- Tổng quan
- Nội dung
- Tiêu chuẩn liên quan
- Lược đồ
- Tải về
Tiêu chuẩn quốc gia TCVN 12636-16:2024 Quan trắc khí tượng thuỷ văn - Phần 16: Chỉnh biên tài liệu lưu lượng nước sông vùng ảnh hưởng thủy triều
| Số hiệu: | TCVN 12636-16:2024 | Loại văn bản: | Tiêu chuẩn Việt Nam |
| Cơ quan ban hành: | Bộ Khoa học và Công nghệ | Lĩnh vực: | Tài nguyên-Môi trường |
| Trích yếu: | Quan trắc khí tượng thuỷ văn - Phần 16: Chỉnh biên tài liệu lưu lượng nước sông vùng ảnh hưởng thủy triều | ||
|
Ngày ban hành:
Ngày ban hành là ngày, tháng, năm văn bản được thông qua hoặc ký ban hành.
|
22/04/2024 |
Hiệu lực:
|
Đã biết
|
| Người ký: | Đang cập nhật |
Tình trạng hiệu lực:
Cho biết trạng thái hiệu lực của văn bản đang tra cứu: Chưa áp dụng, Còn hiệu lực, Hết hiệu lực, Hết hiệu lực 1 phần; Đã sửa đổi, Đính chính hay Không còn phù hợp,...
|
Đã biết
|
TÓM TẮT TIÊU CHUẨN VIỆT NAM TCVN 12636-16:2024
Tiêu chuẩn về Chỉnh biên tài liệu lưu lượng nước sông vùng ảnh hưởng thủy triều
Ngày 22/04/2024, Tổng cục Khí tượng Thủy văn đã công bố Tiêu chuẩn quốc gia TCVN 12636-16:2024 quy định các yêu cầu về chỉnh biên tài liệu lưu lượng nước sông ở các khu vực bị ảnh hưởng bởi thủy triều. Tiêu chuẩn có hiệu lực ngay từ ngày ban hành.
Tiêu chuẩn này áp dụng cho các cơ sở quan trắc khí tượng thủy văn, đặc biệt là các trạm đo lưu lượng nước sông trong khu vực ảnh hưởng của thủy triều. Nó hướng tới việc chuẩn hóa quy trình chỉnh biên thông tin liên quan đến lưu lượng nước tại các trạm này.
Phạm vi áp dụng và mục đích
TCVN 12636-16:2024 quy định các yêu cầu và phương pháp trong việc chỉnh biên tài liệu lưu lượng nước sông trong những khu vực chịu tác động của thủy triều, nhằm nâng cao độ chính xác trong các số liệu quan trắc khí tượng thủy văn.
Các yêu cầu và quy trình thực hiện
Thu thập tài liệu: Cần chuẩn bị đầy đủ các tài liệu về lưu lượng nước và tốc độ nước để tiến hành chỉnh biên.
Chỉnh biên tài liệu lưu lượng nước: Quy định các bước cần thực hiện trong quá trình chỉnh sửa và kiểm tra tính hợp lý của số liệu lưu lượng nước và các yếu tố khác như diện tích mặt cắt ngang và tốc độ nước.
Biểu đồ tương quan: Phương pháp xây dựng biểu đồ tương quan giữa tốc độ nước trung bình và tốc độ tại các điểm đo cụ thể, giúp xác định chính xác lưu lượng nước.
Xác định thời điểm chuyển triều: Tiêu chuẩn quy định rõ cách xác định thời điểm diễn ra quá trình chuyển đổi giữa triều lên và triều xuống dựa trên các số liệu thu thập được.
Tính toán lượng triều: Hướng dẫn cụ thể về việc tính toán lượng triều lên, triều xuống và công thức tính lưu lượng nước trung bình từ những yếu tố đã đo đạc.
Lập biểu tính lượng triều: Cung cấp mẫu biểu và quy định cách lập biểu thể hiện lượng triều trong tháng và năm, cũng như các thông số khác liên quan đến thủy triều.
Tiêu chuẩn này đóng vai trò quan trọng trong việc đảm bảo tính chính xác của dữ liệu quan trắc lưu lượng nước, phục vụ cho các nghiên cứu và phân tích về khí hậu, môi trường và quản lý tài nguyên nước tại các vùng ven biển và sông ngòi.
Tải tiêu chuẩn Việt Nam TCVN 12636-16:2024
TIÊU CHUẨN QUỐC GIA
TCVN 12636-16:2024
QUAN TRẮC KHÍ TƯỢNG THỦY VĂN - PHẦN 16: CHỈNH BIÊN TÀI LIỆU LƯU LƯỢNG NƯỚC SÔNG VÙNG ẢNH HƯỞNG THỦY TRIỀU
Hydro - Meteorological Observations - Part 16: River flow discharge data processing on tidal affected zones
Lời nói đầu
TCVN 12636-16:2024 do Tổng cục Khí tượng Thủy văn biên soạn, Bộ Tài nguyên và Môi trường đề nghị, Tổng cục Tiêu chuẩn Đo lường Chất lượng thẩm định, Bộ Khoa học và Công nghệ công bố.
Bộ TCVN 12636 Quan trắc khí tượng thủy văn đã xây dựng được các tiêu chuẩn sau:
- TCVN 12636-1:2019, Phần 1: Quan trắc khí tượng bề mặt;
- TCVN 12636-2:2019, Phần 2: Quan trắc mực nước và nhiệt độ nước sông;
- TCVN 12636-3:2019, Phần 3: Quan trắc hải văn;
- TCVN 12636-4:2020, Phần 4: Quan trắc bức xạ mặt trời;
- TCVN 12636-5:2020, Phần 5: Quan trắc tổng lượng ô zôn khí quyển và bức xạ cực tím;
- TCVN 12636-6:2020, Phần 6: Quan trắc thám không vô tuyến;
- TCVN 12636-7:2020, Phần 7: Quan trắc gió trên cao;
- TCVN 12636-8:2020, Phần 8: Quan trắc lưu lượng nước sông vùng không ảnh hưởng thủy triều;
- TCVN 12636-9:2020, Phần 9: Quan trắc lưu lượng nước sông vùng ảnh hưởng thủy triều;
- TCVN 12636-10:2021, Phần 10: Quan trắc lưu lượng chất lơ lửng vùng sông không ảnh hưởng thủy triều;
- TCVN 12636-11:2021, Phần 11: Quan trắc lưu lượng chất lơ lửng vùng sông ảnh hưởng thủy triều;
- TCVN 12636-12:2021, Phần 12: Quan trắc ra đa thời tiết;
- TCVN 12636-13:2021, Phần 13: Quan trắc khí tượng nông nghiệp;
- TCVN 12636-14:2023, Phần 14: Chỉnh biên tài liệu mực nước và nhiệt độ nước sông;
- TCVN 12636-15:2023, Phần 15: Chỉnh biên tài liệu lưu lượng nước sông vùng không ảnh hưởng thủy triều;
- TCVN 12636-16:2024, Phần 16: Chỉnh biên tài liệu lưu lượng nước sông vùng ảnh hưởng thủy triều;
- TCVN 12636-17:2024, Phần 17: Chỉnh biên tài liệu lưu lượng chất lơ lửng nước sông.
QUAN TRẮC KHÍ TƯỢNG THỦY VĂN - PHẦN 16: CHỈNH BIÊN TÀI LIỆU LƯU LƯỢNG NƯỚC SÔNG VÙNG ẢNH HƯỞNG THỦY TRIỀU
Hydro - Meteorological Observations - Part 16: River flow discharge data processing on tidal affected zones
1 Phạm vi áp dụng
Tiêu chuẩn này quy định các yêu cầu về chỉnh biên tài liệu lưu lượng nước sông vùng ảnh hưởng thủy triều.
2 Tài liệu viện dẫn
Các tài liệu viện dẫn sau rất cần thiết cho việc áp dụng tiêu chuẩn này. Đối với các tài liệu viện dẫn ghi năm công bố thì áp dụng phiên bản được nêu. Đối với các tài liệu viện dẫn không ghi năm công bố thì áp dụng phiên bản mới nhất, bao gồm cả các sửa đổi, bổ sung (nếu có).
TCVN 12904-2020, Yếu tố khí tượng thủy văn - Thuật ngữ và định nghĩa.
TCVN 12636-9:2020, Quan trắc khí tượng thủy văn - Phần 9: Quan trắc lưu lượng nước sông vùng ảnh hưởng thủy triều.
TCVN12636-15:2023, Quan trắc khí tượng thủy văn - Phần 15: Chỉnh biên tài liệu lưu lượng nước sông vùng không ảnh hưởng thủy triều.
3 Thuật ngữ, định nghĩa, ký hiệu, đơn vị đo và lấy số có nghĩa
Tiêu chuẩn này sử dụng các thuật ngữ và định nghĩa nêu trong TCVN 12904:2020; TCVN 12636-9:2020; TCVN 12636-15:2023 và các thuật ngữ, định nghĩa sau:
3.1 Thuật ngữ, định nghĩa
3.1.1
Kỳ triều (Tidal period)
Là khoảng thời gian tính từ mực nước chân triều này tới mực nước chân triều tiếp theo.
3.1.2
Kỳ dòng triều (Tidal flow cycle)
Tổng thời gian dòng triều lên và dòng triều xuống do một kỳ triều gây ra.
3.1.3
Nước đứng triều lên (Up tidal flow)
Nước đứng xuất hiện sau khi vừa kết thúc dòng triều lên
3.1.4
Nước đứng triều xuống (Down tidal flow)
Nước đứng xuất hiện sau khi vừa kết thúc dòng triều xuống.
3.1.5
Trạm Cơ bản (Basical Staion)
Là trạm đang quan trắc, tính toán, chỉnh lý, chỉnh biên tài liệu lưu lượng nước.
3.1.6
Trạm Bổ trợ (Auxiliary Station)
Là trạm sử dụng tài liệu mực nước quan trắc đồng thời để tính toán, chỉnh lý, chỉnh biên cho trạm cơ bản.

Hình 1 - Sơ đồ kỳ dòng triều
3.2 Ký hiệu, đơn vị đo và lấy số có nghĩa
Bảng 1 - Ký hiệu, đơn vị đo và lấy số có nghĩa
| Tên | Ký hiệu | Đơn vị đo | Lấy số có nghĩa | Ví dụ | Ghi chú |
| Thời điểm quan trắc tốc độ nước | t | h giờ, phút | Lấy đến 01 phút | 1 h 15; 2 h 06 ; | Giờ ghi từ 0 đến 23 giờ. Phút ghi 2 chữ số, nếu nhỏ hơn 10, thêm số "0" vào phía trước |
| Lưu lượng nước | Q | m3 /s | Lấy 3 số có nghĩa, nhưng không quá 0,001 m3 /s | 8230; 246; 36,9; 4,92; 0,070; 0 001 | Lưu lượng nước bộ phận, lưu lượng nước toàn mặt ngang (cả phần tính toán và tổng kết). Lưu lượng nước giờ, lưu lượng nước trung bình ngày lấy theo quy định này. |
| Diện tích mặt cắt | F | m2 | Lấy 3 số có nghĩa, nhưng không quá 0,01 m2 | 3450; 876; 54,0; 6,21; 0,75 | Diện tích bộ phận, diện tích nước tù lấy theo quy định này |
| Thời gian đo tốc độ nước | T | s | Lấy đến giây | 45 |
|
| Tốc độ nước | V | m/s | Lấy ba số có nghĩa nhưng không quá 0,01 m/s | 5,02; 3,45; 0,86 | Tốc độ điểm đo, tốc độ trung bình thủy trực, tốc độ trung bình mặt ngang lấy theo quy định này. |
| Độ rộng | B | m | Lấy ba số có nghĩa nhưng không quá 0,1 m | 1360; 576; 15,6; 4,5 |
|
| Lượng triều | W | 103 m3 | Lấy bốn số có nghĩa, nhưng không quá 0,01x103 m3 | 8,64 × 103 m3; 43,21 × 103 m3; 129,6 × 103 m3; 1728 × 103 m3; 21610 × 103 m3; | Tổng lượng tháng, năm giữ lại toàn bộ, không quy tròn |
| Lượng nước ra (vào) | Wra (vào) | 103 m3 | Lấy bốn số có nghĩa, nhưng không quá 0,01x103 m3 | 102,5 - 98,12 = 4,38 x 103 m3; 1002 - 993,8 = 8,2 x 103 m3; 1098 - 1082 = 16 x 103 m3 |
|
4 Công tác chuẩn bị
Thực hiện theo Điều 4 TCVN 12636-15:2023 và thu thập tài liệu lưu lượng nước, tài liệu tốc độ nước.
5 Chỉnh biên tài liệu lưu lượng nước
5.1 Thời kỳ ảnh hưởng thủy triều mạnh
5.1.1 Lập bảng tính sẵn giá trị tương quan mực nước - diện tích (F=f(H))
- Vẽ mặt cắt ngang của lần đo tính toán. Vẽ thêm từ 2 đến 3 bản vẽ mặt cắt ngang của những lần đo gần nhất trước đó để so sánh, phân tích tính chất hợp lý giữa các lần đo mặt cắt ngang. Nếu có đột biến hoặc thay đổi khác thường, phải xem xét kỹ, tìm nguyên nhân. Chỉ khi bản vẽ mặt cắt ngang được xác nhận hợp lý mới tính diện tích mặt cắt ngang. Cách tính diện tích mặt cắt ngang thực hiện theo Điều 6.1.6, TCVN 12636-9:2020.
- Xác định phạm vi sử dụng mặt cắt ngang cho từng mặt cắt ngang thực hiện theo Điều 6.3, TCVN 12636-9:2020.
- Cách lập bảng tính sẵn giá trị tương quan mực nước - diện tích (Khai toán diện tích mặt cắt ngang) thực hiện theo Điều 6.4, TCVN 12636-9:2020. Mẫu biểu khai toán diện tích mặt cắt ngang (T-8) thực hiện theo B.6, Phụ lục B.
5.1.2 Lập biểu lưu lượng nước thực đo
- Đo lưu lượng nước bằng thủ công: Lập biểu lưu lượng nước thực đo (CBT-5a) theo quy định tại B.1, Phụ lục B;
- Đo lưu lượng nước bằng thiết bị tự động: Lập biểu lưu lượng nước thực đo (CBT-5) theo quy định tại C.2, Phụ lục C TCVN 12636-9:2020.
5.1.3 Phân tích biểu đồ tương quan Vmc = f(Vđb) và phương pháp xử lý
- Chấm các điểm tốc độ lên biểu đồ tương quan Vmc = f(Vđb). Nếu các điểm chảy xuôi hoặc chảy ngược tạo thành luồng điểm riêng, có quy luật thì xác định tương quan Vmc = f(Vđb) cho chảy xuôi và chảy ngược riêng. Nếu các điểm chạy lẫn lộn không phân biệt chảy xuôi và chảy ngược thì lập chung một tương quan Vmc = f(Vđb) để tính toán;
- Trên biểu đồ tương quan Vmc = f(Vđb) thấy các điểm phân bố thành một dải hẹp, các điểm chạy lẫn lộn, không phân thành nhiều luồng điểm biến đổi theo thời gian và có 75 % các điểm nằm trong đường bao ± 10 %, 95 % các điểm nằm trong đường bao ± 15 %, xem hình 2 thì áp dụng phương pháp tương quan Vmc = f(Vđb).
- Nếu có điểm đột xuất nằm ngoài 15 % thì phân tích xem xét nguyên nhân:
+ Sai có nguyên nhân có thể khắc phục thì tiến hành chỉnh lý tài liệu;
+ Sai không rõ nguyên nhân thì để nguyên và làm điểm tham khảo.
- Sau đó vẽ biểu đồ tương quan Vmc = f(Vđb) chảy xuôi và vẽ biểu đồ tương quan Vmc = f(Vđb) chảy ngược hoặc vẽ biểu đồ tương quan Vmc = f(Vđb)cả hai hướng và tiến hành xây dựng tương quan Vmc =f(Vđb).

Hình 2 - Biểu đồ tương quan Vmc = f(Vđb)
5.1.4 Vẽ biểu đồ và xây dựng tương quan Vmc = f(Vđb)

Hình 3 - Biểu đồ tương quan Vmc = f(Vđb)
Trục tung biểu thị Vđb, trục hoành biểu thị Vmc. Tỷ lệ 2 trục giống nhau và phải chọn sao cho băng điểm có độ dài từ 15 cm đến 20 cm. Quy cách vẽ biểu đồ thực hiện theo quy định tại Phụ lục A. Các điểm tham khảo được để là hình tròn màu trắng không có chấm điểm ở giữa.
a) Nếu băng điểm hẹp, thẳng, các điểm chạy lẫn lộn, không phân thành nhiều luồng điểm biến đổi theo thời gian hoặc theo yếu tố nào đó thì xác định quan hệ là đường thẳng. Căn cứ vào số điểm để chọn phương pháp xác định đường quan hệ.
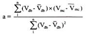
- Phương trình hồi quy đường thẳng, dùng khi có từ 20 điểm trở lên có dạng:
| Vmc = a x Vđb + b | (1) |
Trong đó:
Vmc là tốc độ mặt cắt ngang (m/s);
Vđb là tốc độ tại thủy trực đại biểu (m/s);
|
| (2) |
|
| (3) |
Hệ số tương quan r:
|
| (4) |
Trong đó:
r là hệ số tương quan giữa tốc độ tại thủy trực đại biểu với tốc độ trung bình mặt cắt (-1 < r < 1);
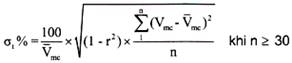
+ Sai số tương đối của tương quan σt% (hay sai số quân phương):
|
| (5) |
|
| (6) |
Trong đó:
n là tổng số điểm tính toán;
là trị số trung bình số học của toàn bộ số điểm Vđb, Vmc;
σt% là sai số quân phương.
Khi lập bảng tính phương trình hồi quy cần loại bỏ các điểm sau:
+ Điểm đột xuất có sai số lớn hơn 15 % không tìm được nguyên nhân để hiệu chính (nếu do chế độ thủy lực đột ngột gây ra thì để nguyên);
+ Những điểm bổ sung: Những điểm trên không tham gia tính nhưng phải chấm trên biểu đồ để tham khảo.
- Xác định bằng phương pháp đồ giải, sử dụng khi số điểm nhỏ hơn 20 điểm.
Chia băng điểm ra làm nhiều nhóm, tìm trung tâm của mỗi nhóm. Kẻ đường thẳng qua trung tâm các nhóm. Cần chú trọng trung tâm các trị số lớn nhất, nhỏ nhất. Dùng công thức đường thẳng để tính ra phương trình tương quan. Dùng sai số quân phương σđ% đánh giá mức độ tương quan:
|
| (7) |
Trong đó:
Vmc là tốc độ mặt cắt ngang (m/s);
Vmct là tốc độ trung bình mặt cắt ngang đọc trên đường quan hệ (m/s);
n là tổng số điểm tính toán;
σđ% là sai số quân phương tính theo phương pháp đồ giải.
b) Nếu băng điểm hẹp, gấp khúc, các điểm chạy lẫn lộn, không phân thành nhiều luồng điểm biến đổi theo thời gian hoặc theo yếu tố nào đỏ thì đường quan hệ của mỗi đoạn thẳng được xác định như quy định tại 5.1.4 a.
c) Trường hợp băng điểm hẹp, cong, các điểm chạy lẫn lộn, không phân thành nhiều luồng điểm biến đổi theo thời gian hoặc theo yếu tố nào đó, nếu cong ít, so với đường thẳng cho sai số hệ thống ≤ ± 1 % thì xác định theo Phương trình hồi quy đường thẳng, nếu cong nhiều phải xác định bằng phương pháp đồ giải: chia băng điểm ra làm nhiều nhóm; tìm trung tâm của mỗi nhóm; kẻ một đường cong đi qua trung tâm các nhóm. (Khi tính σđ% nếu n ≥ 30, thì trong công thức tính σđ%, n - 1 được thay bằng n).
d) Nếu băng điểm rộng, chạy thành một số luồng điểm song song với nhau hay chéo nhau, cần phân tích nguyên nhân (nguyên nhân có thể là do mực nước khác nhau như: khi mực nước ngập bãi; mực nước chưa ngập bãi; chủ lưu ở mực nước cao khác mực nước thấp; do quá trình biến đổi của tốc độ tăng dần và tốc độ giảm dần trong một kỳ dòng triều lên hoặc xuống khác nhau; do mặt cắt ngang trong thời gian quan trắc bị xói, bồi đáng kể v.v...). Nếu các luồng điểm xử lý riêng so với xử lý chung có sai số ≤ ± 1 % thì xử lý chung, nếu sai số lớn hơn ± 1 % thì phải xử lý riêng. (Khi xử lý riêng, nếu luồng điểm nào có đặc điểm phù hợp với một trong các trường hợp a, b, c trên thì xử lý như các trường hợp đó).
e) Nếu băng điểm rộng, phân tán, các điểm chạy lẫn lộn, không phân thành nhiều luồng điểm biến đổi theo thời gian hoặc theo yếu tố nào đó, hiện tượng này biểu hiện tương quan không tốt. Khi cần tham khảo thì xác định bằng đồ giải.
5.1.5 Điều kiện sử dụng tương quan Vmc = f(Vđb)
- Tương quan chặt, sai số tương đối hay sai số quân phương σt%, σđ% ≤ 5%.
- Sau khi xây dựng tương quan xong, phải lấy kết quả phân tích so sánh với các tương quan trước (bằng các tài liệu liên quan như mực nước, tốc độ, bản vẽ mặt cắt ngang, bình đồ lòng sông, bình đồ hướng chảy v.v... ) cho thấy sự diễn biến tương quan lần này là hợp lý.
5.1.6 Phạm vi sử dụng tương quan Vmc = f(Vđb)
a) Nếu khoảng thời gian giữa 2 đợt đo tương quan Vmc =f(Vđb) có chế độ thủy lực thay đổi ít và biến đổi từ từ theo thời gian, thì lấy thời gian giữa của 2 đợt đo tương quan làm thời gian thay đổi sử dụng 2 tương quan đó.
b) Nếu khoảng thời gian giữa 2 đợt đo tương quan Vmc = f(Vđb) có một thời kỳ có chế độ thủy lực thay đổi đột ngột, thì sử dụng tương quan Vmc = f(Vđb) của đợt đo có chế độ thủy lực gần hợp với chế độ thủy lực của thời kỳ đó.
c) Đối với nơi cả mùa cạn quan trắc theo chế độ ảnh hưởng thủy triều mạnh, cả mùa lũ quan trắc theo chế độ ảnh hưởng thủy triều yếu, thì khi xác định phạm vi sử dụng tương quan Vmc = f(Vđb) cần xét đến giai đoạn chuyển tiếp. Cần dùng tài liệu tốc độ trên mặt cắt ngang quan trắc ở phần mực nước thấp trong mùa lũ xây dựng tương quan Vmc = f(Vđb) mùa lũ để tham khảo xác định phạm vi sử dụng tương quan cuối mùa cạn và đầu mùa cạn tiếp theo:
- Nếu Vmc = f(Vđb) mùa cạn trùng hoặc gần trùng với Vmc = f(Vđb) mùa lũ, chênh lệch trong phạm vi ± 3 %, thì phương trình tương quan Vmc = f(Vđb) mùa cạn sử dụng cho hết mùa cạn;
- Nếu tương quan Vmc =f(Vđb) mùa cạn và Vmc =f(Vđb)mùa lũ chênh lệch nhau trên ± 3 % thì cần tìm nguyên nhân:
+ Nếu là do nước ngập bãi gây ra thì tương quan Vmc = f(Vđb) mùa cạn chỉ sử dụng trong phạm vi mực nước chưa ngập bãi;
+ Nếu chưa tìm được nguyên nhân gì đặc biệt, mà chủ yếu là do kết quả của 2 chế độ quan trắc gây ra, thì phần tốc độ nhỏ dùng tương quan Vmc = f(Vđb) mùa cạn, phần tốc độ lớn dùng tương quan Vmc = f(Vđb) mùa lũ. Khi Vmc = f(Vđb)mùa cạn và Vmc = f(Vđb) mùa lũ chéo nhau, thì có thể giới hạn thời gian sử dụng Vmc = f(Vđb) của mùa cạn trong phạm vi tốc độ giao nhau (nếu khi tốc độ ở điểm giao nhau lớn hơn tốc độ đã quan trắc để xây dựng tương quan Vmc = f(Vđb) mùa cạn).
d) Khi tương quan Vmc = f(Vđb)của đợt đo này so với đợt đo trước chênh lệch nhau nhiều hoặc chế độ thủy lực trong từng thời kỳ sử dụng tương quan phức tạp, cần phân tích kỹ nhiều mặt để xác định phạm vi sử dụng tương quan cho thích hợp.
Phạm vi kéo dài tương quan: nếu tương quan là đường thẳng cho phép kéo dài 30% biên độ tài liệu; nếu tương quan là đường cong, cho phép kéo dài 20% biên độ tài liệu.
Việc xác định phạm vi sử dụng tương quan Vmc = f(Vđb) phải được tiến hành thận trọng, chỉ sau khi được cấp có thẩm quyền duyệt mới thực hiện.
Nếu tương quan Vmc = f(Vđb) thay đổi lớn hoặc chế độ thủy lực lúc đo tương quan khác nhiều so với chế độ thủy lực của thời kỳ sử dụng tương quan thì tùy theo diễn biến tương quan Vmc = f(Vđb) mà thực hiện.
5.1.7 Lập biểu tính sai số Vmc = f(Vđb)
Sau khi xây dựng tương quan Vmc = f(Vđb) tiến hành lập biểu tính sai số Vmc = f(Vđb). Mẫu biểu tính sai số Vmc = f(Vđb) (CBT-6) thực hiện theo B.7, Phụ lục B.
5.1.8 Lập biểu tính sẵn Vmc = f(Vđb)
- Những nơi đo theo phương pháp đường đại biểu liên tục trong thời gian dài và sử dụng cùng một tương quan Vmc = f(Vđb) hoặc Vmcchảy = f(Vđb) thì lập biểu tính sẵn quan hệ Vmc = f(Vđb) hoặc Vmcchảy = f(Vđb).
- Lập biểu tính sẵn Vmc = f(Vđb) sau khi xây dựng tương quan Vmc = f(Vđb) (Biểu khai toán Vmc = f(Vđb)). Mẫu biểu khai toán Vmc = f(Vđb) (CBT-8) thực hiện theo B.9, Phụ lục B.
- Căn cứ phạm vi tốc độ sử dụng của tương quan Vmc = f(Vđb) để lập biểu.
- Nếu quan hệ biểu thị được bằng phương trình đường thẳng thì từ phương trình đó tính ra. Nếu quan hệ là đường cong, thì trích một số điểm, những điểm khác nội suy. Sai số của những điểm nội suy phải ≤ ± 1 %.
5.1.9 Chọn tốc độ lớn nhất
Chọn tốc độ lớn nhất từ tài liệu tốc độ thực đo tại thủy trực đại biểu và tốc độ đo toàn mặt cắt ngang.
5.1.10 Tính tốc độ trung bình mặt cắt ngang
Lấy tốc độ trung bình đường thủy trực đại biểu thay vào phương trình tương quan Vmc = f(Vđb) hoặc tra trong bảng tính sẵn Vmc = f(Vđb) hoặc tra trên biểu đồ tương quan Vmc = f(Vđb) được tốc độ trung bình mặt cắt ngang.
5.1.11 Tính diện tích mặt cắt ngang
Lấy mực nước ứng với thời điểm đo tốc độ ở đường thủy trực đại biểu tra trong bảng tính sẵn tương quan mực nước - diện tích được diện tích mặt cắt ngang.
5.1.12 Tính lưu lượng nước
| Q = F x Vmc | (8) |
| hoặc Q = Fchảy x Vmcchảy | (9) |
Trong đó:
F là diện tích mặt cắt ngang (m2);
Vmc là tốc độ trung bình mặt cắt ngang (m/s);
Fchảy là diện tích mặt cắt ngang có nước chảy (m2);
Vmcchảy là tốc độ trung bình mặt cắt ngang có nước chảy (m/s).
5.1.13 Vẽ đường quá trình tốc độ, lưu lượng nước, mực nước và phân tích tính hợp lý
- Tốc độ trung bình thủy trực đại biểu, tốc độ trung bình mặt cắt ngang và lưu lượng nước sau khi tính xong phải được vẽ lên cùng một biểu đồ với đường quá trình mực nước để phân tích tính hợp lý.
Cách vẽ thực hiện theo quy định tại Phụ lục A và tỷ lệ cần chọn sao cho:
+ Biên độ lớn nhất của yếu tố đo vẽ trong một kỳ triều nằm trong khoảng từ 5 cm đến 10 cm;
+ Các đường thuộc cùng yếu tố có tỷ lệ giống nhau và thống nhất qua các năm.
- Các đường quá trình tốc độ trung bình thủy trực đại biểu, tốc độ trung bình mặt cắt ngang biến đổi tương ứng với nhau, cường độ biến đổi của chúng tương ứng với quy luật biến đổi của mực nước; giữa 2 thời điểm xuất hiện nước đứng, tốc độ, lưu lượng nước tăng hay giảm có quy luật với chu kỳ triều; biên độ triều càng lớn, các giá trị tốc độ và lưu lượng nước lớn nhất của kỳ triều càng lớn; sự biến đổi tốc độ và lưu lượng nước của trạm dưới lớn hơn trạm trên. Những nơi địa hình phức tạp hoặc chế độ nước đặc biệt, có thể có quy luật riêng. Cần chú ý phân tích những điểm khác biệt và tìm nguyên nhân để có phương pháp xử lý đúng.
- Nếu có diễn biến khác thường cần tìm nguyên nhân. Nguyên nhân có thể là do quan trắc sai hoặc tính sai:
+ Nếu tính sai phải tính lại, sửa lại các số liệu liên quan trong các bảng khác;
+ Nếu do quan trắc sai phải hiệu chính.
5.1.14 Xác định thời điểm chuyển triều
- Khi trên đường quá trình lưu lượng nước có dòng triều lên và dòng triều xuống:
+ Nếu đo được thời điểm xuất hiện nước đứng thì lấy thời điểm đó làm thời điểm chuyển dòng triều;
+ Nếu không đo được thời điểm xuất hiện nước đứng thì phải nội suy ra thời điểm xuất hiện nước đứng để làm thời điểm chuyển dòng triều. Có thể dùng phương pháp đồ giải, dựa theo xu thế biến đổi của đường quá trình lưu lượng nước để nội suy. Thông thường để thuận tiện cho việc tính toán, giả thiết lưu lượng nước trong thời đoạn chuyển dòng triều biến đổi theo đường thẳng và dùng công thức sau đây để xác định:
|
| (10) |
Trong đó:
|QL| là trị số tuyệt đối của lưu lượng nước thực đo dòng triều lên kề trước (hoặc sau) thời điểm xuất hiện nước đứng;
|QX| là trị số tuyệt đối của lưu lượng nước thực đo dòng triều xuống kề sau (hoặc trước) thời điểm xuất hiện nước đứng;
Δt là khoảng thời gian từ thời điểm đo QL đến thời điểm đo QX, tính bằng phút;
ΔtL là khoảng thời gian từ thời điểm đo QL đến thời điểm xuất hiện nước đứng, tính bằng phút.
- Thời điểm xuất hiện nước đứng dòng triều lên bằng thời điểm đo QL kề trước thời gian xuất hiện nước đứng cộng với khoảng thời gian ΔtL.
- Thời điểm xuất hiện nước đứng dòng triều xuống bằng thời điểm đo QL kề sau thời gian xuất hiện nước đứng trừ đi khoảng cách thời gian ΔtL.
- Khi trên đường quá trình lưu lượng nước chỉ có dòng triều xuống, thì lấy thời gian xuất hiện lưu lượng nước nhỏ nhất của kỳ dòng triều làm thời gian chuyển dòng triều.
- Khi trên đường quá trình lưu lượng nước của kỳ triều có thời gian xuất hiện nước đứng hoặc thời gian xuất hiện lưu lượng nước nhỏ nhất của kỳ triều kéo dài, thì lấy thời điểm chính giữa của thời gian kéo dài đó làm thời điểm chuyển dòng triều.
- Thời điểm chuyển dòng triều được ghi chính xác đến 1 phút.
5.1.15 Tính lượng triều
Lượng nước dòng triều (gọi tắt là lượng triều) W được tính như sau:
|
| (11) |
Trong đó:
- Q1, Q2, Q3... Qn-1, Qn là lưu lượng nước tương ứng với các thời điểm t1, t2, t3, ... tn-1, tn trong cùng một kỳ dòng triều;
- Nếu Q1, Q2... Qn nằm trong cùng một kỳ dòng triều lên thì được lượng triều lên WL, nếu Q1, Q2... Qn nằm trong cùng một kỳ dòng triều xuống thì được lượng triều xuống WX;
- Khi ở các thời điểm t1 hoặc tn xuất hiện nước đứng, thì Q1 hoặc Qn = 0; ngược lại thì Q1 hoặc Qn = Qmin của dòng triều xuống trong kỳ dòng triều đó;
- Khi tính lượng triều cần chú ý, ở những chỗ đường quá trình lưu lượng nước có những nhấp nhô nhỏ do trong một thời gian ngắn lưu lượng nước lúc lớn lúc bé hoặc lưu lượng nước dòng triều lên xen kẽ lưu lượng nước dòng triều xuống thường thấy trong thời kỳ ảnh hưởng lũ, kỳ triều mãn, kỳ triều hỗn hợp v.v... thì cần dựa vào quy luật biến đổi của đường quá trình mực nước, lưu lượng nước tại trạm, đồng thời kết hợp với đường quá trình mực nước, lưu lượng nước của trạm dưới hoặc lân cận có ảnh hưởng triều mạnh hơn tiến hành phân tích kỹ, xét xem lưu lượng nước nào cần tính vào lượng triều lên, lưu lượng nước nào tính vào lượng triều xuống, bảo đảm lượng triều lên, lượng triều xuống tính ra phù hợp với quy luật biến đổi của kỳ triều.
5.1.16 Tính thời gian dòng triều
- Thời gian dòng triều lên (TL) là khoảng thời gian từ nước đứng triều xuống đến nước đứng triều lên kề sau đó;
- Thời gian dòng triều xuống (Tx) là khoảng thời gian từ nước đứng triều lên đến nước đứng triều xuống kề sau đó.
5.1.17 Tính các đặc trưng dòng triều
5.1.17.1 Tính lượng triều tháo ra (Wra) hoặc lượng triều vào (Wvào)
Lượng triều tháo ra (Wra) hoặc lượng triều vào (Wvào) được tính theo công thức sau:
| Wra(vào) = WX - WL | (12) |
Nếu mang dấu dương là lượng triều tháo ra Wra, mang dấu âm là lượng triều vào Wvào
Lượng triều lên và lượng triều xuống được tính như sau:
|
| (13) |
|
| (14) |
Trong đó:
WX là lượng triều xuống của kỳ dòng triều (103m3);
WL là lượng triều lên của kỳ dòng triều (103m3);
WLi là lượng triều bộ phận thứ i của dòng triều lên (103m3);
WXi là lượng triều bộ phận thứ i của dòng triều xuống (103m3);
n là số bộ phận của dòng triều lên.
|
| (15) |
Trong đó:
Wi là lượng triều bộ phận thứ i (103m3);
là lưu lượng nước trung bình bộ phận thứ i (m3/s);
Δt là khoảng thời gian tương ứng với Qbp.
|
| (16) |
| Δt = ti+1 - ti | (17) |
Trong đó:
là lưu lượng nước trung bình bộ phận (m3/s);
ti, ti+1 là thời gian tương ứng với Qi và Qi+1:
Qi, Qi+1 là lưu lượng nước thứ i và i+1.
| Qi = Fi x Vmci | (18) |
Trong đó:
Qi là lưu lượng nước thứ i (m3/s);
Fi là diện tích mặt cắt ngang khi đo lưu lượng nước lần thứ i (m2);
Vmci là tốc độ trung bình mặt cắt ngang thứ i (m/s).
5.1.17.2 Tính lưu lượng nước trung bình dòng triều
| Lưu lượng nước trung bình dòng triều lên: |
| (19) |
| Lưu lượng nước trung bình dòng triều xuống: |
| (20) |
| Lưu lượng nước trung bình nước sông: |
| (21) |
Trong đó:
QdL là lưu lượng nước trung bình dòng triều lên (m3/s);
QdX là lưu lượng nước trung bình dòng triều xuống (m3/s);
WL là lượng triều lên (103m3);
WX là lượng triều xuống (103m3);
TL là thời gian dòng triều lên (s);
Tx là thời gian dòng triều xuống (s);
Qsông là lưu lượng nước trung bình nước sông (m3/s).
5.1.17.3 Tính tổng thời gian dòng triều lên và dòng triều xuống trong tháng (TLtháng,TXtháng) và trong năm (TLnăm, TXnăm)
Tổng thời gian dòng triều lên và dòng triều xuống trong tháng (TLtháng,TXtháng và trong năm (TLnăm,TXnăm) được tính theo các công thức sau:
|
| (22) |
|
| (23) |
|
| (24) |
|
| (25) |
Trong đó:
TL, TX là thời gian dòng triều lên và thời gian dòng triều xuống (s);
h là số kỳ dòng triều lên trong tháng;
m là số kỳ dòng triều xuống trong tháng;
ΔTL, ΔTX là đoạn thời gian dòng triều lên và đoạn thời gian dòng triều xuống thừa (do kỳ dòng triều đầu tháng hoặc cuối tháng này tính sang tháng sau) hoặc thiếu (do kỳ dòng triều tháng trước hoặc tháng sau tính sang tháng này).
5.1.17.4 Tính tổng lượng nước dòng triều trong tháng, trong năm
a) Tổng lượng nước dòng triều lên tháng WLtháng, năm WLnăm
|
| (26) |
|
| (27) |
b) Tổng lượng nước dòng triều xuống tháng WXtháng, năm WXnăm
|
| (28) |
|
| (29) |
c) Tổng lượng nước tháo ra trong tháng Wratháng, trong năm Wranăm
| Wratháng = WXtháng - WLtháng | (30) |
|
| (31) |
Trong đó:
WLtháng là Tổng lượng nước dòng triều lên trong tháng (103 m3);
WXtháng là Tổng lượng nước dòng triều xuống trong tháng (103 m3);
WLi là lượng triều lên kỳ dòng triều thứ i (103 m3);
WXi là lượng triều xuống kỳ dòng triều thứ i (103 m3);
ΔWL là lượng nước bộ phận dòng triều lên tương ứng với ΔTL (103 m3);
ΔWX là lượng nước bộ phận dòng triều xuống tương ứng với ΔTX (103 m3);
WLnăm, WXnăm là Tổng lượng nước dòng triều lên và Tổng lượng nước dòng triều xuống trong năm (103 m3);
WLthángi, WXthángi là lượng triều lên và lượng triều xuống trong tháng thứ i (103 m3);
Wratháng, Wranăm là tổng lượng nước tháo ra trong tháng và tổng lượng nước tháo ra trong năm (103 m3).
5.1.17.5 Tính lưu lượng trung bình nước sông tháng Qsôngtháng, năm Qsôngnăm
|
| (32) |
|
| (33) |
Trong đó:
Qsôngtháng là lưu lượng trung bình nước sông tháng (m3/s);
Qsôngnăm là lưu lượng trung bình nước sông năm (m3/s).
5.1.18 Lập biểu tính lượng triều
Mẫu biểu và cách lập biểu tính lượng triều (CBT- 4) thực hiện theo quy định tại Điều B.2 Phụ lục B.
5.1.19 Lập biểu ghi lưu lượng nước từng giờ
Mẫu biểu và cách lập biểu ghi lưu lượng nước từng giờ (CBT-3) thực hiện theo quy định tại Điều B.3 Phụ lục B.
5.1.20 Lập biểu đặc trưng triều hàng ngày
Mẫu biểu và cách lập biểu đặc trưng triều hàng ngày (CBT- 14) thực hiện theo quy định tại Điều B.4 Phụ lục B.
Đối với biểu CBT-14, chỉ tiến hành tính tổng cộng tháng trong các cột thời gian dòng triều, lượng triều khi các ngày trong tháng thuộc cột đó có số liệu đầy đủ (những ngày không xuất hiện số liệu đặc trưng không tính là ngày thiếu số liệu), lựa chọn các giá trị lớn nhất, nhỏ nhất tháng về lưu lượng nước triều, lượng triều, thời gian dòng triều, lưu lượng nước lớn nhất, tốc độ lớn nhất, mực nước đỉnh triều lớn nhất, chân triều thấp nhất, biên độ triều lớn nhất.
5.1.21 Bổ sung hiệu chính tài liệu
Những sai sót, bất hợp lý do quan trắc thì phải hiệu chính, những điểm không quan trắc được theo chế độ quy định thì phải bổ sung.
Có các phương pháp bổ sung hiệu chính sau:
a) Phương pháp tương quan: xây dựng biểu đồ quan hệ giữa yếu tố cần bổ sung hiệu chính với các yếu tố thủy văn khác hoặc biểu đồ quan hệ cùng yếu tố giữa vị trí cần bổ sung, hiệu chính với vị trí lân cận v.v...
VÍ DỤ: Cần bổ sung tốc độ lúc 2 giờ của đường thủy trực số 3 thì có thể xây dựng quan hệ H ~ Vtt3, Vtt3 ~ Vtt2, Vtt3 ~ Vtt4, v.v...).
- Bổ sung lưu lượng nước giờ lúc ảnh hưởng triều yếu có thể dùng các phương pháp chỉnh biên tài liệu quy định tại Điều 5.2.
- Điều kiện áp dụng phương pháp tương quan:
+ Có đủ các điều kiện tương tự giữa số liệu dùng để xây dựng tương quan và số liệu cần bổ sung;
+ 75 % số điểm nằm trong phạm vi đường bao ± 10 %;
+ 95 % số điểm nằm trong phạm vi đường bao ± 15 %.
b) Phương pháp xu thế: dựa vào xu thế biến đổi theo thời gian của các lần đo trước, đo sau thời điểm cần bổ sung hoặc hiệu chính ở cùng vị trí quan trắc hoặc theo xu thế biến đổi theo không gian ở cùng thời điểm tại các vị trí quan trắc gần nhau.
- Chỉ được bổ sung hoặc hiệu chính không quá 2 lần quan trắc liên tục khi sử dụng phương pháp xu thế.
- Nếu cần bổ sung các đặc trưng trong một thời đoạn như lượng triều, lưu lượng nước trung bình dòng triều có thể dùng phương pháp chỉnh biên lượng triều, lưu lượng nước trung bình dòng triều. Cụ thể tham khảo một số phương pháp chỉnh biên tại Phụ lục C.
5.2 Thời kỳ ảnh hưởng thủy triều yếu
5.2.1 Lập bảng kết quả lưu lượng nước thực đo
- Đối với phương pháp đo lưu lượng nước thủ công: Lập bảng kết quả lưu lượng nước thực đo (CB-5) thực hiện theo quy định tại 5.1.1 TCVN 12636-15:2023;
- Đối với phương pháp đo lưu lượng nước bằng thiết bị tự động: Lập bảng kết quả lưu lượng nước thực đo (CBT-5) thực hiện theo quy định tại Điều C.2 TCVN 12636-9:2020.
5.2.2 Vẽ và phân tích biểu đồ, chọn phương pháp chỉnh biên
a) Vẽ biểu đồ quan hệ các yếu tố H, Q, F, Vmc, Vmax, B, htb, hmax, trục tung biểu thị mực nước, các yếu tố khác được biểu thị trên trục hoành theo thứ tự từ trái sang phải. Tỷ lệ chọn sao cho độ góc từ điểm cao nhất đến điểm thấp nhất của quan hệ H ~ Q xấp xỉ 45°, của các quan hệ khác xấp xỉ 60°. Băng số thứ tự điểm quan hệ nằm giữa quan hệ H ~ Q và H ~ F, cách điểm thực đo của 2 quan hệ đó từ 3 cm đến 5 cm. Vị trí số thứ tự tương ứng với vị trí điểm đo. Cách vẽ biểu đồ được thực hiện theo quy định tại Phụ lục A.
b) Phân tích chọn phương pháp chỉnh biên
Dùng biểu đồ đường quá trình mực nước (có chấm điểm số lần đo lưu lượng nước kèm theo phù hiệu) và biểu đồ 9 yếu tố, tiến hành phân tích chọn phương pháp chỉnh biên.
+ Chỉnh biên bằng phương pháp vòng dây khi trong một con lũ, đường quá trình mực nước không biến đổi hoặc ít biến đổi theo triều, số điểm đo và phân bố điểm đo đạt các quy định tại A.2.2.1, Phụ lục A TCVN 12636-9:2020: các băng điểm H ~ F , h, hmax là những băng điểm hẹp, các băng điểm H ~ V, Vmax, F biến đổi tương ứng với nhau trong những dải rộng, trong đó các nhánh lũ lên có giá trị lớn hơn các nhánh lũ xuống (cùng một giá trị mực nước) và trong thời gian không ảnh hưởng triều, lúc lũ lên, các điểm đo vào lúc cường suất mực nước lớn, lưu lượng nước thiên lớn; các điểm đo vào lúc cường suất mực nước nhỏ, lưu lượng nước thiên nhỏ; lúc lũ xuống thì ngược lại; trong thời gian ảnh hưởng thủy triều, những điểm nằm trước chân triều thiên lớn, những điểm nằm trước đỉnh triều thiên bé, nếu kẻ đường trung bình thông qua các điểm thuộc nhánh lũ lên và lũ xuống sẽ thành vòng dây, độ rộng băng điểm của mỗi nhánh trong quan hệ H ~ Q không quá 10 % đến 15 % so với giá trị đường trung bình của mỗi nhánh;
+ Chỉnh biên theo phương pháp đường trung bình khi đường quá trình mực nước không biến đổi hoặc ít biến đổi theo triều, số lần đo và phân bố lần đo phù hợp với quy định tại A.2.2.2, Phụ lục A TCVN 12636-9:2020, các băng điểm trong biểu đồ 9 yếu tố là những băng hẹp phân bố đều hai bên đường quan hệ, trong đó băng điểm H ~ Q có độ rộng băng ≤ 15 % so với giá trị lưu lượng nước trung bình của băng điểm. Trường hợp các băng điểm đi thành nhiều luồng ứng với 1 khoảng thời gian thì phân chia thành nhiều thời đoạn để xử lý;
+ Chỉnh biên bằng phương pháp chênh lệch mực nước khi đường quá trình mực nước biến đổi nhấp nhô theo triều và theo lũ, số điểm đo và phân bố điểm đo đạt yêu cầu quy định tại A.2.2.2 và A.2.2.3 Phụ lục A, TCVN 12636-9:2020. Các băng điểm H ~ F, h, hmax hẹp, các băng điểm H ~ Q, V, Vmax, Fm phân tán trong băng rộng và biến đổi tương ứng với nhau.
5.2.3 Nguyên tắc chung về xây dựng biểu đồ chỉnh biên và yêu cầu đối với suy tìm lưu lượng nước
5.2.3.1 Nguyên tắc chung về xây dựng biểu đồ chỉnh biên
a) Tỷ lệ biểu đồ chỉnh biên phải đạt được các yêu cầu:
- Phần lưu lượng nước lớn, đọc được chính xác đến ± 1 %;
- Phần lưu lượng nước nhỏ, đọc được chính xác đến ± 2 %.
b) Mỗi biểu đồ phải có thêm 1 số điểm thuộc thời kỳ trước và một số điểm thuộc thời kỳ sau để làm tài liệu tham khảo khi định đường thuộc giai đoạn chuyển tiếp.
c) Chọn mực nước trạm bổ trợ khi chỉnh biên theo phương pháp chênh lệch mực nước:
- Mực nước trạm bổ trợ phải có quan hệ chặt chẽ với mực nước trạm đo;
- Trị số chênh lệch mực nước (Fm) dùng để chỉnh biên phải ≥ 25 cm;
- Trong thời đoạn tính toán độ dài chuỗi số liệu mực nước của trạm bổ trợ ít nhất bằng độ dài chuỗi số liệu mực nước trạm đo;
- Trạm bổ trợ không quá xa;
- Tốt nhất có 2 trạm bổ trợ ở thượng lưu, hạ lưu tuyến quan trắc trên cùng triền sông, giữa chúng không có lượng nước gia nhập hoặc phân lưu đáng kể;
- Ở nơi có nhiều nguồn nước ảnh hưởng, mỗi nguồn nước chính nên có 1 trạm bổ trợ;
- Ở nơi đặc biệt như sông ngắn, có thể chọn trạm bổ trợ trên nhánh nhập lưu, phân lưu chủ yếu;
- Các trạm bổ trợ và trạm cơ bản khi được dùng để tính chênh lệch mực nước cần có cùng hệ độ cao. Nếu không cùng hệ độ cao hoặc không đủ độ tin cậy thì có thể tăng, giảm trị số chênh lệch Fm một trị số thích hợp (trừ phương pháp đường đẳng trị như phương pháp chênh lệch bằng nhau);
- Lấy băng điểm có quan hệ chặt chẽ trong biểu đồ chỉnh biên, đạt yêu cầu quy định sau làm chuẩn để chọn trạm bổ trợ:
+ Quan hệ mực nước - lưu lượng nước (H ~ Q) dùng để chỉnh biên phải có 100 % số điểm nằm trong đường bao ± 10 %, dùng sai số quân phương σđ% để đánh giá mức độ sai số;
+ Đối với biểu đồ chỉnh biên sử dụng yếu tố chênh lệch mực nước, sai số quân phương σđ% nhỏ hơn 7 %;
|
| (34) |
Trong đó:
σđ% là sai số quân phương:
Q là lưu lượng nước thực đo (m3/s);
Qt là lưu lượng nước đọc trên đường quan hệ (m3/s);
n là số điểm đo tham gia tính toán. Khi n nhỏ hơn 30, mẫu số lấy là n - 1;
d) Khi xác định đường cần chú ý các điểm sau:
- Những điểm đột xuất (có sai số so với đường dự kiến vạch lớn hơn ± 8 % khi sử dụng đường H ~ Q trung bình, lớn hơn ± 10 % khi sử dụng phương pháp chênh lệch mực nước) cần phải được phân tích kỹ, tìm nguyên nhân để xử lý cho thích hợp. Nguyên nhân có thể do sai sót ở một số khâu liên quan đến số liệu đó thuộc về quan trắc, ghi chép, tính toán, xử lý, vẽ biểu đồ, v.v... hoặc máy, trang thiết bị, công trình trục trặc, hư hỏng hoặc do ảnh hưởng đột xuất của thời tiết như dông, bão hoặc do chế độ thủy lực đặc biệt gây ra như đóng, mở cống, phân lũ, trên dưới tuyến quan trắc bị vỡ đê v.v... Đối với điểm đột xuất do thiên nhiên hoặc do chế độ thủy lực đặc biệt gây ra thì để nguyên nhưng thuyết minh rõ, còn do các khâu khác trong việc thu thập tài liệu gây ra thì cần phải sửa chữa hoặc hiệu chính. Đối với điểm không tìm được nguyên nhân thì bỏ và phải có thuyết minh;
- Cần phân tích so sánh tham khảo các biểu đồ và quan hệ chỉnh biên có chế độ thủy lực tương tự của các thời kỳ trước, đặc biệt đối với đường quan hệ có ít điểm.
e) Có thể kéo dài đường cong đơn nhất (dùng để chỉnh biên) theo xu thế của đường cong đó.
5.2.3.2 Yêu cầu đối với suy tìm lưu lượng nước
- Đối với đường quan hệ chỉnh biên có dạng đơn nhất và được sử dụng nhiều lần thì cần xây dựng bảng tính sẵn. Số liệu trong bảng này phải đạt được các yêu cầu sau:
+ Các điểm trích phải bao gồm các điểm uốn rõ rệt của đường quan hệ và khoảng cách giữa 2 điểm trích liền nhau không được vượt quá 5 % phạm vi trích;
+ Điểm nội suy có sai số nhỏ hơn 1 %.
- Số lần suy tìm lưu lượng nước giờ trong ngày.
+ Những ngày không ảnh hưởng thủy triều:
* Khi đường quá trình mực nước biến đổi theo đường thẳng, ngày trích 2 lần vào 7 giờ và 19 giờ;
* Khi đường quá trình mực nước biến đổi theo đường cong, phải trích các điểm uốn và một số điểm khác, đảm bảo những điểm không trích có sai số nội suy theo đường thẳng không quá ± 1 %.
+ Những ngày có ảnh hưởng thủy triều, trích 12 lần vào các giờ lẻ (1, 3, 5 ....., 21, 23).
5.2.4 Các phương pháp xây dựng biểu đồ chỉnh biên và tìm lưu lượng nước
5.2.4.1 Phương pháp vòng dây

Hình 4 - Đường quá trình mực nước, quan hệ mực nước với lưu lượng nước, diện tích, tốc độ
a) Vẽ đường quá trình mực nước, biểu đồ quan hệ H ~ Q, F, V. Tỷ lệ các biểu đồ H ~ Q, F, V được thực hiện theo các quy định liên quan tại 5.2.2 a và 5.2.3.1. Tỷ lệ đường H ~ t chọn sao cho biểu hiện được sự biến đổi của thủy triều. Trên đường quá trình mực nước phải ghi số thứ tự kèm kí hiệu của lần đo ở thời điểm tương ứng. Hình thức biểu đồ xem Hình 4. Cách vẽ thực hiện theo quy định tại Phụ lục A.
b) Xác định vòng dây
- Căn cứ vào đặc điểm dòng chảy, đặc điểm thủy lực của mỗi điểm quan hệ trên 2 biểu đồ H ~ t và H ~ Q, sơ bộ xác định đường vòng dây H ~ Q. Cần chú trọng các điểm xuất hiện Qmax, Qmin của lũ và triều. Khi có nhiều điểm thì vẽ đường trung bình đi qua trung tâm các nhóm điểm và nối tiếp các đường quan hệ trước, sau nó. Khi có ít điểm thì thực hiện theo quy định tại 5.2.3.1 d).
- Vẽ các đường quan hệ H ~ F, H ~ V. Cách vẽ đường H ~ V tương tự như vẽ đường H ~ Q.
- Kiểm tra mối quan hệ của 3 đường quan hệ theo công thức Q = F x V. Cả 3 đường đã được vẽ coi được vẽ chính thức nếu qua các vị trí khác nhau
và đạt được yêu cầu sau:
+ Quan hệ mực nước - lưu lượng nước (H ~ Q) dùng để chỉnh biên phải có 100 % số điểm nằm trong đường bao ± 10 %, dùng sai số quân phương σđ% để đánh giá mức độ sai số;
+ Đối với biểu đồ chỉnh biên sử dụng yếu tố chênh lệch mực nước, sai số quân phương σđ% nhỏ hơn 7 %; Nếu không đạt được các yêu cầu trên thì cần điều chỉnh 1, 2 hoặc cả 3 đường.
c) Tìm lưu lượng nước giờ: dùng số liệu mực nước giờ tra trên đường vòng dây (H ~ Q) theo thời gian tương ứng sẽ được lưu lượng nước giờ.
5.2.4.2 Phương pháp đường H ~ Q trung bình

Hình 5 - Đường quan hệ mực nước với lưu lượng nước, diện tích, tốc độ
a) Vẽ biểu đồ quan hệ mực nước với lưu lượng nước, diện tích, tốc độ (H - Q, F, V) (xem Hình 5).
b) Xác định đường quan hệ H ~ Q
Phân tích tình hình mỗi điểm quan hệ, đặc biệt chú ý các đặc trưng Qmax, Qmin của lũ, triều, các điểm đột xuất. Kết hợp với các quan hệ H ~ F, H ~ V để xác định đường H ~ Q (tương tự như quy định tại 5.2.4.1).
c) Vẽ đường bao ± 5 %, 10 % của đường H ~ Q, tính sai số quân phương, tìm sai số lớn nhất.
d) Suy tìm lưu lượng nước giờ
Từ mực nước giờ tra trong bảng quan hệ H ~ Q được lưu lượng nước giờ tương ứng.
5.2.4.3 Phương pháp chênh lệch mực nước
5.2.4.3.1 Phương pháp chênh lệch lũy thừa
a) Chấm điểm quan hệ H ~ Qm, H ~ Fm, bên cạnh ghi số thứ tự điểm đo. Nếu điểm đo nhiều thì ghi số thứ tự thành một băng riêng vào khoảng giữa hai quan hệ H - Qm và H ~ Fm.
b) Lập bảng tính quan hệ
(xem Bảng 2)
Bảng 2 - Bảng tính quan hệ ![]()
| Số thứ tự | Thời gian đo | Mực nước | Fm | Fm β | Qm |
| Ghi chú | ||||
| Tháng | Ngày | Giờ | Cơ bản | Bổ trợ | |||||||
|
|
|
|
|
|
|
|
|
|
|
|
|
Trong đó:
Fm là chênh lệch mực nước thực đo (giữa 2 trạm bổ trợ hoặc giữa trạm cơ bản với trạm bổ trợ)(cm);
Qm là lưu lượng nước thực đo (m3/s);
m là chỉ số liệu thực đo;
β là trị số được xác định như sau: chọn trong các cấp mực nước một số cặp điểm, cặp điểm càng nhiều càng tốt. Số liệu Fm, Qm của mỗi cặp điểm phải thuộc loại tin cậy. Mỗi cặp điểm cần có cùng hoặc xấp xỉ cùng một mực nước nhưng khác nhiều về trị số Fm và Qm. Từ quan hệ
tìm ra β, trong đó Fm1, Q1 thuộc cặp điểm thứ 1; Q2, Fm2 thuộc cặp điểm thứ 2. Lấy trị số β trung bình của các cặp điểm làm trị số β tính toán.
Khi β = 1/2, phương pháp này được gọi là phương pháp khai căn chênh lệch.
c) Xây dựng biểu đồ quan hệ
. Biểu đồ quan hệ
(xem Hình 6).
Nếu số điểm và phân bố điểm đo đạt được yêu cầu quy định tại A.2.2.2 và A.2.2.3 Phụ lục A TCVN 12636-9:2020 thì xác định đường quan hệ. Khi định đường phải thực hiện theo các quy định liên quan tại 5.2.3.
d) Lập bảng tính lưu lượng nước giờ
Mẫu bảng tính lưu lượng nước giờ thực hiện theo Bảng 3.
Bảng 3 - Tính lưu lượng nước giờ
| Số thứ tự lần đo | Thời gian đo | Mực nước | Fm |
|
| Q | Qngày | Ghi chú | ||||
| Tháng | Ngày | Giờ | Cơ bản | Bổ trợ | ||||||||
|
|
|
|
|
|
|
|
|
|
|
|
|
|
Lưu lượng nước được tính theo công thức:
(35)
Fm là chênh lệch mực nước thực đo (giữa 2 trạm bổ trợ hoặc giữa trạm cơ bản với trạm bổ trợ) (cm);
Qm là lưu lượng nước thực đo (m3/s);
là chênh lệch mực nước theo trị số β.
5.2.4.3.2 Phương pháp chênh lệch lũy thừa có hệ số hiệu chính
Khi sai số của phương pháp chênh lệch lũy thừa biến đổi theo thời gian thì cần thêm hệ số hiệu chính (K)
a) Lập bảng tính hệ số hiệu chính K
Mẫu bảng tính hệ số hiệu chính K thực hiện theo Bảng 4
Bảng 4 - Tính hệ số hiệu chính K
| Số thứ tự lần đo | Thời gian | Mực nước | Fm |
| Qm |
|
| K | Ghi chú | ||||
| Tháng | Ngày | Giờ | Cơ bản | Bổ trợ | |||||||||
|
|
|
|
|
|
|
|
|
|
|
|
|
|
|
Hệ số hiệu chính K được tính theo công thức:
(36)
Trong đó:
K là hệ số hiệu chính;
Qm là lưu lượng nước thực đo (m3/s);
là chênh lệch mực nước theo trị số β.
b) Vẽ đường quá trình hệ số hiệu chính trên giấy kẻ ly (khi thực hiện bằng tay). Tỷ lệ nên chọn như sau:
- K bằng 1 cm tương đương 0,1;
- t bằng 1 cm tương đương 5 ngày.
Khi K ít biến đổi hoặc biến đổi có tính thời đoạn, một trị số K được sử dụng nhiều lần thì nên lập bảng để thuận tiện sử dụng. Nếu sử dụng ít thì đọc trên đường quá trình (xem Hình 6).
- Trị số hiệu chính K phải lấy chính xác đến 3 số có nghĩa.
c) Tính lưu lượng nước giờ
Mẫu bảng tính lưu lượng nước giờ thực hiện theo Bảng 5.
Bảng 5 - Tính lưu lượng nước giờ
| Thời gian | Mực nước | Fm |
|
| K | Q | Qngày | Ghi chú | ||||
| Tháng | Ngày | Giờ | Cơ bản | Bổ trợ | ||||||||
|
|
|
|
|
|
|
|
|
|
|
|
|
|
Lưu lượng nước được tính theo công thức:
(37)
Trong đó:
K là hệ số hiệu chính;
Qm là lưu lượng nước thực đo (m3/s);
là chênh lệch mực nước theo trị số β.

Hình 6 - Đường quan hệ H ~ Qm, H ~ Fm,
, K ~ t
5.2.4.3.3 Phương pháp chênh lệch cố định
a) Chấm điểm quan hệ H ~ Qm, ghi chênh lệch mực nước kề cạnh điểm đo.
b) Xây dựng các biểu đồ quan hệ H ~ Qc và
. Lập bảng tính như Bảng 6.
Bảng 6 - Bảng tính để xây dựng biểu đồ quan hệ

Trong đó:
Fm là chênh lệch mực nước thực đo (cm);
Qm là lưu lượng nước thực đo (m3/s);
Fc là trị số được chọn thuộc loại thực đo lớn nhất và tốt nhất chọn sao cho Fcβ là số nguyên (β được xác định theo 5.2.4.3.1);
|
| (38) |
Qc2 là trị số đọc trên đường H ~ Qc1;
Đường quan hệ
phải đi qua điểm có tọa độ (1,1) và có dạng đường cong parabol (xem Hình 7);
|
| (39) |
Nếu các điểm H ~ Qc đi thành băng, phân bố chặt chẽ 2 bên đường H ~ QĐ thì bản vẽ H ~ Qc được coi đạt yêu cầu. Nếu chưa đạt được thì vẽ đường trung tâm qua băng điểm H ~ Qc trên hoặc tham khảo các điểm thực đo có cùng Fc tiến hành điều chỉnh đường cong hoặc chọn một trị số Fc khác hoặc tăng giảm một hằng số chênh lệch mực nước Fm.

Hình 7 - Đường quan hệ H ~ Q, ![]()
c) Tính lưu lượng nước giờ
Mẫu bảng tính lưu lượng nước giờ thực hiện theo Bảng 7.
Bảng 7 - Tính lưu lượng nước giờ
| Thời gian | Mực nước | Fm | Fc |
|
| Q | Qngày | Ghi chú | ||||
| Tháng | Ngày | Giờ | Cơ bản | Bổ trợ | ||||||||
|
|
|
|
|
|
|
|
|
|
|
|
|
|
Trong bảng
tra trên đường quan hệ
; Qc tra trên đường H ~ Qc, ![]()
5.2.4.3.4 Phương pháp chênh lệch thực đo
Phương pháp này được tiến hành tương tự như phương pháp chênh lệch cố định nhưng đơn giản hơn.
Biểu đồ chỉnh biên gồm có H ~ Qc và ![]()
Cách xây dựng các biểu đồ và tìm lưu lượng nước tương tự như trong phương pháp chênh lệch cố định thực hiện theo quy định tại 5.2.4.3.3.
5.2.4.3.5 Phương pháp chênh lệch bình thường
a) Chấm điểm quan hệ H ~ Qm, H ~ Fm, (bên cạnh ghi thứ tự điểm đo).
b) Chọn các cặp điểm có Qm lớn, Fm lớn, độ tin cậy cao trong các cấp mực nước, thông qua trung tâm các điểm đó trong từng biểu đồ vẽ các đường quan hệ H ~ Qn (trong biểu đồ quan hệ H ~ Q), H ~ Fn tương ứng (trong biểu đồ H ~ Fm).
c) Xây dựng bảng tính để lập biểu đồ quan hệ
theo bảng 8.
Bảng 8 - Bảng tính để xây dựng biểu đồ quan hệ
| Số thứ tự lần đo | Thời gian | Mực nước | Fm | Qm | Fn1 | Qn1 |
|
|
| Qn | Ghi chú | ||||
| Tháng | Ngày | Giờ | Cơ bản | Bổ trợ | |||||||||||
|
|
|
|
|
|
|
|
|
|
|
|
|
|
|
|
|
Trong đó:
Fn1, Qn1 là số đọc trên các đường quan hệ H ~ Fn, H - Qn tương ứng với mực nước của lần đo Qm;
- Đường cong quan hệ
phải đi qua điểm có tọa độ (1,1);
|
| (40) |
Nếu điểm trên quan hệ H ~ Qn mới được xác lập tập trung 2 bên đường quan hệ H ~ Qn (đã được vẽ tại mục b) thì đường H ~ Qn đó được coi đạt yêu cầu. Nếu còn phân tán thì phải vẽ lại đường H ~ Qn, H - Fn, tính toán lại các bước trong bảng trên.
Quan hệ H ~ Qn, H ~ Fn và
(xem hình 8)

Hình 8 - Quan hệ H ~ Qn, H ~ Fn, ![]()
d) Tìm lưu lượng nước giờ
Mẫu bảng tính lưu lượng nước giờ thực hiện theo Bảng 9.
Bảng 9 - Tính lưu lượng nước giờ
| Thời gian | Mực nước | Fm | Fn |
|
| Qn | Q | Qngày | Ghi chú | ||||
| Tháng | Ngày | Giờ | Cơ bản | Bổ trợ | |||||||||
|
|
|
|
|
|
|
|
|
|
|
|
|
|
|
Trong đó: Fn, Qn được tra từ các đường quan hệ H ~ Fn, H ~ Qn;
được tra từ đường quan hệ
![]()
5.2.4.3.6 Phương pháp chênh lệch bằng nhau
a) Chấm điểm quan hệ H ~ Q có ghi chênh lệch mực nước kề cạnh làm tham số.
b) Dựa theo xu thế biến đổi về giá trị của tham số, vẽ các đường chênh lệch bằng nhau. Giá trị của các đường nên chênh lệch nhau 5 cm hoặc 10 cm. (Hàng đơn vị lấy 0 hoặc 5).
Các đường phân bố theo dạng hình nan quạt (xem hình 9). Ở các cấp mực nước, tỷ lệ lưu lượng nước cùng một mực nước giữa 2 đường kề nhau xấp xỉ bằng nhau hoặc biến đổi rất ít. Có thể dựa vào tính chất này để điều chỉnh, bổ sung hoặc kéo dài các đường.

Hình 9 - Đường quan hệ H = f(Q, Fm)
c) Tìm lưu lượng nước
Dựa vào số liệu mực nước và chênh lệch mực nước của giờ đo tra trực tiếp trên biểu đồ quan hệ H = f(Q,Fm) được lưu lượng nước tương ứng.
5.2.5 Vẽ đường quá trình lưu lượng nước giờ, phân tích tính hợp lý tài liệu
Đường quá trình lưu lượng nước giờ được vẽ dưới đường quá trình mực nước giờ. Chấm điểm lưu lượng nước thực đo có cùng tỷ lệ và gốc tọa độ với đường quá trình lưu lượng nước giờ.
Tiến hành phân tích theo các nội dung sau:
- Đối chiếu mức độ phù hợp giữa lưu lượng nước chỉnh biên và lưu lượng nước thực đo;
- Đối chiếu mức độ tương ứng giữa đường quá trình mực nước và đường quá trình lưu lượng nước theo quy luật diễn biến của lũ, triều và ảnh hưởng khác;
Nếu đường quá trình lưu lượng nước đi sát các điểm lưu lượng thực đo và có các hiện tượng sau thì chứng tỏ đường quá trình lưu lượng nước diễn biến hợp lý:
+ Khi đường quá trình mực nước biến đổi rõ rệt theo triều, các trị số Qmax, Qmin của kỳ triều xuất hiện có quy luật theo triều;
+ Khi đường quá trình mực nước hoàn toàn biến đổi theo nước lũ thượng nguồn, đường quá trình lưu lượng nước biến đổi tương ứng với đường quá trình mực nước, lúc chỉnh biên bằng phương pháp đường vòng dây, lưu lượng nước lớn nhất xuất hiện trước mực nước lớn nhất của cùng con lũ;
+ Lúc đường quá trình mực nước biến đổi theo ảnh hưởng nước vật của sông khác (trường hợp này cần vẽ thêm đường quá trình mực nước của trạm gây ra ảnh hưởng nước vật), đường quá trình lưu lượng nước biến đổi ngược lại.
Nếu một thời đoạn nào đó, các điểm lưu lượng nước thực đo lệch xa về một phía (liên tục thiên lớn hoặc thiên nhỏ), hoặc đường quá trình lưu lượng nước diễn biến sai khác rõ rệt với quy luật biến đổi của lũ và triều, hoặc đường quá trình có những chỗ đột biến đáng kể, chứng tỏ kết quả chỉnh biên chưa phù hợp. Nếu sai khác nhiều và trong thời gian dài thì phải sửa lại các đường quan hệ H ~ Q, nếu chênh lệch giữa lưu lượng nước thực đo so với lưu lượng nước trung bình ≤ ± 5 % và không quá 2 ngày thì có thể hiệu chính theo phương pháp xu thế trên đường quá trình lưu lượng nước của trạm đo. Khi phân tích cần tham khảo thêm tài liệu của các năm trước.
5.2.6 Tính lưu lượng nước trung bình ngày
- Khi các lần tính lưu lượng nước giờ phân bố đều trong ngày thì tính theo phương pháp trung bình cộng.
|
| (41) |
Trong đó:
là lưu lượng nước trung bình ngày (m3/s);
Qi là lưu lượng nước ứng với các giờ quan trắc mực nước trong ngày (m3/s);
n là số lần quan trắc mực nước trong ngày.
- Khi các lần tính lưu lượng nước giờ phân bố không đều trong ngày thì tính theo phương pháp bao hàm diện tích.
|
| (42) |
|
| (43) |
Trong đó:
là lưu lượng nước trung bình ngày (m3/s);
Qi là lưu lượng nước ứng với các giờ quan trắc trong ngày (m3/s);
a, b, c, ..., n lần lượt là khoảng thời gian giữa các lần quan trắc mực nước trong ngày.
5.2.7 Lập biểu trích lưu lượng nước giờ mùa lũ
Sau khi xây dựng biểu đồ chỉnh biên, tìm lưu lượng nước của thời kỳ ảnh hưởng thủy triều yếu, cần lập biểu lưu lượng nước giờ mùa lũ. Cách lập biểu lưu lượng nước giờ mùa lũ thực hiện như sau: đưa toàn bộ tháng, ngày, giờ, mực nước, lưu lượng nước và lưu lượng nước ngày sang biểu lưu lượng nước giờ mùa lũ (CBT-9). Mẫu biểu thực hiện theo quy định tại Điều B.10, Phụ lục B.
5.2.8 Lập biểu lưu lượng nước trung bình ngày
Sau khi tính toán, kiểm tra xong toàn bộ số liệu lưu lượng nước trung bình ngày của cả thời kỳ ảnh hưởng thủy triều yếu, cần lập biểu lưu lượng nước trung bình ngày. Cách lập biểu: thực hiện theo các quy định tại Điều 5.14 TCVN 12636-15:2023.
5.2.9 Vẽ đường quá trình lưu lượng nước trung bình ngày
Vẽ đường quá trình Qtb ngày dưới đường quá trình Htb ngày, đường quá trình là đường trơn.
Trên đường quá trình lưu lượng nước trung bình ngày phải ghi trị số Qmax, Qmin năm.
5.3 Thuyết minh tài liệu
Thực hiện theo phụ lục D.
5.4 Kết quả tài liệu chỉnh biên
Thực hiện theo phụ lục E.
6. Kiểm tra tính hợp lý tài liệu
6.1 Mục đích
Thực hiện theo Điều 6.1 TCVN 12636-15:2023.
6.2 Kiểm tra sơ bộ
Thực hiện theo Điều 6.2 TCVN 12636-15:2023.
6.3 Kiểm tra tính hợp lý tài liệu lưu lượng nước
6.3.1 Tài liệu trạm đo
- Sau khi chỉnh biên lưu lượng nước, vẽ đường quá trình các yếu tố mực nước đỉnh triều, chân triều, biên độ triều lên, biên độ triều xuống, thời gian triều lên, thời gian triều xuống và các tham số dùng trong chỉnh biên. Các điểm thực đo và điểm chỉnh biên dùng kí hiệu riêng biệt. Nếu điểm chỉnh biên sai lệch đáng kể và có hệ thống với điểm thực đo, chứng tỏ phương pháp xác định chưa thích hợp, cần phải điều chỉnh lại đường quan hệ Vmc = f(Vđb).
- Các đường quá trình tốc độ tại thủy trực đại biểu, tốc độ trung bình mặt cắt ngang biến đổi tương ứng với nhau, cường độ biến đổi của chúng tương ứng với quy luật biến đổi của mực nước; giữa hai thời điểm xuất hiện nước đứng, tốc độ, lưu lượng nước giảm có quy luật với chu kỳ triều; biên độ triều càng lớn, các giá trị tốc độ và lưu lượng nước lớn nhất của kỳ triều càng lớn; sự biến đổi tốc độ và lưu lượng nước của trạm dưới lớn hơn trạm trên. Những nơi địa hình phức tạp hoặc chế độ nước đặc biệt, có thể có quy luật riêng, cần phân tích những điểm khác biệt và tìm nguyên nhân để có phương pháp xử lý.
- Quy cách vẽ đường quan hệ thực hiện theo quy định tại Phụ lục A.
- Ở những trạm có tài liệu liên tục nhiều năm cần thống kê các giá trị trung bình, lớn nhất, nhỏ nhất tháng, năm.
- So sánh các trị số đặc trưng lưu lượng nước lớn, nhỏ nhất và thời gian xuất hiện của chúng trong từng tháng, từng mùa và cả thời kỳ quan trắc qua số liệu thống kê nhiều năm.
- Phân tích tính hợp lý đặc trưng triều:
+ Lấy số liệu trong “Biểu đặc trưng triều hàng ngày” (CET-14) vẽ đường quá trình ngày (nếu làm bằng máy) hoặc giấy kẻ ly các đường quá trình mực nước đỉnh triều, chân triều, biên độ triều lên, biên độ triều xuống, thời gian dòng triều lên, thời gian dòng triều xuống, lượng dòng triều lên, lượng dòng triều xuống, lưu lượng nước lớn nhất dòng triều lên, lưu lượng nước lớn nhất dòng triều xuống (nếu làm bằng tay). Thời điểm chấm vẽ của các yếu tố đó lấy thời điểm xuất hiện đỉnh triều làm chuẩn;
+ Phân tích từng đặc trưng và mối quan hệ của chúng thông qua quy luật thủy triều diễn biến theo thời gian. Nói chung trong một nguyệt triều, ở mái nguyệt triều lên (từ triều mãn đến triều cường) mực nước đỉnh triều nâng cao dần, mực nước chân triều hạ thấp dần, biên độ triều lên và triều xuống nâng cao dần; lượng dòng triều lên, lượng dòng triều xuống, lưu lượng nước chảy xuôi lớn nhất, lưu lượng nước chảy ngược lớn nhất, thời gian dòng triều lên đều lớn dần. Ở mái nguyệt triều xuống thì ngược lại. Khi có nước thượng nguồn thay đổi hoặc có những ảnh hưởng khác như mưa, bão v.v..., các đường quá trình đó sẽ biến đổi khác thường. Ở nơi địa hình đặc biệt có thể có quy luật riêng;
+ So sánh các đường đặc trưng trên với các đường đặc trưng cùng loại của trạm trên, trạm dưới hoặc trạm lân cận. Khi triều truyền vào trong sông, biên độ triều và các đặc trưng của dòng triều lên nhỏ dần;
+ So sánh các trị số đặc trưng về lượng triều, lưu lượng nước triều, tốc độ, thời gian dòng triều, mực nước đỉnh triều, chân triều, biên độ triều của từng tháng, của cả thời kỳ và thời gian xuất hiện các giá trị lớn nhất qua các năm;
+ Đối với trạm có cả thời kỳ ảnh hưởng thủy triều mạnh và thủy triều yếu thì đường quá trình lưu lượng nước phải liên tục và lưu lượng nước giữa hai thời kỳ chuyển tiếp từ triều mạnh sang triều yếu, từ triều yếu sang triều mạnh không quá 10 %.
6.3.2 Tài liệu của nhiều trạm
- Khi có tài liệu của trạm trên, trạm dưới hoặc trạm lân cận, cần so sánh đường quá trình lưu lượng nước giờ, lưu lượng nước ngày giữa chúng với nhau. Vận dụng quy luật truyền triều, lũ, vật của sông khác v.v... phân tích sự biến đổi về giá trị lưu lượng nước và thời gian xuất hiện các trị số đặc trưng;
- Khi có mạng lưới trạm trên, trạm dưới khống chế lượng nước ra, vào của một mạng lưới sông, cần tiến hành tính toán cân bằng lượng nước. Thời đoạn tính toán có thể là một nguyệt triều, một tháng hoặc cả thời kỳ quan trắc. Nếu mạng lưới sông không có lưới trạm khép kín thì tính tỷ lệ phân phối nước của từng trạm so với trạm chính, ở mạng lưới sông có địa hình tương đối ổn định, tỷ lệ này cũng tương đối ổn định. Nếu khác nhau đáng kể, cần tìm nguyên nhân;
- Nếu qua phân tích thấy có sự khác nhau đáng kể, cần tìm nguyên nhân để xử lý cho thích hợp.
6.4 Đánh giá tài liệu
- Viết nhận xét và đánh giá chất lượng tài liệu;
- Ghi rõ họ, tên người kiểm tra tính hợp lý tài liệu lần cuối;
- Thủ trưởng đơn vị ký tên, đóng dấu xác nhận tài liệu đã hoàn thành;
Phụ lục A
(Quy định)
Vẽ biểu đồ, đường quá trình
A.1 Quy cách biểu đồ trong tập chỉnh biên
- Biểu đồ phải có viền khung, mép khung cách mép giấy hay mép gáy 1 cm.
- Biểu đồ phải có đầy đủ nội dung: tên biểu đồ, tên sông, tên trạm, số hiệu năm, tên người vẽ, người đối chiếu. Vị trí tên biểu đồ ở chính giữa phía trên biểu đồ, số hiệu năm ở chính giữa phía trên tên biểu đồ, tên sông ở góc trên bên trái, tên trạm ở góc trên bên phải. Nếu biểu đồ thuộc một thời đoạn trong năm thì phải ghi rõ ngày, tháng của thời đoạn trước số hiệu năm.
- Phải thống nhất khuôn khổ biểu đồ với tập chỉnh biên. Nếu biểu đồ lớn hơn thì phải được gấp lại, nếp gấp theo chiều dọc và sát gáy nên cách mép gáy từ 1 cm đến 2 cm (tập dày lấy trị số lớn) nếp chiều ngang gấp trước, chiều dọc gáy gấp sau.
- Điểm đo dùng các kí hiệu sau đây:
• Dùng trong các biểu đồ đường quá trình, bản vẽ mặt cắt ngang;
Dùng trong các biểu đồ quan hệ giữa các yếu tố khác, trong đó dấu chấm “•” là tâm của vòng tròn có đường kính 1,5 mm;
Các dấu "•" thuộc kí hiệu điểm đo được đặt đúng tọa độ của điểm đo.
- Trừ các chữ trong chú thích, tên yếu tố trên trục tọa độ (dùng trong trường hợp đặc biệt), tên người vẽ, người đối chiếu được viết bằng chữ thường, ngoài ra các chữ khác đều phải được viết bằng chữ in. Các chữ và số đều được viết theo hướng của trục hoành trừ một số trường hợp sau đây:
+ Khi cần ghi rõ tên yếu tố trên trục tọa độ, thì yếu tố trên trục nào cần được ghi theo hướng trục ấy;
+ Số liệu của đường đẳng trị được viết về mút cuối phía xa gốc tọa độ của đường theo chiều của đường và theo hướng từ trái sang phải;
+ Số liệu của một số yếu tố trong khung phía dưới bản vẽ mặt cắt ngang.
- Kích thước dọc ngang (tính bằng mm) như sau:
+ Tên biểu đồ: 10 mm × 5 mm hoặc 10 mm × 4 mm, khi vẽ bằng tay, cỡ chữ 16 khi vẽ bằng máy.
+ Tháng, năm, tên sông, tên trạm, ký hiệu các trục tọa độ: 5 × 3 hoặc 5 × 2;
+ Các chữ, số trên trục tọa độ và đơn vị: 3 × 1;
+ Các tham số trong biểu đồ quan hệ các yếu tố: 2 × 1.
- Tỷ lệ biểu đồ chọn theo bội số là 1, 10, 100 của 1, 2, 5;
- Nét vẽ, nét viết, chữ số phải rõ ràng, đều đặn;
- Biểu đồ sạch sẽ, cân xứng, đậm với độ lớn từ 0,1 đến 0,2 mm (biểu đồ có biên độ lớn lấy theo trị số lớn).
A.2 Vẽ đường quá trình
- Yếu tố đo vẽ biểu thị trên trục tung, thời gian biểu thị trên trục hoành.
- Tỷ lệ cần được chọn cần đảm bảo đường quá trình không vượt khỏi khổ giấy và thống nhất qua các năm. Trường hợp năm có chế độ nước đặc biệt, đường quá trình vượt khỏi khổ giấy đã định, thì dời gốc tọa độ đến vị trí thích hợp không để xảy ra vượt khung lần thứ hai.
- Dùng màu khác nhau vẽ các đường quá trình khác nhau.
- Tọa độ của điểm đo được xác định bằng dấu chấm, trong đó: tung độ của dấu ngang bằng giá trị của yếu tố đo vẽ, hoành độ của dấu trùng với thời điểm cuối cùng.
VÍ DỤ: đường quá trình ngày được làm dấu chấm cuối ngày, đường quá trình giờ làm dấu chấm cuối giờ.
- Giữa các dấu chấm được nối theo đường thẳng, đoạn không có tài liệu và đoạn thiếu tài liệu để trống, đoạn có tài liệu bổ sung hoặc hiệu chính được nối bằng đường đứt đoạn "-----";
- Vẽ thêm tài liệu của thời gian trước và sau như:
+ Đường quá trình kỳ triều được vẽ thêm từ 2 đến 3 điểm đo thuộc kỳ triều trước và từ 2 đến 3 điểm đo thuộc kỳ triều sau;
+ Đường quá trình tháng được vẽ thêm 1/2 ngày cuối tháng trước và 1/2 ngày đầu tháng sau;
+ Đường quá trình năm được vẽ thêm 11 ngày cuối năm trước và 10 ngày đầu năm sau (nếu có);
+ Ở mỗi đường quá trình tháng, năm đều phải làm các dấu cao nhất "┴" và thấp nhất "┬" trong đó vạch dọc dài 4 mm chỉ đúng vào thời gian xuất hiện, vạch ngang dài 6 mm nằm đúng giá trị cao nhất hoặc thấp nhất của yếu tố đo vẽ.
A.3 Vẽ biểu đồ quan hệ các yếu tố
Vẽ biểu đồ quan hệ các yếu tố cần đảm bảo các yêu cầu tại quy định tại Điều 5.4 TCVN 12636-15:2023 và các yêu cầu sau:
- Cách vẽ đường quan hệ các yếu tố được thực hiện theo các điều quy định trong các biểu đồ có liên quan;
- Nếu biểu đồ có sử dụng tham số thì tham số ghi cạnh điểm quan hệ ở vị trí thích hợp dễ nhận biết và phân biệt được rõ ràng với điểm quan hệ khác;
- Trong bảng chú thích cần ghi các nội dung: kí hiệu điểm tham khảo; các kí hiệu riêng (nếu có); số điểm đo chính thức; số điểm đo tham khảo; sai số quân phương hoặc số phần trăm của số điểm nằm trong các đường bao được quy định so với tổng số điểm (nếu cần).
A.4 Vẽ mặt cắt ngang
Thực hiện theo Điều 5.2 TCVN 12636-15:2023 và các nội dung sau:
- Có thể vẽ bản vẽ mặt cắt ngang theo hướng lấy chiều dài của khổ giấy chỉnh biên được dùng làm chiều rộng bản vẽ mặt cắt ngang và chiều rộng của khổ giấy được dùng làm chiều cao bản vẽ;
- Độ cao bản vẽ mặt cắt ngang biểu thị ở trục tung, tỷ lệ trục tung chọn để khoảng cách từ điểm thấp nhất đáy sông đến điểm cao nhất bờ sông nằm trong khoảng từ 10 cm đến 15 cm. Chiều rộng bản vẽ biểu thị ở trục hoành, tỷ lệ trục tung chọn để độ rộng lớn nhất giữa 2 điểm cao nhất trên bờ sông nằm trong khoảng từ 25 cm đến 35 cm;
- Tung độ của dấu chấm là độ cao đáy sông của đường thủy trực đo sâu, hoành độ dấu chấm là khoảng cách từ đường thủy trực đo độ sâu đến mốc khởi điểm trên mặt cắt ngang. Các dấu chấm được nối lại với nhau bằng đường thẳng được bản vẽ mặt cắt ngang;
- Vẽ vạch ngang và làm các dấu mực nước lớn nhất “ ΔHmax” mực nước nhỏ nhất “
Hmin” của năm ngang độ cao tương ứng và ghi số liệu cụ thể sau dấu "=". Ghi chính xác đến cm, tiếp theo ghi ngày tháng xuất hiện;
- Phía dưới bản vẽ ghi đầy đủ các nội dung: số hiệu đường thủy trực đo độ sâu, số hiệu đường thủy trực đo tốc độ, khoảng cách khởi điểm, độ cao được ghi theo chiều dọc, đáy chữ trùng với hoành độ điểm đo độ sâu, hướng viết theo chiều từ đáy sông lên mặt nước; chất đất: ghi giữa các đường thủy trực đo độ sâu;
- Tại vị trí thủy trực đo độ sâu vẽ vạch dọc từ đáy sông đến chỗ có độ cao vượt qua mực nước lớn nhất 2 cm, trên cùng vẽ lá cờ đuôi nheo kèm số hiệu thủy trực trên đỉnh.
A.5 Vẽ đường quá trình mực nước giờ
Thực hiện theo Điều 5.3 TCVN 12636-15:2023
Phụ lục B
(Quy định)
Một số biểu mẫu chỉnh biên lưu lượng nước
B.1 Biểu lưu lượng nước thực đo và cách lập biểu
| BIỂU LƯU LƯỢNG NƯỚC THỰC ĐO |
|
Mã trạm:
Trạm: Sông: Ngày báo cáo:
| Số thứ tự lần đo lưu lượng nước | Thời gian đo | Phương pháp đo lưu lượng nước | Ngày tháng đo sâu | Mực nước (cm) | Lưu lượng nước (m3/s) | Diện tích mặt cắt ngang (m2) | Tốc độ (m/s) | Độ rộng mặt nước (m) | Độ sâu (m) | ||||||
| Giờ | Ngày | Tháng | Tuyến lưu lượng | Tuyến cơ bản | Trung bình | Lớn nhất | Trung bình | Lớn nhất | |||||||
| Bắt đầu | Kết thúc | ||||||||||||||
| 1 | 2 | 3 | 4 | 5 | 6 | 7 | 8 | 9 | 10 | 11 | 12 | 13 | 14 | 15 | 16 |
|
|
|
|
|
|
|
|
|
|
|
|
|
|
|
|
|
| Tổng kết | Lưu lượng lớn nhất đo được: .........................m3/s | Phương pháp đo: ngày ........ tháng ........ năm ........... | |||||||||||||
| Lưu tốc lớn nhất đo được: ......................m/s, ngày ........ tháng ........ năm ........... | Mực nước lớn nhất lúc đo lưu lượng: ...........cm, ngày ........ tháng ........ năm ........... | ||||||||||||||
| Ghi chú |
| ||||||||||||||
| Ngày ...... tháng....năm ....... Người lập biểu: .............................. | Ngày ...... tháng....năm ....... Người đối chiếu: .............................. | Ngày ...... tháng....năm ....... Người duyệt: .............................. |
B.1.1 Biểu lưu lượng nước thực đo (Biểu CBT-5a)
Biểu lưu lượng nước thực đo như mẫu quy định trên (CBT-5a)
B.1.2 Cách lập biểu lưu lượng nước thực đo
B.1.2.1 Điền tên trạm, tên sông, năm vào biểu
B.1.2.2 Nội dung biểu
- Cột 1 ghi số thứ tự lần đo lưu lượng nước. Số thứ tự này phải được sắp xếp đúng thứ tự từ lần đo thứ 1 đến số kết thúc đo;
- Cột 2 ghi thời gian bắt đầu đo lưu lượng nước;
- Cột 3 ghi thời gian kết thúc đo lưu lượng nước;
- Cột 4 ghi ngày đo lưu lượng nước;
- Cột 5 ghi tháng đo lưu lượng nước;
- Cột 6 ghi phương pháp đo lưu lượng nước: ghi số thủy trực /số điểm đo;
- Cột 7 ghi ngày tháng đo độ sâu;
- Cột 8 ghi mực nước tuyến đo lưu lượng nước H (cm): lấy số liệu từ cột 6 (mực nước) biểu T3 TCVN 12636 -9:2020;
- Cột 9 ghi mực nước tuyến đo cơ bản H (cm): tra trong sổ quan trắc;
- Cột 10 ghi lưu lượng nước Q (m3/s): lấy số liệu từ cột 11 (lưu lượng nước mặt cắt ngang) biểu T3 TCVN 12636 -9:2020;
- Cột 11 ghi diện tích mặt cắt ngang F (m2): láy số liệu từ cột 12 (diện tích mặt cắt ngang) biểu T3 TCVN 12636 -9:2020;
- Cột 12 ghi tốc độ trung bình Vtb (m/s): lấy số liệu từ cột 13 (tốc độ trung bình mặt cắt ngang) biểu T3 TCVN 12636 -9:2020;
- Cột 13 ghi tốc độ lớn nhất Vmax(m/s): là tốc độ lớn nhất đo được trên toàn mặt cắt ngang;
- Cột 14 ghi độ rộng mặt nước B (m): tra trên bảng tính sẵn giá trị tương quan độ rộng - mực nước B=f(H) ứng với mực nước khi đo lưu lượng nước;
- Cột 15 ghi độ sâu trung bình htb (m): là tỷ số của diện tích mặt cắt ngang (cột 11) chia cho độ rộng mặt nước (cột 14);
- Cột 16 ghi độ sâu lớn nhất hmax(m): là độ sâu lớn nhất trong lần đo;
- Phần cuối bảng phải ghi đầy đủ các hạng mục ở phần tổng kết;
- Khi lập xong bảng kết quả lưu lượng nước thực đo phải đối chiếu, duyệt và ghi rõ họ tên từng người vào bên dưới bảng;
CHÚ THÍCH:
- Người lập bảng, người đối chiếu và người duyệt phải là ba người khác nhau;
- Cột thời gian bắt đầu đo (cột 2) và thời gian kết thúc đo (cột 3): Tổng số thời gian đo trang một lần đo phải phù hợp với phương pháp đo;
- Đối với mặt cắt ngang khống chế mực nước tốt, không có bãi bồi, tràn: ở mực nước cao hơn thì diện tích và độ rộng sông không được nhỏ hơn khi ở mực nước thấp hơn.
B.2 Biểu tính lượng triều và cách lập biểu
![]()
Sông: ……… Năm: ……… Trạm: …….
BIỂU TÍNH LƯỢNG TRIỀU
| Triều lên | Triều xuống | |||||||||||
| Thời gian | Lưu lượng nước (m3/s) | Lưu lượng nước trung bình (m3/s) | Khoảng cách thời gian 102(s) | Lượng triều bộ phận (103m3) | Thời gian | Lưu lượng nước (m3/s) | Lưu lượng nước trung bình (m3/s) | Khoảng cách thời gian 102(s) | Lượng triều bộ phận (103m3) | |||
| Ngày Tháng | Giờ | Ngày Tháng | Giờ | |||||||||
| 1 | 2 | 3 | 4 | 5 | 6 | 7 | 8 | 9 | 10 | 11 | 12 | |
|
|
|
|
|
|
|
|
|
|
|
|
| |
| Triều lên | Lượng triều: ..............103m3 Thời gian dòng triều: ................102s Lưu lượng nước lớn nhất: ................ m3/s | Biên độ triều: ................cm Tốc độ lớn nhất: ................ m/s | Lượng ra (vào) ...... 103m3 | |||||||||
| Triều xuống | Lượng triều: ..............103m3 Thời gian dòng triều: ................102s Lưu lượng nước lớn nhất: ................ m3/s | Biên độ triều: ................cm Tốc độ lớn nhất: ................ m/s | ||||||||||
| Ngày ...... tháng....năm ....... Người lập biểu: .............................. | Ngày ...... tháng....năm ....... Người đối chiếu: .............................. | Ngày ...... tháng....năm ....... Người duyệt: .............................. |
B.2.1 Biểu tính lượng triều (Biểu CBT-4)
Biểu tính lượng triều như mẫu quy định trên (CBT-4)
B.2.2 Cách lập biểu tính lượng triều
B.2.2.1 Điền tên trạm, tên sông, năm vào biểu
B.2.2.2 Nội dung biểu
Trong thời kỳ có dòng triều lên, nói chung một trang biểu chỉ được sử dụng ghi cho một kỳ dòng triều. Trong một kỳ triều, dòng triều lên xuất hiện trước ghi trước, dòng triều xuống xuất hiện sau, ghi sau. Nếu thời gian dòng triều xuống dài, số lần quan trắc nhiều, không đủ ghi trong cột "Triều xuống" của một trang biểu, thì cho phép ghi tiếp vào cột "Triều xuống" của trang biểu sau. Phần còn lại của trang biểu này để trống.
Trong thời kỳ quá 3 ngày liên tục không có dòng triều lên, thì cột "Triều lên" gạch chữ lên, điền chữ "xuống" vào để ghi số liệu của dòng triều xuống.
Khi ghi số liệu vào các cột thời gian và lưu lượng nước của biểu CBT-4 cần thực hiện theo các quy định liên quan trong Điều 5.1.15.
Cách ghi các cột trong biểu như sau:
1 - "Thời gian", "Lưu lượng nước": trong thời gian quan trắc bằng phương pháp đường đại biểu, lấy số liệu từ 2 cột "Giờ đo" và "Lưu lượng" trong "Biểu lưu tốc (T-2)". Trong thời gian quan trắc bằng phương pháp đo cùng lúc trên mặt cắt ngang, lấy số liệu từ 2 cột "Thời gian đo" và "Lưu lượng nước mặt cắt" trong "Biểu tính lưu lượng triều" (T3) TCVN 12636-9:2020. Thời gian đo lưu lượng nước bằng thiết bị tự động thì "Thời gian đo" và "Lưu lượng nước" lấy số liệu từ biểu “Biểu lưu lượng nước thực đo bằng thiết bị tự động” (CBT-5) TCVN 12636-9:2020. Lưu lượng nước thuộc dòng triều lên thì ghi vào cột "Triều lên", lưu lượng nước thuộc dòng triều xuống thì ghi vào cột "Triều xuống".
Trường hợp đặc biệt như dòng triều biến đổi phức tạp, có những nhấp nhô nhỏ trong thời gian ngắn, thì trong cột "Triều lên" có thể có lưu lượng nước chảy xuôi, trong cột "Triều xuống" có thể có lưu lượng nước chảy ngược. Trường hợp này các trị số lưu lượng nước khác chiều phải thêm dấu “-” vào phía trước trị số đó. "Thời gian" đầu và cuối của mỗi loại dòng triều là thời điểm chuyển dòng triều được xác định theo Điều 5.1.14.
2 - "Khoảng cách thời gian": ghi đoạn thời gian giữa 2 số liệu kề nhau trong cột "Thời gian", đơn vị là 102s.
3 - "Lưu lượng nước trung bình": ghi trị số trung bình đại số của 2 trị số lưu lượng nước kề nhau.
4 - "Lượng triều bộ phận": ghi tích số giữa 2 trị số tương ứng trong 2 cột "Khoảng cách thời gian" và "Lưu lượng nước trung bình", các số liệu tương ứng trong các cột 2 và 4 được ghi cùng hàng với nhau.
5 - Các trị số đặc trưng
a) Triều lên
- "Lượng triều": ghi tổng đại số các lượng triều bộ phận;
- "Thời gian dòng triều". Ghi thời gian dòng triều lên, đơn vị lấy là 102s, kèm số giờ, phút trong ngoặc đơn vào phía sau.
- "Biên độ triều" ghi biên độ triều lên của kỳ triều này.
- "Lưu lượng nước lớn nhất", "tốc độ lớn nhất": chọn trị số lớn nhất của cột "Lưu lượng nước" và "tốc độ điểm đo" trong "Biểu ghi tốc độ" hoặc trong cột "Lưu lượng" và "Tốc độ lớn nhất" trong "Biểu lưu lượng nước từng giờ” (CBT-3) thuộc dòng triều lên. Trong thời gian sử dụng phương pháp đo cùng lúc trên mặt cắt ngang, "Tốc độ lớn nhất" được chọn trong tất cả các đường thủy trực đo tốc độ. Trong thời kỳ đo lưu lượng nước bằng thiết bị tự động chọn "Lưu lượng" và "tốc độ lớn nhất" trong cột lưu lượng nước và cột tốc độ lớn nhất.
b) "Triều xuống": cách ghi giống như phần "Triều lên", chỉ có khác toàn bộ số liệu lấy trong dòng triều xuống;
c) "Lượng tháo ra (vào)": ghi hiệu số giữa lượng triều xuống và lượng triều lên.
Nếu mang dấu dương thì gạch bỏ chữ (vào), nếu mang dấu âm thì gạch bỏ chữ (ra).
Khi lập xong Biểu tính lượng triều phải đối chiếu, duyệt và ghi rõ họ tên từng người vào bên dưới bảng;
GHI CHÚ: Người lập bảng, người đối chiếu và người duyệt phải là ba người khác nhau.
B.3 Biểu lưu lượng nước từng giờ và cách lập biểu
| BIỂU LƯU LƯỢNG NƯỚC TỪNG GIỜ |
|
Mã trạm:
Trạm: Sông: Ngày báo cáo:
| Thời gian đo | Mực nước (cm) | Lưu lượng nước (m3/s) | Diện tích mặt cắt ngang (m2) | Tốc độ trung bình mặt cắt (m/s) | Tốc độ trung bình đường đại biểu (m/s) | Tốc độ lớn nhất (m/s) | Lượng triều (103m3) | Thời gian dòng triều (102s) | Lưu lượng nước trung bình dòng triều (m3/s) | Lưu lượng nước tháo ra hoặc vào (103m3) | Biên độ triều (cm) | Ghi chú | ||
| Ngày Tháng | Giờ | Chảy ngược | Chảy xuôi | |||||||||||
| 1 | 2 | 3 | 4 | 5 | 6 | 7 | 8 | 9 | 10 | 11 | 12 | 13 | 14 | 15 |
|
|
|
|
|
|
|
|
|
|
|
|
|
|
|
|
| Ngày ...... tháng....năm ....... Người lập biểu: .............................. | Ngày ...... tháng....năm ....... Người đối chiếu: .............................. | Ngày ...... tháng....năm ....... Người duyệt: .............................. |
B.3.1 Biểu lưu lượng nước từng giờ (Biểu CBT-3)
Biểu tính lưu lượng nước từng giờ như mẫu quy định trên (Biểu CBT-3)
B.3.2 Cách lập biểu lưu lượng nước từng giờ
B.3.2.1 Điền tên trạm, tên sông, năm vào biểu
B.3.2.2 Nội dung biểu
1- Từ cột 1 đến cột 9
a) Nếu là thời kỳ đo tốc độ bằng phương pháp đường đại biểu thì các cột này được lấy số liệu từ "Biểu ghi tốc độ (T2)".
b) Nếu là thời kỳ hoàn toàn đo tốc độ bằng phương pháp đo cùng lúc trên mặt cắt ngang thì các cột này được lấy số liệu từ "Biểu tính lưu lượng nước triều (T3)" Phụ lục c.1.4.1 TCVN 12636-9:2020.
c) Nếu là thời kỳ đo lưu lượng nước bằng thiết bị tự động thì các cột này được lấy số liệu từ “Biểu lưu lượng nước thực đo bằng thiết bị tự động (CBT-5) Phụ lục C.2.1 TCVN 12636-9:2020.
d) Ở các thời điểm chuyển dòng triều, cột 2 ghi kết quả tính toán theo Điều 5.1.14. Ghi số “0” vào cột 4 khi hết chảy ngược và vào cột 5 khi hết chảy xuôi.
2- Các cột 10, 11, 13, 14 sao từ các cột ghi các trị số đặc trưng tương ứng trong "Biểu tính lượng triều (CBT-4)" sang.
3- Cột 12 là thương số giữa cột 10 và 11.
4- Cột ghi chú: ghi tóm tắt các ghi chú trong các "Biểu ghi tốc độ", "Biểu tính lưu lượng nước triều", "Biểu tính lượng triều", “Biểu lưu lượng nước thực đo bằng thiết bị tự động”. Ngoài ra cần ghi thêm thời gian đo diện tích mặt cắt ngang, thời gian tiến hành phương pháp đo cùng lúc trên mặt cắt ngang, thời gian đo chi tiết bằng thiết bị tự động, phương trình tương quan Vmc ~ Vđb và thời gian sử dụng của nó. Khi ghi các thời gian đó (bao gồm thời gian bắt đầu đo, kết thúc đo), cần được ghi ngang hàng và trùng với cột 1, 2 trong biểu.
Khi lập xong Biểu tính lưu lượng nước từng giờ phải đối chiếu, duyệt và ghi rõ họ tên từng người vào bên dưới bảng;
GHI CHÚ: Người lập bảng, người đối chiếu và người duyệt phải là ba người khác nhau.
B.4 Biểu đặc trưng triều hàng ngày và cách lập biểu
| BIỂU ĐẶC TRƯNG TRIỀU HÀNG NGÀY |
|
Mã trạm:
Trạm: Sông: Ngày báo cáo:
| Thời gian bắt đầu chuyển triều | Thời gian dòng triều (102s) | W (103m3) |
| Qmax (m3/s) | Vmax (m/s) | H (cm) | ΔH (cm) | Ghi chú | |||||||||||||
| Chảy ngược | Chảy xuôi | - | + | - | + | Tháo ra | - | + | - | + | - | + | - | + | - | + |
| ||||
| Ngày | Giờ | Phút | Ngày | Giờ | Phút | ||||||||||||||||
| 1 | 2 | 3 | 4 | 5 | 6 | 7 | 8 | 9 | 10 | 11 | 12 | 13 | 14 | 15 | 16 | 17 | 18 | 19 | 20 | 21 | 22 |
|
|
|
|
|
|
|
|
|
|
|
|
|
|
|
|
|
|
|
|
|
|
|
|
|
|
|
|
|
|
|
|
|
|
|
|
|
|
|
|
|
|
|
|
|
|
|
|
|
|
|
|
|
|
|
|
|
|
|
|
|
|
|
|
|
|
|
|
|
|
|
|
|
|
|
|
|
|
|
|
|
|
|
|
|
|
|
|
|
|
|
|
|
|
|
|
|
|
|
|
|
|
|
|
|
|
|
|
|
|
|
|
|
|
|
|
|
|
|
|
|
|
|
|
|
|
|
|
|
|
|
|
|
|
|
|
|
|
|
|
|
|
|
|
|
|
|
|
|
|
|
|
|
|
|
|
|
|
|
|
|
|
|
|
|
|
|
|
|
|
|
|
|
|
|
|
|
|
|
|
|
|
|
|
|
|
|
|
|
|
|
|
|
|
|
|
|
|
|
|
|
|
|
|
|
|
|
|
|
|
|
|
|
|
|
|
|
|
|
|
|
|
|
|
|
|
|
|
|
|
| Tổng cộng |
|
|
|
|
|
|
|
|
|
|
|
|
|
|
| -Chảy ngược +Chảy xuôi | |||||
| Lớn nhất |
|
|
|
|
|
|
|
|
|
|
|
|
|
|
| ||||||
| Ngày |
|
|
|
|
|
|
|
|
|
|
|
|
|
|
| ||||||
| Nhỏ nhất |
|
|
|
|
|
|
|
|
|
|
|
|
|
|
| ||||||
| Ngày |
|
|
|
|
|
|
|
|
|
|
|
|
|
|
| ||||||
| Ngày ...... tháng....năm ....... Người lập biểu: .............................. | Ngày ...... tháng....năm ....... Người đối chiếu: .............................. | Ngày ...... tháng....năm ....... Người duyệt: .............................. |
B.4.1 Biểu đặc trưng triều hàng ngày (Biểu CBT-14)
Biểu đặc trưng triều hàng ngày như mẫu quy định trên (CBT-14)
B.4.2 Cách lập biểu
B.4.2.1 Điền tên trạm, tên sông, năm vào biểu
B.4.2.2 Nội dung biểu
1- "Trạm", "Sông": ghi như trong "Sổ đo sâu mặt cắt ngang"
2- "Thời gian bắt đầu chuyển triều": ghi thời gian xuất hiện nước đứng triều xuống vào cột "Ngày, giờ, phút của chảy ngược", ghi thời gian xuất hiện nước đứng triều lên vào cột "Ngày, giờ, phút của chảy xuôi". Nếu không có dòng triều lên thì cột chảy ngược bỏ trống, còn cột chảy xuôi ghi ngày, giờ, phút xuất hiện tốc độ nhỏ nhất của kỳ dòng triều. Trường hợp thời gian xuất hiện nước đứng hoặc lưu lượng nước nhỏ nhất kéo dài thì ghi thời điểm chính giữa của thời gian kéo dài đó.
3- Các cột "Thời gian dòng triều", "W" (lượng triều), "Qmax" (lưu lượng nước lớn nhất), "Vmax" (tốc độ lớn nhất), "ΔH" (biên độ triều): lấy số liệu từ cột các trị số đặc trưng trong "Biểu tính lượng triều (CBT-4)" hoặc lấy số liệu từ các cột "Thời gian dòng triều", "Lượng triều", "Biên độ triều" trong "Biểu lưu lượng nước từng giờ” (CBT-3). Trường hợp thời gian chuyển dòng triều không đúng 0 giờ đầu tháng hoặc 24 giờ cuối tháng thì ghi các số liệu ΔTL, ΔTX, ΔWL, ΔWX (tính theo quy định tại Điều 5.1.17) vào các cột tương ứng với thời gian ở đầu tháng hay cuối tháng).
4- Cột
(lưu lượng nước trung bình dòng triều): lấy số liệu từ cột "Lưu lượng nước trung bình dòng triều" trong "Biểu lưu lượng nước từng giờ“ (CBT-3).
5- Cột "H" (mực nước): tra từ "Sổ quan trắc mực nước" hoặc lấy số liệu từ "Biểu lưu lượng nước từng giờ” (CBT-3) được chân triều trước và đỉnh triều của kỳ triều có kỳ dòng triều này, ghi vào các cột "Chân trước", "Đỉnh" tương ứng.
6- Cột ghi chú: ghi những vấn đề xảy ra trong đo đạc và tính toán, chỉnh lý ảnh hưởng đến chất lượng của các số liệu trong một kỳ triều
CHÚ THÍCH: trừ các cột số liệu ΔTL, ΔTX, ΔWL, ΔWX ở đầu tháng, cuối tháng, tất cả các số liệu nằm trên một hàng ngang trong biểu này đều thuộc phạm vi một kỳ triều, lấy thời gian xuất hiện đỉnh triều làm chuẩn.
7- "Tổng cộng": ghi tổng đại số các số liệu trong cùng một cột thuộc các cột "Thời gian dòng triều" và "W". Tổng đại số của 2 lượng triều chảy ngược và chảy xuôi bằng Wtháo ra.
8- "Lớn nhất" và "Ngày": chọn trị số lớn nhất trong các cột "Thời gian dòng triều", "W", "Q", "Vmax", "Hđỉnh", "ΔH" ghi vào ô "Lớn nhất" tương ứng, ghi thời gian xuất hiện của chúng vào ô "Ngày" tương ứng. Ô "Lớn nhất" và "Ngày" của cột "H chân trước" bỏ trống không ghi.
9- "Nhỏ nhất" và "Ngày": chọn trị số nhỏ nhất trong cột "H chân trước" ghi vào ô "Nhỏ nhất" tương ứng, ghi thời gian xuất hiện của nó vào ô "Ngày" tương ứng. Còn các ô "Nhỏ nhất" và "Ngày" của các cột khác bỏ trống không ghi.
CHÚ THÍCH: "Ngày" xuất hiện của các trị số "Lớn nhất", "Qmax", "Vmax", "Hđỉnh" và "Nhỏ nhất" "H chân trước" được tra từ các biểu bảng có số liệu hàng giờ như "Biểu lưu lượng nước từng giờ", "Sổ quan trắc mực nước" v.v... Những số liệu "Thời gian dòng triều" W, ΔH, Q kéo dài từ 2 ngày trở lên, thì ghi ngày xuất hiện đỉnh triều.
Khi lập xong Biểu đặc trưng triều hàng ngày phải đối chiếu, duyệt và ghi rõ họ tên từng người vào bên dưới bảng;
CHÚ THÍCH: Người lập bảng, người đối chiếu và người duyệt phải là ba người khác nhau.
B.5 Biểu ghi tốc độ
Ngày ... tháng ... năm ..…...
| BIỂU GHI TỐC ĐỘ |
|
Sông: Máy lưu tốc kế số: ……….. Trạm:
Tương quan dòng triều lên (xuống): Khoảng cách đến mốc khởi điểm:…………….. Công thức máy:…………..
Thủy trực số:
| Giờ đo | Mực nước (cm) | Độ sâu (m) | Điểm đo | Độ sâu điểm đo (m) | Số vòng quay | Thời gian (s) | Tốc độ điểm đo (m/s) | Tốc độ hiệu chính điểm đo (m/s) | Tốc độ trung bình thủy trực (m/s) | Tốc độ trung bình mặt cắt ngang (m/s) | Diện tích mặt cắt ngang (m2) | Lưu lượng nước (m3/s) | Hướng gió Sức gió | Ghi chú |
| 1 | 2 | 3 | 4 | 5 | 6 | 7 | 8 | 9 | 10 | 11 | 12 | 13 | 14 | 15 |
|
|
|
|
|
|
|
|
|
|
|
|
|
|
|
|
| Ngày ........ tháng ........ năm ........... Người quan trắc: .................................. | Ngày ........ tháng ........ năm ........... Người đối chiếu: .................................... |
B.5.1 Biểu ghi tốc độ (Biểu T-2)
Biểu ghi tốc độ như mẫu quy định trên (T-2)
B.5.2 Cách lập biểu
B.5.2.1 Điền thông tin phía trên biểu
1. "Đo ngày....tháng...năm....": ghi ngày, tháng, năm dương lịch của lần đo. Trong đó tháng ghi bằng số la mã, còn ngày, năm ghi bằng số thường.
2- "Trạm": ghi như trong "Sổ đo sâu mặt cắt ngang".
3- "Tương quan triều lên (xuống)": ghi phương trình tương quan Vmc = f(Vđb) đã được cấp có thẩm quyền xét duyệt. Nếu trong một mặt biểu có đa số lần đo thuộc chảy ngược thì ghi phương trình tương quan dòng triều lên, gạch bỏ chữ (xuống), ngược lại thì gạch bỏ chữ (lên).
4- "Máy lưu tốc kế số": ghi số hiệu máy lưu tốc kế dùng do lần này.
5- "Công thức máy": ghi công thức kiểm định của máy lưu tốc kế đang đo.
6- "Thủy trực số": ghi số hiệu thủy trực đang đo bằng chữ số la mã.
7- "Khoảng cách đến mốc khởi điểm": ghi khoảng cách từ đường thủy trực đo tốc độ đến mốc khởi điểm.
B.5.2.2 Nội dung biểu
1- "Giờ đo": ghi thời điểm của lần đo tốc độ tại đường thủy trực này.
2- "Mực nước": ghi trị số mực nước tương ứng với "Giờ đo" ngang hàng số liệu trong cột 8.
3- "Độ sâu":
a) Nếu đo sâu bằng cá sắt và bằng sào, gậy thì ghi độ sâu theo quy định trong 9.1 TCVN12636-9:2020.
b) Nếu độ cao đáy sông tại thủy trực đo tốc độ không thay đổi thì có thể tính từ mực nước và độ cao đáy sông.
4- "Điểm đo": ghi thứ tự các điểm đo trên thủy trực. Ví dụ: mặt; 0,2 h; 0,4 h; 0,6 h; 0,8 h và đáy. Khi mỗi điểm đo trên thủy trực được đo 2 lượt xuống và lên thì dưới các con số ghi lượt đo đi, lần lượt để trống 1 dòng.
5- "Độ sâu điểm đo": ghi tích số giữa "Điểm đo" và "Độ dài dây ướt" (hiệu số giữa 2 số liệu độ sâu lúc cá sắt chạm đáy sông và chạm mặt nước) cho các điểm 0,2 h; 0,4 h; 0,6 h và 0,8 h. Có thể lập bảng quan hệ độ sâu và điểm đo để tra ra "Độ sâu điểm đo". Khi mỗi điểm đo trên đường thủy trực đo 2 lượt, nếu độ sâu biến đổi nhỏ hơn 5 % thì chỉ ghi một lần đầu, trị số này ghi ngang hàng với "Điểm đo" khi tiến hành phương pháp hiệu chính tốc độ trung bình điểm đo; nếu độ sâu biến đổi từ 5 % trở lên thì ghi cả 2 lượt.
6- "Số vòng quay": ghi tổng số vòng quay, bằng tích số giữa tổng số tín hiệu và số vòng quay trong một tín hiệu (khi sử dụng máy lưu tốc kế hiện số theo thời gian cố định thì cột này bỏ trống). Ghi ngang hàng với số liệu tương ứng trong cột điểm đo.
7- "Thời gian": ghi khoảng thời gian của tổng tín hiệu. Ghi ngang hàng với số liệu tương ứng trong cột "Số vòng quay". Đối với máy lưu tốc kế hiện số thì ghi thời gian ứng với số liệu tương ứng trong cột "Điểm đo", dùng bậc 50 giây thì ghi 50, dùng bậc 100 giây thì ghi 100.
8- "Tốc độ điểm đo": lấy số vòng quay" và "thời gian" thay vào công thức kiểm định máy hoặc tra từ bảng tính sẵn quan hệ tốc độ và số vòng quay, thời gian. Nếu dùng máy lưu tốc kế hiện số theo thời gian cố định thì ghi số liệu hiện số ngang hàng với số liệu tương ứng trong 2 cột "Điểm đo" và "Thời gian". Nếu là tốc độ chảy ngược thì trước "Tốc độ điểm đo" cần thêm dấu “-”. Nếu là tốc độ điểm đo lớn nhất trên thủy trực thì gạch ngang một nét chì đỏ dưới trị số đó.
9- " Tốc độ hiệu chính điểm đo"
a) Nếu điểm đo được đo 2 lần, thì ghi trị số trung bình đại số của kết quả 2 lần đo.
b) Nếu điểm đo có đo hướng chảy, mà hướng chảy lệch quá 10° so với hướng vuông góc mặt cắt ngang tuyến quan trắc thì ghi tích số giữa tốc độ điểm đo với cosin của góc chệch hướng chảy.
10- "Tốc độ trung bình thủy trực" ghi kết quả tính toán theo 10.1.2.2 c) TCVN 12636-9:2020, nếu là chảy ngược, thì phía dưới thêm dấu “-”.
11. “Tốc độ trung bình mặt cắt ngang”: cột này chỉ dùng cho thời kỳ đo tốc độ trên thủy trực đại biểu. Dựa vào tương quan hoặc bảng tính sẵn quan hệ tốc độ trung bình thủy trực đại biểu và tốc độ trung bình mặt cắt ngang để tính hoặc tra ra. Nếu chảy ngược thì kết quả đánh dấu (-). Khi đo tốc độ toàn mặt cắt ngang cột này sẽ để trống.
12. “Diện tích mặt cắt ngang”: tra từ bảng tính sẵn quan hệ mực nước và diện tích mặt cắt ngang.
13. “Lưu lượng”: ghi tích số giữa tốc độ trung bình mặt cắt ngang với diện tích mặt cắt ngang
14- "Hướng gió và cấp gió": ghi theo 6.2, TCVN 12636-2:2019.
15- "Ghi chú": ghi những hiện tượng ảnh hưởng đến chất lượng số liệu quan trắc như sóng lớn, mưa to, rêu rác v.v... sự cố xảy ra trong đo đạc và sự hỏng hóc máy móc, trang thiết bị. Có thể vẽ sơ đồ phân bố tốc độ theo chiều sâu thủy trực khi cần phân tích.
Khi lập xong Biểu ghi tốc độ xong phải ghi tên người quan trắc, người đối chiếu và ghi rõ họ tên từng người vào bên dưới bảng;
CHÚ THÍCH: Người quan trắc và người đối chiếu phải là hai người khác nhau.
B.6 Biểu khai toán diện tích mặt cắt ngang
| BIỂU KHAI TOÁN DIỆN TÍCH MẶT CẮT NGANG |
|
Mã trạm: Thời gian sử dụng mặt cắt ngang:
Trạm: Sông: Ngày báo cáo............
| Mực nước H cm | Diện tích mặt cắt ngang (m2) | ||||||||||
| 0 | 1 | 2 | 3 | 4 | 5 | 6 | 7 | 8 | 9 | Ghi chú | |
|
|
|
|
|
|
|
|
|
|
|
|
|
|
|
|
|
|
|
|
|
|
|
|
|
|
|
|
|
|
|
|
|
|
|
|
|
|
|
|
|
|
|
|
|
|
|
|
|
|
|
|
|
|
|
|
|
|
|
|
|
|
|
|
|
|
|
|
|
|
|
|
|
|
|
|
|
|
|
|
|
|
|
|
|
|
|
|
|
|
|
|
|
|
|
|
|
|
|
|
|
|
|
|
|
|
|
|
|
|
|
|
|
|
|
|
|
|
|
|
|
|
|
|
|
|
|
|
|
|
|
|
|
|
|
|
|
|
|
|
|
|
|
|
|
|
|
|
|
|
|
|
|
|
|
|
|
|
|
|
|
|
|
|
|
|
|
|
|
|
|
|
|
|
|
|
|
|
|
|
|
|
|
|
|
|
|
|
|
|
|
|
|
|
|
|
|
|
|
|
|
|
|
|
|
|
|
|
|
|
|
|
|
|
|
|
|
|
|
|
|
|
|
|
|
|
|
|
|
|
|
|
|
|
|
|
|
|
|
|
|
|
|
|
|
|
|
|
|
|
|
|
|
|
|
|
|
|
|
|
|
|
|
|
|
|
|
|
|
|
|
|
|
|
|
|
|
|
|
|
|
|
|
|
|
|
|
|
|
|
|
|
|
|
|
|
|
|
|
|
|
|
|
|
|
|
|
|
|
|
|
|
|
|
|
|
|
|
|
|
|
|
|
|
|
|
|
|
|
|
|
|
|
|
|
|
|
|
|
|
|
|
|
|
|
|
|
|
|
|
|
|
|
|
|
|
|
|
|
|
|
|
|
|
|
|
|
|
|
|
|
|
|
|
|
|
|
|
|
|
|
|
|
|
|
|
|
|
|
|
|
|
|
|
|
|
|
|
|
|
|
|
|
| Ngày ...... tháng ..... năm ..... Người lập biểu | Ngày ...... tháng ..... năm ..... Người đối chiếu | Ngày ...... tháng ..... năm ..... Người duyệt |
B.6.1 Biểu khai toán diện tích mặt cắt ngang (Biểu T-8)
Biểu khai toán mặt cắt ngang như mẫu quy định trên (T-8)
B.6.2 Cách lập biểu
B.6.2.1 Điền thông tin phía trên biểu
1- “Năm....”: năm dương lịch của lần đo, năm ghi bằng số thường.
2- “Mã trạm:...” ghi mã của trạm khai toán mặt cắt ngang (nếu có);
3- “Thời gian sử dụng tài liệu mặt cắt ngang:....”: ghi rõ thời gian sử dụng mặt cắt ngang, từ ngày bắt đầu sử dụng đến ngày kết thúc sử dụng;
4- "Trạm", “Sông”: ghi như trong "Sổ đo sâu mặt cắt ngang".
5- "Ngày báo cáo": ngày hoàn thành biểu (in báo cáo) khai toán trước khi được lập biểu và được đối chiếu và sau khi được duyệt.
B.6.2.2 Nội dung biểu
Cột mực nước ghi mực nước ứng với mỗi cấp mực nước ΔH = 10 (cm) lập trong phạm vi từ mực nước thấp nhất đến mực nước cao nhất trong thời gian sử dụng tài liệu diện tích mặt cắt ngang.
Với phần diện tích mặt cắt ngang
- Cột 0 ghi diện tích mặt cắt ngang ứng với mực nước tại cột mực nước (mực nước là số chẵn chục);
- Từ cột 1 đến cột 9 ghi diện tích mặt cắt ngang ứng với từng cm mực nước tại cột mực nước trên dòng đó.
VÍ DỤ: dòng 1: phần mực nước ghi 20, phần diện tích mặt cắt ngang cột 4 ghi 203 được hiểu là khi mực nước là 24 cm thì ứng với diện tích là 203 m2;
Dòng 2: phần mực nước ghi 30, phần diện tích mặt cắt ngang cột 0 ghi 260 được hiểu là khi mực nước là 30 cm thì ứng với diện tích là 260 m2;
Khi lập xong Biểu khai toán diện tích mặt cắt ngang phải đối chiếu, duyệt và ghi rõ họ tên từng người vào bên dưới bảng;
CHÚ THÍCH: Người lập bảng, người đối chiếu và người duyệt phải là ba người khác nhau.
B.7 Biểu tính sai số đường Vmc = f(Vđb)
| BIỂU TÍNH SAI SỐ ĐƯỜNG Vmc = f(Vđb) |
|
Mã trạm:
Trạm: Sông: Ngày báo cáo................
| Số thứ tự đo Vmc | Thời gian đo | Vđb (m/s) | Vmc (thực đo) (m/s) | Vmc0 (đọc) (m/s) |
|
|
| Ghi chú | |||
| - | + | - | + | ||||||||
|
|
|
|
|
|
|
|
|
|
|
| |
|
|
|
|
|
|
|
|
|
|
|
| |
|
|
|
|
|
|
|
|
|
|
|
| |
|
|
|
|
|
|
|
|
|
|
|
| |
|
|
|
|
|
|
|
|
|
|
|
| |
|
|
|
|
|
|
|
|
|
|
|
| |
|
|
|
|
|
|
|
|
|
|
|
| |
|
|
|
|
|
|
|
|
|
|
|
| |
|
|
|
|
|
|
|
|
|
|
|
| |
|
|
|
|
|
|
|
|
|
|
|
| |
|
|
|
|
|
|
|
|
|
|
|
| |
|
|
|
|
|
|
|
|
|
|
|
| |
|
|
|
|
|
|
|
|
|
|
|
| |
|
|
|
|
|
|
|
|
|
|
|
| |
|
|
|
|
|
|
|
|
|
|
|
| |
|
|
|
|
|
|
|
|
|
|
|
| |
|
|
|
|
|
|
|
|
|
|
|
| |
|
|
|
|
|
|
|
|
|
|
|
| |
|
|
|
|
|
|
|
|
|
|
|
| |
|
|
|
|
|
|
|
|
|
|
|
| |
|
|
|
|
|
|
|
|
|
|
|
| |
| GIỚI HẠN SAI SỐ ĐIỂM ĐO | Tổng số điểm đo ....................; | ||||||||||
| Giới hạn | Số lần xuất hiện | Cộng dồn | Tỷ số % | Cộng dồn | Số điểm bỏ .......... Tổng sai số âm ........... Tổng sai số dương .......... | Số điểm tham khảo ......... Số điểm ................. Số điểm .................. | |||||
| 0 - 5% |
|
|
|
| |||||||
| 5,01 - 10% |
|
|
|
| |||||||
| 10,01 - 15% |
|
|
|
| Sai số đường .......................... | ||||||
| > 15% |
|
|
|
| Sai số lớn nhất (+) ........ Sai số nhỏ nhất (-) ......... |
| Điểm đo số .............. Điểm đo số .............. | ||||
|
|
|
|
|
| |||||||
| Ngày ...... tháng ..... năm ..... Người lập biểu | Ngày ...... tháng ..... năm ..... Người đối chiếu | Ngày ...... tháng ..... năm ..... Người duyệt |
| BIỂU TÍNH SAI SỐ ĐƯỜNG Vmc = f(Vđb) |
|
Mã trạm:
Trạm: Sông: Ngày báo cáo..................
| Số thứ tự đo Vmc | Thời gian đo | Vđb (m/s) | Vmc (thực đo) (m/s) | Vmc0 (đọc) (m/s) |
|
|
| Ghi chú | |||
| - | + | - | + | ||||||||
|
|
|
|
|
|
|
|
|
|
|
| |
|
|
|
|
|
|
|
|
|
|
|
| |
|
|
|
|
|
|
|
|
|
|
|
| |
|
|
|
|
|
|
|
|
|
|
|
| |
|
|
|
|
|
|
|
|
|
|
|
| |
|
|
|
|
|
|
|
|
|
|
|
| |
|
|
|
|
|
|
|
|
|
|
|
| |
|
|
|
|
|
|
|
|
|
|
|
| |
|
|
|
|
|
|
|
|
|
|
|
| |
|
|
|
|
|
|
|
|
|
|
|
| |
|
|
|
|
|
|
|
|
|
|
|
| |
|
|
|
|
|
|
|
|
|
|
|
| |
|
|
|
|
|
|
|
|
|
|
|
| |
|
|
|
|
|
|
|
|
|
|
|
| |
|
|
|
|
|
|
|
|
|
|
|
| |
|
|
|
|
|
|
|
|
|
|
|
| |
|
|
|
|
|
|
|
|
|
|
|
| |
|
|
|
|
|
|
|
|
|
|
|
| |
|
|
|
|
|
|
|
|
|
|
|
| |
|
|
|
|
|
|
|
|
|
|
|
| |
|
|
|
|
|
|
|
|
|
|
|
| |
| GIỚI HẠN SAI SỐ ĐIỂM ĐO | Tổng số điểm đo ..................; | ||||||||||
| Giới hạn | Số lần xuất hiện | Cộng dồn | Tỷ số % | Cộng dồn | Số điểm bỏ .......... Tổng sai số âm ........... Tổng sai số dương .......... | Số điểm tham khảo ......... Số điểm ................. Số điểm .................. | |||||
| 0 - 5% |
|
|
|
| |||||||
| 5,01 - 10% |
|
|
|
| |||||||
| 10,01 - 15% |
|
|
|
| Sai số đường .......................... | ||||||
| > 15% |
|
|
|
| Sai số lớn nhất (+) ........ Sai số nhỏ nhất (-) ......... |
| Điểm đo số ........... Điểm đo số ........... | ||||
|
|
|
|
|
| |||||||
| Ngày ...... tháng ..... năm ..... Người lập biểu:………….. | Ngày ...... tháng ..... năm ..... Người đối chiếu:………….. | Ngày ...... tháng ..... năm ..... Người duyệt:………….. |
B.7.1 Biểu tính sai số đường Vmc = f(Vđb) (Biểu CBT-6)
Biểu tính sai số đường như mẫu quy định trên (CBT-6)
B.7.2 Cách lập biểu
B.7.2.1 Điền thông tin phía trên biểu
1- “Năm....”: năm dương lịch của lần đo, năm ghi bằng số thường. Nếu lập phương trình tương quan chảy xuôi và chảy ngược thì tốc độ chảy ngược đưa vào biểu tính sai số đường Vmc = f(Vđb) chảy ngược và vận tốc chảy xuôi đưa vào biểu tính sai số đường Vmc = f(Vđb) chảy xuôi. Còn nếu lập chung một phương trình thì bỏ từ chảy xuôi và ngược.
2- “Mã trạm:...” ghi mã của trạm đang làm chỉnh biên tài liệu (nếu có);
3- "Trạm", “Sông”: ghi tên trạm đang làm chỉnh biên và tên sông đặt trạm quan trắc.
5- "Ngày báo cáo": ngày hoàn thành biểu (in báo cáo) tính sai số trước khi được lập biểu và được đối chiếu và sau khi được duyệt.
B.7.2.2 Nội dung biểu
- Cột “Số thứ tự đo Vmc”: ghi số thứ tự đo Vmc;
- Cột “Thời gian đo”: ghi thời gian lần đo Vmc của cột “Vmc thực đo”;
- Cột “Vđb” ghi trị số tốc độ đại biểu tương ứng thời gian đo tốc độ mặt cắt ngang thực đo;
- Cột “Vmc” ghi trị số tốc độ mặt cắt ngang thực đo ứng với thời gian ghi tại cột thời gian;
- Cột “Vmc0” ghi trị số tốc độ tra được trên đường quan hệ Vmc = f(Vđb) tương ứng với Vmc và Vđb tại số thứ tự trên hàng đó;
- Cột "ΔVmc = Vmc-Vmc0” nếu ΔVmc = Vmc-Vmc0 là trị số âm thì ghi vào cột “-”, nếu là trị số dương thì ghi vào cột "+";
- Cột "
" nếu
là số âm thì ghi vào cột "-", nếu là dương thì ghi vào cột "+";
- Cột
chính là bình phương của cột "
"
- Phần giới hạn điểm đo:
+ Cột giới hạn: như mẫu
+ Cột “Số lần xuất hiện” tại cột "
" có bao nhiêu lần xuất hiện (tổng số lần xuất hiện) giá trị từ 0 % đến 5 % thì ghi vào hàng 0-5 %; có bao nhiêu lần xuất hiện giá trị từ 5,01 % đến 10 % thì ghi vào hàng 5,01-10%; có bao nhiêu lần xuất hiện giá trị từ 10,01 % đến 15% thì ghi vào hàng 10,01-15%; còn lại số lần xuất hiện lớn hơn 15 % ghi vào dòng >15%;
- Phần bên cạnh giới hạn điểm đo
+ Hàng “Tổng số điểm đo…..”; Ghi tổng số điểm đo được của tốc độ mặt cắt ngang;
+ Hàng “Số điểm bỏ...”: ghi số tổng số điểm bỏ không tham gia tính sai số; và “Số điểm tham khảo....”: ghi tổng số điểm dùng để tham khảo, nếu không có thì thôi.
+ Hàng “Tổng sai số âm......”: ghi tổng giá trị sai số tại cột “-” của cột “
” và tổng số điểm tại cột “-” ghi vào “Số điểm....”;
+ Hàng “Tổng sai số dương…..” và “Số điểm....” tương tự như đối với số âm;
+ Hàng sai số đường: Ghi sai số đường sau khi đã tính theo 5.1.4
+ Hàng “Sai số lớn nhất (+)…..”; ghi sai số lớn nhất dương tại cột “+” của cột "
" và đó là điểm đo nào thì ghi vào “Điểm đo số....”;
+ Hàng “Sai số nhỏ nhất (-)…..” và “Điểm đo số….” làm tương tự như đối với Sai số lớn nhất (+);
CHÚ Ý: sai số nhỏ nhất (-) chính là giá trị tuyện đối lớn nhất tại cột “-” của cột “
”
Khi lập xong Biểu tính sai số đường Vmc = f(Vđb) phải đối chiếu, duyệt và ghi rõ họ tên từng người vào bên dưới bảng;
CHÚ THÍCH: Người lập bảng, người đối chiếu và người duyệt phải là ba người khác nhau.
B.8 Biểu lưu lượng nước trung bình ngày
| BIỂU LƯU LƯỢNG NƯỚC TRUNG BÌNH NGÀY |
|
Mã trạm: Đơn vị: m3/s) Diện tích lưu vực: .......km2
Trạm: Sông: Ngày báo cáo
| Tháng Ngày | I | II | III | IV | V | VI | VII | VIII | IX | X | XI | XII |
| 1 |
|
|
|
|
|
|
|
|
|
|
|
|
| 2 |
|
|
|
|
|
|
|
|
|
|
|
|
| 3 |
|
|
|
|
|
|
|
|
|
|
|
|
| 4 |
|
|
|
|
|
|
|
|
|
|
|
|
| 5 |
|
|
|
|
|
|
|
|
|
|
|
|
| 6 |
|
|
|
|
|
|
|
|
|
|
|
|
| 7 |
|
|
|
|
|
|
|
|
|
|
|
|
| 8 |
|
|
|
|
|
|
|
|
|
|
|
|
| 9 |
|
|
|
|
|
|
|
|
|
|
|
|
| 10 |
|
|
|
|
|
|
|
|
|
|
|
|
| . |
|
|
|
|
|
|
|
|
|
|
|
|
| . |
|
|
|
|
|
|
|
|
|
|
|
|
| . |
|
|
|
|
|
|
|
|
|
|
|
|
| 23 |
|
|
|
|
|
|
|
|
|
|
|
|
| 24 |
|
|
|
|
|
|
|
|
|
|
|
|
| 25 |
|
|
|
|
|
|
|
|
|
|
|
|
| 26 |
|
|
|
|
|
|
|
|
|
|
|
|
| 27 |
|
|
|
|
|
|
|
|
|
|
|
|
| 28 |
|
|
|
|
|
|
|
|
|
|
|
|
| 29 |
|
|
|
|
|
|
|
|
|
|
|
|
| 30 |
|
|
|
|
|
|
|
|
|
|
|
|
| 31 |
|
|
|
|
|
|
|
|
|
|
|
|
| Tổng |
|
|
|
|
|
|
|
|
|
|
|
|
| Trunq bình |
|
|
|
|
|
|
|
|
|
|
|
|
| Lớn nhất |
|
|
|
|
|
|
|
|
|
|
|
|
| Ngày |
|
|
|
|
|
|
|
|
|
|
|
|
| Nhỏ nhất |
|
|
|
|
|
|
|
|
|
|
|
|
| Ngày |
|
|
| . . . |
|
|
|
|
|
|
|
|
| Đặc trưng năm | Tổng số : ............. m3/s |
| Tổng lượng nước: ............. | 109 m3 |
|
| ||||||
| Lưu lượng nước lớn nhất:...m3/s | Ngày | tháng... | Lưu lượng nhỏ nhất:... | ngày | tháng | |||||||
|
| Lưu lượng nước trung bình:...m3/s | Môđul:......l/skm2 |
| Độ sâu dòng chảy...mm | ||||||||
| Ký hiệu | + Trị số cải chính | # Trị số bổ sung | * Trị số khả nghi | ( )Trị số chưa đầy đủ | ||||||||
| Ngày ...... tháng ..... năm ..... Người lập biểu | Ngày ...... tháng ..... năm ..... Người đối chiếu | Ngày ...... tháng ..... năm ..... Người duyệt |
B.8.1 Biểu lưu lượng nước trung bình ngày (Biểu CBT-7)
Biểu lưu lượng nước trung bình ngày như mẫu quy định trên (CBT-6);
B.8.2 Cách lập biểu
B.8.2.1 Điền thông tin phía trên biểu
1- “Năm....”: năm dương lịch của lần đo, năm ghi bằng số thường.
2- “Mã trạm:...” ghi mã của trạm đang làm chỉnh biên tài liệu (nếu có).
3- “Diện tích lưu vực…..”: chỉ ghi diện tích lưu vực của những tuyến quan trắc không có phân lưu ở thượng lưu.
3- "Trạm", “Sông”: ghi tên trạm và tên sông như trong sổ quan trắc tốc độ nước.
5- "Ngày báo cáo": ngày hoàn thành biểu (in báo cáo) trước khi được lập biểu và được đối chiếu và sau khi được duyệt.
B.8.2.2 Nội dung biểu
1- Các ô trống giao nhau ở hàng và cột ghi số liệu lưu lượng nước trung bình của ngày, tháng tương ứng.
2- “Tổng cộng”: ghi tổng số các số liệu lưu lượng nước trung bình ngày cùng cột trong tháng. Chỉ ghi tháng có đủ số liệu.
3- “Trung bình”: ghi thương số giữa số liệu “Tổng cộng” và số ngày trong tháng tương ứng.
4- “Lớn nhất, ngày”: ghi số liệu lưu lượng nước lớn nhất trong tháng và ngày xuất hiện của nó vào ô ngày, tháng tương ứng. Số liệu lưu lượng nước lớn nhất được chọn trong các biểu tính lưu lượng nước hàng giờ như “Biểu ghi lưu lượng nước từng giờ”, “Biểu trích lưu lượng nước giờ mùa lũ” và các số liệu bổ sung điều tra khảo sát tin cậy. Nếu trị số lớn nhất xuất hiện trong nhiều ngày thì ghi ngày đầu tiên kèm theo sau ghi số ngày xuất hiện
VÍ DỤ: ở dòng “ngày” “cột” tháng VII ghi 12(3) biểu thị trí số lớn nhất xuất hiện 3 lần trong tháng VII, sớm nhất vào ngày 12.
5- “Nhỏ nhất, ngày”: ghi tương tự như mục 4 trên, khác là thay trị số lớn nhất bằng nhỏ nhất (hoặc trị số lớn nhất chảy ngược)
6- “Đặc trưng năm”: chỉ ghi khi có số liệu của cả năm hoặc biết chắc chắn trị số đó là giá trị đặc trưng năm.
+ “Tổng lượng nước”: Ghi tích số giữa số của 12 trị số “Tổng cộng” tháng với số giây của một ngày (86400).
+ “Lưu lượng nước lớn nhất ...ngày....tháng....”: chọn ghi trị số lớn nhất trong các tháng thuộc nội dung 4 trên và ngày tháng xuất hiện đầu tiên vào ô tương ứng trong tiêu đề kèm theo sau khi ghi số ngày xuất hiện.
VÍ DỤ: Lưu lượng lớn nhất 3250 m3/s ngày 12 tháng VII (5) biểu thị lưu lượng nước lớn nhất năm là 3250 m3/s xuất hiện 5 lần trong năm, sớm nhất vào ngày 12 tháng VII.
+ “Lưu lượng nhỏ nhất....ngày....tháng....” ghi tương tự như trong mục “Lưu lượng nước lớn nhất ...ngày....tháng....” khác là thay trị số lớn nhất bằng trị số nhỏ nhất. Số liệu lấy từ trong nội dung 5 trên.
+ “Lưu lượng nước trung bình”: ghi thương số giữa tổng số của 12 trị số “Tổng cộng” tháng với tổng số ngày trong năm.
+ “Mô đun”: ghi thương số giữa “Lưu lượng nước trung bình” và “Diện tích lưu vực”.
+ “Độ sâu dòng chảy”: ghi thương số giữa “ “Tổng lượng nước” và “Diện tích lưu vực”.
Khi lập xong Biểu lưu lượng nước trung bình ngày phải đối chiếu, duyệt và ghi rõ họ tên từng người vào bên dưới bảng;
CHÚ THÍCH: Người lập bảng, người đối chiếu và người duyệt phải là ba người khác nhau.
B.9 Biểu khai toán Vmc = f(Vđb)
| BIỂU KHAI TOÁN Vmc = f(Vđb) |
|
Mã trạm:
Trạm: Sông: Ngày báo cáo..................

| Ngày ...... tháng ..... năm ..... Người lập biểu:………… | Ngày ...... tháng ..... năm ..... Người đối chiếu:………… | Ngày ...... tháng ..... năm ..... Người duyệt:………… |
| BIỂU KHAI TOÁN Vmc = f(Vđb) |
|
Mã trạm:
Trạm: Sông: Ngày báo cáo...............

| Ngày ...... tháng ..... năm ..... Người lập biểu:……… | Ngày ...... tháng ..... năm ..... Người đối chiếu:……… | Ngày ...... tháng ..... năm ..... Người duyệt:……… |
B.9.1 Biểu khai toán Vmc = f(Vđb) (Biểu CBT-8)
Biểu khai toán Vmc = f(Vđb) như mẫu quy định trên (CBT-8)
B.9.2 Cách lập biểu
B.9.2.1 Điền thông tin phía trên biểu
1- “năm....”: năm dương lịch của lần đo, năm ghi bằng số thường. Nếu lập phương trình tương quan chảy xuôi và chảy ngược thì khai toán tốc độ chảy ngược vào biểu khai toán Vmc = f(Vđb) chảy ngược và khai toán tốc độ chảy xuôi vào biểu khai toán Vmc = f(Vđb) chảy xuôi. Còn nếu lập chung một phương trình thì bỏ từ chảy xuôi và ngược.
2- “Mã trạm:...” ghi mã của trạm đang làm chỉnh biên tài liệu (nếu có).
3- "Trạm", “Sông”: ghi tên trạm và tên sông như trong sổ quan trắc tốc nước.
4- "Ngày báo cáo": ngày hoàn thành biểu (in báo cáo) khai toán trước khi được lập biểu và được đối chiếu và sau khi được duyệt.
B.9.2.2 Nội dung biểu
- Cột tốc độ Vđb ghi tốc độ ứng với mỗi cấp tốc độ ΔV=0,1 (m/s) lập trong phạm vi từ tốc độ thấp nhất đến tốc độ cao nhất trong thời gian sử dụng tài liệu tốc độ đại biểu.
- Hàng 0 đến 9 là chữ số đơn vị cuối cùng trong ba số có nghĩa của tốc độ đại biểu ứng với cột tốc độ đại biểu (Vđb).
- Các ô trống giao nhau ở hàng và cột ghi số liệu tốc độ mặt cắt ngang tương ứng.
VÍ DỤ: dòng 1: phần vận tốc ghi 0,1; ô giao nhau của 0,1 và 0 ghi 0,11 được hiểu là khi tốc độ đại biểu bằng 0,10 m/s thì ứng với tốc độ mặt cắt là 0,11 m/s;
Dòng 2: phần tốc độ đại biểu ghi 0,2; ô giao nhau của 0,2 và 5 ghi 0,26 được hiểu là khi tốc độ đại biểu bằng 0,25 m/s thì ứng với tốc độ mặt cắt là 0,26 m/s;
- Cách lập biểu khai toán Vmc = f(Vđb) thực hiện theo 5.1.8
- Khi lập xong Biểu khai toán Vmc = f(Vđb) phải đối chiếu, duyệt và ghi rõ họ tên từng người vào bên dưới bảng:
CHÚ THÍCH: Người lập bảng, người đối chiếu và người duyệt phải là ba người khác nhau.
B.10 Biểu trích lưu lượng nước giờ mùa lũ
| BIỂU TRÍCH LƯU LƯỢNG NƯỚC GIỜ MÙA LŨ |
|
Mã trạm:
Trạm: Sông: Ngày báo cáo..................
| Tháng | Ngày | Giờ | Mực nước (cm) | Lưu lượng nước (m3/s) | Lưu lượng nước trung bình (m3/s) | Tháng | Ngày | Giờ | Mực nước (cm) | Lưu lượng nước (m3/s) | Lưu lượng nước trung bình (m3/s) |
|
|
|
|
|
|
|
|
|
|
|
|
|
|
|
|
|
|
|
|
|
|
|
|
|
|
|
|
|
|
|
|
|
|
|
|
|
|
|
|
|
|
|
|
|
|
|
|
|
|
|
|
|
|
|
|
|
|
|
|
|
|
|
|
|
|
|
|
|
|
|
|
|
|
|
|
|
|
|
|
|
|
|
|
|
|
|
|
|
|
|
|
|
|
|
|
|
|
|
|
|
|
|
|
|
|
|
|
|
|
|
|
|
|
|
|
|
|
|
|
|
|
|
|
|
|
|
|
|
|
|
|
|
|
|
|
|
|
|
|
|
|
|
|
|
|
|
|
|
|
|
|
|
|
|
|
|
|
|
|
|
|
|
|
|
|
|
|
|
|
|
|
|
|
|
|
|
|
|
|
|
|
|
|
|
|
|
|
|
|
|
|
|
|
|
|
|
|
|
|
|
|
|
|
|
|
|
|
|
|
|
|
|
|
|
|
|
|
|
|
|
|
|
|
|
|
|
|
|
|
|
|
|
|
|
|
|
|
|
|
|
|
|
|
|
|
|
|
|
|
|
|
|
|
|
|
|
|
|
|
|
|
|
|
|
|
|
|
|
|
|
|
|
|
|
|
|
|
|
|
|
|
|
|
|
|
|
|
|
|
|
|
|
|
|
|
|
|
|
|
|
|
|
|
|
|
|
|
|
|
|
|
|
|
|
|
|
|
|
|
|
|
|
|
|
|
|
|
|
|
|
|
|
|
|
|
|
|
|
|
|
|
|
|
|
|
|
|
|
|
|
|
|
|
|
|
|
|
|
|
|
|
|
|
|
|
|
|
|
|
|
|
|
|
|
|
|
|
|
|
|
|
|
|
|
|
|
|
|
|
|
|
|
|
|
|
|
|
|
|
|
|
|
| Ngày ...... tháng ..... năm ..... Người lập biểu | Ngày ...... tháng ..... năm ..... Người đối chiếu | Ngày ...... tháng ..... năm ..... Người duyệt |
B.10.1 Biểu trích lưu lượng nước giờ mùa lũ (Biểu CBT-9)
Biểu trích lưu lượng nước giờ mùa lũ như mẫu quy định trên (CBT-9)
B.10.2 Cách lập biểu
B.10.2.1 Điền thông tin phía trên biểu
1- “năm....”: năm dương lịch của lần đo, năm ghi bằng số thường.
2- “Mã trạm:...” ghi mã của trạm đang làm chỉnh biên tài liệu (nếu có).
3- "Trạm", “Sông”: ghi tên trạm và tên sông như trong sổ ghi đo lưu lượng nước.
4- "Ngày báo cáo": ngày hoàn thành biểu (in báo cáo) trước khi được lập biểu và được đối chiếu và sau khi được duyệt.
B.10.2.2 Nội dung biểu
1- “Tháng”, “Ngày”, “Giờ”: Ghi thời gian trích theo quy định tại 5.2.3.2.
2- “Mực nước” ghi mực nước ứng với cột “Giờ” trên cùng hàng ngang.
3- “Lưu lượng nước”: ghi trị số lưu lượng nước được tra từ số liệu trong cột “Mực nước” tương ứng với thời gian trên đường quan hệ H ~ Q vòng dây hoặc trong bảng quan hệ H ~ Q trung bình (khi sử dụng phương pháp H ~ Q trung bình) ghi cùng hàng với cột “Giờ”.
4- “Lưu lượng nước trung bình ngày”: khi các lần tính lưu lượng nước giờ phân bố đều trong ngày thì tính theo phương pháp trung bình cộng; khi các lần tính lưu lượng nước giờ phân bố không đều giờ trong ngày thì tính theo phương pháp bao hàm diện tích và số liệu được ghi ngang hàng với giờ trích cuối cùng trong ngày.
- Khi lập xong Biểu trích lưu lượng nước giờ mùa lũ phải đối chiếu, duyệt và ghi rõ họ tên từng người vào bên dưới bảng;
CHÚ THÍCH: Người lập bảng, người đối chiếu và người duyệt phải là ba người khác nhau.
Phụ lục C
(Tham khảo)
Một số phương pháp chỉnh biên tài liệu lượng triều
(Dùng khi bổ sung tài liệu)
C.1 Công tác chuẩn bị
- Thu thập các tài liệu dùng để chỉnh biên và phân tích như tài liệu thống kê đặc trưng triều hàng ngày và các tài liệu gốc, tính toán liên quan; tài liệu chỉnh biên mực nước; tài liệu chỉnh biên lượng triều của các năm trước; tài liệu chỉnh biên mực nước và lượng triều của trạm thượng, hạ lưu, lân cận; tài liệu điều tra thủy văn có liên quan đến sự tác động của thiên nhiên và con người trong phạm vi từ trạm đến trạm bổ trợ; hồ sơ kỹ thuật trạm; sổ dẫn độ cao; sổ nhật ký trạm; các bảng tổng kết kỹ thuật; các báo cáo có liên quan đến vị trí quan trắc, công trình, trang thiết bị quan trắc; các ý kiến nhận xét của đoàn thanh tra hay kiểm tra v.v...;
- Có đủ văn phòng phẩm cần thiết, biểu mẫu và dụng cụ tính toán, vẽ biểu đồ.
C.2 Các yếu tố cần chỉnh biên
Tùy theo mục đích, yêu cầu và đặc điểm từng loại trạm mà xác định yếu tố cần chỉnh biên:
- Đối với trạm thông thường, cần chỉnh biên tìm lượng triều hoặc lưu lượng nước trung bình dòng triều;
- Đối với trạm có nhu cầu đặc biệt, cần chỉnh biên thêm yếu tố khác như lưu lượng nước lớn nhất v.v...
C.3 Tài liệu dùng để chỉnh biên
Tài liệu dùng để chỉnh biên phải có chất lượng cao và có tính đại biểu, gồm toàn bộ tài liệu đã có hoặc tài liệu một số kỳ triều đặc trưng (triều mãn, trung bình, triều cường) đã được kiểm nghiệm so sánh qua kết quả chỉnh biên.
Dùng tài liệu quan trắc theo phương pháp đo cùng lúc trên mặt cắt ngang tiến hành chỉnh biên trước, sau dùng tài liệu quan trắc theo phương pháp đường đại biểu.
C.4 Chọn yếu tố triều chính và tham số
- Bình thường dùng: biên độ triều ΔH, biên độ triều hữu ích D; biên độ triều hữu ích trung bình (D+d)/2; mực nước đỉnh triều Hđ; mực nước chân triều Hc; thời gian dòng triều T (không dùng khi chỉnh biên lưu lượng trung bình dòng triều); cường độ biến đổi lớn nhất của mực nước ΔHmax/Δt (dùng để chỉnh biên Qmax) v.v...
- Nếu mặt cắt bị bồi xói, dùng diện tích mặt cắt ngang trung bình lúc (Hđ + Hc)/2 v.v...
- Trường hợp nước thượng nguồn biến đổi rõ rệt: dùng mực nước đỉnh triều, chân triều trạm trên, trạm dưới; chênh lệch mực nước đỉnh triều, chân triều giữa trạm trên, trạm dưới hoặc giữa trạm trên với trạm chỉnh biên hoặc giữa trạm chỉnh biên với trạm dưới; lưu lượng nước trạm trên v.v...có thể từ đường quá trình của các yếu tố nêu trên
VÍ DỤ: đường quá trình tổng hợp trong 6.3.1 chọn ra yếu tố có quan hệ mật thiết nhất đối với sự biến đổi của yếu tố cần chỉnh biên làm yếu tố triều chính. (Một trong các yếu tố ΔH, D, (D+d)/2, Hđ thường được chọn làm yếu tố triều chính.

Hình C.1 - Sơ đồ các đặc trưng kỳ triều
C.5 Yêu cầu về độ chính xác của phương pháp chỉnh biên
Băng điểm trong biểu đồ quan hệ giữa yếu tố cần chỉnh biên và yếu tố khác phải đạt yêu cầu sau:
- 75 % số điểm nằm trong đường bao ±10 %;
- 95 % số điểm nằm trong đường bao ±15 %.
C.6 Các phương pháp chỉnh biên
1- Phương pháp yếu tố triều chính;
2- Phương pháp yếu tố triều một tham số;
3- Phương pháp yếu tố triều hai tham số - phương pháp tương quan hợp trục.
Vẽ biểu đồ: thực hiện theo các quy định tại Phụ lục A.
C.6.1 Phương pháp yếu tố triều chính
Vẽ biểu đồ quan hệ giữa yếu tố triều chính và yếu tố cần chỉnh biên. Nếu băng điểm hẹp, các điểm quan hệ phân bố lẫn lộn, không theo thời gian hay yếu tố nào khác thì vạch đường trung bình đi qua các nhóm điểm. Đường cong này có xu hướng đi qua điểm gốc 0 của yếu tố cần chỉnh biên (xem hình C.2).
C.6.2 Phương pháp yếu tố triều một tham số
Khi biểu đồ quan hệ giữa yếu tố triều chính và yếu tố cần chỉnh biên chưa đạt được yêu cầu, thì chọn một tham số thích hợp ghi cạnh điểm quan hệ. Căn cứ vào xu thế biến đổi giá trị của tham số, vẽ các đường tham số có cùng giá trị. Các đường này phải biến đổi từ từ và quy tụ về điểm gốc 0 của yếu tố cần chỉnh biên (xem hình C.3).
Vẽ biểu đồ quan hệ giữa số liệu đọc trên đường quan hệ của biểu đồ trên với số liệu thực đo của yếu tố cần chỉnh biên. Nếu các điểm nằm trong một băng hẹp tạo với trục hoành một góc 45° và đạt được các yêu cầu nêu trong C.5 thì yếu tố triều chính và tham số thứ nhất được coi là thích hợp.

| Hình C.2 - Biểu đồ quan hệ biên độ triều và lưu lượng nước trung bình dòng triều | Hình C.3 - Biểu đồ quan hệ lưu lượng nước trung bình dòng triều với biên độ triều, đỉnh triều |
C.6.3 Phương pháp yếu tố triều 2 tham số - tương quan hợp trục
Khi phương pháp yếu tố triều một tham số chưa đạt yêu cầu quy định tại C.5 thì chọn thêm tham số thứ hai, ghi cạnh điểm quan hệ trong biểu đồ bên trái (xem hình C.3). Cách vẽ các đường tham số có cùng giá trị tương tự như quy định tại c.6.2 (xem hình C.4).
Vẽ biểu đồ quan hệ giữa số liệu đọc trên đường quan hệ mới của biểu đồ với số liệu thực đo của yếu tố cần chỉnh biên. Nếu các điểm nằm trong một băng hẹp tao với trục hoành một góc 45° và đạt được các yêu cầu nêu trong C.5 thì việc sử dụng yếu tố triều chính và 2 tham số trên được coi là thích hợp. Nếu qua sử dụng hai tham số vẫn không đạt được yêu cầu thì cần chọn lại tham số hoặc yếu tố triều chính hoặc điều chỉnh lại các đường quan hệ trong biểu đồ.

Hình C.4 - Biểu đồ quan hệ lưu lượng nước trung bình dòng triều với: biên độ triều, đỉnh triều, chênh lệch mực nước giữa đỉnh triều trạm trên và trạm dưới
C.7 Tìm lượng triều và đặc trưng triều
Căn cứ vào các yếu tố triều tham gia xây dựng biểu đồ mà lập bảng tra tìm các yếu tố cần chỉnh biên tương ứng cho từng ngày, ở những biểu đồ dùng tham số, thì những giá trị nằm giữa hai đường được nội suy theo phương pháp xu thế.
Khi sử dụng phương pháp chỉnh biên lưu lượng nước trung bình dòng triều thì lượng triều được tính như sau:
| WL = QdL × TL | (C.1) |
| WX = QdX × TX | (C.2) |
Trong đó:
WL là lượng triều lên;
WX là lượng triều xuống;
QdL là lưu lượng nước trung bình dòng triều lên;
QdX là lưu lượng nước trung bình dòng triều xuống;
TL là thời gian dòng triều lên;
TX là thời gian dòng triều xuống;
C.8 Lập biểu đặc trưng triều hàng ngày
Sau khi tìm xong lượng triều và các đặc trưng triều, cần thống kê bổ sung hoặc lập riêng biểu đặc trưng triều hàng ngày. Trong một biểu có thể có cả số liệu thực đo và số liệu trích từ các biểu đồ chỉnh biên. Cách lập biểu: tương tự theo quy định tại 5.1.20.
C.9 Phân tích tính chất hợp lý của tài liệu
Vẽ đường quá trình các yếu tố cần chỉnh biên với các yếu tố Hđ, Hc, ΔHL, ΔHX, TL, TX và các tham số dùng trong chỉnh biên. Các điểm thực đo và điểm chỉnh biên dùng kí hiệu riêng biệt. Cách phân tích tính chất hợp lý thực hiện tương tự theo 6.1.3. Nếu điểm chỉnh biên sai lệch đáng kể và có hệ thống với điểm thực đo, chứng tỏ phương pháp xác định chưa thích hợp, cần phải điều chỉnh lại đường quan hệ.
Phụ lục D
(Quy định)
Thuyết minh tài liệu
D.1 Mô tả vị trí trạm
- Vị trí trạm
- Tên trạm, hạng trạm, trạm được đặt ở phía nào của sông.
- Địa chỉ nơi đặt trạm.
- Khoảng cách tới cửa sông, cửa biển đến các vị trí dễ nhận biết trên bản đồ.
- Diện tích lưu vực (nếu có).
- Tọa độ địa lý.
D.2 Lịch sử trạm
- Mục đích đặt trạm.
- Thời gian bắt đầu quan trắc các yếu tố và thời gian ngừng quan trắc qua từng thời kỳ.
- Nếu có sự di chuyển tuyến đo hoặc thay đổi từ trạm dùng riêng thành trạm quốc gia, nâng cấp, hạ cấp phải ghi rõ và phải nêu bật mối liên hệ của tài liệu giữa các thời gian đó.
D.3 Đoạn sông đặt trạm
- Nêu rõ tình hình lưu vực, các nhân tố tự nhiên và nhân tạo làm ảnh hưởng đến chế độ mực nước như:
- Địa hình đoạn sông đặt trạm;
- Độ rộng sông đặt trạm;
- Lòng sông, bờ sông, bãi tràn, hướng chảy...;
- Các công trình ảnh hưởng đến chế độ dòng chảy, độ chính xác của tài liệu.
D.4 Vị trí quan trắc các yếu tố
Nêu vị trí quan trắc các yếu tố:
- Mực nước;
- Nhiệt độ nước;
- Nhiệt độ không khí (nếu có);
- Mưa;
- Lưu lượng nước;
- Yếu tố khác (nếu có).
D.5 Chế độ thủy văn
Phải làm rõ những nội dung sau:
- Trạm đo thuộc vùng sông nào;
- Chế độ dòng chảy trong năm:
+ Mùa cạn;
+ Mùa lũ.
- Đánh giá mực nước, dòng chảy trong năm so với quy luật chung;
- Bảng thống kê trị số đặc trưng khí tượng thủy văn đo được trong năm.
D.6 Công trình trang thiết bị quan trắc
D.6.1 Mốc độ cao
Nêu số lượng mốc chính, mốc kiểm tra: độ cao, vị trí, hình dáng, kích thước, ngày dẫn thăng bằng, sự thay đổi hệ thống độ cao qua từng thời kỳ;
D.6.2 Hệ thống công trình quan trắc
- Công trình quan trắc mực nước phải nêu rõ những ý sau:
+ Quan trắc mực nước bằng tuyến cọc, thủy chí, máy tự ghi mực nước, thiết bị tự động...năm xây dựng, sự ổn định, thay đổi cọc, thủy chí trong năm;
+ Công trình nằm ở bờ trái hay bờ phải, vị trí công trình, tính ổn định của bờ sông, độ ổn định của công trình đặt thiết bị;
+ Đối với công trình quan trắc bằng máy tự ghi mực nước phải ghi độ cao sàn máy, kiểu giếng...;
+ Ngày dẫn độ cao cọc, thủy chí;
+ Trong năm nếu đóng thêm cọc hoặc thủy chí phải nêu rõ đó là cọc hay thủy chí nào. Ngày đóng thêm cọc hoặc thủy chí, ngày sử dụng, lý do.
- Công trình đo nhiệt độ nước;
- Công trình đo mưa;
- Công trình đo lưu lượng nước. Nêu rõ công trình quan trắc lưu lượng nước là bằng cáp thuyền, tự hành, nôi, hay tự động....
D.6.3 Trang thiết bị và phương tiện quan trắc
- Nêu rõ tên thiết bị quan trắc các yếu tố: mực nước, nhiệt độ nước, nhiệt độ nước, lượng mưa, lưu lượng nước, tốc độ, mặt cắt ngang; nước sản xuất, ngày kiểm định/kiểm chuẩn, tính năng, độ ổn định và chính xác của tất cả trang thiết bị quan trắc các yếu tố trên trong năm.
- Nêu phương tiện đo như thuyền, ca nô, cầu, nôi……; chất lượng của phương tiện đo.
D.7 Quan trắc
- Nêu rõ chế độ quan trắc các yếu tố: mực nước, nhiệt độ nước, nhiệt độ nước, lượng mưa, lưu lượng nước.
- Quan trắc mặt cắt ngang trong năm: nêu rõ đo bao nhiêu lần trong năm; thời gian đo;
- Đo tốc độ đại biểu;
- Quan trắc kỳ đo chi tiết: đo bao nhiêu kỳ đo chi tiết trong năm và thời gian đo;
- Trong năm có đo thời kỳ ảnh hưởng thủy triều yếu hay không và thời gian đo;
- Tình hình quan trắc: nêu rõ việc bố trí quan trắc, chế độ quan trắc, tính liên tục của số liệu, độ chính xác, kịp thời, tính hợp lý của các yếu tố và thực hiện quy trình chuyên môn.
D.8 Chỉnh biên
D.8.1 Chỉnh biên tài liệu mực nước, lượng mưa, nhiệt độ nước, không khí (nếu có)
Nêu rõ những vấn đề sau:
- Phương pháp tính toán mực nước trung bình ngày;
- Phương pháp chọn chân đỉnh triều hàng ngày; Mực nước đỉnh triều cao nhất, chân triều thấp nhất.
- Phân tích tài liệu: bố trí quan trắc có thích hợp với chế độ nước lên xuống không? Có theo dõi, quan trắc liên tục trong thời gian thước nước bị biến động không? Kiểm tra tính chất hợp lý với trạm nào (trạm thượng, hạ lưu), có gì nghi ngờ, mâu thuẫn không? Nếu có thì nêu lý do và cách chỉnh lý tài liệu đó, thời gian và số liệu; Thời gian chân đỉnh triều có đủ không, thời gian con triều…..
- Chỉnh biên bằng chương trình chỉnh biên tài liệu (nêu rõ tên chương trình), excel hay thủ công; Cách thực hiện;
- Đánh giá chất lượng tài liệu mực nước, lượng mưa, nhiệt độ nước, nhiệt độ không khí (nếu có).
D.8.2 Chỉnh biên lưu lượng nước
Nêu rõ những vấn đề sau:
- Trong năm chỉ có ảnh hưởng thủy triều mạnh hay có cả thời kỳ ảnh hưởng thủy triều yếu và thời kỳ ảnh hưởng thủy triều mạnh.
- Đối với thời kỳ ảnh hưởng thủy triều mạnh:
+ Phân tích và khai thác số liệu:
* Phương pháp phân tích, các biện pháp thẩm tra và chỉnh lý số liệu thực đo;
* Phương pháp tính toán các điểm đo đại biểu; Biểu lưu lượng nước thực đo kỳ đo chi tiết;
* Những thiếu sót cơ bản của tài liệu (nếu có);
* Phân loại điểm đo (số điểm nằm trong phạm vi sai số cho phép, số điểm tham khảo, số loại bỏ);
* Nguyên nhân sinh ra gây ra những hiện tượng đột xuất gây sai số lớn.
+ Phương pháp xử lý:
* Phân tích xác định phạm vi sử dụng mặt cắt ngang, thời gian sử dụng;
* Phương pháp xử lý, xác định đường tương quan Vmc = f(Vđb). Các công thức dùng tính toán, thời gian sử dụng đường tương quan;
Chỉnh biên bằng chương trình chỉnh biên tài liệu (nêu rõ tên chương trình), excel hay thủ công; Cách thực hiện, dạng đường sử dụng chỉnh biên.
+ Phạm vi sử dụng của các phương trình tương quan;
Quan hệ triều lên/ xuống:
| * Tổng số điểm đo: | ; | Số điểm bỏ | ; |
| * Tổng số sai số dương: | ; | Số điểm: | ; |
| * Tổng số sai số âm: | ; | Số điểm: | ; |
| * Sai số đường quan hệ Vmc = f(Vđb): |
|
|
|
| * Sai số dương lớn nhất: | ; | Điểm đo số: | ; |
| * Sai số âm lớn nhất: | ; | Điểm đo số: | ; |
+ Phương trình tương quan:
- Đối với thời kỳ ảnh hưởng thủy triều yếu: Thực hiện như đối với vùng không ảnh hưởng thủy triều.
- Các biện pháp dùng để kiểm tra tính hợp lý tài liệu.
- Đánh giá chất lượng tài liệu lưu lượng nước.
D.9 Kết luận
Kết luận phải nêu được:
- Tính ổn định của mốc độ cao, công trình quan trắc;
- Trang thiết bị đo đạc có đầy đủ, đúng tiêu chuẩn kỹ thuật và còn hạn kiểm định không?
- Số liệu quan trắc đã quan trắc kịp thời, liên tục, đầy đủ, chính xác đúng quy trình chuyên môn chưa?
- Tính toán đúng, tính hợp lý của tài liệu
- Phương pháp chỉnh biên đã hợp lý chưa? Biểu bảng tính toán đầy đủ, sạch sẽ và chính xác không?
- Đánh giá chung về chất lượng tài liệu của các yếu tố quan trắc.
Phụ lục E
(Quy định)
Kết quả tài liệu chỉnh biên
1. Mục lục
2. Kết quả đánh giá chất lượng tài liệu thủy văn.
3. Nhận xét tài liệu chỉnh biên.
4. Thuyết minh tài liệu.
5. Bản đồ vị trí trạm.
6. Trắc đồ ngang công trình quan trắc mực nước.
7. Bảng thống kê đầu cọc và điểm “0” thủy chí tuyến đo mực nước.
Phần mực nước
8. Biểu ghi lượng mưa ngày.
9. Biểu mực nước trung bình ngày.
10. Đường quá trình mực nước trung bình ngày.
11. Biểu mực nước triều cao nhất chân triều thấp nhất.
12. Bảng ghi mực nước từng giờ và mực nước trung bình ngày.
13. Bảng thống kê chân, đỉnh triều hàng ngày.
14. Biểu ghi nhiệt độ nước trung bình ngày.
15. Biểu ghi nhiệt độ không khí trung bình ngày (nếu có).
16. Đường quá trình mực nước giờ từng tháng xếp theo thứ tự từ tháng I đến tháng XII.
17. Đường quá trình chân triều thấp, đỉnh triều cao H = f(t).
18. Đường quá trình mực nước trung bình ngày.
19. Đường quá trình nhiệt độ trung bình ngày.
20. Đường quá trình nhiệt độ trung bình ngày.
21. Các tài liệu phân tích bao gồm các bảng số liệu và bản vẽ bổ sung, hiệu chính số liệu (nếu có) như bảng thống kê mực nước các trạm trên, trạm dưới hoặc trạm lân cận và bản vẽ tương quan mực nước đồng thời (nếu có chuyển tuyến quan trắc).
Phần lưu lượng nước.
22. Biểu lưu lượng nước thực đo.
23. Biểu đặc trưng triều hàng ngày xếp theo thứ tự từ tháng I đến tháng XII.
24. Biểu lưu lượng nước từng giờ.
25. Biểu khai toán diện tích mặt cắt ngang.
26. Biểu tính sai số đường Vmc = f(Vđb).
27. Biểu khai toán Vmc = f(Vđb).
28. Phần ảnh hưởng thủy triều yếu (nếu có) sắp xếp như quy định cho vùng sông không ảnh hưởng thủy triều.
Phần tính lượng triều: Đóng quyển riêng về tính lượng triều
Phần đường quá trình
29. Đường quá trình mực nước giờ có chấm điểm thực đo.
30. Đường tương quan Vmc = f(Vđb) phần chảy xuôi và chảy ngược.
31. Đường quá trình H, Vmc, Vđb, Q ~ t.
32. Đường quá trình Hd ~ t, Hc ~ t.
33. Đường quá trình ΔHL ~ t, ΔHX ~ t.
34. Đường quá trình QL ~ t, QX ~ t.
35. Đường quá trình WL ~ t, WX ~ t.
36. Đường quá trình QmaxL ~ t, QmaxX ~ t.
37. Các đường thời kỳ ảnh hưởng thủy triều yếu (nếu có) sắp xếp như quy định cho vùng sông không ảnh hưởng thủy triều.
38. Mặt cắt ngang tổng hợp.
Thư mục tài liệu tham khảo
[1] QCVN 47:2022/BTNMT Quy chuẩn quốc gia về quan trắc thủy văn;
[2] 94 TCN 3-90, Quy phạm quan trắc lưu lượng nước sông lớn và sông vừa vùng sông không ảnh hưởng thủy triều;
[3] 94 TCN 17-99, Quy phạm quan trắc lưu lượng nước sông lớn vùng sông ảnh hưởng thủy triều.
MỤC LỤC
1 Phạm vi áp dụng
2 Tài liệu viện dẫn
3 Thuật ngữ, định nghĩa, ký hiệu, đơn vị đo và lấy số có nghĩa
3.1 Thuật ngữ, định nghĩa
3.2 Ký hiệu, đơn vị đo và lấy số có nghĩa
4 Công tác chuẩn bị
5 Chỉnh biên tài liệu lưu lượng nước
5.1 Thời kỳ ảnh hưởng thủy triều mạnh
5.2 Thời kỳ ảnh hưởng thủy triều yếu
5.3 Thuyết minh tài liệu
5.4 Kết quả tài liệu chỉnh biên
6. Kiểm tra tính hợp lý tài liệu
6.1 Mục đích
6.2 Kiểm tra sơ bộ
6.3 Kiểm tra tính hợp lý tài liệu lưu lượng nước
6.4 Đánh giá tài liệu
Phụ lục A_Vẽ biểu đồ, đường quá trình
Phụ lục B_Một số biểu mẫu chỉnh biên lưu lượng nước
Phụ lục C_Một số phương pháp chỉnh biên tài liệu lượng triều
Phụ lục D_Thuyết minh tài liệu
Phụ lục E_Kết quả tài liệu chỉnh biên
Thư mục tài liệu tham khảo
Bạn chưa Đăng nhập thành viên.
Đây là tiện ích dành cho tài khoản thành viên. Vui lòng Đăng nhập để xem chi tiết. Nếu chưa có tài khoản, vui lòng Đăng ký tại đây!











