- Tổng quan
- Nội dung
- Tiêu chuẩn liên quan
- Lược đồ
- Tải về
Tiêu chuẩn TCVN 12787:2019 Thuốc bảo vệ thực vật - Xác định hàm lượng hoạt chất Niclosamide
| Số hiệu: | TCVN 12787:2019 | Loại văn bản: | Tiêu chuẩn Việt Nam |
| Cơ quan ban hành: | Bộ Khoa học và Công nghệ | Lĩnh vực: | Nông nghiệp-Lâm nghiệp |
| Trích yếu: | Thuốc bảo vệ thực vật - Xác định hàm lượng hoạt chất Niclosamide | ||
|
Ngày ban hành:
Ngày ban hành là ngày, tháng, năm văn bản được thông qua hoặc ký ban hành.
|
31/12/2019 |
Hiệu lực:
|
Đã biết
|
| Người ký: | Đang cập nhật |
Tình trạng hiệu lực:
Cho biết trạng thái hiệu lực của văn bản đang tra cứu: Chưa áp dụng, Còn hiệu lực, Hết hiệu lực, Hết hiệu lực 1 phần; Đã sửa đổi, Đính chính hay Không còn phù hợp,...
|
Đã biết
|
TÓM TẮT TIÊU CHUẨN VIỆT NAM TCVN 12787:2019
Nội dung tóm tắt đang được cập nhật, Quý khách vui lòng quay lại sau!
Tải tiêu chuẩn Việt Nam TCVN 12787:2019
TIÊU CHUẨN QUỐC GIA
TCVN 12787:2019
THUỐC BẢO VỆ THỰC VẬT - XÁC ĐỊNH HÀM LƯỢNG HOẠT CHẤT NICLOSAMIDE
Pesticides - Determination of niclosamide content
Lời nói đầu
TCVN 12787 : 2019 được xây dựng trên cơ sở tham khảo tài liệu CIPAC/599/TC/M-Niclosamide technical.
TCVN 12787 : 2019 do Cục Bảo vệ thực vật biên soạn, Bộ Nông nghiệp và Phát triển nông thôn đề nghị, Tổng cục Tiêu chuẩn Đo lường Chất lượng thẩm định, Bộ Khoa học và Công nghệ công bố.
THUỐC BẢO VỆ THỰC VẬT - XÁC ĐỊNH HÀM LƯỢNG HOẠT CHẤT NICLOSAMIDE
Pesticides - Determination of niclosamide content
1 Phạm vi áp dụng
Tiêu chuẩn này quy định phương pháp sắc ký lỏng hiệu năng cao (HPLC) để xác định hàm lượng hoạt chất niclosamide trong thuốc bảo vệ thực vật có chứa niclosamide lớn hơn 0,01%.
Thông tin về hoạt chất niclosamide xem phụ lục A.
2 Tài liệu viện dẫn
Các tài liệu viện dẫn sau đây là cần thiết để áp dụng tiêu chuẩn này. Đối với tài liệu viện dẫn ghi năm công bố thì áp dụng phiên bản được nêu. Đối với các tài liệu viện dẫn không ghi năm công bố thì áp dụng phiên bản mới nhất, bao gồm cả các sửa đổi, bổ sung (nếu có).
TCVN 4851 (ISO 3696), Nước dùng để phân tích trong phòng thí nghiệm - Yêu cầu kỹ thuật và phương pháp thử.
3 Nguyên tắc
Niclosamide được hòa tan vào hỗn hợp dung môi tetrahydrofuran và metanol (theo tỷ lệ thể tích 50/50) sau đó xác định bằng phương pháp sắc ký lỏng hiệu năng cao (HPLC), sử dụng cột pha đảo với detector tử ngoại (UV) ở bước sóng 236 nm và dùng phương pháp ngoại chuẩn.
4 Thuốc thử
Chỉ sử dụng các thuốc thử tinh khiết phân tích, nước dùng trong quá trình phân tích đạt loại 3 của TCVN 4851 (ISO 3696) hoặc có độ tinh khiết tương đương,
4.1 Chất chuẩn niclosamide (C13H8CI2N2O4), đã biết hàm lượng, có giấy chứng nhận.
4.2 Metanol (CH3OH), dùng cho sắc ký lỏng.
4.3 Kali đihiđrophotphat (KH2PO4), dùng cho sắc ký lỏng.
4.4 Axit phosphoric (H3PO4), dùng cho sắc ký lỏng.
4.5 Tetrahydrofuran (C4H8O), dùng cho sắc ký lỏng.
4.6 Dung môi pha mẫu
Cho 250 ml tetrahydrofuran (4.5) vào ống đong 500 ml có chứa sẵn 250 ml metanol (4.2), đặt vào máy rung siêu âm (5.6) siêu âm 5 min để đuổi bọt khí.
4.7 Dung môi pha động
Dùng cân phân tích (5.7) cân khoảng 1 g Kali đihiđrophotphat (4.3) vào cốc 1 lít có chứa sẵn 150 ml nước dùng đũa thủy tinh khuấy đều cho tan hết, thêm 850 ml metanol (4.2), thêm 1 ml axit phosphoric (4.4) đặt vào máy rung siêu âm (5.6) siêu âm 5 min, để nguội đến nhiệt độ phòng, lọc qua màng lọc PTFE có kích thước lỗ 0,45 μm.
4.8 Dung dịch chuẩn làm việc
Dùng cân phân tích (5.7) cân khoảng 0,01 g chất chuẩn niclosamide (4.1), chính xác đến 0,00001 g vào bình định mức 20 ml (5.2), hoà tan và định mức đến vạch bằng dung môi pha mẫu (4.6). Đặt vào máy rung siêu âm (5.6) siêu âm trong 5 min, để nguội đến nhiệt độ phòng.
CHÚ THÍCH:
- Chất chuẩn bảo quản trong tủ mát ở (20 ± 4) °C.
- Nếu sử dụng cân có cấp chính xác 0,0001 g thì lượng mẫu và chuẩn tăng lên 10 lần
- Dung dịch chuẩn nên bảo quản trong bình tối màu từ 2 °C đến 4 °C tối đa 30 ngày
- Dung dịch chuẩn nên bảo quản từ 2 °C đến 4 °C, nên sử dụng trong vòng 1 tháng kể từ ngày pha;
- Dung dịch chuẩn phải kiểm tra chất lượng trước khi sử dụng.
5 Dụng cụ, thiết bị
Sử dụng các thiết bị, dụng cụ thông thường của phòng thử nghiệm cụ thể như sau:
5.1 Cốc thủy tinh, dung tích 1000 ml.
5.2 Bình định mức, dung tích 20 ml.
5.3 Pipet một vạch, dung tích 0,5ml; 1 ml.
5.4 Xyranh bơm mẫu, dung tích 50 μI, chia vạch đến μl hoặc bơm mẫu tự động.
5.5 Màng lọc xyranh PTFE, có kích thước lỗ 0,45 pm.
5.6 Bể rung siêu âm.
5.7 Cân phân tích, có độ chính xác đến 0,00001 g.
5.8 Xyranh, dung tích 5ml, dùng cho màng lọc PTFE (5.5)
5.9 Thiết bị sắc ký lỏng hiệu năng cao, được trang bị như sau:
- Detector tử ngoại (UV);
- Hệ thống bơm cao áp;
- Bộ xử lý số liệu (tích phân kế hoặc máy vi tính);
- Cột LiChrospher®RP-18, 250 mm, đường kính 4,6 mm, kích thước hạt 5 μm hoặc loại tương đương;
- Bộ bơm mẫu tự động hoặc bơm mẫu bằng tay;
- Buồng điều nhiệt cột tách có mức điều nhiệt tại 40 °C.
5.10 Thiết bị lọc bằng màng, gồm:
- Bộ lọc dung môi
- Bơm chân không
5.11 Ống đong, dung tích 500 ml
5.12 Rây, đường kính lỗ 2 mm.
6 Cách tiến hành
6.1 Lấy mẫu và chuẩn bị mẫu
6.1.1 Lấy mẫu
Tiêu chuẩn này không quy định việc lấy mẫu.
Nên lấy mẫu theo TCVN 12017 : 2017, Thuốc bảo vệ thực vật - lấy mẫu.
6.1.2 Chuẩn bị mẫu
Mẫu cần được làm đồng nhất trước khi cân: Đối với mẫu dạng lỏng phải lắc đều, nếu bị đông đặc do nhiệt độ thấp cần được làm tan chảy ở nhiệt độ (30 ± 2) °C; đối với mẫu dạng bột và dạng hạt phải được trộn đều; đối với mẫu dạng bả rắn thì phải nghiền mịn và rây qua sàng có đường kính lỗ 2 mm, trộn đều làm mẫu phân tích.
6.1.3 Chuẩn bị dung dịch mẫu thử
Dùng cân phân tích (5.7) cân 02 lượng cân mẫu thử có chứa khoảng 0,01 g hoạt chất niclosamide, chính xác đến 0,00001 g vào bình định mức 20 ml (5.2), hoà tan và định mức đến vạch bằng dung môi pha mẫu (4.6). Đặt vào máy rung siêu âm (5.6) siêu âm trong 5 min, để nguội đến nhiệt độ phòng, lọc qua màng lọc xyranh PTFE 0,45 μm (5.5).
6.2 Xác định hàm lượng hoạt chất
6.2.1 Điều kiện phân tích
Pha động: Theo 4.7
Bước sóng: 236 nm
Tốc độ dòng: 1,0ml/min
Thể tích bơm mẫu: 5 μl
Nhiệt độ buồng cột: 40 °C
6.2.2 Xác định
Bơm dung dịch chuẩn làm việc (4.8) cho đến khi số đo diện tích, thời gian lưu của pic chất chuẩn thay đổi không lớn hơn 1 %. Sau đó bơm lần lượt dung dịch dung dịch mẫu thử (6.1.3), lặp lại 2 lần. Tỷ lệ diện tích pic của mẫu thử so với diện tích pic mẫu chuẩn nằm trong khoảng từ 70 % đến 130 %.
7 Tính kết quả
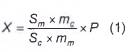
Hàm lượng hoạt chất niclosamide trong mẫu, X, biểu thị bằng phần trăm khối lượng (%) được tính theo công thức 1.

Hàm lượng hoạt chất niclosamide trong mẫu, X’, biểu thị bằng g/l được tính theo công thức (2) và kết quả lấy một chữ số sau dấu phẩy:
![]()
Hàm lượng hoạt chất niclosamide trong mẫu, X’, biểu thị bằng g/kg được tính theo công thức (3) và kết quả lấy một chữ số sau dấu phẩy:
![]()
trong đó:
Sm là số đo diện tích của pic mẫu thử;
Sc là số đo diện tích của pic chuẩn;
mc là khối lượng chất chuẩn, tính bằng gam (g);
mm là khối lượng mẫu thử, tính bằng gam (g);
P là độ tinh khiết của chất chuẩn, tính bằng phần trăm (%).
d là trọng lượng riêng của mẫu (g/ml) ở (20 ± 2) °C
Kết quả phép thử là giá trị trung bình các kết quả của ít nhất hai lần thử được tiến hành song song.
8 Báo cáo thử nghiệm
Báo cáo thử nghiệm phải ghi rõ:
a) mọi thông tin cần thiết về việc nhận biết đầy đủ mẫu thử;
b) phương pháp lấy mẫu đã sử dụng;
c) phương pháp thử đã sử dụng và viện dẫn tiêu chuẩn này;
d) mọi thao tác không được quy định trong tiêu chuẩn này, hoặc những điều được coi là tự chọn, và bất kỳ chi tiết nào có ảnh hưởng tới kết quả;
e) kết quả thử nghiệm thu được, với hai chữ số sau dấu phẩy.
Phụ lục A
Thông tin về hoạt chất metolachlor
(Tham khảo)
A .1 Giới thiệu hoạt chất niclosamide
A.1.1 Công thức cấu tạo:

A.1.2 Tên hoạt chất: Niclosamide
A.1.3 Tên hoá học: IUPAC: 2’,5-dichloro-4’-nitrosalicylanilide
CA: 5-Chloro-2-hydroxy-N-(2-chloro-4-nitrophenyl)-benzamide
| A.1.4 | Công thức phân tử: C13H8Cl2N2O4 |
|
| A.1.5 | Khối lượng phân tử: 327,1 |
|
| A.1.6 | Nhiệt độ nóng chảy: 230 °C |
|
| A.1.7 | Áp suất hơi bão hoà ở 25 °C: 0,013 mPa |
|
| A.1.8 | Độ hòa tan |
|
|
| Dung môi (ở 20 °C) | Độ hòa tan (mg/l) |
|
| Nước (pH 6,4) | 1,6 |
|
| Nước (pH 9,1) | 110 |
|
| Tan tốt trong các dung môi hữu cơ | |
| A.1.9 | Dạng bên ngoài: Tinh thể màu vàng |
|
| A.1.10 | Độ bền: |
|
| DT50 trong nước (ở 20 °C) | Thời gian bán phân hủy |
| pH 6,9 | 7 ngày |
| pH 13 | 18,8 ngày |
A.2 Sắc ký đồ chuẩn của Niclosamide
Hình 1: Sắc ký đồ của chuẩn metolachlor nồng độ 1,0 mg/ml

Hình 2: Sắc ký đồ của mẫu chứa metolachlor nồng độ 1,0 mg/ml

Thư mục tài liệu tham khảo
[1] TCVN 12017: 2017, Thuốc bảo vệ thực vật - Lấy mẫu.
[2] TC 05/CL:2005, thuốc trừ ốc chứa hoạt chất niclosamide- Yêu cầu kỹ thuật và phương pháp thử
[3] CIPAC/599/T C/M
[4] CDS Tomlin, The Pesticide Manual, Thirteeth Edition, 2003
Bạn chưa Đăng nhập thành viên.
Đây là tiện ích dành cho tài khoản thành viên. Vui lòng Đăng nhập để xem chi tiết. Nếu chưa có tài khoản, vui lòng Đăng ký tại đây!