- Tổng quan
- Nội dung
- VB gốc
- Tiếng Anh
- Hiệu lực
- VB liên quan
- Lược đồ
-
Nội dung hợp nhất
Tính năng này chỉ có tại LuatVietnam.vn. Nội dung hợp nhất tổng hợp lại tất cả các quy định còn hiệu lực của văn bản gốc và các văn bản sửa đổi, bổ sung, đính chính... trên một trang. Việc hợp nhất văn bản gốc và những văn bản, Thông tư, Nghị định hướng dẫn khác không làm thay đổi thứ tự điều khoản, nội dung.
Khách hàng chỉ cần xem Nội dung hợp nhất là có thể nắm bắt toàn bộ quy định hiện hành đang áp dụng, cho dù văn bản gốc đã qua nhiều lần chỉnh sửa, bổ sung.
- Tải về
Thông tư 13/2024/TT-BXD quy trình kỹ thuật kiểm kê khí nhà kính, báo cáo, thẩm định giảm nhẹ phát thải khí nhà kính
| Cơ quan ban hành: | Bộ Xây dựng |
Số công báo:
Số công báo là mã số ấn phẩm được đăng chính thức trên ấn phẩm thông tin của Nhà nước. Mã số này do Chính phủ thống nhất quản lý.
|
Đã biết
|
| Số hiệu: | 13/2024/TT-BXD | Ngày đăng công báo: |
Đã biết
|
| Loại văn bản: | Thông tư | Người ký: | Bùi Xuân Dũng |
|
Ngày ban hành:
Ngày ban hành là ngày, tháng, năm văn bản được thông qua hoặc ký ban hành.
|
20/12/2024 |
Ngày hết hiệu lực:
Ngày hết hiệu lực là ngày, tháng, năm văn bản chính thức không còn hiệu lực (áp dụng).
|
Đang cập nhật |
|
Áp dụng:
Ngày áp dụng là ngày, tháng, năm văn bản chính thức có hiệu lực (áp dụng).
|
Đã biết
|
Tình trạng hiệu lực:
Cho biết trạng thái hiệu lực của văn bản đang tra cứu: Chưa áp dụng, Còn hiệu lực, Hết hiệu lực, Hết hiệu lực 1 phần; Đã sửa đổi, Đính chính hay Không còn phù hợp,...
|
Đã biết
|
| Lĩnh vực: | Tài nguyên-Môi trường, Xây dựng |
TÓM TẮT THÔNG TƯ 13/2024/TT-BXD
Ngày 20/12/2024, Bộ Xây dựng ban hành Thông tư 13/2024/TT-BXD quy trình, quy định kỹ thuật kiểm kê khí nhà kính và đo đạc, báo cáo, thẩm định giảm nhẹ phát thải khí nhà kính ngành Xây dựng. Dưới đây là một số nội dung đáng chú ý:
1. Quy trình kiểm kê khí nhà kính được thực hiện theo trình tự các bước sau:
- Xác định phạm vi kiểm kê khí nhà kính.
- Xác định phương pháp thu thập số liệu hoạt động phục vụ kiểm kê khí nhà kính.
- Thu thập số liệu hoạt động phục vụ kiểm kê khí nhà kính.
- Lựa chọn hệ số trong tính toán phát thải khí nhà kính.
- Tính toán phát thải khí nhà kính.
- Kiểm soát chất lượng và đảm bảo chất lượng kiểm kê khí nhà kính.
- Đánh giá độ không chắc chắn kết quả kiểm kê khí nhà kính.
- Tính toán lại kết quả kiểm kê khí nhà kính.
- Xây dựng báo cáo kiểm kê khí nhà kính.
- Thẩm định và nộp kết quả kiểm kê khí nhà kính.
2. 04 bước đo đạc, báo cáo, thẩm định giảm nhẹ phát thải khí nhà kính gồm:
- Xây dựng kế hoạch giảm nhẹ phát thải khí nhà kính.
- Đo đạc kết quả thực hiện các biện pháp giảm nhẹ phát thải khí nhà kính.
- Báo cáo giảm nhẹ phát thải khí nhà kính.
- Thẩm định và nộp kết quả giảm nhẹ phát thải khí nhà kính.
3. 04 nguồn thu thập số liệu hoạt động phục vụ kiểm kê khí nhà kính cấp cơ sở gồm:
- Báo cáo thực hiện tiêu hao vật tư sản phẩm cho quá trình sản xuất đơn vị;
- Hoá đơn mua hàng, hợp đồng, cam kết của đơn vị cung cấp nguyên nhiên vật liệu;
- Phân tích của phòng thí nghiệm đạt chuẩn VILAS hoặc tương đương;
- Đồng hồ đo còn hiệu lực hiệu chỉnh và kiểm định.
Thông tư có hiệu lực kể từ ngày 05/02/2025.
Xem chi tiết Thông tư 13/2024/TT-BXD có hiệu lực kể từ ngày 05/02/2025
Tải Thông tư 13/2024/TT-BXD
|
BỘ XÂY DỰNG ___________ Số: 13/2024/TT-BXD |
CỘNG HÒA XÃ HỘI CHỦ NGHĨA VIỆT NAM Hà Nội, ngày 20 tháng 12 năm 2024 |
THÔNG TƯ
Quy trình, quy định kỹ thuật kiểm kê khí nhà kính và đo đạc, báo cáo,
thẩm định giảm nhẹ phát thải khí nhà kính ngành Xây dựng
___________
Căn cứ Luật Bảo vệ môi trường ngày 17 tháng 11 năm 2020;
Căn cứ Luật sửa đổi, bổ sung một số điều của Luật Xây dựng ngày 17 tháng 6 năm 2020;
Căn cứ Nghị định số 06/2022/NĐ-CP ngày 07 tháng 01 năm 2022 của Chính phủ quy định giảm nhẹ phát thải khí nhà kính và bảo vệ tầng ô-dôn;
Căn cứ Nghị định số 52/2022/NĐ-CP ngày 08 tháng 8 năm 2022 của Chính phủ quy định chức năng, nhiệm vụ, quyền hạn và cơ cấu tổ chức của Bộ Xây dựng;
Căn cứ Quyết định số 13/2024/QĐ-TTg ngày 13 tháng 8 năm 2024 của Thủ tướng Chính phủ ban hành danh mục lĩnh vực, cơ sở phát thải khí nhà kính phải thực hiện kiểm kê khí nhà kính (cập nhật);
Luật Xây dựng ngày 18 tháng 6 năm 2014;
Theo đề nghị của Vụ trưởng Vụ Khoa học công nghệ và môi trường;
Bộ trưởng Bộ Xây dựng ban hành Thông tư quy trình, quy định kỹ thuật kiểm kê phát thải khí nhà kính và đo đạc, báo cáo, thẩm định giảm nhẹ phát thải khí nhà kính ngành Xây dựng.
Chương I
QUY ĐỊNH CHUNG
Điều 1. Phạm vi điều chỉnh
Thông tư này hướng dẫn quy trình, quy định kỹ thuật kiểm kê khí nhà kính và đo đạc, báo cáo, thẩm định giảm nhẹ phát thải khí nhà kính cấp lĩnh vực và cơ sở thuộc phạm vi quản lý ngành Xây dựng.
Điều 2. Đối tượng áp dụng
1. Thông tư này áp dụng đối với các đối tượng sau đây:
a) Các cơ sở thuộc Danh mục các cơ sở phát thải khí nhà kính phải thực hiện kiểm kê khí nhà kính thuộc ngành Xây dựng theo Quyết định số 13/2024/QĐ-TTg ngày 13 tháng 8 năm 2024 của Thủ tướng Chính phủ ban hành danh mục lĩnh vực, cơ sở phát thải khí nhà kính phải thực hiện kiểm kê khí nhà kính (cập nhật);
b) Các cơ quan, tổ chức, cá nhân liên quan đến hoạt động kiểm kê khí nhà kính, đo đạc, báo cáo, thẩm định giảm nhẹ phát thải khí nhà kính cấp lĩnh vực và cấp cơ sở thuộc ngành Xây dựng.
2. Khuyến khích các cơ sở sản xuất vật liệu xây dựng và tòa nhà không thuộc điểm a khoản 1 Điều này cung cấp thông tin phục vụ kiểm kê khí nhà kính, đo đạc, báo cáo, thẩm định giảm nhẹ phát thải khí nhà kính cấp lĩnh vực thuộc phạm vi quản lý ngành Xây dựng và áp dụng quy định tại Thông tư này.
Điều 3. Giải thích từ ngữ
Trong Thông tư này, các từ ngữ dưới đây được hiểu như sau:
1. Toà nhà là các tòa nhà thương mại, dịch vụ được nêu tại Quyết định số 13/2024/QĐ-TTg.
2. Phát thải khí nhà kính là hoạt động giải phóng khí nhà kính vào trong khí quyển.
3. Nguồn phát thải khí nhà kính là nơi xảy ra các quá trình vật lý, hóa học gây phát thải khí nhà kính hoặc các hoạt động sử dụng điện hoặc nhiệt trong sản xuất, vận hành có nguồn gốc liên quan đến nhiên liệu hoá thạch.
4. Số liệu hoạt động là số liệu định lượng của các loại nhiên liệu, vật chất sử dụng tại nguồn phát thải khí nhà kính.
5. Năm cơ sở là thời điểm quy định để thu thập số liệu hoạt động, tính toán mức phát thải khí nhà kính của quốc gia, lĩnh vực hoặc cơ sở.
6. VILAS là hệ thống công nhận phòng thử nghiệm, hiệu chuẩn của Việt Nam, phù hợp tiêu chuẩn ISO/IEC 17025:2005.
Điều 4. Yêu cầu kiểm kê khí nhà kính và đo đạc, báo cáo, thẩm định giảm nhẹ phát thải khí nhà kính
1. Yêu cầu về kiểm kê khí nhà kính và đo đạc, báo cáo, thẩm định giảm nhẹ phát thải khí nhà kính được quy định tại Thông tư này phải đảm bảo các yêu cầu được quy định tại khoản 1 Điều 10 và khoản 1 Điều 11 Nghị định số 06/2022/NĐ-CP ngày 07 tháng 01 năm 2022 của Chính phủ quy định giảm nhẹ phát thải khí nhà kính và bảo vệ tầng ô-dôn. Cụ thể như sau:
a) Đầy đủ: thực hiện kiểm kê khí nhà kính và đo đạc, báo cáo, thẩm định giảm nhẹ phát thải khí nhà kính đối với tất cả các nguồn phát thải khí nhà kính. Các số liệu thu thập liên tục, không gián đoạn và có giải trình khi có bổ sung, loại trừ so với quy định;
b) Nhất quán: thực hiện kiểm kê khí nhà kính và đo đạc, báo cáo, thẩm định giảm nhẹ phát thải khí nhà kính đảm bảo thống nhất về số liệu, chuỗi số liệu và phương pháp tính toán. Khi có sự thay đổi cần có báo cáo so sánh, đối chứng;
c) Minh bạch: thực hiện kiểm kê khí nhà kính và đo đạc, báo cáo, thẩm định giảm nhẹ phát thải khí nhà kính bao gồm các các tài liệu, dữ liệu giả định, số liệu hoạt động, các hệ số áp dụng, phương pháp tính toán được giải thích rõ ràng, trích dẫn nguồn và lưu giữ để đảm bảo độ tin cậy và tính chính xác cao;
d) Chính xác: tính toán kiểm kê khí nhà kính và đo đạc, báo cáo, thẩm định giảm nhẹ phát thải khí nhà kính đảm bảo độ tin cậy theo phương pháp luận lựa chọn và giảm tối đa các sai lệch.
2. Yêu cầu về thẩm định kết quả kiểm kê khí nhà kính và giảm nhẹ phát thải khí nhà kính được quy định tại Điều 9 Thông tư 01/2022/TT-BTNMT ngày 07 tháng 01 năm 2022 của Bộ trưởng Bộ Tài nguyên và Môi trường quy định chi tiết thi hành Luật Bảo vệ môi trường về ứng phó với biến đổi khí hậu.
Điều 5. Quy trình kiểm kê khí nhà kính
Quy trình kiểm kê khí nhà kính được thực hiện theo trình tự các bước sau:
1. Xác định phạm vi kiểm kê khí nhà kính.
2. Xác định phương pháp thu thập số liệu hoạt động phục vụ kiểm kê khí nhà kính.
3. Thu thập số liệu hoạt động phục vụ kiểm kê khí nhà kính.
4. Lựa chọn hệ số trong tính toán phát thải khí nhà kính.
5. Tính toán phát thải khí nhà kính.
6. Kiểm soát chất lượng và đảm bảo chất lượng kiểm kê khí nhà kính.
7. Đánh giá độ không chắc chắn kết quả kiểm kê khí nhà kính.
8. Tính toán lại kết quả kiểm kê khí nhà kính.
9. Xây dựng báo cáo kiểm kê khí nhà kính.
10. Thẩm định và nộp kết quả kiểm kê khí nhà kính.
Điều 6. Quy trình đo đạc, báo cáo, thẩm định giảm nhẹ phát thải khí nhà kính
Quy trình đo đạc, báo cáo, thẩm định giảm nhẹ phát thải khí nhà kính được thực hiện theo trình tự các bước sau:
1. Xây dựng kế hoạch giảm nhẹ phát thải khí nhà kính.
2. Đo đạc kết quả thực hiện các biện pháp giảm nhẹ phát thải khí nhà kính.
3. Báo cáo giảm nhẹ phát thải khí nhà kính.
4. Thẩm định và nộp kết quả giảm nhẹ phát thải khí nhà kính.
Chương II
QUY ĐỊNH KỸ THUẬT KIỂM KÊ KHÍ NHÀ KÍNH CẤP LĨNH VỰC
Điều 7. Xác định phạm vi kiểm kê khí nhà kính cấp lĩnh vực
1. Kiểm kê khí nhà kính cấp lĩnh vực cho các hoạt động sau:
a) Quá trình công nghiệp trong sản xuất vật liệu xây dựng (xi măng, vôi, kính xây dựng và vật liệu xây dựng khác);
b) Tiêu thụ năng lượng trong xây dựng (sản xuất vật liệu xây dựng và toà nhà).
2. Nguồn phát thải khí nhà kính từ quá trình công nghiệp trong sản xuất vật liệu xây dựng bao gồm phát thải từ quá trình nung nguyên liệu có chứa gốc cacbonat (-CO3).
3. Nguồn phát thải từ tiêu thụ năng lượng trong xây dựng bao gồm phát thải từ sử dụng nhiên liệu cho quá trình đốt nhiên liệu và sử dụng điện.
4. Thời gian thu thập số liệu hoạt động: từ ngày 01/01 đến ngày 31/12 của kỳ kiểm kê.
5. Loại khí nhà kính được kiểm kê: CO2, CH4, N2O.
Điều 8. Xác định phương pháp thu thập số liệu hoạt động phục vụ kiểm kê khí nhà kính cấp lĩnh vực
Phương pháp thu thập số liệu hoạt động, tính toán theo một trong 03 cách sau:
1. Từ trên xuống: Số liệu hoạt động của nguồn phát thải được tổng hợp từ số liệu thống kê và khảo sát của ngành. Tính toán phát thải khí nhà kính theo quy định tại Điều 11 của Thông tư này, lựa chọn hệ số phát thải theo quy định tại Điều 10 của Thông tư này.
2. Từ dưới lên: Số liệu hoạt động của nguồn phát thải được tổng hợp từ số liệu khảo sát, báo cáo hoạt động của tất cả các cơ sở thuộc phạm vi ngành. Tính toán phát thải khí nhà kính theo quy định tại Điều 21 của Thông tư này, lựa chọn hệ số phát thải theo quy định tại Điều 20 của Thông tư này.
3. Kết hợp: Số liệu hoạt động của nguồn phát thải được tổng hợp từ số liệu thống kê, khảo sát ngành và cơ sở. Tính toán theo quy định phù hợp với số liệu tổng hợp được.
Điều 9. Thu thập số liệu hoạt động phục vụ kiểm kê khí nhà kính cấp lĩnh vực
Số liệu hoạt động phục vụ kiểm kê khí nhà kính cấp lĩnh vực được thu thập như sau:
1. Thu thập số liệu theo biểu mẫu số XD01 và XD02 Phụ lục III ban hành kèm theo Thông tư này.
2. Thu thập và tổng hợp số liệu theo biểu mẫu từ các nguồn số liệu sau:
a) Số liệu từ cơ quan quản lý nhà nước về thống kê, Bộ Xây dựng, cơ quan chuyên môn về xây dựng thuộc Ủy ban nhân dân tỉnh, thành phố trực thuộc trung ương, tổ chức xã hội - nghề nghiệp hoạt động trong lĩnh vực xây dựng và các bộ ngành, cơ quan chuyên ngành liên quan khác…;
b) Số liệu nghiên cứu, báo cáo, quy định của Bộ Xây dựng, cơ quan chuyên môn về xây dựng thuộc Ủy ban nhân dân tỉnh, thành phố trực thuộc trung ương, tổ chức xã hội - nghề nghiệp hoạt động trong lĩnh vực xây dựng và các bộ ngành, cơ quan chuyên ngành liên quan khác được công bố trên các phương tiện thông tin đại chúng hoặc các kết quả đề tài, nhiệm vụ, dự án đã được nghiệm thu;
c) Số liệu nghiên cứu, khảo sát, phân tích, tổng hợp từ cơ sở sản xuất vật liệu xây dựng, tòa nhà thuộc danh mục kiểm kê khí nhà kính tại Quyết định số 13/2024/QĐ-TTg;
d) Số liệu nghiên cứu, khảo sát, phân tích, tổng hợp từ cơ sở sản xuất vật liệu xây dựng, tòa nhà thuộc danh mục sử dụng năng lượng trọng điểm của Thủ tướng Chính phủ;
e) Số liệu phân tích của phòng thí nghiệm đạt chuẩn VILAS hoặc tương đương.
3. Hồ sơ minh chứng nguồn gốc số liệu sử dụng cho tính toán kết quả kiểm kê khí nhà kính cấp lĩnh vực phải được lưu giữ để phục vụ hoạt động thẩm định.
Điều 10. Lựa chọn hệ số trong tính toán phát thải khí nhà kính cấp lĩnh vực
1. Sử dụng các hệ số nhiệt trị nhiên liệu quy định tại Phụ lục V ban hành kèm theo Thông tư này.
2. Sử dụng hệ số phát thải cấp lĩnh vực được quy định tại Phụ lục VI ban hành kèm theo Thông tư này và các hệ số phát thải thay thế, cập nhật do cơ quan nhà nước có thẩm quyền và Ban Liên Chính phủ về Biến đổi khí hậu ban hành. Hệ số phát thải lưới điện quốc gia áp dụng theo hệ số công bố của cơ quan nhà nước có thẩm quyền. Khi chưa có hệ số phát thải cập nhật, phải áp dụng hệ số của năm gần nhất.
3. Hệ số làm nóng lên toàn cầu được quy định tại Phụ lục VII ban hành kèm theo Thông tư này.
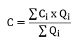
Điều 11. Tính toán phát thải khí nhà kính cấp lĩnh vực

|
EXD |
: Phát thải khí nhà kính cấp lĩnh vực, đơn vị tấn khí CO2 tương đương (viết tắt CO2tđ) |
|
ECN |
: Phát thải khí nhà kính từ quá trình công nghiệp trong sản xuất vật liệu xây dựng, tấn CO2tđ |
|
ENL |
: Phát thải khí nhà kính từ tiêu thụ năng lượng trong xây dựng, tấn CO2tđ |
2. Hoạt động kiểm kê khí nhà kính được quy định tại khoản 1 Điều 7 và mục 1.1 Phụ lục I ban hành kèm theo Thông tư này.
3. Nguồn phát thải được quy định tại khoản 2 và khoản 3 Điều 7 của Thông tư này.
4. Công thức tính cho từng nguồn phát thải được quy định tại mục 1.2 đến mục 1.8 Phụ lục I ban hành kèm theo Thông tư này.
Điều 12. Kiểm soát chất lượng, đảm bảo chất lượng kiểm kê khí nhà kính cấp lĩnh vực
1. Bộ Xây dựng thực hiện kiểm soát chất lượng kết quả kiểm kê khí nhà kính cấp lĩnh vực theo các nội dung sau:
a) Tính đầy đủ của nội dung báo cáo kiểm kê khí nhà kính theo quy định tại Điều 15 của Thông tư này;
b) Đáp ứng yêu cầu tại khoản 1 Điều 4 của Thông tư này.
2. Việc rà soát, đảm bảo chất lượng các nội dung được quy định tại khoản 1 Điều này được thực hiện bởi các đơn vị, cá nhân không tham gia vào quá trình kiểm kê khí nhà kính cấp lĩnh vực.
3. Các phát hiện, khuyến nghị trong quá trình kiểm soát chất lượng, đảm bảo chất lượng cần được lập thành báo cáo, làm cơ sở điều chỉnh kết quả kiểm kê và tham khảo cho quá trình xác minh, thẩm định.
Điều 13. Đánh giá độ không chắc chắn kết quả kiểm kê khí nhà kính cấp lĩnh vực
1. Độ không chắc chắn về kết quả kiểm kê khí nhà kính cấp lĩnh được thực hiện cho tất cả các nguồn phát thải khí nhà kính được kiểm kê để đưa ra các hoạt động ưu tiên giảm độ không chắc chắn trong các kỳ kiểm kê tiếp theo.
2. Phương pháp xác định độ không chắc chắn về kết quả kiểm kê được lựa chọn và thực hiện theo quy định tại Chương 3 Phần 1 Hướng dẫn của Ban Liên Chính phủ về Biến đổi khí hậu năm 2006 (IPCC 2006) và IPCC 2019 về kiểm kê khí nhà kính quốc gia.
Điều 14. Tính toán lại kết quả kiểm kê khí nhà kính cấp lĩnh vực
1. Tính toán lại kết quả kiểm kê phát thải khí nhà kính cấp lĩnh vực được thực hiện khi có yêu cầu nâng cao độ chính xác, minh bạch trong các trường hợp sau:
a) Có sự thay đổi về phương pháp tính toán phát thải, cải thiện độ chính xác của dữ liệu dẫn đến sự thay đổi đáng kể trong kết quả kiểm kê khí nhà kính gần nhất;
b) Có sự thay đổi về phạm vi kiểm kê;
c) Có sự thay đổi về nguồn và hệ số phát thải khí nhà kính.
2. Có bổ sung nội dung kết quả tính toán lại của kỳ kiểm kê trước vào Báo cáo kiểm kê khí nhà kính được tính toán của kỳ báo cáo.
Điều 15. Xây dựng báo cáo kiểm kê khí nhà kính cấp lĩnh vực
1. Báo cáo kết quả kiểm kê khí nhà kính cấp lĩnh vực theo mẫu số 05 Phụ lục II Nghị định số 06/2022/NĐ-CP.
2. Thời gian thực hiện báo cáo kiểm kê khí nhà kính cấp lĩnh vực theo quy định tại điểm a khoản 3 Điều 11 Nghị định số 06/2022/NĐ-CP.
Điều 16. Thẩm định và nộp kết quả kiểm kê khí nhà kính cấp lĩnh vực
1. Bộ Xây dựng chủ trì tổ chức thẩm định kết quả kiểm kê khí nhà kính cấp lĩnh vực theo quy định tại Điều 10 Thông tư số 01/2022/TT-BTNMT.
2. Bộ Xây dựng gửi báo cáo kết quả kiểm kê khí nhà kính cấp lĩnh vực đã được thẩm định về Bộ Tài nguyên và Môi trường theo quy định tại điểm a khoản 3 Điều 11 Nghị định số 06/2022/NĐ-CP.
Chương III
QUY ĐỊNH KỸ THUẬT KIỂM KÊ KHÍ NHÀ KÍNH CẤP CƠ SỞ
Điều 17. Xác định phạm vi kiểm kê khí nhà kính cấp cơ sở
1. Kiểm kê khí nhà kính cấp cơ sở được thực hiện với các nguồn phát thải sau đây:
a) Cơ sở sản xuất vật liệu xây dựng: Phát thải từ sử dụng nhiên liệu cho quá trình đốt, từ sử dụng điện mua vào và từ nung nguyên liệu có chứa gốc cacbonat (-CO3);
b) Toà nhà: Phát thải từ sử dụng nhiên liệu cho quá trình đốt, từ sử dụng điện mua vào và từ sử dụng thiết bị làm mát (điều hoà, tủ lạnh, tủ đông, chiller, bơm nhiệt…).
2. Ranh giới và phạm vi hoạt động của cơ sở: Tọa độ địa lý hành chính của cơ sở.
3. Thời gian thu thập số liệu hoạt động: từ ngày 01/01 đến ngày 31/12 của kỳ kiểm kê.
4. Loại khí nhà kính được kiểm kê: CO2, CH4, N2O.
Điều 18. Xác định phương pháp thu thập số liệu hoạt động phục vụ kiểm kê khí nhà kính cấp cơ sở
Cơ sở thực hiện thu thập số liệu hoạt động theo phương pháp sau:
1. Đo đạc, phân tích, tính toán thực tế tại doanh nghiệp.
2. Đo đạc, phân tích, tính toán của nhà cung cấp nguyên vật liệu.
Điều 19. Thu thập số liệu hoạt động phục vụ kiểm kê khí nhà kính cấp cơ sở
1. Thu thập số liệu theo biểu mẫu số CS01 và biểu mẫu số CS02 Phụ lục IV ban hành kèm theo Thông tư này.
2. Thu thập và tổng hợp số liệu theo biểu mẫu từ các nguồn số liệu sau:
a) Báo cáo thực hiện tiêu hao vật tư sản phẩm cho quá trình sản xuất đơn vị;
b) Hoá đơn mua hàng, hợp đồng, cam kết của đơn vị cung cấp nguyên nhiên vật liệu;
c) Phân tích của phòng thí nghiệm đạt chuẩn VILAS hoặc tương đương;
d) Đồng hồ đo còn hiệu lực hiệu chỉnh và kiểm định.
2. Cơ sở cung cấp hồ sơ, tài liệu minh chứng số liệu hoạt động để phục vụ hoạt động thẩm định khi có yêu cầu và chịu trách nhiệm về tính chính xác của số liệu báo cáo.
Điều 20. Lựa chọn hệ số trong tính toán phát thải khí nhà kính cấp cơ sở
1. Sử dụng giá trị nhiệt trị nhiên liệu được xác định thực tế tại cơ sở. Trong trường hợp không có sẵn số liệu thực tế, sử dụng hệ số được quy định tại mục 5.2 Phụ lục V ban hành kèm theo Thông tư này.
2. Sử dụng hệ số phát thải được quy định tại Phụ lục VI ban hành kèm theo Thông tư này. Cơ sở được phép sử dụng hệ số phát thải thay thế phù hợp với điều kiện thực tế và cần phải có tài liệu minh chứng. Hệ số phát thải lưới điện quốc gia áp dụng theo hệ số công bố của cơ quan nhà nước có thẩm quyền. Khi chưa có hệ số phát thải cập nhật, phải áp dụng hệ số của năm gần nhất.
3. Hệ số làm nóng lên toàn cầu được quy định tại Phụ lục VII ban hành kèm theo Thông tư này. Cơ sở cần lựa chọn, áp dụng hệ số tương đương với các hệ số làm nóng lên toàn cầu được sử dụng trong các báo cáo, thông báo quốc gia mới nhất.
Điều 21. Tính toán phát thải khí nhà kính cấp cơ sở

|
ECS |
: Phát thải khí nhà kính của cơ sở, tấn CO2tđ |
|
En |
: Phát thải khí nhà kính từ các nguồn phát thải, tấn CO2tđ |
2. Nguồn phát thải khí nhà kính cấp cơ sở được quy định tại khoản 1 Điều 17 của Thông tư này và mục 1.1 Phụ lục I ban hành kèm theo Thông tư này.
3. Công thức tính phát thải khí nhà kính đối với từng nguồn phát thải được quy định tại Phụ lục I ban hành kèm theo Thông tư này.
Điều 22. Kiểm soát chất lượng kiểm kê phát thải khí nhà kính cấp cơ sở
1. Quy trình kiểm soát chất lượng báo cáo kiểm kê khí nhà kính cấp cơ sở do cơ sở thực hiện theo hướng dẫn tại tiểu mục 6.1.2 Mục 6 Tiêu chuẩn quốc gia TCVN ISO 14064-1:2011 Phần 1: Quy định kỹ thuật và hướng dẫn để định lượng và báo cáo các phát thải và loại bỏ khí nhà kính ở cấp độ cơ sở.
2. Các phát hiện hạn chế về số liệu hoạt động, hệ số phát thải, kết quả tính toán phát thải trong quá trình kiểm soát chất lượng cần được tổng hợp trong báo cáo kết quả kiểm kê khí nhà kính cấp cơ sở, làm căn cứ để điều chỉnh kết quả kiểm kê và tham khảo cho quá trình xác minh, thẩm định.
Điều 23. Đánh giá độ không chắc chắn kết quả kiểm kê khí nhà kính cấp cơ sở
1. Đánh giá độ không chắc chắn kết quả kiểm kê khí nhà kính cấp cơ sở phải được thực hiện cho các nguồn phát thải khí nhà kính của cơ sở để đưa ra các hoạt động ưu tiên giảm độ không chắc chắn trong các kỳ kiểm kê tiếp theo.
2. Phương pháp xác định độ không chắc chắn về kết quả kiểm kê được lựa chọn và thực hiện theo quy định tại Chương 3 Phần 1 Hướng dẫn của Ban Liên Chính phủ về Biến đổi khí hậu năm 2006 (IPCC 2006) và IPCC 2019 về kiểm kê khí nhà kính quốc gia.
Điều 24. Tính toán lại kết quả kiểm kê khí nhà kính cấp cơ sở
1. Việc tính toán lại kết quả kiểm kê phát thải khí nhà kính cấp cơ sở nhằm nâng cao độ chính xác, minh bạch và được thực hiện trong các trường hợp sau:
a) Có sự thay đổi về phạm vi, ranh giới hoạt động dẫn tới thay đổi về các nguồn phát thải và số liệu hoạt động của cơ sở;
b) Có sự thay đổi về nguồn phát thải khí nhà kính do sự thay đổi quyền sở hữu, vận hành của cơ sở;
c) Có sự thay đổi trong phương pháp tính toán phát thải và áp dụng hệ số phát thải;
d) Có sự thay đổi, cập nhật số liệu hoạt động nhằm cải thiện độ chính xác của dữ liệu dẫn đến sự thay đổi trên 10% so với kết quả kiểm kê khí nhà kính đã được cơ sở báo cáo.
2. Cơ sở có trách nhiệm bổ sung nội dung tính toán lại kết quả kiểm kê khí nhà kính của kỳ kiểm kê trước vào trong Báo cáo kiểm kê khí nhà kính cấp cơ sở của kỳ báo cáo.
Điều 25. Xây dựng báo cáo kết quả kiểm kê khí nhà kính cấp cơ sở
1. Báo cáo kiểm kê khí nhà kính cấp cơ sở được thực hiện định kỳ theo quy định tại điểm b khoản 4 Điều 11 Nghị định số 06/2022/NĐ-CP.
2. Báo cáo kết quả kiểm kê khí nhà kính cấp cơ sở được thực hiện theo mẫu số 06 Phụ lục II Nghị định 06/2022/NĐ-CP.
3. Phát thải khí nhà kính từ đốt sinh khối phải được kiểm kê và khai báo riêng. Tổng phát thải khí nhà kính cấp cơ sở không bao gồm phát thải khí nhà kính từ đốt sinh khối.
Điều 26. Thẩm định và nộp kết quả kiểm kê khí nhà kính cấp cơ sở
1. Quy trình thẩm định kết quả kiểm kê khí nhà kính cấp cơ sở thực hiện theo quy định tại khoản 6 Điều 11 Nghị định số 06/2022/NĐ-CP và Điều 12 Thông tư số 01/2022/TT-BTNMT.
2. Cơ sở nộp báo cáo kết quả kiểm kê khí nhà kính theo quy định tại điểm b khoản 4 Điều 11 Nghị định số 06/2022/NĐ-CP.
3. Cơ sở hoàn thiện báo cáo kết quả kiểm kê khí nhà kính theo thông báo kết quả thẩm định và nộp báo cáo kết quả kiểm kê khí nhà kính theo quy định tại điểm c khoản 4 Điều 11 Nghị định số 06/2022/NĐ-CP và khoản 4 Điều 12 Thông tư số 01/2022/TT-BTNMT.
Chương IV
QUY ĐỊNH KỸ THUẬT ĐO ĐẠC, BÁO CÁO, THẨM ĐỊNH GIẢM NHẸ PHÁT THẢI KHÍ NHÀ KÍNH CẤP LĨNH VỰC
Điều 27. Xây dựng kế hoạch giảm nhẹ phát thải khí nhà kính cấp lĩnh vực
Việc đo đạc, báo cáo và thẩm định giảm nhẹ phát thải khí nhà kính căn cứ theo Kế hoạch giảm nhẹ phát thải khí nhà kính cấp lĩnh vực. Cụ thể:
1. Kế hoạch giảm nhẹ phát thải khí nhà kính cấp lĩnh vực thực hiện theo mẫu số 01 Phụ lục IV Nghị định 06/2022/NĐ-CP.
2. Kế hoạch giảm nhẹ phát thải khí nhà kính cấp lĩnh vực căn cứ vào khả năng thực hiện các biện pháp giảm nhẹ sau:
a) Các biện pháp được quy định tại mục 2.1 và mục 2.2 Phụ lục II ban hành kèm theo Thông tư này;
b) Các biện pháp về chính sách, thiết kế, thi công, quản lý, vận hành, tài chính khác.
Điều 28. Đo đạc kết quả thực hiện các biện pháp giảm nhẹ phát thải khí nhà kính cấp lĩnh vực

|
ERy |
: Mức giảm phát thải khí nhà kính, tấn CO2tđ |
|
ERy.k |
: Mức giảm phát thải khí nhà kính của biện pháp giảm nhẹ k, tấn CO2tđ |
2. Thu thập số liệu xác định mức giảm nhẹ của từng biện pháp được thực hiện tương ứng theo biểu mẫu từ XD03 đến XD11 Phụ lục III ban hành kèm Thông tư này.
3. Đo đạc, xác định kết quả thực hiện từng biện pháp giảm nhẹ phát thải khí nhà kính theo hướng dẫn tại Phụ lục II ban hành kèm theo Thông tư này.
Điều 29. Báo cáo giảm nhẹ phát thải khí nhà kính cấp lĩnh vực
1. Báo cáo giảm nhẹ phát thải khí nhà kính cấp lĩnh vực thực hiện theo quy định tại mẫu số 01 Phụ lục III Nghị định 06/2022/NĐ-CP.
2. Thực hiện báo cáo giảm nhẹ phát thải khí nhà kính cấp lĩnh vực theo quy định tại điểm b khoản 3 Điều 10 Nghị định số 06/2022/NĐ-CP.
Điều 30. Thẩm định giảm nhẹ phát thải khí nhà kính cấp lĩnh vực
1. Bộ Xây dựng chủ trì tổ chức thẩm định giảm nhẹ phát thải khí nhà kính cấp lĩnh vực theo quy định tại Điều 11 Thông tư số 01/2022/TT-BTNMT.
2. Bộ Xây dựng gửi báo cáo giảm nhẹ phát thải khí nhà kính cấp lĩnh vực theo quy định tại điểm b khoản 3 Điều 10 của Nghị định số 06/2022/NĐ-CP.
Chương V
KỸ THUẬT ĐO ĐẠC, BÁO CÁO, THẨM ĐỊNH GIẢM NHẸ PHÁT THẢI KHÍ NHÀ KÍNH CẤP CƠ SỞ
Điều 31. Xây dựng kế hoạch giảm nhẹ phát thải khí nhà kính cấp cơ sở
Việc đo đạc, báo cáo và thẩm định giảm nhẹ phát thải khí nhà kính căn cứ theo Kế hoạch giảm nhẹ phát thải khí nhà kính cấp cơ sở. Cụ thể:
1. Kế hoạch giảm nhẹ phát thải khí nhà kính cấp cơ sở được xây dựng theo mẫu số 02 Phụ lục IV Nghị định số 06/2022/NĐ-CP.
2. Cơ sở xác định kế hoạch giảm nhẹ phát thải khí nhà kính theo khả năng thực hiện các biện pháp giảm nhẹ được quy định tại mục 2.1 và mục 2.2 Phụ lục II ban hành kèm theo Thông tư này.
Điều 32. Đo đạc kết quả thực hiện các biện pháp giảm nhẹ phát thải khí nhà kính cấp cơ sở
1. Đo đạc kết quả thực hiện từng biện pháp giảm nhẹ phát thải khí nhà kính cấp cơ sở theo hướng dẫn tại Phụ lục II ban hành kèm theo Thông tư này.
2. Thu thập số liệu xác định mức giảm nhẹ của từng biện pháp được thực hiện tương ứng theo biểu mẫu CS03 đến CS11 Phụ lục IV ban hành kèm theo Thông tư này.
Điều 33. Báo cáo giảm nhẹ phát thải khí nhà kính cấp cơ sở
1. Báo cáo giảm nhẹ phát thải khí nhà kính cấp cơ sở được thực hiện định kỳ theo quy định tại điểm a khoản 3 Điều 10 Nghị định số 06/2022/NĐ-CP.
2. Cơ sở sản xuất vật liệu xây dựng thực hiện báo cáo giảm nhẹ phát thải khí nhà kính theo mẫu số 02 Phụ lục III Nghị định số 06/2022/NĐ-CP.
Điều 34. Thẩm định giảm nhẹ phát thải khí nhà kính cấp cơ sở
1. Cơ sở gửi báo cáo giảm nhẹ phát thải khí nhà kính cho đơn vị thực hiện thẩm định giảm nhẹ phát thải khí nhà kính được quy định tại điểm a khoản 3 Điều 10, Điều 14 Nghị định số 06/2022/NĐ-CP và khoản 4 Điều 13 Thông tư số 01/2022/TT-BTNMT.
2. Thẩm định giảm nhẹ phát thải khí nhà kính cấp cơ sở thực hiện theo quy trình được quy định tại Điều 13 Thông tư số 01/2022/TT-BTNMT.
3. Cơ sở hoàn thiện báo cáo giảm nhẹ phát thải khí nhà kính cấp cơ sở theo thông báo kết quả thẩm định và nộp báo cáo giảm nhẹ phát thải khí nhà kính theo quy định tại khoản 4 Điều 13 Thông tư số 01/2022/TT-BTNMT.
Chương VI
ĐIỀU KHOẢN THI HÀNH
Điều 35. Hiệu lực thi hành
Thông tư này có hiệu lực thi hành kể từ ngày 05 tháng 02 năm 2025.
Điều 36. Tổ chức thực hiện
1. Ủy ban nhân dân tỉnh, thành phố trực thuộc trung ương có trách nhiệm cung cấp thông tin phục vụ xây dựng kế hoạch giảm nhẹ phát thải khí nhà kính cấp lĩnh vực và tổ chức thẩm định kết quả kiểm kê khí nhà kính cấp cơ sở thuộc phạm vi quản lý ngành Xây dựng tại địa phương.
2. Cơ quan được giao quản lý xây dựng thuộc Ủy ban nhân dân tỉnh, thành phố trực thuộc trung ương có trách nhiệm đôn đốc, kiểm tra thực hiện các quy định tại Thông tư này đối với các cơ sở thuộc ngành Xây dựng theo Quyết định của Thủ tướng Chính phủ ban hành danh mục lĩnh vực, cơ sở phát thải khí nhà kính phải thực hiện kiểm kê khí nhà kính.
3. Các cơ sở thuộc danh mục các cơ sở phát thải khí nhà kính phải thực hiện kiểm kê khí nhà kính thuộc ngành Xây dựng theo Quyết định số 13/2024/QĐ-TTg chịu trách nhiệm lập báo cáo kiểm kê khí nhà kính cấp cơ sở; lập và thực hiện kế hoạch giảm nhẹ phát thải khí nhà kính; báo cáo kết quả giảm nhẹ phát thải khí nhà kính và phối hợp thực hiện kiểm kê khí nhà kính cấp lĩnh vực thuộc phạm vi quản lý ngành Xây dựng.
4. Trường hợp các văn bản quy phạm pháp luật viện dẫn tại Thông tư này được sửa đổi, bổ sung hoặc thay thế thì thực hiện theo văn bản mới ban hành.
5. Trong quá trình thực hiện, nếu có khó khăn, vướng mắc, đề nghị các cơ quan, tổ chức, cá nhân liên quan phản ánh về Bộ Xây dựng để kịp thời xem xét, giải quyết./.
|
Nơi nhận: - Văn phòng Quốc hội, Văn phòng Chủ tịch nước; - Văn phòng Chính phủ; - Các Bộ, cơ quan ngang Bộ, cơ quan thuộc Chính phủ; - Ủy ban Trung ương Mặt trận Tổ quốc Việt Nam; - HĐND, UBND các tỉnh, thành phố trực thuộc TW; - Sở Xây dựng các tỉnh, thành phố trực thuộc TW; - Cục Kiểm tra văn bản QPPL - Bộ Tư pháp; - Các đơn vị thuộc Bộ Xây dựng; - Liên đoàn Thương mại và Công nghiệp Việt Nam; - Công báo, Cổng TTĐT của Chính phủ; - Cổng TTĐT của Bộ Xây dựng; - Lưu: VT, KHCN. |
KT. BỘ TRƯỞNG THỨ TRƯỞNG
Bùi Xuân Dũng |
Phụ lục I
XÁC ĐỊNH PHÁT THẢI KHÍ NHÀ KÍNH
(Kèm theo Thông tư số 13/2024/TT-BXD ngày 20/12 /2024
của Bộ trưởng Bộ Xây dựng)
1.1. Phạm vi áp dụng công thức tính phát thải khí nhà kính
Áp dụng công thức tính phát thải khí nhà kính đối với các hoạt động sau đây:
|
STT |
Nguồn phát thải khí nhà kính |
Sản xuất vật liệu xây dựng |
Tòa nhà |
|||
|
Sản xuất xi măng |
Sản xuất vôi |
Sản xuất kính |
Sản xuất vật liệu xây dựng khác |
|||
|
I |
Cấp lĩnh vực |
|
|
|
|
|
|
1 |
Tiêu thụ năng lượng trong xây dựng - Sử dụng nhiên liệu cho quá trình đốt |
x |
x |
x |
x |
x |
|
2 |
Tiêu thụ năng lượng trong xây dựng - Sử dụng điện có nguồn gốc hoá thạch |
x |
x |
x |
x |
x |
|
3 |
Quá trình công nghiệp trong sản xuất vật liệu xây dựng |
x |
x |
x |
x |
|
|
II |
Cấp cơ sở |
|
|
|
|
|
|
1 |
Tiêu thụ năng lượng trong xây dựng - Sử dụng nhiên liệu cho quá trình đốt |
x |
x |
x |
x |
x |
|
2 |
Tiêu thụ năng lượng trong xây dựng - Sử dụng điện có nguồn gốc hoá thạch |
x |
x |
x |
x |
x |
|
3 |
Quá trình công nghiệp trong sản xuất vật liệu xây dựng - Nung nguyên liệu chứa gốc cacbonat |
x |
x |
x |
x |
|
|
4 |
Sử dụng thiết bị làm mát |
|
|
|
|
x |
1.2. Công thức tính phát thải khí nhà kính từ sử dụng nhiên liệu cho quá trình đốt

Trong đó:
|
ENL |
: Phát thải từ đốt nhiên liệu, tấn CO2td |
|
I |
: Loại khí nhà kính được kiểm kê (khí CO2, CH4, N2O) |
|
J |
: Loại nhiên liệu sử dụng |
|
Qj |
: Khối lượng nhiên liệu j tiêu thụ, tấn hoặc nghìn lít |
|
NCVj |
: Giá trị nhiệt trị ròng của nhiên liệu j, TJ/nghìn tấn hoặc TJ/triệu lít |
|
EFi,j |
: Hệ số phát thải khí nhà kính i của nhiên liệu j, kg/TJ |
|
GWPi |
: Hệ số làm nóng lên toàn cầu của khí nhà kính i |
Thu thập số liệu và lựa chọn hệ số:
1. Thu thập số liệu khối lượng nhiên liệu Qj cấp lĩnh vực theo hướng dẫn và biểu mẫu XD01 Phụ lục III ban hành kèm theo Thông tư này.
2. Thu thập số liệu khối lượng nhiên liệu Qj cấp cơ sở theo hướng dẫn và biểu mẫu số CS01 (cơ sở sản xuất vật liệu xây dựng) và biểu mẫu CS02 (tòa nhà) Phụ lục IV ban hành kèm theo Thông tư này.
3. Tra cứu và lựa chọn nhiệt trị nhiên liệu NCVj theo quy định tại khoản 1 Điều 10 (đối với cấp lĩnh vực), khoản 1 Điều 20 (đối với cấp cơ sở) và mục 5.2 Phụ lục V ban hành kèm theo Thông tư này.
4. Tra cứu và lựa chọn hệ số phát thải EFi,j theo quy định tại khoản 2 Điều 10 (đối với cấp lĩnh vực), khoản 2 Điều 20 (đối với cấp cơ sở) và Phụ lục VI ban hành kèm theo Thông tư này.
5. Tra cứu và lựa chọn hệ số làm nóng lên toàn cầu GWPi theo quy định tại khoản 3 Điều 10, khoản 3 Điều 20 và Phụ lục VII ban hành kèm theo Thông tư này.
1.3. Công thức tính phát thải khí nhà kính từ sử dụng điện mua vào có nguồn gốc hoá thạch

Trong đó:
|
EĐL |
: Phát thải từ sử dụng điện lưới, tấn CO2 |
|
|
QMV |
: Lượng điện lưới, điện mua vào có nguồn gốc hoá thạch, kWh |
|
|
QBR |
: Lượng điện bán ra, kWh |
|
|
EFĐL |
: Hệ số phát lưới điện quốc gia, tấn CO2/MWh |
|
Thu thập số liệu và lựa chọn hệ số:
1. Thu thập số liệu lượng điện mua vào, bán ra QMV, QBR cấp ngành theo hướng dẫn và biểu mẫu XD01 Phụ lục III ban hành kèm theo Thông tư này.
2. Thu thập số liệu lượng điện mua vào, bán ra QMV, QBR cấp cơ sở theo hướng dẫn và biểu mẫu CS01 (cơ sở sản xuất vật liệu xây dựng) và biểu mẫu CS02 (tòa nhà) Phụ lục IV ban hành kèm theo Thông tư này.
3. Tra cứu và áp dụng hệ số phát thải KNK EFĐL theo quy định tại khoản 4 Điều 10 của Thông tư này (đối với cấp lĩnh vực), khoản 4 Điều 20 của Thông tư này (đối với cấp cơ sở) và mục 6.3 Phụ lục VI ban hành kèm theo Thông tư này.
1.4. Công thức tính phát thải khí nhà kính từ quá trình nung clanhke
1.4.1. Cấp lĩnh vực:

Trong đó:
|
ENG.CLK |
: Phát thải từ nung nguyên liệu sản xuất clanhke, tấn CO2 |
|
QXM.SX |
: Sản lượng xi măng được sản xuất, tấn |
|
CCLK |
: Tỷ lệ clanhke trong xi măng, % |
|
QCLK.NK |
: Lượng clanhke nhập khẩu, tấn |
|
QCLK.XK |
: Lượng clanhke xuất khẩu, tấn |
|
0,525 |
: Hệ số phát thải của phối liệu sản xuất clanhke, tấn CO2/tấn clanhke |
|
ER |
: Phát thải cacbon dioxit được thu hồi và lưu trữ, tấn CO2 |
Thu thập số liệu:
Thu thập số liệu sản lượng xi măng được sản xuất QXM.SX, tỷ lệ clanhke trong xi măng CCLK, lượng clanhke nhập khẩu và xuất khẩu QCLK.NK, QCLK.XK từ số liệu thống kê, khảo sát theo hướng dẫn và biểu mẫu tại mục 3.1 Phụ lục III ban hành kèm theo Thông tư này.
1.4.2. Cấp cơ sở:

Trong đó:
|
ENG_CLK |
: Phát thải từ nung nguyên liệu sản xuất clanhke, tấn CO2 |
|
EĐV |
: Phát thải từ đá vôi sử dụng sản xuất clanhke, tấn CO2 |
|
ESE |
: Phát thải từ đá sét sử dụng sản xuất clanhke, tấn CO2 |
|
QĐV |
: Lượng đá vôi sử dụng sản xuất clanhke, tấn |
|
QSE |
: Lượng đá sét sử dụng sản xuất clanhke, tấn |
|
CĐV.CaO |
: Hàm lượng CaO bình quân gia quyền của đá vôi, % |
|
CĐV.MgO |
: Hàm lượng MgO bình quân gia quyền của đá vôi, % |
|
CSE.CaO |
: Hàm lượng CaO bình quân gia quyền của đá sét, % |
|
CSE.MgO |
: Hàm lượng MgO bình quân qia quyền của đá sét, % |
|
0,785 |
: Hệ số phát thải của CaO, tấn CO2/tấn CaCO3 |
|
1,092 |
: Hệ số phát thải của MgO, tấn CO2/tấn MgCO3 |
Thu thập số liệu:
1. Thu thập, xác định số liệu lượng đá vôi và đá sét sử dụng QĐV, QSE, hàm lượng CaO, MgO trong đá vôi và sét theo CĐV.CaO, CĐV.MgO, CSE.CaO, CSE.MgO từ báo cáo thực hiện tiêu hao vật tư sản phẩm cho quá trình sản xuất trong kỳ của đơn vị theo biểu mẫu số CS.01.01 mục 4.1 Phụ lục IV ban hành kèm theo Thông tư này.
2. Hàm lượng CaO, MgO bình quân gia quyền của đá vôi và đá sét CĐV.CaO, CĐV.MgO, CSE.CaO, CSE.MgO của kỳ báo cáo được xác định theo công thức sau:

Trong đó:
|
C |
: Hàm lượng bình quân gia quyền CaO, MgO trong đá vôi, đá sét, % |
|
I |
: Thời điểm phân tích hàm lượng Cao, MgO |
|
Ci |
: Hàm lượng CaO, MgO trong đá vôi, đá sét tại thời điểm i, % |
|
Qi |
: Lượng nguyên liệu đá vôi, đá sét tại thời điểm i, tấn |
3. Trong trường hợp hàm lượng CaO, MgO của đá vôi và đá sét được xác định liên tục, Ci là giá trị trung bình của tháng i và Qi là lượng nguyên liệu sử dụng trong tháng i của kỳ báo cáo.
1.5. Công thức tính phát thải khí nhà kính từ quá trình nung đá vôi

Trong đó:
|
ENG.VO |
: Phát thải từ quá trình nung đá vôi, tấn CO2 |
|
QVO.CA |
: Sản lượng vôi có hàm lượng canxi cao, tấn |
|
0,75 |
: Hệ số phát thải của quá trình nung vôi có độ canxi cao, tấn CO2/tấn vôi |
|
QVO.KH |
: Sản lượng vôi khác, bao gồm vôi đôlômit, tấn |
|
0,77 |
: Hệ số phát thải của quá trình nung vôi khác, bao gồm vôi đôlômit, tấn CO2/tấn vôi |
|
Ghi chú |
: Vôi có hàm lượng canxi cao là vôi có tỷ lệ phần trăm CaO từ 93-98% và tỷ lệ MgO từ 0,3-2,5%; Vôi đôlômit là vôi có tỷ lệ phần trăm CaO từ 55-57% và tỷ lệ MgO từ 38-41%. |
Thu thập số liệu:
1. Thu thập số liệu sản lượng vôi có hàm lượng canxi cao QVO.CA và sản lượng vôi xây dựng khác QVO.KH cấp lĩnh vực theo hướng dẫn và biểu mẫu tại mục 3.1 Phụ lục III ban hành kèm theo Thông tư này.
2. Thu thập số liệu sản lượng vôi có hàm lượng canxi cao QVO.CA và sản lượng vôi xây dựng khác QVO.KH cấp cơ sở theo hướng dẫn và biểu mẫu tại mục 4.1 Phụ lục IV ban hành kèm theo Thông tư này.
1.6. Công thức tính phát thải khí nhà kính từ quá trình nung thuỷ tinh

Trong đó:
|
ENG.KI |
: Phát thải từ quá trình nung thuỷ tinh, tấn CO2 |
|
QKI |
: Sản lượng kính phẳng, 1000 m2 QTC |
|
5 |
: Hệ số quy đổi đơn vị kính phẳng, kg/m2 QTC |
|
0,21 |
: Hệ số phát thải của quá trình sản xuất kính, tấn CO2/tấn kính |
|
CRKI |
: Tỷ lệ thủy tinh tái chế dùng để sản xuất kính |
Thu thập số liệu:
1. Thu thập số liệu sản lượng kính QKI và tỷ lệ thuỷ tinh tái chế dùng để sản xuất kính CRKI cấp lĩnh vực theo hướng dẫn và biểu mẫu tại mục 3.1 Phụ lục III ban hành kèm theo Thông tư này.
2. Thu thập số liệu sản lượng kính QKI và tỷ lệ thuỷ tinh tái chế dùng để sản xuất kính CRKI cấp cơ sở theo hướng dẫn và biểu mẫu tại mục 4.1 Phụ lục IV ban hành kèm theo Thông tư này.
1.7. Công thức tính phát thải khí nhà kính từ quá trình nung nguyên liệu khác có chứa gốc cacbonat

Trong đó:
|
ENG_KH |
: Phát thải từ quá trình nung nguyên liệu có chứa gốc cacbonat, tấn CO2 |
|
QKH |
: Khối lượng nguyên liệu có chứa gốc cacbonat, tấn |
|
k |
: Tỷ lệ CaCO3 trong nguyên liệu có chứa gốc cacbonat, % |
|
0,4397 |
: Hệ số phát thải quá trình nung nguyên liệu có chứa gốc cacbonat, tấn CO2/tấn CaCO3 |
Thu thập số liệu:
1. Chỉ thu thập số liệu với các loại vật liệu xây dựng khác sử dụng nguyên liệu có chứa gốc cacbonat.
2. Thu thập số liệu khối lượng nguyên liệu được nung để sản xuất vật liệu xây dựng QKH cấp lĩnh vực theo hướng dẫn và biểu mẫu tại mục 3.1 Phụ lục III ban hành kèm theo Thông tư này.
3. Thu thập số liệu lượng nguyên liệu được nung để sản xuất vật liệu xây dựng QKH cấp cơ sở theo hướng dẫn và biểu mẫu tại mục 4.1 Phụ lục IV ban hành kèm theo Thông tư này.
4. Xác định tỷ lệ CaCO3 trong nguyên liệu có chứa gốc cacbonat bằng cách xác định hàm lượng CaO theo Tiêu chuẩn Việt Nam TCVN 13775:2023 và nhân với hệ số 1,7857 hoặc sử dụng hệ số mặc định k = 6%.
1.8. Công thức tính phát thải khí nhà kính sử dụng thiết bị làm mát

Trong đó:
|
ELM |
: Phát thải khí nhà kính từ sử dụng thiết bị làm mát, tấn CO2tđ |
|
QBD,j |
: Lượng môi chất lạnh loại i được nạp bổ sung cho thiết bị làm mát (điều hoà, bơm nhiệt, chillers, tủ lạnh, tủ đông, kho lạnh…), kg |
|
GWPi |
: Hệ số làm nóng lên toàn cầu của môi chất lạnh i |
Thu thập số liệu và lựa chọn hệ số:
1. Khảo sát, thu thập số liệu lượng môi chất lạnh i được nạp thêm cho thiết bị, hệ thống làm mát cấp ngành theo hướng dẫn và biểu mẫu tại mục 3.1 Phụ lục III ban hành kèm theo Thông tư này.
2. Khảo sát, thu thập số liệu lượng môi chất lạnh i được nạp thêm cho thiết bị, hệ thống làm mát cấp cơ sở theo hướng dẫn và biểu mẫu tại mục 4.1 Phụ lục IV ban hành kèm theo Thông tư này.
3. Tra cứu và áp dụng hệ số phát thải GWPi theo quy định khoản 3 Điều 10 của Thông tư này (cấp lĩnh vực), khoản 3 Điều 20 của Thông tư này (cấp cơ sở) và Phụ lục VII ban hành kèm theo Thông tư này.
Phụ lục II
XÁC ĐỊNH KẾT QUẢ GIẢM NHẸ PHÁT THẢI KHÍ NHÀ KÍNH
(Kèm theo Thông tư số 13/2024/TT-BXD ngày 20/12/2024
của Bộ trưởng Bộ Xây dựng)
2.1. Danh mục biện pháp giảm nhẹ phát thải khí nhà kính
Công thức tính kết quả giảm nhẹ phát thải khí nhà kính được xác định cho các biện pháp giảm nhẹ sau đây:
1. Tăng hiệu suất sử dụng năng lượng trong sản xuất vật liệu xây dựng: Cải tiến, thay thế thiết bị, công nghệ sử dụng năng lượng (biến tần, đèn, bơm, quạt, máy nén, lò nung, máy nghiền phối liệu, máy cán, hệ thống calciner, vòi đốt, hệ thống thu hồi nhiệt…) nhằm tăng hiệu quả sử dụng năng lượng.
2. Tăng hiệu suất sử dụng năng lượng đối với công trình xây dựng: Cải tạo công trình, cải tiến, thay thế thiết bị sử dụng năng lượng (biến tần, đèn, bơm, quạt, máy nén, nồi hơi…) nhằm tăng hiệu quả sử dụng năng lượng.
3. Cải tạo công trình, cải tiến, thay thế thiết bị, hệ thống làm mát: Cải tạo công trình, cải tiến, thay thế thiết bị, hệ thống điều hoà, tủ lạnh, tủ mát, tủ đông… có hiệu suất sử dụng năng lượng cao hơn hoặc/và có sử dụng các môi chất làm mát có hệ số tiềm năng ấm lên toàn cầu thấp hơn.
4. Lắp đặt và sử dụng năng lượng mặt trời: Lắp đặt hệ thống năng lượng mặt trời phục vụ sản xuất, hoạt động của công trình.
5. Thu hồi nhiệt thừa: Lắp đặt hệ thống thu hồi nhiệt thừa (có hoặc không phát điện) phục vụ sản xuất.
6. Tối ưu hóa phối liệu sản xuất clanhke: Giảm nguyên liệu có gốc cacbonat trong sản xuất clanhke, dùng nguyên liệu thay thế từ phế thải các ngành công nghiệp (xỉ, tro bay…).
7. Giảm tỷ lệ clanhke trong sản xuất xi măng: Tăng tỷ lệ sử dụng nguyên liệu thay thế, phụ gia, phế thải từ các ngành công nghiệp.
8. Giảm, thay thế, loại bỏ nhiên liệu có nguồn gốc hoá thạch: Tăng tỷ lệ chất thải (rác thải sinh hoạt, chất thải công nghiệp, dầu thải…), sinh khối có nguồn gốc từ rừng trồng để thay thế nhiên liệu than, dầu, khí, không bao gồm lắp đặt điện mặt trời.
9. Thu hồi và lưu trữ khí cacbon dioxit (CO2): Lắp đặt thiết bị, hệ thống thu hồi khí cacbon dioxit từ quá trình sản xuất để lưu trữ hoặc tái sử dụng cho quá trình khác thay vì phát thải ra môi trường.
10. Giải pháp khác: Các giải pháp giảm nhẹ chưa được quy định ở trên.
2.2. Phạm vi áp dụng công thức tính kết quả giảm nhẹ phát thải khí nhà kính
Áp dụng công thức tính kết quả giảm nhẹ phát thải khí nhà kính trong các trường hợp sau:
|
STT |
Biện pháp giảm nhẹ |
Sản xuất vật liệu xây dựng |
Tòa nhà |
|||
|---|---|---|---|---|---|---|
|
Sản xuất xi măng |
Sản xuất kính |
Sản xuất vôi |
Sản xuất vật liệu xây dựng khác |
|||
|
1 |
Tăng hiệu suất sử dụng năng lượng trong sản xuất vật liệu xây dựng |
x |
x |
x |
x |
|
|
2 |
Tăng hiệu suất sử dụng năng lượng đối với tòa nhà |
x |
|
|
|
x |
|
3 |
Cải tạo công trình, cải tiến, thay thế thiết bị, hệ thống làm mát |
x |
|
|
|
x |
|
4 |
Lắp đặt, sử dụng năng lượng mặt trời |
x |
x |
x |
x |
x |
|
5 |
Thu hồi nhiệt thừa |
x |
x |
x |
x |
|
|
6 |
Tối ưu hoá phối liệu sản xuất clanhke |
x |
|
|
|
|
|
7 |
Giảm tỷ lệ clanhke trong xi măng |
x |
|
|
|
|
|
8 |
Giảm, thay thế, loại bỏ nhiên liệu có nguồn gốc hoá thạch |
x |
x |
x |
x |
x |
|
9 |
Thu hồi và lưu trữ khí cacbon dioxit |
x |
|
|
|
|
|
10 |
Các biện pháp giảm nhẹ khác |
x |
x |
x |
x |
x |
2.3. Công thức tính kết quả giảm nhẹ phát thải khí nhà kính đối với biện pháp giảm nhẹ
|
|
Trong đó:
|
ERy.k |
: Kết quả giảm nhẹ phát thải khí nhà kính năm y, tấn CO2tđ |
|
ECS.k |
: Phát thải khí nhà kính năm cơ sở trước khi thực hiện biện pháp giảm nhẹ, tấn CO2tđ |
|
Ey |
: Phát thải khí nhà kính năm báo cáo y sau khi thực hiện biện pháp giảm nhẹ, tấn CO2tđ |
|
Qy |
: Sản lượng của quá trình sản xuất, dịch vụ tại năm báo cáo liên quan đến biện pháp giảm nhẹ, tấn sản phẩm, m2 diện tích sử dụng, lượt người sử dụng |
|
Qcs |
: Sản lượng của quá trình sản xuất, dịch vụ tại năm cơ sở liên quan đến biện pháp giảm nhẹ, tấn sản phẩm, m2 diện tích sử dụng, lượt người sử dụng |
Thu thập số liệu và tính toán:
1. Năm cơ sở của cấp lĩnh vực thuộc phạm vi quản lý ngành Xây dựng được xác định theo năm cơ sở được áp dụng trong Đóng góp do quốc gia tự quyết định (NDC). Năm cơ sở của Đóng góp do quốc gia tự quyết định năm 2020 và Đóng góp do quốc gia tự quyết định năm 2022 là năm 2014.
2. Năm cơ sở của cấp cơ sở là giá trị trung bình của 03 năm trước khi thực hiện giải pháp giảm nhẹ kể từ năm 2014.
3. Thu thập số liệu và tính toán kết quả quả giảm nhẹ được xác định cho từng biện pháp giảm nhẹ, được quy định từ mục 2.4 đến mục 2.13 Phụ lục II ban hành kèm theo Thông tư này.
4. Nguồn số liệu được quy định tại khoản 2 Điều 9 của Thông tư này đối với cấp lĩnh vực và khoản 2 Điều 19 của Thông tư này đối với cấp cơ sở.
2.4. Xác định kết quả giảm nhẹ phát thải khí nhà kính đối với biện pháp tăng hiệu suất sử dụng năng lượng trong sản xuất vật liệu xây dựng
1. Thu thập số liệu cho cấp lĩnh vực theo mẫu số XD03 Phụ lục III ban hành kèm theo Thông tư này và cho cấp cơ sở theo mẫu số CS03 Phụ lục IV ban hành kèm theo Thông tư này. Nguồn số liệu và hệ số tính toán được quy định tại Điều 9 và Điều 19 của Thông tư này.
2. Tính phát thải khí nhà kính cơ sở (Ecs) và phát thải khí nhà kính năm y (Ey) cho các nguồn phát thải và sản lượng sau:
a) Nguồn phát thải từ sử dụng nhiên liệu cho quá trình đốt trước và sau khi thực hiện biện pháp giảm nhẹ (nếu có sự thay đổi) theo quy định tại mục 1.1 Phụ lục I ban hành kèm theo Thông tư này;
b) Nguồn phát thải từ sử dụng điện lưới trước và sau khi thực hiện biện pháp giảm nhẹ (nếu có sự thay đổi): theo quy định tại mục 1.2 Phụ lục I ban hành kèm theo Thông tư này;
c) Sản lượng vật liệu xây dựng năm cơ sở Qcs và năm y Qy có liên quan trực tiếp đến thiết bị, công nghệ được cải tạo, thay thế.
2.5. Xác định kết quả giảm nhẹ phát thải khí nhà kính đối với biện pháp tăng hiệu suất sử dụng năng lượng đối với tòa nhà
1. Thu thập số liệu cho cấp lĩnh vực theo biểu mẫu XD04 Phụ lục III ban hành kèm theo Thông tư này và cho cấp cơ sở theo biểu mẫu CS04 Phụ lục IV ban hành kèm theo Thông tư này. Nguồn số liệu và hệ số tính toán được quy định tại Điều 9 và Điều 19 của Thông tư này.
2. Tính phát thải khí nhà kính cơ sở (Ecs) và phát thải khí nhà kính năm y (Ey) cho các nguồn phát thải và sản lượng sau:
a) Nguồn phát thải từ sử dụng nhiên liệu cho quá trình đốt: theo quy định tại mục 1.1 Phụ lục I ban hành kèm theo Thông tư này;
b) Nguồn phát thải từ sử dụng điện lưới: theo quy định tại mục 1.2 Phụ lục I ban hành kèm theo Thông tư này;
c) Khối lượng dịch vụ năm cơ sở Qcs và năm y Qy có liên quan trực tiếp đến thiết bị, công nghệ được cải tạo, thay thế.
2.6. Xác định kết quả giảm nhẹ phát thải khí nhà kính đối với biện pháp cải tạo, công trình, cải tiến, thay thế thiết bị, hệ thống làm mát
1. Thu thập số liệu cho cấp lĩnh vực theo biểu mẫu XD05 Phụ lục III ban hành kèm theo Thông tư này và cho cấp cơ sở theo biểu mẫu số CS05 Phụ lục IV ban hành kèm theo Thông tư này. Nguồn số liệu và hệ số tính toán được quy định tại Điều 9 và Điều 19 của Thông tư này.
2. Tính phát thải khí nhà kính cơ sở (Ecs) và phát thải khí nhà kính năm y (Ey) cho các nguồn phát thải và sản lượng sau:
a) Nguồn phát thải từ sử dụng điện lưới trước và sau khi thực hiện biện pháp giảm nhẹ (nếu có sự thay đổi): theo quy định tại mục 1.2 Phụ lục I ban hành kèm theo Thông tư này;
b) Nguồn phát thải từ sử dụng thiết bị làm mát trước và sau khi thực hiện biện pháp giảm nhẹ (nếu có sự thay đổi): theo quy định tại mục 1.8 Phụ lục I ban hành kèm theo Thông tư này;
c) Khối lượng dịch vụ năm cơ sở Qcs và năm y Qy có liên quan trực tiếp đến thiết bị, công nghệ được thay thế.
2.7. Xác định kết quả giảm nhẹ phát thải khí nhà kính đối với biện pháp lắp đặt sử dụng năng lượng mặt trời
1. Thu thập số liệu cho cấp lĩnh vực theo biểu mẫu XD06 Phụ lục III ban hành kèm theo Thông tư này và cho cấp cơ sở theo biểu mẫu CS06 Phụ lục IV ban hành kèm theo Thông tư này. Nguồn số liệu và hệ số tính toán được quy định tại Điều 9 và Điều 19 của Thông tư này.
2. Tính phát thải khí nhà kính cơ sở (Ecs) và phát thải khí nhà kính năm y (Ey) cho các nguồn phát thải và sản lượng sau:
a) Nguồn phát thải từ sử dụng điện lưới trước và sau khi thực hiện biện pháp giảm nhẹ theo quy định tại mục 1.2 Phụ lục I ban hành kèm theo Thông tư này.
b) Sản lượng sản phẩm, dịch vụ năm cơ sở Qcs bằng năm y Qy.
2.8. Xác định kết quả giảm nhẹ phát thải khí nhà kính đối với biện pháp thu hồi nhiệt thừa
1. Thu thập số liệu cho cấp lĩnh vực theo biểu mẫu XD07 Phụ lục III ban hành kèm theo Thông tư này và cho cấp cơ sở theo biểu mẫu số CS07 Phụ lục IV ban hành kèm theo Thông tư này. Nguồn số liệu và hệ số tính toán được quy định tại Điều 9 và Điều 19 của Thông tư này.
2. Tính phát thải khí nhà kính cơ sở (Ecs) và phát thải khí nhà kính năm y (Ey) cho các nguồn phát thải và sản lượng sau:
a) Nguồn phát thải từ sử dụng nhiên liệu cho hệ thống thu hồi nhiệt thừa trước và sau khi áp dụng biện pháp giảm nhẹ: theo quy định tại mục 1.1 Phụ lục I ban hành kèm theo Thông tư này;
b) Nguồn phát thải từ sử dụng điện lưới trước và sau khi áp dụng biện pháp giảm nhẹ (nếu có sự thay đổi): theo quy định tại mục 1.2 Phụ lục I ban hành kèm theo Thông tư này.
c) Sản lượng nguyên liệu nung năm cơ sở Qcs và năm y Qy không đổi và bằng Qy.
2.9. Xác định kết quả giảm nhẹ phát thải khí nhà kính đối với biện pháp tối ưu hoá phối liệu sản xuất clanhke
1. Thu thập số liệu cho cấp lĩnh vực theo biểu mẫu XD08 Phụ lục III ban hành kèm theo Thông tư này và cho cấp cơ sở theo biểu mẫu CS08 Phụ lục IV ban hành kèm theo Thông tư này. Nguồn số liệu và hệ số tính toán được quy định tại Điều 9 và Điều 19 của Thông tư này.
2. Tính phát thải khí nhà kính cơ sở (Ecs) và phát thải khí nhà kính năm y (Ey) cho các nguồn phát thải và sản lượng sau:
a) Nguồn phát thải từ sử dụng nhiên liệu cho quá trình đốt trước và sau khi áp dụng giải pháp giảm nhẹ (nếu có sự thay đổi): theo quy định tại mục 1.1 Phụ lục I ban hành kèm theo Thông tư này;
b) Nguồn phát thải từ sử dụng điện lưới trước và sau khi áp dụng biện pháp giảm nhẹ (nếu có sự thay đổi): theo quy định tại mục 1.2 Phụ lục I ban hành kèm theo Thông tư này;
c) Nguồn phát thải từ quá trình nung clanhke trước và sau khi thực hiện giải pháp giảm nhẹ theo quy định tại mục 1.3 Phụ lục I ban hành kèm theo Thông tư này.
d) Sản lượng clanhke năm cơ sở Qcs và bằng sản lượng năm y Qy.
2.10. Xác định kết quả giảm nhẹ phát thải khí nhà kính đối với biện pháp giảm clanhke trong xi măng
1. Thu thập số liệu cho cấp lĩnh vực theo biểu mẫu XD09 Phụ lục III ban hành kèm theo Thông tư này và cho cấp cơ sở theo biểu mẫu CS09 Phụ lục IV ban hành kèm theo Thông tư này. Nguồn số liệu và hệ số tính toán được quy định tại Điều 9 và Điều 19 của Thông tư này.
2. Tính phát thải khí nhà kính cơ sở (Ecs) và phát thải khí nhà kính năm y (Ey) cho các nguồn phát thải và sản lượng sau:
a) Nguồn phát thải từ sử dụng nhiên liệu cho quá trình sản xuất clanhke trước và sau khi thực hiện biện pháp giảm nhẹ (nếu có thay đổi): theo quy định tại mục 1.1 Phụ lục I ban hành kèm theo Thông tư này;
b) Nguồn phát thải từ sử dụng điện lưới cho quá trình sản xuất xi măng trước và sau khi thực hiện biện pháp giảm nhẹ (nếu có thay đổi): theo quy định tại mục 1.2 Phụ lục I ban hành kèm theo Thông tư này;
c) Nguồn phát thải từ quá trình sản xuất clanhke trước và sau khi thực hiên giải pháp giảm nhẹ: theo quy định tại mục 1.3 Phụ lục I ban hành kèm theo Thông tư này;
d) Sản lượng xi măng năm cơ sở Qcs và năm y Qy.
2.11. Xác định kết quả giảm nhẹ phát thải khí nhà kính đối với biện pháp giảm, thay thế, loại bỏ nhiên liệu có nguồn gốc hoá thạch
1. Thu thập số liệu cho cấp lĩnh vực theo biểu mẫu XD10 Phụ lục III ban hành kèm theo Thông tư này và cho cấp cơ sở theo biểu mẫu CS10 Phụ lục IV ban hành kèm theo Thông tư này. Nguồn số liệu và hệ số tính toán được quy định tại Điều 9 và Điều 19 của Thông tư này.
2. Tính phát thải khí nhà kính cơ sở (Ecs) và phát thải khí nhà kính năm y (Ey) cho các nguồn phát thải và sản lượng sau:
a) Nguồn phát thải từ sử dụng nhiên liệu cho quá trình đốt trước và sau khi thực hiện biện pháp giảm nhẹ: theo quy định tại mục 1.1 Phụ lục I ban hành kèm theo Thông tư này;
b) Nguồn phát thải từ sử dụng điện lưới trước và sau khi thực hiện biện pháp giảm nhẹ (nếu có sự thay đổi): theo quy định tại mục 1.2 Phụ lục I ban hành kèm theo Thông tư này;
c) Sản lượng vật liệu xây dựng, khối lượng dịch vụ năm cơ sở Qcs và năm y Qy có sử dụng nhiên liệu đốt.
2.12. Xác định kết quả giảm nhẹ phát thải khí nhà kính đối với biện pháp thu hồi và lưu trữ khí cacbon dioxit
1. Thu thập số liệu cho cấp lĩnh vực theo biểu mẫu XD11 Phụ lục III ban hành kèm theo Thông tư này và cho cấp cơ sở theo biểu mẫu CS11 Phụ lục IV ban hành kèm theo Thông tư này. Nguồn số liệu và hệ số tính toán được quy định tại Điều 9 và Điều 19 của Thông tư này.
2. Tính phát thải khí nhà kính cơ sở (Ecs) và phát thải khí nhà kính năm y (Ey) cho các nguồn phát thải và sản lượng sau:
a) Nguồn phát thải từ sử dụng nhiên liệu cho quá trình đốt trước và sau khi thực hiện biện pháp giảm nhẹ: theo quy định tại mục 1.1 Phụ lục I ban hành kèm theo Thông tư này;
b) Nguồn phát thải từ sử dụng điện lưới trước và sau khi thực hiện biện pháp giảm nhẹ (nếu có sự thay đổi): theo quy định tại mục 1.2 Phụ lục I ban hành kèm theo Thông tư này;
c) Nguồn phát thải từ quá trình nung clanhke theo quy định tại mục 1.3 Phụ lục I ban hành kèm theo Thông tư này;
d) Sản lượng clanhke năm cơ sở Qcs và năm y Qy;
e) Lượng cacbon dioxit thu hồi và lưu trữ.
2.13. Xác định kết quả giảm nhẹ phát thải khí nhà kính đối với biện pháp giảm nhẹ khác
Thu thập và tính toán kết quả giảm nhẹ theo phương pháp luận được quốc tế công nhận trong các cơ chế trao đổi, giao dịch tín chỉ cac-bon.
Phụ lục III
BIỂU MẪU THU THẬP SỐ LIỆU VÀ BÁO CÁO CẤP LĨNH VỰC
(Kèm theo Thông tư số 13/2024/TT-BXD ngày 20/12/2024
của Bộ trưởng Bộ Xây dựng)
|
BIỂU MẪU |
NỘI DUNG |
|
XD01 |
Bảng thu thập số liệu phục vụ kiểm kê khí nhà kính cấp lĩnh vực - Sản xuất vật liệu xây dựng |
|
XD02 |
Bảng thu thập số liệu phục vụ kiểm kê khí nhà kính cấp lĩnh vực - Tòa nhà |
|
XD03 |
Bảng thu thập số liệu phục vụ báo cáo giảm nhẹ phát thải khí nhà kính cấp lĩnh vực - Giải pháp tăng hiệu suất sử dụng năng lượng trong sản xuất vật liệu xây dựng |
|
XD04 |
Bảng thu thập số liệu phục vụ báo cáo giảm nhẹ phát thải khí nhà kính cấp lĩnh vực - Giải pháp tăng hiệu suất sử dụng năng lượng đối với tòa nhà |
|
XD05 |
Bảng thu thập số liệu phục vụ báo cáo giảm nhẹ phát thải khí nhà kính cấp lĩnh vực - Giải pháp cải tạo công trình, cải tiến, thay thế thiết bị làm mát |
|
XD06 |
Bảng thu thập số liệu phục vụ báo cáo giảm nhẹ phát thải khí nhà kính cấp lĩnh vực - Giải pháp lắp đặt và sử dụng năng lượng mặt trời |
|
XD07 |
Bảng thu thập số liệu phục vụ báo cáo giảm nhẹ phát thải khí nhà kính cấp lĩnh vực - Giải pháp thu hồi nhiệt thừa |
|
XD08 |
Bảng thu thập số liệu phục vụ báo cáo giảm nhẹ phát thải khí nhà kính cấp lĩnh vực - Giải pháp tối ưu hoá phối liệu sản xuất clanhke |
|
XD09 |
Bảng thu thập số liệu phục vụ báo cáo giảm nhẹ phát thải khí nhà kính cấp lĩnh vực - Giải pháp giảm tỷ lệ clanhke trong sản xuất xi măng |
|
XD10 |
Bảng thu thập số liệu phục vụ báo cáo giảm nhẹ phát thải khí nhà kính cấp lĩnh vực - Giải pháp giảm, thay thế, loại bỏ nhiên liệu có nguồn gốc hoá thạch |
|
XD11 |
Bảng thu thập số liệu phục vụ báo cáo giảm nhẹ phát thải khí nhà kính cấp lĩnh vực - Giải pháp thu hồi và lưu trữ khí cacbon dioxit |
3.1. Biểu mẫu XD01. Bảng thu thập số liệu phục vụ kiểm kê khí nhà kính cấp lĩnh vực - Sản xuất vật liệu xây dựng
|
NĂM……………….. |
||||||||||||||||||||||
|
I. |
Số liệu tính phát thải khí nhà kính từ sử dụng nhiên liệu cho quá trình đốt
|
|||||||||||||||||||||
|
STT |
Thông số |
Lượng sử dụng (Qi) |
Nhiệt trị (NCVi) |
Nguồn số liệu |
||||||||||||||||||
|
Đơn vị |
Xi măng |
Vôi |
Kính |
Vật liệu xây dựng khác |
Đơn vị |
Giá trị |
||||||||||||||||
|
Than |
1 |
Than ……………… |
tấn |
|
|
|
|
TJ/…. |
|
|
||||||||||||
|
… |
Than ……………… |
tấn |
|
|
|
|
TJ/…. |
|
|
|||||||||||||
|
Xăng, dầu |
1 |
Xăng A95, A92 |
1000 lít |
|
|
|
|
|
|
|||||||||||||
|
2 |
Xăng E5, Ron 92 |
1000 lít |
|
|
|
|
|
|
||||||||||||||
|
3 |
Xăng E10, Ron 92 |
1000 lít |
|
|
|
|
|
|
||||||||||||||
|
4 |
Dầu Diesel (DO) |
1000 lít hoặc tấn |
|
|
|
|
|
|
||||||||||||||
|
5 |
Dầu nhiên liệu (FO) |
1000 lít hoặc tấn |
|
|
|
|
|
|
||||||||||||||
|
Khí |
6 |
Khí tự nhiên (NG) |
Sm3 hoặc tấn |
|
|
|
|
TJ/…. |
|
|
||||||||||||
|
7 |
Khí hóa lỏng (LPG) |
tấn hoặc 1000 lít |
|
|
|
|
TJ/…. |
|
|
|||||||||||||
|
8 |
Khí thiên nhiên hóa lỏng (LNG) |
tấn hoặc 1000 lít |
|
|
|
|
TJ/…. |
|
|
|||||||||||||
|
9 |
Khí thiên nhiên nén (CNG) |
Sm3 hoặc tấn |
|
|
|
|
TJ/…. |
|
|
|||||||||||||
|
Sinh khối |
1 |
Sinh khối…..... |
tấn |
|
|
|
|
TJ/…. |
|
|
||||||||||||
|
… |
Sinh khối…..... |
tấn |
|
|
|
|
TJ/…. |
|
|
|||||||||||||
|
Nhiên liệu khác |
1 |
Dầu thải |
tấn |
|
|
|
|
TJ/…. |
|
|
||||||||||||
|
2 |
Nhựa thải |
tấn |
|
|
|
|
TJ/…. |
|
|
|||||||||||||
|
3 |
Lốp xe |
tấn |
|
|
|
|
TJ/…. |
|
|
|||||||||||||
|
4 |
Vải vụn, rác thải kh |
tấn |
|
|
|
|
TJ/…. |
|
|
|||||||||||||
|
… |
Nhiên liệu………… |
… |
|
|
|
|
TJ/…. |
|
|
|||||||||||||
|
II. |
Số liệu tính phát thải khí nhà kính từ sử nung nguyên liệu có chứa gốc cacbonat |
|||||||||||||||||||||
|
STT |
Thông số |
Đơn vị |
Xi măng |
Vôi |
Kính |
Sứ vệ sinh |
Gạch nung |
Vật liệu xây dựng khác |
Nguồn số liệu |
|||||||||||||
|
Xi măng |
1 |
Sản lượng xi măng (QXM.SX) |
tấn |
|
|
|
|
|
|
|
||||||||||||
|
2 |
Lượng clanhke nhập khẩu (QCLK.NK) |
tấn |
|
|
|
|
|
|
|
|||||||||||||
|
3 |
Lượng chanhke xuất khẩu (QCLK.XK) |
tấn |
|
|
|
|
|
|
|
|||||||||||||
|
4 |
Tỷ lệ clanhke trong xi măng |
% |
|
|
|
|
|
|
|
|||||||||||||
|
5 |
Lượng cac bon dioxit thu hồi (ER) |
tấn CO2 |
|
|
|
|
|
|
|
|||||||||||||
|
Vôi |
1 |
Sản lượng vôi có hàm lượng canxi cao (QVO.CA) |
tấn |
|
|
|
|
|
|
|
||||||||||||
|
2 |
Sản lượng vôi khác, bao gồm vôi đô lô mit (QVO.KH) |
tấn |
|
|
|
|
|
|
|
|||||||||||||
|
Kính |
1 |
Sản lượng kính phẳng xây dựng (QKI) |
1000 m2 QTC |
|
|
|
|
|
|
|
||||||||||||
|
2 |
Tỷ lệ thuỷ tinh tái chế dùng để sản xuất kính (CRKI) |
% |
|
|
|
|
|
|
|
|||||||||||||
|
Sứ vệ sinh |
a |
Sản lượng sứ vệ sinh (QKH) |
tấn |
|
|
|
|
|
|
|
||||||||||||
|
b |
Sản lượng frit (QKH) |
tấn |
|
|
|
|
|
|
|
|||||||||||||
|
c |
Tỷ lệ CaCO3 trong nguyên liệu sản xuất frit có chứa gốc cacbonat (k) |
% |
|
|
|
|
|
|
|
|||||||||||||
|
Gạch nung |
a |
Sản lượng gạch nung (QKH) |
tấn |
|
|
|
|
|
|
|
||||||||||||
|
b |
Tỷ lệ CaCO3 trong nguyên liệu sản xuất gạch nung có chứa gốc cacbonat (k) |
% |
|
|
|
|
|
|
|
|||||||||||||
|
Vật liệu xây dựng khác |
a |
Sản lượng vật liệu xây dựng khác (QKH) |
tấn |
|
|
|
|
|
|
|
||||||||||||
|
b |
Tỷ lệ CaCO3 trong nguyên liệu sản xuất vật liệu xây dựng khác có chứa gốc cacbonat (k) |
% |
|
|
|
|
|
|
|
|||||||||||||
|
III. |
Số liệu tính phát thải khí nhà kính từ sử dụng điện |
|||||||||||||||||||||
|
STT |
Thông số |
Đơn vị |
Giá trị |
|
|
Nguồn số liệu |
||||||||||||||||
|
Xi măng |
Vôi |
Kính |
Sứ vệ sinh |
Gạch nung |
Vật liệu xây dựng khác |
|||||||||||||||||
|
Điện |
1 |
Điện mua vào (QMV) |
kWh |
|
|
|
|
|
|
|
||||||||||||
|
2 |
Điện mặt trời tự sản xuất* |
kWh |
|
|
|
|
|
|
|
|||||||||||||
|
3 |
Điện từ thu hồi nhiệt thừa* |
kWh |
|
|
|
|
|
|
|
|||||||||||||
|
4 |
Điện bán ra (QBR) |
kWh |
|
|
|
|
|
|
|
|||||||||||||
|
5 |
Điện nung nguyên liệu có chứa gốc cacbonat* |
kWh |
|
|
|
|
|
|
|
|||||||||||||
Ghi chú:
(*) Số liệu phục vụ thẩm định
Điền giá trị được xác định theo đơn vị quy định:
1. Nguồn số liệu được quy định tại khoản 2 Điều 9 của Thông tư này.
2. Số liệu chưa được xác định, ghi rõ N/A.
3. Điện mua vào là điện lưới, điện có nguồn gốc từ nhiên liệu hoá thạch.
4. Số liệu sử dụng nhiên liệu cho quá trình đốt:
a) Lượng sử dụng là lượng được xác định theo nguồn số liệu theo đơn vị được quy định;
b) Nhiệt trị là giá trị nhiệt trị thấp, được xác định từ kết quả phân tích, theo số liệu công bố của đơn vị cung cấp hoặc tra theo bảng tại Phụ lục V ban hành kèm theo Thông tư này;
c) Đơn vị quy đổi 1 Kcal = 0,004184 MJ.
3.2. Biểu mẫu XD02. Bảng thu thập số liệu phục vụ kiểm kê khí nhà kính cấp lĩnh vực - Tòa nhà
|
NĂM…………… |
|||||||
|
I. |
Số liệu tính phát thải khí nhà kính từ sử dụng nhiên liệu cho quá trình đốt |
||||||
|
STT |
Thông số |
Lượng sử dụng (Qi) |
Nhiệt trị (NCVi) |
Nguồn số liệu |
|||
|
Đơn vị |
Giá trị |
Đơn vị |
Giá trị |
||||
|
Than |
1 |
Than ……………… |
tấn |
|
TJ/… |
|
|
|
… |
Than ……………… |
tấn |
|
TJ/… |
|
|
|
|
Xăng, dầu |
1 |
Xăng A95, A92 |
1000 lít |
|
|
|
|
|
2 |
Xăng E5, Ron 92 |
1000 lít |
|
|
|
||
|
3 |
Xăng E10, Ron 92 |
1000 lít |
|
|
|
||
|
4 |
Dầu Diesel (DO) |
1000 lít hoặc tấn |
|
|
|
||
|
5 |
Dầu nhiên liệu (FO) |
1000 lít hoặc tấn |
|
|
|
||
|
Khí |
6 |
Khí tự nhiên (NG) |
Sm3 hoặc tấn |
|
TJ/ … |
|
|
|
7 |
Khí hóa lỏng (LPG) |
tấn hoặc 1000 lít |
|
TJ/… |
|
|
|
|
8 |
Khí thiên nhiên hóa lỏng (LNG) |
tấn hoặc 1000 lít |
|
TJ/… |
|
|
|
|
9 |
Khí thiên nhiên nén (CNG) |
Sm3 hoặc tấn |
|
TJ/… |
|
|
|
|
Sinh khối |
1 |
Sinh khối…. |
tấn |
|
TJ/… |
|
|
|
… |
Sinh khối… |
tấn |
|
TJ/… |
|
|
|
|
Khác |
1 |
Nhiên liệu….. |
… |
|
TJ/… |
|
|
|
… |
Nhiên liệu….. |
… |
|
TJ/… |
|
|
|
|
II. |
Số liệu tính phát thải khí nhà kính từ sử dụng điện |
||||||
|
STT |
Thông số |
Đơn vị |
Giá trị |
Nguồn số liệu |
|||
|
Điện |
1 |
Điện mua vào (QMV) |
kWh |
|
|
||
|
2 |
Điện mặt trời tự sản xuất* |
kWh |
|
|
|||
|
3 |
Điện bán ra (QBR) |
kWh |
|
|
|||
Ghi chú:
(*) Số liệu phục vụ thẩm định
Điền giá trị được xác định theo đơn vị quy định:
1. Nguồn số liệu được quy định tại khoản 2 Điều 9 của Thông tư này.
2. Số liệu chưa được xác định, ghi rõ N/A.
3. Điện mua vào là điện lưới, điện có nguồn gốc từ nguyên liệu hoá thạch.
4. Số liệu về nhiên liệu sử dụng cho quá trình đốt:
a) Lượng sử dụng là lượng được xác định theo nguồn số liệu theo đơn vị được quy định;
b) Nhiệt trị là giá trị nhiệt trị thấp, được xác định từ kết quả phân tích, theo số liệu công bố của đơn vị cung cấp hoặc tra theo bảng tại Phụ lục V ban hành kèm theo Thông tư này;
c) Đơn vị quy đổi 1 Kcal = 0,004184 MJ.
3.3. Biểu mẫu XD03. Bảng thu thập số liệu phục vụ báo cáo giảm nhẹ phát thải khí nhà kính cấp lĩnh vực - Giải pháp tăng hiệu suất sử dụng năng lượng trong sản xuất vật liệu xây dựng
|
NĂM…… |
||||||
|
A. Cải tiến, thay thế thiết bị, công nghệ số 1 |
||||||
|
|
Mô tả |
|
||||
|
|
Phạm vi áp dụng |
|
||||
|
|
Năm cơ sở |
|
||||
|
|
STT |
Hạng mục |
Đơn vị |
Năm cơ sở |
Năm y |
Nguồn số liệu |
|
I |
Sử dụng nhiên liệu (Qi) |
|||||
|
|
1 |
Nhiên liệu…… |
|
|
|
|
|
|
.. |
Nhiên liệu…… |
|
|
|
|
|
II |
Nhiệt trị nhiên liệu (NCVj ) |
|
||||
|
|
1 |
Nhiên liệu…… |
|
|
|
|
|
|
… |
Nhiên liệu…… |
|
|
|
|
|
III |
Hệ số phát thải của nhiên liệu (EFi,j) |
|||||
|
|
1 |
Nhiên liệu…… |
kg CO2/TJ |
|
|
|
|
|
|
|
kg CH4/TJ |
|
|
|
|
|
|
|
kg N2O/TJ |
|
|
|
|
|
… |
Nhiên liệu…… |
kg CO2/TJ |
|
|
|
|
|
|
|
kg CH4/TJ |
|
|
|
|
|
|
|
kg N2O/TJ |
|
|
|
|
IV |
Sử dụng điện |
|
||||
|
|
1 |
Điện sử dụng (QMV) |
kWh |
|
|
|
|
|
2 |
Hệ số phát thải lưới điện (EFĐL) |
Tấn CO2/MWh |
|
|
|
|
V |
Sản lượng (Qcs, Qy) |
|
||||
|
|
1 |
|
|
|
|
|
B. Cải tiến, thay thế thiết bị, công nghệ số 2
(tiếp tục bổ sung, nếu có)
3.4. Biểu mẫu XD04. Bảng thu thập số liệu phục vụ báo cáo giảm nhẹ phát thải khí nhà kính cấp lĩnh vực - Giải pháp tăng hiệu suất sử dụng năng lượng đối với tòa nhà
|
NĂM…… |
||||||
|
A. Cải tiến, thay thế thiết bị, công nghệ số 1 |
||||||
|
|
Mô tả |
|
||||
|
|
Phạm vi áp dụng |
|
||||
|
|
Năm cơ sở |
|
||||
|
|
STT |
Hạng mục |
Đơn vị |
Năm cơ sở |
Năm y |
Nguồn số liệu |
|
I |
Sử dụng nhiên liệu (Qi) |
|||||
|
|
1 |
Nhiên liệu…… |
|
|
|
|
|
|
.. |
Nhiên liệu…… |
|
|
|
|
|
II |
Nhiệt trị nhiên liệu (NCVj ) |
|
||||
|
|
1 |
Nhiên liệu…… |
|
|
|
|
|
|
… |
Nhiên liệu…… |
|
|
|
|
|
III |
Hệ số phát thải của nhiên liệu (EFi,j) |
|||||
|
|
1 |
Nhiên liệu…… |
kg CO2/TJ |
|
|
|
|
|
|
|
kg CH4/TJ |
|
|
|
|
|
|
|
kg N2O/TJ |
|
|
|
|
|
… |
Nhiên liệu…… |
kg CO2/TJ |
|
|
|
|
|
|
|
kg CH4/TJ |
|
|
|
|
|
|
|
kg N2O/TJ |
|
|
|
|
IV |
Sử dụng điện |
|
||||
|
|
1 |
Điện sử dụng (QMV) |
kWh |
|
|
|
|
|
2 |
Hệ số phát thải lưới điện (EFĐL) |
Tấn CO2/MWh |
|
|
|
|
V |
Sản lượng (Qcs, Qy) |
|
||||
|
|
1 |
|
|
|
|
|
B. Cải tiến, thay thế thiết bị, công nghệ số 2
(tiếp tục bổ sung, nếu có)
3.5. Biểu mẫu XD05. Bảng thu thập số liệu phục vụ báo cáo giảm nhẹ phát thải khí nhà kính cấp lĩnh vực - Giải pháp cải tạo công trình, cải tiến, thay thế thiết bị làm mát
|
NĂM…… |
A. Cải tạo công trình, cải tiến, thay thế thiết bị, công nghệ làm mát số 1
|
|
Mô tả |
|
||||
|---|---|---|---|---|---|---|
|
|
Phạm vi áp dụng |
|
||||
|
|
Năm cơ sở |
|
||||
|
|
STT |
Hạng mục |
Đơn vị |
Năm cơ sở |
Năm y |
Nguồn số liệu |
|
A |
Sử dụng điện |
|||||
|
|
1 |
Điện sử dụng (QMV) |
kWh |
|
|
|
|
|
2 |
Hệ số phát thải lưới điện (EFĐL) |
Tấn CO2/MWh |
|
|
|
|
B |
Môi chất bổ sung (QBD,i) |
|||||
|
|
1 |
Môi chất……. |
Kg |
|
|
|
|
|
… |
Môi chất……. |
Kg |
|
|
|
|
C |
Hệ số làm nóng lên toàn cầu của môi chất lạnh GWPi |
|||||
|
|
1 |
Môi chất……. |
|
|
|
|
|
|
… |
Môi chất……. |
|
|
|
|
|
D |
Sản lượng, dịch vụ Qcs, Qy |
|
||||
|
|
1 … |
|
|
|
|
|
B. Cải tạo công trình, cải tiến, thay thế thiết bị, công nghệ làm mát số 2
(tiếp tục bổ sung, nếu có)
3.6. Biểu mẫu XD06. Bảng thu thập số liệu phục vụ báo cáo giảm nhẹ phát thải khí nhà kính cấp lĩnh vực - Giải pháp lắp đặt và sử dụng năng lượng mặt trời
|
NĂM…… |
A. Lắp đặt và sử dụng năng lượng mặt trời trong sản xuất vật liệu xây dựng
|
|
Mô tả |
|
|||
|---|---|---|---|---|---|
|
|
Phạm vi áp dụng |
|
|||
|
|
Năm cơ sở |
|
|||
|
STT |
Hạng mục |
Đơn vị |
Năm cơ sở |
Năm y |
Nguồn số liệu |
|
1 |
Sản lượng điện mặt trời |
kWh |
|
||
|
2 |
Điện sử dụng cho hệ thống năng lượng mặt trời |
kWh |
|
|
|
|
3 |
Hệ số phát thải lưới điện (EFĐL) |
Tấn CO2/MWh |
|
|
|
B. Lắp đặt và sử dụng năng lượng mặt trời trong tòa nhà
(tiếp tục bổ sung, nếu có)
3.7. Biểu mẫu XD07. Bảng thu thập số liệu phục vụ báo cáo giảm nhẹ phát thải khí nhà kính cấp lĩnh vực - Giải pháp thu hồi nhiệt thừa
|
NĂM……
|
||||||||||||||||||||||||||||||||||||||||||||||||||||||||||||||||||||||||||||||||||||||||||||||||||||||||||||||||||||||||||||||||||||||||||||||||||||||||||||||||||||||||||||||||||||||||||||||||
3.8. Biểu mẫu XD08. Bảng thu thập số liệu phục vụ báo cáo giảm nhẹ phát thải khí nhà kính cấp lĩnh vực - Giải pháp tối ưu hoá phối liệu sản xuất clanhke
|
NĂM…… |
A. Tối ưu hoá phối liệu sản xuất clanhke số 1
|
|
Mô tả |
|
||||
|---|---|---|---|---|---|---|
|
|
Phạm vi áp dụng |
|
||||
|
|
Năm cơ sở |
|
||||
|
|
STT |
Hạng mục |
Đơn vị |
Năm cơ sở |
Năm y |
Nguồn số liệu |
|
A |
Sử dụng nhiên liệu cho sản xuất clanhke (Qj) |
|||||
|
|
1 |
Nhiên liệu…… |
|
|
|
|
|
|
.. |
Nhiên liệu…… |
|
|
|
|
|
B |
Nhiệt trị nhiên liệu (NCVj) |
|||||
|
|
1 |
Nhiên liệu…… |
|
|
|
|
|
|
… |
Nhiên liệu…… |
|
|
|
|
|
C |
Hệ số phát thải của nhiên liệu (EFi,j) |
|||||
|
|
1 |
Nhiên liệu…… |
kg CO2/TJ |
|
|
|
|
|
|
|
kg CH4/TJ |
|
||
|
|
|
|
kg N2O/TJ |
|
|
|
|
|
… |
Nhiên liệu…… |
kg CO2/TJ |
|
|
|
|
|
|
|
kg CH4/TJ |
|
|
|
|
|
|
|
kg N2O/TJ |
|
|
|
|
D |
Sử dụng điện cho sản xuất clanhke (QĐL) |
|
||||
|
|
1 |
Điện sử dụng (QMV) |
kWh |
|
|
|
|
|
2 |
Hệ số phát thải lưới điện (EFĐL) |
Tấn CO2/MWh |
|
|
|
|
E |
Sản lượng (QXM_SX, CCL, QCL_NK, QCL-XK) |
|||||
|
|
1 |
Sản lượng xi măng sản xuất |
tấn |
|
|
|
|
|
2 |
Sản lượng clanhke sản xuất |
Tấn |
|
|
|
|
|
3 |
Tỷ lệ clanhke trong xi măng |
% |
|
|
|
|
|
4 |
Lượng clanhke nhập khẩu |
tấn |
|
|
|
|
|
5 |
Lượng clanhke xuất khẩu |
tấn |
|
|
|
B. Tối ưu hoá phối liệu sản xuất clanhke số 2
(tiếp tục bổ sung, nếu có)3.9. Biểu mẫu XD09. Bảng thu thập số liệu phục vụ báo cáo giảm nhẹ phát thải khí nhà kính cấp lĩnh vực - Giải pháp giảm tỷ lệ clanhke trong sản xuất xi măng
|
NĂM…… |
|
Mô tả |
|
|||||
|---|---|---|---|---|---|---|
|
Phạm vi áp dụng |
|
|||||
|
Năm cơ sở |
|
|||||
|
|
STT |
Hạng mục |
Đơn vị |
Năm cơ sở |
Năm y |
Nguồn số liệu |
|
A |
Sử dụng nhiên liệu (Qj) |
|||||
|
|
1 |
Nhiên liệu…… |
|
|
|
|
|
|
… |
Nhiên liệu…… |
|
|
|
|
|
B |
Nhiệt trị nhiên liệu (NCVj) |
|||||
|
|
1 |
Nhiên liệu…… |
|
|
|
|
|
|
… |
Nhiên liệu…… |
|
|
|
|
|
C |
Hệ số phát thải của nhiên liệu (EFi,j) |
|||||
|
|
1 |
Nhiên liệu…… |
kg CO2/TJ |
|
|
|
|
|
|
|
kg CH4/TJ |
|
|
|
|
|
|
|
kg N2O/TJ |
|
|
|
|
|
… |
Nhiên liệu…… |
kg CO2/TJ |
|
|
|
|
|
|
|
kg CH4/TJ |
|
|
|
|
|
|
|
kg N2O/TJ |
|
|
|
|
D |
Sử dụng điện cho sản xuất clanhke |
|||||
|
|
1 |
Điện sử dụng (QMV) |
kWh |
|
|
|
|
|
2 |
Hệ số phát thải lưới điện |
Tấn CO2/MWh |
|
|
|
|
E |
Sử dụng điện cho phối trộn xi măng |
|||||
|
|
1 |
Điện sử dụng (QMV) |
kWh |
|
|
|
|
|
2 |
Hệ số phát thải lưới điện |
Tấn CO2/MWh |
|
|
|
|
F |
Sản lượng (QXM_SX, CCL, QCL_NK, QCL-XK) |
|||||
|
|
1 |
Sản lượng xi măng sản xuất |
tấn |
|
|
|
|
|
2 |
Lượng clanhke sản xuất |
Tấn |
|
|
|
|
|
3 |
Tỷ lệ clanhke trong xi măng |
% |
|
|
|
|
|
4 |
Lượng clanhke nhập khẩu |
tấn |
|
|
|
|
|
5 |
Lượng clanhke xuất khẩu |
tấn |
|
|
|
3.10. Biểu mẫu XD10. Bảng thu thập số liệu phục vụ báo cáo giảm nhẹ phát thải khí nhà kính cấp lĩnh vực - Giải pháp giảm, thay thế, loại bỏ nhiên liệu có nguồn gốc hoá thạch
|
NĂM…… |
A. Giảm, thay thế, loại bỏ nhiên liệu có nguồn gốc hoá thạch trong sản xuất vật liệu xây dựng
|
|
Mô tả |
|
||||
|---|---|---|---|---|---|---|
|
|
Phạm vi áp dụng |
|
||||
|
|
Năm cơ sở |
|
||||
|
|
STT |
Hạng mục |
Đơn vị |
Năm cơ sở |
Năm y |
Nguồn số liệu |
|
A |
Sử dụng nhiên liệu (Qj) |
|||||
|
|
1 |
Nhiên liệu…… |
|
|
|
|
|
|
.. |
Nhiên liệu…… |
|
|
|
|
|
B |
Nhiệt trị nhiên liệu (NCVj) |
|||||
|
|
1 |
Nhiên liệu…… |
|
|
|
|
|
|
… |
Nhiên liệu…… |
|
|
|
|
|
C |
Hệ số phát thải của nhiên liệu (EFi,j) |
|||||
|
|
1 |
Nhiên liệu…… |
kg CO2/TJ |
|
|
|
|
|
|
|
kg CH4/TJ |
|
||
|
|
|
|
kg N2O/TJ |
|
|
|
|
|
… |
Nhiên liệu…… |
kg CO2/TJ |
|
|
|
|
|
|
|
kg CH4/TJ |
|
|
|
|
|
|
|
kg N2O/TJ |
|
|
|
|
D |
Sử dụng điện (QĐL) |
|
||||
|
|
1 |
Điện sử dụng (QMV) |
kWh |
|
|
|
|
|
2 |
Hệ số phát thải lưới điện (EFĐL) |
Tấn CO2/MWh |
|
|
|
|
E |
Sản lượng |
|||||
|
|
1 |
|
|
|||
B. Giảm, thay thế, loại bỏ nhiên liệu có nguồn gốc hoá thạch trong tòa nhà
(tương tự như trên)
3.11. Biểu mẫu XD11. Bảng thu thập số liệu phục vụ báo cáo giảm nhẹ phát thải khí nhà kính cấp lĩnh vực - Giải pháp thu hồi và lưu trữ khí cacbon dioxit
|
NĂM…… |
|
|
Mô tả |
|
||||
|---|---|---|---|---|---|---|
|
|
Phạm vi áp dụng |
|
||||
|
|
Năm cơ sở |
|
||||
|
|
STT |
Hạng mục |
Đơn vị |
Năm cơ sở |
Năm y |
Nguồn số liệu |
|
A |
Sử dụng nhiên liệu (Qj) |
|||||
|
|
1 |
Nhiên liệu…… |
|
|
|
|
|
|
.. |
Nhiên liệu…… |
|
|
|
|
|
B |
Nhiệt trị nhiên liệu (NCVj) |
|||||
|
|
1 |
Nhiên liệu…… |
|
|
|
|
|
|
… |
Nhiên liệu…… |
|
|
|
|
|
C |
Hệ số phát thải của nhiên liệu (EFi,j) |
|||||
|
|
1 |
Nhiên liệu…… |
kg CO2/TJ |
|
|
|
|
|
|
|
kg CH4/TJ |
|
||
|
|
|
|
kg N2O/TJ |
|
|
|
|
|
… |
Nhiên liệu…… |
kg CO2/TJ |
|
|
|
|
|
|
|
kg CH4/TJ |
|
|
|
|
|
|
|
kg N2O/TJ |
|
|
|
|
D |
Sử dụng điện lưới (QĐL) |
|
||||
|
|
1 |
Điện sử dụng (QMV) |
kWh |
|
|
|
|
|
2 |
Hệ số phát thải lưới điện (EFĐL) |
Tấn CO2/MWh |
|
|
|
|
E |
Sản lượng |
|||||
|
|
1 |
Lượng clanhke |
Tấn |
|
|
|
|
|
2 |
Lượng khí cacbon dioxit được thu hồi và lưu trữ |
Tấn CO2 |
|
|
|
Phụ lục IV
BIỂU MẪU THU THẬP SỐ LIỆU VÀ BÁO CÁO CẤP CƠ SỞ
(Kèm theo Thông tư số 13/2024/TT-BXD ngày 20/12/2024
của Bộ trưởng Bộ Xây dựng)
|
BIỂU MẪU |
NỘI DUNG |
|
CS01 |
Bảng thu thập số liệu phục vụ kiểm kê khí nhà kính cấp cơ sở - Cơ sở sản xuất vật liệu xây dựng |
|
CS02 |
Bảng thu thập số liệu phục vụ kiểm kê khí nhà kính cấp cơ sở - Tòa nhà |
|
CS03 |
Bảng thu thập số liệu phục vụ báo cáo giảm nhẹ phát thải khí nhà kính cấp cơ sở - Giải pháp tăng hiệu suất sử dụng năng lượng trong sản xuất vật liệu xây dựng |
|
CS04 |
Bảng thu thập số liệu phục vụ báo cáo giảm nhẹ phát thải khí nhà kính cấp cơ sở - Giải pháp tăng hiệu suất sử dụng năng lượng đối với tòa nhà |
|
CS05 |
Bảng thu thập số liệu phục vụ báo cáo giảm nhẹ phát thải khí nhà kính cấp cơ sở - Giải pháp cải tạo công trình, cải tiến, thay thế thiết bị làm mát |
|
CS06 |
Bảng thu thập số liệu phục vụ báo cáo giảm nhẹ phát thải khí nhà kính cấp cơ sở - Giải pháp lắp đặt và sử dụng năng lượng mặt trời |
|
CS07 |
Bảng thu thập số liệu phục vụ báo cáo giảm nhẹ phát thải khí nhà kính cấp cơ sở - Giải pháp thu hồi nhiệt thừa |
|
CS08 |
Bảng thu thập số liệu phục vụ báo cáo giảm nhẹ phát thải khí nhà kính cấp cơ sở - Giải pháp tối ưu hoá phối liệu sản xuất clanhke |
|
CS09 |
Bảng thu thập số liệu phục vụ báo cáo giảm nhẹ phát thải khí nhà kính cấp cơ sở - Giải pháp giảm tỷ lệ clanhke trong sản xuất xi măng |
|
CS10 |
Bảng thu thập số liệu phục vụ báo cáo giảm nhẹ phát thải khí nhà kính cấp cơ sở - Giải pháp giảm, thay thế, loại bỏ nhiên liệu có nguồn gốc hoá thạch |
|
CS11 |
Bảng thu thập số liệu phục vụ báo cáo giảm nhẹ phát thải khí nhà kính cấp cơ sở - Giải pháp thu hồi và lưu trữ khí cacbon dioxit |
4.1. Biểu mẫu CS01. Bảng thu thập số liệu phục vụ kiểm kê khí nhà kính cấp cơ sở - Cơ sở sản xuất vật liệu xây dựng
TÊN DOANH NGHIỆP: ________________________________
LOẠI VẬT LIỆU XÂY DỰNG: ________________________________
NĂM KIỂM KÊ: ________________________________
I. Số liệu tính phát thải khí nhà kính từ sử dụng nhiên liệu cho quá trình đốt
|
STT |
Thông số |
Lượng sử dụng (Qi) |
Nhiệt trị (NCVi) |
Nguồn số liệu |
||||||
|
Đơn vị |
Giá trị |
Đơn vị |
Giá trị |
|||||||
|
Than |
1 |
Than ……………… |
tấn |
|
TJ/…. |
|
|
|||
|
… |
Than ……………… |
tấn |
|
TJ/…. |
|
|
||||
|
Xăng, dầu |
1 |
Xăng A95, A92 |
1000 lít |
|
|
|
||||
|
2 |
Xăng E5, Ron 92 |
1000 lít |
|
|
|
|||||
|
3 |
Xăng E10, Ron 92 |
1000 lít |
|
|
|
|||||
|
4 |
Dầu Diesel (DO) |
1000 lít hoặc tấn |
|
|
|
|||||
|
5 |
Dầu nhiên liệu (FO) |
1000 lít hoặc tấn |
|
|
|
|||||
|
Khí |
6 |
Khí tự nhiên (NG) |
Sm3 hoặc tấn |
|
TJ/…. |
|
|
|||
|
7 |
Khí hóa lỏng (LPG) |
tấn hoặc 1000 lít |
|
TJ/…. |
|
|
||||
|
8 |
Khí thiên nhiên hóa lỏng (LNG) |
tấn hoặc 1000 lít |
|
TJ/…. |
|
|
||||
|
9 |
Khí thiên nhiên nén (CNG) |
Sm3 hoặc tấn |
|
TJ/…. |
|
|
||||
|
Sinh khối |
1 |
Sinh khối…..... |
tấn |
|
TJ/…. |
|
|
|||
|
… |
Sinh khối…..... |
tấn |
|
TJ/…. |
|
|
||||
|
Nhiên liệu khác |
1 |
Dầu thải |
tấn |
|
TJ/…. |
|
|
|||
|
2 |
Nhựa thải |
tấn |
|
TJ/…. |
|
|
||||
|
3 |
Lốp xe |
tấn |
|
TJ/…. |
|
|
||||
|
4 |
Vải vụn, rác thải khác |
tấn |
|
TJ/…. |
|
|
||||
|
… |
Nhiên liệu………… |
… |
|
TJ/…. |
|
|
||||
|
II. |
Sử dụng nguyên liệu có chứa gốc cacbonat
|
|||||||||
|
STT |
Thông số |
Đơn vị |
Giá trị |
Nguồn số liệu |
||||||
|
Xi măng |
1 |
Lượng đá vôi sử dụng (QĐV) |
tấn |
|
|
|||||
|
2 |
Lượng đá sét sử dụng (QSE) |
tấn |
|
|
||||||
|
3 |
Hàm lượng CaO bình quân gia quyền trong đá vôi (CĐV.CaO) |
% |
|
|
||||||
|
4 |
Hàm lượng MgO bình quân gia quyền trong đá vôi (CĐV.MgO) |
% |
|
|
||||||
|
5 |
Hàm lượng CaO bình quân gia quyền trong đá sét (CSE.CaO) |
% |
|
|
||||||
|
6 |
Hàm lượng MgO bình quân gia quyền trong đá sét (CSE.MgO) |
% |
|
|
||||||
|
7 |
Sản lượng clanhke |
tấn |
|
|
||||||
|
8 |
Lượng clanhke mua vào |
tấn |
|
|
||||||
|
9 |
Lượng clanhke bán ra |
tấn |
|
|
||||||
|
10 |
Sản lượng xi măng |
tấn |
|
|
||||||
|
11 |
Lượng cac bon dioxit được thu hồi (ER) |
tấn CO2 |
|
|
||||||
|
Vôi |
1 |
Sản lượng vôi có hàm lượng canxi cao (QVO.CA) |
tấn |
|
|
|||||
|
2 |
Sản lượng vôi khác, bao gồm vôi đô lô mit (QVO.KH) |
tấn |
|
|
||||||
|
Kính |
1 |
Sản lượng kính phẳng xây dựng (QKI) |
1000 m2 QTC |
|
|
|||||
|
2 |
Tỷ lệ thuỷ tinh tái chế dùng để sản xuất kính (CRKI) |
% |
|
|
||||||
|
Sứ vệ sinh |
a |
Sản lượng sứ vệ sinh (QKH) |
tấn |
|
|
|||||
|
b |
Sản lượng frit (QKH) |
tấn |
|
|
||||||
|
c |
Tỷ lệ CaCO3 trong nguyên liệu sản xuất frit có chứa gốc cacbonat (k) |
% |
|
|
||||||
|
Gạch nung |
a |
Sản lượng gạch nung (QKH) |
tấn |
|
|
|||||
|
b |
Tỷ lệ CaCO3 trong nguyên liệu sản xuất gạch nung có chứa gốc cacbonat (k) |
% |
|
|
||||||
|
Vật liệu khác |
a |
Sản lượng vật liệu xây dựng khác (QKH) |
tấn |
|
|
|||||
|
b |
Tỷ lệ CaCO3 trong nguyên liệu sản xuất vật liệu xây dựng khác có chứa gốc cacbonat (k) |
% |
|
|
||||||
|
III. |
Số liệu tính phát thải khí nhà kính từ sử dụng điện (QMV, QBR) |
|||||||||
|
STT |
Thông số |
Đơn vị |
Giá trị |
Nguồn số liệu |
||||||
|
Điện |
1 |
Điện mua vào (QMV) |
kWh |
|
|
|||||
|
2 |
Điện mặt trời tự sản xuất* |
kWh |
|
|
||||||
|
3 |
Điện từ thu hồi nhiệt thừa* |
kWh |
|
|
||||||
|
4 |
Điện bán ra (QBR) |
kWh |
|
|
||||||
|
5 |
Điện nung nguyên liệu* |
kWh |
|
|
||||||
Ghi chú:
(*) Số liệu phục vụ thẩm định
Điền giá trị được xác định theo đơn vịquy định:
1. Nguồn số liệu theo quy định tại Điều 19 của Thông tư này.
2. Số liệu chưa được xác định, ghi rõ N/A.
3. Điện mua vào là điện lưới, điện có nguồn gốc từ nhiên liệu hoá thạch.
4. Số liệu sử dụng nhiên liệu cho quá trình đốt:
a) Lượng sử dụng là lượng được xác định theo nguồn số liệu theo đơn vị được quy định;
b) Nhiệt trị là giá trị nhiệt trị thấp, được xác định từ kết quả phân tích, theo số liệu công bố của đơn vị cung cấp hoặc tra theo bảng tại Phụ lục V ban hành theo Thông tư này;
c) Đơn vị quy đổi 1 Kcal = 0,004184 MJ.
4.2. Biểu mẫu CS02. Bảng thu thập số liệu phục vụ kiểm kê khí nhà kính cấp cơ sở - Tòa nhà
TÊN DOANH NGHIỆP: ________________________________
LOẠI TÒA NHÀ: ________________________________
NĂM KIỂM KÊ: ________________________________
|
I. |
Số liệu tính phát thải khí nhà kính từ sử dụng nhiên liệu cho quá trình đốt |
||||||
|
STT |
Thông số |
Lượng sử dụng (Qi) |
Nhiệt trị (NCVi) |
Nguồn số liệu |
|||
|
Đơn vị |
Giá trị |
Đơn vị |
Giá trị |
||||
|
Than |
1 |
Than ……………… |
tấn |
|
TJ/… |
|
|
|
… |
Than ……………… |
tấn |
|
TJ/… |
|
|
|
|
Xăng, dầu |
1 |
Xăng A95, A92 |
1000 lít |
|
|
|
|
|
2 |
Xăng E5, Ron 92 |
1000 lít |
|
|
|
||
|
3 |
Xăng E10, Ron 92 |
1000 lít |
|
|
|
||
|
4 |
Dầu Diesel (DO) |
1000 lít hoặc tấn |
|
|
|
||
|
5 |
Dầu nhiên liệu (FO) |
1000 lít hoặc tấn |
|
|
|
||
|
Khí |
6 |
Khí tự nhiên (NG) |
Sm3 hoặc tấn |
|
TJ/ … |
|
|
|
7 |
Khí hóa lỏng (LPG) |
tấn hoặc 1000 lít |
|
TJ/… |
|
|
|
|
8 |
Khí thiên nhiên hóa lỏng (LNG) |
tấn hoặc 1000 lít |
|
TJ/… |
|
|
|
|
9 |
Khí thiên nhiên nén (CNG) |
Sm3 hoặc tấn |
|
TJ/… |
|
|
|
|
Sinh khối |
1 |
Sinh khối…. |
tấn |
|
TJ/… |
|
|
|
… |
Sinh khối… |
tấn |
|
TJ/… |
|
|
|
|
Khác |
1 |
Nhiên liệu….. |
… |
|
TJ/… |
|
|
|
… |
Nhiên liệu….. |
… |
|
TJ/… |
|
|
|
|
II. |
Số liệu tính phát thải khí nhà kính từ sử dụng thiết bị làm mát |
||||||
|
STT |
Nhóm thiết bị và môi chất lạnh |
Đơn vị |
Lượng nạp thêm (QBD,i) |
Nguồn số liệu |
|||
|
|
|||||||
|
Môi chất |
1 |
|
Kg |
|
|
||
|
… |
|
Kg |
|
|
|||
|
III. |
Sử dụng điện |
||||||
|
STT |
Thông số |
Đơn vị |
Giá trị |
Nguồn số liệu |
|||
|
Điện |
1 |
Điện mua vào (QMV) |
kWh |
|
|
||
|
2 |
Điện mặt trời tự sản xuất* |
kWh |
|
|
|||
|
3 |
Điện bán ra (QBR) |
kWh |
|
|
|||
Ghi chú:
(*) Số liệu phục vụ thẩm định
Điền giá trị được xác định theo đơn vị quy định:
1. Nguồn số liệu được quy định tại khoản 2 Điều 19 của Thông tư này.
2. Số liệu chưa được xác định, ghi rõ N/A.
3. Điện mua vào là điện lưới, điện có nguồn gốc từ nguyên liệu hoá thạch.
4. Số liệu về nhiên liệu sử dụng cho quá trình đốt:
a) Lượng sử dụng là lượng được xác định theo nguồn số liệu theo đơn vị được quy định;
b) Nhiệt trị là giá trị nhiệt trị thấp, được xác định từ kết quả phân tích, theo số liệu công bố của đơn vị cung cấp hoặc tra theo bảng tại Phụ lục V ban hành theo Thông tư này;
c) Đơn vị quy đổi 1 Kcal = 0,004184 MJ.
4.3. Biểu mẫu CS03. Bảng thu thập số liệu phục vụ báo cáo giảm nhẹ phát thải khí nhà kính cấp cơ sở - Giải pháp tăng hiệu suất sử dụng năng lượng trong sản xuất vật liệu xây dựng
|
NĂM: ________________________ |
||||||
|
TÊN DOANH NGHIỆP:________________________
A. Cải tiến, thay thế thiết bị, công nghệ số 1 |
||||||
|
|
Mô tả |
|
||||
|
|
Năm hoàn thành |
|
||||
|
|
Giá trị tại cột năm cơ sở là |
Giá trị của năm…… Giá trị trung bình các năm…… |
||||
|
|
STT |
Hạng mục |
Đơn vị |
Năm cơ sở |
Năm y |
Nguồn số liệu |
|
I |
Sử dụng nhiên liệu (Qi) |
|||||
|
|
1 |
Nhiên liệu…… |
|
|
|
|
|
|
.. |
Nhiên liệu…… |
|
|
|
|
|
II |
Nhiệt trị nhiên liệu (NCVj ) |
|
||||
|
|
1 |
Nhiên liệu…… |
|
|
|
|
|
|
… |
Nhiên liệu…… |
|
|
|
|
|
III |
Hệ số phát thải của nhiên liệu (EFi,j) |
|||||
|
|
1 |
Nhiên liệu…… |
kg CO2/TJ |
|
|
|
|
|
|
|
kg CH4/TJ |
|
|
|
|
|
|
|
kg N2O/TJ |
|
|
|
|
|
… |
Nhiên liệu…… |
kg CO2/TJ |
|
|
|
|
|
|
|
kg CH4/TJ |
|
|
|
|
|
|
|
kg N2O/TJ |
|
|
|
|
IV |
Sử dụng điện |
|
||||
|
|
1 |
Điện sử dụng (QMV) |
kWh |
|
|
|
|
|
2 |
Hệ số phát thải lưới điện (EFĐL) |
Tấn CO2/MWh |
|
|
|
|
V |
Sản lượng (Qcs, Qy) |
|
||||
|
|
1 |
|
|
|
|
|
|
B. Cải tiến, thay thế thiết bị, công nghệ số 2 (tiếp tục bổ sung, nếu có) |
||||||
4.4. Biểu mẫu CS04. Bảng thu thập số liệu phục vụ báo cáo giảm nhẹ phát thải khí nhà kính cấp cơ sở - Giải pháp tăng hiệu suất sử dụng năng lượng đối với tòa nhà
|
NĂM: ___________________________ |
||||||
|
TÊN DOANH NGHIỆP: ___________________________
A. Cải tiến, thay thế thiết bị, công nghệ số 1 |
||||||
|
|
Mô tả |
|
||||
|
|
Năm hoàn thành |
|
||||
|
|
Giá trị tại cột năm cơ sở là |
Giá trị của năm…… Giá trị trung bình các năm…… |
||||
|
|
STT |
Hạng mục |
Đơn vị |
Năm cơ sở |
Năm y |
Nguồn số liệu |
|
I |
Sử dụng nhiên liệu (Qi) |
|||||
|
|
1 |
Nhiên liệu…… |
|
|
|
|
|
|
.. |
Nhiên liệu…… |
|
|
|
|
|
II |
Nhiệt trị nhiên liệu (NCVj ) |
|
||||
|
|
1 |
Nhiên liệu…… |
|
|
|
|
|
|
… |
Nhiên liệu…… |
|
|
|
|
|
III |
Hệ số phát thải của nhiên liệu (EFi,j) |
|||||
|
|
1 |
Nhiên liệu…… |
kg CO2/TJ |
|
|
|
|
|
|
|
kg CH4/TJ |
|
|
|
|
|
|
|
kg N2O/TJ |
|
|
|
|
|
… |
Nhiên liệu…… |
kg CO2/TJ |
|
|
|
|
|
|
|
kg CH4/TJ |
|
|
|
|
|
|
|
kg N2O/TJ |
|
|
|
|
IV |
Sử dụng điện |
|
||||
|
|
1 |
Điện sử dụng (QMV) |
kWh |
|
|
|
|
|
2 |
Hệ số phát thải lưới điện (EFĐL) |
Tấn CO2/MWh |
|
|
|
|
V |
Sản lượng (Qcs, Qy) |
|
||||
|
|
1 |
|
|
|
|
|
|
B. Cải tiến, thay thế thiết bị, công nghệ số 2 (tiếp tục bổ sung, nếu có) |
4.5. Biểu mẫu CS05. Bảng thu thập số liệu phục vụ báo cáo giảm nhẹ phát thải khí nhà kính cấp cơ sở - Giải pháp cải tạo tòa nhà, cải tiến, thay thế thiết bị làm mát
NĂM: ___________________________
TÊN DOANH NGHIỆP: ___________________________
A. Cải tạo công trình, cải tiến, thay thế thiết bị, công nghệ làm mát số 1
|
|
Mô tả |
|
||||
|---|---|---|---|---|---|---|
|
|
Năm hoàn thành |
|
||||
|
|
Giá trị tại cột năm cơ sở là |
Giá trị của năm…… Giá trị trung bình các năm…… |
||||
|
|
STT |
Hạng mục |
Đơn vị |
Năm cơ sở |
Năm y |
Nguồn số liệu |
|
A |
Sử dụng điện |
|||||
|
|
1 |
Điện sử dụng (QMV) |
kWh |
|
|
|
|
|
2 |
Hệ số phát thải lưới điện (EFĐL) |
Tấn CO2/MWh |
|
|
|
|
B |
Môi chất bổ sung (QBD,i) |
|||||
|
|
1 |
Môi chất……. |
kg |
|
|
|
|
|
… |
Môi chất……. |
kg |
|
|
|
|
C |
Hệ số làm nóng lên toàn cầu của môi chất lạnh GWPi |
|||||
|
|
1 |
Môi chất……. |
|
|
|
|
|
|
… |
Môi chất……. |
|
|
|
|
|
D |
Sản lượng, dịch vụ Qcs, Qy |
|
||||
|
|
1 |
|
|
|
|
|
B. Cải tạo công trình, cải tiến, thay thế thiết bị, công nghệ làm mát số 2
(tiếp tục bổ sung, nếu có)
4.6. Biểu mẫu CS06. Bảng thu thập số liệu phục vụ báo cáo giảm nhẹ phát thải khí nhà kính cấp cơ sở - Giải pháp lắp đặt và sử dụng năng lượng mặt trời
NĂM: ___________________________
TÊN DOANH NGHIỆP: ___________________________
|
|
Mô tả |
|
|||
|---|---|---|---|---|---|
|
|
Năm hoàn thành |
|
|||
|
|
Giá trị tại cột năm cơ sở là |
Giá trị của năm…… Giá trị trung bình các năm…… |
|||
|
STT |
Hạng mục |
Đơn vị |
Năm cơ sở |
Năm y |
Nguồn số liệu |
|
1 |
Sản lượng điện mặt trời |
kWh |
|
||
|
2 |
Điện sử dụng cho hệ thống năng lượng mặt trời |
kWh |
|
|
|
|
3 |
Hệ số phát thải lưới điện (EFĐL) |
Tấn CO2/MWh |
|
|
|
4.7. Biểu mẫu CS07. Bảng thu thập số liệu phục vụ báo cáo giảm nhẹ phát thải khí nhà kính cấp cơ sở - Giải pháp thu hồi nhiệt thừa
|
NĂM: ___________________________ TÊN DOANH NGHIỆP: ___________________________
|
||||||||||||||||||||||||||||||||||||||||||||||||||||||||||||||||||||||||||||||||||||||||||||||||||||||||||||||||||||||||||||||||||||||||||||||||||||||||||||||||||||||||||||||||||||||||||||||||
4.8. Biểu mẫu CS08. Bảng thu thập số liệu phục vụ báo cáo giảm nhẹ phát thải khí nhà kính cấp cơ sở - Giải pháp tối ưu hoá phối liệu sản xuất clanhke
NĂM: ___________________________
TÊN DOANH NGHIỆP: ___________________________
A. Tối ưu hoá phối liệu sản xuất clanhke số 1
|
|
Mô tả |
|
|||||
|---|---|---|---|---|---|---|---|
|
|
Năm hoàn thành |
|
|||||
|
|
Giá trị tại cột năm cơ sở là |
Giá trị của năm…… Giá trị trung bình các năm…… |
|||||
|
|
STT |
Hạng mục |
Đơn vị |
Năm cơ sở |
Năm y |
Nguồn số liệu |
|
|
A |
Sử dụng nhiên liệu cho sản xuất clanhke (Qj) |
||||||
|
|
1 |
Nhiên liệu…… |
|
|
|
|
|
|
|
.. |
Nhiên liệu…… |
|
|
|
|
|
|
B |
Nhiệt trị nhiên liệu (NCVj) |
||||||
|
|
1 |
Nhiên liệu…… |
|
|
|
|
|
|
|
… |
Nhiên liệu…… |
|
|
|
|
|
|
C |
Hệ số phát thải của nhiên liệu (EFi,j) |
||||||
|
|
1 |
Nhiên liệu…… |
kg CO2/TJ |
|
|
||
|
|
|
|
kg CH4/TJ |
|
|||
|
|
|
|
kg N2O/TJ |
|
|
||
|
|
… |
Nhiên liệu…… |
kg CO2/TJ |
|
|
||
|
|
|
|
kg CH4/TJ |
|
|
||
|
|
|
|
kg N2O/TJ |
|
|
||
|
D |
Sử dụng điện cho sản xuất clanhke (QĐL) |
|
|||||
|
|
1 |
Điện sử dụng (QMV) |
kWh |
|
|
|
|
|
|
2 |
Hệ số phát thải lưới điện (EFĐL) |
Tấn CO2/MWh |
|
|
|
|
|
E |
Sản lượng |
||||||
|
|
1 |
Lượng đá vôi sử dụng (QĐV) |
tấn |
|
|
||
|
|
2 |
Lượng đá sét sử dụng (QSE) |
tấn |
|
|
|
|
|
|
3 |
Hàm lượng CaO bình quân gia quyền trong đá vôi (CĐV.CaO) |
% |
|
|
||
|
|
4 |
Hàm lượng MgO bình quân gia quyền trong đá vôi (CĐV.MgO) |
% |
|
|
||
|
|
5 |
Hàm lượng CaO bình quân gia quyền trong đá sét (CSE.CaO) |
% |
|
|
||
|
|
6 |
Hàm lượng MgO bình quân gia quyền trong đá sét (CSE.MgO) |
% |
|
|
|
|
B. Tối ưu hoá phối liệu sản xuất clanhke số 2
(tiếp tục bổ sung, nếu có)4.9. Biểu mẫu CS09. Bảng thu thập số liệu phục vụ báo cáo giảm nhẹ phát thải khí nhà kính cấp cơ sở - Giải pháp giảm tỷ lệ clanhke trong sản xuất xi măng
|
NĂM: ___________________________ TÊN DOANH NGHIỆP: ___________________________ |
|
Mô tả |
|
|---|---|
|
Năm hoàn thành |
|
|
Giá trị tại cột năm cơ sở là |
Giá trị của năm…… Giá trị trung bình các năm…… |
|
|
STT |
Hạng mục |
Đơn vị |
Năm cơ sở |
Năm y |
Nguồn số liệu |
|---|---|---|---|---|---|---|
|
A |
Sử dụng nhiên liệu (Qj) |
|||||
|
|
1 |
Nhiên liệu…… |
|
|
|
|
|
|
… |
Nhiên liệu…… |
|
|
|
|
|
B |
Nhiệt trị nhiên liệu (NCVj) |
|||||
|
|
1 |
Nhiên liệu…… |
|
|
|
|
|
|
… |
Nhiên liệu…… |
|
|
|
|
|
C |
Hệ số phát thải của nhiên liệu (EFi,j) |
|||||
|
|
1 |
Nhiên liệu…… |
kg CO2/TJ |
|
|
|
|
|
|
|
kg CH4/TJ |
|
|
|
|
|
|
|
kg N2O/TJ |
|
|
|
|
|
… |
Nhiên liệu…… |
kg CO2/TJ |
|
|
|
|
|
|
|
kg CH4/TJ |
|
|
|
|
|
|
|
kg N2O/TJ |
|
|
|
|
D |
Sử dụng điện cho sản xuất clanhke |
|||||
|
|
1 |
Điện sử dụng (QMV) |
kWh |
|
|
|
|
|
2 |
Hệ số phát thải lưới điện |
Tấn CO2/MWh |
|
|
|
|
E |
Sử dụng điện cho phối trộn xi măng |
|||||
|
|
1 |
Điện sử dụng (QMV) |
kWh |
|
|
|
|
|
2 |
Hệ số phát thải lưới điện |
Tấn CO2/MWh |
|
|
|
|
F |
Sản lượng |
|||||
|
|
1 |
Lượng đá vôi sử dụng (QĐV) |
tấn |
|
|
|
|
|
2 |
Lượng đá sét sử dụng (QSE) |
tấn |
|
|
|
|
|
3 |
Hàm lượng CaO bình quân gia quyền trong đá vôi (CĐV.CaO) |
% |
|
|
|
|
|
4 |
Hàm lượng MgO bình quân gia quyền trong đá vôi (CĐV.MgO) |
% |
|
|
|
|
|
5 |
Hàm lượng CaO bình quân gia quyền trong đá sét (CSE.CaO) |
% |
|
|
|
|
|
6 |
Hàm lượng MgO bình quân gia quyền trong đá sét (CSE.MgO) |
% |
|
|
|
|
|
7 |
Sản lượng clanhke |
tấn |
|
|
|
|
|
8 |
Lượng clanhke mua vào |
tấn |
|
|
|
|
|
9 |
Lượng clanhke bán ra |
tấn |
|
|
|
|
|
10 |
Sản lượng xi măng |
tấn |
|
|
|
4.10. Biểu mẫu CS10. Bảng thu thập số liệu phục vụ báo cáo giảm nhẹ phát thải khí nhà kính cấp cơ sở - Giải pháp giảm, thay thế, loại bỏ nhiên liệu có nguồn gốc hoá thạch
|
NĂM: ___________________________ TÊN DOANH NGHIỆP: ___________________________ |
|
|
Mô tả |
|
||||
|---|---|---|---|---|---|---|
|
|
Năm hoàn thành |
|
||||
|
|
Giá trị tại cột năm cơ sở là |
Giá trị của năm…… Giá trị trung bình các năm…… |
||||
|
|
STT |
Hạng mục |
Đơn vị |
Năm cơ sở |
Năm y |
Nguồn số liệu |
|
A |
Sử dụng nhiên liệu (Qj) |
|||||
|
|
1 |
Nhiên liệu…… |
|
|
|
|
|
|
.. |
Nhiên liệu…… |
|
|
|
|
|
B |
Nhiệt trị nhiên liệu (NCVj) |
|||||
|
|
1 |
Nhiên liệu…… |
|
|
|
|
|
|
… |
Nhiên liệu…… |
|
|
|
|
|
C |
Hệ số phát thải của nhiên liệu (EFi,j) |
|||||
|
|
1 |
Nhiên liệu…… |
kg CO2/TJ |
|
|
|
|
|
|
|
kg CH4/TJ |
|
||
|
|
|
|
kg N2O/TJ |
|
|
|
|
|
… |
Nhiên liệu…… |
kg CO2/TJ |
|
|
|
|
|
|
|
kg CH4/TJ |
|
|
|
|
|
|
|
kg N2O/TJ |
|
|
|
|
D |
Sử dụng điện (QĐL) |
|
||||
|
|
1 |
Điện sử dụng (QMV) |
kWh |
|
|
|
|
|
2 |
Hệ số phát thải lưới điện (EFĐL) |
Tấn CO2/MWh |
|
|
|
|
E |
Sản lượng |
|||||
|
|
1 |
|
|
|||
4.11. Biểu mẫu CS11. Bảng thu thập số liệu phục vụ báo cáo giảm nhẹ phát thải khí nhà kính cấp cơ sở - Giải pháp thu hồi và lưu trữ khí cacbon dioxit
|
NĂM: ___________________________ TÊN DOANH NGHIỆP: ___________________________ |
|
|
Mô tả |
|
||||
|---|---|---|---|---|---|---|
|
|
Năm hoàn thành |
|
||||
|
|
Giá trị tại cột năm cơ sở là |
Giá trị của năm…… Giá trị trung bình các năm…… |
||||
|
|
STT |
Hạng mục |
Đơn vị |
Năm cơ sở |
Năm y |
Nguồn số liệu |
|
A |
Sử dụng nhiên liệu (Qj) |
|||||
|
|
1 |
Nhiên liệu…… |
|
|
|
|
|
|
.. |
Nhiên liệu…… |
|
|
|
|
|
B |
Nhiệt trị nhiên liệu (NCVj) |
|||||
|
|
1 |
Nhiên liệu…… |
|
|
|
|
|
|
… |
Nhiên liệu…… |
|
|
|
|
|
C |
Hệ số phát thải của nhiên liệu (EFi,j) |
|||||
|
|
1 |
Nhiên liệu…… |
kg CO2/TJ |
|
|
|
|
|
|
|
kg CH4/TJ |
|
||
|
|
|
|
kg N2O/TJ |
|
|
|
|
|
… |
Nhiên liệu…… |
kg CO2/TJ |
|
|
|
|
|
|
|
kg CH4/TJ |
|
|
|
|
|
|
|
kg N2O/TJ |
|
|
|
|
D |
Sử dụng điện lưới (QĐL) |
|
||||
|
|
1 |
Điện sử dụng (QMV) |
kWh |
|
|
|
|
|
2 |
Hệ số phát thải lưới điện (EFĐL) |
Tấn CO2/MWh |
|
|
|
|
E |
Sản lượng |
|||||
|
|
1 |
Lượng clanhke |
Tấn |
|
|
|
|
|
2 |
Lượng khí cacbon dioxit được thu hồi và lưu trữ |
Tấn CO2 |
|
|
|
Phụ lục V
BẢNG TRA CỨU NHIỆT TRỊ NHIÊN LIỆU
ÁP DỤNG CHO NGÀNH XÂY DỰNG
(Kèm theo Thông tư số 13/2024/TT-BXD ngày 20/12/2024
của Bộ trưởng Bộ Xây dựng)
5.1. Phạm vi áp dụng
Nhiệt trị nhiên liệu cấp lĩnh vực là giá trị được quy định tại mục 5.2 Phụ lục này.
Nhiệt trị nhiên liệu cấp cơ sở là giá trị được phân tích bởi Phòng Thí nghiệm đạt chuẩn VILAS trong năm thực hiện báo cáo. Trong trường hợp không có kết quả phân tích yêu cầu, áp dụng giá trị được quy định tại mục 5.2 Phụ lục này.
5.2. Nhiệt trị
Ký hiệu: NCVj - Giá trị nhiệt trị ròng của nhiên liệu j
|
|
STT |
Loại nhiên liệu |
Nhiệt trị |
Đơn vị |
|---|---|---|---|---|
|
Than |
1 |
Than antraxit |
26,7 |
TJ/1000 tấn |
|
2 |
Than bitum |
25,8 |
TJ/1000 tấn |
|
|
3 |
Than á bitum |
18,9 |
TJ/1000 tấn |
|
|
Xăng, dầu |
6 |
Xăng A95, A92 |
44,3 |
TJ/1000 tấn |
|
32,8 |
TJ/triệu lít |
|||
|
7 |
Xăng E5, Ron 92 |
43,4 |
TJ/1000 tấn |
|
|
32,1 |
TJ/triệu lít |
|||
|
8 |
Xăng E10, Ron 92 |
42,5 |
TJ/1000 tấn |
|
|
|
|
31,3 |
TJ/triệu lít |
|
|
9 |
Dầu Diesel (DO) |
43,0 |
TJ/1000 tấn |
|
|
36,3 |
TJ/triệu lít |
|||
|
10 |
Dầu nhiên liệu (FO) |
40,4 |
TJ/1000 tấn |
|
|
|
38,9 |
TJ/triệu lít |
||
|
Khí |
11 |
Khí tự nhiên (NG) |
48,0 |
TJ/1000 tấn |
|
|
|
34,2 |
TJ/triệu Sm3 |
|
|
12 |
Khí hóa lỏng (LPG) |
47,3 |
TJ/1000 tấn |
|
|
24,7 |
TJ/triệu lít |
|||
|
13 |
Khí thiên nhiên hóa lỏng (LNG) |
44,2 |
TJ/1000 tấn |
|
|
26,2 |
TJ/triệu lít |
|||
|
14 |
Khí thiên nhiên nén (CNG) |
53,0 |
TJ/1000 tấn |
|
|
37,9 |
TJ/triệu Sm3 |
|||
|
Sinh khối |
15 |
Gỗ, củi, gỗ thải |
15,6 |
TJ/1000 tấn |
|
16 |
Sinh khối khác |
11,6 |
TJ/1000 tấn |
|
|
Khác |
17 |
Dầu thải |
40,2 |
TJ/1000 tấn |
|
* Các loại khác như nhựa thải, lốp xe, vải vụn lấy theo giá trị thực tế |
||||
Phụ lục VI
DANH MỤC HỆ SỐ PHÁT THẢI ÁP DỤNG CHO NGÀNH XÂY DỰNG
(Kèm theo Thông tư số 13/2024/TT-BXD ngày 20/12/2024
của Bộ trưởng Bộ Xây dựng)
6.1. Phạm vi áp dụng
Hệ số phát thải dưới đây được áp dụng trong trường hợp các kết quả nghiên cứu, phân tích thực tế chưa được thẩm định và công nhận theo quy định tại điểm c khoản 2 Điều 10 Thông tư 01/2022/BTNMT.
Tỷ lệ rò rỉ môi chất lạnh gồm rò rỉ từ quá trình vận hành và nạp thêm môi chất lạnh, được áp dụng khi không có số liệu về lượng môi chất nạp thêm trong giai đoạn báo cáo.
6.2. Hệ số phát thải hoạt động đốt nhiên liệu
Ký hiệu: EFi,j - Hệ số phát thải khí nhà kính i của nhiên liệu j
|
STT |
Nhiên liệu |
Hệ số phát thải |
||
|---|---|---|---|---|
|
EFCO2 kg CO2/TJ |
EFCH4 kg CH4/TJ |
EFN2O kg N2O/TJ |
||
|
I |
Than |
|||
|
1 |
Than Antraxit |
98.300 |
10 |
1,5 |
|
2 |
Than bitum |
94.600 |
10 |
1,5 |
|
3 |
Than á bitum |
96.100 |
10 |
1,5 |
|
4 |
Than khác |
96.100 |
10 |
1,5 |
|
II |
Xăng, dầu |
|||
|
6 |
Xăng A95, A92 |
69.300 |
33 |
3.2 |
|
7 |
Xăng E5, Ron 92 |
65.604 |
31 |
3.0 |
|
8 |
Xăng E10, Ron 92 |
61.933 |
29 |
2.9 |
|
9 |
Dầu Diesel (DO) |
74.100 |
3 |
0,6 |
|
10 |
Dầu nhiên liệu (FO) |
77.400 |
3 |
0,6 |
|
III |
Khí |
|||
|
11 |
Khí tự nhiên (NG) |
56.100 |
1 |
0.1 |
|
12 |
Khí hóa lỏng (LPG) |
63.100 |
1 |
0,1 |
|
13 |
Khí thiên nhiên hóa lỏng (LNG) |
64.200 |
3 |
0.6 |
|
14 |
Khí thiên nhiên nén (CNG) |
56.100 |
1 |
0,1 |
|
IV |
Sinh khối |
|||
|
15 |
Gỗ, củi, gỗ thải |
112.000 |
30 |
4 |
|
16 |
Sinh khối khác (vỏ hạt điều, vỏ hạt cà phê…) |
100.000 |
30 |
4 |
|
V |
Nhiên liệu khác |
|||
|
17 |
Dầu thải |
73.300 |
30 |
4 |
|
18 |
Nhựa thải |
75.000 |
- |
- |
|
19 |
Lốp xe |
85.000 |
- |
- |
|
20 |
Vải vụn, rác thải khác |
80,000 |
- |
- |
6.3. Hệ số phát thải lưới điện quốc gia
Ký hiệu: EFDL
|
Năm |
Giá trị |
Đơn vị |
|
2014 |
0,6612 |
tấn CO2/MWh |
|
2015 |
0,8154 |
tấn CO2/MWh |
|
2016 |
0,9185 |
tấn CO2/MWh |
|
2017 |
0,8649 |
tấn CO2/MWh |
|
2018 |
0,9130 |
tấn CO2/MWh |
|
2019 |
0,8458 |
tấn CO2/MWh |
|
2020 |
0,8041 |
tấn CO2/MWh |
|
2021 |
0,7221 |
tấn CO2/MWh |
|
2022 |
0,6766 |
tấn CO2/MWh |
|
Từ năm 2023 |
Theo thông báo của Bộ Tài nguyên và Môi trường hoặc giá trị của năm gần nhất |
|
6.4. Tỷ lệ rò rỉ môi chất của thiết bị làm mát
Ký hiệu: Rj – Tỷ lệ rò rỉ của môi chất của thiết bị j
|
STT |
Nhóm thiết bị lạnh |
Tỷ lệ rò rỉ môi chất lạnh hàng năm so với lượng nạp ban đầu |
|---|---|---|
|
1 |
Điều hoà dân dụng, chillers |
3,0% |
|
2 |
Điều hoà thương mại, bơm nhiệt |
6,0% |
|
3 |
Tủ lạnh dân dụng |
0,3% |
|
4 |
Tủ lạnh, tủ đông thương mại |
1,5% |
|
5 |
Thiết bị, hệ thống làm lạnh trung tâm, siêu thị |
17,0% |
Phụ lục VII
DANH MỤC HỆ SỐ LÀM NÓNG LÊN TOÀN CẦU
ÁP DỤNG CHO NGÀNH XÂY DỰNG
(Kèm theo Thông tư số 13/2024/TT-BXD ngày 20/12/2024
của Bộ trưởng Bộ Xây dựng)
Hệ số làm nóng lên toàn cầu (GWP): do Ban Liên Chính phủ về Biến đổi khí hậu công bố. Ký hiệu: GWPi
1. Hệ số làm nóng lên toàn cầu đối với báo cáo cấp lĩnh vực là hệ số được sử dụng trong các báo cáo của quốc gia năm gần nhất.
2. Hệ số làm nóng lên toàn cầu đối với báo cáo cấp cơ sở là hệ số cập nhật được Ban Liên Chính phủ về biến đổi khí hậu công bố.
3. Áp dụng hệ số làm nóng lên toàn cầu dưới đây và cập nhật khi có sự thay đổi:
|
STT |
Khí nhà kính và môi chất |
GWP |
||||
|
I |
Nhóm khí nhà kính cơ bản |
Tên viết tắt |
Công thức hóa học |
AR4 |
AR5 |
AR6 |
|
1 |
Cacbon dioxit |
CO2, R-744 |
CO2 |
1 |
1 |
1 |
|
2 |
Mê tan |
CH4, R-50 |
CH4 |
25 |
28 |
27,9 |
|
3 |
Ni tơ oxit |
N2O, R-744a |
N2O |
298 |
265 |
273 |
|
II |
Nhóm HCFCs |
Tên viết tắt |
Công thức hóa học |
AR4 |
AR5 |
AR6 |
|
1 |
HCFC-22 |
R-22 |
CHCIF2 |
1.810 |
1.760 |
1.960 |
|
2 |
HCFC-123 |
R-123 |
C2HCl2F3 |
77 |
79 |
90 |
|
3 |
HCFC-123A |
R-123A |
CHCIFCCIF2 |
NA |
370 |
395 |
|
III |
Nhóm HFCs |
Tên viết tắt |
Công thức hóa học |
AR4 |
AR5 |
AR6 |
|
1 |
HFC-23 |
R-23 |
CHF3 |
14.800 |
12.400 |
14.600 |
|
2 |
HFC-32 |
R-32 |
CH2F2 |
675 |
677 |
771 |
|
3 |
HFC-41 |
R-41 |
CH3F |
NA |
116 |
135 |
|
4 |
HFC-125 |
R-125 |
CHF2CF3 |
3.500 |
3.170 |
3.740 |
|
5 |
HFC-134 |
R-134 |
CHF2CHF2 |
NA |
1.120 |
1.260 |
|
6 |
HFC-134a |
R-134a |
CH2FCF3 |
1.430 |
1.300 |
1,530 |
|
7 |
HFC-143 |
R-143 |
CH2FCHF2 |
NA |
328 |
364 |
|
8 |
HFC-143a |
R-143a |
CH3CF3 |
4.470 |
4.800 |
5.810 |
|
9 |
HFC-152 |
R-152 |
CH2FCH2F |
NA |
16 |
21.5 |
|
10 |
HFC-152a |
R-152a |
CH3CHF2 |
124 |
138 |
164 |
|
11 |
HFC-161 |
R-161 |
CH3CH2F |
NA |
4 |
4,84 |
|
12 |
HFC-227ca |
R-227ca |
CF3CF2CHF2 |
NA |
NA |
2.980 |
|
13 |
HFC-227ea |
R-227ea |
C3HF7 |
3.220 |
3.350 |
3.600 |
|
14 |
HFC-236cb |
R-236cb |
CH2FCF2CF3 |
NA |
1.210 |
1.350 |
|
15 |
HFC-236ea |
R-236ea |
CHF2CHFCF3 |
NA |
1.330 |
1.500 |
|
16 |
HFC-236fa |
R-236fa |
CF3CH2CF3 |
9.810 |
8.060 |
8.690 |
|
17 |
HFC-245ca |
R-245ca |
CH2FCF2CHF2 |
NA |
716 |
787 |
|
18 |
HFC-245cb |
R-245cb |
CF3CF2CH3 |
NA |
NA |
4.550 |
|
19 |
HFC-245ea |
R-245ea |
CHF2CHFCHF2 |
NA |
NA |
255 |
|
20 |
HFC-245eb |
R-245eb |
CH2FCHFCF3 |
NA |
NA |
325 |
|
21 |
HFC-245fa |
R-245fa |
CHF2CH2CF3 |
1.030 |
858 |
962 |
|
22 |
HFC-263fb |
R-263fb |
CH3CH2CF3 |
NA |
NA |
74,8 |
|
23 |
HFC-272ca |
R-272ca |
CH3CF2CH3 |
NA |
NA |
599 |
|
24 |
HFC-329p |
R-329p |
CHF2CF2CF2CF3 |
NA |
NA |
2.890 |
|
25 |
HFC-365mfc |
R-365mfc |
CH3CF2CH2CF3 |
794 |
804 |
914 |
|
26 |
HFC-43-10mee |
R-43-10mee |
CF3CHFCHFCF2CF3 |
1.640 |
1.650 |
1.600 |
|
IV |
Nhóm hỗn hợp môi chất lạnh |
Thành phần |
AR4 |
AR5 |
AR6 |
|
|
1 |
R-401A |
R-22/R-152/R-124 53/13/34 |
1.182 |
1.130 |
1.263 |
|
|
2 |
R-404A |
R-125/R-143a/R-134a 44/52/4 |
3.922 |
3.943 |
4.728 |
|
|
3 |
R-406A |
R-22/R-600a/R-142b 55/14/41 |
1.943 |
1.780 |
2.021 |
|
|
4 |
R-407A |
R-32/R-125/R-134a 20/40/40 |
2.107 |
1.923 |
2.262 |
|
|
5 |
R-407B |
R-32/R-125/R-134a 10/70/20 |
2.804 |
2.547 |
3.001 |
|
|
6 |
R-407C |
R-32/R-125/R-134a 23/25/52 |
1.774 |
1.624 |
1.908 |
|
|
7 |
R-407D |
R-32/R-125/R-134a 15/15/70 |
1.627 |
1.487 |
1.748 |
|
|
8 |
R-407E |
R-32/R-125/R-134a 25/15/60 |
1.552 |
1.425 |
1.672 |
|
|
9 |
R-407F |
R-32/R-125/R-134a 40/30/30 |
1.749 |
1.612 |
1.889 |
|
|
10 |
R-407H |
R-32/R-125/R-134a 32.5/15/52.5 |
1.495 |
1.378 |
1.615 |
|
|
11 |
R-408A |
R-125/R-143a/R-22 7/46/47 |
3.152 |
3.257 |
3.856 |
|
|
12 |
R-409A |
R-22/R-124/R-142b 60/25/15 |
1.585 |
1.485 |
1.670 |
|
|
13 |
R-409B |
R-22/R-124/R-142b 65/25/10 |
1.560 |
1.474 |
1.653 |
|
|
14 |
R-410A |
R-32/R-125 50/50 |
2.088 |
1.924 |
2.256 |
|
|
15 |
R-410B |
R-32/R-125 45/55 |
2.229 |
2.048 |
2.404 |
|
|
16 |
R-417A |
R125/R-134a/R-600 46,6/50,0/3,4 |
2.346 |
2.127 |
2.508 |
|
|
17 |
R-420A |
R-134a/R-142b 88/12 |
1.536 |
1.382 |
1.622 |
|
|
18 |
R-421A |
R-125/R-134a 58/42 |
2.631 |
2.385 |
2.812 |
|
|
19 |
R-421B |
R-125/R-134a 85/15 |
3.190 |
2.890 |
3.409 |
|
|
20 |
R-422A |
R-125/R-134a/R-600a 85.1/11.5/3.4 |
3.143 |
2.847 |
3.359 |
|
|
21 |
R-422B |
R-125/R-134a/R-600a 55/42/3 |
2.526 |
2.290 |
2.700 |
|
|
22 |
R-422C |
R-125/R-134a/R-600a 82/15/3 |
3.085 |
2.794 |
3.296 |
|
|
23 |
R-507A |
R-125/R-143a 50/50 |
3.985 |
3.985 |
4.775 |
|
|
V |
Nhóm HFOs |
Tên viết tắt |
Công thức hóa học |
AR4 |
AR5 |
AR6 |
|
1 |
HFO-1123 |
R-1123 |
CHF=CF2 |
NA |
NA |
0,005 |
|
2 |
HFO-1132a |
R-1132a |
CH2=CF2 |
NA |
<1 |
0,052 |
|
3 |
HFO-1141 |
R-1141 |
CH2=CHF |
NA |
<1 |
0,024 |
|
4 |
HFO-1225ye(Z) |
R-1225ye(Z) |
(Z)-CF3CF=CHF |
NA |
<1 |
0,344 |
|
5 |
HFO-1225ye(E) |
R-1225ye(E) |
(E)-CF3CF=CHF |
NA |
<1 |
0,118 |
|
6 |
HFO-1234ze(Z) |
R-1234ze(Z) |
(Z)-CF3CH=CHF |
NA |
<1 |
0,315 |
|
7 |
HFO-1234ze(E) |
R-1234ze(E) |
(E)-CF3CH=CHF |
NA |
<1 |
1,37 |
|
8 |
HFO-1234yf |
R-1234yf |
CF3CF=CH2 |
NA |
<1 |
0,501 |
|
9 |
HFO-1336mzz(E) |
R-1336mzz(E) |
(E)-CF3CH=CHCF3 |
NA |
NA |
17,9 |
|
10 |
HFO-1336mzz(Z) |
R-1336mzz(Z) |
(Z)-CF3CH=CHCF3 |
NA |
2 |
2,08 |
|
11 |
HFO-1243zf |
R-1243zf |
CF3CH=CH2 |
NA |
<1 |
0,261 |
|
12 |
HFO-1345zfc |
R-1345zfc |
CF3CF2CH=CH2 |
NA |
<1 |
0,182 |
|
13 |
HFO-1438ezy (E) |
R-1438ezy(E) |
(E)-(CF3)2CFCH=CHF |
NA |
NA |
8,220 |
|
14 |
HFO-1447fz |
R-1447fz |
CF3(CF2)2CH=CH2 |
NA |
NA |
0,235 |
|
15 |
3,3,4,4,5,5,6,6,6-Nonafluorohex-1-ene |
NA |
n-C4F9CH=CH2 |
NA |
<1 |
0,204 |
|
16 |
3,3,4,4,5,5,6,6,7,7,8,8,8-Tridecafluorooct-1-ene |
NA |
n-C6F13CH=CH2 |
NA |
<1 |
0,162 |
|
17 |
3,3,4,4,5,5,6,6,7,7,8,8,9,9,10,10,10-Heptadecafluorodec-1-ene |
NA |
n-C8F17CH=CH2 |
NA |
<1 |
0,141 |
|
18 |
3,3,3-trifluoro-2-(trifluoromethy)prop-1-ene |
NA |
(CF3)2C=CH2 |
NA |
NA |
0,377 |
|
19 |
1,1,2,2,3,3-hexafluorocyclopentane |
NA |
cyc (-CF2CF2CF2CH2CH2-) |
NA |
NA |
120 |
|
20 |
1,1,2,2,3,3,4-heptafluorocyclopentane |
NA |
cyc (-CF2CF2CF2CHFCH2-) |
NA |
NA |
231 |
|
21 |
1,3,3,4,4,5,5-heptafluorocyclopentene |
NA |
cyc (-CF2CF2CF2CF=CH-) |
NA |
NA |
45,1 |
|
22 |
(4s,5s)-1,1,2,2,3,3,4,5-octafluorocyclopentane |
NA |
trans-cyc (-CF2CF2CF2CHFCHF-) |
NA |
NA |
258 |
|
23 |
1,3,3,4,4-pentafluorocyclobutene |
NA |
cyc (-CH=CFCF2CF2-) |
NA |
NA |
92.4 |
|
24 |
3,3,4,4-tetrafluorocyclobutene |
NA |
cyc (-CH=CHCF2CF2-) |
NA |
NA |
25,6 |
|
VI |
Nhóm môi chất khác |
Tên viết tắt |
Công thức hóa học |
AR4 |
AR5 |
AR6 |
|
1 |
HC-600a |
R-600a |
C4H10 |
4 |
NA |
0,006 |
|
2 |
Propane |
R-290 |
C3H8 |
3,3 |
NA |
0,02 |
|
3 |
Amoniac |
R-717 |
NH3 |
0 |
0 |
0 |
Bạn chưa Đăng nhập thành viên.
Đây là tiện ích dành cho tài khoản thành viên. Vui lòng Đăng nhập để xem chi tiết. Nếu chưa có tài khoản, vui lòng Đăng ký tại đây!
Bạn chưa Đăng nhập thành viên.
Đây là tiện ích dành cho tài khoản thành viên. Vui lòng Đăng nhập để xem chi tiết. Nếu chưa có tài khoản, vui lòng Đăng ký tại đây!
