- Tổng quan
- Nội dung
- VB gốc
- Tiếng Anh
- Hiệu lực
- VB liên quan
- Lược đồ
-
Nội dung hợp nhất
Tính năng này chỉ có tại LuatVietnam.vn. Nội dung hợp nhất tổng hợp lại tất cả các quy định còn hiệu lực của văn bản gốc và các văn bản sửa đổi, bổ sung, đính chính... trên một trang. Việc hợp nhất văn bản gốc và những văn bản, Thông tư, Nghị định hướng dẫn khác không làm thay đổi thứ tự điều khoản, nội dung.
Khách hàng chỉ cần xem Nội dung hợp nhất là có thể nắm bắt toàn bộ quy định hiện hành đang áp dụng, cho dù văn bản gốc đã qua nhiều lần chỉnh sửa, bổ sung.
- Tải về
Thông tư 42/2017/TT-BTNMT kỹ thuật đánh giá chất lượng dự báo, cảnh báo thủy văn
| Cơ quan ban hành: | Bộ Tài nguyên và Môi trường |
Số công báo:
Số công báo là mã số ấn phẩm được đăng chính thức trên ấn phẩm thông tin của Nhà nước. Mã số này do Chính phủ thống nhất quản lý.
|
Đã biết
|
| Số hiệu: | 42/2017/TT-BTNMT | Ngày đăng công báo: |
Đã biết
|
| Loại văn bản: | Thông tư | Người ký: | Nguyễn Linh Ngọc |
|
Ngày ban hành:
Ngày ban hành là ngày, tháng, năm văn bản được thông qua hoặc ký ban hành.
|
23/10/2017 |
Ngày hết hiệu lực:
Ngày hết hiệu lực là ngày, tháng, năm văn bản chính thức không còn hiệu lực (áp dụng).
|
Đã biết
|
|
Áp dụng:
Ngày áp dụng là ngày, tháng, năm văn bản chính thức có hiệu lực (áp dụng).
|
Đã biết
|
Tình trạng hiệu lực:
Cho biết trạng thái hiệu lực của văn bản đang tra cứu: Chưa áp dụng, Còn hiệu lực, Hết hiệu lực, Hết hiệu lực 1 phần; Đã sửa đổi, Đính chính hay Không còn phù hợp,...
|
Đã biết
|
| Lĩnh vực: | Tài nguyên-Môi trường |
TÓM TẮT THÔNG TƯ 42/2017/TT-BTNMT
Ngày 23/10/2017, Bộ Tài nguyên và Môi trường đã ban hành Thông tư số 42/2017/TT-BTNMT quy định kỹ thuật đánh giá chất lượng dự báo, cảnh báo thủy văn.
Thông tư này quy định kỹ thuật đánh giá chất lượng dự báo, cảnh báo thủy văn bao gồm xác định sai đố, độ tin cậy dự báo, cảnh báo các yếu tố, hiện tượng thủy văn và tính đầy đủ, tính kịp thời của bản tin dự báo, cảnh báo thủy văn.
Đánh giá chất lượng dự báo, cảnh báo thủy văn phải dựa trên việc so sánh thông tin, dữ liệu giữa quan trắc và dự báo. Các thời hạn dự báo, cảnh báo phải được đánh giá riêng biệt; Các yếu tố, hiện tượng dự báo, cảnh báo có trong bản tin phải được đánh giá.
Thông tư cũng quy định các trường hợp không đánh giá chất lượng dự báo, cảnh báo, gồm: Không có đầy đủ thông tin quan trắc về cường độ, mức độ nguy hiểm, phạm vi, thời điểm xảy ra hoặc không có các thông tin từ cơ quan chỉ đạo, chỉ huy phòng chống thiên tai, tìm kiếm cứu nạn các cấp đối với các hiện tượng thủy văn nguy hiểm; Xảy ra các hiện tượng vỡ đê, vỡ đập, sự cố hồ chứa chứa tác động lớn đến dòng chảy hạ lưu mà không thể dự báo được. Các trường hợp không đánh giá độ tin cậy dự báo, cảnh báo gồm: Không có thông tin hoặc có thông tin nhưng không chính xác về thời điểm dự kiến đóng/mở cửa xả của các hồ chứa có ảnh hưởng tới vị trí dự báo, cảnh bảo đối với các vị trí dự báo, cảnh báo chịu ảnh hưởng bởi sự điều tiết của các hồ chứa; Sai số giữa lưu lượng xả trung bình thực tế lớn hơn 20% lưu lượng xả trung bình dự kiến đối với các vị trí dự báo, cảnh báo chịu ảnh hưởng bởi sự điều tiết của các hồ chứa.
Thông tư này có hiệu lực thi hành từ ngày 08/12/2017.
Xem chi tiết Thông tư 42/2017/TT-BTNMT có hiệu lực kể từ ngày 08/12/2017
Tải Thông tư 42/2017/TT-BTNMT
| BỘ TÀI NGUYÊN VÀ Số: 42/2017/TT-BTNMT | CỘNG HÒA XÃ HỘI CHỦ NGHĨA VIỆT NAM Hà Nội, ngày 23 tháng 10 năm 2017 |
THÔNG TƯ
QUY ĐỊNH KỸ THUẬT ĐÁNH GIÁ CHẤT LƯỢNG DỰ BÁO, CẢNH BÁO THỦY VĂN
Căn cứ Luật khí tượng thủy văn ngày 23 tháng 11 năm 2015;
Căn cứ Nghị định số 38/2016/NĐ-CP ngày 15 tháng 5 năm 2016 của Chính phủ quy định chi tiết một số điều của Luật khí tượng thủy văn;
Căn cứ Nghị định số 36/2017/NĐ-CP ngày 04 tháng 4 năm 2017 của Chính phủ quy định chức năng, nhiệm vụ, quyền hạn và cơ cấu tổ chức của Bộ Tài nguyên và Môi trường;
Căn cứ Quyết định số 46/2014/QĐ-TTg ngày 15 tháng 8 năm 2014 của Thủ tướng Chính phủ quy định về dự báo, cảnh báo và truyền tin thiên tai;
Theo đề nghị của Tổng cục trưởng Tổng cục Khí tượng Thủy văn, Vụ trưởng Vụ Khoa học và Công nghệ và Vụ trưởng Vụ Pháp chế;
Bộ trưởng Bộ Tài nguyên và Môi trường ban hành Thông tư quy định kỹ thuật đánh giá chất lượng dự báo, cảnh báo thủy văn.
Chương I
QUY ĐỊNH CHUNG
Điều 1. Phạm vi điều chỉnh
Thông tư này quy định kỹ thuật đánh giá chất lượng dự báo, cảnh báo thủy văn bao gồm xác định sai số, độ tin cậy dự báo, cảnh báo các yếu tố, hiện tượng thủy văn và tính đầy đủ, tính kịp thời của bản tin dự báo, cảnh báo thủy văn.
Điều 2. Đối tượng áp dụng
1. Hệ thống dự báo, cảnh báo khí tượng thủy văn quốc gia.
2. Cơ quan quản lý nhà nước về khí tượng thủy văn; tổ chức, cá nhân được Bộ Tài nguyên và Môi trường hoặc Ủy ban nhân dân tỉnh, thành phố trực thuộc Trung ương cấp giấy phép hoạt động dự báo, cảnh báo khí tượng thủy văn.
Điều 3. Giải thích từ ngữ
Trong Thông tư này, các từ ngữ dưới đây được hiểu như sau:
1. Yếu tố, hiện tượng thủy văn là danh từ hay cụm từ chỉ yếu tố hoặc hiện tượng thủy văn sử dụng trong bản tin dự báo, cảnh báo thủy văn bao gồm: mực nước, lưu lượng, độ mặn, lũ, lũ quét, sạt lở đất, sụt lún đất do mưa lũ hoặc dòng chảy, hạn hán, xâm nhập mặn.
2. Trị số thực đo là giá trị được quan trắc của một yếu tố đo tại một vị trí ở một thời điểm hoặc đặc trưng của yếu tố đó trong một khoảng thời gian.
3. Trị số dự báo, cảnh báo là giá trị được tính toán hay được ước lượng của một yếu tố tại một vị trí ở một thời điểm hoặc đặc trưng của yếu tố đó trong một khoảng thời gian.
4. Biến phân nhóm là biến không được định lượng bằng các trị số mà sử dụng các khoảng giá trị để phân chia thành các nhóm và sử dụng tên gọi cho các nhóm đó.
5. Dự báo, cảnh báo trị số là sự tính toán hay ước lượng một giá trị cụ thể có thể xảy ra trong tương lai của yếu tố, hiện tượng thủy văn.
6. Dự báo, cảnh báo xác suất là ước lượng khả năng xuất hiện của một yếu tố, hiện tượng thủy văn.
Điều 4. Nguyên tắc đánh giá
1. Đánh giá chất lượng dự báo, cảnh báo thủy văn phải dựa trên việc so sánh thông tin, dữ liệu giữa quan trắc và dự báo.
2. Các thời hạn dự báo, cảnh báo phải được đánh giá riêng biệt.
3. Các yếu tố, hiện tượng dự báo, cảnh báo có trong bản tin phải được đánh giá.
4. Các trường hợp không đánh giá chất lượng dự báo, cảnh báo:
a) Không có đầy đủ thông tin quan trắc về cường độ, mức độ nguy hiểm, phạm vi, thời điểm xảy ra hoặc không có các thông tin từ cơ quan chỉ đạo, chỉ huy phòng chống thiên tai, tìm kiếm cứu nạn các cấp đối với các hiện tượng thủy văn nguy hiểm;
b) Xảy ra các hiện tượng vỡ đê, vỡ đập, sự cố hồ chứa tác động lớn đến dòng chảy hạ lưu mà không thể dự báo được.
5. Các trường hợp không đánh giá độ tin cậy dự báo, cảnh báo:
a) Không có thông tin hoặc có thông tin nhưng không chính xác về thời điểm dự kiến đóng/mở cửa xả của các hồ chứa có ảnh hưởng tới vị trí dự báo, cảnh báo đối với các vị trí dự báo, cảnh báo chịu ảnh hưởng bởi sự điều tiết của các hồ chứa;
b) Sai số giữa lưu lượng xả trung bình thực tế lớn hơn 20% lưu lượng xả trung bình dự kiến đối với các vị trí dự báo, cảnh báo chịu ảnh hưởng bởi sự điều tiết của các hồ chứa.
Điều 5. Quy định về mức đánh giá
1. Đánh giá độ tin cậy dự báo, cảnh báo các yếu tố, hiện tượng thủy văn theo 2 mức "đủ độ tin cậy" và "không đủ độ tin cậy".
2. Đánh giá tính đầy đủ của bản tin dự báo, cảnh báo các yếu tố, hiện tượng thủy văn theo 2 mức "đầy đủ" và "không đầy đủ".
3. Đánh giá tính kịp thời của bản tin dự báo, cảnh báo các yếu tố, hiện tượng thủy văn theo 2 mức "kịp thời" và "không kịp thời".
Chương II
QUY ĐỊNH KỸ THUẬT
Mục 1. XÁC ĐỊNH CÁC SAI SỐ
Điều 6. Xác định sai số trị số dự báo, cảnh báo
1. Xác định sai số trị số dự báo, cảnh báo cho một lần dự báo của yếu tố thủy văn bằng cách xác định khoảng chênh lệch giữa trị số dự báo, cảnh báo với trị số thực đo tương ứng của yếu tố thủy văn tại thời điểm dự báo.
2. Xác định sai số trị số dự báo, cảnh báo theo thời gian, trong nhiều lần dự báo, cảnh báo và sai số dự báo, cảnh báo của mô hình:
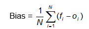
a) Sai số trung bình (Bias) được xác định theo công thức:

Trong đó: N là số lần phát báo; fi là trị số dự báo, cảnh báo thứ i; oi là trị số thực đo tương ứng thứ i.
b) Sai số tuyệt đối trung bình (MAE) được xác định theo công thức:

Trong đó: N là số lần phát báo; fi là trị số dự báo, cảnh báo thứ i; oi là trị số thực đo tương ứng thứ i.
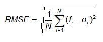
c) Sai số bình phương trung bình (RMSE) được xác định theo công thức:

Trong đó: N là số lần phát báo; fi là trị số dự báo, cảnh báo thứ i; oi là trị số thực đo tương ứng thứ i.
Điều 7. Xác định sai số thời gian dự báo, cảnh báo
1. Sai số thời gian dự báo, cảnh báo (∆t) của yếu tố hoặc hiện tượng được xác định theo công thức:
∆t = tdự báo - tquan trắc
Trong đó: tdự báo là thời điểm dự báo, cảnh báo xảy ra yếu tố hoặc hiện tượng; tquan trắc là thời điểm quan trắc được yếu tố hoặc hiện tượng.
2. Sai số tuyệt đối trung bình thời gian dự báo, cảnh báo (SSTDTBTG) của chuỗi các hiện tượng/yếu tố hoặc trong nhiều lần dự báo, cảnh báo được xác định theo công thức:

Trong đó: N là số lần dự báo, cảnh báo; ∆ti là sai số thời gian dự báo, cảnh báo thứ i.
3. Sai số trung bình thời gian dự báo, cảnh báo (SSTBTG) của chuỗi các hiện tượng hoặc yếu tố hoặc trong nhiều lần dự báo, cảnh báo được xác định theo công thức:

Trong đó: N là số lần dự báo, cảnh báo; ∆ti là sai số thời gian dự báo, cảnh báo thứ i.
Điều 8. Xác định sai số dự báo, cảnh báo các yếu tố, hiện tượng dự báo, cảnh báo theo phân nhóm
1. Xác định sai số dự báo, cảnh báo đối với các yếu tố, hiện tượng và ít hơn hoặc bằng hai nhóm:
a) Được áp dụng đối với các yếu tố, hiện tượng mang tính lưỡng phân như các dự báo có/không xuất hiện yếu tố, hiện tượng và được phân loại chi tiết trong Bảng 1.
Bảng 1. Thống kê số lần xuất hiện hiện tượng trong quan trắc và dự báo, cảnh báo đối với các yếu tố, hiện tượng nhỏ hơn hoặc bằng hai nhóm
| Quan trắc Dự báo, cảnh báo | Xuất hiện | Không xuất hiện |
| Xuất hiện | a (Đúng có xuất hiện) | b (Khống) |
| Không xuất hiện | c (Sót) | d (Đúng không xuất hiện) |
b) Chỉ số khả năng phát hiện hiện tượng (POD) bằng tỷ số giữa số lần dự báo, cảnh báo đúng sự xuất hiện của các yếu tố, hiện tượng với tổng số lần xuất hiện của yếu tố, hiện tượng quan trắc được và được xác định theo công thức:

Trong đó: a, c được xác định theo Bảng 1. Chỉ số POD tốt nhất bằng 1, kém nhất bằng 0.
c) Chỉ số tỷ lệ dự báo, cảnh báo lỗi (FAR) bằng tỷ số giữa số lần dự báo, cảnh báo những yếu tố, hiện tượng không xuất hiện và tổng số lần dự báo, cảnh báo những yếu tố, hiện tượng đó và được xác định theo công thức:

Trong đó: a, b được xác định theo Bảng 1. Chỉ số FAR tốt nhất bằng 0; kém nhất bằng 1.
d) Chỉ số sai số trung bình (SSTB) bằng tỷ số giữa số lần dự báo, cảnh báo với số lần quan trắc và được xác định theo công thức:

Trong đó: a, b, c được xác định theo Bảng 1.
đ) Chỉ số phần trăm dự báo, cảnh báo đúng (PC) bằng tỷ số giữa số lần dự báo đúng chia cho tổng số lần dự báo và được xác định theo công thức:

Trong đó: a, b, c, d được xác định theo Bảng 1.
e) Chỉ số thành công (CSI) bằng tỷ số giữa lần dự báo, cảnh báo xảy ra yếu tố, hiện tượng với tổng số của số lần dự báo đúng có xảy ra yếu tố, hiện tượng, số lần dự báo sót và số lần dự báo khống, được xác định theo công thức:

Trong đó: a, b, c được xác định theo Bảng 1.
2. Xác định sai số dự báo, cảnh báo đối với các yếu tố, hiện tượng lớn hơn hai nhóm:
a) Được áp dụng khi dự báo, cảnh báo cấp báo động, khả năng xảy ra lũ (nhỏ, vừa, lớn, cực lớn) và các cấp trị số dự báo của yếu tố. Các nhóm được phân loại chi tiết trong Bảng 2.
Bảng 2. Thống kê số lần xuất hiện nhóm trong quan trắc và dự báo đối với các yếu tố và hiện tượng lớn hơn hai nhóm
| Dự báo, cảnh báo |
| Quan trắc | |||||
| Nhóm 1 | Nhóm 2 | Nhóm 3 | … | Nhóm i | Tổng số lần dự báo | ||
| Nhóm 1 | r11 | r21 | r31 | ... | ri1 | r*1 | |
| Nhóm 2 | r12 | r22 | r32 | ... | ri2 | r*2 | |
| Nhóm 3 | r13 | r23 | r33 | ... | ri3 | r*3 | |
| ... | ... | ... | ... | ... | ... | ... | |
| Nhóm j | r1j | r2j | r3j | ... | rij | r*j | |
| Tổng số lần quan trắc | r1* | r2* | r3* | ... | ri* | r** | |
b) Sai số trung bình cho các yếu tố, hiện tượng của từng nhóm (Bj) bằng tỷ số giữa số lần dự báo, cảnh báo với tổng số lần thực tế xảy ra và được xác định theo công thức:

Trong đó: rj* là tổng số lần thực tế xảy ra nhóm j; r*j là tổng số lần dự báo, cảnh báo nhóm j, được xác định theo công thức:

c) Chỉ số phần trăm dự báo, cảnh báo đúng (PC) bằng tỷ số giữa tổng số các lần dự báo đúng (nằm trên đường chéo trong bảng 2) chia cho tổng số lần dự báo, cảnh báo và được xác định theo công thức:

Trong đó: rii là tổng số lần dự báo đúng (nằm trên đường chéo trong bảng 2); rij là tổng số lần dự báo, cảnh báo.
Điều 9. Xác định sai số phạm vi dự báo, cảnh báo
1. Sai số dự báo, cảnh báo phạm vi ảnh hưởng của hiện tượng cho một lần dự báo, cảnh báo được xác định theo công thức:
Trong đó: Pi là sai số phạm vi của lần dự báo, cảnh báo thứ i; Nđúng là số điểm (tỉnh, huyện, khu vực, lưu vực sông, hoặc điểm trạm thủy văn) chịu ảnh hưởng của hiện tượng và dự báo, cảnh báo được; Nkhống là số điểm (tỉnh, huyện, khu vực, lưu vực sông, hoặc điểm trạm thủy văn) dự báo, cảnh báo hiện tượng nhưng thực tế hiện tượng không xảy ra; Nsót là số điểm chịu ảnh hưởng của hiện tượng nhưng không được dự báo, cảnh báo.
2. Sai số dự báo phạm vi ảnh hưởng của hiện tượng cho nhiều lần dự báo, cảnh báo là trung bình sai số phạm vi của các lần dự báo, cảnh báo và được xác định theo công thức:

Trong đó: PN là sai số phạm vi của lần dự báo, cảnh báo thứ N; Pi là sai số phạm vi của lần dự báo, cảnh báo thứ i; N là tổng số lần dự báo, cảnh báo.
Điều 10. Xác định sai số trong dự báo, cảnh báo xác suất
1. Xác định sai số dự báo, cảnh báo xác suất có 2 nhóm (có/không):
a) Chỉ số sai số trung bình (Bias) bằng tỷ số giữa trung bình của xác suất dự báo, cảnh báo với xác suất xuất hiện và được xác định theo công thức:

Trong đó: Pi là xác suất dự báo, cảnh báo của hiện tượng lần thứ i; oi là xác suất xuất hiện hiện tượng lần thứ i; N là số lần dự báo, cảnh báo.
c) Chỉ số Brier (BS) bằng sai số bình phương trung bình giữa dự báo, cảnh báo và thực đo được, được xác định theo công thức:

Trong đó: Pi là xác suất dự báo, cảnh báo của hiện tượng lần thứ i; oi là xác suất xuất hiện hiện tượng lần thứ i; N là số lần dự báo, cảnh báo.
2. Xác định sai số dự báo, cảnh báo xác suất có nhiều nhóm:
a) Sai số trung bình của nhóm bằng tỷ số giữa xác suất dự báo, cảnh báo chia cho xác suất xuất hiện và được xác định theo công thức:

Trong đó: Biasj là sai số trung bình của nhóm j; pij là xác suất dự báo, cảnh báo của nhóm j; oij là xác suất quan trắc của hiện tượng ở nhóm j; N là số lần dự báo, cảnh báo.
b) Chỉ số xác suất theo nhóm (RPS) là chỉ số tương đương với sai số bình phương trung bình của xác suất xuất hiện pha và được xác định theo công thức:

Trong đó: m là số nhóm; i, j, k là các chỉ số nhóm. Chỉ số RPS tốt nhất bằng 1; kém nhất bằng 0.
Điều 11. Xác định độ tin cậy về trị số dự báo, cảnh báo
1. Xác định sai số cho phép của yếu tố trong trường hợp có thời gian dự kiến:
a) Công thức tính sai số cho phép:
Scf = 0,674σ1

Trong đó: σ1 là độ lệch chuẩn của yếu tố trong thời gian dự kiến; ∆Yi là biên độ của yếu tố trong thời gian dự kiến được tính bằng hiệu số giữa trị số sau thời gian dự kiến (t + ∆t) với trị số tại thời điểm (t);
là chuẩn của chuỗi số liệu ∆Yi; n là số số hạng trong dãy số tính toán.
b) Chuỗi số liệu dùng để tính sai số cho phép của trị số dự báo, cảnh báo: Thời đoạn, thời gian lấy số liệu tính toán lấy theo đúng thời đoạn dự báo tương ứng theo thời gian dự kiến; chuỗi số liệu thống kê dùng để tính sai số cho phép bao gồm toàn bộ số liệu thực đo trong 10 năm gần nhất; chuỗi số liệu tính toán thống kê phải có ít nhất 30 trị số.
2. Xác định sai số cho phép của yếu tố trong trường hợp không có thời gian dự kiến:
a) Công thức tính sai số cho phép:

Trong đó: σ2 là độ lệch chuẩn của yếu tố dự báo; Yi là trị số của yếu tố trong dãy số tính toán;
là chuẩn của dãy số tính toán; n là số số hạng trong dãy số tính toán.
b) Chuỗi số liệu dùng để tính sai số cho phép của trị số dự báo, cảnh báo: Thời đoạn, thời gian lấy số liệu tính toán dùng để tính sai số cho phép của trị số dự báo, cảnh báo bao gồm số liệu thực đo trong 10 năm gần nhất; chuỗi số liệu tính toán thống kê phải có ít nhất 30 trị số.
3. Xác định sai số cho phép của yếu tố trong trường hợp không đủ số liệu xây dựng sai số cho phép: Đối với yếu tố mực nước, sai số cho phép được xác định bằng 50% biên độ mực nước thực đo tương ứng đã quan trắc được. Đối với các yếu tố khác, sai số cho phép được xác định bằng 25% giá trị thực đo.
4. Chất lượng dự báo, cảnh báo trị số được xác định là "đủ độ tin cậy" khi sai số trị số dự báo, cảnh báo nhỏ hơn hoặc bằng sai số cho phép của yếu tố dự báo, cảnh báo và được xác định là "không đủ độ tin cậy" khi sai số trị số dự báo lớn hơn sai số cho phép của yếu tố dự báo, cảnh báo.
Điều 12. Xác định độ tin cậy về thời gian dự báo, cảnh báo
1. Đối với trường hợp dự báo, cảnh báo thời điểm:
a) Sai số cho phép của thời gian dự báo, cảnh báo được xác định bằng 25% thời gian dự kiến;
b) Chất lượng dự báo, cảnh báo thời gian được xác định là "đủ độ tin cậy" khi sai số thời gian dự báo, cảnh báo nhỏ hơn hoặc bằng sai số cho phép của thời gian dự báo, cảnh báo và được xác định là "không đủ độ tin cậy" khi sai số thời gian dự báo, cảnh báo lớn hơn sai số cho phép của thời gian dự báo, cảnh báo.
2. Đối với trường hợp dự báo, cảnh báo khoảng thời gian xuất hiện yếu tố, hiện tượng thủy văn: Chất lượng dự báo, cảnh báo khoảng thời gian được xác định là "đủ độ tin cậy" khi xuất hiện yếu tố, hiện tượng được cảnh báo trong khoảng thời gian dự báo, cảnh báo và được xác định là "không đủ độ tin cậy" khi không xuất hiện yếu tố, hiện tượng được dự báo, cảnh báo trong khoảng thời gian dự báo, cảnh báo.
Điều 13. Xác định độ tin cậy về dự báo, cảnh báo khả năng xuất hiện các hiện tượng lũ, ngập lụt, lũ quét, sạt lở đất, sụt lún đất do mưa lũ hoặc dòng chảy
1. Chất lượng dự báo, cảnh báo khả năng xuất hiện được xác định là "đủ độ tin cậy" khi hiện tượng lũ, ngập lụt, lũ quét, sạt lở đất, sụt lún đất do mưa lũ hoặc dòng chảy xảy ra trong khu vực cảnh báo.
2. Chất lượng dự báo, cảnh báo khả năng xuất hiện được xác định là "không đủ độ tin cậy" khi không có hiện tượng lũ, ngập lụt, lũ quét, sạt lở đất, sụt lún đất do mưa lũ hoặc dòng chảy xảy ra trong khu vực cảnh báo hoặc khi xuất hiện hiện tượng lũ, ngập lụt, lũ quét, sạt lở đất, sụt lún đất do mưa lũ hoặc dòng chảy trong phạm vi quản lý mà không được cảnh báo.
Điều 14. Xác định độ tin cậy về phạm vi dự báo, cảnh báo
1. Lũ, ngập lụt, hạn hán, xâm nhập mặn:
a) Trường hợp chỉ dự báo, cảnh báo lũ, ngập lụt, hạn hán, xâm nhập mặn từ 01 đến 02 sông hoặc khu vực: Chất lượng dự báo, cảnh báo phạm vi được xác định là "đủ độ tin cậy" khi ít nhất 01 sông hoặc 01 khu vực được dự báo, cảnh báo xảy ra lũ, ngập lụt, hạn hán, xâm nhập mặn và được xác định là "không đủ độ tin cậy" khi không có sông hoặc khu vực nào được dự báo, cảnh báo xảy ra lũ, ngập lụt, hạn hán, xâm nhập mặn hoặc xuất hiện hiện tượng lũ, ngập lụt, hạn hán, xâm nhập mặn trong khu vực mà không được cảnh báo;
b) Trường hợp dự báo, cảnh báo lũ, ngập lụt, hạn hán, xâm nhập mặn từ 03 sông hoặc 03 khu vực trở lên: Chất lượng dự báo, cảnh báo phạm vi được xác định là "đủ độ tin cậy" khi trên 50% số sông hoặc khu vực được cảnh báo xảy ra lũ, ngập lụt, hạn hán, xâm nhập mặn và được xác định là "không đủ độ tin cậy" khi dưới 50% số sông hoặc khu vực được dự báo, cảnh báo xảy ra lũ, ngập lụt, hạn hán, xâm nhập mặn hoặc xuất hiện hiện tượng lũ, ngập lụt, hạn hán, xâm nhập mặn trong một khu vực mà không được cảnh báo.
2. Lũ quét, sạt lở đất, sụt lún đất do mưa lũ hoặc dòng chảy:
Chất lượng dự báo, cảnh báo phạm vi được xác định là "đủ độ tin cậy" khi ít nhất 01 khu vực được cảnh báo xảy ra hiện tượng lũ quét, sạt lở đất, sụt lún đất do mưa lũ hoặc dòng chảy và được xác định là "không đủ độ tin cậy" khi không có khu vực nào được cảnh báo xảy ra lũ quét, sạt lở đất, sụt lún đất do mưa lũ hoặc dòng chảy hoặc xuất hiện hiện tượng lũ quét, sạt lở đất, sụt lún đất do mưa lũ hoặc dòng chảy trong một khu vực mà không được cảnh báo.
Mục 2. ĐÁNH GIÁ ĐỘ TIN CẬY, TÍNH KỊP THỜI, TÍNH ĐẦY ĐỦ DỰ BÁO, CẢNH BÁO CÁC YẾU TỐ, HIỆN TƯỢNG THỦY VĂN TRONG ĐIỀU KIỆN BÌNH THƯỜNG
Điều 15. Dự báo, cảnh báo thời hạn cực ngắn, thời hạn ngắn
1. Các yếu tố, hiện tượng dự báo, cảnh báo:
a) Trị số dự báo, cảnh báo các yếu tố thủy văn gồm: Mực nước, lưu lượng và các yếu tố thủy văn khác (nếu có);
b) Thời gian dự báo, cảnh báo xuất hiện các hiện tượng thủy văn;
c) Dự báo, cảnh báo khả năng và phạm vi xuất hiện các hiện tượng thủy văn.
2. Đánh giá chất lượng dự báo, cảnh báo trị số:
a) Sai số trị số dự báo, cảnh báo được xác định tại khoản 1 Điều 6 Thông tư này;
b) Chất lượng dự báo, cảnh báo trị số được xác định tại khoản 4 Điều 11 Thông tư này.
3. Đánh giá chất lượng dự báo, cảnh báo thời gian xuất hiện các hiện tượng thủy văn:
a) Sai số thời gian dự báo, cảnh báo xuất hiện các hiện tượng thủy văn được xác định tại khoản 1 Điều 7 Thông tư này;
b) Chất lượng dự báo, cảnh báo thời gian xuất hiện các hiện tượng thủy văn được xác định tại Điều 12 Thông tư này.
4. Đánh giá khả năng và phạm vi xuất hiện các hiện tượng thủy văn:
a) Chất lượng dự báo, cảnh báo khả năng xuất hiện hiện tượng thủy văn được xác định tại Điều 13 Thông tư này;
b) Chất lượng dự báo, cảnh báo phạm vi xuất hiện hiện tượng thủy văn được xác định tại Điều 14 Thông tư này.
Điều 16. Dự báo, cảnh báo thời hạn vừa, thời hạn dài
1. Các yếu tố, hiện tượng dự báo, cảnh báo:
a) Trị số dự báo, cảnh báo các giá trị đặc trưng bao gồm ít nhất một trong ba giá trị đặc trưng (cao nhất, thấp nhất, trung bình) của mực nước, lưu lượng và các yếu tố đặc trưng khác (nếu có);
b) Thời gian xuất hiện các yếu tố đặc trưng/hiện tượng thủy văn;
c) Khả năng và phạm vi xuất hiện các yếu tố đặc trưng/hiện tượng thủy văn.
2. Đánh giá chất lượng dự báo, cảnh báo trị số:
a) Sai số trị số dự báo, cảnh báo được xác định tại khoản 1 Điều 6 Thông tư này;
b) Chất lượng dự báo, cảnh báo trị số được xác định tại khoản 4 Điều 11 Thông tư này.
3. Đánh giá chất lượng dự báo, cảnh báo thời gian xuất hiện các yếu tố đặc trưng/hiện tượng thủy văn:
a) Sai số thời gian dự báo, cảnh báo xuất hiện các yếu tố đặc trưng/hiện tượng thủy văn được xác định tại khoản 1 Điều 7 Thông tư này;
b) Chất lượng dự báo, cảnh báo thời gian xuất hiện các yếu tố đặc trưng/hiện tượng thủy văn được xác định tại Điều 12 Thông tư này.
4. Đánh giá khả năng và phạm vi xuất hiện yếu tố đặc trưng/hiện tượng thủy văn:
a) Chất lượng dự báo, cảnh báo khả năng xuất hiện các yếu tố đặc trưng/hiện tượng thủy văn được xác định tại Điều 13 Thông tư này;
b) Chất lượng dự báo, cảnh báo phạm vi xuất hiện các yếu tố đặc trưng/hiện tượng thủy văn được xác định tại Điều 14 Thông tư này.
Điều 17. Dự báo, cảnh báo thời hạn mùa, thời hạn năm
1. Các yếu tố, hiện tượng dự báo, cảnh báo:
a) Trị số dự báo, cảnh báo các giá trị đặc trưng bao gồm ít nhất một trong ba giá trị đặc trưng (cao nhất, thấp nhất, trung bình) của mực nước, lưu lượng và các yếu tố đặc trưng khác (nếu có);
b) Thời gian xuất hiện các yếu tố đặc trưng/hiện tượng thủy văn;
c) Khả năng và phạm vi xuất hiện các yếu tố đặc trưng/hiện tượng thủy văn.
2. Đánh giá chất lượng dự báo, cảnh báo trị số:
a) Sai số trị số dự báo, cảnh báo được xác định tại khoản 1 Điều 6 Thông tư này;
b) Chất lượng dự báo, cảnh báo trị số được xác định tại khoản 4 Điều 11 Thông tư này.
3. Đánh giá chất lượng dự báo, cảnh báo thời gian xuất hiện các yếu tố đặc trưng/hiện tượng thủy văn:
a) Sai số thời gian dự báo, cảnh báo xuất hiện các yếu tố đặc trưng/hiện tượng thủy văn được xác định tại khoản 1 Điều 7 Thông tư này;
b) Đánh giá chất lượng dự báo, cảnh báo thời gian xuất hiện các yếu tố đặc trưng/hiện tượng thủy văn được xác định tại Điều 12 Thông tư này.
4. Đánh giá khả năng và phạm vi xuất hiện các yếu tố đặc trưng/hiện tượng thủy văn:
a) Chất lượng dự báo, cảnh báo khả năng xuất hiện các yếu tố đặc trưng/hiện tượng thủy văn được xác định tại Điều 13 Thông tư này;
b) Đánh giá chất lượng dự báo, cảnh báo phạm vi xuất hiện các yếu tố đặc trưng/hiện tượng thủy văn được xác định tại Điều 14 Thông tư này.
Điều 18. Dự báo, cảnh báo nguồn nước
1. Các yếu tố, hiện tượng dự báo, cảnh báo:
a) Tổng lượng nước mưa;
b) Lưu lượng nước trung bình hoặc tổng lượng nước.
2. Đánh giá chất lượng dự báo, cảnh báo tổng lượng nước mưa thực hiện theo quy định của pháp luật về đánh giá chất lượng dự báo, cảnh báo khí tượng.
3. Đánh giá chất lượng dự báo, cảnh báo lưu lượng nước trung bình hoặc tổng lượng nước:
a) Sai số dự báo, cảnh báo lưu lượng nước trung bình hoặc tổng lượng nước được xác định tại khoản 1 Điều 6 Thông tư này;
b) Chất lượng dự báo, cảnh báo lưu lượng nước trung bình hoặc tổng lượng nước được xác định là "đủ độ tin cậy" khi sai số dự báo, cảnh báo lưu lượng nước trung bình hoặc tổng lượng nước nhỏ hơn hoặc bằng 30% lưu lượng nước trung bình hoặc tổng lượng nước thực tế và được xác định là "không đủ độ tin cậy" khi sai số dự báo, cảnh báo lưu lượng nước trung bình hoặc tổng lượng nước lớn hơn 30% lưu lượng nước trung bình hoặc tổng lượng nước thực tế.
Điều 19. Đánh giá tính đầy đủ
Bản tin dự báo, cảnh báo thủy văn trong điều kiện bình thường được đánh giá là "đầy đủ" khi thực hiện đầy đủ các nội dung được quy định tại Thông tư số 06/2016/TT-BTNMT ngày 16 tháng 5 năm 2016 của Bộ Tài nguyên và Môi trường quy định về loại bản tin và thời hạn dự báo, cảnh báo khí tượng thủy văn và Thông tư số 40/2016/TT-BTNMT ngày 19 tháng 12 năm 2016 của Bộ Tài nguyên và Môi trường quy định về quy trình kỹ thuật dự báo, cảnh báo khí tượng thủy văn trong điều kiện bình thường và được đánh giá là "không đầy đủ" khi thực hiện thiếu một trong các nội dung được quy định tại các văn bản trên.
Điều 20. Đánh giá tính kịp thời
Bản tin dự báo, cảnh báo thủy văn trong điều kiện bình thường được đánh giá là "kịp thời" khi bản tin được cung cấp đúng giờ hoặc chậm nhất là 15 phút theo quy định tại Thông tư số 40/2016/TT-BTNMT ngày 19 tháng 12 năm 2016 của Bộ Tài nguyên và Môi trường quy định về quy trình kỹ thuật dự báo, cảnh báo khí tượng thủy văn trong điều kiện bình thường hoặc theo quy định trong các văn bản thỏa thuận về thời gian phát tin với địa phương, người sử dụng và được đánh giá là "không kịp thời" khi bản tin được cung cấp sau 15 phút so với thời gian được quy định tại các văn bản trên.
Mục 3. ĐÁNH GIÁ ĐỘ TIN CẬY, TÍNH ĐẦY ĐỦ, TÍNH KỊP THỜI DỰ BÁO, CẢNH BÁO CÁC HIỆN TƯỢNG THỦY VĂN NGUY HIỂM
Điều 21. Cảnh báo lũ
1. Các yếu tố, hiện tượng cảnh báo:
a) Khả năng xuất hiện lũ;
b) Đỉnh lũ;
c) Mức độ lũ, biên độ lũ;
d) Thời gian xuất hiện lũ, đỉnh lũ;
đ) Phạm vi cảnh báo lũ.
2. Đánh giá chất lượng cảnh báo khả năng xuất hiện lũ: Chất lượng cảnh báo khả năng xuất hiện lũ được xác định tại Điều 13 Thông tư này.
3. Đánh giá chất lượng cảnh báo đỉnh lũ:
a) Sai số trị số cảnh báo đỉnh lũ được xác định tại khoản 1 Điều 6 Thông tư này;
b) Chất lượng cảnh báo trị số đỉnh lũ được xác định tại khoản 4 Điều 11 Thông tư này.
4. Đánh giá chất lượng cảnh báo mức độ lũ và biên độ lũ:
Chất lượng cảnh báo khả năng xuất hiện mức độ lũ và biên độ lũ được xác định là "đủ độ tin cậy" khi thỏa mãn điều kiện quy định tại Bảng 3 và ngược lại được xác định là "không đủ độ tin cậy".
Bảng 3. Đánh giá độ tin cậy cảnh báo mức lũ và biên độ lũ
| TT | Mức cảnh báo | Đánh giá đủ độ tin cậy |
| 1 | Dưới mức BĐ1 | TSTĐ < BĐ1 |
| 2 | Ở mức BĐ1 | TSTĐ ≤ BĐ1 ± Scf |
| 3 | Trên mức BĐ1 | BĐ1 ≤ TSTĐ ≤ BĐ2 |
| 4 | Dưới mức BĐ2 | BĐ1 < TSTĐ ≤ BĐ2 |
| 5 | Ở mức BĐ2 | TSTĐ ≤ BĐ2 ± Scf |
| 6 | Trên mức BĐ2 | BĐ2 ≤ TSTĐ < BĐ3 |
| 7 | Dưới mức BĐ3 | BĐ2 < TSTĐ ≤ BĐ3 |
| 8 | Ở mức BĐ3 | TSTĐ ≤ BĐ3 ± Scf |
| 9 | Trên mức BĐ3 | TSTĐ ≥ BĐ3 |
| 10 | Trong khoảng BĐ1 - BĐ2 | BĐ1 ≤ TSTĐ ≤ BĐ2 |
| 11 | Trong khoảng BĐ2 - BĐ3 | BĐ2 ≤ TSTĐ ≤ BĐ3 |
| 12 | Theo mức lũ (Hcb) | Hcb - Scf ≤ TSTĐ ≤ Hcb + Scf |
| 13 | Biên độ trong khoảng H1 - H2 | H1 ± Scf ≤ TSTĐ ≤ H2 ± Scf |
Ghi chú: TSTĐ: Trị số thực đo; Scf: Sai số cho phép đỉnh lũ.
5. Đánh giá chất lượng cảnh báo thời gian xuất hiện lũ, đỉnh lũ:
a) Sai số thời gian dự báo, cảnh báo xuất hiện lũ, đỉnh lũ được xác định tại khoản 1 Điều 7 Thông tư này;
b) Chất lượng cảnh báo thời gian xuất hiện lũ, đỉnh lũ được xác định tại Điều 12 Thông tư này.
6. Đánh giá phạm vi cảnh báo lũ: Chất lượng cảnh báo phạm vi xuất hiện lũ được xác định tại khoản 1 Điều 14 Thông tư này.
Điều 22. Dự báo lũ
1. Các yếu tố, hiện tượng dự báo:
a) Trị số mực nước hoặc lưu lượng tại các vị trí dự báo theo thời hạn dự báo;
b) Trị số đỉnh lũ;
c) Thời gian xuất hiện đỉnh lũ;
d) Cảnh báo khả năng xảy ra các hiện tượng thủy văn nguy hiểm kèm theo.
2. Đánh giá chất lượng dự báo trị số mực nước hoặc lưu lượng:
a) Sai số trị số dự báo mực nước hoặc lưu lượng được xác định tại khoản 1 Điều 6 Thông tư này;
b) Chất lượng dự báo trị số mực nước hoặc lưu lượng được xác định tại khoản 4 Điều 11 Thông tư này.
3. Đánh giá chất lượng dự báo đỉnh lũ:
a) Sai số trị số dự báo đỉnh lũ được xác định tại khoản 1 Điều 6 Thông tư này;
b) Chất lượng dự báo trị số đỉnh lũ được xác định tại khoản 4 Điều 11 Thông tư này.
4. Đánh giá chất lượng dự báo thời gian xuất hiện đỉnh lũ:
a) Sai số thời gian dự báo xuất hiện đỉnh lũ được xác định tại khoản 1 Điều 7 Thông tư này;
b) Chất lượng dự báo thời gian xuất hiện đỉnh lũ được xác định tại Điều 12 Thông tư này.
5. Đánh giá chất lượng cảnh báo khả năng xảy ra các hiện tượng thủy văn nguy hiểm kèm theo được xác định tại Điều 13 Thông tư này.
Điều 23. Dự báo, cảnh báo ngập lụt, lũ quét, sạt lở đất, sụt lún đất do mưa lũ hoặc dòng chảy
1. Các yếu tố, hiện tượng dự báo, cảnh báo:
a) Khả năng xuất hiện các hiện tượng ngập lụt, lũ quét, sạt lở đất, sụt lún đất do mưa lũ hoặc dòng chảy;
b) Phạm vi cảnh báo ngập lụt, lũ quét, sạt lở đất, sụt lún đất do mưa lũ hoặc dòng chảy;
c) Thời gian xuất hiện ngập lụt, lũ quét, sạt lở đất, sụt lún đất do mưa lũ hoặc dòng chảy;
d) Mức độ ngập lụt.
2. Đánh giá chất lượng dự báo, cảnh báo khả năng xuất hiện các hiện tượng ngập lụt, lũ quét, sạt lở đất, sụt lún đất do mưa lũ hoặc dòng chảy: Chất lượng dự báo, cảnh báo khả năng xuất hiện các hiện tượng ngập lụt, lũ quét, sạt lở đất, sụt lún đất do mưa lũ hoặc dòng chảy được xác định tại Điều 13 Thông tư này.
3. Đánh giá chất lượng dự báo, cảnh báo phạm vi xuất hiện các hiện tượng ngập lụt, lũ quét, sạt lở đất, sụt lún đất do mưa lũ hoặc dòng chảy: Chất lượng dự báo, cảnh báo phạm vi xuất hiện các hiện tượng ngập lụt, lũ quét, sạt lở đất, sụt lún đất do mưa lũ hoặc dòng chảy được xác định tại Điều 14 Thông tư này.
4. Đánh giá chất lượng dự báo, cảnh báo thời gian xuất hiện ngập lụt, lũ quét, sạt lở đất, sụt lún đất do mưa lũ hoặc dòng chảy:
a) Sai số thời gian dự báo, cảnh báo xuất hiện ngập lụt, lũ quét, sạt lở đất, sụt lún đất do mưa lũ hoặc dòng chảy được xác định tại khoản 1 Điều 7 Thông tư này;
b) Chất lượng dự báo, cảnh báo thời gian xuất hiện ngập lụt, lũ quét, sạt lở đất, sụt lún đất do mưa lũ hoặc dòng chảy được xác định tại Điều 12 Thông tư này.
5. Chất lượng dự báo, cảnh báo mức độ ngập lụt: Chất lượng dự báo, cảnh báo mức độ ngập lụt được xác định là "đủ độ tin cậy" khi thỏa mãn điều kiện quy định tại Bảng 4, ngược lại thì được xác định là "không đủ độ tin cậy".
Bảng 4. Đánh giá độ tin cậy dự báo, cảnh báo mức độ ngập lụt
| TT | Mức dự báo, cảnh báo ngập lụt | Độ tin cậy |
| 1 | Biên độ trong khoảng hsâu1 - hsâu2 | hsâu1 - 0,5 ≤ TSTĐ ≤ hsâu2 + 0,5 |
| 2 | Độ sâu lớn nhất hsâu lớn nhất | TSTĐ ± 1,0 |
Điều 24. Dự báo, cảnh báo hạn hán
1. Các yếu tố, hiện tượng dự báo, cảnh báo:
a) Khả năng xuất hiện hạn hán;
b) Tổng lượng mưa trên khu vực dự báo, cảnh báo;
c) Tổng lượng nước trên khu vực dự báo, cảnh báo;
d) Thời gian xuất hiện hạn hán;
đ) Phạm vi xuất hiện hạn hán.
2. Đánh giá chất lượng dự báo, cảnh báo khả năng xuất hiện hạn hán: Chất lượng dự báo, cảnh báo khả năng xuất hiện hạn hán được xác định là "đủ độ tin cậy" khi bảo đảm các điều kiện sau:
a) Khu vực dự báo, cảnh báo xuất hiện tình trạng thiếu hụt tổng lượng mưa tháng trên 50% so với trung bình nhiều năm và kéo dài từ 2 tháng trở lên;
b) Nguồn nước trong khu vực thiếu hụt từ trên 20% so với trung bình nhiều năm.
3. Đánh giá chất lượng dự báo, cảnh báo tổng lượng nước mưa thực hiện theo quy định của pháp luật về đánh giá chất lượng dự báo, cảnh báo khí tượng.
4. Đánh giá chất lượng dự báo, cảnh báo tổng lượng nước trên khu vực dự báo, cảnh báo:
a) Sai số dự báo, cảnh báo tổng lượng nước được xác định tại khoản 1 Điều 6 Thông tư này;
b) Chất lượng dự báo, cảnh báo tổng lượng nước được xác định là "đủ độ tin cậy" khi sai số dự báo, cảnh báo tổng lượng nước nhỏ hơn hoặc bằng 30% tổng lượng nước thực tế và được xác định là "không đủ độ tin cậy" khi sai số dự báo, cảnh báo tổng lượng nước lớn hơn 30% tổng lượng nước thực tế.
5. Đánh giá chất lượng dự báo, cảnh báo thời gian xuất hiện hạn hán:
a) Sai số thời gian dự báo, cảnh báo xuất hiện hạn hán được xác định tại khoản 1 Điều 7 Thông tư này;
b) Chất lượng dự báo cảnh báo thời gian xuất hiện hạn hán được xác định tại Điều 12 Thông tư này.
6. Đánh giá chất lượng dự báo, cảnh báo phạm vi xuất hiện hạn hán: Chất lượng dự báo, cảnh báo phạm vi xuất hiện hạn hán được xác định tại khoản 1 Điều 14 Thông tư này.
Điều 25. Xâm nhập mặn
1. Các yếu tố, hiện tượng dự báo, cảnh báo:
a) Khả năng xuất hiện xâm nhập mặn;
b) Độ mặn lớn nhất;
c) Thời gian xuất hiện xâm nhập mặn;
d) Phạm vi chịu ảnh hưởng độ mặn.
2. Chất lượng dự báo, cảnh báo khả năng xuất hiện xâm nhập mặn được xác định là "đủ độ tin cậy" khi khu vực cảnh báo xuất hiện độ mặn dự báo, cảnh báo.
3. Chất lượng dự báo, cảnh báo độ mặn lớn nhất:
a) Sai số dự báo, cảnh báo độ mặn lớn nhất được xác định tại khoản 1 Điều 6 Thông tư này;
b) Chất lượng dự báo, cảnh báo độ mặn lớn nhất được xác định là "đủ độ tin cậy" khi sai số dự báo, cảnh báo độ mặn lớn nhất nhỏ hơn hoặc bằng 30% độ mặn lớn nhất thực tế và được xác định là "không đủ độ tin cậy" khi sai số dự báo, cảnh báo độ mặn lớn nhất lớn hơn 30% độ mặn lớn nhất thực tế.
4. Đánh giá chất lượng dự báo, cảnh báo thời gian xuất hiện xâm nhập mặn:
a) Sai số thời gian dự báo, cảnh báo xuất hiện xâm nhập mặn được xác định tại khoản 1 Điều 7 Thông tư này;
b) Chất lượng dự báo, cảnh báo thời gian xuất hiện xâm nhập mặn được xác định tại Điều 12 Thông tư này.
5. Đánh giá chất lượng dự báo, cảnh báo phạm vi xuất hiện xâm nhập mặn:
a) Trường hợp dự báo, cảnh báo phạm vi xuất hiện xâm nhập mặn theo khu vực: Chất lượng dự báo, cảnh báo phạm vi xuất hiện xâm nhập mặn được xác định tại khoản 1 Điều 14 Thông tư này;
b) Trường hợp dự báo, cảnh báo phạm vi xuất hiện xâm nhập mặn theo chiều dài sông: Chất lượng dự báo, cảnh báo phạm vi xuất hiện xâm nhập mặn được xác định là "đủ độ tin cậy" khi xuất hiện độ mặn dự báo tại các vị trí cách không quá 25% so với khoảng cách dự báo và được xác định là "không đủ độ tin cậy" khi xuất hiện độ mặn dự báo tại các vị trí cách quá 25% so với khoảng cách dự báo.
Điều 26. Đánh giá tính đầy đủ
Bản tin dự báo, cảnh báo thủy văn nguy hiểm được đánh giá là "đầy đủ" khi thực hiện đầy đủ các nội dung được quy định tại Quyết định số 46/2014/QĐ-TTg ngày 15 tháng 8 năm 2014 của Thủ tướng Chính phủ quy định về dự báo, cảnh báo và truyền tin thiên tai và Thông tư số 41/2016/TT-BTNMT ngày 21 tháng 12 năm 2016 của Bộ Tài nguyên và Môi trường quy định về quy trình kỹ thuật dự báo, cảnh báo hiện tượng khí tượng thủy văn nguy hiểm và được đánh giá là "không đầy đủ" khi thực hiện thiếu một trong các nội dung được quy định tại các văn bản trên.
Điều 27. Đánh giá tính kịp thời
Bản tin dự báo, cảnh báo thủy văn nguy hiểm được đánh giá là "kịp thời" khi bản tin được cung cấp đúng giờ hoặc trong thời gian chậm nhất là 15 phút theo quy định tại Điều 15 và Điều 25 Quyết định số 46/2014/QĐ-TTg ngày 15 tháng 8 năm 2014 của Thủ tướng Chính phủ quy định về dự báo, cảnh báo và truyền tin thiên tai và Thông tư số 41/2016/TT-BTNMT ngày 21 tháng 12 năm 2016 của Bộ Tài nguyên và Môi trường quy định về quy trình kỹ thuật dự báo, cảnh báo hiện tượng khí tượng thủy văn nguy hiểm hoặc theo quy định trong các văn bản thỏa thuận về thời gian phát tin với địa phương, người sử dụng và được đánh giá là "không kịp thời" khi bản tin được cung cấp sau 15 phút so với thời gian được quy định tại các văn bản trên.
Chương III
TỔ CHỨC THỰC HIỆN
Điều 28. Hiệu lực thi hành
Thông tư này có hiệu lực thi hành kể từ ngày 08 tháng 12 năm 2017.
Điều 29. Trách nhiệm thi hành
1. Chánh Văn phòng Bộ, Tổng cục trưởng Tổng cục Khí tượng Thủy văn, Thủ trưởng các đơn vị trực thuộc Bộ, Giám đốc Sở Tài nguyên và Môi trường các tỉnh, thành phố trực thuộc Trung ương và các tổ chức, cá nhân có liên quan chịu trách nhiệm thi hành Thông tư này.
2. Tổng cục Khí tượng Thủy văn có trách nhiệm kiểm tra, giám sát việc thực hiện Thông tư này.
3. Trong quá trình thực hiện Thông tư này, nếu có khó khăn, vướng mắc, các cơ quan, tổ chức, cá nhân phản ánh về Bộ Tài nguyên và Môi trường để xem xét, giải quyết./.
| Nơi nhận: | KT. BỘ TRƯỞNG |
Bạn chưa Đăng nhập thành viên.
Đây là tiện ích dành cho tài khoản thành viên. Vui lòng Đăng nhập để xem chi tiết. Nếu chưa có tài khoản, vui lòng Đăng ký tại đây!
Bạn chưa Đăng nhập thành viên.
Đây là tiện ích dành cho tài khoản thành viên. Vui lòng Đăng nhập để xem chi tiết. Nếu chưa có tài khoản, vui lòng Đăng ký tại đây!