- Tổng quan
- Nội dung
- Tiêu chuẩn liên quan
- Lược đồ
- Tải về
Tiêu chuẩn Quốc gia TCVN 12570:2018 EN 15662:2008 Nông sản có nguồn gốc thực vật - Xác định dư lượng thuốc bảo vệ thực vật
| Số hiệu: | TCVN 12570:2018 | Loại văn bản: | Tiêu chuẩn Việt Nam |
| Cơ quan ban hành: | Bộ Khoa học và Công nghệ | Lĩnh vực: | Nông nghiệp-Lâm nghiệp |
|
Ngày ban hành:
Ngày ban hành là ngày, tháng, năm văn bản được thông qua hoặc ký ban hành.
|
2018 |
Hiệu lực:
|
Đã biết
|
| Người ký: | Đang cập nhật |
Tình trạng hiệu lực:
Cho biết trạng thái hiệu lực của văn bản đang tra cứu: Chưa áp dụng, Còn hiệu lực, Hết hiệu lực, Hết hiệu lực 1 phần; Đã sửa đổi, Đính chính hay Không còn phù hợp,...
|
Đã biết
|
TÓM TẮT TIÊU CHUẨN VIỆT NAM TCVN 12570:2018
Nội dung tóm tắt đang được cập nhật, Quý khách vui lòng quay lại sau!
Tải tiêu chuẩn Việt Nam TCVN 12570:2018
TIÊU CHUẨN QUỐC GIA
TCVN 12570 : 2018
EN 15662 : 2008
NÔNG SẢN CÓ NGUỒN GỐC THỰC VẬT - XÁC ĐỊNH DƯ LƯỢNG THUỐC BẢO VỆ THỰC VẬT
Agricultural products of plant origin - Determination of pesticide residues
Lời nói đầu
TCVN 12570:2018 hoàn toàn tương đương với EN 15662:2008 Foods of plant origin - Determination of pesticide residues using GC-MS and/or LC-MS/MS following acetonitrile extraction/partitioning by dispersive SPE- QuEChERS method;
TCVN 12570:2018 thay thế TCVN 9333:2012;
TCVN 12570:2018 do Cục Bảo vệ thực vật biên soạn, Bộ Nông nghiệp và Phát triển Nông thôn đề nghị, Tổng cục Tiêu chuẩn Đo lường Chất lượng thẩm định, Bộ Khoa học và Công nghệ công bố.
NÔNG SẢN CÓ NGUỒN GỐC THỰC VẬT - XÁC ĐỊNH DƯ LƯỢNG THUỐC BẢO VỆ THỰC VẬT
Agricultural products of plant origin - Determination of pesticide residues
1 Phạm vi áp dụng
Tiêu chuẩn này quy định phương pháp phân tích dư lượng các thuốc bảo vệ thực vật trong nông sản có nguồn gốc thực vật và các sản phẩm chế biến của chúng,… bằng sắc ký khí khối phổ và sắc ký lỏng khối phổ hai lần. Phương pháp này đã được đánh giá liên phòng trên một số lượng lớn tổ hợp thuốc bảo vệ thực vật và sản phẩm.
2 Nguyên tắc
Mẫu đã đồng nhất được chiết bằng axetonitril. Đối với mẫu có hàm lượng nước thấp (<80 %) phải thêm nước trước khi chiết để có tổng lượng nước khoảng 10 g. Sau khi thêm MgSO4, NaCl và muối đệm citrat, hỗn hợp được lắc mạnh và ly tâm để tách pha. Một phần của pha hữu cơ được làm sạch bằng chiết phân tán pha rắn (d-SPE) với các loại chất hấp phụ kết hợp với MgSO4 để loại nước; Sau khi làm sạch bằng chất hấp phụ amino (Ví dụ: PSA), dịch chiết được axit hóa với một lượng nhỏ axit formic để tăng độ bền của những thuốc BVTV nhạy với bazơ. Dịch chiết sau cùng được xác định trực tiếp bằng LC-MS và GC-MS. Định lượng bằng phương pháp nội chuẩn, dung dịch nội chuẩn được thêm vào dịch chiết sau khi thêm dung môi axetonitril. Tóm tắt của phương pháp được trình bày bằng biểu đồ nêu trong Phụ lục C.
3 Thuốc thử
3.1 Yêu cầu chung và yêu cầu về an toàn
Chỉ sử dụng các thuốc thử thuộc loại tinh khiết phân tích, trừ khi có quy định khác. Tránh làm nhiễm bẩn nước, dung môi và các muối vô cơ,...
3.2 Nước, loại dùng cho HPLC
3.3 Axetonitril, C2H3N, loại dùng cho HPLC
3.4 Metanol, CH3OH, loại dùng cho HPLC
3.5 Amoni format, NH4HCO2
3.6 Magie sulphat khan, MgSO4, dạng hạt
Loại bỏ Phthalat bằng cách nung ở 550 °C trong thời gian ít nhất 6 h.
3.7 Magie sulphat khan, MgSO4, dạng bột
Loại bỏ Phthalat bằng cách nung ở 550 °C trong thời gian ít nhất 6 h.
3.8 Sodium clorua, NaCl
3.9 Disodium hydrogencitrat sesquihydrat, HOC(COOH)(CH2COONa)2.1.5H2O
3.10 Trisodium citrat dihydrat, HOC(COONa)(CH2COONa)2.2H2O
3.11 Dung dịch sodium hydroxit, NaOH, nồng độ 5 mol/l
Hòa tan 2 g sodium hydroxit trong khoảng 5 ml nước và pha loãng thành 10 ml
3.12 Hỗn hợp muối đệm cho quá trình chiết và phân bổ thứ 2
Cân 4 g + 0,2 g magie sulphat khan (3.6), 1 g ± 0,05 g sodium clorua (3.8), 1 g ± 0,05 g trisodium citrat dihydrat (3.10) và 0,5 g ± 0,03 g disodium hydrogencitrat sesquihydrat (3.9) vào trong cốc (4.11). Khối lượng này dùng cho khoảng 10 ml nước trong mẫu.
Đối với mẫu có tính axit cao (pH<3), giá trị pH thường dưới 5 sau khi thêm hỗn hợp muối, để bảo vệ những hợp chất dễ bị phân hủy bởi axit, có thể điều chỉnh giá trị pH bằng cách thêm trực tiếp dung dịch sodium hydroxit 5 mol/l (3.11) vào hỗn hợp muối, cụ thể như sau: 600 μl cho mẫu chanh, phúc bồn tử và 200 μl cho mẫu quả mâm xôi đỏ.
CHÚ THÍCH: Có thể sử dụng các hỗn hợp thương mại cùng thành phần.
3.13 Dung dịch axit formic trong axetonitril, 5 ml axit formic/100 ml
Pha loãng 0,5 ml axit formic (độ tinh khiết ≥ 95 %) thành 10 ml bằng axetonitril (3.3).
3.14 Chất hấp phụ amin bậc 1 bậc 2
Ví dụ: Bondesil-PSA® 40 μm Varian No.12213023.
Những chất hấp phụ amino khác có thể được sử dụng, nhưng cần nghiên cứu để đảm bảo sự tương đương, đặc biệt liên quan đến sự mất mát của chất phân tích và giá trị pH của dịch chiết sau cùng.
3.15 Chất hấp phụ graphit carbon black (GCB)
Ví dụ: Supelco Supelclean Envi-Carb® SPE Bulk Packing, No.57210U
Những chất hấp phụ graphit carbon khác có thể được sử dụng, nhưng cần nghiên cứu để đảm bảo sự tương đương, đặc biệt liên quan đến sự mất mát của chất phân tích.
3.16 Hỗn hợp hấp phụ 1: Hỗn hợp GCB (3.15)/ magie sulphat khan, dạng bột (3.7), 1:59, w/w
Trộn kỹ 2 thành phần để tạo hỗn hợp đồng nhất.
3.17 Hỗn hợp hấp phụ 2: Hỗn hợp GCB (3.15)/ magie sulphat khan, dạng bột (3.7), 1:19, w/w
Trộn kỹ 2 thành phần để có hỗn hợp đồng nhất.
CHÚ THÍCH: Nên chuẩn bị các hỗn hợp hấp phụ 1 (3.16) và 2 (3.17) và bảo quản trong lọ có nắp. Hỗn hợp chất hấp phụ 1 hoặc 2 được cân vào ống ly tâm (4.4) khi làm sạch dịch chiết theo 5.4.3.
3.18 Chất hấp phụ C18, cỡ hạt 50 μm
3.19 Dung dịch nội chuẩn và chuẩn kiểm soát chất lượng trong axetonitril (nồng độ ρ 10 μg/ml đến 50 μg/ml)
Bảng 1 liệt kê danh sách các chất nội chuẩn (ISTD) và chuẩn kiểm soát chất lượng (QC) có thể được sử dụng trong tiêu chuẩn này. Các giá trị nồng độ gợi ý (CISTD) được liệt kê đề cập đến các dung dịch ISTD cần được thêm vào ở bước chiết đầu tiên (5.2). Dung dịch này cần được pha loãng thích hợp
để sử dụng cho việc chuẩn bị các dung dịch chuẩn. Chi tiết xem 3.22.
Bảng 1 Các chất nội chuẩn (ISTD) hoặc chất chuẩn kiểm soát chất lượng (QC)
| Tên hợp chất | Log P (hệ số phân bố octanol- nước) | Số nguyên tử clo | Nồng độ CISTD (μg/ml)a | GC | LC | ||||
| ECD | NPD | MSD | MSD | MS/MS | MS/MS | ||||
|
|
| El (+) | Cl (-) | ESI (+) | ESI (-) | ||||
| ISTD | |||||||||
| PCB 18 | 5,55 | 3 | 50 | +++ | - | ++ | +++ | - | - |
| PCB 28 | 5,62 | 3 | 50 | +++ | - | ++ | +++ | - | - |
| PCB 52 | 6,09 | 4 | 50 | +++ | - | ++ | +++ | - | - |
| Triphenyl phosphate | 4,59 | - | 20 | - | +++ | +++ | - | +++ | - |
| Tris-(1,3-dichlorisopropyl)- phosphate | 3,65 | 6 | 50 | +++ | +++ | +++ | +++ | +++ | + |
| Triphenylmethane | 5,37 | - | 10 | - | - | +++ | - | - | - |
| Bis-nitrophenyl urea (nicarbazin) | 3,76 | - | 10 | - | - | - | - | - | +++ |
| Chuẩn QC (có thể được pha cùng hỗn hợp với các chất ISTD khác hoặc thêm vào các giai đoạn phân tích khác nhau để phát hiện và xác định nguyên nhân gây sai lệch) | |||||||||
| PCB 138b | 6,83 | 6 | 50 | +++ | - | ++ | +++ | - | - |
| PCB 153b | 7,75 | 6 | 50 | +++ | - | ++ | +++ | - | - |
| Anthracene (hoặc d10 của anthracene)c | 4,45 | - | 100 | - | - | ++ | - | - | - |
| a Nồng độ mẫu của dung dịch ISTD được thêm vào mẫu thử ở bước 5.2, dùng dung môi axetonitril. b Hiệu suất thu hồi của PCB 138 và 135 giảm khi lượng lipid trong mẫu tăng, hiệu suất thu hồi của 2 hợp chất này hơn 70 % cho thấy rằng không có sự mất mát đáng kể ngay cả với những thuốc BVTV có tính chất ưa dấu nhất. c Hiệu suất thu hồi của anthracene hơn 70 % cho thấy không có sự mất mát đáng kể của thuốc BVTV có ái lực với carbon cao trong suốt giai đoạn chiết phân tán SPE với GCB. | |||||||||
3.20 Các dung dịch chuẩn gốc thuốc bảo vệ thực vật
Chuẩn bị riêng các dung dịch gốc của các chất chuẩn phân tích ở các nồng độ đủ cao để có thể chuẩn bị các dung dịch chuẩn làm việc của các hỗn hợp thuốc BVTV (3.21).
Thông thường, các dung dịch gốc được bảo quản ở nhiệt độ bằng hoặc nhỏ hơn -18 °C. Kiểm tra định kỳ độ ổn định của các dung dịch gốc trong quá trình bảo quản. Trong một số trường hợp, axit hoặc bazơ có thể được thêm vào để tăng độ ổn định và kéo dài thời gian bảo quản. Trước khi sử dụng phải hòa tan hết các kết tủa nếu có.
3.21 Dung dịch chuẩn làm việc
Vì phương pháp này có phạm vi áp dụng rộng và do độ không ổn định pH của thuốc BVTV nên có thể cần đến nhiều hỗn hợp với các thành phần khác nhau để phủ toàn bộ phổ thuốc BVTV cần phân tích. Các hỗn hợp này được chuẩn bị bằng cách trộn các thể tích xác định của các dung dịch gốc (3.20) và pha loãng với axetonitril (3.3). Các nồng độ thuốc BVTV trong những hỗn hợp này nên đủ lớn để chuẩn bị dung dịch chuẩn chuẩn trong nền mẫu (3.22.2) với độ pha loãng trung bình của dịch chiết mẫu trắng (Ví dụ: dưới 20 %).
Thông thường, các dung dịch chuẩn làm việc hỗn hợp được bảo quản ở nhiệt độ bằng hoặc nhỏ hơn -18 °C. Kiểm tra định kỳ độ ổn định của các dung dịch gốc trong quá trình bảo quản. Trong một số trường hợp, việc bổ sung axit hoặc bazơ có thể tăng độ ổn định và kéo dài thời gian bảo quản.
3.22 Dung dịch chuẩn (hỗn hợp đường chuẩn)
3.22.1 Dung dịch chuẩn trong dung môi
Dung dịch chuẩn trong dung môi được chuẩn bị bằng cách trộn một thể tích xác định của dung dịch chuẩn làm việc hỗn hợp (
, 3.21) và dung dịch ISTD (
, 3.19), định mức bằng axetonitril (3.3).
Thể tích của dung dịch nội chuẩn (
) phụ thuộc vào thể tích của dung dịch chuẩn được chuẩn bị
và nồng độ ISTD trong dung dịch chuẩn và mẫu thử phải tương đương nhau (5.3, 5.4).
Ví dụ: Nếu chuẩn bị 1 ml chuẩn trong dung môi thì thể tích dung dịch ISTD thêm vào chứa lượng ISTD
sẽ nhỏ hơn 10 lần so với lượng ISTD thêm vào mẫu thử được chiết với 10 ml axetonitril. Điều này cho thấy rằng nồng độ dung dịch nội chuẩn có sự pha loãng tương ứng (trong trường hợp này
). Do đó, nên sử dụng cùng thể tích để thêm ISTD vào mẫu thử và dung dịch chuẩn. Bảng 2 nêu tỉ lệ của lượng ISTD thêm vào mẫu thử (5.2.3) và dung dịch chuẩn (3.22).
Chuẩn bị các dung dịch chuẩn nhiều nồng độ để dựng đường chuẩn có thể bao phủ khoảng nồng độ rộng (6.2).
CHÚ THÍCH: Nồng độ thuốc BVTV1 μg/ml tương ứng với mức dư lượng 1 mg/kg khi dùng 10 g mẫu (nếu mẫu có hàm lượng nước trên 30 %) hoặc 2 mg/kg khi dùng 5 g mẫu (đối với ngũ cốc).
3.22.2 Dung dịch chuẩn trong nền mẫu (dung dịch chuẩn phù hợp với nền mẫu):
Chuẩn bị các dung dịch chuẩn trong nền mẫu giống như với chuẩn bị dung dịch chuẩn trong dung môi nhưng thay axetonitril tinh khiết bằng dịch chiết (mẫu trắng quá trình chuẩn bị như trong bước 5.1 đến 5.4, nhưng không thêm ISTD). Để giảm thiểu các sai số do ảnh hưởng của nền mẫu trong quá trình chạy sắc ký, tốt nhất là chọn những sản phẩm tương tự (Ví dụ: táo dùng cho các loại mẫu nhóm táo, carot dùng cho các loại mẫu nhóm carot,...). Nếu dịch chiết mẫu trắng pha loãng hơn 20 % khi thêm dung dịch chuẩn làm việc thuốc BVTV, có thể điều chỉnh thể tích để tránh những sai số gây ra bởi sự khác nhau về sự ảnh hưởng của nền mẫu giữa dịch chiết mẫu và chuẩn trong nền mẫu.
Độ ổn định của thuốc BVTV trong các dung dịch chuẩn trong nền mẫu có thể thấp hơn độ ổn định của các dung dịch chuẩn trong axetonitril tinh khiết và phải được kiểm tra kỹ.
Bảng 2 Tỷ lệ của lượng ISTD thêm vào mẫu thử và dung dịch chuẩn (hỗn hợp đường chuẩn)
| Thể tích dung dịch chuẩn |
|
| 1 | 10 |
| 2 | 5 |
| 5 | 2 |
| 10 | 1 |
| CHÚ THÍCH Giá trị trong bảng này áp dụng cho dịch chiết mẫu 10 ml (nghĩa là thêm 10 ml axetonitril ở bước 5.2.3. Mẫu trắng dùng để chuẩn bị dung dịch chuẩn trong nền mẫu nên được chiết giống như mẫu thử. | |
3.23 Nước lạnh (<4°C)
3.24 Đá khô
3.25 Pha động A1: Dung dịch amoni format trong nước, c = 5 mmol/l
3.26 Pha động B1: Dung dịch amoni format trong metanol, c = 5 mmol/l
3.27 Pha động A2: Dung dịch axit axetic trong nước, φ = 0,1 ml axit axetic băng/l
3.28 Pha động B2: Dung dịch axit axetic trong axetonitril, φ = 0,1 ml axit axetic băng/l
3.29 Pha động A3: Metanol/nước 2 +8 (v/v) với 5 mmol/l amoni format
3.30 Pha động B3: Metanol/nước 9 +1 (v/v) với 5 mmol/l amoni format
4 Dụng cụ
Sử dụng các dụng cụ của phòng thử nghiệm thông thường cụ thể sau:
4.1 Thiết bị xử lý mẫu, Ví dụ: Stephan UM 5
4.2 Thiết bị phân tán tốc độ cao
Đường kính của bộ phận phân tán phải vừa với ống ly tâm sử dụng (4.4)
4.3 Pipet tự động, có khả năng lấy chính xác từ 10-100 μl, 200-1000 μl và 1-10 ml
CHÚ THÍCH Có thể sử dụng pipet thủy tinh 10 ml
4.4 Ống ly tâm với nắp vặn, 50 ml
Ví dụ a) Ống ly tâm 50 ml bằng nhựa poly-tetrafluoroethylen với nắp vặn, hoặc
b) Ống ly tâm polypropylen 50 ml với nắp vặn
4.5 Ống ly tâm polypropylene dùng một lần với nắp vặn, 10 ml hoặc 12 ml
4.6 Bộ phân phối dung môi 10 ml dùng cho axetonitril, dùng trong 5.2.3
4.7 Máy ly tâm, thích hợp với các ống ly tâm được sử dụng trong quy trình (4.4 và 4.5) và có khả năng đạt tốc độ tối thiểu 3000 r/min
4.8 Phễu, vừa với những ống ly tâm sử dụng
4.9 Vial 1,5 ml dùng cho tiêm mẫu tự động GC và LC, sử dụng micro-insert, khi cần thiết
4.10 Vial thủy tinh có nắp, 20 ml, để giữ phần thừa của dịch chiết sau cùng, nếu cần thiết
4.11 Cốc nhựa 25 ml (có thể xếp chồng lên nhau), dùng để giữ các phần hỗn hợp muối đệm
4.12 Bộ chia mẫu, chia phần muối và các chất hấp phụ tự động
Ví dụ, Retsch/Haan, PT 100 hoặc Fritsch/Idar-Oberstein, Laborette 27 hoặc Bürkle/Lörrach. Việc sử dụng thiết bị này không bắt buộc nhưng nên sử dụng khi số lượng mẫu nhiều.
CHÚ THÍCH: Hai thiết bị đầu tiên dùng để chia hỗn hợp muối-đệm (3.12), Bürkle/Lörrach dùng cho lượng chất rắn nhỏ hơn và thích hợp cho việc chia phần hỗn hợp PSA (3.14)/ magie sulphat (3.6) khi chiết phân tán SPE (5.4.2). Ống ly tâm polypropylene 10 ml hãng Simport Cnada, 17 mm x 84 mm, mã số T550-10AT (4.5) thích hợp với Bürkle Repro.
4.13 Máy lắc vortex (dùng cho nghiên cứu hiệu suất thu hồi)
4.14 Máy sắc ký lỏng khối phổ hai lần (LC-MS/MS), được trang bị nguồn ion hóa phun điện tử (ESI) (xem Phụ lục A)
4.15 Máy sắc ký khí khối phổ (GC-MS), được trang bị với những detector thích hợp: MS, MS/MS, TOF và với PTV-injector (xem Phụ lục A)
5 Cách tiến hành
5.1 Chuẩn bị và bảo quản mẫu thử
5.1.1 Yêu cầu chung
Quy trình xử lý và bảo quản mẫu không được làm ảnh hưởng đến dư lượng thuốc BVTV có trong mẫu thử (còn được gọi là mẫu phân tích). Quy trình xử lý mẫu cần đảm bảo mẫu thử đồng nhất. Nếu một phần mẫu thử không đại diện cho mẫu phân tích thì phải dùng phần mẫu thử lớn hơn hoặc các mẫu lặp lại để thu được kết quả đúng. Nghiền nhỏ mẫu sẽ chiết được dư lượng tốt hơn.
5.1.2 Mẫu phòng thử nghiệm
Khi mẫu đã bị hỏng không thực hiện phân tích. Nên tiến hành chuẩn bị mẫu ngay khi phòng thử nghiệm nhận được, trước khi có sự thay đổi đáng kể về lý hóa. Nếu không thể chuẩn bị mẫu ngay thì phải bảo quản mẫu trong các điều kiện thích hợp để giữ mẫu được độ tươi và tránh suy giảm chất lượng. Nhìn chung, mẫu phòng thử nghiệm không nên bảo quản quá 3 ngày trước khi chuẩn bị. Mẫu đã sấy hoặc đã xử lý tương tự cần được phân tích trong thời hạn sử dụng đã công bố.
5.1.3 Mẫu thử được xử lý sơ bộ
Để chuẩn bị mẫu thử, chỉ lấy phần mẫu phòng thử nghiệm (PTN) áp dụng mức dư lượng tối đa. Có thể loại bỏ các phần còn lại của mẫu.
Việc rút gọn mẫu PTN phải thực hiện sao cho thu được phần mẫu đại diện (Ví dụ: chia bốn và chọn những phần chéo đối diện nhau). Nếu mẫu là các đơn vị nhỏ (Ví dụ: những loại quả nhỏ, đậu đỗ, ngũ cốc,...) phải trộn đều mẫu trước khi cân phần mẫu thử. Nếu mẫu là các đơn vị lớn hơn lấy các phần hình rẻ quạt (Ví dụ: dưa hấu) hoặc là những phần cắt ngang (Ví dụ: dưa chuột) gồm cả lớp vỏ từ mỗi đơn vị mẫu.
5.1.4 Mẫu thử
Từ mỗi mẫu thử đã xử lý sơ bộ, loại ra các phần khó đồng nhất. Đối với quả hạch cần loại hạt cứng. Ghi lại phần mẫu đã loại ra. Cần chú ý để tránh hao hụt phần thịt hoặc phần nước. Tính dư lượng theo khối lượng ban đầu của mẫu thử (bao gồm cả hạt).
Nếu mẫu khó đồng nhất hoặc khó chiết dư lượng thuốc BVTV do kích thước mẫu lớn nên nghiền nhỏ mẫu bằng biện pháp thích hợp. Thực hiện ở nhiệt độ phòng nếu sự tách phần thịt và phần nước hoặc sự suy giảm thuốc BVTV xảy ra không đáng kể. Nghiền mẫu ở trạng thái đông lạnh làm giảm đáng kể sự thất thoát các chất phân tích không ổn định về tính chất hóa học, thường cho cỡ hạt nhỏ và đạt được độ đồng đều cao. Cắt thô mẫu (Ví dụ: 3 cm x 3 cm) và đặt vào tủ đông (Ví dụ: để qua đêm ở nhiệt độ - 18 °C) trước khi nghiền. Quá trình xử lý cũng có thể tốt hơn và hiệu quả hơn bằng cách nghiền đông lạnh (dùng đá khô hoặc nitơ lòng) giữ ở nhiệt độ dưới 0 °C. Đặc biệt đối với rau và quả có vỏ mỏng (Ví dụ: cà chua, nho), việc nghiền đông lạnh thường cho sản phẩm nghiền đồng nhất hơn so với khi nghiền ở nhiệt thường. Khi mẫu thử được xử lý ở nhiệt độ thấp, cần tránh sự ngưng tụ do độ ẩm cao. Lượng cacbon dioxit còn dư cần được phân tán sao cho lượng có trong mẫu là không đáng kể.
5.1.5 Phần mẫu thử:
Từ mẫu thử đã nghiền lấy các phần mẫu thử riêng lẻ đủ cho một phép phân tích. Các phần mẫu thử này cần được phân tích ngay. Nếu không được phân tích ngay thì bảo quản đông lạnh mẫu thử. Khi sử dụng mẫu thử đã đông lạnh, phải rã đông và trộn đều mẫu thử trước khi lấy.
5.1.6 Đồng nhất quả khô và những mẫu tương tự (< 30 % nước)
Thêm 850 g nước lạnh (3.23) vào 500 g mẫu đã đông lạnh và đồng nhất hỗn hợp này (nếu có thể, thêm đá khô).
5.2 Bước chiết mẫu đầu tiên
5.2.1 Cân mẫu
Chuyển một phần mẫu (ma) đại diện cho mẫu đã được đồng nhất vào ống ly tâm 50 ml (4.4). Đối với mẫu rau, quả: cân 10 g ± 0,1 g (ma) vào ống ly tâm 50 ml. Đối với mẫu quả khô đồng nhất như ở phần 5.1.6 cân 13,5 g mẫu đã được đồng nhất tương đương với 5 g mẫu (ma). Đối với những nguyên liệu mẫu khô như sản phẩm ngũ cốc, mật ong cân 5 g ± 0,05 g (ma) phần mẫu đã đồng nhất. Đối với những sản phẩm lên men hoặc những gia vị cân 2 g ± 0,03 g (ma).
5.2.2 Thêm nước
- Đối với mẫu có hàm lượng nước < 80 %: thêm lượng nước lạnh (3.23) đủ để tổng lượng nước trong ống xấp xỉ 10 g. Xem Bảng 3 Hàm lượng nước của một số thực phẩm và lượng nước cần bổ sung.
CHÚ THÍCH: Đối với phần mẫu thử đồng nhất theo 5.1.6 không cần thêm nước.
Bảng 3- Hàm lượng nước của một số thực phẩm và lượng nước cần bổ sung
| Nhóm thực phẩm | Thực phẩm | Hàm lượng nước điển hình g/100 g | Lượng nước cần bổ sung vào 10 g phần mẫu thử, g | Lượng nước cần bổ sung vào 5 g phần mẫu thử, g | |||
| Trái cây | |||||||
| Quả có múi | Nước từ quả có múi | 90 | 1 |
| |||
| Bưởi | 90 | 1 |
| ||||
| Chanh | 90 | 1 |
| ||||
| Cam | 85 | 1,5 |
| ||||
| Vỏ cam | 75 | 2,5 |
| ||||
| Quýt | 90 | 1 |
| ||||
| Quả dạng táo | Táo | 85 | 1,5 |
| |||
| Táo khô | 30 |
| 8,5 | ||||
| Nước sốt táo | 80 | 2 |
| ||||
| Nước táo | 90 | 1 |
| ||||
| Lê | 85 | 1,5 |
| ||||
| Quả hạch | Mơ | 85 | 1,5 |
| |||
| Mơ khô | 30 |
| 8,5 | ||||
| Anh đào | 85 | 1,5 |
| ||||
| Mận vàng | 80 | 2 |
| ||||
| Đào trơn | 85 | 1,5 |
| ||||
| Đào | 90 | 1 |
| ||||
| Đào khô | 20 |
| 9 | ||||
| Mận | 85 | 1,5 |
| ||||
| Mận khô | 20 |
| 9 | ||||
| Quả nhỏ và mềm | Mâm xôi đen | 85 | 1,5 |
| |||
| Việt quất | 85 | 1,5 |
| ||||
| Phúc bồn tử | 85 | 1,5 |
| ||||
| Lý gai | 90 | 1 |
| ||||
| Nho | 80 | 2 |
| ||||
| Mâm xôi đỏ | 85 | 1,5 |
| ||||
| Nho khô | 20 |
| 9 | ||||
| Dâu tây | 90 | 1 |
| ||||
| Loại trái cây khác | Dứa | 85 | 1,5 |
| |||
| Chuối | 75 | 2,5 |
| ||||
| Kiwi | 85 | 1,5 |
| ||||
| Xoài | 80 | 2 |
| ||||
| Đu đủ | 90 | 1 |
| ||||
| Rau | |||||||
| Rau ăn củ và rau ăn rễ | Củ cải đường | 90 | 1 |
| |||
| Cà rốt | 90 | 1 |
| ||||
| Cần tây | 90 | 1 |
| ||||
| Mùi tây | 90 | 1 |
| ||||
| Củ cải | 95 | 0,5 |
| ||||
| Hẹ tây | 80 | 2 |
| ||||
| Rau thân hành | Tỏi | 60 |
| 7 | |||
| Hành tây | 90 | 1 |
| ||||
| Rau dạng quả | Cá tím | 90 | 1 |
| |||
| Dưa chuột | 95 | 0,5 |
| ||||
| Dưa tây | 90 | 1 |
| ||||
| Ớt ngọt | 90 | 1 |
| ||||
| Bí ngô | 95 | 0,5 |
| ||||
| Cà chua | 95 | 0,5 |
| ||||
| Bí ngòi | 95 | 0,5 |
| ||||
| Rau họ cải | Súp lơ xanh | 90 | 1 |
| |||
| Cải Bruxen | 85 | 1,5 |
| ||||
| Súp lơ trắng | 90 | 1 |
| ||||
| Cải thảo | 95 | 0,5 |
| ||||
| Cải xoăn | 90 | 1 |
| ||||
| Su hào | 90 | 1 |
| ||||
| Bắp cải tím | 90 | 1 |
| ||||
| Bắp cải lá nhăn | 90 | 1 |
| ||||
| Bắp cải trắng | 90 | 1 |
| ||||
| Rau ăn lá và rau thơm | Xà lách | 95 |
|
| |||
| Hành tăm | 85 | 1,5 |
| ||||
| Cải xoong | 90 | 1 |
| ||||
| Diếp xoăn | 95 | 0,5 |
| ||||
| Diếp cuộn đầu | 95 | 0,5 |
| ||||
| Cải chíp | 85 | 1,5 |
| ||||
| Mùi tây | 80 | 2 |
| ||||
| Rau chân vịt | 90 | 1 |
| ||||
| Rau diếp | 95 | 0,5 |
| ||||
| Rau ăn thân | Atiso | 85 | 1,5 |
| |||
| Măng tây | 95 | 0,5 |
| ||||
| Cần tây | 95 | 0,5 |
| ||||
| Tỏi tây | 85 | 1,5 |
| ||||
| Đại hoàng | 95 | 0,5 |
| ||||
| Đậu hạt (tươi) | Đậu hạt | 90 | 1 |
| |||
| Đậu quả | 80 | 2 |
| ||||
| Đậu hạt (khô) | Đậu hạt, đậu Hà Lan, đậu lăng | 10 |
| 9,5 | |||
| Các loại khác |
|
|
|
| |||
|
| Bia | 90 | 1 |
| |||
| Ngũ cốc (dạng hạt, bột,...) | 10 |
| 9,5 | ||||
| Cà phê (nguyên liệu) | 10 |
| 9,5 | ||||
| Nấm | 90 | 1 |
| ||||
| Khoai tây | 80 | 2 |
| ||||
| Chè | 10 |
| 9,5 | ||||
| Rượu vang | 90 | 1 |
| ||||
5.2.3 Thêm dung môi và nội chuẩn (ISTD)
Thêm 10 ml axetonitril và một thể tích nhỏ xác định của dung dịch ISTD (
, VD 100 μl) chứa một hoặc một vài chất được nêu trong Bảng 1 ở những nồng độ được đề nghị (CISTD).
5.2.4 Chiết mẫu
Đóng chặt nắp của ống ly tâm và lắc mạnh trong 1 min. Có thể tăng thời gian chiết 20 min cùng với việc sử dụng máy lắc (4.13) hoặc thiết bị phân tán tốc độ cao (4.2) để tăng hiệu suất chiết. Bộ phận phân tán mẫu được để ngập trong hỗn hợp mẫu/axetonitril và xay từ 2 đến 5 min ở tốc độ cao. Cần đảm bảo rằng không có sự phân hủy đáng kể đối với các thuốc BVTV phân tích. Khi đã thêm dung dịch ISTD, không cần tráng rửa bộ phận phân tán mẫu. Tuy nhiên, cần được làm sạch hoàn toàn trước khi sử dụng cho mẫu tiếp theo để tránh nhiễm bẩn chéo.
Cần đảm bảo rằng bộ phận phân tán mẫu có thể vừa với ống ly tâm (4.4).
Mẫu nên được chiết ở trạng thái đông lạnh hoặc đang tan (trừ trường hợp mẫu khô với hàm lượng nước nhỏ hơn 20 %). Nếu mẫu được chiết ở nhiệt độ môi trường, cần đảm bảo rằng không có sự phân hủy đáng kể của những thuốc BVTV phân tích.
5.3 Bước chiết thứ hai và phân bổ
Thêm hỗn hợp muối đệm (3.12) vào phần dung dịch thu được từ 5.2. Đóng chặt nắp, lắc mạnh ngay trong 1 min và ly tâm trong 5 min ở tốc độ lớn hơn 3000 r/min.
CHÚ THÍCH: Đối với mẫu có hàm lượng axit cao, như: chanh, phúc bồn tử, quả mâm xôi đỏ thì sử dụng hỗn hợp muối đệm có thêm NaOH đã nêu trong mục 3.12.
Khi có nước, magie sulphat có khuynh hướng vón cục và cứng rất nhanh. Điều này có thể tránh được bằng cách lắc mạnh trong vài giây ngay sau khi thêm hỗn hợp muối vào ống ly tâm. Bước chiết 1 min còn lại có thể được tiến hành song song sau khi muối được thêm vào tất cả các mẫu.
Những thuốc BVTV có nhóm axit sẽ tương tác với chất hấp phụ amino như PSA. Do vậy, nếu những thuốc BVTV này nằm trong phạm vi phân tích, xác định chúng trực tiếp từ dịch chiết sau ly tâm trước khi làm sạch (5.4) bằng cách cho dịch chiết thô vào vial và phân tích bằng LC-MS/MS. Điều kiện LC-MS/MS cho các thuốc BVTV axit được nêu trong Phụ lục A.
5.4 Làm sạch
5.4.1 Loại đường, chất béo, sáp thực vật cộng chiết (đối với mẫu ngũ cốc, quả có múi)
Chuyển 8 ml dung dịch của pha axetonitril (5.3) vào ống ly tâm (4.5) và giữ qua đêm trong tủ đông (đối với mẫu bột chỉ cần để 2 giờ), với cách này phần lớn chất béo và sáp thực vật sẽ đóng rắn và kết tủa. Có thể ly tâm khi cần thiết, sau đó lấy 6 ml dịch chiết vẫn còn lạnh để dùng cho chiết phân tán pha rắn (d-SPE) ở bước 5.4.2.
CHÚ THÍCH: Việc đông lạnh cũng giúp loại một phần các chất cộng chiết trong mẫu do độ tan bị giới hạn trong axetonitril, Ví dụ như đường. Những chất cộng chiết như chất béo và sáp thực vật ảnh hưởng không tốt đến độ ổn định khi phân tích bằng GC cũng có thể được loại bỏ một cách hiệu quả bằng cách sử dụng chất hấp phụ pha đảo nền silica (ODS-, C18). Đối với trường hợp này, sử dụng 25 mg ODS, 25 mg PSA và 150 mg MgSO4 cho 1 ml dịch chiết. Những thuốc BVTV, những chuẩn QC và ISTD đã đưa ra (xem Bảng 1) không bị ảnh hưởng bởi những xử lý này.
5.4.2 Làm sạch bằng PSA
Cho 6 ml dịch chiết của pha axetonitril (5.3 hoặc 5.4.1) vào ống ly tâm PP dùng một lần (4.5) chứa 150 mg PSA (3.14) và 900 mg MgSO4 khan (3.6), đóng chặt nắp, lắc mạnh trong 30 s và ly tâm trong 5 min ở tốc độ > 3000 r/min. Ngay sau đó, tách và axit hóa dịch chiết đã được làm sạch như trong phần 5.4.4.
Tùy vào loại mẫu, đối với 1 ml dịch chiết, sử dụng 25 mg PSA ,150 mg hỗn hợp hấp phụ 1 hoặc 2 khi cần thiết.
CHÚ THÍCH: Cần chuẩn bị các ống ly tâm với các chất hấp phụ phân tán SPE trước khi chiết khi phân tích nhiều mẫu cùng lúc, có thể sử dụng thiết bị chia mẫu (4.12) cho quá trình này.
5.4.3 Làm sạch bằng hỗn hợp PSA và GCB
- Đối với mẫu có hàm lượng carotinoit cao (Ví dụ: ớt ngọt đỏ, carot,...) hoặc diệp lục cao (Ví dụ: rau muống, cải xoăn,...), dùng kết hợp PSA và GCB
- Đối với mẫu carot: Cho 6 ml dịch chiết của pha axetonitril (5.3) vào ống ly tâm (4.5) chứa 150 mg PSA (3.14) và 900 mg hỗn hợp hấp phụ 1 (3.16), đóng chặt nắp, lắc mạnh trong 2 min và ly tâm trong 5 min ở tốc độ > 3000 r/min. Ngay sau đó, tách và axit hóa dịch chiết đã được làm sạch như trong phần 5.4.4.
- Đối với ớt đỏ ngọt, rau cải xoăn, rau diếp: Cho 6 ml dịch chiết của pha axetonitril (5.3) vào ống ly tâm (4.5) chứa 150 mg PSA (3.14) và 900 mg hỗn hợp hấp phụ 2 (3.17), đóng chặt nắp, lắc mạnh trong 2 min và ly tâm trong 5 min ở tốc độ > 3000 r/min. Ngay sau đó, tách và axit hóa dịch chiết đã được làm sạch như trong phần 5.4.4.
Đối với 1 ml dịch chiết, sử dụng 25 mg PSA và 150 mg hỗn hợp hấp phụ 1 hoặc 2 tùy nền mẫu khi cần thiết.
CHÚ THÍCH: Cần chuẩn bị các ống ly tâm với các chất hấp phụ phân tán SPE trước khi chiết khi phân tích nhiều mẫu cùng lúc, có thể sử dụng thiết bị chia mẫu (4.12) cho quá trình này.
5.4.4 Ổn định dịch chiết
Axit hóa 5 ml dịch chiết trong suốt đã được làm sạch từ 5.4.2 hoặc 5.4.3 bằng 50 μl dung dịch axit formic 5 % (3.13) trong acetonitrile. Cho phần dịch chiết đã điều chỉnh pH vào vial và phân tích bằng GC hoặc LC. Phần dịch chiết còn lại được để vào tủ lạnh và sử dụng khi cần thiết.
Đối với 1 ml dịch chiết, cần sử dụng 10 μl dung dịch axit formic 5 % trong axetonitril (3.13).
5.5 Xác định
Tiêm dịch chiết mẫu thu được từ 5.4.4 (đối với thuốc BVTV chứa nhóm axit sử dụng dịch chiết thô từ 5.3) và các dung dịch chuẩn (3.22) vào thiết bị GC hoặc LC theo một trình tự thích hợp.
Có thể tiến hành đo trên các thiết bị khác với các thông số của thiết bị và cột khác. Một số thông số của thiết bị và cột được nêu trong Phụ lục A đã được biết là cho kết quả tốt.
Những điều kiện thí nghiệm thích hợp cho LC-MS/MS, xem CEN/TR 15641 [5]. Những điều kiện thí nghiệm thích hợp cho GC-MS, tham khảo [3]. Tuy nhiên, việc điều chỉnh trên thiết bị sử dụng theo bản chất chất phân tích sẽ cho độ nhạy tốt hơn.
5.6 Thử nghiệm độ nhiễu và hiệu suất thu hồi
Chuẩn bị mẫu trắng và thực hiện phân tích các mẫu thu hồi thêm chuẩn ở những nồng độ khác nhau thích hợp. Sắc ký đồ của mẫu trắng không nên có những pic nhiễu đáng kể ở thời gian lưu của các chất phân tích.
6 Đánh giá kết quả
6.1 Nhận biết và định lượng
Các thông số xác định sự có mặt của chất phân tích trong dịch chiết mẫu, bao gồm:
1) Thời gian lưu của chất phân tích (RT), tỷ lệ thời gian lưu so với ISTD (Rt(A)/Rt(ISTD)) từ cùng một lần chạy.
2) Hình dạng pic của chất phân tích
3) Trường hợp phát hiện bằng MS hoặc MS-MS, cường độ tương đối của mảnh khối được ghi nhận (thông thường, MS-MS yêu cầu 2 bước chuyển SRM và 3 ion trong MS)
Các thông số thu được của chất phân tích cần xác định trong dịch chiết mẫu được so sánh với những thông số thu được của thuốc BVTV trong dung dịch chuẩn. Để tăng mức độ xác nhận của chất phân tích, các phép đo khác có thể cần thiết như sử dụng điều kiện tách sắc ký khác hoặc đánh giá thêm m/z hoặc bước chuyển SRM. Để biết thêm các thông tin về tiêu chuẩn xác nhận, tham khảo hướng dẫn kiểm soát chất lượng EU được nêu trong tài liệu SANTE/2007/3131[1]. Bảng 1 đưa ra danh sách các ISTD được sử dụng. Sử dụng nhiều hơn một chất nội chuẩn ISTD cung cấp thêm thông tin dự phòng.
Sử dụng dung dịch chuẩn (3.22.1 hoặc 3.22.2) để kiểm tra độ tuyến tính và xác định các phương trình đường chuẩn đối với từng chất như trong 6.2. Có thể sử dụng chuẩn trong nền mẫu, tuy nhiên khi ước tính mức dư lượng của thuốc BVTV trong thực phẩm hoặc cho thấy không có sự hiện diện của chúng thì dung dịch chuẩn trong dung môi có thể được sử dụng. Dung dịch chuẩn trong dung môi cũng được sử dụng để định lượng nếu các thực nghiệm ban đầu cho thấy mọi hiệu ứng tăng hoặc giảm không có bất kỳ ảnh hưởng nào đáng kể đến kết quả thu được. Ngay khi phát hiện được các nồng độ dư lượng có liên quan (Ví dụ, nghi ngờ vượt quá MRL), tốt nhất là sử dụng phép xác định chính xác hơn như: dùng chuẩn trong nền mẫu (3.22.2) hoặc phương pháp thêm chuẩn (6.3).
CHÚ THÍCH 1: Hiệu ứng nền ảnh hưởng đến sự đáp ứng của các chất phân tích trong dịch chiết mẫu được so sánh với sự đáp ứng của dung dịch chuẩn trong dung môi tinh khiết.
CHÚ THÍCH 2: Khoảng đường chuẩn nên phù hợp với các nồng độ dư lượng cần định lượng. Do đó, có thể cần phải xây dựng nhiều đường chuẩn từ các kết quả đo.
Tiêu chuẩn này quy định việc sử dụng một nội chuẩn cho định lượng và nhận biết. Tuy nhiên vẫn có thể định lượng không sử dụng nội chuẩn. Khi không sử dụng ISTD, thể tích của pha axetonitril (5.3) chính là thể tích của axetonitril được thêm vào trong mẫu 5.2.3 (10 ml).
Khi sử dụng ISTD thì điều quan trọng là mọi thay đổi tín hiệu của ISTD sẽ ảnh hưởng trực tiếp đến nồng độ của chất phân tích tính được. Tốt nhất là tín hiệu của ISTD chỉ thay đổi do sự khác nhau về thể tích và do đó tăng độ chính xác của phép đo. Tuy nhiên, còn có các yếu tố không mong muốn khác có thể ảnh hưởng đến tín hiệu ISTD làm sai lệch kết quả định lượng chất phân tích. Sự hao hụt ISTD trong quá trình phân bố hoặc làm sạch cũng dẫn đến định lượng quá cao nồng độ chất phân tích. Những hao hụt này cần được giảm thiểu. Sự triệt tiêu đặc thù tín hiệu ISTD, có khả năng xuất hiện trong LC-MS do các thành phần nền mẫu được rửa giải cùng, cũng có thể dẫn đến sự đánh giá quá cao kết quả phân tích. Trong khi đó, sự gia tăng tương đối tín hiệu ISTD, điển hình trong GC vì sự có mặt của những chất cộng chiết trong nền mẫu, làm cho nồng độ chất phân tích. Do vậy, ISTD dùng trong GC nên là những chất không bị ảnh hưởng đáng kể bởi hiện tượng gia tăng do nền mẫu. Trong LC-MS, các hiệu ứng nền phụ thuộc vào dịch chiết mẫu có chứa các thành phần đặc thù mà có thể rửa giải cùng với ISTD và ảnh hưởng đến quá trình ion hóa.
Trong mọi trường hợp, cần thực hiện phép đo kiểm soát chất lượng để đảm bảo rằng mọi sai lệch do ISTD là không đáng kể. Các phép đo kiểm soát chất lượng có thể cần sử dụng ISTD và các chất chuẩn kiểm soát chất lượng được thêm vào ở các giai đoạn khác của quá trình phân tích (Ví dụ: thêm vào dịch chiết cuối cùng) để giúp nhận biết các thay đổi không liên quan đến thể tích của tín hiệu ISTD. Việc quan sát cường độ tín hiệu của ISTD trong mỗi mẫu của một dãy mẫu là để kiểm soát chất lượng. Khi có sự thay đổi tín hiệu đáng kể, cần tiến hành định lượng sử dụng ISTD hoặc không sử dụng ISTD. Khi không sử dụng ISTD thì phải lấy chính xác các thể tích chất lỏng và phải cân bằng các thể tích của dung dịch chuẩn và dịch chiết mẫu.
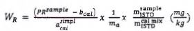
6.2 Tính nồng độ dư lượng không thêm chuẩn
Các biến số được sử dụng:
| - Nồng độ của dung dịch ISTD | CISTD | μg/ml |
| - Nồng độ thuốc BVTV trong hỗn hợp đường chuẩn |
| μg/ml |
| - Nồng độ của ISTD trong hỗn hợp đường chuẩn |
| μg/ml |
| - Nồng độ thuốc BVTV trong dịch chiết cuối cùng |
| μg/ml |
| - Nồng độ của ISTD trong dịch chiết cuối cùng |
| μg/ml |
| - Khối lượng của phần mẫu thử | ma | g |
| - Thể tích của ISTD thêm vào phần mẫu thử |
| ml |
| - Diện tích pic của thuốc BVTV thu được từ hỗn hợp đường chuẩn |
|
|
| - Diện tích pic của ISTD thu được từ hỗn hợp đường chuẩn |
|
|
| - Diện tích pic của thuốc BVTV thu được từ dịch chiết cuối cùng |
|
|
| - Diện tích pic của ISTD thu được từ dịch chiết cuối cùng |
|
|
| - Tỷ lệ pic thu được từ hỗn hợp đường chuẩn |
|
|
| - Tỷ lệ pic thu được từ dịch chiết cuối cùng |
|
|
| - Độ dốc của đường chuẩn |
|
|
| - Độ chệch của đường chuẩn |
|
|
| - Tỉ phần khối lượng của thuốc BVTV trong mẫu |
| mg/kg |
| Ngoài ra: |
|
|
| - Khối lượng của ISTD dùng để chuẩn bị dung dịch chuẩn |
|
|
| - Khối lượng thuốc BVTV thêm vào mỗi vial (dùng cho thêm chuẩn) |
|
|
| - Thể tích của dung dịch chuẩn (chuẩn trong dung môi hoặc chuẩn trong nền mẫu) |
|
|
| - Thể tích dung dịch ISTD dùng để chuẩn bị dung dịch chuẩn |
|
|
| - Thể tích dung dịch chuẩn làm việc thuốc BVTV dùng để chuẩn bị hỗn hợp đường chuẩn |
|
|
| - Thể tích dung dịch chuẩn gốc thuốc BVTV thêm vào (dùng cho thêm chuẩn) |
|
|
Xác định phương trình đường cho mỗi hoạt chất bằng cách vẽ tỷ lệ diện tích
ở mỗi điểm chuẩn theo tỷ lệ nồng độ
của dung dịch chuẩn. Từ đó khoảng đáp ứng của đường chuẩn được diễn tả theo công thức sau:
|
| (1) |
Mỗi tỷ lệ nồng độ
được tính như sau:
|
| (2) |
Tỷ lệ nồng độ
trong dịch chiết sau cùng phụ thuộc vào phần khối lượng của thuốc BVTV WR trong phần mẫu thử ma, nồng độ của dung dịch nội chuẩn CISTD và thể tích của dung dịch ISTD thêm vào phần mẫu thử
.
|
| (3) |
Khi tỷ lệ pic
thu được từ dịch chiết sau cùng được xác định bằng tỷ lệ pic
thu được từ hỗn hợp đường chuẩn, tỷ lệ nồng độ
và
được xác định và phần khối lượng WR (nồng độ dư lượng trong mẫu thử) được tính như sau:
|
| (4) |
CHÚ Ý: Công thức đơn giản và thực tế để tính toán các kết quả, không chứa nồng độ ISTD nhưng đòi hỏi một số điều kiện tiên quyết để đáp ứng, có thể tìm thấy trong Phụ lục D.
6.3 Tính nồng độ dư lượng dùng phương pháp thêm chuẩn
Khi nghi ngờ các dư lượng vượt quá mức cho phép hoặc đối với các chất bị ảnh hưởng nhiều bởi nền mẫu hoặc có hiện tượng triệt tiêu tín hiệu, nên sử dụng phương pháp thêm chuẩn với điều kiện có hàm tuyến tính giữa độ đáp ứng và các nồng độ trong dải nồng độ dự kiến. Trong trường hợp này, thêm các các thể tích
tăng dần của dung dịch chuẩn hỗn hợp (3.20) vào dịch chiết cuối cùng như diễn tả trong Bảng 4. Quy trình này đòi hỏi phải biết trước khoảng xấp xỉ mức dư lượng WR từ phép phân tích sơ bộ.
Giả sử mẫu (lượng mẫu sử dụng là 10 g) có mức dư lượng dự đoán là WR = 0,8 mg/kg, trình tự như trong Bảng 4 sau đây có thể là thích hợp. Lượng chất trong mẫu được tính sử dụng đồ thị nêu trong Hình 1 theo phép hồi quy tuyến tính.
CHÚ THÍCH: Trong trường hợp các mức dư lượng WR khác thì nồng độ dung dịch chuẩn của chất phân tích được điều chỉnh và/ hoặc các thể tích dung dung dịch chất phân tích và dung môi thích hợp hơn.
Bảng 4-Trình tự lấy bằng pipet đối với phương pháp thêm chuẩn
| Thêm | Vial 1 | Vial 2 | Vial 3 | Vial 4 |
| Thể tích dịch chiết mẫu | 500 | 500 | 500 | 500 |
| V (μl) | (=0,5 g mẫu) | (=0,5 g mẫu) | (=0,5 g mẫu) | (=0,5 g mẫu) |
| Thể tích dung dịch chuẩn 4 μg/ml thêm vào (μl) | - | 50 | 100 | 150 |
| Khối lượng tạo thành của chất phân tích đã thêm (μg) |
| 0,2 | 0,4 | 0,6 |
| Thể tích dung môi (μl) | 150 | 100 | 50 | - |
| Thể tích cuối (μl) | 650 | 650 | 650 | 650 |

Hình 1-Đường chuẩn sử dụng quy trình thêm chuẩn
CHÚ DẪN:
Y Diện tích pic chất phân tích
X Lượng chất phân tích được bổ sung, tính bằng microgram (μg)
/x/: Lượng chất phân tích có trong dịch chiết mẫu tính bằng microgram (μg)
trước khi thêm chuẩn (y = 0)
|
| (5) |
Dư lượng thuốc BVTV tìm thấy trong mẫu thử WR:
|
| (6) |
Trong đó:
c là điểm cắt của đường chuẩn của chất phân tích với trục Y
b là độ dốc của đường chuẩn của chất phân tích, 1/ μg
V là thể tích của axetonitril thêm vào ở bước 5.2.3 (ml)
Val là thể tích dung dịch dùng cho việc thêm chuẩn (ml)
ma: khối lượng mẫu thử ban đầu (g)
6.4 Độ tin cậy của phương pháp
Một số thí nghiệm về hiệu suất thu hồi (ở mức nồng độ 0,01 mg/kg đến 0,25 mg/kg) đã được đánh giá liên phòng với phương pháp này sử dụng các nền mẫu đại diện. Hiệu suất thu hồi thu được từ 70 % đến 110 % và độ lệch chuẩn tương đối cho các lần phân tích lặp lại nhỏ hơn 10 %. Kết quả được nêu trong bảng B.1 ở Phụ lục B.
Bảng B.2 trong Phụ lục B tập hợp các kết quả nghiên cứu hiệu suất thu hồi được thực hiện riêng lẻ ở các phòng thí nghiệm khác nhau trong khuôn khổ của việc xác nhận phương pháp và kiểm soát chất lượng đang tiến hành.
Các giới hạn phát hiện và định lượng thu được bằng phương pháp này phụ thuộc nhiều vào nhiều thông số như loại thuốc bảo vệ thực vật và mẫu, độ nhạy và độ chọn lọc thu được từ thiết bị ở các điều kiện sử dụng. Sử dụng thiết bị hiện đại, việc xác định thuốc bảo vệ thực vật ở mức khoảng 0,01 mg/kg (thường MRL thấp nhất) trong hầu hết các trường hợp dễ dàng đạt được.
7 Phép thử khẳng định
Để khẳng định kết quả định lượng, cần phân tích lần 2 nếu nghi ngờ kết quả lần 1 quá lớn. Để biết thêm thông tin về việc xác nhận, tham khảo hướng dẫn kiểm soát chất lượng của EU được mô tả trong tài liệu SANCO / 2007/3131 [1].
8 Độ chính xác
Thông tin chi tiết của các thử nghiệm liên phòng về độ chính xác của phương pháp theo TCVN 6910-1 (ISO 5725-1) và TCVN 6910-1 (ISO 5725-2) là được tóm tắt trong Phụ lục B. Các giá trị từ thử nghiệm liên phòng có thể không áp dụng đối với khoảng nồng độ thuốc bảo vệ thực vật và nền mẫu khác với Phụ lục B.
9 Báo cáo thử nghiệm
Báo cáo thử nghiệm phải gồm ít nhất các thông tin sau:
- mọi thông tin cần thiết để nhận biết về mẫu thử;
- phương pháp thử đã dùng, viện dẫn tiêu chuẩn này;
- kết quả và các đơn vị trong đó kết quả đã được thể hiện;
- ngày và phương pháp lấy mẫu (nếu có thể);
- ngày nhận mẫu ở phòng thí nghiệm;
- ngày thử nghiệm;
- bất kỳ quan sát cụ thể nào được thực hiện trong quá trình thử nghiệm;
- tất cả các chi tiết không quy định trong tiêu chuẩn này hoặc những điều được coi là tùy chọn có thể ảnh hưởng đến kết quả;
Phụ lục A
(tham khảo)
Ví dụ về các điều kiện thực nghiệm
Các điều kiện vận hành GC hoặc LC-MS thích hợp.
A.1 Hệ thống GC-MS
Cột: DB-5MS (30 m x 0,25 mm x 0,25 μm, 5 % Ph Me silicon)
Khí mang: He, tốc độ dòng không đổi 2 ml/min
Chương trình nhiệt độ GC:
| Tốc độ tăng nhiệt (°C /min) | Nhiệt độ (°C) | Thời gian giữ (min) |
|
| 40 | 2 |
| 30 | 220 | 0 |
| 5 | 260 | 0 |
| 20 | 280 | 15 |
| Nhiệt độ bộ phận kết nối khối phổ: | 280 °C |
|
| Thể tích tiêm: | 3 μl (PTV) |
|
| Chương trình nhiệt độ PTV: |
|
|
| Tốc độ tăng nhiệt (°C /min) | Nhiệt độ (°C) | Thời gian giữ (min) |
|
| 50 | 0,8 |
| 720 | 300 | 5 |
|
| 280 | 10 |
| Tốc độ dòng khí PTV | Dòng thông hơi 20 ml/min tới 0,5 min | |
|
| Dòng làm sạch 47,4 ml/min bắt đầu ở 2 min | |
|
| Tiết kiệm khí 20 ml/min bắt đầu ở 6 min | |
A.2 Hệ thống HPLC 1
Đối với hầu hết các hợp chất thích hợp với LC
Cột phân tích: Zorbax XDB C18 (dài 150 mm, đường kính 2,1 mm, cỡ hạt nhồi 3,5 μm)
Pha động A1 (3.25): dung dịch amonium format trong nước, c= 5 mmol/l
Pha động B1 (3.26): dung dịch amonium format trong metanol, c= 5 mmol/l
Nhiệt độ cột: 40 °C
Thể tích tiêm mẫu: 5 μl
Bảng A.1 - Chương trình gradient và tốc độ dòng
| Thời gian (min) | Tốc độ dòng | Pha động A1 (%) | Pha động B1 (%) |
| 0 | 300 | 50 | 50 |
| 20 | 300 | 0 | 100 |
| 25 | 300 | 0 | 100 |
| 26 | 300 | 50 | 50 |
| 30 | 300 | 50 | 50 |
A.3 Hệ thống HPLC 2
Đối với các hợp chất phân cực (logKow < 0,5), lưu giữ kém trên cột pha đảo:
Cột phân tích: Phenomenex Aqua (dài 150 mm, đường kính 2 mm, cỡ hạt nhồi 3 μm, 125 A C18)
Pha động A1 (3.25): dung dịch amonium format trong nước, c= 5mmol/l
Pha động B1 (3.26): dung dịch amonium format trong metanol, c= 5mmol/l
Nhiệt độ cột: 40 °C
Thể tích tiêm mẫu: 3 μl, tự động pha loãng với 3 μl pha động A trong quá trình tiêm
Bảng A.2 - Chương trình gradient và tốc độ dòng
| Thời gian (min) | Tốc độ dòng | Pha động A1 (%) | Pha động B1 (%) |
| 0 | 100 | 100 | 0 |
| 3 | 100 | 30 | 70 |
| 6 | 300 | 15 | 85 |
| 9 | 300 | 10 | 90 |
| 20,5 | 300 | 10 | 90 |
| 21 | 300 | 100 | 0 |
| 32 | 300 | 100 | 0 |
CHÚ THÍCH: Nếu hệ thống tiêm mẫu của thiết bị không có khả năng tự động pha loãng dung dịch, thì nên được pha loãng thủ công với pha động A1 (1 + 1), và do đó cần tiêm 6 μl.
A.4 Hệ thống HPLC 3
Đối với các hợp chất axit:
Cột phân tích: Zorbax XDB C18 (dài 150 mm, đường kính 2,1 mm, cỡ hạt nhồi 3,5 μm)
Pha động A2 (3.27): dung dịch axit axetic trong nước, φ = 0,1 ml axit axetic băng/l
Pha động B2 (3.28): dung dịch amonium format trong metanol, φ = 0,1 ml axit axetic băng/l
Nhiệt độ cột: 40 °C
Thể tích tiêm mẫu: 5 μl
Bảng A.3 - Chương trình gradient và tốc độ dòng:
| Thời gian (min) | Tốc độ dòng | Pha động A2 (%) | Pha động B2 (%) |
| 0 | 300 | 80 | 20 |
| 20 | 300 | 0 | 100 |
| 22 | 300 | 0 | 100 |
| 22,1 | 300 | 80 | 20 |
| 30 | 300 | 80 | 20 |
A.5 Hệ thống HPLC 4
Đối với hầu hết các hợp chất thích hợp với LC
| Bơm HPLC | HP1100 Binary Pump (G1312A) |
| Tiêm mẫu tự động | HP1100 (G1313A) |
| Chương trình tiêm mẫu |
|
|
| rút 5 μl pha động A3 rút 1 μl mẫu rửa kim với axetonitril rút 2 μl pha động A3 rút 1 μl mẫu rửa kim với axetonitril rút 2 μl pha động A3 rút 1 μl mẫu rửa kim với axetonitril rút 2 μl pha động A3 rút 1 μl mẫu rửa kim với axetonitril rút 5 μl pha động A3 |
| Cột phân tích: | Phenomenex Aqua 5 μ C18 125A, 50 mm x 2 mm |
| Pha động A3 (3.29): | methanol/nước 2 +8 (v/v) với 5 mmol/l amonium format |
| Pha động B3 (3.30): | methanol/nước 9 +1 (v/v) với 5 mmol/l amonium format |
| Nhiệt độ cột: | 20 °C |
Bảng A.4 - Chương trình gradient và tốc độ dòng
| Thời gian (min) | Tốc độ dòng | Pha động A3 (%) | Pha động B3 (%) |
| 0 | 200 | 100 | 20 |
| 11 | 200 | 0 | 100 |
| 23 | 200 | 0 | 100 |
| 25 | 200 | 100 | 20 |
| 33 | 200 | 100 | 20 |
Phụ lục B
(tham khảo)
Dữ liệu về độ chính xác
Theo tiêu chuẩn TCVN 6910-1 (ISO 5725-1) và TCVN 6910-1 (ISO 5725-2), các thông số trong Bảng B.1 đã được xác định trong một thử nghiệm liên phòng. Dữ liệu chính xác được liệt kê trong Bảng B.2 được tóm tắt từ đánh giá phương pháp phòng thí nghiệm đơn. Phiên bản cập nhật của dữ liệu đánh giá có thể được tìm thấy trên trang web www.crl-pesticidesdatapool.eu [7], được điều hành bởi các Cộng đồng các phòng thí nghiệm tham chiếu về thuốc BVTV EU.
Bảng B.1-Kết quả đánh giá phương pháp liên phòng của các nhóm Unterarbeitsgruppe Analytik der Bund-Länder-ArbeitsgruppePflanzenschutz-und Schädlingsbekämpfungsmittel“ và German Chemical Society (GDCh) (n khoảng 23.000)
| Thuốc BVTV | GC/LC | Loại nền mẫu | Mức nồng độ thêm chuẩn mg/kg | Hiệu suất thu hồi a | Số PTN | ||
| X % | V % | n | |||||
| 2,4,5-T | LC | Axit | 0,010 | 105 | 8 | 15 | 3 |
|
| LC | Axit | 0,100 | 101 | 8 | 15 | 3 |
|
| LC | Có nước | 0,010 | 104 | 15 | 15 | 3 |
|
| LC | Có nước | 0,100 | 101 | 5 | 15 | 3 |
|
|
|
|
|
|
|
|
|
| 2,4,5-TP | LC | Axit | 0,010 | 99 | 2 | 14 | 3 |
|
| LC | Axit | 0,100 | 100 | 5 | 14 | 3 |
|
| LC | Có nước | 0,010 | 102 | 8 | 14 | 3 |
|
| LC | Có nước | 0,100 | 101 | 4 | 15 | 3 |
|
|
|
|
|
|
|
|
|
| 2,4-D | LC | Axit | 0,010 | 103 | 7 | 15 | 3 |
|
| LC | Axit | 0,025 | 97 | 5 | 15 | 3 |
|
| LC | Axit | 0,100 | 100 | 5 | 14 | 3 |
|
| LC | Axit | 0,250 | 102 | 8 | 15 | 3 |
|
| LC | Có nước | 0,010 | 113 | 12 | 15 | 3 |
|
| LC | Có nước | 0,025 | 97 | 6 | 30 | 3 |
|
| LC | Có nước | 0,100 | 99 | 8 | 14 | 3 |
|
| LC | Có nước | 0,250 | 101 | 8 | 35 | 4 |
|
|
|
|
|
|
|
|
|
| 2,4-DB | LC | Có nước | 0,010 | 103 | 10 | 15 | 3 |
|
| LC | Có nước | 0,100 | 99 | 8 | 15 | 3 |
|
|
|
|
|
|
|
|
|
| 4-CPA | LC | Axit | 0,010 | 95 | 10 | 11 | 3 |
|
| LC | Có nước | 0,100 | 101 | 7 | 15 | 3 |
|
| LC | Có nước | 0,100 | 104 | 5 | 15 | 3 |
|
|
|
|
|
|
|
|
|
| Acephate | LC | Axit | 0,100 | 89 | 10 | 15 | 3 |
|
| LC | Mẫu khô (Ngũ cốc) | 0,010 | 81 | 11 | 15 | 3 |
|
| LC | Mẫu khô (Ngũ cốc) | 0,100 | 81 | 5 | 15 | 3 |
|
| LC | Có đường | 0,010 | 82 | 7 | 15 | 3 |
|
| LC | Có đường | 0,100 | 81 | 6 | 15 | 3 |
|
| LC | Có nước | 0,010 | 92 | 15 | 19 | 4 |
|
| LC | Có nước | 0,100 | 88 | 8 | 20 | 4 |
|
|
|
|
|
|
|
|
|
| Acetamiprid | LC | Axit | 0,010 | 97 | 9 | 25 | 5 |
|
| LC | Axit | 0,025 | 94 | 11 | 39 | 8 |
|
| LC | Axit | 0,100 | 98 | 7 | 25 | 5 |
|
| LC | Axit | 0,250 | 99 | 6 | 40 | 8 |
|
| LC | Mẫu khô (Ngũ cốc) | 0,010 | 99 | 7 | 20 | 4 |
|
| LC | Mẫu khô (Ngũ cốc) | 0,100 | 101 | 10 | 20 | 4 |
|
| LC | Có đường | 0,010 | 94 | 11 | 22 | 5 |
|
| LC | Có đường | 0,100 | 99 | 7 | 20 | 4 |
|
| LC | Có nước | 0,010 | 98 | 6 | 25 | 5 |
|
| LC | Có nước | 0,025 | 98 | 8 | 79 | 8 |
|
| LC | Có nước | 0,100 | 99 | 6 | 25 | 5 |
|
| LC | Có nước | 0,250 | 98 | 6 | 85 | 9 |
|
|
|
|
|
|
|
|
|
| Aldicarb | LC | Axit | 0,010 | 96 | 7 | 15 | 3 |
|
| LC | Axit | 0,100 | 100 | 6 | 15 | 3 |
|
| LC | Mẫu khô (Ngũ cốc) | 0,010 | 100 | 8 | 15 | 3 |
|
| LC | Mẫu khô (Ngũ cốc) | 0,100 | 97 | 6 | 15 | 3 |
|
| LC | Có đường | 0,010 | 99 | 8 | 15 | 3 |
|
| LC | Có đường | 0,100 | 99 | 6 | 15 | 3 |
|
| LC | Có nước | 0,010 | 98 | 7 | 20 | 4 |
|
| LC | Có nước | 0,100 | 95 | 11 | 19 | 4 |
|
|
|
|
|
|
|
|
|
| Avermectin B1a | LC | Axit | 0,100 | 99 | 9 | 15 | 3 |
|
| LC | Mẫu khô (Ngũ cốc) | 0,100 | 96 | 12 | 15 | 3 |
|
|
|
|
|
|
|
|
|
| Azoxystrobin | LC | Axit | 0,010 | 102 | 7 | 15 | 3 |
|
| LC | Axit | 0,025 | 99 | 11 | 40 | 8 |
|
| LC | Axit | 0,100 | 96 | 4 | 15 | 3 |
|
| LC | Axit | 0,250 | 102 | 7 | 40 | 8 |
|
| LC | Mẫu khô (Ngũ cốc) | 0,010 | 95 | 8 | 15 | 3 |
|
| LC | Mẫu khô (Ngũ cốc) | 0,100 | 99 | 3 | 15 | 3 |
|
| LC | Có đường | 0,010 | 100 | 5 | 15 | 3 |
|
| LC | Có đường | 0,100 | 100 | 4 | 15 | 3 |
|
| LC | Có nước | 0,010 | 97 | 5 | 20 | 4 |
|
| LC | Có nước | 0,025 | 100 | 6 | 78 | 8 |
|
| LC | Có nước | 0,100 | 99 | 6 | 20 | 4 |
|
| LC | Có nước | 0,250 | 101 | 6 | 84 | 9 |
|
|
|
|
|
|
|
|
|
| Bendiocarb | LC | Axit | 0,010 | 98 | 7 | 15 | 3 |
|
| LC | Axit | 0,100 | 102 | 4 | 15 | 3 |
|
| LC | Mẫu khô (Ngũ cốc) | 0,010 | 102 | 7 | 15 | 3 |
|
| LC | Mẫu khô (Ngũ cốc) | 0,100 | 97 | 6 | 15 | 3 |
|
| LC | Có đường | 0,010 | 100 | 10 | 15 | 3 |
|
| LC | Có đường | 0,100 | 101 | 4 | 15 | 3 |
|
| LC | Có nước | 0,010 | 98 | 8 | 20 | 4 |
|
| LC | Có nước | 0,100 | 100 | 5 | 20 | 4 |
|
|
|
|
|
|
|
|
|
| Bentazone | LC | Axit | 0,010 | 101 | 10 | 15 | 3 |
|
| LC | Axit | 0,100 | 102 | 6 | 15 | 3 |
|
| LC | Có nước | 0,100 | 101 | 5 | 15 | 3 |
|
|
|
|
|
|
|
|
|
| Boscalid | LC | Axit | 0,010 | 101 | 8 | 25 | 5 |
|
| LC | Axit | 0,100 | 98 | 6 | 25 | 5 |
|
| LC | Mẫu khô (Ngũ cốc) | 0,010 | 101 | 12 | 20 | 4 |
|
| LC | Mẫu khô (Ngũ cốc) | 0,100 | 102 | 5 | 20 | 4 |
|
| LC | Có đường | 0,010 | 98 | 10 | 25 | 5 |
|
| LC | Có đường | 0,100 | 100 | 14 | 20 | 4 |
|
| LC | Có nước | 0,010 | 101 | 9 | 25 | 5 |
|
| LC | Có nước | 0,100 | 100 | 7 | 25 | 5 |
|
|
|
|
|
|
|
|
|
| Bromoxynil | LC | Axit | 0,010 | 99 | 5 | 14 | 3 |
|
| LC | Axit | 0,025 | 96 | 6 | 15 | 3 |
|
| LC | Axit | 0,100 | 106 | 7 | 15 | 3 |
|
| LC | Axit | 0,250 | 100 | 6 | 15 | 3 |
|
| LC | Có nước | 0,010 | 96 | 12 | 15 | 3 |
|
| LC | Có nước | 0,025 | 98 | 3 | 30 | 3 |
|
| LC | Có nước | 0,100 | 104 | 7 | 15 | 3 |
|
| LC | Có nước | 0,250 | 102 | 8 | 35 | 4 |
|
|
|
|
|
|
|
|
|
| Buprofezin | LC | Axit | 0,010 | 93 | 9 | 25 | 5 |
|
| LC | Axit | 0,100 | 95 | 6 | 25 | 5 |
|
| LC | Mẫu khô (Ngũ cốc) | 0,010 | 102 | 14 | 20 | 4 |
|
| LC | Mẫu khô (Ngũ cốc) | 0,100 | 102 | 6 | 19 | 4 |
|
| LC | Có đường | 0,010 | 97 | 8 | 25 | 5 |
|
| LC | Có đường | 0,100 | 99 | 8 | 20 | 4 |
|
| LC | Có nước | 0,010 | 101 | 10 | 24 | 5 |
|
| LC | Có nước | 0,100 | 101 | 6 | 25 | 5 |
|
|
|
|
|
|
|
|
|
| Butocarboxim | LC | Axit | 0,010 | 97 | 7 | 15 | 3 |
|
| LC | Axit | 0,100 | 97 | 8 | 15 | 3 |
|
| LC | Mẫu khô (Ngũ cốc) | 0,010 | 97 | 11 | 13 | 3 |
|
| LC | Mẫu khô (Ngũ cốc) | 0,100 | 95 | 6 | 15 | 3 |
|
| LC | Có đường | 0,010 | 99 | 11 | 14 | 3 |
|
| LC | Có đường | 0,100 | 98 | 5 | 15 | 3 |
|
| LC | Có nước | 0,010 | 103 | 9 | 15 | 3 |
|
| LC | Có nước | 0,100 | 100 | 8 | 17 | 4 |
|
|
|
|
|
|
|
|
|
| Carbaryl | LC | Axit | 0,010 | 103 | 7 | 15 | 3 |
|
| LC | Axit | 0,100 | 100 | 8 | 15 | 3 |
|
| LC | Mẫu khô (Ngũ cốc) | 0,010 | 97 | 8 | 15 | 3 |
|
| LC | Mẫu khô (Ngũ cốc) | 0,100 | 97 | 5 | 15 | 3 |
|
| LC | Có đường | 0,010 | 98 | 9 | 15 | 3 |
|
| LC | Có đường | 0,100 | 97 | 6 | 15 | 3 |
|
| LC | Có nước | 0,010 | 102 | 8 | 20 | 4 |
|
| LC | Có nước | 0,100 | 102 | 4 | 20 | 4 |
|
|
|
|
|
|
|
|
|
| Carbendazim | LC | Axit | 0,010 | 88 | 4 | 15 | 3 |
|
| LC | Axit | 0,025 | 82 | 9 | 38 | 8 |
|
| LC | Axit | 0,100 | 89 | 5 | 15 | 3 |
|
| LC | Axit | 0,250 | 89 | 5 | 39 | 8 |
|
| LC | Mẫu khô (Ngũ cốc) | 0,010 | 87 | 6 | 15 | 3 |
|
| LC | Mẫu khô (Ngũ cốc) | 0,100 | 86 | 3 | 15 | 3 |
|
| LC | Có đường | 0,010 | 86 | 7 | 15 | 3 |
|
| LC | Có đường | 0,100 | 84 | 8 | 15 | 3 |
|
| LC | Có nước | 0,010 | 93 | 4 | 20 | 4 |
|
| LC | Có nước | 0,025 | 90 | 7 | 79 | 8 |
|
| LC | Có nước | 0,100 | 93 | 6 | 20 | 4 |
|
| LC | Có nước | 0,250 | 92 | 6 | 85 | 9 |
|
|
|
|
|
|
|
|
|
| Carbaryl | LC | Axit | 0,010 | 103 | 7 | 15 | 3 |
|
| LC | Axit | 0,100 | 100 | 8 | 15 | 3 |
|
| LC | Mẫu khô (Ngũ cốc) | 0,010 | 97 | 8 | 15 | 3 |
|
| LC | Mẫu khô (Ngũ cốc) | 0,100 | 97 | 5 | 15 | 3 |
|
| LC | Có đường | 0,010 | 98 | 9 | 15 | 3 |
|
| LC | Có đường | 0,100 | 97 | 6 | 15 | 3 |
|
| LC | Có nước | 0,010 | 102 | 8 | 20 | 4 |
|
| LC | Có nước | 0,100 | 102 | 4 | 20 | 4 |
|
|
|
|
|
|
|
|
|
| Carbendazim | LC | Axit | 0,010 | 88 | 4 | 15 | 3 |
|
| LC | Axit | 0,025 | 82 | 9 | 38 | 8 |
|
| LC | Axit | 0,100 | 89 | 5 | 15 | 3 |
|
| LC | Axit | 0,250 | 89 | 5 | 39 | 8 |
|
| LC | Mẫu khô (Ngũ cốc) | 0,010 | 87 | 6 | 15 | 3 |
|
| LC | Mẫu khô (Ngũ cốc) | 0,100 | 86 | 3 | 15 | 3 |
|
| LC | Có đường | 0,010 | 86 | 7 | 15 | 3 |
|
| LC | Có đường | 0,100 | 84 | 8 | 15 | 3 |
|
| LC | Có nước | 0,010 | 93 | 4 | 20 | 4 |
|
| LC | Có nước | 0,025 | 90 | 7 | 79 | 8 |
|
| LC | Có nước | 0,100 | 93 | 6 | 20 | 4 |
|
| LC | Có nước | 0,250 | 92 | 6 | 85 | 9 |
|
|
|
|
|
|
|
|
|
| Carbofuran | LC | Axit | 0,010 | 102 | 6 | 15 | 3 |
|
| LC | Axit | 0,100 | 103 | 15 | 15 | 3 |
|
| LC | Mẫu khô (Ngũ cốc) | 0,010 | 98 | 5 | 15 | 3 |
|
| LC | Mẫu khô (Ngũ cốc) | 0,100 | 97 | 3 | 15 | 3 |
|
| LC | Có đường | 0,010 | 99 | 5 | 15 | 3 |
|
| LC | Có đường | 0,100 | 98 | 5 | 15 | 3 |
|
| LC | Có nước | 0,010 | 97 | 6 | 20 | 4 |
|
| LC | Có nước | 0,100 | 102 | 4 | 20 | 4 |
|
|
|
|
|
|
|
|
|
| Carboxin | LC | Axit | 0,010 | 95 | 5 | 25 | 5 |
|
| LC | Axit | 0,100 | 96 | 4 | 25 | 5 |
|
| LC | Mẫu khô (Ngũ cốc) | 0,010 | 100 | 7 | 20 | 4 |
|
| LC | Mẫu khô (Ngũ cốc) | 0,100 | 98 | 6 | 20 | 4 |
|
| LC | Mẫu khô (Ngũ cốc) | 0,010 | 100 | 7 | 20 | 4 |
|
| LC | Mẫu khô (Ngũ cốc) | 0,100 | 98 | 6 | 20 | 4 |
|
| LC | Có đường | 0,010 | 91 | 13 | 25 | 5 |
|
| LC | Có đường | 0,100 | 95 | 7 | 20 | 4 |
|
| LC | Có nước | 0,010 | 73 | 7 | 17 | 4 |
|
| LC | Có nước | 0,100 | 75 | 8 | 20 | 4 |
|
|
|
|
|
|
|
|
|
| Chloridazon | LC | Axit | 0,010 | 89 | 9 | 20 | 4 |
|
| LC | Axit | 0,100 | 93 | 8 | 25 | 5 |
|
| LC | Mẫu khô (Ngũ cốc) | 0,010 | 98 | 10 | 20 | 4 |
|
| LC | Mẫu khô (Ngũ cốc) | 0,100 | 96 | 6 | 20 | 4 |
|
| LC | Có đường | 0,010 | 96 | 9 | 20 | 4 |
|
| LC | Có đường | 0,100 | 96 | 8 | 20 | 4 |
|
| LC | Có nước | 0,010 | 98 | 7 | 25 | 5 |
|
| LC | Có nước | 0,100 | 100 | 6 | 25 | 5 |
|
|
|
|
|
|
|
|
|
| Chlorpyrifos | GC | Axit | 0,025 | 105 | 8 | 40 | 8 |
|
| GC | Axit | 0,250 | 102 | 5 | 40 | 8 |
|
| GC | Có nước | 0,025 | 103 | 8 | 80 | 8 |
|
| GC | Có nước | 0,250 | 104 | 5 | 75 | 8 |
|
|
|
|
|
|
|
|
|
| Cinosulfuron b | LC | Axit | 0,010 | 74 | 9 | 12 | 3 |
|
| LC | Axit | 0,100 | 75 | 9 | 13 | 3 |
|
| LC | Có nước | 0,010 | 57 | 15 | 11 | 3 |
|
|
|
|
|
|
|
|
|
| Clofentezine | LC | Axit | 0,010 | 98 | 9 | 25 | 5 |
|
| LC | Axit | 0,100 | 97 | 6 | 25 | 5 |
|
| LC | Mẫu khô (Ngũ cốc) | 0,010 | 107 | 8 | 19 | 4 |
|
| LC | Mẫu khô (Ngũ cốc) | 0,100 | 95 | 9 | 20 | 4 |
|
| LC | Có đường | 0,010 | 103 | 16 | 22 | 5 |
|
| LC | Có đường | 0,100 | 95 | 11 | 19 | 4 |
|
| LC | Có nước | 0,010 | 105 | 8 | 25 | 5 |
|
| LC | Có nước | 0,100 | 102 | 6 | 25 | 5 |
|
|
|
|
|
|
|
|
|
| Cycloxydim | LC | Axit | 0,100 | 104 | 10 | 15 | 3 |
|
|
|
|
|
|
|
|
|
| Cyhalothrin, lambda- | GC | Axit | 0,025 | 116 | 16 | 26 | 6 |
|
| GC | Axit | 0,250 | 106 | 13 | 35 | 7 |
|
| GC | Có nước | 0,025 | 113 | 13 | 57 | 7 |
|
|
|
|
|
|
|
|
|
| Cymoxanil | LC | Axit | 0,010 | 105 | 14 | 20 | 4 |
|
| LC | Axit | 0,100 | 94 | 8 | 25 | 5 |
|
| LC | Mẫu khô (Ngũ cốc) | 0,010 | 109 | 8 | 20 | 4 |
|
| LC | Mẫu khô (Ngũ cốc) | 0,100 | 103 | 9 | 20 | 4 |
|
| LC | Có đường | 0,010 | 111 | 12 | 19 | 4 |
|
| LC | Có đường | 0,100 | 101 | 11 | 20 | 4 |
|
| LC | Có nước | 0,010 | 108 | 12 | 19 | 4 |
|
| LC | Có nước | 0,100 | 98 | 5 | 20 | 4 |
|
|
|
|
|
|
|
|
|
| Cyproconazole | LC | Axit | 0,010 | 95 | 8 | 24 | 5 |
|
| LC | Axit | 0,100 | 98 | 7 | 25 | 5 |
|
| LC | Mẫu khô (Ngũ cốc) | 0,010 | 94 | 10 | 18 | 4 |
|
| LC | Mẫu khô (Ngũ cốc) | 0,100 | 99 | 6 | 20 | 4 |
|
| LC | Có đường | 0,010 | 94 | 12 | 22 | 5 |
|
| LC | Có đường | 0,100 | 98 | 8 | 20 | 4 |
|
| LC | Có nước | 0,010 | 99 | 6 | 25 | 5 |
|
| LC | Có nước | 0,100 | 101 | 5 | 25 | 5 |
|
|
|
|
|
|
|
|
|
| Cyprodinil | GC | Axit | 0,025 | 94 | 9 | 25 | 5 |
|
| GC | Axit | 0,250 | 99 | 6 | 25 | 5 |
|
| GC | Có nước | 0,025 | 101 | 7 | 50 | 5 |
|
| GC | Có nước | 0,250 | 101 | 6 | 50 | 5 |
|
| LC | Axit | 0,010 | 97 | 6 | 15 | 3 |
|
| LC | Axit | 0,025 | 97 | 5 | 30 | 6 |
|
| LC | Axit | 0,100 | 97 | 4 | 15 | 3 |
|
| LC | Axit | 0,250 | 100 | 5 | 30 | 6 |
|
| LC | Mẫu khô (Ngũ cốc) | 0,010 | 92 | 6 | 15 | 3 |
|
| LC | Mẫu khô (Ngũ cốc) | 0,100 | 98 | 6 | 15 | 3 |
|
| LC | Có đường | 0,010 | 101 | 8 | 15 | 3 |
|
| LC | Có đường | 0,100 | 97 | 5 | 15 | 3 |
|
| LC | Có nước | 0,010 | 98 | 10 | 20 | 4 |
|
| LC | Có nước | 0,025 | 97 | 6 | 60 | 6 |
|
| LC | Có nước | 0,100 | 99 | 7 | 20 | 4 |
|
| LC | Có nước | 0,250 | 98 | 5 | 65 | 7 |
|
|
|
|
|
|
|
|
|
|
|
|
|
|
|
|
|
|
| Cyromazine | LC | Có nước | 0,100 | 48 | 5 | 12 | 3 |
|
|
|
|
|
|
|
|
|
| Demeton-S- Methylsulfon | LC | Axit | 0,010 | 85 | 10 | 25 | 4 |
| - | LC | Axit | 0,100 | 90 | 8 | 30 | 4 |
|
| LC | Mẫu khô (Ngũ cốc) | 0,010 | 95 | 7 | 30 | 4 |
|
| LC | Mẫu khô (Ngũ cốc) | 0,100 | 99 | 6 | 25 | 4 |
|
| LC | Có đường | 0,010 | 95 | 9 | 24 | 4 |
|
| LC | Có đường | 0,100 | 100 | 8 | 30 | 4 |
|
| LC | Có nước | 0,010 | 95 | 9 | 29 | 5 |
|
| LC | Có nước | 0,100 | 99 | 6 | 35 | 5 |
|
|
|
|
|
|
|
|
|
| Demeton-S- Methylsulfoxid | LC | Có nước | 0,010 | 98 | 5 | 14 | 3 |
|
| LC | Có nước | 0,100 | 92 | 6 | 15 | 3 |
|
|
|
|
|
|
|
|
|
| Dicamba | LC | Axit | 0,100 | 88 | 11 | 14 | 3 |
|
| LC | Có nước | 0,100 | 103 | 9 | 15 | 3 |
|
|
|
|
|
|
|
|
|
| Dichlorprop (bao gồm Dichlorprop-P) | LC | Axit | 0,010 | 99 | 9 | 15 | 3 |
|
| LC | Axit | 0,100 | 97 | 8 | 13 | 3 |
|
| LC | Có nước | 0,010 | 100 | 7 | 15 | 3 |
|
| LC | Có nước | 0,100 | 102 | 5 | 14 | 3 |
|
|
|
|
|
|
|
|
|
| Difenoconazole | LC | Axit | 0,010 | 93 | 9 | 25 | 5 |
|
| LC | Axit | 0,100 | 99 | 6 | 25 | 5 |
|
| LC | Mẫu khô (Ngũ cốc) | 0,010 | 96 | 9 | 20 | 4 |
|
| LC | Mẫu khô (Ngũ cốc) | 0,100 | 96 | 8 | 20 | 4 |
|
| LC | Có đường | 0,010 | 98 | 9 | 25 | 5 |
|
| LC | Có đường | 0,100 | 100 | 9 | 20 | 4 |
|
| LC | Có nước | 0,010 | 101 | 9 | 25 | 5 |
|
| LC | Có nước | 0,100 | 102 | 6 | 25 | 5 |
|
|
|
|
|
|
|
|
|
| Dimethachlor | LC | Axit | 0,010 | 101 | 7 | 25 | 5 |
|
| LC | Axit | 0,100 | 98 | 5 | 25 | 5 |
|
| LC | Mẫu khô (Ngũ cốc) | 0,010 | 103 | 5 | 20 | 4 |
|
| LC | Mẫu khô (Ngũ cốc) | 0,100 | 102 | 6 | 20 | 4 |
|
| LC | Có đường | 0,010 | 107 | 6 | 25 | 5 |
|
| LC | Có đường | 0,100 | 101 | 8 | 20 | 4 |
|
| LC | Có nước | 0,010 | 104 | 7 | 25 | 5 |
|
| LC | Có nước | 0,100 | 101 | 6 | 25 | 5 |
|
|
|
|
|
|
|
|
|
| Dimethoate | LC | Axit | 0,010 | 98 | 4 | 15 | 3 |
|
| LC | Axit | 0,025 | 93 | 8 | 38 | 8 |
|
| LC | Axit | 0,100 | 97 | 5 | 15 | 3 |
|
| LC | Axit | 0,250 | 99 | 6 | 40 | 8 |
|
| LC | Mẫu khô (Ngũ cốc) | 0,010 | 99 | 4 | 15 | 3 |
|
| LC | Mẫu khô (Ngũ cốc) | 0,100 | 97 | 6 | 15 | 3 |
|
| LC | Có đường | 0,010 | 97 | 6 | 15 | 3 |
|
| LC | Có đường | 0,100 | 96 | 5 | 15 | 3 |
|
| LC | Có nước | 0,010 | 99 | 6 | 20 | 4 |
|
| LC | Có nước | 0,025 | 98 | 6 | 75 | 8 |
|
| LC | Có nước | 0,100 | 100 | 4 | 20 | 4 |
|
| LC | Có nước | 0,250 | 98 | 8 | 84 | 9 |
|
|
|
|
|
|
|
|
|
| Dimethomorph | LC | Axit | 0,010 | 94 | 7 | 25 | 5 |
|
| LC | Axit | 0,100 | 97 | 5 | 24 | 5 |
|
| LC | Mẫu khô (Ngũ cốc) | 0,010 | 102 | 7 | 20 | 4 |
|
| LC | Mẫu khô (Ngũ cốc) | 0,100 | 102 | 6 | 20 | 4 |
|
| LC | Có đường | 0,010 | 99 | 8 | 25 | 5 |
|
| LC | Có đường | 0,100 | 98 | 5 | 19 | 4 |
|
| LC | Có nước | 0,010 | 96 | 8 | 25 | 5 |
|
| LC | Có nước | 0,100 | 99 | 5 | 25 | 5 |
|
|
|
|
|
|
|
|
|
| DiniconazoIe | LC | Axit | 0,010 | 91 | 10 | 24 | 5 |
|
| LC | Axit | 0,100 | 99 | 5 | 25 | 5 |
|
| LC | Mẫu khô (Ngũ cốc) | 0,010 | 94 | 14 | 19 | 4 |
|
| LC | Mẫu khô (Ngũ cốc) | 0,100 | 97 | 9 | 20 | 4 |
|
| LC | Có đường | 0,010 | 97 | 8 | 20 | 4 |
|
| LC | Có đường | 0,100 | 102 | 8 | 20 | 4 |
|
| LC | Có nước | 0,010 | 99 | 10 | 25 | 5 |
|
| LC | Có nước | 0,100 | 101 | 7 | 25 | 5 |
|
|
|
|
|
|
|
|
|
| Epoxiconazole | LC | Axit | 0,010 | 97 | 9 | 25 | 5 |
|
| LC | Axit | 0,100 | 99 | 5 | 25 | 5 |
|
| LC | Mẫu khô (Ngũ cốc) | 0,010 | 103 | 8 | 15 | 3 |
|
| LC | Mẫu khô (Ngũ cốc) | 0,100 | 100 | 6 | 15 | 3 |
|
| LC | Có đường | 0,010 | 101 | 7 | 25 | 5 |
|
| LC | Có đường | 0,100 | 99 | 7 | 20 | 4 |
|
| LC | Có nước | 0,010 | 97 | 6 | 25 | 5 |
|
| LC | Có nước | 0,100 | 102 | 6 | 25 | 5 |
|
|
|
|
|
|
|
|
|
| Ethiofencarb | LC | Axit | 0,010 | 96 | 11 | 14 | 3 |
|
| LC | Axit | 0,100 | 98 | 6 | 15 | 3 |
|
| LC | Mẫu khô (Ngũ cốc) | 0,010 | 98 | 10 | 15 | 3 |
|
| LC | Mẫu khô (Ngũ cốc) | 0,100 | 95 | 3 | 15 | 3 |
|
| LC | Có đường | 0,010 | 93 | 14 | 15 | 3 |
|
| LC | Có đường | 0,100 | 91 | 14 | 15 | 3 |
|
| LC | Có nước | 0,010 | 77 | 17 | 15 | 3 |
|
|
|
|
|
|
|
|
|
| Ethoprophos | LC | Axit | 0,010 | 98 | 9 | 25 | 5 |
|
| LC | Axit | 0,100 | 98 | 5 | 25 | 5 |
|
| LC | Mẫu khô (Ngũ cốc) | 0,010 | 98 | 6 | 20 | 4 |
|
| LC | Mẫu khô (Ngũ cốc) | 0,100 | 102 | 7 | 20 | 4 |
|
| LC | Có đường | 0,010 | 97 | 6 | 25 | 5 |
|
| LC | Có đường | 0,100 | 101 | 8 | 20 | 4 |
|
| LC | Có nước | 0,010 | 100 | 4 | 25 | 5 |
|
| LC | Có đường | 0,010 | 97 | 6 | 25 | 5 |
|
| LC | Có đường | 0,100 | 101 | 8 | 20 | 4 |
|
| LC | Có nước | 0,010 | 100 | 4 | 25 | 5 |
|
| LC | Có nước | 0,100 | 102 | 5 | 25 | 5 |
|
|
|
|
|
|
|
|
|
| Famoxadone | LC | Axit | 0,010 | 100 | 12 | 25 | 5 |
|
| LC | Axit | 0,100 | 100 | 6 | 25 | 5 |
|
| LC | Mẫu khô (Ngũ cốc) | 0,010 | 103 | 7 | 20 | 4 |
|
| LC | Mẫu khô (Ngũ cốc) | 0,100 | 100 | 6 | 20 | 4 |
|
| LC | Có đường | 0,010 | 102 | 9 | 25 | 5 |
|
| LC | Có đường | 0,100 | 99 | 9 | 20 | 4 |
|
| LC | Có nước | 0,010 | 97 | 9 | 25 | 5 |
|
| LC | Có nước | 0,100 | 101 | 7 | 25 | 5 |
|
|
|
|
|
|
|
|
|
| Fenarimol | LC | Axit | 0,010 | 96 | 8 | 25 | 5 |
|
| LC | Axit | 0,100 | 98 | 6 | 25 | 5 |
|
| LC | Mẫu khô (Ngũ cốc) | 0,010 | 89 | 8 | 20 | 4 |
|
| LC | Mẫu khô (Ngũ cốc) | 0,100 | 98 | 6 | 20 | 4 |
|
| LC | Có đường | 0,010 | 95 | 12 | 24 | 5 |
|
| LC | Có đường | 0,100 | 96 | 9 | 20 | 4 |
|
| LC | Có nước | 0,010 | 97 | 10 | 25 | 5 |
|
| LC | Có nước | 0,100 | 99 | 7 | 25 | 5 |
|
|
|
|
|
|
|
|
|
|
|
|
|
|
|
|
|
|
| Fenazaquin | LC | Axit | 0,010 | 92 | 8 | 20 | 4 |
|
| LC | Axit | 0,100 | 95 | 7 | 20 | 4 |
|
| LC | Mẫu khô (Ngũ cốc) | 0,010 | 107 | 7 | 15 | 3 |
|
| LC | Mẫu khô (Ngũ cốc) | 0,100 | 99 | 5 | 15 | 3 |
|
| LC | Có đường | 0,010 | 100 | 10 | 20 | 4 |
|
| LC | Có đường | 0,100 | 92 | 14 | 15 | 3 |
|
| LC | Có nước | 0,010 | 98 | 8 | 20 | 4 |
|
| LC | Có nước | 0,100 | 99 | 6 | 20 | 4 |
|
|
|
|
|
|
|
|
|
| Fenhexamid | GC | Axit | 0,025 | 83 | 12 | 12 | 3 |
|
| GC | Axit | 0,250 | 87 | 12 | 15 | 3 |
|
| GC | Có nước | 0,025 | 82 | 10 | 23 | 3 |
|
| GC | Có nước | 0,250 | 80 | 10 | 22 | 3 |
|
| LC | Axit | 0,010 | 101 | 7 | 15 | 3 |
|
| LC | Axit | 0,025 | 83 | 11 | 39 | 8 |
|
| LC | Axit | 0,100 | 94 | 5 | 15 | 3 |
|
| LC | Axit | 0,250 | 89 | 9 | 40 | 8 |
|
| LC | Mẫu khô (Ngũ cốc) | 0,010 | 78 | 9 | 15 | 3 |
|
| LC | Mẫu khô (Ngũ cốc) | 0,100 | 77 | 15 | 12 | 3 |
|
| LC | Có đường | 0,010 | 86 | 12 | 13 | 3 |
|
| LC | Có đường | 0,100 | 84 | 11 | 15 | 3 |
|
| LC | Có nước | 0,010 | 78 | 13 | 19 | 4 |
|
| LC | Có nước | 0,025 | 77 | 11 | 74 | 8 |
|
| LC | Có nước | 0,100 | 80 | 12 | 14 | 4 |
|
| LC | Có nước | 0,250 | 77 | 10 | 84 | 9 |
|
|
|
|
|
|
|
|
|
|
|
|
|
|
|
|
|
|
| Fenoxaprop-P | LC | Axit | 0,010 | 103 | 5 | 15 | 3 |
|
| LC | Axit | 0,100 | 104 | 8 | 15 | 3 |
|
| LC | Có nước | 0,010 | 96 | 10 | 15 | 3 |
|
| LC | Có nước | 0,100 | 102 | 6 | 15 | 3 |
|
|
|
|
|
|
|
|
|
| Fenoxycarb | LC | Axit | 0,010 | 96 | 6 | 15 | 3 |
|
| LC | Axit | 0,100 | 106 | 9 | 15 | 3 |
|
| LC | Mẫu khô (Ngũ cốc) | 0,010 | 102 | 10 | 15 | 3 |
|
| LC | Mẫu khô (Ngũ cốc) | 0,100 | 96 | 3 | 15 | 3 |
|
| LC | Có đường | 0,010 | 101 | 6 | 15 | 3 |
|
| LC | Có đường | 0,100 | 103 | 4 | 15 | 3 |
|
| LC | Có nước | 0,010 | 99 | 8 | 20 | 4 |
|
| LC | Có nước | 0,100 | 99 | 5 | 20 | 4 |
|
|
|
|
|
|
|
|
|
| Fenpropidin | LC | Axit | 0,010 | 93 | 8 | 25 | 5 |
|
| LC | Axit | 0 100 | 98 | 5 | 25 | 5 |
|
| LC | Mẫu khô (Ngũ cốc) | 0,010 | 99 | 9 | 20 | 4 |
|
| LC | Mẫu khô (Ngũ cốc) | 0,100 | 98 | 6 | 20 | 4 |
|
| LC | Có đường | 0,010 | 101 | 6 | 25 | 5 |
|
| LC | Có đường | 0,100 | 101 | 7 | 20 | 4 |
|
| LC | Có nước | 0,010 | 94 | 5 | 25 | 5 |
|
| LC | Có nước | 0,100 | 100 | 6 | 25 | 5 |
|
|
|
|
|
|
|
|
|
| Fenpropimorph | LC | Axit | 0,010 | 99 | 4 | 15 | 3 |
|
| LC | Axit | 0,100 | 101 | 7 | 15 | 3 |
|
| LC | Mẫu khô (Ngũ cốc) | 0,010 | 101 | 8 | 15 | 3 |
|
| LC | Mẫu khô (Ngũ cốc) | 0,100 | 97 | 7 | 15 | 3 |
|
| LC | Có đường | 0,010 | 99 | 5 | 15 | 3 |
|
| LC | Có đường | 0,100 | 100 | 6 | 15 | 3 |
|
| LC | Có nước | 0,010 | 97 | 5 | 20 | 4 |
|
| LC | Có nước | 0,100 | 98 | 5 | 20 | 4 |
|
|
|
|
|
|
|
|
|
| Fenpyroximate | LC | Axit | 0,010 | 95 | 12 | 25 | 5 |
|
| LC | Axit | 0,100 | 97 | 8 | 25 | 5 |
|
| LC | Mẫu khô (Ngũ cốc) | 0,010 | 105 | 10 | 20 | 4 |
|
| LC | Mẫu khô (Ngũ cốc) | 0,100 | 101 | 5 | 20 | 4 |
|
| LC | Có đường | 0,010 | 98 | 9 | 25 | 5 |
|
| LC | Có đường | 0,100 | 95 | 13 | 20 | 4 |
|
| LC | Có nước | 0,010 | 99 | 7 | 25 | 5 |
|
| LC | Có nước | 0,100 | 101 | 5 | 25 | 5 |
|
|
|
|
|
|
|
|
|
| Fenthion | LC | Axit | 0,010 | 84 | 12 | 18 | 4 |
|
| LC | Axit | 0,100 | 100 | 7 | 20 | 4 |
|
| LC | Mẫu khô (Ngũ cốc) | 0,010 | 90 | 7 | 15 | 3 |
|
| LC | Mẫu khô (Ngũ cốc) | 0,100 | 96 | 11 | 15 | 3 |
|
| LC | Có đường | 0,010 | 96 | 12 | 20 | 4 |
|
| LC | Có đường | 0,100 | 98 | 12 | 20 | 4 |
|
| LC | Có nước | 0,010 | 101 | 12 | 15 | 3 |
|
| LC | Có nước | 0,100 | 92 | 11 | 20 | 4 |
|
|
|
|
|
|
|
|
|
| Fluazifop | LC | Axit | 0,010 | 104 | 8 | 20 | 3 |
|
| LC | Axit | 0,100 | 106 | 7 | 20 | 3 |
|
| LC | Có nước | 0,010 | 101 | 8 | 20 | 3 |
|
| LC | Có nước | 0,100 | 103 | 4 | 20 | 3 |
|
|
|
|
|
|
|
|
|
| Fludioxonil | LC | Axit | 0,010 | 98 | 7 | 15 | 3 |
|
| LC | Axit | 0,025 | 104 | 10 | 20 | 4 |
|
| LC | Axit | 0,100 | 100 | 7 | 14 | 3 |
|
| LC | Axit | 0,250 | 102 | 10 | 25 | 5 |
|
| LC | Có nước | 0,010 | 96 | 4 | 15 | 3 |
|
| LC | Có nước | 0,025 | 97 | 5 | 40 | 5 |
|
| LC | Có nước | 0,100 | 97 | 6 | 15 | 3 |
|
| LC | Có nước | 0,250 | 103 | 8 | 55 | 6 |
|
|
|
|
|
|
|
|
|
| Flufenacet | LC | Axit | 0,010 | 96 | 11 | 25 | 5 |
|
| LC | Axit | 0,100 | 99 | 5 | 25 | 5 |
|
| LC | Mẫu khô (Ngũ cốc) | 0,010 | 99 | 7 | 20 | 4 |
|
| LC | Mẫu khô (Ngũ cốc) | 0,100 | 101 | 5 | 20 | 4 |
|
| LC | Có đường | 0,010 | 100 | 7 | 25 | 5 |
|
| LC | Có đường | 0,100 | 101 | 8 | 20 | 4 |
|
| LC | Có nước | 0,010 | 99 | 4 | 25 | 5 |
|
| LC | Có nước | 0,100 | 101 | 5 | 25 | 5 |
|
|
|
|
|
|
|
|
|
| Flufenoxuron | LC | Axit | 0,010 | 106 | 11 | 15 | 3 |
|
| LC | Axit | 0,100 | 103 | 7 | 15 | 3 |
|
| LC | Mẫu khô (Ngũ cốc) | 0,010 | 104 | 11 | 15 | 3 |
|
| LC | Mẫu khô (Ngũ cốc) | 0,100 | 99 | 7 | 15 | 3 |
|
| LC | Có đường | 0,010 | 101 | 11 | 14 | 3 |
|
| LC | Có đường | 0,100 | 100 | 6 | 15 | 3 |
|
| LC | Có nước | 0,010 | 108 | 14 | 20 | 4 |
|
| LC | Có nước | 0,100 | 101 | 6 | 20 | 4 |
|
|
|
|
|
|
|
|
|
| Fluroxypyr | LC | Axit | 0,100 | 94 | 10 | 14 | 3 |
|
|
|
|
|
|
|
|
|
| Flurtamone | LC | Axit | 0,010 | 97 | 7 | 25 | 5 |
|
| LC | Axit | 0,100 | 98 | 6 | 25 | 5 |
|
| LC | Mẫu khô (Ngũ cốc) | 0,010 | 102 | 7 | 20 | 4 |
|
| LC | Mẫu khô (Ngũ cốc) | 0,100 | 103 | 6 | 20 | 4 |
|
| LC | Có đường | 0,010 | 99 | 8 | 25 | 5 |
|
| LC | Có đường | 0,100 | 103 | 9 | 20 | 4 |
|
| LC | Có nước | 0,010 | 100 | 5 | 25 | 5 |
|
| LC | Có nước | 0,100 | 101 | 7 | 25 | 5 |
|
|
|
|
|
|
|
|
|
| Flusilazole | LC | Axit | 0,010 | 97 | 8 | 25 | 5 |
|
| LC | Axit | 0,100 | 100 | 5 | 25 | 5 |
|
| LC | Mẫu khô (Ngũ cốc) | 0,010 | 102 | 7 | 20 | 4 |
|
| LC | Mẫu khô (Ngũ cốc) | 0,100 | 101 | 4 | 20 | 4 |
|
| LC | Có đường | 0,010 | 99 | 6 | 25 | 5 |
|
| LC | Có đường | 0,100 | 99 | 8 | 20 | 4 |
|
| LC | Có nước | 0,010 | 97 | 5 | 25 | 5 |
|
| LC | Có nước | 0,100 | 102 | 6 | 25 | 5 |
|
|
|
|
|
|
|
|
|
| Fomesafen | LC | Axit | 0,100 | 106 | 6 | 15 | 3 |
|
| LC | Có nước | 0,010 | 101 | 9 | 15 | 3 |
|
| LC | Có nước | 0,100 | 102 | 3 | 14 | 3 |
|
|
|
|
|
|
|
|
|
| Haloxyfop | LC | Axit | 0,010 | 113 | 9 | 15 | 3 |
|
| LC | Axit | 0,100 | 106 | 7 | 15 | 3 |
|
| LC | Có nước | 0,010 | 99 | 10 | 15 | 3 |
|
| LC | Có nước | 0,100 | 102 | 7 | 15 | 3 |
|
|
|
|
|
|
|
|
|
| Hexaconazole | LC | Axit | 0,010 | 95 | 10 | 24 | 5 |
|
| LC | Axit | 0,100 | 97 | 5 | 25 | 5 |
|
| LC | Mẫu khô (Ngũ cốc) | 0,010 | 94 | 10 | 20 | 4 |
|
| LC | Mẫu khô (Ngũ cốc) | 0,100 | 97 | 7 | 20 | 4 |
|
| LC | Có đường | 0,010 | 101 | 8 | 25 | 5 |
|
| LC | Có đường | 0,100 | 94 | 9 | 20 | 4 |
|
| LC | Có nước | 0,010 | 95 | 8 | 25 | 5 |
|
| LC | Có nước | 0,100 | 100 | 6 | 25 | 5 |
|
|
|
|
|
|
|
|
|
| Hexythiazox | LC | Axit | 0,010 | 95 | 10 | 25 | 5 |
|
| LC | Axit | 0,100 | 97 | 7 | 25 | 5 |
|
| LC | Mẫu khô (Ngũ cốc) | 0,010 | 104 | 16 | 20 | 4 |
|
| LC | Mẫu khô (Ngũ cốc) | 0,100 | 103 | 5 | 20 | 4 |
|
| LC | Có đường | 0,010 | 101 | 8 | 25 | 5 |
|
| LC | Có đường | 0,100 | 95 | 12 | 20 | 4 |
|
| LC | Có nước | 0,010 | 98 | 10 | 24 | 5 |
|
| LC | Có nước | 0,100 | 102 | 7 | 25 | 5 |
|
|
|
|
|
|
|
|
|
| Imazalil | GC | Axit | 0,025 | 97 | 8 | 15 | 3 |
|
| GC | Axit | 0,250 | 102 | 9 | 15 | 3 |
|
| GC | Có nước | 0,025 | 116 | 29 | 25 | 3 |
|
| GC | Có nước | 0,250 | 102 | 9 | 30 | 3 |
|
| LC | Axit | 0,010 | 96 | 5 | 15 | 3 |
|
| LC | Axit | 0,025 | 93 | 10 | 40 | 8 |
|
| LC | Axit | 0,100 | 96 | 4 | 15 | 3 |
|
| LC | Axit | 0,250 | 98 | 7 | 40 | 8 |
|
| LC | Mẫu khô (Ngũ cốc) | 0,010 | 94 | 7 | 15 | 3 |
|
| LC | Mẫu khô (Ngũ cốc) | 0,100 | 94 | 4 | 15 | 3 |
|
| LC | Có đường | 0,010 | 93 | 13 | 15 | 3 |
|
| LC | Có đường | 0,100 | 89 | 10 | 15 | 3 |
|
| LC | Có nước | 0,010 | 88 | 15 | 17 | 4 |
|
| LC | Có nước | 0,025 | 96 | 10 | 79 | 8 |
|
| LC | Có nước | 0,100 | 87 | 13 | 16 | 4 |
|
| LC | Có nước | 0,250 | 96 | 6 | 85 | 9 |
|
|
|
|
|
|
|
|
|
| Imazapyr | LC | Axit | 0,100 | 93 | 7 | 14 | 3 |
|
| LC | Có nước | 0,010 | 92 | 6 | 15 | 3 |
|
| LC | Có nước | 0,100 | 96 | 5 | 15 | 3 |
|
|
|
|
|
|
|
|
|
| Imazaquin | LC | Axit | 0,010 | 99 | 9 | 20 | 3 |
|
| LC | Axit | 0,100 | 102 | 7 | 20 | 3 |
|
| LC | Có nước | 0,010 | 97 | 6 | 20 | 3 |
|
| LC | Có nước | 0,100 | 102 | 5 | 20 | 3 |
|
|
|
|
|
|
|
|
|
| lmazethapyr | LC | Axit | 0,010 | 94 | 13 | 19 | 3 |
|
| LC | Axit | 0,100 | 96 | 6 | 20 | 3 |
|
| LC | Có nước | 0,010 | 98 | 9 | 20 | 3 |
|
| LC | Có nước | 0,100 | 100 | 4 | 20 | 3 |
|
|
|
|
|
|
|
|
|
| lmazosulfuron b | LC | Axit | 0,010 | 100 | 11 | 15 | 3 |
|
| LC | Axit | 0,100 | 96 | 10 | 15 | 3 |
|
| LC | Có nước | 0,010 | 96 | 12 | 14 | 3 |
|
| LC | Có nước | 0,100 | 95 | 10 | 15 | 3 |
|
| LC | Mẫu khô (Ngũ cốc) | 0,010 | 104 | 16 | 20 | 4 |
|
| LC | Mẫu khô (Ngũ cốc) | 0,100 | 103 | 5 | 20 | 4 |
|
| LC | Có đường | 0,010 | 101 | 8 | 25 | 5 |
|
| LC | Có đường | 0,100 | 95 | 12 | 20 | 4 |
|
| LC | Có nước | 0,010 | 98 | 10 | 24 | 5 |
|
| LC | Có nước | 0,100 | 102 | 7 | 25 | 5 |
|
|
|
|
|
|
|
|
|
| lmazalil | GC | Axit | 0,025 | 97 | 8 | 15 | 3 |
|
| GC | Axit | 0,250 | 102 | 9 | 15 | 3 |
|
| GC | Có nước | 0,025 | 116 | 29 | 25 | 3 |
|
| GC | Có nước | 0,250 | 102 | 9 | 30 | 3 |
|
| LC | Axit | 0,010 | 96 | 5 | 15 | 3 |
|
| LC | Axit | 0,025 | 93 | 10 | 40 | 8 |
|
| LC | Axit | 0,100 | 96 | 4 | 15 | 3 |
|
| LC | Axit | 0,250 | 98 | 7 | 40 | 8 |
|
| LC | Mẫu khô (Ngũ cốc) | 0,010 | 94 | 7 | 15 | 3 |
|
| LC | Mẫu khô (Ngũ cốc) | 0,100 | 94 | 4 | 15 | 3 |
|
| LC | Có đường | 0,010 | 93 | 13 | 15 | 3 |
|
| LC | Có đường | 0,100 | 89 | 10 | 15 | 3 |
|
| LC | Có nước | 0,010 | 88 | 15 | 17 | 4 |
|
| LC | Có nước | 0,025 | 96 | 10 | 79 | 8 |
|
| LC | Có nước | 0,100 | 87 | 13 | 16 | 4 |
|
| LC | Có nước | 0,250 | 96 | 6 | 85 | 9 |
|
|
|
|
|
|
|
|
|
| Imazapyr | LC | Axit | 0,100 | 93 | 7 | 14 | 3 |
|
| LC | Có nước | 0,010 | 92 | 6 | 15 | 3 |
|
| LC | Có nước | 0,100 | 96 | 5 | 15 | 3 |
|
|
|
|
|
|
|
|
|
| Imazaquin | LC | Axit | 0,010 | 99 | 9 | 20 | 3 |
|
| LC | Axit | 0,100 | 102 | 7 | 20 | 3 |
|
| LC | Có nước | 0,010 | 97 | 6 | 20 | 3 |
|
| LC | Có nước | 0,100 | 102 | 5 | 20 | 3 |
|
|
|
|
|
|
|
|
|
| Imazethapyr | LC | Axit | 0,010 | 94 | 13 | 19 | 3 |
|
| LC | Axit | 0100 | 96 | 6 | 20 | 3 |
|
| LC | Có nước | 0,010 | 98 | 9 | 20 | 3 |
|
| LC | Có nước | 0,100 | 100 | 4 | 20 | 3 |
|
|
|
|
|
|
|
|
|
| Imazosulfuron b | LC | Axit | 0,010 | 100 | 11 | 15 | 3 |
|
| LC | Axit | 0,100 | 96 | 10 | 15 | 3 |
|
| LC | Có nước | 0,010 | 96 | 12 | 14 | 3 |
|
| LC | Có nước | 0,100 | 95 | 10 | 15 | 3 |
|
|
|
|
|
|
|
|
|
| Imidacloprid | LC | Axit | 0,010 | 96 | 5 | 15 | 3 |
|
| LC | Axit | 0,100 | 99 | 8 | 15 | 3 |
|
| LC | Mẫu khô (Ngũ cốc) | 0,010 | 98 | 7 | 14 | 3 |
|
| LC | Mẫu khô (Ngũ cốc) | 0,100 | 95 | 4 | 15 | 3 |
|
| LC | Có đường | 0,010 | 95 | 10 | 13 | 3 |
|
| LC | Có đường | 0,100 | 96 | 5 | 15 | 3 |
|
| LC | Có nước | 0,010 | 98 | 8 | 19 | 4 |
|
| LC | Có nước | 0,100 | 97 | 4 | 20 | 4 |
|
|
|
|
|
|
|
|
|
| Indoxacarb | LC | Axit | 0,010 | 101 | 9 | 14 | 3 |
|
| LC | Axit | 0,100 | 103 | 6 | 15 | 3 |
|
| LC | Mẫu khô (Ngũ cốc) | 0,010 | 114 | 10 | 15 | 3 |
|
| LC | Mẫu khô (Ngũ cốc) | 0,100 | 98 | 5 | 15 | 3 |
|
| LC | Có đường | 0,010 | 92 | 8 | 15 | 3 |
|
| LC | Có đường | 0,100 | 102 | 7 | 15 | 3 |
|
| LC | Có nước | 0,010 | 100 | 8 | 20 | 4 |
|
| LC | Có nước | 0,100 | 97 | 6 | 20 | 4 |
|
|
|
|
|
|
|
|
|
| loxynil | LC | Axit | 0,010 | 96 | 4 | 15 | 3 |
|
| LC | Axit | 0,100 | 97 | 4 | 14 | 3 |
|
| LC | Có nước | 0,010 | 98 | 9 | 15 | 3 |
|
| LC | Có nước | 0,100 | 102 | 4 | 15 | 3 |
|
|
|
|
|
|
|
|
|
| Iprovalicarb | LC | Axit | 0,010 | 102 | 6 | 15 | 3 |
|
| LC | Axit | 0,100 | 101 | 8 | 15 | 3 |
|
| LC | Mẫu khô (Ngũ cốc) | 0,010 | 97 | 10 | 15 | 3 |
|
| LC | Mẫu khô (Ngũ cốc) | 0,100 | 97 | 4 | 15 | 3 |
|
| LC | Có đường | 0,010 | 99 | 7 | 15 | 3 |
|
| LC | Có đường | 0,100 | 99 | 5 | 15 | 3 |
|
| LC | Có nước | 0,010 | 100 | 7 | 20 | 4 |
|
| LC | Có nước | 0,100 | 100 | 4 | 20 | 4 |
|
|
|
|
|
|
|
|
|
| Isoproturon | LC | Axit | 0,010 | 103 | 7 | 15 | 3 |
|
| LC | Axit | 0,100 | 98 | 7 | 15 | 3 |
|
| LC | Mẫu khô (Ngũ cốc) | 0,010 | 95 | 5 | 15 | 3 |
|
| LC | Mẫu khô (Ngũ cốc) | 0,100 | 96 | 4 | 15 | 3 |
|
| LC | Có đường | 0,010 | 97 | 8 | 15 | 3 |
|
| LC | Có đường | 0,100 | 100 | 4 | 15 | 3 |
|
| LC | Có nước | 0,010 | 102 | 11 | 17 | 4 |
|
| LC | Có nước | 0,100 | 97 | 6 | 20 | 4 |
|
|
|
|
|
|
|
|
|
|
|
|
|
|
|
|
|
|
| Imidacloprid | LC | Axit | 0,010 | 96 | 5 | 15 | 3 |
|
| LC | Axit | 0,100 | 99 | 8 | 15 | 3 |
|
| LC | Mẫu khô (Ngũ cốc) | 0,010 | 98 | 7 | 14 | 3 |
|
| LC | Mẫu khô (Ngũ cốc) | 0,100 | 95 | 4 | 15 | 3 |
|
| LC | Có đường | 0,010 | 95 | 10 | 13 | 3 |
|
| LC | Có đường | 0,100 | 96 | 5 | 15 | 3 |
|
| LC | Có nước | 0,010 | 98 | 8 | 19 | 4 |
|
| LC | Có nước | 0,100 | 97 | 4 | 20 | 4 |
|
|
|
|
|
|
|
|
|
| Indoxacarb | LC | Axit | 0,010 | 101 | 9 | 14 | 3 |
|
| LC | Axit | 0,100 | 103 | 6 | 15 | 3 |
|
| LC | Mẫu khô (Ngũ cốc) | 0,010 | 114 | 10 | 15 | 3 |
|
| LC | Mẫu khô (Ngũ cốc) | 0,100 | 98 | 5 | 15 | 3 |
|
| LC | Có đường | 0,010 | 92 | 8 | 15 | 3 |
|
| LC | Có đường | 0,100 | 102 | 7 | 15 | 3 |
|
| LC | Có nước | 0,010 | 100 | 8 | 20 | 4 |
|
| LC | Có nước | 0,100 | 97 | 6 | 20 | 4 |
|
|
|
|
|
|
|
|
|
| loxynil | LC | Axit | 0,010 | 96 | 4 | 15 | 3 |
|
| LC | Axit | 0,100 | 97 | 4 | 14 | 3 |
|
| LC | Có nước | 0,010 | 98 | 9 | 15 | 3 |
|
| LC | Có nước | 0,100 | 102 | 4 | 15 | 3 |
|
|
|
|
|
|
|
|
|
| Iprovalicarb | LC | Axit | 0,010 | 102 | 6 | 15 | 3 |
|
| LC | Axit | 0 100 | 101 | 8 | 15 | 3 |
|
| LC | Mẫu khô (Ngũ cốc) | 0,010 | 97 | 10 | 15 | 3 |
|
| LC | Mẫu khô (Ngũ cốc) | 0,100 | 97 | 4 | 15 | 3 |
|
| LC | Có đường | 0,010 | 99 | 7 | 15 | 3 |
|
| LC | Có đường | 0,100 | 99 | 5 | 15 | 3 |
|
| LC | Có nước | 0,010 | 100 | 7 | 20 | 4 |
|
| LC | Có nước | 0,100 | 100 | 4 | 20 | 4 |
|
|
|
|
|
|
|
|
|
| Isoproturon | LC | Axit | 0,010 | 103 | 7 | 15 | 3 |
|
| LC | Axit | 0,100 | 98 | 7 | 15 | 3 |
|
| LC | Mẫu khô (Ngũ cốc) | 0,010 | 95 | 5 | 15 | 3 |
|
| LC | Mẫu khô (Ngũ cốc) | 0,100 | 96 | 4 | 15 | 3 |
|
| LC | Có đường | 0,010 | 97 | 8 | 15 | 3 |
|
| LC | Có đường | 0,100 | 100 | 4 | 15 | 3 |
|
| LC | Có nước | 0,010 | 102 | 11 | 17 | 4 |
|
| LC | Có nước | 0,100 | 97 | 6 | 20 | 4 |
|
|
|
|
|
|
|
|
|
| Kresoxim-Methyl | GC | Axit | 0,025 | 104 | 10 | 30 | 6 |
|
| GC | Axit | 0,250 | 103 | 10 | 29 | 6 |
|
| GC | Có nước | 0,025 | 104 | 9 | 60 | 6 |
|
| GC | Có nước | 0,250 | 103 | 7 | 60 | 6 |
|
| LC | Axit | 0,025 | 103 | 4 | 15 | 3 |
|
| LC | Axit | 0,250 | 104 | 5 | 15 | 3 |
|
| LC | Có nước | 0,025 | 102 | 6 | 25 | 3 |
|
| LC | Có nước | 0,250 | 101 | 9 | 34 | 4 |
|
|
|
|
|
|
|
|
|
| Linuron | LC | Axit | 0,010 | 104 | 5 | 15 | 3 |
|
| LC | Axit | 0,100 | 101 | 4 | 15 | 3 |
|
| LC | Mẫu khô (Ngũ cốc) | 0,010 | 98 | 8 | 15 | 3 |
|
| LC | Mẫu khô (Ngũ cốc) | 0,100 | 102 | 4 | 15 | 3 |
|
| LC | Có đường | 0,010 | 100 | 10 | 15 | 3 |
|
| LC | Có đường | 0,100 | 98 | 7 | 15 | 3 |
|
| LC | Có nước | 0,010 | 94 | 7 | 20 | 4 |
|
| LC | Có nước | 0,100 | 101 | 7 | 20 | 4 |
|
|
|
|
|
|
|
|
|
| Lufenuron | LC | Axit | 0,025 | 106 | 11 | 20 | 4 |
|
| LC | Axit | 0,250 | 101 | 6 | 25 | 5 |
|
| LC | Có nước | 0,025 | 106 | 16 | 38 | 4 |
|
| LC | Có nước | 0,250 | 101 | 10 | 55 | 6 |
|
|
|
|
|
|
|
|
|
| MCPA | LC | Axit | 0,010 | 100 | 7 | 14 | 3 |
|
| LC | Axit | 0,100 | 99 | 3 | 15 | 3 |
|
| LC | Có nước | 0,010 | 103 | 10 | 14 | 3 |
|
| LC | Có nước | 0,100 | 101 | 4 | 15 | 3 |
|
|
|
|
|
|
|
|
|
| MCPB | LC | Axit | 0,010 | 101 | 16 | 15 | 3 |
|
| LC | Axit | 0,100 | 106 | 11 | 15 | 3 |
|
| LC | Có nước | 0,010 | 98 | 11 | 15 | 3 |
|
| LC | Có nước | 0,100 | 103 | 7 | 15 | 3 |
|
|
|
|
|
|
|
|
|
| MCPP | LC | Axit | 0,010 | 102 | 6 | 15 | 3 |
|
| LC | Axit | 0,100 | 98 | 9 | 15 | 3 |
|
| LC | Có nước | 0,010 | 101 | 10 | 15 | 3 |
|
| LC | Có nước | 0,100 | 101 | 2 | 14 | 3 |
|
|
|
|
|
|
|
|
|
| Mepanipyrim | LC | Axit | 0,010 | 92 | 10 | 25 | 5 |
|
| LC | Axit | 0,100 | 100 | 7 | 25 | 5 |
|
| LC | Mẫu khô (Ngũ cốc) | 0,010 | 101 | 9 | 20 | 4 |
|
| LC | Mẫu khô (Ngũ cốc) | 0,100 | 99 | 8 | 20 | 4 |
|
| LC | Có đường | 0,010 | 101 | 7 | 20 | 4 |
|
| LC | Có đường | 0,100 | 99 | 7 | 20 | 4 |
|
| LC | Có nước | 0,010 | 96 | 7 | 25 | 5 |
|
| LC | Có nước | 0,100 | 100 | 4 | 25 | 5 |
|
|
|
|
|
|
|
|
|
| Metalaxyl | GC | Axit | 0,025 | 100 | 8 | 25 | 5 |
|
| GC | Axit | 0,250 | 98 | 7 | 25 | 5 |
|
| GC | Có nước | 0,025 | 104 | 10 | 47 | 5 |
|
| GC | Có nước | 0,250 | 104 | 5 | 50 | 5 |
|
| LC | Axit | 0,010 | 101 | 10 | 15 | 3 |
|
| LC | Axit | 0,025 | 95 | 10 | 35 | 7 |
|
| LC | Axit | 0,100 | 101 | 8 | 15 | 3 |
|
| LC | Axit | 0,250 | 101 | 6 | 35 | 7 |
|
| LC | Mẫu khô (Ngũ cốc) | 0,010 | 98 | 10 | 15 | 3 |
|
| LC | Mẫu khô (Ngũ cốc) | 0,100 | 99 | 6 | 15 | 3 |
|
| LC | Có đường | 0,010 | 98 | 6 | 15 | 3 |
|
| LC | Có đường | 0,100 | 100 | 7 | 15 | 3 |
|
| LC | Có nước | 0,010 | 102 | 10 | 12 | 3 |
|
| LC | Có nước | 0,025 | 100 | 7 | 68 | 7 |
|
| LC | Có nước | 0,100 | 102 | 6 | 20 | 4 |
|
| LC | Có nước | 0,250 | 100 | 6 | 74 | 8 |
|
|
|
|
|
|
|
|
|
| Methamidophos | LC | Axit | 0,025 | 75 | 8 | 39 | 8 |
|
| LC | Axit | 0,100 | 83 | 13 | 14 | 3 |
|
| LC | Axit | 0,250 | 78 | 6 | 39 | 8 |
|
| LC | Mẫu khô (Ngũ cốc) | 0,010 | 84 | 18 | 15 | 3 |
|
| LC | Mẫu khô (Ngũ cốc) | 0,100 | 77 | 19 | 15 | 3 |
|
| LC | Có đường | 0,100 | 85 | 16 | 14 | 3 |
|
| LC | Có nước | 0,010 | 92 | 11 | 20 | 4 |
|
| LC | Có nước | 0,025 | 81 | 10 | 77 | 8 |
|
| LC | Có nước | 0,100 | 92 | 8 | 19 | 4 |
|
| LC | Có nước | 0,250 | 81 | 7 | 84 | 9 |
|
|
|
|
|
|
|
|
|
| Methiocarb | LC | Axit | 0,010 | 94 | 8 | 15 | 3 |
|
| LC | Axit | 0,025 | 99 | 11 | 38 | 8 |
|
| LC | Axit | 0,100 | 96 | 12 | 15 | 3 |
|
| LC | Axit | 0,250 | 101 | 5 | 40 | 8 |
|
| LC | Mẫu khô (Ngũ cốc) | 0,010 | 90 | 9 | 15 | 3 |
|
| LC | Mẫu khô (Ngũ cốc) | 0,100 | 89 | 8 | 15 | 3 |
|
| LC | Có đường | 0,010 | 94 | 10 | 14 | 3 |
|
| LC | Có đường | 0,100 | 89 | 11 | 12 | 3 |
|
| LC | Có nước | 0,010 | 92 | 9 | 20 | 4 |
|
| LC | Có nước | 0,025 | 103 | 7 | 73 | 8 |
|
| LC | Có nước | 0,100 | 97 | 7 | 20 | 4 |
|
| LC | Có nước | 0,250 | 100 | 7 | 76 | 9 |
|
|
|
|
|
|
|
|
|
| Methomyl | LC | Axit | 0,010 | 104 | 10 | 15 | 3 |
|
| LC | Axit | 0,100 | 97 | 8 | 15 | 3 |
|
| LC | Mẫu khô (Ngũ cốc) | 0,010 | 98 | 8 | 15 | 3 |
|
| LC | Mẫu khô (Ngũ cốc) | 0,100 | 90 | 6 | 15 | 3 |
|
| LC | Có đường | 0,010 | 97 | 9 | 15 | 3 |
|
| LC | Có đường | 0,100 | 94 | 6 | 15 | 3 |
|
| LC | Có nước | 0,010 | 103 | 14 | 20 | 4 |
|
| LC | Có nước | 0,100 | 99 | 6 | 18 | 4 |
|
|
|
|
|
|
|
|
|
| Methoxyfenozide | LC | Axit | 0,010 | 101 | 5 | 15 | 3 |
|
| LC | Axit | 0,100 | 100 | 6 | 15 | 3 |
|
| LC | Mẫu khô (Ngũ cốc) | 0,010 | 97 | 7 | 15 | 3 |
|
| LC | Mẫu khô (Ngũ cốc) | 0,100 | 100 | 4 | 15 | 3 |
|
| LC | Có đường | 0,010 | 104 | 6 | 15 | 3 |
|
| LC | Có đường | 0,100 | 101 | 5 | 15 | 3 |
|
| LC | Có nước | 0,010 | 95 | 10 | 20 | 4 |
|
| LC | Có nước | 0,100 | 98 | 7 | 20 | 4 |
|
|
|
|
|
|
|
|
|
| Metobromuron | LC | Axit | 0,010 | 93 | 13 | 23 | 5 |
|
| LC | Axit | 0,100 | 98 | 7 | 25 | 5 |
|
| LC | Mẫu khô (Ngũ cốc) | 0,010 | 103 | 9 | 20 | 4 |
|
| LC | Mẫu khô (Ngũ cốc) | 0,100 | 102 | 6 | 20 | 4 |
|
| LC | Có đường | 0,010 | 102 | 10 | 25 | 5 |
|
| LC | Có đường | 0,100 | 105 | 9 | 20 | 4 |
|
| LC | Có nước | 0,010 | 96 | 7 | 25 | 5 |
|
| LC | Có nước | 0,100 | 100 | 6 | 25 | 5 |
|
|
|
|
|
|
|
|
|
| Metolachlor | LC | Axit | 0,010 | 104 | 7 | 15 | 3 |
|
| LC | Axit | 0,100 | 102 | 6 | 15 | 3 |
|
| LC | Mẫu khô (Ngũ cốc) | 0,010 | 104 | 10 | 15 | 3 |
|
| LC | Mẫu khô (Ngũ cốc) | 0,100 | 99 | 4 | 15 | 3 |
|
| LC | Có đường | 0,010 | 101 | 8 | 15 | 3 |
|
| LC | Có đường | 0,100 | 102 | 5 | 15 | 3 |
|
| LC | Có nước | 0,010 | 97 | 6 | 20 | 4 |
|
| LC | Có nước | 0,100 | 100 | 4 | 20 | 4 |
|
|
|
|
|
|
|
|
|
| Metosulam | LC | Axit | 0,010 | 94 | 20 | 19 | 3 |
|
| LC | Axit | 0,100 | 96 | 22 | 23 | 3 |
|
| LC | Có nước | 0,010 | 104 | 3 | 15 | 3 |
|
| LC | Có nước | 0,100 | 80 | 36 | 18 | 3 |
|
|
|
|
|
|
|
|
|
| Metsulfuron- Methyl b | LC | Axit | 0,010 | 88 | 19 | 27 | 4 |
|
| LC | Axit | 0,100 | 87 | 25 | 25 | 4 |
|
| LC | Có đường | 0,010 | 64 | 36 | 19 | 3 |
|
| LC | Có đường | 0,100 | 69 | 35 | 20 | 3 |
|
| LC | Có nước | 0,010 | 84 | 22 | 27 | 4 |
|
| LC | Có nước | 0,100 | 84 | 21 | 25 | 4 |
|
|
|
|
|
|
|
|
|
| Monocrotophos | LC | Axit | 0,010 | 95 | 10 | 15 | 3 |
|
| LC | Axit | 0,100 | 96 | 8 | 15 | 3 |
|
| LC | Mẫu khô (Ngũ cốc) | 0,010 | 93 | 7 | 15 | 3 |
|
| LC | Mẫu khô (Ngũ cốc) | 0,100 | 90 | 3 | 15 | 3 |
|
| LC | Có đường | 0,010 | 92 | 12 | 15 | 3 |
|
| LC | Có đường | 0,100 | 94 | 7 | 15 | 3 |
|
| LC | Có nước | 0,010 | 95 | 6 | 19 | 4 |
|
| LC | Có nước | 0,100 | 97 | 5 | 19 | 4 |
|
|
|
|
|
|
|
|
|
| Myclobutanil | GC | Axit | 0,025 | 101 | 6 | 30 | 6 |
|
| GC | Axit | 0,250 | 103 | 7 | 30 | 6 |
|
| GC | Có nước | 0,025 | 104 | 7 | 60 | 6 |
|
| GC | Có nước | 0,250 | 103 | 5 | 60 | 6 |
|
| LC | Axit | 0,025 | 101 | 7 | 20 | 4 |
|
| LC | Axit | 0,250 | 103 | 6 | 20 | 4 |
|
| LC | Có nước | 0,025 | 98 | 8 | 40 | 4 |
|
| LC | Có nước | 0,250 | 98 | 8 | 45 | 5 |
|
|
|
|
|
|
|
|
|
| 2-Naphthoxyacetic acid | LC | Axit | 0,100 | 103 | 8 | 15 | 3 |
|
| LC | Có nước | 0,100 | 98 | 7 | 14 | 3 |
|
|
|
|
|
|
|
|
|
| Omethoate | LC | Axit | 0,010 | 84 | 10 | 20 | 4 |
|
| LC | Axit | 0,100 | 83 | 8 | 20 | 4 |
|
| LC | Mẫu khô (Ngũ cốc) | 0,010 | 92 | 9 | 15 | 3 |
|
| LC | Mẫu khô (Ngũ cốc) | 0,010 | 92 | 9 | 15 | 3 |
|
| LC | Mẫu khô (Ngũ cốc) | 0,100 | 88 | 15 | 20 | 4 |
|
| LC | Có đường | 0,010 | 81 | 15 | 19 | 4 |
|
| LC | Có đường | 0,100 | 89 | 4 | 20 | 4 |
|
| LC | Có nước | 0,010 | 92 | 9 | 19 | 4 |
|
| LC | Có nước | 0,100 | 89 | 7 | 25 | 5 |
|
|
|
|
|
|
|
|
|
| Oxamyl | LC | Axit | 0,010 | 103 | 11 | 12 | 3 |
|
| LC | Axit | 0,100 | 96 | 8 | 15 | 3 |
|
| LC | Mẫu khô (Ngũ cốc) | 0,010 | 92 | 9 | 15 | 3 |
|
| LC | Mẫu khô (Ngũ cốc) | 0,100 | 88 | 15 | 20 | 4 |
|
| LC | Có đường | 0,100 | 98 | 7 | 15 | 3 |
|
| LC | Có nước | 0,010 | 96 | 13 | 15 | 4 |
|
| LC | Có nước | 0,100 | 101 | 7 | 20 | 4 |
|
|
|
|
|
|
|
|
|
| Penconazole | GC | Axit | 0,025 | 101 | 5 | 30 | 6 |
|
| GC | Axit | 0,250 | 102 | 7 | 30 | 6 |
|
| GC | Có nước | 0,025 | 103 | 6 | 60 | 6 |
|
| GC | Có nước | 0,250 | 102 | 4 | 60 | 6 |
|
| LC | Axit | 0,025 | 97 | 6 | 25 | 5 |
|
| LC | Axit | 0,250 | 101 | 7 | 25 | 5 |
|
| LC | Có nước | 0,025 | 102 | 8 | 49 | 5 |
|
| LC | Có nước | 0,250 | 99 | 6 | 55 | 6 |
|
|
|
|
|
|
|
|
|
| Picoxystrobin | LC | Axit | 0,010 | 102 | 5 | 15 | 3 |
|
| LC | Axit | 0,100 | 102 | 8 | 15 | 3 |
|
| LC | Mẫu khô (Ngũ cốc) | 0,010 | 103 | 8 | 15 | 3 |
|
| LC | Mẫu khô (Ngũ cốc) | 0,100 | 99 | 5 | 15 | 3 |
|
| LC | Có đường | 0,010 | 103 | 6 | 15 | 3 |
|
| LC | Có đường | 0,100 | 99 | 6 | 15 | 3 |
|
| LC | Có nước | 0,010 | 98 | 7 | 20 | 4 |
|
| LC | Có nước | 0,100 | 99 | 4 | 20 | 4 |
|
|
|
|
|
|
|
|
|
| Pirimicarb | GC | Axit | 0,025 | 97 | 6 | 20 | 4 |
|
| GC | Axit | 0,250 | 96 | 6 | 20 | 4 |
|
| GC | Có nước | 0,025 | 101 | 7 | 40 | 4 |
|
| GC | Có nước | 0,250 | 101 | 5 | 40 | 4 |
|
| LC | Axit | 0,010 | 92 | 5 | 14 | 3 |
|
| LC | Axit | 0,025 | 95 | 4 | 30 | 6 |
|
| LC | Axit | 0,100 | 96 | 7 | 15 | 3 |
|
| LC | Axit | 0,250 | 99 | 4 | 30 | 6 |
|
| LC | Mẫu khô (Ngũ cốc) | 0,010 | 98 | 4 | 15 | 3 |
|
| LC | Mẫu khô (Ngũ cốc) | 0,100 | 98 | 4 | 15 | 3 |
|
| LC | Có đường | 0,010 | 95 | 7 | 15 | 3 |
|
| LC | Có đường | 0,100 | 94 | 4 | 15 | 3 |
|
| LC | Có nước | 0,010 | 94 | 8 | 20 | 4 |
|
| LC | Có nước | 0,025 | 98 | 8 | 59 | 6 |
|
| LC | Có nước | 0,100 | 95 | 8 | 20 | 4 |
|
| LC | Có nước | 0,250 | 96 | 6 | 65 | 7 |
|
|
|
|
|
|
|
|
|
| Pirimiphos-Ethyl | LC | Axit | 0,010 | 93 | 9 | 15 | 3 |
|
| LC | Axit | 0,100 | 96 | 6 | 15 | 3 |
|
| LC | Có đường | 0,010 | 98 | 13 | 15 | 3 |
|
| LC | Có đường | 0,100 | 99 | 10 | 15 | 3 |
|
| LC | Có nước | 0,010 | 100 | 5 | 15 | 3 |
|
| LC | Có nước | 0,100 | 100 | 6 | 15 | 3 |
|
|
|
|
|
|
|
|
|
| Procymidone | GC | Axit | 0,025 | 103 | 6 | 35 | 7 |
|
| GC | Axit | 0,250 | 102 | 5 | 35 | 7 |
|
| GC | Có nước | 0,025 | 104 | 5 | 70 | 7 |
|
| GC | Có nước | 0,250 | 104 | 4 | 70 | 7 |
|
|
|
|
|
|
|
|
|
| Profenofos | LC | Axit | 0,010 | 94 | 9 | 25 | 5 |
|
| LC | Axit | 0,100 | 96 | 5 | 25 | 5 |
|
| LC | Mẫu khô (Ngũ cốc) | 0,010 | 113 | 22 | 14 | 4 |
|
| LC | Mẫu khô (Ngũ cốc) | 0,100 | 103 | 5 | 20 | 4 |
|
| LC | Có đường | 0,010 | 98 | 9 | 25 | 5 |
|
| LC | Có đường | 0,100 | 99 | 10 | 20 | 4 |
|
| LC | Có nước | 0,010 | 112 | 24 | 20 | 4 |
|
| LC | Có nước | 0,100 | 100 | 5 | 25 | 5 |
|
|
|
|
|
|
|
|
|
| Promecarb | LC | Axit | 0,010 | 101 | 3 | 15 | 3 |
|
| LC | Axit | 0,100 | 98 | 7 | 15 | 3 |
|
| LC | Mẫu khô (Ngũ cốc) | 0,010 | 98 | 6 | 15 | 3 |
|
| LC | Mẫu khô (Ngũ cốc) | 0,100 | 99 | 3 | 15 | 3 |
|
| LC | Có đường | 0,010 | 102 | 6 | 15 | 3 |
|
| LC | Có đường | 0,100 | 100 | 3 | 15 | 3 |
|
| LC | Có nước | 0,010 | 97 | 5 | 20 | 4 |
|
| LC | Có nước | 0,100 | 99 | 6 | 20 | 4 |
|
|
|
|
|
|
|
|
|
| Prometryn | LC | Axit | 0,010 | 94 | 6 | 25 | 5 |
|
| LC | Axit | 0,100 | 97 | 5 | 25 | 5 |
|
| LC | Mẫu khô (Ngũ cốc) | 0,010 | 98 | 7 | 20 | 4 |
|
| LC | Mẫu khô (Ngũ cốc) | 0,100 | 102 | 4 | 20 | 4 |
|
| LC | Có đường | 0,010 | 97 | 6 | 25 | 5 |
|
| LC | Có đường | 0,100 | 100 | 6 | 20 | 4 |
|
| LC | Có nước | 0,010 | 98 | 5 | 25 | 5 |
|
| LC | Có nước | 0,100 | 100 | 5 | 25 | 5 |
|
|
|
|
|
|
|
|
|
| Propamocarb | LC | Axit | 0,010 | 85 | 11 | 13 | 3 |
|
| LC | Axit | 0,025 | 78 | 7 | 40 | 8 |
|
| LC | Axit | 0,100 | 88 | 8 | 15 | 3 |
|
| LC | Axit | 0,250 | 80 | 6 | 40 | 8 |
|
|
|
|
|
|
|
|
|
| Profenofos | LC | Axit | 0,010 | 94 | 9 | 25 | 5 |
|
| LC | Axit | 0,100 | 96 | 5 | 25 | 5 |
|
| LC | Mẫu khô (Ngũ cốc) | 0,010 | 113 | 22 | 14 | 4 |
|
| LC | Mẫu khô (Ngũ cốc) | 0,100 | 103 | 5 | 20 | 4 |
|
| LC | Có đường | 0,010 | 98 | 9 | 25 | 5 |
|
| LC | Có đường | 0,100 | 99 | 10 | 20 | 4 |
|
| LC | Có nước | 0,010 | 112 | 24 | 20 | 4 |
|
| LC | Có nước | 0,100 | 100 | 5 | 25 | 5 |
|
|
|
|
|
|
|
|
|
| Promecarb | LC | Axit | 0,010 | 101 | 3 | 15 | 3 |
|
| LC | Axit | 0,100 | 98 | 7 | 15 | 3 |
|
| LC | Mẫu khô (Ngũ cốc) | 0,010 | 98 | 6 | 15 | 3 |
|
| LC | Mẫu khô (Ngũ cốc) | 0,100 | 99 | 3 | 15 | 3 |
|
| LC | Có đường | 0,010 | 102 | 6 | 15 | 3 |
|
| LC | Có đường | 0,100 | 100 | 3 | 15 | 3 |
|
| LC | Có nước | 0,010 | 97 | 5 | 20 | 4 |
|
| LC | Có nước | 0,100 | 99 | 6 | 20 | 4 |
|
|
|
|
|
|
|
|
|
| Prometryn | LC | Axit | 0,010 | 94 | 6 | 25 | 5 |
|
| LC | Axit | 0,100 | 97 | 5 | 25 | 5 |
|
| LC | Mẫu khô (Ngũ cốc) | 0,010 | 98 | 7 | 20 | 4 |
|
| LC | Mẫu khô (Ngũ cốc) | 0,100 | 102 | 4 | 20 | 4 |
|
| LC | Có đường | 0,010 | 97 | 6 | 25 | 5 |
|
| LC | Có đường | 0,100 | 100 | 6 | 20 | 4 |
|
| LC | Có nước | 0,010 | 98 | 5 | 25 | 5 |
|
| LC | Có nước | 0,100 | 100 | 5 | 25 | 5 |
|
|
|
|
|
|
|
|
|
| Propamocarb | LC | Axit | 0,010 | 85 | 11 | 13 | 3 |
|
| LC | Axit | 0,025 | 78 | 7 | 40 | 8 |
|
| LC | Axit | 0,100 | 88 | 8 | 15 | 3 |
|
| LC | Axit | 0,250 | 80 | 6 | 40 | 8 |
|
|
|
|
|
|
|
|
|
| Profenofos | LC | Axit | 0,010 | 94 | 9 | 25 | 5 |
|
| LC | Axit | 0,100 | 96 | 5 | 25 | 5 |
|
| LC | Mẫu khô (Ngũ cốc) | 0,010 | 113 | 22 | 14 | 4 |
|
| LC | Mẫu khô (Ngũ cốc) | 0,100 | 103 | 5 | 20 | 4 |
|
| LC | Có đường | 0,010 | 98 | 9 | 25 | 5 |
|
| LC | Có đường | 0,100 | 99 | 10 | 20 | 4 |
|
| LC | Có nước | 0,010 | 112 | 24 | 20 | 4 |
|
| LC | Có nước | 0,100 | 100 | 5 | 25 | 5 |
|
|
|
|
|
|
|
|
|
| Promecarb | LC | Axit | 0,010 | 101 | 3 | 15 | 3 |
|
| LC | Axit | 0,100 | 98 | 7 | 15 | 3 |
|
| LC | Mẫu khô (Ngũ cốc) | 0,010 | 98 | 6 | 15 | 3 |
|
| LC | Mẫu khô (Ngũ cốc) | 0,100 | 99 | 3 | 15 | 3 |
|
| LC | Có đường | 0,010 | 102 | 6 | 15 | 3 |
|
| LC | Có đường | 0,100 | 100 | 3 | 15 | 3 |
|
| LC | Có nước | 0,010 | 97 | 5 | 20 | 4 |
|
| LC | Có nước | 0,100 | 99 | 6 | 20 | 4 |
|
|
|
|
|
|
|
|
|
| Prometryn | LC | Axit | 0,010 | 94 | 6 | 25 | 5 |
|
| LC | Axit | 0,100 | 97 | 5 | 25 | 5 |
|
| LC | Mẫu khô (Ngũ cốc) | 0,010 | 98 | 7 | 20 | 4 |
|
| LC | Mẫu khô (Ngũ cốc) | 0,100 | 102 | 4 | 20 | 4 |
|
| LC | Có đường | 0,010 | 97 | 6 | 25 | 5 |
|
| LC | Có đường | 0,100 | 100 | 6 | 20 | 4 |
|
| LC | Có nước | 0,010 | 98 | 5 | 25 | 5 |
|
| LC | Có nước | 0,100 | 100 | 5 | 25 | 5 |
|
|
|
|
|
|
|
|
|
| Propamocarb | LC | Axit | 0,010 | 85 | 11 | 13 | 3 |
|
| LC | Axit | 0,025 | 78 | 7 | 40 | 8 |
|
| LC | Axit | 0,100 | 88 | 8 | 15 | 3 |
|
| LC | Axit | 0,250 | 80 | 6 | 40 | 8 |
|
| LC | Mẫu khô (Ngũ cốc) | 0,010 | 92 | 6 | 15 | 3 |
|
| LC | Mẫu khô (Ngũ cốc) | 0,100 | 86 | 5 | 15 | 3 |
|
| LC | Có đường | 0,010 | 81 | 7 | 15 | 3 |
|
| LC | Có đường | 0,100 | 74 | 8 | 15 | 3 |
|
| LC | Có nước | 0,010 | 97 | 11 | 15 | 4 |
|
| LC | Có nước | 0,025 | 85 | 8 | 78 | 8 |
|
| LC | Có nước | 0,100 | 93 | 10 | 20 | 4 |
|
| LC | Có nước | 0,250 | 85 | 8 | 84 | 9 |
|
|
|
|
|
|
|
|
|
| Propargite | LC | Axit | 0,010 | 96 | 8 | 25 | 5 |
|
| LC | Axit | 0,100 | 101 | 7 | 25 | 5 |
|
| LC | Mẫu khô (Ngũ cốc) | 0,010 | 102 | 9 | 20 | 4 |
|
| LC | Mẫu khô (Ngũ cốc) | 0,100 | 103 | 5 | 20 | 4 |
|
| LC | Có đường | 0,010 | 100 | 8 | 25 | 5 |
|
| LC | Có đường | 0,100 | 105 | 10 | 17 | 4 |
|
| LC | Có nước | 0,010 | 102 | 6 | 24 | 5 |
|
| LC | Có nước | 0,100 | 102 | 6 | 25 | 5 |
|
|
|
|
|
|
|
|
|
| Propiconazole | LC | Axit | 0,010 | 94 | 7 | 20 | 4 |
|
| LC | Axit | 0,100 | 99 | 6 | 25 | 5 |
|
| LC | Mẫu khô (Ngũ cốc) | 0,010 | 102 | 9 | 20 | 4 |
|
| LC | Mẫu khô (Ngũ cốc) | 0,100 | 99 | 6 | 20 | 4 |
|
| LC | Có đường | 0,010 | 95 | 8 | 20 | 4 |
|
| LC | Có đường | 0,100 | 99 | 9 | 20 | 4 |
|
| LC | Có nước | 0,010 | 95 | 7 | 25 | 5 |
|
| LC | Có nước | 0,100 | 101 | 5 | 25 | 5 |
|
|
|
|
|
|
|
|
|
| Propoxur | LC | Axit | 0,010 | 105 | 6 | 15 | 3 |
|
| LC | Axit | 0,100 | 98 | 4 | 15 | 3 |
|
| LC | Mẫu khô (Ngũ cốc) | 0,010 | 96 | 7 | 15 | 3 |
|
| LC | Mẫu khô (Ngũ cốc) | 0,100 | 98 | 4 | 15 | 3 |
|
| LC | Có đường | 0,010 | 98 | 7 | 15 | 3 |
|
| LC | Có đường | 0,100 | 99 | 5 | 15 | 3 |
|
| LC | Có nước | 0,010 | 103 | 5 | 20 | 4 |
|
| LC | Có nước | 0,100 | 98 | 5 | 20 | 4 |
|
|
|
|
|
|
|
|
|
| Propyzamide | GC | Axit | 0,025 | 103 | 6 | 30 | 6 |
|
| GC | Axit | 0,250 | 101 | 7 | 30 | 6 |
|
| GC | Có nước | 0,025 | 105 | 6 | 60 | 6 |
|
| GC | Có nước | 0,250 | 105 | 5 | 60 | 6 |
|
| LC | Axit | 0,010 | 95 | 9 | 24 | 5 |
|
| LC | Axit | 0,025 | 96 | 8 | 20 | 4 |
|
| LC | Axit | 0,100 | 101 | 6 | 25 | 5 |
|
| LC | Axit | 0,250 | 101 | 4 | 20 | 4 |
|
| LC | Mẫu khô (Ngũ cốc) | 0,010 | 101 | 7 | 20 | 4 |
|
| LC | Mẫu khô (Ngũ cốc) | 0,100 | 99 | 6 | 20 | 4 |
|
| LC | Có đường | 0,010 | 100 | 8 | 25 | 5 |
|
| LC | Có đường | 0,100 | 104 | 9 | 20 | 4 |
|
| LC | Có nước | 0,010 | 98 | 6 | 25 | 5 |
|
| LC | Có nước | 0,025 | 98 | 5 | 40 | 4 |
|
| LC | Có nước | 0,100 | 100 | 5 | 25 | 5 |
|
| LC | Có nước | 0,250 | 101 | 8 | 50 | 5 |
|
|
|
|
|
|
|
|
|
| Prosulfuron b | LC | Axit | 0,010 | 78 | 13 | 14 | 3 |
|
| LC | Axit | 0,100 | 77 | 9 | 15 | 3 |
|
| LC | Có nước | 0,010 | 65 | 12 | 16 | 4 |
|
|
|
|
|
|
|
|
|
| Pymetrozine | LC | Axit | 0,010 | 42 | 17 | 11 | 3 |
|
| LC | Axit | 0100 | 46 | 12 | 15 | 3 |
|
| LC | Mẫu khô (Ngũ cốc) | 0,010 | 60 | 7 | 15 | 3 |
|
| LC | Mẫu khô (Ngũ cốc) | 0,100 | 55 | 5 | 15 | 3 |
|
| LC | Có đường | 0,010 | 41 | 16 | 14 | 3 |
|
| LC | Có đường | 0,100 | 39 | 18 | 15 | 3 |
|
| LC | Có nước | 0,010 | 66 | 5 | 15 | 3 |
|
| LC | Có nước | 0,100 | 63 | 6 | 20 | 4 |
|
|
|
|
|
|
|
|
|
| Pyraclostrobin | LC | Axit | 0,010 | 101 | 9 | 15 | 3 |
|
| LC | Axit | 0,100 | 98 | 5 | 15 | 3 |
|
| LC | Mẫu khô (Ngũ cốc) | 0,010 | 98 | 10 | 15 | 3 |
|
| LC | Mẫu khô (Ngũ cốc) | 0,100 | 98 | 4 | 15 | 3 |
|
| LC | Có đường | 0,010 | 100 | 8 | 15 | 3 |
|
| LC | Có đường | 0,100 | 100 | 6 | 15 | 3 |
|
| LC | Có nước | 0,010 | 101 | 7 | 20 | 4 |
|
| LC | Có nước | 0,100 | 98 | 5 | 20 | 4 |
|
|
|
|
|
|
|
|
|
| Pyridaben | GC | Axit | 0,025 | 103 | 9 | 30 | 6 |
|
| GC | Axit | 0,250 | 104 | 7 | 30 | 6 |
|
| GC | Có nước | 0,025 | 101 | 6 | 60 | 6 |
|
| GC | Có nước | 0,250 | 102 | 6 | 60 | 6 |
|
| LC | Axit | 0,025 | 108 | 8 | 15 | 3 |
|
| LC | Axit | 0,250 | 106 | 11 | 15 | 3 |
|
| LC | Có nước | 0,025 | 102 | 10 | 29 | 3 |
|
| LC | Có nước | 0,250 | 100 | 7 | 33 | 4 |
|
|
|
|
|
|
|
|
|
| Pyrifenox | LC | Axit | 0,010 | 94 | 6 | 25 | 5 |
|
| LC | Axit | 0 100 | 97 | 5 | 25 | 5 |
|
| LC | Mẫu khô (Ngũ cốc) | 0,100 | 99 | 5 | 20 | 4 |
|
| LC | Có đường | 0,010 | 99 | 8 | 20 | 4 |
|
| LC | Có đường | 0,100 | 98 | 7 | 20 | 4 |
|
| LC | Có nước | 0,010 | 96 | 7 | 25 | 5 |
|
| LC | Có nước | 0,100 | 101 | 6 | 25 | 5 |
|
|
|
|
|
|
|
|
|
| Pyrimethanil | GC | Axit | 0,025 | 100 | 5 | 30 | 6 |
|
| GC | Axit | 0,250 | 98 | 5 | 30 | 6 |
|
| GC | Có nước | 0,025 | 101 | 5 | 60 | 6 |
|
| GC | Có nước | 0,250 | 101 | 3 | 60 | 6 |
|
| LC | Axit | 0,010 | 98 | 5 | 15 | 3 |
|
| LC | Axit | 0,025 | 98 | 8 | 30 | 6 |
|
| LC | Axit | 0,100 | 96 | 5 | 15 | 3 |
|
| LC | Axit | 0,250 | 101 | 6 | 30 | 6 |
|
| LC | Mẫu khô (Ngũ cốc) | 0,010 | 92 | 6 | 15 | 3 |
|
| LC | Mẫu khô (Ngũ cốc) | 0,100 | 94 | 4 | 15 | 3 |
|
| LC | Có đường | 0,010 | 96 | 5 | 15 | 3 |
|
| LC | Có đường | 0,100 | 98 | 5 | 15 | 3 |
|
| LC | Có nước | 0,010 | 95 | 6 | 20 | 4 |
|
| LC | Có nước | 0,025 | 100 | 9 | 59 | 6 |
|
| LC | Có nước | 0,100 | 98 | 5 | 20 | 4 |
|
| LC | Có nước | 0,250 | 97 | 5 | 65 | 7 |
|
|
|
|
|
|
|
|
|
| Pyrimethanil | GC | Axit | 0,025 | 100 | 5 | 30 | 6 |
|
| GC | Axit | 0,250 | 98 | 5 | 30 | 6 |
|
| GC | Có nước | 0,025 | 101 | 5 | 60 | 6 |
|
| GC | Có nước | 0,250 | 101 | 3 | 60 | 6 |
|
| LC | Axit | 0,010 | 98 | 5 | 15 | 3 |
|
| LC | Axit | 0,025 | 98 | 8 | 30 | 6 |
|
| LC | Axit | 0,100 | 96 | 5 | 15 | 3 |
|
| LC | Axit | 0,250 | 101 | 6 | 30 | 6 |
|
| LC | Mẫu khô (Ngũ cốc) | 0,010 | 92 | 6 | 15 | 3 |
|
| LC | Mẫu khô (Ngũ cốc) | 0,100 | 94 | 4 | 15 | 3 |
|
| LC | Có đường | 0,010 | 96 | 5 | 15 | 3 |
|
| LC | Có đường | 0,100 | 98 | 5 | 15 | 3 |
|
| LC | Có nước | 0,010 | 95 | 6 | 20 | 4 |
|
| LC | Có nước | 0,025 | 100 | 9 | 59 | 6 |
|
| LC | Có nước | 0,100 | 98 | 5 | 20 | 4 |
|
| LC | Có nước | 0,250 | 97 | 5 | 65 | 7 |
|
|
|
|
|
|
|
|
|
| Pyriproxyfen | LC | Axit | 0,010 | 97 | 7 | 25 | 5 |
|
| LC | Axit | 0,100 | 97 | 6 | 25 | 5 |
|
| LC | Mẫu khô (Ngũ cốc) | 0,010 | 106 | 13 | 20 | 4 |
|
| LC | Mẫu khô (Ngũ cốc) | 0,100 | 100 | 6 | 19 | 4 |
|
| LC | Có đường | 0,010 | 97 | 8 | 25 | 5 |
|
| LC | Có đường | 0,100 | 99 | 11 | 19 | 4 |
|
| LC | Có nước | 0,010 | 105 | 10 | 24 | 5 |
|
| LC | Có nước | 0,100 | 102 | 6 | 25 | 5 |
|
|
|
|
|
|
|
|
|
| QuinmeracC | LC | Axit | 0,100 | 64 | 38 | 24 | 3 |
|
| LC | Có đường | 0,100 | 56 | 30 | 15 | 3 |
|
| LC | Có nước | 0,010 | 79 | 33 | 20 | 4 |
|
| LC | Có nước | 0,100 | 63 | 40 | 24 | 3 |
|
|
|
|
|
|
|
|
|
| Quinoxyfen | GC | Axit | 0,025 | 102 | 4 | 35 | 7 |
|
| GC | Axit | 0,250 | 101 | 4 | 35 | 7 |
|
| GC | Có nước | 0,025 | 100 | 6 | 70 | 7 |
|
| GC | Có nước | 0,250 | 100 | 4 | 70 | 7 |
|
| LC | Axit | 0,010 | 94 | 10 | 25 | 5 |
|
| LC | Axit | 0,100 | 94 | 7 | 25 | 5 |
|
| LC | Mẫu khô (Ngũ cốc) | 0,010 | 107 | 7 | 15 | 3 |
|
| LC | Mẫu khô (Ngũ cốc) | 0,100 | 99 | 6 | 20 | 4 |
|
| LC | Có đường | 0,010 | 93 | 9 | 25 | 5 |
|
| LC | Có đường | 0,100 | 95 | 13 | 19 | 4 |
|
| LC | Có nước | 0,010 | 100 | 9 | 23 | 5 |
|
| LC | Có nước | 0,100 | 100 | 7 | 25 | 5 |
|
|
|
|
|
|
|
|
|
| Spinosyn A | LC | Axit | 0,010 | 100 | 13 | 24 | 5 |
|
| LC | Axit | 0,100 | 99 | 6 | 25 | 5 |
|
| LC | Mẫu khô (Ngũ cốc) | 0,010 | 111 | 11 | 20 | 4 |
|
| LC | Mẫu khô (Ngũ cốc) | 0,100 | 105 | 7 | 20 | 4 |
|
| LC | Có đường | 0,010 | 97 | 11 | 23 | 5 |
|
| LC | Có đường | 0,100 | 100 | 7 | 20 | 4 |
|
| LC | Có nước | 0,010 | 99 | 9 | 25 | 5 |
|
| LC | Có nước | 0,100 | 101 | 9 | 25 | 5 |
|
|
|
|
|
|
|
|
|
| Spinosyn D | LC | Axit | 0,010 | 95 | 10 | 18 | 4 |
|
| LC | Axit | 0,100 | 98 | 7 | 25 | 5 |
|
| LC | Mẫu khô (Ngũ cốc) | 0,010 | 107 | 7 | 11 | 3 |
|
| LC | Mẫu khô (Ngũ cốc) | 0,100 | 104 | 8 | 20 | 4 |
|
| LC | Có đường | 0,010 | 103 | 21 | 20 | 5 |
|
| LC | Có đường | 0,100 | 102 | 7 | 20 | 4 |
|
| LC | Có nước | 0,010 | 91 | 15 | 25 | 5 |
|
| LC | Có nước | 0,100 | 97 | 9 | 25 | 5 |
|
|
|
|
|
|
|
|
|
| Spiroxamine | LC | Axit | 0,010 | 98 | 4 | 15 | 3 |
|
| LC | Axit | 0,100 | 98 | 5 | 15 | 3 |
|
| LC | Mẫu khô (Ngũ cốc) | 0,010 | 96 | 5 | 15 | 3 |
|
| LC | Mẫu khô (Ngũ cốc) | 0,100 | 95 | 6 | 15 | 3 |
|
| LC | Có đường | 0,010 | 99 | 5 | 15 | 3 |
|
| LC | Có đường | 0,100 | 99 | 4 | 15 | 3 |
|
| LC | Có nước | 0,010 | 96 | 7 | 20 | 4 |
|
| LC | Có nước | 0,100 | 97 | 6 | 20 | 4 |
|
|
|
|
|
|
|
|
|
| Tebuconazole | LC | Axit | 0,010 | 104 | 11 | 15 | 3 |
|
| LC | Axit | 0,100 | 101 | 7 | 15 | 3 |
|
| LC | Mẫu khô (Ngũ cốc) | 0,010 | 105 | 18 | 15 | 3 |
|
| LC | Mẫu khô (Ngũ cốc) | 0,100 | 94 | 6 | 15 | 3 |
|
| LC | Có đường | 0,010 | 102 | 8 | 15 | 3 |
|
| LC | Có đường | 0,100 | 100 | 6 | 15 | 3 |
|
| LC | Có nước | 0,010 | 100 | 9 | 20 | 4 |
|
| LC | Có nước | 0,100 | 99 | 5 | 20 | 4 |
|
|
|
|
|
|
|
|
|
| Tebufenozide | LC | Axit | 0,010 | 103 | 5 | 15 | 3 |
|
| LC | Axit | 0,025 | 98 | 11 | 40 | 8 |
|
| LC | Axit | 0,100 | 99 | 4 | 15 | 3 |
|
| LC | Axit | 0,250 | 102 | 6 | 40 | 8 |
|
| LC | Mẫu khô (Ngũ cốc) | 0,010 | 104 | 8 | 15 | 3 |
|
| LC | Mẫu khô (Ngũ cốc) | 0,100 | 96 | 5 | 15 | 3 |
|
| LC | Có đường | 0,010 | 105 | 5 | 15 | 3 |
|
| LC | Có đường | 0,100 | 102 | 4 | 15 | 3 |
|
| LC | Có nước | 0,010 | 100 | 8 | 20 | 4 |
|
| LC | Có nước | 0,025 | 99 | 6 | 78 | 8 |
|
| LC | Có nước | 0,100 | 104 | 8 | 20 | 4 |
|
| LC | Có nước | 0,250 | 102 | 7 | 84 | 9 |
|
|
|
|
|
|
|
|
|
| Tebufenpyrad | LC | Axit | 0,010 | 99 | 12 | 24 | 5 |
|
| LC | Axit | 0,100 | 96 | 10 | 25 | 5 |
|
| LC | Mẫu khô (Ngũ cốc) | 0,010 | 119 | 30 | 14 | 3 |
|
| LC | Mẫu khô (Ngũ cốc) | 0,100 | 100 | 5 | 20 | 4 |
|
| LC | Có đường | 0,010 | 99 | 10 | 22 | 5 |
|
| LC | Có đường | 0,100 | 100 | 8 | 20 | 4 |
|
| LC | Có nước | 0,010 | 99 | 10 | 20 | 4 |
|
| LC | Có nước | 0,100 | 100 | 7 | 25 | 5 |
|
|
|
|
|
|
|
|
|
| Tetraconazole | LC | Axit | 0,010 | 95 | 9 | 25 | 5 |
|
| LC | Axit | 0,100 | 100 | 5 | 25 | 5 |
|
| LC | Mẫu khô (Ngũ cốc) | 0,010 | 99 | 9 | 20 | 4 |
|
| LC | Mẫu khô (Ngũ cốc) | 0,100 | 102 | 6 | 20 | 4 |
|
| LC | Có đường | 0,010 | 100 | 8 | 25 | 5 |
|
| LC | Có đường | 0,100 | 101 | 7 | 20 | 4 |
|
| LC | Có nước | 0,010 | 94 | 8 | 25 | 5 |
|
| LC | Có nước | 0,100 | 100 | 5 | 25 | 5 |
|
|
|
|
|
|
|
|
|
| Tetradifon | GC | Axit | 0,025 | 102 | 7 | 34 | 7 |
|
| GC | Axit | 0,250 | 102 | 6 | 35 | 7 |
|
| GC | Có nước | 0,025 | 102 | 9 | 64 | 7 |
|
| GC | Có nước | 0,250 | 102 | 5 | 70 | 7 |
|
|
|
|
|
|
|
|
|
| Thiabendazole | LC | Axit | 0,010 | 92 | 12 | 15 | 3 |
|
| LC | Axit | 0025 | 85 | 8 | 38 | 8 |
|
| LC | Axit | 0,100 | 89 | 6 | 15 | 3 |
|
| LC | Axit | 0,250 | 91 | 7 | 40 | 8 |
|
| LC | Mẫu khô (Ngũ cốc) | 0,010 | 89 | 7 | 15 | 3 |
|
| LC | Mẫu khô (Ngũ cốc) | 0,100 | 86 | 4 | 15 | 3 |
|
| LC | Có đường | 0,010 | 85 | 6 | 15 | 3 |
|
| LC | Có đường | 0,100 | 86 | 14 | 15 | 3 |
|
| LC | Có nước | 0,010 | 98 | 7 | 20 | 4 |
|
| LC | Có nước | 0,025 | 92 | 9 | 79 | 8 |
|
| LC | Có nước | 0,100 | 94 | 7 | 20 | 4 |
|
| LC | Có nước | 0,250 | 91 | 7 | 85 | 9 |
|
|
|
|
|
|
|
|
|
| Thiacloprid | LC | Axit | 0,010 | 98 | 9 | 15 | 3 |
|
| LC | Axit | 0,100 | 103 | 12 | 15 | 3 |
|
| LC | Mẫu khô (Ngũ cốc) | 0,010 | 96 | 6 | 15 | 3 |
|
| LC | Mẫu khô (Ngũ cốc) | 0,100 | 97 | 6 | 15 | 3 |
|
| LC | Có đường | 0,010 | 101 | 6 | 15 | 3 |
|
| LC | Có đường | 0,100 | 95 | 5 | 15 | 3 |
|
| LC | Có nước | 0,010 | 95 | 7 | 20 | 4 |
|
| LC | Có nước | 0,100 | 101 | 7 | 20 | 4 |
|
|
|
|
|
|
|
|
|
| Thiamethoxam | LC | Axit | 0,010 | 89 | 9 | 20 | 4 |
|
| LC | Axit | 0,100 | 93 | 9 | 22 | 5 |
|
| LC | Mẫu khô (Ngũ cốc) | 0,010 | 96 | 8 | 20 | 4 |
|
| LC | Mẫu khô (Ngũ cốc) | 0,100 | 99 | 7 | 20 | 4 |
|
| LC | Có đường | 0,010 | 92 | 11 | 19 | 4 |
|
| LC | Có đường | 0,100 | 99 | 7 | 20 | 4 |
|
| LC | Có nước | 0,010 | 96 | 8 | 20 | 4 |
|
| LC | Có nước | 0,100 | 101 | 6 | 25 | 5 |
|
|
|
|
|
|
|
|
|
| Thifensulfuron- Methyl b | LC | Axit | 0,010 | 85 | 26 | 29 | 4 |
|
| LC | Axit | 0,100 | 88 | 24 | 25 | 4 |
|
| LC | Mẫu khô (Ngũ cốc) | 0,010 | 66 | 39 | 23 | 3 |
|
| LC | Có đường | 0,010 | 62 | 42 | 20 | 3 |
|
| LC | Có đường | 0,100 | 61 | 37 | 20 | 3 |
|
| LC | Có nước | 0,010 | 83 | 24 | 26 | 4 |
|
| LC | Có nước | 0,100 | 85 | 21 | 25 | 4 |
|
|
|
|
|
|
|
|
|
| Thiodicarb | LC | Axit | 0,100 | 96 | 7 | 25 | 5 |
|
| LC | Mẫu khô (Ngũ cốc) | 0,100 | 81 | 11 | 15 | 3 |
|
| LC | Có đường | 0,100 | 99 | 9 | 20 | 4 |
|
| LC | Có nước | 0,100 | 99 | 5 | 25 | 5 |
|
|
|
|
|
|
|
|
|
| Thiofanox | LC | Axit | 0,010 | 107 | 13 | 13 | 3 |
|
| LC | Axit | 0,100 | 98 | 8 | 15 | 3 |
|
| LC | Mẫu khô (Ngũ cốc) | 0,100 | 98 | 5 | 15 | 3 |
|
| LC | Có đường | 0,100 | 88 | 9 | 15 | 3 |
|
| LC | Có nước | 0,010 | 92 | 14 | 20 | 4 |
|
| LC | Có nước | 0,100 | 91 | 12 | 16 | 4 |
|
|
|
|
|
|
|
|
|
| Thiophanate- Methyl | LC | Axit | 0,100 | 97 | 6 | 20 | 4 |
|
| LC | Mẫu khô (Ngũ cốc) | 0,100 | 97 | 6 | 20 | 4 |
|
| LC | Có đường | 0,100 | 97 | 7 | 20 | 4 |
|
| LC | Có nước | 0,100 | 91 | 5 | 15 | 3 |
|
|
|
|
|
|
|
|
|
| Triadimefon | LC | Axit | 0,010 | 99 | 10 | 25 | 5 |
|
| LC | Axit | 0,100 | 99 | 4 | 25 | 5 |
|
| LC | Mẫu khô (Ngũ cốc) | 0,010 | 102 | 7 | 20 | 4 |
|
| LC | Mẫu khô (Ngũ cốc) | 0,100 | 101 | 7 | 20 | 4 |
|
| LC | Có đường | 0,010 | 95 | 7 | 25 | 5 |
|
| LC | Có đường | 0,100 | 101 | 7 | 20 | 4 |
|
| LC | Có nước | 0,010 | 102 | 8 | 25 | 5 |
|
| LC | Có nước | 0,100 | 101 | 6 | 25 | 5 |
|
|
|
|
|
|
|
|
|
| Triclopyr | LC | Axit | 0,100 | 100 | 8 | 15 | 3 |
|
| LC | Có nước | 0,010 | 112 | 12 | 14 | 3 |
|
| LC | Có nước | 0,100 | 104 | 5 | 14 | 3 |
|
|
|
|
|
|
|
|
|
| Thiophanate- Methyl | LC | Axit | 0,100 | 97 | 6 | 20 | 4 |
|
| LC | Mẫu khô (Ngũ cốc) | 0,100 | 97 | 6 | 20 | 4 |
|
| LC | Có đường | 0,100 | 97 | 7 | 20 | 4 |
|
| LC | Có nước | 0,100 | 91 | 5 | 15 | 3 |
|
|
|
|
|
|
|
|
|
| Triadimefon | LC | Axit | 0,010 | 99 | 10 | 25 | 5 |
|
| LC | Axit | 0,100 | 99 | 4 | 25 | 5 |
|
| LC | Mẫu khô (Ngũ cốc) | 0,010 | 102 | 7 | 20 | 4 |
|
| LC | Mẫu khô (Ngũ cốc) | 0,100 | 101 | 7 | 20 | 4 |
|
| LC | Có đường | 0,010 | 95 | 7 | 25 | 5 |
|
| LC | Có đường | 0,100 | 101 | 7 | 20 | 4 |
|
| LC | Có nước | 0,010 | 102 | 8 | 25 | 5 |
|
| LC | Có nước | 0,100 | 101 | 6 | 25 | 5 |
|
|
|
|
|
|
|
|
|
| Triclopyr | LC | Axit | 0,100 | 100 | 8 | 15 | 3 |
|
| LC | Có nước | 0,010 | 112 | 12 | 14 | 3 |
|
| LC | Có nước | 0,100 | 104 | 5 | 14 | 3 |
|
|
|
|
|
|
|
|
|
| Trifloxystrobin | LC | Axit | 0,010 | 96 | 8 | 25 | 5 |
|
| LC | Axit | 0,100 | 98 | 6 | 25 | 5 |
|
| LC | Mẫu khô (Ngũ cốc) | 0,010 | 108 | 11 | 20 | 4 |
|
| LC | Mẫu khô (Ngũ cốc) | 0,100 | 105 | 11 | 19 | 4 |
|
| LC | Có đường | 0,010 | 102 | 6 | 25 | 5 |
|
| LC | Có đường | 0,100 | 102 | 8 | 20 | 4 |
|
| LC | Có nước | 0,010 | 105 | 15 | 24 | 5 |
|
| LC | Có nước | 0,100 | 101 | 5 | 25 | 5 |
|
|
|
|
|
|
|
|
|
| Trimethacarb | LC | Axit | 0,010 | 103 | 7 | 15 | 3 |
|
| LC | Axit | 0,100 | 95 | 6 | 15 | 3 |
|
| LC | Mẫu khô (Ngũ cốc) | 0,010 | 97 | 6 | 15 | 3 |
|
| LC | Mẫu khô (Ngũ cốc) | 0,100 | 97 | 3 | 15 | 3 |
|
| LC | Có đường | 0,010 | 100 | 6 | 15 | 3 |
|
| LC | Có đường | 0,100 | 99 | 5 | 15 | 3 |
|
| LC | Có nước | 0,010 | 97 | 8 | 20 | 4 |
|
| LC | Có nước | 0,100 | 99 | 5 | 20 | 4 |
|
|
|
|
|
|
|
|
|
| Vamidothion | LC | Axit | 0,010 | 96 | 7 | 15 | 3 |
|
| LC | Axit | 0,100 | 98 | 12 | 15 | 3 |
|
| LC | Mẫu khô (Ngũ cốc) | 0,010 | 96 | 7 | 15 | 3 |
|
| LC | Mẫu khô (Ngũ cốc) | 0,100 | 97 | 5 | 15 | 3 |
|
| LC | Có đường | 0,010 | 94 | 6 | 15 | 3 |
|
| LC | Có đường | 0,100 | 96 | 7 | 15 | 3 |
|
| LC | Có nước | 0,010 | 97 | 8 | 20 | 4 |
|
| LC | Có nước | 0,100 | 99 | 7 | 20 | 4 |
| a X= hiệu suất thu hồi, V = độ lệch chuẩn tương đối, n= số kết quả b Không được phân tích như mô tả từ dịch chiết không axit hóa c Không được phân tích như mô tả từ dịch chiết thô. | |||||||
Bảng B.2-Kết quả đánh giá phòng thí nghiệm đơn (n khoảng 25.000)
| Thuốc BVTV | LC/GC | Loại nền mẫu | Mức nồng độ thêm chuẩn mg/kg | Hiệu suất thu hồi | Số PTN | |||
| min | max | X % | V % | n | ||||
| Acephate |
| Tóm tắt | 0,010 | 0,750 | 83 | 15 | 98 | 3 |
|
| GC | Axit | 0,050 | 0,050 | 66 |
| 1 | 1 |
|
| GC | Có nước | 0,050 | 0,050 | 71 | 26 | 6 | 1 |
|
| LC | Có đường | 0,020 | 0,020 | 72 |
| 1 | 1 |
|
| LC | Axit | 0,010 | 0,100 | 81 | 16 | 14 | 2 |
|
| LC | Mẫu khô (Ngũ cốc) | 0,020 | 0,020 | 71 | 15 | 2 | 1 |
|
| LC | Có nước | 0,010 | 0,750 | 85 | 14 | 73 | 3 |
| Acetamiprid |
| Tóm tắt | 0,010 | 0,100 | 97 | 13 | 102 | 3 |
|
| LC | Có nước | 0,010 | 0,100 | 97 | 13 | 83 | 3 |
|
| LC | Có đường | 0,020 | 0,020 | 63 | 3 | 2 | 1 |
|
| LC | Mẫu khô (Ngũ cốc) | 0,020 | 0,020 | 102 | 7 | 2 | 1 |
|
| LC | Axit | 0,010 | 0,100 | 98 | 6 | 14 | 2 |
| Aclonifen |
| Tóm tắt | 0,010 | 0,200 | 90 | 20 | 95 | 5 |
|
| GC | Có nước | 0,050 | 0,100 | 100 | 19 | 28 | 4 |
|
| GC | Axit | 0,100 | 0,100 | 95 | 15 | 6 | 2 |
|
| GC | Có đường | 0,100 | 0,100 | 106 |
| 1 | 1 |
|
| LC | Có đường | 0,010 | 0,100 | 74 | 9 | 12 | 1 |
| . | LC | Axit | 0,010 | 0,100 | 94 | 18 | 12 | 1 |
|
| LC | Có nước | 0,010 | 0,100 | 86 | 16 | 24 | 1 |
|
| LC | Mẫu khô (Ngũ cốc) | 0,020 | 0,200 | 87 | 26 | 12 | 1 |
| Acrinathrin |
| Tóm tắt | 0,010 | 1,000 | 92 | 21 | 150 | 6 |
|
| GC | Khô | 0,100 | 0,100 | 96 |
| 1 | 1 |
|
| GC | Có đường | 0,100 | 0,100 | 105 | 5 | 2 | 1 |
|
| GC | Axit | 0,010 | 0,100 | 92 | 7 | 10 | 1 |
|
| GC | Có nước | 0,010 | 1,000 | 99 | 18 | 83 | 5 |
|
| LC | Có đường | 0,100 | 0,100 | 92 | 2 | 6 | 1 |
|
| LC | Mẫu khô (Ngũ cốc) | 0,020 | 0,200 | 83 | 17 | 12 | 1 |
|
| LC | Có nước | 0,010 | 0,100 | 80 | 27 | 24 | 1 |
|
| LC | Axit | 0,010 | 0,100 | 70 | 17 | 12 | 1 |
| Aldicarb |
| Tóm tắt | 0,010 | 0,200 | 89 | 27 | 150 | 4 |
|
| LC | Có nước | 0,010 | 0,100 | 85 | 23 | 95 | 4 |
|
| LC | Có đường | 0,010 | 0,100 | 93 | 13 | 14 | 2 |
|
| LC | Mẫu khô (Ngũ cốc) | 0,020 | 0,200 | 118 | 43 | 14 | 2 |
|
| LC | Axit | 0,010 | 0,100 | 86 | 24 | 26 | 3 |
| Aldicarb-Sulfon |
| Tóm tắt | 0,010 | 0,200 | 85 | 23 | 97 | 3 |
|
| LC | Có đường | 0,010 | 0,100 | 94 | 11 | 12 | 1 |
|
| LC | Axit | 0,010 | 0,100 | 95 | 11 | 23 | 2 |
|
| LC | Mẫu khô (Ngũ cốc) | 0,020 | 0,200 | 49 | 29 | 12 | 1 |
|
| LC | Có nước | 0,010 | 0,100 | 88 | 20 | 50 | 3 |
| Aldicarb-Sulfoxid |
| Tóm tắt | 0,010 | 0,200 | 81 | 15 | 97 | 3 |
|
| LC | Mẫu khô (Ngũ cốc) | 0,020 | 0,200 | 73 | 7 | 12 | 1 |
|
| LC | Có đường | 0,010 | 0,100 | 83 | 10 | 12 | 1 |
|
| LC | Có nước | 0,010 | 0,100 | 85 | 16 | 50 | 3 |
|
| LC | Axit | 0,010 | 0,100 | 73 | 13 | 23 | 2 |
| Aldrin |
| Tóm tắt | 0,032 | 1,000 | 98 | 13 | 53 | 4 |
|
| GC | Có nước | 0,032 | 1,000 | 98 | 13 | 53 | 4 |
| Azinphos-Ethyl |
| Tóm tắt | 0,010 | 0,200 | 96 | 11 | 69 | 4 |
|
| GC | Axit | 0,050 | 0,050 | 98 |
| 1 | 1 |
|
| GC | Có nước | 0,050 | 0,111 | 104 | 16 | 20 | 3 |
|
| LC | Có nước | 0,010 | 0,100 | 92 | 6 | 24 | 1 |
|
| LC | Mẫu khô (Ngũ cốc) | 0,020 | 0,200 | 94 | 8 | 12 | 1 |
|
| LC | Có đường | 0,010 | 0,100 | 93 | 8 | 12 | 1 |
| Azinphos-Methyl |
| Tóm tắt | 0,010 | 0,200 | 95 | 18 | 92 | 4 |
|
| GC | Khô | 0,100 | 0,100 | 74 |
| 1 | 1 |
|
| GC | Có nước | 0,010 | 0,200 | 101 | 26 | 30 | 3 |
|
| GC | Axit | 0,010 | 0,200 | 92 | 15 | 13 | 2 |
|
| LC | Có nước | 0,010 | 0,100 | 87 | 6 | 24 | 1 |
|
| LC | Có đường | 0,010 | 0,100 | 94 | 7 | 12 | 1 |
|
| LC | Mẫu khô (Ngũ cốc) | 0,020 | 0,200 | 102 | 4 | 12 | 1 |
| Azoxystrobin |
| Tóm tắt | 0,010 | 2,500 | 93 | 13 | 203 | 6 |
|
| GC | Axit | 0,010 | 0,100 | 100 | 10 | 10 | 1 |
|
| GC | Có nước | 0,010 | 1,000 | 96 | 11 | 50 | 4 |
|
| LC | Có đường | 0,020 | 0,020 | 78 | 4 | 2 | 1 |
|
| LC | Mẫu khô (Ngũ cốc) | 0,020 | 0,020 | 103 | 13 | 2 | 1 |
|
| LC | Khác | 0,010 | 2,500 | 82 | 8 | 24 | 1 |
|
| LC | Axit | 0,010 | 0,100 | 99 | 8 | 14 | 2 |
|
| LC | Có nước | 0,010 | 0,100 | 95 | 14 | 76 | 2 |
|
| LC | Khô | 0,010 | 2,500 | 80 | 9 | 24 | 1 |
| Benalaxyl |
| Tóm tắt | 0,010 | 2,500 | 94 | 10 | 197 | 6 |
|
| GC | Có nước | 0,050 | 1,000 | 96 | 9 | 51 | 4 |
|
| GC | Axit | 0,100 | 0,500 | 99 | 11 | 7 | 2 |
|
| LC | Mẫu khô (Ngũ cốc) | 0,020 | 0,200 | 103 | 5 | 12 | 1 |
|
| LC | Có đường | 0,010 | 0,100 | 96 | 4 | 12 | 1 |
|
| LC | Khác | 0,010 | 2,500 | 86 | 7 | 24 | 1 |
|
| LC | Có nước | 0,010 | 0,100 | 95 | 6 | 44 | 2 |
|
| LC | Khô | 0,010 | 2,500 | 81 | 8 | 24 | 1 |
|
| LC | Axit | 0,010 | 0,100 | 102 | 6 | 23 | 2 |
| Bifenox |
| Tóm tắt | 0,010 | 0,200 | 85 | 24 | 85 | 5 |
|
| GC | Có nước | 0,051 | 0,200 | 96 | 19 | 26 | 4 |
|
| GC | Có đường | 0,200 | 0,200 | 87 |
| 1 | 1 |
|
| LC | Có nước | 0,010 | 0,100 | 78 | 32 | 24 | 1 |
|
| LC | Axit | 0,010 | 0,100 | 88 | 19 | 12 | 1 |
|
| LC | Mẫu khô (Ngũ cốc) | 0,020 | 0,200 | 80 | 15 | 12 | 1 |
|
| LC | Có đường | 0,010 | 0,100 | 76 | 25 | 9 | 1 |
| Bifenthrin |
| Tóm tắt | 0,010 | 1,000 | 102 | 11 | 117 | 6 |
|
| GC | Có đường | 0,100 | 0,100 | 93 | 17 | 2 | 1 |
|
| GC | Khô | 0,100 | 0,100 | 98 | 3 | 2 | 1 |
|
| GC | Axit | 0,010 | 0,100 | 105 | 18 | 17 | 3 |
|
| GC | Có nước | 0,010 | 1,000 | 102 | 10 | 96 | 6 |
| Binapacryl |
| Tóm tắt | 0,025 | 0,168 | 91 | 6 | 14 | 3 |
|
| GC | Có nước | 0,100 | 0,168 | 91 | 7 | 12 | 2 |
|
| LC | Có nước | 0,025 | 0,025 | 89 | 1 | 2 | 1 |
| Bitertanol |
| Tóm tắt | 0,010 | 2,500 | 94 | 15 | 243 | 6 |
|
| GC | Có nước | 0,010 | 1,000 | 100 | 16 | 69 | 4 |
|
| GC | Khô | 0,100 | 0,100 | 90 | 5 | 2 | 1 |
|
| GC | Axit | 0,010 | 0,100 | 102 | 13 | 10 | 1 |
|
| LC | Axit | 0,010 | 0,100 | 86 | 9 | 15 | 2 |
|
| LC | Khô | 0,010 | 2,500 | 86 | 10 | 24 | 1 |
|
| LC | Có đường | 0,010 | 0,100 | 87 | 8 | 14 | 2 |
|
| LC | Khác | 0,010 | 2,500 | 79 | 9 | 24 | 1 |
|
| LC | Mẫu khô (Ngũ cốc) | 0,020 | 0,200 | 94 | 10 | 14 | 2 |
|
| LC | Có nước | 0,010 | 0,100 | 95 | 15 | 70 | 2 |
| Boscalid |
| Tóm tắt | 0,010 | 0,200 | 93 | 14 | 156 | 4 |
|
| GC | Có nước | 0,101 | 0,101 | 66 | 12 | 7 | 1 |
|
| LC | Mẫu khô (Ngũ cốc) | 0,020 | 0,200 | 96 | 8 | 14 | 2 |
|
| LC | Có nước | 0,010 | 0,100 | 93 | 14 | 95 | 3 |
|
| LC | Có đường | 0,010 | 0,100 | 96 | 8 | 14 | 2 |
|
| LC | Axit | 0,010 | 0,100 | 94 | 10 | 26 | 3 |
| Bromophos |
| Tóm tắt | 0,010 | 1,000 | 102 | 14 | 108 | 6 |
|
| GC | Có nước | 0,010 | 1,000 | 102 | 12 | 87 | 6 |
|
| GC | Có đường | 0,100 | 0,400 | 103 | 19 | 3 | 2 |
|
| GC | Khô | 0,100 | 0,100 | 137 | 57 | 2 | 1 |
|
| GC | Axit | 0,010 | 0,400 | 95 | 7 | 16 | 3 |
| Bromophos-Ethyl |
| Tóm tắt | 0,010 | 0,100 | 101 | 10 | 62 | 5 |
|
| GC | Khô | 0,100 | 0,100 | 90 | 25 | 2 | 1 |
|
| GC | Axit | 0,010 | 0,100 | 101 | 8 | 15 | 2 |
|
| GC | Có nước | 0,010 | 0,100 | 101 | 10 | 45 | 5 |
| Bromopropylate |
| Tóm tắt | 0,010 | 1,000 | 98 | 26 | 94 | 6 |
|
| GC | Khô | 0,100 | 0,100 | 90 | 11 | 2 | 1 |
|
| GC | Có nước | 0,010 | 1,000 | 103 | 11 | 77 | 6 |
|
| GC | Axit | 0,010 | 0,100 | 72 | 53 | 15 | 2 |
| Bromoconazole |
| Tóm tắt | 0,010 | 0,500 | 96 | 10 | 101 | 5 |
|
| GC | Axit | 0,500 | 0,500 | 91 |
| 1 | 1 |
| Azoxystrobin |
| Tóm tắt | 0,010 | 2,500 | 93 | 13 | 203 | 6 |
|
| GC | Axit | 0,010 | 0,100 | 100 | 10 | 10 | 1 |
|
| GC | Có nước | 0,010 | 1,000 | 96 | 11 | 50 | 4 |
|
| LC | Có đường | 0,020 | 0,020 | 78 | 4 | 2 | 1 |
|
| LC | Mẫu khô (Ngũ cốc) | 0,020 | 0,020 | 103 | 13 | 2 | 1 |
|
| LC | Khác | 0,010 | 2,500 | 82 | 8 | 24 | 1 |
|
| LC | Axit | 0,010 | 0,100 | 99 | 8 | 14 | 2 |
|
| LC | Có nước | 0,010 | 0,100 | 95 | 14 | 76 | 2 |
|
| LC | Khô | 0,010 | 2,500 | 80 | 9 | 24 | 1 |
| Benalaxyl |
| Tóm tắt | 0,010 | 2,500 | 94 | 10 | 197 | 6 |
|
| GC | Có nước | 0,050 | 1,000 | 96 | 9 | 51 | 4 |
|
| GC | Axit | 0,100 | 0,500 | 99 | 11 | 7 | 2 |
|
| LC | Mẫu khô (Ngũ cốc) | 0,020 | 0,200 | 103 | 5 | 12 | 1 |
|
| LC | Có đường | 0,010 | 0,100 | 96 | 4 | 12 | 1 |
|
| LC | Khác | 0,010 | 2,500 | 86 | 7 | 24 | 1 |
|
| LC | Có nước | 0,010 | 0,100 | 95 | 6 | 44 | 2 |
|
| LC | Khô | 0,010 | 2,500 | 81 | 8 | 24 | 1 |
|
| LC | Axit | 0,010 | 0,100 | 102 | 6 | 23 | 2 |
| Bifenox |
| Tóm tắt | 0,010 | 0,200 | 85 | 24 | 85 | 5 |
|
| GC | Có nước | 0,051 | 0,200 | 96 | 19 | 26 | 4 |
|
| GC | Có đường | 0,200 | 0,200 | 87 |
| 1 | 1 |
|
| LC | Có nước | 0,010 | 0,100 | 78 | 32 | 24 | 1 |
|
| LC | Axit | 0,010 | 0,100 | 88 | 19 | 12 | 1 |
|
| LC | Mẫu khô (Ngũ cốc) | 0,020 | 0,200 | 80 | 15 | 12 | 1 |
|
| LC | Có đường | 0,010 | 0,100 | 76 | 25 | 9 | 1 |
| Bifenthrin |
| Tóm tắt | 0,010 | 1,000 | 102 | 11 | 117 | 6 |
|
| GC | Có đường | 0,100 | 0,100 | 93 | 17 | 2 | 1 |
|
| GC | Khô | 0,100 | 0,100 | 98 | 3 | 2 | 1 |
|
| GC | Axit | 0,010 | 0,100 | 105 | 18 | 17 | 3 |
|
| GC | Có nước | 0,010 | 1,000 | 102 | 10 | 96 | 6 |
| Binapacryl |
| Tóm tắt | 0,025 | 0,168 | 91 | 6 | 14 | 3 |
|
| GC | Có nước | 0,100 | 0,168 | 91 | 7 | 12 | 2 |
|
| LC | Có nước | 0,025 | 0,025 | 89 | 1 | 2 | 1 |
| Bitertanol |
| Tóm tắt | 0,010 | 2,500 | 94 | 15 | 243 | 6 |
|
| GC | Có nước | 0,010 | 1,000 | 100 | 16 | 69 | 4 |
|
| GC | Khô | 0,100 | 0,100 | 90 | 5 | 2 | 1 |
|
| GC | Axit | 0,010 | 0,100 | 102 | 13 | 10 | 1 |
|
| LC | Axit | 0,010 | 0,100 | 86 | 9 | 15 | 2 |
|
| LC | Khô | 0,010 | 2,500 | 86 | 10 | 24 | 1 |
|
| LC | Có đường | 0,010 | 0,100 | 87 | 8 | 14 | 2 |
|
| LC | Khác | 0,010 | 2,500 | 79 | 9 | 24 | 1 |
|
| LC | Mẫu khô (Ngũ cốc) | 0,020 | 0,200 | 94 | 10 | 14 | 2 |
|
| LC | Có nước | 0,010 | 0,100 | 95 | 15 | 70 | 2 |
| Boscalid |
| Tóm tắt | 0,010 | 0,200 | 93 | 14 | 156 | 4 |
|
| GC | Có nước | 0,101 | 0,101 | 66 | 12 | 7 | 1 |
|
| LC | Mẫu khô (Ngũ cốc) | 0,020 | 0,200 | 96 | 8 | 14 | 2 |
|
| LC | Có nước | 0,010 | 0,100 | 93 | 14 | 95 | 3 |
|
| LC | Có đường | 0,010 | 0,100 | 96 | 8 | 14 | 2 |
|
| LC | Axit | 0,010 | 0,100 | 94 | 10 | 26 | 3 |
| Bromophos |
| Tóm tắt | 0,010 | 1,000 | 102 | 14 | 108 | 6 |
|
| GC | Có nước | 0,010 | 1,000 | 102 | 12 | 87 | 6 |
|
| GC | Có đường | 0,100 | 0,400 | 103 | 19 | 3 | 2 |
|
| GC | Khô | 0,100 | 0,100 | 137 | 57 | 2 | 1 |
|
| GC | Axit | 0,010 | 0,400 | 95 | 7 | 16 | 3 |
| Bromophos-Ethyl |
| Tóm tắt | 0,010 | 0,100 | 101 | 10 | 62 | 5 |
|
| GC | Khô | 0,100 | 0,100 | 90 | 25 | 2 | 1 |
|
| GC | Axit | 0,010 | 0,100 | 101 | 8 | 15 | 2 |
|
| GC | Có nước | 0,010 | 0,100 | 101 | 10 | 45 | 5 |
| Bromopropylate |
| Tóm tắt | 0,010 | 1,000 | 98 | 26 | 94 | 6 |
|
| GC | Khô | 0,100 | 0,100 | 90 | 11 | 2 | 1 |
|
| GC | Có nước | 0,010 | 1,000 | 103 | 11 | 77 | 6 |
|
| GC | Axit | 0,010 | 0,100 | 72 | 53 | 15 | 2 |
| Bromuconazole |
| Tóm tắt | 0,010 | 0,500 | 96 | 10 | 101 | 5 |
|
| GC | Axit | 0,500 | 0,500 | 91 |
| 1 | 1 |
|
| GC | Có nước | 0,100 | 0,500 | 99 | 16 | 20 | 3 |
|
| GC | Có đường | 0,500 | 0,500 | 112 |
| 1 | 1 |
|
| LC | Axit | 0,010 | 0,100 | 98 | 8 | 23 | 2 |
|
| LC | Có đường | 0,010 | 0,100 | 95 | 5 | 12 | 1 |
|
| LC | Có nước | 0,010 | 0,100 | 94 | 8 | 44 | 2 |
| Bupirimate |
| Tóm tắt | 0,010 | 1,000 | 97 | 10 | 162 | 7 |
|
| GC | Có đường | 0,100 | 0,500 | 112 | 5 | 2 | 2 |
|
| GC | Có nước | 0,010 | 1,000 | 100 | 12 | 77 | 6 |
|
| GC | Axit | 0,010 | 0,500 | 96 | 11 | 16 | 3 |
|
| GC | Khô | 0,100 | 0,100 | 94 |
| 1 | 1 |
|
| LC | Có nước | 0,010 | 0,100 | 90 | 6 | 30 | 2 |
|
| LC | Mẫu khô (Ngũ cốc) | 0,020 | 0,200 | 98 | 5 | 12 | 1 |
|
| LC | Axit | 0,010 | 0,100 | 95 | 10 | 12 | 1 |
|
| LC | Có đường | 0,010 | 0,100 | 96 | 5 | 12 | 1 |
| Buprofezin |
| Tóm tắt | 0,010 | 5,000 | 100 | 8 | 149 | 7 |
|
| GC | Axit | 0,100 | 5,000 | 102 | 14 | 6 | 2 |
|
| GC | Có nước | 0,050 | 5,000 | 105 | 8 | 64 | 5 |
|
| LC | Có đường | 0,010 | 0,100 | 94 | 1 | 12 | 1 |
|
| LC | Có nước | 0,010 | 0,100 | 95 | 6 | 44 | 2 |
|
| LC | Axit | 0,010 | 0,100 | 100 | 6 | 11 | 1 |
|
| LC | Mẫu khô (Ngũ cốc) | 0,020 | 0,200 | 99 | 5 | 12 | 1 |
| Captafol |
| Tóm tắt | 0,050 | 1,000 | 100 | 31 | 47 | 4 |
|
| GC | Có nước | 0,050 | 1,000 | 101 | 31 | 45 | 4 |
|
| GC | Có đường | 0,500 | 0,500 | 50 |
| 1 | 1 |
| Captan |
| Tóm tắt | 0,050 | 1,000 | 90 | 14 | 51 | 5 |
|
| GC | Có nước | 0,050 | 1,000 | 90 | 14 | 51 | 5 |
| Carbendazim |
| Tóm tắt | 0,010 | 2,500 | 85 | 14 | 132 | 4 |
|
| LC | Có nước | 0,010 | 0,100 | 91 | 12 | 76 | 3 |
|
| LC | Axit | 0,010 | 0,100 | 84 | 8 | 15 | 2 |
|
| LC | Có đường | 0,020 | 0,020 | 69 | 13 | 2 | 1 |
|
| LC | Khác | 0,050 | 2,500 | 79 | 10 | 18 | 1 |
|
| LC | Mẫu khô (Ngũ cốc) | 0,020 | 0,020 | 90 | 6 | 2 | 1 |
|
| LC | Khô | 0,010 | 2,500 | 69 | 11 | 18 | 1 |
| Carbofuran |
| Tóm tắt | 0,010 | 0,100 | 100 | 11 | 94 | 3 |
|
| LC | Có đường | 0,020 | 0,020 | 82 | 1 | 2 | 1 |
|
| LC | Có nước | 0,010 | 0,100 | 99 | 11 | 75 | 3 |
|
| LC | Axit | 0,010 | 0,100 | 102 | 7 | 14 | 2 |
|
| LC | Mẫu khô (Ngũ cốc) | 0,020 | 0,020 | 108 | 11 | 2 | 1 |
| Carboxin |
| Tóm tắt | 0,025 | 1,000 | 91 | 9 | 49 | 3 |
|
| GC | Axit | 0,100 | 0,100 | 91 | 5 | 5 | 1 |
|
| GC | Có nước | 0,050 | 1,000 | 92 | 8 | 37 | 2 |
|
| LC | Có nước | 0,025 | 0,025 | 89 | 12 | 7 | 1 |
| Chinomethionat |
| Tóm tắt | 0,050 | 1,000 | 75 | 21 | 58 | 4 |
|
| GC | Có đường | 0,100 | 0,100 | 58 |
| 1 | 1 |
|
| GC | Axit | 0,100 | 0,100 | 90 | 9 | 6 | 2 |
|
| GC | Có nước | 0,050 | 1,000 | 74 | 22 | 51 | 4 |
| Chlorfenapyr |
| Tóm tắt | 0,010 | 0,200 | 91 | 18 | 83 | 4 |
|
| GC | Có nước | 0,018 | 0,050 | 97 | 11 | 23 | 3 |
|
| LC | Axit | 0,010 | 0,100 | 76 | 15 | 12 | 1 |
|
| LC | Có đường | 0,010 | 0,100 | 99 | 22 | 12 | 1 |
|
| LC | Mẫu khô (Ngũ cốc) | 0,020 | 0,200 | 90 | 14 | 12 | 1 |
|
| LC | Có nước | 0,010 | 0,100 | 89 | 21 | 24 | 1 |
| Chlorfenson |
| Tóm tắt | 0,050 | 1,000 | 100 | 9 | 54 | 3 |
|
| GC | Có nước | 0,050 | 1,000 | 100 | 9 | 54 | 3 |
| Chlorfenvinphos |
| Tóm tắt | 0,010 | 1,000 | 100 | 11 | 144 | 6 |
|
| GC | Có nước | 0,010 | 1,000 | 102 | 10 | 77 | 5 |
|
| GC | Khô | 0,100 | 0,100 | 80 |
| 1 | 1 |
|
| GC | Có đường | 0,050 | 0,050 | 148 |
| 1 | 1 |
|
| GC | Axit | 0,010 | 0,400 | 104 | 11 | 17 | 3 |
|
| LC | Có đường | 0,010 | 0,100 | 93 | 6 | 12 | 1 |
|
| LC | Mẫu khô (Ngũ cốc) | 0,020 | 0,200 | 100 | 5 | 12 | 1 |
|
| LC | Có nước | 0,010 | 0,100 | 92 | 8 | 24 | 1 |
| Chlorothalonil |
| Tóm tắt | 0,010 | 1,000 | 76 | 39 | 71 | 5 |
|
| GC | Axit | 0,100 | 0,100 | 96 | 3 | 5 | 1 |
|
| GC | Có đường | 0,100 | 0,100 | 29 | 4 | 2 | 1 |
|
| GC | Có nước | 0,010 | 1,000 | 76 | 40 | 63 | 5 |
|
| GC | Khô | 0,100 | 0,100 | 50 |
| 1 | 1 |
| Chlorpropham |
| Tóm tắt | 0,010 | 1,000 | 96 | 13 | 149 | 7 |
|
| GC | Khô | 0,100 | 0,100 | 91 | 4 | 2 | 1 |
|
| GC | Axit | 0,010 | 0,100 | 97 | 8 | 17 | 3 |
|
| GC | Có nước | 0,010 | 1,000 | 100 | 14 | 70 | 5 |
|
| LC | Mẫu khô (Ngũ cốc) | 0,020 | 0,200 | 107 | 9 | 12 | 1 |
|
| LC | Axit | 0,010 | 0,100 | 90 | 8 | 12 | 1 |
|
| LC | Có đường | 0,100 | 0,100 | 82 | 4 | 6 | 1 |
|
| LC | Có nước | 0,010 | 0,100 | 87 | 9 | 30 | 2 |
| Chlorpyrifos |
| Tóm tắt | 0,010 | 1,000 | 102 | 10 | 104 | 6 |
|
| GC | Có đường | 0,050 | 0,050 | 123 |
| 1 | 1 |
|
| GC | Khô | 0,100 | 0,100 | 106 | 31 | 2 | 1 |
|
| GC | Có nước | 0,010 | 1,000 | 101 | 10 | 85 | 6 |
|
| GC | Axit | 0,010 | 0,100 | 102 | 7 | 16 | 3 |
| Chlorpyrifos-Methyl |
| Tóm tắt | 0,010 | 1,000 | 102 | 12 | 102 | 6 |
|
| GC | Axit | 0,010 | 0,100 | 102 | 8 | 15 | 2 |
|
| GC | Có nước | 0,010 | 1,000 | 102 | 11 | 85 | 6 |
|
| GC | Khô | 0,100 | 0,100 | 122 | 53 | 2 | 1 |
| Chlozolinate |
| Tóm tắt | 0,010 | 0,100 | 101 | 15 | 78 | 5 |
|
| GC | Có nước | 0,010 | 0,100 | 100 | 9 | 57 | 5 |
|
| GC | Axit | 0,010 | 0,100 | 98 | 12 | 17 | 3 |
|
| GC | Có đường | 0,100 | 0,100 | 91 | 24 | 2 | 1 |
|
| GC | Khô | 0,100 | 0,100 | 149 | 72 | 2 | 1 |
| Clothianidin |
| Tóm tắt | 0,020 | 0,050 | 96 | 21 | 60 | 3 |
|
| LC | Axit | 0,020 | 0,020 | 91 | 12 | 3 | 1 |
|
| LC | Có nước | 0,020 | 0,050 | 97 | 21 | 52 | 3 |
|
| LC | Có đường | 0,020 | 0,020 | 78 | 37 | 2 | 1 |
|
| LC | Mẫu khô (Ngũ cốc) | 0,020 | 0,020 | 102 | 6 | 2 | 1 |
| Cyanofenphos |
| Tóm tắt | 0,050 | 1,000 | 102 | 6 | 45 | 3 |
|
| GC | Có nước | 0,050 | 1,000 | 102 | 6 | 45 | 3 |
| Cyazofamid |
| Tóm tắt | 0,010 | 0,200 | 92 | 13 | 77 | 3 |
|
| LC | Có nước | 0,010 | 0,100 | 90 | 17 | 36 | 3 |
|
| LC | Có đường | 0,010 | 0,100 | 90 | 3 | 12 | 1 |
|
| LC | Axit | 0,010 | 0,100 | 98 | 10 | 17 | 2 |
|
| LC | Mẫu khô (Ngũ cốc) | 0,020 | 0,200 | 93 | 3 | 12 | 1 |
| Cycloxydim |
| Tóm tắt | 0,010 | 0,200 | 73 | 30 | 111 | 3 |
|
| LC | Mẫu khô (Ngũ cốc) | 0,020 | 0,200 | 80 | 17 | 14 | 2 |
|
| LC | Có đường | 0,010 | 0,100 | 29 | 22 | 14 | 2 |
|
| LC | Có nước | 0,010 | 0,100 | 79 | 27 | 78 | 3 |
|
| LC | Axit | 0,020 | 0,020 | 89 | 22 | 4 | 1 |
| Cyfluthrin (bao gồm beta-) |
| Tóm tắt | 0,010 | 0,500 | 97 | 13 | 62 | 4 |
|
| GC | Có nước | 0,010 | 0,500 | 97 | 11 | 47 | 4 |
|
| GC | Có đường | 0,050 | 0,500 | 118 | 13 | 3 | 2 |
|
| GC | Khô | 0,100 | 0,100 | 62 |
| 1 | 1 |
|
| GC | Axit | 0,010 | 0,500 | 96 | 15 | 11 | 2 |
| Cyhalothrin, lambda- |
| Tóm tắt | 0 010 | 0 200 | 106 | 12 | 61 | 5 |
|
| GC | Có nước | 0,010 | 0,200 | 106 | 11 | 47 | 5 |
|
| GC | Khô | 0,100 | 0,100 | 126 |
| 1 | 1 |
|
| GC | Axit | 0,010 | 0,100 | 105 | 14 | 10 | 1 |
|
| GC | Có đường | 0,050 | 0,200 | 111 | 27 | 2 | 2 |
| Cymoxanil |
| Tóm tắt | 0,010 | 2,500 | 81 | 26 | 129 | 4 |
|
| GC | Có nước | 0,500 | 0,500 | 75 | 14 | 7 | 1 |
|
| LC | Có đường | 0,020 | 0,020 | 66 | 13 | 2 | 1 |
|
| LC | Axit | 0,010 | 0,100 | 95 | 11 | 15 | 2 |
|
| LC | Có nước | 0,010 | 0,100 | 95 | 18 | 56 | 2 |
|
| LC | Mẫu khô (Ngũ cốc) | 0,020 | 0,020 | 100 |
| 1 | 1 |
|
| LC | Khác | 0,010 | 2,500 | 58 | 27 | 24 | 1 |
|
| LC | Khô | 0,010 | 2,500 | 66 | 22 | 24 | 1 |
| Cypermethrin |
| Tóm tắt | 0,010 | 1,000 | 101 | 16 | 79 | 4 |
|
| GC | Khô | 0,100 | 0,100 | 130 |
| 1 | 1 |
|
| GC | Axit | 0,010 | 1,000 | 100 | 10 | 11 | 2 |
|
| GC | Có nước | 0,010 | 1,000 | 100 | 16 | 65 | 4 |
|
| GC | Có đường | 0,050 | 1,000 | 112 | 29 | 2 | 2 |
| Cyproconazole |
| Tóm tắt | 0,010 | 1,229 | 95 | 11 | 137 | 4 |
|
| GC | Có nước | 1,229 | 1,229 | 76 | 9 | 6 | 1 |
|
| LC | Axit | 0,010 | 0,100 | 98 | 12 | 14 | 2 |
|
| LC | Có đường | 0,010 | 0,100 | 96 | 7 | 14 | 2 |
|
| LC | Mẫu khô (Ngũ cốc) | 0,020 | 0,200 | 99 | 7 | 14 | 2 |
|
| LC | Có nước | 0,010 | 0,100 | 95 | 11 | 88 | 3 |
| Cyprodinil |
| Tóm tắt | 0,010 | 1,000 | 97 | 12 | 187 | 5 |
|
| GC | Có nước | 0,010 | 1,000 | 101 | 8 | 71 | 4 |
|
| GC | Axit | 0,010 | 0,100 | 100 | 8 | 15 | 2 |
|
| GC | Khô | 0,100 | 0,100 | 84 |
| 1 | 1 |
|
| GC | Có đường | 0,050 | 0,050 | 112 |
| 1 | 1 |
|
| LC | Mẫu khô (Ngũ cốc) | 0,020 | 0,020 | 110 | 11 | 2 | 1 |
|
| LC | Axit | 0,010 | 0,100 | 99 | 10 | 15 | 2 |
|
| LC | Có nước | 0,010 | 0,100 | 93 | 14 | 78 | 2 |
|
| LC | Có đường | 0,020 | 0,050 | 87 | 5 | 3 | 2 |
| DDD, o,p- |
| Tóm tắt | 0,050 | 1,000 | 101 | 9 | 57 | 4 |
|
| GC | Có nước | 0,050 | 1,000 | 101 | 10 | 52 | 4 |
|
| GC | Axit | 0,100 | 0,100 | 100 | 2 | 5 | 1 |
| DDD, p,p- |
| Tóm tắt | 0,050 | 1,000 | 97 | 11 | 47 | 3 |
|
| GC | Có nước | 0,050 | 1,000 | 97 | 11 | 47 | 3 |
| DDE, o,p- |
| Tóm tắt | 0,050 | 1,000 | 95 | 16 | 57 | 4 |
|
| GC | Có nước | 0,050 | 1,000 | 95 | 17 | 52 | 4 |
|
| GC | Axit | 0,100 | 0,100 | 99 | 3 | 5 | 1 |
| DDE, p,p- |
| Tóm tắt | 0,010 | 1,000 | 98 | 15 | 72 | 3 |
|
| GC | Có nước | 0,010 | 1,000 | 97 | 16 | 60 | 3 |
|
| GC | Axit | 0,010 | 0,100 | 103 | 12 | 10 | 1 |
|
| GC | Khô | 0,100 | 0,100 | 78 |
| 1 | 1 |
|
| GC | Có đường | 0,100 | 0,100 | 108 |
| 1 | 1 |
| DDT, o,p- |
| Tóm tắt | 0,050 | 1,000 | 98 | 11 | 47 | 3 |
|
| GC | Có nước | 0,050 | 1,000 | 98 | 11 | 47 | 3 |
| DDT, p,p- |
| Tóm tắt | 0,050 | 1,000 | 98 | 13 | 57 | 4 |
|
| GC | Axit | 0,100 | 0,100 | 98 | 4 | 5 | 1 |
|
| GC | Có nước | 0,050 | 1,000 | 98 | 14 | 52 | 4 |
| Deltamethrin |
| Tóm tắt | 0,010 | 0,500 | 105 | 17 | 52 | 4 |
|
| GC | Có đường | 0,050 | 0,050 | 98 |
| 1 | 1 |
|
| GC | Axit | 0,010 | 0,100 | 110 | 28 | 10 | 1 |
|
| GC | Có nước | 0,010 | 0,500 | 104 | 14 | 41 | 4 |
| Demeton-S-Methyl |
| Tóm tắt | 0,010 | 0 176 | 91 | 15 | 92 | 3 |
|
| GC | Có nước | 0,176 | 0,176 | 69 | 12 | 7 | 1 |
|
| LC | Mẫu khô (Ngũ cốc) | 0,020 | 0,020 | 114 | 18 | 2 | 1 |
|
| LC | Có đường | 0,020 | 0,020 | 69 | 4 | 2 | 1 |
|
| LC | Có nước | 0,010 | 0,100 | 92 | 13 | 66 | 2 |
|
| LC | Axit | 0,010 | 0,100 | 100 | 10 | 14 | 2 |
| Diazinon |
| Tóm tắt | 0,010 | 1,000 | 98 | 9 | 161 | 7 |
|
| GC | Axit | 0,010 | 1,000 | 97 | 11 | 17 | 3 |
|
| GC | Có đường | 0,100 | 0,100 | 94 | 16 | 2 | 1 |
|
| GC | Khô | 0,100 | 0,100 | 110 | 14 | 2 | 1 |
|
| GC | Có nước | 0,010 | 1,000 | 101 | 9 | 92 | 6 |
|
| LC | Có nước | 0,010 | 0,100 | 94 | 4 | 24 | 1 |
|
| LC | Có đường | 0,010 | 0,100 | 89 | 3 | 12 | 1 |
|
| LC | Mẫu khô (Ngũ cốc) | 0,020 | 0,200 | 99 | 3 | 12 | 1 |
| Dichlobenil |
| Tóm tắt | 0,050 | 1,000 | 97 | 11 | 46 | 3 |
|
| GC | Có nước | 0,050 | 1,000 | 97 | 11 | 46 | 3 |
| Dichlofenthion |
| Tóm tắt | 0,046 | 1,000 | 98 | 10 | 46 | 3 |
|
| GC | Có nước | 0,046 | 1,000 | 98 | 10 | 46 | 3 |
| Dichlofluanid |
| Tóm tắt | 0,010 | 1,000 | 70 | 35 | 121 | 6 |
|
| GC | Có nước | 0,050 | 1,000 | 90 | 23 | 67 | 5 |
|
| GC | Có đường | 0,050 | 0,100 | 106 | 20 | 2 | 2 |
|
| LC | Có đường | 0,010 | 0,100 | 11 | 9 | 12 | 1 |
|
| LC | Có nước | 0,010 | 0,100 | 54 | 24 | 26 | 2 |
|
| LC | Axit | 0,025 | 0,025 | 109 |
| 1 | 1 |
|
| LC | Mẫu khô (Ngũ cốc) | 0,020 | 0,200 | 32 | 6 | 12 | 1 |
| Dichlorvos |
| Tóm tắt | 0,050 | 1,000 | 103 | 12 | 57 | 4 |
|
| GC | Axit | 0,050 | 0,100 | 111 | 3 | 3 | 2 |
|
| GC | Có nước | 0,050 | 1,000 | 103 | 12 | 53 | 4 |
|
| GC | Có đường | 0,050 | 0,050 | 86 |
| 1 | 1 |
| Dicloran |
| Tóm tắt | 0,010 | 0,250 | 102 | 17 | 67 | 4 |
|
| GC | Khô | 0,100 | 0,100 | 80 |
| 1 | 1 |
|
| GC | Có nước | 0,010 | 0,250 | 107 | 17 | 43 | 4 |
|
| GC | Có đường | 0,050 | 0,050 | 96 |
| 1 | 1 |
|
| GC | Axit | 0,010 | 0,250 | 97 | 11 | 16 | 3 |
|
| LC | Axit | 0,025 | 0,100 | 82 | 11 | 6 | 1 |
| Dicofol |
| Tóm tắt | 0,010 | 0,127 | 95 | 21 | 45 | 3 |
|
| GC | Có đường | 0,050 | 0,100 | 102 | 19 | 2 | 1 |
|
| GC | Khô | 0,100 | 0,100 | 88 |
| 1 | 1 |
|
| GC | Axit | 0,010 | 0,100 | 82 | 13 | 10 | 1 |
|
| GC | Có nước | 0,010 | 0,127 | 99 | 22 | 32 | 3 |
| Dicrotophos |
| Tóm tắt | 0,010 | 0,129 | 89 | 10 | 91 | 3 |
|
| GC | Có nước | 0,129 | 0,129 | 86 | 6 | 6 | 1 |
|
| LC | Có đường | 0,020 | 0,020 | 70 | 4 | 2 | 1 |
|
| LC | Mẫu khô (Ngũ cốc) | 0,020 | 0,020 | 94 | 0 | 2 | 1 |
|
| LC | Axit | 0,010 | 0,100 | 91 | 6 | 13 | 2 |
|
| LC | Có nước | 0,010 | 0,100 | 90 | 11 | 68 | 2 |
| Dieldrin |
| Tóm tắt | 0,010 | 1,000 | 104 | 16 | 85 | 3 |
|
| GC | Axit | 0,010 | 0,100 | 112 | 27 | 15 | 2 |
|
| GC | Có đường | 0,100 | 0,100 | 108 | 3 | 2 | 1 |
|
| GC | Khô | 0,100 | 0,100 | 88 |
| 1 | 1 |
|
| GC | Có nước | 0,010 | 1,000 | 102 | 12 | 67 | 3 |
| Diethofencarb |
| Tóm tắt | 0,010 | 1,000 | 97 | 8 | 131 | 5 |
|
| GC | Axit | 0,100 | 0,500 | 106 | 8 | 7 | 2 |
|
| GC | Có nước | 0,050 | 1,000 | 100 | 7 | 45 | 3 |
|
| LC | Có nước | 0,010 | 0,100 | 94 | 8 | 44 | 2 |
|
| LC | Axit | 0,010 | 0,100 | 100 | 4 | 11 | 1 |
|
| LC | Mẫu khô (Ngũ cốc) | 0,020 | 0,200 | 95 | 3 | 12 | 1 |
|
| LC | Có đường | 0,010 | 0,100 | 93 | 4 | 12 | 1 |
| Difenoconazole |
| Tóm tắt | 0,010 | 1,000 | 100 | 11 | 125 | 4 |
|
| GC | Có nước | 0,050 | 1,000 | 103 | 10 | 38 | 2 |
|
| LC | Có đường | 0,020 | 0,020 | 81 | 4 | 2 | 1 |
|
| LC | Mẫu khô (Ngũ cốc) | 0,020 | 0,020 | 97 | 21 | 2 | 1 |
|
| LC | Axit | 0,010 | 0,100 | 103 | 6 | 13 | 2 |
|
| LC | Có nước | 0,010 | 0,100 | 97 | 12 | 69 | 2 |
| Diflubenzuron |
| Tóm tắt | 0,010 | 2,500 | 91 | 15 | 181 | 3 |
|
| LC | Mẫu khô (Ngũ cốc) | 0,020 | 0,200 | 89 | 8 | 14 | 2 |
|
| LC | Khác | 0,010 | 2,500 | 73 | 8 | 24 | 1 |
|
| LC | Axit | 0,010 | 0,100 | 98 | 7 | 27 | 3 |
|
| LC | Khô | 0,050 | 2,500 | 77 | 10 | 18 | 1 |
|
| LC | Có đường | 0,020 | 0,100 | 92 | 6 | 8 | 2 |
|
| LC | Có nước | 0,010 | 0,100 | 97 | 14 | 89 | 3 |
| Diflufenican |
| Tóm tắt | 0,010 | 0,100 | 95 | 16 | 62 | 3 |
|
| GC | Có nước | 0,100 | 0,100 | 111 | 3 | 7 | 1 |
|
| LC | Axit | 0,010 | 0,100 | 113 | 13 | 11 | 1 |
|
| LC | Khô | 0,010 | 0,100 | 82 | 6 | 12 | 1 |
|
| LC | Có nước | 0,010 | 0,100 | 98 | 11 | 20 | 1 |
|
| LC | Khác | 0,010 | 0,100 | 80 | 7 | 12 | 1 |
| Dimethoate |
| Tóm tắt | 0,010 | 1,000 | 94 | 11 | 133 | 5 |
|
| GC | Có nước | 0,064 | 1,000 | 90 | 11 | 37 | 3 |
|
| LC | Mẫu khô (Ngũ cốc) | 0,020 | 0,020 | 89 | 1 | 2 | 1 |
|
| LC | Axit | 0,010 | 0,100 | 98 | 11 | 14 | 2 |
|
| LC | Có nước | 0,010 | 0,100 | 96 | 11 | 77 | 2 |
|
| LC | Có đường | 0,020 | 0,020 | 78 | 8 | 2 | 1 |
| Dimethomorph |
| Tóm tắt | 0,010 | 1,000 | 96 | 13 | 173 | 5 |
|
| GC | Có nước | 0,010 | 1,000 | 95 | 10 | 67 | 4 |
|
| GC | Khô | 0,100 | 0,100 | 128 |
| 1 | 1 |
|
| GC | Axit | 0,010 | 0,100 | 85 | 5 | 10 | 1 |
|
| GC | Có đường | 0,100 | 0,100 | 105 |
| 1 | 1 |
|
| LC | Mẫu khô (Ngũ cốc) | 0,020 | 0,020 | 103 | 7 | 2 | 1 |
|
| LC | Có đường | 0,020 | 0,020 | 76 | 21 | 2 | 1 |
|
| GC | Axit | 0,050 | 0,100 | 111 | 3 | 3 | 2 |
|
| GC | Có nước | 0,050 | 1,000 | 103 | 12 | 53 | 4 |
|
| GC | Có đường | 0,050 | 0,050 | 86 |
| 1 | 1 |
| Dicloran |
| Tóm tắt | 0,010 | 0,250 | 102 | 17 | 67 | 4 |
|
| GC | Khô | 0,100 | 0,100 | 80 |
| 1 | 1 |
|
| GC | Có nước | 0,010 | 0,250 | 107 | 17 | 43 | 4 |
|
| GC | Có đường | 0,050 | 0,050 | 96 |
| 1 | 1 |
|
| GC | Axit | 0,010 | 0,250 | 97 | 11 | 16 | 3 |
|
| LC | Axit | 0,025 | 0,100 | 82 | 11 | 6 | 1 |
| Dicofol |
| Tóm tắt | 0,010 | 0,127 | 95 | 21 | 45 | 3 |
|
| GC | Có đường | 0,050 | 0,100 | 102 | 19 | 2 | 1 |
|
| GC | Khô | 0,100 | 0,100 | 88 |
| 1 | 1 |
|
| GC | Axit | 0,010 | 0,100 | 82 | 13 | 10 | 1 |
|
| GC | Có nước | 0,010 | 0,127 | 99 | 22 | 32 | 3 |
| Dicrotophos |
| Tóm tắt | 0,010 | 0,129 | 89 | 10 | 91 | 3 |
|
| GC | Có nước | 0,129 | 0,129 | 86 | 6 | 6 | 1 |
|
| LC | Có đường | 0,020 | 0,020 | 70 | 4 | 2 | 1 |
|
| LC | Mẫu khô (Ngũ cốc) | 0,020 | 0,020 | 94 | 0 | 2 | 1 |
|
| LC | Axit | 0,010 | 0,100 | 91 | 6 | 13 | 2 |
|
| LC | Có nước | 0,010 | 0,100 | 90 | 11 | 68 | 2 |
| Dieldrin |
| Tóm tắt | 0,010 | 1,000 | 104 | 16 | 85 | 3 |
|
| GC | Axit | 0,010 | 0,100 | 112 | 27 | 15 | 2 |
|
| GC | Có đường | 0,100 | 0,100 | 108 | 3 | 2 | 1 |
|
| GC | Khô | 0,100 | 0,100 | 88 |
| 1 | 1 |
|
| GC | Có nước | 0,010 | 1,000 | 102 | 12 | 67 | 3 |
| Diethofencarb |
| Tóm tắt | 0,010 | 1,000 | 97 | 8 | 131 | 5 |
|
| GC | Axit | 0,100 | 0,500 | 106 | 8 | 7 | 2 |
|
| GC | Có nước | 0,050 | 1,000 | 100 | 7 | 45 | 3 |
|
| LC | Có nước | 0,010 | 0,100 | 94 | 8 | 44 | 2 |
|
| LC | Axit | 0,010 | 0,100 | 100 | 4 | 11 | 1 |
|
| LC | Mẫu khô (Ngũ cốc) | 0,020 | 0,200 | 95 | 3 | 12 | 1 |
|
| LC | Có đường | 0,010 | 0,100 | 93 | 4 | 12 | 1 |
| Difenoconazole |
| Tóm tắt | 0,010 | 1,000 | 100 | 11 | 125 | 4 |
|
| GC | Có nước | 0,050 | 1,000 | 103 | 10 | 38 | 2 |
|
| LC | Có đường | 0,020 | 0,020 | 81 | 4 | 2 | 1 |
|
| LC | Mẫu khô (Ngũ cốc) | 0,020 | 0,020 | 97 | 21 | 2 | 1 |
|
| LC | Axit | 0,010 | 0,100 | 103 | 6 | 13 | 2 |
|
| LC | Có nước | 0,010 | 0,100 | 97 | 12 | 69 | 2 |
| Diflubenzuron |
| Tóm tắt | 0,010 | 2,500 | 91 | 15 | 181 | 3 |
|
| LC | Mẫu khô (Ngũ cốc) | 0,020 | 0,200 | 89 | 8 | 14 | 2 |
|
| LC | Khác | 0,010 | 2,500 | 73 | 8 | 24 | 1 |
|
| LC | Axit | 0,010 | 0,100 | 98 | 7 | 27 | 3 |
|
| LC | Khô | 0,050 | 2,500 | 77 | 10 | 18 | 1 |
|
| LC | Có đường | 0,020 | 0,100 | 92 | 6 | 8 | 2 |
|
| LC | Có nước | 0,010 | 0,100 | 97 | 14 | 89 | 3 |
| Diflufenican |
| Tóm tắt | 0,010 | 0,100 | 95 | 16 | 62 | 3 |
|
| GC | Có nước | 0,100 | 0,100 | 111 | 3 | 7 | 1 |
|
| LC | Axit | 0,010 | 0,100 | 113 | 13 | 11 | 1 |
|
| LC | Khô | 0,010 | 0,100 | 82 | 6 | 12 | 1 |
|
| LC | Có nước | 0,010 | 0,100 | 98 | 11 | 20 | 1 |
|
| LC | Khác | 0,010 | 0,100 | 80 | 7 | 12 | 1 |
| Dimethoate |
| Tóm tắt | 0,010 | 1,000 | 94 | 11 | 133 | 5 |
|
| GC | Có nước | 0,064 | 1,000 | 90 | 11 | 37 | 3 |
|
| LC | Mẫu khô (Ngũ cốc) | 0,020 | 0,020 | 89 | 1 | 2 | 1 |
|
| LC | Axit | 0,010 | 0,100 | 98 | 11 | 14 | 2 |
|
| LC | Có nước | 0,010 | 0,100 | 96 | 11 | 77 | 2 |
|
| LC | Có đường | 0,020 | 0,020 | 78 | 8 | 2 | 1 |
| Dimethomorph |
| Tóm tắt | 0,010 | 1,000 | 96 | 13 | 173 | 5 |
|
| GC | Có nước | 0,010 | 1,000 | 95 | 10 | 67 | 4 |
|
| GC | Khô | 0,100 | 0,100 | 128 |
| 1 | 1 |
|
| GC | Axit | 0,010 | 0,100 | 85 | 5 | 10 | 1 |
|
| GC | Có đường | 0,100 | 0,100 | 105 |
| 1 | 1 |
|
| LC | Mẫu khô (Ngũ cốc) | 0,020 | 0,020 | 103 | 7 | 2 | 1 |
|
| LC | Có đường | 0,020 | 0,020 | 76 | 21 | 2 | 1 |
|
| LC | Axit | 0,010 | 0,100 | 95 | 8 | 13 | 2 |
|
| LC | Có nước | 0,010 | 0,100 | 97 | 14 | 76 | 2 |
| Diniconazole |
| Tóm tắt | 0,010 | 0,250 | 96 | 9 | 114 | 4 |
|
| GC | Axit | 0,250 | 0,250 | 100 |
| 1 | 1 |
|
| GC | Có đường | 0,250 | 0,250 | 114 |
| 1 | 1 |
|
| GC | Có nước | 0,025 | 0,250 | 96 | 17 | 14 | 3 |
|
| LC | Axit | 0,010 | 0,100 | 96 | 7 | 22 | 2 |
|
| LC | Có nước | 0,010 | 0,100 | 95 | 9 | 52 | 2 |
|
| LC | Có đường | 0,010 | 0,100 | 94 | 6 | 12 | 1 |
|
| LC | Mẫu khô (Ngũ cốc) | 0,020 | 0,200 | 102 | 3 | 12 | 1 |
| Dioxathion |
| Tóm tắt | 0,010 | 0,400 | 102 | 16 | 66 | 4 |
|
| GC | Khô | 0,100 | 0,100 | 105 | 16 | 2 | 1 |
|
| GC | Axit | 0,050 | 0,400 | 93 | 12 | 7 | 2 |
|
| GC | Có nước | 0,010 | 0,400 | 104 | 17 | 53 | 4 |
|
| GC | Có đường | 0,050 | 0,400 | 93 | 11 | 4 | 2 |
| Diphenylamine |
| Tóm tắt | 0,010 | 0,500 | 95 | 13 | 85 | 4 |
|
| GC | Axit | 0,500 | 0,500 | 116 | 1 | 2 | 1 |
|
| GC | Có nước | 0,025 | 0,500 | 98 | 21 | 23 | 3 |
|
| GC | Có đường | 0,050 | 0,050 | 84 |
| 1 | 1 |
|
| LC | Có nước | 0,010 | 0,100 | 91 | 10 | 33 | 2 |
|
| LC | Có đường | 0,010 | 0,100 | 98 | 4 | 13 | 2 |
|
| LC | Mẫu khô (Ngũ cốc) | 0,020 | 0,200 | 97 | 5 | 12 | 1 |
|
| LC | Axit | 0,050 | 0,050 | 85 |
| 1 | 1 |
| Disulfoton |
| Tóm tắt | 0,050 | 1,000 | 99 | 9 | 51 | 3 |
|
| GC | Axit | 0,050 | 0,100 | 99 | 11 | 3 | 2 |
|
| GC | Có nước | 0,050 | 1,000 | 99 | 9 | 48 | 3 |
| Ditalimfos |
| Tóm tắt | 0,025 | 1,000 | 83 | 19 | 55 | 4 |
|
| GC | Có đường | 0,050 | 0,050 | 150 |
| 1 | 1 |
|
| GC | Có nước | 0,050 | 1,000 | 86 | 10 | 47 | 3 |
|
| LC | Có nước | 0,025 | 0,025 | 44 | 12 | 6 | 1 |
| Endosulfan, alpha- |
| Tóm tắt | 0,010 | 1,000 | 96 | 16 | 105 | 6 |
|
| GC | Có đường | 0,100 | 0,100 | 96 | 17 | 2 | 1 |
|
| GC | Khô | 0,100 | 0,100 | 96 |
| 1 | 1 |
|
| GC | Axit | 0,010 | 0,100 | 96 | 10 | 10 | 1 |
|
| GC | Có nước | 0,010 | 1,000 | 96 | 17 | 92 | 6 |
| Endosulfan, beta- |
| Tóm tắt | 0,010 | 1,000 | 99 | 15 | 105 | 5 |
|
| GC | Khô | 0,100 | 0,100 | 98 |
| 1 | 1 |
|
| GC | Axit | 0,010 | 0,100 | 96 | 10 | 10 | 1 |
|
| GC | Có đường | 0,100 | 0,100 | 106 | 5 | 2 | 1 |
|
| GC | Có nước | 0,010 | 1,000 | 100 | 16 | 92 | 5 |
| Endosulfansulphate |
| Tóm tắt | 0,010 | 1,000 | 95 | 16 | 97 | 5 |
|
| GC | Có đường | 0,100 | 0,100 | 111 | 4 | 2 | 1 |
|
| GC | Axit | 0,010 | 0,100 | 94 | 10 | 11 | 2 |
|
| GC | Khô | 0,100 | 0,100 | 98 |
| 1 | 1 |
|
| GC | Có nước | 0,010 | 1,000 | 95 | 16 | 83 | 5 |
| EPN |
| Tóm tắt | 0,010 | 0,200 | 83 | 23 | 79 | 3 |
|
| GC | Axit | 0,050 | 0,100 | 102 | 5 | 6 | 2 |
|
| GC | Có nước | 0,050 | 0,100 | 106 | 14 | 13 | 2 |
|
| LC | Mẫu khô (Ngũ cốc) | 0,020 | 0,200 | 86 | 9 | 12 | 1 |
|
| LC | Có nước | 0,010 | 0,100 | 74 | 21 | 24 | 1 |
|
| LC | Có đường | 0,010 | 0,100 | 68 | 17 | 12 | 1 |
|
| LC | Axit | 0,010 | 0,100 | 82 | 30 | 12 | 1 |
| Epoxiconazole |
| Tóm tắt | 0,010 | 0,400 | 93 | 11 | 88 | 4 |
|
| GC | Axit | 0,400 | 0,400 | 118 |
| 1 | 1 |
|
| GC | Có nước | 0,025 | 0,400 | 90 | 24 | 12 | 3 |
|
| LC | Có đường | 0,010 | 0,100 | 91 | 3 | 12 | 1 |
|
| LC | Axit | 0,010 | 0,100 | 98 | 6 | 10 | 1 |
|
| LC | Mẫu khô (Ngũ cốc) | 0,020 | 0,200 | 94 | 4 | 12 | 1 |
|
| LC | Có nước | 0,010 | 0,100 | 93 | 7 | 41 | 2 |
| Ethiofencarb |
| Tóm tắt | 0,010 | 0,200 | 88 | 18 | 146 | 3 |
|
| GC | Có nước | 0,025 | 0,025 | 70 |
| 1 | 1 |
|
| LC | Axit | 0,010 | 0,100 | 84 | 24 | 25 | 3 |
|
| LC | Có nước | 0,010 | 0,100 | 88 | 19 | 91 | 3 |
|
| LC | Mẫu khô (Ngũ cốc) | 0,020 | 0,200 | 93 | 4 | 14 | 2 |
|
| LC | Có đường | 0,010 | 0,100 | 91 | 7 | 14 | 2 |
| Ethion |
| Tóm tắt | 0,010 | 1,000 | 101 | 9 | 123 | 6 |
|
| GC | Có đường | 0,100 | 0,100 | 111 |
| 1 | 1 |
|
| GC | Có nước | 0,010 | 1,000 | 102 | 9 | 76 | 6 |
|
| GC | Khô | 0,100 | 0,100 | 94 |
| 1 | 1 |
|
| GC | Axit | 0,010 | 0,500 | 100 | 12 | 16 | 3 |
|
| LC | Axit | 0,010 | 0,100 | 99 | 4 | 10 | 1 |
|
| LC | Có nước | 0,010 | 0,100 | 102 | 8 | 19 | 1 |
| Ethofumesate |
| Tóm tắt | 0,010 | 1,000 | 94 | 12 | 122 | 3 |
|
| GC | Có nước | 0,025 | 1,000 | 97 | 7 | 33 | 2 |
|
| LC | Có nước | 0,010 | 0,100 | 92 | 13 | 43 | 2 |
|
| LC | Có đường | 0,010 | 0,100 | 90 | 7 | 12 | 1 |
|
| LC | Mẫu khô (Ngũ cốc) | 0,020 | 0,200 | 98 | 13 | 12 | 1 |
|
| LC | Axit | 0,010 | 0,100 | 94 | 16 | 22 | 2 |
| Ethoprophos |
| Tóm tắt | 0,010 | 1,000 | 99 | 10 | 126 | 6 |
|
| GC | Axit | 0,010 | 0,100 | 96 | 10 | 16 | 3 |
|
| GC | Khô | 0,100 | 0,100 | 100 |
| 1 | 1 |
|
| GC | Có đường | 0,050 | 0,100 | 97 | 7 | 2 | 2 |
|
| GC | Có nước | 0,010 | 1,000 | 100 | 10 | 78 | 6 |
|
| LC | Có nước | 0,010 | 0,100 | 99 | 8 | 19 | 1 |
|
| LC | Axit | 0,010 | 0,100 | 92 | 6 | 10 | 1 |
| Etofenprox |
| Tóm tắt | 0,010 | 1,000 | 97 | 11 | 164 | 6 |
|
| GC | Khô | 0,100 | 0,100 | 98 |
| 1 | 1 |
|
| GC | Axit | 0,010 | 0,100 | 96 | 10 | 16 | 3 |
|
| GC | Có nước | 0,010 | 1,000 | 97 | 11 | 78 | 5 |
|
| GC | Có đường | 0,050 | 0,100 | 105 | 5 | 2 | 2 |
|
| LC | Có nước | 0,010 | 0,100 | 94 | 12 | 30 | 2 |
|
| LC | Có đường | 0,010 | 0,100 | 102 | 7 | 12 | 1 |
|
| LC | Mẫu khô (Ngũ cốc) | 0,020 | 0,200 | 99 | 14 | 12 | 1 |
|
| LC | Axit | 0,010 | 0,100 | 102 | 13 | 13 | 2 |
| Etridiazole |
| Tóm tắt | 0,010 | 0,100 | 107 | 26 | 64 | 3 |
|
| GC | Khô | 0,100 | 0,100 | 163 | 91 | 2 | 1 |
|
| GC | Có nước | 0,010 | 0,100 | 108 | 24 | 43 | 3 |
|
| GC | Axit | 0,010 | 0,100 | 101 | 8 | 17 | 3 |
|
| GC | Có đường | 0,100 | 0,100 | 81 | 28 | 2 | 1 |
| Etrimfos |
| Tóm tắt | 0,033 | 1,000 | 101 | 15 | 57 | 4 |
|
| GC | Axit | 0,050 | 0,050 | 110 | 11 | 2 | 2 |
|
| GC | Có nước | 0,033 | 1,000 | 101 | 15 | 53 | 4 |
|
| GC | Có đường | 0,050 | 0,050 | 95 | 13 | 2 | 2 |
| Famoxadone |
| Tóm tắt | 0,010 | 0,750 | 98 | 15 | 52 | 3 |
|
| GC | Axit | 0,750 | 0,750 | 137 |
| 1 | 1 |
|
| GC | Có nước | 0,025 | 0,750 | 101 | 21 | 13 | 3 |
|
| LC | Có nước | 0,010 | 0,100 | 94 | 11 | 28 | 1 |
|
| LC | Axit | 0,010 | 0,100 | 99 | 6 | 10 | 1 |
| Fenamiphos |
| Tóm tắt | 0,010 | 1,000 | 97 | 12 | 91 | 5 |
|
| GC | Axit | 0,050 | 0,050 | 106 |
| 1 | 1 |
|
| GC | Có đường | 0,050 | 0,050 | 103 |
| 1 | 1 |
|
| GC | Có nước | 0,025 | 1,000 | 97 | 14 | 61 | 5 |
|
| LC | Axit | 0,010 | 0,100 | 96 | 4 | 10 | 1 |
|
| LC | Có nước | 0,010 | 0,100 | 98 | 11 | 18 | 1 |
| Fenarimol |
| Tóm tắt | 0,010 | 1,000 | 95 | 11 | 172 | 6 |
|
| GC | Có đường | 0,100 | 0,100 | 105 |
| 1 | 1 |
|
| GC | Axit | 0,010 | 0,250 | 96 | 10 | 11 | 2 |
|
| GC | Khô | 0,100 | 0,100 | 98 |
| 1 | 1 |
|
| GC | Có nước | 0,010 | 1,000 | 96 | 15 | 73 | 5 |
|
| LC | Có đường | 0,010 | 0,100 | 93 | 5 | 12 | 1 |
|
| LC | Mẫu khô (Ngũ cốc) | 0,020 | 0,200 | 97 | 4 | 12 | 1 |
|
| LC | Axit | 0,010 | 0,100 | 97 | 6 | 10 | 1 |
|
| LC | Có nước | 0,010 | 0,100 | 94 | 9 | 52 | 2 |
| Fenazaquin |
| Tóm tắt | 0,010 | 2,500 | 90 | 16 | 207 | 6 |
|
| GC | Khô | 0,100 | 0,100 | 91 | 4 | 2 | 1 |
|
| GC | Có nước | 0,010 | 1,000 | 102 | 11 | 63 | 4 |
|
| GC | Axit | 0,010 | 0,500 | 92 | 18 | 17 | 3 |
|
| LC | Mẫu khô (Ngũ cốc) | 0,020 | 0,200 | 92 | 3 | 12 | 1 |
|
| LC | Có đường | 0,010 | 0,100 | 88 | 4 | 12 | 1 |
|
| LC | Khác | 0,050 | 2,500 | 73 | 14 | 18 | 1 |
|
| LC | Có nước | 0,010 | 0,150 | 87 | 14 | 52 | 3 |
|
| LC | Axit | 0,010 | 0,100 | 97 | 15 | 13 | 1 |
|
| LC | Khô | 0,050 | 2,500 | 70 | 12 | 18 | 1 |
| Fenbuconazole |
| Tóm tắt | 0,010 | 0,200 | 93 | 10 | 100 | 3 |
|
| GC | Có nước | 0,025 | 0,200 | 102 | 10 | 9 | 2 |
|
| GC | Axit | 0,200 | 0,200 | 120 | 18 | 2 | 1 |
|
| LC | Có đường | 0,010 | 0,100 | 87 | 6 | 12 | 1 |
|
| LC | Có nước | 0,010 | 0,100 | 93 | 11 | 43 | 2 |
|
| LC | Mẫu khô (Ngũ cốc) | 0,020 | 0,200 | 87 | 4 | 12 | 1 |
|
| LC | Axit | 0,010 | 0,100 | 94 | 7 | 22 | 2 |
| Fenchlorphos |
| Tóm tắt | 0,050 | 1,000 | 101 | 11 | 55 | 3 |
|
| GC | Axit | 0,050 | 0,050 | 114 |
| 1 | 1 |
|
| GC | Có nước | 0,050 | 1,000 | 101 | 10 | 53 | 3 |
|
| GC | Có đường | 0,050 | 0,050 | 90 |
| 1 | 1 |
| Fenhexamid |
| Tóm tắt | 0,010 | 1,000 | 91 | 17 | 137 | 5 |
|
| GC | Có nước | 0,025 | 1,000 | 91 | 13 | 46 | 4 |
|
| LC | Có nước | 0,010 | 0,100 | 93 | 19 | 73 | 2 |
|
| LC | Axit | 0,010 | 0,100 | 90 | 13 | 13 | 2 |
|
| LC | Mẫu khô (Ngũ cốc) | 0,020 | 0,020 | 68 | 32 | 2 | 1 |
|
| LC | Có đường | 0,020 | 0,020 | 81 | 9 | 2 | 1 |
| Fenitrothion |
| Tóm tắt | 0,010 | 1,000 | 98 | 18 | 172 | 7 |
|
| GC | Có nước | 0,010 | 1,000 | 99 | 15 | 76 | 6 |
|
| GC | Có đường | 0,050 | 0,500 | 105 | 26 | 2 | 2 |
|
| GC | Axit | 0,010 | 0,500 | 103 | 11 | 17 | 3 |
|
| GC | Khô | 0,100 | 0,100 | 98 |
| 1 | 1 |
|
| LC | Mẫu khô (Ngũ cốc) | 0,020 | 0,200 | 89 | 27 | 12 | 1 |
|
| LC | Axit | 0,010 | 0,100 | 92 | 22 | 18 | 2 |
|
| LC | Có nước | 0,010 | 0,100 | 92 | 18 | 34 | 2 |
|
| LC | Có đường | 0,010 | 0,100 | 110 | 22 | 12 | 1 |
| Fenoxycarb |
| Tóm tắt | 0,010 | 2,500 | 93 | 15 | 235 | 5 |
|
| GC | Khô | 0,100 | 0,100 | 90 |
| 1 | 1 |
|
| GC | Có nước | 0,010 | 1,000 | 98 | 14 | 51 | 3 |
|
| GC | Axit | 0,100 | 0,100 | 90 | 2 | 5 | 1 |
|
| LC | Có đường | 0,010 | 0,100 | 94 | 7 | 14 | 2 |
|
| LC | Khác | 0,010 | 2,500 | 71 | 12 | 24 | 1 |
|
| LC | Axit | 0,010 | 0,100 | 98 | 10 | 13 | 2 |
|
| LC | Khô | 0,010 | 2,500 | 78 | 12 | 21 | 1 |
|
| LC | Có nước | 0,010 | 0,100 | 98 | 10 | 91 | 3 |
|
| LC | Mẫu khô (Ngũ cốc) | 0,020 | 0,200 | 99 | 6 | 14 | 2 |
| Fenpropathrin |
| Tóm tắt | 0,010 | 1,000 | 95 | 14 | 156 | 7 |
|
| GC | Axit | 0,100 | 0,400 | 81 | 6 | 6 | 2 |
|
| GC | Có nước | 0,010 | 1,000 | 100 | 12 | 86 | 6 |
|
| GC | Khô | 0,100 | 0,100 | 115 | 24 | 2 | 1 |
|
| GC | Có đường | 0,100 | 0,100 | 93 | 21 | 2 | 1 |
|
| LC | Mẫu khô (Ngũ cốc) | 0,020 | 0,200 | 90 | 10 | 12 | 1 |
|
| LC | Axit | 0,010 | 0,100 | 91 | 19 | 12 | 1 |
|
| LC | Có đường | 0,010 | 0,100 | 93 | 5 | 12 | 1 |
|
| LC | Có nước | 0,010 | 0,100 | 84 | 9 | 24 | 1 |
| Fenpropimorph |
| Tóm tắt | 0,010 | 2,500 | 95 | 13 | 197 | 4 |
|
| GC | Có nước | 0,100 | 0,100 | 102 | 11 | 7 | 1 |
|
| LC | Có nước | 0,010 | 0,100 | 100 | 11 | 86 | 3 |
|
| LC | Khác | 0,010 | 2,500 | 88 | 10 | 24 | 1 |
|
| LC | Axit | 0,010 | 0,100 | 100 | 15 | 27 | 3 |
|
| LC | Mẫu khô (Ngũ cốc) | 0,020 | 0,200 | 100 | 9 | 14 | 2 |
|
| LC | Có đường | 0,010 | 0,100 | 93 | 9 | 14 | 2 |
|
| LC | Khô | 0,010 | 2,500 | 76 | 5 | 24 | 1 |
| Fenpyroximate |
| Tóm tắt | 0,010 | 0,200 | 93 | 14 | 149 | 4 |
|
| GC | Có nước | 0,025 | 0,100 | 82 | 9 | 7 | 2 |
|
| LC | Axit | 0,010 | 0,100 | 95 | 23 | 24 | 3 |
|
| LC | Có đường | 0,010 | 0,100 | 85 | 9 | 14 | 2 |
|
| LC | Có nước | 0,010 | 0,100 | 95 | 12 | 89 | 3 |
|
| LC | Mẫu khô (Ngũ cốc) | 0,020 | 0,200 | 88 | 13 | 14 | 2 |
| Fenson |
| Tóm tắt | 0,010 | 0,100 | 105 | 18 | 47 | 3 |
|
| GC | Axit | 0,010 | 0,100 | 110 | 20 | 15 | 2 |
|
| GC | Có nước | 0,010 | 0,100 | 103 | 17 | 30 | 3 |
|
| GC | Khô | 0,100 | 0,100 | 99 | 13 | 2 | 1 |
| Fenthion |
| Tóm tắt | 0,010 | 1,000 | 96 | 13 | 157 | 6 |
|
| GC | Khô | 0,100 | 0,100 | 88 |
| 1 | 1 |
|
| GC | Axit | 0,010 | 0,500 | 102 | 9 | 12 | 2 |
|
| GC | Có nước | 0,010 | 1,000 | 103 | 9 | 66 | 5 |
|
| LC | Axit | 0,010 | 0,100 | 92 | 7 | 10 | 1 |
|
| LC | Có đường | 0,010 | 0,100 | 91 | 4 | 12 | 1 |
|
| LC | Có nước | 0,010 | 0,100 | 87 | 17 | 44 | 2 |
|
| LC | Mẫu khô (Ngũ cốc) | 0,020 | 0,200 | 98 | 4 | 12 | 1 |
| Fenthion-Sulfon |
| Tóm tắt | 0,010 | 0,200 | 99 | 11 | 68 | 3 |
|
| GC | Có đường | 0,200 | 0,200 | 103 |
| 1 | 1 |
|
| GC | Axit | 0,010 | 0,200 | 95 | 8 | 11 | 2 |
|
| GC | Có nước | 0,010 | 0,200 | 98 | 13 | 27 | 3 |
|
| LC | Có nước | 0,010 | 0,100 | 102 | 12 | 19 | 1 |
|
| LC | Axit | 0,010 | 0,100 | 98 | 4 | 10 | 1 |
| Fenthion-Sulfoxide |
| Tóm tắt | 0,010 | 0,100 | 96 | 16 | 74 | 3 |
|
| GC | Axit | 0,010 | 0,100 | 94 | 10 | 12 | 2 |
|
| GC | Khô | 0,100 | 0,100 | 100 |
| 1 | 1 |
|
| GC | Có đường | 0,100 | 0,100 | 125 |
| 1 | 1 |
|
| GC | Có nước | 0,010 | 0,100 | 91 | 21 | 31 | 3 |
|
| LC | Có nước | 0,010 | 0,100 | 101 | 11 | 19 | 1 |
|
| LC | Axit | 0,010 | 0,100 | 100 | 5 | 10 | 1 |
| Fenvalerate/Esfenvalerate (sum) | Tóm tắt | 0,010 | 1,000 | 102 | 9 | 82 | 4 |
|
|
| GC | Có đường | 0,050 | 0,050 | 98 |
| 1 | 1 |
|
| GC | Khô | 0,100 | 0,100 | 86 |
| 1 | 1 |
|
| GC | Axit | 0,010 | 0,100 | 101 | 11 | 10 | 1 |
|
| GC | Có nước | 0,010 | 1,000 | 102 | 9 | 70 | 4 |
| Flucythrinate |
| Tóm tắt | 0,010 | 0,250 | 100 | 14 | 61 | 4 |
|
| GC | Có nước | 0,010 | 0,250 | 100 | 14 | 46 | 4 |
|
| GC | Khô | 0,100 | 0,100 | 130 |
| 1 | 1 |
|
| GC | Axit | 0,010 | 0,100 | 98 | 11 | 10 | 1 |
|
| GC | Có đường | 0,050 | 0,250 | 106 | 13 | 3 | 2 |
| Fludioxonil |
| Tóm tắt | 0,010 | 1,000 | 99 | 12 | 159 | 5 |
|
| GC | Có đường | 0,050 | 0,050 | 104 |
| 1 | 1 |
|
| GC | Axit | 0,010 | 0,100 | 101 | 12 | 10 | 1 |
|
| GC | Có nước | 0,010 | 1,000 | 98 | 11 | 70 | 4 |
|
| GC | Khô | 0,100 | 0,100 | 86 |
| 1 | 1 |
|
| LC | Có đường | 0,020 | 0,020 | 80 | 4 | 2 | 1 |
|
| LC | Axit | 0,010 | 0,100 | 103 | 15 | 15 | 2 |
|
| LC | Mẫu khô (Ngũ cốc) | 0,020 | 0,020 | 88 | 14 | 2 | 1 |
|
| LC | Có nước | 0,010 | 0,100 | 99 | 13 | 57 | 2 |
| Flufenoxuron |
| Tóm tắt | 0,010 | 0,200 | 94 | 15 | 159 | 4 |
|
| GC | Có nước | 0,025 | 0,025 | 94 |
| 1 | 1 |
|
| LC | Có đường | 0,010 | 0,100 | 87 | 9 | 14 | 2 |
|
| LC | Mẫu khô (Ngũ cốc) | 0,020 | 0,200 | 87 | 8 | 14 | 2 |
|
| LC | Có nước | 0,010 | 0,100 | 96 | 17 | 103 | 4 |
|
| LC | Axit | 0,010 | 0,100 | 95 | 10 | 26 | 3 |
| Fluquinconazole |
| Tóm tắt | 0,010 | 0,250 | 92 | 13 | 105 | 5 |
|
| GC | Axit | 0,250 | 0,250 | 112 |
| 1 | 1 |
|
| GC | Có nước | 0,051 | 0,250 | 96 | 19 | 19 | 3 |
|
| LC | Có đường | 0,010 | 0,100 | 95 | 7 | 12 | 1 |
|
| LC | Axit | 0,010 | 0,100 | 89 | 13 | 12 | 1 |
|
| LC | Có nước | 0,010 | 0,100 | 90 | 13 | 49 | 2 |
|
| LC | Mẫu khô (Ngũ cốc) | 0,020 | 0,200 | 92 | 3 | 12 | 1 |
| Flusilazole |
| Tóm tắt | 0,010 | 1,260 | 98 | 11 | 249 | 6 |
|
| GC | Khô | 0,100 | 0,100 | 101 | 6 | 2 | 1 |
|
| GC | Axit | 0,010 | 0,100 | 96 | 10 | 10 | 1 |
|
| GC | Có nước | 0,010 | 1,260 | 101 | 9 | 77 | 4 |
|
| GC | Có đường | 0,100 | 0,100 | 94 | 17 | 2 | 1 |
|
| LC | Có nước | 0,010 | 0,100 | 97 | 13 | 103 | 3 |
|
| LC | Axit | 0,010 | 0,100 | 99 | 7 | 26 | 3 |
|
| LC | Mẫu khô (Ngũ cốc) | 0,020 | 0,200 | 98 | 5 | 14 | 2 |
|
| LC | Có đường | 0,010 | 0,100 | 96 | 11 | 14 | 2 |
| Fluvalinate |
| Tóm tắt | 0,050 | 1,000 | 106 | 9 | 46 | 3 |
|
| GC | Có nước | 0,050 | 1,000 | 105 | 8 | 45 | 3 |
|
| GC | Axit | 0,500 | 0,500 | 136 |
| 1 | 1 |
| Folpet |
| Tóm tắt | 0,050 | 0,500 | 86 | 29 | 28 | 3 |
|
| GC | Có nước | 0,050 | 0,500 | 86 | 18 | 20 | 3 |
|
| GC | Khô | 0,100 | 0,100 | 147 | 78 | 2 | 1 |
|
| GC | Axit | 0,100 | 0,500 | 67 | 14 | 6 | 2 |
| Fonofos |
| Tóm tắt | 0,010 | 1,000 | 97 | 11 | 115 | 5 |
|
| GC | Có nước | 0,032 | 1,000 | 101 | 10 | 53 | 4 |
|
| GC | Axit | 0,500 | 0,500 | 115 | 9 | 2 | 1 |
|
| LC | Mẫu khô (Ngũ cốc) | 0,020 | 0,200 | 98 | 6 | 12 | 1 |
|
| LC | Axit | 0,010 | 0,100 | 100 | 8 | 12 | 1 |
|
| LC | Có nước | 0,010 | 0,100 | 85 | 6 | 24 | 1 |
|
| LC | Có đường | 0,010 | 0,100 | 94 | 6 | 12 | 1 |
| HCH, alpha- |
| Tóm tắt | 0,031 | 1,000 | 94 | 14 | 54 | 4 |
|
| GC | Có nước | 0,031 | 1,000 | 94 | 14 | 54 | 4 |
| HCH, beta- |
| Tóm tắt | 0,029 | 1,000 | 92 | 12 | 54 | 4 |
|
| GC | Có nước | 0,029 | 1,000 | 92 | 12 | 54 | 4 |
| HCH, gamma- |
| Tóm tắt | 0,010 | 0,100 | 98 | 16 | 47 | 3 |
|
| GC | Axit | 0,010 | 0,100 | 101 | 10 | 10 | 1 |
|
| GC | Khô | 0,100 | 0,100 | 73 | 7 | 2 | 1 |
|
| GC | Có nước | 0,010 | 0,100 | 99 | 16 | 35 | 3 |
| Heptachlor |
| Tóm tắt | 0,031 | 0,100 | 94 | 15 | 21 | 3 |
|
| GC | Có nước | 0,031 | 0,100 | 94 | 15 | 21 | 3 |
| Heptenophos |
| Tóm tắt | 0,010 | 1,000 | 94 | 10 | 168 | 6 |
|
| GC | Có đường | 0,050 | 0,050 | 98 |
| 1 | 1 |
|
| GC | Có nước | 0,049 | 1,000 | 96 | 11 | 51 | 4 |
|
| GC | Axit | 0,050 | 0,050 | 114 |
| 1 | 1 |
|
| LC | Có nước | 0,010 | 0,100 | 95 | 9 | 71 | 2 |
|
| LC | Có đường | 0,010 | 0,100 | 86 | 6 | 14 | 2 |
|
| LC | Mẫu khô (Ngũ cốc) | 0,020 | 0,200 | 91 | 4 | 14 | 2 |
|
| LC | Axit | 0,010 | 0,100 | 89 | 15 | 15 | 2 |
| Hexachlorobenzene |
| Tóm tắt | 0,028 | 1,000 | 91 | 15 | 54 | 4 |
|
| GC | Có nước | 0,028 | 1,000 | 91 | 15 | 54 | 4 |
| Hexaconazole |
| Tóm tắt | 0,010 | 1,000 | 93 | 10 | 154 | 6 |
|
| GC | Có nước | 0,050 | 1,000 | 97 | 13 | 53 | 4 |
|
| GC | Có đường | 0,250 | 0,250 | 115 |
| 1 | 1 |
|
| GC | Axit | 0,250 | 0,250 | 92 |
| 1 | 1 |
|
| LC | Mẫu khô (Ngũ cốc) | 0,020 | 0,200 | 90 | 4 | 12 | 1 |
|
| LC | Axit | 0,010 | 0,100 | 89 | 7 | 23 | 2 |
|
| LC | Có đường | 0,010 | 0,100 | 89 | 7 | 14 | 2 |
|
| LC | Có nước | 0,010 | 0,100 | 93 | 8 | 50 | 2 |
| Hexaflumuron |
| Tóm tắt | 0,010 | 0,200 | 94 | 19 | 140 | 3 |
|
| LC | Có đường | 0,020 | 0,100 | 95 | 11 | 10 | 3 |
|
| LC | Axit | 0,010 | 0,100 | 94 | 19 | 27 | 3 |
|
| LC | Mẫu khô (Ngũ cốc) | 0,020 | 0,200 | 88 | 7 | 14 | 2 |
|
| LC | Có nước | 0,010 | 0,100 | 95 | 21 | 88 | 3 |
| Hexythiazox |
| Tóm tắt | 0,010 | 1,110 | 93 | 15 | 100 | 3 |
|
| GC | Có nước | 1,110 | 1,110 | 70 | 10 | 7 | 1 |
|
| LC | Mẫu khô (Ngũ cốc) | 0,020 | 0,020 | 104 | 11 | 2 | 1 |
|
| LC | Axit | 0,010 | 0,100 | 98 | 14 | 14 | 2 |
|
| LC | Có đường | 0,020 | 0,025 | 86 | 22 | 4 | 2 |
|
| LC | Có nước | 0,010 | 0,100 | 95 | 13 | 72 | 2 |
| lmazalil |
| Tóm tắt | 0,010 | 2,500 | 95 | 20 | 190 | 7 |
|
| GC | Có nước | 0,100 | 1,000 | 99 | 15 | 42 | 4 |
|
| GC | Axit | 0,100 | 0,100 | 88 | 10 | 5 | 1 |
|
| LC | Axit | 0,010 | 0,100 | 89 | 14 | 13 | 2 |
|
| LC | Có đường | 0,020 | 0,025 | 87 | 11 | 4 | 2 |
|
| LC | Mẫu khô (Ngũ cốc) | 0,020 | 0,020 | 91 | 9 | 2 | 1 |
|
| LC | Khác | 0,010 | 2,500 | 86 | 18 | 24 | 1 |
|
| LC | Khô | 0,010 | 2,500 | 79 | 11 | 24 | 1 |
|
| LC | Có nước | 0,010 | 0,100 | 102 | 22 | 75 | 2 |
| Imidacloprid |
| Tóm tắt | 0,010 | 0,100 | 99 | 18 | 99 | 3 |
|
| LC | Mẫu khô (Ngũ cốc) | 0,020 | 0,020 | 81 | 25 | 2 | 1 |
|
| LC | Có đường | 0,020 | 0,025 | 90 | 19 | 4 | 2 |
|
| LC | Có nước | 0,010 | 0,100 | 102 | 18 | 78 | 3 |
|
| LC | Axit | 0,010 | 0,100 | 90 | 13 | 14 | 2 |
| Indoxacarb |
| Tóm tắt | 0,010 | 0,140 | 99 | 15 | 78 | 3 |
|
| GC | Có nước | 0,140 | 0,140 | 102 | 11 | 6 | 1 |
|
| LC | Có đường | 0,020 | 0,020 | 102 | 26 | 2 | 1 |
|
| LC | Mẫu khô (Ngũ cốc) | 0,020 | 0,020 | 88 | 1 | 2 | 1 |
|
| LC | Axit | 0,010 | 0,020 | 99 | 16 | 8 | 2 |
|
| LC | Có nước | 0,010 | 0,025 | 98 | 15 | 59 | 2 |
| Iprodione |
| Tóm tắt | 0,010 | 0,500 | 96 | 17 | 135 | 6 |
|
| GC | Axit | 0,100 | 0,500 | 104 | 13 | 7 | 2 |
|
| GC | Có đường | 0,100 | 0,200 | 101 | 1 | 3 | 2 |
|
| GC | Có nước | 0,010 | 0,500 | 99 | 18 | 64 | 5 |
|
| GC | Khô | 0,100 | 0,100 | 98 |
| 1 | 1 |
|
| LC | Axit | 0,010 | 0,100 | 103 | 20 | 12 | 1 |
|
| LC | Có đường | 0,010 | 0,100 | 81 | 15 | 12 | 1 |
|
| LC | Mẫu khô (Ngũ cốc) | 0,020 | 0,200 | 80 | 10 | 12 | 1 |
|
| LC | Có nước | 0,010 | 0,100 | 97 | 14 | 24 | 1 |
| Iprovalicarb |
| Tóm tắt | 0,010 | 0,200 | 96 | 11 | 143 | 3 |
|
| LC | Axit | 0,010 | 0,100 | 92 | 9 | 14 | 2 |
|
| LC | Có đường | 0,010 | 0,100 | 99 | 9 | 16 | 3 |
|
| LC | Có nước | 0,010 | 0,100 | 95 | 12 | 98 | 3 |
|
| LC | Mẫu khô (Ngũ cốc) | 0,020 | 0,200 | 104 | 8 | 14 | 2 |
| Isofenphos |
| Tóm tắt | 0,050 | 1,000 | 103 | 16 | 47 | 3 |
|
| GC | Có đường | 0,050 | 0,050 | 150 |
| 1 | 1 |
|
| GC | Axit | 0,050 | 0,050 | 120 |
| 1 | 1 |
|
| GC | Có nước | 0,050 | 1,000 | 102 | 14 | 45 | 3 |
| Kresoxim-Methyl |
| Tóm tắt | 0,010 | 1,000 | 99 | 9 | 139 | 5 |
|
| GC | Khô | 0,100 | 0,100 | 88 | 2 | 2 | 1 |
|
| GC | Có nước | 0,010 | 1,000 | 100 | 9 | 77 | 5 |
|
| GC | Axit | 0,010 | 0,500 | 105 | 11 | 17 | 3 |
|
| LC | Có nước | 0,010 | 0,100 | 96 | 6 | 29 | 1 |
|
| LC | Có đường | 0,025 | 0,025 | 90 | 4 | 2 | 1 |
|
| LC | Axit | 0,010 | 0,100 | 92 | 9 | 12 | 1 |
| Linuron |
| Tóm tắt | 0,010 | 2,500 | 89 | 17 | 130 | 3 |
|
| LC | Mẫu khô (Ngũ cốc) | 0,020 | 0,020 | 103 | 3 | 2 | 1 |
|
| LC | Khác | 0,010 | 2,500 | 82 | 13 | 24 | 1 |
|
| LC | Axit | 0,010 | 0,100 | 92 | 10 | 14 | 2 |
|
| LC | Khô | 0,010 | 2,500 | 76 | 12 | 24 | 1 |
|
| LC | Có đường | 0,020 | 0,025 | 90 | 16 | 4 | 2 |
|
| LC | Có nước | 0,010 | 0,100 | 97 | 17 | 61 | 2 |
| Lufenuron |
| Tóm tắt | 0,010 | 0,200 | 98 | 17 | 156 | 4 |
|
| LC | Axit | 0,010 | 0,100 | 102 | 11 | 27 | 3 |
|
| LC | Mẫu khô (Ngũ cốc) | 0,020 | 0,200 | 88 | 12 | 14 | 2 |
|
| LC | Có đường | 0,020 | 0,100 | 98 | 12 | 10 | 3 |
|
| LC | Có nước | 0,010 | 0,100 | 99 | 19 | 104 | 4 |
| Malaoxon |
| Tóm tắt | 0,010 | 1,000 | 99 | 18 | 129 | 4 |
|
| GC | Axit | 0,010 | 0,100 | 104 | 17 | 11 | 1 |
|
| GC | Có nước | 0,010 | 1,000 | 102 | 21 | 61 | 3 |
|
| GC | Có đường | 0,050 | 0,050 | 40 |
| 1 | 1 |
|
| GC | Khô | 0,100 | 0,100 | 80 |
| 1 | 1 |
|
| LC | Axit | 0,020 | 0,020 | 100 | 16 | 3 | 1 |
|
| LC | Có nước | 0,020 | 0,020 | 96 | 12 | 47 | 1 |
|
| LC | Mẫu khô (Ngũ cốc) | 0,020 | 0,020 | 104 | 16 | 2 | 1 |
|
| LC | Có đường | 0,020 | 0,020 | 85 | 16 | 2 | 1 |
| Malathion |
| Tóm tắt | 0,010 | 1,000 | 98 | 12 | 213 | 7 |
|
| GC | Có đường | 0,050 | 0,100 | 120 | 12 | 2 | 1 |
|
| GC | Axit | 0,010 | 0,100 | 91 | 7 | 16 | 2 |
|
| GC | Có nước | 0,010 | 1,000 | 101 | 13 | 93 | 5 |
|
| GC | Khô | 0,100 | 0,100 | 92 |
| 1 | 1 |
|
| LC | Axit | 0,020 | 0,020 | 108 | 6 | 3 | 1 |
|
| LC | Mẫu khô (Ngũ cốc) | 0,020 | 0,200 | 98 | 5 | 14 | 2 |
|
| LC | Có nước | 0,010 | 0,100 | 97 | 12 | 69 | 2 |
|
| LC | Có đường | 0,010 | 0,100 | 89 | 8 | 14 | 2 |
| Mecarbam |
| Tóm tắt | 0,010 | 1,000 | 101 | 12 | 125 | 6 |
|
| GC | Có đường | 0,100 | 1,000 | 117 | 2 | 2 | 2 |
|
| GC | Có nước | 0,010 | 1,000 | 102 | 13 | 76 | 6 |
|
| GC | Khô | 0,100 | 0,100 | 98 |
| 1 | 1 |
|
| GC | Axit | 0,010 | 1,000 | 100 | 9 | 16 | 3 |
|
| LC | Có nước | 0,010 | 0,100 | 97 | 9 | 17 | 1 |
|
| LC | Axit | 0,010 | 0,100 | 93 | 10 | 11 | 1 |
|
| LC | Có đường | 0,025 | 0,025 | 101 | 8 | 2 | 1 |
| Mepanipyrim |
| Tóm tắt | 0,010 | 0,200 | 96 | 8 | 118 | 4 |
|
| GC | Axit | 0,100 | 0,100 | 101 | 8 | 7 | 2 |
|
| GC | Có nước | 0,050 | 0,100 | 100 | 6 | 21 | 2 |
|
| LC | Axit | 0,010 | 0,100 | 94 | 10 | 23 | 2 |
|
| LC | Có nước | 0,010 | 0,100 | 95 | 8 | 41 | 2 |
|
| LC | Mẫu khô (Ngũ cốc) | 0,020 | 0,200 | 104 | 2 | 12 | 1 |
|
| LC | Có đường | 0,010 | 0,100 | 91 | 6 | 14 | 2 |
| Mepronil |
| Tóm tắt | 0,010 | 0,500 | 91 | 13 | 57 | 4 |
|
| GC | Axit | 0,100 | 0,500 | 88 | 22 | 7 | 2 |
|
| GC | Có nước | 0,100 | 0,500 | 90 | 14 | 20 | 3 |
|
| LC | Axit | 0,010 | 0,100 | 90 | 6 | 11 | 1 |
|
| LC | Có đường | 0,025 | 0,025 | 97 | 4 | 2 | 1 |
|
| LC | Có nước | 0,010 | 0,100 | 94 | 10 | 17 | 1 |
| Metalaxyl |
| Tóm tắt | 0,010 | 1,000 | 101 | 17 | 144 | 4 |
|
| GC | Axit | 0,100 | 0,100 | 100 | 4 | 5 | 1 |
|
| GC | Có nước | 0,050 | 1,000 | 101 | 9 | 45 | 2 |
|
| LC | Mẫu khô (Ngũ cốc) | 0,020 | 0,020 | 102 | 1 | 2 | 1 |
|
| LC | Axit | 0,010 | 0,100 | 90 | 10 | 14 | 2 |
|
| LC | Có đường | 0,020 | 0,025 | 88 | 10 | 4 | 2 |
|
| LC | Có nước | 0,010 | 0,100 | 103 | 22 | 73 | 2 |
| Metamitron |
| Tóm tắt | 0,010 | 0,200 | 88 | 15 | 140 | 3 |
|
| LC | Mẫu khô (Ngũ cốc) | 0,020 | 0,200 | 89 | 9 | 14 | 2 |
|
| LC | Axit | 0,010 | 0,100 | 80 | 19 | 26 | 3 |
|
| LC | Có đường | 0,010 | 0,100 | 89 | 12 | 16 | 3 |
|
| LC | Có nước | 0,010 | 0,100 | 90 | 15 | 83 | 3 |
| Metazachlor |
| Tóm tắt | 0,020 | 1,000 | 97 | 11 | 110 | 5 |
|
| GC | Có nước | 0,050 | 1,000 | 100 | 9 | 39 | 2 |
|
| LC | Axit | 0,020 | 0,020 | 100 | 5 | 3 | 1 |
|
| LC | Có đường | 0,020 | 0,020 | 81 | 5 | 2 | 1 |
|
| LC | Mẫu khô (Ngũ cốc) | 0,020 | 0,020 | 109 | 4 | 2 | 1 |
|
| LC | Có nước | 0,020 | 0,050 | 95 | 12 | 63 | 3 |
| Methamidophos |
| Tóm tắt | 0,010 | 0,100 | 84 | 14 | 111 | 3 |
|
| GC | Axit | 0,050 | 0,050 | 62 |
| 1 | 1 |
|
| GC | Có nước | 0,050 | 0,075 | 76 | 23 | 7 | 1 |
|
| LC | Có nước | 0,010 | 0,100 | 86 | 13 | 82 | 3 |
|
| LC | Axit | 0,010 | 0,100 | 78 | 11 | 14 | 2 |
|
| LC | Có đường | 0,020 | 0,025 | 76 | 10 | 4 | 2 |
|
| LC | Mẫu khô (Ngũ cốc) | 0,020 | 0,020 | 75 | 1 | 2 | 1 |
| Methidathion |
| Tóm tắt | 0,010 | 1,000 | 95 | 14 | 151 | 6 |
|
| GC | Có nước | 0,050 | 1,000 | 98 | 16 | 58 | 5 |
|
| GC | Có đường | 0,050 | 0,050 | 161 |
| 1 | 1 |
|
| LC | Axit | 0,010 | 0,100 | 90 | 10 | 23 | 2 |
|
| LC | Có nước | 0,010 | 0,100 | 93 | 11 | 43 | 2 |
|
| LC | Có đường | 0,010 | 0,100 | 94 | 5 | 14 | 2 |
|
| LC | Mẫu khô (Ngũ cốc) | 0,020 | 0,200 | 99 | 1 | 12 | 1 |
| Methomyl |
| Tóm tắt | 0,010 | 2,500 | 95 | 16 | 142 | 4 |
|
| LC | Mẫu khô (Ngũ cốc) | 0,020 | 0,020 | 97 | 9 | 2 | 1 |
|
| LC | Có nước | 0,010 | 0,100 | 99 | 18 | 76 | 3 |
|
| LC | Axit | 0,010 | 0,100 | 91 | 13 | 13 | 2 |
|
| LC | Có đường | 0,020 | 0,020 | 87 | 5 | 2 | 1 |
|
| LC | Khô | 0,010 | 2,500 | 90 | 11 | 24 | 1 |
|
| LC | Khác | 0,010 | 2,500 | 87 | 10 | 24 | 1 |
| Methoxychlor |
| Tóm tắt | 0,050 | 1,000 | 100 | 15 | 57 | 4 |
|
| GC | Có đường | 0,050 | 0,050 | 180 |
| 1 | 1 |
|
| GC | Có nước | 0,050 | 1,000 | 98 | 11 | 51 | 4 |
|
| GC | Axit | 0,100 | 0,100 | 105 | 4 | 5 | 1 |
| Metobromuron |
| Tóm tắt | 0,010 | 0,200 | 95 | 14 | 125 | 4 |
|
| LC | Có đường | 0,010 | 0,100 | 96 | 13 | 14 | 2 |
|
| LC | Axit | 0,010 | 0,100 | 91 | 13 | 15 | 2 |
|
| LC | Mẫu khô (Ngũ cốc) | 0,020 | 0,200 | 105 | 9 | 14 | 2 |
|
| LC | Có nước | 0,010 | 0,100 | 94 | 14 | 81 | 4 |
| Metolachlor |
| Tóm tắt | 0,020 | 1,000 | 101 | 8 | 95 | 3 |
|
| GC | Có nước | 0,050 | 1,000 | 103 | 6 | 39 | 2 |
|
| LC | Mẫu khô (Ngũ cốc) | 0,020 | 0,020 | 104 | 7 | 2 | 1 |
|
| LC | Axit | 0,020 | 0,020 | 97 | 5 | 3 | 1 |
|
| LC | Có đường | 0,020 | 0,020 | 92 | 8 | 2 | 1 |
|
| LC | Có nước | 0,020 | 0,020 | 100 | 10 | 48 | 1 |
| Metribuzin |
| Tóm tắt | 0,010 | 1,000 | 97 | 13 | 131 | 3 |
|
| GC | Có nước | 0,050 | 1,000 | 97 | 6 | 32 | 1 |
|
| LC | Có đường | 0,010 | 0,100 | 90 | 9 | 14 | 2 |
|
| LC | Có nước | 0,010 | 0,100 | 99 | 16 | 69 | 2 |
|
| LC | Axit | 0,020 | 0,020 | 111 | 7 | 2 | 1 |
|
| LC | Mẫu khô (Ngũ cốc) | 0,020 | 0,200 | 90 | 11 | 14 | 2 |
| Mevinphos |
| Tóm tắt | 0,010 | 0,100 | 96 | 16 | 99 | 4 |
|
| GC | Khô | 0,100 | 0,100 | 81 | 6 | 2 | 1 |
|
| GC | Có nước | 0,010 | 0,100 | 97 | 20 | 33 | 3 |
|
| GC | Axit | 0,010 | 0,100 | 98 | 11 | 10 | 1 |
|
| LC | Axit | 0,020 | 0,020 | 97 | 13 | 3 | 1 |
|
| LC | Mẫu khô (Ngũ cốc) | 0,020 | 0,020 | 102 | 6 | 2 | 1 |
|
| LC | Có nước | 0,020 | 0,020 | 97 | 14 | 46 | 1 |
|
| LC | Có đường | 0,020 | 0,020 | 77 | 7 | 2 | 1 |
| Monocrotophos |
| Tóm tắt | 0,010 | 0,200 | 89 | 12 | 163 | 5 |
|
| GC | Có nước | 0,100 | 0,147 | 69 | 11 | 14 | 2 |
|
| LC | Mẫu khô (Ngũ cốc) | 0,020 | 0,200 | 90 | 5 | 14 | 2 |
|
| LC | Có nước | 0,010 | 0,100 | 92 | 11 | 94 | 3 |
|
| LC | Axit | 0,010 | 0,100 | 86 | 8 | 25 | 3 |
|
| LC | Có đường | 0,010 | 0,100 | 90 | 7 | 15 | 3 |
| Myclobutanil |
| Tóm tắt | 0,010 | 1,000 | 95 | 12 | 101 | 6 |
|
| GC | Có nước | 0,050 | 1,000 | 95 | 15 | 62 | 5 |
|
| LC | Có nước | 0,010 | 0,100 | 96 | 8 | 26 | 1 |
|
| LC | Có đường | 0,025 | 0,025 | 97 | 4 | 2 | 1 |
|
| LC | Axit | 0,010 | 0,100 | 95 | 6 | 11 | 1 |
| Nuarimol |
| Tóm tắt | 0,010 | 0,200 | 97 | 14 | 112 | 5 |
|
| GC | Có nước | 0,010 | 0,200 | 102 | 20 | 38 | 4 |
|
| GC | Axit | 0,010 | 0,200 | 99 | 10 | 11 | 2 |
|
| GC | Khô | 0,100 | 0,100 | 91 | 6 | 2 | 1 |
|
| GC | Có đường | 0,200 | 0,200 | 115 |
| 1 | 1 |
|
| LC | Có nước | 0,010 | 0,100 | 90 | 6 | 24 | 1 |
|
| LC | Axit | 0,010 | 0,100 | 99 | 7 | 12 | 1 |
|
| LC | Mẫu khô (Ngũ cốc) | 0,020 | 0,200 | 100 | 8 | 12 | 1 |
|
| LC | Có đường | 0,010 | 0,100 | 92 | 4 | 12 | 1 |
| Omethoate |
| Tóm tắt | 0,010 | 0,200 | 88 | 15 | 169 | 5 |
|
| GC | Có nước | 0,100 | 0,100 | 91 | 9 | 7 | 1 |
|
| LC | Có nước | 0,010 | 0,100 | 90 | 15 | 105 | 4 |
|
| LC | Có đường | 0,010 | 0,100 | 89 | 15 | 16 | 3 |
|
| LC | Axit | 0,010 | 0,100 | 77 | 14 | 26 | 3 |
|
| LC | Mẫu khô (Ngũ cốc) | 0,020 | 0,200 | 89 | 8 | 14 | 2 |
| Orthophenylphenol |
| Tóm tắt | 0,010 | 0,100 | 103 | 17 | 69 | 3 |
|
| GC | Axit | 0,010 | 0,100 | 96 | 9 | 15 | 2 |
|
| GC | Có nước | 0,010 | 0,100 | 106 | 18 | 50 | 3 |
|
| GC | Khô | 0,100 | 0,100 | 103 | 16 | 2 | 1 |
|
| GC | Có đường | 0,100 | 0,100 | 91 | 13 | 2 | 1 |
| Oxadixyl |
| Tóm tắt | 0,010 | 1,000 | 97 | 11 | 160 | 5 |
|
| GC | Có nước | 0,010 | 1,000 | 99 | 14 | 65 | 4 |
|
| GC | Axit | 0,010 | 0,100 | 100 | 13 | 10 | 1 |
|
| GC | Có đường | 0,500 | 0,500 | 75 |
| 1 | 1 |
|
| GC | Khô | 0,100 | 0,100 | 88 | 11 | 2 | 1 |
|
| LC | Axit | 0,010 | 0,100 | 90 | 10 | 13 | 2 |
|
| LC | Có nước | 0,010 | 0,100 | 93 | 9 | 42 | 2 |
|
| LC | Có đường | 0,010 | 0,100 | 101 | 4 | 14 | 2 |
|
| LC | Mẫu khô (Ngũ cốc) | 0,020 | 0,200 | 98 | 2 | 12 | 1 |
| Oxamyl |
| Tóm tắt | 0,010 | 0,100 | 95 | 20 | 76 | 3 |
|
| LC | Có đường | 0,025 | 0,025 | 92 | 1 | 2 | 1 |
|
| LC | Có nước | 0,020 | 0,100 | 98 | 21 | 57 | 3 |
|
| LC | Axit | 0,010 | 0,100 | 87 | 12 | 14 | 2 |
|
| LC | Mẫu khô (Ngũ cốc) | 0,020 | 0,020 | 85 | 15 | 2 | 1 |
| Paclobutrazol |
| Tóm tắt | 0,010 | 1,000 | 95 | 10 | 147 | 3 |
|
| GC | Có nước | 0,050 | 1,000 | 98 | 8 | 32 | 1 |
|
| LC | Có đường | 0,010 | 0,100 | 88 | 7 | 14 | 2 |
|
| LC | Mẫu khô (Ngũ cốc) | 0,020 | 0,200 | 98 | 9 | 14 | 2 |
|
| LC | Axit | 0,010 | 0,100 | 94 | 7 | 15 | 2 |
|
| LC | Có nước | 0,010 | 0,100 | 95 | 11 | 71 | 2 |
| Paraoxon |
| Tóm tắt | 0,010 | 0,200 | 95 | 15 | 110 | 5 |
|
| GC | Có nước | 0,010 | 0,200 | 102 | 17 | 38 | 4 |
|
| GC | Axit | 0,050 | 0,100 | 96 | 11 | 11 | 2 |
|
| GC | Khô | 0,100 | 0,100 | 92 |
| 1 | 1 |
|
| LC | Axit | 0,010 | 0,100 | 79 | 18 | 12 | 1 |
|
| LC | Mẫu khô (Ngũ cốc) | 0,020 | 0,200 | 102 | 3 | 12 | 1 |
|
| LC | Có đường | 0,010 | 0,100 | 95 | 3 | 12 | 1 |
|
| LC | Có nước | 0,010 | 0,100 | 89 | 7 | 24 | 1 |
| Paraoxon-Methyl |
| Tóm tắt | 0,010 | 0,200 | 90 | 15 | 99 | 4 |
|
| GC | Axit | 0,050 | 0,100 | 86 | 11 | 6 | 1 |
|
| GC | Có nước | 0,050 | 0,200 | 95 | 19 | 31 | 3 |
|
| GC | Khô | 0,100 | 0,100 | 78 |
| 1 | 1 |
|
| GC | Có đường | 0,050 | 0,050 | 50 |
| 1 | 1 |
|
| LC | Có đường | 0,010 | 0,100 | 92 | 4 | 12 | 1 |
|
| LC | Có nước | 0,010 | 0,100 | 83 | 11 | 24 | 1 |
|
| LC | Mẫu khô (Ngũ cốc) | 0,020 | 0,200 | 98 | 2 | 12 | 1 |
|
| LC | Axit | 0,010 | 0,100 | 84 | 9 | 12 | 1 |
| Parathion |
| Tóm tắt | 0,010 | 1,000 | 95 | 16 | 164 | 6 |
|
| GC | Khô | 0,100 | 0,100 | 100 |
| 1 | 1 |
|
| GC | Có đường | 0,050 | 0,100 | 102 | 6 | 3 | 1 |
|
| GC | Axit | 0,010 | 0,100 | 94 | 10 | 11 | 1 |
|
| GC | Có nước | 0,010 | 1,000 | 102 | 10 | 89 | 5 |
|
| LC | Mẫu khô (Ngũ cốc) | 0,020 | 0,200 | 75 | 10 | 12 | 1 |
|
| LC | Có đường | 0,010 | 0,100 | 80 | 12 | 12 | 1 |
|
| LC | Có nước | 0,010 | 0,100 | 90 | 21 | 24 | 1 |
|
| LC | Axit | 0,010 | 0,100 | 90 | 20 | 12 | 1 |
| Parathion-Methyl |
| Tóm tắt | 0,010 | 1,000 | 97 | 20 | 159 | 6 |
|
| GC | Axit | 0,010 | 0,100 | 91 | 7 | 11 | 1 |
|
| GC | Có nước | 0,010 | 1,000 | 99 | 13 | 85 | 5 |
|
| GC | Khô | 0,100 | 0,100 | 100 |
| 1 | 1 |
|
| GC | Có đường | 0,050 | 0,100 | 118 | 3 | 2 | 1 |
|
| LC | Có đường | 0,010 | 0,100 | 91 | 12 | 12 | 1 |
|
| LC | Axit | 0,010 | 0,100 | 94 | 36 | 12 | 1 |
|
| LC | Có nước | 0,010 | 0,100 | 89 | 23 | 24 | 1 |
|
| LC | Mẫu khô (Ngũ cốc) | 0,020 | 0,200 | 116 | 36 | 12 | 1 |
| Penconazole |
| Tóm tắt | 0,010 | 1,000 | 98 | 11 | 83 | 5 |
|
| GC | Có nước | 0,050 | 1,000 | 98 | 12 | 53 | 4 |
|
| LC | Axit | 0,010 | 0,100 | 106 | 4 | 10 | 1 |
|
| LC | Có nước | 0,010 | 0,025 | 96 | 8 | 20 | 1 |
| Pencycuron |
| Tóm tắt | 0,010 | 2,500 | 94 | 13 | 225 | 4 |
|
| GC | Có nước | 0,050 | 1,000 | 98 | 9 | 32 | 1 |
|
| LC | Khác | 0,010 | 2,500 | 82 | 9 | 24 | 1 |
|
| LC | Có đường | 0,010 | 0,100 | 94 | 7 | 14 | 2 |
|
| LC | Mẫu khô (Ngũ cốc) | 0,020 | 0,200 | 92 | 6 | 14 | 2 |
|
| LC | Có nước | 0,010 | 0,100 | 99 | 10 | 89 | 3 |
|
| LC | Axit | 0,010 | 0,100 | 99 | 8 | 27 | 3 |
|
| LC | Khô | 0,010 | 2,500 | 74 | 14 | 24 | 1 |
| Pendimethalin |
| Tóm tắt | 0,010 | 1,000 | 96 | 14 | 218 | 7 |
|
| GC | Axit | 0,010 | 0,100 | 96 | 8 | 15 | 2 |
|
| GC | Có đường | 0,100 | 0,100 | 90 | 19 | 2 | 1 |
|
| GC | Có nước | 0 010 | 1,000 | 103 | 11 | 88 | 5 |
|
| GC | Khô | 0,100 | 0,100 | 129 | 40 | 2 | 1 |
|
| LC | Có đường | 0,010 | 0,100 | 90 | 7 | 14 | 2 |
|
| LC | Mẫu khô (Ngũ cốc) | 0,020 | 0,200 | 91 | 7 | 14 | 2 |
|
| LC | Có nước | 0,010 | 0,100 | 90 | 15 | 69 | 2 |
|
| LC | Axit | 0,010 | 0,100 | 92 | 20 | 14 | 2 |
| Permethrin |
| Tóm tắt | 0,010 | 1,000 | 98 | 18 | 103 | 5 |
|
| GC | Có đường | 0,100 | 0,200 | 97 | 16 | 3 | 2 |
|
| GC | Axit | 0,010 | 0,200 | 93 | 11 | 16 | 3 |
|
| GC | Khô | 0,100 | 0,100 | 119 | 10 | 2 | 1 |
|
| GC | Có nước | 0,010 | 1,000 | 98 | 20 | 82 | 5 |
| Phorate |
| Tóm tắt | 0,010 | 1,000 | 96 | 23 | 99 | 5 |
|
| GC | Axit | 0,010 | 0,500 | 103 | 11 | 12 | 2 |
|
| GC | Khô | 0,100 | 0,100 | 90 |
| 1 | 1 |
|
| GC | Có nước | 0,010 | 1,000 | 91 | 26 | 65 | 5 |
|
| LC | Có nước | 0,010 | 0,025 | 100 | 14 | 11 | 1 |
|
| LC | Axit | 0,010 | 0,100 | 114 | 12 | 10 | 1 |
| Phosalone |
| Tóm tắt | 0,010 | 1,000 | 95 | 21 | 158 | 6 |
|
| GC | Axit | 0,010 | 0,400 | 95 | 10 | 11 | 2 |
|
| GC | Khô | 0,100 | 0,100 | 148 | 74 | 2 | 1 |
|
| GC | Có đường | 0,100 | 0,400 | 99 | 26 | 3 | 2 |
|
| GC | Có nước | 0,010 | 1,000 | 100 | 23 | 82 | 5 |
|
| LC | Có đường | 0,010 | 0,100 | 86 | 8 | 12 | 1 |
|
| LC | Có nước | 0,010 | 0,100 | 80 | 8 | 24 | 1 |
|
| LC | Axit | 0,010 | 0,100 | 87 | 15 | 12 | 1 |
|
| LC | Mẫu khô (Ngũ cốc) | 0,020 | 0,200 | 92 | 3 | 12 | 1 |
| Phosmet |
| Tóm tắt | 0,010 | 1,000 | 89 | 17 | 151 | 6 |
|
| GC | Khô | 0,100 | 0,100 | 102 |
| 1 | 1 |
|
| GC | Axit | 0,010 | 0,100 | 91 | 9 | 11 | 1 |
|
| GC | Có nước | 0,010 | 1,000 | 96 | 16 | 75 | 5 |
|
| GC | Có đường | 0,050 | 0,200 | 104 | 43 | 3 | 2 |
|
| LC | Có nước | 0,010 | 0,100 | 77 | 12 | 24 | 1 |
|
| LC | Mẫu khô (Ngũ cốc) | 0,020 | 0,200 | 91 | 3 | 12 | 1 |
|
| LC | Có đường | 0,010 | 0,100 | 73 | 4 | 12 | 1 |
|
| LC | Axit | 0,010 | 0,100 | 74 | 16 | 12 | 1 |
| Phosphamidon |
| Tóm tắt | 0,010 | 0,100 | 96 | 20 | 64 | 5 |
|
| GC | Khô | 0,100 | 0,100 | 81 |
| 1 | 1 |
|
| GC | Có nước | 0,010 | 0,100 | 97 | 20 | 44 | 5 |
|
| GC | Axit | 0,010 | 0,100 | 99 | 11 | 17 | 3 |
|
| GC | Có đường | 0,050 | 0,100 | 62 | 52 | 2 | 2 |
| Picoxystrobin |
| Tóm tắt | 0,010 | 1,000 | 100 | 10 | 118 | 4 |
|
| GC | Axit | 0,100 | 0,100 | 100 | 9 | 5 | 1 |
|
| GC | Có nước | 0,050 | 1,000 | 99 | 5 | 37 | 2 |
|
| LC | Mẫu khô (Ngũ cốc) | 0,020 | 0,020 | 96 | 18 | 2 | 1 |
|
| LC | Axit | 0,010 | 0,100 | 108 | 9 | 13 | 2 |
|
| LC | Có nước | 0,010 | 0,025 | 99 | 12 | 58 | 2 |
|
| LC | Có đường | 0,020 | 0,020 | 96 | 18 | 2 | 1 |
| Piperonyl butoxide |
| Tóm tắt | 0,010 | 0,200 | 96 | 13 | 116 | 5 |
|
| GC | Có nước | 0,010 | 0,100 | 98 | 19 | 38 | 4 |
|
| GC | Axit | 0,010 | 0,100 | 106 | 8 | 16 | 3 |
|
| GC | Có đường | 0,050 | 0,050 | 103 |
| 1 | 1 |
|
| GC | Khô | 0,100 | 0,100 | 88 |
| 1 | 1 |
|
| LC | Có nước | 0,010 | 0,100 | 92 | 8 | 24 | 1 |
|
| LC | Axit | 0,010 | 0,100 | 93 | 6 | 12 | 1 |
|
| LC | Có đường | 0,010 | 0,100 | 92 | 4 | 12 | 1 |
|
| LC | Mẫu khô (Ngũ cốc) | 0,020 | 0,200 | 92 | 3 | 12 | 1 |
| Pirimicarb |
| Tóm tắt | 0,010 | 1,000 | 94 | 9 | 139 | 6 |
|
| GC | Axit | 0,100 | 0,100 | 97 | 2 | 5 | 1 |
|
| GC | Có nước | 0,050 | 1,000 | 92 | 8 | 59 | 4 |
|
| LC | Có nước | 0,010 | 0,025 | 95 | 11 | 57 | 2 |
|
| LC | Axit | 0,010 | 0,100 | 98 | 7 | 13 | 2 |
|
| LC | Mẫu khô (Ngũ cốc) | 0,020 | 0,020 | 98 | 8 | 2 | 1 |
|
| LC | Có đường | 0,020 | 0,020 | 92 | 19 | 2 | 1 |
| Pirimiphos-Methyl |
| Tóm tắt | 0,010 | 1,000 | 99 | 10 | 177 | 7 |
|
| GC | Có đường | 0,100 | 0,100 | 94 | 18 | 2 | 1 |
|
| GC | Khô | 0,100 | 0,100 | 116 | 31 | 2 | 1 |
|
| GC | Có nước | 0,010 | 1,000 | 103 | 10 | 96 | 6 |
|
| GC | Axit | 0,010 | 0,500 | 101 | 11 | 17 | 3 |
|
| LC | Có nước | 0,010 | 0,100 | 89 | 4 | 24 | 1 |
|
| LC | Axit | 0,010 | 0,100 | 94 | 5 | 12 | 1 |
|
| LC | Có đường | 0,010 | 0,100 | 91 | 6 | 12 | 1 |
|
| LC | Mẫu khô (Ngũ cốc) | 0,020 | 0,200 | 97 | 2 | 12 | 1 |
| Prochloraz |
| Tóm tắt | 0,010 | 1,000 | 101 | 12 | 115 | 4 |
|
| GC | Axit | 0,010 | 0,100 | 104 | 14 | 10 | 1 |
|
| GC | Có nước | 0,010 | 1,000 | 101 | 10 | 42 | 3 |
|
| GC | Khô | 0,100 | 0,100 | 84 |
| 1 | 1 |
|
| LC | Có nước | 0,020 | 0,025 | 100 | 14 | 54 | 2 |
|
| LC | Axit | 0,020 | 0,020 | 106 | 14 | 3 | 1 |
|
| LC | Có đường | 0,020 | 0,020 | 82 | 1 | 2 | 1 |
|
| LC | Mẫu khô (Ngũ cốc) | 0,020 | 0,020 | 105 | 18 | 2 | 1 |
| Procymidone |
| Tóm tắt | 0,010 | 1,000 | 100 | 11 | 118 | 6 |
|
| GC | Có nước | 0,010 | 1,000 | 101 | 11 | 97 | 6 |
|
| GC | Có đường | 0,050 | 0,100 | 96 | 9 | 3 | 2 |
|
| GC | Khô | 0,100 | 0,100 | 107 | 16 | 2 | 1 |
|
| GC | Axit | 0,010 | 0,100 | 99 | 12 | 16 | 3 |
| Profenofos |
| Tóm tắt | 0,010 | 1,000 | 94 | 9 | 122 | 5 |
|
| GC | Có nước | 0,050 | 1,000 | 93 | 10 | 46 | 3 |
|
| LC | Có đường | 0,010 | 0,100 | 94 | 5 | 12 | 1 |
|
| LC | Axit | 0,010 | 0,100 | 98 | 8 | 12 | 1 |
|
| LC | Mẫu khô (Ngũ cốc) | 0,020 | 0,200 | 89 | 8 | 12 | 1 |
|
| LC | Có nước | 0,010 | 0,100 | 95 | 9 | 40 | 2 |
| Profluralin |
| Tóm tắt | 0,050 | 1,000 | 98 | 14 | 47 | 3 |
|
| GC | Có nước | 0,050 | 1,000 | 98 | 14 | 47 | 3 |
| Prometryn |
| Tóm tắt | 0,010 | 1,000 | 95 | 9 | 151 | 5 |
|
| GC | Có nước | 0,050 | 1,000 | 99 | 6 | 32 | 1 |
|
| LC | Mẫu khô (Ngũ cốc) | 0,020 | 0,200 | 99 | 4 | 14 | 2 |
|
| LC | Có nước | 0,010 | 0,100 | 93 | 10 | 87 | 4 |
|
| LC | Axit | 0,020 | 0,020 | 99 | 11 | 3 | 1 |
|
| LC | Có đường | 0,010 | 0,100 | 94 | 2 | 14 | 2 |
| Propamocarb |
| Tóm tắt | 0,010 | 0,100 | 87 | 12 | 82 | 3 |
|
| LC | Axit | 0,010 | 0,100 | 83 | 9 | 13 | 2 |
|
| LC | Có nước | 0,010 | 0,050 | 89 | 12 | 64 | 3 |
|
| LC | Có đường | 0,020 | 0,020 | 73 | 11 | 2 | 1 |
|
| LC | Mẫu khô (Ngũ cốc) | 0,020 | 0,020 | 86 | 5 | 2 | 1 |
| Propargite |
| Tóm tắt | 0,010 | 1,000 | 96 | 12 | 185 | 5 |
|
| GC | Có nước | 0,050 | 1,000 | 101 | 6 | 40 | 2 |
|
| LC | Có đường | 0,010 | 0,100 | 89 | 6 | 14 | 2 |
|
| LC | Mẫu khô (Ngũ cốc) | 0,020 | 0,200 | 96 | 11 | 14 | 2 |
|
| LC | Có nước | 0,010 | 0,100 | 93 | 13 | 93 | 3 |
|
| LC | Axit | 0,010 | 0,100 | 103 | 16 | 23 | 3 |
| Propham |
| Tóm tắt | 0,010 | 2,500 | 84 | 18 | 152 | 5 |
|
| GC | Axit | 0,100 | 0,100 | 103 | 2 | 5 | 1 |
|
| GC | Có nước | 0,050 | 1,000 | 97 | 10 | 44 | 3 |
|
| LC | Có nước | 0,010 | 0,100 | 84 | 10 | 31 | 2 |
|
| LC | Khô | 0,010 | 2,500 | 72 | 23 | 24 | 1 |
|
| LC | Khác | 0,010 | 2,500 | 65 | 15 | 24 | 1 |
|
| LC | Mẫu khô (Ngũ cốc) | 0,020 | 0,200 | 92 | 4 | 12 | 1 |
|
| LC | Có đường | 0,010 | 0,100 | 87 | 3 | 12 | 1 |
| Propiconazole |
| Tóm tắt | 0,010 | 1,000 | 99 | 9 | 121 | 6 |
|
| GC | Có nước | 0,050 | 1,000 | 102 | 9 | 52 | 4 |
|
| LC | Có đường | 0,010 | 0,100 | 95 | 3 | 12 | 1 |
|
| LC | Có nước | 0,010 | 0,100 | 94 | 9 | 35 | 2 |
|
| LC | Mẫu khô (Ngũ cốc) | 0,020 | 0,200 | 100 | 4 | 12 | 1 |
|
| LC | Axit | 0,010 | 0,100 | 104 | 3 | 10 | 1 |
| Propoxur |
| Tóm tắt | 0,010 | 1,140 | 94 | 11 | 143 | 4 |
|
| GC | Có nước | 1,140 | 1,140 | 98 | 12 | 6 | 1 |
|
| LC | Có đường | 0,010 | 0,100 | 91 | 5 | 14 | 2 |
|
| LC | Mẫu khô (Ngũ cốc) | 0,020 | 0,200 | 97 | 4 | 14 | 2 |
|
| LC | Có nước | 0,010 | 0,100 | 95 | 10 | 83 | 3 |
|
| LC | Axit | 0,010 | 0,100 | 91 | 17 | 25 | 3 |
| Propyzamide |
| Tóm tắt | 0,010 | 1,000 | 102 | 13 | 170 | 5 |
|
| GC | Có nước | 0,010 | 1,000 | 101 | 13 | 75 | 4 |
|
| GC | Khô | 0,100 | 0,100 | 106 | 11 | 2 | 1 |
|
| GC | Có đường | 0,100 | 0,100 | 97 | 16 | 2 | 1 |
|
| GC | Axit | 0,010 | 0,100 | 93 | 9 | 10 | 1 |
|
| LC | Axit | 0,010 | 0,100 | 103 | 5 | 14 | 2 |
|
| LC | Có đường | 0,020 | 0,020 | 95 | 34 | 2 | 1 |
|
| LC | Có nước | 0,010 | 0,100 | 104 | 15 | 62 | 2 |
|
| LC | Mẫu khô (Ngũ cốc) | 0,020 | 0,020 | 107 | 6 | 2 | 1 |
| Prothiofos |
| Tóm tắt | 0,010 | 1,000 | 98 | 12 | 163 | 7 |
|
| GC | Khô | 0,100 | 0,100 | 91 | 6 | 2 | 1 |
|
| GC | Axit | 0,010 | 0,100 | 100 | 8 | 15 | 2 |
|
| GC | Có nước | 0,010 | 1,000 | 102 | 9 | 77 | 6 |
|
| LC | Có đường | 0,010 | 0,100 | 97 | 9 | 12 | 1 |
|
| LC | Axit | 0,010 | 0,100 | 99 | 11 | 12 | 1 |
|
| LC | Có nước | 0,010 | 0,100 | 88 | 14 | 33 | 2 |
|
| LC | Mẫu khô (Ngũ cốc) | 0,020 | 0,200 | 95 | 7 | 12 | 1 |
| Pyraclostrobin |
| Tóm tắt | 0,010 | 0,200 | 93 | 11 | 133 | 3 |
|
| LC | Có đường | 0,010 | 0,100 | 86 | 10 | 14 | 2 |
|
| LC | Có nước | 0,010 | 0,100 | 94 | 12 | 80 | 3 |
|
| LC | Axit | 0,010 | 0,100 | 93 | 7 | 24 | 3 |
|
| LC |
| 0,020 | 0,200 | 94 | 6 | 14 | 2 |
| Pyrazophos |
| Tóm tắt | 0,010 | 1,000 | 97 | 10 | 122 | 6 |
|
| GC | Có nước | 0,050 | 1,000 | 101 | 10 | 53 | 4 |
|
| LC | Có đường | 0,010 | 0,100 | 91 | 5 | 12 | 1 |
|
| LC | Có nước | 0,010 | 0,100 | 93 | 11 | 35 | 2 |
|
| LC | Axit | 0,010 | 0,100 | 105 | 3 | 10 | 1 |
|
| LC | Mẫu khô (Ngũ cốc) | 0,020 | 0,200 | 95 | 3 | 12 | 1 |
| Pyridaben |
| Tóm tắt | 0,010 | 1,000 | 102 | 10 | 93 | 6 |
|
| GC | Có nước | 0,050 | 1,000 | 102 | 10 | 66 | 5 |
|
| LC | Có nước | 0,010 | 0,100 | 97 | 11 | 16 | 1 |
|
| LC | Axit | 0,010 | 0,100 | 108 | 3 | 11 | 1 |
| Pyridaphenthion |
| Tóm tắt | 0,010 | 0,100 | 101 | 13 | 49 | 5 |
|
| GC | Axit | 0,100 | 0,100 | 119 | 18 | 2 | 1 |
|
| GC | Có nước | 0,052 | 0,100 | 96 | 12 | 26 | 4 |
|
| LC | Có nước | 0,010 | 0,025 | 100 | 8 | 11 | 1 |
|
| LC | Axit | 0,010 | 0,100 | 110 | 14 | 10 | 1 |
| Pyritenox |
| Tóm tắt | 0,010 | 0,501 | 93 | 10 | 102 | 5 |
|
| GC | Có nước | 0,100 | 0,501 | 93 | 15 | 21 | 3 |
|
| LC | Mẫu khô (Ngũ cốc) | 0,020 | 0,200 | 96 | 8 | 12 | 1 |
|
| LC | Có đường | 0,010 | 0,100 | 93 | 5 | 12 | 1 |
|
| LC | Axit | 0,010 | 0,100 | 95 | 8 | 22 | 2 |
|
| LC | Có nước | 0,010 | 0,100 | 91 | 8 | 35 | 2 |
| Pyrimethanil |
| Tóm tắt | 0,010 | 1,000 | 97 | 11 | 143 | 5 |
|
| GC | Axit | 0,100 | 0,100 | 99 | 3 | 5 | 1 |
|
| GC | Có nước | 0,050 | 1,000 | 98 | 6 | 52 | 3 |
|
| LC | Có nước | 0,010 | 0,025 | 96 | 15 | 68 | 2 |
|
| LC | Có đường | 0,020 | 0,020 | 86 | 9 | 2 | 1 |
|
| LC | Axit | 0,010 | 0,100 | 101 | 8 | 13 | 2 |
|
| LC | Mẫu khô (Ngũ cốc) | 0,020 | 0,020 | 93 | 23 | 2 | 1 |
| Pyriproxyfen |
| Tóm tắt | 0,010 | 1,000 | 96 | 10 | 129 | 5 |
|
| GC | Có đường | 0,025 | 0,025 | 102 |
| 1 | 1 |
|
| GC | Axit | 0,025 | 0,100 | 102 | 7 | 6 | 2 |
|
| GC | Có nước | 0,025 | 1,000 | 98 | 11 | 53 | 3 |
|
| LC | Có đường | 0,010 | 0,100 | 93 | 6 | 12 | 1 |
|
| LC | Axit | 0,010 | 0,100 | 104 | 2 | 10 | 1 |
|
| LC | Có nước | 0,010 | 0,100 | 91 | 9 | 35 | 2 |
|
| LC | Mẫu khô (Ngũ cốc) | 0,020 | 0,200 | 91 | 8 | 12 | 1 |
| Quinalphos |
| Tóm tắt | 0,010 | 0,200 | 98 | 11 | 87 | 6 |
|
| GC | Có đường | 0,050 | 0,050 | 95 |
| 1 | 1 |
|
| GC | Axit | 0,050 | 0,050 | 115 |
| 1 | 1 |
|
| GC | Có nước | 0,050 | 0,100 | 104 | 12 | 30 | 4 |
|
| LC | Có nước | 0,010 | 0,100 | 93 | 10 | 31 | 2 |
|
| LC | Mẫu khô (Ngũ cốc) | 0,020 | 0,200 | 97 | 4 | 12 | 1 |
|
| LC | Có đường | 0,010 | 0,100 | 96 | 9 | 12 | 1 |
| Quinoxyfen |
| Tóm tắt | 0,010 | 1,000 | 98 | 14 | 98 | 4 |
|
| GC | Có nước | 0,010 | 1,000 | 98 | 18 | 44 | 4 |
|
| GC | Khô | 0,100 | 0,100 | 91 | 7 | 2 | 1 |
|
| GC | Có đường | 1,000 | 1,000 | 115 |
| 1 | 1 |
|
| GC | Axit | 0,010 | 1,000 | 102 | 9 | 16 | 3 |
|
| LC | Axit | 0,010 | 0,100 | 102 | 5 | 11 | 1 |
|
| LC | Có nước | 0,010 | 0,100 | 95 | 13 | 24 | 1 |
| Quintozene |
| Tóm tắt | 0,010 | 0,100 | 100 | 14 | 71 | 5 |
|
| GC | Khô | 0,100 | 0,100 | 90 | 47 | 2 | 1 |
|
| GC | Có nước | 0,010 | 0,100 | 99 | 13 | 51 | 5 |
|
| GC | Axit | 0,010 | 0,100 | 103 | 12 | 17 | 3 |
|
| GC | Có đường | 0,050 | 0,050 | 98 |
| 1 | 1 |
| Simazine |
| Tóm tắt | 0,010 | 0,250 | 94 | 12 | 77 | 3 |
|
| GC | Axit | 0,250 | 0,250 | 101 |
| 1 | 1 |
|
| GC | Có đường | 0,250 | 0,250 | 99 |
| 1 | 1 |
|
| GC | Có nước | 0,100 | 0,250 | 102 | 13 | 15 | 2 |
|
| LC | Axit | 0,010 | 0,100 | 98 | 18 | 12 | 1 |
|
| LC | Có nước | 0,010 | 0,100 | 86 | 5 | 24 | 1 |
|
| LC | Có đường | 0,010 | 0,100 | 86 | 4 | 12 | 1 |
|
| LC | Mẫu khô (Ngũ cốc) | 0,020 | 0,200 | 100 | 5 | 12 | 1 |
| Spiroxamine |
| Tóm tắt | 0,010 | 2,500 | 90 | 16 | 221 | 5 |
|
| GC | Có nước | 0,050 | 1,000 | 96 | 8 | 39 | 2 |
|
| LC | Có nước | 0,010 | 0,100 | 90 | 17 | 92 | 3 |
|
| LC | Axit | 0,010 | 0,100 | 103 | 5 | 13 | 2 |
|
| LC | Khô | 0,010 | 2,500 | 74 | 4 | 24 | 1 |
|
| LC | Có đường | 0,010 | 0,100 | 95 | 11 | 14 | 2 |
|
| LC | Khác | 0,010 | 2,500 | 78 | 8 | 24 | 1 |
|
| LC | Mẫu khô (Ngũ cốc) | 0,020 | 0,200 | 106 | 12 | 14 | 2 |
| Sulfotep |
| Tóm tắt | 0,032 | 1,000 | 102 | 16 | 73 | 6 |
|
| GC | Axit | 0,050 | 0,100 | 100 | 10 | 7 | 3 |
|
| GC | Có đường | 0,050 | 0,050 | 107 | 18 | 2 | 2 |
|
| GC | Có nước | 0,032 | 1,000 | 103 | 16 | 64 | 6 |
| Tebuconazole |
| Tóm tắt | 0,010 | 1,000 | 99 | 11 | 127 | 5 |
|
| GC | Có nước | 0,050 | 1,000 | 99 | 11 | 46 | 3 |
|
| LC | Có đường | 0,020 | 0,020 | 93 | 4 | 2 | 1 |
|
| LC | Axit | 0,010 | 0,100 | 99 | 8 | 13 | 2 |
|
| LC | Có nước | 0,010 | 0,025 | 99 | 12 | 63 | 2 |
|
| LC | Mẫu khô (Ngũ cốc) | 0,020 | 0,020 | 94 | 7 | 2 | 1 |
| Tebufenpyrad |
| Tóm tắt | 0,010 | 0,100 | 95 | 13 | 74 | 5 |
|
| GC | Axit | 0,100 | 0,100 | 98 | 14 | 6 | 2 |
|
| GC | Có nước | 0,050 | 0,100 | 92 | 14 | 37 | 4 |
|
| GC | Có đường | 0,100 | 0,100 | 100 |
| 1 | 1 |
|
| LC | Axit | 0,010 | 0,100 | 102 | 6 | 10 | 1 |
|
| LC | Có nước | 0,010 | 0,025 | 95 | 11 | 20 | 1 |
| Tecnazene |
| Tóm tắt | 0,032 | 1,000 | 97 | 14 | 57 | 4 |
|
| GC | Có nước | 0,032 | 1,000 | 96 | 15 | 52 | 4 |
|
| GC | Axit | 0,100 | 0,100 | 105 | 3 | 5 | 1 |
| Teflubenzuron |
| Tóm tắt | 0,010 | 0,200 | 100 | 26 | 147 | 3 |
|
| LC | Axit | 0,010 | 0,100 | 91 | 14 | 28 | 3 |
|
| LC | Có nước | 0,010 | 0,100 | 104 | 30 | 96 | 3 |
|
| LC | Mẫu khô (Ngũ cốc) | 0,020 | 0,200 | 89 | 18 | 14 | 2 |
|
| LC | Có đường | 0,020 | 0,100 | 93 | 3 | 8 | 2 |
| Terbacil |
| Tóm tắt | 0,010 | 1,000 | 87 | 15 | 96 | 3 |
|
| GC | Có nước | 0,050 | 1,000 | 98 | 10 | 37 | 2 |
|
| GC | Axit | 0,100 | 0,100 | 96 | 6 | 5 | 1 |
|
| LC | Có đường | 0,100 | 0,100 | 89 | 2 | 6 | 1 |
|
| LC | Mẫu khô (Ngũ cốc) | 0,020 | 0,200 | 88 | 4 | 12 | 1 |
|
| LC | Axit | 0,010 | 0,100 | 69 | 9 | 12 | 1 |
|
| LC | Có nước | 0,010 | 0,100 | 77 | 13 | 24 | 1 |
| Terbufos |
| Tóm tắt | 0,050 | 1,000 | 100 | 14 | 67 | 5 |
|
| GC | Có nước | 0,050 | 1,000 | 99 | 14 | 58 | 5 |
|
| GC | Có đường | 0,050 | 0,050 | 94 |
| 1 | 1 |
|
| GC | Axit | 0,050 | 0,500 | 106 | 7 | 8 | 3 |
| Terbuthylazine |
| Tóm tắt | 0,010 | 0,200 | 93 | 14 | 153 | 4 |
|
| GC | Axit | 0,050 | 0,050 | 62 |
| 1 | 1 |
|
| GC | Có đường | 0,050 | 0,050 | 85 |
| 1 | 1 |
|
| GC | Có nước | 0,050 | 0,100 | 69 | 20 | 15 | 2 |
|
| LC | Mẫu khô (Ngũ cốc) | 0,020 | 0,200 | 96 | 5 | 14 | 2 |
|
| LC | Có đường | 0,010 | 0,100 | 92 | 9 | 14 | 2 |
|
| LC | Có nước | 0,010 | 0,100 | 95 | 11 | 83 | 3 |
|
| LC | Axit | 0,010 | 0,100 | 103 | 10 | 25 | 3 |
| Terbutryn |
| Tóm tắt | 0,010 | 1,000 | 96 | 9 | 135 | 3 |
|
| GC | Có nước | 0,050 | 1,000 | 98 | 9 | 32 | 1 |
|
| LC | Axit | 0,020 | 0,020 | 99 | 18 | 3 | 1 |
|
| LC | Có nước | 0,010 | 0,100 | 96 | 9 | 71 | 2 |
|
| LC | Mẫu khô (Ngũ cốc) | 0,020 | 0,200 | 97 | 6 | 14 | 2 |
|
| LC | Có đường | 0,010 | 0,100 | 93 | 3 | 14 | 2 |
| Tetrachlorvinphos |
| Tóm tắt | 0,050 | 1,000 | 99 | 18 | 46 | 3 |
|
| GC | Có nước | 0,050 | 1,000 | 99 | 18 | 46 | 3 |
| Tetraconazole |
| Tóm tắt | 0,010 | 1,000 | 98 | 12 | 200 | 6 |
|
| GC | Có nước | 0,010 | 1,000 | 101 | 9 | 57 | 4 |
|
| GC | Khô | 0,100 | 0,100 | 86 |
| 1 | 1 |
|
| GC | Axit | 0,010 | 0,100 | 102 | 9 | 10 | 1 |
|
| LC | Có nước | 0,010 | 0,100 | 96 | 14 | 92 | 3 |
|
| LC | Có đường | 0,010 | 0,100 | 91 | 11 | 14 | 2 |
|
| LC | Axit | 0,010 | 0,100 | 105 | 4 | 12 | 2 |
|
| LC | Mẫu khô (Ngũ cốc) | 0,020 | 0,200 | 95 | 5 | 14 | 2 |
| Tetradifon |
| Tóm tắt | 0,010 | 1,000 | 100 | 14 | 106 | 6 |
|
| GC | Có đường | 0,100 | 0,100 | 110 | 3 | 2 | 1 |
|
| GC | Axit | 0,010 | 0,250 | 94 | 12 | 16 | 3 |
|
| GC | Khô | 0,100 | 0,100 | 96 |
| 1 | 1 |
|
| GC | Có nước | 0,010 | 1,000 | 101 | 14 | 87 | 6 |
| Tetramethrin |
| Tóm tắt | 0,010 | 1,000 | 102 | 14 | 75 | 4 |
|
| GC | Có nước | 0,010 | 1,000 | 103 | 14 | 63 | 4 |
|
| GC | Axit | 0,100 | 0,100 | 94 | 5 | 10 | 2 |
|
| GC | Khô | 0,100 | 0,100 | 100 | 16 | 2 | 1 |
| Thiabendazole |
| Tóm tắt | 0,010 | 2,500 | 83 | 24 | 125 | 3 |
|
| LC | Mẫu khô (Ngũ cốc) | 0,020 | 0,020 | 110 | 1 | 2 | 1 |
|
| LC | Khô | 0,010 | 2,500 | 53 | 5 | 24 | 1 |
|
| LC | Axit | 0,010 | 0,100 | 97 | 14 | 12 | 2 |
|
| LC | Khác | 0,010 | 2,500 | 60 | 5 | 24 | 1 |
|
| LC | Có đường | 0,020 | 0,020 | 97 | 21 | 2 | 1 |
|
| LC | Có nước | 0,010 | 0,025 | 101 | 12 | 60 | 2 |
| Thiacloprid |
| Tóm tắt | 0,010 | 0,050 | 100 | 14 | 73 | 3 |
|
| LC | Mẫu khô (Ngũ cốc) | 0,020 | 0,020 | 89 | 14 | 2 | 1 |
|
| LC | Axit | 0,010 | 0,020 | 102 | 13 | 8 | 2 |
|
| LC | Có đường | 0,020 | 0,020 | 79 | 12 | 2 | 1 |
|
| LC | Có nước | 0,010 | 0,050 | 100 | 14 | 60 | 3 |
| Thiamethoxam |
| Tóm tắt | 0,010 | 0,050 | 96 | 19 | 69 | 3 |
|
| LC | Mẫu khô (Ngũ cốc) | 0,020 | 0,020 | 96 | 10 | 2 | 1 |
|
| LC | Có đường | 0,020 | 0,020 | 67 | 16 | 2 | 1 |
|
| LC | Có nước | 0,010 | 0,050 | 97 | 20 | 56 | 3 |
|
| LC | Axit | 0,010 | 0,020 | 96 | 9 | 8 | 2 |
| Thiodicarb |
| Tóm tắt | 0,010 | 2,500 | 86 | 14 | 126 | 3 |
|
| LC | Có nước | 0,010 | 0,100 | 91 | 15 | 59 | 2 |
|
| LC | Khô | 0,010 | 2,500 | 77 | 6 | 24 | 1 |
|
| LC | Axit | 0,010 | 0,100 | 91 | 15 | 15 | 2 |
|
| LC | Khác | 0,010 | 2,500 | 77 | 6 | 24 | 1 |
|
| LC | Mẫu khô (Ngũ cốc) | 0,020 | 0,020 | 94 | 2 | 2 | 1 |
|
| LC | Có đường | 0,020 | 0,020 | 81 | 16 | 2 | 1 |
| Thiometon |
| Tóm tắt | 0,050 | 0,100 | 99 | 20 | 28 | 3 |
|
| GC | Có đường | 0,050 | 0,050 | 105 |
| 1 | 1 |
|
| GC | Axit | 0,050 | 0,100 | 100 | 11 | 7 | 3 |
|
| GC | Có nước | 0,050 | 0,100 | 98 | 23 | 20 | 3 |
| Tolclofos-MethyI |
| Tóm tắt | 0,010 | 1,000 | 99 | 13 | 175 | 7 |
|
| GC | Khô | 0,100 | 0,100 | 108 | 11 | 2 | 1 |
|
| GC | Có nước | 0,010 | 1,000 | 103 | 11 | 94 | 6 |
|
| GC | Có đường | 0,100 | 0,200 | 112 | 31 | 3 | 2 |
|
| GC | Axit | 0,010 | 0,100 | 98 | 9 | 15 | 2 |
|
| LC | Mẫu khô (Ngũ cốc) | 0,020 | 0,200 | 100 | 6 | 12 | 1 |
|
| LC | Axit | 0,010 | 0,100 | 83 | 14 | 12 | 1 |
|
| LC | Có nước | 0,010 | 0,100 | 89 | 11 | 24 | 1 |
|
| LC | Có đường | 0,010 | 0,100 | 96 | 7 | 12 | 1 |
| Tolylfluanid |
| Tóm tắt | 0,010 | 1,000 | 90 | 27 | 78 | 4 |
|
| GC | Có nước | 0,010 | 1,000 | 90 | 22 | 70 | 4 |
|
| GC | Axit | 0,100 | 0,100 | 58 | 8 | 5 | 1 |
|
| GC | Khô | 0,100 | 0,100 | 102 |
| 1 | 1 |
|
| LC | Có nước | 0,025 | 0,050 | 75 | 13 | 2 | 1 |
| Triadimefon |
| Tóm tắt | 0,010 | 1,000 | 97 | 11 | 168 | 6 |
|
| GC | Có nước | 0,010 | 1,000 | 99 | 11 | 84 | 5 |
|
| GC | Khô | 0,100 | 0,100 | 108 | 11 | 2 | 1 |
|
| GC | Axit | 0,100 | 0,500 | 91 | 17 | 7 | 2 |
|
| GC | Có đường | 0,100 | 0,100 | 94 | 16 | 2 | 1 |
|
| LC | Axit | 0,010 | 0,100 | 107 | 3 | 11 | 1 |
|
| LC | Có đường | 0,010 | 0,100 | 92 | 4 | 12 | 1 |
|
| LC | Mẫu khô (Ngũ cốc) | 0,020 | 0,200 | 97 | 6 | 12 | 1 |
|
| LC | Có nước | 0,010 | 0,100 | 94 | 8 | 38 | 2 |
| Triadimenol |
| Tóm tắt | 0,010 | 1,000 | 96 | 11 | 145 | 7 |
|
| GC | Axit | 0,010 | 0,100 | 99 | 16 | 17 | 3 |
|
| GC | Có nước | 0,010 | 1,000 | 97 | 13 | 78 | 6 |
|
| GC | Có đường | 0,050 | 0,050 | 108 |
| 1 | 1 |
|
| GC | Khô | 0,100 | 0,100 | 84 |
| 1 | 1 |
|
| LC | Mẫu khô (Ngũ cốc) | 0,020 | 0,200 | 102 | 4 | 12 | 1 |
|
| LC | Có nước | 0,010 | 0,100 | 92 | 5 | 24 | 1 |
|
| LC | Có đường | 0,010 | 0,100 | 93 | 3 | 12 | 1 |
| Tri-Allate |
| Tóm tắt | 0,010 | 1,000 | 91 | 17 | 98 | 3 |
|
| GC | Có nước | 0,043 | 1,000 | 100 | 7 | 38 | 2 |
|
| LC | Có đường | 0,010 | 0,100 | 91 | 5 | 12 | 1 |
|
| LC | Axit | 0,010 | 0,100 | 60 | 33 | 12 | 1 |
|
| LC | Có nước | 0,010 | 0,100 | 92 | 5 | 24 | 1 |
|
| LC | Mẫu khô (Ngũ cốc) | 0,020 | 0,200 | 91 | 5 | 12 | 1 |
| Triazophos |
| Tóm tắt | 0,010 | 1,000 | 97 | 12 | 129 | 5 |
|
| GC | Có đường | 0,050 | 0,050 | 99 |
| 1 | 1 |
|
| GC | Axit | 0,050 | 0,050 | 140 |
| 1 | 1 |
|
| GC | Có nước | 0,050 | 1,000 | 99 | 12 | 46 | 3 |
|
| LC | Mẫu khô (Ngũ cốc) | 0,020 | 0,200 | 98 | 8 | 12 | 1 |
|
| LC | Axit | 0,010 | 0,100 | 102 | 15 | 22 | 2 |
|
| LC | Có nước | 0,010 | 0,100 | 92 | 8 | 35 | 2 |
|
| LC | Có đường | 0,010 | 0,100 | 91 | 7 | 12 | 1 |
| Trifloxystrobin |
| Tóm tắt | 0,010 | 1,000 | 96 | 13 | 193 | 7 |
|
| GC | Axit | 0,010 | 0,100 | 95 | 8 | 15 | 2 |
|
| GC | Có nước | 0,010 | 1,000 | 96 | 12 | 86 | 6 |
|
| GC | Khô | 0,100 | 0,100 | 100 |
| 1 | 1 |
|
| GC | Có đường | 0,100 | 0,100 | 110 |
| 1 | 1 |
|
| LC | Có nước | 0,010 | 0,100 | 100 | 16 | 44 | 2 |
|
| LC | Mẫu khô (Ngũ cốc) | 0,020 | 0,200 | 88 | 6 | 12 | 1 |
|
| LC | Có đường | 0,010 | 0,100 | 84 | 4 | 12 | 1 |
|
| LC | Axit | 0,010 | 0,100 | 95 | 14 | 22 | 2 |
| Triflumizole |
| Tóm tắt | 0,010 | 1,000 | 93 | 12 | 124 | 5 |
|
| GC | Có nước | 0,050 | 1,000 | 95 | 11 | 39 | 2 |
|
| GC | Có đường | 0,250 | 0,250 | 108 |
| 1 | 1 |
|
| GC | Axit | 0,250 | 0,250 | 107 |
| 1 | 1 |
|
| LC | Có nước | 0,010 | 0,100 | 90 | 15 | 47 | 3 |
|
| LC | Có đường | 0,010 | 0,100 | 92 | 2 | 12 | 1 |
|
| LC | Axit | 0,010 | 0,100 | 97 | 5 | 12 | 1 |
|
| LC | Mẫu khô (Ngũ cốc) | 0,020 | 0,200 | 97 | 3 | 12 | 1 |
| Triflumuron |
| Tóm tắt | 0,010 | 0,200 | 96 | 14 | 154 | 3 |
|
| LC | Có nước | 0,010 | 0,100 | 98 | 14 | 81 | 3 |
|
| LC | Khác | 0,010 | 0,100 | 77 | 9 | 12 | 1 |
|
| LC | Mẫu khô (Ngũ cốc) | 0,020 | 0,200 | 93 | 10 | 14 | 2 |
|
| LC | Có đường | 0,020 | 0,100 | 105 | 4 | 8 | 2 |
|
| LC | Khô | 0,010 | 0,100 | 85 | 9 | 12 | 1 |
|
| LC | Axit | 0,010 | 0,100 | 101 | 10 | 26 | 3 |
| Trifluralin |
| Tóm tắt | 0,010 | 1,000 | 99 | 17 | 145 | 7 |
|
| GC | Có nước | 0,010 | 1,000 | 103 | 13 | 88 | 6 |
|
| GC | Khô | 0,100 | 0,100 | 127 | 41 | 2 | 1 |
|
| GC | Có đường | 0,100 | 0,200 | 105 | 31 | 3 | 2 |
|
| GC | Axit | 0,010 | 0,200 | 103 | 11 | 16 | 3 |
|
| LC | Axit | 0,100 | 0,100 | 69 | 14 | 3 | 1 |
|
| LC | Có nước | 0,010 | 0,100 | 75 | 11 | 15 | 1 |
|
| LC | Mẫu khô (Ngũ cốc) | 0,020 | 0,200 | 98 | 16 | 12 | 1 |
|
| LC | Có đường | 0,100 | 0,100 | 95 | 18 | 6 | 1 |
| Triforine |
| Tóm tắt | 0,010 | 0,100 | 97 | 23 | 75 | 3 |
|
| LC | Axit | 0,010 | 0,100 | 114 | 25 | 13 | 2 |
|
| LC | Có đường | 0,020 | 0,020 | 107 | 11 | 2 | 1 |
|
| LC | Mẫu khô (Ngũ cốc) | 0,020 | 0,020 | 127 | 9 | 2 | 1 |
|
| LC | Có nước | 0,010 | 0,050 | 91 | 19 | 57 | 3 |
| Vinclozolin |
| Tóm tắt | 0,010 | 1,000 | 100 | 18 | 133 | 6 |
|
| GC | Axit | 0,010 | 0,100 | 89 | 9 | 15 | 2 |
|
| GC | Khô | 0,100 | 0,100 | 108 | 13 | 2 | 1 |
|
| GC | Có nước | 0,010 | 1,000 | 101 | 18 | 113 | 6 |
|
| GC | Có đường | 0,100 | 0,100 | 116 | 35 | 3 | 1 |
| a X = hiệu suất thu hồi, V = độ lệch chuẩn tương đối, n = số kết quả | ||||||||
Phụ lục C
(tham khảo)
Sơ đồ quy trình (cho 10 g mẫu)

Phụ lục D
(tham khảo)
Thông tin bổ sung
D.1 Tổng quát
Phương pháp này (QuEChERS) được xuất bản lần đầu tiên bởi M. Anastassiades và các cộng sự [4] vào năm 2003 và sau đó được sửa đổi thành quy trình tự hiện tại để mở rộng phổ của chất phân tích và nền mẫu.
D.2 Phạm vi
Phương pháp này đề cập đến chiết xuất 10 g mẫu (trừ các vật liệu có hàm lượng nước < 30 % (xem Bảng 1 và Bảng 3) và 6 ml dịch chiết để làm sạch. Các bước chiết và làm sạch có thể mở rộng theo mong muốn, miễn là lượng thuốc thử được sử dụng vẫn ở cùng một tỷ lệ. Tuy nhiên, số lượng mẫu nhỏ hơn được sử dụng thì sự thay đổi mẫu phụ càng cao. Trong quá trình thẩm định, mỗi phòng thí nghiệm cần phải nghiên cứu sự thay đổi mẫu phụ điển hình đã đạt được khi sử dụng các thiết bị có sẵn, sử dụng các mẫu đại diện có dư lượng.
D.3 Điều chỉnh pH
Bằng cách thêm các muối đệm citrat (3.12) trong 5.3, hầu hết các mẫu đều có giá trị pH giữa 5 và 5,5. Khoảng pH này thích hợp cho cả việc chiết định lượng các chất diệt cỏ có tính axit và bảo vệ chất không bền trong môi trường kiềm (ví dụ như captan, folpet, tolylfluanid) và các hợp chất không bền trong môi trường acid (ví dụ pymetrozine, dioxacarb).
Sau khi thêm PSA (5.4) pH của dịch chiết tăng, có giá trị vượt quá 8. Điều này có thể ảnh hưởng đến sự ổn định của các thuốc BVTV nhạy với bazơ (ví dụ như captan, folpet, dichlofluanid, tolylfluanid, pyridat, methiocarb sulfon, chlorothalonil). Nếu dịch chiết được axit hóa nhanh đến pH 5, sự phân hủy của các hợp chất như vậy được giảm đáng kể để có thể bảo quản trong vài ngày, ở pH này, các thuốc BVTV nhạy với axit (ví dụ pymetrozine, dioxacarb, thiodicarb) cũng ổn định trong vài ngày. Chỉ có một số thuốc diệt cỏ sulfonyl urea rất nhạy, carbosulfan và benfuracarb đã được chứng minh là không được bảo vệ đầy đủ ở pH 5. Tuy nhiên, các hợp chất này đã được chứng minh là ổn định ở pH của dịch chiết không axit (sau khi phân tán SPE) trong vài ngày. Nếu dịch chiết không axit, các hợp chất này có thể được định lượng. Nếu việc xác định có thể được thực hiện nhanh chóng, dịch chiết ở pH 5 cũng có thể được sử dụng. Tuy nhiên, cần lưu ý rằng sulfonylurea có tính axit có thể bị mất trong quá trình làm sạch bằng PSA. Những hợp chất này có thể được phân tích cùng với axit thuốc BVTV trực tiếp từ dịch chiết thô (5.3 và A.4). Carbosulfan và benfuracarb (cả hai đều có các MRL riêng) bị phân hủy thành carbofuran trong các mẫu cũng như trong dịch chiết ở pH 5. Do đó, chỉ đơn thuần là nếu carbofuran có mặt trong dịch chiết axit hóa, cần phải bổ sung lượng kiềm.
D.4 Các nghiên cứu hiệu suất thu hồi
Đối với các nghiên cứu hiệu suất thu hồi ví dụ: 10 g mẫu được thêm 100 µl dung dịch thuốc BVTV trong axetonitril hoặc axeton. Lắc nhanh bằng máy trộn Vortex (4.13) có thể giúp phân tán dung môi và thuốc BVTV tốt trong mẫu. Phải tránh sử dụng thể tích dung dịch chuẩn lớn hơn (ví dụ: > 200 µl). Nếu không có thể, phần thể tích này được bù bằng mẫu trắng dùng để chuẩn bị dung dịch chuẩn trong nền mẫu, để tránh sự khác biệt về nồng độ của nền trong dịch chiết sau cùng.
D.5 Làm sạch bằng GCB (5.4.3)
Cần phải tính đến, một số thuốc BVTV và ISTD có ái lực mạnh với cấu trúc phẳng của GCB. Nhưng các nghiên cứu hiệu suất thu hồi cho thấy không có sự mất mát đáng kể nào xảy ra nếu dịch chiết, sau khi phân tán SPE với GCB, vẫn duy trì một lượng chlorophyl hoặc carotinold. Anthracene (hoặc d10- Anthracen) có thể được sử dụng như chuẩn QC (xem Bảng 1). Nếu lượng anthracen thu hồi trên 70 %, điều này cũng đúng đối với những thuốc BVTV cấu trúc phẳng có ái lực cao nhất đối với carbon.
D.6 Nồng độ của dịch chiết cuối cùng và thay đổi dung môi
Nếu không tiêm thể tích lớn (3 µl trở lên) và giới hạn phát hiện mong muốn của các hợp chất phản tích không thể đạt được, cần phải quan tâm đến nồng độ của các dịch chiết cuối cùng và thay đổi dung môi nếu cần thiết. Nếu sử dụng GC/MSD, dịch chiết làm giàu 4 lần là đủ. Để đạt được điều này, ví dụ 4 ml chiết axit (pH 5) được chuyển vào một ống nghiệm và giảm xuống còn khoảng 1 ml ở 40 °C sử dụng dòng nitơ nhẹ. cần thay đổi dung môi nếu hiệu năng của GC khi sử dụng acetonitril không đạt yêu cầu hoặc nếu NPD được sử dụng (không có PTV-injector). Thực hiện bằng cách, hóa hơi dịch chiết đến gần khô ở 40 °C sử dụng dòng khí nitơ nhẹ và hòa tan trong 1 ml dung môi thích hợp (một vài giọt dodecan có thể giúp giảm mất những hợp chất dễ bay hơi). Dịch chiết mẫu trắng (cần thiết cho việc chuẩn bị các dung dịch đường chuẩn) cần được xử lý cùng một cách.
D.7 Đường chuẩn và tính toán thay thế
Các biến số được sử dụng:
| - Khối lượng thuốc BVTV trong hỗn hợp đường chuẩn |
| µg |
| - Khối lượng ISTD trong hỗn hợp đường chuẩn |
| µg |
| - Khối lượng ISTD thêm vào phần mẫu thử |
| µg |
| - Khối lượng thuốc BVTV trong dịch chiết cuối cùng |
| µg |
| - Nồng độ của thuốc BVTV trong hỗn hợp đường chuẩn |
| µg/ml |
| - Nồng độ của ISTD trong dung dịch ISTD thêm vào phần mẫu thử |
| µg/ml |
| - Nồng độ của ISTD trong dung dịch ISTD pha loãng dùng cho hỗn hợp đường chuẩn |
| µg/ml |
| - Thể tích của dung dịch thuốc BVTV dùng chuẩn bị dung dịch đường chuẩn |
| ml |
| - Thể tích của ISTD dùng chuẩn bị dung dịch đường chuẩn |
| ml |
| - Thể tích của ISTD thêm vào phần mẫu thử |
| ml |
| - Khối lượng của phần mẫu thử |
| g |
| - Tỉ phần khối lượng của thuốc BVTV trong mẫu |
| mg/kg |
| - Diện tích pic của thuốc BVTV thu được từ hỗn hợp đường chuẩn |
|
|
| - Diện tích pic của ISTD thu được từ hỗn hợp đường chuẩn |
|
|
| - Diện tích pic của thuốc BVTV thu được từ dịch chiết cuối cùng |
|
|
| - Diện tích pic của ISTD thu được từ dịch chiết cuối cùng |
|
|
| - Tỷ lệ pic thu được từ hỗn hợp đường chuẩn |
|
|
| - Tỉ lệ pic thu được từ dịch chiết cuối cùng |
|
|
| - Độ dốc của đường chuẩn |
|
|
| - Độ dốc của đường chuẩn dùng tiếp cận đơn giản |
| 1/µg |
| - Độ chệch của đường chuẩn |
|
|
Sự thay đổi này và cách tiếp cận đơn giản của đường chuẩn và tính toán đòi hỏi phải duy trl một tỷ lệ không đổi của khối lượng ISTD trong mẫu và các dung dịch chuẩn
, xem Bảng 2 trong 3.22. Dưới đây,
phải tương ứng với toàn bộ khối lượng của phần mẫu thừ (ma) và
cho toàn bộ khối lượng thuốc BVTV trong dung dịch chuẩn (hỗn hợp chuẩn)
. Cách tiếp cận này dựa vào việc xác định khối lượng của thuốc BVTV trong toàn bộ dịch chiết mẫu và do đó trong phần thử nghiệm. Tỷ lệ khối lượng ISTD nói trên được xem xét trong tính toán như là một yếu tố hiệu chỉnh. Nồng độ tuyệt đối của dung dịch ISTD được sử dụng là không có ý nghĩa và không xuất hiện trong công thức.
Đường chuẩn:
Xác định phương trình đường chuẩn cho mỗi hoạt chất bằng cách vẽ tỷ lệ pic PRcal mix
ở mỗi điểm chuẩn theo khối lượng của hoạt chất trong dung dịch chuẩn ![]()
Khoảng đáp ứng của đường chuẩn là:
|
| (D.1) |
Phần khối lượng của thuốc BVTV WR trong mẫu được tính bằng tỷ lệ pic của thuốc BVTV và nội chuẩn
thu được từ dịch chiết sau cùng:
|
| (D.2) |
Cách tiếp cận này được rút ra từ đường chuẩn tiếp theo sử dụng tỷ lệ pic và tỷ lệ khối lượng:
Xác định phương trình đường chuẩn cho mỗi hoạt chất bằng cách bằng cách vẽ tỷ lệ pic ![]()
của mỗi điểm chuẩn theo tỷ lệ khối lượng
của dung dịch chuẩn.
Từ khoảng đáp ứng của đường chuẩn:
|
| (D.3) |
Mỗi tỷ lệ khối lượng
được tích như sau:
|
| (D.4) |
Độ dốc được tính như sau:
|
| (D.5) |
Tỷ lệ khối lượng
trong dịch chiết cuối cùng phụ thuộc vào phần khối lượng của thuốc BVTV WR trong phần mẫu thử ma và khối lượng của ISTD
được thêm vào phần mẫu thử.
|
| (D.6) |
Khi tỷ lệ
thu được từ dịch chiết cuối cùng giống với tỷ lệ pic PRcal mix thu được từ hỗn hợp chuẩn, tỷ lệ khối lượng
giống nhau. Từ phương trình (D.4) và (D.6):
|
| (D.7) |
Và phần khối lượng WR được tính như sau:
|
| (D.8) |
Hoặc được xem xét theo phương trình (D.3);
|
| (D.9) |
Và do đó:
|
| (D.10) |
Do đó, phần khối lượng WR là hàm số của tỷ lệ pic, khối lượng của thuốc BVTV trong hỗn hợp đường chuẩn, khối lượng của phần mẫu thử và tỷ lệ khối lượng của ISTD trong dịch chiết cuối cùng và hỗn hợp đường chuẩn.
Phương trình (D.10) có thể được đơn giản hóa thành phương trình (D.2) bằng phương trình (D.1) cho đường chuẩn của cách tiếp cận đơn giản
Thư mục tài liệu tham khảo
[1] DG-SANCO, Method Validation and Quality Control Procedures for Pesticide Residues Analysis In Food and Feed, Document N° SANCO/2007/3131, 31 October 2007
[2] Arbeitsgruppe „Pestizide“: 5. Empfehlung: Kriterien zur Vorbereitung und Reduzierung von Proben pflanzlicher Lebensmittel für die Rückstandsanalyse von Pflanzenschutz- und Schädlingsbekämpfungsmitteln, Lebensmittelchemie 49, 40-42 (1995)
[3] L. Alder, K. Greulich, G. Kempe and B. Vieth (2006), 'Residue Analysis of 500 High Priority Pesticides - better by GC-MS or LC-MS/MS', Mass Spectrometry Reviews, vol. 25 n° 6, pp., 838-865
[4] M. Anastassiades, S. J. Lehotay, D. Stajnbaherand F. J, Schenck (2003), 'Fast and Easy Multiresidue Method Employing Acetonitrile Extraction/Partitioning and “Dispersive Solid-Phase Extraction" for the Determination of Pesticide Residues in Produce', Journal of AOAC International, vol. 86, n° 2, pp. 412- 431
[5] CEN/TR 15641 Food analysis - Determination of pesticide residues by LC-MS/MS - Tandem mass spectrometric parameters
[6] ISO 5725 (all parts), Accuracy (trueness and precision) of measurement methods and results
[7] Data Pool of the Community Reference Laboratories for Residues of Pesticides, online resources: http://www.crl-pesticides-datapool.eu
Bạn chưa Đăng nhập thành viên.
Đây là tiện ích dành cho tài khoản thành viên. Vui lòng Đăng nhập để xem chi tiết. Nếu chưa có tài khoản, vui lòng Đăng ký tại đây!




