- Tổng quan
- Nội dung
- Tiêu chuẩn liên quan
- Lược đồ
- Tải về
Tiêu chuẩn quốc gia TCVN 13918-1:2024 Thang nâng xây dựng vận chuyển hàng - Phần 1: Thang nâng với bàn nâng có thể tiếp cận được
| Số hiệu: | TCVN 13918-1:2024 | Loại văn bản: | Tiêu chuẩn Việt Nam |
| Cơ quan ban hành: | Bộ Khoa học và Công nghệ | Lĩnh vực: | Xây dựng |
| Trích yếu: | Thang nâng xây dựng vận chuyển hàng - Phần 1: Thang nâng với bàn nâng có thể tiếp cận được | ||
|
Ngày ban hành:
Ngày ban hành là ngày, tháng, năm văn bản được thông qua hoặc ký ban hành.
|
24/12/2024 |
Hiệu lực:
|
Đã biết
|
| Người ký: | Đang cập nhật |
Tình trạng hiệu lực:
Cho biết trạng thái hiệu lực của văn bản đang tra cứu: Chưa áp dụng, Còn hiệu lực, Hết hiệu lực, Hết hiệu lực 1 phần; Đã sửa đổi, Đính chính hay Không còn phù hợp,...
|
Đã biết
|
TÓM TẮT TIÊU CHUẨN VIỆT NAM TCVN 13918-1:2024
Tiêu chuẩn quốc gia TCVN 13918-1:2024 về thang nâng xây dựng với bàn nâng có thể tiếp cận
Ngày 24/12/2024, Bộ Xây dựng đã công bố Tiêu chuẩn quốc gia TCVN 13918-1:2024 quy định về thang nâng xây dựng vận chuyển hàng, phần 1 về thang nâng với bàn nâng có thể tiếp cận. Tiêu chuẩn này có hiệu lực từ ngày 24/12/2024 và được biên soạn dựa trên tiêu chuẩn EN 12158-1:2021.
Tiêu chuẩn này áp dụng cho thang nâng xây dựng dẫn động điện, lắp đặt tạm thời, được sử dụng cho các công trường xây dựng và công trình kỹ thuật, chỉ dành cho những người đã được phép và huấn luyện. Nó quy định về thiết kế, lắp đặt, và những người được cho phép tham gia vào quá trình sử dụng và bảo trì.
Phạm vi áp dụng
Tiêu chuẩn xác định cụ thể cho loại thang nâng dùng để vận chuyển vật liệu, có thiết kế yêu cầu nghiêm ngặt về sự an toàn và phạm vi sử dụng. Những thang nâng có bàn nâng thích hợp cho người đã qua đào tạo, đáp ứng các tiêu chí như chuyển động thẳng đứng hoặc gần thẳng đứng, và có thể điều khiển bởi người có trách nhiệm. Tiêu chuẩn không áp dụng cho thang nâng chở người hoặc các thiết bị nâng khác không nằm trong phạm vi này.
Yêu cầu an toàn và thiết kế
Tiêu chuẩn yêu cầu việc thiết kế thang nâng phải đảm bảo an toàn trong quá trình sử dụng, lắp đặt, tháo dỡ và bảo trì. Điều này bao gồm việc cân nhắc các mối nguy có thể xảy ra và xác định các biện pháp cụ thể để giảm thiểu rủi ro. Bên cạnh đó, thiết kế phải đáp ứng các nguyên tắc an toàn của ISO 12100:2010 và một số yêu cầu cụ thể khác liên quan đến tải trọng, cấu trúc và mối quan hệ với hệ thống điều khiển.
Tính toán và kiểm tra
Một phần quan trọng trong tiêu chuẩn này là yêu cầu kiểm tra tính bền của cấu trúc thang nâng và các thành phần liên quan, bao gồm kiểm tra định kỳ và đánh giá ứng suất chịu lực trong suốt các giai đoạn hoạt động. Các yêu cầu về tính toán tổ hợp tải trọng cũng như ảnh hưởng của các điều kiện khí hậu đến thang nâng được quy định cụ thể để đảm bảo khả năng hoạt động an toàn và hiệu quả.
Phụ lục số liệu
Bảng trong phụ lục của tiêu chuẩn cung cấp thông tin chi tiết về áp lực gió thiết kế tối thiểu phụ thuộc vào độ cao và vùng địa lý lắp đặt thang nâng. Tùy thuộc vào từng khu vực, các chỉ số này sẽ khác nhau, qua đó tạo ra hướng dẫn cụ thể cho việc thiết kế thang nâng an toàn.
Tiêu chuẩn này không chỉ hướng đến việc đảm bảo an toàn lao động mà còn nâng cao chất lượng và hiệu quả trong xây dựng, phục vụ cho sự phát triển của ngành công nghiệp xây dựng tại Việt Nam.
Tải tiêu chuẩn Việt Nam TCVN 13918-1:2024
TIÊU CHUẨN QUỐC GIA
TCVN 13918-1:2024
THANG NÂNG XÂY DỰNG VẬN CHUYỂN HÀNG - PHẦN 1: THANG NÂNG VỚI BÀN NÂNG CÓ THỂ TIẾP CẬN ĐƯỢC
Builder’s hoists for goods
Part 1: Hoist with accessible platforms
Lời nói đầu
TCVN 13918-1:2024 biên soạn trên cơ sở tham khảo EN 12158-1:2021.
TCVN 13918-1:2024 do Trường Đại học Xây dựng Hà Nội biên soạn, Bộ Xây dựng đề nghị, Tổng cục Tiêu chuẩn Đo lường Chất lượng thẩm định, Bộ Khoa học và Công nghệ công bố.
TCVN 13918:2024, Thang nâng xây dựng vận chuyển hàng bao gồm các phần sau:
TCVN 13198-1:2024, Thang nâng xây dựng vận chuyển hàng - Phần 1: Thang nâng với bàn nâng có thể tiếp cận được;
TCVN 13198-2:2024, Thang nâng xây dựng vận chuyển hàng - Phần 2: Thang nâng nghiêng với thiết bị mang tải không thể tiếp cận được.
Lời giới thiệu
Tiêu chuẩn này là tiêu chuẩn loại C như quy định trong TCVN 7383-1:2004 (ISO 12100-1:2003).
Các máy có liên quan và các mối nguy được quy định trong phạm vi áp dụng của tiêu chuẩn này.
Đối với các máy được thiết kế và chế tạo theo các quy định của tiêu chuẩn loại C này khác với các quy định được nêu trong tiêu chuẩn loại A hoặc B, thì các quy định của tiêu chuẩn loại C sẽ được ưu tiên hơn các quy định của tiêu chuẩn khác.
THANG NÂNG XÂY DỰNG VẬN CHUYỂN HÀNG - PHẦN 1: THANG NÂNG VỚI BÀN NÂNG CÓ THỂ TIẾP CẬN ĐƯỢC
Builder’s hoists for goods
Part 1: Hoist with accessible platforms
1 Phạm vi áp dụng
1.1 Tiêu chuẩn này quy định đối với thang nâng xây dựng dẫn động điện được lắp đặt tạm thời (trong thực tế còn gọi là vận thăng chở hàng) dùng trên các công trường xây dựng và công trình kỹ thuật, phục vụ các tầng dừng và chỉ những người được phép mới được sử dụng. Thang nâng có bàn nâng để mang tải và có các đặc điểm sau:
- Thiết kế chỉ để vận chuyển vật liệu;
- Có dẫn hướng;
- Chuyển động theo phương thẳng đứng hoặc gần thẳng đứng với góc nghiêng tối đa 15 °;
- Nâng hạ bằng hệ thống tời cáp, xích, truyền động bánh răng - thanh răng hoặc cơ cấu tay đòn mở rộng;
- Cột dẫn hướng ở trạng thái làm việc có yêu cầu hoặc không có yêu cầu tựa vào công trình nhờ các kết cấu riêng biệt;
- Cho phép những người đã được huấn luyện có thể tiếp cận trong quá trình xếp dỡ;
- Được điều khiển bởi người có trách nhiệm;
- Cho phép, nếu cần thiết, việc tiếp cận và đi lại của những người được phép và người được ủy quyền trong quá trình lắp đặt, tháo dỡ, bảo trì và kiểm tra.
1.2 Tiêu chuẩn này đề cập đến các mối nguy phát sinh trong các giai đoạn khác nhau trong suốt đời hoạt động của thang nâng như được liệt kê trong Phụ lục B và đưa ra các phương pháp loại bỏ hoặc giảm thiểu các mối nguy này khi chúng được sử dụng đúng mục đích thiết kế và cả khi sử dụng sai mục đích thiết kế nhưng hợp lý mà nhà sản xuất có thể đã dự đoán được.
1.3 Tiêu chuẩn này không nêu các yêu cầu bổ sung đối với các trường hợp sau:
- Thiết bị thủy lực;
- Hoạt động trong điều kiện khắc nghiệt (Ví dụ: khí hậu khắc nghiệt, từ trường mạnh);
- Chống sét;
- Hoạt động tuân theo các quy định đặc biệt (Ví dụ: như trong môi trường dễ cháy nổ);
- Khả năng tương thích điện từ (phát xạ, miễn nhiễm);
- Vận chuyển các loại tải mà bản chất của chúng có thể dẫn đến các mối nguy (Ví dụ: kim loại nóng chảy, axit/bazơ, vật liệu bức xạ, tải dễ vỡ);
- Sử dụng động cơ đốt trong;
- Sử dụng điều khiển từ xa;
- Các mối nguy xảy ra trong quá trình chế tạo;
- Các mối nguy xảy ra do di chuyển máy;
- Các mối nguy xảy ra do máy được lắp đặt phía trên đường giao thông công cộng;
- Động đất;
- Tiếng ồn;
- Ecgônômi;
- Rào chắn cố định;
- Sự can thiệp của người vận hành.
1.4 Tiêu chuẩn này không áp dụng cho:
- Các thang nâng chở người và vật liệu;
- Thang máy theo các tiêu chuẩn: EN 81-3:2000+A1:2008 và EN 81-20:20201);
- Thang nâng nghiêng với thiết bị mang tải không thể tiếp cận theo TCVN 13918-2:2024;
- Lồng công tác treo trên thiết bị nâng;
- Sàn công tác trên dĩa nâng của xe nâng hàng;
- Bàn vận chuyển theo EN 16719:2018;
- Sàn công tác;
- Toa xe đường sắt cáp kéo leo núi;
- Thang máy được thiết kế đặc biệt cho mục đích quân sự;
- Thang máy mỏ;
- Thang máy trong nhà hát;
- Các thang máy chuyên dụng.
1.5 Tiêu chuẩn này cũng quy định đến việc lắp đặt thang nâng, bao gồm cả khung đỡ, rào chắn bảo vệ xung quanh nhưng không bao gồm thiết kế kết cấu bê tông, lõi cứng, gỗ hoặc nền móng. Tiêu chuẩn này cũng quy định việc thiết kế các giằng cột nhưng không bao gồm thiết kế các bu lông neo vào kết cấu tựa, quy định việc thiết kế hệ thống các tầng dừng và khung đỡ của nó nhưng không bao gồm thiết kế các bu lông neo vào kết cấu tựa.
1.6 Một số thang nâng có thể không bắt buộc phải áp dụng tiêu chuẩn này. VÍ DỤ: một số thang nâng sản xuất trước ngày công bố tiêu chuẩn này.
2 Tài liệu viện dẫn
Các tài liệu viện dẫn sau rất cần thiết cho việc áp dụng tiêu chuẩn này. Đối với các tài liệu viện dẫn ghi năm công bố thì chỉ áp dụng phiên bản được nêu. Đối với các tài liệu viện dẫn không ghi năm công bố thì áp dụng phiên bản công bố mới nhất, bao gồm cả các bổ sung và sửa đổi (nếu có).
EN 81-20:2020, Safety rules for the construction and installation of lifts - Lifts for the transport of persons and goods - Part 20: Passenger and goods passenger lifts 1) (Yêu cầu an toàn về cấu tạo và lắp đặt thang máy - Thang máy chở người và hàng - Phần 20: Thang máy chở người và thang máy chở người và hàng).
EN 1999-1-1:2007 2) Eurocode 9: Design of aluminium structures - Part 1-1: General structural rules (Bộ tiêu chuẩn Châu Âu: Thiết kế kết cấu nhôm - Phần 1: Yêu cầu chung về kết cấu).
EN 60204-1:2018, Safety of machinery - Electrical equipment of machines - Part 1: General requirements (An toàn máy - Thiết bị điện của máy - Phần 1: Yêu cầu chung).
EN 60204-32:2008, Safety of machinery - Electrical equipment of machines - Part 32: Requirements for hoisting machines (An toàn máy - Thiết bị điện của máy - Phần 32: Yêu cầu đối với thang nâng).
EN 60529:19913), Degrees of protection provided by enclosures (IP Code) (IEC 60529:1989) (Mức độ bảo vệ của vỏ bọc).
IEC 60947-4-1:2019, Low-voltage switchgear and controlgear - Part 4-1: Contactors and motorstarters - Electromechanical contactors and motor-starters (Thiết bị đóng ngắt và điều khiển điện áp thấp - Phần 4-1: Công tắc tơ và bộ khởi động động cơ - Công tắc tơ kiểu cơ điện).
EN 60947-5-1:2017, Low-voltage switchgear and controlgear - Part 5-1: Control circuit devices and switching elements - Electromechanical control circuit devices (Thiết bị đóng ngắt và điều khiển điện áp thấp - Phần 5.1: Thiết bị mạch điều khiển và các phần tử chuyển mạch - Thiết bị mạch điều khiển cơ điện).
ISO 12100:2010, Safety of machinery - General principles for design - Risk assessment and risk reduction (ISO 12100:2010) (An toàn máy - Nguyên tắc chung cho thiết kế - Đánh giá rủi ro và giảm thiểu rủi ro).
ISO 13849-1:2015, Safety of machinery - Safety-related parts of control systems - Part 1: General principles for design (ISO 13849-1:2015) (An toàn máy - Các bộ phận liên quan đến an toàn của hệ thống điều khiển - Phần 1: Nguyên tắc chung cho thiết kế).
ISO 13849-2:2012, Safety of machinery - Safety-related parts of control systems - Part 2: Validation (ISO 13849-2:2012) (An toàn máy - Các bộ phận liên quan đến an toàn của hệ thống điều khiển - Phần 2: Thẩm định).
ISO 13850:2015, Safety of machinery - Emergency stop function - Principles for design (ISO 13850:2015) (An toàn máy - Chức năng dừng khẩn cấp - Nguyên tắc thiết kế).
ISO 13857:2019, Safety of machinery - Safety distances to prevent hazard zones being reached by upper and lower limbs (ISO 13857:2019) (An toàn máy - (An toàn máy - Khoảng cách an toàn để ngăn không cho chân và tay người chạm tới vùng nguy hiểm).
ISO 14118:2018, Safety of machinery - Prevention of unexpected start-up (ISO 14118:2017) (An toàn máy - Ngăn ngừa khởi động bất ngờ).
ISO 14119:2013, Safety of machinery - Interlocking devices associated with guards - Principles for design and selection (ISO 14119:2013) (An toàn máy - Thiết bị khoá liên động kết hợp với rào chắn - Nguyên tắc thiết kế và lựa chọn).
ISO 2394:2015, General principles on reliability for structures (Nguyên tắc chung về độ tin cậy cho kết cấu).
ISO 2408:2017, Steel wire ropes - Requirements (Cáp thép - Các yêu cầu).
ISO 4302:2016, Cranes - Wind load assessment (Cần trục - Đánh giá tải trọng gió).
ISO 4309:20174), Cranes - Wire ropes - Care and maintenance, inspection and discard (Cần trục - Dây cáp - Bảo dưỡng, bảo trì, kiểm tra và loại bỏ).
ISO 6336-1:2019, Calculation of load capacity of spur and helical gears - Part 1: Basic principles, introduction and general influence factors (Tính toán khả năng chịu tải của bánh răng trụ và bánh răng nghiêng - Phần 1: Nguyên tắc cơ bản, giới thiệu và các yếu tố ảnh hưởng chung).
ISO 6336-2:2019, Calculation of load capacity of spur and helical gears - Part 2: Calculation of surface durability (pitting) (Tính toán khả năng tải của bánh răng thẳng và bánh răng nghiêng - Phần 2: Tính toán độ bền bề mặt (tiếp xúc)).
ISO 6336-3:2019, Calculation of load capacity of spur and helical gears - Part3: Calculation of tooth bending strength (Tính toán khả năng tải của bánh răng thẳng và bánh răng nghiêng - Phần 3: Tính toán độ bền uốn của răng).
ISO 6336-5:2016, Calculation of load capacity of spur and helical gears - Part 5: Strength and quality of materials (Tính toán khả năng tải của bánh răng thẳng và bánh răng nghiêng - Phần 5: Độ bền và chất lượng của vật liệu).
3 Thuật ngữ và định nghĩa
Tiêu chuẩn này sử dụng các thuật ngữ và định nghĩa trong ISO 12100:2010 5) và các thuật ngữ, định nghĩa sau:
3.1
Thang nâng xây dựng (builder’s hoist)
Máy nâng với bàn nâng, ca bin hoặc các thiết bị mang tải khác có dẫn hướng được lắp đặt tạm thời để tiếp cận các tầng dừng trên hệ thống kỹ thuật và công trình xây dựng.
3.2
Tải làm việc/Tải danh nghĩa (working load/rated load)
Mức tải tối đa mà thang nâng được thiết kế ở trạng thái làm việc.
3.3
Tốc độ danh nghĩa (rated speed)
Tốc độ của bàn nâng khi thiết kế thang nâng.
3.4
Thang nâng truyền động cáp (wire rope hoist)
Thang nâng sử dụng dây cáp làm hệ thống treo tải.
3.5
Truyền động trực tiếp (positive drive)
Truyền động sử dụng các phương tiện không phải là ma sát.
3.6
Thang nâng truyền động bánh răng - thanh răng (rack and pinion hoist)
Thang nâng sử dụng bánh răng và thanh răng làm hệ thống treo tải.
3.7
Cơ cấu tay đòn mở rộng (expanding linkage mechanism)
Hệ thống tay đòn để nâng, đỡ và dẫn hướng sàn thao tác bằng cách co dãn dưới sự điều khiển của một cơ cấu chấp hành.
3.8
Khung cơ sở (base frame)
Khung thấp nhất của thang nâng mà trên đó tất cả các bộ phận khác được lắp đặt.
3.9
Thanh dẫn hướng (guides)
Các thanh cứng xác lập đường di chuyển của bàn nâng.
3.10
Cột (mast)
Kết cấu đỡ và dẫn hướng cho bàn nâng.
3.11
Đoạn cột (mast section)
Phần cột không thể chia nhỏ hơn nằm giữa hai điểm nối các đoạn cột liền kề.
3.12
Giằng cột (mast tie)
Hệ thống liên kết giữa cột với bất kỳ cấu trúc nào của tòa nhà để tăng độ cứng ngang cho cột.
3.13
Hành lang di chuyển thang nâng (hoistway)
Toàn bộ không gian mà bàn nâng và tải của nó có thể di chuyển được.
3.14
Bàn nâng (platform)
Thiết bị mang tải gồm sàn, khung bao và lối vào.
3.15
Quãng đường dừng (stopping distance)
Khoảng cách di chuyển của bàn nâng từ thời điểm ngắt mạch điều khiển hoặc mạch an toàn đến khi bàn nâng dừng hoàn toàn.
3.16
Bộ hãm an toàn vượt tốc (overspeed safety device)
Thiết bị cơ khí dùng để dừng và giữ cố định bàn nâng trong trường hợp vượt quá tốc độ theo chiều xuống.
3.17
Cáp chùng (slack rope)
Là sợi cáp, bình thường thì căng, khi bị chùng thì tất cả các ngoại lực tác dụng lên nó bị loại bỏ.
3.18
Cố định đầu cáp (wire rope termination)
Bộ phận cho phép kẹp chặt đầu cáp.
3.19
Tầng dừng (landing)
Vị trí trong tòa nhà hoặc công trình xây dựng để chất và dỡ tải cho bàn nâng.
3.20
Khoảng cách an toàn (safety distance)
Khoảng cách cho phép tối thiểu giữa bất kỳ bộ phận chuyển động nào của thang nâng với bất kỳ điểm tiếp cận nào.
3.21
Lan can (guard rail)
Rào chắn cố định, trừ cửa, được dùng để ngăn ngừa người rơi xuống hoặc đi vào các khu vực nguy hiểm.
3.22
Hoạt động bình thường (normal operation)
Điều kiện hoạt động bình thường của thiết bị khi sử dụng để mang tải, không bao gồm bảo dưỡng định kỳ, lắp đặt và tháo dỡ, ...
3.23
Trạng thái làm việc (in service)
Thang nâng ở trạng thái sử dụng khi bàn nâng ở bất kỳ vị trí nào, đầy tải hoặc không tải, di chuyển hoặc dừng.
3.24
Trạng thái không làm việc (out of service)
Trạng thái được cài đặt khi bàn nâng đỗ ở vị trí tránh gió tốt nhất, nhưng không nhất thiết là dưới mặt đất. Bàn nâng không mang tải.
3.25
Người được phép (competent person)
Người được chỉ định, có đào tạo phù hợp, đủ tiêu chuẩn về kiến thức và kinh nghiệm thực tế và được cung cấp các hướng dẫn cần thiết để thực hiện các quy trình bắt buộc.
4 Các yêu cầu an toàn và/hoặc các biện pháp bảo vệ/giảm thiểu rủi ro
4.1 Các chú ý khi thiết kế
Thiết kế thang nâng phải xem xét đảm bảo an toàn cho sử dụng, lắp đặt, tháo dỡ và bảo trì. Có thể lắp đặt thang nâng bằng các phương pháp tiếp cận an toàn từ bàn nâng hoặc các phương tiện tương tự.
Khi thiết kế tất cả các bộ phận phải chú ý đến việc lắp đặt, ví dụ như đoạn cột, phải đánh giá trọng lượng của chúng khi thao tác bằng thủ công. Khi vượt quá trọng lượng cho phép đối với thao tác bằng thủ công, nhà sản xuất phải đưa ra các khuyến nghị trong sổ tay hướng dẫn liên quan đến chọn thiết bị nâng phù hợp. Tất cả các nắp đậy có thể tháo ra và tháo rời phải được giữ lại bằng các dây buộc cố định.
Thang nâng xây dựng phải tuân theo các yêu cầu về an toàn và/hoặc các biện pháp bảo vệ của điều khoản này. Ngoài ra, máy phải được thiết kế theo các nguyên tắc của ISO 12100:2010 đối với các mối nguy có liên quan nhưng không đáng kể không được đề cập đến trong tiêu chuẩn này (ví dụ: các cạnh sắc).
4.2 Tổ hợp tải trọng và tính toán
4.2.1 Quy định chung
Kết cấu của thang nâng phải được thiết kế và chế tạo sao cho đủ bền trong mọi điều kiện vận hành dự kiến, bao gồm cả việc lắp đặt và tháo dỡ, ví dụ: trong môi trường nhiệt độ thấp.
Việc thiết kế toàn bộ kết cấu và từng bộ phận của nó phải dựa trên các tác động của bất kỳ tổ hợp tải trọng nào có thể xảy ra như quy định trong 4.2 này. Các tổ hợp tải trọng phải xét đến các vị trí bất lợi nhất của bàn nâng và tải trọng liên quan đến cột và các giằng cột, cả trong quá trình di chuyển theo phương thẳng đứng của bàn nâng và bất kỳ chuyển động ngang nào của nó, ví dụ: sự xoay của bàn nâng. Các giằng cột với kết cấu đỡ được coi là một phần của kết cấu thang nâng.
Đối với trường hợp chưa được đề cập đến trong tiêu chuẩn này (ví dụ: khi hai bàn nâng chạy trên cùng một cột tháp hoặc nhiều bàn nâng di chuyển trên một hoặc nhiều cột tháp), các trường hợp tải trọng có thể được xét đến dựa trên các phương pháp hiện đại có tính đến xác suất xuất hiện sự cố.
4.2.2 Tính toán kết cấu
Khi tính toán kết cấu thang nâng và các bộ phận liên quan, phải tính đến các lực và tải trọng sau:
a) Tất cả các tải trọng do trọng lượng bản thân, ngoại trừ bàn nâng và thiết bị di chuyển cùng với bàn nâng.
b) Tải trọng do trọng lượng bản thân của bàn nâng không tải và tất cả các thiết bị di chuyển cùng với bàn nâng.
c) Tải trọng do trọng lượng bản thân của tầng dừng và cửa, nếu chúng được nâng đỡ bởi thang nâng.
d) Tải trọng do tải danh nghĩa trên bàn nâng.
Tải danh nghĩa tác dụng lên bàn nâng và cột phải được xác định bằng tải phân bố của tải danh nghĩa trên bàn nâng theo một trong hai cách sau:
1) Nếu
< 300 kg/m2
trong đó:
mr là tải danh nghĩa, kg và
A là diện tích toàn bộ bàn nâng, m2,
thì tải danh nghĩa phải được giả định là phân bố trên một diện tích nhỏ hơn (A1) dẫn đến phân bố là 300 kg/m2. Định dạng và vị trí của phần diện tích này phải được chọn sao cho tạo ra ứng suất bất lợi nhất cho cột cũng như bàn nâng. Một ví dụ được thể hiện trên Hình 1.

CHÚ DẪN
A tổng diện tích bàn nâng, m2;
A1=mr/300 (kg/m2).
Hình 1 - Ví dụ về tải danh nghĩa theo 4.2.2.d) 1)
2) Nếu
≥ 300 kg/m2
thì tải danh nghĩa phải được giả định phân bố trên diện tích (A2) tương đương với 75 % tổng diện tích bàn nâng. Định dạng và vị trí của phần diện tích này phải được chọn sao cho tạo ra ứng suất bất lợi nhất cho cột và bàn nâng. Một ví dụ được thể hiện trên Hình 2.

CHÚ DẪN:
A2 = 0,75 x A
Hình 2 - Ví dụ về tải danh nghĩa theo 4.2.2.d) 2)
e) Trường hợp tải danh nghĩa phân bố đều trên toàn bộ diện tích của bàn nâng nhỏ hơn 250 kg/m2, khi tính toán, phải lấy tối thiểu là 250 kg/m2 và đặt trên toàn bộ diện tích (A3) của bàn nâng (Hình 3).

CHÚ DẪN:
A3 Diện tích toàn bộ bàn nâng
Hình 3 - Trường hợp tải danh nghĩa phân bố đều theo 4.2.2 e)
f) Các lực trong quá trình chất và dỡ tải phải được coi là tác dụng đồng thời của cả lực thẳng đứng và lực ngang, được trình bầy trên hình 4, mỗi lực được tính như sau:
1) Lực thẳng đứng FV có giá trị:
| FV = mV x g | (1) |
trong đó:
FV là lực thẳng đứng, N;
g là gia tốc trọng trường (9,81 m/s2);
mV là khối lượng (kg) sử dụng để tính lực thẳng đứng và được tính như một hàm của tải danh nghĩa mr:
Khi mr < 400 kg, áp dụng mV = 200 kg;
Khi mr > 2 000 kg, áp dụng mV = 400+0,3.mr;
Các trường hợp còn lại, áp dụng mV = 0,5.mr.
2) Lực ngang FH tác dụng theo hướng chất hoặc dỡ tải và có giá trị:
| FH = mh x g | (2) |
Fh là lực ngang, N;
g là gia tốc trọng trường (9,81 m/s2);
mh là khối lượng sử dụng để tính lực ngang, nó là một hàm của tải danh nghĩa mr;
Khi mr < 200 kg, áp dụng mh = 30 kg;
Khi mr > 1 700 kg, áp dụng mh = 225 kg;
Các trường hợp còn lại, áp dụng mh = 0,15.mr.

CHÚ DẪN:
FV1 lực thẳng đứng do phần còn lại của tải danh nghĩa đặt vào tâm bàn nâng, N
FV lực thẳng đứng, N
FH lực ngang, N
Hình 4 - Ví dụ về các lực trong quá trình chất và dỡ tải
Cả hai lực thẳng đứng và lực ngang tác dụng tại vị trí bằng một phần ba (1/3) chiều rộng của lối vào bàn nâng, ở mức mặt sàn, theo chiều và vị trí bất lợi nhất. Các ứng suất trong cột và cả trong bàn nâng phải được tính toán ít nhất tại các điểm chất và dỡ tải sau đây:
1) Ngưỡng cửa lối vào của bàn nâng;
2) Cạnh đầu của bất kỳ đoạn nối nào hoặc phần mở rộng khác không được hỗ trợ bởi tầng dừng, đồng thời, phần còn lại của tải danh nghĩa phải được đặt ở tâm của bàn nâng (FV1=(mr - mV).g).
Các lực như ở trên phải được sử dụng để thiết kế tầng dừng và tất cả các kết cấu đỡ có liên quan. Thông tin liên quan đến các lực này phải được cung cấp trong sổ tay hướng dẫn.
g) Đối với thang nâng theo 4.8.8.2.5, khi thiết kế phải xét đến trường hợp công tắc giới hạn hành trình phía trên bị lỗi kết hợp với ảnh hưởng của giảm chấn phía trên cả khi có và không có tải. Phải tính đến mô men cản và mô men quán tính của hệ thống dẫn động.
h) Ảnh hưởng của các tải trọng di động phải được xác định bằng cách lấy trọng lượng của tất cả các bộ phận (bàn nâng, tải danh nghĩa, dây cáp, ...) và nhân chúng với hệ số động lực μ1 = (1,1 + 0,264.v), trong đó v là tốc độ danh nghĩa tính bằng mét trên giây (m/s). Có thể áp dụng các hệ số thay thế nếu chúng được chứng minh là chính xác hơn.
i) Để xác định các lực sinh ra do hoạt động của bộ hãm an toàn vượt tốc, tổng tải trọng di động phải được nhân với hệ số μ2=2,5.
Có thể áp dụng hệ số thấp hơn, nhưng không nhỏ hơn 1,2 nếu nó có thể được kiểm tra xác nhận bằng thử nghiệm ở điều kiện chất tải đến 1,3 lần tải danh nghĩa và phải kể đến cả tác động quán tính của hệ thống dẫn động.
j) Mặt bàn nâng phải được thiết kế không bị biến dạng dư khi chịu một tải tĩnh là 150 kg hoặc 25 % tải danh nghĩa, chọn giá trị nào lớn hơn, nhưng trong mọi trường hợp không lớn hơn 300 kg, tác động lên vị trí bất lợi nhất có diện tích (0,1 x 0,1) m.
k) Điều kiện gió thiết kế: áp lực gió q được xác định bởi công thức chung:
|
| (3) |
trong đó:
q là áp lực gió, N/m2 và
vw là vận tốc gió, m/s.
Trong mọi trường hợp, phải giả định rằng gió thổi ngang theo bất kỳ hướng nào và phải tính đến hướng bất lợi nhất.
Việc tính toán tải trọng gió thiết kế phải được thực hiện theo ISO 4302:2016 hoặc TCVN 4244:2005, ngoại trừ các điều sau:
1) Tác động của gió lên bàn nâng: Khi tính toán áp lực gió lên bàn nâng, phải giả thiết thành bên bàn nâng và mọi rào chắn bảo vệ là cứng vững, khi này áp dụng hệ số khí động học c = 1,2. Hệ số 1,2 bao gồm cả yếu tố kể đến ảnh hưởng của hình dạng và mức độ che chắn.
2) Áp lực gió: Khi tính áp lực gió lên thang nâng phải xét đến ba trường hợp gió thiết kế:
i. Gió ở trạng thái làm việc: Không phân biệt độ cao, giá trị nhỏ nhất của áp lực gió phải là q = 250 N/m2 tương ứng với vận tốc gió vw = 20 m/s.
ii. Gió ở trạng thái không làm việc:
Áp lực gió ở trạng thái không làm việc phụ thuộc vào độ cao so với mặt đất và khu vực lắp đặt thang nâng được xác định theo vận tốc gió tĩnh tương đương trong trạng thái không làm việc ở độ cao z. Vận tốc gió tĩnh tương đương được xác định theo công thức 11 của ISO 4302:2016 như dưới đây:
|
| (4) |
trong đó:
frec là hệ số chuyển đổi chu kỳ lặp R, đối với thiết kế cần trục, trong đó có thang nâng, gió ở trạng thái không làm việc có thể lặp lại một lần trong khoảng thời gian từ 5 năm đến 50 năm (R=5 đến R=50) vì vậy được chọn dựa vào thời gian thang nâng nằm ở vị trí được lắp đặt:
frec = 0,8155 khi R=5;
frec= 0,8733 khi R=10;
frec = 0,9463 khi R=25;
frec = 1,0 khi R=50.
vref là vận tốc gió tham chiếu, tính bằng m/s, tùy thuộc vào khu vực địa lý cụ thể và được định nghĩa là vận tốc gió bão trung bình trong khoảng thời gian 10 min ứng với chu kỳ lặp 50 năm được đo ở độ cao 10m so với mặt đất trên vùng đất trống bằng phẳng và trung bình.
Vận tốc gió trung bình ứng với chu kỳ lặp 50 năm, đo ở độ cao 10m so với mặt đất nêu trong Bảng 1.a được trích dẫn từ Bảng 5.1 của [1].
Bảng 1.a - Vận tốc gió trung bình v10m,50 (m/s) theo phân vùng gió trên lãnh thổ Việt Nam
| Vùng áp lực gió trên bản đồ | I | II | III | IV | V |
| v10m,50 (m/s) | 26 | 31 | 36 | 40 | 43 |
Vùng áp lực gió I đến V được lấy theo bản đồ phân vùng áp lực gió trên lãnh thổ Việt Nam (Hình 5.1) và phân vùng áp lực gió theo địa danh hành chính tới quận, huyện lấy theo Bảng 5.1 của [1].
Bảng 1.b nêu các giá trị áp lực gió thiết kế nhỏ nhất cho thang nâng có mục đích sử dụng chung ở độ cao khác nhau cho từng vùng gió ứng với chu kỳ lặp R=10 (tương ứng với frec= 0,8733).
Bảng 1.b - Giá trị áp lực gió thiết kế nhỏ nhất
| Chiều cao của các bộ phận thang nâng so với mặt đất Ze, (m) | Áp lực gió thiết kế q đối với các vùng gió khác nhau (N/m2) | ||||
| I | II | III | IV | V | |
| 0 < H ≤ 10 | 618 | 880 | 1185 | 1 465 | 1 694 |
| 10 < H ≤ 20 | 712 | 1 012 | 1 364 | 1 687 | 1 948 |
| 20 < H ≤ 50 | 861 | 1 224 | 1 656 | 2 038 | 2 354 |
| 50 < H ≤ 100 | 1 000 | 1 423 | 1 920 | 2 369 | 2 741 |
| 100 < H ≤ 150 | 1 095 | 1 554 | 2 096 | 2 587 | 2 992 |
iii. Gió ở trạng thái lắp đặt và tháo dỡ: Không phân biệt độ cao, giá trị nhỏ nhất của áp lực gió phải là q = 100 N/m2, tương ứng với vận tốc gió là vw = 12,5 m/s.
l) Sai số lắp đặt 0,5 ° đã được kể đến trong các hệ số an toàn của tiêu chuẩn này.
m) Các lực gây ra bởi giảm chấn dưới phải được tính toán tương ứng với gia tốc hãm là 2 g (có nghĩa là µ3 =3), trừ khi có thể xác minh được giá trị gia tốc thấp hơn.
4.2.3 Tính toán kiểm tra
Tính toán kiểm tra theo tiêu chuẩn này phải được thực hiện theo các nguyên tắc và phương pháp chung phù hợp với mục đích và hiện trạng kỹ thuật được công nhận trong lĩnh vực thiết kế cơ khí. Khuyến nghị sử dụng hướng dẫn trong EN 13001-3-1:2012+A2:2018 để phân tích các bộ phận kết cấu và các mối liên kết của chúng (ví dụ: bền mỏi, mối hàn, bu lông). Đối với kết cấu nhôm, có thể xem trong EN 1999-1-1:2007.
Ngoài ra, có thể sử dụng các phương pháp lý thuyết hoặc thực nghiệm tiên tiến và đã được công nhận, miễn là chúng phù hợp với các nguyên tắc của tiêu chuẩn này.
4.2.4 Các trạng thái giới hạn
Trong quá trình phân tích thang nâng, các bộ phận hoặc vật liệu của nó, phải xét đến hai trạng thái giới hạn khác nhau (trạng thái giới hạn cực hạn liên quan đến sự an toàn của con người và kết cấu, trạng thái giới hạn sử dụng liên quan đến chức năng và hình thức của kết cấu cũng như sự thoải mái của người sử dụng).
Có sự khác biệt giữa trạng thái giới hạn cực hạn và trạng thái giới hạn sử dụng như dưới đây:
a) Trạng thái giới hạn cực hạn được biểu hiện như sau:
1) Biến dạng dẻo do tác động của ứng suất danh nghĩa hoặc trượt của các liên kết ma sát;
2) Hư hỏng các bộ phận hoặc các liên kết (ví dụ: hư hỏng tĩnh, hư hỏng do mỏi hoặc hình thành các vết nứt nghiêm trọng);
3) Mất ổn định đàn hồi của thang nâng hoặc các bộ phận của nó (ví dụ: oằn, phồng);
4) Mất ổn định tổng thể thang nâng hoặc các bộ phận của nó (ví dụ: nghiêng, dịch chuyển).
b) Trạng thái giới hạn sử dụng, ví dụ về các trạng thái đó là:
1) Các biến dạng làm ảnh hưởng đến mục đích sử dụng của thang nâng (ví dụ: chức năng của các bộ phận chuyển động, khe hở của các bộ phận);
2) Vượt quá giới hạn nhiệt độ (ví dụ: động cơ và phanh quá nóng).
4.2.5 Kiểm tra khả năng chịu lực
Kiểm tra khả năng chịu lực phải bao gồm các tính toán cho thấy ứng suất hoặc lực không vượt quá giới hạn thiết kế của các bộ phận.
Các tải trọng trong 4.2.2 phải được phối hợp lẫn nhau theo cách sao cho các hiệu ứng tải trọng tạo ra đạt được các giá trị cực trị tức thời của chúng đối với tình huống sử dụng được xem xét. Sự phối hợp của các tải trọng như vậy được gọi là tổ hợp tải trọng. Các tổ hợp tải trọng kể đến tác động của tải trọng động có thể được coi là gần như tĩnh bằng cách sử dụng các hệ số tải động thích hợp. Các tổ hợp tải trọng cơ bản được đưa ra trong 4.2.6.
Để tính toán độ bền mỏi, số lượng và độ lớn của các chu kỳ ứng suất đáng kể phải được quy định.
Các trạng thái giới hạn áp dụng cho sự kết hợp của việc lựa chọn vật liệu, quy trình sản xuất và các điều kiện vận hành cụ thể phải được nêu trong tính toán kiểm tra. Các tính toán kiểm tra sau đây phải được thực hiện để chứng tỏ trạng thái giới hạn cực hạn không bị vượt quá:
a) Tính toán độ bền của các thành phần, liên kết và các bộ phận:
1) Chịu tải trọng tĩnh và nửa tĩnh;
2) Chịu tải trọng theo chu kỳ (mỏi).
b) Tính toán ổn định đàn hồi của thang nâng và các bộ phận của nó.
c) Tính toán ổn định tổng thể của thang nâng.
Để chứng minh các trạng thái giới hạn về khả năng sử dụng không bị vượt quá, các nội dung sau đây phải được tính đến và nếu cần được xác minh:
d) Tính toán biến dạng;
e) Kiểm tra phát nhiệt.
4.2.6 Phương pháp tính toán kiểm tra
4.2.6.1 Phương pháp trạng thái giới hạn
Các tải trọng thành phần theo 4.2.2 được khuếch đại thông qua các hệ số an toàn riêng tương ứng γP. Tải trọng di động cũng được khuếch đại bằng cách nhân với hệ số động μ để chuyển về tải trọng coi như là tĩnh. Tất cả các tải trọng tác động sau khi được khuếch đại phải phối hợp với nhau theo các trường hợp tải trọng được trình bày trong Bảng 3. Các trường hợp tải trọng khác nhau được nêu trong Bảng 2.
Bảng 2 - Mô tả các trường hợp tải trọng
| Trường hợp tải trọng | Mô tả |
| A1 | Sử dụng bình thường |
| A2 | Chất và dỡ tải |
| B1 | Gió ở trạng thái làm việc và không làm việc |
| B2 | Lắp đặt |
| C1 | Tải trọng đặc biệt |
| C2 | Bộ hãm an toàn vượt tốc kích hoạt |
| C3 | Tác động giảm chấn |
Bảng 3 - Các trường hợp tải trọng
| TT | Tiểu mục của 4.2.2 | Tải trọng | Trường hợp tải trọng A | Trường hợp tải trọng B | Trường hợp tải trọng C | |||||||
| γP | A1 | A2 | γP | B1 | B2 | γP | C1 | C2 | C3 | |||
| 1 | a), c) | Trọng lượng bản thân không di động | 1,22 (1,16 a) | 1 | 1 | 1,16 (1,1 a) | 1 | 1 | 1,1 (1a) | 1 |
|
|
| 2 | b) | Trọng lượng bản thân di động | 1,22 (1,16 a) | μ1 |
| 1,16 (1,1 a) | 1 | μ1 | 1,1 (1a) | μ1 | μ2 | μ3 |
| 3 | d) | Tải trọng danh nghĩa | 1,35 | μ1 |
| 1,22 |
| μ1 | 1,1 |
| μ2 | μ3 |
| 4 | e) | Tải trọng phân bố đều |
|
|
|
|
|
| 1,1 | μ1 |
|
|
| 5 | f) | Chất tải/Dỡ tải | 1,35 |
| 1 |
|
|
|
|
|
|
|
| 6 | k) | Gió | 1,35 | 1 | 1 | 1,16 | 1 | 1 | 1,1 | 1 | 1 |
|
| 7 | l) | Ảnh hưởng do lỗi lắp đặt |
|
|
|
|
|
|
|
|
| 1 |
| γP Hệ số riêng; μ1 Ảnh hưởng của tải trọng di động theo hệ số động (4.2.2.h); μ2 Ảnh hưởng của bộ hãm an toàn vượt tốc theo hệ số động (4.2.2.i); μ3 Ảnh hưởng của giảm chấn theo hệ số động (4.2.2.m). | ||||||||||||
| a) Khi khối lượng được xác định bằng cân. | ||||||||||||
Để chứng tỏ không xảy ra hiện tượng chảy dẻo quá mức, ứng suất sinh ra bao gồm ứng suất phân bố danh nghĩa và ứng suất cục bộ phải được so sánh với giới hạn chảy của kết cấu hoặc bộ phận liên kết chia cho hệ số riêng của vật liệu γM cho ở Bảng 4.
Bảng 4 - Hệ số riêng của vật liệu
| γM | Thép | 1,1 |
| Nhôm | 1,1 | |
| Nhôm, hàn | 1,25 |
Các tiêu chí khác có thể được sử dụng, ví dụ: đạt được giá trị giới hạn của sức căng màng chính, đạt được tiêu chí chảy dẻo hoặc giới hẹn của vùng chảy dẻo.
Phương pháp trạng thái giới hạn được áp dụng trong phương pháp tính toán này được quy định trong ISO 2394:2015 cho tất cả các hệ thống kết cấu được đề cập trong tiêu chuẩn này.
4.2.6.2 Phương pháp ứng suất cho phép
Tải trọng di động theo 4.2.2 được khuếch đại bằng cách nhân với hệ số động μ để chuyển về tải trọng coi như là tĩnh. Sự phối hợp tải trọng được mô tả dưới dạng các trường hợp tải trọng trong Bảng 2 và được trình bày trong các cột có hệ số động trong Bảng 3. Đối với phương pháp ứng suất cho phép, hệ số riêng γP được lấy bằng một (1).
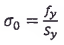
Để chứng tỏ không xảy ra hiện tượng chảy dẻo, ứng suất sinh ra bao gồm ứng suất phân bố danh nghĩa và ứng suất cục bộ phải được so sánh với ứng suất cho phép được xác định từ giới hạn chảy danh nghĩa của vật liệu khi sử dụng hệ số an toàn Sy (xem Bảng 5). Kết cấu nhôm cũng cần được đánh giá bằng cách sử dụng giới hạn bền của vật liệu và hệ số an toàn Su (xem Bảng 5).
a) Kết cấu thép (Ứng suất cho phép)
|
| (5) |
b) Kết cấu nhôm (Ứng suất cho phép)
|
| (6) |
trong đó:
fy là giới hạn chảy;
fu là giới hạn bền;
Sy là hệ số an toàn theo giới hạn chảy;
Su là hệ số an toàn theo giới hạn bền.
Bảng 5 - Hệ số an toàn
|
|
| Trường hợp tải trọng A | Trường hợp tải trọng B | Trường hợp tải trọng C |
| Sy | Thép | 1,5 | 1,33 | 1,25 |
| Nhôm | 1,7 | 1,55 | 1,41 | |
| Su | Nhôm | 2,5 | 2,25 | 2,05 |
4.2.6.3 Ổn định đàn hồi
Biến dạng của kết cấu phải được kể đến khi tính ứng suất trong các thiết kế kết cấu thanh mảnh hoặc làm bằng các vật liệu có mô đun đàn hồi thấp. Điều này có thể thực hiện bằng cách áp dụng lý thuyết nhiễu loạn bậc 2.
4.2.7 Ổn định
Đối với thang nâng ở trạng thái đứng tự do trong quá trình lắp đặt và đối với thang nâng đang vận hành ở trạng thái đứng tự do, phải sử dụng các trường hợp tải trọng và hệ số an toàn (S0) trong Bảng 6.
Tất cả các lực ổn định có hệ số bằng một (1,0).
Bảng 6 - Hệ số an toàn ổn định S0 đối với các lực gây lật khác nhau
| Tải trọng hoặc lực | Theo điều 4.2.2 | Hệ số an toàn S0 |
| Trọng lượng bản thân, tĩnh | a), c) | 1,1 |
| Trọng lượng bản thân, di động | b) | 1,5 |
| Tải danh nghĩa | d), e), f) | 1,5 |
| Lực gió ở trạng thái làm việc | k) 2)i. | 1,2 |
| Lực gió ở trạng thái không làm việc | k) 2)ii. | 1,2 |
| Lực gió khi lắp đặt và tháo dỡ | k) 2)iii. | 1,2 |
| Lỗi khi lắp đặt | l) | 1,0 |
Tổng mô men giữ phải lớn hơn hoặc bằng tổng mô men lật đã được nhân với hệ số an toàn S0.
4.2.8 Phân tích ứng suất mỏi cho các bộ phận của hệ thống dẫn động và phanh
4.2.8.1 Phải thực hiện phân tích ứng suất mỏi cho tất cả các bộ phận chịu lực và các mối liên kết quan trọng. Phân tích này phải tính đến mức độ dao động của ứng suất và số chu kỳ ứng suất, có thể là bội số của số chu kỳ tải.
Để xác định số chu kỳ ứng suất, nhà chế tạo phải xét đến các yếu tố sau:
- 22 500 chuyển động với 50 % tải danh nghĩa của bàn nâng;
- 22 500 chuyển động với bàn nâng không tải;
- Để tính toán các bộ truyền động, phải tính đến chiều dài hành trình là 20 m cho mỗi chuyển động (gia tốc từ trạng thái dừng đến tốc độ danh nghĩa - chuyển động ở tốc độ danh nghĩa - giảm tốc đến khi dừng hẳn) (xem thêm 6.1.2.11).
Đối với mỗi bộ phận, phải xét đến sự kết hợp bất lợi nhất của chuyển động lên và xuống.
CHÚ THÍCH: Số lần chuyển động của thang nâng vận chuyển hàng là 4,5 x 104 - chế độ làm việc không liên tục (ví dụ: 15 năm, 30 tuần mỗi năm, 25 h mỗi tuần, 4 lần chuyển động mỗi h).
4.2.8.2 Trục phải có hệ số an toàn bền tối thiểu là 2,0 so với giới hạn bền tương ứng, có kể đến ảnh hưởng do tập trung ứng suất.
4.3 Khung cơ sở
4.3.1 Khung cơ sở phải được thiết kế để chịu được tất cả các lực tác động do thang nâng tạo nên và có thể truyền các lực tác động này lên bề mặt tựa.
4.3.2 Các thiết bị để truyền lực lên bề mặt tựa không được phép là bánh hơi hoặc lò xo.
4.3.3 Khi trang bị các phương tiện để truyền lực xuống nền có khả năng điều chỉnh, các chân tựa này phải xoay tự do được trong mọi mặt phẳng đến một góc ít nhất là 15 ° so với phương ngang để tránh ứng suất uốn trong kết cấu. Nếu chân không xoay được thì phải kể đến ứng suất uốn gây bất lợi nhất.
4.4 Cột, giằng cột và giảm chẩn
4.4.1 Dẫn hướng và cột
4.4.1.1 Các thanh dẫn hướng có thể là một bộ phận của cột hoặc có thể là một cơ cấu tay đòn mở rộng. Dẫn hướng phải cứng vững. Không được sử dụng các phần tử mềm như dây cáp hoặc xích để làm dẫn hướng.
Độ lệch của bất kỳ bộ phận nào của cột hoặc bàn nâng phải được hạn chế để không xảy ra va chạm (ví dụ như va chạm với tầng dừng).
4.4.1.2 Thanh dẫn hướng hoặc cột phải được thiết kế sao cho chúng có thể chịu được mọi trường hợp tải trọng như quy định trong 4.2.
4.4.1.3 Các kết nối giữa các đoạn cột hoặc thanh dẫn hướng hoặc tay đòn liên kết phải có khả năng truyền tải hiệu quả và đảm bảo đồng tâm giữa chúng. Việc nới lỏng các kết nối này chỉ có thể thực hiện được bằng một hành động thủ công có chủ đích.
4.4.1.4 Các chốt xoay trong cơ cấu tay đòn mở rộng phải được thiết kế để có thể dễ dàng kiểm tra chúng từ bên ngoài.
4.4.1.5 Việc lắp các chi tiết truyền động (ví dụ: thanh răng) vào thanh dẫn hướng/cột phải đảm bảo chúng được giữ ở vị trí chính xác để có thể truyền được toàn bộ tải trọng đến cột. Các liên kết phải đảm bảo không tự nới lỏng, ví dụ: sử dụng một đai ốc có khóa hãm.
4.4.2 Giằng cột
Các giằng cột phải chịu được các trường hợp tải trọng theo 4.2. Đặc biệt chú ý đến các lực sinh ra trong quá trình lắp đặt và tháo dỡ.
4.4.3 Giảm chấn
4.4.3.1 Hành trình của bàn nâng phải được hạn chế phía dưới bằng các giảm chấn.
4.4.3.2 Với tải danh nghĩa trên bàn nâng, ở tốc độ di chuyển định mức cộng thêm 0,2 m/s, giá trị gia tốc hãm trung bình của bàn nâng trong quá trình chịu tác động của giảm chấn phía dưới không vượt quá 2 g (xem 4.2.2 m).
4.4.3.3 Phải trang bị giảm chấn ở đầu trên của cột thang nâng khi không có công tắc giới hạn hành trình trên (xem 4.8.8.2.5).
4.4.3.4 Khi bàn nâng di chuyển không tải ở tốc độ danh nghĩa, giá trị gia tốc hãm trung bình của bàn nâng dưới tác động của giảm chấn phía trên không được vượt quá 1 g (xem 4.2.2 m).
4.4.3.5 Giảm chấn thủy lực phải có bộ phận để kiểm tra mức dầu. Một công tắc an toàn điện phải giám sát hành trình của giảm chấn thủy lực để đảm bảo nếu giảm chấn bị nén, bàn nâng không thể hoạt động được bằng bộ điều khiển thông thường.
4.5 Bảo vệ hành lang di chuyển và lối vào tầng dừng
4.5.1 Quy định chung
Thang nâng khi được lắp đặt để sử dụng phải có:
a) Rào chắn bảo vệ tại sàn cơ sở;
b) Rào chắn hành lang di chuyển bàn nâng;
c) Cửa tầng dừng tại mọi điểm tiếp cận.
Những bộ phận này sẽ giúp cho mọi người tránh bị va đập bởi các bộ phận chuyển động và không bị rơi xuống hành lang di chuyển bàn nâng. Việc thiết kế các bộ phận này được quy định trong 4.5. Hướng dẫn về bố trí chính xác các bộ phận nói trên có trong Điều 6 - Thông tin cho sử dụng, và nội dung kiểm tra được đề cập trong Điều 5.
4.5.2 Rào chắn bảo vệ tại sàn cơ sở
4.5.2.1 Rào chắn bảo vệ tại sàn cơ sở phải bảo vệ được tất cả các mặt ở độ cao ít nhất là 2,0 m và phải phù hợp với 4.5.4 và ISO 13857:2019, Bảng 1. Các ngoại lệ nêu trong 4.5.2.2.
4.5.2.2 Ngoại trừ thang nâng kiểu cơ cấu tay đòn mở rộng, chiều cao rào chắn bảo vệ tại sàn cơ sở có thể nhỏ hơn 2,0 m nhưng không nhỏ hơn 1,1 m với điều kiện:
a) Khoảng cách giữa rào chắn bảo vệ tại sàn cơ sở với bất kì bộ phận chuyển động nào của thang nâng ít nhất là 0,5 m nhưng không lớn hơn 2,0 m (để giảm khả năng chứa vật liệu bên trong rào chắn bảo vệ);
b) Rào chắn bảo vệ tại sàn cơ sở bao gồm ít nhất một lan can bảo vệ có các thanh ngang với khoảng cách các thanh không quá 0,6 m;
c) Việc bảo vệ được thực hiện theo 4.5.4;
d) Quãng đường dừng của bàn nâng khi có tải danh nghĩa, ở tốc độ danh nghĩa theo chiều hạ không lớn hơn 0,2 m;
e) Tất cả các chuyển động của bàn nâng ở khoảng cách từ mặt nền đến độ cao 2,0 m chỉ được điều khiển từ mặt sàn cơ sở, nơi có thể nhìn thấy toàn bộ phần thấp nhất của quá trình di chuyển thang nâng và bên trong rào chắn bảo vệ;
f) Thiết bị điều khiển phải là kiểu không duy trì, ít nhất tại các vị trí thấp nhất của hành trình chuyển động như định nghĩa trên cho cả hướng lên và xuống;
g) Tốc độ hạ định mức của thang nâng ở phần thấp nhất như định nghĩa trên không lớn hơn 0,7 m/s.
Trường hợp các bộ phận của rào chắn bảo vệ nằm cách các bộ phận chuyển động của thang nâng dưới 0,5 m, chúng phải được chế tạo theo ISO 13857:2019, Bảng 1.
4.5.2.3 Vì mục đích bảo trì, khi toàn bộ chiều cao của rào chắn bảo vệ tại sàn cơ sở được tiếp cận từ cửa tầng dừng thì các cửa này phải mở được từ bên trong.
4.5.3 Tiếp cận tầng dừng
4.5.3.1 Quy định chung
Các cửa tầng dừng phải được thiết kế để không xảy ra va chạm với các bộ phận của thang nâng khi được lắp đặt theo sổ tay hướng dẫn (xem 6.1.2.8.3).
Phải trang bị rào chắn ở tầng dừng để ngăn sự tiếp xúc giữa người ở tầng dừng và các bộ phận chuyển động của bàn nâng. Rào chắn bảo vệ này ít nhất phải gồm:
a) Đối với cửa tầng dừng có chiều cao đầy đủ - mỗi bên cửa bố trí một tấm chắn cao 2 000 mm, rộng 850 mm;
b) Đối với cửa tầng dừng giảm chiều cao - mỗi bên cửa bố trí một tấm chắn cao 1 100/1 200 mm, rộng 500 mm.
4.5.3.2 Tầng dừng, nơi chất và dỡ tải ở các sàn tầng.
4.5.3.2.1 Cửa tầng dừng không được mở về phía hành lang di chuyển thang nâng.
4.5.3.2.2 Các cửa tầng dừng phải phù hợp với các yêu cầu trong 4.5.4. Khi cửa được làm bằng vật liệu có kết cấu kín, người sử dụng phải nhìn thấy được bàn nâng đang ở vị trí tầng dừng (ví dụ: bằng các ô cửa).
4.5.3.2.3 Các cửa trượt ngang và trượt đứng phải có dẫn hướng và chuyển động của chúng phải được giới hạn bởi các cữ chặn cơ khí.
4.5.3.2.4 Các cửa trượt đứng phải được giữ bởi ít nhất hai phần tử treo độc lập. Các phần tử treo mềm phải có hệ số an toàn ít nhất là 6 so với độ bền kéo tối thiểu của chúng. Phải có biện pháp để giữ chúng không bị bật ra khỏi puly hoặc đĩa xích.
Puly được sử dụng để kết nối với cửa trượt đứng phải có đường kính ít nhất bằng 15 lần đường kính dây cáp. Dây cáp phải được cố định đầu cáp tuân theo 4.7.3.2.1.6.
Bất kỳ đối trọng nào được sử dụng để kết nối với cửa phải được dẫn hướng và phải có biện pháp đảm bảo nó không bị tuột ra khỏi các thanh dẫn hướng, ngay cả trong trường hợp hệ thống treo nó bị hỏng.
Phải có biện pháp để tránh dập nát các ngón tay giữa các cánh cửa.
4.5.3.2.5 Cửa tầng dừng không được phép mở hoặc đóng bằng thiết bị vận hành bằng cơ học thông qua chuyển động của bàn nâng.
4.5.3.2.6 Trường hợp để giảm khoảng cách theo phương ngang giữa cạnh của bàn nâng và ngưỡng cửa tầng dừng bằng cách dịch chuyển ngang bàn nâng thông qua thao tác thủ công thì phải có ít nhất hai bộ phận độc lập để ngăn bàn nâng dịch chuyển ngang ngoài ý muốn gây nguy hiểm.
Khoảng cách lớn nhất giữa cửa tầng dừng và bất kì tay điều khiển nào trên bàn nâng để điều chỉnh khe hở ngang không được vượt quá 0,6 m. Lực cần thiết để vận hành tay điều khiển này không được vượt quá 150 N theo phương ngang, kể cả khi gió ở trạng thái làm việc bất lợi nhất.
4.5.3.2.7 Cửa có chiều cao đầy đủ (như quy định trên Hình 5):
Chiều cao và khe hở của cửa phải phù hợp với những điều sau:
a) Chiều cao thông thủy của khung cửa tầng dừng không được nhỏ hơn 2,0 m so với ngưỡng cửa của nó, ngoại trừ trường hợp lỗ cửa tầng dừng có chiều cao thấp hơn thì cửa phải mở rộng hết cả chiều cao này.
b) Phải trang bị các phương tiện để tự động giảm bất kỳ khoảng hở nào giữa bàn nâng và rào chắn bảo vệ phía cửa tầng dừng xuống không quá 150 mm trước khi tiếp cận.
c) Khe hở nằm ngang giữa ngưỡng cửa bàn nâng và ngưỡng cửa tầng dừng không được vượt quá 150 mm trước khi mở cửa và 50 mm trong quá trình chất và dỡ tải.
d) Khe hở nằm ngang giữa ngưỡng cửa bàn nâng ở trạng thái đóng và các ngưỡng cửa tầng dừng ở trạng thái đóng hoặc giữa các cửa trong toàn bộ quá trình hoạt động bình thường của chúng không được vượt quá 200 mm.
e) Khi đóng, các cửa tầng dừng phải che kín các lỗ mở của hành lang di chuyển bàn nâng.
f) Bất kỳ khe hở nào xung quanh các cạnh của mỗi cửa hoặc giữa các phần của cửa phải tuân theo ISO 13857:2019, Bảng 4, ngoại trừ phía dưới cửa có khe hở không vượt quá 35 mm.
Kích thước tính bằng milimét

Hình 5 - Ví dụ về cửa đủ chiều cao
4.5.3.2.8 Cửa giảm chiều cao (như quy định trên Hình 6):
Cho phép sử dụng cửa giảm chiều cao và không áp dụng 4.5.3.2.7 khi đáp ứng các điều kiện sau:
a) Cửa rào chắn bảo vệ tại sàn cơ sở:
1) Chiều cao của rào chắn bảo vệ tại sàn cơ sở giảm theo 4.5.2.2;
2) Chiều cao của cửa ít nhất là chiều cao của rào chắn bảo vệ tại sàn cơ sở;
3) Chiều rộng cửa phải bao trùm toàn bộ lỗ mở của rào chắn bảo vệ tại sàn cơ sở;
4) Cửa được thiết kế tuân theo 4.5.4;
5) Cửa có ít nhất một lan can bảo vệ với thanh (các thanh) ngang ở giữa được đặt cách nhau sao cho khe hở theo phương đứng không lớn hơn 0,6 m.
b) Cửa ở tất cả các tầng dừng
1) Cửa cao từ 1,1 m đến 1,2 m;
2) Khoảng cách an toàn (A, xem Hình 6) tại mép trên, giữa mặt bên của cửa phía tầng dừng với bất kỳ bộ phận chuyển động nào của thang nâng khi hoạt động bình thường không nhỏ hơn 0,85 m hoặc 0,5 m nếu tốc độ danh nghĩa không vượt quá 0,7 m/s. Khoảng cách an toàn (B, xem Hình 6) tại mép trên, giữa mặt bên của cửa hành lang di chuyển bàn nâng phía thang nâng với bất kỳ bộ phận chuyển động nào của thang nâng khi hoạt động bình thường không nhỏ hơn 0,75 m hoặc 0,4 m nếu tốc độ danh nghĩa không vượt quá 0,7 m/s;
3) Cửa phải che kín toàn bộ chiều rộng của lỗ cửa và ít nhất phải có một lan can bảo vệ và thanh trung gian bố trí ở độ cao bằng nửa chiều cao. Phải có một tấm chắn chân có chiều cao ít nhất là 150 mm so với mặt sàn và khe hở đến mặt sàn không quá 35 mm. Khoảng trống giữa lan can bảo vệ trên cùng và tấm chắn chân phải được che kín. Nếu sử dụng tấm đột lỗ thì lỗ phải có kích thước không vượt quá 50 mm x 50 mm hoặc có khe hở có chiều rộng không quá 20 mm.
4) Mép ngoài của cửa tầng dừng ở phía đối diện với thang nâng cách ngưỡng cửa tầng dừng không quá 400 mm (xem Hình 6);
5) Rào chắn phía bên của cửa tầng dừng phải có chiều cao từ 1,1 m đến 1,2 m với thanh trung gian bố trí ở độ cao bằng nửa chiều cao và tấm chắn chân cao hơn sàn ít nhất 150 mm;
6) Phải trang bị các phương tiện để giảm bất kỳ khe hở ngang nào giữa ngưỡng cửa bàn nâng và bệ đỡ tầng dừng cũng như bất kỳ khe hở nào giữa bàn nâng và rào chắn bảo vệ phía bên của tầng dừng xuống không quá 150 mm trước khi cửa tầng dừng được mở và trong suốt thời gian mở cùng với bàn nâng tại tầng dừng.
7) Nếu rào chắn phía bên là một phần của tầng dừng và trong quá trình chuyển động thẳng đứng của bàn nâng nó vẫn nằm trong khoảng cách an toàn 50 cm - 85 cm thì khe hở tối thiểu giữa bàn nâng và bộ phận rào chắn phía bên là 100 mm.
8) Phải trang bị các phương tiện để giảm bất kỳ khe hở ngang nào giữa ngưỡng cửa bàn nâng và ngưỡng cửa tầng dừng xuống không quá 50 mm trong quá trình chất và dỡ tải.
Kích thước tính bằng milimét

a) Đường dốc chất tải có rào chắn

b) Đường dốc dỡ tải không có rào chắn
Hình 6 - Các ví dụ về cửa giảm chiều cao
4.5.3.3 Tầng dừng nơi chất và dỡ tải được thực hiện phía trên rào chắn cố định
4.5.3.3.1 Rào chắn cố định của tầng dừng có chiều cao tối thiểu là 1,1 m và tuân thủ theo ISO 13857:2019.
4.5.3.3.2 Phải trang bị các phương tiện để giảm bất kỳ khe hở ngang nào giữa ngưỡng cửa bàn nâng và ngưỡng cửa tầng dừng xuống không quá 50 mm trong quá trình chất và dỡ tải.
4.5.3.4.3 Ở độ cao trên 1,1 m cho phép để thông thoáng nếu khoảng cách giữa rào chắn cố định và bất kỳ bộ phận chuyển động nào của thang nâng ở trạng thái hoạt động bình thường không nhỏ hơn 0,85 m hoặc không nhỏ hơn 0,5 m khi tốc độ danh nghĩa không lớn hơn 0,7 m/s (xem Hình 7). Trường hợp còn lại phải trang bị một cửa phía trên rào chắn cố định (xem Hình 8).
a) Phù hợp với các quy định từ 4.5.3.2.1 đến 4.5.3.2.6 và 4.5.3.2.7.e);
b) Phải bảo vệ khoảng hở phía trên rào chắn cố định ít nhất đến độ cao 2,0 m so với sàn tầng dừng, trừ trường hợp tầng dừng có chiều cao khả dụng nhỏ hơn. Trong trường hợp đó, cửa phải mở hết chiều cao này;
c) Mọi khe hở xung quanh các cạnh cửa hoặc giữa các phần của cửa phải phù hợp với ISO 13857:2019, Bảng 4.
Kích thước tính bằng milimét

Hình 7 - Ví dụ về tầng dừng với rào chắn tầng dừng cố định
Kích thước tính bằng milimét

Hình 8 - Ví dụ về tầng dừng với rào chắn tầng dừng cố định và cửa
4.5.4 Vật liệu làm cửa và rào chắn
4.5.4.1 Cửa tầng dừng phải có độ bền cơ học sao cho ở trạng thái khóa, khi tác dụng một lực 300 N vuông góc với cửa tại bất kỳ điểm nào nằm trên một trong hai mặt cửa bằng cách sử dụng một vật cứng đầu vuông hoặc tròn có diện tích bề mặt 5 mm2, chúng phải:
a) Không có biến dạng dư;
b) Không bị biến dạng đàn hồi lớn hơn 30 mm;
c) Hoạt động tốt sau khi thử nghiệm.
Khi đặt một lực 600 N vuông góc với cửa tại bất kỳ điểm nào nằm trên một trong hai mặt cửa bằng cách sử dụng một vật cứng đầu vuông hoặc tròn có diện tích 5 mm2, nó có thể không đạt các tiêu chí trên nhưng vẫn đảm bảo chắc chắn.
4.5.4.2 Các cửa tiếp cận tầng dừng giảm chiều cao phù hợp với 4.5.3.2.8 phải có độ bền cơ học sao cho khi tác dụng lực 1 kN theo phương thẳng đứng tại bất kỳ điểm nào dọc theo phía trên cửa, chúng phải:
a) Không bị biến dạng dư;
b) Hoạt động tốt sau khi thử nghiệm.
4.5.4.3 Rào chắn hành lang di chuyển bàn nâng phải chịu được cùng một lực và đạt được các tiêu chí như nêu trong 4.5.4.1 và 4.5.4.2.
4.5.4.4 Kích thước của bất kỳ khe hở hoặc khoảng trống nào trên rào chắn hành lang di chuyển bàn nâng và trên các cửa khi đóng lại, liên quan đến khoảng cách với các bộ phận chuyển động liền kề phải phù hợp với Bảng 4 của ISO 13857:2019, ngoại trừ khoảng cách giữa rào chắn hành lang di chuyển bàn nâng và các cửa với bất kỳ bộ phận chuyển động nào của thang nâng trong hoạt động bình thường không nhỏ hơn 0,85 m hoặc 0,5 m nếu tốc độ danh nghĩa không lớn hơn 7 m/s.
4.5.5 Thiết bị khóa cửa tầng dừng
4.5.5.1 Cửa tầng dừng phù hợp với 4.5.3.4.7 (cửa có chiều cao đầy đủ)
Phải trang bị cho các cửa tầng một thiết bị khóa liên động theo 4.8.6 để kiểm soát vị trí đóng và khóa của chúng. Việc đóng và khoá cửa phải được kiểm soát bởi vị trí của lối vào bàn nâng.
Ở chế độ hoạt động bình thường, thiết bị khóa không cho phép thực hiện các việc sau:
a) Mở cửa của bất kỳ tầng dừng nào trừ khi sàn bàn nâng nằm trong khoảng ± 0,15 m so với mặt tầng dừng đó;
b) Khởi động hoặc duy trì chuyển động bàn nâng trừ khi tất cả các cửa tầng dừng ở trạng thái đóng và khoá;
c) Thu cầu dẫn, trừ khi cửa tầng dừng ở vị trí đóng và khóa, trừ khi việc thu cầu dẫn kích hoạt khóa cửa tầng dừng. Trong trường hợp này cầu dẫn chỉ được thu lại khi cửa tầng dừng đã đóng.
Mở khóa khẩn cấp: Mỗi cửa tầng dừng phải có khả năng mở khóa bằng chìa khóa đặc biệt ở phía tầng dừng, ví dụ: chìa khóa tam giác.
4.5.5.2 Cửa tầng dừng phù hợp với 4.5.3.2.8 (cửa tầng dừng giảm chiều cao) hoặc 4.5.3.3 (rào chắn tầng dừng cố định cao 1,1 m trở lên)
Ngoại trừ rào chắn bảo vệ tại sàn cơ sở, phải trang bị một thiết bị khóa liên động theo 4.8.6 cho các cửa tầng dừng để kiểm soát vị trí đóng và khóa của chúng. Việc đóng và khóa cửa phải được kiểm soát bởi vị trí của lối vào bàn nâng.
Ở chế độ hoạt động bình thường, thiết bị khóa không cho phép thực hiện các việc sau:
a) Mở cửa của bất kỳ tầng dừng nào trừ khi bàn nâng dừng tại cửa tầng dừng đó và cầu dẫn đã được bắc an toàn;
b) Khởi động hoặc duy trì chuyển động bàn nâng trừ khi tất cả các cửa tầng dừng ở trạng thái đóng và khoá;
c) Thu cầu dẫn, trừ khi cửa tầng dừng ở vị trí đóng và khóa, trừ khi việc thu cầu dẫn kích hoạt khóa cửa tầng dừng. Trong trường hợp này cầu dẫn chỉ được thu lại khi cửa tầng dừng đã đóng.
Không thể loại bỏ khoá liên động nếu không sử dụng một dụng cụ chuyên dùng.
4.5.5.3 Thiết kế
4.5.5.3.1 Các tiếp điểm điện trong thiết bị khóa cửa phải là tiếp điểm an toàn (xem 4.8.7).
4.5.5.3.2 Tất cả các thiết bị khóa cửa được lắp vào cửa có chiều cao đầy đủ phải phù hợp với 4.5.3.2.7, cùng với bất kỳ cơ cấu và các tiếp điểm điện nào có liên quan phải được bố trí hoặc bảo vệ sao cho chỉ những người được phép mới có thể tiếp cận được từ tầng dừng.
4.5.5.3.3 Tất cả các thiết bị khóa cửa được lắp vào cửa giảm chiều cao phù hợp với 4.5.3.2.8 phải có cấu tạo sao cho các thiết bị an toàn điện của chúng không thể chuyển sang trạng thái không hoạt động nếu không sử dụng các dụng cụ chuyên dùng.
4.5.5.3.4 Tất cả các thiết bị khóa cửa phải được lắp đặt chắc chắn và các liên kết của chúng phải đảm bảo không bị nới lỏng.
4.5.5.3.5 Tất cả các thiết bị khóa cửa và các liên kết của chúng phải có khả năng chịu được lực 1 kN đặt ở cao độ của khóa theo hướng mở của cửa.
4.5.5.3.6 Các thiết bị khóa cửa phải được thiết kế để có thể tiến hành bảo dưỡng. Các bộ phận cơ khí không chịu được bụi hoặc nước phải được bảo vệ tối thiểu ở cấp IP 44 theo EN 60529:1991.
4.5.5.3.7 Việc tháo bỏ bất kỳ một nắp đậy có thể tháo rời nào cũng không ảnh hưởng đến các cơ cấu khóa hoặc hệ thống các dây điện. Tất cả các nắp đậy có thể tháo rời phải được giữ lại bằng dây buộc cố định.
4.5.5.3.8 Chi tiết khóa phải được giữ ở vị trí khóa nhờ lò xo hoặc vật nặng. Khi sử dụng lò xo, chúng phải là loại lò xo nén và phải được dẫn hướng. Khi lò xo bị hỏng phải không làm cho khóa mất an toàn.
4.5.5.3.9 Bàn nâng không thể chuyển động được khi tất cả các phần tử khóa chưa ăn khớp vào nhau một khoảng ít nhất 7 mm như thể hiện trên Hình 9.
Kích thước tính bằng milimét

Hình 9 - Ví dụ về các chi tiết khoá
4.5.5.3.10 Các tiếp điểm điện trong thiết bị khóa cửa phải ngăn cản sự di chuyển của bàn nâng nếu khe hở tạo ra khi mở bất kỳ cửa tầng dừng nào có chiều cao tối đa phù hợp với 4.5.3.2.7 vượt quá mức cho phép của 4.5.3.2.7.
4.5.5.3.11 Trong trường hợp thiết bị khóa của cửa kiểu cánh lật, các cánh lật có khóa phải chồng lên cánh cửa đã đóng trên toàn bộ chiều rộng với một lượng đủ để ngăn cửa mở ra khi được bảo trì như dự định của nhà sản xuất.
4.5.6 Khoảng cách
4.5.6.1 Quy định chung
Tất cả các khoảng cách an toàn chưa được nêu trong tiêu chuẩn này phải tuân theo EN ISO 13857:2019 (áp dụng Bảng 1 và Bảng 4).
4.5.6.2 Khoảng trống dưới bàn nâng
Để có thể tiếp cận an toàn phía dưới bàn nâng cho mục đích bảo trì, phải trang bị các phương tiện để tạo khoảng trống tối thiểu theo phương thẳng đứng ít nhất là 1,8 m (ví dụ: một giá đỡ có thể di chuyển hoặc tương tự). Khoảng trống phải mở rộng dưới toàn bộ diện tích của bàn nâng. Có thể lắp đặt và tháo dỡ các phương tiện được trang bị mà không cần bất kỳ người nào ở bên dưới bàn nâng.
4.6 Bàn nâng
4.6.1 Yêu cầu chung
4.6.1.1 Quy định chung
Kết cấu bàn nâng phải được tính toán theo 4.2.
Bàn nâng phải được dẫn hướng chắc chắn để tránh bị bung ra hoặc bị kẹt.
Phải trang bị các thiết bị hoạt động hiệu quả cho bàn nâng để giữ bàn nâng không bị bung ra khỏi các thanh dẫn hướng trong trường hợp bị hỏng ngàm dẫn hướng hoặc con lăn.
Bàn nâng phải được trang bị các thiết bị cơ khí để ngăn nó tuột ra khỏi các thanh dẫn hướng. Các thiết bị này phải hoạt động tốt trong quá trình hoạt động bình thường cũng như trong quá trình lắp đặt tháo dỡ và bảo dưỡng.
Bàn nâng và bất kì bộ phận nào liên quan đến an toàn phải được đảm bảo ở đúng vị trí của nó để di chuyển. Việc nhả (các) thiết bị an toàn phải tự động hoặc bằng hành động có chủ đích của con người.
Trong trường hợp thang nâng vận chuyển hàng di chuyển trên hai cột và thể hiện như trên Hình 10:
a) Bàn nâng phải luôn ở vị trí nằm ngang, trong phạm vi ± 2 °, khi nó chuyển động bình thường dưới tác động của tải danh nghĩa và các lực khác ở chế độ hoạt động bình thường;
b) Trong quá trình vận hành các phương tiện được mô tả trong 4.9, thiết bị hạ khẩn cấp, góc nghiêng lớn nhất cho phép so với phương ngang phải là ± 5 °;
c) Tại các tầng dừng, bàn nâng phải dừng ở vị trí nằm ngang và thẳng đứng trong giới hạn cho phép của giao diện bàn nâng/tầng dừng để hoạt động bình thường;
d) Trong quá trình hoạt động của các phương tiện được mô tả trong 4.6.2, bộ hãm an toàn chống rơi bàn nâng, góc nghiêng lớn nhất cho phép so với phương ngang phải là ± 10 °.

CHÚ DẪN
α góc nghiêng so với phương ngang
Hình 10 - Độ nghiêng của bàn nâng theo phương ngang
4.6.1.2 Mặt sàn bàn nâng
Sàn và đường dốc phải được thiết kế chịu được các lực theo 4.2.2 j). Tất cả các khu vực dự kiến có người đứng phải đảm bảo khả năng chống trượt (ví dụ: tôn nhám) và thoát nước tự do.
4.6.1.3 Rào chắn của bàn nâng
Rào chắn ở tất cả các phía của bàn nâng phải có chiều cao tối thiểu là 0,6 m để tránh rơi vật liệu xuống, ở khoảng 0,6 m trở xuống phải có một tấm chắn chân kín có chiều cao 0,15 m và ít nhất là các tấm đục lỗ có kích thước lỗ tối đa là (50 x 50) mm hoặc các tấm có rãnh có chiều rộng rãnh không quá 20 mm.
Ở mọi phía có nguy cơ bị rơi khỏi bàn nâng phải trang bị lan can bảo vệ gắn chặt vào bàn nâng. Lan can phải cao ít nhất 1,1 m và một tấm chắn chân cao 0,15 m. Phải có ít nhất một thanh ngang trung gian cao hơn tấm chắn chân không quá 0,5 m và không quá 0,5 m dưới thanh chắn trên cùng.
Ở phía bàn nâng hướng về cột thang nâng phải trang bị một rào chắn bảo vệ có chiều cao 1,8 m. Chiều rộng rào chắn bảo vệ này phải lớn hơn chiều ngang của cột 0,2 m ở mỗi bên nhưng không được vượt quá chiều rộng của bàn nâng. Kích thước của bất kì lỗ hổng nào trên rào chắn bảo vệ phải phù hợp với ISO 13857:2019. Nếu rào chắn bảo vệ được tháo ra để phục vụ lắp đặt, tháo dỡ hoặc bảo trì thì vị trí bảo vệ của rào chắn này phải được khóa liên động với chuyển động của bàn nâng.
Rào chắn của bàn nâng phải tuân theo 4.5.4.1 và 4.5.4.2.
4.6.1.4 Cửa bàn nâng
4.6.1.4.1 Quy định chung
Việc mở cửa và đường dốc của bàn nâng chỉ thực hiện được bằng một hành động thủ công có chủ đích.
Phải trang bị các phương tiện để giảm bất kỳ khoảng cách theo chiều ngang nào giữa ngưỡng cửa của bàn nâng và ngưỡng cửa của tầng dừng cũng như khe hở giữa bàn nâng và rào chắn phía lối vào tầng dừng xuống không quá 150 mm trước khi cửa bàn nâng có thể mở, trừ khi việc mở cửa được thực hiện bằng hành động có chủ đích.
4.6.1.4.2 Chốt và khoá liên động của cửa bàn nâng
Yêu cầu về chốt và khóa liên động của cửa bàn nâng được xác định theo hướng mở của cửa so với những người trên bàn nâng (xem Hình 11 a), 11 b) và 12):
a) Nếu các cửa không mở theo hướng bị rơi xuống thì phải đáp ứng các yêu cầu của 4.6.1.4.3;
b) Nếu các cửa mở theo hướng bị rơi xuống thì phải đáp ứng các yêu cầu của 4.6.1.4.4;
c) Nếu các yêu cầu của 4.6.1.4.3 hoặc 4.6.1.4.4 không được đáp ứng thì các cửa phải được khóa liên động theo 4.6.1.4.5.
4.6.1.4.3 Cửa mở thủ công không có khoá liên động không mở theo hướng bị rơi xuống
Trường hợp cửa không mở theo hướng bị rơi xuống (thường theo hướng đi lên) và tự động thu hẹp khoảng cách với tầng dừng/tòa nhà (thanh bản lề, mở hướng lên trên kết hợp với đường dốc; cửa trượt lên theo hướng đứng, kết hợp với đường dốc), trong điều kiện hoạt động bình thường không được phép khởi động và duy trì bàn nâng di chuyển, trừ khi các cửa hoặc đường dốc của bàn nâng ở vị trí đóng và khóa cũng như bàn nâng ở đúng vị trí để di chuyển. Điều này phải đạt được bằng một thiết bị an toàn phù hợp với 4.8.6.
Các cửa và đường dốc vẫn phải luôn đóng nếu bàn nâng dừng lại giữa các tầng dừng.
Phải có ít nhất hai hành động có chủ ý khi muốn mở cửa bàn nâng:
a) Hành động thứ nhất (thứ hai đến cuối cùng*) được theo dõi bởi một thiết bị an toàn theo 4.8.6, để ngăn chuyển động của bàn nâng sau khi hoàn thành hành động thứ nhất;
b) Hành động thứ hai (cuối cùng*) là mở cửa.
* Trong trường hợp cần có nhiều hơn hai hành động có chủ ý, "thứ nhất" sẽ được thay thế bằng "thứ hai đến cuối cùng" và "thứ hai" bằng "cuối cùng".
4.6.1.4.4 Cửa mở thủ công không có khoá liên động mở theo hướng bị rơi xuống
Trường hợp cửa mở theo hướng bị rơi xuống (thường là hướng ra ngoài), phải đáp ứng các yêu cầu của 4.6.1.4.3. Ngoài ra, hành động thứ hai (cuối cùng*) phải theo hướng khác với hành động thứ nhất (thứ hai đến cuối cùng*) và không theo hướng mở cửa. Nếu hành động thứ hai (cuối cùng*) là theo hướng mở cửa, thì cần phải thực hiện thêm một hành động theo hướng khác.
4.6.1.4.5 Cửa có khoá liên động
Khi không đáp ứng các yêu cầu của 4.6.1.4.3 hoặc 4.6.1.4.4, các cửa bàn nâng phải được khóa liên động bằng một thiết bị an toàn theo 4.8.6.
Trong điều kiện hoạt động bình thường, không thể khởi động và giữ cho bàn nâng di chuyển, trừ khi các cửa hoặc đường dốc của bàn nâng ở vị trí đóng và bàn nâng cũng như bất kỳ phụ kiện liên quan đến an toàn nào ở đúng vị trí để di chuyển.
Các cửa bàn nâng phải được đóng lại trước khi bàn nâng bắt đầu di chuyển và/hoặc tiếp tục di chuyển. Cửa và đường dốc vẫn phải luôn đóng nếu bàn nâng dừng lại giữa các tầng dừng.
Không được phép thay thế thiết bị khóa liên động bằng các phương tiện đơn giản.
Các thiết bị cầu nối dẫn động điện phải được điều khiển bằng bộ điều khiển không duy trì. Các thiết bị cầu nối, ví dụ: đường dốc hoặc cửa, tạo thành hệ thống chống rơi ở vị trí đóng phải được bảo vệ chống chuyển động ngoài ý muốn và phải tuân theo các yêu cầu của 4.8.6.

a) Cửa mở theo hướng bị rơi xuống

b) Cửa không mở theo hướng bị rơi xuống
CHÚ DẪN
1 Thang nâng vận chuyển hàng
2 Cửa mở theo hướng bị rơi xuống
3 Cửa không mở theo hướng bị rơi xuống
Hình 11 - Hướng mở của cửa

Hình 12 - Các yêu cầu về chốt và khóa cửa liên động
4.6.2 Bộ hãm an toàn vượt tốc phòng rơi bàn nâng
4.6.2.1 Phải trang bị một bộ hãm an toàn vượt tốc được kích hoạt trong trường hợp vượt quá tốc độ để ngăn không cho bàn nâng bị rơi.
4.6.2.2 Bộ hãm an toàn vượt tốc phải hoạt động mọi lúc, kể cả khi lắp đặt, tháo dỡ và trong quá trình khôi phục lại sau khi được kích hoạt.
4.6.2.3 Bộ hãm an toàn vượt tốc phải có khả năng dừng và giữ bàn nâng được chất tải bằng 1,3 lần tải danh nghĩa với gia tốc hãm lớn nhất không vượt quá 2 g.
4.6.2.4 Chuyển động của bàn nâng khi sử dụng các bộ điều khiển thông thường phải được thiết bị an toàn điện theo 4.8.6 ngăn chặn một cách tự động ngay khi bộ hãm an toàn vượt tốc được kích hoạt.
4.6.2.5 Biện pháp giải toả bộ hãm an toàn vượt tốc để thang nâng trở lại hoạt động bình thường phải sự can thiệp của người được phép và được ủy quyền.
4.6.2.6 Các thử nghiệm bộ hãm an toàn vượt tốc phải được thực hiện bằng một thiết bị điều khiển từ xa ở vị trí có một khoảng cách an toàn thích hợp tính đến bàn nâng.
4.6.2.7 Phải ngăn ngừa việc điều chỉnh trái phép tốc độ kích hoạt của bộ khống chế vượt tốc, ví dụ: bằng một dấu niêm phong.
4.6.2.8 Puly dùng cho bộ khống chế vượt tốc phải được lắp độc lập với các trục mang puly của cáp treo tải.
4.6.2.9 Bộ hãm an toàn vượt tốc không được kích hoạt bởi bất kỳ thiết bị nào hoạt động bằng điện hoặc khí nén.
4.6.2.10 Tốc độ kích hoạt của bộ hãm an toàn vượt tốc không được vượt quá 0,4 m/s so với tốc độ danh nghĩa của thang nâng.
4.6.2.11 Phải có biện pháp phòng ngừa bộ hãm an toàn vượt tốc không hoạt động do tích tụ các vật lạ từ bên ngoài hoặc do điều kiện khí hậu.
4.6.2.12 Dây cáp và phụ kiện đi kèm dây cáp, v.v... dùng cho bộ khống chế vượt tốc phải có kích thước và thiết kế như quy định trong 4.7.3.2.1.
Trong quá trình lắp đặt thang nâng, sợi cáp đi đến bộ khống chế vượt tốc phải được đỡ trực tiếp bởi cột thang nâng.
Lực tác dụng bởi bộ khống chế vượt tốc khi được kích hoạt ít nhất phải lớn hơn hai giá trị sau:
a) hoặc 300 N;
b) hoặc gấp đôi mức cần thiết để kích hoạt thiết bị an toàn.
4.6.2.13 Một bộ hãm an toàn vượt tốc được thiết kế để bám cùng lúc vào nhiều thanh dẫn hướng thì phải bám đồng thời trên tất cả các thanh dẫn hướng đó.
4.6.2.14 Trong các bộ hãm an toàn vượt tốc mà tác động phanh được thực hiện bằng lò xo, bất kỳ sự hư hỏng nào của lò xo cũng không được phép dẫn đến sự cố của thiết bị an toàn gây nguy hiểm.
4.6.3 Thiết bị phát hiện quả tải
4.6.3.1 Tiêu chuẩn này quy định phương pháp phát hiện quá tải, nhưng không yêu cầu cung cấp thiết bị đo mô men tải cùng với thiết bị phát hiện quá tải vì mô men được tính theo ổn định và ứng suất (4.2) Điều này phải thực hiện bằng thiết bị an toàn điện theo 4.8.6.
Ngoại trừ trường hợp nêu trong 4.6.3.5, phải trang bị một thiết bị phát hiện quá tải, thiết bị này phát tín hiệu rõ ràng trên bàn nâng và ngắt điều khiển hoạt động thông thường của bàn nâng trước khi tải đạt tới 120 % tải danh nghĩa. Điều này phải thực hiện bằng thiết bị an toàn điện theo 4.8.6.
Không có điều khoản nào cho phép người dùng hủy cảnh báo quá tải. Việc phát hiện quá tải được thực hiện ít nhất là cho trường hợp bàn nâng đứng yên.
4.6.3.2 Việc thiết kế và lắp đặt các bộ chỉ báo và thiết bị phát hiện quá tải phải tính đến trường hợp khi phải thử nghiệm quá tải thang nâng, không cần phải tháo dỡ chúng cũng như không gây ảnh hưởng đến hoạt động của bộ chỉ báo hoặc thiết bị phát hiện quá tải.
4.6.3.3 Nếu xảy ra ngắt nguồn, tất cả dữ liệu và hiệu chuẩn của thiết bị phát hiện quá tải phải được lưu giữ.
4.6.3.4 Các thiết bị phải được bảo vệ tránh hư hỏng do va đập, rung động và hư hỏng trong quá trình lắp đặt, vận hành, tháo dỡ và bảo dưỡng thang nâng cũng như các ảnh hưởng từ môi trường theo dự định của nhà sản xuất.
4.6.3.5 Không cần thiết bị phát hiện quá tải nếu tất cả các yêu cầu sau được đáp ứng:
a) Hệ thống truyền động là loại truyền động trực tiếp;
b) Tất cả các tính toán thiết kế tải trọng và tổ hợp tải trọng theo 4.2 ít nhất gấp 1,5 lần tải danh nghĩa;
c) Hệ thống phanh có khả năng dừng bàn nâng và duy trì trạng thái dừng của bàn nâng với tải bằng 1,5 lần tải danh nghĩa khi di chuyển theo chiều hạ ở tốc độ bằng tốc độ danh nghĩa;
d) Bộ hãm an toàn vượt tốc có thể dừng và giữ bàn nâng cùng với tải bằng 1,5 lần tải danh nghĩa;
e) Để hạn chế công suất khả dụng, việc xác định công suất động cơ dẫn động phải được tính với tải danh nghĩa.
4.7 Cơ cấu dẫn động
4.7.1 Quy định chung
4.7.1.1 Mỗi thang nâng phải có ít nhất một cơ cấu dẫn động riêng.
4.7.1.2 Cơ cấu dẫn động phải được tính toán theo 4.2 bao gồm các yêu cầu cụ thể nêu trong 4.2.8.
4.7.1.3 Động cơ dẫn động phải được ghép nối với tang, đĩa xích hoặc hoặc bánh răng truyền động thông qua hệ thống truyền động trực tiếp và không thể bị tháo lỏng.
4.7.1.4 Trong quá trình hoạt động bình thường, việc nâng lên hạ xuống của bàn nâng đều phải thực hiện bằng động cơ dẫn động.
4.7.1.5 Đối với tất cả các thang nâng, tốc độ nâng lên của bàn nâng khi không tải hoặc tốc độ hạ xuống của bàn nâng khi có tải danh nghĩa không được vượt quá 15 % tốc độ danh nghĩa trong điều kiện làm việc bình thường.
4.7.2 Rào chắn bảo vệ và khả năng tiếp cận
4.7.2.1 Trong quá trình hoạt động bình thường, khi khoảng cách an toàn đến các bộ phận của cơ cấu dẫn động và thiết bị liên quan nhỏ hơn 0,5 m thì chúng phải được bảo vệ theo ISO 13857:2019 (áp dụng Bảng 1 và Bảng 4).
4.7.2.2 Phải có bộ phận che chắn cố định để ngăn chặn sự xâm nhập của bất kỳ vật nào có thể gây hư hỏng cho bất kỳ bộ phận nào của hệ thống dẫn động, ví dụ: sỏi, mưa, tuyết, băng, vữa và bụi.
4.7.2.3 Phải trang bị các bộ phận che chắn hữu hiệu cho các bánh răng, đai và xích, trục quay, bánh đà, con lăn dẫn hướng, khớp nối và các bộ phận quay tương tự, trừ khi các bộ phận đó được chế tạo an toàn theo thiết kế hoặc theo vị trí, và phải thiết kế sao cho có thể tiếp cận dễ dàng trong quá trình kiểm tra và bảo trì thường xuyên.
Kích thước của bất kỳ lỗ hở hoặc khoảng trống nào ở bộ phận che chắn khi đóng lại liên quan đến khoảng cách của chúng đến các bộ phận chuyển động liền kề phải tuân theo ISO 13857:2019 (áp dụng Bảng 1 và Bảng 4).
4.7.3 Hệ thống treo
4.7.3.1 Truyền động bánh răng - Thanh răng
4.7.3.1.1 Quy định chung
4.7.3.1.1.1 Bánh răng dẫn động và bánh răng của bộ hãm an toàn vượt tốc phải được ghép nối kiểu ăn khớp với trục của chúng. Không được sử dụng các mối liên kết dạng ma sát và ép chặt.
4.7.3.1.1.2 Bánh răng của bộ hãm an toàn vượt tốc phải được bố trí thấp hơn bánh răng dẫn động.
4.7.3.1.1.3 Các thanh răng phải được lắp chắc chắn. Các mối ghép thanh răng phải được căn chỉnh chính xác để tránh lỗi ăn khớp hoặc làm hỏng răng.
4.7.3.1.1.4 Phải có các biện pháp ngăn ngừa các vật thể lạ có thể xâm nhập vào khu vực ăn khớp giữa bánh răng dẫn hoặc bánh răng của bộ hãm an toàn vượt tốc với thanh răng.
4.7.3.1.1.5 Đối với các bộ truyền động khác như bánh răng chốt, phải sử dụng các quy định tương tự như nêu trong 4.7.3.1.1 đến 4.7.3.1.4 và phải đảm bảo các hệ số an toàn tương tự.
4.7.3.1.2 Thiết kế
4.7.3.1.2.1 Bánh răng
Bánh răng phải được thiết kế theo ISO 6335-1:2019, ISO 6336-2:2019, ISO 6336-3:2019 và ISO 6336-5:2016 liên quan đến độ bền và độ bền tróc bề mặt của răng và phải xét đến các yêu cầu của 4.2.8.
Bánh răng phải đủ bền với hệ số an toàn bền tối thiểu là 2,0, có kể đến độ mòn tối đa được nêu trong sổ tay hướng dẫn của nhà sản xuất.
Bánh răng phải có hệ số an toàn bền tróc bề mặt tối thiểu là 1,4.
4.7.3.1.2.2 Thanh răng
Thanh răng phải được làm bằng vật liệu có các đặc tính phù hợp với các đặc tính của bánh răng về độ mòn và phải được thiết kế theo ISO 6336-1:2019, ISO 6336-2:2019, ISO 6336-3:2019 và ISO 6336-5:2016 liên quan đến độ bền của răng và độ bền tróc bề mặt và phải tính đến các yêu cầu của 4.2.8.
Thanh răng phải đủ bền với hệ số an toàn bền tối thiểu là 2,0, có tính đến độ mòn lớn nhất được nêu trong sổ tay hướng dẫn của nhà sản xuất.
4.7.3.1.2.3 Chia tải
Khi có nhiều hơn một bánh răng truyền động ăn khớp với thanh răng, thì phải có một thiết bị tự điều chỉnh để chia tải một cách hiệu quả trên mỗi bánh răng truyền động hoặc hệ thống truyền động phải được thiết kế để phù hợp với việc chia tải một cách bình thường giữa các bánh răng.
4.7.3.1.3 Mô-đun
Mô-đun thanh răng và bánh răng trụ không được nhỏ hơn:
a) Bốn (4) đối với hệ thống truyền động mà ở đó con lăn kẹp phía đối diện hoặc một số tính năng đảm bảo sự ăn khớp khác tác động trực tiếp trên thanh răng mà không thông qua bất kỳ chi tiết nào của cột;
b) Sáu (6) đối với trường hợp con lăn kẹp phía đối diện hoặc một số tính năng đảm bảo sự ăn khớp khác diễn ra thông qua một chi tiết khác của cột, chi tiết này sau đó tiếp xúc trực tiếp với thanh răng.
4.7.3.1.4 Sự ăn khớp của bánh răng với thanh răng
4.7.3.1.4.1 Phải có các phương tiện đảm bảo tất cả các bánh răng của cơ cấu dẫn động và thiết bị an toàn luôn ăn khớp một cách chính xác với thanh răng trong mọi điều kiện tải. Các biện pháp này không được chỉ dựa vào các con lăn dẫn hướng bàn nâng hoặc ngàm dẫn hướng.
Sự ăn khớp chính xác được coi là khi đường kính vòng tròn chia của bánh răng trùng với hoặc lệch không quá một phần ba (1/3) mô-đun về phía ngoài đường chia của thanh răng (xem Hình 13).
4.7.3.1.4.2 Phải có biện pháp đề phòng trường hợp các phương tiện được cung cấp theo 4.7.3.1.4.1 bị hỏng để đảm bảo đường kính vòng tròn chia của các bánh răng không bao giờ lệch quá hai phần ba (2/3) mô-đun về phía ngoài đường chia của thanh răng (xem Hình 14).
4.7.3.1.4.3 Phải có các phương tiện đảm bảo duy trì sự ăn khớp theo chiều rộng tính toán của răng bánh răng và thanh răng (xem Hình 15).
4.7.3.1.4.4 Phải có biện pháp đề phòng trường hợp các phương tiện được cung cấp theo 4.7.3.1.4.3 bị hỏng để đảm bảo sự ăn khớp theo chiều rộng răng của bánh răng và thanh răng sẽ không nhỏ hơn 90 % chiều rộng tính toán (xem Hình 16)

CHÚ DẪN:
1 Bánh răng
2 Thanh răng
d1 Đường kính vòng đỉnh của bánh răng
d0 Đường kính vòng chia của bánh răng
d2 Đường kính vòng chân của bánh răng
d Đường chia của thanh răng
e Lớn nhất một phần ba mô-đun
m Mô-đun
Hình 13 - Ăn khớp đúng của bánh răng

CHÚ DẪN:
1 Bánh răng
2 Thanh răng
d1 Đường kính vòng đỉnh của bánh răng
d0 Đường kính vòng chia của bánh răng
d2 Đường kính vòng chân của bánh răng
d Đường chia của thanh răng
f Lớn nhất 2/3 mô-đun
m Mô-đun
Hình 14 - Sai lệch ăn khớp tối thiểu của bánh răng

CHÚ DẪN:
1 Bánh răng
2 Thanh răng
3 Mép vát cạnh răng
d0 Đường kính vòng chia của bánh răng
g Chiều rộng thanh răng
l Chiều rộng răng bánh răng ở dạng đầy đủ tại d0
Hình 15 - Sự ăn khớp đúng của răng

CHÚ DẪN:
1 Bánh răng
2 Thanh răng
3 Mép vát cạnh răng
d0 Đường kính vòng chia của bánh răng
g Chiều rộng thanh răng
h 90 % chiều rộng thanh răng
l Chiều rộng răng bánh răng ở dạng đầy đủ tại d0
Hình 16 - Ăn khớp tối thiểu của răng
4.7.3.2 Hệ thống treo bàn nâng bằng cáp/xích
4.7.3.2.1 Yêu cầu về dây cáp và xích
4.7.3.2.1.1 Dây cáp phải làm bằng thép. Xích phải làm bằng thép với các mắt xích song song hoặc xích con lăn.
4.7.3.2.1.2 Nếu sử dụng nhiều hơn một dây cáp/xích, phải trang bị một thiết bị tự động để cân bằng độ căng của các dây cáp/xích treo. Tất cả các lò xo phải chịu nén khi làm việc.
Trong trường hợp một trong số các dây cáp/xích bị chùng bất thường hoặc đứt, thiết bị an toàn điện phải làm cho thang nâng dừng lại (xem 4.8.9).
4.7.3.2.1.3 Đường kính danh nghĩa của dây cáp ít nhất phải là 6 mm.
4.7.3.2.1.4 Các đặc tính của dây cáp ít nhất phải tương ứng với các đặc tính quy định trong (ISO 2408:2017).
4.7.3.2.1.5 Hệ số an toàn của dây cáp/xích treo ở chế độ hoạt động bình thường và cả trong lắp đặt, và tháo dỡ tối thiểu phải là:
a) Tám (8) trong trường hợp truyền động bằng tang trống;
b) Sáu (6) trong trường hợp truyền động bằng xích.
Hệ số an toàn là tỷ số giữa lực kéo đứt tối thiểu của dây cáp/xích và lực kéo tĩnh lớn nhất trong dây cáp/xích này.
4.7.3.2.1.6 Độ bền của cố định đầu cáp không được nhỏ hơn 80 % lực kéo đứt tối thiểu của dây cáp. Trong trường hợp cố định đầu cáp trên tang, phải đảm bảo hệ số làm việc bằng 2,5 lần lực căng cáp tính toán lớn nhất, phải có 2 vòng cáp giảm tải được cuốn và không bao giờ được nhả ra khỏi tang.
Phải sử dụng một trong các các biện pháp cố định đầu cáp an toàn dưới đây:
| a) ống côn được đổ đầy kim loại hoặc chất dẻo |
|
| b) vòng lót và bện đầu cáp |
|
| c) vòng lót và đầu cáp được cố định bằng ống hợp kim nhôm ép |
|
| d) cố định đầu cáp bằng chêm |
|
| e) tấm kẹp với các vòng cáp giảm tải trên tang |
|
Hình 17 - Cố định đầu cáp
Các loại cố định đầu cáp có thể làm hỏng cáp như bu lông vòng kiểu chữ U sẽ không được sử dụng cho mục đích này.
4.7.3.2.1.7 Dây cáp phải được mạ kẽm hoặc được phủ bằng hợp chất bảo vệ thích hợp để chống ăn mòn.
4.7.3.2.1.8 Tỉ số giữa đường kính của puly hoặc tang và đường kính danh nghĩa của dây cáp ít nhất phải là 20.
4.7.3.2.2 Yêu cầu về puly cáp và đĩa xích
Các puly phải thỏa mãn các yêu cầu sau:
- Các rãnh puly phải có biên dạng tròn với bán kính không lớn hơn 7,5 % và không nhỏ hơn 5 % so với một nửa đường kính danh nghĩa của dây cáp. Chiều sâu rãnh không được nhỏ hơn 1,5 lần đường kính danh nghĩa của dây cáp;
- Puly có dây cáp vòng lên phía trên phải được bảo vệ chống lại sự xâm nhập của các vật thể từ bên ngoài;
- Phải thực hiện các biện pháp phòng ngừa hiệu quả để tránh dây cáp tuột khỏi rãnh của chúng;
- Góc lệch của cáp so với mặt phẳng vuông góc với trục puly không được vượt quá 2,5 °.
Các đĩa xích phải thỏa mãn các yêu cầu sau:
- Hệ số an toàn của đĩa xích ít nhất phải là 6 trong trường hợp truyền động bằng xích;
- Đĩa xích có xích vòng lên phía trên phải được bảo vệ chống sự xâm nhập của các vật thể từ bên ngoài;
- Phải thực hiện các biện pháp phòng ngừa hiệu quả để tránh xích tuột khỏi đĩa xích và đè lên đầu răng đĩa xích.
4.7.3.2.3 Yêu cầu của tang dẫn
Khi nhả cáp, phải luôn có ít nhất hai vòng cáp còn lại trên tang.
Hai đầu tang phải có gờ với chiều cao so với bề mặt lớp cáp ngoài cùng ít nhất bằng hai lần đường kính cáp.
Tang phải có rãnh cáp.
Góc lệch của dây cáp so với các rãnh không được vượt quá 4 °.
Rãnh cáp phải tuân theo các yêu cầu sau:
a) Đường bao của rãnh phải tròn trên một cung không nhỏ hơn 120 ° và có bán kính không lớn hơn 7,5 % và không nhỏ hơn 5 % so với một nửa đường kính danh nghĩa của dây cáp;
b) Độ sâu của rãnh không được nhỏ hơn một phần ba đường kính danh nghĩa của dây cáp;
c) Bước rãnh cáp ít nhất phải bằng 1,15 lần đường kính cáp.
4.7.4 Hệ thống phanh
4.7.4.1 Mọi thang nâng phải được trang bị hệ thống phanh hoạt động tự động trong trường hợp mất nguồn cung cấp cho các mạch điều khiển điện hoặc thủy lực.
4.7.4.2 Hệ thống phanh phải có ít nhất một phanh cơ điện hoặc cơ thủy lực (loại ma sát), ngoài ra có thể có các loại phanh khác (ví dụ phanh điện).
4.7.4.3 Không được sử dụng phanh đai.
4.7.4.4 Các bộ phận mà phanh tác động lên phải có liên kết chắc chắn với tang, đĩa xích hoặc bánh răng dẫn động. Không được sử dụng dây đai và dây xích.
4.7.4.5 Bản thân (các) phanh phải có khả năng dừng bàn nâng từ tốc độ danh nghĩa theo chiều hạ với 1,25 lần tải danh nghĩa (xem 4.6.3.5). Ngoài ra, chỉ riêng (các) phanh phải có khả năng dừng bàn nâng với tải danh nghĩa khi đang di chuyển ở tốc độ kích hoạt của bộ khống chế vượt tốc.
4.7.4.6 Tất cả lò xo của (các) phanh tham gia tạo lực phanh trên bánh phanh hoặc đĩa phanh phải được thiết kế và lắp đặt sao cho trong trường hợp một trong các lò xo bị hỏng thì vẫn đủ lực phanh để dừng bàn nâng mang tải danh nghĩa.
4.7.4.7 Tác động của phanh phải do lò xo nén. Lò xo phải được gá lắp phù hợp và không được chịu tải vượt quá 80 % giới hạn đàn hồi xoắn của vật liệu.
4.7.4.8 Trong trường hợp phanh cơ điện, sự ngắt dòng điện phải là loại 3 theo EN ISO 13849-1:2015 được thực hiện bởi ít nhất hai thiết bị điện độc lập, có hoặc không tích hợp với những thiết bị gây ra sự gián đoạn của dòng điện cung cấp cho dẫn động thang nâng. Các thiết bị này phải phù hợp với 4.8.6.
Nếu một trong các thiết bị chưa ngắt nguồn cung cấp cho phanh trong khi thang nâng đang dừng thì chuyển động tiếp theo phải được ngăn chặn chậm nhất là ở lần thay đổi hướng chuyển động tiếp theo.
4.7.4.9 Phanh phải hoạt động hiệu quả ngay sau khi mở nguồn cung cấp cho bộ phận nhả phanh (việc sử dụng điốt hoặc tụ điện nối trực tiếp với các cực của cuộn dây phanh không được coi là phương tiện làm trễ phanh).
4.7.4.10 Phải trang bị các chi tiết để điều chỉnh phanh khi các bề mặt ma sát bị mòn.
4.7.4.11 Tất cả các phanh phải có thể nhả bằng tay và yêu cầu phải giữ liên tục khi phanh mở.
4.7.4.12 Mômen phanh danh nghĩa thông qua tính toán phải chứng tỏ có khả năng giữ tĩnh ít nhất 2,5 kN/m2 phân bố trên toàn bộ diện tích sàn (như mô tả trong 4.2.2 e)).
4.8 Lắp đặt điện và thiết bị điện
4.8.1 Quy định chung
Việc lắp đặt điện và thiết bị điện phải hoàn toàn tuân theo EN 60204-1:2018.
Ngoài ra, đối với các bộ phận điện tử, phải xem xét đến nhiệt độ môi trường sử dụng như nhà sản xuất đã nêu.
4.8.2 Bảo vệ sự cố về điện
4.8.2.1 Bất kỳ lỗi nào sau đây được đề cập trong thiết bị điện của thang nâng, nếu không thể loại bỏ nó trong các điều kiện được mô tả trong 4.8.2.2, tự nó không được là nguyên nhân gây ra tình huống nguy hiểm cho thang nâng.
Các lỗi dự kiến:
a) Không có và mất điện áp:
b) Giảm điện áp.
c) Lỗi cách điện liên quan đến bộ phận bằng kim loại hoặc nền đất;
d) Ngắn mạch hoặc hở mạch, thay đổi giá trị hoặc chức năng trong một bộ phận điện như điện trở, tụ điện, bóng bán dẫn, đèn;
e) Không có lực hút hoặc lực hút không đủ đối với phần ứng chuyển động của công tắc tơ hoặc rơ le;
f) Không tách rời phần ứng chuyển động của công tắc tơ hoặc rơ le;
g) Không mở tiếp điểm;
h) Không đóng tiếp điểm.
4.8.2.2 Các tiếp điểm an toàn phải đáp ứng các yêu cầu của EN 60947-5-1:2017, Khoản 3.
CHÚ THÍCH: Do vậy không cần xem xét việc không mở tiếp điểm.
4.8.2.3 Không thể khởi động máy trong trường hợp đảo pha hoặc hỏng một pha của nguồn cung cấp. Điều này đạt được nhờ một thiết bị an toàn tuân theo 4.8.6.
4.8.2.4 Trong trường hợp một pha của nguồn cung cấp cho thiết bị điều khiển đảo chiều nâng hạ bị hỏng, máy sẽ dừng hoặc ít nhất sẽ không đạt được tốc độ kích hoạt của bộ giới hạn vượt tốc. Điều này đạt được nhờ một thiết bị an toàn tuân theo 4.8.6.
4.8.2.5 Mạch điều khiển phải được thiết kế để tránh tình huống nguy hiểm do động cơ thang nâng hoạt động như một máy phát điện.
4.8.2.6 Phải dừng máy ngay lập tức khi các bộ phận bằng kim loại hoặc mạch điện có thiết bị an toàn điện bị nối đất. Chỉ người được phép mới có thể đưa hoạt động bình thường trở lại.
4.8.3 Bảo vệ trước các tác động từ bên ngoài
Mọi thiết bị điện phải được bảo vệ trước các tác động có hại hoặc nguy hiểm từ bên ngoài và các vật thể rơi (ví dụ như mưa, tuyết, vữa, bụi). Cấp bảo vệ (xem EN 60529:1991) tối thiểu phải là IP 65 đối với thiết bị điều khiển di động, IP 54 đối với tủ điều khiển, công tắc và các bộ phận điện của phanh, IP 44 đối với động cơ và IP 23 đối với phanh cơ điện.
4.8.4 Hệ thống dây điện
Tất cả các dây cáp điện và hệ thống dây điện cho thang nâng phải được bố trí và lắp đặt sao cho chúng không bị hư hỏng cơ học. Cần chú ý đặc biệt đến cáp điện treo trên bàn nâng liên quan đến độ bền của cáp và ảnh hưởng của khí hậu.
Để tránh việc cắm sai, phải sử dụng các phích cắm và ổ cắm điện có mã hóa cơ học theo EN 60204-1:2018, 13.4.5.
4.8.5 Công tắc tơ, rơ le-công tắc tơ
Công tắc tơ chính cho động cơ AC hoặc DC phải thuộc loại sử dụng tối thiểu là AC-3 hoặc DC-3 theo EN IEC 60947-44-1:2019.
Rơ le-công tắc tơ được sử dụng để vận hành công tắc tơ chính ít nhất phải tương ứng với loại AC-15 để điều khiển nam châm điện xoay chiều và DC-13 để điều khiển nam châm điện một chiều theo EN 60947-5-1:2017.
Đối với cả công tắc tơ chính và rơ le-công tắc tơ có thể giả định rằng, trong quá trình thực hiện các biện pháp tuân theo 4.8.2.1:
a) Nếu một trong các tiếp điểm “ngắt” (thường đóng) bị đóng, tất cả các tiếp điểm “nối” (thường mở) sẽ mở và;
b) Nếu một trong các tiếp điểm “nối” (thường mở) bị đóng, tất cả các tiếp điểm “ngắt” (thường đóng) sẽ mở.
4.8.6 Thiết bị an toàn điện
4.8.6.1 Trong tiêu chuẩn, bất cứ điều nào tham chiếu đến điều khoản phụ này, các bộ phận liên quan đến an toàn của hệ thống điều khiển (SRP/CS) thực hiện chức năng an toàn liên quan phải đạt được mức đáp ứng (theo ISO 13849-1:2015) được quy định trong Bảng B.1.
4.8.6.2 Việc xác định các chức năng an toàn và Mức đáp ứng trong 4.8.6.1 được quy định trong ISO 13849-2:2012.
4.8.6.3 Chỉ có thể bỏ qua một cách an toàn một chức năng an toàn nào đó được liệt kê trong Bảng B.1 bằng cách sử dụng một thiết bị riêng biệt có cùng mức đáp ứng hoặc tốt hơn. Bảng 7 cho thấy chức năng nào có thể bỏ qua và làm như thế nào. Nếu cần bỏ qua thêm thì việc này cũng được thực hiện theo cách tương tự.
Việc bỏ qua phải tuân thủ các quy tắc sau:
a) Có thể khóa bằng chìa khóa hoặc cắm điều khiển từ xa vào;
b) Chỉ di chuyển theo hướng an toàn;
c) Bộ điều khiển không duy trì.
Bảng 7 - Bỏ qua các chức năng an toàn
| Điều | Chức năng an toàn | Bỏ qua trong quá trình | Chuyển động được phép |
| 4.6.2.4 | Ngăn chuyển động bình thường sau khi kích hoạt bộ hãm an toàn vượt tốc | - Thử nghiệm bộ hãm an toàn vượt tốc - Hoạt động nâng hạ khẩn cấp | lên |
| 4.6.3.1 | Ngăn chuyển động bình thường sau khi có sự can thiệp của thiết bị quá tải | - Thử nghiệm bộ hãm an toàn vượt tốc | lên và xuống |
| 4.8.8.1 | Kiểm tra bàn nâng dừng ở tầng dừng cao nhất và thấp nhất (công tắc dừng đầu cuối) | - Thử nghiệm bộ hãm an toàn vượt tốc | lên và xuống |
| 4.8.8.2 | Kiểm tra việc dừng bàn nâng trước khi có bất kỳ tiếp xúc nào với giảm chấn hoặc điểm dừng cơ khí (công tắc cuối hành trình) | - Thử nghiệm bộ hãm an toàn vượt tốc | lên và xuống |
| - Hoạt động nâng hạ khẩn cấp | lên |
4.8.6.4 Trong quá trình hoạt động, bất kỳ thiết bị an toàn điện nào được liệt kê trong Phụ lục A phải ngăn cản chuyển động của máy hoặc dừng ngay lập tức theo chức năng dừng Loại 0 được nêu trong EN 60204-1:2018, ngoại trừ công tắc giới hạn cuối hành trình phía trên được phép di chuyển xa hơn theo 4.8.8.2.1 và ngoại trừ các thiết bị và cách hoạt động theo 4.8.6.3.
Các thiết bị an toàn điện phải:
a) bao gồm một hoặc nhiều tiếp điểm an toàn thỏa mãn 4.8.7 trực tiếp cắt nguồn cung cấp cho công tắc tơ nêu trong 4.8.12.1 hoặc các rơ le-công tắc tơ của chúng hoặc các thiết bị điện được đề cập trong 4.8.12.2, hoặc
b) một mạch an toàn theo EN 81-20:2020, 5.11.2 là một phần của chuỗi an toàn.
4.8.6.5 Không có thiết bị điện nào được phép nối song song với tiếp điểm an toàn điện ở trạng thái hoạt động bình thường. Thiết bị phát hiện quá tải có thể được nối tắt khi khởi động động cơ.
4.8.6.6 Các bộ phận điều khiển các thiết bị an toàn điện phải được chế tạo để chúng có thể hoạt động tốt dưới tác động cơ học do hoạt động bình thường liên tục. Không được phép làm cho các thiết bị an toàn điện không hoạt động bằng các phương tiện đơn giản (cầu nối không được coi là phương tiện đơn giản).
4.8.7 Công tắc an toàn
4.8.7.1 Các công tắc an toàn phải đáp ứng EN 60947-5-1:2017 và trong trường hợp khoá liên động chúng phải tuân theo các yêu cầu của ISO 14119:2013.
4.8.7.2 Các công tắc an toàn phải đáp ứng 4.8.3 và phải được trang bị loại có điện áp cách điện danh nghĩa ít nhất là 250 V.
Công tắc an toàn phải theo loại AC-15 cho mạch AC hoặc DC-13 cho mạch DC như được định nghĩa trong EN 60947-5-1:2017.
4.8.7.3 Các công tắc an toàn điện phải đóng vai trò cung cấp điện cho máy phù hợp với các yêu cầu của 4.8.12.
Khi các rơ le-công tắc tơ được sử dụng vừa để điều khiển động cơ, vừa truyền trực tiếp công suất điện thì chúng được coi là thiết bị điều khiển trực tiếp cung cấp nguồn cho động cơ để khởi động và dừng.
4.8.8 Công tắc giới hạn hành trình
4.8.8.1 Công tắc dừng đầu cuối
Phải trang bị công tắc dừng đầu cuối để tự động dừng bàn nâng từ tốc độ danh nghĩa ở tầng dừng cao nhất và thấp nhất trước khi tiếp xúc với công tắc giới hạn cuối hành trình. Bộ phận này phải là một thiết bị an toàn tuân theo 4.8.6.
4.8.8.2 Các công tắc giới hạn cuối hành trình
4.8.8.2.1 Phải trang bị một công tắc giới hạn cuối hành trình ở cuối đường chạy phía trên bàn nâng. Các công tắc này phải hoạt động ngắt nguồn điện trước khi bàn nâng tiếp xúc với bất kỳ chốt chặn cơ khí nào, ví dụ: giảm chấn. Sau khi kích hoạt công tắc giới hạn cuối hành trình, cho phép thực hiện chuyển động bàn nâng đi xuống nhưng chuyển động đi lên của bàn nâng chỉ được thực hiện khi có sự can thiệp của người được phép.
4.8.8.2.2 Phải trang bị một công tắc giới hạn hành trình ở cuối đường chạy phía dưới bàn nâng. Công tắc này sẽ ngắt nguồn điện để bàn nâng không tác động vào giảm chấn. Sau khi kích hoạt công tắc giới hạn hành trình ở cuối đường chạy phía dưới, các chuyển động tiếp theo của bàn nâng chỉ được thực hiện khi có sự can thiệp của người được phép.
4.8.8.2.3 Công tắc giới hạn cuối hành trình không được phép kích hoạt bằng cùng các phương tiện để kích hoạt công tắc dừng đầu cuối.
4.8.8.2.4 Các công tắc giới hạn cuối hành trình phải được vận hành trực tiếp bằng chuyển động của bàn nâng hoặc các bộ phận liên quan. Bộ phận này phải là một thiết bị an toàn tuân theo 4.8.6.
4.8.8.2.5 Không cần trang bị công tắc giới hạn hành trình ở cuối đường chạy phía trên của bàn nâng nếu đáp ứng tất cả các yêu cầu sau:
a) Tải danh nghĩa từ 300 kg trở xuống;
b) Sử dụng bộ điều khiển không duy trì;
c) Công tắc dừng đầu cuối phù hợp với EN 60947-5-1:2017;
d) Việc di chuyển lên phía trên của bàn nâng được giới hạn bởi một giảm chấn theo 4.4.3.
4.8.8.3 Công tắc dừng ở vị trí 2 m
Thang nâng có rào chắn bảo vệ thấp theo 4.5.2.2 phải trang bị công tắc dừng phù hợp với EN 60947-5-1:2017. Công tắc này phải là một thiết bị an toàn tuân theo 4.8.6.
4.8.8.4 Công tắc phát hiện cột
Phải trang bị một công tắc giới hạn cho các thang nâng vận chuyển hàng để phát hiện sự hiện diện của các đoạn cột nằm phía trên bộ truyền động trong khi di chuyển ở chế độ lắp đặt. Nếu đoạn cột không được phát hiện, việc di chuyển lên cao hơn nữa của máy sẽ bị ngăn lại. Công tắc này phải là một thiết bị an toàn tuân theo 4.8.6.
4.8.9 Thiết bị chống chùng cáp/xích
Thang nâng truyền động bằng cáp và xích phải có thiết bị chống chùng cáp/xích. Thiết bị phải kết hợp với một công tắc chống chùng cáp/xích, công tắc này sẽ ngắt mạch điều khiển theo hướng di chuyển xuống của bàn nâng. Công tắc này có thể có chức năng như là một công tắc dừng đầu cuối phía dưới. Công tắc này cũng có thể sử dụng như một công tắc giới hạn cuối hành trình nếu phù hợp với 4.8.6.
Thiết bị chống chùng cáp/xích phải tuân theo EN 60947-5-1:2017.
4.8.10 Thiết bị phục vụ lắp đặt
Vị trí chính xác của bất kỳ thiết bị nào phục vụ lắp đặt trong quá trình vận chuyển thang nâng, cả trong quá trình hoạt động bình thường và trong quá trình lắp đặt, tháo dỡ và chăm sóc bảo dưỡng phải được bố trí ngay trong giai đoạn thiết kế hoặc được kiểm soát bằng thiết bị an toàn điện theo 4.8.6. Các thiết bị phục vụ lắp đặt như vậy phải bao gồm thiết bị để nâng các đoạn cột, phần kết cấu mở rộng được sử dụng để tiếp cận khi lắp đặt các giằng cột, v.v.
4.8.11 Thiết bị dừng
4.8.11.1 Phải trang bị một thiết bị dừng để dừng và duy trì thang nâng ở trạng thái không hoạt động tại các vị trí dưới đây:
a) Phía ngoài rào chắn bao quanh thang nâng:
b) Trong buồng puly, nếu có;
c) Tại bảng điều khiển chính;
d) Tại thiết bị điều khiển cho lắp đặt/bảo dưỡng/kiểm tra.
Các thiết bị dừng ở a) và b) phải là thiết bị dừng phù hợp với ISO 14118:2018 và chức năng của chúng phải được ghi nhãn rõ ràng.
Các thiết bị dừng ở c), d) phải là thiết bị dừng khẩn cấp phù hợp với ISO 13850:2015, Loại 0.
4.8.11.2 Các thiết bị dừng phải bao gồm các thiết bị an toàn điện phù hợp với 8.4.6.
4.8.12 Dừng máy
4.8.12.1 Việc dừng máy do hoạt động của thiết bị an toàn điện phải đạt được bằng cách ngắt nguồn cung cấp cho động cơ (loại 3 theo ISO 13849-1:2015) bằng một trong hai cách sau:
a) Bản thân thiết bị an toàn điện. Thiết bị này phải là một thiết bị an toàn tuân theo 4.8.6; hoặc
b) Hai công tắc tơ độc lập. Các tiếp điểm của chúng phải mắc nối tiếp trong mạch nguồn.
4.8.12.2 Nếu trong khi thang nâng đứng yên, một trong các công tắc tơ trong 4.8.12.1 chưa mở các tiếp điểm chính, thì chuyển động tiếp theo của bàn nâng phải được ngăn chặn muộn nhất là ở lần thay đổi hướng chuyển động tiếp theo. Việc giám sát việc mở công tắc tơ của động cơ phải là một thiết bị an toàn phù hợp với 4.8.6.
4.8.13 Chế độ điều khiển
4.8.13.1 Hoạt động bình thường
4.8.13.1.1 Thang nâng có thể được điều khiển từ mặt đất cũng như từ các tầng dừng.
4.8.13.1.2 Tất cả các điều khiển, ngoại trừ dừng khẩn cấp, phải được thiết kế theo cách mà chúng chỉ có thể được kích hoạt bằng một thao tác thủ công có chủ đích.
4.8.13.1.3 Trong chế độ hoạt động bình thường, không thể điều khiển chuyển động của thang nâng từ các thiết bị điều khiển được lắp đặt trên bàn nâng.
4.8.13.2 Vận hành khi lắp đặt, tháo dỡ và bảo trì
4.8.13.2.1 Các thao tác điều khiển trong quá trình lắp đặt, tháo dỡ và bảo trì chỉ thực hiện được từ bàn nâng.
4.8.13.2.2 Trong các hoạt động lắp đặt, tháo dỡ và bảo trì, tốc độ lớn nhất của bàn nâng không được vượt quá 0,7 m/s và chuyển động của bàn nâng phải phụ thuộc vào tất cả các thiết bị an toàn như trong chế độ hoạt động bình thường, trừ các trường hợp ngoại lệ sau:
a) Trong trường hợp công tắc giới hạn cuối hành trình và công tắc dừng đầu cuối phía trên không hoạt động, trong trường hợp này các phương tiện bảo vệ chống vượt quá hành trình sẽ tự động thay thế, ví dụ: sẽ được thực hiện bằng một công tắc điện (xem thêm 4.6.1);
b) Các mạch chuyển mạch cửa tầng dừng có thể được nối tắt.
4.8.13.2.3 Phải trang bị thiết bị điều khiển trên bàn nâng cho các hoạt động lắp đặt, tháo dỡ và bảo trì. Thiết bị này bao gồm:
a) Một công tắc bảo trì/kiểm tra phải đáp ứng các yêu cầu đối với thiết bị an toàn điện theo 4.8.6, phải có tính ổn định, có thể khóa được và phải vô hiệu hóa tất cả các tín hiệu điều khiển khác với tín hiệu từ trạm điều khiển bảo trì/kiểm tra trên bàn nâng. Việc trở lại hoạt động bình thường của thang nâng sẽ chỉ được thực hiện bởi công tắc bảo trì/kiểm tra này;
b) Các thiết bị điều khiển không duy trì được thiết kế theo cách mà chúng chỉ có thể được kích hoạt bằng một thao tác thủ công có chủ ý và với chiều chuyển động được chỉ dẫn rõ ràng;
c) Các thiết bị dừng khẩn cấp theo 4.8.11.
Nếu thang nâng không yêu cầu phải có người vào bàn nâng cho mục đích lắp đặt, tháo dỡ hoặc bảo trì thì không cần thiết bị điều khiển bố trí trên bàn nâng.
4.9 Sự cố khi hoạt động
Phải trang bị các phương tiện sao cho khi mất nguồn điện hoặc hỏng bộ điều khiển, người được phép có thể hạ bàn nâng xuống, ví dụ: bằng cách nhả phanh của hệ thống dẫn động bằng thủ công. Phương tiện này phải được thiết kế theo cách chỉ có thể kích hoạt bằng một thao tác thủ công liên tục có chủ đích. Phải có tính năng chứng tỏ rằng phanh đã được sử dụng để hạ bằng thủ công. Bằng chứng này phải được duy trì cho đến khi các tính năng được đưa trở lại trạng thái như trước khi sử dụng phanh. Yêu cầu phải sử dụng một dụng cụ hoặc đặt lại chỉ báo để khôi phục lại các tính năng về trạng thái ban đầu.
5 Kiểm tra xác nhận các yêu cầu về an toàn và/hoặc các biện pháp bảo vệ/giảm thiểu rủi ro
5.1 Kiểm tra xác nhận thiết kế
Bảng 8 chỉ ra các phương pháp mà nhà sản xuất phải kiểm tra xác nhận các yêu cầu và biện pháp bảo vệ được mô tả trong Điều 4 đối với từng model mới của thang nâng cùng với sự tham chiếu đến các điều tương ứng trong tiêu chuẩn này. Các điều khoản phụ không được liệt kê trong bảng 8 được kiểm tra xác nhận là một phần của các điều khoản được trích dẫn. Ví dụ, điều khoản 4.2.2 được kiểm tra xác nhận như một phần của điều khoản 4.2. Tất cả các hồ sơ kiểm tra xác nhận thiết kế phải được nhà sản xuất lưu giữ.
Bảng 8 - Phương pháp kiểm tra xác nhận các yêu cầu và/hoặc biện pháp bảo vệ
| Điều | Yêu cầu về an toàn | Kiểm tra bằng quan sát a | Kiểm tra/ Thử nghiệm b | Đo đạc c | Bản vẽ/ Tính toán d | Thông tin người dùng e | |
| 4.1 | Xem xét thiết kế |
|
|
|
|
| |
| 4.2 | Tổ hợp tải trọng và tính toán |
|
|
|
|
| |
| 4.2.1 | Quy định chung |
|
|
|
|
| |
| 4.2.6 | Phương pháp tính toán kiểm tra |
|
|
|
|
| |
| 4.2.7 | Ổn định |
|
|
|
|
| |
| 4.2.8 | Phân tích ứng suất mỏi |
|
|
|
|
| |
| 4.3 | Khung cơ sở |
|
|
|
|
| |
| 4.3.1 | Thiết kế |
|
|
|
|
| |
| 4.3.2 | Các thiết bị đỡ |
|
|
|
|
| |
| 4.3.3 | Các thiết bị đỡ có thể điều chỉnh |
|
|
|
|
| |
| 4.4 | Cột, giằng cột và giảm chấn |
|
|
|
|
| |
| 4.4.1 | Kết cấu dẫn hướng và cột |
|
|
|
|
| |
| 4.4.1.1 | Dẫn hướng cứng |
|
|
|
|
| |
| 4.4.1.2 | Thiết kế |
|
|
|
|
| |
| 4.4.1.3 | Kết nối cột |
|
|
|
|
| |
| 4.4.1.4 | Các chốt xoay |
|
|
|
|
| |
| 4.4.1.5 | Các chi tiết truyền động |
|
|
|
|
| |
| 4.4.2 | Giằng cột |
|
|
|
|
| |
| 4.4.3 | Giảm chấn |
|
|
|
|
| |
| 4.4.3.1 | Giảm chấn dưới |
|
|
|
|
| |
| 4.4.3.2 | Gia tốc hãm theo chiều xuống |
|
|
|
|
| |
| 4.4.3.3 | Giảm chấn trên |
|
|
|
|
| |
| 4.4.3.4 | Gia tốc hãm theo chiều lên |
|
|
|
|
| |
| 4.4.3.5 | Giảm chấn dầu |
|
|
|
|
| |
| 4.5 | Bảo vệ hành lang di chuyển bàn nâng |
|
|
|
|
| |
| 4.5.1 | Quy định chung |
|
|
|
|
| |
| 4.5.2 | Rào chắn bảo vệ tại sàn cơ sở |
|
|
|
|
| |
| 4.5.3 | Tiếp cận tầng dừng |
|
|
|
|
| |
| 4.5.4 | Vật liệu |
|
|
|
|
| |
| 4.5.5 | Khóa cửa |
|
|
|
|
| |
| 4.5.6 | Khoảng cách |
|
|
|
|
| |
| 4.6 | Bàn nâng |
|
|
|
|
| |
| 4.6.1 | Quy định chung |
|
|
|
|
| |
| 4.6.2 | Bộ hãm an toàn vượt tốc phòng rơi bàn nâng |
|
|
|
|
| |
| 4.6.3 | Thiết bị phát hiện quá tải |
|
|
|
|
| |
| 4.7 | Cơ cấu dẫn động |
|
|
|
|
| |
| 4.7.1 | Quy định chung |
|
|
|
|
| |
| 4.7.2 | Rào chắn bảo vệ |
|
|
|
|
| |
| 4.7.3 | Hệ thống treo |
|
|
|
|
| |
| 4.7.4 | Hệ thống phanh |
|
|
|
|
| |
| 4.8 | Lắp đặt điện |
|
|
|
|
| |
| 4.8.1 | Quy định chung |
|
|
|
|
| |
| 4.8.2 | Sự cố điện |
|
|
|
|
| |
| 4.8.3 | Ảnh hưởng bên ngoài |
|
|
|
|
| |
| 4.8.4 | Dây điện |
|
|
|
|
| |
| 4.8.5 | Công tắc tơ, Rơ le- công tắc tơ |
|
|
|
|
| |
| 4.8.6 | Thiết bị an toàn điên |
|
|
|
|
| |
| 4.8.7 | Công tắc an toàn |
|
|
|
|
| |
| 4.8.8.1 | Công tắc dừng đầu cuối |
|
|
|
|
| |
| 4.8.9 | Thiết bị chống chùng cáp/xích |
|
|
|
|
| |
| 4.8.10 | Thiết bị phục vụ lắp đặt |
|
|
|
|
| |
| 4.8.11 | Thiết bị dừng |
|
|
|
|
| |
| 4.8.12 | Dừng máy |
|
|
|
|
| |
| 4.8.13 | Chế độ điều khiển |
|
|
|
|
| |
| 4.9 | Sự cố khi hoạt động |
|
|
|
|
| |
| a Kiểm tra bằng quan sát được sử dụng để xác minh các chức năng cần thiết cho yêu cầu bằng cách kiểm tra trực quan các thành phần được cung cấp. b Kiểm tra/thử nghiệm để xác minh rằng các chức năng được cung cấp thực hiện chức năng của chúng theo cách đáp ứng yêu cầu. c Phép đo xác minh bằng cách sử dụng các dụng cụ đáp ứng các yêu cầu theo các giới hạn quy định. d Bản vẽ/tính toán xác minh rằng các đặc điểm thiết kế của các bộ phận được cung cấp đáp ứng các yêu cầu. e Xác minh rằng điểm liên quan được đề cập trong sổ tay hướng dẫn hoặc bằng ghi nhãn. | |||||||
5.2 Các thử nghiệm bộ hãm an toàn vượt tốc và bộ khống chế vượt tốc
5.2.1 Các quy định chung
Bộ hãm an toàn vượt tốc và bộ khống chế vượt tốc tương thích của nó phải được thử nghiệm kết hợp cùng hệ thống treo và hệ thống dẫn hướng khi làm việc ở chế độ hoạt động bình thường.
5.2.2 Phương pháp thử nghiệm
5.2.2.1 Các thử nghiệm phải được tiến hành ở tốc độ kích hoạt của bộ khống chế vượt tốc do sản xuất quy định.
5.2.2.2 Tổng số thử nghiệm lặp lại không được ít hơn 30. Ít nhất phải có:
a) Mười (10) thử nghiệm với tải danh nghĩa, có sự tham gia của cơ cấu dẫn động;
b) Năm (5) thử nghiệm với bàn nâng không có tải, có sự tham gia của cơ cấu dẫn động;
c) Năm (5) thử nghiệm với tải bằng 1,3 lần tải danh nghĩa, có sự tham gia của cơ cấu dẫn động;
d) Năm (5) thử nghiệm với tải danh nghĩa, cơ cấu dẫn động không hoạt động;
e) Năm (5) thử nghiệm với tải bằng 1,3 lần tải danh nghĩa, cơ cấu dẫn động không hoạt động.
5.2.2.3 Phải thực hiện các phép đo trực tiếp hoặc gián tiếp sau:
a) Tổng chiều cao của quãng đường rơi;
b) Chiều dài quãng đường phanh;
c) Tốc độ kích hoạt của bộ khống chế vượt tốc;
d) Gia tốc hãm là một hàm của thời gian.
5.2.2.4 Phải kiểm tra những nội dung dưới đây:
a) Gia tốc hãm phải phù hợp với 4.6.2.3;
b) Tốc độ kích hoạt tối đa tuân theo 4.6.2.10;
c) Không có vết nứt hoặc biến dạng;
d) Trong trường hợp bộ khống chế vượt tốc điều khiển bằng dây cáp, lực căng dây cáp phải tuân theo 4.6.2.12.
5.2.3 Báo cáo thử nghiệm
Báo cáo phải có các nội dung sau:
a) Tên người kiểm tra, ngày thử nghiệm;
b) Loại và ứng dụng của bộ hãm an toàn vượt tốc và bộ khống chế vượt tốc;
c) (Các) Loại và (các) kiểu của (các) thang nâng;
d) Giới hạn của tổng khối lượng cho phép đối với bộ hãm an toàn vượt tốc, bao gồm cả tác động của lực quán tính;
e) Các giới hạn của tốc độ kích hoạt đối với bộ khống chế vượt tốc;
f) Trong trường hợp bộ khống chế vượt tốc điều khiển bằng dây cáp, đường kính của dây được sử dụng, cấu tạo của nó, lực căng dây mà bộ khống chế vượt tốc có thể tạo ra khi bị kích hoạt và lực căng tối thiểu nếu sử dụng ròng rọc ma sát.
5.3 Kiểm tra xác nhận cho từng thang nâng trước khi sử dụng lần đầu
Nhà sản xuất phải thực hiện hoặc đã thực hiện các thử nghiệm tĩnh và động để đảm bảo rằng thang nâng đã được sản xuất và lắp đặt đúng cách nhằm kiểm tra sự đầy đủ và hoạt động bình thường của tất cả các thiết bị được cung cấp. Các thử nghiệm này có thể được thực hiện tại cơ sở của nhà sản xuất hoặc của đại diện được ủy quyền của họ hoặc tại nơi sử dụng.
Đặc biệt, các điều dưới đây phải được xác minh và ghi lại trong báo cáo thử nghiệm:
a) Hoạt động bình thường của tất cả các công tắc hành trình;
b) Hoạt động bình thường của tất cả các bộ điều khiển;
c) Chức năng của bộ hãm an toàn vượt tốc trong giới hạn quy định;
d) Kích hoạt thiết bị phát hiện quá tải từ 1,0 đến 1,2 lần tải danh nghĩa;
e) Quãng đường phanh của hệ thống phanh trong giới hạn quy định;
f) Sự hoạt động bình thường của khóa cửa;
g) Thử động:
h) Có thiết bị phát hiện quá tải: thử ở 1,25 lần tải danh nghĩa;
i) Không có thiết bị phát hiện quá tải: thử ở 1,5 lần tải danh nghĩa;
j) Thử nghiệm điện theo quy định trong EN 60204-32:2008;
k) Báo cáo thử nghiệm nêu chi tiết các thử nghiệm tĩnh và động được thực hiện bởi nhà chế tạo hoặc đại diện ủy quyền của họ (xem thêm 6.1.2.7).
6 Thông tin sử dụng
6.1 Sổ tay hướng dẫn
6.1.1 Thông tin tổng quát
Mỗi thang nâng phải có một sổ tay hướng dẫn kèm theo phù hợp với ISO 12100:2010, 6.4.5.
6.1.2 Nội dung của sổ tay hướng dẫn
6.1.2.1 Quy định chung
Nhà sản xuất và/hoặc đại diện được ủy quyền phải cung cấp phải cung cấp cho người sử dụng một cuốn sổ tay hướng dẫn ít nhất có các thông tin dưới đây:
6.1.2.2 Thông tin chung
a) Tên và địa chỉ của nhà sản xuất hoặc đại diện được ủy quyền;
b) Nước sản xuất;
c) Ký hiệu kiểu loại;
d) Dãy số sê-ri mà sổ tay hướng dẫn có hiệu lực;
e) Các dấu hiệu an toàn và dấu hiệu cảnh báo trên máy và ý nghĩa của chúng;
f) Tất cả các bộ phận (các đoạn cột, cửa tầng dừng, thanh giằng cột, hệ thống điều khiển, v.v.) được thiết kế để sử dụng trong việc lắp đặt thang nâng;
g) Nội dung của hướng dẫn không chỉ đề cập đến mục đích sử dụng thang nâng mà còn phải tính đến mọi trường hợp sử dụng sai mục đích có thể lường trước được một cách hợp lý.
6.1.2.3 Thông tin về công suất và thiết kế
a) Tải làm việc;
b) Tốc độ danh nghĩa;
c) Chiều cao đứng độc lập cho phép lớn nhất ở trạng thái làm việc và không làm việc;
d) Chiều cao nâng lớn nhất khi không có giằng cột;
e) Chiều cao nâng lớn nhất khi có giằng cột;
f) Khoảng cách giữa các giằng cột;
g) Khoảng nhô ra phía trên của cột;
h) Tốc độ gió cho phép lớn nhất trong quá trình lắp đặt và tháo dỡ;
i) Tốc độ gió cho phép lớn nhất khi hoạt động;
j) Tốc độ gió lớn nhất phải ngừng hoạt động; vùng gió thiết kế (xem 4.2.2), sự thay đổi khoảng cách các giằng cột, v.v., phải được chỉ rõ tương ứng với từng vùng gió;
k) Các giới hạn về môi trường như phạm vi nhiệt độ;
Phải cung cấp thông tin một cách đầy đủ trong sổ tay hướng dẫn để người dùng có thể lấy các thông tin đó cho mỗi lần lắp đặt.
6.1.2.4 Kích thước và trọng lượng
a) Chiều cao từ mặt đất đến bàn nâng khi nó ở tầng dừng dưới cùng trên mặt bằng cơ sở;
b) Kích thước bên trong của bàn nâng (dài x rộng x cao);
c) Đoạn cột: kích thước;
d) Đoạn cột: trọng lượng:
e) Kích thước và trọng lượng cơ bản của các cụm (khung cơ sở, (các) đoạn cột, bàn nâng và cụm dẫn động);
f) Diện tích tối thiểu cần thiết để lắp đặt.
6.1.2.5 Dữ liệu nguồn điện
a) Công suất - bộ dẫn động (kW);
b) Điện áp/tần số nguồn điện (V/Hz);
c) Điện áp/tần số điện điều khiển (V/Hz);
d) Dòng điện khởi động lớn nhất (A);
e) Công suất tiêu thụ lớn nhất (kW);
f) Công suất nguồn tối thiểu (kVA);
g) Cầu chì nguồn cung cấp chính và kiểu (A);
h) Ổ cắm cho dụng cụ cầm tay - điện áp và dòng điện (V, A).
6.1.2.6 Thiết bị an toàn
a) Loại thiết bị an toàn (ví dụ: bộ hãm an toàn vượt tốc, công tắc dừng đầu cuối và hạn chế hành trình, công tắc cửa tầng dừng);
b) Thiết bị an toàn bổ sung để lắp đặt, tháo dỡ và bảo trì;
c) Thiết bị hạ thấp khẩn cấp.
6.1.2.7 Thông tin kỹ thuật bổ sung
a) Các mối liên kết bu lông của cột (đường kính bu lông, chất lượng bu lông, mô men siết, tiêu chí thay thế, các hạn chế có thể có liên quan đến việc sử dụng bu lông cường độ cao ứng suất trước);
b) Áp lực nền tùy thuộc vào cấu hình của thang nâng;
c) Bố trí giằng cột và các lực tác động lên kết cấu đỡ đối với mỗi vùng gió;
d) Lực từ các hoạt động chất và dỡ hàng khi dừng tại các tầng dừng;
e) Sự cần thiết phải bảo vệ liên quan đến các khu vực nguy hiểm quanh thang nâng;
f) Thông tin liên quan đến bất kỳ điểm nâng nào;
g) Dữ liệu về dây cáp;
h) Có tính đến tác động của bất kỳ yếu tố nào làm tăng đáng kể diện tích gió;
i) Xem xét bất kỳ tác động nào làm tăng đáng kể tốc độ gió, ví dụ: nhà cao tầng liền kề;
j) Quy trình vận chuyển đến và đi;
k) Đối với các thiết bị dùng để thao tác tải phục vụ lắp đặt, phải cung cấp thông tin về mục đích sử dụng, giới hạn sử dụng, hướng dẫn lắp đặt, sử dụng và bảo dưỡng, hệ số thử nghiệm tĩnh được sử dụng.
l) Báo cáo thử nghiệm nêu chi tiết các thử nghiệm tĩnh và động.
6.1.2.8 Hướng dẫn lắp đặt và tháo dỡ (nội dung tối thiểu)
6.1.2.8.1 Khoảng trống
6.1.2.8.1.1 Khoảng trống quanh thang nâng
a) Nếu khoảng cách an toàn giữa bất kỳ điểm tiếp cận nào và bất kỳ bộ phận chuyển động lân cận nào của thang nâng nhỏ hơn 0,85 m (0,5 m nếu tốc độ danh định không lớn hơn 0,7 m/s) thì bảo vệ hành lang di chuyển bàn nâng phải tuân theo ISO 13857:2019, Bảng 1 và phải cao tối thiểu 2,0 m hoặc mở rộng toàn bộ chiều cao từ sàn đến trần nhà ở nơi nhỏ hơn 2 m.
- Nếu khoảng cách an toàn từ 0,85 m trở lên (0,5 m trở lên nếu tốc độ danh nghĩa không vượt quá 0,7 m/s) thì phải bố trí rào chắn cố định (tay vịn, tay vịn trung gian và tấm chắn chân) có chiều cao tối thiểu là 1,1 m.
6.1.2.8.1.2 Khoảng trống phía trên bàn nâng
Đối với thang nâng có công tắc giới hạn cuối hành trình phía trên phải cung cấp đủ các thanh dẫn hướng ở đầu trên của thang nâng để tránh bàn nâng di chuyển vượt quá giới hạn ra ngoài. Khoảng vượt giới hạn ít nhất phải là:
a) 0,5 m đối với thang nâng dẫn động bằng cáp hoặc xích;
b) 0,15 m đối với thang nâng dẫn động bằng bánh răng.
Khoảng vượt giới hạn được tính từ vị trí hoạt động của công tắc giới hạn cuối hành trình của thang nâng.
Đối với tốc độ danh nghĩa lớn hơn 0,85 m/s, khoảng vượt giới hạn khi này phải tăng thêm 0,1 mv2 (v là tốc độ danh nghĩa, tính bằng mét trên giây (m/s)).
Khi bàn nâng đã di chuyển qua khoảng vượt giới hạn phía trên, khoảng trống tự do phía trên của thang nâng phải ít nhất là 1,8 m. Ngoài ra, bất kỳ bộ phận hoặc thiết bị nào liên quan và nằm phía trên bàn nâng phải có khoảng trống tự do phía trên của chúng không nhỏ hơn 0,3 m.
6.1.2.8.2 Nền móng
Thông tin phải được cung cấp để có thể chuẩn bị địa điểm cho thang nâng phù hợp và chịu được tất cả các lực tác động. Khung cơ sở và kết cấu cột phải được đỡ bởi một nền móng có thể chịu tất cả các lực và mômen như mô tả trong 4.2.
6.1.2.8.3 Lắp đặt và tháo dỡ
Các hướng dẫn ít nhất phải bao gồm các điều sau đây:
a) Chỉ những người được phép mới được lắp đặt và tháo dỡ thang nâng;
b) Việc đấu nối thang nâng với nguồn điện phải do người được phép thực hiện phù hợp với quy định của địa phương;
c) Khuyến nghị sử dụng thiết bị bảo vệ chống rò điện;
d) Vận chuyển thang nâng đến công trình xây dựng;
e) Lắp đặt các đoạn cột và giằng cột, bao gồm thông tin liên quan đến việc sử dụng đúng các bu lỏng (đường kính, chất lượng, mômen siết);
f) Khuyến nghị về việc nâng hạ các bộ phận nặng;
g) Lắp đặt và các yêu cầu an toàn đối với rào chắn bảo vệ tại sàn cơ sở và cửa tầng dừng, các yêu cầu này phải được bố trí trên rào chắn bảo vệ hành lang di chuyển bàn nâng tại mọi điểm tiếp cận;
h) Chiếu sáng các tầng dừng (phải có tuyên bố về việc nếu thang nâng được sử dụng trong điều kiện thiếu ánh sáng thì phải cung cấp đủ ánh sáng tại khu vực tòa nhà để chiếu sáng các tầng dừng trên toàn bộ chiều cao di chuyển của thang nâng);
i) Thử nghiệm thang nâng sau khi đã hoàn thành lắp đặt. Thử nghiệm phải bao gồm các yêu cầu tối thiểu sau:
1) Nhận dạng thang nâng;
2) Kiểm tra chức năng của:
i. Hệ thống dẫn động và phanh;
ii. Hạn chế hành trình;
iii. Cửa bàn nâng và cửa tầng dừng;
iv. Thiết bị phát hiện quá tải;
v. Các khe hở;
j) Thang nâng phải được thử động trên toàn bộ hành trình với tải làm việc trên bàn nâng theo quy định của nhà chế tạo;
k) Bộ hãm an toàn vượt tốc của bàn nâng phải được thử động theo quy định của nhà chế tạo;
l) Phương pháp tháo dỡ.
6.1.2.9 Hướng dẫn vận hành và sử dụng
Sổ tay hướng dẫn phải có một phần riêng về hướng dẫn vận hành cung cấp cho người sử dụng thang nâng thông tin rõ ràng về vận hành an toàn và các yêu cầu tối thiểu đối với việc đào tạo nhân viên vận hành cũng như hướng dẫn cho những người làm công tác xếp dỡ hàng.
Cần phải có hướng dẫn chi tiết liên quan đến:
a) Mục đích sử dụng;
b) Yêu cầu không được vận chuyển người trong quá trình hoạt động;
c) Hoạt động của cửa tầng dừng và cửa bàn nâng;
d) Chất tải của bàn nâng và các hạn chế có thể có liên quan đến vị trí chất tải, phân bố tải và việc giữ tải;
e) Sử dụng các bánh xe phù hợp với những khoảng trống có thể có;
f) Không có các phần của tải nhô ra khỏi bàn nâng;
g) Người vận hành phải đảm bảo cửa của rào chắn bảo vệ có chiều cao thấp được đóng lại;
h) Điều khiển thang nâng ở độ cao dưới 2 m:
1) Đối với rào chắn bảo vệ có đủ chiều cao: cho phép người được tiếp cận vào khu vực và đã được hướng dẫn;
2) Đối với rào chắn bảo vệ có chiều cao thấp: chỉ cho phép người được người quản lý chỉ định tiếp cận;
i) Điều khiển thang nâng ở độ cao trên 2 m;
j) Tầm nhìn của hành lang di chuyển thang nâng không bị cản trở;
k) Điều kiện môi trường, ví dụ: tốc độ gió tối đa cho phép thang nâng làm việc;
l) Chiếu sáng các cầu thang (cần lưu ý khi thang nâng vận chuyển hàng được sử dụng trong điều kiện ánh sáng kém thì phải cung cấp một hệ thống chiếu sáng tại vị trí thích hợp để chiếu sáng các tầng dừng trên toàn bộ chiều cao di chuyển của thang nâng).
6.1.2.10 Quy trình khẩn cấp
Cần có một phần riêng cung cấp tất cả các thông tin cần thiết cho những người được phép, liên quan đến việc xử lý các trường hợp khẩn cấp như:
a) Bộ điều khiển đặc biệt;
b) Các thiết bị an toàn, ví dụ: công tắc hành trình, bộ hãm an toàn vượt tốc;
c) Xử lý khi có sự cố;
d) Sơ đồ mạch;
6.1.2.11 Kiểm tra và bảo dưỡng thường xuyên
Sổ tay hướng dẫn phải quy định rõ tần suất kiểm tra, thử nghiệm và bảo dưỡng thường xuyên tùy thuộc vào yêu cầu của nhà sản xuất, điều kiện vận hành và tần suất sử dụng. Phải cung cấp các thông tin chi tiết về các đối tượng cần kiểm tra và khả năng sử dụng của chúng.
Sổ tay hướng dẫn cũng phải có nội dung của sổ nhật ký nếu nó không được cung cấp kèm theo thang nâng.
Phải nêu rõ các bộ phận nào có thể bị mài mòn và các tiêu chí để thay thế, ví dụ: ISO 4309:2017 đối với việc thay thế dây cáp. Sổ tay hướng dẫn phải có một phần đề cập đến việc thử nghiệm chi tiết liên quan đến bền mỏi (xem thêm 4.2.8.1).
6.2 Ghi nhãn
Nhà sản xuất phải cung cấp thông tin sau trên một hoặc nhiều nhãn được cố định chắc chắn ở vị trí dễ thấy trên thang nâng, phù hợp với ISO 12100:2010, 6.4.4.
a) Bảng tên;
1) Tên và địa chỉ của nhà sản xuất hoặc đại diện được ủy quyền của họ;
2) Ký hiệu kiểu;
3) Số sê-ri;
4) Năm sản xuất;
5) Tải danh nghĩa (kg);
6) Trọng lượng của khung cơ sở;
7) Tốc độ danh nghĩa.
b) Nhãn nhận dạng phần cột hoặc phần dẫn hướng: Mỗi đoạn cột hoặc bộ phận dẫn hướng riêng lẻ phải được gắn mã nhận dạng hoặc số sê-ri để xác định ngày sản xuất. Thanh răng phải được đánh dấu bằng một số nhận dạng hoặc số sê-ri riêng.
c) Nhãn thông tin cơ bản cho người dùng;
1) Chiều cao cột;
2) Phần nhô ra phía trên của cột;
3) Các mối nối cột liên kết bằng bu lông (đường kính bu lông, chất lượng bu lông, mô men siết);
4) Nguồn điện (thiết bị chống rò điện);
5) Vận hành ở trạng thái cột đứng độc lập;
6) Khoảng trống an toàn;
7) Bản phác thảo các thanh giằng cột và khoảng cách giữa các thanh giằng;
8) Vị trí bàn nâng ở trạng thái không làm việc;
9) Việc tuân thủ các hướng dẫn vận hành;
d) Gắn nhãn trên bàn nâng;
1) Tải danh nghĩa;
2) Không được phép vận chuyển người;
3) Chỉ những người được hướng dẫn mới được phép sử dụng thang nâng;
4) Các giới hạn liên quan đến vị trí chất tải và phân bố tải;
5) Hướng dẫn hạ thấp bằng thủ công.
e) Nhãn ở mặt đất: Chỉ vận hành bởi những người được chỉ định.
f) Nhãn ở tầng dừng: Chỉ những người được hướng dẫn mới có quyền tiếp cận.
g) Nhãn ở bộ khống chế vượt tốc;
1) Tên và địa chỉ cơ sở sản xuất;
2) Tốc độ kích hoạt;
3) Năm sản xuất và số sê-ri.
h) Nhãn trên động cơ;
1) Tên và địa chỉ cơ sở sản xuất;
2) Ký hiệu kiểu động cơ;
3) Năm sản xuất và số sê-ri.
i) Ghi nhãn cho các bộ phận điều khiển (tất cả các bộ phận điều khiển phải được ghi nhãn rõ ràng, khuyến khích việc mô tả bằng tượng hình).
Phụ lục A
(quy định)
Mức đáp ứng cho các thiết bị an toàn
Bảng A.1 - Mức đáp ứng của thiết bị an toàn
| Điều | Mô tả chức năng an toàn | Mức đáp ứng nhỏ nhất theo ISO 13849-1:2015 |
| 4.5.5.1 | Khoá liên động và khoá cửa tầng dừng có chiều cao đầy đủ. | c |
| 4.5.5.2 | Khoá liên động và khoá cửa tầng dừng giảm chiều cao giảm. | c |
| 4.6.1.4.3 4.6.1.4.4 | Giám sát trạng thái đóng của cửa bàn nâng. | b |
| 4.6.1.4.5 | Khoá liên động và khoá cửa bàn nâng. | c |
| 4.6.2.4 | Ngăn chặn chuyển động bình thường sau khi kích hoạt bộ an toàn vượt tốc. | b |
| 4.6.3.1 | Ngăn chặn chuyển động bình thường sau khi có sự can thiệp của thiết bị phát hiện quá tải. | b |
| 4.7.4.8 | Đóng phanh bằng cách ngắt dòng điện cấp cho phanh. | c |
| 4.8.2.3, 4.8.2.4 | Ngăn chặn chuyển động bình thường trong trường hợp đảo ngược pha hoặc phát hiện lỗi pha. | a |
| 4.8.8.1 | Bàn nâng dừng ở tầng dừng cao nhất và thấp nhất (công tắc dừng đầu cuối). | a |
| 4.8.8.2 | Bàn nâng dừng trước khi tiếp xúc với giảm chấn hoặc hoặc thiết bị dừng cơ học (công tắc giới hạn cuối hành trình). | b |
| 4.8.8.3 | Bàn nâng dừng ở vị trí 2 m. | b |
| 4.8.8.4 | Ngăn chặn chuyển động đi lên trong trường hợp không phát hiện thấy cột. | b |
| 4.8.9 | Ngăn chặn chuyển động đi xuống trong trường hợp thiết bị chùng cáp/xích bị kích hoạt. | a |
| 4.8.10 | Ngăn chặn chuyển động trong trường hợp sai vị trí của các phụ kiện phục vụ lắp đặt. | b |
| 4.8.11.1 a), b) | Bàn nâng dừng sau khi kích hoạt thiết bị dừng theo ISO 14118:2018. | c |
| 4.8.11.1 c), d) | Bàn nâng dừng sau khi kích hoạt thiết bị dừng khẩn cấp theo ISO 14118:2018. | c |
| 4.8.12.1 | Bàn nâng dừng do nguồn điện cung cấp cho động cơ bị ngắt | c |
| 4.8.12.2 | Ngăn chặn chuyển động của bàn nâng trong trường hợp các tiếp điểm chính không mở | c |
Phụ lục B
(tham khảo)
Danh mục các mối nguy đáng kể
Điều này bao gồm tất cả các mối nguy đáng kể, các tình huống nguy hiểm và các trường hợp nguy hiểm được đề cập đến trong tiêu chuẩn. Chúng được nhận biết thông qua đánh giá rủi ro được coi là đáng kể cho từng loại máy, đồng thời yêu cầu phải có các biện pháp để loại bỏ hoặc giảm các rủi ro này.
Bảng B.1 được lập dựa trên cơ sở ISO 12100:2010 chỉ ra các mối nguy đáng kể đã được xác định và các điều, mục tương ứng trong tiêu chuẩn này nhằm hạn chế rủi ro hoặc các mối nguy này trong từng tình huống.
Bảng B.1 - Danh mục các mối nguy đáng kể
| Nhóm | Mối nguy đáng kể theo ISO 12100:2010, Bảng B.1 | Các điều, mục liên quan trong tiêu chuẩn |
| 1 | Mối nguy cơ học |
|
| 1.1 | Do các bộ phận máy hoặc phôi, ví dụ - bởi thế năng (vật rơi, độ cao so với mặt đất, trọng lực) | 4.5.1, 4.5.3, 4.6.1.1, 4.6.1.3 |
| Do độ bền cơ học (phá hủy) | 4.2-4.4, 6.1.2.3, 6.1.2.4, 6.1.2.7, 6.1.2.9 | |
| Do động năng (các bộ phận tăng tốc, giảm tốc, chuyển động tịnh tiến/quay) | 4.5.2, 4.5.3, 4.7.2, 6.1.2.8 | |
| 1.2 | Do tích trữ năng lượng, ví dụ - các phần tử đàn hồi (lò xo) | 4.7, 4.8, 4.8.6 |
| 1.5 | Cắt hoặc cắt đứt | 4.6.1.2, 4.6.1.3, 4.7.2, 6.1.2.8.1, 6.1.2.9 |
| 1.10 | Ma sát hoặc mài mòn | Không đề cập |
| 1.12 | Trượt, vấp và ngã | 4.6.1.1 - 4.6.1.3 |
| 1.13 | Mất ổn định | 4.1, 4.2 - 4.4, 6.1.2.3, 6.1.2.4, 6.1.2.7, 6.1.2.8.2, 6.1.2.8.3, 6.1.2.9 |
| 2 | Mối nguy điện |
|
| 2.1 | Chạm vào các bộ phận cơ thể | 4.8 |
| 4 | Mối nguy do tiếng ồn |
|
| 4.3 | Suy giảm sinh học (ví dụ: mất thăng bằng, mất nhận thức) | Không đề cập |
| 8 | Mối nguy ecgônômi |
|
| 8.1 | Tư thế không đúng hoặc cố gắng quá mức | Không đề cập |
| 8.2 | Xem xét không đầy đủ về giải phẫu | Không đề cập |
| 8.5 | Thiết kế hoặc sắp xếp hiển thị và các đơn vị hiển thị trực quan | 6.2 |
| 8.6 | Thiết kế, vị trí hoặc nhận dạng của các thiết bị điều khiển | 4.5.5.1, 4.5.5.2, 4.8.13, 4.9, 6.2 |
| 8.8 | Quá tải/quá tải về tinh thần | Không đề cập |
| 8.9 | Lỗi do con người trong quá trình vận hành | Không đề cập |
| 9 | Mối nguy liên quan đến môi trường sử dụng máy |
|
| 9.1 | Sét | Không đề cập |
| 10 | ||
| 10.1 | Hỏng/rối loạn hệ thống điều khiển và mạch điều khiển | 4.5.5.1, 4.5.5.2, 4.6.1.4.3 - 4.6.1.4.5, 4.6.2.4, 4.6.3.1, 4.7.4, 4.8.1 - 4.8.12, 4.8.13.2.3, 6.1.2.8.3 |
| 10.2 | Sự cố nguồn điện | 4.7.4.1, 4.8.2, 6.1.2.6 |
| 12 | Mối nguy do: - Tổ hợp và lắp đặt; - Cài đặt; - Vệ sinh; - Tìm lỗi; - Bảo trì. |
|
| 12.1 | Bảo trì. | 4.5.6.2, 6.1.2.11 |
| 12.2 | Không đủ phương tiện tiếp cận trong quá trình sử dụng, cài đặt và bảo trì. | 4.1 |
| 12.3 | Vệ sinh bên trong máy. | Không đề cập |
| Bổ sung do vận hành nâng | ||
| 22 | Các mối nguy do rơi tải, va chạm, lật máy |
|
| 22.1 | Thiếu ổn định. | 4.1 - 4.4, 4.5.4, 6.1.2.8 |
| 22.2 | Tải mất kiểm soát, quá tải, vượt quá mô men tải. | 4.6.3, 5.3, 6.1.2.8.3 |
| 22.3 | Biên độ dịch chuyển không kiểm soát được. | 4.5.2, 4.6.2, 4.6.3, 4.8.5 - 4.8.13, 5.2, 6.1 |
| 22.8 | Trật bánh. | 4.1, 4.2.4, 4.3, 4.4.1, 4.4.2, 6.1.2.8 |
| 22.9 | Độ bền cơ học của các bộ phận không đủ. | 4.1, 4.2.4, 4.3 - 4.7, 6.1.2.8 |
| 22.10 | Thiết kế puly và tang không phù hợp. | 4.7.3 |
| 22.11 | Lựa chọn xích, cáp, thiết bị nâng và các phụ kiện không phù hợp và sự tích hợp của chúng vào máy không phù hợp. | 4.7.3 |
| 23 | Các mối nguy liên quan đến vị trí người lái/người vận hành | |
| 23.1 | Không đủ tầm nhìn từ vị trí người lái. | 4.6.1, 6.1.2 |
Thư mục tài liệu tham khảo
[1] QCVN 02:2022/BXD, Quy chuẩn kỹ thuật quốc gia về số liệu điều kiện tự nhiên dùng trong xây dựng.
[2] TCVN 4244:2005, Thiết bị nâng - Thiết kế, chế tạo và kiểm tra kỹ thuật.
[3] TCVN 13918-2:2024, Thang nâng xây dựng vận chuyển hàng - Phần 2: Thang nâng nghiêng với thiết bị mang tải không thể tiếp cận được.
[4] EN 81-3:2000+AI:2008, Safety rules for the construction and installation of lifts - Part3: Electric and hydraulic service lifts (Quy định về an toàn cho cấu tạo và lắp đặt thang máy - Phần 3: Thang máy phục vụ dẫn động điện và thủy lực).
[5] prEN 12159:2020, Builders hoists for persons and materials with vertically guided cages (Thang nâng xây dựng vận chuyển người và vật liệu bằng ca bin với dẫn hướng thẳng đứng).
[6] EN 16719:2018, Transport platforms (Sàn nâng).
[7] EN ISO 9001:2015, Quality management systems - Requirements (ISO 9001:2015) (Hệ thống quản lý chất lượng - Các yêu cầu).
[8] EN 13001-3-I:2012+A2:2018, Cranes - General Design - Part 3-1: Limit States and proof competence of steel structure (Cần trục - Thiết kế chung - Phần 3-1: Các trạng thái giới hạn và tính toán kết cấu thép).
[9] ISO 2394:2015, General principles on reliability for structures (Nguyên tắc chung về độ tin cậy cho kết cấu).
MỤC LỤC
Lời nói đầu
Lời giới thiệu
1 Phạm vi áp dụng
2 Tài liệu viện dẫn
3 Thuật ngữ và định nghĩa
4 Các yêu cầu an toàn và/hoặc các biện pháp bảo vệ/giảm thiểu rủi ro
5 Kiểm tra xác nhận các yêu cầu về an toàn và/hoặc các biện pháp bảo vệ/giảm thiểu rủi ro
6 Thông tin sử dụng
Phụ lục A (quy định) Mức đáp ứng cho các thiết bị an toàn
Phụ lục B (tham khảo) Danh mục các mối nguy đáng kể
Thư mục tài liệu tham khảo
1) Việt Nam hiện có TCVN 6396-3:2010 (EN81-3:2000) và TCVN 6396-20:2017 (EN 81-20:2014)
2) Đã có các phiên bản bổ sung: EN 1999-1-1:2007/A1:2009 và EN 1999-1-1:2007/A2:2013.
3) Đã có các phiên bản bổ sung: EN 60529:1991/sửa lỗi tháng 5 năm 1993, EN 60529:1991/A1:2000, EN 60529:1991/A2:2013, EN 60529:1991/AC:2016-02 và EN 60529:1991/A2:2013/AC:2019-02.
4) Việt Nam hiện mới có TCVN 10837:2015 (ISO 4309:2010).
5) Việt Nam hiện mới có TCVN 7383-1:2004 (ISO 12100-1:2003)
Bạn chưa Đăng nhập thành viên.
Đây là tiện ích dành cho tài khoản thành viên. Vui lòng Đăng nhập để xem chi tiết. Nếu chưa có tài khoản, vui lòng Đăng ký tại đây!



