- Tổng quan
- Nội dung
- VB gốc
- Tiếng Anh
- Hiệu lực
- VB liên quan
- Lược đồ
-
Nội dung hợp nhất
Tính năng này chỉ có tại LuatVietnam.vn. Nội dung hợp nhất tổng hợp lại tất cả các quy định còn hiệu lực của văn bản gốc và các văn bản sửa đổi, bổ sung, đính chính... trên một trang. Việc hợp nhất văn bản gốc và những văn bản, Thông tư, Nghị định hướng dẫn khác không làm thay đổi thứ tự điều khoản, nội dung.
Khách hàng chỉ cần xem Nội dung hợp nhất là có thể nắm bắt toàn bộ quy định hiện hành đang áp dụng, cho dù văn bản gốc đã qua nhiều lần chỉnh sửa, bổ sung.
- Tải về
Quyết định 770/QĐ-SGDHN 2020 Quy chế Giao dịch công cụ nợ của Chính phủ
| Cơ quan ban hành: | Sở Giao dịch Chứng khoán Hà Nội |
Số công báo:
Số công báo là mã số ấn phẩm được đăng chính thức trên ấn phẩm thông tin của Nhà nước. Mã số này do Chính phủ thống nhất quản lý.
|
Đang cập nhật |
| Số hiệu: | 770/QĐ-SGDHN | Ngày đăng công báo: | Đang cập nhật |
| Loại văn bản: | Quyết định | Người ký: | Nguyễn Như Quỳnh |
|
Ngày ban hành:
Ngày ban hành là ngày, tháng, năm văn bản được thông qua hoặc ký ban hành.
|
30/12/2020 |
Ngày hết hiệu lực:
Ngày hết hiệu lực là ngày, tháng, năm văn bản chính thức không còn hiệu lực (áp dụng).
|
Đang cập nhật |
|
Áp dụng:
Ngày áp dụng là ngày, tháng, năm văn bản chính thức có hiệu lực (áp dụng).
|
Đã biết
|
Tình trạng hiệu lực:
Cho biết trạng thái hiệu lực của văn bản đang tra cứu: Chưa áp dụng, Còn hiệu lực, Hết hiệu lực, Hết hiệu lực 1 phần; Đã sửa đổi, Đính chính hay Không còn phù hợp,...
|
Đã biết
|
| Lĩnh vực: | Chứng khoán, Tài chính-Ngân hàng |
TÓM TẮT QUYẾT ĐỊNH 770/QĐ-SGDHN
Ngày 30/12/2020, Sở Giao dịch Chứng khoán Hà Nội đã ra Quyết định số 770/QĐ-SGDHN về việc ban hành Quy chế Giao dịch công cụ nợ của Chính phủ, trái phiếu được Chính phủ bảo lãnh do ngân hàng chính sách phát hành và trái phiếu chính quyền địa phương. Sau đây là một số nội dung đáng chú ý của Quyết định này.
1. Thành viên giao dịch phải đáp ứng các điều kiện sau:
- Đối với thành viên giao dịch thông thường:
- Đáp ứng các tiêu chuẩn quy định tại khoản 1 Điều 6 Thông tư số 30/2019/TT-BTC;
- Đủ điều kiện cơ sở vật chất kỹ thuật, nhân sự phục vụ hoạt động giao dịch công cụ nợ bao gồm:
- Là thành viên lưu ký của TTLKCK;
- Được ngân hàng thương mại cung cấp dịch vụ thanh toán cho công ty chứng khoán cam kết về việc cho vay thanh toán giao dịch công cụ nợ trong trường hợp công ty chứng khoán tạm thời mất khả năng thanh toán;
- Có hạ tầng công nghệ thông tin kết nối đến SGDCK đáp ứng yêu cầu của SGDCK và đảm bảo kết nối giao dịch từ xa và kết nối giao dịch Internet với hệ thống giao dịch công cụ nợ của SGDCK; …
- Đối với thành viên giao dịch đặc biệt:
- Đáp ứng các tiêu chuẩn quy định tại khoản 2 Điều 6 Thông tư số 30/2019/TT-BTC;
- Đủ điều kiện cơ sở vật chất kỹ thuật, nhân sự phục vụ hoạt động giao dịch công cụ nợ gồm:
- Là thành viên lưu ký hoặc tổ chức mở tài khoản trực tiếp của TTLKCK;
- Có phần mềm phục vụ hoạt động giao dịch thanh toán và thanh toán đáp ứng được các yêu cầu kỹ thuật và nghiệp vụ theo quy định của SGDCK;
- Có hệ thống dự phòng trường hợp xảy ra sự cố máy chủ, đường truyền, điện lưới;…
2. Hình thức giao dịch gồm hình thức thỏa thuận điện tử và hình thức thỏa thuận thông thường, trong đó:
- Hình thức thỏa thuận điện tử bao gồm các loại lệnh sau đây:
- Lệnh thỏa thuận điện tử toàn thị trường;
- Lệnh thỏa thuận điện tử tùy chọn gồm: lệnh yêu cầu chào giá và lệnh chào mua, chào bán với cam kết chắc chắn.
- Hình thức thỏa thuận thông thường bao gồm lệnh báo cáo giao dịch. Lệnh báo cáo được sử dụng để nhập vào giao dịch vào hệ thống trong trường hợp giao dịch đã được các bên thỏa thuận xong về các điều kiện trong giao dịch.
Quyết định có hiệu lực thi hành kể từ ngày 01/01/2021.
Xem chi tiết Quyết định 770/QĐ-SGDHN có hiệu lực kể từ ngày 01/01/2021
Tải Quyết định 770/QĐ-SGDHN
|
SỞ GIAO DỊCH |
CỘNG HÒA XÃ HỘI CHỦ NGHĨA VIỆT NAM |
|
Số: 770/QĐ-SGDHN |
Hà Nội, ngày 30 tháng 12 năm 2020 |
QUYẾT ĐỊNH
Về việc ban hành Quy chế Giao dịch công cụ nợ của Chính phủ, trái phiếu được Chính phủ bảo lãnh do ngân hàng chính sách phát hành và trái phiếu chính quyền địa phương
________
TỔNG GIÁM ĐỐC
SỞ GIAO DỊCH CHỨNG KHOÁN HÀ NỘI
Căn cứ Quyết định số 01/2009/QĐ-TTg ngày 02/01/2009 của Thủ tướng Chính phủ về việc thành lập Sở Giao dịch Chứng khoán Hà Nội;
Căn cứ Điều lệ Tổ chức và Hoạt động của Sở Giao dịch Chứng khoán Hà Nội ban hành kèm theo Quyết định số 2398/QĐ-BTC ngày 21/11/2017 của Bộ trưởng Bộ Tài chính;
Căn cứ Quy chế Tổ chức và Hoạt động của Sở Giao dịch Chứng khoán Hà Nội ban hành kèm theo Quyết định số 254/QĐ-HĐQT ngày 27/6/2019 của Chủ tịch Hội đồng quản trị Sở Giao dịch Chứng khoán Hà Nội;
Căn cứ Luật Chứng khoán ngày 26 tháng 11 năm 2019;
Căn cứ Nghị định số 91/2018/NĐ-CP ngày 26/6/2018 của Chính phủ về cấp và quản lý bảo lãnh Chính phủ;
Căn cứ Nghị định số 93/2018/NĐ-CP ngày 30/6/2018 của Chính phủ quy định về quản lý nợ của chính quyền địa phương;
Căn cứ Nghị định số 95/2018/NĐ-CP ngày 30/6/2018 của Chính phủ quy định về phát hành, đăng ký, lưu ký, niêm yết và giao dịch công cụ nợ của Chính phủ trên thị trường chứng khoán;
Căn cứ Thông tư số 203/2015/TT-BTC ngày 21/12/2015 của Bộ trưởng Bộ Tài chính hướng dẫn về giao dịch trên thị trường chứng khoán;
Căn cứ Thông tư số 111/2018/TT-BTC ngày 15/11/2018 của Bộ trưởng Bộ Tài chính hướng dẫn phát hành và thanh toán công cụ nợ của Chính phủ tại thị trường trong nước;
Căn cứ Thông tư số 30/2019/TT-BTC ngày 28/5/2019 của Bộ trưởng Bộ Tài chính hướng dẫn đăng ký, lưu ký, niêm yết, giao dịch và thanh toán giao dịch công cụ nợ của Chính phủ, trái phiếu được Chính phủ bảo lãnh do ngân hàng chính sách phát hành và trái phiếu chính quyền địa phương;
Căn cứ Thông tư số 95/2020/TT-BTC ngày 16/11/2020 của Bộ trưởng Bộ Tài chính hướng dẫn giám sát giao dịch chứng khoán trên thị trường chứng khoán;
Căn cứ Thông tư số 96/2020/TT-BTC ngày 16/11/2020 của Bộ trưởng Bộ Tài chính hướng dẫn công bố thông tin trên thị trường chứng khoán;
Căn cứ Nghị quyết số 337/NQ-HĐQT ngày 30/12/2020 của Hội đồng quản trị Sở Giao dịch Chứng khoán Hà Nội về việc thống nhất phê duyệt dự thảo Quy chế Giao dịch công cụ nợ của Chính phủ, trái phiếu được Chính phủ bảo lãnh do ngân hàng chính sách phát hành và trái phiếu chính quyền địa phương;
Căn cứ Công văn số 7646/UBCK-PTTT ngày 30/12/2020 của Ủy ban Chứng khoán Nhà nước về việc chấp thuận ban hành Quy chế Giao dịch công cụ nợ của Chính phủ, trái phiếu được Chính phủ bảo lãnh do ngân hàng chính sách phát hành và trái phiếu chính quyền địa phương;
Theo đề nghị của Giám đốc Phòng Thị trường Trái phiếu,
QUYẾT ĐỊNH:
Điều 1.Ban hành kèm theo Quyết định này Quy chế Giao dịch công cụ nợ của Chính phủ, trái phiếu được Chính phủ bảo lãnh do ngân hàng chính sách phát hành và trái phiếu chính quyền địa phương.
Điều 2.Quyết định này có hiệu lực thi hành kể từ ngày 01/01/2021 và thay thế Quyết định số 501/QĐ-SGDHN ngày 05/7/2017 của Tổng Giám đốc Sở Giao dịch Chứng khoán Hà Nội về việc ban hành Quy chế Giao dịch trái phiếu Chính phủ, trái phiếu được Chính phủ bảo lãnh và trái phiếu chính quyền địa phương.
Điều 3.Giám đốc Phòng Tổng hợp Pháp chế, Giám đốc Phòng Thị trường Trái phiếu, Thủ trưởng các đơn vị thuộc Sở Giao dịch Chứng khoán Hà Nội và các tổ chức, cá nhân liên quan chịu trách nhiệm thi hành Quyết định này./.
|
Nơi nhận: |
KT. TỔNG GIÁM ĐỐC |
QUY CHẾ
Giao dịch công cụ nợ của Chính phủ, trái phiếu được Chính phủ bảo lãnh do ngân hàng chính sách phát hành và trái phiếu chính quyền địa phương
(Ban hành kèm theo Quyết định số 770/QĐ-SGDHN ngày 30 tháng 12 năm 2020 của Tổng Giám đốc Sở Giao dịch Chứng khoán Hà Nội)
Chương I. QUY ĐỊNH CHUNG
Điều 1. Phạm vi áp dụng
Quy chế này quy định về việc tổ chức và quản lý giao dịch công cụ nợ của Chính phủ (gồm trái phiếu Chính phủ, tín phiếu Kho bạc, công trái xây dựng Tổ quốc), trái phiếu được Chính phủ bảo lãnh do ngân hàng chính sách phát hành và trái phiếu chính quyền địa phương (sau đây gọi tắt là công cụ nợ) tại Sở Giao dịch Chứng khoán Hà Nội (sau đây gọi tắt là SGDCK).
Điều 2. Giải thích từ ngữ
Ngoài các thuật ngữ đã được giải thích tại Thông tư số 30/2019/TT-BTC ngày 28/5/2019 của Bộ trưởng Bộ Tài chính hướng dẫn đăng ký, lưu ký, niêm yết, giao dịch và thanh toán giao dịch công cụ nợ của Chính phủ, trái phiếu được Chính phủ bảo lãnh do ngân hàng chính sách phát hành và trái phiếu chính quyền địa phương (sau đây gọi tắt là Thông tư 30/2019/TT-BTC), trong Quy chế này, các thuật ngữ dưới đây được hiểu như sau:
1. Bản sao hợp lệ là bản sao được cấp từ số gốc hoặc bản sao có chứng thực hoặc bản sao có xác nhận của người có trách nhiệm đối chiếu với bản chính theo quy định của pháp luật về cấp bản sao. Trường hợp nộp hồ sơ qua đường bưu điện, bản sao hợp lệ là bản sao được cấp từ số gốc hoặc bản sao có chứng thực
2. Đại diện giao dịch là nhân viên do thành viên giao dịch hoặc Kho bạc Nhà nước (sau đây gọi tắt là KBNN) cử, được SGDCK công nhận là đại diện giao dịch và cho phép đại diện cho thành viên và KBNN nhập lệnh trên hệ thống giao dịch công cụ nợ của SGDCK.
3. Kỳ hạn công cụ nợ là khoảng thời gian tính từ ngày phát hành lần đầu đến ngày đáo hạn công cụ nợ.
4. Kỳ hạn còn lại của công cụ nợ là khoảng thời gian còn lại (theo ngày thực tế) từ ngày hiện tại đến ngày đáo hạn công cụ nợ.
5. Lãi suất danh nghĩa (lãi suất coupon) của công cụ nợ là tỷ lệ phần trăm (%) lãi hàng năm tính trên mệnh giá mà tổ chức phát hành phải thanh toán cho người sở hữu công cụ nợ trong suốt kỳ hạn của công cụ nợ.
6. Ngày trả lãi danh nghĩa của công cụ nợ là ngày định kỳ trả lãi công cụ nợ hàng năm do tổ chức phát hành cam kết trả theo các điều kiện, điều khoản của công cụ nợ.
7. Ngày thực thanh toán lãi công cụ nợ là ngày trả lãi danh nghĩa hoặc ngày làm việc kế tiếp ngày trả lãi danh nghĩa trong trường hợp ngày trả lãi danh nghĩa trùng vào ngày nghỉ, ngày lễ theo quy định của Bộ luật Lao động hoặc theo thông báo của cơ quan có thẩm quyền.
8. Ngày đăng ký cuối cùng nhận lãi, vốn gốc công cụ nợ là ngày Trung tâm Lưu ký Chứng khoán Việt Nam (sau đây gọi tắt là TTLKCK) xác định danh sách chủ sở hữu công cụ nợ để tổ chức phát hành thanh toán lãi, vốn gốc công cụ nợ.
9. Ngày giao dịch là ngày công cụ nợ được giao dịch trên hệ thống giao dịch công cụ nợ của SGDCK.
10. Ngày thanh toán công cụ nợ là ngày bên mua hoặc bên bán công cụ nợ nhận được công cụ nợ hoặc tiền.
11. Kỳ trả lãi công cụ nợ là khoảng thời gian giữa hai ngày trả lãi danh nghĩa liền kề.
12. Kỳ trả lãi công cụ nợ hiện tại là kỳ trả lãi công cụ nợ có ngày thanh toán giao dịch diễn ra.
13. Giao dịch công cụ nợ hưởng quyền là giao dịch có ngày thanh toán diễn ra trước hoặc trùng với ngày đăng ký cuối cùng hưởng lãi công cụ nợ của kỳ trả lãi hiện tại.
14. Giao dịch công cụ nợ không hưởng quyền là giao dịch có ngày thanh toán diễn ra sau ngày đăng ký cuối cùng hưởng lãi công cụ nợ của kỳ trả lãi hiện tại.
15. Giá gộp lãi là giá của công cụ nợ tính vào ngày thanh toán và có bao gồm lãi danh nghĩa tích gộp. Đối với công cụ nợ không thanh toán lãi định kỳ và tín phiếu, giá gộp lãi bằng giá yết.
16. Công cụ nợ thanh toán lãi định kỳ là loại công cụ nợ được phát hành ngang, cao hơn hoặc thấp hơn mệnh giá, thanh toán lãi danh nghĩa theo định kỳ 06 (sáu) tháng một lần hoặc 12 (mười hai) tháng một lần theo quy định của tổ chức phát hành, và tiền gốc công cụ nợ được thanh toán một lần vào ngày công cụ nợ đáo hạn. Công cụ nợ thanh toán lãi định kỳ bao gồm:
a) Công cụ nợ có lãi suất danh nghĩa cố định, thanh toán lãi định kỳ và có các kỳ trả lãi bằng nhau;
b) Công cụ nợ có lãi suất danh nghĩa cố định, thanh toán lãi định kỳ và có kỳ trả lãi đầu tiên ngắn hơn so với các kỳ trả lãi tiếp theo;
c) Công cụ nợ có lãi suất danh nghĩa cố định, thanh toán lãi định kỳ và có kỳ trả lãi đầu tiên dài hơn so với các kỳ trả lãi tiếp theo.
17. Công cụ nợ không thanh toán lãi định kỳ là loại công cụ nợ được phát hành thấp hơn mệnh giá, không thanh toán lãi danh nghĩa định kỳ mà chỉ thanh toán một lần cả gốc và lãi tại ngày đáo hạn. Đối với loại công cụ nợ này, tổ chức phát hành quy định rõ số kỳ trả lãi giả định kể từ ngày phát hành công cụ nợ lần đầu tới ngày công cụ nợ đáo hạn.
18. Ban điều hành là Giám đốc hoặc Tổng Giám đốc và cá nhân giữ chức danh quản lý khác có thẩm quyền nhân danh công ty ký kết giao dịch của công ty theo quy định tại Điều lệ công ty.
Chương II. THÀNH VIÊN GIAO DỊCH
Điều 3. Thành viên giao dịch
Thành viên giao dịch công cụ nợ bao gồm thành viên giao dịch thông thường và thành viên giao dịch đặc biệt theo quy định tại Khoản 1 Điều 5 Thông tư 30/2019/TT-BTC.
Điều 4. Đại diện giao dịch
1. Việc công nhận đại diện giao dịch chỉ có giá trị khi Chứng chỉ hành nghề kinh doanh chứng khoán (đối với thành viên giao dịch thông thường) và Hợp đồng lao động với thành viên hoặc Quyết định tuyển dụng làm công chức với KBNN còn hiệu lực.
Trường hợp đại diện giao dịch chấm dứt hợp đồng lao động với thành viên giao dịch/KBNN, thành viên giao dịch/KBNN phải thông báo bằng fax/email cho SGDCK về chấm dứt hợp đồng lao động của đại diện giao dịch trong ngày xảy ra sự việc và gửi thông báo bằng văn bản trong vòng ba (03) ngày làm việc. Trường hợp thành viên giao dịch không thông báo về việc chấm dứt hợp đồng lao động của đại diện giao dịch, SGDCK ra quyết định chấm dứt tư cách đại diện giao dịch và áp dụng hình thức xử lý vi phạm đối với thành viên giao dịch theo quy định tại mục 2.3 khoản 2 Điều 11 Quy chế này.
2. Nghĩa vụ của đại diện giao dịch
a) Tuân thủ các quy định trong Quy chế này và các văn bản pháp luật có liên quan;
b) Giữ bí mật thông tin đăng nhập hệ thống và bảo mật các thông tin liên quan đến hệ thống tại SGDCK;
c) Tham gia các chương trình tập huấn dành cho đại diện giao dịch do SGDCK tổ chức.
3. Thành viên giao dịch và KBNN chịu hoàn toàn trách nhiệm về việc thực hiện nhiệm vụ của đại diện giao dịch trong các hoạt động giao dịch công cụ nợ với SGDCK
Điều 5. Kho bạc Nhà nước
1. Điều kiện tham gia giao dịch trên hệ thống giao dịch công cụ nợ của KBNN
KBNN phải đáp ứng các tiêu chuẩn về kỹ thuật và đại diện giao dịch sau để được giao dịch trên hệ thống giao dịch công cụ nợ của SGDCK:
a) Về kỹ thuật
- Có hạ tầng công nghệ thông tin kết nối đến SGDCK đáp ứng yêu cầu của SGDCK và đảm bảo kết nối giao dịch từ xa và kết nối giao dịch Internet với hệ thống giao dịch công cụ nợ của SGDCK;
- Có phần mềm phục vụ hoạt động giao dịch và thanh toán đáp ứng được các yêu cầu kỹ thuật và nghiệp vụ theo quy định của SGDCK;
- Có hệ thống dự phòng trường hợp xảy ra sự cố máy chủ, đường truyền, điện lưới.
b) Về đại diện giao dịch
- Là công chức nhà nước tại KBNN;
- Đạt yêu cầu kiểm tra các chương trình đào tạo về đại diện giao dịch công cụ nợ do SGDCK tổ chức.
2. Đăng ký tham gia giao dịch
a) Hồ sơ đăng ký giao dịch của KBNN bao gồm:
- Giấy đề nghị đăng ký giao dịch công cụ nợ (theo mẫu tại Phụ lục I/TP ban hành kèm theo Quy chế);
- Bản sao Hợp đồng cung cấp dịch vụ với TTLKCK;
- Hồ sơ đăng ký kết nối giao dịch trực tuyến, giao dịch từ xa theo quy định về Hạ tầng công nghệ thông tin kết nối đến SGDCK;
- Các quy trình, tài liệu nghiệp vụ về hoạt động giao dịch công cụ nợ (quy trình giao dịch, quy trình sửa lỗi trong giờ giao dịch);
- Hồ sơ đăng ký đại diện giao dịch công cụ nợ theo quy định tại điểm b khoản này.
b) Hồ sơ đăng ký đại diện giao dịch công cụ nợ bao gồm:
- Giấy đề nghị đăng ký đại diện giao dịch công cụ nợ (theo mẫu tại Phụ lục VI/TP ban hành kèm theo Quy chế);
- Bản sao Giấy chứng nhận hoàn thành chương trình đào tạo đại diện giao dịch công cụ nợ do SGDCK tổ chức;
- Lý lịch tóm tắt (có dán ảnh) của nhân viên được cử làm đại diện giao dịch có xác nhận của KBNN;
- Bản sao hợp lệ Quyết định tuyển dụng chính thức làm công chức nhà nước.
Trong vòng 03 ngày làm việc kể từ ngày nhận được hồ sơ đăng ký đại diện giao dịch đầy đủ và hợp lệ, SGDCK công nhận nhân viên đó là đại diện giao dịch. Trường hợp từ chối, SGDCK trả lời bằng văn bản và nêu rõ lý do. Trong những trường hợp cần thiết, SGDCK có thể kiểm tra lại kỹ năng của đại diện giao dịch.
3. Thủ tục chấp thuận đăng ký giao dịch của KBNN
a) Trong vòng 10 ngày làm việc kể từ ngày nhận được hồ sơ đăng ký giao dịch công cụ nợ của KBNN, SGDCK gửi công văn trả lời KBNN về tình trạng hồ sơ và yêu cầu KBNN bổ sung hồ sơ (nếu cần thiết);
b) Trong vòng 03 ngày làm việc kể từ ngày nhận được hồ sơ đầy đủ, hợp lệ, SGDCK gửi công văn thông báo và yêu cầu KBNN chuẩn bị cơ sở vật chất, cài đặt hệ thống theo hướng dẫn và thông báo cho SGDCK ngay sau khi hoàn thành;
c) Trong vòng 10 ngày làm việc kể từ ngày KBNN hoàn thành việc chuẩn bị cơ sở vật chất, cài đặt hệ thống theo yêu cầu của SGDCK, SGDCK tổ chức kiểm tra cơ sở vật chất và trạng thái kết nối tại địa điểm kết nối của KBNN. Trường hợp kết quả kiểm tra cơ sở vật chất và trạng thái kết nối không đạt yêu cầu, SGDCK có công văn trả lời và nêu rõ lý do;
d) Trong vòng 15 ngày làm việc kể từ ngày có kết quả kiểm tra cơ sở vật chất đạt yêu cầu, KBNN phải hoàn thành các công việc sau:
- Chuẩn bị nhân sự và thiết bị kỹ thuật sẵn sàng (như đã cam kết trong hồ sơ đăng ký giao dịch công cụ nợ) cho việc tham gia hệ thống giao dịch công cụ nợ của SGDCK;
- Đăng ký ngày giao dịch đầu tiên.
đ) Trong vòng 03 ngày làm việc kể từ ngày KBNN hoàn tất các công việc chuẩn bị triển khai giao dịch, SGDCK ký Quyết định chấp thuận đăng ký giao dịch công cụ nợ. Trường hợp từ chối chấp thuận đăng ký giao dịch công cụ nợ, SGDCK có công văn trả lời và nêu rõ lý do;
e) SGDCK có thể từ chối chấp thuận đăng ký giao dịch công cụ nợ của KBNN khi:
- Hồ sơ đăng ký giao dịch công cụ nợ có thông tin sai sự thật;
- KBNN không đáp ứng được các yêu cầu về kỹ thuật và đại diện giao dịch theo quy định tại khoản 1 Điều này.
Điều 6. Điều kiện làm thành viên giao dịch
Thành viên giao dịch phải đáp ứng được các điều kiện sau:
1. Đối với thành viên giao dịch thông thường
a) Đáp ứng các tiêu chuẩn quy định tại Khoản 1 Điều 6 Thông tư 30/2019/TT-BTC;
b) Đủ điều kiện cơ sở vật chất kỹ thuật, nhân sự phục vụ hoạt động giao dịch công cụ nợ bao gồm:
- Là thành viên lưu ký của TTLKCK;
- Được ngân hàng thương mại (NHTM) cung cấp dịch vụ thanh toán cho công ty chứng khoán cam kết về việc cho vay thanh toán giao dịch công cụ nợ trong trường hợp công ty chứng khoán tạm thời mất khả năng thanh toán;
- Có hạ tầng công nghệ thông tin kết nối đến SGDCK đáp ứng yêu cầu của SGDCK và đảm bảo kết nối giao dịch từ xa và kết nối giao dịch Internet với hệ thống giao dịch công cụ nợ của SGDCK;
- Có thiết bị cung cấp thông tin giao dịch công cụ nợ của SGDCK phục vụ nhà đầu tư tại mỗi địa điểm đăng ký kết nối giao dịch với SGDCK;
- Có trang thông tin điện tử đảm bảo việc thực hiện công bố thông tin theo quy định về công bố thông tin của thành viên giao dịch thông thường tại Thông tư 30/2019/TT-BTC;
- Có phần mềm phục vụ hoạt động giao dịch và thanh toán đáp ứng được các yêu cầu kỹ thuật và nghiệp vụ theo quy định của SGDCK;
- Có hệ thống dự phòng trường hợp xảy ra sự cố máy chủ, đường truyền, điện lưới.
- Có nhân viên đủ điều kiện được cử làm đại diện giao dịch và các đại diện giao dịch phải tuân thủ đạo đức nghề nghiệp.
2. Đối với thành viên giao dịch đặc biệt
a) Đáp ứng các tiêu chuẩn quy định tại Khoản 2 Điều 6 Thông tư 30/2019/TT-BTC.
b) Đủ điều kiện cơ sở vật chất kỹ thuật, nhân sự phục vụ hoạt động giao dịch công cụ nợ bao gồm:
- Là thành viên lưu ký hoặc tổ chức mở tài khoản trực tiếp của TTLKCK;
- Có hạ tầng công nghệ thông tin kết nối đến SGDCK đáp ứng yêu cầu của SGDCK và đảm bảo kết nối giao dịch từ xa và kết nối giao dịch Internet với hệ thống giao dịch công cụ nợ của SGDCK;
- Có trang thông tin điện tử đảm bảo việc thực hiện công bố thông tin theo quy định về công bố thông tin của thành viên giao dịch đặc biệt tại Thông tư 30/2019/TT-BTC;
- Có phần mềm phục vụ hoạt động giao dịch và thanh toán đáp ứng được các yêu cầu kỹ thuật và nghiệp vụ theo quy định của SGDCK;
- Có hệ thống dự phòng trường hợp xảy ra sự cố máy chủ, đường truyền, điện lưới.
- Có thành viên Ban điều hành hoặc người được phân công phụ trách hoạt động giao dịch công cụ nợ. Có nhân viên đủ điều kiện được cử làm đại diện giao dịch. Các đại diện giao dịch phải tuân thủ đạo đức nghề nghiệp.
Điều 7. Hồ sơ đăng ký thành viên giao dịch
1. Đối với công ty chứng khoán đã là thành viên giao dịch thị trường niêm yết và/hoặc thành viên giao dịch thị trường đăng ký giao dịch tại SGDCK, hồ sơ đăng ký thành viên giao dịch bao gồm:
a) Giấy đề nghị đăng ký thành viên giao dịch (theo mẫu tại Phụ lục I/TP ban hành kèm theo Quy chế);
b) Hợp đồng cam kết về việc cho vay thanh toán giao dịch công cụ nợ giữa công ty chứng khoán và ngân hàng thành viên thanh toán trong trường hợp công ty chứng khoán tạm thời mất khả năng thanh toán;
c) Hồ sơ đăng ký kết nối giao dịch internet, giao dịch từ xa theo quy định về Hạ tầng công nghệ thông tin kết nối đến SGDCK;
d) Các quy trình, văn bản, tài liệu nghiệp vụ về hoạt động giao dịch công cụ nợ (Quy trình môi giới, tự doanh, quy trình sửa lỗi trong giờ giao dịch, hợp đồng ký kết với NHTM về việc quản lý tiền gửi giao dịch của nhà đầu tư, quy trình đối chiếu số dư và quản lý tiền gửi của nhà đầu tư tại NHTM, quy trình đối chiếu số dư chứng khoán và tiền của khách hàng với thành viên lưu ký trong trường hợp nhà đầu tư mở tài khoản lưu ký tại thành viên lưu ký khác, mẫu hợp đồng mở tài khoản với khách hàng, mẫu phiếu lệnh (theo mẫu tại Phụ lục II/TP ban hành kèm theo Quy chế), mẫu phiếu xác nhận kết quả giao dịch dành cho khách hàng (theo mẫu tại Phụ lục III/TP ban hành kèm theo Quy chế), tài liệu hướng dẫn nhà đầu tư tham gia giao dịch công cụ nợ tại SGDCK);
đ) Hồ sơ đăng ký đại diện giao dịch theo quy định tại Khoản 4 Điều này;
e) Giấy ủy quyền phê duyệt báo cáo hoạt động kinh doanh công cụ nợ (theo mẫu tại Phụ lục IV/TP ban hành kèm theo Quy chế).
2. Đối với công ty chứng khoán chưa là thành viên giao dịch thị trường niêm yết và thành viên giao dịch thị trường đăng ký giao dịch tại SGDCK, hồ sơ đăng ký thành viên giao dịch bao gồm:
a) Giấy đề nghị đăng ký thành viên giao dịch (theo mẫu tại Phụ lục I/TP ban hành kèm theo Quy chế);
b) Bản sao hợp lệ Giấy phép thành lập và hoạt động;
c) Bản sao Giấy chứng nhận là thành viên lưu ký của TTLKCK;
d) Điều lệ công ty theo mẫu quy định tại Phụ lục XI Thông tư số 07/2016/TT-BTC ngày 18/01/2016 của Bộ trưởng Bộ Tài chính sửa đổi, bổ sung một số điều của Thông tư số 210/2012/TT-BTC ngày 30/11/2012 hướng dẫn thành lập và hoạt động công ty chứng khoán;
đ) Hợp đồng cam kết về việc cho vay thanh toán giao dịch công cụ nợ giữa công ty chứng khoán và ngân hàng thành viên thanh toán trong trường hợp công ty chứng khoán tạm thời mất khả năng thanh toán;
e) Hồ sơ đăng ký kết nối giao dịch internet, giao dịch từ xa theo quy định về Hạ tầng công nghệ thông tin kết nối đến SGDCK;
g) Các quy trình, văn bản, tài liệu nghiệp vụ về hoạt động giao dịch công cụ nợ (Quy trình môi giới, tự doanh, quy trình sửa lỗi trong giờ giao dịch, hợp đồng ký kết với NHTM về việc quản lý tiền gửi giao dịch của nhà đầu tư, quy trình đối chiếu số dư và quản lý tiền gửi của nhà đầu tư tại NHTM trong trường hợp nhà đầu tư mở tài khoản tại chính thành viên giao dịch, quy trình đối chiếu số dư chứng khoán và tiền của khách hàng với thành viên lưu ký trong trường hợp nhà đầu tư mở tài khoản lưu ký tại thành viên lưu ký khác, mẫu hợp đồng mở tài khoản với khách hàng, mẫu phiếu lệnh (theo mẫu tại Phụ lục II/TP ban hành kèm theo Quy chế), mẫu phiếu xác nhận kết quả giao dịch dành cho khách hàng (theo mẫu tại Phụ lục III/TP ban hành kèm theo Quy chế), tài liệu hướng dẫn nhà đầu tư tham gia giao dịch công cụ nợ tại SGDCK);
h) Quy định, quy trình về kiểm soát nội bộ, quản trị rủi ro của Công ty;
i) Sơ yếu lý lịch có dán ảnh của thành viên Ban điều hành và những người được Tổng Giám đốc ủy quyền thay mặt Tổng Giám đốc thực hiện quản lý và giao dịch công cụ nợ, cán bộ phụ trách bộ phận giao dịch công cụ nợ, có xác nhận tại nơi cư trú trong vòng 06 tháng trước khi nộp Hồ sơ đăng ký làm thành viên;
l) Giấy ủy quyền thực hiện công bố thông tin theo mẫu Giấy ủy quyền thực hiện công bố thông tin quy định tại Phụ lục I Thông tư số 96/2020/TT-BTC ngày 16/11/2020 của Bộ trưởng Bộ Tài chính hướng dẫn công bố thông tin trên thị trường chứng khoán (sau đây gọi tắt là Thông tư 96/2020/TT-BTC);
m) Giấy ủy quyền phê duyệt báo cáo hoạt động kinh doanh công cụ nợ (theo mẫu tại Phụ lục IV/TP ban hành kèm theo Quy chế).
3. Đối với NHTM, chi nhánh NHTM nước ngoài, hồ sơ đăng ký thành viên giao dịch bao gồm:
a) Giấy đề nghị đăng ký thành viên giao dịch (theo mẫu tại Phụ lục I/TP ban hành kèm theo Quy chế);
b) Bản sao hợp lệ Giấy phép thành lập và hoạt động hoặc Giấy phép mở chi nhánh của cơ quan có thẩm quyền;
c) Bản sao Giấy chứng nhận là thành viên lưu ký của TTLKCK hoặc Hợp đồng cung cấp dịch vụ với TTLKCK;
d) Hồ sơ đăng ký kết nối giao dịch internet, giao dịch từ xa theo quy định về Hạ tầng công nghệ thông tin kết nối đến SGDCK;
đ) Các quy trình nghiệp vụ về hoạt động giao dịch công cụ nợ (Quy trình tự doanh, quy trình sửa lỗi trong giờ giao dịch);
e) Sơ yếu lý lịch có dán ảnh của thành viên Ban điều hành và những người được Tổng Giám đốc ủy quyền thay mặt Tổng Giám đốc thực hiện quản lý và giao dịch công cụ nợ, cán bộ phụ trách bộ phận giao dịch công cụ nợ, có xác nhận tại nơi cư trú trong vòng 06 tháng trước khi nộp Hồ sơ đăng ký làm thành viên;
g) Hồ sơ đăng ký đại diện giao dịch theo quy định tại Khoản 4 Điều này;
h) Giấy ủy quyền phê duyệt báo cáo hoạt động kinh doanh công cụ nợ (theo mẫu tại Phụ lục IV/TP ban hành kèm theo Quy chế);
i) Giấy ủy quyền thực hiện công bố thông tin (theo mẫu tại Phụ lục V/TP ban hành kèm theo Quy chế).
4. Hồ sơ đăng ký đại diện giao dịch
a) Đại diện giao dịch phải đáp ứng các điều kiện sau:
- Có hợp đồng lao động tại thành viên giao dịch từ 1 năm trở lên hoặc không xác định thời hạn, hoặc có quyết định tuyển làm công chức chính thức;
- Có Chứng chỉ hành nghề chứng khoán do Ủy ban Chứng khoán Nhà nước (UBCKNN) cấp (đối với thành viên giao dịch thông thường);
- Đạt yêu cầu kiểm tra các chương trình đào tạo về đại diện giao dịch do SGDCK tổ chức;
- Các điều kiện khác theo quy định của SGDCK (nếu cần).
b) Hồ sơ đăng ký đại diện giao dịch bao gồm:
- Giấy đề nghị đăng ký đại diện giao dịch (theo mẫu tại Phụ lục VI/TP ban hành kèm theo Quy chế);
- Bản sao Giấy chứng nhận hoàn thành chương trình đào tạo đại diện giao dịch phù hợp do SGDCK tổ chức;
- Bản sao hợp lệ Chứng chỉ hành nghề chứng khoán do UBCKNN cấp (đối với thành viên giao dịch thông thường);
- Lý lịch tóm tắt (có dán ảnh) của nhân viên được cử làm đại diện giao dịch có xác nhận của thành viên;
- Bản sao hợp lệ Hợp đồng lao động.
c) Trong vòng 03 ngày làm việc kể từ ngày nhận được hồ sơ đăng ký đại diện giao dịch đầy đủ và hợp lệ, SGDCK công nhận nhân viên đó là đại diện giao dịch. Trường hợp từ chối, SGDCK trả lời bằng văn bản và nêu rõ lý do. Trong những trường hợp cần thiết, SGDCK có thể kiểm tra lại kỹ năng của đại diện giao dịch.
Điều 8. Thủ tục chấp thuận thành viên giao dịch
1. Công ty chứng khoán, NHTM, chi nhánh NHTM nộp hồ sơ đăng ký làm thành viên giao dịch theo quy định tại Điều 7 Quy chế này. Đối với các đơn vị nộp hồ sơ trực tiếp tại trụ sở SGDCK, SGDCK cung cấp cho đơn vị nộp hồ sơ phiếu xác nhận danh mục các hồ sơ đã nhận.
2. Trong vòng 03 ngày làm việc kể từ ngày nhận được hồ sơ đăng ký thành viên giao dịch, SGDCK thông báo trên các phương tiện công bố thông tin của SGDCK về việc tiếp nhận hồ sơ của đơn vị đăng ký làm thành viên giao dịch;
3. Trong vòng 10 ngày làm việc kể từ ngày công bố thông tin về việc tiếp nhận hồ sơ đăng ký làm thành viên, SGDCK gửi công văn trả lời đơn vị đăng ký làm thành viên giao dịch về tình trạng hồ sơ và yêu cầu đơn vị đăng ký làm thành viên giao dịch bổ sung hồ sơ (nếu cần thiết);
4. Trong vòng 03 ngày làm việc kể từ ngày nhận được hồ sơ đầy đủ, hợp lệ, SGDCK gửi công văn thông báo và và yêu cầu đơn vị đăng ký làm thành viên giao dịch chuẩn bị cơ sở vật chất, cài đặt hệ thống theo hướng dẫn và có công văn thông báo cho SGDCK ngay sau khi hoàn thành;
5. Trong vòng 10 ngày làm việc kể từ ngày đơn vị đăng ký làm thành viên giao dịch hoàn thành việc chuẩn bị cơ sở vật chất, cài đặt hệ thống theo yêu cầu của SGDCK, SGDCK tổ chức kiểm tra cơ sở vật chất và trạng thái kết nối tại đơn vị đăng ký làm thành viên giao dịch.
Đối với công ty chứng khoán đã là thành viên giao dịch thị trường niêm yết và/ hoặc thành viên giao dịch thị trường đăng ký giao dịch tại SGDCK, SGDCK chỉ thực hiện kiểm tra kết nối từ xa.
Trường hợp kết quả kiểm tra cơ sở vật chất và trạng thái kết nối không đạt yêu cầu, SGDCK có công văn trả lời và nêu rõ lý do;
6. Trong vòng 15 ngày làm việc kể từ ngày có kết quả kiểm tra cơ sở vật chất đạt yêu cầu, đơn vị đăng ký làm thành viên giao dịch phải hoàn thành các công việc sau:
a) Chuẩn bị nhân sự và thiết bị kỹ thuật sẵn sàng (như đã cam kết trong hồ sơ đăng ký thành viên giao dịch) cho việc tham gia hệ thống giao dịch công cụ nợ;
b) Đăng ký ngày giao dịch đầu tiên.
7. Trong vòng 03 ngày làm việc kể từ ngày đơn vị đăng ký làm thành viên giao dịch hoàn tất các công việc chuẩn bị triển khai giao dịch, SGDCK ký Quyết định chấp thuận tư cách thành viên giao dịch. Trường hợp từ chối chấp thuận thành viên giao dịch, SGDCK có công văn trả lời và nêu rõ lý do.
8. SGDCK có quyền từ chối chấp thuận tư cách thành viên giao dịch khi:
a) Hồ sơ đăng ký thành viên giao dịch có thông tin sai sự thật;
b) Trong vòng 90 ngày kể từ ngày nộp hồ sơ đăng ký làm thành viên giao dịch, đơn vị đăng ký làm thành viên giao dịch không hoàn thiện hồ sơ theo yêu cầu của SGDCK tại khoản 3 Điều này;
c) Trong vòng 90 ngày kể từ ngày kiểm tra cơ sở vật chất lần đầu, đơn vị đăng ký làm thành viên giao dịch không hoàn thành việc chuẩn bị cơ sở vật chất theo yêu cầu của SGDCK tại khoản 5 Điều này;
d) Đơn vị đăng ký thành viên giao dịch không đáp ứng yêu cầu theo quy định tại khoản 6 Điều này;
đ) Các trường hợp khác do SGDCK quyết định.
9. Đơn vị đăng ký làm thành viên giao dịch chỉ được nộp hồ sơ đăng ký làm thành viên giao dịch lại sau 03 tháng kể từ khi SGDCK từ chối hồ sơ đăng ký làm thành viên lần trước.
Điều 9. Quyền và nghĩa vụ của thành viên giao dịch
1. Quyền và nghĩa vụ của thành viên giao dịch thông thường
a) Quyền và nghĩa vụ của thành viên giao dịch thông thường thực hiện theo quy định tại Điều 8 và Điều 11 Thông tư 30/2019/TT-BTC;
b) Thành viên giao dịch thông thường có quyền sử dụng phần mềm giao dịch trực tuyến công cụ nợ của SGDCK. Thành viên giao dịch thông thường có nghĩa vụ giới thiệu, cung cấp và hướng dẫn các nhà đầu tư của mình sử dụng phần mềm giao dịch trực tuyến công cụ nợ của SGDCK;
c) Thành viên giao dịch thông thường có nghĩa vụ khai báo đầy đủ và chính xác thông tin nhà đầu tư vào hệ thống giao dịch công cụ nợ của SGDCK trước khi thực hiện giao dịch;
d) Thành viên giao dịch thông thường có nghĩa vụ đăng ký mới hoặc đăng ký bổ sung khi hết hạn thông tin chữ ký số cho đại diện giao dịch và khách hàng của thành viên đang sử dụng hệ thống giao dịch công cụ nợ trực tuyến của SGDCK (theo mẫu tại Phụ lục VII/TP ban hành kèm theo Quy chế).
2. Quyền và nghĩa vụ của thành viên giao dịch đặc biệt
a) Quyền và nghĩa vụ của thành viên giao dịch đặc biệt thực hiện theo quy định tại Điều 8 và Điều 11 Thông tư 30/2019/TT-BTC;
b) Thành viên giao dịch đặc biệt có quyền sử dụng phần mềm giao dịch trực tuyến công cụ nợ của SGDCK;
c) Thành viên giao dịch đặc biệt có nghĩa vụ đăng ký mới hoặc đăng ký bổ sung khi hết hạn thông tin chữ ký số cho đại diện giao dịch của thành viên đang sử dụng hệ thống giao dịch công cụ nợ trực tuyến của SGDCK (theo mẫu tại Phụ lục VII/TP ban hành kèm theo Quy chế);
d) Thành viên giao dịch đặc biệt có nghĩa vụ chào mua, chào bán trên hệ thống đường cong lợi suất của SGDCK trong tất cả các ngày giao dịch như sau:
- Thực hiện chào mua, chào bán trên hệ thống đường cong lợi suất tối thiểu 7 kỳ hạn, trong đó có kỳ hạn 3 tháng, 6 tháng và 2 năm;
- Trường hợp các kỳ hạn chào giá bắt buộc (3 tháng, 6 tháng, 2 năm) không có công cụ nợ chào giá trên hệ thống, thành viên giao dịch đặc biệt vẫn phải đảm bảo nghĩa vụ chào tối thiểu 7 kỳ hạn trên hệ thống đường cong lợi suất;
- Kỳ hạn chào giá là kỳ hạn còn lại của công cụ nợ, bao gồm các kỳ hạn: 3 tháng, 6 tháng, 9 tháng, 1 năm, 2 năm, 3 năm, 5 năm, 7 năm, 10 năm, 15 năm, 20 năm, 30 năm. Số lượng kỳ hạn chào giá có thể thay đổi, tùy theo kỳ hạn phát hành công cụ nợ. Định nghĩa về kỳ hạn còn lại của công cụ nợ được quy định tại Phụ lục IX/TP ban hành kèm theo Quy chế;
- Công cụ nợ chào giá là công cụ nợ của Chính phủ, đáp ứng tốt nhất các điều kiện về tần suất giao dịch, khối lượng giao dịch và khối lượng niêm yết. Phương pháp xác định danh mục công cụ nợ chào giá được quy định trong quy trình nghiệp vụ do SGDCK ban hành.
Điều 10. Hòa giải theo yêu cầu của thành viên giao dịch
Việc hòa giải theo yêu cầu của thành viên giao dịch công cụ nợ được quy định tương tự như đối với việc hòa giải theo yêu cầu của thành viên giao dịch quy định trong Quy chế Thành viên giao dịch thị trường niêm yết và đăng ký giao dịch tại Sở Giao dịch Chứng khoán Hà Nội ban hành kèm theo Quyết định số 430/QĐ-SGDHN ngày 03/7/2019.
1. Đối với đại diện giao dịch
1.1. Đại diện giao dịch sẽ chịu hình thức kỷ luật khi vi phạm một trong các trường hợp sau:
a) Thực hiện các giao dịch bất thường theo quy định tại Khoản 2 Điều 3 Thông tư số 95/2020/TT-BTC ngày 16/11/2020 của Bộ trưởng Bộ Tài chính hướng dẫn giám sát giao dịch chứng khoán trên thị trường chứng khoán;
b) Vi phạm các quy định về an toàn giao dịch, an ninh mạng của SGDCK và bảo mật việc sử dụng tài khoản giao dịch trên hệ thống giao dịch công cụ nợ, thông tin, đường cong lợi suất của SGDCK;
c) Không tham gia các khóa đào tạo về sử dụng hệ thống giao dịch công cụ nợ của SGDCK khi có những nâng cấp, thay đổi lớn về hệ thống giao dịch.
1.2. Trường hợp đại diện giao dịch thực hiện giao dịch bất thường, tùy theo mức độ nghiêm trọng, phạm vi ảnh hưởng và tần suất vi phạm, đại diện giao dịch chịu một hoặc một số hình thức kỷ luật bao gồm: khiển trách, cảnh cáo, khóa tài khoản giao dịch có thời hạn, chấm dứt tư cách đại diện giao dịch.
1.3. Trường hợp đại diện giao dịch vi phạm các quy định về an toàn giao dịch, an ninh mạng của SGDCK và bảo mật việc sử dụng tài khoản giao dịch trên hệ thống giao dịch công cụ nợ, thông tin, đường cong lợi suất của SGDCK, tùy theo mức độ vi phạm, đại diện giao dịch chịu một hoặc một số hình thức kỷ luật sau:
a) Khóa tài khoản giao dịch có thời hạn: Đối với trường hợp vi phạm lần đầu, việc khóa tài khoản giao dịch sẽ được thực hiện cho đến khi thành viên khắc phục xong hậu quả và có cam kết đảm bảo an toàn giao dịch, an toàn an ninh mạng;
b) Chấm dứt tư cách đại diện giao dịch: trường hợp đại diện giao dịch vi phạm có tính hệ thống từ 02 lần trở lên.
1.4. Trường hợp đại diện giao dịch không tham gia các khóa đào tạo về sử dụng hệ thống giao dịch công cụ nợ của SGDCK khi có những nâng cấp, thay đổi lớn về hệ thống giao dịch, tùy theo mức độ vi phạm, đại diện giao dịch chịu một hoặc một số hình thức kỷ luật sau:
a) Khóa tài khoản giao dịch có thời hạn: Đối với trường hợp vi phạm lần đầu. Việc khóa tài khoản giao dịch sẽ được thực hiện cho đến khi đại diện giao dịch hoàn thành các khóa đào tạo và kiểm tra đáp ứng yêu cầu thực hiện giao dịch trên hệ thống của SGDCK;
b) Chấm dứt tư cách đại diện giao dịch: trường hợp đại diện giao dịch vi phạm có tính hệ thống từ 02 lần trở lên.
2. Đối với thành viên giao dịch
2.1. Các hình thức xử lý vi phạm áp dụng đối với thành viên giao dịch được quy định tại Điều 12 Thông tư 30/2019/TT-BTC.
2.2. Trường hợp thành viên giao dịch đặc biệt vi phạm nghĩa vụ chào giá theo quy định tại điểm d khoản 2 Điều 9 Quy chế này, tùy theo mức độ vi phạm, thành viên chịu một hoặc một số các hình thức kỷ luật sau:
a) Khiển trách: Đối với trường hợp thành viên giao dịch trong 01 tháng vi phạm nhiều hơn 05 lỗi;
b) Cảnh cáo: Đối với trường hợp thành viên giao dịch đã bị khiển trách nhưng tiếp tục vi phạm tới mức bị khiển trách lần thứ hai trong vòng 12 tháng;
c) Đình chỉ có thời hạn hoạt động giao dịch công cụ nợ trên SGDCK: Đối với trường hợp thành viên giao dịch đã bị cảnh cáo nhưng tiếp tục vi phạm tới mức khiển trách trong vòng 12 tháng.
2.3. Trường hợp thành viên giao dịch vi phạm báo cáo thông tin về đại diện giao dịch, tùy theo mức độ vi phạm, thành viên giao dịch chịu một hoặc một số các hình thức kỷ luật sau:
a) Khiển trách: Đối với trường hợp vi phạm lần đầu;
b) Cảnh cáo: Đối với trường hợp tiếp tục vi phạm lần thứ hai;
c) Đình chỉ có thời hạn hoạt động giao dịch công cụ nợ trên SGDCK: Đối với trường hợp tiếp tục vi phạm lần thứ ba.
2.4. Trường hợp thành viên vi phạm các quy định về hạ tầng công nghệ thông tin kết nối đến SGDCK hoặc các vi phạm của đại diện giao dịch có tính hệ thống và thành viên giao dịch không có biện pháp khắc phục, phòng ngừa phù hợp, tùy theo mức độ vi phạm, thành viên giao dịch chịu một hoặc một số các hình thức kỷ luật sau:
a) Khiển trách: Đối với trường hợp vi phạm lần đầu;
b) Cảnh cáo: Đối với trường hợp tiếp tục vi phạm sau khi đã bị khiển trách;
c) Đình chỉ có thời hạn hoạt động giao dịch công cụ nợ trên SGDCK: Đối với trường hợp tiếp tục vi phạm sau khi đã bị cảnh cáo.
2.5. Trường hợp thành viên giao dịch vi phạm chế độ báo cáo và công bố thông tin, tùy theo mức độ vi phạm, thành viên giao dịch chịu một hoặc một số hình thức kỷ luật sau:
a) Khiển trách: Đối với trường hợp vi phạm chế độ báo cáo và công bố thông tin tới lần thứ ba trong vòng 12 tháng;
b) Cảnh cáo: Đối với trường hợp tiếp tục vi phạm về chế độ báo cáo và công bố thông tin lần thứ tư trong vòng 12 tháng;
c) Đình chỉ có thời hạn hoạt động giao dịch công cụ nợ trên SGDCK: Đối với trường hợp tiếp tục vi phạm lần thứ năm liên tiếp chế độ báo cáo và công bố thông tin trong vòng 12 tháng;
d) Đối với thành viên giao dịch thông thường và thành viên giao dịch đặc biệt là công ty đại chúng, công ty đại chúng quy mô lớn, công ty niêm yết, các trường hợp vi phạm chỉ tính đối với vi phạm chế độ báo cáo.
2.6. Trường hợp thành viên giao dịch nộp chậm (các) quy trình nghiệp vụ sửa đổi, bổ sung về hoạt động giao dịch công cụ nợ nêu tại Điều 7 Quy chế này theo quy trình hướng dẫn của SGDCK, tùy theo mức độ vi phạm, thành viên giao dịch chịu một hoặc một số hình thức kỷ luật sau:
a) Khiển trách: Đối với trường hợp đã quá 06 tháng tính từ thời điểm hiệu lực áp dụng quy trình hướng dẫn của SGDCK, thành viên giao dịch chưa nộp quy trình;
b) Cảnh cáo: Đối với trường hợp đã quá 09 tháng tính từ thời điểm hiệu lực áp dụng quy trình hướng dẫn của SGDCK, thành viên giao dịch chưa nộp quy trình;
c) Đình chỉ có thời hạn hoạt động giao dịch công cụ nợ trên SGDCK: Đối với trường hợp đã quá 12 tháng tính từ thời điểm hiệu lực áp dụng quy trình hướng dẫn của SGDCK, thành viên giao dịch chưa nộp quy trình.
2.7. Trường hợp thành viên giao dịch thực hiện các giao dịch bất thường, tùy theo mức độ nghiêm trọng, phạm vi ảnh hưởng và tần suất vi phạm, thành viên giao dịch chịu một hoặc một số hình thức kỷ luật bao gồm: khiển trách, cảnh cáo, đình chỉ có thời hạn hoạt động giao dịch công cụ nợ trên SGDCK.
2.8. Trường hợp thành viên giao dịch bị đình chỉ có thời hạn nêu tại điểm c mục 2.7 khoản 2 Điều này tiếp tục được phép hoạt động giao dịch công cụ nợ trên SGDCK sau khi có quyết định của SGDCK trên cơ sở xem xét văn bản giải trình phù hợp.
Điều 12. Chấm dứt tư cách thành viên giao dịch, chấm dứt tư cách đại diện giao dịch
1. Chấm dứt tư cách đại diện giao dịch
SGDCK chấm dứt tư cách đại diện giao dịch khi xảy ra một trong các trường hợp sau:
a) Theo đề nghị của thành viên giao dịch hoặc của KBNN (theo mẫu tại Phụ lục VIII/TP ban hành kèm theo Quy chế);
b) Khi thành viên giao dịch thực hiện thủ tục chấm dứt tư cách thành viên giao dịch tự nguyện hoặc bắt buộc;
c) Đại diện giao dịch không còn đáp ứng được các điều kiện theo quy định tại điểm b khoản 1 Điều 5 hoặc điểm a khoản 4 Điều 7;
d) Đại diện giao dịch vi phạm có tính hệ thống khi vi phạm các trường hợp quy định tại mục 1.1 khoản 1 Điều 11 Quy chế này.
2. Đối với thành viên giao dịch
2.1. Chấm dứt tư cách thành viên giao dịch tự nguyện
a) Hồ sơ đề nghị chấm dứt tư cách thành viên giao dịch
- Giấy đề nghị đề nghị chấm dứt tư cách thành viên giao dịch (theo mẫu tại Phụ lục X/TP ban hành kèm theo Quy chế);
- Phương án xử lý đối với các dịch vụ, hợp đồng đã ký kết (nếu có);
- Văn bản thỏa thuận chuyển giao dịch vụ, hợp đồng đã ký kết cho thành viên giao dịch khác (nếu có).
b) Thủ tục chấm dứt tư cách thành viên giao dịch tự nguyện
- Trong vòng 05 ngày làm việc kể từ ngày SGDCK nhận được hồ sơ đề nghị chấm dứt tư cách thành viên giao dịch, SGDCK xem xét tính đầy đủ, hợp lệ của hồ sơ. Trường hợp hồ sơ chưa đầy đủ, hợp lệ, thành viên giao dịch có trách nhiệm hoàn thiện, bổ sung hồ sơ theo yêu cầu của SGDCK;
- Trong vòng 05 ngày làm việc kể từ ngày nhận được hồ sơ đầy đủ, hợp lệ, SGDCK xác định các nghĩa vụ thành viên giao dịch phải thực hiện với SGDCK và gửi thông báo ngừng giao dịch cho thành viên giao dịch, đồng thời công bố thông tin về việc tiếp nhận hồ sơ đề nghị chấm dứt tư cách thành viên giao dịch và thời gian ngừng giao dịch của thành viên giao dịch trên phương tiện công bố thông tin của SGDCK. Thành viên giao dịch phải hoàn tất các giao dịch lần 2 trong giao dịch mua bán lại, giao dịch bán kết hợp mua lại, giao dịch vay và cho vay của thành viên giao dịch và của khách hàng (nếu có) trước ngày ngừng giao dịch;
- Trong vòng 03 ngày làm việc kể từ ngày nhận được thông báo ngừng giao dịch của SGDCK, thành viên giao dịch thực hiện công bố thông tin về việc ngừng giao dịch trên trang thông tin điện tử của thành viên giao dịch;
- Trong vòng 05 ngày làm việc kể từ ngày thành viên giao dịch ngừng giao dịch, SGDCK xác định, thông báo các khoản tiền sử dụng dịch vụ thành viên giao dịch phải nộp. Thành viên giao dịch có trách nhiệm thanh toán đầy đủ các khoản tiền sử dụng dịch vụ trong vòng 10 ngày làm việc kể từ ngày nhận được thông báo của SGDCK;
- SGDCK ra Quyết định chấm dứt tư cách thành viên giao dịch trong vòng 05 ngày làm việc sau khi thành viên giao dịch hoàn thành thanh toán đầy đủ các khoản tiền sử dụng dịch vụ nói trên, và công bố thông tin về Quyết định chấm dứt tư cách thành viên giao dịch trên phương tiện công bố thông tin của SGDCK.
2.2 Chấm dứt tư cách thành viên giao dịch bắt buộc
a) Thành viên giao dịch bị buộc chấm dứt tư cách thành viên theo quy định tại Khoản 2 Điều 9 Thông tư 30/2019/TT-BTC. SGDCK báo cáo UBCKNN trước khi đưa ra quyết định chính thức về việc chấm dứt tư cách thành viên giao dịch bắt buộc.
b) Thủ tục chấm dứt tư cách thành viên giao dịch bắt buộc
- SGDCK thông báo bằng văn bản cho thành viên giao dịch về việc ngừng giao dịch để chấm dứt tư cách thành viên giao dịch bắt buộc đồng thời xác định các nghĩa vụ thành viên giao dịch phải thực hiện với SGDCK. Thành viên giao dịch phải hoàn tất các giao dịch lần 2 trong giao dịch mua bán lại, giao dịch bán kết hợp mua lại, giao dịch vay và cho vay của thành viên giao dịch và của khách hàng (nếu có) trước ngày ngừng giao dịch;
- SGDCK thực hiện công bố thông tin về thông báo ngừng giao dịch để chấm dứt tư cách thành viên giao dịch bắt buộc trên phương tiện công bố thông tin của SGDCK;
Trong 24 giờ kể từ khi nhận được Thông báo ngừng giao dịch để chấm dứt tư cách thành viên giao dịch bắt buộc của SGDCK, Thành viên giao dịch có nghĩa vụ công bố thông tin trên trang thông tin điện tử của Thành viên giao dịch về việc bị chấm dứt tư cách thành viên giao dịch bắt buộc và ngày ngừng giao dịch trên SGDCK;
- Trong vòng 05 ngày làm việc kể từ ngày thành viên giao dịch ngừng giao dịch, SGDCK xác định, thông báo các khoản tiền sử dụng dịch vụ thành viên giao dịch phải nộp. Thành viên giao dịch có trách nhiệm thanh toán đầy đủ các khoản tiền sử dụng dịch vụ trong vòng 10 ngày làm việc kể từ ngày nhận được thông báo của SGDCK;
- SGDCK ra Quyết định chấm dứt tư cách thành viên giao dịch trong vòng 05 ngày làm việc sau khi thành viên giao dịch hoàn thành thanh toán đầy đủ các khoản tiền sử dụng dịch vụ nói trên hoặc trong vòng 60 ngày kể từ ngày thành viên giao dịch ngừng giao dịch, và công bố thông tin về Quyết định chấm dứt tư cách thành viên giao dịch bắt buộc trên phương tiện công bố thông tin của SGDCK.
3. Trường hợp chấm dứt tư cách thành viên giao dịch là nhà tạo lập thị trường, SGDCK báo cáo Bộ Tài chính trước khi thực hiện theo quy định tại Khoản 3 Điều 9 Thông tư 30/2019/TT-BTC.
Chương III. NIÊM YẾT VÀ QUẢN LÝ GIAO DỊCH
Điều 13. Quy định về niêm yết công cụ nợ
Công cụ nợ được niêm yết và giao dịch trên hệ thống giao dịch công cụ nợ của SGDCK theo quy định tại Điều 4 Thông tư 30/2019/TT-BTC.
Điều 14. Loại hình giao dịch
Các loại hình giao dịch công cụ nợ niêm yết trên hệ thống giao dịch công cụ nợ của SGDCK thực hiện theo quy định tại Điều 13 Thông tư 30/2019/TT- BTC.
Điều 15. Thời gian giao dịch
1. Thời gian giao dịch đối với công cụ nợ niêm yết tại SGDCK như sau:
a) Lịch giao dịch đối với công cụ nợ niêm yết tại SGDCK tuân thủ theo Khoản 1 Điều 15 Thông tư 30/2019/TT-BTC.
b) Thời gian phiên giao dịch trong ngày như sau:
- Phiên buổi sáng từ 9h00 đến 11h30;
- Phiên buổi chiều từ 13h00 đến 14h45.
2. SGDCK được thay đổi thời gian giao dịch trong trường hợp cần thiết sau khi có sự chấp thuận của UBCKNN.
Điều 16. Mệnh giá niêm yết và đơn vị giao dịch
1. Mệnh giá của công cụ nợ niêm yết trên SGDCK là một trăm nghìn (100.000) đồng hoặc bội số của một trăm nghìn (100.000) đồng.
2. Đơn vị giao dịch quy định là một (01) công cụ nợ.
Điều 17. Đơn vị yết giá
1. Đơn vị của giá yết quy định là một (01) đồng.
2. Đơn vị của giá thực hiện do hệ thống tính được làm tròn đến đồng.
Điều 18. Khối lượng giao dịch tối thiểu
1. Khối lượng giao dịch công cụ nợ tối thiểu áp dụng cho hình thức thỏa thuận điện tử và hình thức thỏa thuận thông thường là một trăm (100) công cụ nợ.
2. Đối với giao dịch mua bán lại gồm nhiều mã công cụ nợ, khối lượng giao dịch tối thiểu của mỗi mã công cụ nợ là một trăm (100) công cụ nợ.
3. Đối với giao dịch mua bán thông thường có khối lượng từ một (01) đến chín chín (99) công cụ nợ (giao dịch lô lẻ) được thực hiện trực tiếp giữa nhà đầu tư và thành viên giao dịch thông thường hoặc giữa các thành viên giao dịch công cụ nợ với nhau theo nguyên tắc thỏa thuận về giá.
Điều 19. Hình thức giao dịch
1. Hình thức thỏa thuận điện tử
Hình thức thỏa thuận điện tử bao gồm các loại lệnh sau đây:
a) Lệnh thỏa thuận điện tử toàn thị trường:
- Lệnh thỏa thuận điện tử toàn thị trường là các lệnh chào mua, chào bán với cam kết chắc chắn có hiệu lực trong ngày được chào công khai trên hệ thống.
- Lệnh thỏa thuận điện tử toàn thị trường chỉ áp dụng đối với giao dịch mua bán thông thường.
b) Lệnh thỏa thuận điện tử tùy chọn: Bao gồm hai loại lệnh sau:
- Lệnh yêu cầu chào giá: Lệnh yêu cầu chào giá có tính chất quảng cáo được sử dụng khi nhà đầu tư chưa xác định được đối tác trong giao dịch. Lệnh yêu cầu chào giá có thể gửi đến một, một nhóm thành viên hoặc toàn thị trường. Trường hợp khách hàng không yêu cầu cụ thể thì lệnh yêu cầu chào giá được gửi cho toàn bộ thị trường.
- Lệnh chào mua, chào bán với cam kết chắc chắn: Lệnh chào với cam kết chắc chắn được sử dụng để chào đối ứng với lệnh yêu cầu chào giá. Lệnh chào với cam kết chắc chắn chỉ được gửi đích danh cho thành viên gửi Lệnh yêu cầu chào giá.
2. Hình thức thỏa thuận thông thường
a) Hình thức thỏa thuận thông thường bao gồm lệnh báo cáo giao dịch. Lệnh báo cáo được sử dụng để nhập giao dịch vào hệ thống trong trường hợp giao dịch đã được các bên thỏa thuận xong về các điều kiện trong giao dịch.
b) Kết quả giao dịch phải được báo cáo và nhập vào hệ thống giao dịch trong thời hạn 01 ngày làm việc kể từ ngày các bên thỏa thuận xong về giao dịch. Thông tin báo cáo vào hệ thống bao gồm: thời điểm giao kết giao dịch, thời điểm ký hợp đồng, thời điểm thực hiện giao dịch (thời điểm chuyển giao công cụ nợ và thanh toán giao dịch) và các thông tin khác có liên quan.
c) Thời gian kể từ ngày nhập kết quả giao dịch mua bán thông thường vào hệ thống đến ngày thực hiện giao dịch không được vượt quá ba (03) ngày làm việc.
3. Nội dung của các loại lệnh được quy định trong Quy trình giao dịch công cụ nợ do SGDCK ban hành.
Điều 20. Thời hạn hiệu lực của lệnh
1. Lệnh có hiệu lực kể từ khi lệnh được nhập vào hệ thống cho đến khi kết thúc thời gian giao dịch hoặc cho đến khi lệnh được hủy bỏ.
2. Đối với lệnh thỏa thuận đã thực hiện chưa đến ngày giao dịch, lệnh có hiệu lực cho đến khi kết thúc ngày giao dịch hoặc cho đến khi lệnh được hủy bỏ.
Điều 21. Sửa, hủy lệnh thỏa thuận chưa thực hiện
1. Trong thời gian phiên giao dịch, đại diện giao dịch được phép sửa, hủy lệnh thỏa thuận chưa thực hiện theo yêu cầu của nhà đầu tư hoặc trong trường hợp đại diện giao dịch nhập sai so với lệnh gốc.
2. Việc sửa hoặc hủy lệnh thỏa thuận chưa thực hiện phải tuân thủ theo quy trình sửa, hủy lệnh thỏa thuận chưa thực hiện quy định trong Quy trình giao dịch công cụ nợ do SGDCK ban hành.
Điều 22. Sửa lệnh thỏa thuận đã thực hiện
1. Giao dịch công cụ nợ đã được xác lập trên hệ thống không được phép hủy bỏ, ngoại trừ các giao dịch quy định tại khoản 2 Điều 18 Thông tư 30/2019/TT-BTC.
2. Giao dịch công cụ nợ đã xác lập trên hệ thống được phép sửa khi đáp ứng các điều kiện sau:
a) Được sự đồng thuận của các bên đối tác tham gia giao dịch;
b) Có lý do sửa hợp lý;
c) Được SGDCK chấp thuận;
d) Tuân thủ quy trình sửa lệnh giao dịch đã thực hiện được quy định trong Quy trình giao dịch công cụ nợ do SGDCK ban hành. (Nội dung cơ bản của các phiếu lệnh mua/bán/sửa/hủy theo mẫu tại Phụ lục số II/TP ban hành kèm theo Quy chế).
Điều 23. Sửa lỗi sau giao dịch
1. Sau khi kết thúc thời gian giao dịch, nếu thành viên phát hiện lỗi giao dịch đối với lệnh giao dịch trong ngày do nhầm lẫn, sai sót trong quá trình nhận, chuyển, nhập lệnh giao dịch vào hệ thống giao dịch, thành viên phải báo cáo SGDCK về lỗi giao dịch và tự chịu trách nhiệm giải quyết với nhà đầu tư về lỗi giao dịch của mình.
2. Việc sửa lỗi sau giao dịch của thành viên tuân theo quy định của TTLKCK về sửa lỗi sau giao dịch đối với chứng khoán niêm yết.
Điều 24. Xử lý nghĩa vụ trong trường hợp thành viên thiếu hụt khả năng thanh toán giao dịch công cụ nợ
1. Đối với giao dịch mua bán thông thường, giao dịch bán kết hợp mua lại và giao dịch lần 1 trong các giao dịch mua bán lại, giao dịch vay và cho vay công cụ nợ: Việc xử lý nghĩa vụ trong trường hợp thành viên thiếu hụt khả năng thanh toán tuân thủ theo quy định tại Điều 32, Điều 33, Điều 35 Thông tư 30/2019/TT-BTC.
2. Đối với giao dịch lần 2 trong giao dịch mua bán lại, giao dịch vay và cho vay công cụ nợ:
a) Việc xử lý nghĩa vụ trong trường hợp thành viên thiếu hụt khả năng thanh toán tuân thủ theo quy định tại Khoản 1 Điều 23 Thông tư 30/2019/TT- BTC.
b) Trường hợp hai bên tham gia giao dịch không thống nhất được về việc thay đổi quyền và nghĩa vụ của các bên trong giao dịch lần 2, việc xử lý vi phạm nghĩa vụ thanh toán giao dịch được thực hiện như sau:
- Trường hợp đến hạn tất toán giao dịch và bên bán (trong giao dịch mua bán lại)/ bên cho vay công cụ nợ (trong giao dịch vay và cho vay) không thực hiện thanh toán theo đúng thỏa thuận, nghĩa vụ của các bên trong giao dịch được xử lý như sau:
+ Công cụ nợ có liên quan được bên mua (trong giao dịch mua bán lại)/ bên vay công cụ nợ (trong giao dịch vay và cho vay) chào bán công khai trên hệ thống giao dịch công cụ nợ của SGDCK theo phương thức thỏa thuận điện tử. Giá chào bán công cụ nợ của Chính phủ được cộng trừ biên độ không quá 50 điểm cơ bản so với giá tính từ hệ thống đường cong lợi suất. Đối với trái phiếu được Chính phủ bảo lãnh, trái phiếu chính quyền địa phương, mức giá chào được cộng trừ lần lượt không quá 100 điểm cơ bản và 150 điểm cơ bản so với giá của công cụ nợ của Chính phủ kỳ hạn tương đương trên hệ thống đường cong lợi suất. Tiền thu được từ việc bán công cụ nợ được sử dụng để hoàn trả các chi phí đã thống nhất trong giao dịch liên quan và chi phí lãi phạt chậm thanh toán theo thỏa thuận giữa các bên. Phần thừa hoặc thiếu sẽ được các bên liên quan trong giao dịch bù lại bằng chi phí bên ngoài trong khoảng thời gian tối đa 05 ngày làm việc kể từ ngày thanh toán của giao dịch bán công cụ nợ bằng hình thức chào bán công khai.
+ Trường hợp kết thúc ngày giao dịch mà không có người mua, công cụ nợ có liên quan sẽ được bên mua (trong giao dịch mua bán lại)/ bên vay công cụ nợ (trong giao dịch vay và cho vay) toàn quyền xử lý. Ngoài ra, bên bán (trong giao dịch mua bán lại)/ bên cho vay công cụ nợ (trong giao dịch vay và cho vay) có nghĩa vụ trả lãi bao gồm cả lãi phạt tính trên số ngày thực tế kể từ thời điểm phải thanh toán theo quy định trong giao dịch tới thời điểm hoàn tất việc xử lý giao dịch.
+ Các khoản thu nhập từ công cụ nợ trong giao dịch sẽ được hoàn trả cho bên bán (trong giao dịch mua bán lại)/ bên cho vay công cụ nợ (trong giao dịch vay và cho vay) theo quy định tại Điều 22 Thông tư 30/2019/TT-BTC.
- Trường hợp đến hạn tất toán giao dịch và bên mua (trong giao dịch mua bán lại)/ bên vay công cụ nợ (trong giao dịch vay và cho vay) không thực hiện thanh toán theo đúng thỏa thuận, nghĩa vụ của các bên trong giao dịch được xử lý như sau:
+ Khoản tiền đã nhận được trong giao dịch sẽ được bên bán (trong giao dịch mua bán lại)/ bên cho vay công cụ nợ (trong giao dịch vay và cho vay) toàn quyền xử lý.
+ Các khoản chi phí thỏa thuận khác như giá trị phòng vệ rủi ro, giá trị của công cụ nợ, ... sẽ được hoàn trả cho hai bên tùy theo thỏa thuận được hệ thống giao dịch công cụ nợ của SGDCK ghi nhận khi giao dịch được thực hiện.
+ Các khoản thu nhập từ công cụ nợ trong giao dịch sẽ được hoàn trả cho bên bán (trong giao dịch mua bán lại)/ bên cho vay công cụ nợ (trong giao dịch vay và cho vay) theo quy định tại Điều 22 Thông tư 30/2019/TT-BTC.
- Ngoài ra, thành viên vi phạm nghĩa vụ thanh toán sẽ bị phạt chậm thanh toán với bên đối tác trên cơ sở thỏa thuận giữa các bên tham gia giao dịch và tuân thủ quy định của pháp luật hiện hành.
Điều 25. Sử dụng các tiện ích hỗ trợ giao dịch công cụ nợ
Các tiện ích hỗ trợ giao dịch công cụ nợ trên hệ thống giao dịch công cụ nợ của SGDCK bao gồm hỗ trợ phòng ngừa rủi ro giao dịch (như hạn mức tín dụng, kiểm soát truy cập,...) các tiện ích tính toán, thống kê, chỉ báo, tổng hợp số liệu đa chiều,... Việc sử dụng các tiện ích được cung cấp trên hệ thống công cụ nợ phải tuân thủ hướng dẫn về cách thức sử dụng do SGDCK đưa ra. Trường hợp có sự chênh lệch dữ liệu, thông tin từ tiện ích được cung cấp so với dữ liệu, thông tin do việc giao dịch theo các quy định tại Quy chế này tạo ra trên hệ thống giao dịch công cụ nợ của SGDCK thì áp dụng dữ liệu, thông tin từ việc giao dịch theo các quy định tại Quy chế này.
Điều 26. Thỏa thuận pháp lý về giao dịch
Thành viên khi thực hiện các giao dịch trên hệ thống giao dịch công cụ nợ của SGDCK có thể sử dụng hợp đồng để thỏa thuận thêm về quyền và nghĩa vụ bổ sung. Tuy nhiên, các thỏa thuận trong hợp đồng không được mâu thuẫn với quy định nêu tại Quy chế này và các văn bản pháp luật có liên quan. Trường hợp trong hợp đồng có nội dung trái với quy định sẽ sử dụng các quy định của SGDCK.
Chương IV. GIAO DỊCH CÔNG CỤ NỢ
Điều 27. Công cụ nợ tương đương có thể thay thế
1. Công cụ nợ tương đương có thể thay thế được sử dụng trong các giao dịch mua bán lại, giao dịch vay và cho vay, giao dịch bán kết hợp mua lại.
2. Công cụ nợ tương đương có thể thay thế phải có cùng tổ chức phát hành với công cụ nợ gốc sử dụng trong giao dịch.
3. Chỉ được sử dụng 01 (một) mã công cụ nợ tương đương có thể thay thế để chuyển giao thay thế cho một phần hoặc toàn bộ khối lượng của 01 (một) mã công cụ nợ gốc trong giao dịch.
4. Đơn vị giao dịch áp dụng đối với công cụ nợ tương đương có thể thay thế là 01 (một) công cụ nợ.
5. Các bên trong giao dịch thỏa thuận với nhau về việc sử dụng công cụ nợ tương đương có thể thay thế chậm nhất vào ngày giao dịch lần 2 của giao dịch mua bán lại, giao dịch vay và cho vay, giao dịch bán kết hợp mua lại. Các nội dung thỏa thuận về công cụ nợ tương đương có thể thay thế bao gồm:
a) Kỳ hạn còn lại của công cụ nợ tương đương có thể thay thế;
b) Khối lượng niêm yết tối thiểu của công cụ nợ tương đương có thể thay thế;
c) Phương pháp xác định hệ số chuyển đổi;
d) Lãi phạt khi sử dụng công cụ nợ tương đương có thể thay thế;
đ) Làm tròn lô công cụ nợ tương đương có thể thay thế.
Điều 28. Hệ số chuyển đổi
1. Hệ số chuyển đổi được sử dụng để xác định khối lượng của công cụ nợ tương đương có thể thay thế. Các bên trong giao dịch thỏa thuận với nhau về phương pháp xác định hệ số chuyển đổi tại thời điểm thỏa thuận về việc sử dụng công cụ nợ tương đương có thể thay thế.
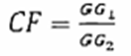
2. Công thức tính hệ số chuyển đổi:

Trong đó:
CF: Hệ số chuyển đổi (làm tròn đến 6 số sau dấu phẩy)
GG1: Giá gộp lãi của công cụ nợ gốc
GG2: Giá gộp lãi của công cụ nợ tương đương có thể thay thế
3. Các phương pháp xác định hệ số chuyển đổi
a) Sử dụng đường cong lãi suất của SGDCK: Hệ số chuyển đổi được tính dựa trên giá gộp lãi của công cụ nợ gốc và giá gộp lãi của công cụ nợ tương đương có thể thay thế do đường cong lợi suất định giá tại ngày giao dịch lần hai.
b) Các bên trong giao dịch tự xác định hệ số chuyển đổi hoặc xác định lãi suất tham chiếu sử dụng để hệ thống tính ra hệ số chuyển đổi. Hệ số chuyển đổi do hai bên tự thỏa thuận không được chênh lệch quá 10% so với hệ số chuyển đổi xác định căn cứ trên đường cong lãi suất tại thời điểm gần nhất.
4. Xác định khối lượng công cụ nợ tương đương có thể thay thế
Khối lượng công cụ nợ tương đương có thể thay thế được xác định theo công thức sau:
KL2 = KL1 x CF
Trong đó:
KL1: Khối lượng của công cụ nợ gốc được thanh toán bằng công cụ nợ tương đương có thể có thể thay thế
KL2: Khối lượng của công cụ nợ tương đương có thể thay thế (làm tròn đến đơn vị 01 công cụ nợ)
CF: Hệ số chuyển đổi (làm tròn đến 6 số sau dấu phẩy)
Điều 29. Lãi phạt khi sử dụng công cụ nợ tương đương có thể thay thế
1. Các bên trong giao dịch thỏa thuận với nhau về việc áp dụng lãi phạt khi sử dụng công cụ nợ tương đương có thể thay thế. Lãi phạt khi sử dụng công cụ nợ tương đương có thể thay thế được các bên thanh toán ngoài hệ thống hoặc thỏa thuận qua hệ thống. Nếu việc thanh toán lãi phạt thực hiện bên ngoài hệ thống giao dịch, thời điểm thanh toán lãi phạt sẽ do hai bên tự thống nhất nhưng không được muộn hơn năm (05) ngày làm việc kể từ ngày kết thúc giao dịch. Nếu lãi phạt được thỏa thuận qua hệ thống giao dịch, thời điểm thanh toán là khi giao dịch kết thúc.
2. Trường hợp có áp dụng lãi phạt khi sử dụng công cụ nợ tương đương có thể thay thế và thỏa thuận lãi phạt qua hệ thống giao dịch, lãi phạt được xác định theo công thức sau:
Lãi phạt = GG1 x KL1 x Lãi suất phạt
Trong đó:
GG1: Giá gộp lãi của công cụ nợ gốc
KL1: Khối lượng của công cụ nợ gốc được thanh toán bằng công cụ nợ tương đương có thể thay thế
Lãi suất phạt: Tính theo %
Điều 30. Làm tròn lô công cụ nợ tương đương có thể thay thế
1. Các bên trong giao dịch thỏa thuận với nhau về việc làm tròn lô công cụ nợ tương đương có thể thay thế. Khối lượng công cụ nợ tương đương có thể thay thế chỉ được làm tròn xuống với đơn vị làm tròn tối đa là 10.000 công cụ nợ.
2. Số tiền phát sinh từ việc làm tròn lô công cụ nợ tương đương có thể thay thế được các bên thanh toán ngoài hệ thống hoặc thanh toán qua hệ thống. Nếu việc thanh toán số tiền phát sinh từ việc làm tròn lô công cụ nợ tương đương có thể thay thế được thực hiện bên ngoài hệ thống giao dịch, thời điểm thanh toán sẽ do hai bên tự thống nhất nhưng không muộn hơn năm (05) ngày làm việc kể từ ngày kết thúc giao dịch. Nếu việc thanh toán số tiền phát sinh từ việc làm tròn lô công cụ nợ tương đương có thể thay thế được thực hiện qua hệ thống giao dịch, thời điểm thanh toán là khi giao dịch kết thúc.
3. Số tiền phát sinh từ việc làm tròn lô công cụ nợ tương đương có thể thay thế được xác định theo công thức sau:
RND = (KL2 - KL làm tròn ) x GG2
Trong đó:
RND: Số tiền phát sinh từ việc làm tròn lô công cụ nợ tương đương có thể thay thế
KL2: Khối lượng của công cụ nợ tương đương có thể thay thế (làm tròn đến đơn vị 01 công cụ nợ)
KL làm tròn: Khối lượng công cụ nợ tương đương có thể thay thế làm tròn theo thỏa thuận
GG2: Giá gộp lãi của công cụ nợ tương đương có thể thay thế
Điều 31. Kỳ hạn giao dịch
1. Đối với giao dịch mua bán lại, kỳ hạn của giao dịch mua bán lại được tính theo số ngày thực tế kể từ ngày thanh toán của giao dịch lần một đến ngày thanh toán của giao dịch lần hai. Kỳ hạn này tối thiểu là một (01) ngày và tối đa là ba trăm sáu mươi lăm (365) ngày và tuân thủ theo quy định của pháp luật chuyên ngành (nếu có).
2. Đối với giao dịch bán kết hợp mua lại, ngày thanh toán của giao dịch thông thường thứ hai phải sau ngày thanh toán của giao dịch thông thường thứ nhất tối thiểu là một (01) ngày và tối đa là ba trăm sáu mươi lăm (365) ngày và tuân thủ theo quy định của pháp luật chuyên ngành (nếu có).
3. Đối với giao dịch vay và cho vay, kỳ hạn giao dịch tính theo số ngày thực tế kể từ chuyển giao công cụ nợ cho đến ngày tiếp nhận lại công cụ nợ. Kỳ hạn này theo thỏa thuận giữa hai bên nhưng bảo đảm tối thiểu là một (01) ngày và tối đa là ba trăm sáu mươi lăm (365) ngày, trừ trường hợp pháp luật chuyên ngành có quy định khác.
4. Giao dịch lần hai trong các giao dịch mua bán lại, giao dịch bán kết hợp mua lại, giao dịch vay và cho vay phải kết thúc tối thiểu là 10 ngày làm việc trước ngày đăng ký cuối cùng để tất toán vốn gốc và/hoặc lãi công cụ nợ và hủy niêm yết đối với công cụ nợ sử dụng trong giao dịch.
Điều 32. Các trường hợp đặc biệt trong giao dịch công cụ nợ
1. Các trường hợp đặc biệt trong giao dịch công cụ nợ xảy ra khi SGDCK phải thực hiện điều chỉnh lịch giao dịch vì những lý do bất khả kháng, sau khi được UBCKNN chấp thuận hoặc khi ngày đăng ký cuối cùng nhận lãi, vốn gốc công cụ nợ và/hoặc ngày thực thanh toán lãi công cụ nợ bị thay đổi.
2. SGDCK thực hiện điều chỉnh lịch giao dịch sau khi được UBCKNN chấp thuận trong các trường hợp sau:
a) Phát sinh ngày nghỉ bất thường: Trong trường hợp này, SGDCK thực hiện điều chỉnh ngày giao dịch thành ngày nghỉ;
b) Phát sinh ngày làm việc nhưng không tổ chức giao dịch: Đối với trường hợp ngày trước là ngày giao dịch, SGDCK thực hiện điều chỉnh ngày giao dịch thành ngày đi làm nhưng không tổ chức giao dịch. Đối với trường hợp ngày trước là ngày nghỉ, SGDCK không điều chỉnh lịch giao dịch.
3. Ngày đăng ký cuối cùng nhận lãi, vốn gốc công cụ nợ và ngày thực thanh toán lãi công cụ nợ bị thay đổi trong các trường hợp sau:
a) Tổ chức phát hành thay đổi ngày đăng ký cuối cùng nhận lãi, vốn gốc công cụ nợ và ngày thực thanh toán lãi công cụ nợ;
b) Phát sinh ngày nghỉ bất thường trong khoảng từ ngày đăng ký cuối cùng nhận lãi, vốn gốc công cụ nợ (bao gồm ngày đăng ký cuối cùng nhận lãi, vốn gốc công cụ nợ) đến ngày thanh toán danh nghĩa lãi, vốn gốc công cụ nợ (không bao gồm ngày thanh toán danh nghĩa lãi, vốn gốc công cụ nợ). Trong trường hợp này, ngày đăng ký cuối cùng được chuyển đến ngày làm việc trước đó gần nhất;
c) Phát sinh ngày nghỉ bất thường trùng với ngày thực thanh toán lãi công cụ nợ. Trong trường hợp này, ngày thực thanh toán lãi công cụ nợ được chuyển đến ngày làm việc kế tiếp gần nhất;
d) Phát sinh ngày làm việc nhưng không tổ chức giao dịch (trước là ngày giao dịch) trùng với ngày đăng ký cuối cùng nhận lãi, vốn gốc công cụ nợ. Trong trường hợp này, ngày đăng ký cuối cùng được chuyển đến ngày làm việc trước đó gần nhất;
đ) Phát sinh ngày làm việc nhưng không tổ chức giao dịch (trước là ngày nghỉ) nằm trong khoảng từ ngày trả lãi danh nghĩa công cụ nợ đến trước ngày thực thanh toán lãi công cụ nợ. Trong trường hợp này, ngày thực thanh toán lãi công cụ nợ được chuyển đến ngày làm việc nhưng không tổ chức giao dịch.
4. Các trường hợp đặc biệt trong giao dịch mua bán lại, giao dịch vay và cho vay
a) Ngày giao dịch lần hai và/hoặc ngày thanh toán lần hai của các giao dịch chưa kết thúc bị ảnh hưởng bởi việc điều chỉnh lịch giao dịch quy định tại khoản 2 Điều này:
- Phát sinh ngày nghỉ bất thường trùng với ngày thanh toán lần hai của các giao dịch chưa kết thúc, làm ảnh hưởng đến giá trị giao dịch lần hai của các giao dịch chưa kết thúc. Trong trường hợp này, ngày thanh toán lần hai của các giao dịch chưa kết thúc được chuyển đến ngày làm việc kế tiếp gần nhất;
- Phát sinh ngày nghỉ bất thường trùng với ngày giao dịch lần hai của các giao dịch chưa kết thúc. Trong trường hợp này, ngày giao dịch lần hai của các giao dịch chưa kết thúc được chuyển đến ngày làm việc trước đó gần nhất;
- Phát sinh ngày đi làm nhưng không tổ chức giao dịch (trước là ngày giao dịch) trùng với ngày thanh toán lần hai của các giao dịch chưa kết thúc, làm ảnh hưởng đến giá trị giao dịch lần hai của các giao dịch chưa kết thúc. Trong trường hợp này, ngày thanh toán lần hai của các giao dịch chưa kết thúc được chuyển đến ngày làm việc kế tiếp gần nhất;
- Phát sinh ngày đi làm nhưng không tổ chức giao dịch (trước là ngày giao dịch) trùng với ngày giao dịch lần hai của các giao dịch chưa kết thúc. Trong trường hợp này, ngày giao dịch lần hai của các giao dịch chưa kết thúc được chuyển đến ngày làm việc trước đó gần nhất.
b) Ngày đăng ký cuối cùng nhận lãi, vốn gốc công cụ nợ và/hoặc Ngày thực thanh toán lãi công cụ nợ bị thay đổi theo quy định tại Khoản 3 Điều này, làm ảnh hưởng đến giá trị giao dịch lần hai của các giao dịch chưa kết thúc.
c) Xử lý các trường hợp đặc biệt trong giao dịch mua bán lại, giao dịch vay và cho vay làm ảnh hưởng đến giá trị giao dịch lần hai của các giao dịch chưa kết thúc
- Đối với các trường hợp đặc biệt trong giao dịch mua bán lại, giao dịch vay và cho vay làm ảnh hưởng đến giá trị giao dịch lần hai của các giao dịch chưa kết thúc, SGDCK quyết định điều chỉnh giá trị giao dịch lần hai của các giao dịch chưa kết thúc bị ảnh hưởng theo những thông tin thay đổi về ngày đăng ký cuối cùng, ngày thực thanh toán lãi công cụ nợ và/hoặc ngày thanh toán lần hai của giao dịch. Trường hợp các bên trong giao dịch mua bán lại, giao dịch vay và cho vay có đề nghị bằng văn bản mong muốn tiếp tục duy trì, không thay đổi các thỏa thuận về giá trị giao dịch lần hai đã thực hiện, SGDCK sẽ không thực hiện việc thay đổi giá trị của những giao dịch đã thực hiện này trên hệ thống theo như yêu cầu.
- Đối với các trường hợp bất khả kháng khác có ảnh hưởng đến giá trị giao dịch lần hai của các giao dịch mua bán lại, giao dịch vay và cho vay chưa kết thúc, SGDCK quyết định không điều chỉnh giá trị giao dịch lần hai của các giao dịch sau khi được UBCKNN chấp thuận.
5. Các trường hợp đặc biệt trong giao dịch bán kết hợp mua lại
Các trường hợp đặc biệt trong giao dịch bán kết hợp mua lại xảy ra khi ngày giao dịch và/ hoặc ngày thanh toán của giao dịch thông thường thứ hai bị ảnh hưởng bởi việc điều chỉnh lịch giao dịch quy định tại Khoản 2 Điều này:
- Phát sinh ngày nghỉ bất thường trùng với ngày thanh toán của giao dịch thông thường thứ hai. Trong trường hợp này, ngày thanh toán của giao dịch thông thường thứ hai được chuyển đến ngày làm việc kế tiếp gần nhất;
- Phát sinh ngày nghỉ bất thường trùng với ngày giao dịch của giao dịch thông thường thứ hai. Trong trường hợp này, ngày giao dịch của giao dịch thông thường thứ hai được chuyển đến ngày làm việc trước đó gần nhất;
- Phát sinh ngày đi làm nhưng không tổ chức giao dịch (trước là ngày giao dịch) trùng với ngày thanh toán của giao dịch thông thường thứ hai. Trong trường hợp này, ngày thanh toán của giao dịch thông thường thứ hai được chuyển đến ngày làm việc kế tiếp gần nhất;
- Phát sinh ngày đi làm nhưng không tổ chức giao dịch (trước là ngày giao dịch) trùng với ngày giao dịch của giao dịch thông thường thứ hai. Trong trường hợp này, ngày giao dịch của giao dịch thông thường thứ hai được chuyển đến ngày làm việc trước đó gần nhất.
Điều 33. Lãi suất trên lãi danh nghĩa phát sinh trong kỳ hạn giao dịch mua bán lại, giao dịch vay và cho vay
1. Thu nhập từ công cụ nợ sử dụng trong giao dịch mua bán lại, giao dịch vay và cho vay được thực hiện theo quy định tại Điều 22, Thông tư 30/2019/TT- BTC.
2. Lãi suất trên lãi danh nghĩa phát sinh trong kỳ hạn giao dịch mua bán lại, giao dịch vay và cho vay do các bên thỏa thuận với nhau tại thời điểm bắt đầu thực hiện giao dịch.
a) Lãi trên lãi danh nghĩa được xác định trên số ngày thực tế từ ngày thanh toán của giao dịch lần hai đến (các) ngày thực thanh toán lãi công cụ nợ mà bên mua (trong giao dịch mua bán lại)/ bên vay công cụ nợ (trong giao dịch vay và cho vay) được nhận.
b) Trường hợp ngày thanh toán của giao dịch lần hai diễn ra trước ngày thực thanh toán lãi công cụ nợ, lãi trên lãi danh nghĩa sẽ do bên bán (trong giao dịch mua bán lại)/ bên cho vay công cụ nợ (trong giao dịch vay và cho vay) trả cho bên mua/ bên vay công cụ nợ.
c) Trường hợp ngày thanh toán của giao dịch lần hai diễn ra sau ngày thực thanh toán lãi công cụ nợ, lãi trên lãi danh nghĩa sẽ do bên mua (trong giao dịch mua bán lại)/ bên vay công cụ nợ (trong giao dịch vay và cho vay) trả cho bên bán/ bên cho vay công cụ nợ.
4. Xác định lãi danh nghĩa và lãi trên lãi danh nghĩa phát sinh trong kỳ hạn giao dịch mua bán lại, giao dịch vay và cho vay
Lãi danh nghĩa và lãi trên lãi danh nghĩa phát sinh trong kỳ hạn giao dịch được tính theo công thức sau:

Trong đó:
CPN: Lãi danh nghĩa và lãi trên lãi danh nghĩa phát sinh trong kỳ hạn giaodịch
GLi: Lãi danh nghĩa lần thứ i mà bên mua/bên vay công cụ nợ nhận được trong kỳ hạn giao dịch
R': Lãi suất trên lãi danh nghĩa phát sinh trong kỳ hạn giao dịch. Trường hợp sửa đổi lãi suất trên lãi danh nghĩa phát sinh trong kỳ hạn giao dịch, R’ là lãi suất trên lãi danh nghĩa sửa đổi.
n: Số kỳ danh nghĩa bên mua/bên vay công cụ nợ được nhận trong kỳ hạn giao dịch
Ngày thực thanh toán lãi công cụ nợ i: Ngày thực thanh toán lãi công cụ nợ lần thứ i mà bên mua/bên vay công cụ nợ nhận được trong kỳ hạn giao dịch
Số ngày thực tế của nămi: Là số ngày thực tế của năm có ngày thanh toán lãi danh nghĩa lần thứ i
Điều 34. Thay đổi các điều khoản trong giao dịch mua bán lại, giao dịch vay và cho vay, giao dịch bán kết hợp mua lại
1. Thay đổi lãi suất mua bán lại
a) Các bên trong giao dịch mua bán lại có thể thay đổi lãi suất mua bán lại trong kỳ hạn giao dịch. Lãi suất mới sẽ áp dụng từ ngày sửa lãi suất đến ngày thanh toán giao dịch lần 2 hoặc đến ngày sửa lãi suất tiếp theo (nếu có).
b) Tại ngày sửa lãi suất, lãi mua bán lại tính từ ngày thanh toán giao dịch lần 1 hoặc từ ngày sửa lãi suất trước đó gần nhất (nếu có) đến ngày sửa lãi suất sẽ được cộng gộp vào giá trị giao dịch lần 1 và lãi mua bán lại của (những) lần sửa trước đó để làm giá trị gốc tính lãi mua bán lại cho khoảng thời gian từ ngày sửa đến ngày thanh toán giao dịch lần 2 hoặc đến ngày sửa lãi suất tiếp theo (nếu có).
2. Thay đổi lãi suất trên tài sản đảm bảo trong giao dịch vay và cho vay
a) Các bên trong giao dịch vay và cho vay có thể thay đổi lãi suất trên tài sản đảm bảo trong kỳ hạn giao dịch. Lãi suất mới sẽ áp dụng từ ngày sửa lãi suất đến ngày thanh toán giao dịch lần 2 hoặc đến ngày sửa lãi suất tiếp theo (nếu có).
b) Tại ngày sửa lãi suất, lãi trên tài sản đảm bảo tính từ ngày thanh toán giao dịch lần 1 hoặc từ ngày sửa lãi suất trước đó gần nhất (nếu có) đến ngày sửa lãi suất sẽ được cộng gộp vào giá trị tài sản đảm bảo và lãi trên tài sản đảm bảo của (những) lần sửa trước đó để làm giá trị gốc tính lãi trên tài sản đảm bảo cho khoảng thời gian từ ngày sửa đến ngày thanh toán giao dịch lần 2 hoặc đến ngày sửa lãi suất tiếp theo (nếu có).
3. Thay đổi kỳ hạn trong giao dịch mua bán lại, giao dịch bán kết hợp mua lại, giao dịch vay và cho vay
a) Các bên trong giao dịch mua bán lại, giao dịch bán kết hợp mua lại, giao dịch vay và cho vay được điều chỉnh kéo dài hoặc rút ngắn kỳ hạn của giao dịch đang có hiệu lực. Việc thay đổi kỳ hạn giao dịch chỉ được thực hiện sau khi việc thanh toán giao dịch lần 1 hoàn tất.
b) Trong trường hợp kéo dài hợp đồng (kéo dài việc thực hiện giao dịch lần 2), tổng kỳ hạn trong các giao dịch mua bán lại, giao dịch bán kết hợp mua lại, giao dịch vay và cho vay, kể cả kỳ hạn kéo dài không được vượt quá một năm.
c) Tại ngày điều chỉnh kỳ hạn giao dịch, lãi mua bán lại trong giao dịch mua bán lại và lãi trên tài sản đảm bảo trong giao dịch vay và cho vay được tính tương tự như quy định tại điểm b khoản 1 và điểm b Khoản 2 Điều này.
4. Thay đổi lãi suất trên lãi danh nghĩa phát sinh trong kỳ hạn giao dịch mua bán lại, giao dịch vay và cho vay
Các bên trong giao dịch mua bán lại, giao dịch vay và cho vay có thể thay đổi lãi suất trên lãi danh nghĩa phát sinh trong kỳ hạn giao dịch. Lãi suất mới sẽ áp dụng cho toàn bộ các khoản lãi danh nghĩa phát sinh trong kỳ hạn giao dịch từ thời điểm thanh toán giao dịch lần 1 đến thời điểm thanh toán giao dịch lần 2.
5. Thay đổi lãi suất vay công cụ nợ
Các bên trong giao dịch vay và cho vay có thể thay đổi lãi suất vay công cụ nợ trong kỳ hạn giao dịch. Lãi suất mới sẽ áp dụng từ ngày sửa lãi suất đến ngày thanh toán giao dịch lần 2 hoặc đến ngày sửa lãi suất tiếp theo (nếu có).
6. Thay đổi các điều khoản của giao dịch thông thường thứ 2 trong giao dịch bán kết hợp mua lại
Các bên trong giao dịch bán kết hợp mua lại có thể thay đổi thông tin về giá và thời điểm thực hiện của giao dịch thông thường thứ 2.
Mục 2. XÁC ĐỊNH GIÁ CÔNG CỤ NỢ
Điều 35. Xác định lãi danh nghĩa tích gộp
1. Xác định lãi danh nghĩa tích gộp trong ngày giao dịch hưởng quyền
a) Đối với công cụ nợ có lãi suất danh nghĩa cố định, thanh toán lãi định kỳ và có các kỳ trả lãi bằng nhau
Lãi danh nghĩa tích gộp trong ngày giao dịch hưởng quyền được xác định theo công thức sau:

Trong đó:
Cc: Lãi danh nghĩa tích gộp trong ngày giao dịch hưởng quyền.
MG: Mệnh giá công cụ nợ.
trong đó Lc: Lãi suất danh nghĩa công cụ nợ (%/năm); k: số lần thanh toán lãi trong năm.
Dn: Số ngày từ ngày thanh toán của giao dịch đến ngày trả lãi danh nghĩa tiếp theo gần nhất hoặc từ ngày thanh toán của giao dịch đến ngày đáo hạn công cụ nợ
E: Số ngày của kỳ trả lãi công cụ nợ hiện tại
b) Đối với công cụ nợ có lãi suất danh nghĩa cố định, thanh toán lãi định kỳ và có kỳ trả lãi đầu tiên ngắn hơn so với các kỳ trả lãi tiếp theo
- Xác định lãi danh nghĩa tích gộp trong ngày giao dịch hưởng quyền của kỳ trả lãi đầu tiên như sau:

Trong đó:
D1: Số ngày từ ngày phát hành công cụ nợ lần đầu đến ngày trả lãi danh nghĩa tiếp theo gần nhất;
E2: số ngày trong kỳ trả lãi công cụ nợ thông thường theo giả định có ngày thanh toán giao dịch diễn ra.
- Xác định lãi danh nghĩa tích gộp trong ngày giao dịch hưởng quyền của các kỳ trả lãi tiếp theo theo công thức tại điểm a Khoản 1 Điều này.
c) Đối với công cụ nợ có lãi suất danh nghĩa cố định, thanh toán lãi định kỳ và có kỳ trả lãi đầu tiên dài hơn so với các kỳ trả lãi tiếp theo
- Trường hợp ngày thanh toán của giao dịch diễn ra trước hoặc trùng với ngày trả lãi danh nghĩa thông thường theo giả định của kỳ trả lãi đầu tiên, lãi danh nghĩa tích gộp của kỳ trả lãi đầu tiên được xác định như sau:

Trong đó:
D2: Số ngày từ ngày phát hành công cụ nợ lần đầu đến ngày trả lãi danh nghĩa thông thường theo giả định tiếp theo gần nhất;
: Số ngày từ ngày thanh toán của giao dịch đến ngày trả lãi danh nghĩa thông thường theo giả định tiếp theo gần nhất
E1: Số ngày trong kỳ trả lãi công cụ nợ thông thường theo giả định có ngày phát hành công cụ nợ lần đầu diễn ra.
- Trường hợp ngày thanh toán của giao dịch diễn ra sau ngày trả lãi danh nghĩa thông thường theo giả định của kỳ trả lãi đầu tiên, lãi danh nghĩa tích gộp của kỳ trả lãi đầu tiên được xác định như sau:

Trong đó:
Dn: Số ngày từ ngày thanh toán đến ngày trả lãi danh nghĩa tiếp theo gầnnhất;
E2: Số ngày trong kỳ trả lãi công cụ nợ thông thường theo giả định có ngày thanh toán diễn ra.
- Xác định lãi danh nghĩa tích gộp trong ngày giao dịch hưởng quyền của các kỳ trả lãi tiếp theo theo công thức tại điểm a Khoản 1 Điều này.
2. Xác định lãi danh nghĩa tích gộp trong ngày giao dịch không hưởng quyền
a) Đối với công cụ nợ có lãi suất danh nghĩa cố định, thanh toán lãi định kỳ và có các kỳ trả lãi bằng nhau
Lãi danh nghĩa tích gộp trong ngày giao dịch không hưởng quyền được xác định theo công thức sau:

Trong đó:
Cx: Lãi danh nghĩa tích gộp trong ngày giao dịch không hưởng quyền.
b) Đối với công cụ nợ có lãi suất danh nghĩa cố định, thanh toán lãi định kỳ và có kỳ trả lãi đầu tiên ngắn hơn so với các kỳ trả lãi tiếp theo
- Xác định lãi danh nghĩa tích gộp trong ngày giao dịch không hưởng quyền của kỳ trả lãi đầu tiên như sau:

- Xác định lãi danh nghĩa tích gộp trong ngày giao dịch không hưởng quyền của các kỳ trả lãi tiếp theo theo công thức tại điểm a Khoản 2 Điều này.
c) Đối với công cụ nợ có lãi suất danh nghĩa cố định, thanh toán lãi định kỳ và có kỳ trả lãi đầu tiên dài hơn so với các kỳ trả lãi tiếp theo
- Xác định lãi danh nghĩa tích gộp trong ngày giao dịch không hưởng quyền của kỳ trả lãi đầu tiên như sau:

- Xác định lãi danh nghĩa tích gộp trong ngày giao dịch không hưởng quyền của các kỳ trả lãi tiếp theo theo công thức tại điểm a Khoản 2 Điều này.
3. Xác định lãi danh nghĩa tích gộp trong trường hợp ngày thanh toán trùng với ngày trả lãi danh nghĩa
Trong trường hợp ngày thanh toán trùng với ngày trả lãi danh nghĩa, lãi danh nghĩa tích gộp được xác định bằng 0 (không).
Điều 36. Xác định giá gộp lãi
1. Đối với công cụ nợ có phương thức thanh toán lãi vào cuối kỳ
a) Xác định giá gộp lãi trong ngày giao dịch hưởng quyền
Giá gộp lãi trong ngày giao dịch hưởng quyền được xác định theo công thức sau:
GG = G + Cc
Trong đó:
GG: Giá gộp lãi.
G: Giá yết.
Cc: Lãi danh nghĩa tích gộp trong ngày giao dịch hưởng quyền.
b) Xác định giá gộp lãi trong ngày giao dịch không hưởng quyền
Giá gộp lãi trong ngày giao dịch không hưởng quyền được xác định theo công thức sau:
GG = G - Cx
Trong đó:
Cx: Lãi danh nghĩa tích gộp trong ngày giao dịch không hưởng quyền.
c) Xác định giá gộp lãi trong trong trường hợp ngày thanh toán trùng với ngày trả lãi danh nghĩa
Giá gộp lãi trong trường hợp ngày thanh toán trùng với ngày trả lãi danh nghĩa được xác định theo công thức sau:
GG = G
2. Đối với công cụ nợ có phương thức thanh toán lãi đầu kỳ
a) Xác định giá gộp lãi trong ngày giao dịch hưởng quyền
- Giá gộp lãi trong ngày giao dịch hưởng quyền được xác định theo công thức sau:
GG = G - Cx
Trong đó:
GG: Giá gộp lãi.
G: Giá yết.
Cx: Lãi danh nghĩa tích gộp trong ngày giao dịch không hưởng quyền.
- Đối với công cụ nợ có lãi suất danh nghĩa cố định, thanh toán lãi định kỳ và có kỳ trả lãi đầu tiên dài hơn so với các kỳ trả lãi tiếp theo, và ngày thanh toán của giao dịch diễn ra trước hoặc trùng với ngày trả lãi danh nghĩa thông thường theo giả định của kỳ trả lãi đầu tiên, giá gộp lãi được xác định theo công thức sau:

b) Xác định giá gộp lãi trong ngày giao dịch không hưởng quyền
- Giá gộp lãi trong ngày giao dịch không hưởng quyền được xác định theo công thức sau:
GG = G - Cx - MG x Rc
- Đối với công cụ nợ có lãi suất danh nghĩa cố định, thanh toán lãi định kỳ và có kỳ trả lãi đầu tiên ngắn hơn so với các kỳ trả lãi tiếp theo, và ngày thanh toán của giao dịch diễn ra trong kỳ trả lãi đầu tiên, giá gộp lãi được xác định theo công thức sau:

- Đối với công cụ nợ có lãi suất danh nghĩa cố định, thanh toán lãi định kỳ và có kỳ trả lãi đầu tiên dài hơn so với các kỳ trả lãi tiếp theo, và ngày thanh toán của giao dịch diễn ra trong kỳ trả lãi đầu tiên, giá gộp lãi được xác định theo công thức sau:
- Đối với công cụ nợ có lãi suất danh nghĩa cố định, thanh toán lãi định kỳ và có kỳ trả lãi đầu tiên dài hơn so với các kỳ trả lãi tiếp theo, và ngày thanh toán của giao dịch diễn ra trong kỳ trả lãi đầu tiên, giá gộp lãi được xác định theo công thức sau:

c) Xác định giá gộp lãi trong trong trường hợp ngày thanh toán trùng với ngày trả lãi danh nghĩa
Giá gộp lãi trong trường hợp ngày thanh toán trùng với ngày trả lãi danh nghĩa được xác định theo công thức sau:
GG = G - MG x Rc
Điều 37. Xác định giá thực hiện
1. Xác định giá thực hiện trong giao dịch mua bán thông thường, giao dịch vay và cho vay, giao dịch bán kết hợp mua lại
a) Đối với công cụ nợ thanh toán lãi định kỳ
GM = GG
Trong đó:
- GM: Giá thực hiện (làm tròn đến 01 đồng)
- Đối với công cụ nợ có kỳ hạn còn lại từ 01 năm trở lên, áp dụng quy tắc tính toán ngày thực tế/ngày thực tế.
- Đối với công cụ nợ có kỳ hạn còn lại dưới 01 năm, áp dụng quy tắc tính toán ngày thực tế/365.
b) Đối với công cụ nợ không thanh toán lãi định kỳ và tín phiếu
GM = G
- Đối với công cụ nợ không thanh toán lãi định kỳ có kỳ hạn còn lại trên 01 năm, cách xác định ngày trong tính toán áp dụng quy tắc ngày thực tế/ngày thực tế.
- Đối với công cụ nợ không thanh toán lãi định kỳ có kỳ hạn còn lại dưới 01 năm và tín phiếu, cách xác định ngày trong tính toán áp dụng quy tắc ngày thực tế/365.
2. Xác định giá thực hiện trong giao dịch mua bán lại
a) Đối với công cụ nợ thanh toán lãi định kỳ
GM = GG (1 - H)
Trong đó:
GM: Giá thực hiện (làm tròn đến 01 đồng)
H: Tỷ lệ phòng vệ rủi ro được quy đổi sang số thập phân
b) Đối với công cụ nợ không thanh toán lãi định kỳ và tín phiếu
GM = G (1 - H)
Mục 3. GIAO DỊCH MUA BÁN THÔNG THƯỜNG
Điều 38. Xác định giá trị thanh toán
Giá trị thanh toán công cụ nợ trong giao dịch mua bán thông thường được xác định theo công thức sau:
V = GM x KL
Trong đó:
V: Giá trị giao dịch
KL: Khối lượng công cụ nợ giao dịch
Mục 4. GIAO DỊCH MUA BÁN LẠI
Điều 39. Xác định giá trị giao dịch lần một
Giá trị giao dịch lần một được xác định theo công thức sau:
V1 = GM X KL
Trong đó:
V1: Giá trị giao dịch lần một.
KL: Khối lượng công cụ nợ giao dịch.
Điều 40. Xác định lãi mua bán lại
1. Trường hợp không thay đổi lãi suất mua bán lại và kỳ hạn giao dịch
Lãi mua bán lại được xác định theo công thức sau:

Trong đó:
L: Lãi mua bán lại
R: Lãi suất mua bán lại (%/năm)
T: Kỳ hạn giao dịch mua bán lại. Trường hợp thay đổi kỳ hạn giao dịch, T được tính theo số ngày thực tế từ ngày thanh toán của giao dịch lần một đến ngày thanh toán giao dịch lần hai mới.
Số ngày thực tế của năm: Là số ngày thực tế của năm có ngày thanh toán giao dịch lần 1.
2. Trường hợp thay đổi lãi suất mua bán lại và/hoặc kỳ hạn giao dịch
Lãi mua bán lại được xác định theo công thức sau:

Trong đó:
n: Số lần sửa lãi suất mua bán lại hoặc kỳ hạn giao dịch. Nếu sửa đồng thời cả lãi suất mua bán lại và kỳ hạn giao dịch thì được tính là 01 lần sửa.
Li: Lãi mua bán lại tính trong khoảng thời gian từ ngày sửa làn i-1 đến ngày sửa lần thứ i (L1: Lãi mua bán lại tính trong khoảng thời gian từ ngày thanh toán của giao dịch lần một đến ngày sửa lần thứ nhất; Ln+1: Lãi mua bán lại tính trong khoảng thời gian từ ngày sửa lần thứ n đến ngày thanh toán của giao dịch lần hai). Li được tính theo công thức sau:

Ri-1: Lãi suất mua bán lại của lần sửa thứ i-1 (%/năm)
Ti: Số ngày thực tế từ ngày sửa lần thứ i-1 đến ngày sửa lần thứ i (T1: Số ngày thực tế từ ngày thanh toán của giao dịch lần một đến ngày sửa lần thứ nhất; Tn+1: số ngày thực tế từ ngày sửa lần thứ n đến ngày thanh toán của giao dịch lần hai)
Số ngày thực tế của nămi-1: Là số ngày thực tế của năm có ngày sửa lần thứ i-1
Điều 41. Xác định giá trị giao dịch lần hai
Giá trị giao dịch lần hai được xác định theo công thức sau:
V2 = V1 + L - CPN - RND - Lãi phạt
Trong đó:
V2: Giá trị giao dịch lần hai (làm tròn đến 01 đồng)
L: Lãi mua bán lại
CPN: Lãi danh nghĩa và lãi trên lãi danh nghĩa phát sinh trong kỳ hạn giao dịch (nếu có)
RND: Số tiền phát sinh từ việc làm tròn lô công cụ nợ tương đương (nếu có)
Lãi phạt: Lãi phạt khi sử dụng công cụ nợ tương đương (nếu có)
Mục 5. GIAO DỊCH VAY VÀ CHO VAY
Điều 42. Đối tượng thực hiện giao dịch vay và cho vay
1. Chỉ nhà tạo lập thị trường được thực hiện vay công cụ nợ trong giao dịch vay và cho vay theo quy định tại Khoản 3 Điều 13 Thông tư 30/2019/TT-BTC.
2. Nhà đầu tư được thực hiện cho vay công cụ nợ trong giao dịch vay và cho vay.
Điều 43. Xác định giá trị công cụ nợ vay
Giá trị công cụ nợ vay được xác định theo công thức sau:
V = GM x KL
Trong đó:
V: Giá trị công cụ nợ vay
GM: Giá thực hiện của công cụ nợ vay
KL: Khối lượng vay công cụ nợ
Điều 44. Xác định lãi vay công cụ nợ
1. Trường hợp không thay đổi lãi suất vay công cụ nợ và kỳ hạn vay
Lãi vay công cụ nợ được xác định theo công thức sau:

Trong đó:
LV: Lãi vay công cụ nợ
Rv: Lãi suất vay công cụ nợ (%/năm)
T: Kỳ hạn vay công cụ nợ. Trường hợp thay đổi kỳ hạn giao dịch, T được tính theo số ngày thực tế từ ngày thanh toán của giao dịch lần một đến ngày thanh toán giao dịch lần hai mới.
Số ngày thực tế của năm: Là số ngày thực tế của năm có ngày thanh toán giao dịch lần 1.
2. Trường hợp thay đổi lãi suất vay công cụ nợ và/hoặc kỳ hạn vay

Trong đó:
n: Số lần sửa lãi suất vay công cụ nợ hoặc kỳ hạn vay. Nếu sửa đồng thời cả lãi suất vay và kỳ hạn vay thì được tính là 01 lần sửa
LVi: Lãi vay công cụ nợ tính trong khoảng thời gian từ ngày sửa lần i-1 đến ngày sửa lần thứ i (LV1: Lãi vay công cụ nợ tính trong khoảng thời gian từ ngày thanh toán của giao dịch lần một đến ngày sửa lần thứ nhất; LVn+1: Lãi vay công cụ nợ tính trong khoảng thời gian từ ngày sửa lần thứ n đến ngày thanh toán của giao dịch lần hai). LVi được tính theo công thức sau:


Trong đó:
Rv,i-1: Lãi suất vay công cụ nợ của lần sửa thứ i-1 (%/năm)
Ti: Số ngày thực tế từ ngày sửa lần thứ i-1 đến ngày sửa lần thứ i(T1: Số ngày thực tế từ ngày thanh toán của giao dịch lần một đến ngày sửa lần thứ nhất; Tn+1: số ngày thực tế từ ngày sửa lần thứ n đến ngày thanh toán của giao dịch lần hai)
Số ngày thực tế của nămi-1: Là số ngày thực tế của năm có ngày sửa lần thứ i-1
Điều 45. Tài sản đảm bảo
1. Tài sản đảm bảo trong giao dịch vay và cho vay công cụ nợ là tiền.
2. Tỷ lệ tài sản đảm bảo trên giá trị vay là tỷ lệ giữa số tiền được dùng làm tài sản đảm bảo và giá trị công cụ nợ vay theo quy định tại Điều 45 Quy chế này.
3. Tỷ lệ tài sản đảm bảo trên giá trị vay do các bên trong giao dịch tự thỏa thuận với nhau và phải đảm bảo để giá trị hoàn trả tài sản đảm bảo quy định tại Điều 49 Quy chế này có giá trị tối thiểu là một (1) đồng.
4. Giao dịch vay và cho vay công cụ nợ có tỷ lệ tài sản đảm bảo trên giá trị vay nhỏ hơn hoặc bằng 70% được phân loại là giao dịch vay tín chấp.
5. Xác định giá trị tài sản đảm bảo
Giá trị tài sản đảm bảo được xác định theo công thức sau:
V1 = V x H
V1: Giá trị tài sản đảm bảo (làm tròn đến 01 đồng)
H: Tỷ lệ tài sản đảm bảo trên giá trị vay (%)
Điều 46. Xác định lãi phát sinh trên tài sản đảm bảo
1. Trường hợp không thay đổi lãi suất tính trên tài sản đảm bảo và kỳ hạn giao dịch
Lãi phát sinh trên tài sản đảm bảo được xác định theo công thức sau:

Trong đó:
L: Lãi phát sinh trên tài sản đảm bảo
R: Lãi suất tính trên tài sản đảm bảo (%/năm)
T: Kỳ hạn vay công cụ nợ. Trường hợp thay đổi kỳ hạn giao dịch, T được tính theo số ngày thực tế từ ngày thanh toán của giao dịch lần một đến ngày thanh toán giao dịch lần hai mới.
Số ngày thực tế của năm: Là số ngày thực tế của năm có ngày thanh toán giao dịch lần 1.
2. Trường hợp thay đổi lãi suất tính trên tài sản đảm bảo và/hoặc kỳ hạn giao dịch
Lãi phát sinh trên tài sản đảm bảo được xác định theo công thức sau:

Trong đó:
n: Số lần sửa lãi suất tính trên tài sản đảm bảo hoặc kỳ hạn giao dịch. Nếu sửa đồng thời cả lãi suất và kỳ hạn giao dịch thì được tính là 01 lần sửa
Li: Lãi phát sinh trên tài sản đảm bảo tính trong khoảng thời gian từ ngày sửa lần i-1 đến ngày sửa lần thứ i (Li: Lãi phát sinh trên tài sản đảm bảo tính trong khoảng thời gian từ ngày thanh toán của giao dịch lần một đến ngày sửa lần thứ nhất; Ln+1: Lãi phát sinh trên tài sản đảm bảo tính trong khoảng thời gian từ ngày sửa lần thứ n đến ngày thanh toán của giao dịch lần hai). Li được tính theo công thức sau:

Ri-1: Lãi suất tính trên tài sản đảm bảo của lần sửa thứ i-1 (%/năm)
Ti: Số ngày thực tế từ ngày sửa lần thứ i-1 đến ngày sửa lần thứ i (T1: Số ngày thực tế từ ngày thanh toán của giao dịch lần một đến ngày sửa lần thứ nhất; Tn+1: số ngày thực tế từ ngày sửa lần thứ n đến ngày thanh toán của giao dịch lần hai)
Số ngày thực tế của nămi-1: Là số ngày thực tế của năm có ngày sửa lần thứ i-1
Điều 47. Xác định giá trị hoàn trả tài sản đảm bảo
Giá trị hoàn trả tài sản đảm bảo được xác định theo công thức sau:
V2 = V1 + L - LV - CFN - RND - Lãi phạt
Trong đó:
V2: Giá trị hoàn trả tài sản đảm bảo (làm tròn đến 01 đồng)
L: Lãi phát sinh trên tài sản đảm bảo
LV: Lãi vay công cụ nợ
CPN: Lãi danh nghĩa và lãi trên lãi danh nghĩa phát sinh trong kỳ hạn giao dịch (nếu có)
RND: Số tiền phát sinh từ việc làm tròn lô công cụ nợ tương đương (nếu có)
Lãi phạt: Lãi phạt khi sử dụng công cụ nợ tương đương (nếu có)
Mục 6. GIAO DỊCH BÁN KẾT HỢP MUA LẠI
Điều 48. Xác định giá trị giao dịch lần một
Giá trị giao dịch lần một được xác định theo công thức sau:
V1 = GM1 x KL
Trong đó:
V1 Giá trị giao dịch lần một
GM1: Giá thực hiện lần một
KL: Khối lượng công cụ nợ giao dịch
Điều 49. Xác định giá trị giao dịch lần hai
Giá trị giao dịch lần hai được xác định theo công thức sau:
V2 = GM2 x KL - RND - Lãi phạt
Trong đó:
V2: Giá trị giao dịch lần hai (làm tròn đến 01 đồng)
GM2: Giá thực hiện lần hai
RND: Số tiền phát sinh từ việc làm tròn lô công cụ nợ tương đương (nếu có)
Lãi phạt: Lãi phạt khi sử dụng công cụ nợ tương đương (nếu có)
Chương V. CHẾ ĐỘ BÁO CÁO VÀ CÔNG BỐ THÔNG TIN
Điều 50. Chế độ báo cáo của thành viên giao dịch
Thành viên giao dịch thực hiện chế độ báo cáo theo quy định tại Điều 11 Thông tư 30/2019/TT-BTC.
Điều 51. Đối tượng công bố thông tin
1. Thành viên giao dịch thông thường thực hiện công bố thông tin theo quy quy định tại Điều 25 Thông tư 30/2019/TT-BTC.
2. Thành viên giao dịch đặc biệt là công ty đại chúng, công ty đại chúng quy mô lớn, công ty niêm yết thực hiện công bố thông tin theo quy định tại Khoản 1 Điều 26 Thông tư 30/2019/TT-BTC.
3. Thành viên giao dịch đặc biệt không thuộc đối tượng của Khoản 2 Điều này thực hiện công bố thông tin theo quy định tại Khoản 2 Điều 26 Thông tư 30/2019/TT-BTC và Quy chế này.
Điều 52. Người công bố thông tin
Việc công bố thông tin phải do người đại diện theo pháp luật của công ty hoặc người được ủy quyền công bố thông tin thực hiện theo quy định tại Khoản 4 Điều 4 Thông tư 96/2020/TT-BTC.
Điều 53. Phương tiện và hình thức công bố thông tin
1. Phương tiện công bố thông tin: Phương tiện công bố thông tin của các đối tượng công bố thông tin được thực hiện theo quy định tại Điều 7 Thông tư 96/2020/TT-BTC.
2. Hình thức công bố thông tin:
Thành viên giao dịch đặc biệt thuộc Khoản 3 Điều 51 Quy chế này gửi tài liệu công bố thông tin đến SGDCK dưới hình thức dữ liệu điện tử thông qua Hệ thống thông tin thị trường công cụ nợ (Thực hiện theo hướng dẫn sử dụng phần mềm). Thời điểm SGDCK nhận thông tin được xác định là ngày thông tin được tiếp nhận trên Hệ thống thông tin thị trường công cụ nợ.
Đối với công bố thông tin định kỳ, thành viên giao dịch đặc biệt thuộc Khoản 3 Điều 51 Quy chế này đồng thời gửi nội dung công bố thông tin qua Hệ thống thông tin thị trường công cụ nợ và gửi văn bản báo cáo cho SGDCK. Nội dung thông tin công bố bằng văn bản và dữ liệu điện tử phải thống nhất với nhau và thống nhất với nội dung thông tin thành viên công bố trên các phương tiện thông tin đại chúng khác. Trường hợp thành viên chuyển văn bản qua đường fax đồng thời chuyển bản chính qua đường bưu điện, thời điểm nhận thông tin được xác định là ngày SGDCK nhận được văn bản báo cáo về việc công bố thông tin tùy thời điểm văn bản nào đến trước.
Điều 54. Bảo quản, lưu trữ thông tin
Các đối tượng công bố thông tin thực hiện bảo quản, lưu trữ thông tin theo quy định tại Khoản 5 Điều 4 Thông tư 96/2020/TT-BTC.
Điều 55. Tạm hoãn công bố thông tin
Việc tạm hoãn công bố thông tin được thực hiện theo quy định tại Điều 8 Thông tư 96/2020/TT-BTC.
Chương VI
TỔ CHỨC THỰC HIỆN
Điều 56. Điều khoản thi hành
1. Các đối tượng tham gia giao dịch công cụ nợ tại SGDCK có trách nhiệm thực hiện Quy chế này.
2. SGDCK chịu trách nhiệm ban hành các quy trình nghiệp vụ phù hợp với Quy chế này và giám sát việc tuân thủ Quy chế này của các thành viên giao dịch công cụ nợ.
3. Việc sửa đổi, bổ sung Quy chế này do Tổng Giám đốc SGDCK quyết định sau khi được sự chấp thuận của Ủy ban Chứng khoán Nhà nước và được Hội đồng quản trị SGDCK thông qua.
Điều 57. Điều khoản tham chiếu
Trường hợp các văn bản quy phạm pháp luật được dẫn chiếu để áp dụng tại Quy chế này được sửa đổi, bổ sung hoặc thay thế bằng văn bản mới thì thực hiện theo quy định tại văn bản sửa đổi, bổ sung, thay thế./
DANH MỤC PHỤ LỤC
|
Số phụ lục |
Tên phụ lục |
|
Phụ lục I/TP |
Đơn đăng ký thành viên giao dịch công cụ nợ |
|
Phụ lục II/TP |
Nội dung cơ bản của phiếu lệnh Mua/Bán/Sửa/Hủy |
|
Phụ lục III/TP |
Nội dung cơ bản của phiếu xác nhận kết quả giao dịch |
|
Phụ lục IV/TP |
Mẫu giấy ủy quyền thực hiện phê duyệt báo cáo hoạt động kinh doanh công cụ nợ |
|
Phụ lục V/TP |
Mẫu giấy ủy quyền thực hiện công bố thông tin |
|
Phụ lục VI/TP |
Mẫu đơn đăng ký đại diện giao dịch công cụ nợ |
|
Phụ lục VII/TP |
Đăng ký thông tin CA |
|
Phụ lục VIII/TP |
Mẫu đơn đề nghị chấm dứt tư cách đại diện giao dịch công cụ nợ |
|
Phụ lục IX/TP |
Bảng Kỳ hạn còn lại của công cụ nợ |
|
Phụ lục X/TP |
Mẫu đơn đề nghị chấm dứt tư cách thành viên giao dịch công cụ nợ |
|
Phụ lục XI/TP |
Nguyên tắc làm tròn số trên hệ thống giao dịch công cụ nợ |
|
Phụ lục XII/TP |
Giao dịch mua bán thông thường |
|
Phụ lục XIII/TP |
Giao dịch mua bán lại |
|
Phụ lục XIV/TP |
Giao dịch vay và cho vay |
|
Phụ lục XV/TP |
Giao dịch bán kết hợp mua lại |
PHỤ LỤC I/TP
MẪU ĐƠN ĐĂNG KÝ THÀNH VIÊN GIAO DỊCH CÔNG CỤ NỢ
(Ban hành kèm theo Quy chế Giao dịch công cụ nợ của Chính phủ, công cụ nợ được Chính phủ bảo lãnh do ngân hàng chính sách phát hành và công cụ nợ chính quyền địa phương)
1. ĐỐI VỚI CÔNG TY CHỨNG KHOÁN, NGÂN HÀNG THƯƠNG MẠI
CỘNG HÒA XÃ HỘI CHỦ NGHĨA VIỆT NAM
Độc lập - Tự do - Hạnh phúc
---------------
………., ngày ... tháng ... năm ..…...
ĐƠN ĐĂNG KÝ
THÀNH VIÊN GIAO DỊCH CÔNG CỤ NỢ
Kính gửi: Sở Giao dịch Chứng khoán Hà Nội
Chúng tôi, Công ty chứng khoán/Ngân hàng thương mại/Chi nhánh ngân hàng:
Tên tiếng Việt: ………………………………………………………………………………
Tên tiếng Anh: ………………………………………………………………………………
Tên giao dịch: …………………………………………………….....................................
được thành lập theo Giấy phép thành lập và hoạt động số ... ngày ... do ... cấp, có nguyện vọng đăng ký làm thành viên giao dịch công cụ nợ tại Sở Giao dịch Chứng khoán Hà Nội.
Sau khi tìm hiểu và nắm rõ nội dung của Thông tư 30/2019/TT-BTC về hướng dẫn đăng ký, lưu ký, niêm yết, giao dịch và thanh toán công cụ nợ của Chính phủ, công cụ nợ được Chính phủ bảo lãnh do ngân hàng chính sách phát hành và công cụ nợ chính quyền địa phương, thay mặt chủ sở hữu (hoặc các cổ đông) chúng tôi xin được đăng ký làm thành viên giao dịch công cụ nợ của SGDCKHN.
Chúng tôi xin cung cấp các thông tin về Công ty/Ngân hàng/Chi nhánh ngân hàng như sau:
I. CÁC THÔNG TIN CHUNG:
1. Địa chỉ liên hệ:
1.1. Trụ sở chính:
Địa chỉ:
Điện thoại:
Fax:
Email, Web Site (nếu có):
1.2 Các chi nhánh, phòng giao dịch công cụ nợ (nếu có):
Chi nhánh 1: Tên; Địa chỉ; Điện thoại; Fax;
Chi nhánh 2: Tên; Địa chỉ; Điện thoại; Fax.
2. Vốn điều lệ:
- Vốn điều lệ;
- Vốn thực góp/vốn được cấp.
3. Thiết bị máy tính phục vụ giao dịch công cụ nợ:
3.1. Số lượng máy:
3.2. Loại máy:
3.3. Phần mềm sử dụng:
3.4. Số lượng nhân viên máy tính:
4. Thiết bị phục vụ công bố thông tin:
II. NHÂN SỰ:
1. Danh sách thành viên Hội đồng Quản trị/ Hội đồng thành viên và Ban kiểm soát (nếu có):
|
STT |
Họ và tên |
Giới tính |
Ngày sinh |
Chức vụ |
Trình độ học vấn |
|
1. |
|
|
|
|
|
|
2. |
|
|
|
|
|
|
… |
|
|
|
|
|
2. Danh sách Ban Giám đốc:
|
STT |
Họ và tên |
Giớitính |
Ngàysinh |
Chứcvụ |
Trình độ học vấn |
Kinh nghiệm trong lĩnh vực tài chính và chứng khoán |
|
1. |
|
|
|
|
|
|
|
2. |
|
|
|
|
|
|
3. Sơ đồ tổ chức: (Các phòng ban, chức năng, nhiệm vụ của các phòng ban)
4. Danh sách các nhân viên và cán bộ phụ trách kinh doanh công cụ nợ:
|
STT |
Họ và tên |
Giớitính |
Ngàysinh |
SốCMND |
Ngày cấp CMND |
Nơi cấp CMND |
Chức vụ |
SốCCHNCK* |
Ngày cấpCCHNCK* |
|
|
Cán bộ phụ trách kinh doanh công cụ nợ |
||||||||
|
1 |
|
|
|
|
|
|
|
|
|
|
2 |
|
|
|
|
|
|
|
|
|
|
|
Nhân viên kinh doanh công cụ nợ |
||||||||
|
1 |
|
|
|
|
|
|
|
|
|
|
2 |
|
|
|
|
|
|
|
|
|
(*): Áp dụng đối với công ty chứng khoán. Đối với ngân hàng thương mại, không áp dụng các yêu cầu này
5. Địa chỉ email nộp báo cáo của người có thẩm quyền ký báo cáo: ...
Chúng tôi xin hoàn toàn chịu trách nhiệm trước pháp luật về sự xác thực của những thông tin trên đây.
Khi được chấp thuận làm thành viên giao dịch công cụ nợ của SGDCKHN, chúng tôi cam kết:
1. Tuân thủ đầy đủ các quy định của Thông tư 30/2019/TT-BTC về hướng dẫn đăng ký, lưu ký, niêm yết, giao dịch và thanh toán công cụ nợ của Chính phủ, công cụ nợ được Chính phủ bảo lãnh do ngân hàng chính sách phát hành và công cụ nợ chính quyền địa phương do Bộ Tài chính ban hành, Quy chế giao dịch công cụ nợ của Chính phủ, công cụ nợ được Chính phủ bảo lãnh do ngân hàng chính sách phát hành và công cụ nợ chính quyền địa phương do SGDCKHN ban hành và các quy định pháp luật khác có liên quan.
2. Hoạt động kinh doanh công cụ nợ theo đúng quy định áp dụng với thành viên giao dịch công cụ nợ tại SGDCKHN và không có những hoạt động làm ảnh hưởng đến uy tín của SGDCKHN.
3. Chịu mọi hình thức kỷ luật của SGDCKHN khi không thực hiện đúng cam kết nêu trên.
|
|
Người đại diện theo pháp luật |
2. ĐỐI VỚI KHO BẠC NHÀ NƯỚC
CỘNG HÒA XÃ HỘI CHỦ NGHĨA VIỆT NAM
Độc lập - Tự do - Hạnh phúc
---------------
………., ngày ... tháng ... năm ..…...
ĐƠN ĐĂNG KÝ
GIAO DỊCH CÔNG CỤ NỢ
Kính gửi: Sở Giao dịch Chứng khoán Hà Nội
Chúng tôi, Kho bạc Nhà nước:
Tên tiếng Việt: ……………………………………………………
Tên tiếng Anh: ……………………………………………………
có nguyện vọng đăng ký giao dịch công cụ nợ tại Sở Giao dịch Chứng khoán Hà Nội.
Sau khi tìm hiểu và nắm rõ nội dung của Thông tư 30/2019/TT-BTC về hướng dẫn đăng ký, lưu ký, niêm yết, giao dịch và thanh toán công cụ nợ của Chính phủ, công cụ nợ được Chính phủ bảo lãnh do ngân hàng chính sách phát hành và công cụ nợ chính quyền địa phương do Bộ Tài chính ban hành, Quy chế giao dịch công cụ nợ của Chính phủ, công cụ nợ được Chính phủ bảo lãnh do ngân hàng chính sách phát hành và công cụ nợ chính quyền địa phương do SGDCKHN ban hành, chúng tôi xin được đăng ký giao dịch công cụ nợ tại SGDCKHN. Chúng tôi xin cung cấp các thông tin về Kho bạc Nhà nước như sau:
I. CÁC THÔNG TIN CHUNG
1. Địa chỉ liên hệ:
- Địa chỉ:
- Điện thoại:
- Fax:
- Email, Web Site (nếu có):
2. Thiết bị máy tính phục vụ giao dịch công cụ nợ:
3.1. Số lượng máy:
3.2. Loại máy:
3.3. Phần mềm sử dụng:
II. NHÂN SỰ
1. Danh sách các nhân viên và cán bộ phụ trách kinh doanh công cụ nợ:
|
STT |
Họ và tên |
Giớitính |
Ngàysinh |
Số CMND |
Ngày cấp CMND |
Nơi cấp CMND |
Chức vụ |
|
Cán bộ phụ trách kinh doanh công cụ nợ |
|||||||
|
1 |
|
|
|
|
|
|
|
|
2 |
|
|
|
|
|
|
|
|
Nhân viên kinh doanh công cụ nợ |
|||||||
|
1 |
|
|
|
|
|
|
|
|
2 |
|
|
|
|
|
|
|
2. Địa chỉ email nộp báo cáo của người có thẩm quyền ký báo cáo: ...
Chúng tôi xin hoàn toàn chịu trách nhiệm trước pháp luật về sự xác thực của những thông tin trên đây.
Khi được chấp thuận tham gia giao dịch công cụ nợ tại SGDCKHN, chúng tôi cam kết:
1. Tuân thủ đầy đủ các quy định của Thông tư 30/2019/TT-BTC về hướng dẫn đăng ký, lưu ký, niêm yết, giao dịch và thanh toán công cụ nợ của Chính phủ, công cụ nợ được Chính phủ bảo lãnh do ngân hàng chính sách phát hành và công cụ nợ chính quyền địa phương do Bộ Tài chính ban hành, Quy chế giao dịch công cụ nợ của Chính phủ, công cụ nợ được Chính phủ bảo lãnh do ngân hàng chính sách phát hành và công cụ nợ chính quyền địa phương do SGDCKHN ban hành và các quy định pháp luật khác có liên quan.
2. Hoạt động kinh doanh công cụ nợ theo đúng quy định áp dụng với Kho bạc Nhà nước và không có những hoạt động làm ảnh hưởng đến uy tín của SGDCKHN.
|
|
Người đại diện theo pháp luật |
PHỤ LỤC II/TP
NHỮNG NỘI DUNG CƠ BẢN CỦA PHIẾU LỆNH MUA/BÁN/SỬA/HỦY
(Ban hành kèm theo Quy chế Giao dịch công cụ nợ của Chính phủ, công cụ nợ được Chính phủ bảo lãnh do ngân hàng chính sách phát hành và công cụ nợ chính quyền địa phương)
A. Giao dịch thông thường
I. Phiếu lệnh Mua/Bán
Nội dung cơ bản của phiếu lệnh Mua/Bán công cụ nợ bao gồm:
1. Loại lệnh
+ Thỏa thuận điện tử: Lệnh thỏa thuận điện tử toàn thị trường, Lệnh yêu cầu chào giá và lệnh chào với cam kết chắc chắn
+ Lệnh thỏa thuận thông thường: Lệnh báo cáo giao dịch
2. Mua hoặc Bán
3. Tên khách hàng
4. Số tài khoản
5. Tài khoản đối ứng đối với hình thức giao dịch thỏa thuận thông thường (nếu có) (*)
6. Thông tin đối tác đối với hình thức giao dịch thỏa thuận điện tử
7. Thời điểm giao kết giao dịch (**)
8. Thời điểm ký kết hợp đồng (**)
9. Ngày tháng đặt lệnh
10. Ngày bắt đầu giao dịch
11. Mã công cụ nợ hoặc thông tin chung về mã công cụ nợ
12. Khối lượng
13. Giá yết (**)
14. Tổng giá trị thanh toán (**)
15. Thời gian nhận lệnh
16. Số thứ tự vào lệnh
(*) Thông tin không bắt buộc khách hàng phải điền trên mẫu phiếu lệnh
(**) Thông tin không bắt buộc khách hàng phải điền trên mẫu phiếu lệnh đối với lệnh yêu cầu chào giá
II. Phiếu lệnh Sửa
Nội dung cơ bản của phiếu lệnh Sửa công cụ nợ bao gồm:
1. Loại lệnh:
+ Thỏa thuận điện tử: Lệnh thỏa thuận điện tử toàn thị trường, Lệnh yêu cầu chào giá và lệnh chào với cam kết chắc chắn
+ Thỏa thuận thông thường.
2. Tên khách hàng
3. Số Tài khoản
4. Tài khoản đối ứng đối với hình thức giao dịch thỏa thuận thông thường (*)
5. Thông tin đối tác đối với hình thức giao dịch thỏa thuận điện tử (nếu có) (lệnh gốc/ lệnh sửa)
6. Thời điểm giao kết giao dịch (**)
7. Thời điểm ký kết hợp đồng (**)
8. Ngày tháng đặt lệnh
9. Ngày bắt đầu giao dịch (lệnh gốc/ lệnh sửa)
10. Mua/Bán
11. Mã công cụ nợ (lệnh gốc/ lệnh sửa)
12. Khối lượng (lệnh gốc/ lệnh sửa)
13. Giá yết (lệnh gốc/ lệnh sửa) (**)
14. Tổng giá trị thanh toán (lệnh gốc/lệnh sửa) (**)
15. Thời gian nhận lệnh sửa
16. Số thứ tự vào lệnh
(*)Thông tin không bắt buộc khách hàng phải điền trên mẫu phiếu lệnh
(**) Thông tin không bắt buộc khách hàng phải điền trên mẫu phiếu lệnh đối với lệnh yêu cầu chào giá
III. Phiếu lệnh Hủy
Nội dung cơ bản của phiếu lệnh Hủy tương tự phiếu lệnh Mua/Bán
B. Giao dịch mua bán lại
I. Phiếu lệnh Mua/Bán
Nội dung cơ bản của phiếu lệnh Mua/Bán công cụ nợ bao gồm:
1. Loại lệnh:
+ Thỏa thuận điện tử: Lệnh yêu cầu chào giá và lệnh chào với cam kết chắc chắn
+ Thỏa thuận thông thường: Lệnh báo cáo giao dịch
2. Mua hoặc Bán
3. Tên khách hàng
4. Số Tài khoản
5. Tài khoản đối ứng đối với hình thức giao dịch thỏa thuận thông thường (*)
6. Thông tin đối tác đối với hình thức giao dịch thỏa thuận điện tử (nếu có)
7. Thời điểm giao kết giao dịch (**)
8. Thời điểm ký kết hợp đồng (**)
9. Ngày tháng đặt lệnh
10. (Các) Mã công cụ nợ hoặc thông tin chung về (các) mã công cụ nợ
11. Công cụ nợ tương đương (*)
+ (Các) mã công cụ nợ tương đương
+ Phương pháp xác định hệ số chuyển đổi
+ Ngày tính toán
+ Lợi suất công cụ nợ gốc
+ Lợi suất công cụ nợ tương đương
+ Khối lượng làm tròn
+ Lãi suất phạt
+ Lãi phạt
+ Số tiền phát sinh từ việc làm tròn lô công cụ nợ tương đương
12. Khối lượng giao dịch hoặc giá trị giao dịch theo mệnh giá
13. Giá yết (**)
14. Thời hạn giao dịch mua bán lại
15. Ngày bắt đầu giao dịch
16. Lãi suất mua bán lại (**)
17. Tỷ lệ phòng vệ rủi ro (**)
18. Nhận lãi danh nghĩa
19. Lãi suất trên lãi danh nghĩa (**)
20. Thời gian nhận lệnh
21. Số thứ tự vào lệnh
(*) Thông tin không bắt buộc khách hàng phải điền trên mẫu phiếu lệnh
(**) Thông tin không bắt buộc khách hàng phải điền trên mẫu phiếu lệnh đối với lệnh yêu cầu chào giá
II. Phiếu lệnh Sửa
Nội dung cơ bản của phiếu lệnh Sửa công cụ nợ bao gồm:
1. Loại lệnh:
+ Thỏa thuận điện tử: Lệnh yêu cầu chào giá và lệnh chào với cam kết chắc chắn
+ Thỏa thuận thông thường: Lệnh báo cáo giao dịch
2. Mua hoặc Bán
3. Tên khách hàng
4. Số Tài khoản
5. Tài khoản đối ứng đối với hình thức giao dịch thỏa thuận thông thường (*)
6. Thông tin đối tác đối với hình thức giao dịch thỏa thuận điện tử (nếu có) (lệnh gốc/ lệnh sửa)
7. Thời điểm giao kết giao dịch (lệnh gốc/ lệnh sửa) (**)
8. Thời điểm ký kết hợp đồng (lệnh gốc/ lệnh sửa) (**)
9. Ngày tháng đặt lệnh
10. Ngày bắt đầu giao dịch
11. (Các) Mã công cụ nợ (lệnh gốc/ lệnh sửa)
12. Công cụ nợ tương đương (*)
+ (Các) mã công cụ nợ tương đương
+ Phương pháp xác định hệ số chuyển đổi
+ Ngày tính toán
+ Lợi suất công cụ nợ gốc
+ Lợi suất công cụ nợ tương đương
+ Khối lượng làm tròn
+ Lãi suất phạt
+ Lãi phạt
+ Số tiền phát sinh từ việc làm tròn lô công cụ nợ tương đương
13. Khối lượng giao dịch hoặc giá trị giao dịch theo mệnh giá (lệnh gốc/ lệnh sửa)
14. Giá yết (lệnh gốc/ lệnh sửa) (**)
15. Thời hạn giao dịch mua bán lại (lệnh gốc/ lệnh sửa)
16. Lãi suất mua bán lại (lệnh gốc/ lệnh sửa) (**)
17. Tỷ lệ phòng vệ rủi ro (lệnh gốc/ lệnh sửa) (**)
18. Nhận lãi danh nghĩa (lệnh gốc/ lệnh sửa) (**)
19. Lãi suất trên lãi danh nghĩa (lệnh gốc/ lệnh sửa) (**)
20. Thời gian nhận lệnh sửa
21. Số thứ tự vào lệnh
(*) Thông tin không bắt buộc khách hàng phải điền trên mẫu phiếu lệnh
(**) Thông tin không bắt buộc khách hàng phải điền trên mẫu phiếu lệnh đối với lệnh yêu cầu chào giá
III. Phiếu lệnh Hủy
Nội dung cơ bản của phiếu lệnh Hủy tương tự phiếu lệnh Mua/Bán
C. Giao dịch vay và cho vay
I. Phiếu lệnh vay/cho vay
Nội dung cơ bản của phiếu lệnh vay/cho vay công cụ nợ bao gồm:
1. Loại lệnh:
+ Thỏa thuận điện tử: Lệnh yêu cầu chào giá và lệnh chào với cam kết chắc chắn
+ Thỏa thuận thông thường: Lệnh báo cáo giao dịch
2. Vay hoặc Cho vay
3. Tên khách hàng
4. Số Tài khoản
5. Tài khoản đối ứng đối với hình thức giao dịch thỏa thuận thông thường (*)
6. Thông tin đối tác đối với hình thức giao dịch thỏa thuận điện tử (nếu có)
7. Thời điểm giao kết giao dịch (**)
8. Thời điểm ký kết hợp đồng (**)
9. Ngày tháng đặt lệnh
10. Mã TPCP hoặc thông tin chung về mã công cụ nợ
11. Công cụ nợ tương đương (**)
+ (Các) mã công cụ nợ tương đương
+ Phương pháp xác định hệ số chuyển đổi
+ Ngày tính toán
+ Lợi suất công cụ nợ gốc
+ Lợi suất công cụ nợ tương đương
+ Khối lượng làm tròn
+ Lãi suất phạt
+ Lãi phạt
+ Số tiền phát sinh từ việc làm tròn lô công cụ nợ tương đương
12. Ngày bắt đầu giao dịch
13. Khối lượng giao dịch
14. Giá yết (**)
15. Thời hạn vay
16. Lãi suất vay (**)
17. Tỷ lệ tài sản đảm bảo trên giá trị vay (**)
18. Lãi suất trên giá trị tài sản đảm bảo (**)
19. Nhận lãi danh nghĩa (**)
20. Lãi suất trên lãi danh nghĩa (**)
21. Thời gian nhận lệnh
22. Số thứ tự vào lệnh
(*) Thông tin không bắt buộc khách hàng phải điền trên mẫu phiếu lệnh
(**) Thông tin không bắt buộc khách hàng phải điền trên mẫu phiếu lệnh đối với lệnh yêu cầu chào giá
II. Phiếu lệnh Sửa
Nội dung cơ bản của phiếu lệnh Sửa công cụ nợ bao gồm:
1. Loại lệnh:
+ Thỏa thuận điện tử: Lệnh yêu cầu chào giá và lệnh chào với cam kết chắc chắn
+ Thỏa thuận thông thường: Lệnh báo cáo giao dịch
2. Vay hoặc Cho vay
3. Tên khách hàng
4. Số Tài khoản
5. Tài khoản đối ứng đối với hình thức giao dịch thỏa thuận thông thường (*)
6. Thông tin đối tác đối với hình thức giao dịch thỏa thuận điện tử (nếu có) (lệnh gốc/ lệnh sửa)
7. Thời điểm giao kết giao dịch (lệnh gốc/ lệnh sửa) (**)
8. Thời điểm ký kết hợp đồng (lệnh gốc/ lệnh sửa) (**)
9. Ngày tháng đặt lệnh
10. Mã công cụ nợ hoặc thông tin chung về mã công cụ nợ (lệnh gốc/ lệnh sửa)
11. Công cụ nợ tương đương (**)
+ (Các) mã TPCP tương đương
+ Phương pháp xác định hệ số chuyển đổi
+ Ngày tính toán
+ Lợi suất công cụ nợ gốc
+ Lợi suất công cụ nợ tương đương
+ Khối lượng làm tròn
+ Lãi suất phạt
+ Lãi phạt
+ Số tiền phát sinh từ việc làm tròn lô công cụ nợ tương đương
12. Ngày bắt đầu giao dịch (lệnh gốc/ lệnh sửa)
13. Khối lượng giao dịch (lệnh gốc/ lệnh sửa)
14. Giá yết (lệnh gốc/ lệnh sửa) (**)
15. Thời hạn vay (lệnh gốc/ lệnh sửa)
16. Lãi suất vay (lệnh gốc/ lệnh sửa) (**)
17. Tỷ lệ tài sản đảm bảo trên giá trị vay (lệnh gốc/ lệnh sửa) (**)
18. Lãi suất trên giá trị tài sản đảm bảo (lệnh gốc/ lệnh sửa) (**)
19. Nhận lãi danh nghĩa (lệnh gốc/ lệnh sửa) (**)
20. Lãi suất trên lãi danh nghĩa (lệnh gốc/ lệnh sửa) (**)
21. Thời gian nhận lệnh sửa
22. Số thứ tự vào lệnh
(*) Thông tin không bắt buộc khách hàng phải điền trên mẫu phiếu lệnh
(**) Thông tin không bắt buộc khách hàng phải điền trên mẫu phiếu lệnh đối với lệnh yêu cầu chào giá
III. Phiếu lệnh Hủy
Nội dung cơ bản của phiếu lệnh Hủy tương tự phiếu lệnh Vay/Cho vay
D. Giao dịch bán kết hợp mua lại
I. Phiếu lệnh Mua/Bán
Nội dung cơ bản của phiếu lệnh Mua/Bán công cụ nợ bao gồm:
1. Loại lệnh:
+ Thỏa thuận điện tử: Lệnh yêu cầu chào giá và lệnh chào với cam kết chắc chắn
+ Thỏa thuận thông thường: Lệnh báo cáo giao dịch
2. Mua hoặc Bán
3. Tên khách hàng
4. Số Tài khoản
5. Tài khoản đối ứng đối với hình thức giao dịch thỏa thuận thông thường (*)
6. Thông tin đối tác đối với hình thức giao dịch thỏa thuận điện tử (nếu có)
7. Thời điểm giao kết giao dịch (**)
8. Thời điểm ký kết hợp đồng (**)
9. Ngày tháng đặt lệnh
10. Mã công cụ nợ hoặc thông tin chung về mã công cụ nợ
11. Công cụ nợ tương đương (*)
+ (Các) mã công cụ nợ tương đương
+ Phương pháp xác định hệ số chuyển đổi
+ Ngày tính toán
+ Lợi suất công cụ nợ gốc
+ Lợi suất công cụ nợ tương đương
+ Khối lượng làm tròn
+ Lãi suất phạt + Lãi phạt
+ Số tiền phát sinh từ việc làm tròn lô công cụ nợ tương đương
12. Khối lượng giao dịch
13. Giá yết lần 1(**)
14. Giá yết lần 2 (**)
15. Ngày bắt đầu giao dịch
16. Ngày kết thúc giao dịch
17. Thời gian nhận lệnh
18. Số thứ tự vào lệnh
(*) Thông tin không bắt buộc khách hàng phải điền trên mẫu phiếu lệnh
(**) Thông tin không bắt buộc khách hàng phải điền trên mẫu phiếu lệnh đối với lệnh yêu cầu chào giá
II. Phiếu lệnh Sửa
Nội dung cơ bản của phiếu lệnh Sửa công cụ nợ bao gồm:
1. Loại lệnh:
+ Thỏa thuận điện tử: Lệnh yêu cầu chào giá và lệnh chào với cam kết chắc chắn
+ Thỏa thuận thông thường: Lệnh báo cáo giao dịch
2. Mua hoặc Bán
3. Tên khách hàng
4. Số Tài khoản
5. Tài khoản đối ứng đối với hình thức giao dịch thỏa thuận thông thường (lệnh gốc/ lệnh sửa) (*)
6. Thông tin đối tác đối với hình thức giao dịch thỏa thuận điện tử (nếu có) (lệnh gốc/ lệnh sửa)
7. Thời điểm giao kết giao dịch (lệnh gốc/ lệnh sửa) (**)
8. Thời điểm ký kết hợp đồng (lệnh gốc/ lệnh sửa) (**)
9. Ngày tháng đặt lệnh
10. Mã công cụ nợ hoặc thông tin chung về công cụ nợ (lệnh gốc/ lệnh sửa)
11. Công cụ nợ tương đương (lệnh gốc/ lệnh sửa) (*)
+ (Các) mã công cụ nợ tương đương
+ Phương pháp xác định hệ số chuyển đổi
+ Ngày tính toán
+ Lợi suất công cụ nợ gốc
+ Lợi suất công cụ nợ tương đương
+ Khối lượng làm tròn
+ Lãi suất phạt
+ Lãi phạt
+ Số tiền phát sinh từ việc làm tròn lô công cụ nợ tương đương
12. Khối lượng giao dịch (lệnh gốc/ lệnh sửa)
13. Giá yết lần 1 (lệnh gốc/ lệnh sửa) (**)
14. Giá yết lần 2 (lệnh gốc/ lệnh sửa) (**)
15. Ngày bắt đầu giao dịch (lệnh gốc/ lệnh sửa)
16. Ngày kết thúc giao dịch (lệnh gốc/ lệnh sửa)
17. Thời gian nhận lệnh
18. Số thứ tự vào lệnh
III. Phiếu lệnh Hủy
Nội dung cơ bản của phiếu lệnh Hủy tương tự phiếu lệnh Mua/Bán
PHỤ LỤC III/TP
NHỮNG NỘI DUNG CƠ BẢN CỦA PHIẾU XÁC NHẬN KẾT QUẢ GIAO DỊCH
(Ban hành kèm theo Quy chế Giao dịch công cụ nợ của Chính phủ, công cụ nợ được Chính phủ bảo lãnh do ngân hàng chính sách phát hành và công cụ nợ chính quyền địa phương)
A. Giao dịch thông thường
Nội dung cơ bản của phiếu xác nhận kết quả giao dịch công cụ nợ bao gồm:
1. Tên khách hàng
2. Số Tài khoản
3. Mã công cụ nợ
4. Mua hoặc Bán
5. Giá yết
6. Giá thực hiện
7. Khối lượng
8. Giá trị giao dịch
9. Ngày bắt đầu giao dịch
10. Ngày thanh toán
B. Giao dịch mua bán lại
1. Nội dung cơ bản của phiếu xác nhận kết quả giao dịch công cụ nợ trong ngày gồm có:
1. Tên khách hàng
2. Số Tài khoản
3. (Các) Mã công cụ nợ
4. Công cụ nợ tương đương
+ (Các) mã công cụ nợ tương đương
+ Phương pháp xác định hệ số chuyển đổi
+ Ngày tính toán
+ Lợi suất công cụ nợ gốc
+ Lợi suất công cụ nợ tương đương
+ Hệ số chuyển đổi
+ Khối lượng làm tròn
+ Lãi suất phạt
+ Lãi phạt
+ Số tiền phát sinh từ việc làm tròn lô công cụ nợ tương đương
+ Giá trị thanh toán lần hai khi sử dụng công cụ nợ tương đương
5. Mua hoặc Bán
6. Giá yết
7. Ngày bắt đầu giao dịch
8. Tỷ lệ phòng vệ rủi ro
9. Giá thực hiện
10. Khối lượng giao dịch hoặc giá trị giao dịch theo mệnh giá
11. Giá trị giao dịch lần một
12. Ngày thanh toán lần một
13. Thời hạn giao dịch mua bán lại
14. Lãi suất giao dịch mua bán lại
15. Ngày kết thúc giao dịch
16. Ngày thanh toán lần hai
17. Lãi mua bán lại
18. Lãi suất trên lãi coupon (nếu có)
19. Lãi trên lãi danh nghĩa (nếu có)
20. Giá trị giao dịch lần hai
II- Nội dung cơ bản của phiếu xác nhận kết quả sửa giao dịch công cụ nợ đã thực hiện gồm có:
1. Tên khách hàng
2. Số Tài khoản
3. Mua hoặc Bán
4. (Các) Mã công cụ nợ
5. (Các) Mã công cụ nợ hoàn trả
+ Mã công cụ nợ hoàn trả
+ Khối lượng
+ Lãi suất phạt
+ Lãi phạt
+ Số tiền phát sinh từ việc làm tròn lô công cụ nợ tương đương
+ Giá trị thanh toán lần hai khi sử dụng công cụ nợ tương đương
6. Công cụ nợ tương đương
+ (Các) mã công cụ nợ tương đương
+ Phương pháp xác định hệ số chuyển đổi
+ Ngày tính toán
+ Lợi suất công cụ nợ gốc
+ Lợi suất công cụ nợ tương đương
+ Hệ số chuyển đổi
+ Khối lượng làm tròn
+ Lãi suất phạt
+ Lãi phạt
+ Số tiền phát sinh từ việc làm tròn lô công cụ nợ tương đương
+ Giá trị thanh toán lần hai khi sử dụng công cụ nợ tương đương
7. Giá yết
8. Giá thực hiện
9. Tỷ lệ phòng vệ rủi ro
10. Khối lượng giao dịch hoặc giá trị giao dịch theo mệnh giá (Giao dịch gốc)
11. Giá trị giao dịch lần một
12. Ngày thanh toán lần một
13. Ngày sửa giao dịch
14. Thời hạn giao dịch mua bán lại
- Giao dịch gốc
- Giao dịch sửa
15. Lãi suất giao dịch mua bán lại
- Giao dịch gốc
- Giao dịch sửa
16. Ngày kết thúc giao dịch
- Giao dịch gốc
- Giao dịch sửa
17. Giá trị giao dịch tại thời điểm sửa
18. Ngày thanh toán lần hai
- Giao dịch gốc
- Giao dịch sửa
19. Lãi mua bán lại
- Giao dịch gốc
- Giao dịch sửa
20. Lãi suất trên lãi danh nghĩa (nếu có)
- Giao dịch gốc
- Giao dịch sửa
21. Lãi trên lãi danh nghĩa (nếu có)
- Giao dịch gốc
- Giao dịch sửa
22. Giá trị giao dịch lần hai
- Giao dịch gốc
- Giao dịch sửa
Lưu ý:
- Với giao dịch mua bán lại được sửa đổi kỳ hạn nhiều lần: thông tin về giao dịch sửa sẽ bao gồm chi tiết lần sửa mới nhất và giao dịch gốc.
- Các thông tin yêu cầu là thông tin tối thiểu phải có trên các phiếu lệnh, phiếu kết quả
- Thông tin (*) chỉ có trong trường hợp các bên thống nhất thanh toán bằng công cụ nợ tương đương tại ngày kết thúc giao dịch
C. Giao dịch vay và cho vay
I. Nội dung cơ bản của phiếu xác nhận kết quả giao dịch công cụ nợ trong ngày gồm có:
1. Tên khách hàng
2. Số Tài khoản
3. Vay hoặc Cho vay
4. Mã công cụ nợ
5. Công cụ nợ tương đương
+ (Các) mã công cụ nợ tương đương
+ Phương pháp xác định hệ số chuyển đổi
+ Ngày tính toán
+ Lợi suất công cụ nợ gốc
+ Lợi suất công cụ nợ tương đương
+ Hệ số chuyển đổi
+ Khối lượng làm tròn
+ Lãi suất phạt
+ Lãi phạt
+ Số tiền phát sinh từ việc làm tròn lô công cụ nợ tương đương
+ Giá trị giao dịch hoàn trả khi sử dụng công cụ nợ tương đương
6. Ngày bắt đầu giao dịch
7. Khối lượng giao dịch
8. Giá yết
9. Giá thực hiện
10. Giá trị công cụ nợ vay
11. Tỷ lệ tài sản đảm bảo trên giá trị vay
12. Giá trị tài sản đảm bảo
13. Ngày thanh toán lần một
14. Thời hạn vay
15. Lãi suất vay
16. Ngày kết thúc giao dịch
17. Ngày thanh toán lần hai
18. Lãi vay công cụ nợ
19. Nhận lãi danh nghĩa
20. Lãi suất trên lãi danh nghĩa (nếu có)
21. Lãi suất trên tài sản đảm bảo
22. Lãi trên lãi danh nghĩa (nếu có)
23. Lãi trên tài sản đảm bảo
24. Giá trị hoàn trả tài sản đảm bảo
II- Nội dung cơ bản của phiếu xác nhận kết quả sửa giao dịch công cụ nợ đã thực hiện gồm có
1. Tên khách hàng
2. Số Tài khoản
3. Vay hoặc Cho vay
4. Ngày sửa giao dịch
5. Mã công cụ nợ
6. Mã công cụ nợ hoàn trả (*)
+ Mã công cụ nợ hoàn trả
+ Khối lượng
+ Lãi suất phạt
+ Lãi phạt
+ Số tiền phát sinh từ việc làm tròn lô công cụ nợ tương đương
+ Giá trị giao dịch hoàn trả khi sử dụng công cụ nợ tương đương
7. Công cụ nợ tương đương
+ (Các) mã công cụ nợ tương đương
+ Phương pháp xác định hệ số chuyển đổi
+ Ngày tính toán
+ Lợi suất công cụ nợ gốc
+ Lợi suất công cụ nợ tương đương
+ Hệ số chuyển đổi
+ Khối lượng làm tròn
+ Lãi suất phạt
+ Lãi phạt
+ Số tiền phát sinh từ việc làm tròn lô công cụ nợ tương đương
+ Giá trị thanh toán lần hai khi sử dụng công cụ nợ tương đương
8. Ngày bắt đầu giao dịch
9. Khối lượng giao dịch
10. Giá yết
11. Giá thực hiện
12. Giá trị công cụ nợ vay
13. Tỷ lệ tài sản đảm bảo trên giá trị vay
14. Giá trị tài sản đảm bảo
15. Giá trị tài sản đảm bảo tại thời điểm sửa
16. Ngày thanh toán lần một
17. Thời hạn vay
- Giao dịch gốc
- Giao dịch sửa
18. Lãi suất vay
- Giao dịch gốc
- Giao dịch sửa
19. Ngày kết thúc giao dịch
- Giao dịch gốc
- Giao dịch sửa
20. Ngày thanh toán lần hai
- Giao dịch gốc
- Giao dịch sửa
21. Lãi vay công cụ nợ tại thời điểm sửa
22. Lãi vay công cụ nợ
- Giao dịch gốc
- Giao dịch sửa
23. Nhận lãi danh nghĩa
- Giao dịch gốc
- Giao dịch sửa
24. Lãi suất trên lãi danh nghĩa (nếu có)
- Giao dịch gốc
- Giao dịch sửa
25. Lãi trên lãi danh nghĩa (nếu có)
- Giao dịch gốc
- Giao dịch sửa
26. Lãi suất trên tài sản đảm bảo
- Giao dịch gốc
- Giao dịch sửa
27. Lãi trên tài sản đảm bảo
- Giao dịch gốc
- Giao dịch sửa
28. Giá trị hoàn trả tài sản đảm bảo
- Giao dịch gốc
- Giao dịch sửa
Lưu ý:
- Với giao dịch vay công cụ nợ được sửa đổi kỳ hạn nhiều lần: thông tin về giao dịch sửa sẽ bao gồm chi tiết lần sửa mới nhất và giao dịch gốc.
- Các thông tin yêu cầu là thông tin tối thiểu phải có trên các phiếu lệnh, phiếu kết quả
- Thông tin (*) chỉ có trong trường hợp các bên thống nhất thanh toán bằng công cụ nợ tương đương tại ngày kết thúc giao dịch
D. Giao dịch bán kết hợp mua lại
I. Nội dung cơ bản của phiếu xác nhận kết quả giao dịch công cụ nợ trong ngày gồm có:
1 .Tên khách hàng
2. Số Tài khoản
3. Mua hoặc Bán
4. Ngày bắt đầu giao dịch
5. Mã công cụ nợ
6. Công cụ nợ tương đương
+ (Các) mã công cụ nợ tương đương
+ Phương pháp xác định hệ số chuyển đổi
+ Ngày tính toán
+ Lợi suất công cụ nợ gốc
+ Lợi suất công cụ nợ tương đương
+ Hệ số chuyển đổi
+ Khối lượng làm tròn
+ Lãi suất phạt
+ Lãi phạt
+ Số tiền phát sinh từ việc làm tròn lô công cụ nợ tương đương
+ Giá trị thanh toán lần hai khi sử dụng công cụ nợ tương đương
7. Khối lượng giao dịch
8. Giá yết lần 1
9. Giá yết lần 2
10. Giá thực hiện lần 1
11. Giá thực hiện lần 2
12. Ngày bắt đầu giao dịch
13. Ngày kết thúc giao dịch
14. Giá trị thanh toán lần 1
15. Giá trị thanh toán lần 2
II. Nội dung cơ bản của phiếu xác nhận kết quả sửa giao dịch công cụ nợ đã thực hiện gồm có
1. Tên khách hàng
2. Số Tài khoản
3. Mua hoặc Bán
4 Ngày bắt đầu giao dịch
5. Mã công cụ nợ
6. Mã công cụ nợ hoàn trả (*)
+ Mã công cụ nợ hoàn trả
+ Khối lượng
+ Lãi suất phạt
+ Lãi phạt
+ Số tiền phát sinh từ việc làm tròn lô công cụ nợ tương đương
+ Giá trị thanh toán lần hai khi sử dụng công cụ nợ tương đương
7. Công cụ nợ tương đương
+ (Các) mã công cụ nợ tương đương
+ Phương pháp xác định hệ số chuyển đổi
+ Hệ số chuyển đổi
+ Khối lượng làm tròn
+ Lãi suất phạt
+ Lãi phạt
+ Số tiền phát sinh từ việc làm tròn lô công cụ nợ tương đương
+ Giá trị thanh toán lần hai khi sử dụng công cụ nợ tương đương
8. Khối lượng giao dịch
9. Giá yết lần 1
10. Giá yết lần 2
- Giao dịch gốc
- Giao dịch sửa
11. Giá thực hiện lần 1
12. Giá thực hiện lần 2
- Giao dịch gốc
- Giao dịch sửa
13. Ngày bắt đầu giao dịch
14. Ngày kết thúc giao dịch
- Giao dịch gốc
- Giao dịch sửa
15. Giá trị thanh toán lần 1
16. Giá trị thanh toán lần 2
- Giao dịch gốc
- Giao dịch sửa
Lưu ý:
- (*) Thông tin chỉ có trong trường hợp các bên thống nhất thanh toán bằng công cụ nợ tương đương tại ngày kết thúc giao dịch
PHỤ LỤC IV/TP
MẪU GIẤY ỦY QUYỀN THỰC HIỆN PHÊ DUYỆT BÁO CÁO HOẠT ĐỘNG KINH DOANH CÔNG CỤ NỢ
(Ban hành kèm theo Quy chế Giao dịch công cụ nợ của Chính phủ, công cụ nợ được Chính phủ bảo lãnh do ngân hàng chính sách phát hành và công cụ nợ chính quyền địa phương)
|
Tên thành viên |
CỘNG HÒA XÃ HỘI CHỦ NGHĨA VIỆT NAM |
|
|
………., ngày ... tháng ... năm ..…... |
GIẤY ỦY QUYỀN
THỰC HIỆN PHÊ DUYỆT BÁO CÁO HOẠT ĐỘNG KINH DOANH CÔNG CỤ NỢ
|
Kính gửi: |
- Ủy ban Chứng khoán Nhà nước |
I/ Bên ủy quyền (Bên A):
- Ông (Bà): ...........................................................................................................................
- Số CMTND (hoặc số hộ chiếu): ................ Ngày cấp ........... Nơi cấp ..............................
- Địa chỉ thường trú: ............................................................................................................
- Chức vụ tại đơn vị: .........................................................................................................
II/ Bên được ủy quyền (Bên B):
- Ông (Bà): ...........................................................................................................................
- Số CMTND (hoặc số hộ chiếu): ................ Ngày cấp ........... Nơi cấp ..............................
- Địa chỉ thường trú: ............................................................................................................
- Chức vụ tại đơn vị: .........................................................................................................
III/ Nội dung ủy quyền:
- Bên A ủy quyền cho Bên B làm “Người thực hiện phê duyệt báo cáo hoạt động kinh doanh công cụ nợ” của ........................................................ (Tên thành viên).
- Bên B có trách nhiệm thay mặt bên A thực hiện nghĩa vụ phê duyệt báo cáo hoạt động kinh doanh công cụ nợ trên hệ thống của Sở giao dịch Chứng khoán Hà Nội đầy đủ, chính xác và kịp thời theo quy định pháp luật.
Giấy ủy quyền này có hiệu lực kể từ ngày ................. và cho đến khi có thông báo hủy bỏ bằng văn bản của ........................................................ (Tên thành viên).
|
BÊN A |
BÊN B |
Tài liệu đính kèm:
- Sơ yếu lý lịch của người được ủy quyền phê duyệt báo cáo hoạt động kinh doanh công cụ nợ
PHỤ LỤC V/TP
MẪU GIẤY ỦY QUYỀN THỰC HIỆN CÔNG BỐ THÔNG TIN
(Ban hành kèm theo Quy chế Giao dịch công cụ nợ của Chính phủ, công cụ nợ được Chính phủ bảo lãnh do ngân hàng chính sách phát hành và công cụ nợ chính quyền địa phương)
|
Tên ngân hàng |
CỘNG HÒA XÃ HỘI CHỦ NGHĨA VIỆT NAM |
GIẤY ỦY QUYỀN
THỰC HIỆN CÔNG BỐ THÔNG TIN
|
Kính gửi: |
- Ủy ban Chứng khoán Nhà nước |
Tên giao dịch của ngân hàng/Chi nhánh Ngân hàng Thương mại: ...................................
Địa chỉ liên lạc: .........................................................................................................
Điện thoại: ...................................Fax: ......................................................................
Email: ......................................................................Website: ...................................
(Tên nhân viên)
Sau đây chứng nhận: Ông (Bà) ...................................
Số CMTND (hoặc số hộ chiếu): ........................... Ngày cấp: .............. Nơi cấp: ...................
Địa chỉ thường trú: .........................................................................................................
Chức vụ tại ngân hàng: ...................................................................................................
(Tên ngân hàng/Chi nhánh Ngân hàng Thương mại)
Là người được: ................................... ủy quyền làm “Người công bố thông tin” của .................... (Tên ngân hàng/Chi nhánh Ngân hàng Thương mại)
Giấy ủy quyền này có hiệu lực kể từ ngày.............. và cho đến khi có thông báo hủy bỏ bằng văn bản của ................................... (Tên ngân hàng/Chi nhánh Ngân hàng Thương mại)
|
|
………., ngày ... tháng ... năm ..…... |
Tài liệu đính kèm:
- Sơ yếu lý lịch của người được ủy quyền công bố thông tin
- Danh sách người có liên quan với người được ủy quyền công bố thông tin
PHỤ LỤC VI/TP
MẪU ĐƠN ĐĂNG KÝ ĐẠI DIỆN GIAO DỊCH CÔNG CỤ NỢ
(Ban hành kèm theo Quy chế Giao dịch công cụ nợ của Chính phủ, công cụ nợ được Chính phủ bảo lãnh do ngân hàng chính sách phát hành và công cụ nợ chính quyền địa phương)
1. ĐỐI VỚI CÔNG TY CHỨNG KHOÁN, NGÂN HÀNG THƯƠNG MẠI
|
Tên CTCK/NHTM |
CỘNG HÒA XÃ HỘI CHỦ NGHĨA VIỆT NAM |
|
|
………., ngày ... tháng ... năm ..…... |
ĐƠN ĐĂNG KÝ ĐẠI DIỆN GIAO DỊCH CÔNG CỤ NỢ
Kính gửi: Sở Giao dịch Chứng khoán Hà Nội
Chúng tôi, Công ty chứng khoán/Ngân hàng/Chi nhánh ngân hàng:
Tên giao dịch của công ty: ................................................................
Địa chỉ: ............................................................................................................................
được thành lập theo Giấy phép thành lập và hoạt động số …, ngày ... do ... cấp, đăng ký những nhân viên có tên dưới đây là đại diện giao dịch công cụ nợ tại Sở Giao dịch Chứng khoán Hà Nội. Chúng tôi cam kết chịu trách nhiệm về hoạt động của những nhân viên này trong thời gian là đại diện giao dịch:
1. Họ tên Giới tính:
Sinh ngày
Số CMTND (hoặc số hộ chiếu): ................... Ngày cấp: ........... Nơi cấp: .................................
Chứng chỉ hành nghề kinh doanh chứng khoán số (đối với CTCK):
2. Họ tên: Giới tính:
Sinh ngày
Số CMTND (hoặc số hộ chiếu): ................... Ngày cấp: ........... Nơi cấp: .................................
Chứng chỉ hành nghề kinh doanh chứng khoán số (đối với CTCK):
3....
|
|
(Tổng) Giám đốc |
2. ĐỐI VỚI KHO BẠC NHÀ NƯỚC
|
KHO BẠC NHÀ NƯỚC |
CỘNG HÒA XÃ HỘI CHỦ NGHĨA VIỆT NAM |
|
|
………., ngày ... tháng ... năm ..…... |
ĐƠN ĐĂNG KÝ ĐẠI DIỆN GIAO DỊCH CÔNG CỤ NỢ
Kính gửi: Sở Giao dịch Chứng khoán Hà Nội
Chúng tôi, Kho bạc Nhà nước:
Địa chỉ: ........................................................................................
đăng ký những nhân viên có tên dưới đây là đại diện giao dịch công cụ nợ tại Sở Giao dịch Chứng khoán Hà Nội. Chúng tôi cam kết chịu trách nhiệm về hoạt động của những nhân viên này trong thời gian là đại diện giao dịch:
1. Họ tên: Giới tính:
Sinh ngày
Số CMTND (hoặc số hộ chiếu): ................... Ngày cấp: ........... Nơi cấp: .................................
2. Họ tên: Giới tính:
Sinh ngày
Số CMTND (hoặc số hộ chiếu): ................... Ngày cấp: ........... Nơi cấp: .................................
3 ……
|
|
(Tổng) Giám đốc |
PHỤ LỤC VII/TP
MẪU ĐƠN ĐĂNG KÝ THÔNG TIN CA
(Ban hành kèm theo Quy chế Giao dịch công cụ nợ của Chính phủ, công cụ nợ được Chính phủ bảo lãnh do ngân hàng chính sách phát hành và công cụ nợ chính quyền địa phương)
|
Tên CTCK/NHTM/KBNN |
CỘNG HÒA XÃ HỘI CHỦ NGHĨA VIỆT NAM |
|
|
………., ngày ... tháng ... năm ..…... |
ĐƠN ĐĂNG KÝ THÔNG TIN CA SỬ DỤNG CHO HỆ THỐNG GIAO DỊCH CÔNG CỤ NỢ - KẾT NỐI INTERNET
(HỆ THỐNG E-BTS)
Kính gửi: Sở Giao dịch Chứng khoán Hà Nội
Chúng tôi, Công ty chứng khoán/Ngân hàng/Chi nhánh ngân hàng:
Tên giao dịch của Công ty: .........................................................................................
Địa chỉ: ..........................................................................................................
được thành lập theo Giấy phép thành lập và hoạt động số …, ngày ... do ... cấp, đăng ký thông tin người sử dụng CA cho hệ thống E-BTS như sau:
|
Người sử dụng hệ thống |
Gói dịch vụ |
Số seri (Serial Number) |
Tên đăng ký thuê bao (Subcriber Name) |
Thông tin định danh (Subject) |
Nhà cung cấp (Issuer) |
Hiệu lực |
Khóa công khai (Public Key) |
|
|
Từ ngày (Valid from) |
Đến ngày (Valid to) |
|||||||
|
|
|
|
|
|
|
|
|
|
Chúng tôi xin cam kết chịu hoàn toàn trách nhiệm trước pháp luật về tính xác thực của các thông tin trên đây và nghiêm chỉnh chấp hành các điều khoản quy định, qui trình về việc sử dụng Hệ thống E-BTS do Sở GDCK Hà Nội đã ban hành.
Chúng tôi xin chịu mọi hình thức kỷ luật nếu vi phạm các cam kết và các quy định của Sở GDCK Hà Nội trong việc sử dụng Hệ thống E-BTS.
|
|
(Tổng) Giám đốc |
PHỤ LỤC VIII/TP
MẪU ĐƠN ĐỀ NGHỊ CHẤM DỨT TƯ CÁCH ĐẠI DIỆN GIAO DỊCH CÔNG CỤ NỢ
(Ban hành kèm theo Quy chế Giao dịch công cụ nợ của Chính phủ, công cụ nợ được Chính phủ bảo lãnh do ngân hàng chính sách phát hành và công cụ nợ chính quyền địa phương)
1. ĐỐI VỚI CÔNG TY CHỨNG KHOÁN, NGÂN HÀNG THƯƠNG MẠI
|
Tên CTCK/NHTM |
CỘNG HÒA XÃ HỘI CHỦ NGHĨA VIỆT NAM |
|
|
………., ngày ... tháng ... năm ..…... |
ĐƠN ĐỀ NGHỊ
CHẤM DỨT TƯ CÁCH ĐẠI DIỆN GIAO DỊCH CÔNG CỤ NỢ
Kính gửi: Sở Giao dịch Chứng khoán Hà Nội
Chúng tôi, Công ty chứng khoán/Ngân hàng/Chi nhánh ngân hàng:
Tên giao dịch của công ty: .........................................................................
Địa chỉ: ........................................................................................................
được thành lập theo Giấy phép thành lập và hoạt động số …, ngày ... do ... cấp, làm thành viên giao dịch công cụ nợ của Sở Giao dịch Chứng khoán Hà Nội theo Quyết định số ... do Tổng Giám đốc SGDCKHN cấp ngày ..., đề nghị SGDCKHN chấm dứt tư cách đại diện giao dịch công cụ nợ của những nhân viên có tên dưới đây:
1. Họ tên
- Mã đại diện giao dịch
- Số quyết định công nhận ĐDGD
- Ngày quyết định
- Lý do:
2. Họ tên
- Mã đại diện giao dịch
- Số quyết định công nhận ĐDGD
- Ngày quyết định
- Lý do:
3....
|
|
(Tổng) Giám đốc |
2. ĐỐI VỚI KHO BẠC NHÀ NƯỚC
|
KHO BẠC NHÀ NƯỚC |
CỘNG HÒA XÃ HỘI CHỦ NGHĨA VIỆT NAM |
|
|
………., ngày ... tháng ... năm ..…... |
ĐƠN ĐỀ NGHỊ
CHẤM DỨT TƯ CÁCH ĐẠI DIỆN GIAO DỊCH CÔNG CỤ NỢ
Kính gửi: Sở Giao dịch Chứng khoán Hà Nội
Chúng tôi, Kho bạc Nhà nước:
Địa chỉ: ...........................................................................................................
đề nghị SGDCKHN chấm dứt tư cách đại diện giao dịch công cụ nợ của những nhân viên có tên dưới đây:
1. Họ tên
- Mã đại diện giao dịch
- Số quyết định công nhận ĐDGD
- Ngày quyết định
- Lý do:
2. Họ tên
- Mã đại diện giao dịch
- Số quyết định công nhận ĐDGD
- Ngày quyết định
- Lý do:
3....
|
|
(Tổng) Giám đốc |
PHỤ LỤC IX/TP
BẢNG KỲ HẠN CÒN LẠI CỦA CÔNG CỤ NỢ
(Ban hành kèm theo Quy chế Giao dịch công cụ nợ của Chính phủ, công cụ nợ được Chính phủ bảo lãnh do ngân hàng chính sách phát hành và công cụ nợ chính quyền địa phương)
|
STT |
Tên kỳ hạn |
Từ ngày |
Đến ngày |
|
1 |
3 tháng |
1 |
91 |
|
2 |
6 tháng |
92 |
182 |
|
3 |
9 tháng |
183 |
273 |
|
4 |
1 năm |
274 |
547 |
|
5 |
2 năm |
548 |
912 |
|
6 |
3 năm |
913 |
1.277 |
|
7 |
5 năm |
1.643 |
2.007 |
|
8 |
7 năm |
2.373 |
2.740 |
|
9 |
10 năm |
3.288 |
4.015 |
|
10 |
15 năm |
5.120 |
5.840 |
|
11 |
20 năm |
6.946 |
7.665 |
|
12 |
30 năm |
10.593 |
11.315 |
|
13 |
50 năm |
17.885 |
18.615 |
PHỤ LỤC X/TP
MẪU ĐƠN ĐỀ NGHỊ CHẤM DỨT TƯ CÁCH THÀNH VIÊN GIAO DỊCH CÔNG CỤ NỢ
(Ban hành kèm theo Quy chế Giao dịch công cụ nợ của Chính phủ, công cụ nợ được Chính phủ bảo lãnh do ngân hàng chính sách phát hành và công cụ nợ chính quyền địa phương)
1. ĐỐI VỚI CÔNG TY CHỨNG KHOÁN, NGÂN HÀNG THƯƠNG MẠI
CỘNG HÒA XÃ HỘI CHỦ NGHĨA VIỆT NAM
Độc lập - Tự do - Hạnh phúc
---------------
………., ngày ... tháng ... năm ..…...
ĐƠN ĐỀ NGHỊ
CHẤM DỨT TƯ CÁCH THÀNH VIÊN GIAO DỊCH CÔNG CỤ NỢ
Kính gửi: Sở Giao dịch Chứng khoán Hà Nội
1. Tên Thành viên …………………………………………………………............................
2. Tên viết tắt: ………………………………………................................................................
3. Mã thành viên ……………………………………................................................................
4. Trụ sở chính: ……………………………………................................................................
5. Điện thoại: …………………........................... Fax …………………...........................
6. Giấy phép thành lập và hoạt động số ..... ngày ................ do ............... cấp
7. Quyết định công nhận thành viên giao dịch công cụ nợ số ......... ngày .... tháng .... năm ......... do Sở Giao dịch Chứng khoán Hà Nội cấp.
Đề nghị được chấm dứt tư cách thành viên giao dịch công cụ nợ của Sở Giao dịch Chứng khoán Hà Nội kể từ ngày .....................................
Lý do xin chấm dứt tư cách thành viên: .................................................................
Chúng tôi đề nghị ngừng hoạt động giao dịch kể từ ngày ............... để hoàn tất thủ tục chấm dứt tư cách thành viên giao dịch công cụ nợ.
Chúng tôi cam kết hoàn tất các thủ tục theo quy định của pháp luật trước khi được Sở Giao dịch Chứng khoán Hà Nội chấp thuận chấm dứt tư cách thành viên và chịu trách nhiệm trước pháp luật về nội dung trong đơn và các tài liệu kèm theo.
|
|
Người đại diện theo pháp luật |
2. ĐỐI VỚI KHO BẠC NHÀ NƯỚC
CỘNG HÒA XÃ HỘI CHỦ NGHĨA VIỆT NAM
Độc lập - Tự do - Hạnh phúc
______________________
………., ngày ... tháng ... năm ..…...
ĐƠN ĐỀ NGHỊ
CHẤM DỨT THAM GIA GIAO DỊCH CÔNG CỤ NỢ
Kính gửi: Sở Giao dịch Chứng khoán Hà Nội
1. Kho bạc Nhà nước
2. Trụ sở chính: .....................................................................................................................
3. Điện thoại: ...................................................Fax ...................................................
4. Quyết định chấp thuận đăng ký giao dịch công cụ nợ số ..... ngày ..... tháng ..... năm ........... do Sở Giao dịch Chứng khoán Hà Nội cấp.
Đề nghị được chấm dứt tham gia giao dịch công cụ nợ tại Sở Giao dịch Chứng khoán Hà Nội.
Lý do xin chấm dứt: .....................................................................
Chúng tôi cam kết hoàn tất các thủ tục theo quy định của pháp luật trước khi được Sở Giao dịch Chứng khoán Hà Nội chấp thuận chấm dứt tham gia giao dịch công cụ nợ và chịu trách nhiệm trước pháp luật về nội dung trong đơn và các tài liệu kèm theo.
|
|
Người đại diện theo pháp luật |
PHỤ LỤC XI/TP
NGUYÊN TẮC LÀM TRÒN SỐ TRÊN HỆ THỐNG GIAO DỊCH CÔNG CỤ NỢ
(Ban hành kèm theo Quy chế Giao dịch công cụ nợ của Chính phủ, công cụ nợ được Chính phủ bảo lãnh do ngân hàng chính sách phát hành và công cụ nợ chính quyền địa phương)
1. Nguyên tắc làm tròn số trên hệ thống giao dịch công cụ nợ
- Hệ thống không làm tròn số tại các bước tính toán trung gian, chỉ làm tròn số tại bước tính kết quả cuối cùng.
- Đối với kết quả của các bước tính trung gian, khi hiển thị trên màn hình hệ thống (form lệnh, số lệnh, báo cáo,...) hoặc trong các phụ lục tính giá của Quy chế này, hệ thống hiển thị số làm tròn cho dễ theo dõi.
2. Giao dịch mua bán thông thường
2.1. Các giá trị không làm tròn số khi tính toán
- Lãi danh nghĩa tích gộp
- Giá gộp lãi
2.2. Các giá trị được làm tròn
- Giá thực hiện: Làm tròn đến 01 đồng
3. Giao dịch mua bán lại
3.1. Các giá trị không làm tròn số khi tính toán
- Lãi danh nghĩa tích gộp
- Giá gộp lãi
- Lãi mua bán lại
- Lãi trên lãi danh nghĩa (nếu có)
- Lãi phạt khi sử dụng công cụ nợ tương đương (nếu có)
- Số tiền phát sinh do làm tròn lô công cụ nợ tương đương (nếu có)
3.2. Các giá trị được làm tròn
- Giá thực hiện: Làm tròn đến 01 đồng
- Giá trị thanh toán lần 2: Làm tròn đến 01 đồng
4. Giao dịch vay công cụ nợ
4.1. Các giá trị không làm tròn số khi tính toán
- Lãi danh nghĩa tích gộp
- Giá gộp lãi của công cụ nợ vay
- Lãi vay công cụ nợ
- Lãi trên lãi danh nghĩa (nếu có)
- Lãi trên tài sản đảm bảo (nếu có)
- Lãi phạt khi sử dụng công cụ nợ tương đương (nếu có)
- Số tiền phát sinh do làm tròn lô công cụ nợ tương đương (nếu có)
4.2. Các giá trị được làm tròn
- Giá thực hiện của công cụ nợ vay: Làm tròn đến 01 đồng
- Giá trị tài sản đảm bảo: Làm tròn đến 01 đồng
- Giá trị hoàn trả tài sản đảm bảo: Làm tròn đến 01 đồng
5. Giao dịch bán kết hợp mua lại
5.1. Các giá trị không làm tròn số khi tính toán
- Lãi danh nghĩa tích gộp
- Giá gộp lãi
- Lãi phạt khi sử dụng công cụ nợ tương đương (nếu có)
- Số tiền phát sinh do làm tròn lô công cụ nợ tương đương (nếu có)
5.2. Các giá trị được làm tròn
- Giá thực hiện lần 1: Làm tròn đến 01 đồng
- Giá thực hiện lần 2: Làm tròn đến 01 đồng
- Giá trị giao dịch lần 2: Làm tròn đến 01 đồng
6. Công cụ nợ tương đương
6.1. Các giá trị không làm tròn số khi tính toán
- Lãi danh nghĩa tích gộp của công cụ nợ gốc và công cụ nợ tương đương
- Lãi danh nghĩa tích gộp của tương đương
- Giá gộp lãi của công cụ nợ gốc
- Giá gộp lãi của công cụ nợ tương đương
- Lãi phạt khi sử dụng công cụ nợ tương đương
- Số tiền phát sinh do làm tròn lô công cụ nợ tương đương
6.2. Các giá trị được làm tròn
- Hệ số chuyển đổi: Làm tròn sau dấu phẩy 6 số
- Khối lượng công cụ nợ tương đương: Làm tròn đến 1 công cụ nợ
PHỤ LỤC XII/TP
GIAO DỊCH MUA BÁN THÔNG THƯỜNG
(Ban hành kèm theo Quy chế Giao dịch công cụ nợ của Chính phủ, công cụ nợ được Chính phủ bảo lãnh do ngân hàng chính sách phát hành và công cụ nợ chính quyền địa phương)
I. Công cụ nợ trả lãi sau
1. Giao dịch hưởng quyền
1.1. Công cụ nợ thanh toán lãi định kỳ và có các kỳ trả lãi bằng nhau
Thông tin công cụ nợ giao dịch: TD1525278.
Công cụ nợ TD1525278 có kỳ hạn 10 năm, phát hành ngày 31/01/2015, đáo hạn ngày 31/01/2025. Mệnh giá 100.000 đồng.
Trả lãi cuối kỳ vào ngày 31/01 hàng năm (1 lần/năm, k=1), lãi suất danh nghĩa Lc=6,5%.
Thông tin trả lãi công cụ nợ TD1525278 năm 2017:
Ngày trả lãi danh nghĩa năm 2017: 31/01/2017.
Ngày thực thanh toán lãi công cụ nợ năm 2017: 03/02/2017.
Ngày đăng ký cuối cùng cho việc trả lãi công cụ nợ năm 2017: 23/01/2017.
Thông tin giao dịch:
Ngày giao dịch: 04/10/2016.
Thời hạn thanh toán T+1.
Ngày thanh toán: 05/10/2016.
Giá yết G = 102.000 đồng.
Khối lượng giao dịch 10.000 công cụ nợ.
Thông tin tính toán:
- Số ngày thực tế của Kỳ trả lãi công cụ nợ hiện tại (Từ ngày 31/01/2016 đến 31/01/2017): E=366.
- Số ngày thực tế từ ngày thanh toán (05/10/2016) đến ngày trả lãi công cụ nợ tiếp theo (31/01/2017): Dn= 118.
- Lãi danh nghĩa tích gộp:

- Giá gộp lãi:
GG = G + Cc = 102.000 + 4.404 =106.404 đồng (*)
- Giá thực hiện:
GM = GG= 106.404 đồng
- Giá trị giao dịch:
V = GM x KL = 106.404 x 10.000 = 1.064.040.000 đồng
Lưu ý: (*) thể hiện kết quả các bước trung gian hiển thị số làm tròn để dễ theo dõi.
1.2. Công cụ nợ thanh toán lãi định kỳ và có kỳ trả lãi đầu tiên ngắn hơn so với các kỳ trả lãi còn lại
Thông tin công cụ nợ giao dịch CP1626111
Công cụ nợ CP1626111 có kỳ hạn 10 năm, phát hành ngày 01/06/2016, đáo hạn ngày 01/04/2026. Mệnh giá 100.000 đồng.
Trả lãi định kỳ cuối kỳ (1 lần/năm, k=1), lãi suất danh nghĩa Lc=7,5%.
Thông tin trả lãi công cụ nợ CP1626111 năm 2017:
Ngày trả lãi danh nghĩa năm 2017: 01/04/2017.
Ngày thực thanh toán lãi công cụ nợ năm 2017: 01/04/2017.
Ngày đăng ký cuối cùng cho việc trả lãi công cụ nợ năm 2017: 28/03/2017.
Thông tin giao dịch
Ngày giao dịch: 04/10/2016.
Thời hạn thanh toán T+1.
Ngày thanh toán: 05/10/2016.
Giá yết G = 101.000 đồng.
Khối lượng giao dịch 10.000 công cụ nợ.
Thông tin tính toán:
- Số ngày thực tế từ ngày phát hành công cụ nợ lần đầu đến ngày trả lãi danh nghĩa tiếp theo gần nhất (Từ ngày 01/06/2016 đến 01/04/2017): D1= 304.
- Số ngày trong kỳ trả lãi thông thường theo giả định có ngày thanh toán giao dịch diễn ra (Từ ngày 01/04/2016 đến 01/04/2017): E2 = 365.
- Số ngày thực tế từ ngày thanh toán (05/10/2016) đến ngày trả lãi danh nghĩa tiếp theo (01/04/2017): Dn= 178.
- Lãi danh nghĩa tích gộp:

- Giá gộp lãi:
GG = G + Cc = 101.000 + 2.589 = 103.589 đồng (*)
- Giá thực hiện:
GM = GG = 103.589 đồng
- Giá trị giao dịch:
V = GM x KL = 103.589 x 10.000= 1.035.890.000 đồng
Lưu ý: (*) thể hiện kết quả các bước trung gian hiển thị số làm tròn để dễ theo dõi.
1.3. Công cụ nợ thanh toán lãi định kỳ và có kỳ trả lãi đầu tiên dài hơn so với các kỳ trả lãi còn lại
Thông tin công cụ nợ giao dịch TD1621473
Công cụ nợ TD1621473 có kỳ hạn 5 năm, phát hành ngày 25/05/2016, đáo hạn ngày 04/07/2021. Mệnh giá 100.000 đồng.
Trả lãi định kỳ cuối kỳ (1 lần/năm, k=1), lãi suất danh nghĩa Lc = 6,1%.
Thông tin trả lãi công cụ nợ TD1621473 năm 2017:
Ngày trả lãi danh nghĩa năm 2017: 04/07/2017.
Ngày thực thanh toán lãi công cụ nợ năm 2017: 04/07/2017.
Ngày đăng ký cuối cùng cho việc trả lãi công cụ nợ năm 2017: 28/06/2017.
a) Ngày thanh toán diễn ra trước ngày trả lãi danh nghĩa thông thường theo giả định của kỳ trả lãi đầu tiên
Thông tin giao dịch
Ngày giao dịch: 09/06/2016.
Thời hạn thanh toán T+1.
Ngày thanh toán: 10/06/2016.
Giá yết G = 99.500 đồng.
Khối lượng giao dịch 10.000 công cụ nợ.
Thông tin tính toán:
- Số ngày từ ngày phát hành công cụ nợ lần đầu đến ngày trả lãi danh nghĩa thông thường theo giả định tiếp theo gần nhất (Từ ngày 25/05/2016 đến 04/07/2016): D2= 40.
- Số ngày trong kỳ trả lãi công cụ nợ thông thường theo giả định có ngày phát hành công cụ nợ lần đầu diễn ra. (Từ ngày 04/07/2015 đến 04/07/2016): E1 = 366
- Số ngày từ ngày thanh toán của giao dịch (10/6/2016) đến ngày trả lãi danh nghĩa thông thường theo giả định tiếp theo gần nhất (04/07/2016): Dn’ = 24.
- Lãi danh nghĩa tích gộp:

- Giá gộp lãi:
GG = G + Cc = 99.500 + 267 = 99.767 đồng (*)
- Giá thực hiện:
GM = GG = 99.767 đồng;
- Giá trị giao dịch:
V = GM x KL = 99.767 x 10.000 = 997.670.000 đồng
b) Ngày thanh toán diễn ra sau ngày trả lãi danh nghĩa thông thường theo giả định của kỳ trả lãi đầu tiên
Thông tin giao dịch
Ngày giao dịch: 02/08/2016.
Thời hạn thanh toán T+1.
Ngày thanh toán: 03/08/2016.
Giá yết G = 99.000 đồng.
Khối lượng giao dịch 10.000 công cụ nợ.
Thông tin tính toán:
- Số ngày từ ngày phát hành công cụ nợ lần đầu đến ngày trả lãi danh nghĩa thông thường theo giả định tiếp theo gần nhất (Từ ngày 25/05/2016 đến 04/07/2016): D2= 40
- Số ngày trong kỳ trả lãi công cụ nợ thông thường theo giả định có ngày phát hành công cụ nợ lần đầu diễn ra. (Từ ngày 04/07/2015 đến 04/07/2016): E1 = 366
- Số ngày trong kỳ trả lãi thông thường theo giả định có ngày thanh toán giao dịch diễn ra (Từ ngày 04/07/2016 đến 04/07/2017): E2 = 365
- Số ngày thực tế từ ngày thanh toán (03/08/2016) đến ngày trả lãi công cụ nợ tiếp theo (04/07/2017): Dn = 335.
- Lãi danh nghĩa tích gộp:

- Giá gộp lãi:
GG = G + Cc = 99.000 + 1.168= 100.168 đồng (*)
- Giá thực hiện:
GM = GG= 100.168 đồng
- Giá trị giao dịch:
V = GM x KL = 100.168 x 10.000= 1.001.680.000 đồng
Lưu ý: (*) thể hiện kết quả các bước trung gian hiển thị số làm tròn để dễ theo dõi.
2. Giao dịch không hưởng quyền
Thông tin công cụ nợ giao dịch: TD1525278.
Công cụ nợ TD1525278 có kỳ hạn 10 năm, phát hành ngày 31/01/2015, đáo hạn ngày 31/01/2025. Mệnh giá 100.000 đồng.
Trả lãi cuối kỳ vào ngày 31/01 hàng năm (1 lần/năm, k=1), lãi suất danh nghĩa Lc=6,5%.
Thông tin trả lãi công cụ nợ TD1525278 năm 2017:
Ngày trả lãi danh nghĩa năm 2017: 31/01/2017.
Ngày thực thanh toán lãi công cụ nợ năm 2017: 03/02/2017.
Ngày đăng ký cuối cùng cho việc trả lãi công cụ nợ năm 2017: 23/01/2017.
Thông tin giao dịch:
Ngày giao dịch: 20/01/2017.
Thời hạn thanh toán T+1
Ngày thanh toán: 23/01/2017.
Giá yết G = 101.000 đồng
Khối lượng giao dịch 10.000 công cụ nợ.
Thông tin tính toán:
- Số ngày thực tế của Kỳ trả lãi công cụ nợ hiện tại (Từ ngày 31/01/2016 đến 31/01/2017): E = 366.
- Số ngày thực tế từ ngày thanh toán (23/01/2017) đến ngày trả lãi công cụ nợ tiếp theo (31/01/2017): Dn = 8.
- Lãi danh nghĩa tích gộp:

- Giá gộp lãi:
GG = G - Cx=101.000 - 142 = 100.858 đồng (*)
- Giá thực hiện:
GM = GG= 100.858 đồng
- Giá trị giao dịch:
V = GM x KL = 100.858 x 10.000 = 1.008.580.000 đồng
Lưu ý: (*) thể hiện kết quả các bước trung gian hiển thị số làm tròn để dễ theo dõi.
II. Công cụ nợ trả lãi trước
1. Giao dịch có hưởng quyền
Thông tin công cụ nợ giao dịch: CP4A0203.
Công cụ nợ CP4A0203 là công cụ nợ thanh toán lãi định kỳ và có các kỳ trả lãi bằng nhau, kỳ hạn 15 năm, phát hành ngày 25/02/2003, đáo hạn ngày 25/02/2018. Mệnh giá 100.000 đồng.
Trả lãi đầu kỳ vào ngày 25/02 hàng năm (1 lần/năm, k=1), lãi suất danh nghĩa Lc=9,18%.
Thông tin trả lãi công cụ nợ CP4A0203 năm 2017:
Ngày trả lãi danh nghĩa năm 2017: 25/02/2017.
Ngày thực thanh toán lãi công cụ nợ năm 2017: 27/02/2017.
Ngày đăng ký cuối cùng cho việc trả lãi công cụ nợ năm 2017: 21/02/2017.
Thông tin giao dịch:
Ngày giao dịch: 01/06/2016.
Thời hạn thanh toán T+1.
Ngày thanh toán: 02/06/2016.
Giá yết = 102.000 đồng
Khối lượng giao dịch: 10.000 công cụ nợ
Thông tin tính toán:
- Số ngày thực tế của kỳ trả lãi công cụ nợ hiện tại (Từ ngày 25/02/2016 đến 25/02/2017): E=366.
- Số ngày thực tế từ ngày thanh toán (02/06/2016) đến ngày trả lãi công cụ nợ tiếp theo (25/02/2017): Dn= 268.
- Lãi danh nghĩa tích gộp trong trường hợp ngày giao dịch hưởng quyền:

- Giá gộp lãi:
GG = G - Cx = 102.000 - 6.722 = 95.278 đồng (*)
- Giá thực hiện:
GM = GG = 95.278 đồng
- Giá trị giao dịch:
V = GM x KL = 95.278 x 10.000 = 952.780.000 đồng
Lưu ý: (*) thể hiện kết quả các bước trung gian hiển thị số làm tròn để dễ theo dõi.
2. Giao dịch không hưởng quyền
Thông tin công cụ nợ giao dịch: CP4A0203.
Công cụ nợ CP4A0203 là công cụ nợ thanh toán lãi định kỳ và có các kỳ trả lãi bằng nhau, kỳ hạn 15 năm, phát hành ngày 25/02/2003, đáo hạn ngày 25/02/2018. Mệnh giá 100.000 đồng.
Trả lãi đầu kỳ vào ngày 25/02 hàng năm (1 lần/năm, k=1), lãi suất danh nghĩa Lc=9,18%.
Thông tin trả lãi công cụ nợ CP4A0203 năm 2017:
Ngày trả lãi danh nghĩa năm 2017: 25/02/2017.
Ngày thực thanh toán lãi công cụ nợ năm 2017: 27/02/2017.
Ngày đăng ký cuối cùng cho việc trả lãi công cụ nợ năm 2017: 21/02/2017.
Thông tin giao dịch:
Ngày giao dịch: 21/02/2017.
Thời hạn thanh toán T+1.
Ngày thanh toán: 22/02/2017.
Giá yết = 102.000 đồng.
Khối lượng giao dịch: 10.000 công cụ nợ.
Thông tin tính toán:
- Số ngày thực tế của kỳ trả lãi công cụ nợ hiện tại (Từ ngày 25/02/2016 đến 25/02/2017): E=366.
- Số ngày thực tế từ ngày thanh toán (22/02/2017) đến ngày trả lãi công cụ nợ tiếp theo (25/02/2017): Dn= 3.
- Lãi danh nghĩa tích gộp trong ngày giao dịch không hưởng quyền:

- Giá gộp lãi:
GG = G - Cx - MG x Rc
= 102.000 - 75 - 100.000 x 9,18% = 92.745 đồng (*)
- Giá thực hiện:
GM = GG= 92.745 đồng
- Giá trị giao dịch:
V = GM x KL = 92.745 x 10.000 = 927.450.000 đồng
Lưu ý: (*) thể hiện kết quả các bước trung gian hiển thị số làm tròn để dễ theo dõi.
III. Công cụ nợ không trả lãi định kỳ
Thông tin công cụ nợ giao dịch: TD1518361.
Công cụ nợ TD1518361 có kỳ hạn 3 năm, phát hành ngày 28/12/2015, đáo hạn ngày 28/12/2018. Mệnh giá 100.000 đồng.
Thông tin giao dịch:
Ngày giao dịch: 20/10/2016.
Thời hạn thanh toán T+1.
Ngày thanh toán: 21/10/2016.
Giá yết G = 99.000 đồng.
Khối lượng giao dịch 100.000 công cụ nợ.
Thông tin tính toán:
- Giá thực hiện:
GM = G = 99.000 đồng
- Giá trị giao dịch:
V = GM x KL = 99.000 x 100.000 = 9.900.000.000 đồng
IV. Tín phiếu
Thông tin tín phiếu giao dịch: TPKB16023.
Tín phiếu TPKB16023 có kỳ hạn 273 ngày, phát hành ngày 23/02/2016, đáo hạn ngày 22/11/2016. Mệnh giá 100.000 đồng.
Thông tin giao dịch:
Ngày giao dịch: 20/10/2016.
Thời hạn thanh toán T+1.
Ngày thanh toán: 21/10/2016.
Giá yết G = 95.000 đồng.
Khối lượng giao dịch 100.000 tín phiếu.
Thông tin tính toán:
- Giá thực hiện:
GM = G = 95.000 đồng
- Giá trị giao dịch:
V = GM x KL = 95.000 x 100.000= 9.500.000.000 đồng.
PHỤ LỤC XIII/TP
GIAO DỊCH MUA BÁN LẠI
(Ban hành kèm theo Quy chế Giao dịch công cụ nợ của Chính phủ, công cụ nợ được Chính phủ bảo lãnh do ngân hàng chính sách phát hành và công cụ nợ chính quyền địa phương)
I. Giao dịch mua bán lại
1. Công cụ nợ sử dụng trong giao dịch không phát sinh thu nhập trong thời hạn giao dịch mua bán lại
Thông tin công cụ nợ giao dịch: TD1525280.
Công cụ nợ TD1525280 có kỳ hạn 10 năm, phát hành ngày 15/03/2015, đáo hạn ngày 15/03/2025. Mệnh giá 100.000 đồng.
Trả lãi cuối kỳ vào ngày 15/03 hàng năm (1 lần/năm, k=1), lãi suất danh nghĩa Lc=6,3%.
Thông tin trả lãi công cụ nợ TD1525280 năm 2017:
Ngày trả lãi danh nghĩa năm 2017: 15/03/2017.
Ngày thực thanh toán lãi công cụ nợ năm 2017: 15/03/2017.
Ngày đăng ký cuối cùng cho việc trả lãi công cụ nợ năm 2017: 09/03/2017.
Thông tin giao dịch:
Ngày giao dịch: 01/6/2016.
Giá yết G = 102.000 đồng.
Khối lượng giao dịch 10.000 công cụ nợ tương đương với giá trị theo mệnh giá là 1 tỷ đồng.
Thời hạn thanh toán T+1.
Ngày thanh toán lần 1: 02/6/2016.
Thời hạn giao dịch mua bán lại T = 61 ngày.
Ngày thanh toán lần 2: 02/08/2016.
Ngày giao dịch lần 2: 01/08/2016.
Lãi suất mua bán lại R=12%/năm.
Tỷ lệ phòng vệ rủi ro H=5%.
Thông tin tính toán:
Số ngày thực tế của kỳ trả lãi công cụ nợ có ngày thanh toán lần 1 (Từ ngày 15/03/2016 đến 15/03/2017): E=365.
Số ngày thực tế từ ngày thanh toán (02/06/2016) đến ngày trả lãi công cụ nợ tiếp theo (15/03/2017): Dn= 286.
Số ngày thực tế của năm mà ngày thanh toán lần 1 được xác định (năm 2016): 366 ngày.
Ngày thanh toán lần 1 (2/6/2016)
- Lãi danh nghĩa tích gộp:

- Giá gộp lãi:
GG = G + Cc = 102.000 + 1.364 =103.364 đồng (*)
- Giá thực hiện:
GM = GG(1 - H) = 103.364 x (1 - 0,05) = 98.195 đồng
- Giá trị giao dịch lần 1:
V1 = GM x KL = 98.195 x 10.000 = 981.950.000 đồng
Ngày thanh toán lần 2 (2/8/2016)
- Lãi mua bán lại:

- Giá trị giao dịch lần 2
V2 = V1 + L = 981.950.000 + 19.639.000 = 1.001.589.000 đồng
Lưu ý: (*) thể hiện kết quả các bước trung gian hiển thị số làm tròn để dễ theo dõi.
2. Công cụ nợ sử dụng trong giao dịch phát sinh thu nhập trong thời hạn giao dịch mua bán lại, hai bên thống nhất thanh toán lãi danh nghĩa bên ngoài hệ thống
Thông tin công cụ nợ giao dịch: TD1525280.
Công cụ nợ TD1525280 có kỳ hạn 10 năm, phát hành ngày 15/03/2015, đáo hạn ngày 15/03/2025. Mệnh giá 100.000 đồng.
Trả lãi cuối kỳ vào ngày 15/03 hàng năm (1 lần/năm, k=1), lãi suất danh nghĩa Lc=6,3%.
Thông tin giao dịch:
Ngày giao dịch: 01/11/2016.
Giá yết G = 102.000 đồng.
Khối lượng giao dịch 10.000 công cụ nợ tương đương với giá trị theo mệnh giá là 1 tỷ đồng.
Thời hạn thanh toán T+1.
Ngày thanh toán lần 1: 02/11/2016.
Thời hạn giao dịch mua bán lại T = 138 ngày.
Ngày thanh toán lần 2: 20/03/2017.
Ngày giao dịch làn 2: 17/03/2017.
Lãi suất mua bán lại R=12%/năm.
Bên Mua và bên Bán không tích nhận lãi danh nghĩa trên Hệ thống giao dịch TPCP.
Tỷ lệ phòng vệ rủi ro H=5%.
Thông tin tính toán:
Số ngày thực tế của kỳ trả lãi công cụ nợ có ngày thanh toán lần 1 (Từ ngày 15/03/2016 đến 15/03/2017): E=365.
Số ngày thực tế từ ngày thanh toán lần 1 (02/11/2016) đến ngày trả lãi công cụ nợ tiếp theo (15/03/2017): Dn= 133.
Số ngày thực tế của năm mà ngày thanh toán lần 1 được xác định (năm 2016): 366 ngày.
Ngày thanh toán lần 1 (02/11/2016)
- Lãi danh nghĩa tích gộp:

- Giá gộp lãi:
GG = G + Cc = 102.000 + 4.004 = 106.004 đồng (*)
- Giá thực hiện:
GM = GG(1 - H) = 106.004 x (1 - 0,05) = 100.704 đồng
- Giá trị giao dịch lần 1:
V1 = GM x KL= 100.704 x 10.000= 1.007.040.000 đồng
Ngày thanh toán lần 2 (20/03/2017)
- Lãi mua bán lại:

- Giá trị giao dịch lần 2: Trong trường hợp này, người mua được nhận lãi danh nghĩa vào ngày 15/03. Tuy nhiên do 2 bên thống nhất thanh toán lãi danh nghĩa bên ngoài hệ thống nên khoản lãi danh nghĩa và lãi trên lãi danh nghĩa sẽ không được tính toán vào giá trị giao dịch lần 2.
V2 = V1 + L= 1.007.040.000 + 45.564.433 = 1.052.604.433 đồng.
Lưu ý: (*) thể hiện kết quả các bước trung gian hiển thị số làm tròn để dễ theo dõi.
3. Công cụ nợ sử dụng trong giao dịch phát sinh thu nhập trong thời hạn giao dịch mua bán lại. Bên mua nhận lãi danh nghĩa vào thời điểm trước khi giao dịch mua bán lại kết thúc và hai bên thỏa thuận thanh toán lãi qua hệ thống
Thông tin công cụ nợ giao dịch: TD1525280.
Công cụ nợ TD1525280 có kỳ hạn 10 năm, phát hành ngày 15/03/2015, đáo hạn ngày 15/03/2025. Mệnh giá 100.000 đồng.
Trả lãi cuối kỳ vào ngày 15/03 hàng năm (1 lần/năm, k=1), lãi suất danh nghĩa Lc=6,3%.
Thông tin giao dịch:
Ngày giao dịch: 01/11/2016.
Giá yết G = 102.000 đồng.
Khối lượng giao dịch 10.000 công cụ nợ tương đương với giá trị theo mệnh giá là 1 tỷ đồng.
Thời hạn thanh toán T+1.
Ngày thanh toán lần 1: 02/11/2016.
Thời hạn giao dịch mua bán lại T = 138 ngày.
Ngày thanh toán lần 2: 20/03/2017
Ngày giao dịch lần 2: 17/03/2017
Lãi suất mua bán lại R=12%/năm.
Lãi suất trên lãi danh nghĩa R'=10%/năm.
Tỷ lệ phòng vệ rủi ro H=5%.
Thông tin tính toán:
Số ngày thực tế của kỳ trả lãi công cụ nợ có ngày thanh toán lần 1 (Từ ngày 15/03/2016 đến 15/03/2017): E=365.
Số ngày thực tế từ ngày thanh toán lần 1 (02/11/2016) đến ngày trả lãi công cụ nợ tiếp theo (15/03/2017): Dn= 133.
Số ngày thực tế của năm mà ngày thanh toán lần 1 được xác định (năm 2016): 366 ngày.
Số ngày thực tế của năm có ngày thanh toán lãi danh nghĩa (năm 2017): 365 ngày.
Ngày thanh toán lần 1 (02/11/2016)
- Lãi danh nghĩa tích gộp:

- Giá gộp lãi:
GG = G + Cc = 102.000 + 4.004 = 106.004 đồng (*)
- Giá thực hiện:
GM = GG x (1 - H)
= 106.004 x (1- 0,05) = 100.704 đồng
- Giá trị giao dịch lần 1:
V1 = GM x KL = 100.704 x 10.000 = 1.007.040.000 đồng
Ngày thanh toán lần 2 (20/3/2017)
- Lãi mua bán lại:

- Lãi danh nghĩa phát sinh trong kỳ hạn mua bán lại:
GL= Rc x MG x KL = 6,3% x 100.000 x 10.000 = 63.000.000 đồng
- Trong trường hợp này, người mua được nhận lãi danh nghĩa vào ngày 15/3/2017. Người mua sẽ trả lại lãi danh nghĩa cho người bán vào ngày thanh toán lần 2 (ngày 20/03/2017) bằng cách khấu trừ cho người bán vào giá trị giao dịch lần 2. Tuy nhiên do ngày thanh toán lần 2 diễn ra sau ngày thực thanh toán lãi công cụ nợ, nên người mua sẽ khấu trừ cho người bán thêm phần lãi trên lãi danh nghĩa trong 05 ngày từ ngày 15/3/2017 đến ngày 20/3/2017.
- Lãi danh nghĩa và lãi trên lãi danh nghĩa phát sinh trong kỳ hạn mua bán lại:

- Giá trị giao dịch lần 2:
V2 = V1 + L - CPN
= 1.007.040.000 + 45.564.433 - 63.086.301 = 989.518.131 đồng.
Lưu ý: (*) thể hiện kết quả các bước trung gian hiển thị số làm tròn để dễ theo dõi.
4. Công cụ nợ sử dụng trong giao dịch phát sinh thu nhập trong thời hạn giao dịch mua bán lại. Bên mua nhận lãi danh nghĩa vào thời điểm sau khi giao dịch mua bán lại kết thúc và hai bên thỏa thuận thanh toán lãi qua hệ thống
Thông tin công cụ nợ giao dịch: TD1525280.
Công cụ nợ TD1525280 có kỳ hạn 10 năm, phát hành ngày 15/03/2015, đáo hạn ngày 15/03/2025. Mệnh giá 100.000 đồng.
Trả lãi cuối kỳ vào ngày 15/03 hàng năm (1 lần/năm, k=1), lãi suất danh nghĩa Lc=6,3%.
Thông tin giao dịch:
Ngày giao dịch: 01/11/2016.
Giá yết G = 102.000 đồng.
Khối lượng giao dịch 10.000 công cụ nợ tương đương với giá trị theo mệnh giá là 1 tỷ đồng.
Thời hạn thanh toán T+1.
Ngày thanh toán lần 1: 02/11/2016.
Thời hạn giao dịch mua bán lại T = 128 ngày.
Ngày thanh toán lần 2: 10/03/2017.
Ngày giao dịch lần 2: 09/03/2017.
Lãi suất mua bán lại R=12%/năm.
Lãi suất trên lãi danh nghĩa R'=10%/năm.
Tỷ lệ phòng vệ rủi ro H=5%.
Thông tin tính toán:
Số ngày thực tế của kỳ trả lãi công cụ nợ có ngày thanh toán lần 1 (Từ ngày 15/03/2016 đến 15/03/2017): E=365.
Số ngày thực tế từ ngày thanh toán lần 1 (02/11/2016) đến ngày trả lãi công cụ nợ tiếp theo (15/03/2017): Dn= 133.
Số ngày thực tế của năm mà ngày thanh toán lần 1 được xác định (năm 2016): 366 ngày.
Số ngày thực tế của năm có ngày thanh toán lãi danh nghĩa (năm 2017): 365 ngày.
Ngày thanh toán lần 1 (02/11/2016)
- Lãi danh nghĩa tích gộp:

- Giá gộp lãi:
GG = G + Cc = 102.000 + 4.004 = 106.004 đồng (*)
- Giá thực hiện:
GM = GG (1 - H) = 106.004 x (1-0,05) = 100.704 đồng
- Giá trị giao dịch lần 1:
V1 = GM x KL= 100.704 x 10.000= 1.007.040.000 đồng
Ngày thanh toán lần 2 (10/03/2017)
- Lãi mua hán lại:

- Lãi danh nghĩa phát sinh trong kỳ hạn mua bán lại:
GL = Rc x MG x KL = 6,3% x 100.000 x 10.000= 63.000.000 đồng
- Trong trường hợp này, người mua được nhận lãi danh nghĩa vào ngày 15/3/2017. Người mua sẽ trả lại lãi danh nghĩa nhận được cho người bán vào ngày thanh toán lần 2 (ngày 10/3) bằng cách khấu trừ cho người bán vào giá trị giao dịch lần 2. Tuy nhiên do ngày thanh toán lần 2 diễn ra trước ngày thực thanh toán lãi công cụ nợ, nên người mua sẽ được nhận phần lãi trên lãi danh nghĩa này trong thời gian 05 ngày từ ngày 10/3/2017 đến ngày 15/3/2017.
- Lãi danh nghĩa và lãi trên lãi danh nghĩa phát sinh trong kỳ hạn mua bán lại:

- Giá trị giao dịch lần 2:
V2 = V1 + L - CPN
= 1.007.040.000 + 42.262.662 - 62.913.699 = 986.388.964 đồng
Lưu ý: (*) thể hiện kết quả các bước trung gian hiển thị số làm tròn để dễ theo dõi.
II. Sửa giao dịch mua bán lại
1. Giao dịch mua bán lại gốc
Giao dịch mua bán lại gốc là giao dịch của mục 3 phần I nói trên
2. Giao dịch mua bán lại sửa đổi
Giao dịch mua bán lại gốc đã thực hiện được sửa đổi kỳ hạn và lãi suất mua bán lại với thông tin sửa như sau:
Thông tin sửa giao dịch mua bán lại:
Ngày sửa giao dịch mua bán lại lần 2: 20/02/2017.
Ngày thanh toán lần 2 mới: 31/03/2017.
Ngày giao dịch lần 2 mới: 30/03/2017.
Thời hạn giao dịch mua bán lại tính từ thời điểm thanh toán lần 1(02/11/2016) đến thời điểm sửa giao dịch mua bán lại (20/02/2017): T1 = 110 ngày
Thời hạn giao dịch mua bán lại tính từ thời điểm sửa giao dịch (20/02/2017) tới khi kết thúc giao dịch mua bán lại mới (31/03/2017): T2 = 39 ngày
Lãi suất mua bán lại mới: R1 = 15%/năm.
Thông tin tính toán:
Ngày sửa giao dịch mua bán lại (20/02/2017)
- Thời hạn giao dịch mua bán lại tính từ thời điểm thanh toán lần 1(02/11/2016) đến thời điểm sửa giao dịch mua bán lại (20/02/2017): T1 = 110 ngày.
- Lãi mua bán lại tính tới thời điểm bắt đầu sửa:

- Giá trị giao dịch tính tới thời điểm sửa đổi thời hạn mua bán lại:
V1.1 = V1 + L1 = 1.007.040.000 + 36.319.475 = 1.043.359.475 đồng. (*)
Ngày thanh toán lần 2 (31/03/2017)
- Thời hạn giao dịch mua bán lại tính từ thời điểm sửa đổi kỳ hạn mua bán lại (20/02/2017) tới khi kết thúc giao dịch mua bán lại mái (31/03/2017): T2 = 39 ngày.
- Số ngày thực tế của năm mà ngày sửa giao dịch mua bán lại được xác định (năm 2017): 365 ngày.
- Lãi mua bán lại mới:

- Lãi mua bán lại:
L = L1 + L2 = 36.319.475 + 16.722.337 = 53.041.812 đồng (*)
- Lãi danh nghĩa phát sinh trong kỳ hạn mua bán lại:
GL = Rc x MG x KL = 63% x 100.000 x 10.000= 63.000.000 đồng
- Trong trường hợp này người mua được nhận lãi danh nghĩa vào ngày 15/03/2017. Người mua sẽ trả lại lãi danh nghĩa cho người bán vào ngày thanh toán lần 2 (ngày 31/03/2017) bằng cách khấu trừ cho người bán vào giá trị giao dịch lần 2. Tuy nhiên do ngày thanh toán lần 2 diễn ra sau ngày thực thanh toán lãi công cụ nợ. nên người mua sẽ khấu trừ cho người bán thêm phần lãi trên lãi danh nghĩa trong 16 ngày từ ngày 15/03/2017 đến ngày 31/03/2017.
- Lãi danh nghĩa và lãi trên lãi danh nghĩa phát sinh trong kỳ hạn mua bán lại:

- Giá trị giao dịch lần 2:
V2 = V1 + L - CPN
=1.007.040.000 + 53.041.812 - 63.276.164 = 996.805.648 đồng.
Lưu ý: (*) thể hiện kết quả các bước trung gian hiển thị số làm tròn để dễ theo dõi.
III. Sử dụng công cụ nợ tương đương trong giao dịch mua bán lại
Thông tin công cụ nợ gốc: TD1621446
Công cụ nợ TD1621446 có kỳ hạn 5 năm, phát hành ngày 07/01/2016, đáo hạn ngày 07/01/2021. Mệnh giá 100.000 đồng.
Công cụ nợ thanh toán lãi định kỳ tiêu chuẩn, trả lãi cuối kỳ vào ngày 07/01 hàng năm (1 lần/năm, k=1), lãi suất danh nghĩa Lc = 6,5%
Thông tin trả lãi công cụ nợ năm 2017:
Ngày trả lãi danh nghĩa năm 2017: 07/01/2017.
Ngày thực thanh toán lãi công cụ nợ năm 2017: 09/01/2017.
Ngày đăng ký cuối cùng cho việc trả lãi công cụ nợ năm 2017: 03/01/2017
Thông tin giao dịch:
Ngày giao dịch: 22/01/2016
Giá yết: 103.791 đồng
Khối lượng giao dịch: 1.000.000 công cụ nợ tương đương với giá trị theo mệnh giá là 100 tỷ đồng
Thời hạn thanh toán: T+1
Ngày thanh toán lần 1: 25/01/2016
Thời hạn giao dịch mua bán lại T = 129 ngày
Ngày thanh toán lần 2: 02/06/2016
Ngày giao dịch lần 2: 01/06/2016
Lãi suất mua bán lại: R = 10%
Tỷ lệ phòng vệ rủi ro H = 5%
Thông tin tính toán:
- Số ngày thực tế của kỳ trả lãi công cụ nợ có ngày thanh toán lần 1 (Từ ngày 07/01/2016 đến 07/01/2017): E= 366.
- Số ngày thực tế từ ngày thanh toán lần 1 (25/01/2016) đến ngày trả lãi công cụ nợ tiếp theo (07/01/2017): Dn= 348.
- Số ngày thực tế của năm mà ngày thanh toán lần 1 được xác định (năm 2016): 366 ngày.
Ngày thanh toán lần 1
- Lãi danh nghĩa tích gộp:

- Giá gộp lãi:
GG = G + Cc = 103.791 +320= 104.111 đồng (*)
- Giá thực hiện:
GM = GG(1 - H) = 104.111 x (1- 0.05) = 98.905 đồng
- Giá trị giao dịch lần 1:
V1 = GM x KL = 98.905 x 1.000.000 = 98.905.000.000 đồng
Ngày thanh toán lần 2
- Lãi mua bán lại:

- Giá trị giao dịch lần 2:
V2 = V1 + L = 98.905.000.000 + 3.485.995.902 = 102.390.995.902 đồng
Lưu ý: (*) thể hiện kết quả các bước trung gian hiển thị số làm tròn để dễ theo dõi.
Thông tin công cụ nợ tương đương
Công cụ nợ TD1323032 có kỳ hạn 10 năm, phát hành ngày 30/09/2013, đáo hạn ngày 30/09/2023. Mệnh giá 100.000 đồng.
Công cụ nợ thanh toán lãi định kỳ tiêu chuẩn, trả lãi cuối kỳ vào ngày 30/09 hàng năm (1 lần/năm, k=1), lãi suất danh nghĩa Lc = 8,9%
Lựa chọn có làm tròn lô công cụ nợ tương đương: Làm tròn xuống, đơn vị làm tròn về hàng trăm (công cụ nợ).
Số tiền phát sinh từ việc làm tròn lô công cụ nợ tương đương được các bên thanh toán qua hệ thống.
1. Sử dụng đường cong lãi suất xác định hệ số chuyển đổi
Thông tin tính toán
Tại ngày giao dịch lần 2 (01/06/2016), sử dụng đường cong lợi suất để định giá của công cụ nợ gốc và công cụ nợ tương đương như sau:
GG1 = 107.229,65 đồng (*) và GG2 = 123.772,64 đồng (*)
Xác định hệ số chuyển đổi

Xác định khối lượng của công cụ nợ tương đương
KL2 = KL1 x CF = 1.000.000 x 0,866344 = 866.344 công cụ nợ
Làm tròn lô công cụ nợ
Làm tròn xuống lô công cụ nợ về đơn vị hàng trăm công cụ nợ, khối lượng công cụ nợ tương đương cần chuyển giao là: 866.300 (công cụ nợ)
Số tiền phát sinh từ việc làm tròn lô công cụ nợ tương đương
RND = (KL2 - KL làm tròn ) x GG2 = (866.344 - 866.300) x 123.772,64 = 5.445.996 đồng (*)
Giá trị thanh toán lần 1 (Theo tính toán tại phần I):
V1 =98.905.000.000 đồng.
Lãi mua bán lại (Theo tính toán tại phần I):
L = 3.485.995.902 đồng. (*)
Giá trị thanh toán lần 2
V2 = V1 + L - RND
= 98.905.000.000 + 3.485.995.902 - 5.445.996 = 102.385.549.905 đồng.
Lưu ý: (*) thể hiện kết quả các bước trung gian hiển thị số làm tròn để dễ theo dõi.
2. Sử dụng lợi suất kỳ vọng của công cụ nợ gốc và công cụ nợ tương đương do hai bên tự thỏa thuận
Thông tin giao dịch
Hai bên thỏa thuận về mức lợi suất kỳ vọng của công cụ nợ gốc và công cụ nợ tương đương như sau:
Lợi suất kỳ vọng tại ngày giao dịch lần 2 của công cụ nợ gốc = 6%
Lợi suất kỳ vọng tại ngày giao dịch lần 2 của công cụ nợ tương đương = 6,8%
Sử dụng tool tính toán của hệ thống giao dịch TPCP để tính giá tương ứng của các công cụ nợ như sau:
GG1 = 104.523,96 đồng (*) và GG2 = 117.729,86 đồng (*)
Xác định hệ số chuyển đổi

Xác định khối lượng của công cụ nợ tương đương
KL2 = KL1 x CF = 1.000.000 x 0,887829 = 887.829 công cụ nợ
Làm tròn lô công cụ nợ
Làm tròn xuống lô công cụ nợ về đơn vị hàng trăm công cụ nợ, ta được khối lượng công cụ nợ tương đương cần chuyển giao là: 887.800 (công cụ nợ)
Số tiền phát sinh từ việc làm tròn lô công cụ nợ tương đương
RND = (KL2 - KL làm tròn ) x GG2
= (887.829 - 887.800) X 117.729,86 = 3.414.166 đồng (*)
Giá trị thanh toán lần 1 (Theo tính toán tại phần 1):
V1 = 98.905.000.000 đồng.
Lãi mua bán lại (Theo tính toán tại phần 1):
L = 3.485.995.902 đồng. (*)
Giá trị thanh toán lần 2
V2 = V1 + L - RND
= 98.905.000.000 + 3.485.995.902 - 3.414.166 = 102.387.581.736 đồng.
Lưu ý: (*) thể hiện kết quả các bước trung gian hiển thị số làm tròn để dễ theo dõi.
3. Sử dụng lợi suất của công cụ nợ gốc tại ngày giao dịch lần 1
Hai bên thỏa thuận tính CF dựa trên lợi suất của công cụ nợ gốc tại ngày giao dịch lần một và có áp lãi phạt 3% khi sử dụng công cụ nợ tương đương.
Tại ngày giao dịch 1, công cụ nợ gốc TD1621446 có lợi suất giao dịch là 5,6001%. Sử dụng mức lợi suất này để tính giá của công cụ nợ gốc và công cụ nợ tương đương tại ngày giao dịch 2:
GG1 = 106.129,72 đồng (*)
GG2 = 125.326,92 đồng (*)
Xác định hệ số chuyển đổi

Xác định khối lượng của công cụ nợ tương đương
KL2 = KL1 x CF = 1.000.000 x 0,846823 = 846.823 công cụ nợ
Làm tròn lô công cụ nợ:
Làm tròn xuống lô công cụ nợ về đơn vị hàng trăm công cụ nợ, ta được khối lượng công cụ nợ tương đương cần chuyển giao là: 846.800 (công cụ nợ)
Số tiền phát sinh từ việc làm tròn lô công cụ nợ tương đương
RND = (KL2 - KL làm tròn ) x GG2 = (846.823 - 846.800) x 125.326,92 = 2.882.519 đồng (*)
Lãi phạt khi sử dụng công cụ nợ tương đương
Lãi phạt = GG1 X KL1 x Lãi suất phạt
= 106.129,72 x 1.000.000 x 3% = 3.183.891.570 đồng (*)
Giá trị thanh toán lần 1 (Theo tính toán tại phần I):
V1 = 98.905.000.000 đồng.
Lãi mua bán lại (Theo tính toán tại phần I):
L = 3.485.995.902 đồng.
Giá trị thanh toán lần 2
V2 = V1 + L- RND - Lãi phạt
= 98.905.000.000 + 3.485.995.902 - 2.882.519 - 3.183.891.570
= 99.204.221.813 đồng.
Lưu ý: (*) thể hiện kết quả các bước trung gian hiển thị số làm tròn để dễ theo dõi.
4. Sử dụng giá của công cụ nợ gốc và công cụ nợ tương đương tại ngày giao dịch lần 1
Tại ngày GD 1, có giá gộp lãi của công cụ nợ gốc GG1 = 104.110,93 đồng (*) và giá gộp lãi của công cụ nợ tương đương GG2 = 115.664,12 đồng (*)
Xác định hệ số chuyển đổi

Xác định khối lượng của công cụ nợ tương đương
KL2 = KL1 x CF = 1.000.000 x 0,900114 = 900.114 công cụ nợ
Làm tròn lô công cụ nợ:
Làm tròn lô về đơn vị hàng trăm công cụ nợ, ta được khối lượng công cụ nợ tương đương cần chuyển giao là: 900.100 (công cụ nợ)
Số tiền phát sinh từ việc làm tròn lô công cụ nợ tương đương
RND = (KL2 - KL lầm tròn ) x GG2 = (900.114 - 900.100) x 115.664,12= 1.619.298 đồng (*)
Giá trị thanh toán lần 1 (Theo tính toán công cụ nợ gốc - phần III.1):
V1 = 98.905.000.000 đồng.
Lãi mua bán lại (Theo tính toán công cụ nợ gốc - phần III.1):
L = 3.485.995.902 đồng. (*)
Giá trị thanh toán lần 2
V2 = V1 + L - RND
= 98.905.000.000 + 3.485.995.902 - 1.619.298 = 102.389.376.604 đồng
Lưu ý: (*) thể hiện kết quả các bước trung gian hiển thị số làm tròn để dễ theo dõi.
PHỤ LỤC XIV/TP
GIAO DỊCH VAY VÀ CHO VAY
(Ban hành kèm theo Quy chế Giao dịch công cụ nợ của Chính phủ, công cụ nợ được Chính phủ bảo lãnh do ngân hàng chính sách phát hành và công cụ nợ chính quyền địa phương)
I. Giao dịch vay và cho vay
1. Công cụ nợ sử dụng trong giao dịch không phát sinh thu nhập trong thời hạn giao dịch vay
Thông tin công cụ nợ vay: TD1525280
Công cụ nợ TD1525280 có kỳ hạn 10 năm, phát hành ngày 15/03/2015, đáo hạn ngày 15/03/2025. Mệnh giá 100.000 đồng.
Trả lãi cuối kỳ vào ngày 15/03 hàng năm (1 lần/năm, k=1), lãi suất danh nghĩa Lc=6,3%.
Thông tin trả lãi công cụ nợ TD1525280 năm 2017:
Ngày trả lãi danh nghĩa năm 2017: 15/03/2017.
Ngày thực thanh toán lãi công cụ nợ năm 2017: 15/03/2017.
Ngày đăng ký cuối cùng cho việc trả lãi công cụ nợ năm 2017: 09/03/2017.
Thông tin về giao dịch vay
Ngày BĐGD: 01/11/2016
Giá yết: 102.000 đồng
Khối lượng vay: 1.000.000 công cụ nợ tương đương với giá trị theo mệnh giá là 100 tỷ đồng.
Thời hạn thanh toán T+1.
Ngày thanh toán lần 1: 02/11/2016.
Thời hạn giao dịch vay T = 105 ngày.
Ngày thanh toán lần 2: 15/02/2017.
Ngày giao dịch lần 2: 14/02/2017.
Lãi suất vay công cụ nợ: Rv = 12%/năm
Tỷ lệ tài sản đảm bảo trên giá trị vay: H = 90%
Lãi suất tính trên tài sản đảm bảo: R = 2%
Thông tin tính toán
Số ngày thực tế của kỳ trả lãi công cụ nợ có ngày thanh toán lần 1 (Từ ngày 15/03/2016 đến 15/03/2017): E=365.
Số ngày thực tế từ ngày thanh toán lần 1 (02/11/2016) đến ngày trả lãi công cụ nợ tiếp theo (15/03/2017): Dn= 133.
Số ngày thực tế của năm mà ngày thanh toán lần 1 được xác định (năm 2016): 366 ngày.
Ngày thanh toán lần 1:
- Lãi danh nghĩa tích gộp:

- Giá gộp lãi:
GG = G + Cc =102.000 + 4.004 = 106.004 đồng (*)
- Giá thực hiện:
GM = GG= 106.004 đồng
- Giá trị công cụ nợ trong giao dịch vay:
V = GM x KL= 106.004 x 1.000.000 = 106.004.000.000 đồng
Giá trị tài sản đảm bảo trong giao dịch vay
V1 =V x H = 106.004.000.000 x 90% = 95.403.600.000 đồng
Ngày thanh toán lần 2
- Xác định lãi vay công cụ nợ:

- Lãi phát sinh trên tài sản đảm:

- Giá trị hoàn trả tài sản đảm bảo
V2 = V1 + L - LV
= 95.403.600.000 + 547.397.705 - 3.649.318.033 = 92.301.679.672 đồng
Lưu ý: (*) thể hiện kết quả các bước trung gian hiển thị số làm tròn để dễ theo dõi.
2. Công cụ nợ sử dụng trong giao dịch có phát sinh thu nhập trong thời hạn giao dịch vay và cho vay, hai bên thống nhất thanh toán lãi danh nghĩa bên ngoài hệ thống
Thông tin công cụ nợ vay: TD1525280 tương tự phần 1.
Thông tin về giao dịch vay
Ngày BĐGD: 01/11/2016
Giá yết: 102.000 đồng
Khối lượng vay: 1.000.000 công cụ nợ tương đương với giá trị theo mệnh giá là 100 tỷ đồng.
Thời hạn thanh toán T+1.
Ngày thanh toán lần 1: 02/11/2016.
Thời hạn giao dịch vay T = 139 ngày.
Ngày thanh toán lần 2: 21/03/2017.
Ngày giao dịch lần 2: 20/03/2017.
Lãi suất vay công cụ nợ: Rv = 12%/năm
Tỷ lệ tài sản đảm bảo trên giá trị vay: H = 90%
Lãi suất tính trên tài sản đảm bảo: R = 2%
Thông tin tính toán
Số ngày thực tế của kỳ trả lãi công cụ nợ có ngày thanh toán lần 1 (Từ ngày 15/03/2016 đến 15/03/2017): E=365.
Số ngày thực tế từ ngày thanh toán lần 1 (02/11/2016) đến ngày trả lãi công cụ nợ tiếp theo (15/03/2017): Dn= 133.
Số ngày thực tế của năm mà ngày thanh toán lần 1 được xác định (năm 2016): 366 ngày.
Ngày thanh toán lần 1:
- Lãi danh nghĩa tích gộp:

- Giá gộp lãi:
GG = G + Cc =102.000 + 4.004 = 106.004 đồng (*)
- Giá thực hiện:
GM = GG = 106.004 đồng
- Giá trị công cụ nợ trong giao dịch vay:
V = GM x KL = 106.004 x 1.000.000= 1.060.040.000.000 đồng
Giá trị tài sản đảm bảo trong giao dịch vay
V1 = V x H = 1.060.040.000.000 x 90% = 95.403.600.000 đồng
Ngày thanh toán lần 2
- Xác định lãi vay công cụ nợ:

- Lãi phát sinh trên tài sản đảm:

- Giá trị hoàn trả tài sản đảm bảo:
V2 = V1 + L - LV
= 95.403.600.000 + 724.650.295 - 4.831.001.967 = 91.297.248.328 đồng.
Lưu ý: (*) thể hiện kết quả các bước trung gian hiển thị số làm tròn để dễ theo dõi.
3. Công cụ nợ sử dụng trong giao dịch phát sinh thu nhập trong thời hạn giao dịch vay và cho vay. Bên vay được nhận lãi công cụ nợ vào thời điểm trước ngày thanh toán lần 2 và hai bên thỏa thuận thanh toán lãi qua hệ thống
Thông tin công cụ nợ vay: TD1525280 tương tự phần 1.
Thông tin về giao dịch vay
Ngày BĐGD: 01/11/2016
Giá yết: 102.000 đồng
Khối lượng vay: 1.000.000 công cụ nợ tương đương với giá trị theo mệnh giá là 100 tỷ đồng .
Thời hạn thanh toán T+1.
Ngày thanh toán lần 1: 02/11/2016.
Thời hạn giao dịch vay T = 139 ngày.
Ngày thanh toán lần 2: 21/03/2017.
Ngày giao dịch lần 2: 20/03/2017.
Lãi suất vay công cụ nợ: Rv = 12%/năm.
Tỷ lệ tài sản đảm bảo trên giá trị vay: H = 90%.
Lãi suất tính trên tài sản đảm bảo: R = 2%.
Lãi suất trên lãi danh nghĩa R’ = 10%/năm.
Thông tin tính toán
Số ngày thực tế của kỳ trả lãi công cụ nợ có ngày thanh toán lần 1 (Từ ngày 15/03/2016 đến 15/03/2017): E=365.
Số ngày thực tế từ ngày thanh toán lần 1 (02/11/2016) đến ngày trả lãi công cụ nợ tiếp theo (15/03/2017): Dn= 133.
Số ngày thực tế của năm mà ngày thanh toán lần 1 được xác định (năm 2016): 366 ngày.
Số ngày thực tế của năm có ngày thanh toán lãi danh nghĩa (năm 2017): 365 ngày.
Ngày thanh toán lần 1:
- Lãi danh nghĩa tích gộp:

- Giá gộp lãi:
GG = G + Cc =102.000 + 4.004 = 106.004 đồng (*)
- Giá thực hiện:
GM = GG= 106.004 đồng
- Giá trị công cụ nợ trong giao dịch vay:
V = GM x KL = 106.004 x 1.000.000 = 106.004.000.000 đồng
Giá trị tài sản đảm bảo trong giao dịch vay
V1 = V x H = 106.004.000.000 x 90% = 95.403.600.000 đồng
Ngày thanh toán lần 2
Xác định lãi vay công cụ nợ:

- Lãi phát sinh trên tài sản đảm:

- Lãi danh nghĩa phát sinh trong kỳ hạn vay:
GL= Rc x MG x KL = 63% x 100.000 x1.000.000 = 6.300.000.000 đồng
- Trong giao dịch vay này, người đi vay nhận lãi danh nghĩa 1 lần vào ngày 15/03/2017. Người đi vay sẽ trả lại lãi danh nghĩa nhận được cho người cho vay vào ngày thanh toán lần 2 (ngày 21/03/2017). Tuy nhiên ngày thanh toán lần 2 diễn ra sau ngày thực thanh toán lãi công cụ nợ nên người cho vay sẽ được nhận phần lãi trên lãi danh nghĩa này trong thời gian 06 ngày từ ngày 15/03/2017 đến ngày 21/03/2017.
- Lãi danh nghĩa và lãi trên lãi danh nghĩa phát sinh:

- Giá trị hoàn trả tài sản đảm bảo
V2 = V1 + LV - CPN
= 95.403.600.000 + 724.650.295 - 4.831.001.967 - 6.310.356.164
= 84.986.892.163 đồng
Lưu ý: (*) thể hiện kết quả các bước trung gian hiển thị số làm tròn để dễ theo dõi.
4. Công cụ nợ sử dụng trong giao dịch phát sinh thu nhập trong thời hạn giao dịch vay và cho vay. Bên vay được nhận lãi công cụ nợ vào thời điểm sau ngày thanh toán lần 2 và hai bên thỏa thuận thanh toán lãi qua hệ thống
Thông tin công cụ nợ vay: TD1525280 tương tự phần 1.
Thông tin về giao dịch vay
Ngày BĐGD: 01/11/2016
Giá yết: 102.000 đồng
Khối lượng vay: 1.000.000 công cụ nợ tương đương với giá trị theo mệnh giá là 100 tỷ đồng .
Thời hạn thanh toán T+1.
Ngày thanh toán lần 1: 02/11/2016.
Thời hạn giao dịch vay T = 128 ngày.
Ngày thanh toán lần 2: 10/03/2017.
Ngày giao dịch lần 2: 09/03/2017.
Lãi suất vay công cụ nợ: Rv = 12%/năm.
Tỷ lệ tài sản đảm bảo trên giá trị vay: H = 90%.
Lãi suất tính trên tài sản đảm bảo: R = 2%.
Lãi suất trên lãi danh nghĩa R’ = 10%/năm.
Thông tin tính toán
Số ngày thực tế của kỳ trả lãi công cụ nợ có ngày thanh toán lần 1 (Từ ngày 15/03/2016 đến 15/03/2017): E=365.
Số ngày thực tế từ ngày thanh toán lần 1 (02/11/2016) đến ngày trả lãi công cụ nợ tiếp theo (15/03/2017): Dn= 133.
Số ngày thực tế của năm mà ngày thanh toán lần 1 được xác định (năm 2016): 366 ngày.
Số ngày thực tế của năm có ngày thanh toán lãi danh nghĩa (năm 2017): 365 ngày.
Ngày thanh toán lần 1:
- Lãi danh nghĩa tích gộp:

- Giá gộp lãi:
GG = G + Cc =102.000 + 4.004 = 106.004 đồng (*)
- Giá thực hiện:
GM = GG = 106.004 đồng
- Giá trị công cụ nợ trong giao dịch vay:
V = GM x KL = 106.004 x 1.000.000= 106.004.000.000 đồng
Giá trị tài sản đảm bảo trong giao dịch vay
V1 = V x H = 106.004.000.000 x 90% = 95.403.600.000 đồng
Ngày thanh toán lần 2
- Xác định lãi vay công cụ nợ:

Lãi phát sinh trên tài sản đảm:

- Lãi danh nghĩa phát sinh trong kỳ hạn vay:
GL= Rc x MG x KL = 6.3% x 100.000 x 1.000.000 = 6.300.000.000 đồng
- Trong giao dịch vay này, người đi vay nhận lãi danh nghĩa vào ngày 15/03/2017. Người đi vay sẽ trả lại lãi danh nghĩa nhận được cho người cho vay vào ngày thanh toán lần 2 (ngày 10/03/2017). Tuy nhiên ngày thanh toán của giao dịch lần 2 diễn ra trước ngày thực thanh toán lãi công cụ nợ nên người đi vay sẽ được nhận phần lãi trên lãi danh nghĩa này trong thời gian 05 ngày từ ngày 10/03 đến ngày 15/03/2017.
- Lãi danh nghĩa và lãi trên lãi danh nghĩa phát sinh:

- Giá trị hoàn trả tài sản đảm bảo
V2 = V1 + L - LV - CPN
= 95.403.600.000 + 667.303.869 - 4.448.692.459 - 6.291.369.863
= 85.330.841.547 đồng
Lưu ý: (*) thể hiện kết quả các bước trung gian hiển thị số làm tròn để dễ theo dõi.
II. Sửa giao dịch vay và cho vay
1. Giao dịch vay và cho vay gốc
Giao dịch vay và cho vay gốc là giao dịch của mục 3 phần I nói trên
2. Giao dịch vay và cho vay sửa đổi
Ngày sửa giao dịch vay và cho vay: 20/02/2017
Ngày thanh toán lần 2 mới: 31/03/2017
Ngày giao dịch lần 2 mới: 30/03/2017
Thời hạn giao dịch vay và cho vay tính từ thời điểm thanh toán lần 1 (02/11/2016) đến thời điểm sửa giao dịch (20/02/2017): T1 = 110 ngày
Thời hạn giao dịch vay và cho vay tính từ thời điểm sửa giao dịch (20/02/2017) đến ngày thanh toán lần 2 mới (31/03/2017): T2 = 39 ngày
Lãi suất vay mới: Rv’ = 14%/năm
Lãi suất tính trên tài sản đảm bảo mới: 3%
Thông tin tính toán
Ngày sửa giao dịch vay và cho vay
Số ngày tính từ thời điểm thanh toán lần 1 đến thời điểm sửa giao dịch vay và cho vay T1 = 110 ngày (Tính từ ngày 02/11/2016 đến 20/02/2017).
Số ngày thực tế của năm có ngày thanh toán lần 1 (năm 2016): 366 ngày.
Lãi vay công cụ nợ từ ngày thanh toán lần 1 đến ngày sửa giao dịch

Lãi phát sinh trên tài sản đảm bảo từ TT1 đến ngày sửa giao dịch

Ngày thanh toán lần 2
Số ngày tính từ thời điểm sửa giao dịch đến ngày thanh toán lần 2 mới T2 = 39 ngày (Tính từ ngày 20/02/2017 đến 31/03/2017).
Số ngày thực tế của năm có ngày sửa giao dịch (năm 2017) là 365 ngày.
Số ngày thực tế của năm có ngày thanh toán lãi danh nghĩa (năm 2017): 365 ngày.
Lãi vay công cụ nợ từ thời điểm sửa giao dịch đến ngày thanh toán lần 2 mới

Lãi phát sinh trên tài sản đảm bảo từ thời điểm sửa giao dịch đến ngày thanh toán lần 2 mới

Tổng lãi vay công cụ nợ
LV = LV1 + LV2 = 3.823.095.082 + 1.585.703.671 = 5.408.798.753 đồng (*)
Tổng lãi phát sinh trên tài sản đảm bảo:
L = L1 + L2 = 573.464.262 + 307.652.507 = 881.116.770 đồng (*)
- Lãi danh nghĩa phát sinh trong kỳ hạn vay:
GL = Rc x MG x KL = 63% x 100.000 x 1.000.000 = 6.300.000.000 đồng
- Trong giao dịch vay này, người đi vay nhận lãi danh nghĩa 1 lần vào ngày 15/03/2017. Người đi vay sẽ trả lại lãi danh nghĩa nhận được cho người cho vay vào ngày thanh toán lần 2 mới (ngày 31/03/2017). Tuy nhiên ngày thanh toán lần 2 diễn ra sau ngày thực thanh toán lãi công cụ nợ nên người cho vay sẽ được nhận phần lãi trên lãi danh nghĩa này trong thời gian 16 ngày từ ngày 15/03/2017 đến ngày 31/03/2017.
- Lãi danh nghĩa và lãi trên lãi danh nghĩa phát sinh:

Giá trị hoàn trả tài sản đảm bảo
V2 = V1 + L - LV - CPN
= 95.403.600.000 + 881.116.770 - 5.408.798.753 - 6.327.616.438
= 84.548.301.578 đồng
Lưu ý: (*) thể hiện kết quả các bước trung gian hiển thị số làm tròn để dễ theo dõi.
III. Sử dụng công cụ nợ tương đương trong giao dịch vay và cho vay
Thông tin công cụ nợ gốc: TD1621446
Công cụ nợ TD1621446 có kỳ hạn 5 năm, phát hành ngày 07/01/2016, đáo hạn ngày 07/01/2021. Mệnh giá 100.000 đồng.
Công cụ nợ thanh toán lãi định kỳ tiêu chuẩn, trả lãi cuối kỳ vào ngày 07/01 hàng năm (1 lần/năm, k=1), lãi suất danh nghĩa Lc = 6,5%
Thông tin trả lãi công cụ nợ năm 2017
Ngày trả lãi danh nghĩa năm 2017: 07/01/2017.
Ngày thực thanh toán lãi công cụ nợ năm 2017: 09/01/2017.
Ngày đăng ký cuối cùng cho việc trả lãi công cụ nợ năm 2017: 03/01/2017.
Thông tin về giao dịch vay và cho vay
Ngày BĐGD: 22/01/2016
Ngày thanh toán lần 1: 25/01/2016
Giá yết = 103.791 đồng
Ngày KTGD: 01/06/2016
Ngày thanh toán lần 2: 02/06/2016
Thời hạn vay: 129 ngày
Khối lượng vay: 1.000.000 tương ứng với giá trị mệnh giá là 100 tỷ đồng
Lãi suất vay công cụ nợ: RV = 12%
Tỷ lệ tài sản đảm bảo trên giá trị vay: H = 90%
Lãi suất tính trên tài sản đảm bảo: R = 2%
Thông tin tính toán
Số ngày thực tế của kỳ trả lãi công cụ nợ có ngày thanh toán lần 1 (Từ ngày 07/01/2016 đến 07/01/2017): E=366.
Số ngày thực tế từ ngày thanh toán lần 1 (25/01/2016) đến ngày trả lãi công cụ nợ tiếp theo (07/01/2017): Dn= 348.
Số ngày thực tế của năm mà ngày thanh toán lần 1 được xác định (năm 2016): 366 ngày.
Ngày thanh toán lần 1:
- Lãi danh nghĩa tích gộp:

- Giá gộp lãi:
GG = G + Cc = 103.791 + 320 = 104.111 đồng (*)
- Giá thực hiện:
GM = G = 104.111 đồng
- Giá trị công cụ nợ trong giao dịch vay:
V = GM x KL= 104.111 x 1.000.000 = 104.111.000.000 đồng
- Giá trị tài sản đảm bảo:
V1 = V x H = 104.111.000.000 x 90% = 93.699.900.000 đồng
Ngày thanh toán lần 2
- Xác định lãi vay công cụ nợ:

- Lãi phát sinh trên tài sản đảm:

- Giá trị hoàn trả tài sản đảm bảo:
V2 = V1 + L - LV
= 93.699.900.000 + 660.507.492 - 4.403.383.279
= 89.957.024.213 đồng.
Lưu ý: (*) thể hiện kết quả các bước trung gian hiển thị số làm tròn để dễ theo dõi.
Thông tin công cụ nợ tương đương: TD1323032
Công cụ nợ TD1323032 có kỳ hạn 10 năm, phát hành ngày 30/09/2013, đáo hạn ngày 30/09/2023. Mệnh giá 100.000 đồng.
Công cụ nợ thanh toán lãi định kỳ tiêu chuẩn, trả lãi cuối kỳ vào ngày 30/09 hàng năm (1 lần/năm, k=1), lãi suất danh nghĩa Lc = 8,9%
Lựa chọn có làm tròn lô công cụ nợ tương đương: Hai bên thỏa thuận làm tròn xuống, đơn vị làm tròn về hàng trăm (công cụ nợ).
Số tiền phát sinh từ việc làm tròn lô công cụ nợ tương đương được các bên thanh toán qua hệ thống.
1. Sử dụng đường cong lãi suất xác định hệ số chuyển đổi
Thông tin tính toán
Tại ngày giao dịch lần 2 (01/06/2016), sử dụng đường cong lợi suất để định giá của công cụ nợ gốc và công cụ nợ tương đương như sau:
GG1 = 107.229,65 đồng (*) và GG2 = 123.772,64 đồng (*)
Xác định hệ số chuyển đổi

Xác định khối lượng của công cụ nợ tương đương
KL2 = KL1 x CF = 1.000.000 x 0,866344 = 866.344 công cụ nợ
Làm tròn lô công cụ nợ
Hai bên thỏa thuận làm tròn xuống lô công cụ nợ về đơn vị hàng trăm công cụ nợ, khối lượng công cụ nợ tương đương cần chuyển giao là: 866.300 (công cụ nợ)
Số tiền phát sinh từ việc làm tròn lô công cụ nợ tương đương
RND = (KL2 - KL làm tròn ) x GG2
= (866.344 - 866.300) x 123.772,64 = 5.445.996 đồng (*)
Giá trị tài sản đảm bảo (Theo thông tin tính toán của công cụ nợ gốc)
V1 = 93.699.900.000 đồng
Lãi vay công cụ nợ (Theo thông tin tính toán của công cụ nợ gốc)
LV = 4.403.383.279 đồng (*)
Lãi phát sinh trên tài sản đảm (Theo thông tin tính toán của công cụ nợ gốc)
L = 660.507.492 đồng. (*)
Giá trị thanh toán lần 2
V2 = V1 + L - LV - RND
= 93.699.900.000 + 660.507.492 - 4.403.383.279 - 5.445.996
= 89.951.578.217 đồng.
Lưu ý: (*) thể hiện kết quả các bước trung gian hiển thị số làm tròn để dễ theo dõi.
2. Sử dụng lợi suất kỳ vọng cho ngày thanh toán lần 2
Thông tin giao dịch
Hai bên thỏa thuận về mức lợi suất kỳ vọng của công cụ nợ gốc và công cụ nợ tương đương như sau:
Lợi suất kỳ vọng tại ngày giao dịch lần 2 của công cụ nợ gốc = 6%
Lợi suất kỳ vọng tại ngày giao dịch lần 2 của công cụ nợ tương đương = 6,8%
Sử dụng tool tính toán của hệ thống giao dịch TPCP để tính giá tương ứng của các công cụ nợ như sau:
GG1 = 104.523,96 đồng (*) và GG2 = 117.729,86 đồng (*)
Xác định hệ số chuyển đổi

Xác định khối lượng của công cụ nợ tương đương
KL2 = KL1 x CF = 1.000.000 x 0,887829 = 887.829 công cụ nợ
Làm tròn lô công cụ nợ
Hai bên thỏa thuận làm tròn xuống lô công cụ nợ về đơn vị hàng trăm công cụ nợ, khối lượng công cụ nợ tương đương cần chuyển giao là: 887.800 (công cụ nợ)
Số tiền phát sinh từ việc làm tròn lô công cụ nợ tương đương
RND = (KL2 - KL làm tròn ) x GG2
= (887.829 - 887.800) x 117.729,86 = 3.414.166 đồng (*)
Giá trị tài sản đảm bảo (Theo thông tin tính toán của công cụ nợ gốc)
V1 = 93.699.900.000 đồng
Lãi vay công cụ nợ (Theo thông tin tính toán của công cụ nợ gốc)
LV = 4.403.383.279 đồng (*)
Lãi phát sinh trên tài sản đảm (Theo thông tin tính toán của công cụ nợ gốc)
L = 660.507.492 đồng (*)
Giá trị thanh toán lần 2
V2 = V1 + L - LV - RND
= 93.699.900.000 + 660.507.492 - 4.403.383.279 - 3.414.166
= 89.953.610.047 đồng.
Lưu ý: (*) thể hiện kết quả các bước trung gian hiển thị số làm tròn để dễ theo dõi.
3. Sử dụng lợi suất của công cụ nợ gốc tại ngày giao dịch lần 1
Hai bên thỏa thuận tính CF dựa trên lợi suất của công cụ nợ gốc tại ngày giao dịch lần một và có áp lãi phạt 3% khi sử dụng công cụ nợ tương đương.
Tại ngày giao dịch 1, công cụ nợ gốc TD1621446 có lợi suất giao dịch là 5,6001%. Sử dụng mức lợi suất này để tính giá của công cụ nợ gốc và công cụ nợ tương đương tại ngày giao dịch 2:
GG1 = 106.129,72 đồng (*)
GG2 = 125.326,92 đồng (*)
Xác định hệ số chuyển đổi

Xác định khối lượng của công cụ nợ tương đương
KL2 = KL1 x CF = 1.000.000 x 0,846823 = 846.823 công cụ nợ
Làm tròn lô công cụ nợ:
Hai bên thỏa thuận làm tròn xuống lô công cụ nợ về đơn vị hàng trăm công cụ nợ, khối lượng công cụ nợ tương đương cần chuyển giao là: 846.800 (công cụ nợ)
Số tiền phát sinh từ việc làm tròn lô công cụ nợ tương đương
RND = (KL2 - KL làm tròn ) x GG2
= (846.823 - 846.800) x 125.326,92 = 2.882.519 đồng (*)
Lãi phạt khi sử dụng công cụ nợ tương đương
Lãi phạt = GG1 x KL1 x Lãi suất phạt
= 106.129,72 x 1.000.000 x 3% = 3.183.891.570 đồng (*)
Giá trị tài sản đảm bảo (Theo thông tin tính toán của công cụ nợ gốc)
V1 = 93.699.900.000 đồng
Lãi vay công cụ nợ (Theo thông tin tính toán của công cụ nợ gốc)
LV = 4.403.383.279 đồng (*)
Lãi phát sinh trên tài sản đảm (Theo thông tin tính toán của công cụ nợ gốc)
L = 660.507.492 đồng (*)
Giá trị thanh toán lần 2
V2 = V1 + L - LV - RND - Lãi phạt
= 93.699.900.000 + 660.507.492 - 4.403.383.279-2.882.519 - 3.183.891.570
= 86.770.250.124 đồng
Lưu ý: (*) thể hiện kết quả các bước trung gian hiển thị số làm tròn để dễ theo dõi.
4. Sử dụng giá của công cụ nợ gốc và công cụ nợ tương đương tại ngày giao dịch lần 1
Tại ngày GD 1 có giá gộp lãi của công cụ nợ gốc GG1 = 104.110,93 đồng (*) và giá gộp lãi của công cụ nợ tương đương GG2 = 115.664,12 đồng (*)
Xác định hệ số chuyển đổi

Xác định khối lượng của công cụ nợ tương đương
KL2 = KL1 x CF = 1.000.000 x 0,900114 = 900.114 công cụ nợ
Làm tròn lô công cụ nợ:
Hai bên thỏa thuận làm tròn lô về đơn vị hàng trăm công cụ nợ, khối lượng công cụ nợ tương đương cần chuyển giao là: 900.100 (công cụ nợ)
Số tiền phát sinh từ việc làm tròn lô công cụ nợ tương đương
RND = (KL2 - KL làm tròn ) x GG2
= (900.114 - 900.100) x 115.664,12 = 1.619.298 đồng (*)
Giá trị tài sản đảm bảo (Theo thông tin tính toán của công cụ nợ gốc)
V1 =93.699.900.000 đồng
Lãi vay công cụ nợ (Theo thông tin tính toán của công cụ nợ gốc)
LV = 4.403.383.279 đồng (*)
Lãi phát sinh trên tài sản đảm (Theo thông tin tính toán của công cụ nợ gốc)
L = 660.507.492 đồng (*)
Giá trị thanh toán lần 2
V2 = V1 + L - LV - RND
= 93.699.900.000 + 660.507.492 - 4.403.383.279 - 1.619.298
= 89.955.404.915 đồng.
Lưu ý: (*) thể hiện kết quả các bước trung gian hiển thị số làm tròn để dễ theo dõi.
PHỤ LỤC XV/TP
GIAO DỊCH BÁN KẾT HỢP MUA LẠI
(Ban hành kèm theo Quy chế Giao dịch công cụ nợ của Chính phủ, công cụ nợ được Chính phủ bảo lãnh do ngân hàng chính sách phát hành và công cụ nợ chính quyền địa phương)
I. Giao dịch bán kết hợp mua lại
Thông tin công cụ nợ giao dịch: TD1621446
Công cụ nợ TD1621446 có kỳ hạn 5 năm, phát hành ngày 07/01/2016, đáo hạn ngày 07/01/2021. Mệnh giá 100.000 đồng.
Công cụ nợ thanh toán lãi định kỳ tiêu chuẩn, trả lãi cuối kỳ vào ngày 07/01 hàng năm (1 lần/năm, k=1), lãi suất danh nghĩa Lc = 6,5%
Thông tin trả lãi công cụ nợ
Ngày trả lãi danh nghĩa năm 2017: 07/01/2017
Ngày thanh toán thực năm 2017: 09/01/2017
Ngày đăng ký cuối cùng cho việc trả lãi công cụ nợ năm 2017: 03/01/2017
Thông tin giao dịch
Ngày giao dịch lần một: 22/01/2016
Ngày thanh toán lần một: 25/01/2016
Khối lượng giao dịch: 1.000.000
Giá yết lần một: 103.791 đồng
Ngày giao dịch lần hai: 01/06/2016
Ngày thanh toán lần hai: 02/06/2016
Giá yết lần hai: 102.000 đồng
Thông tin tính toán
Số ngày thực tế của kỳ trả lãi công cụ nợ có ngày thanh toán lần 1 và ngày thanh toán lần 2 (từ 07/01/2016 đến 07/01/2017): E=366.
Số ngày thực tế kể từ ngày thanh toán lần một (25/01/2016) đến ngày trả lãi danh nghĩa gần nhất (07/01/2017): 348 ngày.
Số ngày thực tế kể từ ngày thanh toán lần hai (02/06/2016) đến ngày trả lãi danh nghĩa gần nhất (07/01/2017): 219 ngày.
Xác định giá trị giao dịch lần 1
Lãi danh nghĩa tích gộp:

- Giá gộp lãi:
GG1 = G + Cc = 103.791 + 320 = 104.111 đồng (*)
- Giá thực hiện giao dịch lần 1:
GM1 = GG1 = 104.111 đồng
- Giá trị giao dịch lần 1:
V1 = GM1 x KL = 104.111 x 1.000.000 = 104.111.000.000 đồng
Xác định giá trị giao dịch lần 2
Lãi danh nghĩa tích gộp:

- Giá gộp lãi
GG1 = G + Cc =102.000 + 2.611 = 104.611 đồng (*)
- Giá thực hiện giao dịch lần 2:
GM2 = GG2 = 104.611 đồng
- Giá trị giao dịch lần 2:
V2 = GM2 x KL= 104.611 x 1.000.000= 104.611.000.000 đồng
Lưu ý: (*) thể hiện kết quả các bước trung gian hiển thị số làm tròn để dễ theo dõi.
II. Sử dụng công cụ nợ tương đương trong giao dịch bán kết hợp mua lại
Thông tin công cụ nợ gốc: TD1621446
Giao dịch bán kết hợp mua lại tương tự ở phần I phụ lục này.
Thông tin công cụ nợ tương đương: TD1323032
Công cụ nợ TD1323032 có kỳ hạn 10 năm, phát hành ngày 30/09/2013, đáo hạn ngày 30/09/2023. Mệnh giá 100.000 đồng.
Công cụ nợ thanh toán lãi định kỳ tiêu chuẩn, trả lãi cuối kỳ vào ngày 30/09 hàng năm (1 lần/năm, k=1), lãi suất danh nghĩa Lc = 8,9%
Lựa chọn có làm tròn lô công cụ nợ tương đương: Hai bên thỏa thuận làm tròn xuống, đơn vị làm tròn về hàng trăm (công cụ nợ).
Số tiền phát sinh từ việc làm tròn lô công cụ nợ tương đương được các bên thanh toán qua hệ thống.
1. Sử dụng đường cong lãi suất xác định hệ số chuyển đổi
Thông tin tính toán
Tại ngày giao dịch lần 2 (01/06/2016), sử dụng đường cong lợi suất để định giá của công cụ nợ gốc và công cụ nợ tương đương như sau:
GG1 = 107.229,65 đồng (*) và GG2 = 123.772,64 đồng (*)
Xác định hệ số chuyển đổi

Xác định khối lượng của công cụ nợ tương đương
KL2 = KL1 x CF = 1.000.000 x 0,866344 = 866.344 công cụ nợ
Làm tròn lô công cụ nợ
Hai bên thỏa thuận làm tròn xuống lô công cụ nợ về đơn vị hàng trăm công cụ nợ, khối lượng công cụ nợ tương đương cần chuyển giao là: 866.300 (công cụ nợ)
Số tiền phát sinh từ việc làm tròn lô công cụ nợ tương đương
RND = (KL2 - KL làm tròn ) x GG2
= (866.344 - 866.300) x 123.772,64 = 5.445.996 đồng (*)
Giá trị thanh toán lần 2
V2 = GM2 x KL - RND
= 104.611 x 1.000.000- 5.445.996
= 104.605.554.004 đồng
Lưu ý: (*) thể hiện kết quả các bước trung gian hiển thị số làm tròn để dễ theo dõi.
2. Sử dụng lợi suất kỳ vọng của công cụ nợ gốc và công cụ nợ tương đương do hai bên tự thỏa thuận
Thông tin giao dịch
Hai bên thỏa thuận về mức lợi suất kỳ vọng của công cụ nợ gốc và công cụ nợ tương đương như sau:
Lợi suất kỳ vọng tại ngày giao dịch lần 2 của công cụ nợ gốc = 6%
Lợi suất kỳ vọng tại ngày giao dịch lần 2 của công cụ nợ tương đương = 6,8%
Sử dụng tool tính toán của hệ thống giao dịch TPCP để tính giá gộp lãi của các công cụ nợ như sau:
GG1 = 104.523,96 đồng (*) và GG2 = 117.729,86 đồng (*)
Xác định hệ số chuyển đổi

Xác định khối lượng của công cụ nợ tương đương
KL2 = KL1 x CF = 1.000.000 x 0,887829 = 887.829 công cụ nợ
Làm tròn lô công cụ nợ
Hai bên thỏa thuận làm tròn xuống lô công cụ nợ về đơn vị hàng trăm công cụ nợ, khối lượng công cụ nợ tương đương cần chuyển giao là: 887.800 (công cụ nợ)
Số tiền phát sinh từ việc làm tròn lô công cụ nợ tương đương
RND = (KL2 - KL làm tròn ) x GG2
= (887.829 - 887.800) x 117.729,86 = 3.414.166 đồng (*)
Giá trị thanh toán lần 2
V2 = GM2 x KL - RND
= 104.611 x 1.000.000 - 3.414.166 = 104.607.585.834 đồng
Lưu ý: (*) thể hiện kết quả các bước trung gian hiển thị số làm tròn để dễ theo dõi.
3. Sử dụng lợi suất của công cụ nợ gốc tại ngày giao dịch lần 1
Hai bên thỏa thuận tính CF dựa trên lợi suất của công cụ nợ gốc tại ngày giao dịch lần một và có áp lãi phạt 3% khi sử dụng công cụ nợ tương đương.
Tại ngày giao dịch 1, công cụ nợ gốc TD1621446 có lợi suất giao dịch là 5,6001%. Sử dụng mức lợi suất này để tính giá của công cụ nợ gốc và công cụ nợ tương đương tại ngày giao dịch 2:
GG1 = 106.129,72 đồng (*)
GG2 = 125.326,92 đồng (*)
Xác định hệ số chuyển đổi

Xác định khối lượng của công cụ nợ tương đương
KL2 = KL1 x CF = 1.000.000 x 0,846823 = 846.823 công cụ nợ
Làm tròn lô công cụ nợ:
Hai bên thỏa thuận làm tròn xuống lô công cụ nợ về đơn vị hàng trăm công cụ nợ, khối lượng công cụ nợ tương đương cần chuyển giao là: 846.800 (công cụ nợ)
Số tiền phát sinh từ việc làm tròn lô công cụ nợ tương đương
RND = (KL2 - KL làm tròn ) x GG2
= (846.823 - 846.800) x 125.326,92 = 2.882.519 đồng (*)
Lãi phạt khi sử dụng công cụ nợ tương đương
Lãi phạt = GG1 x KL1 x Lãi suất phạt
= 106.129,72 x 1.000.000 x 3% = 3.183.891.570 đồng (*)
Giá trị thanh toán lần 2
V2 = GM2 x KL- RND - Lãi phạt
= 104.611 x 1.000.000-2.882.519 - 3.183.891.570
= 101.424.225.911 đồng
Lưu ý: (*) thể hiện kết quả các bước trung gian hiển thị số làm tròn để dễ theo dõi.
4. Sử dụng giá của công cụ nợ gốc và công cụ nợ tương đương tại ngày giao dịch lần 1
Tại ngày GD 1, có giá gộp lãi của công cụ nợ gốc GG1 = 104.110,93 đồng (*) và giá gộp lãi của công cụ nợ tương đương GG2 = 115.664,12 đồng (*)
Xác định hệ số chuyển đổi

Xác định khối lượng của công cụ nợ tương đương
KL2 = KL1 x CF = 1.000.000 x 0,900114 = 900.114 công cụ nợ
Làm tròn lô công cụ nợ:
Hai bên thỏa thuận làm tròn lô về đơn vị hàng trăm công cụ nợ, khối lượng công cụ nợ tương đương cần chuyển giao là: 900.100 (công cụ nợ)
Số tiền phát sinh từ việc làm tròn lô công cụ nợ tương đương
RND = (KL2 - KL làm tròn ) x GG2
= (900.114 - 900.100) x 115.664,12 = 1.619.298 đồng (*)
Giá trị thanh toán lần 2
V2 = GM2 x KL - RND
= 104.611 x 1.000.000 - 1.619.298 = 104.609.380.702 đồng
Lưu ý: (*) thể hiện kết quả các bước trung gian hiển thị số làm tròn để dễ theo dõi.
Bạn chưa Đăng nhập thành viên.
Đây là tiện ích dành cho tài khoản thành viên. Vui lòng Đăng nhập để xem chi tiết. Nếu chưa có tài khoản, vui lòng Đăng ký tại đây!
Bạn chưa Đăng nhập thành viên.
Đây là tiện ích dành cho tài khoản thành viên. Vui lòng Đăng nhập để xem chi tiết. Nếu chưa có tài khoản, vui lòng Đăng ký tại đây!