- Tổng quan
- Nội dung
- VB gốc
- Tiếng Anh
- Hiệu lực
- VB liên quan
- Lược đồ
-
Nội dung hợp nhất
Tính năng này chỉ có tại LuatVietnam.vn. Nội dung hợp nhất tổng hợp lại tất cả các quy định còn hiệu lực của văn bản gốc và các văn bản sửa đổi, bổ sung, đính chính... trên một trang. Việc hợp nhất văn bản gốc và những văn bản, Thông tư, Nghị định hướng dẫn khác không làm thay đổi thứ tự điều khoản, nội dung.
Khách hàng chỉ cần xem Nội dung hợp nhất là có thể nắm bắt toàn bộ quy định hiện hành đang áp dụng, cho dù văn bản gốc đã qua nhiều lần chỉnh sửa, bổ sung.
- Tải về
Thông tư 06/2015/TT-BTNMT về điều tra, đánh giá địa chất môi trường khu vực có khoáng sản độc hại
| Cơ quan ban hành: | Bộ Tài nguyên và Môi trường |
Số công báo:
Số công báo là mã số ấn phẩm được đăng chính thức trên ấn phẩm thông tin của Nhà nước. Mã số này do Chính phủ thống nhất quản lý.
|
Đã biết
|
| Số hiệu: | 06/2015/TT-BTNMT | Ngày đăng công báo: |
Đã biết
|
| Loại văn bản: | Thông tư | Người ký: | Trần Hồng Hà |
|
Ngày ban hành:
Ngày ban hành là ngày, tháng, năm văn bản được thông qua hoặc ký ban hành.
|
25/02/2015 |
Ngày hết hiệu lực:
Ngày hết hiệu lực là ngày, tháng, năm văn bản chính thức không còn hiệu lực (áp dụng).
|
Đang cập nhật |
|
Áp dụng:
Ngày áp dụng là ngày, tháng, năm văn bản chính thức có hiệu lực (áp dụng).
|
Đã biết
|
Tình trạng hiệu lực:
Cho biết trạng thái hiệu lực của văn bản đang tra cứu: Chưa áp dụng, Còn hiệu lực, Hết hiệu lực, Hết hiệu lực 1 phần; Đã sửa đổi, Đính chính hay Không còn phù hợp,...
|
Đã biết
|
| Lĩnh vực: | Tài nguyên-Môi trường, Khoáng sản |
TÓM TẮT THÔNG TƯ 06/2015/TT-BTNMT
Nội dung tóm tắt đang được cập nhật, Quý khách vui lòng quay lại sau!
Tải Thông tư 06/2015/TT-BTNMT
|
BỘ TÀI NGUYÊN VÀ MÔI TRƯỜNG
------- Số: 06/2015/TT-BTNMT |
CỘNG HÒA XÃ HỘI CHỦ NGHĨA VIỆT NAM
Độc lập - Tự do - Hạnh phúc ------------------ Hà Nội, ngày 25 tháng 02 năm 2015 |
THÔNG TƯ
QUY ĐỊNH KỸ THUẬT CÔNG TÁC ĐIỀU TRA, ĐÁNH GIÁ ĐỊA CHẤT MÔI TRƯỜNG KHU VỰC CÓ KHOÁNG SẢN ĐỘC HẠI
Căn cứ Luật khoáng sản số 60/2010/QH12 ngày 17 tháng 11 năm 2010;
Căn cứ Luật Bảo vệ môi trường số 55/2014/QH13 ngày 23 tháng 06 năm 2014;
Căn cứ Nghị định số 15/2012/NĐ-CP ngày 09 tháng 3 năm 2012 của Chính phủ quy định chi tiết một số điều của Luật khoáng sản;
Căn cứ Nghị định số 21/2013/NĐ-CP ngày 04 tháng 3 năm 2013 của Chính phủ quy định chức năng, nhiệm vụ, quyền hạn và cơ cấu tổ chức của Bộ Tài nguyên và Môi trường;
Theo đề nghị của Tổng Cục trưởng Tổng cục Địa chất và Khoáng sản Việt Nam, Vụ trưởng Vụ Khoa học và Công nghệ và Vụ trưởng Vụ Pháp chế;
Bộ trưởng Bộ Tài nguyên và Môi trường ban hành Thông tư quy định kỹ thuật công tác điều tra, đánh giá địa chất môi trường khu vực có khoáng sản độc hại.
Chương I
QUY ĐỊNH CHUNG
Điều 1. Phạm vi điều chỉnh
Thông tư này quy định kỹ thuật công tác điều tra, đánh giá địa chất môi trường khu vực có khoáng sản độc hại.
Điều 2. Đối tượng áp dụng
Thông tư này áp dụng đối với cơ quan quản lý nhà nước về khoáng sản, bảo vệ môi trường; tổ chức điều tra, đánh giá địa chất môi trường; tổ chức, cá nhân khác có liên quan đến hoạt động điều tra, đánh giá địa chất môi trường, bảo vệ môi trường để giao nộp báo cáo, số liệu cho cơ quan quản lý nhà nước về môi trường ở trung ương và địa phương.
Điều 3. Giải thích từ ngữ
Trong Thông tư này, các từ ngữ dưới đây được hiểu như sau:
1. Điều tra, đánh giá địa chất môi trường khu vực có khoáng sản độc hại là điều tra, đánh giá các thành phần của môi trường địa chất ở khu vực có khoáng sản độc hại để xác định nguyên nhân, quy mô, mức độ ảnh hưởng của khoáng sản độc hại đến sức khỏe con người và đời sống sinh vật.
2. Môi trường địa chất của khoáng sản độc hại bao gồm môi trường đất, đá, nước, thực vật do khoáng sản độc hại gây ra mà thông số môi trường liên quan vượt quá giới hạn cho phép theo quy chuẩn kỹ thuật quốc gia hoặc tiêu chuẩn nước ngoài được phép áp dụng tại Việt Nam.
Điều 4. Phân nhóm khoáng sản độc hại
1. Khoáng sản độc hại nhóm I, bao gồm: khoáng sản phóng xạ và khoáng sản chứa các nguyên tố phóng xạ (urani, thori, khoáng sản khác có chứa các nguyên tố phóng xạ).
2. Khoáng sản độc hại nhóm II, bao gồm: thủy ngân, arsen, asbest và khoáng sản khác có thành phần đi kèm là thủy ngân, arsen, asbest.
Điều 5. Điều tra, đánh giá địa chất môi trường
1. Căn cứ kết quả điều tra cơ bản địa chất về khoáng sản, Tổng cục Địa chất và Khoáng sản Việt Nam xác định diện tích khu vực có khoáng sản độc hại để điều tra ở tỷ lệ bản đồ 1:25.000 nhằm làm rõ quy mô phân bố, mức độ ảnh hưởng của khoáng sản độc hại hoặc đánh giá chi tiết ở tỷ lệ bản đồ 1:5.000 nhằm đề xuất các giải pháp quản lý, bảo vệ môi trường.
2. Trên cơ sở kết quả điều tra ở tỷ lệ bản đồ 1:25.000, Tổng cục Địa chất và Khoáng sản Việt Nam xác định diện tích đánh giá chi tiết ở tỷ lệ bản đồ 1:5.000 nhằm đề xuất các giải pháp quản lý, bảo vệ môi trường.
3. Phương pháp, tỷ lệ, mạng lưới định hướng cho hoạt động điều tra, đánh giá địa chất môi trường ở khu vực có khoáng sản độc hại được quy định như sau:
|
Giai đoạn |
Phương pháp khảo sát |
Mạng lưới định hướng khảo sát |
|
I. Đối với khoáng sản độc hại nhóm I |
||
|
Điều tra 1:25.000 |
1. Lộ trình địa chất môi trường 2. Đo địa vật lý môi trường |
250x250(m) |
|
- Đo gamma môi trường |
250x20(m) |
|
|
- Đo khí phóng xạ môi trường |
250x50(m) |
|
|
- Đo phổ gamma môi trường |
250x50(m) |
|
|
3. Lấy, gia công phân tích các loại mẫu |
|
|
|
- Mẫu đất |
1mẫu/1km2 |
|
|
- Mẫu nước |
1mẫu/2km2 |
|
|
- Mẫu thực vật |
1mẫu/3km2 |
|
|
Đánh giá chi tiết |
1. Lộ trình địa chất môi trường |
50÷50(m) |
|
2. Đo địa vật lý môi trường |
|
|
|
- Đo gamma môi trường |
50x10(m) |
|
|
- Đo khí phóng xạ môi trường |
50x50(m) |
|
|
- Đo phổ gamma môi trường |
50x25(m) |
|
|
3. Lấy, gia công phân tích các loại mẫu |
|
|
|
- Mẫu đất |
5mẫu/1km2 |
|
|
- Mẫu nước |
5mẫu/1km2 |
|
|
- Mẫu thực vật |
2mẫu/1km2 |
|
|
II. Đối với khoáng sản độc hại nhóm II |
||
|
Điều tra 1:25000 |
1. Lộ trình địa chất môi trường |
250x250(m) |
|
2. Đo hơi thủy ngân (với khu vực có khoáng sản thủy ngân) |
250x20(m) |
|
|
3. Lấy, gia công phân tích các loại mẫu |
|
|
|
- Mẫu đất |
1mẫu/1km2 |
|
|
- Mẫu nước |
1mẫu/2km2 |
|
|
Đánh giá chi tiết |
1. Lộ trình địa chất môi trường |
50x50(m) |
|
2. Đo hơi thủy ngân (với khu vực có khoáng sản thủy ngân) |
50x10(m) |
|
|
3. Lấy, gia công phân tích các loại mẫu |
|
|
|
- Mẫu đất |
5mẫu/1km2 |
|
|
- Mẫu nước |
5mẫu/1km2 |
|
|
- Mẫu thực vật (để phân tích As) |
2mẫu/1km2 |
|
Chương II
QUY ĐỊNH KỸ THUẬT CÔNG TÁC ĐIỀU TRA, ĐÁNH GIÁ ĐỊA CHẤT MÔI TRƯỜNG KHU VỰC CÓ KHOÁNG SẢN ĐỘC HẠI
Mục I: LẬP ĐỀ ÁN ĐIỀU TRA, ĐÁNH GIÁ ĐỊA CHẤT MÔI TRƯỜNG
Điều 6. Căn cứ, yêu cầu lập đề án
1. Cơ sở pháp lý, tính cấp thiết.
2. Sản phẩm của đề án phải phù hợp với mục tiêu, nhiệm vụ đặt ra.
3. Dự toán kinh phí được lập theo định mức kinh tế - kỹ thuật.
4. Nhu cầu thông tin phục vụ quản lý nhà nước và phát triển kinh tế, xã hội gắn với công tác bảo vệ môi trường ở khu vực có khoáng sản độc hại.
5. Quy hoạch, kế hoạch được cấp có thẩm quyền phê duyệt.
Điều 7. Tài liệu, thông tin lập đề án
1. Tài liệu, thông tin được sử dụng để lập đề án điều tra, đánh giá địa chất môi trường bao gồm:
a) Tài liệu địa chất, khoáng sản (địa chất, khoáng sản, địa mạo, kiến tạo, địa hóa);
b) Tài liệu địa vật lý (số liệu đo địa vật lý liên quan);
c) Tài liệu khí tượng, địa chất thủy văn, địa chất công trình (mạng lưới sông suối, các điểm xuất lộ nước ngầm, mực nước ngầm, tính chất cơ lý của đất, đá trong khu vực, thành phần khoáng sản độc hại trong nước);
d) Tài liệu trắc địa (bản đồ địa hình và các điểm khống chế gần nhất);
đ) Tài liệu kinh tế - xã hội (các công trình văn hóa, dân sinh, các quy hoạch, định hướng phát triển kinh tế - xã hội);
e) Các tài liệu khác (các báo cáo địa chất môi trường trong và lân cận khu vực lập đề án).
2. Tài liệu thu thập phải bảo đảm các thông tin liên quan về sự có mặt của khoáng sản độc hại trong khu vực điều tra, đánh giá; các yếu tố tự nhiên, xã hội chịu ảnh hưởng bởi khoáng sản độc hại và quy mô phân bố.
Điều 8. Nội dung đề án
1. Nội dung đề án bao gồm:
a) Hiện trạng thông tin, dữ liệu liên quan và nêu rõ các vấn đề thực tiễn cần được giải quyết;
b) Xác định dạng tồn tại trong tự nhiên của khoáng sản độc hại; loại hình mỏ, điểm khoáng, tích tụ tự nhiên và quy mô của chúng; phương thức lan truyền, phát tán theo từng thành phần môi trường; khả năng gây độc, gây hại đối với con người, sinh vật; tác động tự nhiên và nhân tạo làm gia tăng khả năng lan truyền, phát tán của khoáng sản độc hại;
c) Xác định phạm vi điều tra, đánh giá; phương pháp, khối lượng và chất lượng các hạng mục công việc thực hiện;
d) Kế hoạch, kinh phí, tổ chức thực hiện; đơn vị chủ trì, đơn vị phối hợp;
đ) Kết quả xử lý các tài liệu điều tra cơ bản địa chất về khoáng sản, tài liệu về môi trường, tài liệu về điều kiện tự nhiên, kinh tế xã hội;
e) Dự kiến sản phẩm, kết quả, hiệu quả sử dụng, hiệu quả kinh tế - xã hội.
2. Nội dung chính của đề án thực hiện theo quy định tại Phụ lục 2 ban hành kèm theo Thông tư này.
3. Trình tự, thủ tục lập, thẩm định, trình phê duyệt đề án thực hiện theo quy định về lập, thẩm định đề án, dự án do Bộ Tài nguyên và Môi trường ban hành.
Mục II: THI CÔNG ĐỀ ÁN ĐIỀU TRA, ĐÁNH GIÁ ĐỊA CHẤT MÔI TRƯỜNG
Điều 9. Phương pháp kỹ thuật
Tùy thuộc vào loại khoáng sản độc hại, phương pháp kỹ thuật được sử dụng là tổ hợp các phương pháp sau:
1. Lộ trình địa chất môi trường.
2. Đo gamma môi trường.
3. Đo khí phóng xạ môi trường.
4. Đo phổ gamma môi trường.
5. Đo hơi thủy ngân.
6. Lấy mẫu môi trường (mẫu đất, mẫu đá, mẫu nước, mẫu thực vật).
7. Phân tích mẫu môi trường (mẫu đất, mẫu đá, mẫu nước, mẫu thực vật).
8. Công tác trắc địa.
Điều 10. Lộ trình địa chất môi trường
Công tác lộ trình địa chất môi trường gồm các nhiệm vụ sau:
1. Khảo sát thực địa để so sánh với kết quả điều tra địa chất, khoáng sản về thành phần thạch học, ranh giới địa chất, khoáng sản, cấu trúc, kiến tạo đã thu thập trước đó.
2. Chọn vị trí lấy mẫu.
3. Thu thập thông tin cần thiết về địa chất môi trường.
4. Mô tả chi tiết các đối tượng phát hiện mới, những sai khác so với tài liệu thiết kế.
5. Quá trình khảo sát địa chất phải sử dụng thiết bị định vị vệ tinh (máy GPS), máy ảnh để định vị, chụp ảnh các đối tượng địa chất môi trường.
6. Thông tin thu thập được phải thể hiện rõ trên các bản vẽ, nhật ký lộ trình.
7. Kết thúc mỗi hành trình phải có tổng kết, nêu sơ bộ diễn biến chính trong hành trình khảo sát vào sổ nhật ký theo mẫu quy định tại Phụ lục 1 ban hành kèm theo Thông tư này.
Điều 11. Phương pháp đo gamma môi trường, đo khí phóng xạ môi trường, đo phổ gamma môi trường, đo hơi thủy ngân
1. Phương pháp đo gamma môi trường thực hiện theo TCVN 9414:2012. Điều tra, đánh giá địa chất môi trường - Phương pháp gamma.
2. Phương pháp đo khí phóng xạ môi trường thực hiện theo TCVN 9416:2012. Điều tra, đánh giá địa chất môi trường - Phương pháp khí phóng xạ.
3. Phương pháp đo phổ gamma môi trường thực hiện theo TCVN 9419:2012. Điều tra, đánh giá và thăm dò khoáng sản - Phương pháp phổ gamma mặt đất.
4. Phương pháp đo hơi thủy ngân thực hiện theo quy trình công nghệ đo hơi thủy ngân được cơ quan quản lý nhà nước có thẩm quyền ban hành.
5. Kết quả đo phải được ghi vào sổ đo theo mẫu quy định tại Phụ lục 1 ban hành kèm theo Thông tư này.
Điều 12. Lấy mẫu đất môi trường
1. Dụng cụ, kỹ thuật lấy, bảo quản mẫu đất thực hiện theo quy định tại Thông tư số 33/2011/TT-BTNMT ngày 01 tháng 08 năm 2011 của Bộ trưởng Bộ Tài nguyên và Môi trường về việc quy định quy trình kỹ thuật quan trắc môi trường đất.
2. Phương pháp lấy mẫu:
a) Lấy lớp đất, đá trên bề mặt (lấy lớp đất, đá đại diện từ trung tâm vị trí có khoáng sản độc hại và lấy ra ngoài về 2 phía theo phương phát tán của khoáng sản);
b) Thiết lập mạng lưới ô vuông 50cm x 50cm trên diện tích 2m2 để lấy mẫu đất, đá tại các điểm giao nhau; tại mỗi điểm lấy sâu 10cm, đường kính 10cm sau khi loại bỏ lớp thực vật bề mặt. Trọng lượng mẫu phải lấy từ 5kg-7kg; ghi eterket mẫu và đưa vào hộp bảo quản.
Điều 13. Lấy mẫu nước môi trường
1. Phương pháp lấy, bảo quản mẫu nước mặt thực hiện theo quy định tại Thông tư số 29/2011/TT-BTNMT ngày 01 tháng 08 năm 2011 của Bộ trưởng Bộ Tài nguyên và Môi trường về việc quy định quy trình kỹ thuật quan trắc môi trường nước mặt lục địa.
2. Phương pháp lấy, bảo quản mẫu nước dưới đất thực hiện theo quy định tại Thông tư số 30/2011/TT-BTNMT ngày 01 tháng 08 năm 2011 của Bộ trưởng Bộ Tài nguyên và Môi trường quy định quy trình kỹ thuật quan trắc môi trường nước dưới đất.
3. Yêu cầu vị trí lấy, số lượng mẫu nước:
a) Mẫu nước đầu vào được lấy ở vị trí phía trên (phía thượng nguồn) của khu vực điều tra, đánh giá. Số lượng: 01 mẫu;
b) Mẫu nước đầu ra được lấy ở vị trí phía dưới (phía hạ nguồn) của khu vực điều tra, đánh giá. Số lượng: 01 mẫu;
c) Mẫu nước trong khu vực điều tra, đánh giá được lấy theo quy định tại Điều 5 của Thông tư này;
d) Mẫu nước để phân tích tổng hàm lượng các kim loại nặng. Số lượng: tối đa 02 mẫu.
4. Yêu cầu lấy mẫu nước để phân tích các tham số phóng xạ:
a) Tại mỗi vị trí lấy mẫu, dùng can nhựa và dụng cụ lấy mẫu chuyên dụng hút phần nước cách bề mặt tối thiểu 20cm;
b) Phương pháp lấy mẫu thực hiện theo TCVN 6663-1:2011 (ISO 5667-1:2006), Chất lượng nước - Lấy mẫu - Phần 1: Hướng dẫn lập chương trình lấy mẫu và kỹ thuật lấy mẫu.
Điều 14. Yêu cầu lấy mẫu thực vật
Việc lấy mẫu thực vật phải bảo đảm các yêu cầu sau đây:
1. Lấy loại thực vật đặc trưng hoặc các loại cây trồng (lương thực, thực phẩm, hoa, lá, củ, quả, hạt) sống trực tiếp trong khu vực điều tra.
2. Lấy tại thực địa thuộc khu vực điều tra.
3. Khối lượng mẫu tối đa 5,0kg.
4. Bảo quản mẫu: phơi hoặc sấy khô hoặc bảo quản lạnh. Không được để mẫu mốc, thối rữa trước khi hóa tro.
Điều 15. Chỉ tiêu phân tích mẫu
1. Chỉ tiêu phân tích mẫu khoáng sản độc hại nhóm I:
a) Chỉ tiêu phân tích mẫu đất, đá gồm: các đồng vị phóng xạ: U238; Th232, K40, Ra226, Cs137 trên hệ thiết bị phổ gamma phân giải cao;
b) Chỉ tiêu phân tích mẫu nước gồm: tổng hoạt độ phóng xạ alpha, beta. Trường hợp tổng hoạt độ phóng xạ alpha, beta trong nước vượt giới hạn cho phép, thì phân tích các đồng vị phóng xạ U238; Th232, K40, Ra226, Pb210;
c) Chỉ tiêu phân tích mẫu thực vật gồm: các đồng vị phóng xạ: U238; Th232, K40, Ra226.
2. Chỉ tiêu phân tích mẫu khoáng sản độc hại nhóm II:
a) Chỉ tiêu phân tích mẫu đất gồm: Hg, As;
b) Chỉ tiêu phân tích mẫu nước gồm: Hg, As;
c) Chỉ tiêu phân tích mẫu thực vật: As.
Điều 16. Công tác trắc địa
1. Công tác khảo sát thực địa, sử dụng bản đồ địa chất, khoáng sản được biên tập trên nền bản đồ địa hình có tỷ lệ lớn nhất.
2. Chuyển đổi các dữ liệu liên quan về một hệ tọa độ thống nhất là hệ tọa độ VN-2000.
3. Xác định tọa độ điểm khảo sát trên các tuyến trục, tuyến thường, các công trình xây dựng và các công trình khác bằng máy định vị vệ tinh (GPS).
4. Định tuyến đo địa vật lý, địa chất môi trường.
Điều 17. Kiểm soát chất lượng các phương pháp địa vật lý môi trường
1. Các thiết bị đo địa vật lý môi trường phải được kiểm tra, xác định độ nhạy, độ ổn định để đáp ứng các tiêu chuẩn kỹ thuật của nhà sản xuất và được kiểm chuẩn theo quy định trước khi thi công.
2. Tại mỗi điểm khảo sát phải xây dựng 01 điểm kiểm tra máy. Hàng ngày, trước và sau mỗi buổi hành trình phải đo kiểm tra các máy đo địa vật lý, nếu số liệu đo kiểm tra nằm trong giới hạn cho phép mới được thi công.
3. Chất lượng tài liệu thực địa được đánh giá thông qua việc đo kiểm tra lặp đối với mỗi phương pháp, khối lượng kiểm tra từ 7%-10% khối lượng được duyệt. Việc đo kiểm tra được bố trí theo hành trình độc lập trên cơ sở các hành trình đã đo trước đó.
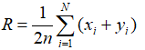
4. Chất lượng đo đạc của mỗi phương pháp được đánh giá thông qua việc tính sai số đo. Sai số của từng phương pháp được tính như sau:
a) Sai số tuyệt đối tính theo công thức:
(1)
Trong đó xi, yi - là giá trị (theo đơn vị đo riêng của từng phương pháp) của phép đo lần đầu và đo lặp lại tại điểm thứ i.
n - là tổng số điểm đo lặp.
b) Sai số tương đối được tính theo công thức sau:

Trong đó:
(2)
c) Sai số đo của từng phương pháp như sau: phương pháp gamma môi trường: d ≤ 10%; phương pháp khí phóng xạ môi trường: d ≤ 30%; phương pháp phổ gamma môi trường: U, Th, K ≤15%; phương pháp đo hơi thủy ngân: d ≤ 30%.
Điều 18. Công tác văn phòng thực địa
1. Kiểm tra, hoàn thiện, thống kê các tài liệu nguyên thủy đã thực hiện, rà soát, đối chiếu các tuyến, các vị trí khảo sát với các sơ đồ, bản đồ bố trí thi công.
2. Chỉnh lý, hoàn thiện hệ thống sổ sách, tài liệu thu thập từ thực địa, đánh giá chất lượng, số lượng các công trình khảo sát.
3. Xây dựng các bản đồ, mặt cắt tài liệu thực tế đối với từng phương pháp.
4. Tổng hợp, phân tích, đánh giá kết quả khảo sát và xây dựng các bản đồ kết quả.
5. Lập báo cáo kết quả.
Mục III: BÁO CÁO KẾT QUẢ THỰC HIỆN ĐỀ ÁN ĐIỀU TRA, ĐÁNH GIÁ ĐỊA CHẤT MÔI TRƯỜNG KHU VỰC CÓ KHOÁNG SẢN ĐỘC HẠI
Điều 19. Yêu cầu, nội dung báo cáo
1. Báo cáo phải phản ánh tổng quát các tài liệu thu thập ngoài thực địa, các phương pháp, khối lượng đã thực hiện, chất lượng tài liệu.
2. Nội dung báo cáo bao gồm:
a) Tổng quan về điều kiện địa lý, tự nhiên, kinh tế, xã hội và đặc điểm địa chất, khoáng sản tác động đến môi trường địa chất khu vực điều tra;
b) Các phương pháp, khối lượng, chất lượng và các dạng tài liệu thành lập;
c) Kết quả điều tra, đánh giá thành phần môi trường ở khu vực có khoáng sản độc hại;
d) Đề xuất các biện pháp quản lý, bảo vệ nhằm giảm thiểu tác động, ảnh hưởng của khoáng sản độc hại đến sức khỏe con người, đời sống sinh vật và các hoạt động liên quan đến phát triển kinh tế - xã hội;
đ) Tổ chức thực hiện và hiệu quả kinh tế, xã hội của đề án;
e) Các phụ lục, bản vẽ kèm theo báo cáo tổng kết gồm:
- Phụ lục kèm theo thuyết minh báo cáo gồm: tính sai số các phương pháp khảo sát địa vật lý; kết quả phân tích mẫu và tính sai số phân tích; ảnh chụp, bản vẽ công trình, vết lộ quặng, tài liệu chứng minh mức độ ảnh hưởng của khoáng sản độc hại đến môi trường sức khỏe con người và đời sống sinh vật;
- Các bản vẽ gồm: sơ đồ tài liệu thực tế địa chất môi trường của vùng khảo sát; sơ đồ, tài liệu thực tế của các phương pháp đo địa vật lý môi trường; mặt cắt thay đổi các thành phần môi trường theo không gian; bản đồ hiện trạng thành phần môi trường; bản đồ tổng hợp, phân vùng môi trường các loại; các bản vẽ khác.
Quy cách bản vẽ được thực hiện theo quy định tại Thông tư số 12/2013/TT-BTNMT ngày 05 tháng 06 năm 2013 của Bộ trưởng Bộ Tài nguyên và Môi trường quy định về việc giao nộp, thu nhận, lưu trữ, bảo quản và cung cấp dữ liệu về địa chất và khoáng sản.
g) Ngoài báo cáo được lập trên giấy, báo cáo và các tài liệu kèm theo phải được số hóa 01 bộ (tài liệu nguyên thủy phải được quét dưới dạng ảnh hoặc số hóa).
Điều 20. Nộp lưu trữ và bàn giao kết quả điều tra
1. Sau khi được cấp có thẩm quyền nghiệm thu, phê duyệt, báo cáo kết quả điều tra, đánh giá địa chất môi trường khu vực có khoáng sản độc hại và các tài liệu nguyên thủy kèm theo phải nộp vào lưu trữ theo quy định của pháp luật.
2. Các tài liệu khác của đề án phải được đơn vị chủ trì thực hiện đề án quản lý và lưu trữ theo quy định hiện hành.
3. Kết quả điều tra, đánh giá phải được bàn giao cho Ủy ban nhân dân tỉnh, thành phố trực thuộc Trung ương nơi có khoáng sản độc hại để quản lý theo quy định của pháp luật.
Chương III
ĐIỀU KHOẢN THI HÀNH
Điều 21. Hiệu lực thi hành
Thông tư này có hiệu lực thi hành kể từ ngày 15 tháng 4 năm 2015.
Điều 22. Tổ chức thực hiện
1. Tổng cục trưởng Tổng cục Địa chất và Khoáng sản Việt Nam , Thủ trưởng các đơn vị trực thuộc Bộ Tài nguyên và Môi trường, Giám đốc Sở Tài nguyên và Môi trường các tỉnh, thành phố trực thuộc Trung ương và tổ chức, cá nhân có liên quan chịu trách nhiệm thi hành Thông tư này.
2. Trong quá trình thực hiện, nếu phát sinh vướng mắc, đề nghị các tổ chức, cá nhân kịp thời phản ánh về Bộ Tài nguyên và Môi trường để nghiên cứu sửa đổi, bổ sung./.
| Nơi nhận: - Văn phòng Chính phủ; - Các Bộ, cơ quan ngang Bộ; - Kiểm toán Nhà nước; - UBND các tỉnh, thành phố trực thuộc Trung ương; - Cục kiểm tra văn bản QPPL - Bộ Tư Pháp; - Bộ trưởng, các Thứ trưởng; - Sở TN&MT các tỉnh, thành phố trực thuộc Trung ương; - Công báo; Cổng thông tin điện tử Chính phủ; - Các đơn vị trực thuộc Bộ TN&MT; - Cổng TTĐT Bộ TN&MT; - Lưu: VT, PC, KHCN, TCĐC&KS. |
KT. BỘ TRƯỞNG
THỨ TRƯỞNG Trần Hồng Hà |
Phụ lục 1 được thay thế bởi Phụ lục 1 ban hành kèm theo Thông tư số 30/2024/TT-BTNMT theo quy định tại khoản 11 Điều 1.
PHỤ LỤC 1
CÁC MẪU SỔ THỰC ĐỊA
I. MẪU SỔ NHẬT KÝ ĐỊA CHẤT MÔI TRƯỜNG
1. Mẫu bìa ngoài:
|
BỘ TÀI NGUYÊN VÀ MÔI TRƯỜNG
Đề án: “……”
SỔ NHẬT KÝ ĐỊA CHẤT MÔI TRƯỜNG Quyển số: …………… Vùng:…………………………………………… Điểm quan sát: Từ…………… Đến……………
Năm…………
|
2. Mẫu trang 1:
|
BỘ TÀI NGUYÊN VÀ MÔI TRƯỜNG
Đề án: “……”
SỔ NHẬT KÝ ĐỊA CHẤT MÔI TRƯỜNG Quyển số: …………… Vùng:…………………………………………… Điểm quan sát: Từ………….. Đến………….. Người sử dụng:……………………………….. Ai nhặt được sổ này xin gửi đến địa chỉ:………, ĐT:……… Năm…………
|
II. MẪU SỔ ĐO HƠI THỦY NGÂN
1. Mẫu trang bìa
|
BỘ TÀI NGUYÊN VÀ MÔI TRƯỜNG
Đề án: “……”
SỔ GHI KẾT QUẢ ĐO HƠI THỦY NGÂN Quyển số: ……………
Năm…………
|
2. Mẫu trang 1:
|
BỘ TÀI NGUYÊN VÀ MÔI TRƯỜNG
Đề án: “……”
SỔ GHI KẾT QUẢ ĐO HƠI THỦY NGÂN Quyển số: …………… Khu vực công tác:…………………………… Ngày bắt đầu:………Ngày kết thúc:……… Loại máy:………………………………………
Ai nhặt được sổ này xin gửi đến địa chỉ:………, ĐT:………
Năm…………
|
3. Mẫu các trang nội dung:
|
Kiểm định ngày: |
Máy: ... Số |
Ngày: …… |
|
Vùng: …… |
Hệ số chuẩn máy: …. |
Thời tiết: …… |
|
Tuyến: …… |
Bắt đầu lúc: …… |
Người lấy mẫu: …… |
|
Bước đo: …… |
Kết thúc lúc: …… |
Người phân tích: …… |
|
TT |
Điểm lấy mẫu |
Số ống mẫu |
Giá trị |
Ghi chú |
||||
|
A |
Nồng độ Hg |
Lưu lượng |
Thời gian |
Độ sâu |
Đặc điểm địa chất, địa mạo và các ghi chú khác |
|||
|
1 |
2 |
3 |
4 |
5 |
6 |
7 |
8 |
9 |
|
|
|
|
|
|
|
|
|
|
|
|
|
|
|
|
|
|
|
|
|
|
|
|
|
|
|
|
|
|
|
|
|
|
|
|
|
|
|
|
|
|
|
|
|
|
|
|
|
|
|
|
|
|
|
|
|
|
|
|
|
|
|
|
|
|
|
|
|
|
|
|
|
|
|
|
|
|
|
|
|
|
|
|
|
|
|
|
|
|
III. MẪU SỔ ĐO GAMMA MÔI TRƯỜNG
1. Mẫu trang bìa
|
BỘ TÀI NGUYÊN VÀ MÔI TRƯỜNG
Đề án: “……”
SỔ GHI KẾT QUẢ ĐO GAMMA MÔI TRƯỜNG Quyển số: ……………
Năm…………
|
|
BỘ TÀI NGUYÊN VÀ MÔI TRƯỜNG
Đề án: “……”
SỔ GHI KẾT QUẢ ĐO GAMMA MÔI TRƯỜNG Quyển số: …………… Khu vực công tác:…………………………… Ngày bắt đầu:………Ngày kết thúc:……… Chủ nhiệm:.……………………………………
Ai nhặt được sổ này xin gửi đến địa chỉ:………, ĐT:………
Năm…………
|
3. Mẫu các trang sau
Khu vực khảo sát:..........................................................................................................
Tên lộ trình:…………………………….Ngày đo:..................................................................
Người đo: ……………………………… Người kiểm tra:.......................................................
Loại máy:………………………………Số máy:....................................................................
Thời tiết: .........................................................................................................................
Đo kiểm tra máy:............................................................................................................
|
|
Sáng |
Chiều |
||||||
|
Lần 1 |
Lần 2 |
Lần 3 |
TB |
Lần 1 |
Lần 2 |
Lần 3 |
TB |
|
|
Số đọc |
|
|
|
|
|
|
|
|
|
STT |
SH điểm quan sát |
Vị trí (m) |
Vị trí đo |
Số đọc |
Giá trị suất liều (mSv/h) |
Ghi chú |
|||
|
Lần 1 |
Lần 2 |
Lần 3 |
TB |
||||||
|
|
|
|
0m |
|
|
|
|
|
|
|
1m |
|
|
|
|
|
|
|||
|
|
|
|
0m |
|
|
|
|
|
|
|
1m |
|
|
|
|
|
|
|||
|
|
|
|
0m |
|
|
|
|
|
|
|
1m |
|
|
|
|
|
|
|||
IV. MẪU SỔ ĐO KHÍ PHÓNG XẠ MÔI TRƯỜNG
1. Mẫu trang bìa
|
BỘ TÀI NGUYÊN VÀ MÔI TRƯỜNG
Đề án: “……”
SỔ GHI KẾT QUẢ ĐO KHÍ PHÓNG XẠ MÔI TRƯỜNG Quyển số: ……………
Năm…………
|
2. Mẫu trang 1
|
BỘ TÀI NGUYÊN VÀ MÔI TRƯỜNG
Đề án: “……”
SỔ GHI KẾT QUẢ ĐO KHÍ PHÓNG XẠ MÔI TRƯỜNG Quyển số: ………… Khu vực công tác:……………………………….. Ngày bắt đầu:………… Ngày kết thúc:………… Chủ nhiệm: ………………………………………..
Ai nhặt được sổ này xin gửi đến địa chỉ:…………, ĐT:………… Năm…………
|
3. Mẫu các trang nội dung
|
Vùng khảo sát: |
Ngày tháng năm 2009 |
|
|
Lộ trình: |
Người đo: |
|
|
Máy đo: |
Số máy: |
Người kiểm tra: |
|
Đặc điểm thời tiết: |
|
|
Đo kiểm tra máy (thời gian đo 20p):
|
Thời gian đo Lượng đo |
Sáng |
Chiều |
||||
|
Lần 1 |
Lần 2 |
TB |
Lần 1 |
Lần 2 |
TB |
|
|
Rn |
|
|
|
|
|
|
|
Tn |
|
|
|
|
|
|
|
STT |
SH điểm quan sát |
Vị trí |
Tọa độ |
Thời gian đo |
Số đếm (xung) |
Nồng độ khí phóng xạ |
Ghi chú |
||
|
X |
Y |
Rn |
Tn |
||||||
|
|
|
|
|
|
|
|
|
|
|
|
|
|
|
|
|
|
|
|
|
|
|
|
|
|
|
|
|
|
|
|
|
|
|
|
|
|
|
|
|
|
|
|
|
|
|
|
|
|
|
|
|
|
|
|
|
|
|
|
|
|
|
|
|
|
|
|
|
|
|
|
|
|
|
|
|
|
|
|
|
|
|
|
|
|
|
|
|
|
|
|
|
|
|
|
|
|
|
|
|
|
|
|
|
|
|
|
|
|
V. MẪU SỔ ĐO PHỔ GAMMA MÔI TRƯỜNG
1. Mẫu trang bìa
|
BỘ TÀI NGUYÊN VÀ MÔI TRƯỜNG
Đề án: “……”
SỔ GHI KẾT QUẢ ĐO PHỔ GAMMA MÔI TRƯỜNG Quyển số: ……………
Năm
|
|
BỘ TÀI NGUYÊN VÀ MÔI TRƯỜNG
Đề án: “……”
SỔ GHI KẾT QUẢ ĐO PHỔ GAMMA MÔI TRƯỜNG Quyển số: …………… Khu vực công tác:……………………………………… Ngày bắt đầu:……………Ngày kết thúc:…………… Kỹ thuật trưởng:…………………………………………
Ai nhặt được sổ này xin gửi đến địa chỉ:………, ĐT:………
Năm…………
|
3. Mẫu các trang nội dung
Khu vực khảo sát: ........................................................................................................
Ngày đo: ......................................................................................................................
Người đo máy: .............................................................................................................
Người kiểm tra: ............................................................................................................
Loại máy: ………………………………………Số máy: .....................................................
Thời tiết: ......................................................................................................................
|
TT |
Tuyến đo |
Vị trí (m) |
Thời gian đo (giây) |
Số đọc (xung) |
Hàm lượng |
giá trị suất liều |
Ghi chú |
|||||
|
Tổng |
K |
U |
Th |
K |
U |
Th |
||||||
|
|
|
|
|
|
|
|
|
|
|
|
|
|
|
|
|
|
|
|
|
|
|
|||||
|
|
|
|
|
|
|
|
|
|||||
|
|
|
|
|
|
|
|
|
|||||
|
|
|
|
|
|
|
|
|
|
|
|
|
|
|
|
|
|
|
|
|
|
|
|||||
|
|
|
|
|
|
|
|
|
|||||
|
|
|
|
|
|
|
|
|
|||||
PHỤ LỤC 2
BỐ CỤC ĐỀ ÁN ĐIỀU TRA ĐỊA CHẤT MÔI TRƯỜNG KHOÁNG SẢN ĐỘC HẠI
A. GIỚI THIỆU CHUNG VỀ DỰ ÁN
1. Cơ sở pháp lý
2. Mục tiêu tổng quát và mục tiêu cụ thể của dự án
3. Phạm vi thực hiện dự án
4. Tóm tắt nội dung về các hoạt động chủ yếu của đề án
5. Thời gian thực hiện dự án
6. Tổng dự toán kinh phí thực hiện dự án
7. Nguồn vốn thực hiện dự án
8. Đơn vị chủ trì dự án, đơn vị phối hợp
B. NỘI DUNG DỰ ÁN
PHẦN I: CƠ SỞ KHOA HỌC CỦA DỰ ÁN
Chương I: Tổng quan về khoáng sản độc hại trong vùng nghiên cứu
I.1. Đặc điểm tự nhiên - kinh tế nhân văn
I.2. Đặc điểm địa chất khoáng sản
I.3. Lịch sử nghiên cứu địa chất
I.4. Lịch sử nghiên cứu địa chất môi trường khoáng sản độc hại
I.5. Các yếu tố ảnh hưởng đến khả năng phát tán khoáng sản độc hại
Chương II: Lựa chọn diện tích điều tra, đánh giá
II.1. Lựa chọn diện tích điều tra sơ bộ địa chất môi trường khoáng sản độc hại.
II.2. Lựa chọn diện tích đánh giá chi tiết địa chất môi trường khoáng sản độc hại
PHẦN II. HỆ PHƯƠNG PHÁP, KHỐI LƯỢNG, TỔ CHỨC THI CÔNG
Chương III. Hệ phương pháp điều tra, đánh giá địa chất môi trường khoáng sản độc hại
III.1. Cơ sở lựa chọn hệ phương pháp điều tra, đánh giá
III.2. Nội dung các phương pháp kỹ thuật điều tra, đánh giá
III.3. Công tác văn phòng thực địa và văn phòng bước
III.4. Phương pháp xử lý, tổng hợp tài liệu
III.5. Dự kiến sản phẩm của dự án
Chương IV: Thông báo và chuyển giao kết quả đánh giá địa chất môi trường khoáng sản độc hại cho địa phương
IV.1. Thông báo kết quả điều tra
IV.2. Tổ chức bàn giao kết quả điều tra cho địa phương
Chương V: Tổ chức thi công
V.1. Trình tự tiến hành
V.2. Nhân lực thi công
Chương VI: Dự toán kinh phí
VI.1. Cơ sở lập dự toán
VI.2. Phương pháp tính dự toán
VI.3. Dự toán kinh phí
PHẦN III. PHÂN TÍCH HIỆU QUẢ CỦA DỰ ÁN
1. Đánh giá hiệu quả về tài chính
Bạn chưa Đăng nhập thành viên.
Đây là tiện ích dành cho tài khoản thành viên. Vui lòng Đăng nhập để xem chi tiết. Nếu chưa có tài khoản, vui lòng Đăng ký tại đây!
Bạn chưa Đăng nhập thành viên.
Đây là tiện ích dành cho tài khoản thành viên. Vui lòng Đăng nhập để xem chi tiết. Nếu chưa có tài khoản, vui lòng Đăng ký tại đây!