- Tổng quan
- Nội dung
- Tiêu chuẩn liên quan
- Lược đồ
- Tải về
Tiêu chuẩn TCVN 8712:2021 Phát thải nguồn tĩnh - Xác định cacbon monoxit, cacbon dioxit và oxy trong khí ống khói
| Số hiệu: | TCVN 8712:2021 | Loại văn bản: | Tiêu chuẩn Việt Nam |
| Cơ quan ban hành: | Bộ Khoa học và Công nghệ | Lĩnh vực: | Tài nguyên-Môi trường |
| Trích yếu: | ISO 12039:2019 Phát thải nguồn tĩnh - Xác định cacbon monoxit, cacbon dioxit và oxy trong khí ống khói - Đặc tính tính năng của các hệ thống đo tự động | ||
|
Ngày ban hành:
Ngày ban hành là ngày, tháng, năm văn bản được thông qua hoặc ký ban hành.
|
29/12/2021 |
Hiệu lực:
|
Đã biết
|
| Người ký: | Đang cập nhật |
Tình trạng hiệu lực:
Cho biết trạng thái hiệu lực của văn bản đang tra cứu: Chưa áp dụng, Còn hiệu lực, Hết hiệu lực, Hết hiệu lực 1 phần; Đã sửa đổi, Đính chính hay Không còn phù hợp,...
|
Đã biết
|
TÓM TẮT TIÊU CHUẨN VIỆT NAM TCVN 8712:2021
TCVN 8712:2021 ISO 12039:2019 - Tiêu chuẩn về Đo đạc Khí Thải trong Các Hệ Thống Tĩnh
Tiêu chuẩn quốc gia TCVN 8712:2021 được ban hành nhằm hướng dẫn xác định nồng độ cacbon monoxit (CO), cacbon dioxit (CO2) và oxy (O2) trong khí ống khói từ các nguồn phát thải tĩnh. Tiêu chuẩn này thay thế cho TCVN 8712:2011, và hoàn toàn tương đương với ISO 12039:2019. Tiêu chuẩn đã được Ban Kỹ thuật TCVN/TC 146 về Chất lượng không khí biên soạn, Tổng cục Tiêu chuẩn Đo lường Chất lượng đề xuất, và được Bộ Khoa học và Công nghệ công bố.
TCVN 8712:2021 quy định rõ về các cấu trúc cơ bản và tính năng hoạt động của hệ thống đo tự động, cho phép việc nắm bắt nồng độ của các khí này một cách liên tục thông qua hệ thống đo phát thải lắp cố định. Các phương pháp đo được nêu trong tiêu chuẩn bao gồm: hấp thụ hồng ngoại cho CO và CO2, cùng với các công nghệ khác như đo phổ laser (TLS) và pin điện hóa cho O2.
Tiêu chuẩn sẽ hữu ích cho các cơ sở công nghiệp và doanh nghiệp có liên quan đến quy trình đốt, khi yêu cầu phải thực hiện các phép đo khí thải để đảm bảo tuân thủ quy định về ô nhiễm không khí. Nó cũng cung cấp những hướng dẫn về việc lắp đặt và vận hành hệ thống đo, giúp tối ưu hóa quy trình đốt và bảo vệ môi trường.
Một số tính năng nổi bật mà hệ thống đo tự động cần đáp ứng bao gồm:
- Thời gian đáp ứng tối đa là 200 giây cho mọi loại khí đo.
- Độ lệch chuẩn lặp lại ở 2% giới hạn trên của khoảng đo.
- Các phép đo cần đảm bảo rằng nồng độ khí phản ánh chính xác trong điều kiện tại chỗ.
Tiêu chuẩn này cũng thiết lập yêu cầu về đảm bảo chất lượng và kiểm soát chất lượng, nhấn mạnh tầm quan trọng của quy trình QA/QC để đảm bảo rằng các kết quả đo đạc là chính xác và đáng tin cậy.
Một trong những điểm quan trọng khác là việc lựa chọn vị trí lấy mẫu, cần đảm bảo rằng địa điểm đó sẽ cho ra được các kết quả đại diện nhất cho các điều kiện thực tế trong ống dẫn khí. Việc này không chỉ ảnh hưởng đến độ chính xác của nồng độ khí đo được mà còn liên quan đến việc kiểm soát và giảm thiểu ô nhiễm môi trường.
TCVN 8712:2021 có hiệu lực từ ngày công bố và là khung pháp lý cần thiết cho các cơ quan, tổ chức thực hiện các hoạt động ảnh hưởng đến phát thải khí thải từ các nguồn tĩnh. Tiêu chuẩn này đóng vai trò quan trọng trong hệ thống pháp lý về bảo vệ môi trường, đảm bảo rằng các doanh nghiệp, cơ sở sản xuất phát thải khí phải tuân thủ các yêu cầu kỹ thuật cụ thể trong quá trình hoạt động của họ.
Tải tiêu chuẩn Việt Nam TCVN 8712:2021
TIÊU CHUẨN QUỐC GIA
TCVN 8712:2021
ISO 12039:2019
PHÁT THẢI NGUỒN TĨNH - XÁC ĐỊNH CACBON MONOXIT, CACBON DIOXIT VÀ OXY TRONG KHÍ ỐNG KHÓI - ĐẶC TÍNH TÍNH NĂNG CỦA CÁC HỆ THỐNG ĐO TỰ ĐỘNG
Stationary source emissions - Determination of carbon monoxide, carbon dioxide and oxygen - Performance characteristics of automated measuring systems
Lời nói đầu
TCVN 8712:2021 thay thế cho TCVN 8712:2011.
TCVN 8712:2021 hoàn toàn tương đương với ISO 12039:2019.
TCVN 8712:2021 do Ban kỹ thuật tiêu chuẩn quốc gia TCVN/TC 146 Chất lượng không khí biên soạn, Tổng cục Tiêu chuẩn Đo lường Chất lượng đề nghị, Bộ Khoa học và Công nghệ công bố.
Lời giới thiệu
Cacbon dioxit, cacbon monoxit và oxy là những khí được phát hiện thấy trong khí xả của các quá trình đốt. Xác định nồng độ của các khí này là cần thiết để chứng minh sự tuân thủ với các quy định của địa phương và có thể hỗ trợ cho người vận hành máy trong sự tối ưu hóa quá trình đốt. Xác định O2 và CO2 cũng cần thiết để chuẩn hóa nồng độ đo được của bụi và các khi khác với các điều kiện đã xác định. Có một số cách để đo nồng độ của CO2, CO và O2 trong ống dẫn khí thải.
PHÁT THẢI NGUỒN TĨNH - XÁC ĐỊNH CACBON MONOXIT, CACBON DIOXIT VÀ OXY TRONG KHÍ ỐNG KHÓI - ĐẶC TÍNH TÍNH NĂNG CỦA CÁC HỆ THỐNG ĐO TỰ ĐỘNG
Stationary source emissions - Determination of carbon monoxide, carbon dioxide and oxygen - Performance characteristics of automated measuring systems
1 Phạm vi áp dụng
Tiêu chuẩn này quy định các cấu trúc cơ bản và tính năng hoạt động quan trọng nhất của hệ thống đo tự động cacbon monoxit (CO), cacbon dioxit (CO2) và oxy (O2) được dùng trong phát thải nguồn tĩnh. Tiêu chuẩn này mô tả các phương pháp và thiết bị đối với các phép đo nồng độ của các khí này. Phương pháp cho phép quan trắc liên tục với hệ thống đo phát thải CO, CO2 và O2 lắp đặt cố định. Tiêu chuẩn này đưa ra các hệ thống lấy mẫu trích hút và trực tiếp nối với một số máy phân tích và được vận hành ví dụ theo các nguyên lý dưới đây:
— Hấp thụ hồng ngoại (CO và CO2).
— Thuận từ (O2);
— Oxit zirconi (O2);
— Pin điện hóa (O2);
— Đo phổ laser được điều chỉnh (TLS) (CO, CO2 và O2).
Có thể sử dụng các phương pháp tương đương khác miễn là các phương pháp này thỏa mãn các yêu cầu tối thiểu nêu trong tiêu chuẩn này.
Hệ thống đo tự động (AMS) dựa trên các nguyên tắc ở trên đã được sử dụng thành công trong áp dụng này đối với khoảng đo được nêu ở Phụ lục G.
2 Tài liệu viện dẫn
Các tài liệu viện dẫn sau đây là cần thiết để áp dụng tiêu chuẩn này. Đối với các tài liệu viện dẫn ghi năm công bố thì áp dụng phiên bản được nêu. Đối với các tài liệu viện dẫn không ghi năm công bố thì áp dụng phiên bản mới nhất, bao gồm cả các sửa đổi, bổ sung (nếu có).
ISO 14956, Air quality - Evaluation of the suitability of a measurement procedure by comparison with a required measurement uncertainty. (Chất lượng không khí - Đánh giá sự phù hợp của một quy trình đo bằng cách so sánh độ không đảm bảo đo theo yêu cầu).
3 Thuật ngữ và định nghĩa
Trong tiêu chuẩn này sử dụng các thuật ngữ và định nghĩa sau:
3.1
Máy phân tích (analyser)
Bộ phận phân tích trong hệ thống lấy mẫu hút hoặc AMS tại chỗ (3.3).
3.2
Hệ thống do tự động (automated measuring system)
AMS
Hệ thống đo tương tác với khí ống khỏi trong điều kiện khảo sát, cho tín hiệu đầu ra tỷ lệ với đơn vị vật lý của đại lượng đo (3.8) trong vận hành không giám sát.
[TCVN 6751:2009 (ISO 9196:2006), 2.1.2 sửa đổi]
CHÚ THÍCH 1 Trong tiêu chuẩn này, AMS là một hệ thống có thể được gắn với một ống dẫn hoặc ống khói để đo liên tục hoặc gián đoạn nồng độ khối lượng của CO, CO2 và O2 đo qua ống dẫn.
3.3
AMS tại chỗ (in situ AMS)
Hệ thống không hút đo nồng độ trực tiếp trong ống dẫn hoặc ống khói.
CHÚ THÍCH 1 Trong các hệ thống tại chỗ đo ngang ống khói hoặc ống dẫn hoặc tại một điểm trong ống dẫn hoặc ống khói.
3.4
Các phép đo song song (paralled measurements)
Các phép đo được thực hiện trên cùng một đường ống trong cùng mặt phẳng lấy mẫu với cùng một khoảng thời gian với cùng AMS (3.2) và cùng phương pháp chuẩn (3.12) tại những điểm cách nhau một khoảng cách ngắn, cho ra các cặp giá trị đo được.
3.5
Sự nhiễu (interference)
Nhạy chéo (cross-sensitivity)
Ảnh hưởng tiêu cực hoặc tích cực của một đáp ứng của hệ thống đo, do một thành phần của mẫu không phải là đại lượng đo (3.8).
3.6
Tác nhân gây nhiễu (interfered)
Chất gây nhiễu (interfering substance)
Chất có trong khối lượng không khí được khảo sát, ngoài đại lượng đo, chất này làm ảnh hưởng đến đáp ứng của AMS (3.2).
3.7
Độ lệch (lack-of-fit)
Độ lệch hệ thống, trong phạm vi áp dụng, giữa kết quả đo thu được bằng áp dụng hàm hiệu chuẩn với đáp ứng quan sát được của hệ thống đo, đo chất chuẩn (3.11) và giá trị chấp nhận tương ứng của chất chuẩn (3.11).
CHÚ THÍCH 1: Độ lệch có thể là một hàm số của kết quả đo.
CHÚ THÍCH 2: Biểu thị “độ lệch” thường được thay thế bằng ngôn ngữ hàng ngày cho quan hệ “tuyến tính” hoặc “độ lệch tuyến tính”
[TCVN 6751:2009 (ISO 9169:2006), 2.2.9]
3.8
Đại lượng đo (measurand)
Đại lượng cụ thể được đo.
[TCVN 9595-3:2013 (ISO/IEC Guide 98-3:2008), B.2.9, sửa đổi - Xóa ví dụ và Chú thích]
3.9
Đặc tính tính năng (performance characteristic)
Một đại lượng được ấn định cho thiết bị để xác định đặc tính tính năng của nó.
CHÚ THÍCH Đặc tính tính năng có thể được mô tả bằng giá trị, dung sai hoặc khoảng.
3.10
Khoảng vận hành không được giám sát (period of unattended operation)
Khoảng thời gian cực đại trong đó các đặc tính tính năng (3.9) nằm trong phạm vi xác định trước mà không có sự can thiệp từ bên ngoài, ví dụ: nạp lại, điều chỉnh.
CHÚ THÍCH Khoảng vận hành không được giám sát thường được gọi là khoảng bảo dưỡng.
[TCVN 6751:2009 (ISO 9169:2006), 2.2.11]
3.11
Chất chuẩn tham chiếu (reference material)
RM
Chất hoặc hỗn hợp chất có nồng độ đã biết trong giới hạn quy định, hoặc một dụng cụ của đặc tính đã biết.
CHÚ THÍCH 1 Thường được dùng là khí hiệu chuẩn, ngăn chứa khí, lưới hoặc phin lọc
[ISO 14385-1:2014]
3.12
Phương pháp chuẩn tham chiếu (reference method)
Phương pháp đo được lấy làm chuẩn bằng qui ước, cho giá trị chuẩn được chấp nhận của đại lượng đo (3.8).
3.13
Thời gian vận chuyển trong hệ thống đo (transport time in the measuring system)
Khoảng thời gian để vận chuyển khí mẫu từ đầu vào của đầu lấy mẫu đến đầu vào của thiết bị đo.
3.14
Thời gian đáp ứng (response time)
Khoảng thời gian giữa thời điểm mà kích thích phải chịu một sự thay đổi đột ngột quy định và thời điểm mà đáp ứng đạt đến và nằm trong giới hạn đã định quanh giá trị ổn định cuối cùng được xác định như là tổng của thời gian trễ và thời gian tăng trong chế độ tăng, và tổng của thời gian trễ và thời gian giảm trong chế độ giảm.
[TCVN 6751:2009 (ISO 9169:2006, 2.2.4]
CHÚ THÍCH 1 Thời gian trễ, thời gian tăng và thời gian giảm được định nghĩa, trong TCVN 6751:2009 (ISO 9169:2006).
3.15
Khí chuẩn khoảng đo (span gas)
Khí hoặc hỗn hợp khí được dùng để điều chỉnh và kiểm tra điểm chuẩn khoảng đo trên đường cong đáp ứng của hệ thống đo.
CHÚ THÍCH Nồng độ này thường được chọn xung quanh 70 % đến 90 % của toàn khoảng đo.
3.16
Điểm chuẩn khoảng đo (span point)
Giá trị của đại lượng đầu ra (tín hiệu đo được) của hệ thống đo tự động (3.2) đối với mục đích hiệu chuẩn, điều chỉnh, v.v... đại diện cho một giá trị đo đúng được tạo ra bởi khí chuẩn.
3.17
Độ không đảm bảo tiêu chuẩn (standard uncertainty)
Độ không đảm bảo (3.18) của kết quả đo được thể hiện như là độ lệch chuẩn.
[TCVN 9595-3:2013 (ISO/IEC Guide 98-3:2008), 2.3.1]
3.18
Độ không đảm bảo (của phép đo) (uncertainty (of measurement))
Tham số, gắn với kết quả đo, đặc trưng cho sự phân tán của các giá trị có thể được quy cho đại lượng đo (3.8) một cách hợp lý.
[TCVN 9595-3:2013 (ISO/IEC Guide 98-3:2008), 2.2.3, sửa đổi - bỏ chú thích 1, chú thích 2, chú thích 3]
3.19
Xác nhận giá trị sử dụng của một hệ thống đo tự động (validation of an automated measuring system)
Quy trình để kiểm tra tương quan thống kê giữa giá trị của đại lượng đo (3.8) được chỉ định bởi hệ thống đo tự động (3.2) và giá trị tương ứng được cho bởi các phép đo song song (3.4) của phép đo được thực hiện đồng thời tại cùng điểm đo.
3.20
Khí “không” (zero gas)
Khí hoặc hỗn hợp khí được dùng để thiết lập điểm “không” (3.21) trên một đường cong hiệu chuẩn trong khoảng nồng độ đã chọn.
3.21
Điểm “không” (zero point)
Giá trị quy định của đại lượng đầu ra (tín hiệu đo được) của AMS (3.2) và không chứa chất cần đo và thể hiện đi qua điểm “không” của đường hiệu chuẩn. Trong trường hợp AMS (3.2) quan trắc 02, điểm “không” được đại diện làm giá trị đo thấp nhất.
4 Ký hiệu và chữ viết tắt
| ei | Độ lệch tại mức i |
| K | Hệ số phủ |
| N | Số lượng phép đo |
| Sr | Độ lệch chuẩn của độ lặp lại |
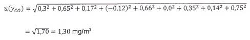
| u(γX) | Độ không đảm bảo tổng hợp của nồng độ khối lượng X(CO, CO2 hoặc O2) |
| U(γX) | Độ không đảm bảo mở rộng của nồng độ khối lượng X(CO, CO2 hoặc O2) |
| MX | Khối lượng phân tử X(CO, CO2 hoặc O2, g/mol) |
| VM | Khối lượng phân tử (22,4 L/mol tại điều kiện tiêu chuẩn) |
| φX | Theo thể tích X(CO, CO2 hoặc O2) |
| γX | Nồng độ khối lượng X(CO, CO2 hoặc O2) tính bằng mg/m3 |
| γS | Nồng độ khối lượng X(CO, CO2 hoặc O2) ở điều kiện tiêu chuẩn tính bằng mg/m3 (273,15 K; 101,325 kPa) |
| γR | Nồng độ khối lượng X(CO, CO2 hoặc O2) ở điều kiện quy chiếu tính bằng mg/m3 (273,15 K; 101,325 kPa; O2 và H2O đã hiệu chính) |
|
| Trung bình của giá trị đo được xi |
|
| Giá trị đo được thứ i |
|
| Trung bình giá trị đo được tại mức i |
|
| Giá trị ước tính bằng đường hồi quy tại mức i |
| AMS | Automated measuring system | Hệ thống đo tự động |
| FTIR | Fourier transform infrared | Hồng ngoại chuyển Fourier |
| GFC | Gas filter correlation | Lọc khí tương quan |
| NDIR | Non-dispersive intrared | Hồng ngoại không phân tán |
| QA | Quality asurance | Đảm bảo chất lượng |
| QC | Quality control | Kiểm soát chất lượng |
| TLS | Tuneable laser spectroscopy | Đo phổ laser có điều chỉnh |
5 Nguyên tắc
Tiêu chuẩn này mô tả hệ thống đo tự động để lấy mẫu, ổn định mẫu và xác định hàm lượng CO, CO2 hoặc O2 trong khí ống khói sử dụng các phương pháp thiết bị (các máy phân tích).
Có hai loại hệ thống lấy mẫu tự động:
- Hệ thống hút;
- Hệ thống tại chỗ.
Với hệ thống hút, mẫu khí đại diện được lấy từ ống khói với một đầu lấy mẫu và được chuyển sang máy phân tích thông qua đường ống lấy mẫu và hệ thống ổn định khí mẫu.
Hệ thống tại chỗ không yêu cầu bất kỳ quá trình xử lý mẫu. Đối với việc lắp đặt các hệ thống này, chọn vị trí đại diện trong ống khói.
Hệ thống được mô tả trong tiêu chuẩn này đo nồng độ CO, CO2 hoặc O2 sử dụng phương pháp thiết bị phải đáp ứng các quy định thực hiện tối thiểu được đưa ra.
Tiêu chuẩn này quy định đặc tính tính năng và tiêu chí đối với AMS.
6 Mô tả hệ thống đo tự động
6.1 Hệ thống lấy mẫu và hệ thống ổn định mẫu khí
Hệ thống lấy mẫu và ổn định mẫu khí dùng cho phương pháp hút và tại chỗ phải phù hợp với TCVN 6192 (ISO 10396).
Với hệ thống hút, các khí này được ổn định và loại bỏ sol khí, bụi và các chất gây nhiễu trước khi được vận chuyển tới thiết bị. Có ba loại hệ thống hút:
a) Lạnh-khô;
b) Nóng-ướt, và
c) Pha loãng,
Cũng như hệ thống không hút/đo trực tiếp, được mô tả ở TCVN 6192 (ISO 10396). Trong lấy mẫu không hút/đo trực tiếp, các phép đo được thực hiện tại chỗ do vậy, không yêu cầu ổn định mẫu, ngoài việc lọc các vật liệu có thể lọc tại đầu lấy mẫu.
Chi tiết của hệ thống lấy mẫu và ổn định mẫu khí cũng như thiết bị máy phân tích được đưa ra trong Phụ lục A, Phụ lục B và Phụ lục C, hai loại hệ thống tại chỗ được minh họa.
6.2 Thiết bị máy phân tích
Ví dụ phương pháp phân tích điển hình có sẵn được mô tả trong Phụ lục A, Phụ lục B và Phụ lục C.
AMS phải đáp ứng các đặc tính tính năng như được nêu tại Điều 7.
7 Đặc tính tính năng và tiêu chí
7.1 Tiêu chí tính năng
Bảng 1 đưa ra các đặc tính tính năng và tiêu chí tính năng của máy phân tích và hệ thống đo được đánh giá trong thử nghiệm đặc tính tính năng chung, bằng phương pháp QA/QC liên tục trong phòng thử nghiệm và vận hành ngoài hiện trường. Quy trình đối với thử nghiệm đặc tính tính năng được quy định trong Phụ lục E.
Bảng 1 - Đặc tính tính năng chính và tiêu chí của AMS đối với phép đo CO, CO2 hoặc O2
| Đặc tính tính năng | Tiêu chí tính năng | Quy trình thử | |
| CO, CO2 | O2 | ||
| Thời gian đáp ứng | ≤ 200 s | ≤ 200 s | E.2 |
| Độ lệch chuẩn lặp lại trong phòng thử nghiệm tại điểm “không” | ≤ 2 % giới hạn trên của khoảng đo thấp nhất được sử dụnga | ≤ 0,2 % nồng độ thể tíchb O2 | E.3.2 |
| Độ lệch chuẩn lặp lại trong phòng thử nghiệm tại điểm chuẩn khoảng đo | ≤ 2,0 % giới hạn trên của khoảng đo thấp nhất được sử dụng | ≤ 0,2 % nồng độ thể tích O2 | E.3.3 |
| Độ lệch (tuyến tính) | ≤ 2,0 % giới hạn trên của khoảng đo thấp nhất được sử dụng | ≤ 0,2 % nồng độ thể tích O2 | E.4 |
| Lệch điểm “không” trong 24h | ≤ 2,0 % giới hạn trên của khoảng đo thấp nhất được sử dụng | ≤ 0,2 % nồng độ thể tích O2 | E.8 |
| Lệch điểm chuẩn khoảng đo trong 24h | ≤ 2,0 % giới hạn trên của khoảng đo thấp nhất được sử dụng | ≤ 0,2 % nồng độ thể tích O2 | E.8 |
| Lệch điểm “không” trong khoảng vận hành không được giám sát | ≤ 3,0 % giới hạn trên của khoảng đo thấp nhất được sử dụng | ≤ 0,2 % nồng độ thể tích O2 | E.9 |
| Lệch điểm chuẩn khoảng đo trong khoảng vận hành không được giám sát | ≤ 3,0 % giới hạn trên của khoảng đo thấp nhất được sử dụng | ≤ 0,2 % nồng độ thể tích O2 | E.9 |
| Độ nhạy với áp suất khí mẫu, với áp suất thay đổi 2 kPa | ≤ 3,0 % giới hạn trên của khoảng đo thấp nhất được sử dụng | ≤ 0,2 % nồng độ thể tích O2 | E.11 |
| Độ nhạy với dòng khí mẫu đối với AMS hút | ≤ 2,0 % giới hạn trên của khoảng đo thấp nhất được sử dụng | ≤ 0,2 % nồng độ thể tích O2 | E.12 |
| Độ nhạy với nhiệt độ không khí xung quanh, với thay đổi 10 K trong khoảng nhiệt độ được quy định bởi nhà sản xuất | ≤ 3,0 % giới hạn trên của khoảng đo thấp nhất được sử dụng | ≤ 0,3 % nồng độ thể tích O2 | E.13 |
| Độ nhạy với điện áp, trong khoảng điện áp được quy định bởi nhà sản xuất | ≤ 2,0 % giới hạn trên của khoảng đo thấp nhất được sử dụng trên 10 Vc | ≤ 0,2 % nồng độ thể tích O2 | E.14 |
| Độ nhạy chéo | ≤ 4,0 % giới hạn trên của khoảng đo thấp nhất được sử dụng | ≤ 0,4 % nồng độ thể tích O2 | E.5 |
| Mất và rò rỉ trong đường lấy mẫu và hệ thống ổn định | ≤ 2,0 % giá trị đo được |
| E.6 đối với sự mất và E.7 đối với rò rỉ |
| Thực hiện chùm phép đo cắt ngang ống khỏi trong AMS hiện trường | ≤ 2,0 % giá trị đo được của khoảng đo thấp nhất được sử dụng |
| E.10 |
| a Giá trị phần trăm tính theo phần trăm giới hạn trên của khoảng đo thấp nhất được dùng. b Giá trị phần trăm tính theo nồng độ thể tích oxy (theo thể tích). | |||
Khoảng đo được xác định bằng hai giá trị của đại lượng đo, hoặc đại lượng được cung cấp, trong đó giới hạn của độ không đảm bảo của thiết bị đo được quy định, Giới hạn trên của khoảng đo thấp nhất được dùng cần được đặt phù hợp với ứng dụng, như giá trị đo nằm trong khoảng từ 20 % đến 80 % khoảng đo.
7.2 Xác định đặc tính tính năng
7.2.1 Thử nghiệm đặc tính tính năng
Đặc tính tính năng của AMS phải được xác định trong thử nghiệm tính năng chung và được nêu ở Phụ lục E. Giá trị của đặc tính tính năng đã xác định phải đáp ứng tiêu chí đặc tính tính năng được quy định trong Bảng 1.
Điều kiện xung quanh được áp dụng trong thử đặc tính tính năng chung phải được lập thành văn bản. Độ không đảm bảo phép đo của giá trị đo AMS phải được tính theo ISO 14956 dựa trên đặc tính tính năng đã xác định trong thử đặc tính tính năng chung và phải đáp ứng độ không đảm bảo phù hợp với mục đích sử dụng định trước. Các tính năng này có thể được xác định do nhà sản xuất hoặc người sử dụng.
7.2.2 Kiểm soát chất lượng liên tục
Người sử dụng phải kiểm tra đặc tính tính năng đặc trưng trong vận hành liên tục hệ thống đo định kỳ được quy định trong Bảng 2.
Độ không đảm bảo đo trong ứng dụng ngoài hiện trường phải được xác định bởi người sử dụng hệ thống đo theo các tiêu chuẩn quốc gia hoặc quốc tế có thể áp dụng. Đối với quan trắc quá trình (ứng dụng không quy định), độ không đảm bảo phải phù hợp với mục đích sử dụng định trước. Có thể xác định bằng cách tiếp cận trực tiếp hoặc gián tiếp đối với ước lượng độ không đảm bảo như được nêu ở ISO 20988. Độ không đảm bảo của các giá trị đo trong vận hành ngoài hiện trường không chỉ bị ảnh hưởng bởi đặc tính tính năng của máy phân tích mà còn bởi đóng góp độ không đảm bảo do
- Hệ thống đường lấy mẫu và ổn định,
- Các điều kiện cụ thể tại chỗ, và
- Các khí hiệu chuẩn được dùng.
8 Lựa chọn và quy trình lắp đặt
8.1 Lựa chọn hệ thống đo
Để lựa chọn một máy phân tích phù hợp, đường ống lấy mẫu và bộ ổn định, các đặc tính của khí ống khói cần được biết trước khi vận hành tại hiện trường:
- Khoảng nhiệt độ xung quanh;
- Nhiệt độ của khí ống khói;
- Hàm lượng hơi nước của khí ống khói;
- Tải bụi của khí ống khói;
- Khoảng nồng độ dự kiến của CO, CO2 và O2;
- Nồng độ dự đoán của các chất gây nhiễu tiềm ẩn.
Để tránh thời gian đáp ứng dài và hiệu ứng nhớ, đường ống lấy mẫu cần càng ngắn càng tốt, Nếu cần, cần sử dụng một bơm tắt. Nếu tải bụi lớn trong khí ống khói, phải sử dụng một phin lọc thích hợp đã gia nhiệt.
Trước khi quan trắc phát thải, người sử dụng phải xác nhận các quy trình QA/QC đã được thực hiện.
CHÚ THÍCH Thông tin về quy trình QA/QC được cung cấp trong ISO 14385-1 và ISO 14385-2.
8.2 Lấy mẫu
8.2.1 Vị trí lấy mẫu
Địa điểm lấy mẫu phải ở một vị trí có thể tiếp cận và có thể thực hiện phép đo đại diện. Ngoài ra, vị trí lấy mẫu phải được chọn an toàn phù hợp với nhân viên, khả năng tiếp cận và tính có sẵn của nguồn điện.
8.2.2 Lấy mẫu đại diện
Cần đảm bảo nồng độ khí đo được đại diện cho các điều kiện trung bình trong ống dẫn khí ống khói.
CHÚ THÍCH Lựa chọn các điểm lấy mẫu để lấy mẫu đại diện được mô tả, ví dụ trong ISO 10396, trong đó đề cập sự phân tầng khí, sự thăng giáng trong vận tốc khí và nhiệt độ và những điều kiện khác.
8.3 Tính toán
8.3.1 Chuyển đổi từ nồng độ thể tích sang nồng độ khối lượng đối với CO
Kết quả của phép đo CO phải được biểu thị theo nồng độ khối lượng tại các điều kiện tham chiếu.
Nếu nồng độ CO được cung cấp theo nồng độ thể tích, phải sử dụng Công thức (1) để chuyển đổi theo thể tích của CO (10-6), φCO, sang nồng độ khối lượng CO, γCO:
|
| (1) |
Trong đó
| γCO | là nồng độ khối lượng CO tính bằng mg/m3; |
| φCO | là theo thể tích của CO (theo thể tích, 10-6); |
| MCO | là khối lượng phân tử của CO (=28,010 g/mol); |
| VM | là thể tích phân tử (= 22,4 L/mol tại điều kiện tiêu chuẩn) |
8.3.2 Chuyển đổi từ điều kiện ướt sang điều kiện khô đối với nồng độ CO, CO2 và O2
Nồng độ CO được đo trong khí ướt phải được hiệu chính về nồng độ CO tại các điều kiện tiêu chuẩn, sử dụng Công thức (2):
|
| (2) |
Trong đó
| γCO | là nồng độ khối lượng CO đo được trong khí ướt (mg/m3); |
| γS | là nồng độ khối lượng CO tại điều kiện tiêu chuẩn tính bằng mg/m3 (273,15 K; 101,325 kPa); |
| T | là nhiệt độ (K); |
| p | là chênh lệch/sai khác giữa áp suất tĩnh của khí mẫu và áp suất tiêu chuẩn (kPa). |
Nếu cần, nồng độ CO đo được trong khí ướt cần được hiệu chính về nồng độ CO tại các điều kiện tham chiếu (khí khô), sử dụng Công thức (3):
|
| (3) |
Trong đó
| γCO | là nồng độ khối lượng CO đo được trong khí ướt (mg/m3); |
| γr | là nồng độ khối lượng co tại điều kiện tham chiếu tính bằng mg/m3 (273,15 K; 101,325 kPa; O2 và H2O hiệu chính); |
| T | là nhiệt độ (K); |
| p | là chênh lệch giữa áp suất tĩnh của khí mẫu và áp suất tiêu chuẩn (kPa). |
| h | là hàm lượng hơi nước tuyệt đối (theo thể tích) (%). |
Nồng độ CO2 hoặc O2 đo được trong khí ướt có thể được hiệu chính về nồng độ CO2 hoặc O2 tại điều kiện tham chiếu (khí khô), sử dụng Công thức (3) nhưng thay CO2 hoặc O2 đối với γCO
9 Quy trình đảm bảo chất lượng và kiểm soát chất lượng
9.1 Yêu cầu chung
Đảm bảo chất lượng và kiểm soát chất lượng (QA/QC) là quan trọng để đảm bảo độ không đảm bảo của các giá trị CO, CO2 và O2 đo được nằm trong giới hạn quy định đối với nhiệm vụ đo. Kết quả của quy trình QA/QC phải được lập thành tài liệu.
9.2 Tần suất kiểm tra
AMS phải được điều chỉnh và kiểm tra sau khi lắp đặt và sau quá trình vận hành liên tục. Bảng 2 trình bày quy trình thử tối thiểu được yêu cầu và tần suất kiểm tra. Người sử dụng phải thực hiện các quy trình liên quan đối với xác định đặc tính tính năng hoặc quy trình được mô tả trong điều này và Phụ lục E. Kết quả của quy trình QA/QC phải được lập thành tài liệu.
Người sử dụng phải thực hiện một quy trình đảm bảo rằng các chất chuẩn được sử dụng đáp ứng các yêu cầu nhất định được quy định trong Phụ lục E, ví dụ bằng cách so sánh với khí chuẩn có chất lượng cao hơn.
Bảng 2 - Kiểm tra tối thiểu và tần suất tối thiểu để kiểm tra QA/QC trong vận hành
| Kiểm tra | Tần suất tối thiểu đối với AMS lắp đặt cố định | Quy trình kiểm tra |
| Thời gian đáp ứng | Một năm một lần | E.2 |
| Độ lệch chuẩn lặp lại tại điểm “không” | Một năm một lần | E.3.2 |
| Độ lệch chuẩn lặp lại tại điểm chuẩn thang đo | Một năm một lần | E.3.3 |
| Độ lệch | Một năm một lần và sau bất kỳ thay đổi chính hoặc sau khi sửa chữa AMS mà ảnh hưởng đến kết quả đáng kể. | E.4 |
| Hệ thống lấy mẫu và kiểm tra rò rỉ | Một năm một lần hoặc sau bất kỳ thay đổi chính hoặc sau khi sửa chữa hệ thống lấy mẫu | E.7 |
| Căn chỉnh chùm tia (chỉ AMS tại chỗ) | Một năm một lần | Theo yêu cầu của nhà sản xuất |
| Suy giảm cường độ ánh sáng qua sự làm sạch và tải bụi (chỉ AMS tại chỗ) | Theo yêu cầu của nhà sản xuất | Theo yêu cầu của nhà sản xuất |
| Làm sạch hoặc thay thế phin lọc bụi tại lối vào lấy mẫu và tại lối vào monitor | Phin lọc bụi phải được thay thế định kỳ phụ thuộc vào tải bụi tại địa điểm lấy mẫu. Trong thời gian thay thế phin lọc, bộ lọc bụi phải được làm sạch | Theo yêu cầu của nhà sản xuất |
| Lệch điểm khônga | Một lần trong khoảng thời gian vận hành không định trước hoặc khoảng thời gian được quy định bởi tiêu chuẩn liên quan | E.8 |
| Lệch điểm chuẩn thang đoa | Một lần trong khoảng thời gian vận hành không định trước hoặc khoảng thời gian được quy định bởi tiêu chuẩn liên quan | E.8 |
| Bảo dưỡng thường xuyên máy phân tích | Theo yêu cầu của nhà sản xuất | Theo yêu cầu của nhà sản xuất |
| a Máy phân tích có thể được kiểm tra với ngăn khí bên trong hoặc phin lọc quang cho phép xác định này. | ||
9.3 Hiệu chuẩn, xác nhận và độ không đảm bảo đo
Hiệu chuẩn và xác nhận AMS phải được thực hiện ở những khoảng thời gian đều nhau và sau khi sửa chữa máy phân tích theo tiêu chuẩn quốc gia hoặc quốc tế thích hợp.
AMS lắp đặt cố định để quan trắc liên tục phải được hiệu chuẩn bằng cách so sánh với
a) phương pháp đo độc lập, hoặc
b) chất chuẩn đã được chứng nhận.
Trong trường hợp, xác nhận phải bao gồm xác định độ không đảm bảo của các giá trị đo thu được bằng AMS đã hiệu chuẩn. AMS phải được điều chỉnh và thử nghiệm chức năng theo 9.2 trước mỗi hiệu chuẩn và xác nhận. Điều này sẽ đảm bảo rằng độ không đảm bảo đo là đại diện cho ứng dụng tại nhà máy cụ thể.
Xác nhận phải bao gồm xác định độ không đảm bảo của các giá trị đo được bằng cách so sánh khí chuẩn hoặc chất chuẩn với AMS.
CHÚ THÍCH Xác định độ không đảm bảo của giá trị đo được bằng AMS lắp đặt cố định để quan trắc liên tục dựa trên việc so sánh với phương pháp đo độc lập được mô tả, ví dụ ISO 20988.
Độ không đảm bảo của giá trị đo phải đáp ứng tiêu chí độ không đảm bảo được quy định đối với mục đích phép đo.
10 Báo cáo thử nghiệm
Báo cáo thử nghiệm phải theo các quy định. Nếu không quy định, báo cáo thử nghiệm ít nhất phải bao gồm các thông tin sau:
a) Viện dẫn tiêu chuẩn này;
b) Mục tiêu đo;
c) Nguyên lý của lấy mẫu khí;
d) Thông tin về máy phân tích và mô tả đường ống lấy mẫu và ổn định mẫu;
e) Nhận dạng máy phân tích được sử dụng, đặc tính tính năng của máy phân tích được liệt kê ở Bảng 1;
f) Khoảng vận hành;
g) Nhiệt độ khí mẫu, áp suất khí mẫu và chiều dài đường quang đo qua một tế bào quang học (nếu cần chỉ cho phép đo tại chỗ);
h) Chi tiết chất lượng và nồng độ của các khí chuẩn khoáng đo được dùng;
i) Mô tả nhà máy và quy trình;
j) Nhận biết mặt phẳng lấy mẫu;
k) Các hoạt động tiến hành để lấy được mẫu đại diện;
l) Mô tả vị trí của các điểm lấy mẫu trong mặt phẳng lẩy mẫu;
m) Mô tả các điều kiện vận hành của quy trình nhà máy;
n) Những thay đổi trong vận hành nhà máy khi lấy mẫu;
o) Ngày, giờ và khoảng thời gian lấy mẫu;
p) Trung bình thời gian trên các khoảng phù hợp;
q) Giá trị đo được;
r) Độ không đảm bảo đo;
s) Tất cả các kết quả kiểm tra;
t) Mọi sai khác với tiêu chuẩn này.
Phụ lục A
(Tham khảo)
Phương pháp hấp thụ hồng ngoại (CO và CO2)
A.1 Nguyên tắc đo dựa trên kỹ thuật hấp thụ hồng ngoại
Phương pháp hấp thụ hồng ngoại không phân tán được dựa trên nguyên tắc mà các khí chứa các phân tử có nguyên tử khác nhau hấp thụ bức xạ hồng ngoại ở một bước sóng duy nhất. Kỹ thuật đo sử dụng nguyên tắc sau:
a) Phương pháp chùm song song
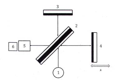
Bức xạ từ nguồn hồng ngoại IR được chia thành hai chùm song song, một chùm đi qua ngăn đo và chùm còn lại đi qua ngăn chuẩn có chứa khí IR chưa hoạt hóa, thường là nitơ. Nếu khí mẫu có chứa CO hoặc CO2, một số năng lượng IR được hấp thụ và chênh lệch trong năng lượng IR đạt tới detector tỷ lệ với lượng co hoặc CO2 có mặt. Detector được thiết kế sao cho chỉ nhạy với bước sóng đặc trưng của CO hoặc CO2.

CHÚ DẪN
| 1 | Nguồn IR | 6 | Detector |
| 2 | Motor chia | 7 | Thiết bị điện tử |
| 3 | Bánh xe chia | 8 | Hiển thị |
| 4 | Ngăn mẫu thử | a | Đầu vào của khí thử |
| 5 | Ngăn chuẩn | b | Đầu ra của khí |
Hình A.1 - Sơ đồ máy phân tích kiểu NDIR hai chùm tia
b) Phương pháp chùm đơn
Có ít nhất ba loại phương pháp chùm đơn
— Sử dụng phin lọc nhiễu, một phin lọc tại dải hấp thụ cho khí đang được đo và một phin lọc khác tại bước sóng chuẩn. Nồng độ khí là hàm số của tỷ lệ bước sóng chuẩn và bước sóng đo được. Có thể sử dụng phin lọc điều chỉnh có thể thay đổi bước sóng đo qua thay cho nhiều phin lọc.
— Trong phương pháp tương quan phin lọc khi (GFC) trong đó phin lọc nhiễu của phép đo được thay thế bằng phin lọc khí; nói cách khác phương pháp này là tương tự như trên. Máy phân tích khí gồm phin lọc lọc khí tương quan, là phin lọc khí mẫu có chứa khí mẫu và CO hoặc CO2 và phin lọc khí nhiễu có chứa khí "không” tương ứng (N2), và bánh xe. Sau khi đưa mẫu khí vào ngăn mẫu, phin lọc tương quan khí và bánh xe được quay không đổi. Máy phân tích khí đo độ hấp thụ IR khác nhau của chùm tia đi qua phin lọc khí mẫu và phin lọc khí chuẩn. Phương pháp này cho độ nhạy tốt hơn và loại bỏ các ảnh hưởng nhạy chéo. Có thể sử dụng các phin lọc khí bổ sung để giảm thiểu các khí gây gây nhiễu.

CHÚ DẪN
| 1 | Nguồn IR | 8 | Gương |
| 2 | Phin lọc khí tương ứng | 9 | Cuvet mẫu |
| 3 | Phin lọc mẫu khí | 10 | Detector |
| 4 | Phin lọc khí chuẩn tham chiếu | a | Lối vào mẫu khí |
| 5 | Bánh xe chia | b | Lối ra khí |
| 6 | Môtơ | c | Tín hiệu đầu ra |
| 7 | Phin lọc quang |
|
|
Hình A.2 - Sơ đồ máy phân tích NDIR kiểu lọc khí tương ứng
— Máy phân tích hồng ngoại không phân tán kiểu mocun chéo phát hiện sự khác biệt về độ hấp thụ hồng ngoại do dòng khí mẫu đưa vào và khí chuẩn (ví dụ không khí với NOx, SO2, ... được loại bỏ) đi vào ngăn đo. Sự khác biệt được đo là mức độ do đại lượng đo và theo cách này, ảnh hưởng của các thành phần gây nhiễu được loại bỏ.

CHÚ DẪN
1 Nguồn IR
2 Cuvet mẫu
3 Bộ phận dùng cho detector (phin lọc quang và detector)
4 Van điện từ
5 Mẫu khí
6 Khí chuẩn tham chiếu
a Lối vào của khí
b Lối ra của khí
Hình A.3 - Sơ đồ máy phân tích NDIR loại modun chéo
c) Phổ hồng ngoại chuyển hóa Fourier
Trong giao thoa kế hai chùm tia thường được sử dụng cho FTIR, ánh sáng phát ra từ hồng ngoại là chuẩn trực và hướng đến bộ tách chùm. Một phần ánh sáng đi qua bộ tách chùm tới một gương, và phần còn lại của ánh sáng được phản chiếu sang một gương khác. Tùy thuộc vào giao thoa thiết kế, một hoặc nhiều gương được tạo ra để di chuyển và kết quả là các chùm tia sẽ di chuyển trên các khoảng cách khác nhau. Khi hai chùm tia phản xạ trở lại bộ tách chùm tia, ở đó sẽ là một sự lệch pha giữa chúng. Chùm tia đầu ra kết hợp thoát ra khỏi giao thoa kế sẽ có cường độ thay đổi như là một hàm của sự khác biệt về đường quang học (vị trí gương J. Điều này tín hiệu cường độ thay đổi được gọi là giao thoa và nó được liên kết với phổ bước sóng bởi chuyển Fourier. Phổ thu được trong một thiết bị FTIR bằng cách ghi chương trình giao thoa, áp dụng một số xử lý tín hiệu kỹ thuật số cho nó (lọc, pha điều chỉnh) và tính toán phép biến đổi Fourier ngược của nó. Phổ đo được này được đánh giá theo thư viện phổ đã được thiết lập để tính nồng độ của các loại khí cần đo (CO hoặc CO2).

CHÚ DẪN
1 Nguồn IR
2 Bộ chia chùm tia (gương tráng bạc một nửa)
3 Gương cố định
4 Gương di chuyển
5 Mẫu khí
6 Detector
a Di chuyển
Hình A.4 - Sơ đồ máy phân tích hồng ngoại chuyển đổi Fourier
A.2 Mô tả hệ thống đo tự động
A.2.1 Hệ thống hút lạnh-khô
Thể tích đại diện khí ống khói được hút từ nguồn phát thải cho khoảng thời gian cố định tại một lưu lượng dòng được kiểm soát. Bụi có trong thể tích được lấy mẫu được loại bỏ bằng cách lọc trước khi ổn định khi mẫu và đi qua thiết bị phân tích. Hình A.5 trình bày cách sắp xếp của hệ thống đo hoàn chỉnh với các khả năng khác nhau.

CHÚ DẪN:
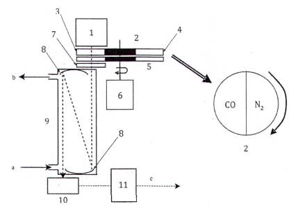
| 1 | Đầu lấy mẫu khí | 9 | Đồng hồ đo lưu lượng dòng |
| 2 | Phin lọc bụi sơ cấp | 10 | Máy phân tích |
| 3 | Làm nóng (nếu cần) | 11 | Van |
| 4 | Ống lấy mẫu (làm nóng nếu cần) | a | Lối vào mẫu khí |
| 5 | Bộ làm lạnh mẫu với bộ tách ngưng tụ | b | Lối ra mẫu khí |
| 6 | Bơm lấy mẫu | c | Lối vào khí zero và khí khoảng đo (tốt hơn ở phía trước của đầu lấy mẫu) |
| 7 | Phin lọc thứ cấp | d | Lối vào khí zero và khí khoảng đo để kiểm tra ổn định hệ thống và máy phân tích |
| 8 | Van kim | e | Lối vào khí zero và khí khoảng đo để kiểm tra máy phân tích |
Hình A.5 - Sơ đồ của hệ thống đo tự động
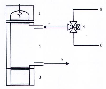
A.2.2 Hệ thống hút nóng-khô
Khi máy phân tích có ngăn mẫu nóng (FTIR, NDIR và loại khác) được dùng, hệ thống đo tự động như trình bày ở Hình A.6 thường được áp dụng.

CHÚ DẪN:
1 Đầu lấy mẫu, gia nhiệt (nếu cần)
2 Phin lọc bụi (trong hoặc ngoài ống khói)
3 Đường ống lấy mẫu được gia nhiệt
4 Bơm lấy mẫu, gia nhiệt
5 Máy phân tích với cuvet mẫu gia nhiệt
a Lối vào mẫu khí
b Lối ra khí zero và khí khoảng đo
c Lối ra khí
VÍ DỤ: Kiểu nóng - ướt
Hình A.6 - Sơ đồ hệ thống đo nóng
A.3 Hợp phần của hệ thống lấy mẫu và ổn định khí mẫu
A.3.1 Đầu lấy mẫu
Đầu lấy mẫu phải được làm từ vật liệu phù hợp và chịu ăn mòn (ví dụ thép không gỉ, thủy tinh bosilicat, gốm, PTFE chỉ phù hợp đối với nhiệt độ của khí ống khói thấp hơn 200 °C.
A.3.2 Phin lọc
Phin lọc cần loại bỏ bụi để bảo vệ hệ thống lấy mẫu và máy phân tích. Phin lọc phải làm từ gốm, PTFE, thủy tinh bosilicat hoặc kim loại thiêu kết. Phin lọc phải được gia nhiệt trên điểm sương của nước hoặc axit. Phin lọc giữ lại các bụi lớn hơn 2 µm được khuyến nghị. Kích thước của phin lọc phải được xác định từ lưu lượng mẫu cần thiết và dữ liệu của nhà sản xuất trên lưu lượng trên đơn vị diện tích.
Nhiệt độ của đầu lấy mẫu và phin lọc phải cao hơn ít nhất 10 °C đến 20 °C so với hoặc điểm sương của nước hoặc điểm sương axit của các khí.
A.3.3 Đường ống lấy mẫu
Đường ống lấy mẫu phải được làm từ PTFE, PFA hoặc thép không gỉ không có Mo, ví dụ 304 SS. Đường ống phải được vận hành ở nhiệt độ 15 °C lớn hơn điểm sương của chất ngưng tụ (thường là điểm sương của nước hoặc axit). Đường kính ống cần có kích thước phù hợp để cung cấp lưu lượng đáp ứng các yêu cầu của máy phân tích, chiều dài đường ống lựa chọn và mức giảm áp trong đường ống, cũng như đặc tính tính năng của bơm lấy mẫu được dùng.
A.3.4 Hệ thống loại ẩm
Hệ thống loại ẩm phải được sử dụng để tách hơi nước ra khỏi khí ống khói. Điểm sương phải đủ thấp hơn nhiệt độ không khí xung quanh. Độ ẩm tương đối tương đương với nhiệt độ làm mát từ 2 °C đến 5 °C được khuyến nghị. Việc làm mát đầy đủ được yêu cầu cho thể tích khí được lấy mẫu và lượng hơi nước chứa trong mẫu.
Đối với hệ thống chiết nóng-ướt (A.2.2), hệ thống loại ẩm này không được dùng.
A.3.5 Bơm lấy mẫu
Bơm lấy mẫu được sử dụng để hút mẫu liên tục từ đường ống đi qua hệ thống lấy mẫu. Bơm này có thể là bơm màng, bơm ống gió kim loại, bơm tiêm hoặc các bơm khác. Bơm phải được cấu tạo từ vật liệu chịu ăn mòn. Tính năng của bơm phải sao cho có thể cung cấp cho máy phân tích với lưu lượng khí theo yêu cầu. Để giảm thời gian vận chuyển trong đường ống lấy mẫu và các rủi ro của các dạng biến đổi lý hóa của mẫu, lưu lượng khí có thể lớn hơn yêu cầu đối với các bộ phân tích.
Đối với hệ thống hút nóng-ướt (A.2.2), bơm phải được hoạt động tối thiểu ở 180 °C.
A.3.6 Phin lọc thứ cấp
Phin lọc thứ cấp là cần thiết để loại bỏ bụi còn lại, để bảo vệ bơm và máy phân tích. Phin lọc giữ lại các hạt lớn hơn 1 µm được khuyến nghị. Các vật liệu được chấp nhận là PTFE, thủy tinh bosilicat hoặc kim loại thiêu kết. Cỡ phin lọc phải được xác định từ lưu lượng mẫu yêu cầu và dữ liệu của nhà sản xuất dựa trên tỉ lệ lưu lượng trên đơn vị diện tích.
A.3.7 Bộ kiểm soát dòng và đồng hồ đo dòng
Bộ kiểm soát dòng và đồng hồ đo dòng được sử dụng để thiết lập lưu lượng theo yêu cầu. Chúng phải được cấu tạo từ vật liệu chịu ăn mòn.
Phụ lục B
(Tham khảo)
Kỹ thuật đo hút O2
B.1 Nguyên lý đo dựa trên phương pháp thuận từ, oxit zirconi và cuvet điện hóa
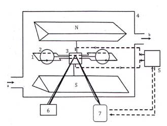
B.1.1 Phương pháp thuận từ (O2)
Oxy có tính thuận từ mạnh và bị hút vào trong từ trường. Trừ một số trường hợp ngoại lệ, tất cả các khí khác, hoặc có tính thuận từ yếu hoặc cỏ tính nghịch từ. Đặc tính này có thể được sử dụng để thực hiện một phân tích đặc thù cho oxy.
Có ba kỹ thuật phát hiện cơ bản được sử dụng:
a) Máy phân tích kiểu quả tạ đôi (xem thêm tài liệu tham khảo [7])
Một phần tử, thường là cân bằng lực xoắn, tạo thành một quả tạ đôi có các quả cầu thủy tinh nhiễm từ, được treo trong một trường mạnh không đồng nhất. Không khí xung quanh quả tạ có chứa oxy, các quả cầu bị đẩy ra xa khỏi trường do sự thay đổi của trường gây ra bởi oxy thuận từ.
Hệ thống lần đầu được thiết lập mà không có mẫu khí để ánh sáng sẽ phản xạ từ một gương nhỏ lên tế bào quang điện. Trong một vòng phản hồi, một dòng điện được gửi qua một dây bạch kim bao quanh quả tạ, tạo ra mô men xoắn ngược điện từ. Mô men xoắn này khôi phục vị trí gương để tế bào quang điện sẽ lại phát hiện ra ánh sáng phản xạ. Lượng khôi phục cần thiết (dòng điện qua dây) khi có oxy liên quan đến nồng độ oxy.

CHÚ DẪN
| 1 | Lõi phản hồi | 5 | Mạng phản hồi |
| 2 | Quả tạ đôi | 6 | Đèn |
| 3 | Gương | 7 | Cuvet quang (detector) |
| 4 | Cuvet đo | a | Lối vào mẫu khí |
|
|
| b | Lối ra mẫu khí |
Hình B.1 - Sơ đồ phương pháp thuận từ (kiểu quả tạ đôi)
b) Máy phân tích kiểu gió từ
Kỹ thuật thứ hai sử dụng hệ số nhiệt độ của hiệu ứng thuận từ. Hệ số thuận từ là tỷ lệ nghịch với nhiệt độ tuyệt đối. Nếu từ trường mạnh được kết hợp với độ chênh lệch nhiệt độ, khi đó một dòng khí oxy sẽ được tạo ra. Tốc độ dòng (gió từ) là hàm số của nồng độ oxy và có thể đo được, ví dụ bằng kỹ thuật dẫn nhiệt.
Sơ đồ cấu hình máy phân tích kiểu gió từ được trình bày ở Hình B.2.

CHÚ DẪN:
1 Dây tóc gia nhiệt
2 Bộ nhiễm từ
3 Gió từ
4 Điện trở
5 Dòng điện cầu
Hình B.2 - Sơ đồ phương pháp thuận từ (kiểu gió từ)
c) Máy phân tích kiểu khí nén magneto
Kỹ thuật thứ ba sử dụng một từ trường mạnh đi ngang qua một ống. Các phân tử oxy sẽ bị hút vào trường mà sau đó đóng vai trò như trở kháng tới dòng khí chuẩn (thường là N2) đi qua ống đó. Sự giảm lưu lượng của khí chuẩn là phép đo nồng độ oxy.
Sơ đồ cấu hình máy phân tích kiểu gió từ được trình bày ở Hình B.3.

CHÚ DẪN:
1 Detector
2 Điện từ
a Mẫu khí
b Khí mang
c Lối ra khí
Hình B.3 - Sơ đồ phương pháp thuận từ (kiểu khí nén magneto)
B.1.2 Phương pháp oxitzirconi (O2)
Phương pháp oxit zirconi đo oxy dư trong khí ống khói sử dụng pin oxit zirconi đã ổn định Yttri bằng điện cực platin xốp được tráng bề mặt bên trong và bên ngoài. Khi pin này được làm nóng tới nhiệt độ cao, trên 600 °C, nó sẽ trở nên dễ thấm đối với các ion oxy. Khoảng trống trong mạng lưới tinh thể của pin cho phép các ion oxy di chuyển vì vậy pin này trở thành một chất điện giải rắn mà chất dẫn điện là các ion oxy.
Các điện cực platin ở mỗi bên của pin cung cấp một bề mặt xúc tác để thay đổi các phân tử oxy thành các ion oxy và ngược lại, Các phân tử oxy ở phía khí chuẩn có nồng độ cao của pin hút electron để trở thành các ion đi vào chất điện giải. Đồng thời, tại điện cực còn lại, các ion oxy bị mất các electron và được giải phóng khỏi bề mặt của điện cực dưới dạng các phân tử oxy.
Khi nồng độ oxy ở mỗi bên của pin khác nhau, các ion oxy di chuyển từ bên có nồng độ oxy cao về bên có nồng độ oxy thấp. Dòng ion này tạo ra sự mất cân bằng điện dẫn đến một hiệu điện thế giữa các điện cực là hàm số của nhiệt độ pin và tỷ lệ áp suất riêng phần oxy trên mỗi bên của pin.
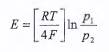
Điện áp đầu ra như là hàm số của nhiệt độ và các nồng độ oxy trong mẫu và trong các khí chuẩn được tính bằng Công thức Nernst:

Trong đó
| E | là điện áp đầu ra; |
| R | là hằng số khí; |
| T | là nhiệt độ tuyệt đối; |
| F | là hằng số Paraday; |
| p1 | là áp suất riêng phần của O2 trong khí chuẩn; |
| p2 | là áp suất riêng phần của O2 trong khí phân tích. |
CHÚ THÍCH: Trong thực tế, một số pin ziriconi nào đó có thể không đúng theo Công thức Nernst.
Sơ đồ cấu hình máy phân tích kiểu ZrO2 (Tài liệu tham khảo [8]) được trình bày ở Hình B.4.

CHÚ DẪN:
| 1 | tín hiệu điện | 6 | Điện cực Pt bên ngoài |
| 2 | niêm phong dẫn điện | 7 | Chất điện ly ZrO2 |
| 3 | gắn kim loại | 8 | Không khí O2 |
| 4 | niêm phong | a | Khí chuẩn tham chiếu “không khí” |
| 5 | điện cực Pt bên trong | b | O2 |
|
|
| c | Khí xả |
Hình B.4 - Sơ đồ phương pháp oxit zirconi
B.1.3 Phương pháp pin điện hóa (O2)
Các pin điện hóa có thể được sử dụng để đo O2 nếu quá trình điện oxy hóa hoặc sự điện khử của các phân tử khí tại một điện cực sinh ra dòng điện tỷ lệ thuận với áp suất riêng phần của khí. Trong các pin này, khí khuếch tán qua màng bán thấm chọn lọc đến điện cực và dung dịch điện phân. Khí phản ứng tại điện cực và sản phẩm của phản ứng được chuyển tới một điện cực đến lượt mình nó tiếp tục phản ứng.
Đo dòng điện tạo ra do chênh lệch suất điện động (emf) từ các phản ứng ở catot/anot. Điện thế hãm có thể được duy trì qua các điện cực để ngăn chặn sự oxy hóa của các loại khí mà có thể gây nhiễu. Sơ đồ cấu hình máy phân tích kiểu điện hóa (Tài liệu tham khảo [8]) được trình bày ở Hình B.5.

CHÚ DẪN:
| 1 | Mẫu khí | 5 | Chất điện ly |
| 2 | Màng ngăn | 6 | Điện trở |
| 3 | Điện cực âm | 7 | Anốt |
| 4 | Điện cực dương | 8 | Catốt |
Hình B.5 - Sơ đồ phương pháp cuvet đo điện hóa
B.2 Mô tả hệ thống đo tự động
Một thể tích đại diện của khí thải được hút từ nguồn phát thải với lưu lượng dòng được kiểm soát. Bụi có trong thể tích lấy mẫu được loại bỏ bằng cách lọc trước khi mẫu chuyển đến thiết bị phân tích. Sự sắp xếp điển hình của một hệ thống đo hoàn chỉnh đối với 02 giống như được mô tả trong A.2.1 (CO và CO2 dựa trên NDIR).
Cảm biến ZrO2 cũng có thể được dùng trong các hệ thống hút nóng ướt (được mô tả ở A.2.2) hoặc hệ thống đo tại chỗ.
Phụ lục C
(Tham khảo)
Phép đo CO, CO2 và O2 tại chỗ
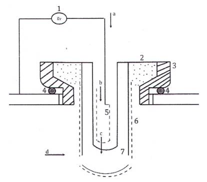
C.1 Nguyên tắc đo dựa trên phép đo CO, CO2 và O2 tại chỗ với kỹ thuật đo phổ laser có thể điều chỉnh (TLS)
Ví dụ TLS tại chỗ được trình bày dưới đây tuy nhiên hệ thống hút có sẵn. Nguyên tắc phân tích dựa trên phép đo tại chỗ CO, CO2 và O2 chưa được ổn định trong dòng khí. Mức CO, CO2 và O2 được xác định bằng phép đo trực tiếp với máy phân tích lase có thể điều chỉnh. Đối với hiệu chính về điều kiện tiêu chuẩn khô, nên đo hơi nước cùng với nồng độ CO, CO2 và O2.
CHÚ THÍCH Máy phân tích dựa trên nguyên lý NDIR và FTIR cũng dùng cho phép đo tại chỗ.
C.2 Hệ thống đo ống ngang tại chỗ
C.2.1 Yêu cầu chung
Hệ thống đo TLS tại chỗ gồm bộ vận chuyển và bộ nhận. Hai bộ được gắn đối diện với nhau trực tiếp trên đường ống hoặc ống khói. Hình C.1 trình bày cách sắp xếp điển hình của một hệ thống đo tại chỗ dựa trên máy lase có thể điều chỉnh cho CO, CO2 và O2.

CHÚ DÃN:
| 1 | Bộ truyền dẫn | 6 | Cảm biến áp suất (nếu ống dẫn có điều kiện không đổi, không yêu cầu) |
| 2 | Bộ thu nhận | 7 | Cảm biến nhiệt độ (nếu ống dẫn có điều kiện không đổi, không yêu cầu) |
| 3 | Mặt bích làm sạch | a. | Khí sục |
| 4 | Cuvet xác nhận | b. | Khí sục, khí chuẩn khoảng đo hoặc khí không |
| 5 | Van ba ngả | c. | Vùng khí ống khói |
Hình C.1 - Sơ đồ hệ thống đo TLS tại chỗ (ví dụ)
C.2.2 Các cấu phần của hệ thống đo TLS tại chỗ (ống ngang)
C.2.2.1 Bộ vận chuyển và nhận
Bộ vận chuyển gồm một nguồn sáng lase và bộ nhận có chứa detector quang. Chùm ánh sáng được phát ra từ diot lase trong bộ vận chuyển. Ánh sáng lase đi qua khí và tác động vào detector quang học trong bộ nhận.
C.2.2.2 Bẫy cửa sổ quang học
Mặt bích bẫy có hai chức năng. Thứ nhất, mặt bích được dùng để gắn bộ vận chuyển hoặc bộ nhận lên ống. Thứ hai, mặt bích làm sạch có cổng nối để bẫy.
Nếu yêu cầu ứng dụng, khí làm sạch được dùng để giữ cửa sổ sạch để ngăn ngừa sự nhiễm bẩn của các cấu phần quang học trong khí ống khói. Môi trường làm sạch đi vào mặt bích làm sạch và đi vào theo hướng của ống dẫn, trong khi nó được trộn với khí ống khói. Như một môi trường làm sạch, thường không khí thiết bị được dùng. Dòng làm sạch tùy thuộc vào các điều kiện và thường từ 20 L/min đến 50 L/min.
C.2.2.3 Ngăn xác nhận [chỉ CO]
Để xác nhận chức năng của hệ thống đo TLS, quy trình xác nhận có thể được tiến hành đều đặn.
Một phương pháp được áp dụng để xác nhận là sử dụng ngăn xác nhận bên ngoài, được gắn cố định trong đường quang học giữa ống và bộ vận chuyển/nhận. Phương pháp thay thế là sử dụng ngăn nạp đầy khí có nồng độ ổn định.
Trong quy trình xác nhận, ngăn xác nhận được xả bằng khí thử đã được chứng nhận hoặc ngăn xác nhận được nạp đầy khí được chuyển tạm thời vào đường quang học tương ứng.
Nồng độ khí cần đối với cả hai phương pháp phụ thuộc vào chiều dài đường quang và ngăn xác nhận, cũng như khoảng đo. Khí thử có nồng độ tương đương 70 % đến 90 % của khí toàn khoảng được sử dụng.
CHÚ THÍCH Nồng độ O2 và CO2 được tính trong ngăn xác nhận có thể vượt quá 100 % làm cho quy trình không phù hợp.
C.2.2.4 Cảm biến áp suất và nhiệt độ
Vì lắp đặt tại chỗ, áp suất và nhiệt độ khí biến động trong khí ống khói có thể có ảnh hưởng lên tín hiệu đo. Nếu các thông số vượt quá biến động lớn nhất có thể chấp nhận, có thể áp dụng cảm biến nhiệt độ và/hoặc áp suất để cung cấp nhiệt độ và áp suất khí phù hợp với hệ thống đo TLS để hiệu chính đối với những ảnh hưởng của biến động nhiệt độ và áp suất.
C.3 Hệ thống đo điểm tại chỗ
C.3.1 Yêu cầu chung
Hệ thống đo điểm tại chỗ gồm một bộ chuyển đổi và một đầu đo. Chùm tia được truyền qua đường ngắn của dòng khí mẫu và phản xạ lại bằng ống góc (gương) tại đầu chóp của đầu lấy mẫu. Hình C.2 trình bày cách bố trí điển hình của một hệ thống đo điểm tại chỗ.

a) kiểu phin lọc (mặt chiếu cạnh của đầu lấy mẫu)

b) kiểu không phin lọc (mặt chiếu cạnh của đầu lấy mẫu)
CHÚ DẪN
1 Bộ thu nhận
2 Đầu lấy mẫu
3 Phin lọc đầu lẩy mẫu
4 Mặt bích đầu lấy mẫu
5 Gương
6 Cảm biến áp suất (nếu ống dẫn có điều kiện không đổi, không yêu cầu)
7 Cảm biến nhiệt độ (nếu ống dẫn có điều kiện không đổi, không yêu cầu)
8 Ngăn xác nhận
9 Van ba ngả
a. Khí chuẩn khoảng đo hoặc khí không
b. Khí sục, khí chuẩn khoảng đo hoặc khí không
c. Vùng khí ống khói
Hình C.2 - Ví dụ hệ thống đo TLS tại chỗ (quan trắc điểm)
C.3.2 Các hợp phần của hệ thống đo TLS tại chỗ (quan trắc điểm)
C.3.2.1 Yêu cầu chung
Điểm tại chỗ quan trắc dòng khí mẫu trong ống dẫn tại điểm cuối của đầu lấy mẫu. Khí được quan trắc điển hình qua một đường ngắn, tùy thuộc vào nguyên lý của phép đo (xem Hình C.2).
C.3.2.2 Thiết bị truyền đổi
Các thành phần nhận biết đáp ứng của ngăn đo và tạo ra tín hiệu điện tử tương ứng với nồng độ của khí được đo.
C.3.2.3 Ngăn đo
Ngăn hoặc lỗ được tiếp xúc với dòng khí, để tạo ra đáp ứng điện quang với nồng độ khí tại điểm cuối của đầu lấy mẫu.
C.3.2.4 Phin lọc đầu lấy mẫu
Ống hoặc màng gốm xốp hoặc kim loại thiêu kết để giảm thiểu nhiễu của bụi với phép đo khí. Nếu dự đoán có ảnh hưởng nhẹ của bụi lên phép đo, có thể sử dụng đầu lấy mẫu không có lọc.
Phụ lục D
(Quy định)
Khí vận hành
D.1 Yêu cầu chung
Một số khí vận hành được yêu cầu khi sử dụng tiêu chuẩn này.
D.2 Khí “không”
Khí “không” không được chứa các hợp chất gây nhiễu đến hiệu suất phép đo của thiết bị. Đối với tất cả các máy phân tích, nitơ tinh khiết (cấp 5,0, với thành phần tạp chất đo được thấp hơn giới hạn phát hiện của máy phân tích) có thể chấp nhận được, không khí sạch xung quanh hoặc hỗn hợp khác của O2 và N2 phải được sử dụng, tuy nhiên, phương pháp “điểm khí” phải được sử dụng đối với ZrO2. Với không khí như khí mẫu, pin ZrO2 cho tín hiệu đầu ra (nhưng số đọc máy phân tích 21 % O2) vì cảm biến kết quả ZrO2 thường dùng làm khí không thay thế ở mức nồng độ O2 2 % hoặc 3 %.
Nồng độ của các loại khí cần phân tích với khí “không” không được vượt quá 1,0 % khoảng đo được dùng.
D.3 Khí chuẩn khoảng đo
Khí chuẩn khoảng đo phải bao gồm CO hoặc CO2 trong không khí tinh khiết hoặc N2 hoặc O2 trong N2. Khí chuẩn phải có nồng độ đã biết với độ không đảm bảo mở rộng tối đa cho phép bằng 2,0 % giá trị danh định của nó có thể truy xuất đến chuẩn áp dụng. Nồng độ của khí chuẩn khoảng đo cần bằng khoảng 70 % đến 90 % giới hạn trên của khoảng đo đã chọn. Ngăn ZrO2 có thể sử dụng nồng độ khí chuẩn khoảng đo khác, do nguyên tắc đo.
D.4 Khí chuẩn
Khí chuẩn phải bao gồm co hoặc CO2 trong không khí tinh khiết hoặc O2 trong nitơ. Khí chuẩn phải biết trước nồng độ với độ không đảm bảo mở rộng tối đa cho phép bằng 2,0 % giá trị danh định của chúng có thể truy xuất đến tiêu chuẩn áp dụng.
Phụ lục E
(Quy định)
Quy trình xác định đặc tính tính năng
E.1 Yêu cầu chung
Trước khi tiến hành phép thử, cần tính đến thời gian sấy máy được quy định bởi nhà sản xuất. Nếu thời gian sấy máy không được quy định, thời gian sấy máy cần tối thiểu 2 h.
Trước khi xác định đặc tính tính năng của AMS, thiết bị phải được lắp đặt theo các yêu cầu của nhà sản xuất và theo quy trình được nêu chi tiết ở 9.3.
Trong các điều kiện thử đối với từng đặc tính tính năng riêng, các giá trị của các thông số sau phải không đổi trong phạm vi cụ thể được nêu dưới đây:
- Nhiệt độ xung quanh ± 2 °C;
- Áp suất lấy mẫu ± 0,2 kPa;
- Điện áp cấp ± 1 % giá trị điện áp danh định (trừ thử nghiệm tính phụ thuộc điện áp).
Đối với xác định đặc tính tính năng khác nhau, phải sử dụng khí chuẩn đã biết độ không đảm bảo của nồng độ.
CHÚ THÍCH Thời gian đáp ứng, độ lặp lại tại mức “không” và mức chuẩn khoảng đo, độ lệch, độ nhạy chéo, lệch điểm “không” và điểm chuẩn khoảng đo, độ nhạy với nhiệt độ xung quanh, độ nhạy với điện áp của hệ thống tại chỗ có thể được đo với ngăn thử nghiệm ngoài.
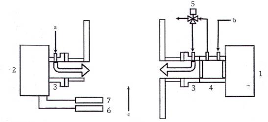
E.2 Thời gian đáp ứng
Để thiết lập thời gian đáp ứng, thời gian trễ, thời gian tăng và thời gian giảm, chức năng bước của đại lượng đo phải được đưa vào hệ thống đo tự động liên tục. Ngoại trừ có quy định khác trong kỳ hạn chuẩn, bước được tạo ra bởi phương tiện thử nghiệm phải có một thời gian tăng (từ 10 % đến 90 % của thay đổi bước) nhỏ hơn 10 % thời gian trung bình được áp dụng trong thử nghiệm. Sự thay đổi bước của phương tiện thử phải tương ứng với ít nhất 60 % của khoảng đo (xem Hình E.1). Nếu thời gian tăng và thời gian giảm khác nhau, thời gian dài hơn được lấy để tính thời gian đáp ứng.
Đối với thiết bị khi xảy ra sự dao động tạm thời trong tiếp cận với tín hiệu ra cuối cùng, tín hiệu ra cuối cùng được xem là đạt được khi các dao động nằm trong khoảng 10 % bước vào.
CHÚ THÍCH Sự chênh lệch đáng kể giữa thời gian tăng và thời gian giảm chỉ thị hiệu ứng nhớ, nghĩa là sự phụ thuộc của kết quả phép đo với giá trị của đại lượng đo trong phép đo trước.

CHÚ DẪN
t thời gian
Ci giá trị đại lượng đo trong chất chuẩn i
Yi tín hiệu đầu ra thu được bằng phép đo đại lượng đo trong chất chuẩn i
tiag thời gian trễ
trise thời gian tăng
tfall thời gian giảm
tresp thời gian đáp ứng
Hình E.1 - Minh họa đặc tính thời gian của một hệ thống đo tự động; Thay đổi tín hiệu đầu ra Y (đầu ra) sau khi thay đổi giá trị C tham chiếu (đầu vào) như hàm số theo thời gian t
E.3 Độ lặp lại tại mức không và mức chuẩn khoảng đo
E.3.1 Yêu cầu chung
Để xác định độ lặp lại tại mức không và chuẩn khoảng đo, một số phép đo được tiến hành tại mức nồng độ không và chuẩn khoảng đo theo quy trình ở E.3.2 và E.3.3. Độ lệch chuẩn và độ lặp lại được tính cho cả hai dãy đo (giá trị không và chuẩn khoảng đo) theo TCVN 6751 (ISO 9169).
E.3.2 Độ lệch chuẩn lặp lại trong phòng thử nghiệm tại điểm không
Độ lệch chuẩn lặp lại tại điểm không phải được xác định bằng cách áp dụng vật liệu chuẩn tại điểm không (khí không). Trước tiên, điều chỉnh điểm không của máy phân tích. Sau đó, khí không phải được áp dụng tại lối vào khí không và khí chuẩn khoảng đo.
Nếu độ lệch chuẩn lặp lại tại điểm không được xác định trong thử nghiệm độ lệch, phải sử dụng vật liệu chuẩn tại nồng độ không, được áp dụng trong phép thử.
Giá trị đo của AMS tại điểm không phải được xác định sau khi áp dụng vật liệu chuẩn bằng cách đợi một thời gian tương đương với một số đọc độc lập, và đưa vào một khí không hoặc quay trở lại khí ống khói, và sau đó đo khí chuẩn khoảng đo, ít nhất 10 lần.
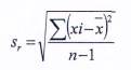
Phải sử dụng giá trị đo được để xác định độ lệch chuẩn lặp lại tại điểm không sử dụng Công thức (E.1):
|
| (E.1) |
Trong đó
sr là độ lệch chuẩn lặp lại;
xi là giá trị đo được thứ i;
là trung bình của các giá trị đo được xi;
n là số lượng phép đo.
Độ lệch chuẩn lặp lại tại điểm không phải đáp ứng tiêu chí tính năng được quy định trong Bảng 1.
CHÚ THÍCH Số đọc độc lập là không bị ảnh hưởng bởi số đọc riêng lẻ trước đó do sự tách riêng hai số đọc bằng tối thiểu bốn lần đáp ứng.
E.3.3 Độ lệch chuẩn lặp lại trong phòng thử nghiệm tạ điểm chuẩn khoảng đo
Độ lệch chuẩn lặp lại tại điểm chuẩn khoảng đo phải được xác định bằng cách áp dụng vật liệu, chuẩn tại điểm chuẩn khoảng đo (khí chuẩn khoảng đo). Phải áp dụng khí chuẩn khoảng đo tại lối vào khí không và khí chuẩn khoảng đo. Nếu độ lệch chuẩn lặp lại tại điểm chuẩn khoảng đo được xác định trong thử nghiệm độ thiếu phù hợp, giá trị cao nhất của vật liệu chuẩn được áp dụng trong phép thử phải được sử dụng.
Giá trị đo được của AMS tại điểm chuẩn khoảng đo phải được xác định sau khi áp dụng vật liệu chuẩn bằng cách đợi một thời gian tương đương với một số đọc độc lập, và đưa vào một khí không hoặc quay trở lại khí ống khói, và sau đó đo khí chuẩn khoảng đo, ít nhất 10 lần. Phải sử dụng các tín hiệu đo được để xác định độ lệch chuẩn lặp lại tại điểm chuẩn khoảng đo sử dụng Công thức (E.1).
Độ lệch chuẩn lặp lại tại điểm không phải đáp ứng tiêu chí làm việc được quy định trong Bảng 1.
E.4 Độ lệch /Độ tuyến tính
Độ lệch/Độ tuyến tính phải được kiểm tra trong phòng thử nghiệm bằng cách nạp khí không và ít nhất bốn khí thử nghiệm với nồng độ phân bố đều trên khoảng đo đã chọn. Nồng độ khí khác nhau có thể được tạo ra sử dụng hệ thống pha loãng.
Các khí thử phải được áp dụng theo thứ tự tránh hiệu ứng trễ.
Tiến hành đối với từng khí thử với giá trị được chấp nhận, ci, tại ít nhất ba phép đo liên tiếp nhau, mỗi giá trị trung bình trên ít nhất một thời gian đáp ứng. Phần dư, ei (độ lệch) phải được xác định dựa trên tuyến tính hồi quy như được nêu ở TCVN 6751 (ISO 9169). Trong quy trình thử này, đường tuyến tính được thiết lập giữa các số đọc thiết bị của AMS (giá trị x) và các giá trị khí thử (giá trị c). Trong bước tiếp theo, trung bình của các số đọc AMS
tại từng mức khí thử được tính. Sau đó độ lệch (dư) trung bình với giá trị tương ứng
được ước lượng bằng đường tuyến tính được tính theo Công thức (E.2).
|
| (E.2) |
Độ lệch, ei, tại từng nồng độ khí thử phải đáp ứng tiêu chí làm việc được quy định trong Bảng 1.
Nếu tiêu chí làm việc không đáp ứng, đáp ứng của thiết bị phải được hiệu chính cho đến khi tiêu chí làm việc thỏa mãn.
E.5 Độ nhạy chéo
Ảnh hưởng của các chất gây nhiễu tiềm tàng cũng có trong khí ống khói phải được xác định bằng cách thừa nhận hỗn hợp khí thử đi vào AMS hoàn chỉnh (phía trước của bộ làm mát khí thử, nếu có). Hỗn hợp khí phải được tạo ra với một hệ thống hỗn hợp trong đó một chất gây nhiễu được bổ sung vào các khí cho điểm không và điểm chuẩn khoảng đo. Hệ thống hỗn hợp phải tuân thủ với các tiêu chuẩn quốc gia và phải có độ không đảm bảo mở rộng tối đa bằng 1%. Vật liệu chuẩn (vi dụ các khí) phải được chứng nhận (có thể truy xuất đến chuẩn quốc gia) và phải có độ không đảm bảo mở rộng không lớn hơn 2 %.
Các chất gây nhiễu và nồng độ của chúng được xác định tương ứng với nguyên tắc đo và mục đích đo định trước. Phải kiểm tra các chất gây nhiễu được liệt kê ở Bảng E1. Các chất gây nhiễu phải được thừa nhận riêng rẽ.
Phải áp dụng khí thử không có chất gây nhiễu và sau đó có chất gây nhiễu. Tín hiệu đo AMS phải được xác định cho từng khí thử nghiệm bằng cách đợi một thời gian tương đương với một số đọc độc lập và sau đó ghi lại ba số đọc riêng liên tiếp. Phải tính trung bình ba số đọc riêng.
Độ lệch giữa số đọc trung bình với và số đọc trung bình không có chất gây nhiễu tại điểm không và điểm chuẩn khoảng đo phải được xác định cho từng chất gây nhiễu.
Tất cả độ lệch dương lớn hơn 0,5 % nồng độ khí chuẩn khoảng đo phải được cộng lại và tất cả độ lệch nhỏ hơn -0,5 % nồng độ khí chuẩn khoảng đo phải được cộng lại tại cả điểm không và điểm chuẩn khoảng đo. Giá trị tuyệt đối lớn nhất của bốn tổng này phải đáp ứng tiêu chí đặc tính tính năng được quy định ở Bảng 1.
Các số đọc đơn, trung bình và độ lệch tại điểm không và điểm chuẩn khoảng đo và cho tất cả các chất gây nhiễu cũng như độ lệch lớn nhất phải được báo cáo.
Bảng E.1 - Nồng độ các chất gây nhiễu được dùng trong thử nghiệm độ nhạy chéo
| Chất gây nhiễu | Nồng độ khối lượng hoặc thể tích | |
| Giá trị | Đơn vị | |
| O2 | 3a và 21 | % |
| H2O | 30 | % |
| CO | 300 | mg/m3 |
| CO2 | 15 | % |
| CH4 | 50 | mg/m3 |
| N2O | 20 | mg/m3 |
| N2O (đáy tầng sôi) | 100 | mg/m3 |
| NO | 300 | mg/m3 |
| NO2 | 30 | mg/m3 |
| NH3 | 20 | mg/m3 |
| SO2 | 200 | mg/m3 |
| SO2 (trạm/nhà máy điện đốt than không có khử lưu huỳnh) | 1000 | mg/m3 |
| HCI | 50 | mg/m3 |
| HCI (trạm/nhà máy điện đốt than) | 200 | mg/m3 |
| a Thử nghiệm với nồng độ oxy 3 % được sử dụng thay cho thử nghiệm không có nhiễu | ||
E.6 Kiểm tra sự thất thoát trong hệ thống đường ống lấy mẫu và hệ thống ổn định
Việc thất thoát trong hệ thống đường lấy mẫu và hệ thống ổn định phải được kiểm tra bằng cách cung cấp khí không và khí chuẩn khoảng đo cho máy phân tích qua hệ thống lấy mẫu, càng gần càng tốt với mũi lấy mẫu (mặt trước của phin lọc nếu cần) và thứ hai là đến trực tiếp máy phân tích. Khí thử nghiệm cần có nồng độ CO, CO2 hoặc O2 khoảng 70 % đến 80 % khoảng đo. Tạp chất có thể có trong toàn bộ hệ thống có thể dẫn đến hiệu ứng nhớ do sự hấp phụ hoặc giải hấp đến hoặc đi từ các bề mặt. Sai khác phải nhỏ hơn 2 %.
E.7 Kiểm tra độ rò rỉ trong đường ống lấy mẫu và hệ thống ổn định mẫu
Hệ thống lấy mẫu phải được kiểm tra về rò rỉ. Quy trình của thử nghiệm rò rỉ như sau:
- Lắp hệ thống lấy mẫu hoàn chỉnh, kể cả hộp đựng phin lọc và bộ hấp thụ.
- Để thiết bị lấy mẫu được nóng đến nhiệt độ vận hành;
- Gắn lối vào mũi lấy mẫu.
- Đậy nắp mũi lấy mẫu và bật bơm.
- Sau khi đạt áp suất nhỏ nhất, đọc lưu lượng.
E.8 Độ trôi “không” và độ trôi điểm chuẩn khoảng đo cho thử nghiệm đặc tính tính năng
Độ trôi “không” và chuẩn khoảng đo được ước tính bằng cách áp dụng ít nhất 10 mức “không” và chuẩn khoảng đo tiếp theo, phân bố đều trên khoảng thời gian 24 h, và tính cho từng nồng độ độ dốc của đường hồi quy tuyến tính, theo TCVN 6751 (ISO 9169).
Vị trí của điểm “không” và của điểm chuẩn khoảng đo phải được xác định thủ công bằng cách nạp khí “không” và khí chuẩn khoảng đo. Độ lệch giữa các giá trị đo được tại điểm “không” và tại điểm chuẩn khoảng đo và các giá trị danh định phải đáp ứng tiêu chí đặc tính tính năng được quy định ở Bảng 1.
E.9 Độ trôi “không” và chuẩn khoảng đo đối với thử nghiệm định kỳ
Điều chỉnh thiết bị với khí “không” và khí chuẩn khoảng đo hoặc với các vật liệu chuẩn khác phải được tiến hành ít nhất một lần trong khoảng thời gian vận hành không định trước. Thử nghiệm đối với thiết bị dùng cho phép đo định kỳ phải được tiến hành tại lúc bắt đầu của từng loạt đo,
Khí “không” và khí chuẩn khoảng đo hoặc vật liệu chuẩn khác phải được sử dụng trong điều kiện lưu lượng và áp suất giống nhau như với điều kiện phép đo. Đối với khí “không” và khí chuẩn khoảng đo, cần sử dụng cổng mẫu của thiết bị hoặc quy trình theo hướng dẫn của nhà sản xuất. Độ lệch giữa các giá trị đo được tại điểm “không” và điểm chuẩn khoảng đo và các giá trị danh định phải đáp ứng tiêu chí đặc tính tính năng được quy định ở Bảng 1.
E.10 Thực hiện chùm phép đo ngang qua ống khói ở AMS tại chỗ
Phòng thử nghiệm phải làm chệch dần dần và chính xác bộ giao và nhận đồng bộ của AMS trong mặt phẳng ngang và thẳng đứng, và sau đó ghi lại tín hiệu đo sử dụng vật liệu chuẩn.
CHÚ THÍCH 1 Thử nghiệm áp dụng điển hình cho kỹ thuật quang học cắt ngang ống khối tại chỗ. Thử nghiệm cũng áp dụng cho AMS chiết hút với bộ giao và nhận đồng bộ riêng biết.
CHÚ THÍCH 2 Việc thử nghiệm này cần các chuẩn hiệu chuẩn (ví dụ phin lọc chuẩn) và một dải quang học.
CHÚ THÍCH 3 Thông thường, chiều dài đường quang thực nghiệm cho thử nghiệm này có thể ít nhất từ 1 m đến 5 m, mặc dù thử nghiệm cần được tiến hành tại chiều dài đường quang lớn nhất thực tế.
Việc làm chệch phải được thực hiện cả vị trí điểm “không” và điểm chuẩn khoảng đo khoảng 70 % đến 90 % khoảng tín hiệu đầu ra trên hai chiều dài đường quang đo thông thường. Việc chệch hướng được thực hiện từng bước tăng thêm khoảng 0,05 0 trong khoảng góc yêu cầu.
Khoảng làm chệch phải bằng ít nhất hai lần góc được quy định bởi nhà sản xuất. Nó cũng cần được thử khác với giới hạn chệch cho phép của thiết bị lắp ráp - nếu cần, với các khoảng lớn hơn.
Hiệu suất của thiết bị điều chỉnh quang học thủ công phải được kiểm tra ít nhất trong khoảng định tính. Các quá trình điều chỉnh tự động phải được kích hoạt và bao gồm trong thử nghiệm.
Tín hiệu đo được đối với các bước thử nghiệm khác nhau phải được liệt kê theo bảng trong báo cáo thử nghiệm. Các tín hiệu đo được này phải được ghi lại thành cặp với góc làm chệch.
Các góc làm chệch cho phép lớn nhất phải được công bố trong AMS đạt yêu cầu tiêu chí đặc tính tính năng. Trong trường hợp AMS sắp xếp tự động, cách thức vận hành phải được mô tả và kiểm định bằng trung bình các kết quả thử nghiệm.
E.11 Độ nhạy với áp suất khí lấy mẫu, sự thay đổi áp suất 2 kPa
Phòng thử nghiệm phải xác định ảnh hưởng của sự biến cộng trong áp suất khí lấy mẫu lên đáp ứng của AMS. Mẫu phải là nitơ chứa các thành phần đo tại nồng độ từ 70 % đến 80 % của giới hạn trên khoảng được chứng nhận.
Phòng thử nghiệm phải đo tín hiệu đầu ra của AMS khi áp suất khí lấy mẫu tại
- Áp suất không khí xung quanh
- Lớn hơn Khoảng 2 kPa áp suất không khí xung quanh, trong giới hạn ± 0,2 kPa, và
- Thấp hơn Khoảng 2 kPa áp suất không khí xung quanh, trong giới hạn ± 0,2 kPa.
Trong khoảng thời gian đo nhiệt độ phải được giữ ổn định trong ± 1 K.
Tín hiệu đo của AMS phải được xác định tại từng áp suất bằng cách đợi một thời gian tương đương với một số đọc độc lập và sau đó ghi lại ba số đọc liên tiếp. Các số đọc liên tiếp phải được tính trung bình. Phải xác định độ lệch giữa số đọc trung bình tại từng áp suất và số đọc trung bình tại áp suất không khí xung quanh. Độ lệch phải đáp ứng tiêu chí đặc tính tính năng có thể áp dụng được quy định ở Bảng 1.
Số đọc đơn, trung bình và các độ lệch tại từng áp suất, cũng như độ lệch lớn nhất phải được báo cáo.
E.12 Ảnh hưởng của dòng khí mẫu đến AMS hút
AMS ban đầu phải được vận hành với lưu lượng do nhà sản xuất quy định. Lưu lượng này sau đó phải được thay đổi thành lưu lượng thấp nhất do nhà sản xuất quy định.
CHÚ THÍCH Ảnh hưởng của dòng khí mẫu thường áp dụng cho AMS hút, vì AMS tại chỗ hầu hết không chịu ảnh hưởng của lưu lượng.
Nếu tài liệu của nhà sản xuất chỉ cho phép những dung sai nhỏ thì những sai số này là ràng buộc và phải không mở rộng.
Các tín hiệu đo được của AMS tại điểm không và điểm chuẩn khoảng đo phải được xác định ở cả hai lưu lượng bằng cách đợi thời gian tương đương với một số đọc độc lập và sau đó ghi lại ba lần số đọc liên tiếp. Ba lần số đọc riêng lẻ phải được tính trung bình.
Độ lệch giữa các số đọc trung bình giữa hai lưu lượng phải được xác định. Sự sai lệch này phải đáp ứng các tiêu chí tính năng áp dụng được quy định trong Bảng 1.
Thử nghiệm này phải được lặp lại ba lần tại điểm không và ba lần tại điểm chuẩn khoảng đo. Nếu AMS đáp ứng tiêu chí tính năng theo hệ số hai hoặc nhiều hơn cho lần thử nghiệm đầu tiên, sau đó là bất kỳ lần thử nghiệm nào tiếp theo có thể bị bỏ qua.
Các số đọc riêng lẻ, giá trị trung bình và độ lệch chũng như độ lệch lớn nhất phải được báo cáo.
Chức năng của tín hiệu trạng thái phải được thử nghiệm đồng thời.
E.13 Độ nhạy với nhiệt độ không khí xung quanh, thay đổi khoảng nhiệt độ 10K được quy định bởi nhà sản xuất
Xác định cách thức các giá trị “không” và chuẩn khoảng đo của AMS bị ảnh hưởng bởi sự thay đổi trong nhiệt độ không khí xung quanh bằng cách sử dụng một buồng khí hậu có thể kiểm soát nhiệt độ xung quanh từ -20 °C đến + 50 °C, trong giới hạn ± 1,0 °K.
Trong trường hợp AMS được lắp đặt ngoài trời, nhiệt độ sau phải được cài đặt trong buồng khí hậu được đưa ra theo thứ tự sau:
20 °C → 0 °C → -20 °C → 20 °C → 50 °C → 20 °C.
Trong trường hợp AMS được lắp đặt tại vị trí được kiểm soát nhiệt độ, các nhiệt độ sau đây phải được cài đặt theo thứ tự sau:
20 °C → 5 °C → 20 °C → 40 °C → 20 °C
Sau một khoảng đủ để cân bằng, các tín hiệu đo được của AMS tại điểm “không” và điểm chuẩn khoảng đo phải được xác định tại từng nhiệt độ bằng cách đợi thời gian tương đương với một số đọc độc lập và sau đó ghi lại ba số đọc riêng rẽ liên tiếp nhau, Ba số đọc này phải được tính trung bình.
Đợi ít nhất 6 h từ khi thay đổi từng nhiệt độ trong buồng môi trường, để cho phép AMS cân bằng, trước khi lấy các số đọc khác.
Cách khác, nên giám sát số đọc từ AMS, sau khi thay đổi từng nhiệt độ. Nếu thiết bị ổn định ít hơn 6 h, phòng thử nghiệm có thể giảm thời gian cân bằng. Tuy nhiên, phòng thử nghiệm phải ghi lại mục đích và bằng chứng xác nhận để hỗ trợ cho điều này.
AMS phải vẫn bật khi có sự biến động nhiệt độ xung quanh trong buồng môi trường.
Độ lệch giữa số đọc trung bình tại từng nhiệt độ và số đọc trung bình tại 20 °C phải được xác định. Độ lệch phải đáp ứng tiêu chí tính năng làm việc có thể áp dụng được quy định ở Bảng 1 đối với tất cả nhiệt độ. Thử nghiệm phải lặp lại 3 lần tại điểm “không” và 3 lần tại điểm chuẩn khoảng đo. Nếu AMS đáp ứng tiêu chí đặc tính tính năng bằng hai hoặc nhiều yếu tố đối với thử nghiệm lần đầu, bất kỳ phép thử tiếp theo có thể được bỏ qua.
Các số đọc đơn, trung bình và độ lệch tại từng nhiệt độ, cũng như độ lệch lớn nhất tại điểm “không” và điểm chuẩn khoảng đo phải được báo cáo.
E.14 Độ nhạy với điện áp
Điện áp cung cấp cho AMS phải được thay đổi, sử dụng bộ chuyển cách ly, từng bước 5 % từ điện áp cung cấp danh định đến ít nhất giới hạn trên và giới hạn dưới được quy định bởi nhà sản xuất. Các tín hiệu đo được của AMS tại điểm “không” và điểm chuẩn khoảng đo phải được xác định tại từng điện áp bằng cách đợi thời gian tương đương với một số đọc độc lập và sau đó ghi lại ba số đọc riêng rẽ liên tiếp. Ba số đọc này phải được tính trung bình.
CHỨ THÍCH Sau khi thay đổi điện áp, AMS có thể cần thời gian để cân bằng. Độ lệch giữa số đọc trung bình tại từng điện áp và số đọc trung bình tại điện áp cấp danh định phải được xác định.
Độ lệch phải đáp ứng tiêu chí tính năng làm việc có thể áp dụng được quy định ở Bảng 1 cho tất cả các điện áp. Thử nghiệm phải lặp lại 3 lần tại điểm ““không”” và 3 lần tại điểm chuẩn khoảng đo. Nếu AMS đáp ứng tiêu chí đặc tính tính năng bằng hai hoặc nhiều yếu tố đối với thử nghiệm lần đầu, bất kỳ phép thử tiếp theo có thể được bỏ qua.
Các số đọc đơn, trung bình và độ lệch tại từng điện áp, cũng như độ lệch lớn nhất tại điểm “không” và điểm chuẩn khoảng đo phải được báo cáo.
Phụ lục F
(Tham khảo)
Ví dụ các kết quả đánh giá AMS CO, CO2 và O2
F.1 Phép đo CO
Các kết quả phép thử tính năng theo đặc tính tính năng của Phụ lục E đối với phép đo co theo phương pháp NDIR chiết lạnh (Phụ lục A) và phương pháp TLS tại chỗ (Phụ lục C) được trình bày ở Bảng F.1.1.
Hầu hết số liệu được liệt kê từ Bảng F.1.1 đến F.3.2 được lấy từ báo cáo thử nghiệm EN 15267 (xem Tài liệu tham khảo [9]).
Bảng F.1.1- Ví dụ kết quả thử nghiệm tính năng đo CO bằng phương pháp NDIR trích hút và phương pháp TLS tại chỗ
| Đặc tính tính năng | Tiêu chí tính năng | Trích hút lạnh | Tại chỗ | |
| Kiểu mô đun cắt chéo NDIR a) | Kiểu hai chùm tia NDIR a) | Kiểu TLS | ||
| Khoảng nhỏ nhất điển hình |
| 50 mg/m3 | 75 mg/m3 | 250 mg/m3 |
| Thời gian đáp ứng | ≤ 200s | 57 s | 66 s | 1,6 s |
| Độ lệch chuẩn lặp lại trong phòng thử nghiệm tại điểm “không” | ≤ 2 % giới hạn trên của khoảng đo nhỏ nhất được sử dụng | 0,6 % | 0,02 % | 0,1 % |
| Độ lệch chuẩn lặp lại trong phòng thử nghiệm tại điểm chuẩn khoảng đo | ≤ 2 % giới hạn trên của khoảng đo nhỏ nhất được sử dụng | 1,3 % | 0,05 % | 0,45 % |
| Độ lệch | ≤ 2 % giới hạn trên của khoảng đo nhỏ nhất được sử dụng | 0,60 % | -0,17% | 0,96 % |
| Lệch điểm “không” trong 24h | ≤ 2 % giới hạn trên của khoảng đo nhỏ nhất được sử dụng | ─ | ─ | 1,3 % |
| Lệch điểm chuẩn khoảng đo trong 24h | ≤ 2 % giới hạn trên của khoảng đo nhỏ nhất được sử dụng | ─ | ─ | 2,2 % |
| Độ lệch “không” trong khoảng thời gian không được giám sát | ≤ 3 % giới hạn trên của khoảng đo nhỏ nhất được sử dụng | -0,4 % | 1,2 % | ─ |
| Độ lệch chuẩn khoảng đo trong khoảng thời gian không được giám sát | ≤ 3 % giới hạn trên của khoảng đo nhỏ nhất được sử dụng | 2,3 % | -2,0 % | ─ |
| Độ nhạy với áp suất khí mẫu, với áp suất thay đổi 2 kPa | ≤ 3 % giới hạn trên của khoảng đo nhỏ nhất được sử dụng | ─ | ─ | ─ |
| Độ nhạy của dòng khí mẫu thử với chiết AMS | ≤ 2 % giới hạn trên của khoảng đo nhỏ nhất được sử dụng | -0,1 % | ═ | ═ |
| Độ nhạy với nhiệt độ không khí môi trường xung quanh, với thay đổi 10 K trong khoảng nhiệt độ do nhà sản xuất quy định | ≤ 3 % giới hạn trên của khoảng đo nhỏ nhất được sử dụng | 1,2 % | 2,7 % | 1,4 % |
| Độ nhạy với điện áp trong khoảng điện áp do nhà sản xuất quy định | ≤ 2 % giới hạn trên của khoảng đo nhỏ nhất được sử dụng mỗi 10 V | 0,5 % | 0,10 % | 0,8 % |
| Độ nhạy chéo | ≤ 4 % giới hạn trên của khoảng đo nhỏ nhất được sử dụng | 2,6 % | -2,4 % | 1,5 % |
| Lệch của phép đo chùm tia cắt ngang ống khói trong AMS tại chỗ | ≤ 2 % giới hạn trên của khoảng đo nhỏ nhất được sử dụng | ─ | ─ | ─ |
| a) Dữ liệu được lấy từ báo cáo thử nghiệm trong EN 15267 | ||||
F.2 Phép đo CO2
Các kết quả phép thử tính năng theo đặc tính tính năng của Phụ lục E đối với phép đo CO2 theo phương pháp hút NDIR (Phụ lục A) và phương pháp TLS tại chỗ (Phụ lục C) được trình bày ở Bảng F.2.1.
Bảng F.2.1 - Đặc tính tính năng của phép đo CO2 sử dụng phương pháp NDIR trích hút và phương pháp đo TLS tại chỗ
| Đặc tính tính năng | Tiêu chí tính năng | Trích hút lạnh | Tại chỗ | |
| Kiểu mô đun cắt nhau NDIR a) | Kiểu hai chùm tia NDIR a) | Kiểu TLS | ||
| Khoảng nhỏ nhất điển hình |
| 20 % (theo thể tích) | 20 % (theo thể tích) | 20 % (theo thể tích) |
| Thời gian đáp ứng | ≤ 200 s | 58 s | 80 s | 1,6 s |
| Độ lệch chuẩn lặp lại trong phòng thử nghiệm tại điểm “không” | ≤ 2 % giới hạn trên của khoảng đo thấp nhất được sử dụng | 0,0 % | 0,0 % | 0,07 % |
| Độ lệch chuẩn lặp lại trong phòng thử nghiệm tại điểm chuẩn khoảng đo | ≤ 2 % giới hạn trên của khoảng đo thấp nhất được sử dụng | 0,1 % | 0,05 % | 0,07 % |
| Độ lệch | ≤ 2 % giới hạn trên của khoảng đo thấp nhất được sử dụng | 1,00 % | 0,35 % | 1,9 % |
| Lệch điểm “không” trong 24h | ≤ 2 % giới hạn trên của khoảng đo thấp nhất được sử dụng | ─ | ─ | -0,2 % |
| Lệch điểm chuẩn khoảng đo trong 24h | ≤ 2 % giới hạn trên của khoảng đo thấp nhất được sử dụng | ─ | ─ | 1,6 % |
| Lệch điểm “không” trong khoảng thời gian không giám sát | ≤ 3 % giới hạn trên của khoảng đo thấp nhất được sử dụng | -0,6 % | 0,10 % | ─ |
| Lệch điểm chuẩn khoảng đo trong khoảng thời gian không giám sát | ≤ 3 % giới hạn trên của khoảng đo thấp nhất được sử dụng | 2,7 % | -1,8% | ─ |
| Độ nhạy của áp suất khí mẫu thử, với áp suất thay đổi 2kPa | ≤ 3 % | ─ | ─ | ─ |
| Độ nhạy của dòng khí mẫu thử với trích hút AMS | ≤ 2% | 0,1 % | ─ | ─ |
| Độ nhạy với nhiệt độ không khí môi trường xung quanh, với thay đổi 10 K trong khoảng nhiệt độ do nhà sản xuất quy định | ≤ 3 % giới hạn trên của khoảng đo thấp nhất được sử dụng | 0,5 % | 1,8 % | 0,5 % |
| Độ nhạy với điện áp trong khoảng điện áp do nhà sản xuất quy định | ≤ 2 % giới hạn trên của khoảng đo thấp nhất được sử dụng mỗi 10 V | -0,6 % | 0,0 % | -0,6 % |
| Độ nhạy chéo | ≤ 4 % giới hạn trên của khoảng đo thấp nhất được sử dụng | -1,0 % | -0,8 % | -0,4 % |
| Lệch của phép đo chùm tia cắt ngang ống khỏi trong AMS tại chỗ | ≤ 2 % giá trị đo được của khoảng đo nhỏ nhất được sử dụng | ─ | ─ | ─ |
| a) Dữ liệu được lấy từ báo cáo thử nghiệm trong EN 15267 | ||||
F.3 Phép đo O2
Các kết quả phép thử tính năng theo đặc tính tính năng của Phụ lục E đối với phép đo O2 theo phương pháp thuận từ và điện hóa (Phụ lục B) được trình bày ở Bảng F.3.1.
Bảng F.3.1 - Đặc tính tính năng đo O2 bằng phương pháp trích hút thuận từ (Loại khí nén magneto và loại quả tạ) và phương pháp điện hóa
| Đặc tính tính năng | Tiêu chí tính năng | Trích hút lạnh | ||
| Kiểu khí nén Magneto a) | Kiểu hai quả tạ a) | Kiểu cuvét điện hóa a) | ||
| Khoảng nhỏ nhất điển hình | 25 % (theo thể tích) | |||
| Thời gian đáp ứng | ≤ 200 s | 57 s | 51 s | 71 s |
| Độ lệch chuẩn lặp lại trong phòng thử nghiệm tại điểm “không” | ≤ 0,2 % (theo thể tích) | 0,01 % (theo thể tích) | 0,00 % (theo thể tích) | 0,04 % (theo thể tích) |
| Độ lệch chuẩn lặp lại trong phòng thử nghiệm tại điểm chuẩn khoảng đo | ≤ 0,2 thể tích % | 0,02 % (theo thể tích) | 0,00 % (theo thể tích) | 0,04 % (theo thể tích) |
| Độ lệch | ≤ 0,2 % (theo thể tích) | 0,07 % (theo thể tích) | 0,03 % (theo thể tích) | 0,02 % (theo thể tích) |
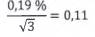
| Lệch điểm “không” trong 24h | ≤ 0,2 % (theo thể tích) |
| ─ | ─ |
| Lệch điểm chuẩn khoảng đo trong 24h | ≤ 0,2 % (theo thể tích) |
| ─ | ─ |
| Độ trôi điểm “không” trong khoảng thời gian không giám sát | ≤ 0,2 % (theo thể tích) | 0,19 % (theo thể tích) | 0,02 % (theo thể tích) | -0, 06 % (theo thể tích) |
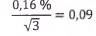
| Độ trôi điểm chuẩn khoảng đo trong khoảng thời gian không giám sát | ≤ 0,2 % (theo thể tích) | 0,16 % (theo thể tích) | 0,05 % (theo thể tích) | 0,05 % (theo thể tích) |
| Độ nhạy với áp suất khí mẫu thử, với áp suất thay đổi 2 kPa | ≤ 0,2 % (theo thể tích) |
|
|
|
| Độ nhạy của dòng khí mẫu thử đối với hút AMS | ≤ 0,2 % (theo thể tích) | 0,1 % (theo thể tích) |
|
|
| Độ nhạy với nhiệt độ môl trường xung quanh, thay đổi mỗi 10 K trong khoảng nhiệt độ do nhà sản xuất quy định | ≤ 0,3 % (theo thể tích) | 0,22 % (theo thể tích) | 0,10 % (theo thể tích) | 0,23 % (theo thể tích) |
| Độ nhạy với điện áp trong dải điện áp do nhà sản xuất quy định | ≤ 0,2 % (theo thể tích) mỗi 10 V | 0,04 % (theo thể tích) | 0,00 % (theo thể tích) | 0,02 % (theo thể tích) |
| Độ nhạy chéo | ≤ 0,4 % (theo thể tích) | -0,19% (theo thể tích) | 0,10 % (theo thể tích) | 0,00 % (theo thể tích) |
| a) Dữ liệu được lấy từ báo cáo thử nghiệm trong EN 15267 | ||||
Các kết quả phép thử tính năng theo đặc tính tính năng của Phụ lục E đối với đo O2 theo phương pháp hút oxit zirconi (Phụ lục B) và phương pháp oxit zirconi tại chỗ và phương pháp TLS tại chỗ (Phụ lục C) được trình bày ở Bảng F.3.2.
Bảng F.3.2 - Đặc tính tính năng đo O2 bằng phương pháp trích hút zirconi; phương pháp TLS tại chỗ và zirconi tại chỗ
| Đặc tính tính năng | Tiêu chí tính năng | Trích hút | Tại chỗ | |
| Kiểu trích hút oxit zirconia) | Kiểu trích hút zirconi tại chỗ nónga) | Kiểu TLS | ||
| Khoảng nhỏ nhất điển hình | 25 % | |||
| Thời gian đáp ứng | ≤ 200 s | 90 s | 17 s | 1,6 s |
| Độ lệch chuẩn lặp lại trong phòng thử nghiệm tại điểm “không” | ≤ 0,2 % (theo thể tích) | 0 02 % (theo thể tích) | 0,00 % (theo thể tích) | 0,1 % (theo thể tích) |
| Độ lệch chuẩn lặp lại trong phòng thử nghiệm tại điểm chuẩn khoảng đo | ≤ 0,2 % (theo thể tích) | 0,0 % (theo thể tích) | 0,07 % (theo thể tích) | 0,11 % (theo thể tích) |
| Độ lệch | ≤ 0,2 % (theo thể tích) | -0,04 % (theo thể tích) | 0,09 % (theo thể tích) | 0,55 % (theo thể tích) |
| Lệch điểm “không” trong 24 h | ≤ 0,2 % (theo thể tích) | ─ | ─ | 0,45 % (theo thể tích) |
| Lệch điểm chuẩn khoảng đo trong 24 h | ≤ 0,2 % (theo thể tích) | ─ | ─ | 0,13 % (theo thể tích) |
| Độ trôi điểm “không” trong khoảng thời gian không giám sát | ≤ 0,2 % (theo thể tích) | -0,052 % (theo thể tích) | 0,16 % (theo thể tích) |
|
| Độ trôi điểm chuẩn khoảng đo trong khoảng thời gian không giám sát | ≤ 0,2 % (theo thể tích) | 0,10 % (theo thể tích) | 0,19 % (theo thể tích) | ─ |
| Độ nhạy của áp suất khí mẫu thử, với áp suất thay đổi 2 kPa | ≤ 0,2 % (theo thể tích) | ─ | -0,20 % (theo thể tích) | ─ |
| Độ nhạy của dòng khí mẫu thử đối với hút AMS | ≤ 0,2 % (theo thể tích) | 0,063 % (theo thể tích) | ─ | ─ |
| Độ nhạy với nhiệt độ môi trường xung quanh, thay đổi mỗi 10 K trong khoảng nhiệt độ do nhà sản xuất quy định | ≤ 0,3 % (theo thể tích) | 0,23 % (theo thể tích) | 0,15 % (theo thể tích) | 0,30 % (theo thể tích) |
| Độ nhạy với điện áp trong dải điện áp do nhà sản xuất quy định | ≤ 0,2 % (theo thể tích) | 0,023 % (theo thể tích) | 0,06 % (theo thể tích) | 0,0 % (theo thể tích) |
| Độ nhạy chéo | ≤ 0,4 % (theo thể tích) | 0,14 % (theo thể tích) | -0,23% (theo thể tích) | 0,0 % (theo thể tích) |
| Lệch, của phép đo chùm tia cắt ngang ống khói trong AMS tại chỗ | ≤ 2 % giới hạn trên của khoảng đo nhỏ nhất được sử dụng | ─ | ─ | ─ |
| a) Dữ liệu được lấy từ báo cáo thử nghiệm trong EN 15267 | ||||
Phụ lục G
(Tham khảo)
Tính độ không đảm bảo phép đo CO, CO2 và O2
G.1 Yêu cầu chung
Các công thức mô hình trong Điều này, cũng như tính độ không đảm bảo từng phần tương quan với các giá trị đo được bằng máy phân tích và được biểu thị bằng mg/m3 (CO) hoặc % thể tích (CO2 và O2). Giải thích và quy trình tính toán độ không đảm bảo tiêu chuẩn của phép đo được trình bày trong ISO 20988.
G.2 Kết quả tính độ không đảm bảo
Định lượng các ảnh hưởng của đặc tính tính năng được chọn như độ không đảm bảo chuẩn từng phần được tính theo ISO 14956.
Bảng G.1 - Kết quả tính độ không đảm bảo của phép đo CO sử dụng NDIR và TLS dựa trên kết quả từ trong Bảng F.1.1
| Đặc tính tính năng | Độ không đảm bảo chuẩn từng phần | Giá trị độ không đảm bảo chuẩn tại giới hạn trên của khoảng đo thấp nhất được dùng (mg/m3) | ||
| Trích hút lạnh | Tại chỗ | |||
| Kiểu môđun chéo NDIR | Kiểu hai chùm tia NDIR | Kiểu TLS | ||
| Độ lệch chuẩn lặp lại trong phòng thử nghiệm tại điểm “không” | ur,0 | 0,6 % x 50 = 0,3 | 0,02 % x 75 = 0,02 | 0,1 % x 250 = 0,25 |
| Độ lệch chuẩn lặp lại trong phòng thử nghiệm tại điểm chuẩn khoảng đo | ur,s | 1,3 % x 50 = 0,65 | 0,05 % x 75 = 0,04 | 0,45 % x 250 = 1,1 |
| Độ lệch | ulof |
|
|
|
| Lệch điểm “không” trong 24h | ud,0 | — | — |
|
| Lệch điểm chuẩn khoảng đo trong 24h | ud,s | — | — |
|
| Độ lệch điểm không trong khoảng thời gian không giám sát | ud,o |
|
| — |
| Độ lệch điểm chuẩn khoảng đo trong khoảng thời gian không giám sát | ud,s |
|
| — |
| Độ nhạy với áp suất khí mẫu, với áp suất thay đổi 2 kPa | uinf,p | — | — | — |
| Độ nhạy của dòng khí mẫu thử, đối với chiết AMS | uinf,f |
|
| — |
| Độ nhạy với nhiệt độ không khí xung quanh, với thay đổi 10 K | uinf,T |
|
|
|
| Độ nhạy với điện áp | uinf,V |
|
|
|
| Độ nhạy chéo | ui,co |
|
|
|
| Lệch của phép đo chùm tia cắt ngang ống khói trong AMS tại chỗ | umb | — | — |
|
Độ không đảm bảo chuẩn kết hợp, u(γCO), và độ không đảm bảo mở rộng, U(γCO), được tính như sau:
|
| (G.1) |
|
| (G.2) |
Trong đó k là hệ số phủ (=1,96).
AMS kiểu modun chéo NDIR
Độ không đảm bảo chuẩn kết hợp, u(γCO), được tính theo Công thức (G.1) và giá trị của từng độ không đảm bảo chuẩn từng phần được liệt kê trong Bảng G.1 như ví dụ sau:

Độ không đảm bảo mở rộng U(γCO) được tính bằng 1,96 x 1,30 = 2,55 mg/m3 (5,1 % của khoảng).
G.3 AMS kiểu hai chùm tia NDIR
Dựa trên số liệu được liệt kê ở Bảng G.1, độ không đảm bảo tại giới hạn trên của khoảng đo thấp nhất bằng 75 mg/m3 được ước tính bằng 2,06 mg/m3.
Độ không đảm bảo mở rộng U(γCO) được tính bằng 4,04 mg/m3 (5,4 % của khoảng).
G.4 AMS kiểu TLS tại chỗ
Độ không đảm bảo kết hợp tại giới hạn trên của khoảng đo thấp nhất bằng 250 mg/m3 được ước tính bằng 6,00 mg/m3.
Độ không đảm bảo mở rộng U(γCO) được tính bằng 11,8 mg/m3 (4,7 % của khoảng).
Bảng G.2 - Kết quả tính độ không đảm bảo của phép đo CO2 sử dụng NDIR và TLS dựa trên kết quả của Bảng F.2.1
| Đặc tính tính năng | Độ không đảm bảo chuẩn từng phần | Giá trị độ không đảm bảo chuẩn tại giới hạn trên của khoảng đo thấp nhất được dùng [% (thể tích)] | ||
| Trích hút lạnh | Tại chỗ | |||
| Kiểu môđun chéo NDIR | Kiểu hai chùm tia NDIR | Kiểu TLS | ||
| Độ lệch chuẩn lặp lại trong phòng thử nghiệm tại điểm “không” | ur, 0 | 0,0 % x 20 = 0,0 | 0,0 % x 20 = 0,0 | 0,07 % x 20 = 0,01 |
| Độ lệch chuẩn lặp lại trong phòng thử nghiệm tại điểm chuẩn khoảng đo | ur,s | 0,1 % x 20 = 0,02 | 0,05 % x 20 = 0,01 | 0,07 % x 20 = 0,01 |
| Độ lệch | ulof |
|
|
|
| Lệch điểm “không” trong 24h | ud,o |
|
|
|
| Lệch điểm chuẩn khoảng đo trong 24h | ud,s |
|
|
|
| Độ lệch điểm không trong khoảng thời gian không giám sát | ud,o |
|
|
|
| Độ lệch điểm chuẩn khoảng đo trong khoảng thời gian không giám sát | ud,s |
|
|
|
| Độ nhạy với áp suất khí mẫu, với áp suất thay đổi 2 kPa | uinf,p |
|
|
|
| Độ nhạy của dòng khí mẫu thử, đối với chiết AMS | uinf,f |
|
|
|
| Độ nhạy với nhiệt độ không khí xung quanh, với thay đổi 10 K | uinf,T |
|
|
|
| Độ nhạy với điện áp | uinf,V |
| 0,0 |
|
| Độ nhạy chéo | ui,CO2 |
|
|
|
| Lệch của phép đo chùm tia cắt ngang ống khói trong AMS tại chỗ | umb | — | — |
|
Độ không đảm bảo chuẩn kết hợp (u(γCO2)) và độ không đảm bảo mở rộng (U(γCO2)) được tính theo các công thức giống như đối với co.
G.5 AMS kiểu modun chéo NDIR
Độ không đảm bảo chuẩn kết hợp và độ không đảm bảo mở rộng được tính cho khoảng đo thấp nhất 20 % thể tích CO2 được tính như sau:
- Độ không đảm bảo chuẩn kết hợp: 0,38 % (theo thể tích) (1,9 %)
- Độ không đảm bảo mở rộng (U(γCO2)): 0,74 % (theo thể tích) (3,7 %)
G.6 AMS kiểu hai chùm tia NDIR
Độ không đảm bảo chuẩn kết hợp và độ không đảm bảo mở rộng được tính cho khoảng đo thấp nhất 20 % thể tích CO2 được tính như sau:
- Độ không đảm bảo chuẩn kết hợp: 0,39 % (theo thể tích) (2,0 %)
- Độ không đảm bảo mở rộng (U(γCO2)): 0,76 % (theo thể tích) (3,8 %)
G.7 AMS kiểu TLS tại chỗ
Độ không đảm bảo chuẩn kết hợp và độ không đảm bảo mở rộng được tính cho khoảng đo thấp nhất 20 % thể tích CO2 được tính như sau:
- Độ không đảm bảo chuẩn kết hợp: 0,39 % (theo thể tích) (2,0 %)
- Độ không đảm bảo mở rộng (U(γCO2)): 0,77 % (theo thể tích) (3,8 %)
Bảng G.3.1 - Kết quả tính độ không đảm bảo đối với phép đo O2 sử dụng phương pháp thuận từ (khí nén magneto và kiểu hai quả tạ) và phương pháp điện hóa dựa trên kết quả Bảng F.3.1
| Đặc tính tính năng | Độ không đảm bảo chuẩn từng phần | Giá trị độ không đảm bảo chuẩn tại giới hạn trên của khoảng đo thấp nhất được dùng [% (thể tích)] | ||
| Trích hút lạnh | Tại chỗ | |||
| Kiểu khí nén magneto | Kiểu hai quả tạ NDIR | Kiểu cuvet điện hóa | ||
| Độ lệch chuẩn lặp lại trong phòng thử nghiệm tại điểm “không” | ur,0 | 0,0 | 0,00 | 0,01 |
| Độ lệch chuẩn lặp lại trong phòng thử nghiệm tại điểm chuẩn khoảng đo | ur,s | 0,01 | 0,001 | 0,01 |
| Độ lệch | ulof |
|
|
|
| Lệch điểm “không” trong 24h | ud,o |
| — | — |
| Lệch điểm chuẩn khoảng đo trong 24h | ud,s |
| — | — |
| Độ lệch điểm không trong khoảng thời gian không giám sát | ud,o |
|
|
|
| Độ lệch điểm chuẩn khoảng đo trong khoảng thời gian không giám sát | ud,s |
|
|
|
| Độ nhạy với áp suất khí mẫu, với áp suất thay đổi 2 kPa | uinf,p | — | — | — |
| Độ nhạy của dòng khí mẫu thử, đối với chiết AMS | uinf,f |
| — |
|
| Độ nhạy với nhiệt độ không khí xung quanh, với thay đổi 10 K | uinf,T |
|
|
|
| Độ nhạy với điện áp | uinf,V |
|
|
|
| Độ nhạy chéo | ui,O2 |
|
|
|
G.8 AMS kiểu khí nén magneto
Độ không đảm bảo chuẩn kết hợp và độ không đảm bảo mở rộng được tính cho khoảng đo thấp nhất 25 % thể tích O2 được tính như sau:
- Độ không đảm bảo chuẩn kết hợp: 0,24 % (theo thể tích) (1,0 %) ui,O2
- Độ không đảm bảo mở rộng (U(γO2)): 0,47 % (theo thể tích) (1,9 %)
G.9 AMS kiểu hai quả tạ
Độ không đảm bảo chuẩn kết hợp và độ không đảm bảo mở rộng được tính cho khoảng đo thấp nhất 25 % thể tích 02 được tính như sau:
- Độ không đảm bảo chuẩn kết hợp: 0,09 % (theo thể tích) (0,4 %)
- Độ không đảm bảo mở rộng (U(γO2)): 0,13 % (theo thể tích) (0,7 %)
G.10 AMS kiểu ngăn điện hóa
Độ không đảm bảo chuẩn kết hợp và độ không đảm bảo mở rộng được tính cho khoảng đo thấp nhất 25 % thể tích O2 được tính như sau:
- Độ không đảm bảo chuẩn kết hợp: 0,14 % (theo thể tích) (0,6 %)
- Độ không đảm bảo mở rộng (UγO2)): 0,28 % (theo thể tích) (1,1 %)
Bảng G.3.2 - Kết quả tính độ không đảm bảo của phép đo O2 theo phương pháp ZrO2 và TLS dựa trên kết quả của Bảng F.3.2
| Đặc tính tính năng | Độ không đảm bảo chuẩn từng phần | Giá trị độ không đảm bảo chuẩn tại giới hạn trên của khoảng đo thấp nhất được dùng [% (thể tích)] | ||
| Trích hút lạnh | Tại chỗ | |||
| Kiểu ZrO2 | Kiểu ZrO2 nóng | Kiểu TLS | ||
| Độ lệch chuẩn lặp lại trong phòng thử nghiệm tại điểm “không” | ur,0 | 0,02 | 0,00 | 0,06 |
| Độ lệch chuẩn lặp lại trong phòng thử nghiệm tại điểm chuẩn khoảng đo | ur,s | 0,0 | 0,07 | 0,11 |
| Độ lệch | ulof |
|
|
|
| Lệch điểm “không” trong 24h | ud,o | — | — |
|
| Lệch điểm chuẩn khoảng đo trong 24h | ud,s | — | — |
|
| Độ lệch điểm không trong khoảng thời gian không giám sát | ud,o |
|
| — |
| Độ lệch điểm chuẩn khoảng đo trong khoảng thời gian không giám sát | ud,s |
|
| — |
| Độ nhạy với áp suất khí mẫu, với áp suất thay đổi 2 kPa | uinf,p | — |
| — |
| Độ nhạy của dòng khí mẫu thử, đối với chiết AMS | uinf,f |
| — | — |
| Độ nhạy với nhiệt độ không khí xung quanh, với thay đổi 10 K | uinf,T |
|
|
|
| Độ nhạy với điện áp | uinf,V |
|
| 0,0 |
| Độ nhạy chéo | ui,O2 |
|
| 0,0 |
| Lệch của phép đo chùm tia cắt ngang ống khói trong AMS tại chỗ | umb |
|
|
|
G.11 AMS kiểu hút ZrO2
Độ không đảm bảo chuẩn kết hợp và độ không đảm bảo mở rộng được tính cho khoảng đo thấp nhất 25 % thể tích O2 được tính như sau:
- Độ không đảm bảo chuẩn kết hợp: 0,17 % (theo thể tích) (0,68 %)
- Độ không đảm bảo mở rộng: 0,33 % (theo thể tích) (1,3 %)
G.12 AMS kiểu ZrO2 nóng tại chỗ
Độ không đảm bảo chuẩn kết hợp và độ không đảm bảo mở rộng được tính cho khoảng đo thấp nhất 25 % thể tích 02 được tính như sau:
- Độ không đảm bảo chuẩn kết hợp: 0,31 % (theo thể tích) (1,2 %)
- Độ không đảm bảo mở rộng: 0,61 % (theo thể tích) (2,4 %)
G.13 AMS kiểu TLS tại chỗ
Độ không đảm bảo chuẩn kết hợp và độ không đảm bảo mở rộng được tính cho khoảng đo thấp nhất 25 % thể tích 02 được tính như sau:
- Độ không đảm bảo chuẩn kết hợp: 0,55 % (theo thể tích) (2,2 %)
- Độ không đảm bảo mở rộng: 1,1 % (theo thể tích) (4,3 %)
Thư mục tài liệu tham khảo
[1] TCVN 6751:2009 (ISO 9169:2006), Chất lượng không khí - Định nghĩa và xác định đặc trưng tính năng của hệ thống đo tự động
[2] TCVN 6192:2010 (ISO 10396:2007), Phát thải nguồn tĩnh - Lấy mẫu để đo tự động nồng độ khí đối với hệ thống quan trắc lắp đặt vĩnh viễn
[3] ISO 14385-1:2014, Stationary source emissions - Greenhouse gases - Part 1: Calibration of automated measuring systems
[4] ISO 14385-2:2014, Stationary source emissions-Greenhouse gases-Part 2: Ongoing quality control of automated measuring systems
[5] ISO 20988, Air quality-Guidelines for estimating measurement uncertainty
[6] TCVN 9595-3:2013 (ISO/IEC GUIDE 98-3:2008) Độ không đảm bảo đo - Phần 3: Hướng dẫn trình bày độ không đảm bảo đo (GUM:1995)
[7] JAHNKE James A., Continuous Emissions Monitoring, 2nd Edition’, John Wiley & Sons, New York, 2000
[8] BAUMBACH Gϋnter, Air Quality Control, Springer Berlin, Heidelberg, New York, 1996
[9] The references for the AMS with EN 15267 certificates managed byTÜV, www.qal1.de/en/index.htm MCERTS www.csagroupuk.org/services/mcerts/mcerts-product-certification/mcerts-certified products/
Bạn chưa Đăng nhập thành viên.
Đây là tiện ích dành cho tài khoản thành viên. Vui lòng Đăng nhập để xem chi tiết. Nếu chưa có tài khoản, vui lòng Đăng ký tại đây!











