- Tổng quan
- Nội dung
- Tiêu chuẩn liên quan
- Lược đồ
- Tải về
Tiêu chuẩn TCVN 10405:2020 Đai cây ngập mặn giảm sóng - Khảo sát và thiết kế
| Số hiệu: | TCVN 10405:2020 | Loại văn bản: | Tiêu chuẩn Việt Nam |
| Cơ quan ban hành: | Bộ Khoa học và Công nghệ | Lĩnh vực: | Tài nguyên-Môi trường , Nông nghiệp-Lâm nghiệp |
| Trích yếu: | Đai cây ngập mặn giảm sóng - Khảo sát và thiết kế | ||
|
Ngày ban hành:
Ngày ban hành là ngày, tháng, năm văn bản được thông qua hoặc ký ban hành.
|
31/12/2020 |
Hiệu lực:
|
Đã biết
|
| Người ký: | Đang cập nhật |
Tình trạng hiệu lực:
Cho biết trạng thái hiệu lực của văn bản đang tra cứu: Chưa áp dụng, Còn hiệu lực, Hết hiệu lực, Hết hiệu lực 1 phần; Đã sửa đổi, Đính chính hay Không còn phù hợp,...
|
Đã biết
|
TÓM TẮT TIÊU CHUẨN VIỆT NAM TCVN 10405:2020
Nội dung tóm tắt đang được cập nhật, Quý khách vui lòng quay lại sau!
Tải tiêu chuẩn Việt Nam TCVN 10405:2020
TIÊU CHUẨN QUỐC GIA
TCVN 10405:2020
ĐAI CÂY NGẬP MẶN GIẢM SÓNG - KHẢO SÁT VÀ THIẾT KẾ
Mangrove belt against wave - Survey and design
MỤC LỤC
Lời nói đầu
1. Phạm vi áp dụng
2. Tài liệu viện dẫn
3. Thuật ngữ và định nghĩa
4. Yêu cầu đối với điều tra, khảo sát khu vực thiết kế đai cây ngập mặn giảm sóng
4.1 Thu thập một số yếu tố liên quan đến thiết kế đai cây ngập mặn giảm sóng
4.2 Thành phần, khối lượng khảo sát địa hình
4.3 Thành phần, khối lượng khảo sát địa chất
4.4 Khảo sát tính chất vật lý thể nền bãi ngập mặn
5. Thiết kế đai cây ngập mặn giảm sóng
5.1 Nguyên tắc chung thiết kế đai cây ngập mặn giảm sóng
5.2 Điều kiện bãi triều khu vực thiết kế đai cây ngập mặn giảm sóng
5.3 Lựa chọn loài cây ngập mặn giảm sóng
5.4 Chỉ tiêu cây giống ngập mặn đem trồng
5.5 Mật độ cây trồng và cách bố trí
5.6 Xác định chiều rộng đai cây giảm sóng
5.7 Kỹ thuật trồng đai cây giảm sóng
Phụ lục A (Tham khảo) Phân vùng tự nhiên đối với cây ngập mặn
Phụ lục B (Tham khảo) Lựa chọn loài cây ngập mặn theo điều kiện bãi triều
Phụ lục C (Tham khảo) Đào hố cải tạo thể nền
Phụ lục D (Quy định) Hàng rào giảm sóng
Thư mục tài liệu tham khảo
Lời nói đầu
TCVN 10405 : 2020 thay thế TCVN 10405 : 2014
TCVN 10405 : 2020 do Viện Khoa học Thủy lợi Việt biên soạn, Bộ Nông nghiệp và Phát triển Nông thôn đề nghị, Tổng cục Tiêu chuẩn Đo lường Chất lượng thẩm định, Bộ Khoa học và Công nghệ công bố.
ĐAI CÂY NGẬP MẶN GIẢM SÓNG - KHẢO SÁT VÀ THIẾT KẾ
Mangrove belt against wave - Survey and design
1. Phạm vi áp dụng
Tiêu chuẩn này quy định về thành phần, khối lượng khảo sát và nội dung thiết kế đai cây ngập mặn giảm sóng bảo vệ đê biển, bờ biển.
2. Tài liệu viện dẫn
Các tài liệu viện dẫn sau rất cần thiết cho việc áp dụng tiêu chuẩn này. Đối với các tài liệu viện dẫn ghi năm công bố thì áp dụng phiên bản được nêu. Đối với các tài liệu viện dẫn không ghi năm công bố thì áp dụng phiên bản mới nhất, bao gồm cả các sửa đổi, bổ sung (nếu có):
TCVN 7538 - 1, Chất lượng đất - Lấy mẫu - Phần 1: Hướng dẫn lập chương trình lấy mẫu
TCVN 7538 - 2, Chất lượng đất - Lấy mẫu - Phần 2: Hướng dẫn kỹ thuật lấy mẫu
TCVN 8481, Công trình đê điều - Yêu cầu về thành phần, khối lượng khảo sát địa hình
TCVN 9901, Công trình thủy lợi - Yêu cầu thiết kế đê biển
TCVN 10404, Công trình đê điều - Khảo sát địa chất công trình
3. Thuật ngữ và định nghĩa
Trong tiêu chuẩn này sử dụng các thuật ngữ và định nghĩa sau:
3.1
Cây ngập mặn (Mangrove trees)
Các loài cây sống được trên các bãi triều tại vùng cửa sông, ven biển.
3.2
Đai cây ngập mặn giảm sóng (Mangrove belt against wave)
Tập hợp các cây ngập mặn sống thành dài chạy dài theo chân đê, bờ biển, vùng cửa sông có tác dụng giảm sóng, hạn chế xói lở, tăng bồi tụ đất, bảo vệ đê, bờ biển, bao gồm cây mọc tự nhiên và gây trồng.
3.3
Bãi triều (Tidal marsh)
Bãi đất ngập nước thường xuyên hoặc định kỳ do tác dụng của thủy triều.
3.4
Thời gian phơi bãi (Unsubmerged time)
Số giờ trong một ngày bãi không bị ngập nước thủy triều tính trung bình trong năm.
3.5
Độ mặn (Salinity)
Lượng muối tính ra gam có trong 1.000 gam nước biển ở điều kiện bình thường (‰ hay g/l).
3.6
Độ mặn trung bình (Average salinity)
Độ mặn của nước biển tính trung bình trong năm.
3.7
Tỷ lệ cát (Sand content)
Tỷ lệ phần trăm (%) của hạt cát có kích thước từ 0,02 mm đến 2,0 mm trên một đơn vị khối lượng đất thể nền.
3.8
Thể nền (Substrate)
Lớp đất mà rễ cây xâm nhập lấy dinh dưỡng và giúp cây đứng vững.
3.9
Điều kiện gây trồng (Planting conditions)
Các yếu tố ngoại cảnh ảnh hưởng đến quá trình sinh trưởng và phát triển của cây ngập mặn, bao gồm điều kiện khí hậu, chế độ ngập triều/thời gian phơi bãi, chế độ sóng biển, độ thành thục của đất và độ mặn của nước biển.
3.10
Thành phần cấu trúc của đất (Soil texture)
Tỷ lệ (%) các cấp hạt khác nhau trong đất. Chia thành 3 loại gồm: bùn (bùn loãng, bùn chặt), sét (sét mềm, sét cứng) và cát (cát lẫn bùn, cát).
3.11
Độ thành thục của đất (Soil maturity)
Tỷ số giữa tỷ lệ % trọng lượng nước và tỷ lệ % trọng lượng của đất. Được xác định nhanh ngoài hiện trường dựa vào độ lún sâu của chân đi trên đất.
3.12
Hàng rào giảm sóng (Fence)
Loại công trình có kết cấu gồm nhiều hàng cọc bằng vật liệu tự nhiên (cọc tre, cọc tràm..), ở giữa các hàng được chèn chặt bằng các bó lấp nhét (bó ngọn tre, bó cành cây..) và được liên kết chặt với nhau bằng các nẹp dọc, nẹp ngang tạo thành một kết cấu cứng chắc.
4. Yêu cầu đối với điều tra, khảo sát khu vực thiết kế đai cây ngập mặn giảm sóng
4.1 Thu thập một số yếu tố liên quan đến thiết kế đai cây ngập mặn giảm sóng
Nội dung thu thập, tổng hợp, xử lý và phân tích tài liệu về điều kiện tự nhiên liên quan đến thiết kế đai cây ngập mặn giảm sóng, xem tại Bảng 1.
Bảng 1 - Thu thập tài liệu liên quan đến thiết kế đai cây ngập mặn giảm sóng
| Yếu tố thu thập | Nội dung thu thập | Yêu cầu số liệu thu thập |
| 1. Mực nước biển | Mực nước biển trung bình. Thủy triều: chu kỳ triều, biên độ triều. | Số liệu mực nước biển trung bình tối thiểu 5 năm gần nhất, số liệu đo thủy triều theo giờ tại trạm gần nhất. |
| 2. Sóng | Loại sóng, dạng sóng, độ cao sóng, biên độ sóng, độ dài sóng, độ dốc sóng, chu kỳ sóng, tốc độ truyền sóng, hướng truyền sóng. | Các số liệu thu thập đảm bảo tính đại diện cho các mùa trong năm. |
| 3. Gió | Hướng gió, tốc độ. Thời gian duy trì hướng gió, vận tốc, tần suất xuất hiện hướng và tốc độ gió. | Xác định được hướng gió, tốc độ và thời gian gió thịnh hành trong tháng, trong mùa, trong năm. |
| 4. Độ mặn nước biển | Số liệu về độ mặn của nước biển. | Độ mặn trung bình, độ mặn cao nhất, độ mặn thấp nhất, số ngày có độ mặn cao nhất, độ mặn thấp nhất từng tháng trong năm và theo mùa. |
| 5. Trồng rừng ngập mặn | Các biện pháp kỹ thuật trồng cây ngập mặn đã áp dụng tại địa phương. | Phương thức trồng: thuần loài, hỗn giao. Phương pháp trồng rừng ngập mặn (tiêu chuẩn cây giống, kỹ thuật đào hố, trồng, cắm cọc và chăm sóc cây ngập mặn). Tình hình sinh vật gây hại cây rừng ngập mặn. |
4.2 Thành phần, khối lượng khảo sát địa hình
4.2.1 Phạm vi khảo sát
Khảo sát địa hình khu vực thiết kế đai cây ngập mặn giảm sóng được thực hiện trên khu vực bãi triều thiết kế đai cây ngập mặn giảm sóng và khu vực công trình hỗ trợ trồng đai cây ngập mặn giảm sóng nếu có.
4.2.2 Thành phần, khối lượng khảo sát
Thành phần công việc, phương pháp thực hiện, theo TCVN 8481. Khối lượng khảo sát khu vực bãi triều thiết kế đai cây ngập mặn giảm sóng bao gồm:
- Đo vẽ bình đồ khảo sát địa hình tỷ lệ 1/500 với diện tích bằng 1,15 lần diện tích thiết kế đai cây giảm sóng. Bình đồ khảo sát thể hiện đầy đủ địa hình, địa vật các công trình đã có, độ dốc, thời gian phơi bãi và hiện trạng cây ngập mặn nằm trong phạm vi bãi triều cần khảo sát;
- Mặt cắt ngang tỷ lệ 1/500 từ bờ đến điểm sóng vỡ với mật độ 500 m/mặt cắt;
- Đóng cọc mốc theo dõi biến động mặt bãi triều; đóng cọc mốc theo dõi với mật độ 30 m/cọc theo mặt cắt ngang khảo sát.
Đối với khu vực đặt công trình hỗ trợ trồng đai cây giảm sóng yêu cầu về thành phần, khối lượng khảo sát địa hình tùy thuộc vào dạng công trình hỗ trợ.
4.3 Thành phần, khối lượng khảo sát địa chất
4.3.1 Phạm vi khảo sát
Khảo sát địa chất được thực hiện trong khu vực thiết kế hàng rào giảm sóng hoặc công trình hỗ trợ khác.
4.3.2 Thành phần, khối lượng khảo sát
Thành phần công việc, phương pháp thực hiện, theo TCVN 10404. Đối với hàng rào giảm sóng tiến hành đào hố địa chất hoặc sử dụng khoan guồng xoắn, sâu từ 2 m đến 5 m, khoảng cách hố đào là 200 m/hố dọc theo tuyến bố trí hàng rào.Trung bình 1,5 m tầng khoan, đào lấy một mẫu đất không nguyên dạng, thí nghiệm mẫu xác định 7 chỉ tiêu: thành phần hạt, độ ẩm, dung trọng tự nhiên, khối lượng riêng, thí nghiệm nén lún, góc ma sát trong, lực dính.
4.4 Khảo sát tính chất vật lý thể nền bãi ngập mặn
4.4.1 Phạm vi khảo sát
Khu vực bãi triều nơi thiết kế đai cây ngập mặn giảm sóng.
4.4.2 Thành phần công việc
Khảo sát tính chất vật lý của đất ngập mặn cần xác định các chỉ tiêu: thành phần cấu trúc của đất ngập mặn (tỷ lệ % hạt cát); độ thành thục của đất ngập mặn nhằm xác định mức độ khó khăn, tính chất ổn định của thể nền cho bãi ngập mặn.
4.4.3 Phương pháp thực hiện
Phương pháp lấy mẫu xác định thành phần cấu trúc của đất, theo TCVN 7538 - 1 và TCVN 7538 - 2;
Phương pháp xác định độ thành thục của đất ngập mặn bằng cách tính độ lún của bàn chân khi đi trên thể nền. Phân chia độ thành thục của đất ngập mặn thành 3 mức độ:
- Dạng bùn mềm: khi đi chân bị lún từ 5 cm đến 40 cm, mức độ thuận lợi;
- Dạng bùn chặt và bùn lỏng: khi đi chân bị lún từ 1 cm đến 5 cm và từ 40 cm đến 70 cm, mức độ khó khăn;
- Dạng sét cứng và bùn rất lỏng: khi đi chân bị lún rất ít nhỏ hơn 1 cm và lún rất nhiều lớn hơn 70 cm, mức độ rất khó khăn.
4.4.4 Khối lượng thực hiện
Xác định thành phần cấu trúc của đất: tại khu vực bãi triều thiết kế đai cây, xác định tối đa 9 ô tiêu chuẩn làm đại diện, mỗi ô tiêu chuẩn 1.000 m². Trên mỗi ô tiêu chuẩn đào một phẫu diện và lấy tối đa 3 mẫu trên một phẫu diện, khối lượng 1 mẫu là 500 gam. Các thông số xác định trong phòng thí nghiệm bao gồm: tỷ lệ cát, bùn và sét.
Xác định độ thành thục của đất: chia ô tiêu chuẩn xác định thành phần cấu trúc thành 4 ô vuông, mỗi ô 250 m². Trong mỗi ô vuông, vẽ 2 đường chéo, trên mỗi đường chéo xác định 9 vị trí để tính mức độ chân đi bị lún và tính trị số bình quân.
4.5 Điều tra, khảo sát hiện trạng rừng ngập mặn
4.5.1 Phạm vi điều tra, khảo sát
Khu vực điều tra, khảo sát thiết kế đai cây ngập mặn giảm sóng và khu vực rừng ngập mặn giáp ranh lô khảo sát.
4.5.2 Thành phần công việc
Đối với khu vực thiết kế đai cây ngập mặn giảm sóng: xác định hiện trạng sử dụng đất; xác định diện tích, ranh giới, chiều rộng đai rừng hiện có; điều tra cấu trúc rừng ngập mặn; điều tra tái sinh rừng.
Đối với khu vực rừng ngập mặn: điều tra hiện trạng (diện tích, thành phần loài, phân bố), cấu trúc rừng ngập mặn và tái sinh cây ngập mặn.
4.5.3 Phương pháp thực hiện
Sử dụng bản đồ hiện trạng rừng ngập mặn để xác định hiện trạng rừng.
Điều tra cấu trúc rừng ngập mặn: sử dụng phương pháp ô tiêu chuẩn điển hình, diện tích ô tiêu chuẩn 1000 m²; đo đếm, thu thập các chỉ tiêu, bao gồm: tên cây rừng, số lượng từng loài, đường kính tại vị trí gốc, đường kính gốc (đối với loài cây ngập mặn rễ hình nơm đo trên phần rễ nơm, đối với rễ bạnh vè đo trên vị trí bạnh vè 10 cm, đối với rễ khí sinh đo trên gốc 5 cm), chiều cao vút ngọn, mật độ, đường kính tán cây, sinh trưởng.
Điều tra cây tái sinh: lập ô dạng bản, diện tích 4 m² với kích thước (2 x 2) m; đo đếm các chỉ tiêu: tên loài cây, số lượng, đường kính gốc, chiều cao cây, đánh giá phẩm chất cây tái sinh (tốt, trung bình, xấu).
4.5.4 Khối lượng thực hiện
Tại khu vực thiết kế đai cây ngập mặn giảm sóng, mỗi trạng thái rừng lập tối thiểu 3 ô tiêu chuẩn, tối đa 9 ô tiêu chuẩn.
Khu vực có rừng ngập mặn mỗi trạng thái rừng lập 3 ô tiêu chuẩn.
Trên mỗi ô tiêu chuẩn lập 5 ô đánh giá cây tái sinh (4 ô ở 4 góc và 1 ô ở giữa).
5. Thiết kế đai cây ngập mặn giảm sóng
5.1 Nguyên tắc chung thiết kế đai cây ngập mặn giảm sóng
- Phù hợp với điều kiện tự nhiên của bãi triều cần hình thành đai cây ngập mặn giảm sóng.
- Đảm bảo gia tăng hiệu quả giảm sóng để bảo vệ đê biển, bờ biển.
5.2 Điều kiện bãi triều khu vực thiết kế đai cây ngập mặn giảm sóng
Điều kiện bãi triều thiết kế đai cây ngập mặn giảm sóng đánh giá theo tổng số điểm của 06 yếu tố bãi triều:
| - Bãi triều có điều kiện thuận lợi khi: - Bãi triều có điều kiện khó khăn khi: - Bãi triều có điều kiện rất khó khăn khi: | Tổng số điểm ≤ 16; Tổng số điểm lớn hơn 16 và nhỏ hơn 60; Tổng số điểm ≥ 60. |
trong đó: điểm của từng yếu tố bãi triều là điểm tương ứng với một trong ba mức: thuận lợi hoặc khó khăn hoặc rất khó khăn xác định theo Bảng 2.
Dựa vào điều kiện bãi triều để xác định chỉ tiêu cây giống ngập mặn đem trồng, xem Bảng 3 và mật độ cây đem trồng, xem Bảng 4.
- Đối với bãi triều có điều kiện thuận lợi thì công tác trồng cây ngập mặn chỉ cần tuân theo các yêu cầu kỹ thuật trồng cơ bản, không cần bổ sung giải pháp.
- Đối với bãi triều có điều kiện khó khăn thì tùy theo điều kiện cụ thể, khó khăn ở yếu tố nào thì cần giải pháp khắc phục yếu tố đó.
- Đối với bãi triều có điều kiện rất khó khăn cần ngoài các yếu tố điều kiện bãi triều và yêu cầu kỹ thuật trồng cây ngập mặn tại Bảng 2, để đảm bảo hình thành đai cây ngập mặn giảm sóng cần xem xét theo từng bãi triều cụ thể tại khu vực thiết kế cân nhắc khả năng trồng cây ngập mặn.
Bảng 2 - Các điều kiện bãi triều và yêu cầu kỹ thuật trồng cây ngập mặn
| Yếu tố bãi triều | Thuận lợi | Khó khăn | Rất khó khăn | ||||||
| Chỉ số | Điểm | Yêu cầu kỹ thuật | Chỉ số | Điểm | Yêu cầu kỹ thuật | Chỉ số | Điểm | Yêu cầu kỹ thuật | |
| 1. Tốc độ hạ thấp bãi triều (cm/năm) | từ 0 đến 2 | 3 | Không cần hàng rào giảm sóng | từ 2 đến 5 | 15 | Làm hàng rào giảm sóng (tham khảo Phụ lục D) | > 5 | 60 | Làm công trình giảm sóng, ổn định bãi |
| 2. Chiều cao sóng (m) | từ 0,2 đến 0,4 | 3 | Không cần hàng rào giảm sóng | từ 0,4 đến 0,8 | 15 | Làm hàng rào giảm sóng (tham khảo Phụ lục D) | > 0,8 | 60 | Làm công trình giảm sóng phù hợp |
| 3. Độ thành thục của đất ngập mặn (độ ngập bàn chân tính theo cm) | Ngập bàn chân từ 5 cm đến 40 cm | 1 | Trồng được nhiều loài cây ngập mặn | Ngập bàn chân từ 1 cm đến 5 cm | 5 | Trồng cây ngập mặn chịu được nền đất cứng (tham khảo Phụ lục A, Phụ lục B) | Ngập bàn chân nhỏ hơn 1 cm | 30 | Trồng cây ngập mặn chịu được nền đất cứng (tham khảo Phụ lục A, Phụ lục B) |
|
|
|
| Ngập bàn chân từ 40 cm đến 70 cm | 5 | Trồng cây ngập mặn tiên phong chịu được nền đất mềm (tham khảo Phụ lục A, Phụ lục B) | Ngập bàn chân trên 70 cm | 30 | Trồng cây ngập mặn tiên phong chịu được nền bùn loãng (tham khảo Phụ lục A, Phụ lục B) | |
| 4. Tỷ lệ cát (%) | < 70 | 1 | Không cần đào hố cải tạo | từ 70 đến 90 | 5 | Đào hố cải tạo, bổ sung đất màu tại chỗ hoặc từ nơi khác đến (tham khảo Phụ lục C) | > 90 | 30 | Đào hố cải tạo, bổ sung đất màu tại chỗ hoặc tự nơi khác đến (tham khảo Phụ lục C) |
| 5. Độ mặn trung bình (‰) | < 15 | 2 | Trồng cây ngập mặn chịu mặn thấp (tham khảo Phụ lục B) | từ 15 đến 25 | 10 | Trồng cây ngập mặn chịu mặn (tham khảo Phụ lục B) | > 25 | 50 | Trồng cây ngập mặn chịu mặn cao (tham khảo Phụ lục B) |
| 6. Thời gian phơi bãi (h/ngày) | > 7 | 2 | Trồng được nhiều loại cây ngập mặn | từ 6 đến 7 | 10 | Trồng cây ngập mặn chịu được thời gian phơi bãi thấp | < 6 | 50 | Làm công trình gây bồi cho bãi để thời gian phơi bãi đạt trên 6h |
5.3 Lựa chọn loài cây ngập mặn giảm sóng
Việc xác định loài cây ngập mặn thích hợp làm đai cây ngập mặn giảm sóng cần căn cứ vào các yếu tố chính sau:
- Phân vùng tự nhiên cây ngập mặn: quy định tại điều 4.5 và Phụ lục A;
- Điều kiện sống của cây ngập mặn: quy định tại điều 4.1, 4.2, 4.4 và Bảng B.1 Phụ lục B.
5.4 Chỉ tiêu cây giống ngập mặn đem trồng
Chỉ tiêu cây giống ngập mặn đem trồng phụ thuộc điều kiện bãi triều khu vực thiết kế đai cây giảm sóng, xem Bảng 3.
Bảng 3 - Chỉ tiêu một số cây giống ngập mặn đem trồng
| Loài cây | Điều kiện bãi ngập mặn | Chỉ tiêu | |||
| Tuổi (tháng) | Kích thước túi bầu (cm) | Đường kính cổ rễ (cm) | Chiều cao (cm) | ||
| 1. Mắm trắng | Thuận lợi | từ 6 đến 7 | 13 x 18 | 0,3 đến 0,4 | từ 40 đến 50 |
| Khó khăn | từ 8 đến 9 | 13 x 18 | 0,5 đến 0,6 | từ 50 đến 60 | |
| Rất khó khăn | từ 10 đến 12 | 18 x 22 | 0,7 đến 0,8 | từ 60 đến 70 | |
| 2. Mắm biển | Thuận lợi | từ 4 đến 6 | 13 x 18 | 0,4 đến 0,5 | từ 25 đến 30 |
| Khó khăn | từ 6 đến 8 | 13 x 18 | 0,5 đến 0,6 | từ 30 đến 40 | |
| Rất khó khăn | từ 8 đến 10 | 18 x 22 | 0,6 đến 0,7 | từ 50 đến 60 | |
| 3. Mắm đen | Thuận lợi | từ 8 đến 10 | 18 x 22 | 1,2 đến 1,5 | từ 60 đến 70 |
| Khó khăn | từ 11 đến 13 | 18 x 22 | 1,5 đến 1,7 | từ 70 đến 80 | |
| Rất khó khăn | từ 14 đến 18 | 22 x 25 | 1,7 đến 2,0 | từ 80 đến 90 | |
| 4. Bần chua | Thuận lợi | từ 8 đến 11 | 13 x 18 | 1,0 đến 1,5 | từ 40 đến 70 |
| Khó khăn | từ 12 đến 18 | 18 x 22 | 1,5 đến 1,8 | từ 70 đến 100 | |
| Rất khó khăn | từ 19 đến 24 | 22 x 25 | 1,8 đến 2,1 | từ 100 đến 120 | |
| 5. Bần trắng | Thuận lợi | từ 8 đến 11 | 13 x 18 | 1,0 đến 1,5 | từ 40 đến 70 |
| Khó khăn | từ 12 đến 18 | 18 x 22 | 1,5 đến 1,8 | từ 70 đến 100 | |
| Rất khó khăn | từ 19 đến 24 | 22 x 25 | 1,8 đến 2,1 | từ 100 đến 120 | |
| 6. Đước đôi | Thuận lợi | từ 8 đến 10 | 18 x 22 | ≥ 1,0 | ≥ 60 |
| Khó khăn | từ 11 đến 18 | 18 x 22 | ≥ 1,5 | ≥ 100 | |
| Rất khó khăn | > 18 | 22 x 25 | ≥ 2 | ≥ 120 | |
| 7. Trang | Thuận lợi | từ 8 đến 12 | 18 x 22 | ≥ 0,6 | ≥ 50 |
| Khó khăn | từ 12 đến 18 | 18 x 22 | ≥ 1,0 | ≥ 80 | |
| Rất khó khăn | từ 18 đến 24 | 22 x 25 | ≥ 1,2 | ≥ 100 | |
| 8. Sú | Thuận lợi | từ 8 đến 12 | 13 x 18 | ≥ 0,5 | ≥ 40 |
| Khó khăn | từ 12 đến 18 | 18 x 22 | ≥ 0,8 | ≥ 80 | |
| Rất khó khăn | từ 18 đến 24 | 22 x 25 | ≥ 1,3 | ≥ 100 | |
5.5 Mật độ cây trồng và cách bố trí
5.5.1 Mật độ cây trồng
Mật độ trồng cây ngập mặn phụ thuộc điều kiện bãi triều khu vực thiết kế đai cây ngập mặn giảm sóng. Mật độ trồng một số loài cây ngập mặn, xem Bảng 4.
Bảng 4 - Mật độ cây trồng một số loài cây ngập mặn
Đơn vị tính: cây/ha
| Loài cây | Điều kiện gây trồng | ||
| Thuận lợi | Khó khăn | Rất khó khăn | |
| 1. Mắm trắng | 3300 | 4400 | 5000 |
| 2. Mắm biển | 3300 | 4400 | 5000 |
| 3. Mắm đen | 2000 | 2500 | 3300 |
| 4. Bần chua | 1600 | 2000 | 2500 |
| 5. Bần trắng | 2500 | 3300 | 4400 |
| 6. Đước đôi | 3300 | 4400 | 5000 |
| 7. Trang | 3300 | 4400 | 5000 |
| 8. Sú | 2500 | 3300 | 4400 |
Trong trường hợp chiều rộng đai cây ngập mặn giảm sóng không đảm bảo điều kiện tối thiểu quy định tại 5.6 thì có thể tăng mật độ trồng cây ngập mặn cao hơn so với quy định tại Bảng 4.
5.5.2 Bố trí cây trồng

Hình 1 - Cách bố trí trồng cây ngập mặn
| Chú dẫn: | a là khoảng cách giữa các cây trong 1 hàng, tính bằng m; b là khoảng cách giữa các hàng, tính bằng m; c là chiều dài lô bố trí trồng cây ngập mặn, tính bằng m; w chiều rộng lối tàu, thuyền đi lại, tính bằng m. |
Hàng trồng cây ngập mặn được bố trí vuông góc với hướng sóng, song song với bờ biển.
Giữa các hàng trồng cây ngập mặn bố trí so le. Khoảng cách giữa các cây trong một hàng và khoảng cách với cây gần nhất trong hàng lân cận được lấy bằng nhau tạo thành tam giác đều để nâng cao hiệu quả giảm sóng, xem Hình 1.
Chiều dài lô bố trí trồng cây ngập mặn (c) tối thiểu là 100 m tối đa là 500 m.
Chiều rộng lối tàu, thuyền đi lại (w) tối thiểu là 20 m và tối đa là 50 m.
5.6 Xác định chiều rộng đai cây giảm sóng

Hình 2 - Tương quan giữa bề rộng đai cây ngập mặn và hệ số truyền sóng
| Chú dẫn: | 1 - đai cây dày: 2 - đai cây dày trung bình; 3 - đai cây thưa. |
- Chiều rộng đai cây giảm sóng xác định theo các bước sau:
Bước 1. Căn cứ điều kiện an toàn cho bờ và công trình ven bờ, giả thiết chiều cao sóng phía sau đai cây giảm sóng (Hđ). Thông thường nên chọn:
| Hđ = (0,3 ÷ 0,35 ).Hs | (1) |
Bước 2. Tính hệ số sự suy giảm chiều cao sóng khi đi qua đai cây ngập mặn (Kt - hệ số truyền sóng):
|
| (2) |
| trong đó: | Hđ chiều cao sóng ở phía sau đai cây ngập mặn giảm sóng, tính bằng m; Hs chiều cao sóng ở phía trước đai cây ngập mặn giảm sóng, tính bằng m. |
Bước 3. Tính chiều rộng đai cây ngập mặn theo đồ thị ở Hình 2 theo các trạng thái rừng ngập mặn: dày, trung bình, thưa. Mật độ một số loài cây ngập mặn ứng với các trạng thái đai cây ngập mặn, xem tại Bảng B.2 Phụ lục B.
- Đai cây ngập mặn giảm sóng thiết kế cần đảm bảo chiều rộng tối thiểu là 300 m. Trường hợp bãi triều không đủ chiều rộng tối thiểu, cần phải tăng mật độ trồng cây, xem tại Bảng B.2 Phụ lục B.
- Đối với khu vực có điều kiện sóng bất lợi, để trồng được đai cây ngập mặn, cần có biện pháp hỗ trợ giảm sóng, ổn định bãi. Hệ số truyền sóng qua hàng rào giảm sóng xác định theo Phụ lục D.
5.7 Kỹ thuật trồng đai cây giảm sóng
5.7.1 Thời vụ trồng
Việc xác định thời vụ trồng cần căn cứ vào đặc điểm sinh học, sinh thái học của từng loài cây và điều kiện tự nhiên của từng địa phương:
a) Khu vực Đông Bắc thời vụ trồng rừng thích hợp từ tháng 5 đến tháng 8;
b) Khu vực đồng bằng sông Hồng từ tháng 6 đến tháng 9;
c) Khu vực Bắc Trung Bộ từ tháng 7 đến tháng 11;
d) Khu vực Nam Trung Bộ từ tháng 8 đến tháng 11;
e) Khu vực Đông Nam Bộ từ tháng 6 đến tháng 11;
g) Khu vực đồng bằng sông Cửu Long khu vực biển Đông từ tháng 5 đến tháng 11;
h) Khu vực biển Tây từ tháng 1 đến tháng 6.
5.7.2 Đào hố trồng cây
Đối với trường hợp không đào hố cải tạo thể nền, kích thước hố đào tùy theo kích thước bầu cây. Kích thước đáy hố trồng cây lớn hơn đường kính bầu tối thiểu 10 cm và sâu hơn chiều cao bầu tối thiểu 10 cm.
Đối với trường hợp đào hố cải tạo thể nền, xem Bảng C.1 Phụ lục C.
5.7.3 Trồng cây
Trước khi vận chuyển cây giống từ 3 ngày đến 5 ngày, phải đưa cây từ vườn ươm lên bờ để bầu cây ổn định, tránh vỡ bầu khi vận chuyển.
Các cây giống phải được vận chuyển đến vị trí các hố trồng bằng các phương tiện như khay, thuyền, mảng... để đảm bảo không giập gãy cây, không vỡ bầu.
Cây giống được đặt xuống bên cạnh hố, xé bỏ túi bầu rồi đặt cây xuống, mỗi hố một cây. Cây phải được đặt thẳng đứng trong hố sao cho rễ cây không bị gãy gập, mặt bầu thấp hơn mặt hố từ 5 cm đến 7 cm.
5.7.4 Lấp hố trồng cây
Sau khi đặt bầu cây vào giữa hố, giữ cây thẳng, lấp đất miệng hố, nén chặt xung quanh bầu cây, sau đó bổ sung đất sao cho tạo thành một mô đất nổi xung quanh gốc.
5.7.5 Cắm cọc cố định cây
Vật liệu làm cọc cắm là nguồn vật liệu có sẵn tại địa phương như: tre, cừ tràm, vv... Đường kính cọc từ 1 cm đến 3 cm; chiều cao cọc từ 0,8 m đến 1,2 m; đóng cọc xiên vào hố; đi sát thân cây mới trồng; buộc thân cây vào cọc bằng dây mềm ở vị trí 2/3 chiều cao thân cây.
- Khu vực thuận lợi: cắm một cọc bảo vệ cây.
- Khu vực khó khăn, rất khó khăn: cắm ba cọc buộc giữ cây.
5.7.6 Thu gom
Thu gom túi bầu và các phụ phẩm phát sinh trong quá trình trồng cây, đưa về nơi tập kết theo quy định.
5.7.7 Trồng dặm
Kiểm tra thường xuyên và tiến hành trồng dặm số cây bị chết hoặc bị cuốn trôi.
Tận dụng số cọc trong trồng chính để trồng dặm.
Tuổi cây trồng dặm phải đồng tuổi với cây trồng chính vụ.
Thời điểm trồng dặm: thời điểm trồng dặm tùy thuộc vào điều kiện khí hậu của khu vực để đảm bảo cây trồng dặm có thể sinh trưởng và phát triển, thường sau trồng chính 1 tháng.
Đối với trường hợp cây chết ít (nhỏ hơn hoặc bằng 10% tổng số cây trồng) và rải rác thì không trồng dặm. Trong trường hợp cây chết nhiều (lớn hơn 10% tổng số cây trồng) thì tỷ lệ trồng dặm so với mật độ chính, xem Bảng 5.
Bảng 5 - Tỷ lệ trồng dặm
| Điều kiện bãi triều | Tỷ lệ trồng dặm so với mật độ chính | ||
| Năm thứ 1 | Năm thứ 2 | Năm thứ 3 | |
| Thuận lợi | 10% | 5% |
|
| Khó khăn | 15% | 10% | 5% |
| Rất khó khăn | 20% | 15% | 10% |
5.7.8 Chăm sóc cây sau trồng
Khắc phục, dựng đứng kịp thời những cây bị sóng, gió làm nghiêng đổ, đảm bảo hạn chế vỡ bầu hoặc làm trôi dạt cây ra khỏi vị trí trồng.
Vệ sinh thường xuyên cho cây sau khi trồng, chống rác bám vào cây.
Tiến hành phòng trừ sâu bệnh kịp thời, đặc biệt quan tâm phòng trừ hà đối với cây mới trồng ở những nơi hà bám thành khối cục trên thân cây trong khoảng thời gian 1 năm sau trồng.
Tại những nơi cần thiết phải có hàng rào tạm để ngăn cản hoặc hạn chế các hoạt động đánh bắt thủy sản, thuyền bè đi lại trong khu vực trồng cây.
Phụ lục A
(Tham khảo)
Phân vùng tự nhiên đối với cây ngập mặn
Các vùng phân bố địa lý rừng ngập mặn bao gồm: Vùng Đông Bắc; vùng đồng bằng sông Hồng; vùng Bắc Trung Bộ; vùng Nam Trung Bộ; vùng Đông Nam Bộ; vùng đồng bằng sông Cửu Long.
Bảng A.1 - Tên các loài cây
| Tên loài | Tên khoa học |
| 1. Bần chua | Sonneratia caseolaris (L.) Engl. |
| 2. Bần không cánh | Sonneratia apetala Buch.-Ham. |
| 3. Bần ổi | Sonneratia ovata Backer. |
| 4. Bần trắng | Sonneratia alba Sm. |
| 5 Chà là | Phoenix paludosa Roxb. |
| 6. Cóc trắng | Lumnitzera racemosa Willd. |
| 7. Cui biển | Heritiera littoralis Aiton. |
| 8. Dà quánh | Ceriops decandra (Griff.) W.Theob. |
| 9. Dà vôi | Ceriops tagal (Perr.) C.B.Rob. |
| 10. Dứa dại | Pandanus tectorius Sol. |
| 11. Dừa nước | Nypa fruticans Wurmb. |
| 12. Đưng | Rhizophora mucronata Lam. |
| 13. Đước đỏ | Rhizophora mangle L. |
| 14. Đước vòi (Đâng) | Rhizophora stylosa Griff. |
| 15. Giá | Excoecaria agallocha L. |
| 16. Mắm biển | Avicennia marina (Forssk.) Vierh. |
| 17. Mắm đen | Avicennia officinalis L. |
| 18. Mắm trắng | Avicennia alba Blume. |
| 19. Mắm quăn | Avicennia lanata |
| 20. Muống biển | Ipomoea pes-capre (L.) Sw.Subsp.Brasiliense (L.) Ooststr. |
| 21. Ô rô biển | Acanthus ilicifolius L. |
| 22. Phi lao | Casuarina equisetifolia Forst. |
| 23. Ráng đại | Acrostichum aureum L. |
| 24. Ráng đại thanh | Acrostichum speciosum Willd. |
| 25. Sam biển | Sesuvium portulacastrum (L.) L. |
| 26. Sú | Aegiceras comiculatum (L.) Blanco. |
| 27. Tra | Hibiscus tiliaceus L. |
| 28. Tra biển (Tra bồ đề) | Thespesia populnea (L.) Soland. ex Correa. |
| 29. Trang | Kandelia candel (L.) Druce. |
| 30. Trang | Kandelia obovata Sheue, H.Y. Liu & J. Yong. |
| 31. Vẹt dù | Bruguiera gymnorrhiza (L.) Lam. |
| 32. Vẹt tách | Bruguiera parviflora (Roxb.) W. et A. ex Griff. |
| 33. Vẹt trụ | Bruguiera cylindrica (L.) Blume. |
| 34. Xu ổi | Xylocarpus granatum Koening. |
A.1 Vùng Đông Bắc: từ Quảng Ninh đến Hải Phòng
Cây ngập mặn thích hợp: Vẹt dù, Trang, Bần chua, Mắm biển, Đâng và Sú
| Vùng/Tiểu vùng | Cây ngập mặn thích hợp |
| Tiểu vùng 1: từ Móng Cái đến Cửa Ông | Mắm biển, Sú, Đâng, Trang, Vẹt dù |
| Tiểu vùng 2: từ Cửa Ông đến Cửa Lục | Mắm biển, Sú, Đâng, Trang, Vẹt dù, Cóc trắng |
| Tiểu vùng 3: từ Cửa Lục đến mũi Đồ Sơn | Mắm biển, Sú, Đâng, Trang, Vẹt dù, Bần chua, Tra, Đước đôi |
A.2 Vùng đồng bằng sông Hồng: từ Thái Bình đến Thanh Hóa
Cây ngập mặn thích hợp: Trang, Bần chua, Sú và Mắm biển
| Vùng/Tiểu vùng | Cây ngập mặn thích hợp |
| Tiểu vùng 1: từ mũi Đồ Sơn đến cửa sông Văn Úc | Bần chua, Sú |
| Tiểu vùng 2: từ cửa sông Văn Úc đến cửa Lạch Trường | Sú, Bần chua, Trang, Mắm biển |
A.3 Vùng Bắc Trung Bộ: từ Nghệ An đến Thừa Thiên Huế
Cây ngập mặn thích hợp: Mắm biển, Đâng, Trang, Bần chua, Vẹt dù, Sú, Đưng, Cóc trắng, Đâng
| Vùng/Tiểu vùng | Cây ngập mặn thích hợp |
| Tiểu vùng 1: từ Lạch Trường đến Mũi Ròn | Bần chua, Mắm biển, Đâng, Trang, Sú, Vẹt dù |
| Tiểu vùng 2: từ mũi Ròn đến mũi Hải Vân | Mắm biển, Đâng, Trang, Bần chua, Vẹt dù, Sú, Đưng, Cóc trắng, Đâng |
A.4 Vùng Nam Trung Bộ: từ Quảng Nam đến Bình Thuận
Cây ngập mặn thích hợp: Mắm biển, Đưng, Đước đôi, Bần chua, Bần trắng, Mắm trắng, Tra, Cóc trắng, Vẹt dù, Vẹt tách, Giá, Chà là.
A.5 Vùng Đông Nam Bộ: từ Đồng Nai đến Long An
Cây ngập mặn thích hợp: Bần trắng, Đưng, Đước đôi, Trang, Mắm trắng, Mắm đen, Dừa nước, Bần chua, Sú, Dà vôi, Dà quánh, Giá, Chà là, Tra, Tra biển.
A.6 Vùng đồng bằng sông Cửu Long: từ Tiền Giang đến Kiên Giang
Cây ngập mặn thích hợp: Mắm trắng, Mắm biển, Mắm quăn, Mắm đen, Bần trắng, Đưng, Đước đôi, Dừa nước, Vẹt tách, Dà vôi, Dà quánh, Giá, Chà là, Bần chua, Tra, Tra biển, Cóc trắng.
| Vùng/Tiểu vùng | Cây ngập mặn thích hợp |
| Tiểu vùng 1: từ cửa sông Soài Rạp đến cửa sông Mỹ Thạnh (ven biển đồng bằng sông Cửu Long) | Mắm trắng, Mắm biển, Mắm quăn, Mắm đen, Bần trắng, Đưng, Đước đôi, Dừa nước, Vẹt tách, Dà vôi, Dà quánh, Giá, Chà là, Bàn chua, Tra, Tra biển, Cóc trắng |
| Tiểu vùng 2: từ cửa sông Mỹ Thạnh đến cửa sông Bảy Háp (tây nam bán đảo Cà Mau) | Mắm trắng, Mắm biển, Mắm đen, Đưng, Đước đôi, Dừa nước, Dà vôi, Dà quánh, Giá, Cóc trắng, Vẹt tách |
| Tiểu vùng 3: từ cửa sông Bảy Háp (mũi Bà Quan) đến Mũi Nài - Hà Tiên (bờ biển phía tây bán đảo Cà Mau) | Mắm trắng, Mắm biển, Mắm đen, Bần trắng, Đước đôi, Bần chua, Dừa nước, Dà vôi, Vẹt dù, Giá, Tra biển, Cóc trắng |
Phụ lục B
(Tham khảo)
Lựa chọn loài cây ngập mặn theo điều kiện bãi triều
B.1 Điều kiện sống của một số loài cây ngập mặn
Mỗi loài cây ngập mặn sẽ phù hợp với điều kiện bãi triều cụ thể tại từng khu vực. Việc lựa chọn loài cây ngập mặn phù hợp, xem Bảng B.1.
Bảng B.1 - Điều kiện sống của một số loài cây ngập mặn
| Loài cây | Độ thành thục (cm) | Tỷ lệ cát (%) | Độ mặn trung bình (‰) | Thời gian phơi bãi (tiếng/ngày) | Tốc độ hạ thấp bãi triều (cm) | Chiều cao sóng (m) |
| 1. Mắm trắng | từ 5 đến 50 | < 70 | < 33 | > 6 | < 5 | < 0,4 |
| 2. Mắm biển | từ 5 đến 70 | < 70 | < 35 | > 5 | < 7 | < 0,6 |
| 3. Mắm đen | từ 10 đến 30 | < 50 | < 25 | > 10 | 0 | < 0,2 |
| 4. Bần chua | từ 5 đến 60 | < 50 | < 20 | > 7 | < 7 | < 0,4 |
| 5. Bần trắng | từ 10 đến 70 | < 50 | < 30 | > 5 | < 5 | < 0,3 |
| 6. Đước đôi | từ 5 đến 20 | < 40 | < 30 | > 10 | < 3 | < 0,2 |
| 7. Trang | < 20 | < 80 | < 30 | > 8 | 0 | < 0,2 |
| 8. Sú | từ 5 đến 40 | < 50 | <25 | > 8 | < 5 | < 0,3 |
B.2 Mật độ một số loài cây ngập mặn ứng với trạng thái đai cây dày, thưa, trung bình
Bảng B.2 - Mật độ một số loài cây ngập mặn ứng với các trạng thái đai cây
Đơn vị tính: Cây/ha
| Loài cây | Đai cây thưa | Đai cây trung bình | Đai cây dày | ||||||
| Điều kiện thuận lợi | Điều kiện khó khăn | Điều kiện rất khó khăn | Điều kiện thuận lợi | Điều kiện khó khăn | Điều kiện rất khó khăn | Điều kiện thuận lợi | Điều kiện khó khăn | Điều kiện rất khó khăn | |
| 1. Mắm trắng | 3300 | 4400 | 5000 | 5000 | 6700 | 8000 | 8000 | 10000 | 12000 |
| 2. Mắm biển | 3300 | 4400 | 5000 | 5000 | 6700 | 8000 | 8000 | 10000 | 12000 |
| 3. Mắm đen | 2000 | 2500 | 3300 | 3300 | 4400 | 5000 | 4400 | 6700 | 8000 |
| 4. Bần chua | 1600 | 2000 | 2500 | 2500 | 3300 | 4400 | 3300 | 4400 | 6700 |
| 5. Bần trắng | 2500 | 3300 | 4400 | 3300 | 5000 | 6700 | 5000 | 8000 | 10000 |
| 6. Đước đôi | 3300 | 4400 | 5000 | 5000 | 6700 | 8000 | 6700 | 10000 | 12000 |
| 7. Trang | 3300 | 4400 | 5000 | 5000 | 6700 | 8000 | 8000 | 10000 | 12000 |
| 8. Sú | 2500 | 3300 | 4400 | 3300 | 5000 | 6700 | 5000 | 8000 | 12000 |
Phụ lục C
(Tham khảo)
Đào hố cải tạo thể nền
Việc tính toán để lựa chọn kích thước hố cải tạo phụ thuộc vào điều kiện thể nền, chủng loại cây trồng và theo hướng dẫn tại Bảng C.1
Bảng C.1 - Yêu cầu kích thước hố cải tạo với từng loài loài cây
Kích thước hố đào cải tạo: Miệng x đáy x sâu (m)
| Loài cây | Tỷ lệ cát (%) | ||
| Từ 70 đến 80 | Từ 80 đến 90 | > 90 | |
| 1. Mắm trắng | 0,5x0,5x0,4 | 0,6x0,5x0,4 | 0,7x0,6x0,5 |
| 2. Mắm biển | 0,5x0,5x0,4 | 0,5x0,5x0,4 | 0,7x0,6x0,5 |
| 3. Mắm đen | 0,5x0,5x0,4 | 0,6x0,5x0,4 | 0,7x0,6x0,5 |
| 4. Bần chua | 0,7x0,5x0,5 | 0,8x0,6x0,6 | 0,9x0,8x0,7 |
| 5. Bần trắng | 0,7x0,5x0,5 | 0,8x0,6x0,6 | 0,9x0,8x0,7 |
| 6. Đước đôi | 0,6x0,5x0,4 | 0,7x0,6x0,5 | 0,8x0,7x0,5 |
| 7. Trang | 0,6x0,5x0,4 | 0,7x0,6x0,5 | 0,8x0,7x0,5 |
| 8. Sú | 0,3x0,3x0,3 | 0,4x4,4x0,3 | 0,5x0,5x0,4 |
Phụ lục D
(Quy định)
Hàng rào giảm sóng
- Đối với khu vực có điều kiện sóng bất lợi cần xây dựng công trình giảm sóng, ổn định bãi để đảm bảo trong điều kiện bình thường chiều cao sóng ở khu vực bãi trồng cây nhỏ hơn 0,4 m. Công trình giảm sóng trồng cây phải đảm bảo khả năng trao đổi bùn cát, không làm thay đổi chế độ triều trong khu vực bãi ngập mặn trồng đai cây giảm sóng.
- Đối với khu vực sóng có chiều cao từ 0,4 m đến 0,8 m có thể xây dựng hàng rào giảm sóng để chiều cao sóng bãi trồng cây nhỏ hơn 0,4 m.
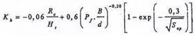
- Hệ số truyền sóng qua hàng rào được xác định theo công thức:
|
| (1) (xem tài liệu tham khảo [22]) |
trong đó:
Kh là hệ số truyền sóng qua hàng rào;
Rc là chiều cao lưu không của đỉnh hàng rào, tính bằng m;
Ht là chiều cao sóng tới ở phía trước hàng rào, tính bằng m;
B là chiều rộng của hàng rào, tính bằng m;
d là chiều sâu nước trước hàng rào ứng với tần suất mực nước thiết kế P = 50%, tính bằng m;
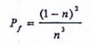
Pf là tham số độ thấm qua hàng rào được xác định theo công thức:
|
| (2) |
trong đó:
n là độ rỗng của hàng rào, bằng tỷ lệ giữa thể tích nước chiếm chỗ với thể tích hàng rào (n = (0,4 ÷ 0,7))
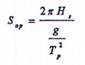
Sop là độ dốc sóng thiết kế được xác định theo công thức:
|
| (3) |
trong đó:
Hs là chiều cao sóng tới ở phía trước đai cây giảm sóng, tính bằng m;
Tp là chu kỳ sóng thiết kế, tính bằng s;
g là gia tốc trọng trường, tính bằng m²/s.

Hình D.1 - Sơ đồ xác định hệ số truyền sóng của hàng rào
- Phạm vi ứng dụng của hàng rào giảm sóng chỉ áp dụng đối với điều kiện sóng khó khăn. Đối với điều kiện rất khó khăn cần phải có giải pháp công trình kiên cố.
- Thông số mực nước được tính tương ứng với tần suất thiết kế P = 50% tại khu vực bãi trồng cây, theo phụ lục B TCVN 9901.
- Chiều cao sóng thiết kế có thể tính toán sơ bộ theo công thức: Hs = 0,6d. Tính toán chi tiết chiều cao sóng thiết kế, theo phụ lục E TCVN 9901.
- Tính toán tải trọng, tác động và ổn định hàng rào, theo TCVN 9901.
- Với yêu cầu là công trình tạm dạng đê ngầm thành mỏng có tuổi thọ 2 năm nên hàng rào thường dùng vật liệu địa phương như các loại cọc tre, gỗ.
- Tuyến hàng rào được bố trí cách mép trồng cây khoảng một bước sóng, hàng rào được bố trí vuông góc với hướng sóng chính tác động vào bãi.
- Cần thường xuyên kiểm tra bãi, định kỳ hàng rào đảm bảo các kích thước và kết cấu lấp nhét của hàng rào.

Hình D.2 - Sơ đồ cấu tạo hàng rào giảm sóng
Thư mục tài liệu tham khảo
[1] Chu Văn Cường và Saron Brown, 2012. Phục hồi vùng ven biển và rừng ngập mặn bằng hàng rào cừ tràm. Kinh nghiệm và thực tiễn tại tỉnh Kiên Giang. GIZ
[2] Đỗ Xuân Phương, 2006. Nghiên cứu trồng thử nghiệm cây Đước trong túi bầu nylon trên đất bãi bùn khó khăn tại huyện Vĩnh Châu, tỉnh Sóc Trăng. Dự án bảo vệ và phát triển các vùng đất ngập nước ven biển Nam Việt Nam
[3] Đoàn Đình Tam và cộng sự, 2012. Nghiên cứu kỹ thuật trồng rừng ngập mặn trên các điều kiện lập địa khó khăn góp phần chắn sóng vùng ven biển các tỉnh miền Bắc Việt Nam, Báo cáo tổng kết đề tài Khoa học công nghệ, Viện Khoa học Lâm nghiệp Việt Nam, Hà Nội
[4] Đinh Thanh Giang, 2004. Nghiên cứu đặc điểm lý hóa tính đất dưới rừng ngập mặn và một số mô hình lâm ngư kết hợp làm cơ sở đề xuất phương hướng sử dụng đất hợp lý tại vùng ven biển huyện Thái Thụy tỉnh Thái Bình - Luận văn thạc sĩ khoa học lâm nghiệp, Trường Đại học Lâm nghiệp Việt Nam
[5] Hoàng Văn Thơi, 2014. Nghiên cứu trồng thử nghiệm một số loài cây ngập mặn trên nền cát, đá, sỏi, vụn san hô ngập triều không thường xuyên tại các đảo ven bờ phía Nam. Luận án tiến sĩ Lâm nghiệp, Viện Khoa học Lâm nghiệp Việt Nam
[6] Lê Đức Thắng và cộng sự, 2015. “Nghiên cứu sinh trưởng và khả năng cải tạo đất của rừng Bần chua (Sonneratia caseolaris) 5 tuổi trồng trên lập địa khó khăn tại vùng ven biển tỉnh Hà Tĩnh”. Tạp chí Nông nghiệp và Phát triển Nông thôn, (Số 13), tr 46-52
[7] Ngô Đình Quế và cộng sự, 2003. Nghiên cứu các giải pháp kinh tế, kỹ thuật tổng hợp nhằm khôi phục rừng ngập mặn và rừng tràm tại một số vùng phân bố chủ yếu ở Việt Nam, Báo cáo tổng kết đề tài, Viện Khoa học Lâm nghiệp Việt Nam
[8] Ngô Đình Quế, 2007. Đề xuất giải pháp kỹ thuật xây dựng rừng ngập mặn phòng hộ ven biển, Trung tâm Nghiên cứu Sinh thái và Môi trường rừng - Viện Khoa học Lâm nghiệp Việt Nam
[9] Nguyễn Quốc Huy, 2016. Ứng dụng tiến bộ khoa học kỹ thuật để khảo nghiệm, tuyển chọn một số loài cây ngập mặn phù hợp với vùng ven biển tỉnh Thái Bình nhằm ứng phó với biến đổi khí hậu, Báo cáo tổng kết đề tài cấp tỉnh, Viện Sinh thái và Bảo vệ công trình
[10] Phạm Minh Cương, 2014. Hoàn thiện công nghệ ươm giống và trồng cây Bần chua (Sonneratia caseolaris) ngập mặn chắn sóng bảo vệ đê biển, góp phần cải thiện môi trường sinh thái ven biển ở các tỉnh đồng bằng Bắc Bộ và Bắc miền Trung, Báo cáo tổng kết dự án sản xuất thử, Hà Nội
[11] Phạm Ngọc Cơ, 2006. Trồng thử nghiệm cây Bần chua (Sonneratia caseolaris) trên vùng đất xói lở ngập sâu ven biển Châu Thành và Cầu Ngang, Trà Vinh, Dự án bảo vệ và phát triển những vùng đất ngập ven biển Việt Nam - Phân viện nghiên cứu khoa học lâm nghiệp Nam Bộ, Thành phố Hồ Chí Minh
[12] Tiêu chuẩn Quốc gia TCVN 10405 : 2014, Công trình thủy lợi - Đai cây chắn sóng - Khảo sát và thiết kế
[13] Tiêu chuẩn Quốc gia TCVN 12509 - 3 : 2018, Rừng trồng - Rừng sau thời gian kiến thiết cơ bản - Phần 3: Nhóm loài cây ngập mặn
[14] Tiêu chuẩn Quốc gia TCVN 12510 - 2 : 2018, Rừng trồng - Rừng phòng hộ ven biển - Phần 2: Rừng phòng hộ giảm sóng, lấn biển
[15] Thiều Quang Tuấn, 2019. "Công thức thực nghiệm về sự suy giảm chiều cao sóng qua hàng rào tre ở bãi trước rừng ngập mặn vùng biển Đồng bằng Sông Cửu Long”.
[16] Aksornkoae. S, 1996. Reforestation of mangrove forest in Thailand - A case study of Pattani, Restoration of mangrove ecosystem, The International Tropical Timber Organisation and the International Society for Mangrove Ecosystem, pp. 53-63
[17] Chan, H.T., 1996. Mangrove reforestation in Peninsular Malaysia: a case study of Matang. In: Field, C (Ed) Restoration of Mangrove Ecosystems. International Society for Mangrove Ecosystems, Okinawa, Japan, 250 pages (page 197 - 208)
[18] Ellison, J.C., 1999. Impacts of sediment burial on mangroves. Mar. Pollut. Bull. 37, 420 - 426.
Gilman, E., Ellison, J., Duke, N.C. & Field, C, 2008. Threats to mangroves from climate change and adaptation options: a review. Aquatic Botany, 89, 2, 237 - 250
[19] Havanond. S, 1994. Re-afforestation of mangrove forest in Thailand. Proceedings of the workshop in ITTO project development and dissemination of re-afforestation techniques of mangrove forest, Thailan, PP. 203-215
[20] Koko, M, 1986. Spicies Selection for Mangrove Planting: A case study of Ras al Khafji, Saudi Arabia. In: Field, C (Ed) Restoration of Mangrove Ecosystems. International Society for Mangrove Ecosystems, Okinawa, Japan, 250 pages (page 197 - 208)
[21] Lewis, R.R, 2005. Ecological engineering for successful management and restoration of mangrove forests. Ecol. Eng. 24, 403-418
[22] Thieu Quang Tuan, and Luan Mai Trong, 2020. Monsoon wave transmission at bamboo fences protecting mangroves in the lower mekong delta. Applied Ocean Research 101 (2020) 102259, https://doi.org/10.1016/j.apor.2020.102259
[23] Siddiqi, N.A, and Khan, M.A.S., 1996. Planting techniques for Mangroves on new accretions in the coastal areas of Bangledes. In: Field, C (Ed) Restoration of Mangrove Ecosystems. International Society for Mangrove Ecosystems, Okinawa, Japan, 250 pages (page 143 -159)
[24] Soemodihardjo, and cs, 1996. Mangrove in Indonesia: A case study of Tembilahan, Sumatra. In: Field, C, (Ed) Restoration of Mangrove Ecosystems. International Society for Mangrove Ecosystems, Okinawa, Japan, 250 pages (page 197 - 208)
[25] Untawale. AG, 1996, Restoration of mangrove along the Central West Coast of India. Restoration of mangrove ecosystem, The International Tropical Timber Organisation and the International Society for Mangrove Ecosystem, pp. 111-125
Bạn chưa Đăng nhập thành viên.
Đây là tiện ích dành cho tài khoản thành viên. Vui lòng Đăng nhập để xem chi tiết. Nếu chưa có tài khoản, vui lòng Đăng ký tại đây!


