- Tổng quan
- Nội dung
- VB gốc
- Tiếng Anh
- Hiệu lực
- VB liên quan
- Lược đồ
-
Nội dung hợp nhất
Tính năng này chỉ có tại LuatVietnam.vn. Nội dung hợp nhất tổng hợp lại tất cả các quy định còn hiệu lực của văn bản gốc và các văn bản sửa đổi, bổ sung, đính chính... trên một trang. Việc hợp nhất văn bản gốc và những văn bản, Thông tư, Nghị định hướng dẫn khác không làm thay đổi thứ tự điều khoản, nội dung.
Khách hàng chỉ cần xem Nội dung hợp nhất là có thể nắm bắt toàn bộ quy định hiện hành đang áp dụng, cho dù văn bản gốc đã qua nhiều lần chỉnh sửa, bổ sung.
- Tải về
Quyết định 72/QĐ-UBCK 2018 Quy chế chào bán, phòng ngừa rủi ro chứng quyền có bảo đảm
| Cơ quan ban hành: | Uỷ ban Chứng khoán Nhà nước |
Số công báo:
Số công báo là mã số ấn phẩm được đăng chính thức trên ấn phẩm thông tin của Nhà nước. Mã số này do Chính phủ thống nhất quản lý.
|
Đang cập nhật |
| Số hiệu: | 72/QĐ-UBCK | Ngày đăng công báo: | Đang cập nhật |
| Loại văn bản: | Quyết định | Người ký: | Trần Văn Dũng |
|
Ngày ban hành:
Ngày ban hành là ngày, tháng, năm văn bản được thông qua hoặc ký ban hành.
|
18/01/2018 |
Ngày hết hiệu lực:
Ngày hết hiệu lực là ngày, tháng, năm văn bản chính thức không còn hiệu lực (áp dụng).
|
Đang cập nhật |
|
Áp dụng:
Ngày áp dụng là ngày, tháng, năm văn bản chính thức có hiệu lực (áp dụng).
|
Đã biết
|
Tình trạng hiệu lực:
Cho biết trạng thái hiệu lực của văn bản đang tra cứu: Chưa áp dụng, Còn hiệu lực, Hết hiệu lực, Hết hiệu lực 1 phần; Đã sửa đổi, Đính chính hay Không còn phù hợp,...
|
Đã biết
|
| Lĩnh vực: | Chứng khoán |
TÓM TẮT QUYẾT ĐỊNH 72/QĐ-UBCK
Ngày 18/01/2018, Ủy ban Chứng khoán Nhà nước đã ban hành kèm theo Quyết định số 72/QĐ-UBCK Quy chế hướng dẫn chào bán và phòng ngừa rủi ro chứng quyền có bảo đảm.
Theo đó, chứng khoán cơ sở của chứng quyền là cổ phiếu niêm yết trên Sở Giao dịch Chứng khoán tại Việt Nam đáp ứng các tiêu chí sau: Thuộc chỉ số VN30 hoặc HNX30 hoặc chỉ số tương đương thay thế; Giá trị vốn hóa hàng ngày bình quân trong 06 tháng gần nhất tính đến ngày chốt dữ liệu xem xét từ 5.000 tỷ đồng trở lên; Có thời gian niêm yết từ 06 tháng trở lên.
Đồng thời, phải có tỷ lệ cổ phiếu tự do chuyển nhượng tại ngày chốt dữ liệu xem xét từ 20% trở lên; Không đang trong tình trạng bị cảnh báo, kiểm soát, kiểm soát đặc biệt, tạm ngừng giao dịch, không trong diện hủy niêm yết theo quy chế của Sở Giao dịch Chứng khoán; Kết quả hoạt động kinh doanh của tổ chức phát hành chứng khoán cơ sở có lãi và không có lỗ lũy kế.
Cũng theo quy chế này, hạn mức chào bán chứng quyền không vượt quá 10% so với tổng số cổ phiếu tự do chuyển nhượng.
Quyết định này có hiệu lực từ ngày ký.
Xem chi tiết Quyết định 72/QĐ-UBCK có hiệu lực kể từ ngày 18/01/2018
Tải Quyết định 72/QĐ-UBCK
|
BỘ TÀI CHÍNH Số: 72/QĐ-UBCK |
CỘNG HÒA XÃ HỘI CHỦ NGHĨA VIỆT NAM Hà Nội, ngày 18 tháng 01 năm 2018 |
VỀ VIỆC BAN HÀNH QUY CHẾ HƯỚNG DẪN CHÀO BÁN VÀ PHÒNG NGỪA RỦI RO CHỨNG QUYỀN CÓ BẢO ĐẢM
------------------------
CHỦ TỊCH ỦY BAN CHỨNG KHOÁN NHÀ NƯỚC
Căn cứ Luật Chứng khoán ngày 29 tháng 6 năm 2006;
Căn cứ Luật sửa đổi, bổ sung một số điều của Luật Chứng khoán ngày 24 tháng 11 năm 2010;
Căn cứ Luật Doanh nghiệp ngày 26 tháng 11 năm 2014;
Căn cứ Nghị định số 58/2012/NĐ-CP ngày 20 tháng 7 năm 2012 của Chính phủ quy định chi tiết và hướng dẫn thi hành một số điều của Luật Chứng khoán và Luật sửa đổi, bổ sung một số điều của Luật Chứng khoán;
Căn cứ Nghị định số 60/2015/NĐ-CP ngày 26 tháng 6 năm 2015 của Chính phủ sửa đổi, bổ sung một số điều của Nghị định số 58/2012/NĐ-CP ngày 20 tháng 7 năm 2012 của Chính phủ quy định chi tiết và hướng dẫn thi hành một số điều của Luật Chứng khoán và Luật sửa đổi, bổ sung một số điều của Luật Chứng khoán;
Căn cứ Thông tư số 107/2016/TT-BTC ngày 29 tháng 6 năm 2016 của Bộ trưởng Bộ Tài chính hướng dẫn chào bán và giao dịch chứng quyền có bảo đảm;
Căn cứ Quyết định số 48/2015/QĐ-TTg ngày 08 tháng 10 năm 2015 của Thủ tướng Chính phủ quy định chức năng, nhiệm vụ, quyền hạn và cơ cấu tổ chức của Ủy ban Chứng khoán Nhà nước;
Theo đề nghị của Vụ trưởng Vụ Phát triển thị trường chứng khoán,
QUYẾT ĐỊNH:
Điều 1. Ban hành kèm theo Quyết định này Quy chế hướng dẫn chào bán và phòng ngừa rủi ro chứng quyền có bảo đảm.
Điều 2. Quyết định này có hiệu lực thi hành kể từ ngày ký.
Điều 3. Chánh Văn phòng, Vụ trưởng Vụ Phát triển thị trường chứng khoán, Tổng Giám đốc Sở Giao dịch Chứng khoán Thành phố Hồ Chí Minh Tổng Giám đốc Sở Giao dịch Chứng khoán Hà Nội, Tổng Giám đốc Trung tâm Lưu ký Chứng khoán Việt Nam, Thủ trưởng các đơn vị liên quan thuộc Ủy ban Chứng khoán Nhà nước và các tổ chức, cá nhân có liên quan chịu trách nhiệm thi hành Quyết định này./.
|
Nơi nhận: |
CHỦ TỊCH |
QUY CHẾ
HƯỚNG DẪN CHÀO BÁN VÀ PHÒNG NGỪA RỦI RO CHỨNG QUYỀN CÓ BẢO ĐẢM
(Ban hành kèm theo Quyết định số 72/QĐ-UBCK ngày 18 tháng 01 năm 2018 của Chủ tịch Ủy ban Chứng khoán Nhà nước)
Chương I
QUY ĐỊNH CHUNG
Điều 1. Phạm vi điều chỉnh và đối tượng áp dụng
1. Quy chế này quy định về loại hình chứng quyền có bảo đảm (sau đây gọi tắt là chứng quyền), điều kiện để cổ phiếu niêm yết là chứng khoán cơ sở của chứng quyền, hạn mức chào bán, hồ sơ đăng ký chào bán và hoạt động phòng ngừa rủi ro cho chứng quyền.
2. Quy chế này áp dụng đối với tổ chức phát hành chứng quyền (sau đây gọi tắt là tổ chức phát hành) và các tổ chức, cá nhân có liên quan.
Điều 2. Loại hình chứng quyền
Chứng quyền quy định tại Quy chế này là chứng quyền mua dựa trên chứng khoán cơ sở là cổ phiếu niêm yết, thực hiện quyền kiểu châu Âu và có phương thức thanh toán bằng tiền.
Điều 3. Điều kiện để cổ phiếu niêm yết là chứng khoán cơ sở của chứng quyền
1. Chứng khoán cơ sở của chứng quyền là cổ phiếu niêm yết trên Sở Giao dịch Chứng khoán tại Việt Nam đáp ứng các tiêu chí sau:
a) Thuộc chỉ số VN30 hoặc HNX30 hoặc chỉ số tương đương thay thế (trong trường hợp tổ chức lại các Sở Giao dịch Chứng khoán);
b) Giá trị vốn hóa hàng ngày bình quân trong 06 tháng gần nhất tính đến ngày chốt dữ liệu xem xét từ 5.000 tỷ đồng trở lên;
c) Tổng khối lượng giao dịch trong 06 tháng gần nhất tính đến ngày chốt dữ liệu xem xét tối thiểu đạt 25% số lượng cổ phiếu tự do chuyển nhượng bình quân trong 06 tháng gần nhất, trong đó: số lượng cổ phiếu tự do chuyển nhượng bình quân trong 06 tháng gần nhất = (số lượng cổ phiếu tự do chuyển nhượng thời điểm đầu 06 tháng + số lượng cổ phiếu tự do chuyển nhượng thời điểm cuối 06 tháng)/2; hoặc giá trị giao dịch hàng ngày bình quân trong 06 tháng gần nhất tính đến ngày chốt dữ liệu xem xét từ 50 tỷ đồng/ngày trở lên;
d) Tỷ lệ cổ phiếu tự do chuyển nhượng tại ngày chốt dữ liệu xem xét từ 20% trở lên;
đ) Có thời gian niêm yết từ 06 tháng trở lên tính đến thời điểm xem xét. Trường hợp cổ phiếu chuyển sàn niêm yết thì thời gian niêm yết được tính là tổng thời gian niêm yết ở cả hai Sở Giao dịch Chứng khoán;
e) Kết quả hoạt động kinh doanh của tổ chức phát hành chứng khoán cơ sở có lãi và không có lỗ lũy kế căn cứ trên báo cáo tài chính gần thời điểm xem xét nhất, bao gồm báo cáo tài chính năm đã được kiểm toán hoặc báo cáo tài chính bán niên đã được soát xét hoặc được kiểm toán bởi tổ chức kiểm toán được chấp thuận thực hiện kiểm toán cho đơn vị có lợi ích công chúng thuộc lĩnh vực chứng khoán;
g) Không đang trong tình trạng bị cảnh báo, kiểm soát, kiểm soát đặc biệt, tạm ngừng giao dịch, không trong diện hủy niêm yết theo quy chế của Sở Giao dịch Chứng khoán.
2. Ngày chốt dữ liệu xem xét là ngày giao dịch cuối cùng của các tháng 3, 6, 9 và 12 trong năm.
Chương II
CHÀO BÁN CHỨNG QUYỀN
Điều 4. Hạn mức chào bán chứng quyền
1. Số lượng cổ phiếu quy đổi từ các chứng quyền đã phát hành của tất cả tổ chức phát hành không vượt quá 10% so với tổng số cổ phiếu tự do chuyển nhượng. Trong đó:
Số lượng cổ phiếu quy đổi từ chứng quyền = Số chứng quyền/ Tỷ lệ chuyển đổi.
Hạn mức còn được phép chào bán đối với từng chứng khoán cơ sở = Tổng hạn mức được phép chào bán đối với từng chứng khoán cơ sở - số lượng cổ phiếu quy đổi từ các chứng quyền đã phát hành.
Trường hợp có nhiều hồ sơ cùng đăng ký phát hành trên một chứng khoán cơ sở dẫn đến vượt hạn mức còn được phép chào bán đối với từng chứng khoán cơ sở, Ủy ban Chứng khoán Nhà nước sẽ chấp thuận cho tổ chức phát hành có hồ sơ đăng ký hợp lệ trước được phép phát hành trước.
Khi tổng số lượng cổ phiếu quy đổi từ các chứng quyền đã phát hành thuộc tất cả các tổ chức phát hành vượt quá 9% so với tổng số lượng cổ phiếu tự do chuyển nhượng, tổ chức phát hành phải hủy niêm yết một phần chứng quyền chưa lưu hành theo quy định tại điểm d khoản 1 Điều 9 Thông tư số 107/2016/TT-BTC ngày 29/6/2016 của Bộ trưởng Bộ Tài chính hướng dẫn chào bán và giao dịch chứng quyền có bảo đảm (sau đây gọi tắt là Thông tư số 107/2016/TT-BTC).
2. Số lượng cổ phiếu quy đổi từ chứng quyền trong một đợt chào bán của một tổ chức phát hành không vượt quá 1,5% so với tổng số cổ phiếu tự do chuyển nhượng.
Tổng số cổ phiếu tự do chuyển nhượng quy định tại khoản 1, 2 Điều này do Sở Giao dịch Chứng khoán xác định.
3. Tổng giá trị chứng quyền đã phát hành và đăng ký phát hành của một tổ chức phát hành, không tính số chứng quyền đã hủy niêm yết hoặc đã đáo hạn, so với giá trị vốn khả dụng của tổ chức đó không được vượt quá các mức sau:
- 0% đối với tổ chức phát hành có tỷ lệ vốn khả dụng từ 180% đến 250%;
- 5% đối với tổ chức phát hành có tỷ lệ vốn khả dụng trên 250% đến 300%;
- 10% đối với tổ chức phát hành có tỷ lệ vốn khả dụng trên 300% đến 450%;
- 15% đối với tổ chức phát hành có tỷ lệ vốn khả dụng trên 450% đến 600%;
- 20% đối với tổ chức phát hành có tỷ lệ vốn khả dụng trên 600%.
Tỷ lệ vốn khả dụng để xét hạn mức là mức tối thiểu liên tục trong 06 tháng gần nhất trước tháng nộp hồ sơ đăng ký chào bán chứng quyền, căn cứ trên báo cáo tỷ lệ an toàn tài chính hàng tháng của tổ chức phát hành gửi Ủy ban Chứng khoán Nhà nước.
Trong đó:
- Đối với chứng quyền đang được tổ chức phát hành đăng ký phát hành:
Tổng giá trị chứng quyền = Giá đăng ký chào bán × Số lượng chứng quyền đăng ký chào bán.
Giá đăng ký chào bán chứng quyền được xác định như sau:
+ Đối với chứng quyền đăng ký chào bán lần đầu: Giá đăng ký chào bán chứng quyền tối thiểu là 1.000 đồng. Tổ chức phát hành có thể đăng ký một mức giá chào bán cụ thể hoặc đăng ký khoảng giá chào bán chứng quyền (bao gồm giá chào bán cao nhất dự kiến và giá chào bán thấp nhất dự kiến). Trường hợp tổ chức phát hành đăng ký khoảng giá chào bán chứng quyền, giá đăng ký chào bán để tính tổng giá trị chứng quyền là mức giá chào bán cao nhất dự kiến.
+ Đối với chứng quyền đăng ký chào bán bổ sung: Là giá đóng cửa của chứng quyền vào ngày giao dịch liền trước ngày nộp hồ sơ đăng ký chào bán bổ sung.
- Đối với chứng quyền đã phát hành:
Tổng giá trị chứng quyền = Giá chào bán (đối với chứng quyền chưa niêm yết) x Số lượng chứng quyền chưa niêm yết + Giá đóng cửa của chứng quyền tại ngày giao dịch gần nhất (đối với chứng quyền niêm yết) × Số lượng chứng quyền niêm yết.
Trường hợp chưa xác lập giá giao dịch chứng quyền thì tổng giá trị chứng quyền được tính theo giá chào bán.
Giá chào bán chứng quyền được xác định như sau:
+ Đối với chứng quyền chào bán lần đầu: Là giá phát hành thể hiện trên Bản thông báo phát hành chứng quyền. Giá phát hành là giá mà tổ chức phát hành đã đăng ký chào bán hoặc mức giá thuộc khoảng giá chào bán đã đăng ký.
+ Đối với chứng quyền chào bán bổ sung: Là giá đóng cửa của chứng quyền vào ngày giao dịch liền trước ngày công bố Bản thông báo phát hành chứng quyền.
Hạn mức chào bán chứng quyền quy định tại khoản này được áp dụng trong thời gian Ủy ban Chứng khoán Nhà nước xem xét cấp Giấy chứng nhận chào bán chứng quyền.
Điều 5. Giảm hạn mức chào bán chứng quyền
1. Đối với mỗi lần tổ chức phát hành bị cảnh báo do không tuân thủ phương án phòng ngừa rủi ro theo quy định tại điểm c khoản 5 Điều 12 Thông tư số 107/2016/TT-BTC, tổ chức phát hành sẽ bị giảm 25% hạn mức về số lượng cổ phiếu quy đổi từ chứng quyền trong một đợt chào bán của một tổ chức phát hành đối với lần đăng ký chào bán kế tiếp.
2. Trường hợp tổ chức phát hành bị cảnh báo quá 03 lần trong vòng 03 tháng gần nhất, tổ chức phát hành sẽ không được chào bán chứng quyền trong vòng 06 tháng kể từ lần cảnh báo gần nhất.
Điều 6. Hồ sơ đăng ký chào bán chứng quyền
Hồ sơ đăng ký chào bán chứng quyền thực hiện theo quy định tại khoản 4 Điều 4 Thông tư số 107/2016/TT-BTC, trong đó:
1. Các quy trình nghiệp vụ (bao gồm quy trình về đăng ký chào bán, đăng ký lưu ký, niêm yết, tạo lập thị trường, phòng ngừa rủi ro, thực hiện chứng quyền) và quy trình kiểm soát nội bộ do tổ chức phát hành tự xây dựng đảm bảo phù hợp với quy định pháp luật và đặc điểm hoạt động của công ty.
2. Quy trình quản trị rủi ro theo mẫu quy định tại Phụ lục số 02 ban hành kèm theo Quy chế này.
3. Phương án bảo đảm thanh toán cho người sở hữu chứng quyền và phương án phòng ngừa rủi ro cho chứng quyền theo mẫu quy định tại Phụ lục số 03 ban hành kèm theo Quy chế này.
4. Bản cáo bạch chào bán chứng quyền theo mẫu quy định tại Phụ lục số 02 ban hành kèm theo Thông tư số 107/2016/TT-BTC. Tổ chức phát hành tham khảo mẫu Bản cáo bạch chào bán chứng quyền quy định tại Phụ lục số 04 ban hành kèm theo Quy chế này.
Chương III
PHÒNG NGỪA RỦI RO CHO CHỨNG QUYỀN
Điều 7. Nguyên tắc phòng ngừa rủi ro cho chứng quyền
1. Hoạt động phòng ngừa rủi ro được thực hiện trên tài khoản tự doanh của tổ chức phát hành.
2. Hoạt động phòng ngừa rủi ro bao gồm các giao dịch mua, bán, vay và các giao dịch khác phù hợp với quy định pháp luật, bảo đảm quy định tại khoản 3 Điều 12 Thông tư số 107/2016/TT-BTC và hạn mức đầu tư chứng khoán cơ sở của tổ chức kinh doanh chứng khoán theo quy định pháp luật.
3. Tổ chức phát hành được dùng chứng khoán cơ sở hiện có trong tài khoản tự doanh để phòng ngừa rủi ro cho chứng quyền và có trách nhiệm quản lý, hạch toán độc lập danh mục chứng khoán phòng ngừa rủi ro theo quy định pháp luật.
Điều 8. Hoạt động phòng ngừa rủi ro cho chứng quyền
1. Vị thế phòng ngừa rủi ro lý thuyết là số lượng chứng khoán cơ sở dự kiến cần phải nắm giữ để phòng ngừa rủi ro cho chứng quyền xác định theo phương án phòng ngừa rủi ro của tổ chức phát hành.
2. Trường hợp tổ chức phát hành sử dụng phương án phòng ngừa rủi ro dựa trên hệ số delta với chứng khoán phòng ngừa rủi ro là chứng khoán cơ sở của chứng quyền, vị thế phòng ngừa rủi ro lý thuyết được xác định như sau:
P = Delta x OI / k
Trong đó:
P: Số lượng chứng khoán cơ sở dự kiến nắm giữ để phòng ngừa rủi ro cho chứng quyền.
Delta: Hệ số phòng ngừa rủi ro delta, là giá trị thay đổi của giá chứng quyền ứng với một thay đổi trong giá chứng khoán cơ sở, được tính dựa trên công thức Black Scholes theo Phụ lục số 01 ban hành kèm theo Quy chế này.
OI: Số lượng chứng quyền đang lưu hành của đợt phát hành.
k: Tỷ lệ chuyển đổi của chứng quyền.
3. Vị thế phòng ngừa rủi ro thực tế được xác định bằng số lượng chứng khoán cơ sở thực có dùng cho mục đích phòng ngừa rủi ro và số tiền đã nộp tương ứng với phần chênh lệch giữa vị thế phòng ngừa rủi ro lý thuyết và vị thế phòng ngừa rủi ro thực tế trên tài khoản tự doanh của tổ chức phát hành
∆ pT % = (PT - pT)/PT x 100 %
Trong đó:
∆ pT %: Độ chênh lệch giữa vị thế phòng ngừa rủi ro lý thuyết và vị thế phòng ngừa rủi ro thực tế trong ngày T.
PT: Vị thế phòng ngừa rủi ro lý thuyết trong ngày T của chứng quyền.
pT: Vị thế phòng ngừa rủi ro thực tế trong ngày T của chứng quyền.
5. Trường hợp tổ chức phát hành áp dụng các phương án phòng ngừa rủi ro khác, tổ chức phát hành nêu rõ cách xác định vị thế phòng ngừa rủi ro trong phương án phòng ngừa rủi ro.
6. Trường hợp tổ chức phát hành sử dụng chứng khoán phòng ngừa rủi ro là chứng khoán có cùng chứng khoán cơ sở của chứng quyền, tổ chức phát hành nêu rõ công thức quy đổi trong phương án phòng ngừa rủi ro và có trách nhiệm quy đổi phù hợp với số lượng chứng khoán cơ sở khi báo cáo thông tin về hoạt động phòng ngừa rủi ro hàng ngày cho Sở Giao dịch Chứng khoán.
7. Tổ chức phát hành thực hiện phòng ngừa rủi ro để đảm bảo độ chênh lệch giữa vị thế phòng ngừa rủi ro lý thuyết và vị thế phòng ngừa rủi ro thực tế tại cuối ngày giao dịch không vượt quá 20%. Sở Giao dịch Chứng khoán quản lý vị thế phòng ngừa rủi ro theo từng chứng quyền. Trường hợp độ chênh lệch giữa vị thế phòng ngừa rủi ro lý thuyết và vị thế phòng ngừa rủi ro thực tế trên 20%, Sở Giao dịch Chứng khoán áp dụng các biện pháp xử lý theo quy định tại khoản 5 Điều 12 Thông tư số 107/2016/TT-BTC.
Chương IV
TỔ CHỨC THỰC HIỆN
Điều 9. Tổ chức thực hiện
1. Trên cơ sở Quy chế này, tổ chức phát hành chào bán chứng quyền và thực hiện phòng ngừa rủi ro cho chứng quyền để đảm bảo khả năng thanh toán cho người sở hữu chứng quyền, hạn chế một cách hiệu quả những tổn thất do rủi ro gây ra.
2. Việc sửa đổi, bổ sung Quy chế này do Chủ tịch Ủy ban Chứng khoán Nhà nước quyết định./.
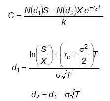
PHỤ LỤC SỐ 01
TÍNH GIÁ LÝ THUYẾT VÀ GIÁ TRỊ HỆ SỐ DELTA CỦA CHỨNG QUYỀN MUA THEO CÔNG THỨC BLACK SCHOLES
(Kèm theo Quy chế hướng dẫn chào bán và phòng ngừa rủi ro chứng quyền có bảo đảm ban hành tại Quyết định số 72/QĐ-UBCK ngày 18 tháng 01 năm 2018 của Chủ tịch Ủy ban Chứng khoán Nhà nước)
Tổ chức phát hành có thể định giá lý thuyết của chứng quyền mua theo công thức Black Scholes đối với các chứng quyền kiểu Châu Âu.
1. Giá lý thuyết của chứng quyền mua theo công thức Black Scholes
| Với: | ![]() |
Trong đó:
C: giá lý thuyết của chứng quyền mua;
N(d1), N(d2): xác suất phân phối chuẩn tích lũy;
X: giá thực hiện của chứng quyền;
S: giá chứng khoán cơ sở hiện tại;
T: thời gian còn lại đến khi đáo hạn (tính theo năm), là số ngày kể từ ngày tính toán đến ngày đáo hạn chứng quyền/ 365;
rc: lãi suất phi rủi ro (tính theo năm);
σ: độ biến động giá kỳ vọng của chứng khoán cơ sở (tính theo năm);
k: Tỷ lệ chuyển đổi của chứng quyền.
2. Giá trị hệ số delta của chứng quyền mua theo mô hình Black Scholes
DeltaCALL = N (d1)
Trong đó:
DeltaCALL: giá trị delta của chứng quyền mua;
N(d1): xác suất phân phối chuẩn tích lũy, với d1 được xác định theo công thức định giá Black Scholes.
PHỤ LỤC SỐ 02
MẪU QUY TRÌNH QUẢN TRỊ RỦI RO CỦA TỔ CHỨC PHÁT HÀNH CHỨNG QUYỀN CÓ BẢO ĐẢM
(Kèm theo Quy chế hướng dẫn chào bán và phòng ngừa rủi ro chứng quyền có bảo đảm ban hành tại Quyết định số 72/QĐ-UBCK ngày 18 tháng 01 năm 2018 của Chủ tịch Ủy ban Chứng khoán Nhà nước)
QUY TRÌNH QUẢN TRỊ RỦI RO CHỨNG QUYỀN CÓ BẢO ĐẢM
I. Mục tiêu
- Nhận diện được các rủi ro tiềm năng có thể xảy ra đối với hoạt động kinh doanh chứng quyền của tổ chức phát hành.
- Xử lý một cách nhanh chóng và hiệu quả đối với các vấn đề liên quan đến các rủi ro đã được nhận diện.
- Đảm bảo tính thống nhất giữa các bộ phận có liên quan trong quá trình quản trị rủi ro, đảm bảo hạn chế ở mức thấp nhất các rủi ro có thể xảy ra trong hoạt động kinh doanh sản phẩm chứng quyền có bảo đảm.
II. Quy trình quản trị rủi ro chứng quyền
Quy trình quản trị rủi ro chứng quyền là một chuỗi các bước được thực hiện liên tục nhằm hạn chế thấp nhất các rủi ro xảy ra đối với tổ chức phát hành. Để quản trị rủi ro hiệu quả, tổ chức phát hành cần tuân thủ tối thiểu các bước sau:
Bước 1: Nhận diện rủi ro đối với chứng quyền
Các rủi ro thường gặp đối với tổ chức phát hành chứng quyền có bảo đảm:
- Rủi ro thanh toán: Rủi ro khi tổ chức phát hành không thể thực hiện được các nghĩa vụ đã cam kết đối với nhà đầu tư, chẳng hạn như tổ chức phát hành chứng quyền bị mất khả năng thanh toán khi nhà đầu tư thực hiện quyền.
- Rủi ro thị trường: Rủi ro do sự thay đổi giá của chứng quyền có bảo đảm và giá của tài sản cơ sở.
- Rủi ro pháp lý: Rủi ro khi tổ chức phát hành vi phạm hoặc không tuân thủ các quy định và quy tắc của pháp luật hiện hành, dẫn đến bị phạt, cảnh cáo, tạm ngừng hoạt động hoặc bị rút giấy phép nghiệp vụ, đăng ký kinh doanh.
- Rủi ro hoạt động: Rủi ro do các lý do công nghệ (ví dụ hacker đánh sập hệ thống công nghệ thông tin), nhân viên (lừa đảo, sai sót do cố tình hoặc vô tình), tài sản vốn, các lý do bên ngoài (thiên tai, chiến tranh….).
- Các rủi ro khác: theo đặc thù hoạt động của tổ chức phát hành.
Bước 2: Phân tích rủi ro
Dựa trên các rủi ro liệt kê ở bước 1, cán bộ rủi ro của từng bộ phận trong công ty sẽ đánh giá về khả năng hay xác suất rủi ro đó xảy ra và mức độ tác động. Trên cơ sở đó sẽ phân loại và xếp hạng từng loại rủi ro để có những biện pháp xử lý phù hợp.
Tổ chức phát hành nêu phương pháp đánh giá đối với từng rủi ro. Chẳng hạn như việc so sánh vị thế phòng ngừa rủi ro lý thuyết với vị thế phòng ngừa rủi ro thực tế cho các chứng quyền đang lưu hành.
Bước 3: Kiểm soát rủi ro
Việc phân tích, đánh giá rủi ro sẽ giúp công ty xây dựng được chiến lược kiểm soát rủi ro thông qua việc lựa chọn chiến lược giải quyết hay đối phó với các rủi ro cho phù hợp. Các chiến lược thường được áp dụng để giải quyết hay đối phó với rủi ro là: tránh rủi ro, chuyển giao rủi ro, giảm nhẹ rủi ro, chấp nhận rủi ro.
Chẳng hạn, sau khi xác định được các rủi ro trọng yếu, các bộ phận có liên quan đến quản trị rủi ro cần phối hợp để tính toán và đưa ra các mức cảnh báo hoặc các tham số mục tiêu, từ đó đưa ra các phương án cũng như chiến lược để phòng ngừa rủi ro nhằm kiểm soát các rủi ro có thể ảnh hưởng đến hoạt động kinh doanh chứng quyền của công ty.
Ví dụ 1: Phương án phòng ngừa rủi ro thị trường:
- Nguyên tắc phòng ngừa rủi ro: duy trì hệ số phòng ngừa rủi ro trung hòa delta.
- Cách thức thực hiện: mua/bán chứng khoán cơ sở hoặc mua chứng quyền của tổ chức phát hành khác.
- Cơ sở vật chất để thực hiện: hệ thống thực hiện,…
Ví dụ 2: Phương án phòng ngừa rủi ro pháp lý (giả sử tổ chức phát hành tổ chức thực hiện việc phòng ngừa rủi ro vi phạm nghĩa vụ tạo lập thị trường dẫn đến việc chứng quyền bị tạm ngừng giao dịch)
- Nguyên tắc: đảm bảo tuân thủ nghĩa vụ tạo lập thị trường.
- Cách thức thực hiện: chủ động xây dựng các chương trình nhằm tuân thủ đúng các quy định về tạo lập thị trường theo Quy chế của Sở Giao dịch Chứng khoán.
- Phương tiện thực hiện: xây dựng hệ thống tự động về tạo lập thị trường,…
Bước 4: Giám sát hoạt động quản trị rủi ro
Hoạt động cuối cùng trong quy trình quản trị rủi ro thường là hoạt động giám sát và trao đổi thông tin nhằm đánh giá lại toàn bộ quá trình nhận diện rủi ro, phân tích rủi ro, kiểm soát và đối phó với rủi ro của công ty. Tiến độ thực hiện các kế hoạch kiểm soát rủi ro cho các rủi ro cụ thể cần được thông báo lên cấp trên và các phòng ban liên quan để chủ động thực hiện các hành động sửa chữa phù hợp.
Trong bước này, tổ chức phát hành cần cụ thể hóa vai trò kiểm tra, giám sát cũng như việc phân cấp và phân quyền giữa các chủ thể trong hệ thống quản trị rủi ro của tổ chức phát hành chứng quyền.
Định kỳ, bộ phận quản trị rủi ro thực hiện đánh giá hoạt động quản trị rủi ro và đề xuất các giải pháp điều chỉnh hoạt động quản trị rủi ro, chính sách quản trị rủi ro, báo cáo Ủy ban quản trị rủi ro và Ban Điều hành.
PHỤ LỤC SỐ 03
MẪU PHƯƠNG ÁN BẢO ĐẢM THANH TOÁN CHO NGƯỜI SỞ HỮU CHỨNG QUYỀN VÀ PHƯƠNG ÁN PHÒNG NGỪA RỦI RO CHO CHỨNG QUYỀN
(Kèm theo Quy chế hướng dẫn chào bán và phòng ngừa rủi ro chứng quyền có bảo đảm ban hành tại Quyết định số 72/QĐ-UBCK ngày 18 tháng 01 năm 2018 của Chủ tịch Ủy ban Chứng khoán Nhà nước)
|
TÊN TỔ CHỨC PHÁT HÀNH |
CỘNG HÒA XÃ HỘI CHỦ NGHĨA VIỆT NAM |
PHƯƠNG ÁN BẢO ĐẢM THANH TOÁN CHO NGƯỜI SỞ HỮU CHỨNG QUYỀN VÀ PHƯƠNG ÁN PHÒNG NGỪA RỦI RO CHO CHỨNG QUYỀN
Phương án bảo đảm thanh toán cho người sở hữu chứng quyền và phương án phòng ngừa rủi ro cho chứng quyền có bảo đảm ứng với Bản cáo bạch số ….
Tổ chức phát hành: …..
1. Phương án bảo đảm thanh toán cho người sở hữu chứng quyền
Việc thanh toán cho người sở hữu chứng quyền được bảo đảm bằng các nguồn tài sản sau:
a) Tài sản phòng ngừa rủi ro và các tài sản khác có trên tài khoản tự doanh;
b) Tài sản có trên tài khoản ký quỹ tại ngân hàng lưu ký;
c) Bảo lãnh thanh toán hoặc tài sản khác (nếu có).
Trường hợp không đủ tài sản để thanh toán thực hiện chứng quyền, việc giải quyết quyền lợi cho người sở hữu chứng quyền thực hiện theo quy định pháp luật liên quan áp dụng đối với chủ nợ có bảo đảm một phần.
2. Phương án phòng ngừa rủi ro cho chứng quyền
(Ví dụ minh họa đối với chiến lược phòng ngừa rủi ro delta, tổ chức phát hành có thể áp dụng các chiến lược phòng ngừa rủi ro khác và phải nêu chi tiết theo các nội dung dưới đây)
2.1. Mục đích phòng ngừa rủi ro
(Để đảm bảo khả năng thanh toán cho người sở hữu chứng quyền, hạn chế một cách hiệu quả những tổn thất do rủi ro gây ra)
2.2. Tổ chức thực hiện phòng ngừa rủi ro
(Trách nhiệm của Ban điều hành, Ban quản lý, Bộ phận kiểm soát nội bộ, Bộ phận trực tiếp quản trị rủi ro trong việc phòng ngừa rủi ro cho chứng quyền; Số lượng nhân sự tại bộ phận trực tiếp thực hiện hoạt động phòng ngừa rủi ro cho chứng quyền, chứng chỉ chuyên môn, số năm kinh nghiệm…)
2.3. Nguyên tắc thực hiện tổng quát
(Giả sử tổ chức phát hành áp dụng phương án phòng ngừa rủi ro trung hòa delta, tức cùng với việc phát hành chứng quyền, tổ chức phát hành sẽ đồng thời thực hiện các giao dịch mua bán chứng khoán cơ sở để giữ cho tổng vị thế của tổ chức phát hành là trung hòa delta (delta = 0) khi giá chứng khoán cơ sở thay đổi)
- Chứng khoán phòng ngừa rủi ro
+ Chứng khoán cơ sở của chứng quyền.
+ Các loại chứng khoán khác có cùng chứng khoán cơ sở của chứng quyền (nếu có).
- Vị thế phòng ngừa rủi ro
+ Cách tính hệ số phòng ngừa rủi ro.
+ Công thức tính toán vị thế phòng ngừa rủi ro lý thuyết, công thức quy đổi vị thế phòng ngừa rủi ro lý thuyết theo số lượng chứng khoán cơ sở nếu tổ chức phát hành sử dụng các loại chứng khoán phòng ngừa rủi ro khác không phải là chứng khoán cơ sở.
|
|
....., ngày...... tháng...... năm ...... |
PHỤ LỤC SỐ 04
MẪU BẢN CÁO BẠCH CHÀO BÁN CHỨNG QUYỀN CÓ BẢO ĐẢM
(Kèm theo Quy chế hướng dẫn chào bán và phòng ngừa rủi ro chứng quyền có bảo đảm ban hành tại Quyết định số 72/QĐ-UBCK ngày 18 tháng 01 năm 2018 của Chủ tịch Ủy ban Chứng khoán Nhà nước)
(trang bìa)
|
Ủy ban Chứng khoán Nhà nước cấp Giấy chứng nhận chào bán chứng quyền chỉ có nghĩa là hồ sơ đăng ký chào bán chứng quyền của tổ chức phát hành đã đáp ứng đủ điều kiện, thủ tục theo quy định của pháp luật liên quan, không hàm ý bảo đảm về nội dung của Bản cáo bạch, không hàm ý việc đầu tư vào chứng quyền được bảo đảm hay được thanh toán đầy đủ cũng như mục tiêu, chiến lược đầu tư, phương án kinh doanh của tổ chức phát hành. Nhà đầu tư được khuyến nghị nên đọc kỹ và hiểu các nội dung quy định ở Bản cáo bạch, đặc biệt là phần cảnh báo rủi ro ở trang... trong Bản cáo bạch này và chú ý đến các khoản thuế, phí, lệ phí, giá dịch vụ khi giao dịch chứng quyền có bảo đảm. Giá giao dịch chứng quyền có thể thay đổi tùy vào tình hình thị trường, nhà đầu tư có thể chịu thiệt hại về số vốn đầu tư và có thể mất toàn bộ vốn đầu tư. Các thông tin về kết quả hoạt động của tổ chức phát hành và các chứng quyền phát hành trước đây (nếu có) chỉ mang tính chất tham khảo và không có ý nghĩa là việc đầu tư sẽ sinh lời cho nhà đầu tư. |
BẢN CÁO BẠCH
CÔNG TY: ABC
(Giấy phép thành lập và hoạt động công ty chứng khoán số: ... do Ủy ban Chứng khoán Nhà nước cấp ngày ... tháng ... năm .....)
(nêu thông tin về Giấy phép thành lập và hoạt động công ty chứng khoán cấp lần đầu và thay đổi lần cuối cùng)
CHÀO BÁN CHỨNG QUYỀN CÓ BẢO ĐẢM
(Giấy chứng nhận chào bán chứng quyền số.... /GCN-UBCK do Chủ tịch Ủy ban Chứng khoán Nhà nước cấp ngày ... /.../...)
Bản cáo bạch này và tài liệu bổ sung sẽ được cung cấp tại.... từ ngày:...
Phụ trách công bố thông tin:
Họ tên:...................... Số điện thoại:......................
(trang bìa)
CÔNG TY: ABC
(Giấy phép thành lập và hoạt động công ty chứng khoán số:... do Ủy ban Chứng khoán Nhà nước cấp ngày... tháng... năm.....)
(nêu thông tin về Giấy phép thành lập và hoạt động công ty chứng khoán cấp lần đầu và thay đổi lần cuối cùng)
CHÀO BÁN CHỨNG QUYỀN CÓ BẢO ĐẢM
- Tên chứng quyền:
- Tên (mã) chứng khoán cơ sở:
- Tổ chức phát hành chứng khoán cơ sở:
- Loại chứng quyền: (chứng quyền mua)
- Kiểu thực hiện: (châu Âu)
- Phương thức thực hiện chứng quyền: (thanh toán tiền)
- Thời hạn: tháng
- Ngày phát hành:
- Ngày giao dịch cuối cùng:
- Ngày đáo hạn:
- Tỷ lệ chuyển đổi:
- Giá thực hiện:
- Giá trị tài sản bảo đảm thanh toán:
- Giá chào bán:
- Tổng số lượng chào bán:
- Tổng giá trị chào bán:
TỔ CHỨC BẢO LÃNH PHÁT HÀNH:
1. CÔNG TY:....(ghi rõ địa chỉ trụ sở chính, số điện thoại, số fax giao dịch)
2. CÔNG TY:....(ghi rõ địa chỉ trụ sở chính, số điện thoại, số fax giao dịch)
TỔ CHỨC KIỂM TOÁN:
CÔNG TY:........(ghi rõ địa chỉ trụ sở chính, số điện thoại, số fax giao dịch)
TỔ CHỨC TƯ VẤN:
CÔNG TY:........(ghi rõ địa chỉ trụ sở chính, số điện thoại, số fax giao dịch)
(trang bìa)
MỤC LỤC
Trang
Các nhân tố rủi ro
Những người chịu trách nhiệm chính đối với nội dung Bản cáo bạch
Các khái niệm
Cơ hội đầu tư
Thông tin về tổ chức phát hành chứng quyền có bảo đảm
Thông tin về chứng quyền có bảo đảm
Quản trị rủi ro chứng quyền có bảo đảm
Các đối tác liên quan đến đợt chào bán
Phụ lục
NỘI DUNG BẢN CÁO BẠCH
I. CÁC NHÂN TỐ RỦI RO (phân tích rõ ảnh hưởng của các nhân tố rủi ro đến đợt chào bán, giá chứng quyền chào bán)
Nhà đầu tư cần đọc Bản cáo bạch này và các tài liệu kèm theo để nắm vững các nội dung của chứng quyền có bảo đảm (sau đây gọi tắt là chứng quyền), các rủi ro đi kèm với việc đầu tư vào chứng quyền, đồng thời đánh giá sự phù hợp của khoản đầu tư vào sản phẩm chứng quyền với mục tiêu đầu tư và tình hình tài chính của mình. Nhà đầu tư được khuyến nghị tham khảo các chuyên viên tư vấn tài chính, môi giới chứng khoán hoặc chuyên viên phân tích để nắm vững về cách thức đầu tư vào sản phẩm chứng quyền.
Chứng quyền là sản phẩm cấu trúc phái sinh, có tính chất phức tạp và không phù hợp với các nhà đầu tư thiếu kinh nghiệm. Chúng tôi không khuyến khích nhà đầu tư tham gia đầu tư khi chưa hiểu rõ sản phẩm và chưa sẵn sàng chấp nhận các rủi ro đầu tư được trình bày dưới đây.
Chúng tôi không cam kết thực hiện điều tra, nghiên cứu liên quan tới tổ chức phát hành chứng khoán cơ sở. Người sở hữu chứng quyền không nên hiểu việc phát hành chứng quyền như một khuyến nghị của chúng tôi liên quan tới chứng khoán cơ sở. Ngoài ra, người sở hữu nên lưu ý rằng các công ty hoặc tổ chức có chứng khoán cơ sở hoặc các tổ chức liên quan khác không tham gia vào soạn thảo Bản cáo bạch này.
1. Rủi ro liên quan đến tổ chức phát hành chứng quyền
- Rủi ro từ giao dịch của tổ chức phát hành: Tổ chức phát hành luôn có thể mua lại chứng quyền trên thị trường và chứng quyền này có thể được nắm giữ hoặc bị hủy hoặc bán lại. Tổ chức phát hành có thể thực hiện các giao dịch để phòng ngừa rủi ro và giao dịch này có thể ảnh hưởng đến giá chứng khoán cơ sở, qua đó gián tiếp ảnh hưởng đến giá chứng quyền.
- Rủi ro thanh toán: Nhà đầu tư cần lưu ý rằng trong quá trình phát hành chứng quyền, mặc dù những tiêu chuẩn khắt khe về khả năng thanh toán phải luôn được chấp hành bởi tổ chức phát hành, luôn tồn tại rủi ro tổ chức phát hành bị mất khả năng thanh toán và không thể thực hiện quyền cho nhà đầu tư. Trong trường hợp tổ chức phát hành mất khả năng thanh toán hoặc không đủ tài sản để thanh toán thực hiện chứng quyền, việc giải quyết quyền lợi cho người sở hữu chứng quyền được thực hiện theo quy định pháp luật liên quan.
- Rủi ro chứng quyền bị hủy niêm yết: Trong trường hợp tổ chức phát hành bị đình chỉ, tạm ngừng hoạt động, hợp nhất, sáp nhập, giải thể, phá sản hoặc bị thu hồi Giấy phép thành lập và hoạt động, chứng quyền sẽ bị hủy niêm yết. Do đó tồn tại rủi ro chứng quyền bị hủy trước ngày đáo hạn.
- Rủi ro từ việc thực hiện sự tự chủ của tổ chức phát hành: Người sở hữu chứng quyền nên lưu ý rằng chúng tôi có quyền tự chủ trong các hoạt động kinh doanh phù hợp với điều khoản trong Bản cáo bạch này và có thể ảnh hưởng đến giá chứng quyền. Trong các sự kiện bị mua lại hoặc thay đổi cấu trúc doanh nghiệp liên quan tới quyền lợi của người sở hữu chứng quyền, chúng tôi có quyền lựa chọn các hoạt động liên quan tới chứng quyền mà chúng tôi cho rằng phù hợp. Tổ chức phát hành cam kết sẽ đưa ra các quyết định mang tính cẩn trọng. Nếu các bên liên quan đến các nghĩa vụ với tổ chức phát hành không thể đảm bảo được các nghĩa vụ của mình thì điều này có thể ảnh hưởng đến kết quả hoạt động liên quan tới chứng quyền.
- Rủi ro do mâu thuẫn quyền lợi: Tổ chức phát hành tham gia vào nhiều hoạt động khác nhau có thể gây ra mâu thuẫn quyền lợi với người sở hữu chứng quyền. Tổ chức phát hành luôn có thể phát hành và niêm yết các chứng quyền khác có khả năng ảnh hưởng đến giá chứng quyền này.
(Các rủi ro đặc thù khác do tổ chức phát hành trình bày thêm)
2. Rủi ro liên quan đến sản phẩm chứng quyền
- Rủi ro đầu tư chung: Người sở hữu nên có kiến thức về phương pháp định giá chứng quyền và chỉ nên giao dịch sau khi đã xem xét cẩn trọng. Chứng quyền là sản phẩm phù hợp với nhà đầu tư hiểu rõ về các rủi ro và các cơ chế giá liên quan. Một khoản đầu tư vào chứng quyền không tương đương với một khoản đầu tư vào tài sản cơ sở. Mặc dù lợi nhuận của một khoản đầu tư vào chứng quyền liên quan mật thiết tới thay đổi trong giá của tài sản cơ sở, sự thay đổi giá của chứng quyền đối với sự thay đổi giá tài sản cơ sở có thể không tương đương. Hệ số đòn bẩy cao của chứng quyền có nghĩa rằng người sở hữu sẽ có rủi ro đầu tư cao hơn so với đầu tư cùng giá trị vào tài sản cơ sở.
- Rủi ro do thời gian đáo hạn của chứng quyền: Do chứng quyền có thời gian đáo hạn nên giá của chứng quyền có thể bị giảm khi đến gần ngày đáo hạn, và mức giảm giá này có thể sẽ khá lớn. Nếu nhà đầu tư nắm giữ chứng quyền đến ngày đáo hạn và giá thanh toán nhỏ hơn hoặc bằng giá thực hiện quyền, thì giá của chứng quyền sẽ bằng không, khi đó nhà đầu tư sẽ chịu một khoản lỗ bằng đúng số tiền đã bỏ ra để mua chứng quyền. Vì vậy, trước khi quyết định đầu tư vào chứng quyền, nhà đầu tư cần nghiên cứu kỹ xu thế biến động giá của chứng khoán cơ sở trong khoảng thời gian còn hiệu lực của chứng quyền.
- Rủi ro về giá: Là rủi ro do sự thay đổi giá của chứng quyền. Sự thay đổi giá của chứng quyền phụ thuộc vào nhiều yếu tố như giá của chứng khoán cơ sở, mức độ biến độ giá chứng khoán cơ sở, thời gian còn hiệu lực của chứng quyền, lãi suất, cổ tức của chứng khoán cơ sở... trong đó, yếu tố quan trọng nhất chính là giá của chứng khoán cơ sở. Ngoài ra, giá của chứng quyền còn phụ thuộc vào yếu tố cung cầu của thị trường về chứng quyền. Mặc dù tổ chức phát hành thường phát hành khối lượng chứng quyền theo khối lượng đã đăng ký với Ủy ban Chứng khoán Nhà nước, tuy nhiên, tổ chức phát hành vẫn có thể tăng khối lượng cung ứng chứng quyền thông qua phương thức phát hành bổ sung, miễn là hạn mức phát hành chứng quyền đó chưa vượt quá hạn mức phát hành tối đa theo quy định của Ủy ban Chứng khoán Nhà nước. Việc phát hành bổ sung có thể ảnh hưởng đến giá của chứng quyền.
- Rủi ro từ tính đòn bẩy: Đầu tư vào chứng quyền chỉ liên quan đến sự thay đổi giá của chứng khoán cơ sở chứ không phải đầu tư trực tiếp vào chứng khoán cơ sở, do đó nhà đầu tư được hưởng lợi từ tính chất đòn bẩy của chứng quyền khi có thể nhận được toàn bộ sự thay đổi giá của chứng khoán cơ sở trong khi chỉ phải bỏ ra một phần chứ không phải toàn bộ giá của chứng khoán cơ sở. Ngoài ra, tỷ lệ thay đổi giá của chứng quyền trên thị trường có thể lớn hơn tỷ lệ thay đổi giá của chứng khoán cơ sở, vì vậy nhà đầu tư có thể lời nhiều hơn hoặc lỗ nhiều hơn so với việc đầu tư trực tiếp vào chứng khoán cơ sở.
- Rủi ro thanh khoản: Là rủi ro xảy ra khi nhà đầu tư không thể bán chứng quyền tại mức giá mong muốn do thị trường thiếu thanh khoản đối với chứng quyền đó. Thanh khoản của chứng quyền phụ thuộc vào cung cầu thị trường và hiệu quả hoạt động tạo lập thị trường của tổ chức phát hành. Mặc dù tổ chức phát hành cam kết sẽ thực hiện các công tác tạo lập thị trường và cung cấp thanh khoản cho thị trường chứng quyền, tổ chức phát hành không cam kết thị trường giao dịch của chứng quyền sẽ sôi động.
- Nhà đầu tư sở hữu chứng quyền không có quyền lợi như cổ đông sở hữu chứng khoán cơ sở, bao gồm nhưng không giới hạn quyền tham dự Đại hội đồng cổ đông, nhận cổ tức, quyền mua cổ phiếu phát hành thêm, hoặc các quyền khác phát sinh từ chứng khoán cơ sở.
(Các rủi ro khác do tổ chức phát hành trình bày thêm)
3. Rủi ro liên quan đến chứng khoán cơ sở
- Một số sự kiện xảy ra (bao gồm phát hành cổ phiếu thưởng hoặc phân phối tiền bởi Công ty, chia nhỏ hoặc hợp nhất chứng khoán cơ sở hoặc sự kiện tái cấu trúc ảnh hưởng tới Công ty) có thể dẫn đến việc chúng tôi phải điều chỉnh các điều khoản của chứng quyền. Tuy nhiên, chúng tôi không có nghĩa vụ phải điều chỉnh các điều khoản và điều kiện của chứng quyền cho mọi sự kiện liên quan tới chứng khoán cơ sở. Bất kỳ sự điều chỉnh hoặc các quyết định không điều chỉnh đều sẽ có tác động tới giá trị của chứng quyền. Việc điều chỉnh chứng quyền sẽ được thực hiện theo quy định pháp luật. Ngoài ra, một số sự kiện xảy ra (bao gồm chứng khoán cơ sở bị hủy niêm yết hoặc tạm ngừng giao dịch) dẫn đến việc chứng quyền bị hủy niêm yết hoặc tạm ngừng giao dịch theo quy định của pháp luật.
(Các rủi ro khác do tổ chức phát hành trình bày thêm)
4. Các rủi ro khác
- Rủi ro kinh tế, chính trị, luật pháp
- Rủi ro khác
II. NHỮNG NGƯỜI CHỊU TRÁCH NHIỆM CHÍNH ĐỐI VỚI NỘI DUNG BẢN CÁO BẠCH
1. Tổ chức phát hành
Ông/Bà:..............Chức vụ: Chủ tịch Hội đồng quản trị/ Hội đồng thành viên
Ông/Bà:..............Chức vụ: Giám đốc (Tổng giám đốc)
Ông/Bà:..............Chức vụ: Kế toán trưởng (Giám đốc Tài chính)
Ông/Bà:..............Chức vụ: Trưởng Ban kiểm soát/ Ban kiểm toán nội bộ
Chúng tôi đảm bảo rằng các thông tin và số liệu trong Bản cáo bạch này là chính xác, trung thực và cam kết chịu trách nhiệm về tính trung thực, chính xác của những thông tin và số liệu này phù hợp với thực tế mà chúng tôi được biết, hoặc đã điều tra, thu thập một cách hợp lý.
Chúng tôi có thể cập nhật hoặc sửa đổi Bản cáo bạch này trong quá trình phát hành chứng quyền để đảm bảo đúng các quy định được ban hành. Bất kỳ sự cập nhật bổ sung nào sẽ được công bố thông tin tại Sở Giao dịch Chứng khoán.
2. Tổ chức bảo lãnh phát hành, Tổ chức tư vấn
Đại diện theo pháp luật: Ông/Bà:................
Chức vụ:
Bản cáo bạch này là một phần của hồ sơ đăng ký chào bán do (tên tổ chức bảo lãnh phát hành, tổ chức tư vấn) tham gia lập trên cơ sở hợp đồng tư vấn (hợp đồng bảo lãnh phát hành) với (tên tổ chức phát hành). Chúng tôi đảm bảo rằng việc phân tích, đánh giá và lựa chọn ngôn từ trong Bản cáo bạch này đã được thực hiện một cách hợp lý và cẩn trọng dựa trên cơ sở các thông tin và số liệu do (tên tổ chức phát hành) cung cấp.
III. CÁC KHÁI NIỆM
(Những từ, nhóm từ viết tắt hoặc khó hiểu, hoặc có thể gây hiểu lầm được thể hiện trong Bản cáo bạch cần phải định nghĩa)
Chứng quyền có bảo đảm là hợp đồng giữa nhà đầu tư và tổ chức phát hành chứng quyền được định nghĩa theo khoản 1 Điều 1 Nghị định số 60/2015/NĐ-CP ngày 26/06/2015 của Chính phủ sửa đổi, bổ sung một số điều của Nghị định số 58/2012/NĐ-CP ngày 20/07/2012 của Chính phủ quy định chi tiết và hướng dẫn thi hành một số điều của Luật Chứng khoán và Luật sửa đổi, bổ sung một số điều của Luật Chứng khoán.
Chứng khoán cơ sở là chứng khoán được sử dụng làm tài sản cơ sở của chứng quyền.
Tổ chức phát hành chứng khoán cơ sở là tổ chức phát hành chứng khoán làm tài sản cơ sở của chứng quyền.
Tổ chức phát hành chứng quyền là công ty chứng khoán phát hành chứng quyền.
Ngân hàng lưu ký là ngân hàng thực hiện việc lưu ký, giám sát tài sản do tổ chức phát hành chứng quyền ký quỹ để bảo đảm thanh toán cho các chứng quyền đã phát hành và không phải là người có liên quan của tổ chức phát hành theo quy định của pháp luật chứng khoán.
Người sở hữu chứng quyền là nhà đầu tư sở hữu chứng quyền, đồng thời là chủ nợ có bảo đảm một phần của tổ chức phát hành và không phải là tổ chức phát hành chứng quyền.
Chứng quyền kiểu châu Âu là chứng quyền mà người sở hữu chứng quyền chỉ được thực hiện quyền tại ngày đáo hạn.
Giá thực hiện là mức giá mà người sở hữu chứng quyền mua có quyền mua chứng khoán cơ sở từ tổ chức phát hành, hoặc được tổ chức phát hành dùng để xác định khoản thanh toán cho người sở hữu chứng quyền.
Tỷ lệ chuyển đổi cho biết số lượng chứng quyền cần có để quy đổi thành một đơn vị chứng khoán cơ sở.
Ngày đáo hạn là ngày cuối cùng mà người sở hữu chứng quyền được thực hiện chứng quyền.
Chứng quyền đang lưu hành là chứng quyền chưa đáo hạn và đang được nắm giữ bởi người sở hữu chứng quyền.
Chứng quyền chưa lưu hành là chứng quyền đã phát hành nhưng chưa được sở hữu bởi nhà đầu tư. Chứng quyền chưa lưu hành được lưu ký trên tài khoản của tổ chức phát hành.
Chứng quyền có lãi (ITM) là chứng quyền mua có giá thực hiện thấp hơn giá của chứng khoán cơ sở.
Chứng quyền lỗ (OTM) là chứng quyền mua có giá thực hiện cao hơn giá của chứng khoán cơ sở.
Chứng quyền hòa vốn (ATM) là chứng quyền mua có giá thực hiện bằng giá của chứng khoán cơ sở.
Vị thế mở chứng quyền của tổ chức phát hành bao gồm tất cả các chứng quyền đang lưu hành chưa được thực hiện.
Delta là giá trị thay đổi của giá chứng quyền ứng với một thay đổi trong giá chứng khoán cơ sở.
Công thức:
|
Delta= |
Mức độ thay đổi giá chứng quyền |
|
Mức độ thay đổi giá chứng khoán cơ sở |
Giá thanh toán chứng quyền khi thực hiện quyền là bình quân giá đóng cửa của chứng khoán cơ sở trong năm (05) ngày giao dịch liền trước ngày đáo hạn, không bao gồm ngày đáo hạn.
(Các khái niệm khác)
IV. CƠ HỘI ĐẦU TƯ
1. Tổng quan về nền kinh tế Việt Nam
2. Thị trường tài chính Việt Nam và cơ hội đầu tư
3. Cơ hội đầu tư vào chứng quyền
V. THÔNG TIN VỀ TỔ CHỨC PHÁT HÀNH CHỨNG QUYỀN CÓ BẢO ĐẢM
1. Các thông tin chung về tổ chức phát hành chứng quyền có bảo đảm
- Tóm tắt quá trình hình thành và phát triển.
- Cơ cấu tổ chức công ty (và cơ cấu trong tập đoàn, nếu có) (thể hiện bằng sơ đồ và kèm theo diễn giải).
- Cơ cấu bộ máy quản lý của công ty (thể hiện bằng sơ đồ và kèm theo diễn giải).
- Danh sách cổ đông (tên, địa chỉ, tỷ lệ nắm giữ) nắm giữ từ 5% trở lên vốn cổ phần của công ty và những người có liên quan; danh sách cổ đông sáng lập và tỉ lệ cổ phần nắm giữ (nếu các quy định về hạn chế chuyển nhượng còn hiệu lực).
- Danh sách những công ty mẹ và công ty con của tổ chức phát hành, những công ty mà tổ chức phát hành đang nắm giữ quyền kiểm soát hoặc cổ phần chi phối, những công ty nắm quyền kiểm soát hoặc cổ phần chi phối đối với tổ chức phát hành.
- Thông tin về Ban điều hành tổ chức phát hành (cơ cấu, thông tin tóm tắt các thành viên).
- Thông tin về nhân sự quản lý rủi ro liên quan tới hoạt động phát hành chứng quyền: kinh nghiệm, chuyên môn, uy tín, năng lực.
2. Các thông tin về kết quả hoạt động của tổ chức phát hành
- Tổng hợp tình hình hoạt động của công ty chứng khoán, bao gồm: (các nghiệp vụ, thị phần từng lĩnh vực hoạt động, các tranh chấp/ kiện tụng mà công ty đang gặp phải và diễn biến tại thời điểm hiện tại (nếu có)...
- Báo cáo kết quả hoạt động kinh doanh trong 02 năm gần nhất và lũy kế đến quý gần nhất
|
Chỉ tiêu |
Năm X-1 |
Năm X |
% tăng giảm |
Lũy kế đến quý gần nhất |
|
Tổng giá trị tài sản Doanh thu từ các hoạt động kinh doanh Lợi nhuận từ các hoạt động kinh doanh Lợi nhuận khác Lợi nhuận trước thuế Lợi nhuận sau thuế |
|
|
|
|
- Các chứng quyền mà công ty đã phát hành (nêu chi tiết danh sách, tên chứng quyền, loại chứng quyền...).
3. Tình hình tài chính
- Thanh toán các khoản nợ đến hạn: (có thanh toán đúng hạn và đầy đủ các khoản nợ không?)
- Các khoản phải nộp theo luật định: (có thực hiện theo luật định?)
- Tổng dư nợ vay: (ghi rõ nợ quá hạn, tổng dư nợ bảo lãnh (nếu có), quá hạn ngắn hạn, trung hạn và dài hạn, nguyên nhân dẫn đến nợ quá hạn, khả năng thu hồi)
- Tình hình công nợ hiện nay: (tổng số nợ phải thu, tổng số nợ phải trả)
- Các chỉ tiêu tài chính chủ yếu:
|
Các chỉ tiêu |
Năm X - 1 |
Năm X |
Ghi chú |
||
|
1. Chỉ tiêu về an toàn tài chính - Giá trị vốn khả dụng: - Rủi ro (Rủi ro thị trường, rủi ro thanh toán, rủi ro hoạt động, rủi ro tăng thêm) - Tỷ lệ vốn khả dụng:
|
|
|
|
||
|
2. Chỉ tiêu về khả năng thanh toán - Hệ số thanh toán ngắn hạn: TSLĐ/Nợ ngắn hạn - Hệ số thanh toán nhanh:
|
|
|
|
||
|
3. Chỉ tiêu về cơ cấu vốn - Hệ số Nợ/Tổng tài sản - Hệ số Nợ/Vốn chủ sở hữu |
|
|
|
||
|
4. Chỉ tiêu về khả năng sinh lời - Hệ số Lợi nhuận sau thuế/Doanh thu thuần - Hệ số Lợi nhuận sau thuế/Vốn chủ sở hữu - Hệ số Lợi nhuận sau thuế/Tổng tài sản - Hệ số Lợi nhuận từ hoạt động kinh doanh/Doanh thu thuần - Thu nhập trên cổ phần (EPS) |
|
|
|
VI. CÁC THÔNG TIN VỀ CHỨNG QUYỀN CÓ BẢO ĐẢM
1. Thông tin chung về chứng quyền
- Tên chứng quyền, tên chứng khoán cơ sở, tổ chức phát hành chứng khoán cơ sở, loại chứng quyền (mua), kiểu thực hiện (châu Âu), phương thức thực hiện chứng quyền, thời hạn, ngày đáo hạn, tỷ lệ chuyển đổi, hệ số nhân, giá thực hiện, tài sản bảo đảm thanh toán, tổng số chứng quyền dự kiến chào bán, tổng giá trị chứng quyền dự kiến chào bán, giá chào bán, phương pháp tính giá chào bán bao gồm công thức và các thông tin cụ thể về giá chứng khoán cơ sở, lãi suất, độ biến động của chứng khoán cơ sở và các thông tin cần thiết khác cho việc tính giá chào bán...;
- Thông tin về các đợt phát hành chứng quyền cùng loại trước đó (đối với trường hợp chào bán bổ sung): số lượng chào bán, giá trị chào bán, số lượng và giá trị chứng quyền đang lưu hành của các đợt chào bán trước đó.
2. Thông tin về chứng khoán cơ sở
- Chứng khoán cơ sở là cổ phiếu: mức vốn hóa, tính thanh khoản, tình hình biến động giá trong năm gần nhất (khối lượng giao dịch, giá giao dịch cao nhất, thấp nhất, giá đóng cửa của ngày giao dịch cuối các tháng trong năm...), thông tin về tổ chức phát hành chứng khoán cơ sở bao gồm tên công ty, lĩnh vực hoạt động, kết quả hoạt động kinh doanh của tổ chức phát hành chứng khoán cơ sở;
|
Chỉ tiêu |
Năm X-1 |
Năm X |
% tăng giảm |
Quý gần nhất |
|
Tổng giá trị tài sản Vốn chủ sở hữu Doanh thu Thuế và các khoản phải nộp Lợi nhuận trước thuế Lợi nhuận sau thuế Tỷ lệ lợi nhuận sau thuế trên vốn chủ sở hữu |
|
|
|
|
(Trường hợp tổ chức phát hành chứng khoán cơ sở hoạt động theo mô hình công ty mẹ, chỉ tiêu kết quả hoạt động sản xuất kinh doanh dựa trên báo cáo tài chính hợp nhất).
- Thời điểm niêm yết lần đầu của chứng khoán cơ sở; chỉ số giá/thu nhập (P/E) tại thời điểm gần nhất; dao động bình quân của giá chứng khoán cơ sở trong 6 tháng gần nhất;
- Các chỉ số tài chính của tổ chức phát hành chứng khoán cơ sở trong 02 năm gần nhất.
|
Các chỉ tiêu |
Năm X - 1 |
Năm X |
Ghi chú |
|
1. Chỉ tiêu về khả năng thanh toán - Hệ số thanh toán ngắn hạn: TSLĐ/Nợ ngắn hạn - Hệ số thanh toán nhanh: (TSLĐ - Hàng tồn kho)/Nợ ngắn hạn |
|
|
|
|
2. Chỉ tiêu về cơ cấu vốn - Hệ số Nợ/Tổng tài sản - Hệ số Nợ/Vốn chủ sở hữu |
|
|
|
|
3. Chỉ tiêu về khả năng sinh lời - Hệ số Lợi nhuận sau thuế/Doanh thu thuần - Hệ số Lợi nhuận sau thuế/Vốn chủ sở hữu - Hệ số Lợi nhuận sau thuế/Tổng tài sản - Hệ số Lợi nhuận từ hoạt động kinh doanh/Doanh thu thuần - Thu nhập trên cổ phần (EPS) |
|
|
|
3. Thời gian phân phối chứng quyền
4. Đăng ký mua chứng quyền
5. Thực hiện chứng quyền
a) Trường hợp thanh toán bằng tiền: (trong đó, nêu quy trình thực hiện, cách tính số tiền thanh toán cho nhà đầu tư)
- Nêu quy trình thanh toán do Trung tâm Lưu ký Chứng khoán quy định.
- Số tiền thanh toán cho một đơn vị chứng quyền mua là số tiền thanh toán khi giá thanh toán lớn hơn giá thực hiện, được tính theo công thức [(Giá thanh toán - Giá thực hiện)/ Tỷ lệ chuyển đổi]. Số tiền thanh toán ròng là số tiền thanh toán giảm trừ các chi phí thực hiện quyền (nếu có).
- Trường hợp nhà đầu tư không đặt lệnh thực hiện chứng quyền, chứng quyền có lãi được tự động thực hiện theo phương thức thanh toán bằng tiền vào ngày đáo hạn.
b) Các biện pháp xử lý trong trường hợp tổ chức phát hành mất khả năng thanh toán.
6. Quyền của người sở hữu chứng quyền
- Quyền của người sở hữu chứng quyền mua: Người sở hữu chứng quyền mua được nhận khoản tiền chênh lệch khi giá của chứng khoán cơ sở cao hơn giá thực hiện tại thời điểm thực hiện.
- Trường hợp không đủ tài sản để thanh toán thực hiện chứng quyền, việc giải quyết quyền lợi cho người sở hữu chứng quyền thực hiện theo quy định pháp luật liên quan áp dụng đối với chủ nợ có bảo đảm một phần.
- Trong trường hợp chứng quyền bị hủy niêm yết do tổ chức phát hành đình chỉ, tạm ngừng hoạt động; hợp nhất, sáp nhập, giải thể, phá sản hoặc bị thu hồi Giấy phép thành lập và hoạt động; khi bị phát hiện hồ sơ đăng ký chào bán chứng quyền có những thông tin sai lệch, bỏ sót nội dung quan trọng có thể ảnh hưởng tới quyết định đầu tư và gây thiệt hại cho nhà đầu tư; do chứng khoán cơ sở bị hủy niêm yết; hoặc không thể xác định được chỉ số chứng khoán vì các nguyên nhân bất khả kháng đã được quy định rõ tại bộ nguyên tắc về xác định chỉ số; hoặc do Sở Giao dịch Chứng khoán xét thấy cần thiết để bảo vệ quyền lợi của nhà đầu tư (Trong đó, nêu rõ công thức, cách tính các thông số xác định mức giá thanh toán chứng quyền cho người sở hữu chứng quyền kể từ ngày hủy niêm yết có hiệu lực).
7. Điều chỉnh chứng quyền
- Tổ chức phát hành phải điều chỉnh chứng quyền trong các trường hợp sau: Giá chứng khoán cơ sở bị điều chỉnh do tổ chức phát hành chứng khoán cơ sở chia cổ tức bằng tiền mặt, phát hành cổ phiếu để trả cổ tức, phát hành cổ phiếu để tăng vốn cổ phần từ nguồn vốn chủ sở hữu, phát hành cổ phiếu mới...
- Cách thức điều chỉnh giá thực hiện và tỷ lệ chuyển đổi chứng quyền khi chứng khoán cơ sở có sự kiện doanh nghiệp như sau:
+ Thời điểm thực hiện điều chỉnh: Ngày giao dịch không hưởng quyền của tài sản cơ sở.
+ Giá thực hiện mới = Giá thực hiện cũ x (Giá tham chiếu đã điều chỉnh của tài sản cơ sở tại ngày giao dịch không hưởng quyền/ Giá tham chiếu chưa điều chỉnh của tài sản cơ sở tại ngày giao dịch không hưởng quyền).
+ Tỷ lệ chuyển đổi mới = Tỷ lệ chuyển đổi cũ × (Giá tham chiếu đã điều chỉnh của tài sản cơ sở tại ngày giao dịch không hưởng quyền/ Giá tham chiếu chưa điều chỉnh của tài sản cơ sở tại ngày giao dịch không hưởng quyền).
- Tỷ lệ thực hiện hoặc giá thực hiện điều chỉnh cần làm tròn tới 4 chữ số thập phân.
- Việc điều chỉnh khác sẽ căn cứ theo quyết định điều chỉnh của Sở Giao dịch Chứng khoán, tổ chức phát hành sẽ thực hiện điều chỉnh.
8. Các khoản thuế, phí, lệ phí, giá dịch vụ phát sinh từ việc giao dịch hoặc thực hiện chứng quyền.
9. Hoạt động tạo lập thị trường
Nhằm đảm bảo thanh khoản cho các chứng quyền đang lưu hành, tổ chức phát hành có nghĩa vụ tạo lập thị trường cho các chứng quyền do mình phát hành, cụ thể:
(Tổ chức phát hành trích dẫn quy định hiện hành về tạo lập thị trường tại thời điểm lập Bản cáo bạch)
a) Nghĩa vụ yết giá tạo lập thị trường
Tổ chức phát hành phải tham gia đặt lệnh tạo lập thị trường trong vòng (05) phút kể từ khi có một trong các sự việc sau đây xảy ra:
- Chỉ có lệnh bên mua hoặc bên bán chứng quyền;
- Không có lệnh bên mua và bên bán chứng quyền;
- Tỷ lệ chênh lệch giá trên thị trường vượt quá 5%. Tỷ lệ chênh lệch giá là tỷ lệ phần trăm của (giá chào bán thấp nhất - giá chào mua cao nhất)/giá chào mua cao nhất.
Khi tham gia đặt lệnh, tổ chức tạo lập thị trường phải tuân thủ:
- Khối lượng mỗi lệnh tối thiểu là 100 chứng quyền;
- Giá đặt lệnh phải đảm bảo không vượt tỷ lệ chênh lệch giá 5%;
- Trường hợp không có lệnh mua và lệnh bán chứng quyền, tổ chức tạo lập thị trường phải yết giá hai chiều (đặt cả lệnh chào mua và lệnh chào bán);
- Thời gian tồn tại của lệnh trên hệ thống giao dịch tối thiểu là một (01) phút.
b) Miễn trừ nghĩa vụ yết giá tạo lập thị trường
Trong các trường hợp sau, tổ chức phát hành không phải thực hiện hoạt động tạo lập thị trường:
- Đợt khớp lệnh định kỳ xác định giá mở cửa, năm (05) phút đầu sau khi kết thúc đợt khớp lệnh định kỳ xác định giá mở cửa và đợt khớp lệnh định kỳ xác định giá đóng cửa;
- Tài sản cơ sở của chứng quyền bị tạm ngừng giao dịch;
- Khi giá lý thuyết của chứng quyền được tính theo công thức nêu tại bản cáo bạch của tổ chức phát hành nhỏ hơn hoặc bằng 10 đồng;
- Số lượng chứng quyền trên tài khoản tạo lập thị trường không đáp ứng số lượng tối thiểu 100 chứng quyền, tổ chức phát hành được miễn đặt lệnh bán;
- Khi chưa có chứng quyền nào được lưu hành (trường hợp tổ chức phát hành chưa bán được chứng quyền nào cho nhà đầu tư), tổ chức phát hành được miễn đặt lệnh mua;
- Trường hợp thực hiện hủy niêm yết chứng quyền, tổ chức phát hành được miễn đặt lệnh bán;
- Giá chứng quyền tăng kịch trần (dư mua trần), tổ chức phát hành được miễn đặt lệnh bán hoặc Giá chứng quyền giảm kịch sàn (dư bán sàn), tổ chức phát hành được miễn đặt lệnh mua;
- Giá chứng khoán cơ sở tăng kịch trần (dư mua trần), tổ chức phát hành được miễn đặt lệnh bán đối với chứng quyền mua;
- Giá chứng khoán cơ sở giảm kịch sàn (dư bán sàn), tổ chức phát hành được miễn đặt lệnh mua đối với chứng quyền mua;
- Chứng quyền đang ở trạng thái có lãi từ 30% trở lên (tức chứng quyền mua đang có giá chứng khoán cơ sở cao hơn 30% so với giá thực hiện), tổ chức phát hành được miễn đặt lệnh bán;
- Trong mười bốn (14) ngày trước khi chứng quyền đáo hạn;
- Khi xảy ra các sự kiện bất khả kháng như thiên tai, hỏa hoạn, chiến tranh...;
- Các trường hợp khác được Sở Giao dịch Chứng khoán áp dụng sau khi có ý kiến chấp thuận của Ủy ban Chứng khoán Nhà nước.
VII. QUẢN TRỊ RỦI RO CHỨNG QUYỀN CÓ BẢO ĐẢM
1. Quy trình quản trị rủi ro
- Trình bày các vấn đề liên quan đến quản trị rủi ro của tổ chức phát hành;
- Vai trò của nhà quản lý cấp cao trong việc theo dõi quản trị rủi ro, bao gồm vai trò của các tổ chức liên quan;
- Sự kiểm soát giao dịch, hạn mức tín dụng và ký quỹ (theo đặc thù của tổ chức phát hành);
- Tổ chức đánh giá tín dụng (nếu có).
2. Phương án phòng ngừa rủi ro dự kiến (Mục đích phòng ngừa rủi ro, phương án phòng ngừa rủi ro tổng quát)
- Mục đích phòng ngừa rủi ro: (để đảm bảo khả năng thanh toán cho người sở hữu chứng quyền, hạn chế một cách hiệu quả những tổn thất do rủi ro gây ra).
- Tổ chức thực hiện phòng ngừa rủi ro: (trách nhiệm của Ban điều hành, Ban quản lý, Bộ phận kiểm soát nội bộ, Bộ phận trực tiếp quản trị rủi ro trong việc phòng ngừa rủi ro cho chứng quyền; Số lượng nhân sự tại bộ phận trực tiếp thực hiện hoạt động phòng ngừa rủi ro cho chứng quyền, chứng chỉ chuyên môn, số năm kinh nghiệm…).
- Nguyên tắc thực hiện tổng quát: (giả sử tổ chức phát hành áp dụng phương án phòng ngừa rủi ro trung hòa delta, tức cùng với việc phát hành chứng quyền, tổ chức phát hành sẽ đồng thời thực hiện các giao dịch mua bán chứng khoán cơ sở để giữ cho tổng vị thế của tổ chức phát hành là trung hòa delta (delta = 0) khi giá chứng khoán cơ sở thay đổi).
Chứng khoán phòng ngừa rủi ro:
+ Chứng khoán cơ sở của chứng quyền.
+ Các loại chứng khoán khác có cùng chứng khoán cơ sở của chứng quyền (nếu có).
3. Kinh nghiệm phát hành chứng quyền của tổ chức phát hành
VIII. CÁC ĐỐI TÁC LIÊN QUAN ĐẾN ĐỢT CHÀO BÁN
Nêu tên, địa chỉ trụ sở chính và giới thiệu sơ bộ các đối tác có liên quan đến đợt chào bán: ngân hàng lưu ký, tổ chức bảo lãnh phát hành hoặc đại lý phát hành, tổ chức kiểm toán, tư vấn,...
IX. XUNG ĐỘT LỢI ÍCH
Nêu ra nguyên tắc trong việc giải quyết các xung đột lợi ích có thể xảy ra.
Tổ chức phát hành công bố các mối quan hệ giữa tổ chức phát hành và các bên cung cấp dịch vụ tư vấn cho tổ chức phát hành nếu mối quan hệ đó có khả năng gây ra xung đột lợi ích với việc phát hành chứng quyền. Các bên này bao gồm các bên tư vấn, kế toán, kiểm toán, luật, chuyên gia hoặc các bên khác cung cấp dịch vụ tư vấn cho tổ chức phát hành.
- Chúng tôi và các công ty con, chi nhánh của chúng tôi tham gia vào các hoạt động ngân hàng, đầu tư, môi giới, tư vấn và các hoạt động khác và có thể có các thông tin quan trọng về Công ty và/ hoặc các chứng khoán cơ sở hoặc phát hành hoặc cập nhật các báo cáo nghiên cứu về Công ty và/ hoặc chứng khoán cơ sở. Các hoạt động, thông tin và/ hoặc các báo cáo nghiên cứu như vậy có thể liên quan đến hoặc ảnh hưởng đến Công ty và/ hoặc các chứng khoán cơ sở và có thể gây ra những hậu quả bất lợi cho nhà đầu tư hoặc tạo ra mâu thuẫn quyền lợi liên quan đến việc phát hành chứng quyền. Chúng tôi không có nghĩa vụ công bố những thông tin như vậy và có thể phát hành báo cáo nghiên cứu và tham gia vào bất kỳ hoạt động nào như vậy mà không liên quan đến việc phát hành chứng quyền.
Các nguyên tắc khác của công ty (nếu có)
X. CAM KẾT
Tổ chức phát hành cam kết chịu trách nhiệm hoàn toàn về tính chính xác, trung thực của nội dung thông tin và các tài liệu đính kèm trong Bản cáo bạch này.
XI. NGÀY, THÁNG, CHỮ KÝ, ĐÓNG DẤU CỦA ĐẠI DIỆN TỔ CHỨC PHÁT HÀNH, NGÂN HÀNG LƯU KÝ, TỔ CHỨC TƯ VẤN, TỔ CHỨC BẢO LÃNH PHÁT HÀNH (NẾU CÓ)
XII. PHỤ LỤC
(Giấy phép thành lập và hoạt động của tổ chức phát hành)
(Điều lệ của tổ chức phát hành)
(Báo cáo tài chính kiểm toán năm gần nhất của tổ chức phát hành)
(Các tài liệu liên quan khác)
(Nếu một tổ chức phát hành thực hiện phát hành nhiều chứng quyền khác nhau trong một năm thì sẽ miễn các tài liệu đính kèm này cho các đợt phát hành kế tiếp nếu thông tin trong tài liệu không có gì thay đổi)
Bạn chưa Đăng nhập thành viên.
Đây là tiện ích dành cho tài khoản thành viên. Vui lòng Đăng nhập để xem chi tiết. Nếu chưa có tài khoản, vui lòng Đăng ký tại đây!
Bạn chưa Đăng nhập thành viên.
Đây là tiện ích dành cho tài khoản thành viên. Vui lòng Đăng nhập để xem chi tiết. Nếu chưa có tài khoản, vui lòng Đăng ký tại đây!
