- Tổng quan
- Nội dung
- Tiêu chuẩn liên quan
- Lược đồ
- Tải về
Tiêu chuẩn quốc gia TCVN 14165:2024 Thiết bị khai thác thủy sản - Lưới mành
| Số hiệu: | TCVN 14165:2024 | Loại văn bản: | Tiêu chuẩn Việt Nam |
| Cơ quan ban hành: | Bộ Khoa học và Công nghệ | Lĩnh vực: | Nông nghiệp-Lâm nghiệp |
| Trích yếu: | Thiết bị khai thác thủy sản - Lưới mành - Thông số kích thước cơ bản | ||
|
Ngày ban hành:
Ngày ban hành là ngày, tháng, năm văn bản được thông qua hoặc ký ban hành.
|
13/11/2024 |
Hiệu lực:
|
Đã biết
|
| Người ký: | Đang cập nhật |
Tình trạng hiệu lực:
Cho biết trạng thái hiệu lực của văn bản đang tra cứu: Chưa áp dụng, Còn hiệu lực, Hết hiệu lực, Hết hiệu lực 1 phần; Đã sửa đổi, Đính chính hay Không còn phù hợp,...
|
Đã biết
|
TÓM TẮT TIÊU CHUẨN VIỆT NAM TCVN 14165:2024
Nội dung tóm tắt đang được cập nhật, Quý khách vui lòng quay lại sau!
Tải tiêu chuẩn Việt Nam TCVN 14165:2024
TIÊU CHUẨN QUỐC GIA
TCVN 14165:2024
THIẾT BỊ KHAI THÁC THỦY SẢN - LƯỚI MÀNH - THÔNG SỐ KÍCH THƯỚC CƠ BẢN
Fishing gears - Lift net - Basic demensional parameters
Lời nói đầu
TCVN 14165:2024 do Viện nghiên cứu Hải sản biên soạn, Bộ Nông nghiệp và Phát triển nông thôn đề nghị, Tổng cục Tiêu chuẩn Đo lường Chất lượng thẩm định, Bộ Khoa học và Công nghệ công bố.
THIẾT BỊ KHAI THÁC THỦY SẢN - LƯỚI MÀNH - THÔNG SỐ KÍCH THƯỚC CƠ BẢN
Fishing gears - Lift net - Basic demensional parameters
1 Phạm vi áp dụng
Tiêu chuẩn này quy định thông số kích thước cơ bản của lưới mành khai thác các đối tượng cá nổi nhỏ.
2 Tài liệu viện dẫn
Các tài liệu viện dẫn sau rất cần thiết cho việc áp dụng tiêu chuẩn này. Đối với các tài liệu viện dẫn ghi năm công bố thì áp dụng phiên bản được nêu. Đối với các tài liệu viện dẫn không ghi năm công bố thì áp dụng phiên bản mới nhất, bao gồm các bản sửa đổi, bổ sung (nếu có).
TCVN 8393:2021, Vật liệu ngư cụ khai thác thủy sản - Yêu cầu kỹ thuật.
3 Thuật ngữ, định nghĩa và ký hiệu viết tắt
3.1 Thuật ngữ và định nghĩa
Trong tiêu chuẩn này sử dụng các thuật ngữ, định nghĩa và ký hiệu viết tắt như sau:
3.1.1
Lưới mành (Lift net)
Loại ngư cụ có cấu tạo dạng hình thang và có phần túi lưới được sử dụng để khai thác các đối tượng cá nổi nhỏ, gồm: cá trích, cá nục, cá bạc má, cá ngân, cá chỉ vàng, mực ống.... ở các vùng biển.
CHÚ THÍCH: Trong quá trình hoạt động, miệng lưới được đặt chìm ở độ sâu nhất định, sử dụng nguồn sáng hoặc chà rạo tập trung đàn cá vào vùng tác dụng của lưới, khi cá tập trung đủ lớn, nhấc giềng miệng lên khỏi mặt nước bằng tay hoặc bằng máy tời và bắt cá.
3.1.2
Áo lưới (Main net)
Phần lưới dùng để bao vây đàn cá; được đan hoặc lắp ráp từ những tấm lưới dệt sẵn gồm các phần đụt lưới, thân lưới và chao lưới.
3.1.3
Thân lưới (Body of lift net)
Phần lưới tiếp giáp giữa đụt lưới và chao lưới. Thân lưới được chia thành nhiều đoạn khác nhau, mỗi đoạn thân có số lượng mắt lưới, kích thước mắt lưới và đường kính chỉ lưới khác nhau.
3.1.4
Đụt lưới (Codend of lift net)
Phần lưới chứa sản phẩm trong quá trình khai thác của lưới mành.
3.1.5
Chao lưới (Selvage of lift net)
Dải lưới hẹp lắp dọc theo giềng giữa và giềng miệng có tác dụng làm tăng độ bền cho lưới trong quá trình hoạt động.
3.1.6
Chà (Fish aggregating devices)
Thiết bị được làm từ tre, lá dừa, lưới cũ, dây giềng, đá ... thả xuống nước tạo nơi ẩn nấp hoặc sinh sống các loài thủy sản, tạo ra điểm tập trung có mật độ đàn cá lớn để khai thác.
3.1.7
Giềng giữa (Center rope of lift net)
Bộ phận khung mềm phần trên miệng lưới mành, được trang bị hệ thống phao để luôn nổi trên mặt nước.
CHÚ THÍCH: Giềng giữa (giềng phao) duy trì lực nổi cho toàn bộ nửa trên của lưới mành trong quá trình hoạt động và để gắn lưới với phao. Giềng giữa sử dụng 2 dây: Giềng băng và giềng luồn.
3.1.8
Giềng miệng (Opening line of lift net)
Hệ thống dây được lắp ráp ở miệng lưới nhằm định hình lưới.
CHÚ THÍCH: Giềng miệng (giềng chì) được gắn các vòng khuyên cùng với giềng rút. Giềng miệng sẽ được nhấc lên và rút gọn lại để bắt cá khi cá đã ở trong vùng hoạt động của lưới mành.
3.1.9
Giềng rút (Main line of lift net)
Dây luồn qua tất cả các vòng khuyên chính lắp ở giềng miệng lưới và được nối liền với tàu.
CHÚ THÍCH: Giềng rút sẽ được cuộn rút thắt chặt miệng lưới về một điểm trong quá trình thu lưới. Giềng rút thường được làm bằng dây PE, dày PP có đường kính phụ thuộc vào khối lượng lưới và chiều dài phụ thuộc vào chiều dài giềng miệng và độ sâu ngư trường.
3.1.10
Phao cốc (Center buoy)
Vật nổi được lắp vào phần giữa giềng giữa của lưới nhằm tạo lực nồi ổn định cho miệng lưới
3.1.11
Đá dằn (concrete/stone)
Vật nặng có tác dụng giữ hai đầu miệng lưới, ổn định khi lưới thả trong nước.
3.1.12
Dây kéo đầu lưới (dây giật chốt) (Bolt rope)
Dây liên kết giữa chốt giật với phần gần hai đầu giềng miệng, làm nhiệm vụ giật chốt tách hệ thống neo, đá dằn khỏi hai đầu giềng miệng và lưới được rút, kéo nhờ dây kéo đầu lưới lên mặt nước.
3.1.13
Dây neo (Anchor rope)
Dây neo được liên kết một đầu dây với neo, đầu dây kia liên kết với đá dằn và có khuyết để liên kết với đầu giềng miệng. Bố trí hai hệ thống dây neo ở hai đầu giềng miệng. Tác dụng của hệ thống dây neo để cố định lưới dưới tác động của dòng chảy.
3.1.14
Cá nổi nhỏ
gồm: cá trích (Sardinella spp), cá nục (Decapterus spp), cá bạc má (Rastrelliger kanagurta), cá ngân (Atule mate), cá chỉ vàng (Selaroides leptolepis), mực ống (Loligo spp),..
3.2 Ký hiệu viết tắt
| Ký hiệu viết tắt | Diễn giải ký hiệu | Đơn vị tính |
| 2a | Kích thước mắt lưới | Milimét (mm) |
| a | Kích thước cạnh mắt lưới | Milimét (mm) |
| B | Chiều rộng | Milimét (mm) |
| Cu | Đồng, vật liệu vòng khuyên | gam (g) |
| D | Đường kính ngoài vòng khuyên, dây giềng, phao | Milimét (mm) |
| d | Đường kính chỉ lưới, lỗ chì ống, lỗ phao, tiết diện vòng khuyên | Milimét (mm) |
| gdd | Khối lượng đá dằn | gam (g) |
| gn | Khối lượng neo | gam (g) |
| gvk | Khối lượng 1 vòng khuyên | gam (g) |
| Fe | Sắt | gam (g) |
| FP | Polyurethane Foam: vật liệu nhựa tổng hợp dạng bọt xốp |
|
| L | Chiều dài | Milimét (mm) |
| Lgg | Chiều dài giềng giữa | Mét (m) |
| Lgm | Chiều dài giềng miệng | Mét (m) |
| Lgr | Chiều dài giềng rút | Mét (m) |
| Lddc | Chiều dài dây giật chốt | Mét (m) |
| Ldb | Chiều dài dây buộc vòng khuyên | Mét (m) |
| Ln | Chiều dài dây neo | Mét (m) |
| L2p | Khoảng cách 2 phao | Milimét (mm) |
| L2vk | Khoảng cách 2 vòng khuyên | Mét (m) |
| H | Chiều cao | Milimét (mm) |
| PA | Polyamid: vật liệu chỉ lưới, dây giềng |
|
| Pb | Chì | gam (g) |
| PE | Polyethylen: vật liệu chỉ lưới, dây giềng |
|
| PP | Polypropylen: vật liệu dây giềng |
|
| PVC | Polyvinyl Clorua: vật liệu nhựa tổng hợp |
|
| U1 | Hệ số rút gọn ngang |
|
| W | Watt: đơn vị đo công suất phát sáng |
|
4 Thông số kích thước cơ bản
4.1 Cấu tạo tổng thể
Cấu tạo tổng thể lưới mành xem Hình 1

CHÚ DẪN:
| 1 Áo lưới 2 Đụt lưới 3 Giềng giữa 4 Phao | 5 Phao cốc 6 Giềng miệng 7 Vòng khuyên 8 Đá dằn | 9 Dây giềng rút 10 Dây kéo hai đầu giềng miệng 11 Tàu 12 Thuyền thúng | 13 Hệ thống dây neo và neo lưới 14 Hệ thống dây neo và neo tàu 15 Hướng gió 16 Hướng nước |
Hình 1 - Cấu tạo tổng thể lưới mành
4.2 Lưới mành kết hợp chà
4.2.1 Thông số kích thước cơ bản lưới mành kết hợp chà
Thông số kích thước cơ bản đối với lưới mành kết hợp chà quy định trong Bảng 1.
Bảng 1 - Thông số kích thước cơ bản lưới mành kết hợp chà
| Tên gọi | Thông số kích thước cơ bản |
| 1. Chiều dài dây giềng giữa Lgg, m | Từ 130 đến 150 |
| - Vật liệu | PP, PE |
| - Đường kính D, mm | Từ 10 đến 14 |
| - Số lượng, dây | 2 |
| 2. Chiều dài dây giềng miệng Lgm, m | Từ 60 đến 70 |
| - Vật liệu | PP, PE |
| - Đường kính D, mm | Từ 10 đến 14 |
| - Số lượng, dây | 2 |
| 3. Kích thước mắt lưới |
|
| - Phần đụt 2a, mm | Từ 20 đến 24 |
| - Phần thân 2a, mm | Từ 24 đến 28 |
| - Phần chao 2a, mm | Từ 30 đến 50 |
| 4. Vật liệu áo lưới |
|
| - Phần đụt và phần thân | PA hoặc vật liệu có đường kính và độ bền tương đương |
| - Phần chao | PA hoặc vật liệu có đường kính và độ bền tương đương |
| 5. Đường kính chỉ lưới |
|
| - Phần đụt d, mm | Từ 0,5 đến 0,6 |
| - Phần thân d, mm | Từ 0,4 đến 0,5 |
| - Phần chao d, mm | Từ 0,6 đến 0,65 |
| 6. Quy cánh chỉ lưới |
|
| - Phần đụt | Từ 210D/9 đến 210D/12 |
| - Phần thân | Từ 210D/6 đến 210D/9 |
| - Phần chao | Từ 210D/12 đến 210D/15 |
| 7. Hệ số rút gọn |
|
| - Giềng giữa U1 | Từ 0,65 đến 0,75 |
| - Giềng miệng U1 | Từ 0,65 đến 0,75 |
4.2.2 Phụ tùng kèm theo lưới mành kết hợp chà
Thông số phụ tùng kèm theo lưới mành kết hợp chà được quy định trong Bảng 2.
Bảng 2 - Phụ tùng kèm theo lưới mành kết hợp chà
| Tên gọi | Thông số kích thước cơ bản |
| 1. Chiều dài dây kéo đầu lưới (dây giật chốt) Lddc, m | Từ 150 đến 200 |
| - Vật liệu | PP, PE |
| - Đường kính D, mm | Từ 10 đến 14 |
| - Số lượng, dây | 2 |
| 2. Chiều dài dây neo Ln, m | Từ 150 đến 200 |
| - Vật liệu | PP, PE |
| - Đường kính D, mm | Từ 10 đến 14 |
| - Số lượng, dây | 2 |
| 3. Chiều dài dây giềng rút Lgr, m | Từ 200 đến 400 |
| - Vật liệu | PP, PE |
| - Đường kính D, mm | Từ 12 đến 16 |
| - Số lượng, dây | 1 |
| 4. Chiều dài dây buộc vòng khuyên Ldb, m | Từ 0,5 đến 1 |
| - Vật liệu | PP, PE |
| - Đường kính D, mm | Từ 4 đến 6 |
| - Số lượng, cái | Từ 20 đến 30 |
| 5. Tổng số phao, cái | Từ 365 đến 430 |
| - Vật liệu | FP |
| - Kích thước phao LxBxH, mm | 220 x 70 x 50 |
| - Khoảng cách giữa các phao L2p, mm | Từ 310 đến 450 |
| 6. Tổng số phao cốc, cái | 3 |
| - Vật liệu | PVC |
| - Đường kính ngoài D, mm | Từ 250 đến 300 |
| - Khoảng cách giữa các phao L2p, m | Từ 30 đến 40 |
| 7. Tổng số vòng khuyên, cái | Từ 20 đến 30 |
| - Khoảng cách vòng khuyên, L2vk, m | Từ 2,5 đến 3,5 |
| - Đường kính ngoài, D, mm | Từ 180 đến 220 |
| - Khối lượng một vòng khuyên gvk, g | Từ 2 000 đến 3 000 |
| 8. Tổng số đá dằn, cục | 2 |
| - Vật liệu | Đá, Bê tông |
| - Khối lượng một cục đá dằn gdd, g | Từ 20 000 đến 30 000 |
| 9. Tổng số neo, cái | 2 |
| - Vật liệu | Sắt, Inox |
| - Khối lượng một cái neo gn, g | Từ 25 000 đến 50 000 |
| 10. Chà, cái | Từ 3 đến 6 |
| - Vật liệu | Tre, đá, lá dừa, dây PP, dây PE, lưới cũ |
| 11. Thuyền thúng, cái | Từ 1 đến 2 |
| - Vật liệu | Tre, nhựa đường (hắc ín) hoặc composit |
4.3 Lưới mành kết hợp ánh sáng
4.3.1 Thông số kích thước cơ bản lưới mành kết hợp ánh sáng
Thông số áo lưới đối với lưới mành kết hợp ánh sáng quy định trong Bảng 3.
Bảng 3 - Thông số kích thước cơ bản lưới mành kết hợp ánh sáng
| Tên gọi | Thông số kích thước cơ bản |
| 1. Chiều dài Dây giềng giữa Lgg, m | Từ 180 đến 200 |
| - Vật liệu | PP, PE |
| - Đường kính D, mm | Từ 10 đến 14 |
| - Số lượng, dây | 2 |
| 2. Chiều dài dây giềng miệng Lgm, m | Từ 90 đến 100 |
| - Vật liệu | PP, PE |
| - Đường kính D, mm | Từ 10 đến 14 |
| - Số lượng, dây | 2 |
| 3. Kích thước mắt lưới |
|
| - Phần đụt 2a, mm | Từ 20 đến 22 |
| - Phần thân 2a, mm | Từ 20 đến 28 |
| - Phần chao 2a, mm | Từ 30 đến 40 |
| 4. Vật liệu áo lưới |
|
| - Phần đụt và phần thân | PA hoặc vật liệu có đường kính và độ bền tương đương |
| - Phần chao | PE hoặc vật liệu có đường kính và độ bền tương đương |
| 5. Đường kính chỉ lưới |
|
| - Phần đụt d, mm | Từ 0,5 đến 0,6 |
| - Phần thân d, mm | Từ 0,4 đến 0,5 |
| - Phần chao d, mm | Từ 1,27 đến 1,39 |
| 6. Quy cánh chỉ lưới |
|
| - Phần đụt | Từ 210D/9 đến 210D/12 |
| - Phần thân | Từ 210D/6 đến 210D/9 |
| - Phần chao | Từ 380D/5x3 đến 380D/6x3 |
| 7. Hệ số rút gọn |
|
| - Giềng giữa, U1 | Từ 0,65 đến 0,75 |
| - Giềng miệng, U1 | Từ 0,65 đến 0,75 |
4.3.2 Phụ tùng kèm theo lưới mành kết hợp ánh sáng
Thông số phụ tùng kèm theo lưới mành kết hợp ánh sáng được quy định trong Bảng 4.
Bảng 4 - Phụ tùng kèm theo lưới mành kết hợp ánh sáng
| Tên gọi | Thông số kích thước cơ bản |
| 1. Chiều dài dây kéo đầu lưới (dây giật chốt) Lddc, m | Từ 200 đến 300 |
| - Vật liệu | PP, PE |
| - Đường kính D, mm | Từ 10 đến 14 |
| - Số lượng, dây | 2 |
| 2. Chiều dài dây neo Ln, m | Từ 200 đến 300 |
| - Vật liệu | PP, PE |
| - Đường kính D, mm | Từ 10 đến 14 |
| - Số lượng, dây | 2 |
| 3. Chiều dài dây giềng rút Lgr, m | Từ 200 đến 400 |
| - Vật liệu | PP, PE |
| - Đường kính D, mm | Từ 12 đến 16 |
| - Số lượng, dây | Từ 1 đến 2 |
| 4. Chiều dài dây buộc vòng khuyên Ldb, m | Từ 0,5 đến 1 |
| - Vật liệu | PP, PE |
| - Đường kính D, mm | Từ 4 đến 6 |
| - Số lượng | Từ 30 đến 40 |
| 5. Tổng số phao, cái | Từ 490 đến 570 |
| - Vật liệu | FP |
| - Kích thước 1 phao LxBxH, mm | 220 x 70 x 50 |
| - Khoảng cách giữa các phao L2p, mm | Từ 310 đến 450 |
| 6. Tổng số phao cốc, cái | 3 |
| - Vật liệu | PVC |
| - Khoảng cách giữa các phao L2p, m | Từ 40 đến 60 |
| 7. Tổng số vòng khuyên, cái | Từ 30 đến 40 |
| - Vật liệu | Đồng, Sắt (Inox), Chì |
| - Đường kính ngoài vòng khuyên, D, mm | Từ 180 đến 220 |
| - Khoảng cách vòng khuyên, L2vk, m | Từ 2,5 đến 3,5 |
| - Khối lượng một vòng khuyên gvk, g | Từ 2 000 đến 3 000 |
| 8. Tổng số đá dằn, cục | 2 |
| - Vật liệu | Đá, Bê tông |
| - Khối lượng một cục đá dằn gđd, g | Từ 20 000 đến 30 000 |
| 9. Tổng số neo, cái | 2 |
| - Vật liệu | Sắt, Inox |
| - Khối lượng một cái neo gn, g | Từ 25 000 đến 50 000 |
| 10. Ánh sáng |
|
| - Công suất máy phát (DINAMO), KW | Từ 15 đến 30 |
| - Tổng công suất đèn LED, W | Từ 2 500 đến 5 000 |
| - Số lượng bóng đèn LED, cái | Từ 10 đến 20 |
| - Tổng công suất đèn cao áp, W | Từ 4 000 đến 5 000 |
| - Số lượng bóng đèn cao áp, cái | Từ 4 đến 8 |
| 11. Thuyền thúng, cái | Từ 1 đến 2 |
| - Vật liệu | Tre, nhựa đường (hắc ín) hoặc composit |
Phụ lục A
(Tham khảo)
Xác định kích thước mắt lưới
- Xác định kích thước mắt lưới dựa chiều dài thân cá trưởng thành công thức sau:
ar = k1*Lm50
Trong đó:
ar: kích thước cạnh mắt lưới rê (mm)
Lm50: chiều dài thân cá trưởng thành (mm)
Hệ số k1 = 0,118
- Xác định kích thước mắt lưới mành ở đụt lưới tính toán theo công thức sau:
![]()
Trong đó:
ađ: kích thước cạnh mắt lưới của đụt lưới mành (mm).
ar: kích thước cạnh mắt lưới rê đánh cùng loài cá với lưới mành (mm).
- Xác định kích thước mắt lưới mành ở phần thân và chao lưới như sau:
at = ađ + 0,2*ađ
Trong đó:
at: kích thước cạnh mắt lưới phần thân lưới mành (mm).
ađ: kích thước cạnh mắt lưới của đụt lưới mành (mm).
Phụ lục B
(Tham khảo)
Tính toán chiều dài dây giềng giữa và giềng miệng
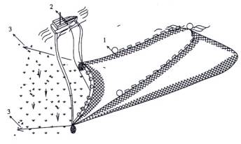
- Xác định chiều dài giềng giữa lưới mành:

Hình B - Sơ đồ lý thuyết tính toán giềng giữa, giềng miệng lưới mành
Xét trường hợp cá tìm cách thoát ra khỏi giềng miệng khi phát hiện ra giềng giữa và ở giềng giữa đã có sự uy hiếp.
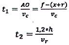
Giả thiết như hình B, khi lưới từ từ nổi lên mặt nước, cá phát hiện thấy lưới bắt đầu phản ứng chạy ra ngoài, khi đó ta cho đàn cá đang ở điểm A. Điều kiện để bắt gọn đàn cá là thời gian (t1) của đàn cá đi từ A đến O phải lớn hơn hoặc bằng thời gian thu giềng miệng để miệng lưới nổi lên hoàn toàn trên mặt nước (t2). Cách xác định t1 và t2 như sau:

Theo giả thiết t1/t2. Cân bằng [7] và [8] ta có:
![]()
Chiều dài (L) từ điểm E đến điểm G của giềng miệng (cũng được tính là chiều dài dây cung của giềng giữa) như sau:
L = 2*x + 2*r = 2*(x+r)
Lấy (9) chia cho (10) ta có:

Trong đó:
r: Bán kính đàn cá.
f: Độ võng giềng giữa.
x: Khoảng cách từ đàn cá đến giềng giữa, Khoảng cách này là khoảng cách khi đã giật chốt.
vc: Tốc độ chạy trốn cực đại của cá (m/s).
h: Độ sâu tính từ giềng miệng lên tới mặt nước tại thời điểm mà giềng giữa nổi lên mặt nước.
vr: tốc độ nâng giềng miệng (m/s).
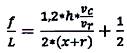
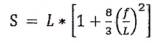
Nếu ta coi hình dạng giềng giữa làm việc trong nước gần giống như một dây treo khi biết tỷ số f/L. Tính toán chiều dài dây giềng giữa lưới mành dựa vào công thức xác định chiều dài dây Parabol hai đầu ngang nhau như sau (Nguyễn Văn Động, 1995):
![]()
Trong đó:
S: chiều dài rút gọn giềng giữa lưới mành.
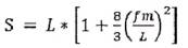
- Xác định chiều dài giềng miệng lưới mành.
Nếu biết được độ võng giềng miệng fm; biết L ta sẽ tính được chiều dài giềng miệng (S). Thực tế tùy thuộc vào cường độ dòng chảy mà khi khai thác người ta thả rộng hay hẹp neo. Nếu hẹp neo thì fm lớn và ngược lại. Do đó, giá trị độ võng giềng miệng không cố định. Có thể chọn độ võng: fm = (0,3 - 0,5)*L.
![]()
Trong đó:
fm: là độ võng của chiều dài giềng miệng;
L: là chiều dài từ điểm đặt neo/đá dằn bên này sang neo/đá dằn bên kia của giềng miệng (giềng chì).
Phụ lục C
(Tham khảo)
Thống kê trang bị toàn bộ và bản vẽ khai triển lưới mành
C.1 Thống kê trang bị toàn bộ lưới mành kết hợp chà
Bảng C.1 - Thống kê trang bị toàn bộ lưới mành kết hợp chà
| Tên gọi | Đơn vị tính | Số lượng | Vật liệu | Quy cách | Khối lượng, kg |
| 1. Áo lưới |
|
|
|
|
|
| - Phần đụt | Tấm |
| PA | 2a = 24 mm; 210D/12 | 11,53 |
| - Phần thân 4 | Tấm |
| PA | 2a = 28 mm; 210D/9 | 11,19 |
| - Phần thân 3 | Tấm |
| PA | 2a = 28 mm; 210D/9 | 127,21 |
| - Phần thân 2 | Tấm |
| PA | 2a = 28 mm; 210D/9 | 95,41 |
| - Phần thân 1 | Tấm |
| PA | 2a = 34 mm; 210D/6 | 302,18 |
| - Chao giềng giữa |
|
| PA | 2a = 50 mm; 210D/15 | 3,01 |
| - Chao giềng miệng |
|
| PA | 2a = 50 mm; 210D/15 | 4,55 |
| 2. Giềng giữa |
|
|
|
|
|
| - Giềng băng | Dây | 1 | PP | L = 150,00 m; D = 12 mm | 10,40 |
| - Giềng luồn | Dây | 1 | PP | L = 150,00 m; D = 12 mm | 10,40 |
| 3. Giềng miệng |
|
|
|
|
|
| - Giềng băng | Dây | 1 | PP | L = 70,00 m; D = 10 mm | 4,23 |
| - Giềng luồn | Dây | 1 | PP | L = 70,00 m; D = 10 mm | 4,23 |
| 4. Dây buộc vòng khuyên | Dây | 23 | PP | L = 2 x 0,30 m; D = 4 mm | 0,10 |
| 5. Giềng rút | Dây | 1 | PP | L = 200,00 m; D = 16 mm | 34,50 |
| 6. Dây kéo đầu lưới (dây giật chốt) | Dây | 2 | PP | L = 200,00 m; D = 12 mm | 13,00 |
| 7. Dây neo (có buộc cả đá dằn) | Dây | 4 | PP | L = 400,00 m; D = 12 mm | 26,00 |
| 8. Phao | Cái | 290 | FP | (220 x 70 x 50) mm; g = 200 g/cái | 58,00 |
| 9. Phao cốc | Cái | 3 | PVC | D = 200 mm; g = 1 060 g/cái | 3,18 |
| 10. Đá dằn | Viên | 4 | Đá, Bê tông | gdd = 25 000 g/viên | 100,00 |
| 11. Vòng khuyên | Cái | 23 | Cu, Fe, Pb | D = 200 mm; d = 20 mm; | 69,00 |
| 12. Neo | Cái | 2 | Fe | gn = 25 000 g/cái | 50,00 |
| Tổng khối lượng toàn bộ lưới (kg) | 886,37 | ||||
C.2 Bản vẽ khai triển lưới mành kết hợp chà (xem hình C.2)

Hình C.2 - Bản vẽ khai triển lưới mành kết hợp chà
C.3 Thống kê trang bị toàn bộ lưới mành kết hợp ánh sáng
Bảng C.3 - Thống kê trang bị toàn bộ lưới mành kết hợp ánh sáng
| Tên gọi | Đơn vị tính | Số lượng | Vật liệu | Quy cách | Khối lượng, kg |
| 1. Áo lưới |
|
|
|
|
|
| - Phần đụt | Cheo |
| PA | 2a = 20 mm; 210D/15 | 68,67 |
| - Phần thân 4 | Cheo |
| PA | 2a = 24 mm; 210D/9 | 42,37 |
| - Phần thân 3 | Cheo |
| PA | 2a = 24 mm; 210D/9 | 59,32 |
| - Phần thân 2 | Cheo |
| PA | 2a = 28 mm; 210D/6 | 240,33 |
| - Phần thân 1 | Cheo |
| PA | 2a = 34 mm; 210D/6 | 184,78 |
| - Chao với giềng giữa |
|
| PE | 2a = 50 mm; 380D/5x3 | 44,90 |
| - Chao với giềng miệng |
|
| PE | 2a = 50 mm; 380D/5x3 | 54,45 |
| 2. Giềng giữa |
|
|
|
|
|
| - Giềng băng | Dây | 1 | PP | L = 170,00 m; D = 12 mm | 11,05 |
| - Giềng luồn | Dây | 1 | PP | L = 170,00 m; D = 12 mm | 11,05 |
| 3. Giềng miệng |
|
|
|
|
|
| - Giềng băng | Dây | 1 | PP | L = 100,00 m; D = 12 mm | 4,50 |
| - Giềng luồn | Dây | 1 | PP | L = 100 m; D = 12 mm | 4,50 |
| 4. Dây buộc vòng khuyên | Dây | 30 | PP | L = 2 x 0,30 m; D = 4 mm | 0,10 |
| 5. Giềng rút | Dây | 1 | PP | L = 300 m; D = 16 mm | 34,50 |
| 6. Dây kéo đầu lưới (dây giật chốt) | Dây | 2 | PP | L = 200 m; D = 12 mm | 13,00 |
| 7. Dây neo (có buộc cả đá dằn) | Dây | 4 | PP | L = 400 m; D = 12 mm | 26,00 |
| 8. Phao | Cái | 343 | FP | (220 x 70 x 50) mm; g = 200 g/cái | 68,60 |
| 9. Phao cốc | Cái | 3 | PVC | D = 200 mm; g = 1 060 g/cái | 3,18 |
| 10. Vòng khuyên | Cái | 35 | Pb; Cu; Inox | D = 200 mm; d = 20 mm; gvk = 3 000 g/cái | 105,00 |
| 11. Đá dằn | Viên | 4 | Đá, Bê tông | gdd = 25 000 g/viên | 100,00 |
| 12. Neo | Cái | 2 | Fe | gn = 25 000 g/cái | 50,00 |
| Tổng khối lượng lưới (kg) | 1.076,30 | ||||
C.4 Bản vẽ khai triển lưới mành kết hợp ánh sáng (xem Hình C.4)

Hình C.4 - Bản vẽ khai triển lưới mành kết hợp ánh sáng
Phụ lục D
(Tham khảo)
Lắp ráp các bộ phận của lưới mành
D.1 Cấu tạo vòng khuyên
Vòng khuyên có dạng hình tròn được làm bằng đồng thau hoặc Inox bọc chì và khối lượng một vòng khuyên từ 2 000 g đến 3 000 g. cấu tạo vòng khuyên (xem Hình D.1).

CHÚ DẪN:
d là tiết diện vòng khuyên từ 8 mm đến 15 mm.
D là đường kính ngoài vòng khuyên từ 100 đến 150 mm.
Hình D.1 - Cấu tạo vòng khuyên
D.2 Lắp ráp vòng khuyên

CHÚ DẪN:
Lvk khoảng cách hai vòng khuyên từ 2 500 mm đến 3 000 mm.
Ldb Chiều dài dây buộc vòng khuyên từ 220 mm đến 320 mm.
Hình D.2 - Trang bị vòng khuyên
D.3 Lắp ráp đá dằn

CHÚ DẪN:
| 1 Giềng giữa | 2 Giềng miệng | 3 Đá dằn | 4 Dây giật chốt | 5 Chốt giật |
Hình D.3 - Lắp ráp đá dằn và mối liên kết chốt giật
D.4 Cấu tạo phao
Phao lưới mành có dạng gần giống hình hộp chữ nhật, được làm tròn hai đầu, làm bằng vật liệu nhựa bọt xốp được ký hiệu là FP và có kích thước là (220 x 70 x 50) mm hoặc phao có lực nổi, kích thước và độ bền tương đương. Trang bị phao cho nghề lưới mành (xem Hình B.4).

Hình D.4 - Cấu tạo phao
D.5 Sơ đồ bố trí lắp ráp phao với giềng giữa

CHÚ DẪN:
| 1 Giềng giữa | 2 Giềng miệng |
A Đoạn chiều dài giềng giữa ở đó khoảng cách lắp ráp hai phao từ 310 mm đến 350 mm.
B Đoạn chiều dài giềng giữa ở đó khoảng cách lắp ráp hai phao từ 350 mm đến 450 mm.
C Đoạn chiều dài giềng giữa ở đó không lắp ráp phao.
Đoạn A chiều dài từ 40 m đến 50 m
Đoạn B chiều dài từ 50 m đến 60 m
Đoạn C chiều dài từ 50 m đến 60 m
Hình D.5 - Sơ đồ bố trí lắp ráp phao với giềng giữa
D.6 Lắp ráp phao với dây giềng giữa

CHÚ DẪN:
L2p là khoảng cách hai phao phần giữa giềng giữa.
nml là số mắt lưới lắp ráp cho khoảng cách hai phao ở giềng giữa lưới từ 8 đến 13 mắt lưới.
Hình D.6.1 - Lắp ráp áo lưới và phao với giềng giữa

CHÚ DẪN:
| 1 Phao cốc. | 2 Phao con. | 3 Giềng phao | 4 Áo lưới. | 5 Nút buộc phao cốc với giềng giữa. |
Hình D.6.2 - Lắp ráp phao cốc

CHÚ DẪN:
Lc là khoảng cách hai mối thắt của giềng miệng.
Hình D.6.3 - Lắp ráp áo lưới với giềng miệng
D.7 Lắp ráp các bộ phận trong áo lưới

Hình D.7.1 - Ghép các tấm lưới phần thân, chao và đụt theo chiều dọc

Hình D.7.2 - Ghép các tấm lưới phần thân, chao và đụt theo chiều ngang

CHÚ DẪN:
| 1. Thân lưới 1 và thân lưới 2 | 2. Đường ghép tỷ lệ 7/10 |
Hình D.7.3 - Ghép thân lưới 1 với thân lưới 2

CHÚ DẪN:
| 1. Thân lưới 2 và thân lưới 3 | 2. Đường ghép tỷ lệ 10/13 |
Hình D.7.4 - Ghép thân lưới 2 với thân lưới 3 (hoặc thân lưới 3 với thân lưới 4, ..)
Phụ lục E
(Tham khảo)
Kỹ thuật khai thác lưới mành

Hình E - Sơ đồ quy trình khai thác nghề lưới mành
E.1 Quy trình tổ chức khai thác lưới mành kết hợp chà rạo (xem Hình E.1.1; Hình E.1.2; Hình E.1.3; Hình E.1.4)

CHÚ DẪN:
| 1 Chà | 2 Thuyền thúng dắt chà di động vào vùng tác dụng lưới |
Hình E.1.1 - Chà di động gắn trên thuyền thúng để dẫn dụ cá vào lưới

CHÚ DẪN:
| 1 Lưới mành | 2 Tàu | 3 Đá dằn (neo) |
Hình E.1.2 - Định hình lưới mành vào vị trí khai thác

CHÚ DẪN:
| 1 Vàng lưới mành | 2 Tàu | 3 Thúng chai dắt chà di động vào vùng hoạt động của lưới | 4 Chà |
Hình E.1.3 - Dẫn cá vào vùng hoạt động của lưới
E.2 Quy trình tổ chức khai thác lưới mành kết hợp ánh sáng (xem Hình E.2.1; Hình E.2.2; Hình E.2.3; Hình E.2.4; Hình E.2.5)

CHÚ DẪN:
| 1 Tàu | 2 Bè đèn | 3 Đàn cá tập trung dưới ánh sáng | 4 Neo |
Hình E.2.1 - Thả neo và tập trung đàn cá

CHÚ DẪN
| 1 Tàu | 2 Bè đèn | 3 Đàn cá tập trung dưới ánh sáng của bè đèn |
Hình E.2.2 - Tập trung đàn cá quanh bè đèn

CHÚ DẪN:
| 1 Tàu | 2 Bè đèn | 3 Đàn cá tập trung | 4 Lưới mành |
Hình E.2.3 - Định hình lưới mành vào vị trí khai thác

CHÚ DẪN:
| 1 Tàu | 2 Bè đèn | 3 Lưới mành |
Hình E.2.4 - Dẫn cá vào vùng hoạt động của lưới
E.3 Bố trí nhân lực và kỹ thuật khai thác lưới mành
E.3.1 Chuẩn bị
Chuẩn bị đầy đủ ngư cụ, vật dụng, trang thiết bị, nhiên liệu, thực phẩm, Thao lại lưới, sắp xếp lại hệ thống dây giềng, đá dằn, neo và dây neo.
E.3.2 Thả neo
Sau khi xác định vị trí thả neo, TV2, TV4, TV6, TV8 thả 1 neo ở mũi, kiểm tra neo đã bám đáy thì nới dây neo và cho tàu chạy chậm theo hướng ngược lại để thả neo thứ 2. Sau khi thả, hai neo giữ tàu nằm xuôi theo nước hoặc ngược nước. Chiều dài dây neo thả từ 2 đến 3 lần độ sâu ngư trường. Khoảng cách giữa hai neo tùy theo dòng chảy.
Trường hợp tàu sử dụng 1 thuyền thúng đầu lưới, sau khi xác định gió, nước để quyết định hướng thả neo, tiến hành thả thuyền thúng và thả neo. Sau đó tàu di chuyển ra xa thuyền thúng và thả neo, vị trí 2 neo phải cân đối nhau theo dòng chảy và khi nới dây neo thì tàu và thuyền thúng sẽ gặp nhau ở cuối nước. Khoảng cách 2 neo tùy thuộc vào dòng chảy, nếu dòng chảy êm thì đặt khoảng cách giữa 2 neo thật rộng, nếu dòng chảy mạnh thì đặt khoảng cách giữa 2 neo hẹp lại.
E.3.3 Tập trung cá
TV4 điều khiển hệ thống bè đèn hoặc hệ thống chà để thu hút tập trung cá vào vùng lưới hoạt động.
Thời gian phát sáng tùy thuộc mức độ cá tập trung xung quanh tàu. TV1 quan sát, đánh giá mật độ cá đã tập trung để quyết định thời điểm thả lưới.
E.3.4 Thả lưới
Trước khi thả lưới, 1 dây neo được chuyển ra đuôi tàu để quay tàu vuông góc dòng chảy, cố định dây neo để mạn trái tàu luôn chịu tác dụng của nước. Khi tàu đã cố định, hệ thống bè đèn vẫn thắp sáng, TV1 tắt đèn ở đuôi tàu, sau từ 2 đến 3 phút, tiếp tục tắt lần lượt các đèn ở mạn thả lưới, mỗi đèn cách nhau từ 1 đến 2 phút, tắt dần từ phía đuôi đến phía mũi tàu. Khi các đèn ở mạn thả lưới đã tắt, TV8 phát sáng bè đèn phụ và cố định vào mạn trái tàu, hướng xuôi nước và tiến hành thả lưới. Khi thả lưới thì luôn thà dây gài chốt (dây giật chốt) dài hơn dây neo lưới từ 2 đến 3 m. Giềng miệng được thả ở độ sâu ngư trường tùy thuộc đối tượng đánh bắt.
* Bố trí nhân lực trong quá trình thả lưới
Bố trí thuyền viên khi thả lưới (xem Hình E.3.4).

CHÚ DẪN:
TV1. Thuyền viên ở ca bin, điều khiển ánh sáng và chỉ huy chung.
TV2, TV6. Thuyền viên ở mũi tàu, liên kết đá dằn với lưới, thả đá dằn, điều chỉnh độ sâu, độ mở của lưới ở phía mũi tàu.
TV3, TV4. Thuyền viên có nhiệm vụ như TV2, TV6 nhưng ở phía đuôi tàu.
TV5, TV7. Thuyền viên ở boong thao tác, thả dây giềng chì, giềng phao, lưới.
TV8. Thuyền viên ở boong thao tác, xử lý dây kéo bè đèn/chà di động, phụ giúp TV5, TV7.
Hình E.3.4 - Bố trí nhân lực trong quá trình thả lưới
* Thả lưới theo trình tự: giềng miệng, áo lưới, giềng giữa, dây kéo bè đèn, đá dằn, dây gài chốt, dây neo lưới.
* Trường hợp sử dụng thuyền thúng đầu lưới
Trường hợp thả lưới với 1 thuyền thúng đầu lưới thì giống như trường hợp thuyền thúng đi neo để thả bè ánh sáng/chà rạo.
Trước khi thả lưới, tàu và thuyền thúng đồng thời nới dây neo kết hợp bơi chèo và tàu chạy số lùi. Khi tàu và thuyền thúng gặp nhau ở cuối nước, chuyển 1 dây đầu lười, đá dằn từ tàu sang thuyền thúng. Sau khi tàu và thuyền thúng đã buộc đá dằn, gài chốt giật thì đồng thời thu dây neo và thả đá dằn. Trong quá trình thu dây neo thì lưới trên tàu được thả xuống nước. Khi lưới đã thả hết, tàu và thúng tiếp tục thu dây neo để kéo căng miệng lưới ở vị trí hợp lý và tiến hành cố định dây neo để giữ lưới.
E.3.5 Dẫn cá vào lưới
Khi giềng phao đã căng ra hết, lưới đã được điều chỉnh đúng vị trí. TV8 phát sáng bè đèn chính và đưa đến mạn phải. Khi ánh sáng ổn định, TV8 thả bè đèn xuống nước. Đồng thời TV1 tắt lần lượt các đèn ở mạn trái và bè đèn phụ để bè đèn chính thu hút sự chú ý của cá.
Khi các đèn mạn trái và bè đèn phụ đã tắt, TV8 bắt đầu cho bè đèn chính di chuyển về phía lưới. Tốc độ di chuyển bè đèn nhỏ hơn 0,5 m/s.
Tương tự như lưới mành kết hợp ánh sáng thì lưới mành kết hợp chà rạo cũng tổ chức như sau: TV8 bắt đầu di chuyển hệ thống chà di động về phía lưới, di chuyển chà di động nhỏ hơn 0,5 m/s.
E.3.6 Thu lưới
Khi bè đèn hoặc chà di động di chuyển được khoảng 1/2 chiều dài từ giềng miệng đến phao cốc thì thu lưới. TV2, TV6 ở mũi tàu và TV3, TV4 ở đuôi tàu đồng thời kéo dây giật chốt và thu dây đầu lưới, TV5 và TV7 thu dây kéo giữa, TV8 thu dây kéo bè đèn hoặc chà di động. Hướng thu lưới vuông góc với mạn tàu, thu lưới ngược nước.
Trình tự thu lưới: đá đòi, giềng chì, giềng phao, lưới, dây và bè đèn.
Trong quá trình thu lưới, phát hiện có sự hỏng hóc thì TV2, TV3 hoặc TV4 tiến hành sửa chữa. Bố trí nhân lực khi thu lưới (xem Hình E.3.6).

CHÚ DẪN:
TV1. Thuyền viên ở ca bin, quan sát và chỉ huy chung.
TV2, TV6. Thuyền viên ở mũi tàu, kéo chốt giật, thu đá dằn, thu đầu cánh,
TV3, TV4. Thuyền viên ở đuôi tàu, kéo chốt giật, thu đá dằn, thu đầu cánh.
TV5, TV7: Thuyền viên ở boong thao tác, thu giềng chì, giềng phao, lưới.
TV8: Thuyền viên ở boong thao tác, thu dây kéo và bè đèn, phụ giúp TV5, TV7.
Hình E.3.6 - Bố trí nhân lực trong quá trình thu lưới
E.3.7 Bảo quản sản phẩm
Cá đưa lên tàu ở boong thao tác. Nếu nhiều thì dùng vợt để xúc, nếu ít thì kéo trực tiếp lên boong tàu. Phân loại theo kích cỡ, chủng loại, xếp vào dụng cụ chứa rồi đưa xuống hầm đá.
Khi kết thúc công việc bảo quản, TV7, TV8 giặt sạch lưới, dây giềng, vệ sinh tàu.
TV2, TV4, TV5 thao lưới và sắp xếp từ phía mũi về phía đuôi theo trình tự: hệ thống dây, lưới, giềng phao, giềng chì, đá dằn, neo.
Phụ lục F
(Tham khảo)
Phương pháp thử
F.1 Thiết bị và dụng cụ
F.1.1 Thước đo đường kính chỉ lưới, dây giềng (xem Hình F.1.1)
Sử dụng thước kẹp có độ chính xác đến 0,1 mm đối với dây có đường kính lớn hơn 10 mm.

Hình F.1.1 - Thước cặp cơ khí đo từ 0 đến 150 m
F.1.2 Thước đo chiều dài dây, kích thước mắt lưới (xem Hình 3)

CHÚ DẪN:
| 1. Thước nhựa cứng | 2. Thước dây mềm 1 m | 3. Thước dây mềm 30 m |
Hình F.1.2 - Thước đo chiều dài dây, kích thước mắt lưới
F.1.3 Cân (xem Hình 4)
Cần có độ chính xác đến 0,1% khối lượng mẫu

Hình F.1.3 - Cân điện tử
F.2 Chuẩn bị và mẫu thử
Khi lấy mẫu ban đầu phải lấy ngẫu nhiên, đại diện cỡ tàu và cho khu vực có nghề lưới mành phát triển.
Mẫu thử có thể được lấy ở một đầu nào đó của mẫu ban đầu (sau khi loại bỏ ít nhất 1 m ở đoạn đầu) hoặc lấy ở giữa mẫu ban đầu nếu có ý định cắt để sử dụng. Trước khi cắt phải thắt chặt hai đầu để ngăn chặn hiện tượng tự mở xoắn.
Mẫu thử đường kính chỉ lưới, kích thước mắt lưới, phải được thực hiện ở các vị trí khác nhau trên mỗi phần lưới (phần đụt, phần thân, phần cánh).
Mẫu thử đường kính dây giềng, chiều dài dây giềng, phải được thực hiện ở các vị trí khác nhau trên mỗi phần lưới (phần tùng, phần thân, phần cánh).
F.3 Cách tiến hành
F.3.1 Tiến hành đo đường kính chỉ lưới, dây giềng
Trường hợp dây có đường kính không quá 1 mm:
Mẫu thử được căng với sức căng ban đầu.
Cuộn sợi chỉ vào một thanh tròn bất kỳ (bút chì) 10 vòng.
Lấy thước kẻ đo ngang thanh tròn có 10 vòng cuốn sợi chỉ đó.
Kết quả đo đem chia cho 10 là chỉ đến giá trị đường kính sợi chì lưới, đọc kết quả đo, ký hiệu là d, đơn vị đo là milimet (mm).
Trường hợp dây có đường kính lớn hơn 1 mm thì sử dụng thước kẹp (Hình 2) để đo 10 lần, lấy giá trị trung bình của 10 cho giá trị đường kính dây giềng, đọc kết quả đo, ký hiệu là D, đơn vị đo là milimet (mm).
F.3.2 Tiến hành đo chiều dài dây giềng giữa và dây giềng miệng
Tiến hành đo chiều dài giềng giữa:
Đo khoảng cách 2 phao, sau đó lấy khoảng cách 2 phao nhân với số lượng phao trang bị trên dây giềng giữa lưới mành. Tiến hành đo 10 lần ở các vị trí khác nhau trên dây giềng giữa, lấy kết quả bình quân số học của những lần đo.
Tiến hành đo chiều dài giềng miệng:
Đo khoảng cách 2 vòng khuyên, sau đó lấy khoảng cách 2 vòng khuyên nhân với số lượng vòng khuyên trang bị trên dây giềng miệng lưới mành. Tiến hành đo 10 lần ở các vị trí khác nhau trên dây giềng giữa, lấy kết quả bình quân số học của những lần đo.
F.4 Báo cáo thử nghiệm
Báo cáo thử nghiệm bao gồm các thông tin sau:
- Câu dẫn về việc các phép thử được thực hiện theo tiêu chuẩn này;
- Thời gian và địa điểm thử;
- Mô tả loại dây được thử: vật liệu, loại cấu trúc (bện hoặc xoắn), đường kính chỉ lưới, dây giềng;
- Loại thiết bị, dụng cụ sử dụng trong quá trình thử;
- Cách thức lấy mẫu;
- Số lần thử;
- Đường kính trung bình của dây, chỉ lưới tính bằng mm;
- Kết quả thử
Thư mục tài liệu tham khảo
[1] TCVN 8393:2021 Vật liệu lưới khai thác thủy sản - Sợi, dây và lưới tấm - Yêu cầu kỹ thuật và phương pháp thử.
[2] TCVN 12243:2018 Thiết bị khai thác thủy sản - Lưới vây khai thác cá nổi nhỏ - Thông số kích thước cơ bản.
[3] Hội nghề cá Việt Nam, 2007. Bách Khoa thủy sản, Nhà xuất bản Nông nghiệp.
[4] Trung tâm khuyến Nông quốc gia, 2012. Một số nghề khai thác thủy sản Việt Nam, Nhà xuất bản Nông nghiệp.
[5] Nguyễn Văn Động, 1995. Cơ sở lý thuyết và thiết kế ngư cụ, Nhà xuất bản Nông nghiệp.
[6] Hoàng Hoa Hồng, 2009. Cơ sở kỹ thuật sinh học khai thác thủy sản, Nhà xuất bản khoa học và kỹ thuật.
[7] Thái Văn Ngạn, 2004. Kỹ thuật khai thác hải sản bằng lưới vây, Nhà xuất bản Nông nghiệp TPHCM, Đại học Nha Trang.
[8] Lê Văn Ninh, 2004. Tiêu chuẩn ngành, Lưới mành kết hợp ánh sáng - Thông số kích thước cơ bản, kỹ thuật lắp ráp, kỹ thuật khai thác, Bộ Thủy sản.
[9] Nguyễn Minh Quang, 2022. Đánh giá hiệu quả sử dụng đèn LED đối với nghề lưới mành tại thành phố Phan Thiết, tỉnh Bình Thuận, Luận văn thạc sĩ, Đại học Nha Trang.
[10] Nguyễn Phi Toàn, 2010. Atlat ngư cụ khai thác hải sản Việt Nam, Viện nghiên cứu Hải sản.
[11] Bùi Văn Tùng, 2005. Thuật ngữ trong khai thác thủy sản, Viện nghiên cứu Hải sản.
[12] Nguyễn Ngọc Sửa, 2023. Phân tích, đánh giá lựa chọn thông số kỹ thuật kích thước cơ bản nghề lưới mành, Viện nghiên cứu Hải sản.
[13] SEAFDEC, 1992. Catalogue of Fishing gears and methods in Thailand, Vol-I.
[14] SEAFDEC, 1995. Catalogue of Fishing gears and methods in Malaysia, Vol-ll.
[15] SEAFDEC, 2004. Catalogue of Fishing gears and methods in PhiliPPine, Vol-lll.
[16] SEAFDEC, 2002. Catalogue of Fishing gears and methods in Vietnam, Vol-IV.
Mục lục
1 Phạm vi áp dụng
2 Tài liệu viện dẫn
3 Thuật ngữ, định nghĩa và ký hiệu viết tắt
4 Thông số kích thước cơ bản
4.1 Cấu tạo tổng thể (xem Hình 1)
4.2 Thông số kích thước cơ bản lưới mành kết hợp chà
4.3 Thông số kích thước cơ bản lưới mành kết hợp ánh sáng
Phụ lục A (Tham khảo): Xác định kích thước mắt lưới
Phụ lục B (Tham khảo): Tính toán chiều dài dây giềng giữa và giềng miệng
Phụ lục C (Tham khảo): Thống kê trang bị toàn bộ và bản vẽ khai triển lưới mành
Phụ lục D (Tham khảo): Lắp ráp các bộ phận của lưới mành
Phụ lục E (Tham khảo): Kỹ thuật khai thác lưới mành
Phụ lục F (Tham khảo): Phương pháp thử
Thư mục tài liệu tham khảo
Bạn chưa Đăng nhập thành viên.
Đây là tiện ích dành cho tài khoản thành viên. Vui lòng Đăng nhập để xem chi tiết. Nếu chưa có tài khoản, vui lòng Đăng ký tại đây!