- Tổng quan
- Nội dung
- VB gốc
- Tiếng Anh
- Hiệu lực
- VB liên quan
- Lược đồ
-
Nội dung hợp nhất
Tính năng này chỉ có tại LuatVietnam.vn. Nội dung hợp nhất tổng hợp lại tất cả các quy định còn hiệu lực của văn bản gốc và các văn bản sửa đổi, bổ sung, đính chính... trên một trang. Việc hợp nhất văn bản gốc và những văn bản, Thông tư, Nghị định hướng dẫn khác không làm thay đổi thứ tự điều khoản, nội dung.
Khách hàng chỉ cần xem Nội dung hợp nhất là có thể nắm bắt toàn bộ quy định hiện hành đang áp dụng, cho dù văn bản gốc đã qua nhiều lần chỉnh sửa, bổ sung.
- Tải về
Thông tư 07/2024/TT-BTNMT Quy chuẩn về Đo đạc trọng lực chi tiết phục vụ công tác đo đạc và bản đồ-Phần đo mặt đất
| Cơ quan ban hành: | Bộ Tài nguyên và Môi trường |
Số công báo:
Số công báo là mã số ấn phẩm được đăng chính thức trên ấn phẩm thông tin của Nhà nước. Mã số này do Chính phủ thống nhất quản lý.
|
Đã biết
|
| Số hiệu: | 07/2024/TT-BTNMT | Ngày đăng công báo: |
Đã biết
|
| Loại văn bản: | Thông tư | Người ký: | Nguyễn Thị Phương Hoa |
|
Ngày ban hành:
Ngày ban hành là ngày, tháng, năm văn bản được thông qua hoặc ký ban hành.
|
28/06/2024 |
Ngày hết hiệu lực:
Ngày hết hiệu lực là ngày, tháng, năm văn bản chính thức không còn hiệu lực (áp dụng).
|
Đang cập nhật |
|
Áp dụng:
Ngày áp dụng là ngày, tháng, năm văn bản chính thức có hiệu lực (áp dụng).
|
Đã biết
|
Tình trạng hiệu lực:
Cho biết trạng thái hiệu lực của văn bản đang tra cứu: Chưa áp dụng, Còn hiệu lực, Hết hiệu lực, Hết hiệu lực 1 phần; Đã sửa đổi, Đính chính hay Không còn phù hợp,...
|
Đã biết
|
| Lĩnh vực: | Tài nguyên-Môi trường |
TÓM TẮT THÔNG TƯ 07/2024/TT-BTNMT
Ngày 28/6/2024, Bộ Tài nguyên và Môi trường đã ra Thông tư 07/2024/TT- BTNMT ban hành Quy chuẩn kỹ thuật quốc gia về Đo đạc trọng lực chi tiết phục vụ công tác đo đạc và bản đồ - Phần đo mặt đất.
1. Lưới điểm tựa trọng lực được bố trí theo đồ hình là các đa giác khép kín hoặc theo tuyến độ cao quốc gia, đảm bảo khoảng cách giữa hai điểm tựa trọng lực liền kề trong khoảng từ 8 km đến 25 km.
2. Khảo sát, chọn điểm: Các điểm tựa trọng lực phải được xây dựng ở các vị trí dễ nhận biết, thuận lợi cho công tác đo trọng lực và đo tọa độ, độ cao. Vị trí xây dựng mốc điểm tựa trọng lực phải chọn nơi có nền đất vững chắc ổn định, có khả năng bảo quản trong quá trình thực hiện; tránh nơi dễ ngập nước, dễ bị sạt lở, gò và đống không ổn định, đê, bờ sông bồi lở, nền đất mượn (mới tôn nền); cách xa từ 50 m trở lên đối với các nguồn chấn động lớn như cạnh đường xe lửa, công trường xây dựng, nhà máy; đường dây cao thế, trạm điện cao thế (nơi có từ trường mạnh).
3. Lập ghi chú điểm tựa trọng lực: Ghi chú điểm tựa trọng lực phải thể hiện đầy đủ các thông tin gồm: số hiệu điểm; trích phạm vi có điểm tựa trọng lực trên bản đồ địa hình tỷ lệ 1:50.000; tên mảnh bản đồ; kinh, vĩ độ và độ cao khái lược của mốc; sơ đồ mốc; chất liệu mốc; loại đất; chủ đất; nơi đặt mốc; đường tới điểm;…
Thông tư có hiệu lực từ ngày 30/12/2024.
Xem chi tiết Thông tư 07/2024/TT-BTNMT có hiệu lực kể từ ngày 30/12/2024
Tải Thông tư 07/2024/TT-BTNMT
|
BỘ TÀI NGUYÊN VÀ MÔI TRƯỜNG |
CỘNG HÒA XÃ HỘI CHỦ NGHĨA VIỆT NAM |
|
Số: 07/2024/TT-BTNMT |
Hà Nội, ngày 28 tháng 6 năm 2024 |
THÔNG TƯ
Ban hành Quy chuẩn kỹ thuật quốc gia về Đo đạc trọng lực chi tiết phục vụ
công tác đo đạc và bản đồ - Phần đo mặt đất
_____________
Căn cứ Luật Tiêu chuẩn và Quy chuẩn kỹ thuật ngày 29 tháng 6 năm 2006;
Căn cứ Luật Đo đạc và bản đồ ngày 14 tháng 6 năm 2018;
Căn cứ Nghị định số 127/2007/NĐ-CP ngày 01 tháng 8 năm 2007 của Chính phủ quy định chi tiết thi hành một số điều của Luật Tiêu chuẩn và Quy chuẩn kỹ thuật; Nghị định số 67/2009/NĐ-CP ngày 03 tháng 8 năm 2009 của Chính phủ sửa đổi một số điều của Nghị định số 127/2007/NĐ-CP ngày 01 tháng 8 năm 2007 của Chính phủ quy định chi tiết thi hành một số điều của Luật Tiêu chuẩn và Quy chuẩn kỹ thuật và Nghị định số 132/2008/NĐ-CP ngày 31 tháng 12 năm 2008 của Chính phủ quy định chi tiết thi hành một số điều của luật chất lượng sản phẩm, hàng hóa; Nghị định số 78/2018/NĐ-CP ngày 16 tháng 5 năm 2018 của Chính phủ sửa đổi, bổ sung một số điều của Nghị định số 127/2007/NĐ-CP ngày 01 tháng 8 năm 2007 của Chính phủ quy định chi tiết thi hành một số điều của Luật Tiêu chuẩn và Quy chuẩn kỹ thuật;
Căn cứ Nghị định số 27/2019/NĐ-CP ngày 13 tháng 3 năm 2019 của Chính phủ quy định chi tiết một số điều của Luật Đo đạc và bản đồ; Nghị định số 136/2021/NĐ-CP ngày 31 tháng 12 năm 2021 của Chính phủ sửa đổi, bổ sung một số điều của Nghị định số 27/2019/NĐ-CP ngày 13 tháng 3 năm 2019 của Chính phủ quy định chi tiết một số điều của Luật Đo đạc và bản đồ;
Căn cứ Nghị định số 22/2023/NĐ-CP ngày 12 tháng 5 năm 2023 của Chính phủ sửa đổi, bổ sung một số điều của các Nghị định liên quan đến hoạt động kinh doanh trong lĩnh vực tài nguyên và môi trường;
Căn cứ Nghị định số 68/2022/NĐ-CP ngày 22 tháng 9 năm 2022 của Chính phủ quy định chức năng, nhiệm vụ, quyền hạn và cơ cấu tổ chức của Bộ Tài nguyên và Môi trường;
Theo đề nghị của Cục trưởng Cục Đo đạc, Bản đồ và Thông tin địa lý Việt Nam, Viện trưởng Viện Khoa học Đo đạc và Bản đồ;
Bộ trưởng Bộ Tài nguyên và Môi trường ban hành Thông tư ban hành Quy chuẩn kỹ thuật quốc gia về Đo đạc trọng lực chi tiết phục vụ công tác đo đạc và bản đồ - Phần đo mặt đất.
Điều 1. Ban hành kèm theo Thông tư này Quy chuẩn kỹ thuật quốc gia về Đo đạc trọng lực chi tiết phục vụ công tác đo đạc và bản đồ - Phần đo mặt đất, mã số QCVN 79:2024/BTNMT.
Điều 2. Hiệu lực thi hành
1. Thông tư này có hiệu lực thi hành kể từ ngày 30 tháng 12 năm 2024.
2. Các nội dung về đo trọng lực chi tiết trên mặt đất được quy định tại Thông tư số 08/2012/TT-BTNMT ngày 08 tháng 8 năm 2012 của Bộ trưởng Bộ Tài nguyên và Môi trường quy định về đo trọng lực chi tiết hết hiệu lực từ ngày Thông tư này có hiệu lực thi hành.
3. Các đề án, dự án, thiết kế kỹ thuật về đo đạc trọng lực chi tiết phục vụ công tác đo đạc và bản đồ được phê duyệt trước ngày Thông tư này có hiệu lực thi hành thì thực hiện theo các quy định của Thông tư số 08/2012/TT-BTNMT.
Điều 3. Tổ chức thực hiện
1. Bộ, cơ quan ngang Bộ, cơ quan thuộc Chính phủ, Ủy ban nhân dân các tỉnh, thành phố trực thuộc trung ương và các tổ chức, cá nhân có liên quan chịu trách nhiệm thi hành Thông tư này.
2. Cục trưởng Cục Đo đạc, Bản đồ và Thông tin địa lý Việt Nam có trách nhiệm tổ chức phổ biến, kiểm tra việc thực hiện Thông tư này.
3. Trong quá trình thực hiện, nếu có vướng mắc, đề nghị các cơ quan, tổ chức, cá nhân phản ánh kịp thời về Bộ Tài nguyên và Môi trường để xem xét, quyết định./.
|
Nơi nhận: |
KT. BỘ TRƯỞNG |

CỘNG HÒA XÃ HỘI CHỦ NGHĨA VIỆT NAM
QCVN 79:2024/BTNMT
QUY CHUẨN KỸ THUẬT QUỐC GIA
VỀ ĐO ĐẠC TRỌNG LỰC CHI TIẾT PHỤC VỤ CÔNG TÁC
ĐO ĐẠC VÀ BẢN ĐỒ - PHẦN ĐO MẶT ĐẤT
National technical regulation on the detailed gravitational
measurements for surveying and mapping - Ground measurements
(Ban hành kèm theo Thông tư số 07/2024/TT-BTNMT ngày 28 tháng
6 năm 2024 của Bộ trưởng Bộ Tài nguyên và Môi trường)
HÀ NỘI - 2024
MỤC LỤC
LỜI NÓI ĐẦU
QUY CHUẨN KỸ THUẬT QUỐC GIA
VỀ ĐO ĐẠC TRỌNG LỰC CHI TIẾT PHỤC VỤ CÔNG TÁC
ĐO ĐẠC VÀ BẢN ĐỒ - PHẦN ĐO MẶT ĐẤT
I. QUY ĐỊNH CHUNG
1. Phạm vi điều chỉnh
2. Đối tượng áp dụng
3. Giải thích từ ngữ
II. QUY ĐỊNH VỀ KỸ THUẬT
1. Lưới điểm tựa trọng lực
2. Đo đạc trọng lực chi tiết
3. Quy trình kiểm định và hiệu chuẩn phương tiện đo trọng lực tương đối
III. QUY ĐỊNH VỀ QUẢN LÝ
1. Phương thức đánh giá sự phù hợp
2. Quy định về công bố hợp quy
3. Phương pháp thử
IV. TỔ CHỨC THỰC HIỆN
Phụ lục A
Quy cách mốc điểm tựa trọng lực
Phụ lục B
Quy cách dấu mốc điểm tựa trọng lực
Phụ lục C
Quy cách ghi chú điểm tựa trọng lực
Phụ lục D
Bìa sổ đo điểm tựa trọng lực
Phụ lục E
Sổ đo điểm tựa trọng lực
Phụ lục F
Bảng tính hiệu gia tốc trọng trường giữa các điểm tựa trọng lực
Phụ lục G
Bảng tính sai số khép lưới điểm tựa trọng lực theo đa giác khép kín hoặc dạng tuyến giữa hai điểm khởi đo
Phụ lục H
Kết quả bình sai hiệu gia tốc trọng trường lưới điểm tựa trọng lực
Phụ lục I
Bảng tính giá trị gia tốc trọng trường sau bình sai của các điểm trong lưới điểm tựa trọng lực
Phụ lục K
Bìa sổ đo điểm trọng lực chi tiết
Phụ lục L
Sổ đo điểm trọng lực chi tiết
Phụ lục M
Bảng tính giá trị gia tốc trọng trường của các điểm trọng lực chi tiết
Phụ lục N
Quy trình kiểm tra phương tiện đo trọng lực tương đối
LỜI NÓI ĐẦU
QCVN 79:2024/BTNMT do Cục Đo đạc, Bản đồ và Thông tin địa lý Việt Nam và Viện Khoa học Đo đạc và Bản đồ biên soạn, Vụ Khoa học và Công nghệ trình duyệt; Bộ Khoa học và Công nghệ thẩm định, Bộ trưởng Bộ Tài nguyên và Môi trường ban hành theo Thông tư số /2024/TT-BTNMT ngày tháng năm 2024.
QUY CHUẨN KỸ THUẬT QUỐC GIA VỀ ĐO ĐẠC TRỌNG LỰC CHI TIẾT PHỤC VỤ CÔNG TÁC ĐO ĐẠC VÀ BẢN ĐỒ - PHẦN ĐO MẶT ĐẤT
National technical regulation on the detailed gravitational measurements for surveying and mapping - Ground measurements
I. QUY ĐỊNH CHUNG
1. Phạm vi điều chỉnh
Quy chuẩn kỹ thuật quốc gia này quy định về xây dựng lưới điểm tựa trọng lực, đo đạc trọng lực chi tiết phần đo mặt đất bằng phương tiện đo trọng lực tương đối phục vụ xây dựng mô hình Geoid, hiện đại hóa mạng lưới độ cao quốc gia Việt Nam và các công tác đo đạc và bản đồ cơ bản.
2. Đối tượng áp dụng
Quy chuẩn kỹ thuật quốc gia này áp dụng đối với các cơ quan nhà nước, tổ chức, cá nhân có liên quan đến xây dựng lưới điểm tựa trọng lực và đo đạc trọng lực chi tiết phần đo mặt đất.
3. Giải thích từ ngữ
3.1. Giá trị gia tốc trọng trường của các điểm trọng lực sử dụng đơn vị đo bao gồm Gal, mGal (miliGal), µGal (microGal) và m/s2 có các quan hệ như sau:
1 Gal = cm/s2 = 10-2 m/s2
1 mGal = 10-3 Gal
1 μGal = 10-3 mGal= 10-6 Gal
3.2. Dịch chuyển điểm “0” của phương tiện đo trọng lực tương đối là sự thay đổi số đọc của phương tiện đo trọng lực tại một vị trí đặt phương tiện đo theo thời gian do sự biến dạng của hệ thống đàn hồi trong phương tiện đo trọng lực không tỷ lệ thuận với giá trị gia tốc trọng trường.
3.3. Chuyến đo trọng lực là tập hợp các kết quả đo liên tục trên một số điểm liên kết với nhau có cùng một đặc trưng chung là độ dịch chuyển điểm "0" của phương tiện đo trọng lực tương đối.
3.4. Điểm tựa trọng lực được phát triển từ các điểm trọng lực quốc gia; là điểm khởi đo, khởi tính cho đo đạc trọng lực chi tiết trên mặt đất.
3.5. Lưới điểm tựa trọng lực là hệ thống gồm nhiều điểm tựa trọng lực dùng để liên kết và quy số liệu đo đạc trọng lực chi tiết về cùng một mức. Lưới điểm tựa trọng lực được xây dựng cho các khu đo khác nhau. Lưới điểm tựa trọng lực có thể bao gồm nhiều đa giác khép kín hoặc các tuyến giữa hai điểm khởi đo.
3.6. Hằng số “C” của phương tiện đo trọng lực tương đối là tỷ lệ vạch chia số đo trên phương tiện đo với giá trị gia tốc lực trọng trường.
3.7. GNSS (Global Navigation Satellite System) là hệ thống dẫn đường bằng vệ tinh toàn cầu.
3.8. Đo đạc trọng lực chi tiết phục vụ công tác đo đạc và bản đồ là việc xác định giá trị gia tốc trọng trường và dị thường trọng lực tại các điểm đo trọng lực trên mặt đất phục vụ xây dựng mô hình Geoid, hiện đại hóa mạng lưới độ cao quốc gia Việt Nam và các công tác đo đạc và bản đồ cơ bản.
3.9. Phần đo mặt đất là phạm vi công việc đo đạc trọng lực ở các khu vực đồng bằng, trung du, miền núi sử dụng các phương tiện đo trọng lực đặt trực tiếp trên mặt đất.
II. QUY ĐỊNH VỀ KỸ THUẬT
1. Lưới điểm tựa trọng lực
1.1. Lưới điểm tựa trọng lực được bố trí theo đồ hình là các đa giác khép kín hoặc theo tuyến độ cao quốc gia, đảm bảo khoảng cách giữa hai điểm tựa trọng lực liền kề trong khoảng từ 8 km đến 25 km.
1.2. Sai số trung phương xác định giá trị gia tốc trọng trường của điểm tựa trọng lực sau bình sai ≤ ±0,20 mGal.
1.3. Khảo sát, chọn điểm: Các điểm tựa trọng lực phải được xây dựng ở các vị trí dễ nhận biết, thuận lợi cho công tác đo trọng lực và đo tọa độ, độ cao. Vị trí xây dựng mốc điểm tựa trọng lực phải chọn nơi có nền đất vững chắc ổn định, có khả năng bảo quản trong quá trình thực hiện; tránh nơi dễ ngập nước, dễ bị sạt lở, gò và đống không ổn định, đê, bờ sông bồi lở, nền đất mượn (mới tôn nền); cách xa từ 50 m trở lên đối với các nguồn chấn động lớn như cạnh đường xe lửa, công trường xây dựng, nhà máy; đường dây cao thế, trạm điện cao thế (nơi có từ trường mạnh).
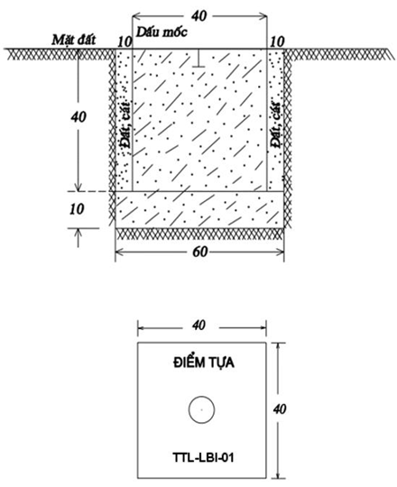
1.4. Xây dựng mốc điểm tựa trọng lực
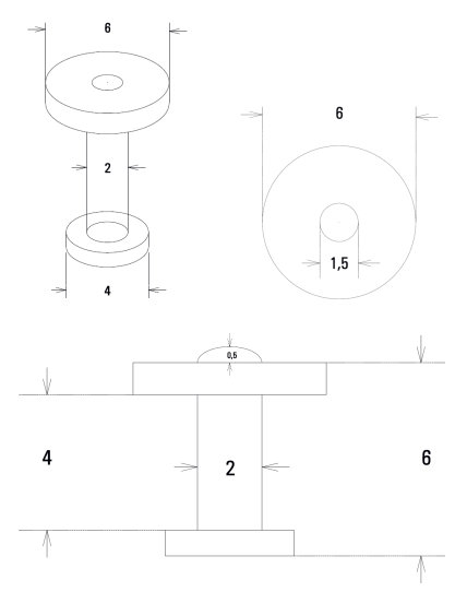
1.4.1. Mốc điểm tựa trọng lực được làm bằng bê tông mác M25 trở lên (được quy định tại TCVN 6025:1995). Mặt mốc có độ cao ngang mặt đất và có gắn dấu mốc bằng gang ở giữa. Quy cách mốc và dấu mốc điểm tựa trọng lực (được quy định tại Phụ lục A và Phụ lục B).
1.4.2. Số hiệu của điểm tựa trọng lực được ký hiệu như sau: “TTL - ký hiệu tên khu đo - số thứ tự điểm”, trong đó tên khu đo được quy định cụ thể trong thiết kế kỹ thuật của từng nhiệm vụ.
Ví dụ: TTL-LBi-01. Trong đó: “TTL” là điểm “Tựa trọng lực”; “LBi” là tên khu đo Lộc Bình; “01” là số thứ tự điểm tựa trọng lực.
1.5. Lập ghi chú điểm tựa trọng lực: Ghi chú điểm tựa trọng lực phải thể hiện đầy đủ các thông tin gồm: số hiệu điểm; trích phạm vi có điểm tựa trọng lực trên bản đồ địa hình tỷ lệ 1:50.000; tên mảnh bản đồ; kinh, vĩ độ và độ cao khái lược của mốc; sơ đồ mốc; chất liệu mốc; loại đất; chủ đất; nơi đặt mốc; đường tới điểm; sơ đồ vị trí điểm vẽ phóng; phương hướng và khoảng cách đến các vật kiên cố (vật chuẩn); người chọn điểm; người chôn mốc; người vẽ ghi chú điểm; ngày chọn điểm; ngày chôn mốc; người kiểm tra; đơn vị thi công, ngày kiểm tra và các ghi chú khác (được quy định tại Phụ lục C).
1.6. Xác định tọa độ, độ cao điểm tựa trọng lực
1.6.1. Các điểm tựa trọng lực được xác định tọa độ, độ cao trong hệ tọa độ, độ cao quốc gia.
1.6.2. Tọa độ điểm tựa trọng lực được xác định bằng phương pháp toàn đạc hoặc đo GNSS với độ chính xác ≤ 10,00 m.
1.6.3. Độ cao điểm tựa trọng lực được xác định theo các phương pháp: đo thủy chuẩn, đo cao lượng giác, đo GNSS. Độ chính xác xác định độ cao của điểm ≤ 0,50 m.
1.7. Phương tiện đo trọng lực tương đối sử dụng trong đo lưới điểm tựa trọng lực phải có độ chính xác ≤ 0,20 mGal.
1.8. Phương tiện đo lưới điểm tựa trọng lực phải được kiểm tra trước khi thực hiện nhiệm vụ ở thực địa. Việc kiểm tra phải thực hiện trước mỗi đợt đo hoặc sau 6 tháng trong thời gian thực hiện nhiệm vụ. Quy trình kiểm tra phương tiện đo trọng lực tương đối (được quy định tại Phụ lục N).
1.9. Đo giá trị gia tốc trọng trường của điểm tựa trọng lực
1.9.1. Giá trị gia tốc trọng trường của điểm tựa trọng lực được xác định theo phương pháp đo trọng lực tương đối. Đồ hình đo các điểm tựa trọng lực được xây dựng thành lưới khép kín hoặc khép giữa các mốc trọng lực quốc gia. Sơ đồ lưới đo (được quy định tại Phụ lục D).
1.9.2. Mỗi cạnh của lưới điểm tựa trọng lực được thực hiện theo quy trình đo giữa hai điểm A, B như sau: Tại mốc A đặt phương tiện đo trọng lực tương đối, cân bằng và tiến hành đọc số 3 lần nếu có giá trị bất thường thì tiến hành đo lại sau đó tính trị trung bình. Di chuyển phương tiện đo đến mốc B thao tác tương tự như tại mốc A. Sau đó quay lại mốc A để đo và kết thúc một chuyến đo. Dựa vào kết quả đo xác định được hiệu gia tốc trọng trường cạnh A - B.
1.9.3. Mỗi cạnh xác định ít nhất 3 giá trị hiệu gia tốc trọng trường và tính giá trị trung bình. Độ lệch giữa giá trị lớn nhất và nhỏ nhất ≤ 0,40 mGal.
1.9.4. Được phép sử dụng đồng thời nhiều phương tiện đo trọng lực tương đối có độ chính xác quy định trong 1.7 để rút ngắn thời gian đo đạc.
1.9.5. Trong một chuyến đo có thể thực hiện theo quy trình A - B - A như trên hoặc A - B - C - B - A, nhưng phải tiến hành liên tục, không gián đoạn và thời gian chuyến đo phải nằm trong khoảng dịch chuyển tuyến tính điểm “0” của phương tiện đo.
1.9.6. Mẫu sổ đo điểm tựa trọng lực (được quy định tại Phụ lục D và Phụ lục E) và tính toán các hiệu gia tốc trọng trường giữa các điểm tựa trọng lực (được quy định tại Phụ lục F).
1.9.7. Kiểm tra khái lược kết quả đo cạnh lưới điểm tựa trọng lực với yêu cầu quy định trong 1.9.3. Sai số khép cho phép của lưới đa giác các điểm tựa trọng lực phải đạt yêu cầu
. Trong đó S là số lượng cạnh được đo.
1.10. Tính toán, bình sai lưới điểm tựa trọng lực
1.10.1. Chuyển số đọc của phương tiện đo trọng lực tại điểm đo về đơn vị mGal theo công thức (1).
|
|
(1) |
Trong đó:
r là số đọc trên phương tiện đo trọng lực tại điểm đo;
C là hằng số của phương tiện đo trọng lực tương đối;
R là giá trị đo tính bằng mGal.
1.10.2. Tính hiệu gia tốc trọng trường giữa hai điểm đo A và B theo công thức (2).
|
|
(2) |
Trong đó:
là hiệu gia tốc trọng trường giữa hai điểm đo A và B;
RA1 là giá trị đo lúc bắt đầu tại điểm A;
RB là giá trị đo tại điểm B;
là số hiệu chỉnh do sự dịch chuyển điểm “0” của phương tiện đo trọng lực, được xác định theo công thức (3).
|
|
(3) |
Trong đó:
tA1 là thời điểm đo lúc bắt đầu tại điểm A, tính bằng giờ (h);
tA2 là thời điểm đo lúc kết thúc tại điểm A, tính bằng giờ (h);
RA1 là giá trị đo tại điểm A vào thời điểm tA1;
RA2 là giá trị đo tại điểm A vào thời điểm tA2;
tB là thời điểm đo tại điểm B, tính bằng giờ (h).
1.10.3. Bình sai lưới điểm tựa trọng lực theo đa giác khép kín hoặc dạng tuyến giữa hai điểm khởi đo, với S cạnh đo, được đo k lần. Việc bình sai được thực hiện theo các bước dưới đây.
1.10.3.1. Xác định trọng số Pj của hiệu gia tốc trọng trường cạnh j được xác định theo công thức (4).
|
|
(4) |
Trong đó:
Pj là trọng số của hiệu gia tốc trọng trường cạnh ;
là tổng độ lệch chuẩn của giá trị hiệu gia tốc trọng trường của các cạnh trong đa giác khép kín;
S là số cạnh trong đa giác khép kín;
là độ lệch chuẩn của giá trị hiệu gia tốc trọng trường cạnh j trong đa giác khép kín được tính theo công thức (5).
|
|
(5) |
Trong đó:
là hiệu gia tốc trọng trường của cạnh j đo lần thứ i;
k là số lần đo;
là hiệu gia tốc trọng trường trung bình của cạnh j, được tính theo công thức (6).
|
|
(6) |
Trong đó:
là hiệu gia tốc trọng trường của cạnh j đo lần thứ i;
k là số lần đo.
1.10.3.2. Sai số khép ω của đa giác khép kín hoặc dạng tuyến giữa hai điểm khởi đo A, B được xác định theo công thức (7).
|
|
(7) |
Trong đó:
là hiệu gia tốc trọng trường của cạnh j;
gA là giá trị gia tốc trọng trường tại điểm A;
gB là giá trị gia tốc trọng trường tại điểm B;
k là số lần đo.
1.10.3.3. Bình sai lưới điểm tựa trọng lực theo đa giác khép kín hoặc dạng tuyến giữa hai điểm khởi đo bằng phương pháp số bình phương nhỏ nhất.
Giá trị sau bình sai
của hiệu các giá trị gia tốc trọng trường trên cạnh j (j = 1, 2, …, S) của lưới đa giác khép kín hoặc dạng tuyến giữa hai điểm khởi đo được xác định theo công thức (8).
|
|
(8) |
Trong đó:
là giá trị sau bình sai của hiệu gia tốc trọng trường;
là giá trị trung bình của hiệu các giá trị gia tốc trọng trường trên một cạnh j;
vj là số cải chính của cạnh j được xác định theo công thức (9).
|
|
(9) |
Trong đó:
ω là sai số khép của đa giác khép kín hoặc dạng tuyến giữa hai điểm khởi đo;
Pj là trọng số của hiệu gia tốc trọng trường cạnh j.
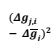
Giá trị gia tốc trọng trường sau bình sai của các điểm tựa trọng lực trong lưới được xác định bằng giá trị gia tốc trọng trường từ điểm khởi tính và giá trị bình sai của các hiệu giá trị gia tốc trọng trường.
1.10.3.4. Đánh giá độ chính xác của lưới điểm tựa trọng lực theo đa giác khép kín hoặc dạng tuyến giữa hai điểm khởi tính (được quy định tại Phụ lục G). Các bước tính toán được thực hiện như sau:
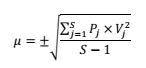
1.10.3.4.1. Sai số trung phương trọng số đơn vị được xác định theo công thức (10).
|
|
(10) |
Trong đó:
μ là sai số trung phương trọng số đơn vị;
Pj là trọng số của hiệu gia tốc trọng trường cạnh j;
Vj là số cải chính của cạnh j;
S là số cạnh đo.
1.10.3.4.2. Sai số trung phương giá trị gia tốc trọng trường của các điểm trong lưới được xác định theo công thức (11) và đảm bảo yêu cầu quy định trong Điểm 1.2.
|
|
(11) |
Trong đó:
là sai số trung phương giá trị gia tốc trọng trường của các điểm trong lưới;
μ là sai số trung phương trọng số đơn vị;
n là số lượng điểm tựa trọng lực trong lưới.
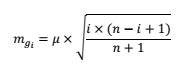
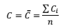
1.10.4. Đánh giá chất lượng các điểm tựa trọng lực toàn mạng lưới theo công thức (12).
|
|
(12) |
Trong đó:
Mg là sai số trung phương gia tốc trọng trường các điểm tựa trọng lực toàn mạng lưới;
mgi là sai số trung phương giá trị gia tốc trọng trường của điểm i;
n là số lượng điểm tựa trọng lực trong lưới.
1.10.5. Bảng tính toán bình sai lưới điểm tựa trọng lực, gia tốc trọng trường sau bình sai của các điểm trong lưới điểm tựa trọng lực (được quy định tại Phụ lục H và Phụ lục I).
2. Đo đạc trọng lực chi tiết
2.1. Thiết kế lưới điểm trọng lực chi tiết
2.1.1. Lưới điểm trọng lực chi tiết được phát triển dựa trên các điểm tựa trọng lực hoặc các điểm trong mạng lưới trọng lực quốc gia.
2.1.2. Lưới điểm trọng lực chi tiết được thiết kế phân bố đều trong các khu đo. Mật độ điểm phải đảm bảo trung bình 8 km2 có 01 điểm trọng lực chi tiết. Tùy theo sự phức tạp của địa hình khoảng cách giữa hai điểm trọng lực chi tiết liền kề nhau không vượt quá 3 km.
2.1.3. Đối với trường hợp đo đạc trọng lực chi tiết dọc theo tuyến độ cao quốc gia, quy định về khoảng cách cho phép giữa hai điểm trọng lực chi tiết kề nhau (được quy định tại Bảng 1).
Bảng 1 - Quy định về khoảng cách cho phép giữa hai điểm trọng lực chi tiết kề nhau đối với trường hợp đo đạc trọng lực chi tiết dọc theo tuyến độ cao quốc gia
|
Độ nghiêng tgβ của địa hình |
Khoảng cách giữa các điểm trọng lực (km) |
||
|
Lưới độ cao hạng I |
Lưới độ cao hạng II |
Lưới độ cao hạng III |
|
|
> 0,2 |
- |
1 |
2-3 |
|
0,2 - 0,1 |
- |
2-3 |
6 |
|
0,1 - 0,08 |
1 |
4 |
6 |
|
0,08 - 0,06 |
2 |
4 |
8 |
|
0,06 - 0,04 |
2 |
6 |
- |
Trong đó:
tgβ = h / D là độ nghiêng của địa hình;
D là độ dài tuyến độ cao quốc gia (km);
h là chênh cao địa hình (km).
2.2. Khảo sát, chọn điểm: Các điểm trọng lực chi tiết phải được bố trí ở các vị trí thuận lợi cho quá trình đo trọng lực, đo tọa độ, độ cao; tránh nơi dễ ngập nước, dễ bị sạt lở, gò, đống không ổn định, bờ sông bồi lở, nền đất mượn (mới tôn nền); cách xa các nguồn chấn động lớn như cạnh đường xe lửa, công trường xây dựng, nhà máy, đường dây và trạm điện cao thế (nơi có từ trường mạnh) từ 30 m trở lên.
2.3. Xây dựng mốc điểm trọng lực chi tiết:
2.3.1. Các điểm trọng lực chi tiết phải được đóng cọc gỗ (đường kính 2 cm, dài 30 cm) trên nền đất hoặc đóng đinh sắt khi thiết kế trên các nền đá, xi măng, nhựa đường và được đánh dấu bằng sơn màu đỏ vị trí đặt điểm.
2.3.2. Số hiệu của điểm trọng lực chi tiết được ký hiệu như sau: “CT - tên khu đo đạc trọng lực chi tiết - Số thứ tự điểm”, trong đó tên khu đo được quy định cụ thể trong thiết kế kỹ thuật của từng nhiệm vụ
Ví dụ: CT-LBi-01. Trong đó: “CT” là điểm “Chi tiết”; “LBi” tên khu đo Lộc Bình; “01” là số thứ tự điểm trọng lực chi tiết.
2.4. Độ chính xác xác định giá trị gia tốc trọng trường của điểm trọng lực chi tiết so với điểm khởi tính gần nhất ≤ 0,40 mGal đối với khu vực đồng bằng, trung du và ≤ 0,80 mGal đối với khu vực miền núi.
2.5. Độ chính xác xác định hiệu giá trị gia tốc trọng trường giữa hai điểm trọng lực chi tiết kề nhau trong tuyến đo ≤ 0,60 mGal đối với khu vực đồng bằng, trung du và ≤ 1,20 mGal đối với khu vực miền núi.
2.6. Độ chính xác xác định dị thường trọng lực tại các điểm chi tiết ≤ 0,60 mGal đối với khu vực đồng bằng, trung du và ≤ 1,20 mGal đối với khu vực miền núi.
2.7. Xác định tọa độ, độ cao của các điểm trọng lực chi tiết
2.7.1. Các điểm trọng lực chi tiết được xác định tọa độ, độ cao trong hệ tọa độ, độ cao quốc gia.
2.7.2. Tọa độ các điểm trọng lực chi tiết được xác định bằng phương pháp toàn đạc hoặc đo GNSS với độ chính xác ≤ 10,00 m.
2.7.3. Độ cao các điểm trọng lực chi tiết được xác định theo các phương pháp: đo thủy chuẩn, đo cao lượng giác, đo GNSS với độ chính xác ≤ 1,00 m.
2.8. Phương tiện đo trọng lực tương đối sử dụng trong đo lưới điểm trọng lực chi tiết phải có độ chính xác ≤ 0,40 mGal.
2.9. Phương tiện đo lưới điểm trọng lực chi tiết phải được kiểm tra, hiệu chỉnh trước khi thi công ở thực địa. Việc kiểm tra phải thực hiện trước mỗi đợt đo hoặc sau 6 tháng trong thời gian thực hiện nhiệm vụ (được quy định tại Phụ lục N).
2.10. Đo giá trị gia tốc trọng trường của điểm trọng lực chi tiết
2.10.1. Giá trị gia tốc trọng trường của điểm trọng lực chi tiết được xác định bằng phương pháp đo trọng lực tương đối. Tại mỗi điểm trọng lực chi tiết phải đọc số 3 lần.
2.10.2. Trình tự một chuyến đo được bắt đầu và khép về điểm tựa trọng lực hoặc điểm trọng lực quốc gia theo đồ hình D - CT-LBi-01 … CT-LBi-n - D hoặc D - CT-LBi-01 … CT-LBi-n - E. Trong đó D, E là các điểm tựa trọng lực hoặc điểm trọng lực quốc gia; CT1-LBi-01 … CT-LBi-n là các điểm trọng lực chi tiết. Mẫu sổ đo điểm trọng lực chi tiết (được quy định tại Phụ lục K và Phụ lục L).
2.10.3. Đánh giá chất lượng lưới điểm trọng lực chi tiết ở ngoại nghiệp
2.10.3.1. Khối lượng điểm đo đánh giá bằng 10% tổng số điểm đo chi tiết.
2.10.3.2. Các điểm phục vụ đánh giá phải phân bố đều trên khu đo đảm bảo tối thiểu mỗi chuyến đo đạc trọng lực chi tiết có 1 điểm.
2.10.3.3. Các điểm phục vụ đánh giá được đo lặp trên các chuyến đo đạc trọng lực chi tiết hoặc đo theo các chuyến đo độc lập.
2.10.3.4. Khi kết quả đo kiểm tra lần thứ nhất vượt quá 0,60 mGal, cần phải đo kiểm tra lần thứ hai để xác định chuyến đo nào sai để đo lại.
2.11. Tính toán hiệu giá trị gia tốc trọng trường giữa hai điểm trọng lực chi tiết như sau:
2.11.1. Chuyển số đọc của phương tiện đo trọng lực về đơn vị mGal (công thức (1) trong 1.10.1).
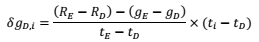
2.11.2. Giá trị hiệu gia tốc trọng trường giữa 2 điểm trọng lực chi tiết trên tuyến khép kín (được quy định tại công thức (2) và (3) trong 1.10.2). Trường hợp đo theo tuyến đo chi tiết D, 1, 2,..., n, E được xây dựng dựa trên hai điểm khởi tính D và E với các giá trị trọng lực gD và gE. Giá trị hiệu gia tốc trọng trường giữa điểm trọng lực chi tiết thứ i (i = 1, 2, … , n) trên tuyến đo và điểm khởi tính D được xác định theo công thức (13).
|
|
(13) |
Trong đó:
là hiệu gia tốc trọng trường giữa điểm D và điểm i;
Ri là giá trị đo tại điểm I;
RD là giá trị đo tại điểm D;
là số hiệu chỉnh do sự dịch chuyển điểm “0” của phương tiện đo trọng lực, được xác định theo công thức (14).
|
|
(14) |
Trong đó:
RD là giá trị đo tại điểm D vào thời điểm tD;
RE là giá trị đo tại điểm E vào thời điểm tE;
gD là giá trị trọng lực của điểm khởi tính D;
gE là giá trị trọng lực của điểm khởi tính E;
ti là thời điểm đo tại điểm i;
tD là thời điểm đo tại điểm D
tE là thời điểm đo tại điểm E.
2.12. Tổng hợp kết quả tính toán giá trị gia tốc trọng trường của điểm trọng lực chi tiết (được quy định tại Phụ lục M).
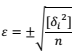
2.13. Đánh giá chất lượng lưới điểm trọng lực chi tiết bằng công thức độ lệch chuẩn, dựa vào kết quả tính độ lệch của giá trị các điểm đánh giá với giá trị của điểm trọng lực chi tiết (được quy định tại công thức (15)).
|
|
(15) |
Trong đó:
ε là độ lệch chuẩn của giá trị các điểm đánh giá với giá trị của điểm trọng lực chi tiết;
là độ sai lệch của kết quả đo kiểm tra lần thứ với giá trị của điểm trọng lực chi tiết;
n là tổng số điểm kiểm tra.
2.14. Nhiệm vụ xây dựng mô hình Geoid, hiện đại hóa mạng lưới độ cao quốc gia, các công tác đo đạc và bản đồ cơ bản được thông qua các giá trị gia tốc trọng trường tại điểm đo “g” và giá trị dị thường khoảng không tự do
theo công thức (16).
|
|
(16) |
Trong đó:
g là giá trị gia tốc trọng trường tại điểm đo trọng lực;
H là giá trị độ cao điểm đo trọng lực so với mặt nước biển;
là giá trị trọng lực chuẩn tính trên mặt ellipsoid WGS84 tương ứng tại điểm đo trọng lực, được tính theo công thức (17).
|
|
(17) |
φ là vĩ độ của điểm đo trọng lực.
3. Quy trình kiểm định và hiệu chuẩn phương tiện đo trọng lực tương đối
Phương tiện đo trọng lực tương đối phải được kiểm định, hiệu chuẩn theo quy định của pháp luật về đo lường.
III. QUY ĐỊNH VỀ QUẢN LÝ
1. Phương thức đánh giá sự phù hợp
Sử dụng Phương thức 1: Thử nghiệm mẫu điển hình để đánh giá sự phù hợp. Nội dung và trình tự thực hiện các hoạt động chính trong Phương thức 1 thực hiện theo mục I Phụ lục II ban hành kèm theo Thông tư số 28/2012/TT- BKHCN ngày 12 tháng 12 năm 2012 của Bộ trưởng Bộ Khoa học và Công nghệ quy định về công bố hợp chuẩn, công bố hợp quy và phương thức đánh giá sự phù hợp với tiêu chuẩn, quy chuẩn kỹ thuật.
2. Quy định về công bố hợp quy
2.1. Sản phẩm của xây dựng lưới điểm tựa trọng lực, đo đạc trọng lực chi tiết phần đo mặt đất phải được công bố hợp quy theo quy định. Việc công bố hợp quy dựa trên kết quả chứng nhận của tổ chức chứng nhận được chỉ định theo quy định của pháp luật. Kết quả thử nghiệm phục vụ chứng nhận hợp quy được thực hiện tại tổ chức thử nghiệm được chỉ định hoặc đã đăng ký. Ưu tiên sử dụng các phòng thử nghiệm đã được đăng ký và công nhận.
2.2. Việc công bố hợp quy thực hiện theo Thông tư số 28/2012/TT-BKHCN ngày 12 tháng 12 năm 2012 của Bộ trưởng Bộ Khoa học và Công nghệ quy định về công bố hợp chuẩn, công bố hợp quy và phương thức đánh giá sự phù hợp với tiêu chuẩn, quy chuẩn kỹ thuật; Thông tư số 02/2017/TT-BKHCN ngày 31 tháng 3 năm 2017 của Bộ trưởng Bộ Khoa học và Công nghệ sửa đổi, bổ sung một số điều của Thông tư số 28/2012/TT-BKHCN ngày ngày 12 tháng 12 năm 2012 của Bộ trưởng Bộ Khoa học và Công nghệ quy định về công bố hợp chuẩn, công bố hợp quy và phương thức đánh giá sự phù hợp với tiêu chuẩn, quy chuẩn và Thông tư số 06/2020/TT-BKHCN ngày 10 tháng 12 năm 2020 của Bộ trưởng Bộ Khoa học và Công nghệ quy định chi tiết và biện pháp thi hành một số điều Nghị định số 132/2008/NĐ-CP ngày 31 tháng 12 năm 2008, Nghị định số 74/2018/NĐ-CP ngày 15 tháng 5 năm 2018, Nghị định số 154/2018/NĐ-CP ngày 09 tháng 11 năm 2018 và Nghị định số 119/2017/NĐ-CP ngày 01 tháng 11 năm 2017 của Chính phủ.
3. Phương pháp thử
3.1. Sử dụng các phương pháp kiểm tra bằng cách so sánh, đánh giá kết quả với các chỉ tiêu kỹ thuật đã được quy định.
3.2. Kiểm tra các tài liệu thiết kế về mật độ, quy cách, chất liệu mốc điểm tựa trọng lực; mật độ điểm trọng lực chi tiết. Kiểm tra chất lượng số liệu đo và chất lượng dữ liệu sau tính toán bình sai.
3.3. Nếu kiểm tra các chỉ tiêu kỹ thuật tại Phần II không đáp ứng, kết luận không phù hợp với quy chuẩn.
IV. TỔ CHỨC THỰC HIỆN
1. Bộ, cơ quan ngang Bộ, cơ quan thuộc Chính phủ, Ủy ban nhân dân các tỉnh, thành phố trực thuộc trung ương và các tổ chức, cá nhân có liên quan chịu trách nhiệm thi hành Quy chuẩn kỹ thuật quốc gia này.
2. Cục trưởng Cục Đo đạc, Bản đồ và Thông tin địa lý Việt Nam có trách nhiệm tổ chức phổ biến, kiểm tra việc thực hiện Quy chuẩn kỹ thuật quốc gia này.
3. Trong quá trình thực hiện, nếu có vướng mắc, đề nghị các cơ quan, tổ chức, cá nhân phản ánh kịp thời về Bộ Tài nguyên và Môi trường để xem xét, quyết định./.
Phụ lục A
(Quy định)
Quy cách mốc điểm tựa trọng lực

Đơn vị đo: Cm
Chữ ghi trên mặt mốc là chữ in hoa với kích thước:
cao: 3 cm; rộng: 2 cm; sâu: 0,5 cm; lực nét: 0,3 cm
Phụ lục B
(Quy định)
Quy cách dấu mốc điểm tựa trọng lực

Đơn vị đo: Cm
Chất liệu làm dấu mốc: Gang
Phụ lục C
(Quy định)
Quy cách ghi chú điểm tựa trọng lực
GHI CHÚ ĐIỂM TỰA TRỌNG LỰC
Số hiệu điểm:
|
Bản đồ địa hình khu vực điểm
Tỷ lệ: 1/50.000 |
Tên mảnh bản đồ: |
|||||||
|
Kinh độ khái lược: |
||||||||
|
Vĩ độ khái lược: |
||||||||
|
Độ cao: |
||||||||
|
Sơ đồ mốc |
||||||||
|
Chất liệu mốc: |
Bê tông |
|||||||
|
Loại đất: |
|
|||||||
|
Chủ đất: |
|
|||||||
|
Nơi đặt mốc: |
Thôn: Xã: Huyện: Tỉnh: |
|||||||
|
Đường tới điểm: |
|
|||||||
|
Sơ đồ vị trí điểm vẽ phóng |
Phương hướng và khoảng cách đến các vật kiên cố (vật chuẩn) A: |
|||||||
|
|
||||||||
|
B: |
||||||||
|
|
||||||||
|
C: |
||||||||
|
|
||||||||
|
Người chọn điểm: |
|
Người chôn mốc: |
|
Người vẽ ghi chú điểm: |
|
|||
|
Ngày chọn điểm: |
|
Ngày chôn mốc: |
|
Người kiểm tra: |
|
|||
|
Đơn vị thi công: |
Ngày kiểm tra: |
|
||||||
|
Ghi chú khác: |
||||||||
Phụ lục D
(Quy định)
Bìa sổ đo điểm tựa trọng lực
|
BỘ TÀI NGUYÊN VÀ MÔI TRƯỜNG SỔ ĐO ĐIỂM TỰA TRỌNG LỰC Số sổ : ……….. Khu vực đo:…………………………………………………………… Đơn vị chủ đầu tư:..………………………………………………….. Đơn vị thi công:………………………………………………………. PHƯƠNG TIỆN ĐO Tên phương tiện đo: ………………………………………………… Số hiệu phương tiện:……………………………………………….. Nơi sản xuất: ………………………………………………………….. Hằng số “C”: .………...………………………………………………. Năm 202…… |
SƠ ĐỒ LƯỚI ĐO

1. Người kiểm tra của đơn vị sản xuất: ………………….…………………..
Ý kiến kiểm tra: …………………………………….…….……………………
……………………………………………….......…..…………………………
………………………………………………....……………………………….
…………………………………………………………….…………………….
Ngày … tháng … năm 20……
2. Người kiểm tra của đơn vị thi công: …………......………………………
Ý kiến kiểm tra: ....…………………...………………………………………..
……………………………………………….......…..…………………………
………………………………………………....……………………………….
…………………………………………………………….…………………….
Ngày … tháng … năm 20……
3. Người kiểm tra của đơn vị chủ đầu tư:……………………………………
Ý kiến kiểm tra:………………………………………………………………...
……………………………………………….......…..…………………………
………………………………………………....……………………………….
…………………………………………………………….…………………….
Ngày … tháng … năm 20……
Sổ cấp ngày…….. tháng …….. năm 20……
Đơn vị thi công
(Ký tên, đóng dấu)
Phụ lục E
(Quy định)
Sổ đo điểm tựa trọng lực
Tên công trình: ……………………………………………………………….
Ngày đo: ……………………………….. Chuyến đo: ………………………
Loại phương tiện đo: …………………. Người đo: …………………………
Số hiệu phương tiện đo: ……………… Người ghi: …………………….
Hằng số “C”:………………………………………………………………...
|
Số TT |
Tên điểm |
Nhiệt độ (t0C) |
Thời gian (h) |
Số đọc r |
Ghi chú |
|
|
Các số đọc |
Số đọc trung bình |
|||||
|
1 |
2 |
3 |
4 |
5 |
6 |
7 |
|
Đa giác khép kín hoặc tuyến giữa hai điểm khởi đo số: I |
||||||
|
|
|
|
|
2537 |
|
|
|
1 |
II-18 (XUÂN MAI) |
40 |
8,00 |
2539 |
2538 |
|
|
|
|
|
|
2538 |
|
|
|
|
|
|
|
|
|
|
|
|
|
|
|
2525 |
|
|
|
2 |
TTL- VBa-02 |
40 |
10,00 |
2527 |
2526 |
|
|
|
|
|
|
2526 |
|
|
|
|
|
|
|
|
|
|
|
|
|
|
|
2538 |
|
|
|
3 |
II-18 (XUÂN MAI) |
40 |
12,00 |
2539 |
2539 |
|
|
|
|
|
|
2540 |
|
|
|
Đa giác khép kín hoặc tuyến giữa hai điểm khởi đo số: II |
||||||
|
… |
||||||
Chú thích: Địa điểm nêu trong các ví dụ, minh họa trong Phụ lục chỉ mang tính chất tham khảo.
Phụ lục F
(Quy định)
Bảng tính hiệu gia tốc trọng trường giữa các điểm tựa trọng lực
Tên công trình: ……………………………………………………………….
Ngày đo: ……………………………….. Chuyến đo: ………………………
Loại phương tiện đo: …………………. Người đo: …………………………
Số hiệu phương tiện đo: ……………… Người ghi: …………………….
Hằng số “C”:………………………………………………………………...
|
Số TT |
Tên điểm |
Nhiệt độ (t0C) |
Thời gian (h) |
Số đọc trung bình C.r (mGal) |
Hiệu gia tốc trọng trường đo được (mGal) |
Số cải chính do dịch chuyển điểm 0 (mGal) |
Hiệu gia tốc trọng trường sau cải chính(m Gal) |
|
1 |
2 |
3 |
4 |
5 |
6 |
7 |
8 |
|
|
|
|
|
|
|
|
|
|
1 |
II-18 (XUÂN MAI) |
40 |
8,00 |
261,41 |
|
|
|
|
|
|
|
|
|
- 1,23 |
-0,06 |
-1,29 |
|
2 |
TTL-VBa-02 |
40 |
10,00 |
260,18 |
|
|
|
|
|
|
|
|
|
|
|
|
|
3 |
II-18 (XUÂN MAI) |
40 |
12,00 |
261,52 |
|
|
|
Chú thích: Địa điểm nêu trong các ví dụ, minh họa trong Phụ lục chỉ mang tính chất tham khảo.
Phụ lục G
(Quy định)
Bảng tính sai số khép lưới điểm tựa trọng lực theo đa giác khép kín hoặc
dạng tuyến giữa hai điểm khởi đo
Tên công trình:
Tên đa giác, tuyến đo (theo sổ đo điểm tựa trọng lực):
Ngày đo: Người đo:
Người tính toán:
|
STT |
Cạnh |
Các chuyến đo |
|
|
|
|
|
|
1 |
II-18 (XUÂN MAI) |
|
|
-1,3033 |
|
|
|
|
|
|
1 |
- 1,31 |
0,0067 |
0,009428 |
0,206508 |
|
|
|
|
2 |
- 1,30 |
- 0,0033 |
|||
|
|
|
3 |
- 1,30 |
- 0,0033 |
|||
|
|
TTL- VBa-02 |
|
|
|
|
|
|
|
2 |
TTL- VBa-02 |
|
|
9,5733 |
|
|
|
|
|
|
1 |
9,58 |
0,0067 |
0,004714 |
0,206508 |
|
|
|
|
2 |
9,56 |
-0,0133 |
|||
|
|
|
3 |
9,58 |
0,0067 |
|||
|
|
TTL- VBa-03 |
|
|
|
|
|
|
|
3 |
TTL- VBa-03 |
|
|
97,4533 |
|
|
|
|
|
|
1 |
97,46 |
0,0067 |
0,0067 |
0,293499 |
|
|
|
|
2 |
97,44 |
- 0,0067 |
|||
|
|
|
3 |
97,46 |
0,0067 |
|||
|
|
TTL- VBa-04 |
|
|
|
|
|
|
|
4 |
TTL- VBa-04 |
|
|
- 105,7133 |
|
|
|
|
|
|
1 |
- 105,72 |
- 0,0067 |
0,0067 |
0,293499 |
|
|
|
|
2 |
- 105,71 |
-0,0067 |
|||
|
|
|
3 |
- 105,71 |
-0,0067 |
|||
|
|
II-18 (XUÂN MAI) |
|
|
|
|
|
|
|
Sai số khép của lưới đa giác khép kín hoặc dạng tuyến giữa hai điểm khởi đo ω = 0,0132 |
= 0,0132 |
0,022828 |
|
||||
Sai số khép của lưới đa giác khép kín:

Chú thích: Địa điểm nêu trong các ví dụ, minh họa trong Phụ lục chỉ mang tính chất tham khảo.
Phụ lục H
(Quy định)
Kết quả bình sai hiệu gia tốc trọng trường lưới điểm tựa trọng lực
Tên công trình:
Loại lưới: Điểm tựa trọng lực
Ngày đo: Người đo:
Người tính toán:
|
STT |
Cạnh |
|
|
|
|
1 |
II-18 (XUÂN MAI) - TTL-VBa-02 |
-1,30333333 |
0,002726 |
-1,30061 |
|
2 |
TTL-VBa-02 - TTL-VBa-03 |
9,573333333 |
0,002726 |
9,576059 |
|
3 |
TTL-VBa-03 - TTL-VBa-04 |
97,45333333 |
0,003874 |
97,45721 |
|
4 |
TTL-VBa-04 - II-18 (XUÂN MAI) |
-105,7133333 |
0,003874 |
-105,709 |
Chú thích: Địa điểm nêu trong các ví dụ, minh họa trong Phụ lục chỉ mang tính chất tham khảo.
Phụ lục I
(Quy định)
Bảng tính giá trị gia tốc trọng trường sau bình sai của các điểm trong
lưới điểm tựa trọng lực
Tên công trình:
Loại lưới: Điểm tựa trọng lực
Ngày đo:
Người đo:
Người tính toán

Chú thích: Địa điểm nêu trong các ví dụ, minh họa trong Phụ lục chỉ mang tính chất tham khảo.
Phụ lục K
(Quy định)
Bìa sổ đo điểm trọng lực chi tiết
|
BỘ TÀI NGUYÊN VÀ MÔI TRƯỜNG SỔ ĐO ĐIỂM TRỌNG LỰC CHI TIẾT Số sổ : ……….. Khu vực đo:…………………………………………………………… Đơn vị chủ đầu tư:..………………………………………………….. Đơn vị thi công:………………………………………………………. PHƯƠNG TIỆN ĐO Tên phương tiện đo: ………………………………………………… Số hiệu phương tiện:……………………………………………….. Nơi chế tạo: ………………………………………………………….. Hằng số: ……………...………………………………………………. Năm 202…… |
SƠ ĐỒ LƯỚI ĐO

1. Người kiểm tra của đơn vị sản xuất: ………………….…………………..
Ý kiến kiểm tra: …………………………………….…….……………………
……………………………………………….......…..…………………………
………………………………………………....……………………………….
…………………………………………………………….…………………….
Ngày … tháng … năm 20……
2. Người kiểm tra của đơn vị thi công: …………......………………………
Ý kiến kiểm tra: ....…………………...………………………………………..
……………………………………………….......…..…………………………
………………………………………………....……………………………….
…………………………………………………………….…………………….
Ngày … tháng … năm 20……
3. Người kiểm tra của đơn vị chủ đầu tư:……………………………………
Ý kiến kiểm tra:………………………………………………………………...
……………………………………………….......…..…………………………
………………………………………………....……………………………….
…………………………………………………………….…………………….
Ngày … tháng … năm 20……
Sổ cấp ngày…….. tháng …….. năm 20……
Đơn vị thi công
(Ký tên, đóng dấu)
Phụ lục L
(Quy định)
Sổ đo điểm trọng lực chi tiết
Tên công trình: ……………………………………………………………….
Ngày đo: ……………………………….. Chuyến đo: ………………………
Loại phương tiện đo: …………………. Người đo: …………………………
Số hiệu phương tiện đo: ……………… Người ghi: ……………………….
Hằng số “C”: ……………………………………………………….……
|
Số TT |
Tên điểm |
Nhiệt độ (t0C) |
Thời gian (h) |
Số đọc r |
Ghi chú |
|
|
Các số đọc |
Số đọc trung bình |
|||||
|
1 |
2 |
3 |
4 |
5 |
6 |
7 |
|
|
|
|
|
2672,00 |
|
|
|
1 |
TTL-VBa-10 |
40 |
7,10 |
2673,00 |
2672,40 |
|
|
|
|
|
|
2672,20 |
|
|
|
|
|
|
|
|
|
|
|
|
|
|
|
2614,30 |
|
|
|
2 |
CT-CBĐK-03 |
40 |
7,25 |
2614,30 |
2614,20 |
|
|
|
|
|
|
2614,00 |
|
|
|
|
|
|
|
|
|
|
|
|
|
|
|
2672,00 |
|
|
|
3 |
CT-CBĐK-04 |
40 |
7,50 |
2671,40 |
2671,80 |
|
|
|
|
|
|
2672,00 |
|
|
|
|
|
|
|
|
|
|
|
|
|
|
|
2672,70 |
|
|
|
4 |
TTL-VBa-10 |
40 |
8,40 |
2673,00 |
2672,90 |
|
|
|
|
|
|
2673,00 |
|
|
Chú thích: Địa điểm nêu trong các ví dụ, minh họa trong Phụ lục chỉ mang tính chất tham khảo.
Phụ lục M
(Quy định)
Bảng tính giá trị gia tốc trọng trường của các điểm trọng lực chi tiết
Tên công trình: ……………………………………………………………….
Ngày đo: ……………………………….. Chuyến đo: ………………………
Loại phương tiện đo: …………………. Người đo: …………………………
Số hiệu phương tiện đo: ……………… Người ghi: ……………………….
Hằng số “C”: ……. …………………………………………………………...
|
Số TT |
Tên điểm |
Thời gian (h) |
Số đọc trung bình C.r (mGal) |
Hiệu gia tốc trọng trường đo được (mGal) |
Số cải chính do dịch chuyển điểm 0 (mGal) |
Hiệu gia tốc trọng trường sau cải chính (mGal) |
Giá trị gia tốc trọng trường của điểm chi tiết (mGal) |
|
1 |
2 |
3 |
4 |
5 |
6 |
7 |
8 |
|
|
|
|
|
|
|
|
|
|
1 |
TTL-VBa-10 |
7,10 |
275,26 |
|
|
|
978509,99 |
|
|
|
|
|
- 6,00 |
- 0,01 |
- 6,01 |
|
|
2 |
CT-CBĐK-3 |
7,25 |
269,26 |
|
|
|
978503,98 |
|
|
|
|
|
+ 5,94 |
- 0,01 |
+ 5,93 |
|
|
3 |
CT-CBĐK-4 |
7,50 |
275,20 |
|
|
|
978509,91 |
|
|
|
|
|
+ 0,11 |
- 0,03 |
+ 0,08 |
|
|
4 |
TTL-VBa-10 |
8,40 |
275,31 |
|
|
|
978509,99 |
Chú thích: Địa điểm nêu trong các ví dụ, minh họa trong Phụ lục chỉ mang tính chất tham khảo.
Phụ lục N
(Quy định)
Quy trình kiểm tra phương tiện đo trọng lực tương đối
N.1. Kiểm tra phương tiện đo trọng lực tương đối bao gồm: theo dõi dịch chuyển điểm "0" của phương tiện đo ở trạng thái tĩnh; theo dõi dịch chuyển điểm "0" của phương tiện đo ở trạng thái động; chuẩn phương tiện đo trên đường đáy trọng lực quốc gia.
N.2. Công việc kiểm tra bên ngoài phương tiện đo trọng lực tương đối được thực hiện bằng cách dùng mắt quan sát. Kiểm tra hiện trạng tổng thể bề ngoài của phương tiện đo trọng lực. Kiểm tra các nhiệt kế, giới hạn nhiệt độ đo của chúng và kiểm tra dây cáp nguồn.
N.3. Kiểm tra và hiệu chỉnh hoạt động các ốc cân bằng của phương tiện đo trọng lực bằng cách xoay các ốc, nếu quay thấy nặng và không đều cần tháo ra rửa bằng xăng, sau đó bôi mỡ và lắp lại.
N.4. Kiểm tra sự quay trơn của ốc đọc số cần đảm bảo tất cả các vạch chia của ốc đọc số phải nét, nhìn rõ. Khi quay ốc đọc số phải êm và nhẹ trên toàn bộ dải đọc. Việc kiểm tra được thực hiện bằng cách quay từ từ ốc đọc số từ 0 đến 15 vòng. Cần lưu ý độ êm khi quay ốc đọc số thuận chiều cũng như ngược chiều kim đồng hồ tại những vị trí chuyển tiếp giữa các vòng chẵn, sự phù hợp giữa vạch chia với vành đọc số.
N.5. Kiểm tra vị trí của thang chia vạch trong trường nhìn ống kính phải rõ nét và song song với vạch sáng di động chỉ thị ảnh con lắc. Việc kiểm tra được thực hiện trước khi thiết lập dải đo trọng lực. Độ nét các vạch của thang chia trên trường nhìn được điều chỉnh bằng cách xê dịch phần trên của ống kính. Hình ảnh chỉ thị con lắc bao gồm hai vạch tối, được phân chia bởi vạch sáng, độ rộng của nó không được vượt quá hai lần độ dày của vạch chia trên thang trường nhìn. Điều chỉnh nó bằng cách xê dịch ống kính theo chiều cao. Vạch không của thang chia trên trường nhìn được xác định ở giữa hai vị trí tận cùng của ảnh chỉ thị con lắc. Các vị trí này được xác định bởi các giới hạn chuyển động của con lắc. Vị trí vạch không của thang chia được điều chỉnh nhờ xoay phần lệch tâm của ống kính.
N.6. Kiểm tra và điều chỉnh đèn chiếu sáng trong trường nhìn của phương tiện đo trọng lực bằng cách xê dịch cụm bóng đèn lên xuống.
N.7. Kiểm tra và điều chỉnh các bọt nước của phương tiện đo trọng lực: Đầu tiên kiểm tra bọt nước dọc, được bố trí theo hướng của con lắc, sau đó kiểm tra bọt nước ngang, được bố trí theo hướng trục quay của con lắc. Điều chỉnh độ nghiêng phương tiện đo trọng lực được thực hiện nhờ các ốc cân bằng. Việc kiểm tra và điều chỉnh chính xác các bọt nước được thực hiện khi xác định hằng số phương tiện đo trọng lực bằng phương pháp nghiêng.
N.8. Độ dịch chuyển điểm “0” của phương tiện đo trọng lực được tính toán từ các số liệu đo tại các cạnh thuộc lưới điểm trọng lực quốc gia hoặc đường đáy trọng lực quốc gia và không được vượt quá 2 mGal/ngày - đêm (0,083 mGal/giờ) và được tính toán theo công thức (N.1).
|
|
(N.1) |
Trong đó:
là độ dịch chuyển điểm "0" của phương tiện đo trọng lực tại cùng một điểm trong khoảng thời gian ∆t, tính bằng mGal;
∆t là khoảng thời gian theo dõi, được tính bằng giờ (h);
∆r là độ lệch số đọc trong khoảng thời gian ∆t;
C là hằng số của phương tiện đo trọng lực tương đối.
N.9. Xác định giá trị vạch chia ốc đọc số (hằng số "C") của phương tiện đo trọng lực trên đường đáy trọng lực.
N.9.1. Theo dõi dịch chuyển điểm “0” của phương tiện đo ở trạng thái tĩnh (gọi tắt là “theo dõi tĩnh”) từ 3 - 5 ngày để khảo sát dịch chuyển điểm “0” và độ ổn định của phương tiện đo.
N.9.1.1. Đặt phương tiện đo tại một điểm trong phòng (tốt nhất là tại điểm gốc hoặc điểm có chất lượng tương đương).
N.9.1.2. Cứ 30 phút lấy số đọc và ghi vào sổ một lần bao gồm: số đọc r, thời gian (h).
N.9.1.3. Vẽ đồ thị biểu diễn đặc trưng dịch chuyển điểm “0” của phương tiện đo ở trạng thái tĩnh với trục đứng biểu diễn số đọc trung bình (C.r) và trục ngang biểu diễn thời gian quan sát h.
N.9.1.4. Dựa vào các kết quả theo dõi ta tính được biên độ dịch chuyển điểm “0” của phương tiện đo, ở trạng thái tĩnh, trong ngày đo.
N.9.2. Theo dõi dịch chuyển điểm “0” của phương tiện đo ở trạng thái động (gọi tắt là “theo dõi động”)
Để đánh giá đặc trưng dịch chuyển điểm “0” của phương tiện đo giống với điều kiện đo đạc ngoại nghiệp cần tiến hành theo dõi dịch chuyển điểm “0” ở trạng thái động. Phương pháp tiến hành như sau:
N.9.2.1. Chọn hai điểm cố định A và B, có hiệu trọng lực ít nhất bằng 10 lần sai số đo của phương tiện đo trọng lực và cách nhau một khoảng sao cho thời gian vận chuyển giữa 2 điểm dưới 1 giờ.
N.9.2.2. Phương tiện đo trọng lực được vận chuyển bằng ô tô và đo liên tục từ sáng đến tối (ít nhất từ 06 h - 18 h) tại 2 điểm, theo sơ đồ A - B - A - B - A.
N.9.2.3. Tại mỗi điểm đo lấy số liệu và ghi vào sổ gồm: số đọc r, thời gian h, nhiệt độ trong phương tiện đo t1 và nhiệt độ ngoài trời t2.
N.9.2.4. Vẽ đồ thị biểu diễn đặc trưng dịch chuyển điểm “0” của phương tiện đo ở trạng thái động tại mỗi điểm với trục đứng biểu diễn số đo RA (RB) và trục ngang biểu diễn thời gian quan sát (tương tự như trạng thái tĩnh). Từ đồ thị biểu diễn đặc trưng dịch chuyển điểm “0” của phương tiện đo ở trạng thái động, xác định khoảng thời gian cho các chuyến đo trong ngày mà theo đó dịch chuyển điểm “0” được coi là tuyến tính.
N.9.3. Chuẩn phương tiện đo trọng lực trên đường đáy trọng lực quốc gia
N.9.3.1. Lập chương trình đo trên các điểm của đường đáy trọng lực quốc gia sao cho mỗi khoảng của thang đo (khoảng đầu, khoảng giữa, khoảng cuối) có thể thực hiện được cùng một số lượng giá trị quan sát, trong đó phải xác định trước được hiệu trọng lực quan sát nhất thiết phải lớn hơn 60-70 mGal.
N.9.3.2. Đưa phương tiện đo trọng lực vào trạng thái làm việc ít nhất 24 giờ trước khi bắt đầu chuyến đo. Đo đạc tại mỗi điểm trên đường đáy trọng lực quốc gia, số liệu quan sát được ghi vào sổ theo mẫu quy định.
N.9.3.3. Tính toán số liệu các chuyến đo
Việc tính toán số liệu các chuyến đo bao gồm: tính toán và đưa vào hiệu chỉnh dịch chuyển điểm “0” của phương tiện đo trọng lực thông qua số đọc; tính hiệu số đọc cho mỗi cạnh chuẩn đã đo; tính giá trị vạch trên thang chia của ốc đọc số theo công thức (N.2).
|
|
(N.2) |
Trong đó:
Ci là giá trị một (01) vạch chia trên thang số đọc (tương ứng với một (01) vòng của ốc đọc số) ở vòng đo thứ i (i = 1,2,..., n), đại lượng n ít nhất bằng 50 và đại lượng Ci có đơn vị mGal/vòng;
∆gi là hiệu trọng lực của cạnh đáy tương ứng;
∆ri là hiệu số đọc ở vòng đo thứ i trên cạnh đáy tương ứng.
Hằng số “C” là giá trị trung bình của các giá trị Ci được xác định ở trên:
|
|
(N.3) |
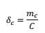
Độ chính xác xác định hằng số “C” được đánh giá bằng sai số tương đối theo công thức:
|
|
(N.4) |
Trong đó:
là sai số tương đối xác định hằng số “C”;
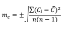
mc là sai số trung phương xác định hằng số “C” được tính theo công thức (N.5).
|
|
(N.5) |
Trong đó:
Ci là giá trị một (01) vạch chia trên thang số đọc ở vòng đo thứ I;
là giá trị trung bình của các giá trị Ci;
n là số vòng đo.
Với mục đích đảm bảo xác định tin cậy hằng số “C” cần phải đo để chọn được ít nhất 50 giá trị Ci.
Bạn chưa Đăng nhập thành viên.
Đây là tiện ích dành cho tài khoản thành viên. Vui lòng Đăng nhập để xem chi tiết. Nếu chưa có tài khoản, vui lòng Đăng ký tại đây!
Bạn chưa Đăng nhập thành viên.
Đây là tiện ích dành cho tài khoản thành viên. Vui lòng Đăng nhập để xem chi tiết. Nếu chưa có tài khoản, vui lòng Đăng ký tại đây!





























