- Tổng quan
- Nội dung
- VB gốc
- Tiếng Anh
- Hiệu lực
- VB liên quan
- Lược đồ
-
Nội dung hợp nhất
Tính năng này chỉ có tại LuatVietnam.vn. Nội dung hợp nhất tổng hợp lại tất cả các quy định còn hiệu lực của văn bản gốc và các văn bản sửa đổi, bổ sung, đính chính... trên một trang. Việc hợp nhất văn bản gốc và những văn bản, Thông tư, Nghị định hướng dẫn khác không làm thay đổi thứ tự điều khoản, nội dung.
Khách hàng chỉ cần xem Nội dung hợp nhất là có thể nắm bắt toàn bộ quy định hiện hành đang áp dụng, cho dù văn bản gốc đã qua nhiều lần chỉnh sửa, bổ sung.
- Tải về
Thông tư 46/2024/TT-BTNMT Quy chuẩn kỹ thuật quốc gia về đánh giá chất lượng dự báo, cảnh báo khí tượng thủy văn
| Cơ quan ban hành: | Bộ Tài nguyên và Môi trường |
Số công báo:
Số công báo là mã số ấn phẩm được đăng chính thức trên ấn phẩm thông tin của Nhà nước. Mã số này do Chính phủ thống nhất quản lý.
|
Đã biết
|
| Số hiệu: | 46/2024/TT-BTNMT | Ngày đăng công báo: |
Đã biết
|
| Loại văn bản: | Thông tư | Người ký: | Lê Công Thành |
| Trích yếu: | Ban hành Quy chuẩn kỹ thuật quốc gia về đánh giá chất lượng dự báo, cảnh báo khí tượng thủy văn | ||
|
Ngày ban hành:
Ngày ban hành là ngày, tháng, năm văn bản được thông qua hoặc ký ban hành.
|
30/12/2024 |
Ngày hết hiệu lực:
Ngày hết hiệu lực là ngày, tháng, năm văn bản chính thức không còn hiệu lực (áp dụng).
|
Đang cập nhật |
|
Áp dụng:
Ngày áp dụng là ngày, tháng, năm văn bản chính thức có hiệu lực (áp dụng).
|
Đã biết
|
Tình trạng hiệu lực:
Cho biết trạng thái hiệu lực của văn bản đang tra cứu: Chưa áp dụng, Còn hiệu lực, Hết hiệu lực, Hết hiệu lực 1 phần; Đã sửa đổi, Đính chính hay Không còn phù hợp,...
|
Đã biết
|
| Lĩnh vực: | Tài nguyên-Môi trường | ||
TÓM TẮT THÔNG TƯ 46/2024/TT-BTNMT
Ngày 30/12/2024, Bộ Tài nguyên và Môi trường đã ra Thông tư 46/2024/TT-BTNMT ban hành Quy chuẩn kỹ thuật quốc gia về đánh giá chất lượng dự báo, cảnh báo khí tượng thủy văn. Dưới đây là các nội dung chính:
1. Các bước thực hiện đánh giá chất lượng dự báo, cảnh báo khí tượng thủy văn:
- Thu thập thông tin, dữ liệu;
- Đánh giá sai số dự báo;
- Đánh giá chất lượng dự báo, cảnh báo;
2. Các trường hợp không xem xét đánh giá chất lượng dự báo, cảnh báo:
- Không có đầy đủ thông tin quan trắc về trị số của yếu tố hoặc cường độ, mức độ nguy hiểm, phạm vi, thời điểm xảy ra của hiện tượng.
- Các trạm chịu ảnh hưởng trực tiếp của hồ chứa mà chủ hồ không tuân thủ quy trình vận hành (thời gian đóng/mở; sai lưu lượng dự kiến xả).
- Hướng sóng trong bão, áp thấp nhiệt đới; nước dâng có trị số thực đo dưới 0,3 mét.
3. Cách xác định sai số cho phép dự báo trong trường hợp không đủ số liệu:
- Đối với yếu tố mực nước: sai số cho phép được xác định bằng 50% biên độ mực nước thực đo tương ứng đã quan trắc được.
- Đối với các yếu tố lưu lượng: sai số cho phép được xác định bằng 25% giá trị thực đo.
Thông tư này có hiệu lực từ ngày 30/6/2025.
Xem chi tiết Thông tư 46/2024/TT-BTNMT có hiệu lực kể từ ngày 30/06/2025
Tải Thông tư 46/2024/TT-BTNMT
|
BỘ TÀI NGUYÊN VÀ MÔI TRƯỜNG Số: 46/2024/TT-BTNMT |
CỘNG HÒA XÃ HỘI CHỦ NGHĨA VIỆT NAM Hà Nội, ngày 30 tháng 12 năm 2024 |
THÔNG TƯ
Ban hành Quy chuẩn kỹ thuật quốc gia về đánh giá chất lượng
dự báo, cảnh báo khí tượng thủy văn
____________
Căn cứ Luật Khí tượng thủy văn ngày 23 tháng 11 năm 2015;
Căn cứ Luật Tiêu chuẩn và Quy chuẩn kỹ thuật ngày 29 tháng 6 năm 2006;
Căn cứ Nghị định số 38/2016/NĐ-CP ngày 15 tháng 5 năm 2016 của Chính phủ quy định chi tiết một số điều của Luật Khí tượng thủy văn (đã được sửa đổi, bổ sung bởi Nghị định số 48/2020/NĐ-CP ngày 15 tháng 4 năm 2020 của Chính phủ sửa đổi, bổ sung một số điều của Nghị định số 38/2016/NĐ-CP ngày 15 tháng 5 năm 2016 của Chính phủ quy định chi tiết một số điều của Luật Khí tượng thủy văn);
Căn cứ Nghị định số 127/2007/NĐ-CP ngày 01 tháng 8 năm 2007 của Chính phủ quy định chi tiết thi hành một số điều của Luật Tiêu chuẩn và Quy chuẩn kỹ thuật (đã được sửa đổi, bổ sung bởi Nghị định số 78/2018/NĐ-CP ngày 16 tháng 5 năm 2018 của Chính phủ sửa đổi, bổ sung một số điều của Nghị định số 127/2007/NĐ-CP ngày 01 tháng 8 năm 2007 của Chính phủ quy định chi tiết thi hành một số điều Luật Tiêu chuẩn và Quy chuẩn kỹ thuật);
Căn cứ Nghị định số 68/2022/NĐ-CP ngày 22 tháng 9 năm 2022 của Chính phủ quy định chức năng, nhiệm vụ, quyền hạn và cơ cấu tổ chức của Bộ Tài nguyên và Môi trường;
Căn cứ Quyết định số 18/2021/QĐ-TTg ngày 22 tháng 4 năm 2021 của Thủ tướng Chính phủ quy định về dự báo, cảnh báo, truyền tin thiên tai và cấp độ rủi ro thiên tai;
Theo đề nghị của Tổng cục trưởng Tổng cục Khí tượng Thủy văn;
Bộ trưởng Bộ Tài nguyên và Môi trường ban hành Thông tư ban hành Quy chuẩn kỹ thuật quốc gia về đánh giá chất lượng dự báo, cảnh báo khí tượng thủy văn.
Điều 1. Ban hành kèm theo Thông tư này Quy chuẩn kỹ thuật quốc gia về đánh giá chất lượng dự báo, cảnh báo khí tượng thủy văn, mã số QCVN 84:2024/BTNMT.
Điều 2. Điều khoản thi hành
1. Thông tư này có hiệu lực thi hành kể từ ngày 30 tháng 6 năm 2025.
2. Bãi bỏ điểm 2.7, điểm 2.12 QCVN 18:2019/BTNMT ban hành kèm theo Thông tư số 22/2019/TT-BTNMT ngày 25 tháng 12 năm 2019 của Bộ trưởng Bộ Tài nguyên và Môi trường ban hành Quy chuẩn kỹ thuật quốc gia về dự báo, cảnh báo lũ.
3. Bãi bỏ điểm 2.8 QCVN 68:2020/BTNMT ban hành kèm theo Thông tư số 18/2020/TT-BTNMT ngày 30 tháng 12 năm 2020 của Bộ trưởng Bộ Tài nguyên và Môi trường ban hành Quy chuẩn kỹ thuật quốc gia về dự báo, cảnh báo bão, áp thấp nhiệt đới.
4. Thông tư số 41/2017/TT-BTNMT ngày 23 tháng 10 năm 2017 của Bộ trưởng Bộ Tài nguyên và Môi trường quy định kỹ thuật đánh giá chất lượng dự báo, cảnh báo khí tượng; Thông tư số 42/2017/TT-BTNMT ngày 23 tháng 10 năm 2017 của Bộ trưởng Bộ Tài nguyên và Môi trường quy định kỹ thuật đánh giá chất lượng dự báo, cảnh báo thủy văn và Thông tư số 16/2019/TT-BTNMT ngày 30 tháng 9 năm 2019 của Bộ trưởng Bộ Tài nguyên và Môi trường quy định kỹ thuật đánh giá chất lượng dự báo, cảnh báo hải văn hết hiệu lực thi hành, trừ trường hợp quy định tại Điều 3 Thông tư này.
Điều 3. Quy định chuyển tiếp
Các tổ chức, cá nhân đã được phê duyệt chương trình, nhiệm vụ cho hoạt động dự báo, cảnh báo khí tượng thủy văn, trong đó có đánh giá chất lượng dự báo, cảnh báo khí tượng thủy văn trước ngày Thông tư ban hành Quy chuẩn này có hiệu lực đã tuân thủ theo các quy định của Thông tư số 41/2017/TT-BTNMT ngày 23 tháng 10 năm 2017 của Bộ trưởng Bộ Tài nguyên và Môi trường quy định kỹ thuật đánh giá chất lượng dự báo, cảnh báo khí tượng; Thông tư số 42/2017/TT-BTNMT ngày 23 tháng 10 năm 2017 của Bộ trưởng Bộ Tài nguyên và Môi trường quy định kỹ thuật đánh giá chất lượng dự báo, cảnh báo thủy văn và Thông tư số 16/2019/TT-BTNMT ngày 30 tháng 9 năm 2019 của Bộ trưởng Bộ Tài nguyên và Môi trường quy định kỹ thuật đánh giá chất lượng dự báo, cảnh báo hải văn thì tiếp tục thực hiện theo các Quyết định phê duyệt chương trình, nhiệm vụ cho hoạt động dự báo, cảnh báo khí tượng thủy văn, trong đó có đánh giá chất lượng dự báo, cảnh báo khí tượng thủy văn. Trường hợp thực hiện điều chỉnh theo các chương trình, nhiệm vụ sau ngày Thông tư ban hành Quy chuẩn có hiệu lực thì phải tuân thủ theo Thông tư ban hành Quy chuẩn này.
Điều 4. Tổ chức thực hiện
1. Bộ trưởng, Thủ trưởng cơ quan ngang Bộ, Thủ trưởng cơ quan thuộc Chính phủ, Chủ tịch Ủy ban nhân dân các tỉnh, thành phố trực thuộc Trung ương, Thủ trưởng các đơn vị thuộc Bộ Tài nguyên và Môi trường và các cơ quan, tổ chức, cá nhân có liên quan chịu trách nhiệm thi hành Thông tư này.
2. Tổng cục trưởng Tổng cục Khí tượng Thủy văn có trách nhiệm tổ chức phổ biến, kiểm tra việc thực hiện Thông tư này./.
|
Nơi nhận: |
KT. BỘ TRƯỞNG
|
|
CỘNG HÒA XÃ HỘI CHỦ NGHĨA VIỆT NAM
QCVN 84:2024/BTNMT
QUY CHUẨN KỸ THUẬT QUỐC GIA
National technical regulation on meteorological - hydrological
HÀ NỘI - 2024 |
MỤC LỤC
LỜI NÓI ĐẦU
1. QUY ĐỊNH CHUNG
1.1. Phạm vi điều chỉnh
1.2. Đối tượng áp dụng
1.3. Giải thích từ ngữ
1.4. Ký hiệu và đơn vị đo
2. QUY ĐỊNH KỸ THUẬT
2.1. Các bước thực hiện đánh giá chất lượng dự báo cảnh báo khí tượng thủy văn
2.2. Quy định sai số cho phép dự báo đối với các yếu tố khí tượng thủy văn
2.3. Quy định sai số cho phép dự báo, cảnh báo đối với các hiện tượng khí tượng thủy văn nguy hiểm
2.4. Quy định sai số cho phép dự báo, cảnh báo đối với các hiện tượng khí tượng thủy văn khác
3. QUY ĐỊNH QUẢN LÝ
4. TRÁCH NHIỆM CỦA TỔ CHỨC, CÁ NHÂN
5. TỔ CHỨC THỰC HIỆN
PHỤ LỤC A: QUY ĐỊNH THUẬT NGỮ THỜI GIAN
PHỤ LỤC B: QUY ĐỊNH THUẬT NGỮ CẤP MƯA
LỜI NÓI ĐẦU
QCVN 84:2024/BTNMT do Tổng cục Khí tượng Thủy văn biên soạn, Vụ Khoa học và Công nghệ trình duyệt, Bộ Khoa học và Công nghệ thẩm định và được ban hành theo Thông tư số…../2024/TT-BTNMT ngày … tháng … năm 2024 của Bộ trưởng Bộ Tài nguyên và Môi trường.
QUY CHUẨN KỸ THUẬT QUỐC GIA
VỀ ĐÁNH GIÁ CHẤT LƯỢNG DỰ BÁO, CẢNH BÁO KHÍ TƯỢNG THỦY VĂN
National technical regulation on meteorological - hydrological forecasting and
warning quality verification
Quy chuẩn này quy định các yêu cầu kỹ thuật trong đánh giá chất lượng dự báo, cảnh báo khí tượng thủy văn.
Quy chuẩn này áp dụng đối với hệ thống dự báo, cảnh báo khí tượng thủy văn quốc gia và các cơ quan, tổ chức, cá nhân có liên quan đến hoạt động dự báo, cảnh báo khí tượng thủy văn.
Trong Quy chuẩn này, các từ ngữ dưới đây được hiểu như sau:
1.3.1. Hướng gió thịnh hành (prevailing wind direction)
Hướng gió quan trắc được tại trạm quan trắc trong một khoảng thời gian xác định có tần suất lớn nhất.
1.3.2. Tốc độ gió (Wind speed)
Giá trị trung bình trong khoảng thời gian 02 phút tại trạm quan trắc.
1.3.3. Tổng lượng mưa (total rainfall)
Giá trị tích lũy được của lượng mưa trong một khoảng thời gian xác định tại trạm quan trắc.
1.3.4. Trung bình nhiều năm của tổng lượng mưa tháng (normals of monthly total rainfall)
Giá trị trung bình của lượng mưa tích lũy trong một tháng trong khoảng 30 năm gần nhất tại trạm quan trắc.
1.3.5. Nước lớn (high tide)
Giá trị độ cao và thời gian xuất hiện của mực nước biển cao nhất trong một chu kỳ dao động (một ngày hoặc nửa ngày) của thủy triều.
1.3.6. Nước ròng (low tide)
Giá trị độ cao và thời gian xuất hiện của mực nước biển thấp nhất trong một chu kỳ dao động (một ngày hoặc nửa ngày) của thủy triều.
1.3.7. Hướng sóng (wave direction)
Hướng sóng quan trắc được tại trạm quan trắc trong 5 phút theo hướng sóng truyền tới.
1.3.8. Hướng dòng chảy biển lớp mặt (surface current direction)
Hướng dòng chảy quan trắc được tại trạm quan trắc theo hướng dòng chảy di chuyển đi.
1.3.9. Vận tốc dòng chảy biển lớp mặt (surface current)
Giá trị dịch chuyển ngang của lớp nước mặt trên một đơn vị thời gian.
1.3.10. Sai số dự báo (forecast error)
Khoảng chênh lệch giữa dự báo và thực đo của các hiện tượng, yếu tố khí tượng thủy văn, bao gồm sai số về giá trị, thời gian, không gian và khả năng xuất hiện các hiện tượng.
1.3.11. Độ tin cậy (reliability)
Mức độ phù hợp của yếu tố, hiện tượng dự báo so với thực đo.
1.3.12. Sai số cho phép dự báo (forecast error range)
Giới hạn cho phép của sai số dự báo để xác định độ tin cậy dự báo.
1.3.13. Thời hạn dự báo (forecast lead time)
Khoảng thời gian tính từ thời điểm bản tin được ban hành đến thời điểm kết thúc dự báo.
1.3.14. Cường độ không khí lạnh (cold air intensity)
Xác định bởi tốc độ gió đo được tại trạm Bạch Long Vĩ trên khu vực Vịnh Bắc Bộ.
Bảng 1 - Ký hiệu và đơn vị đo
|
TT |
Yếu tố dự báo |
Đơn vị đo |
Ký hiệu |
|
1 |
Nhiệt độ không khí |
°C |
T |
|
1.1 |
Nhiệt độ không khí tối cao |
°C |
Tx |
|
1.2 |
Nhiệt độ không khí tối thấp |
°C |
Tm |
|
1.3 |
Nhiệt độ không khí trung bình |
°C |
Ttb |
|
2 |
Độ ẩm không khí tương đối |
% |
U |
|
2.1 |
Độ ẩm không khí tương đối thấp nhất |
% |
Um |
|
2.2 |
Độ ẩm không khí tương đối trung bình |
% |
Utb |
|
3 |
Gió |
|
|
|
3.1 |
Hướng gió |
16 hướng: N (Bắc), NNE (Bắc Đông Bắc), NE (Đông Bắc), ENE (Đông Đông Bắc), E (Đông), ESE (Đông Đông Nam), SE (Đông Nam), SSE (Nam Đông Nam), S (Nam), SSW (Nam Tây Nam), SW (Tây Nam), WSW (Tây Tây Nam), W (Tây), WNW (Tây Tây Bắc), NW (Tây Bắc), NNW (Bắc Tây Bắc) |
Dd |
|
3.2 |
Tốc độ gió |
m/s |
Ff |
|
3.3 |
Cấp gió |
Beaufort (Bô-pho) |
Cấp |
|
4 |
Lượng mưa |
mm |
R |
|
5 |
Mực nước |
cm |
H |
|
6 |
Lưu lượng |
m3/s |
Q |
|
7 |
Sóng |
|
|
|
7.1 |
Hướng sóng |
8 hướng: N (Bắc), NE (Đông Bắc), E (Đông), SE (Đông Nam), S (Nam), SW (Tây Nam), W (Tây), NW (Tây Bắc) |
|
|
7.2 |
Độ cao sóng |
m |
Hw |
|
8 |
Dòng chảy biển |
|
|
|
8.1 |
Hướng dòng chảy biển |
8 hướng: N (Bắc), NE (Đông Bắc), E (Đông), SE (Đông Nam), S (Nam), SW (Tây Nam), W (Tây), NW (Tây Bắc) |
|
|
8.2 |
Vận tốc dòng chảy biển |
m/s |
V |
|
9 |
Vị trí tâm bão, áp thấp nhiệt đới |
Tọa độ kinh, vĩ |
|
|
10 |
Độ mặn |
‰ |
S |
|
11 |
Nước dâng |
m |
Ss |
2.1.1. Thu thập thông tin, dữ liệu
- Thu thập thông tin, dữ liệu thực đo trong thời hạn dự báo, cảnh báo.
- Thu thập thông tin, dữ liệu dự báo trong thời hạn dự báo, cảnh báo.
- Thông tin, dữ liệu thực đo sử dụng để đánh giá dự báo, cảnh báo được xác định là thông tin, dữ liệu tại đúng vị trí dự báo, cảnh báo hoặc vị trí có thông tin, dữ liệu thực đo gần nhất.
- Sử dụng thông tin, dữ liệu có nguồn gốc rõ ràng, do cơ quan, tổ chức, cá nhân theo quy định cung cấp.
2.1.2. Đánh giá sai số dự báo
So sánh sai số dự báo với sai số cho phép dự báo theo quy định tại điểm 2.2, điểm 2.3 và điểm 2.4 Quy chuẩn này.
2.1.3. Đánh giá chất lượng dự báo, cảnh báo
2.1.3.1. Đánh giá tính đầy đủ
Bản tin dự báo, cảnh báo khí tượng thủy văn được đánh giá là “đầy đủ” khi thực hiện đầy đủ các nội dung được quy định tại Quyết định số 18/2021/QĐ-TTg ngày 22 tháng 4 năm 2021 của Thủ tướng Chính phủ quy định về dự báo, cảnh báo, truyền tin thiên tai và cấp độ rủi ro thiên tai; Thông tư số 08/2022/TT-BTNMT ngày 05 tháng 7 năm 2022 của Bộ trưởng Bộ Tài nguyên và Môi trường quy định về loại bản tin và thời hạn dự báo, cảnh báo khí tượng thủy văn; Thông tư số 25/2022/TT-BTNMT ngày 30 tháng 12 năm 2022 của Bộ trưởng Bộ Tài nguyên và Môi trường quy định về quy trình kỹ thuật dự báo, cảnh báo hiện tượng khí tượng thủy văn nguy hiểm; Thông tư số 27/2023/TT-BTNMT ngày 29 tháng 12 năm 2023 của Bộ trưởng Bộ Tài nguyên và Môi trường quy định về quy trình kỹ thuật dự báo, cảnh báo khí tượng thủy văn trong điều kiện bình thường; và được đánh giá là “không đầy đủ” khi thực hiện không đầy đủ các nội dung được quy định tại các văn bản nêu trên.
2.1.3.2. Đánh giá tính kịp thời
Bản tin dự báo, cảnh báo khí tượng thủy văn được đánh giá là “kịp thời” khi bản tin được cung cấp trong thời gian 15 phút kể từ thời điểm ban hành bản tin dự báo, cảnh báo khí tượng thủy văn và được đánh giá là “không kịp thời” khi bản tin được cung cấp sau 15 phút kể từ thời điểm ban hành bản tin dự báo, cảnh báo khí tượng thủy văn theo quy định tại Quyết định số 18/2021/QĐ-TTg ngày 22 tháng 4 năm 2021 của Thủ tướng Chính phủ quy định về dự báo, cảnh báo, truyền tin thiên tai và cấp độ rủi ro thiên tai; Thông tư số 08/2022/TT-BTNMT ngày 05 tháng 7 năm 2022 của Bộ trưởng Bộ Tài nguyên và Môi trường quy định về loại bản tin và thời hạn dự báo, cảnh báo khí tượng thủy văn.
2.1.3.3. Đánh giá độ tin cậy
- Mức “Đủ độ tin cậy” là khi sai số dự báo của các yếu tố, hiện tượng nằm trong khoảng sai số cho phép dự báo.
- Mức “Không đủ độ tin cậy” là khi sai số dự báo của các yếu tố, hiện tượng không nằm trong khoảng sai số cho phép dự báo.
2.1.3.4. Không xem xét đánh giá chất lượng dự báo, cảnh báo trong các trường hợp sau:
- Không có đầy đủ thông tin quan trắc về trị số của yếu tố hoặc cường độ, mức độ nguy hiểm, phạm vi, thời điểm xảy ra của hiện tượng.
- Các trạm chịu ảnh hưởng trực tiếp của hồ chứa mà chủ hồ không tuân thủ quy trình vận hành (thời gian đóng/mở; sai lưu lượng dự kiến xả).
- Hướng sóng trong bão, áp thấp nhiệt đới; nước dâng có trị số thực đo dưới 0,3 mét.
2.2. Quy định sai số cho phép dự báo đối với các yếu tố khí tượng thủy văn
2.2.1. Sai số cho phép dự báo các yếu tố khí tượng
2.2.1.1 Sai số cho phép dự báo nhiệt độ không khí
a) Nhiệt độ không khí theo thời điểm, nhiệt độ không khí tối cao, nhiệt độ không khí tối thấp: sai số cho phép dự báo theo thời hạn ngắn, thời hạn vừa được quy định tại Bảng 2.
Bảng 2 - Sai số cho phép dự báo nhiệt độ không khí theo thời điểm, nhiệt độ không khí tối cao, nhiệt độ không khí tối thấp
|
Thời hạn dự báo |
Sai số cho phép |
|
Thời hạn ngắn |
từ - 2,0 °C đến + 2,0 °C |
|
Thời hạn vừa |
từ - 3,0 °C đến + 3,0 °C |
b) Nhiệt độ không khí trung bình: sai số cho phép dự báo theo thời hạn dài được quy định tại Bảng 3.
Bảng 3 - Sai số cho phép dự báo nhiệt độ không khí trung bình
|
Thời hạn dự báo |
Sai số cho phép |
|
Thời hạn dài |
từ - 2,0 °C đến + 2,0 °C |
2.2.1.2. Sai số cho phép dự báo độ ẩm không khí tương đối
Sai số cho phép dự báo độ ẩm không khí tương đối thấp nhất, độ ẩm không khí tương đối trung bình theo thời hạn ngắn, thời hạn vừa được quy định tại Bảng 4.
Bảng 4 - Sai số cho phép dự báo độ ẩm không khí tương đối thấp nhất, độ ẩm không khí tương đối trung bình
|
Thời hạn dự báo |
Sai số cho phép |
|
Thời hạn ngắn |
từ -10 % đến + 10 %. |
|
Thời hạn vừa |
từ -15 % đến + 15 %. |
2.2.1.3. Sai số cho phép dự báo hướng gió thịnh hành và tốc độ gió mạnh nhất
a) Hướng gió thịnh hành: ± 2 hướng liền kề.
b) Tốc độ gió mạnh nhất: sai số cho phép được quy định tại Bảng 5.
Bảng 5 - Sai số cho phép dự báo tốc độ gió mạnh nhất
|
Thời hạn dự báo |
Sai số cho phép |
|
Thời hạn ngắn |
từ -1 cấp đến + 1 cấp |
2.2.1.4. Sai số cho phép dự báo mưa
a) Thời hạn ngắn
- Đánh giá theo cấp mưa được quy định tại Phụ lục B của Quy chuẩn này.
- Sai số cho phép: ± 1 cấp liền kề.
b) Thời hạn vừa, thời hạn dài
- Đánh giá theo tổng lượng mưa.
- Sai số cho phép dự báo tổng lượng mưa sử dụng trong thời hạn vừa hoặc thời hạn dài có tổng lượng mưa trung bình nhiều năm (TBNN) dưới 100 mm được quy định tại Bảng 6.
Bảng 6 - Sai số cho phép dự báo tổng lượng mưa trong thời hạn vừa hoặc thời hạn dài có tổng lượng mưa TBNN dưới 100 mm
|
Khoảng giá trị dự báo (mm) |
Sai số cho phép |
|
Nhỏ hơn 21 |
lớn hơn từ - 50% giá trị dự báo |
|
Từ 21 đến 50 |
từ - 45% đến + 45% giá trị dự báo |
|
Từ 51 đến 100 |
từ - 40% đến + 40% giá trị dự báo |
|
Lớn hơn 100 |
nhỏ hơn từ + 35% giá trị dự báo |
- Sai số cho phép dự báo tổng lượng mưa trong thời hạn dài có tổng lượng mưa TBNN từ trên 100 mm được quy định tại Bảng 7.
Bảng 7 - Sai số cho phép dự báo tổng lượng mưa thời hạn dài có tổng lượng mưa TBNN từ trên 100 mm
|
Khoảng giá trị dự báo so với TBNN (mm) |
Sai số cho phép |
|
Nhỏ hơn 80% giá trị TBNN |
lớn hơn từ - 20% giá trị TBNN |
|
Từ 80% đến 120% giá trị TBNN |
từ -10% đến + 10% giá trị TBNN |
|
Lớn hơn 120% giá trị TBNN |
nhỏ hơn từ + 20% giá trị TBNN |
2.2.2. Sai số cho phép dự báo các yếu tố thủy văn
2.2.2.1. Sai số cho phép dự báo trị số yếu tố thủy văn
Sai số cho phép dự báo trị số yếu tố thủy văn tại các vị trí trong thời hạn dự báo được xác định như sau:
|
Scf = 0,674σ1 |
(1) |
|
|
(2) |
Trong đó: Scf là sai số cho phép dự báo; σ1 là độ lệch chuẩn của yếu tố trong thời hạn dự báo; ΔYi là sự biến đổi của yếu tố thủy văn trong thời hạn dự báo (Δt) được tính bằng hiệu số giữa trị số Y tại thời hạn dự báo (t + Δt) với trị số Y tại thời điểm (t);
là chuẩn của chuỗi số liệu ΔYi được tính bằng trung bình của chuỗi số liệu ΔYi; n là số số hạng trong dãy số tính toán.
Số liệu dùng để tính toán sai số cho phép của trị số dự báo thời hạn ngắn bao gồm số liệu thực đo của mực nước hoặc lưu lượng theo thời hạn dự báo tối thiểu trong 5 năm gần nhất, bao gồm những năm có lũ lớn, lũ trung bình và lũ nhỏ.
Khi kết quả tính toán sai số cho phép dự báo cho một vị trí có giá trị cao hơn chênh lệch giữa 2 cấp báo động liền kề thì sai số cho phép dự báo được xác định như sau:
- Đối với các trạm ảnh hưởng triều của khu vực Nam Bộ: sai số cho phép bằng 1,5 lần chênh lệch giữa 2 cấp báo động liền kề.
- Đối với các trạm ở các khu vực còn lại: sai số cho phép bằng chênh lệch giữa hai cấp báo động liền kề.
2.2.2.2. Sai số cho phép dự báo đặc trưng yếu tố thủy văn
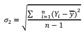
Sai số cho phép dự báo giá trị cao nhất, thấp nhất, trung bình của yếu tố thủy văn tại các vị trí trong thời hạn dự báo được xác định như sau:
|
Scf = 0,674σ2 |
(3) |
|
|
(4) |
Trong đó: Scf là sai số cho phép dự báo; σ2 là độ lệch chuẩn của yếu tố dự báo; Yi là trị số đặc trưng của yếu tố thủy văn trong thời hạn dự báo;
là chuẩn của dãy số tính toán được tính bằng trung bình của chuỗi số liệu Yi; n là số số hạng trong dãy số tính toán.
Số liệu dùng để tính toán sai số cho phép của trị số dự báo thời hạn vừa và thời hạn dài bao gồm số liệu đặc trưng của mực nước hoặc lưu lượng theo thời hạn dự báo tối thiểu trong 10 năm gần nhất, bao gồm những năm có lũ lớn, lũ trung bình và lũ nhỏ.
Khi kết quả tính toán sai số cho phép dự báo cho một vị trí có giá trị cao hơn chênh lệch giữa 2 cấp báo động liền kề thì sai số cho phép dự báo được xác định như sau:
- Đối với các trạm ảnh hưởng triều của khu vực Nam Bộ: sai số cho phép bằng 1,5 lần chênh lệch giữa 2 cấp báo động liền kề.
- Đối với các trạm ở các khu vực còn lại: sai số cho phép bằng chênh lệch giữa hai cấp báo động liền kề.
2.2.2.3. Sai số cho phép dự báo các yếu tố thủy văn trong trường hợp không đủ số liệu
Trong trường hợp không đủ số liệu xác định sai số cho phép dự báo theo quy định thì sai số cho phép dự báo được xác định như sau:
- Đối với yếu tố mực nước: sai số cho phép được xác định bằng 50% biên độ mực nước thực đo tương ứng đã quan trắc được.
- Đối với các yếu tố lưu lượng: sai số cho phép được xác định bằng 25% giá trị thực đo.
2.2.3. Sai số cho phép dự báo các yếu tố hải văn
2.2.3.1. Sai số cho phép dự báo độ cao sóng biển, vận tốc dòng chảy biển lớp mặt
Sai số cho phép dự báo độ cao sóng biển, vận tốc dòng chảy biển lớp mặt theo thời hạn ngắn, thời hạn vừa được quy định tại Bảng 8.
Bảng 8 - Sai số cho phép dự báo độ cao sóng biển, vận tốc dòng chảy biển lớp mặt
|
Thời hạn dự báo |
Sai số cho phép |
|
Thời hạn ngắn |
từ - 30% đến + 30% giá trị dự báo |
|
Thời hạn vừa |
từ - 40% đến + 40% giá trị dự báo |
2.2.3.2. Sai số cho phép dự báo hướng sóng biển, hướng dòng chảy biển lớp mặt
Sai số cho phép: ± 1 hướng liền kề.
2.2.3.3. Sai số cho phép dự báo độ cao nước lớn, nước ròng
Sai số cho phép dự báo độ cao nước lớn, nước ròng theo chế độ triều được quy định tại Bảng 9.
Bảng 9 - Sai số cho phép dự báo độ cao nước lớn, nước ròng
|
Chế độ triều |
Sai số cho phép |
|
Nhật triều |
từ -10% đến + 10% giá trị dự báo |
|
Bán nhật triều |
từ - 20% đến + 20% giá trị dự báo |
2.2.3.4. Sai số cho phép dự báo thời điểm xuất hiện nước lớn, nước ròng
Sai số cho phép dự báo thời điểm xuất hiện nước lớn, nước ròng được quy định tại Bảng 10.
Bảng 10 - Sai số cho phép dự báo thời điểm xuất hiện nước lớn, nước ròng
|
Chế độ triều |
Sai số cho phép |
|
Nhật triều |
từ -1 giờ đến + 1 giờ |
|
Bán nhật triều |
từ - 2 giờ đến + 2 giờ |
2.2.4. Sai số cho phép dự báo nguồn nước
a) Sai số cho phép dự báo tổng lượng mưa: theo quy định tại đoạn b điểm 2.2.1.4 Quy chuẩn này.
b) Sai số cho phép dự báo tổng lượng nước: từ - 30% đến + 30% giá trị dự báo.
2.3. Quy định sai số cho phép dự báo, cảnh báo đối với các hiện tượng khí tượng thủy văn nguy hiểm
2.3.1. Sai số cho phép dự báo, cảnh báo áp thấp nhiệt đới, bão
Sai số cho phép dự báo vị trí tâm và cường độ của áp thấp nhiệt đới, bão theo thời hạn dự báo được quy định tại Bảng 11.
Bảng 11 - Sai số cho phép dự báo vị trí tâm và cường độ của áp thấp nhiệt đới, bão theo thời hạn dự báo
|
Giá trị dư báo |
Sai số cho phép |
|||
|
Đến 12 giờ |
Trên 12 giờ đến 24 giờ |
Trên 24 giờ đến 48 giờ |
Trên 48 giờ đến 72 giờ |
|
|
Vị trí tâm (km) |
< 100 km |
< 150 km |
< 250 km |
< 350 km |
|
Cường độ (cấp) |
từ -1 cấp đến + 1 cấp |
từ - 2 cấp đến + 2 cấp |
từ - 2 cấp đến + 2 cấp |
từ - 2 cấp đến + 2 cấp |
2.3.2. Sai số cho phép dự báo, cảnh báo mưa lớn
a) Phạm vi ảnh hưởng: sai số cho phép khi có ít nhất 1/2 số trạm trong khu vực dự báo có lượng mưa đạt tiêu chí đánh giá về lượng mưa quy định tại đoạn c của điểm này.
b) Thời gian ảnh hưởng: sai số cho phép được quy định tại Bảng 12.
Bảng 12 - Sai số cho phép dự báo thời gian ảnh hưởng của mưa lớn
|
Thời hạn dự báo |
Sai số cho phép |
|
Đến 24 giờ |
từ - 6 giờ đến + 6 giờ |
|
Trên 24 giờ đến 48 giờ |
từ -12 giờ đến + 12 giờ |
|
Trên 48 giờ đến 72 giờ |
từ - 24 giờ đến + 24 giờ |
c) Lượng mưa: sai số cho phép được quy định theo đoạn a điểm 2.2.1.4 Quy chuẩn này và có lượng mưa từ cấp mưa vừa trở lên.
2.3.3. Sai số cho phép dự báo, cảnh báo không khí lạnh
a) Thời gian ảnh hưởng: sai số cho phép được quy định tại Bảng 13.
Bảng 13 - Sai số cho phép dự báo thời gian ảnh hưởng của không khí lạnh
|
Thời hạn dự báo |
Sai số cho phép |
|
Đến 12 giờ |
từ - 3 giờ đến + 3 giờ |
|
Trên 12 giờ đến 24 giờ |
từ - 6 giờ đến + 6 giờ |
|
Trên 24 giờ đến 48 giờ |
từ -12 giờ đến + 12 giờ |
|
Trên 48 giờ đến 72 giờ |
từ -12 giờ đến + 12 giờ |
b) Cường độ không khí lạnh: sai số cho phép được quy định tại Bảng 14.
Bảng 14 - Sai số cho phép dự báo cường độ không khí lạnh
|
Thời hạn dự báo |
Sai số cho phép |
|
Đến 12 giờ |
từ -1 cấp đến + 1 cấp |
|
Trên 12 giờ đến 24 giờ |
từ -1 cấp đến + 1 cấp |
|
Trên 24 giờ đến 48 giờ |
từ -1 cấp đến + 1 cấp |
|
Trên 48 giờ đến 72 giờ |
từ - 2 cấp đến + 2 cấp |
c) Khả năng xảy ra rét đậm, rét hại
- Phạm vi ảnh hưởng: sai số cho phép khi có ít nhất 1/2 số trạm trong khu vực dự báo có rét đậm, rét hại.
- Thời gian ảnh hưởng: sai số cho phép được quy định tại Bảng 15.
Bảng 15 - Sai số cho phép dự báo thời gian ảnh hưởng của rét đậm, rét hại
|
Thời hạn dự báo |
Sai số cho phép |
|
Đến 24 giờ |
0 ngày (± 12 giờ) |
|
Trên 24 giờ đến 48 giờ |
0 ngày (± 12 giờ) |
|
Trên 48 giờ đến 72 giờ |
từ - 1 ngày đến + 1 ngày |
2.3.4. Sai số cho phép dự báo, cảnh báo nắng nóng
a) Phạm vi ảnh hưởng: sai số cho phép khi có ít nhất 1/2 số trạm trong khu vực dự báo có nhiệt độ không khí tối cao từ 35°C trở lên.
b) Thời gian ảnh hưởng: sai số cho phép theo quy định tại Bảng 16.
Bảng 16 - Sai số cho phép dự báo thời gian ảnh hưởng của nắng nóng
|
Thời hạn dự báo |
Sai số cho phép |
|
Đến 24 giờ |
0 ngày (± 12 giờ) |
|
Trên 24 giờ đến 48 giờ |
0 ngày (± 12 giờ) |
|
Trên 48 giờ đến 72 giờ |
từ - 1 ngày đến + 1 ngày |
c) Nhiệt độ không khí tối cao: sai số cho phép theo quy định tại đoạn a điểm 2.2.1.1 Quy chuẩn này nhưng không nhỏ hơn 35°C.
2.3.5. Sai số cho phép dự báo, cảnh báo lũ
a) Phạm vi ảnh hưởng: trường hợp dự báo, cảnh báo lũ từ 01 đến 02 sông hoặc các sông trên 01 khu vực: sai số cho phép khi có ít nhất 01 sông hoặc 1/2 số sông trên khu vực dự báo, cảnh báo xuất hiện lũ; trường hợp dự báo, cảnh báo lũ từ 03 sông trở lên hoặc các sông trên 02 khu vực trở lên: sai số cho phép khi có ít nhất 1/2 số sông hoặc 1/2 số sông trên các khu vực dự báo, cảnh báo xuất hiện lũ.
b) Thời gian xuất hiện đỉnh lũ: sai số cho phép từ - 25% đến + 25% thời gian dự báo.
c) Trị số đỉnh lũ: sai số cho phép theo quy định tại điểm 2.2.2.2, điểm 2.2.2.3 Quy chuẩn này.
2.3.6. Sai số cho phép dự báo, cảnh báo hạn hán
Khi khu vực dự báo, cảnh báo xuất hiện tình trạng thiếu hụt tổng lượng mưa tháng trên 50% so với TBNN và kéo dài từ 2 tháng trở lên và nguồn nước trong khu vực thiếu hụt từ trên 20% so với TBNN thì sai số cho phép dự báo, cảnh báo hạn hán được xác định như sau:
a) Phạm vi ảnh hưởng: trường hợp dự báo, cảnh báo hạn hán từ 01 đến 02 tỉnh hoặc khu vực: sai số cho phép khi có ít nhất 01 tỉnh hoặc 01 khu vực dự báo, cảnh báo xuất hiện hạn hán; trường hợp dự báo, cảnh báo hạn hán từ 03 tỉnh hoặc 03 khu vực trở lên: sai số cho phép khi có ít nhất 1/2 số tỉnh hoặc 1/2 số khu vực dự báo, cảnh báo xuất hiện hạn hán.
b) Thời gian xuất hiện: sai số cho phép từ - 25% đến + 25% thời gian dự báo.
c) Tổng lượng mưa: sai số cho phép theo quy định tại đoạn b điểm 2.2.1.4 Quy chuẩn này.
d) Tổng lượng nước: sai số cho phép từ - 30% đến + 30% giá trị dự báo.
2.3.7. Sai số cho phép dự báo, cảnh báo xâm nhập mặn
a) Phạm vi ảnh hưởng: trường hợp dự báo, cảnh báo xâm nhập mặn từ 01 đến 02 sông hoặc các sông trên 01 khu vực: sai số cho phép khi có ít nhất 01 sông hoặc 1/2 số sông trên khu vực dự báo, cảnh báo xuất hiện xâm nhập mặn; trường hợp dự báo, cảnh báo xâm nhập mặn từ 03 sông trở lên hoặc các sông trên 02 khu vực trở lên: sai số cho phép khi có ít nhất 1/2 số sông hoặc 1/2 số sông trên các khu vực dự báo, cảnh báo xuất hiện xâm nhập mặn.
b) Khoảng cách xâm nhập mặn: sai số cho phép từ - 25% đến + 25% khoảng cách dự báo.
c) Thời gian xuất hiện độ mặn cao nhất và thời gian ảnh hưởng của xâm nhập mặn: sai số cho phép từ - 25% đến + 25% thời gian dự báo.
d) Độ mặn lớn nhất: sai số cho phép từ - 30% đến + 30% giá trị dự báo.
2.3.8. Sai số cho phép dự báo, cảnh báo sóng lớn
a) Phạm vi ảnh hưởng: sai số cho phép khi có ít nhất 01 địa điểm trong khu vực dự báo xuất hiện sóng lớn.
b) Thời gian xuất hiện: sai số cho phép từ - 25% đến + 25% thời gian dự báo.
c) Độ cao sóng lớn: sai số cho phép được quy định tại Bảng 17.
Bảng 17 - Sai số cho phép dự báo độ cao sóng lớn
|
Thời hạn dự báo |
Sai số cho phép |
|
Đến 12 giờ |
từ - 20% đến + 20% giá trị dự báo |
|
Trên 12 giờ đến 24 giờ |
từ - 30% đến + 30% giá trị dự báo |
|
Trên 24 giờ đến 48 giờ |
từ - 40% đến + 40% giá trị dự báo |
d) Hướng sóng: sai số cho phép được quy định tại điểm 2.2.3.2 Quy chuẩn này.
2.3.9. Sai số cho phép dự báo, cảnh báo nước dâng
a) Phạm vi ảnh hưởng: sai số cho phép khi có ít nhất 01 địa điểm trong khu vực dự báo xuất hiện nước dâng.
b) Thời gian xuất hiện: sai số cho phép được quy định tại Bảng 18.
Bảng 18 - Sai số cho phép dự báo thời gian xuất hiện nước dâng
|
Thời hạn dự báo |
Sai số cho phép |
|
Đến 12 giờ |
từ - 3 giờ đến + 3 giờ |
|
Trên 12 giờ đến 24 giờ |
từ - 6 giờ đến + 6 giờ |
|
Trên 24 giờ đến 48 giờ |
từ - 12 giờ đến + 12 giờ |
c) Độ cao nước dâng: sai số cho phép được quy định tại Bảng 19.
Bảng 19 - Sai số cho phép dự báo độ cao nước dâng
|
Thời hạn dự báo |
Sai số cho phép |
|
Đến 12 giờ |
từ - 20% đến + 20% giá trị dự báo |
|
Trên 12 giờ đến 24 giờ |
từ - 30% đến + 30% giá trị dự báo |
|
Trên 24 giờ đến 48 giờ |
từ - 40% đến + 40% giá trị dự báo |
2.3.10. Sai số cho phép dự báo, cảnh báo triều cường
a) Phạm vi ảnh hưởng: sai số cho phép khi có ít nhất 01 địa điểm trong khu vực dự báo xuất hiện triều cường.
b) Thời gian bắt đầu và kết thúc: sai số cho phép từ - 2 giờ đến + 2 giờ.
c) Độ cao triều cường: sai số cho phép từ - 20% đến + 20% giá trị dự báo.
a) Phạm vi ảnh hưởng: sai số cho phép khi có ít nhất 01 địa điểm trong khu vực dự báo xuất hiện hiện tượng.
b) Thời gian xuất hiện: sai số cho phép từ - 25% đến + 25% thời gian dự báo.
3.1. Quy chuẩn này quy định các yêu cầu kỹ thuật bắt buộc phải tuân thủ trong đánh giá chất lượng dự báo, cảnh báo khí tượng thuỷ văn, là công cụ để cơ quan quản lý nhà nước về khí tượng thủy văn kiểm tra, đánh giá hoạt động dự báo, cảnh báo khí tượng thủy văn.
3.2. Mọi tổ chức, cá nhân khi tham gia các hoạt động liên quan đến công tác dự báo, cảnh báo khí tượng thủy văn phải tuân thủ các quy định của Quy chuẩn này.
5.1. Tổng cục Khí tượng Thủy văn chịu trách nhiệm tổ chức phổ biến, hướng dẫn áp dụng Quy chuẩn này cho các đối tượng có liên quan.
5.2. Khi các văn bản quy phạm pháp luật, các tài liệu viện dẫn hoặc hướng dẫn quy định tại Quy chuẩn này có sự thay đổi, bổ sung hoặc được thay thế thì thực hiện theo các văn bản mới.
PHỤ LỤC
(Ban hành kèm theo QCVN 84:2024/BTNMT)
PHỤ LỤC A: QUY ĐỊNH THUẬT NGỮ THỜI GIAN
|
TT |
Thuật ngữ thời gian |
Khoảng giới hạn thời gian (Giờ Hà Nội) |
|
|
1 |
Ngày |
Ngày |
7 giờ đến 19 giờ |
|
2 |
Sáng |
7 giờ đến 10 giờ |
|
|
3 |
Trưa |
10 giờ đến 13 giờ |
|
|
4 |
Chiều |
13 giờ đến 16 giờ |
|
|
5 |
Chiều tối |
16 giờ đến 19 giờ |
|
|
6 |
Đêm |
Đêm |
19 giờ đến 7 giờ ngày hôm sau |
|
7 |
Tối |
19 giờ đến 22 giờ |
|
|
8 |
Nửa đêm về sáng |
1 giờ đến 7 giờ |
|
|
9 |
Sáng sớm, gần sáng |
4 giờ đến 7 giờ |
|
|
10 |
Có lúc |
Xảy ra bất cứ lúc nào trong khoảng thời gian dự báo, có ít nhất hai Obs quan trắc trở lên |
|
PHỤ LỤC B: QUY ĐỊNH THUẬT NGỮ CẤP MƯA
|
TT |
Cấp mưa |
Lượng mưa trong 12 giờ (mm) |
Lượng mưa trong 24 giờ (mm) |
Lượng mưa trong 48 giờ (mm) |
|
1 |
Không mưa |
Không mưa |
Không mưa |
Không mưa |
|
2 |
Mưa lượng không đáng kể |
Giọt ≤ R ≤ 0,3 |
Giọt ≤ R ≤ 0,6 |
Giọt ≤ R ≤ 1,2 |
|
3 |
Mưa nhỏ |
0,3 < R ≤ 3,0 |
0,6 < R ≤ 6,0 |
1,2 < R ≤ 12,0 |
|
4 |
Mưa |
3,0 < R ≤ 8,0 |
6,0 < R ≤ 16,0 |
12,0 < R ≤ 32,0 |
|
5 |
Mưa vừa |
8,0 < R ≤ 25,0 |
16,0 < R ≤ 50,0 |
32,0 < R ≤ 100,0 |
|
6 |
Mưa to |
25,0 < R ≤ 50,0 |
50,0 < R ≤ 100,0 |
100,0 < R ≤ 200,0 |
|
7 |
Mưa rất to |
R > 50,0 |
R > 100,0 |
R > 200,0 |
Bạn chưa Đăng nhập thành viên.
Đây là tiện ích dành cho tài khoản thành viên. Vui lòng Đăng nhập để xem chi tiết. Nếu chưa có tài khoản, vui lòng Đăng ký tại đây!
Bạn chưa Đăng nhập thành viên.
Đây là tiện ích dành cho tài khoản thành viên. Vui lòng Đăng nhập để xem chi tiết. Nếu chưa có tài khoản, vui lòng Đăng ký tại đây!


