩm PCR
10 μL sản phẩm PCR bổ sung 2 μL loading dye 6 x được kiểm tra bằng cách điện di trên gel agarose 1 % trong đệm 1xTAE, dòng điện có hiệu điện thế 80 V trong 45 min bằng hệ thống máy điện di ngang (6.1.14) và chụp ảnh bằng máy chụp ảnh gel điện di (6.1.16).
Bước 4: Giải trình tự và định danh
Sản phẩm PCR được giải trình tự 2 chiều với mồi ITS1 và ITS4 tại các đơn vị phân tích có chứng chỉ ISO17025/2017 về giải trình tự gen và kiểm tra bằng phần mềm tin sinh chuyên dụng. Trình tự tinh chỉnh của từng phân đoạn được so sánh với các loài Metarhizium sp. tương tự đã được công bố trong cơ sở dữ liệu của NCBI GenBank bằng công cụ tìm kiếm BLAST, kết quả được xác định là M. anisopliae khi trình tự đoạn gen ITS rRNA của M. anisopliae giả định có độ tương đồng cao nhất với loài M. anisopliae từ từ 95 đến 100%. Cụ thể:
- Tại cửa sổ “choosesearch set = chọn bộ dữ liệu”, mục “Organism = sinh vật" lựa chọn “Fungi”.
- Tại cửa sổ “program selection = chọn chương trình”, chọn “highly similar sequences” để tìm các chuỗi có mức tương đồng cao.
- Các thông số khác để chế độ mặc định
- Cuối cùng, bấm nút “BLAST” để tìm chuỗi.
Kết quả định tính các loài thuộc chi Metarhizium dựa trên kết quả so sánh trình tự được công nhận như sau:
“Query coverage = tỷ lệ bao phủ”: đạt 90% trở lên
“Percent identity = phần trăm tương đồng”: đạt từ 95 - 100%
“E-value”: nhỏ hơn 1e-50
Lưu ý: cần kết hợp với các kết quả đánh giá về hình thái khuẩn lạc và tế bào để xác định loài Metarhizium sp.
9 Tính và biểu thị kết quả
- Số lượng khuẩn lạc M. anisopliae , a, trên mỗi đĩa Petri được tính theo Công thức (1)
![]()
Trong đó:
b là số lượng khuẩn lạc M. anisopliae giả định cho thấy có đặc điểm như phép thử khẳng định của tiêu chuẩn;
A là số lượng khuẩn lạc M. a anisopliae giả định được lấy để thực hiện phép thử khẳng định;
C là tổng số khuẩn lạc M. a anisopliae giả định đếm được trên đĩa Petri.
Kết quả được làm tròn đến số nguyên, gần nhất.
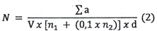
- Số lượng nấm M. anisopliae, N, trong một đơn vị kiểm tra, được tính bằng đơn vị hình thành khuẩn lạc trên gam (CFU/a) hoặc trên mililit (CFU/mL), đã được nhận dạng hoặc khẳng định có trong mẫu thử được tính theo Công thức (2):
![]()
Trong đó:
là tổng số khuẩn lạc M. anisopliae đếm được trên tất cả các đĩa Petri được giữ lại ở hai độ pha loãng liên tiếp, a tính được từ Công thức (1);
V là thể tích mẫu cấy trên mỗi đĩa Petri, tính bằng mililit (mL);
n1 là số đĩa Petri được giữ lại ở độ pha loãng thứ nhất;
n2 là số đĩa Petri được giữ lại ở độ pha loãng thứ hai;
d là độ pha loãng tương ứng với dung dịch pha loãng thứ nhất được giữ lại.
Biểu thị kết quả dưới dạng a x 10x, trong đó 1,0 ≤ a < 10 và hệ số a có hai chữ số có nghĩa; x là số mũ của 10.
Trong trường hợp số đếm thấp hoặc các trường hợp đặc biệt, kết quả được biểu thị theo quy định nêu trong TCVN 6404:2016 (ISO 7218:2007).
10 Báo cáo thử nghiệm
Báo cáo thử nghiệm phải bao gồm ít nhất các thông tin sau:
a) mọi thông tin cần thiết đề nhận biết đầy đủ về mẫu thử;
b) phương pháp lấy mẫu đã sử dụng, nếu biết;
c) phương pháp thử đã sử dụng, viện dẫn tiêu chuẩn này;
d) mọi chi tiết thao tác không quy định trong tiêu chuẩn này, hoặc được coi là tùy chọn, cùng với mọi tình huống bất thường có thể ảnh hưởng đến kết quả;
e) kết quả thử nghiệm thu được.
PHỤ LỤC A
(tham khảo)

A1 - Hình thái khuẩn lạc sau 3, 6 ,9 và 12 ngày nuôi ở 28 oC

A2 - Hình thái khuẩn lạc phát triển sau 12 ngày trên môi trường PDA

A3 - Hình ảnh khuẩn lạc chuyển từ trắng sang xanh lục

A4 - Hình thái cuống sinh bào tử và bảo tử khi nhuộm bằng Lactophenol Coton Blue

A5 - Hình ảnh điện di sản phẩm PCR nhân dòng đoạn ITS sử dụng cặp mồi ITS1 và ITS4

A6 - Kết quả phân tích trình tự gen bằng công cụ BLAST và mã số trình tự đoạn ITS của một số chủng nấm thuộc loài M. anisopliae
Thư mục tài liệu tham khảo
[1 ] TCVN 386-1999, Phương pháp lấy mẫu kiểm định chất lượng và dư lượng thuốc bảo vệ thực vật
[2] TCVN 4851:1989 (ISO 3696-1987), Nước dùng để phân tích trong phòng thí nghiệm
[3] TCVN 4884: 2005 (ISO 4833:2003), Thực phẩm, thực phẩm chức năng, thực phẩm bổ sung và thức ăn chăn nuôi Định lượng vi sinh vật trên đĩa thạch Kỹ thuật đếm khuẩn lạc ở 30 °C
[4] TCVN 6404:2016 (ISO 7218:2007) Vi sinh vật trong thực phẩm và thức ăn chăn nuôi - yêu cầu chung và hướng dẫn kiểm tra vi sinh vật.
[5] TCVN 8128:2015 (ISO 11133:2014, Vi sinh vật trong thực phẩm, thức ăn chăn nuôi và nước - Chuẩn bị, sản xuất, bảo quản và thử hiệu năng của môi trường nuôi cấy
[6] Schoch CL. , Keith AS., Sabine H., Vincent R., John LS., C. André L.,Wen C. and Fungal Barcoding Consortiuma (2012). Nuclear ribosomal internal transcribed spacer (ITS) region as a universal DNA barcode marker for Fungi. PNAS (109) 16:6241-6246
[7] Richard AH. (2005). Entomopathogenic Fungal Identification. USDA-ARS Plant Protection Research Unit.
[8] Tae S., Jae BC., Sung NH., Hyun-Na K. (2010). Study on Selective Media for Isolation of Entomcpathogenic Fungi. International Journal of Industrial Entomology 20(1), pp.7-12.
[9] White TJ., Bruns TD., Lee SB., and Taylor JW. (1990). Amplification and Direct Sequencing of Fungal Ribosomal RNA Genes for Phylogenetics. In: PCR Protocols, a Guide to Methods and Applications, 315-322.
[10] Zuo YL., Milner RJ., McRae CF., and Lutton GG. (1993). The use of dodine in selective media for the isolation of Metarhizium spp. from soil. J. of invertebrate pathology, 62, 248-251
Bạn chưa Đăng nhập thành viên.
Đây là tiện ích dành cho tài khoản thành viên. Vui lòng Đăng nhập để xem chi tiết. Nếu chưa có tài khoản, vui lòng Đăng ký tại đây!