- Tổng quan
- Nội dung
- Tiêu chuẩn liên quan
- Lược đồ
- Tải về
Tiêu chuẩn TCVN 9946-3:2013 Lấy mẫu định lượng để kiểm tra các cá thể đơn chiếc trong lô
| Số hiệu: | TCVN 9946-3:2013 | Loại văn bản: | Tiêu chuẩn Việt Nam |
| Cơ quan ban hành: | Bộ Khoa học và Công nghệ | Lĩnh vực: | Khoa học-Công nghệ |
|
Ngày ban hành:
Ngày ban hành là ngày, tháng, năm văn bản được thông qua hoặc ký ban hành.
|
2013 |
Hiệu lực:
|
Đã biết
|
| Người ký: | Đang cập nhật |
Tình trạng hiệu lực:
Cho biết trạng thái hiệu lực của văn bản đang tra cứu: Chưa áp dụng, Còn hiệu lực, Hết hiệu lực, Hết hiệu lực 1 phần; Đã sửa đổi, Đính chính hay Không còn phù hợp,...
|
Đã biết
|
TÓM TẮT TIÊU CHUẨN VIỆT NAM TCVN 9946-3:2013
Nội dung tóm tắt đang được cập nhật, Quý khách vui lòng quay lại sau!
Tải tiêu chuẩn Việt Nam TCVN 9946-3:2013
TIÊU CHUẨN QUỐC GIA
TCVN 9946-3:2013
ISO/TR 8550-3:2007
HƯỚNG DẪN LỰA CHỌN VÀ SỬ DỤNG HỆ THỐNG LẤY MẪU CHẤP NHẬN ĐỂ KIỂM TRA CÁC CÁ THỂ ĐƠN CHIẾC TRONG LÔ - PHẦN 3: LẤY MẪU ĐỊNH LƯỢNG
Guidance on the selection and usage of acceptance sampling systems for inspection of discrete items in lots - Part 3: Sampling by variables
Lời nói đầu
TCVN 9946-3:2013 hoàn toàn tương đương với ISO/TR 8550-3:2007;
TCVN 9946-3:2013 do Ban kỹ thuật tiêu chuẩn quốc gia TCVN/TC 69 Ứng dụng các phương pháp thống kê biên soạn, Tổng cục Tiêu chuẩn Đo lường Chất lượng đề nghị, Bộ Khoa học và Công nghệ công bố.
Bộ tiêu chuẩn TCVN 9946, chấp nhận bộ tiêu chuẩn ISO/TR 8550, gồm các tiêu chuẩn dưới đây có tên chung “Hướng dẫn lựa chọn và sử dụng hệ thống lấy mẫu chấp nhận để kiểm tra các cá thể đơn chiếc trong lô”:
- TCVN 9946-1:2013 (ISO/TR 8550-1:2007), Phần 1: Lấy mẫu chấp nhận;
- TCVN 9946-2:2013 (ISO/TR 8550-2:2007), Phần 2: Lấy mẫu định tính;
- TCVN 9946-3:2013 (ISO/TR 8550-3:2007), Phần 3: Lấy mẫu định lượng.
Lời giới thiệu
Tiêu chuẩn này đưa ra hướng dẫn lựa chọn hệ thống lấy mẫu chấp nhận để kiểm tra định lượng. Tiêu chuẩn thực hiện điều này chủ yếu thông qua việc xem xét các hệ thống sẵn có đã quy định trong nhiều tiêu chuẩn khác nhau và chỉ ra những cách thức so sánh giữa chúng để đánh giá sự phù hợp cho ứng dụng dự kiến. Tiêu chuẩn giả định là lựa chọn đã được đưa ra là sử dụng lấy mẫu định lượng ưu tiên hơn lấy mẫu định tính.
Tài liệu hướng dẫn tương ứng về việc lựa chọn hệ thống, chương trình hoặc phương án để kiểm tra định tính chung được đề cập trong TCVN 9946-2 (ISO/TR 8550-2).
HƯỚNG DẪN LỰA CHỌN VÀ SỬ DỤNG HỆ THỐNG LẤY MẪU CHẤP NHẬN ĐỂ KIỂM TRA CÁC CÁ THỂ ĐƠN CHIẾC TRONG LÔ - PHẦN 3: LẤY MẪU ĐỊNH LƯỢNG
Guidance on the selection and usage of acceptance sampling systems for inspection of discrete items in lots - Part 3: Sampling by variables
1. Phạm vi áp dụng
Tiêu chuẩn này đưa ra hướng dẫn giới hạn ở lấy mẫu chấp nhận các sản phẩm được cung cấp theo lô và có thể phân loại là gồm các cá thể đơn chiếc (nghĩa là các vật phẩm đơn chiếc). Mỗi cá thể trong lô có thể được xác định và phân biệt với các cá thể khác trong lô đó và có khả năng được lấy mẫu như nhau. Mỗi cá thể sản phẩm có thể đếm được và có các đặc trưng cụ thể đo lường được theo thang đo liên tục. Mỗi đặc trưng có phân bố chuẩn hoặc phân bố có thể chuyển đổi thành gần giống với phân bố chuẩn, ít nhất ở phép xấp xỉ tốt.
Các tiêu chuẩn về lấy mẫu chấp nhận định lượng có thể áp dụng cho nhiều trường hợp kiểm tra khác nhau. Bao gồm:
a) cá thể cuối, như thành phẩm hoặc cụm lắp ráp con;
b) thành phần và nguyên liệu thô;
c) dịch vụ;
d) vật liệu trong quá trình;
e) hàng dự trữ trong kho;
f) hoạt động bảo dưỡng;
g) dữ liệu hay hồ sơ;
h) các thủ tục quản lý,...
Mặc dù tiêu chuẩn này được biên soạn chủ yếu về sản xuất và chế tạo nhưng nó có thể áp dụng cho việc lựa chọn hệ thống, chương trình hoặc phương án lấy mẫu dùng cho mọi loại sản phẩm và quá trình như được xác định trong TCVN ISO 9000 (ISO 9000).
2. Tài liệu viện dẫn
Tài liệu viện dẫn trong tiêu chuẩn này rất cần thiết cho việc áp dụng tiêu chuẩn. Đối với các tài liệu có ghi năm công bố thì áp dụng bản được nêu. Đối với các tài liệu không ghi năm công bố thì áp dụng phiên bản mới nhất, bao gồm cả các sửa đổi.
TCVN 9946-1:2013 (ISO/TR 8550-1:2007), Hướng dẫn lựa chọn và sử dụng hệ thống lấy mẫu chấp nhận để kiểm tra các cá thể đơn chiếc trong lô - Phần 1: Lấy mẫu chấp nhận.
3. Tính chuẩn
3.1. Mối quan hệ giữa dạng phân bố của đặc trưng chất lượng và phần trăm không phù hợp
Khía cạnh chính của lấy mẫu định lượng là dạng phân bố của đặc trưng chất lượng. Xét một đặc trưng chất lượng. Nếu nó có phân bố chuẩn và nếu giới hạn quy định trên nằm ở giá trị trung bình cộng với hai độ lệch chuẩn, thì phần trăm không phù hợp là khoảng 2,5 %. Nếu giới hạn quy định nằm ở trung bình cộng với ba độ lệch chuẩn thì phần trăm không phù hợp là khoảng 0,1 %. Tuy nhiên, nếu phân bố của đặc trưng chất lượng đó không phải là phân bố chuẩn và có độ bất đối xứng dương lớn, nghĩa là đuôi dài sang bên phải, với giới hạn quy định trên nằm ở trung bình cộng với ba độ lệch chuẩn thì tỷ lệ phần trăm không phù hợp có thể lên đến 10 % chứ không phải là 0,1 % (xem Hình 1 và Hình 2).
Vì vậy, bất cứ khi nào sử dụng phương án lấy mẫu để kiểm tra định lượng phần trăm không phù hợp, cần chú ý kiểm tra giả định về hình dạng của phân bố, đặc biệt là đuôi của phân bố đó. Nếu AQL rất nhỏ, ví dụ 0,1 %, thì cần tiến hành nghiên cứu vài nghìn cá thể, bao gồm cả việc kiểm nghiệm dạng phân bố.
3.2. Xác định sai lệch khỏi tính chuẩn
3.2.1. Đánh giá chủ quan
Mức độ mẫu thể hiện là lấy từ một phân bố chuẩn có thể được đánh giá chủ quan bằng biểu đồ xác suất chuẩn. Biểu đồ như vậy được hình thành theo cách thức sau đây. Chọn một mẫu ngẫu nhiên và đo đặc trưng chất lượng x cho từng cá thể, giá trị x1, x2, …, xn được sắp xếp theo thứ tự tăng dần x[1], x[2], …, x[n] sao cho x[1] £ x[2] £ … £ x[n]. Sau đó, vẽ các điểm có trục tọa độ {x[i], (i – 3/8) / (n + 1/4)} trên giấy xác suất chuẩn đối với i = 1,2, …, n. Để tạo thuận lợi cho quá trình này, giấy xác suất chuẩn A4 có thể sao chụp được cung cấp trong Phụ lục A.

CHÚ DẪN
1 giới hạn quy định trên
2 cao hơn quy định 0,1 %
Hình 1 - Phân bố chuẩn

CHÚ DẪN
1 giới hạn quy định trên
Hình 2 - Phân bố có độ bất đối xứng dương lớn
Hình 3 thể hiện biểu đồ xác suất chuẩn của mẫu ngẫu nhiên cỡ 100 từ phân bố chuẩn. Giấy đồ thị được thiết kế đặc biệt sao cho dữ liệu thu được từ phân bố chuẩn có xu hướng nằm gần với đường thẳng. Đường thẳng được vẽ bằng mắt thông qua các dữ liệu, cho thấy trong trường hợp này chỉ có sai lệch nhỏ so với tính tuyến tính.
Khi dữ liệu bắt nguồn từ phân bố chuẩn, sai lệch của đồ thị xác suất so với tính tuyến tính chỉ là do các dao động lấy mẫu. Ngược lại, dữ liệu từ các loại phân bố khác sẽ có xu hướng thể hiện sai lệch so với tính tuyến tính của loại đặc trưng, giúp xác định dữ liệu thuộc về họ phân bố nào. Sự hiểu biết về hộ phân bố này có thể chỉ ra sự chuyển đổi phù hợp đối với dữ liệu để đưa chúng về gần với tính chuẩn hơn.
Hình 4 đến Hình 7 thể hiện hàm mật độ và ví dụ về đồ thị xác suất chuẩn dựa trên mẫu ngẫu nhiên cỡ 100, tương ứng, đối với phân bố lôga chuẩn, Cauchy, Laplace và hàm mũ. Trên đồ thị xác suất chuẩn đối với Hình 4 đến Hình 6, một đường thẳng được vẽ qua các điểm dữ liệu để hỗ trợ mắt trong việc xác định những khác biệt của đặc trưng.
Đối với phân bố lôga chuẩn, có một sự lõm xuống rõ rệt.
Phân bố Cauchy hầu như không thể phân biệt được với phân bố chuẩn về phía tâm của nó nhưng độ dày thêm ở phần đuôi của nó trên đồ thị tương đối cao đối với các giá trị x thấp và tương đối thấp đối với các giá trị x cao, các cực trị của đồ thị hầu như nằm ngang.
Phân bố Laplace cũng tương tự, ngoài ra có một vùng ngắn hơn trong đồ thị xác suất chuẩn, trong đó không thể phân biệt được với phân bố chuẩn và các cực trị của đồ thị nằm xa trục hoành.
Đồ thị xác suất chuẩn đối với phân bố hàm mũ có hình dạng rất đặc trưng, tăng rất dốc ở bên trái và hầu như trở thành đường nằm ngang về phía bên phải.
Đây là một lựa chọn nhỏ từ nhiều phân bố có thể phát sinh dữ liệu. Trong một số trường hợp, ví dụ phân bố lôga chuẩn, phân bố có thể được biến đổi chính xác thành phân bố chuẩn mà không cần biết các tham số của nó (xem 3.3.2 và 3.3.3). Trong các trường hợp khác, có thể đạt được xấp xỉ chuẩn, ví dụ bằng cách sử dụng phép biến đổi căn bậc bốn của các biến phân bố theo hàm mũ, như thể hiện bởi Kittlitz [20]. Trong các trường hợp khác, không thể thực hiện lấy mẫu chấp nhận định lượng nếu không điều chỉnh phương pháp theo họ phân bố. Nếu không có phương pháp như vậy thì thay vào đó có thể phải sử dụng lấy mẫu chấp nhận định tính, tổn thất về hiệu suất sẽ nhiều hơn được bù đắp nhờ sự gia tăng tính toàn vẹn của các kết quả lấy mẫu chấp nhận.
Hình 4 đến Hình 7 thể hiện các biểu đồ xác suất chuẩn cho mẫu cỡ 100. Thường sẽ không có cỡ mẫu lớn như vậy. Với các mẫu nhỏ, sự sai lệch so với tính tuyến tính của đồ thị xác suất chuẩn sẽ ít rõ ràng hơn do tính không chuẩn hoặc đơn thuần do dao động trong lấy mẫu. Trong trường hợp nghi ngờ, cần thay thế đánh giá chủ quan sai lệch so với tính chuẩn bằng kiểm nghiệm thống kê khách quan, như thảo luận ở 3.2.2.
Thông tin thêm về kiểm nghiệm sai lệch so với tính chuẩn được nêu trong TCVN 9603 (ISO 5479) và ISO 2854:1976, Điều 2.

CHÚ DẪN
X đặc trưng chất lượng, x
Y mật độ xác suất của x
a) Phân bố chuẩn

b) Đồ thị xác suất chuẩn của mẫu ngẫu nhiên cỡ 100 từ phân bố chuẩn
Hình 3 - Phân bố chuẩn và đồ thị xác suất chuẩn

CHÚ DẪN
X đặc trưng chất lượng, x
Y mật độ xác suất của x
a) Phân bố lôga chuẩn

b) Đồ thị xác suất chuẩn của mẫu ngẫu nhiên cỡ 100 từ phân bố lôga chuẩn
Hình 4 - Phân bố lôga chuẩn và đồ thị xác suất chuẩn

CHÚ DẪN
X đặc trưng chất lượng, x
Y mật độ xác suất của x
a) Phân bố Cauchy

b) Đồ thị xác suất chuẩn của mẫu ngẫu nhiên cỡ 100 từ phân bố Cauchy
Hình 5 - Phân bố Cauchy và đồ thị xác suất chuẩn

CHÚ DẪN
X đặc trưng chất lượng, x
Y mật độ xác suất của x
a) Phân bố Laplace

b) Đồ thị xác suất chuẩn của mẫu ngẫu nhiên cỡ 100 từ phân bố Laplace
Hình 6 - Phân bố Laplace và đồ thị xác suất chuẩn

CHÚ DẪN
X đặc trưng chất lượng, x
Y mật độ xác suất của x
a) Phân bố hàm mũ

b) Đồ thị xác suất chuẩn của mẫu ngẫu nhiên cỡ 100 từ phân bố hàm mũ
Hình 7 - Phân bố hàm mũ và đồ thị xác suất chuẩn
3.2.2. Kiểm nghiệm thống kê sai lệch so với tính chuẩn
3.2.2.1. Kiểm nghiệm có hướng và vô hướng
Kiểm nghiệm thống kê được sử dụng để xác định mức độ theo đó bằng chứng sẵn có không ủng hộ giả thuyết không cho trước, H0. Hiệu lực của phép kiểm nghiệm là xác suất bác bỏ giả thuyết H0 ủng hộ đối giả thuyết H1 khi đối giả thuyết là đúng.
Khi kiểm nghiệm sai lệch so với tính chuẩn, giả thuyết không H0 là phân bố đó là chuẩn trong khi đối giả thuyết H1 là không phải phân bố chuẩn. Nếu đối giả thuyết cụ thể hơn, nêu rõ phân bố thuộc về họ phân bố khác, thì kiểm nghiệm được gọi là có hướng. Nếu không thì được gọi là kiểm nghiệm vô hướng.
Trong cả hai trường hợp, thống kê T được tính từ bằng chứng mẫu, và H0 bị bác bỏ nếu giá trị của T nằm trong vùng được gọi là miền tới hạn. Miền tới hạn được chọn sao cho xác suất T nằm trong miền tới hạn khi H0 đúng là một đại lượng nhỏ, thường là 5 %. Đối với kiểm nghiệm vô hướng, miền tới hạn đơn giản gồm các giá trị của T nằm cách xa giá trị dự kiến của T theo H0. Đối với kiểm nghiệm có hướng, miền tới hạn gồm các giá trị của T ở đó hiệu lực của phép kiểm nghiệm lớn nhất.
Do đó, nói chung, phép kiểm nghiệm đạt hiệu lực lớn hơn nhờ mức độ cụ thể có thể chứng minh về đối giả thuyết, nghĩa là về tính chất có thể sai lệch so với giả thuyết không.
Thông thường, hiệu lực cũng tăng khi tăng cỡ mẫu làm cơ sở tính T.
3.2.2.2. Kiểm nghiệm có hướng
TCVN 9603:2013 (ISO 5479:1997) đưa ra hai phép kiểm nghiệm có hướng: kiểm nghiệm độ bất đối xứng và kiểm nghiệm độ nhọn (nghĩa là tính đỉnh). Kiểm nghiệm đồng thời hai hướng đối với độ bất đối xứng và độ nhọn cũng được đề cập. Thống kê kiểm nghiệm độ bất đối xứng và độ nhọn đối với n quan trắc x1, x2, …, xn tương ứng là các hệ số mômen:
và ![]()
trong đó:
đối với j = 2, 3 và 4.
3.2.2.3. Kiểm nghiệm vô hướng
TCVN 9603:2013 (ISO 5479:1997) cũng đưa ra hai phép kiểm nghiệm vô hướng: kiểm nghiệm Shapiro-Wilk và kiểm nghiệm Epps-Pulley. Thống kê kiểm nghiệm đối với kiểm nghiệm Shapiro-Wilk là hàm tuyến tính của các quan trắc xếp thứ tự. Thống kê kiểm nghiệm Epps-Pulley thực hiện hơi phức tạp hơn vì nó liên quan đến tổng và tổng kép của các đại lượng hàm mũ. Quy tắc ngón tay cái được đưa ra cho quyết định chọn loại nào trong tình huống cho trước.
3.3. Chuyển đổi thành chuẩn
3.3.1. Chuẩn hóa và ổn định phương sai
Nhiều phân tích phương sai không có hiệu lực nếu đặc trưng chất lượng được phân tích có phương sai không đồng nhất, nghĩa là phương sai của nó thay đổi cùng với trung bình của nó. Phép biến đổi toán học của đặc trưng làm gần như cân bằng phương sai cho toàn bộ các giá trị trung bình được gọi là phép biến đổi ổn định phương sai. Thông thường, phép chuyển đổi dữ liệu như vậy để loại trừ phương sai không đồng nhất, nghĩa là làm đồng nhất phương sai dữ liệu, còn có tác dụng làm cho dữ liệu chuẩn hơn. Nói cách khác, phép chuyển đổi ổn định phương sai thường là các phép chuyển đổi chuẩn hóa.
Quy tắc xác định phép chuyển đổi xấp xỉ được nêu dưới đây. Nếu độ lệch chuẩn s của một đặc trưng quá trình x có thể biểu thị gần đúng là hàm h(m), trong đó m là trung bình tương ứng của đặc trưng, thì chuyển đổi ổn định phương sai gần đúng của x là g(x), trong đó:
(1)
Ví dụ về sử dụng phương pháp này được nêu trong 3.3.2 và 3.3.3.
Nếu kiểm nghiệm sai lệch so với chuẩn chỉ ra rằng x là không chuẩn thì việc sử dụng y = g(x) cần được xem xét thay cho x.
3.3.2. Chuyển đổi căn bậc hai
Trường hợp s là hằng số nhân của
, nghĩa là
, trong đó c là hằng số, thì, từ Biểu thức (1):

Vì hệ số 2/c không có ảnh hưởng đến tính ổn định của phương sai nên nó có thể được bỏ qua. Do đó, chuyển đổi ổn định phương sai gần đúng là phép chuyển đổi căn bậc hai:
![]()
Độ lệch chuẩn của g(x) xấp xỉ bằng c/2.
3.3.3. Chuyển đổi lôgarit
Khi s là hằng số nhân của m, nghĩa là h(m) = cm, trong đó c là hằng số, thì, từ Biểu thức (1):

Vì hệ số 1/c không có ảnh hưởng đến tính ổn định của phương sai nên nó có thể được bỏ qua. Do đó, chuyển đổi ổn định phương sai gần đúng là phép chuyển đổi lôgarit:
g(x) = Inx.
Độ lệch chuẩn của g(x) xấp xỉ bằng c.
Phép chuyển đổi này có thể phù hợp khi đặc trưng chất lượng là phương sai mẫu dựa trên cỡ mẫu n, trong trường hợp
.
3.3.4. Chuyển đổi Box-Cox
Phép chuyển đổi tổng quát, do Box và Cox[19] đề xuất, là đặt
.
trong đó l > 0.
Chú ý là:
- đặt l bằng 1 đơn giản là dịch chuyển phân bố hiện có, giữ hình dạng ban đầu của nó không đổi;
- đặt l bằng 0,5 tương đương với trước tiên sử dụng chuyển đổi căn bậc hai rồi sau đó dịch chuyển và lập lại thang đo cho phân bố thu được;
- để l tiến về "không" tương đương với sử dụng chuyển đổi lôgarit, nghĩa là tương đương với đặt g(x) = Inx.
Tuy nhiên, l không giới hạn ở lấy một trong các giá trị cụ thể này nên có thể tìm được giá trị của l lớn hơn "không" làm chuẩn hóa tốt nhất phân bố bằng cách thử và sai lầm hoặc bằng phương pháp tối ưu hóa nào đó áp dụng cho dữ liệu trước đó.
Phép chuyển đổi Box-Cox tổng quát hơn là:
đối với l1 > 0 và l2 > - x[1].
Phép chuyển đổi này dịch chuyển hiệu quả phân bố của x một lượng l2 trước khi áp dụng chuyển đổi lũy thừa Box-Cox đơn giản hơn. Kết quả là phép chuyển đổi tổng quát hơn không đòi hỏi tất cả các giá trị dữ liệu phải dương. Vì phép chuyển đổi tổng quát hơn có hai tham số nên nó cho phép chuyển đổi dải họ phân bố lớn hơn thành chuẩn.
4. Loại kiểm soát
4.1. Kiểm soát một đặc trưng chất lượng
4.1.1. Khái quát
Lấy mẫu chấp nhận định lượng có thể trở nên phức tạp khi có hai hoặc nhiều đặc trưng chất lượng, vì vậy nội dung này trước hết xét trường hợp chỉ có một đặc trưng chất lượng được kiểm soát. Vì chuẩn mực chấp nhận đối với một đặc trưng chất lượng bao gồm
và s hoặc
và s nên luôn có thể trình bày bằng biểu đồ cũng như bằng phép tính đại số. Trình bày bằng biểu đồ các chuẩn mực chấp nhận được gọi là biểu đồ chấp nhận.
Trong trường hợp một đặc trưng chất lượng, có nhiều phương pháp kiểm soát có thể sử dụng như được nêu trong 4.1.2 và 4.1.3.
4.1.2. Một giới hạn quy định
Trường hợp đơn giản nhất của một đặc trưng chất lượng là khi có một giới hạn quy định, nghĩa là chỉ giới hạn trên hoặc giới hạn dưới cho giá trị của đặc trưng được quy định chứ không phải cả hai. Kiểm soát đặc trưng như vậy bằng lấy mẫu định lượng tương đối đơn giản, đòi hỏi trung bình mẫu nằm cách giới hạn quy định một khoảng ít nhất bằng một bội số cho trước, ký hiệu là k, của độ lệch chuẩn mẫu (hoặc độ lệch chuẩn quá trình, nếu biết). Khi chuẩn mực chấp nhận được biểu thị theo hệ số k này, phương pháp được mô tả là "Dạng k" (xem 5.2).
4.1.3. Hai giới hạn quy định
4.1.3.1. Khái quát
Phức tạp hơn là trường hợp một đặc trưng chất lượng có hai giới hạn quy định, nghĩa là cả giới hạn trên và giới hạn dưới cho giá trị của đặc trưng được quy định. Trong trường hợp này, có ba phương thức kiểm soát.
4.1.3.2. Kiểm soát kết hợp
Hai giới hạn quy định được gọi là trong trạng thái kiểm soát kết hợp khi tỷ lệ không phù hợp vượt quá cả hai giới hạn thuộc về cùng một loại, áp dụng cùng một AQL. Nghĩa là, sự không phù hợp vượt quá một trong hai giới hạn gần như có cùng mức độ nghiêm trọng.
VÍ DỤ 1: Hệ thống dẫn hướng vũ khí cần được thử theo mục tiêu di động. Mất mục tiêu sang trái hay sang phải đều không đáp ứng như nhau nên kiểm soát kết hợp cả hai phía mục tiêu là phù hợp trong trường hợp này.
Dạng k không thích hợp cho kiểm soát kết hợp. Thay vào đó, Dạng p* được sử dụng, nghĩa là lô chỉ được chấp nhận nếu ước lượng tỷ lệ không phù hợp của quá trình nhỏ hơn giá trị p* đã cho. Nói cách khác, p* là ước lượng lớn nhất của tỷ lệ không phù hợp của quá trình được coi là chấp nhận được đối với cỡ mẫu và AQL đã cho.
4.1.3.3. Kiểm soát riêng rẽ
Hai giới hạn quy định được gọi là trong trạng thái kiểm soát riêng rẽ khi tỷ lệ không phù hợp vượt quá hai giới hạn thuộc về các loại khác nhau, áp dụng các AQL khác nhau.
Nghĩa là, sự không phù hợp vượt quá mỗi trong hai giới hạn có mức độ nghiêm trọng khác nhau. AQL dùng cho loại có độ nghiêm trọng lớn hơn sẽ nhỏ hơn so với AQL dùng cho loại kia.
VÍ DỤ 2: Trong một nhà máy đóng chai, việc đong thừa sẽ dẫn đến giảm biên lợi nhuận, trong khi đong thiếu còn nghiêm trọng hơn nhiều vì nó có thể dẫn đến vi phạm về cân, đo, phạt tài chính, công luận xấu và mất uy tín. Vì vậy, giới hạn quy định dưới trong trường hợp này cần có AQL nhỏ hơn nhiều so với giới hạn quy định trên.
Đối với kiểm soát riêng rẽ, chuẩn mực chấp nhận Dạng k có thể áp dụng riêng cho từng giới hạn. Lô được chấp nhận nếu cả hai chuẩn mực chấp nhận được đáp ứng.
4.1.3.4. Kiểm soát phức hợp
Hai giới hạn quy định được gọi là trong trạng thái kiểm soát phức hợp khi tỷ lệ không phù hợp vượt quá giới hạn có mức độ nghiêm trọng lớn hơn thuộc về một loại, áp dụng AQL đã cho, và tỷ lệ không phù hợp kết hợp vượt quá cả hai giới hạn thuộc về một loại khác, áp dụng AQL lớn hơn. Điều này cho phép sự đánh đổi giữa các tỷ lệ không phù hợp ở cả hai đầu phân bố của các giá trị đặc trưng chất lượng trong khi vẫn duy trì kiểm soát phần trăm không phù hợp ở đầu quan trọng hơn của phân bố là mối quan tâm lớn nhất.
VÍ DỤ 3: Mảnh gỗ, cung cấp theo lô và sử dụng trong xây dựng đồ nội thất sân vườn, có chiều dài quy định là từ 86,5 cm đến 86,7 cm. Các mảnh gỗ quá lớn có thể được rút ngắn nhưng những mảnh quá ngắn thì không thể sử dụng được và cần phải thay thế, điều này làm tiêu tốn thời gian hơn và có thể ảnh hưởng đến sản xuất. AQL bằng 2,5 % được đặt kết hợp cho cả hai giới hạn, với một AQL khác cho giới hạn dưới là 0,65 %.
Kiểm soát phức hợp là tổ hợp kiểm soát kết hợp cả hai giới hạn cùng với chỉ kiểm soát một trong các giới hạn này. Vì vậy, Dạng k lại không thích hợp cho tình huống này, nên phải sử dụng Dạng p*.
4.2. Kiểm soát hai hoặc nhiều đặc trưng chất lượng
4.2.1. Khái quát
Số lượng tổ hợp kiểm soát có thể có sẽ trở nên rất nhiều khi số lượng đặc trưng chất lượng tăng lên. Vì vậy, thảo luận dưới đây giới hạn ở việc đưa ra ví dụ trong trường hợp hai đặc trưng chất lượng x và y.
4.2.2. Ví dụ về kiểm soát hai đặc trưng chất lượng độc lập
4.2.2.1. Khái quát
Đối với hầu hết các trường hợp hai hoặc nhiều đặc trưng chất lượng, cần sử dụng Dạng p*. Để ngắn gọn, tất cả các ví dụ được đưa ra đối với hai biến được cho theo Dạng p*.
Trong tất cả các trường hợp, giả định rằng có một chuẩn mực chấp nhận được quy định cho mỗi loại không phù hợp và lô chỉ được chấp nhận nếu chuẩn mực đối với mỗi và từng loại được đáp ứng.
4.2.2.2. Ký hiệu
Với hai đặc trưng chất lượng, cần có ký hiệu mới. Hai đặc trưng chất lượng được ký hiệu là x và y. Giới hạn quy định dưới và trên đối với x được ký hiệu tương ứng là L(x) và U(x), đối với y là L(y) và U(y). Tỷ lệ không phù hợp của quá trình vượt quá mỗi trong số bốn giới hạn này được ký hiệu tương ứng là pL(x), pU(x), pL(y) và pU(y) còn ước lượng của chúng ký hiệu là 
Do sự độc lập giữa x và y nên tổng tỷ lệ không phù hợp của quá trình trong một loại sẽ bao gồm sự không phù hợp ở cả bốn giới hạn này và được cho bởi:
p = 1 - [1 - pL(x) - pU(x)] [1 - pL(y) - pU(y)] (2)
và ước lượng của nó:
(3)
Loại không phù hợp được chỉ ra bằng chỉ số dưới phù hợp từ A, B,... gán cho p hoặc
. Biểu thức (2) và (3) có thể sử dụng một cách tổng quát với các phần tử không bao gồm trong loại này được đặt là "không". Các ví dụ dưới đây minh họa điều này.
Chú ý là nếu pL(x), pU(x), pL(y) và pU(y) đều rất nhỏ thì p @ pL(x) + pU(x) + pL(y) + pU(y), tương tự, nếu
đều rất nhỏ thì 
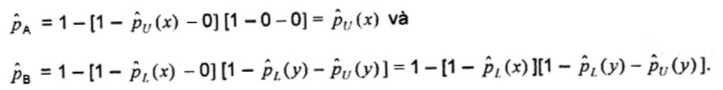
4.2.2.3. Ví dụ về kiểm soát một loại (Ví dụ 4)
Đối với một loại A gồm pL(x), pU(x), pL(y) và pU(y), đặt pL(y) = 0 trong Biểu thức (2), ta được:
pA = 1 - [1 - pL(x) - pU(x)] [1 - pU(y)]
Tương tự, đặt
trong Biểu thức (3), ta được 
pL(x) và pU(x) được kiểm soát kết hợp. Điều quan trọng là nhận ra điều này khi độ lệch chuẩn quá trình được giả định là đã biết (xem 5.3.4.2).
4.2.2.4. Ví dụ về kiểm soát hai loại (Ví dụ 5, 6 và 7)
4.2.2.4.1. Ví dụ 5
Nếu loại A gồm pU(x) còn loại B gồm pL(x), pL(y) và pU(y) thì từ Biểu thức (3):

CHÚ THÍCH: pL(x) và pU(x) được kiểm soát riêng rẽ, trong khi pL(y) và pU(y) được kiểm soát kết hợp. Điều quan trọng là nhận ra điều này khi độ lệch chuẩn quá trình đối với x và y được giả định là đã biết (xem 5.3.4.2).
4.2.2.4.2. Ví dụ 6
Nếu loại A gồm pL(x) và pL(y) trong khi loại B gồm pU(x) và pU(y) thì:

CHÚ THÍCH: pL(x) và pU(x) được kiểm soát riêng rẽ, còn pL(y) và pU(y) cũng được kiểm soát riêng rẽ. Điều quan trọng là nhận ra điều này khi độ lệch chuẩn quá trình đối với x và y được giả định là đã biết (xem 5.3.4.2).
4.2.2.4.3. Ví dụ 7
Nếu loại A gồm pU(x) trong khi loại B gồm pU(x), pL(y) và pU(y) thì:

CHÚ THÍCH: pU(x), pL(y) và pU(y), được kiểm soát phức hợp, trong khi pL(y) và pU(y), được kiểm soát kết hợp. Một lần nữa, điều quan trọng là nhận ra điều này khi độ lệch chuẩn quá trình đối với x và y được giả định là đã biết (xem 5.3.4.2).
4.2.2.5. Ví dụ về kiểm soát ba loại (Ví dụ 8)
Nếu loại A gồm pL(x), loại B gồm pU(y) và loại C gồm pL(y) thì:

CHÚ THÍCH: pL(y) và pU(y) được kiểm soát riêng rẽ, là điều quan trọng nếu độ lệch chuẩn quá trình của y được giả định là đã biết (xem 5.3.4.2).
5. Dạng chuẩn mực chấp nhận
5.1. Khái quát
5.1.1. Mục tiêu của kiểm nghiệm khả năng chấp nhận
8.3.3 của TCVN 7790-1 (ISO 2859-1) giải thích rằng chỉ đường đặc trưng hiệu quả Loại B là thích hợp cho lấy mẫu định lượng. Do đó, tỷ lệ không phù hợp của quá trình tại thời điểm lô đã được tạo ra sẽ được đánh giá chứ không phải là tỷ lệ không phù hợp của lô hiện đang được đánh giá. Đối với tất cả các chuẩn mực chấp nhận, giá trị đánh giá được này được so sánh, hàm ý hay rõ ràng, với giới hạn trên.
Hằng số chấp nhận đề cập trong điều này được cho trong [TCVN 8243-1 (ISO 3951-1)] (Dạng k) và [TCVN 8243-2 (ISO 3951-2)] (Dạng k và Dạng p*).
5.1.2. Phương pháp "s" và phương pháp "s"
Nếu độ lệch chuẩn quá trình s chưa biết thì ước lượng bằng độ lệch chuẩn mẫu s tương ứng. Quy trình lấy mẫu chấp nhận dựa trên s được gọi chung là phương pháp "s". Ngược lại, các quy trình lấy mẫu chấp nhận dựa trên s được gọi chung là phương pháp "s".
Theo giá trị thống kê chất lượng, phương pháp "s" có ít độ không đảm bảo, điều này thường dẫn đến yêu cầu cỡ mẫu nhỏ hơn, đặc biệt trong trường hợp các lô lớn.
CHÚ THÍCH: Độ lệch chuẩn quá trình, mặc dù không bao giờ biết được chính xác, đôi khi có thể biết đủ đúng cho mục đích thực hành.
5.1.3. Độ lệch chuẩn lớn nhất
5.1.3.1. Độ lệch chuẩn mẫu lớn nhất, smax
Đối với kiểm soát hai giới hạn quy định theo phương pháp "s", có giới hạn cho s cao hơn sẽ làm cho lô không thể đáp ứng chuẩn mực chấp nhận. Giới hạn này được gọi là độ lệch chuẩn mẫu lớn nhất smax. Giá trị của smax sẽ khác nhau tùy thuộc vào kiểm soát là riêng rẽ, kết hợp hay phức hợp, và kiểm tra là kiểm tra thường, ngặt hay giảm. Vì lý do kỹ thuật, một tùy chọn trong phương pháp "s" là trước tiên kiểm tra việc s không vượt quá smax tương ứng. Ưu điểm của việc làm này là khi s vượt quá smax thì có thể không chấp nhận lô ngay mà không cần thực hiện bất kỳ tính toán số nào.
Bộ tiêu chuẩn ISO 3951 đưa ra các giá trị hệ số cho smax đối với kiểm soát kết hợp trong kiểm tra thường, ngặt và giảm. Mỗi trong số chúng là một bảng hai chiều, với chữ mã cỡ mẫu được lập bảng theo AQL.
Các bảng hệ số cho smax không được đưa ra cho kiểm soát riêng rẽ hoặc phức hợp vì sẽ cần các bảng ba chiều. Đối với kiểm soát riêng rẽ, sẽ cần lập bảng chữ mã cỡ mẫu theo cả AQL ở giới hạn quy định dưới và AQL ở giới hạn quy định trên. Tương tự, đối với kiểm soát phức hợp, cần lập bảng chữ mã cỡ mẫu theo AQL đối với giới hạn quy định một phía và AQL cho cả hai giới hạn quy định kết hợp. Vì mỗi trong số các phương pháp kiểm soát này đòi hỏi trên 12 bảng và vì kiểm tra ban đầu s theo smax là tùy chọn nên các bảng như vậy không được đưa ra trong tiêu chuẩn.
5.1.3.2. Độ lệch chuẩn quá trình lớn nhất, smax
Đối với kiểm soát hai giới hạn quy định theo phương pháp "s", có giới hạn cho s cao hơn sẽ làm cho lô không thể đáp ứng chuẩn mực chấp nhận. Giới hạn này được gọi là độ lệch chuẩn quá trình lớn nhất smax. Giá trị của smax sẽ khác nhau tùy thuộc vào kiểm soát áp dụng là riêng rẽ, kết hợp hay phức hợp. Vì lý do kỹ thuật, trong phương pháp "s" cần đảm bảo rằng s không vượt quá smax tương ứng. Việc này thường được thực hiện trước tiên nhằm tránh những tính toán không cần thiết.
Bảng smax nhỏ hơn và ít hơn so với smax vì smax
- độc lập với cỡ mẫu, và vì vậy không phụ thuộc vào chữ mã cỡ mẫu, nên bảng dùng cho kiểm soát kết hợp là một chiều còn các bảng dùng cho kiểm soát riêng rẽ và phức hợp là hai chiều, và
- được xác định theo kịch bản trường hợp xấu nhất là kiểm tra ngặt, vì vậy nó không phụ thuộc vào mức độ khắc nghiệt của kiểm tra.
5.2. Quy trình dạng k đối với phương án lấy mẫu một lần
5.2.1. Khả năng áp dụng
Quy trình dạng k áp dụng được cho một đặc trưng chất lượng khi cần kiểm soát một giới hạn quy định hoặc kiểm soát riêng rẽ hai giới hạn quy định. Giá trị của hằng số chấp nhận k phụ thuộc vào cỡ lô, giới hạn chất lượng chấp nhận (AQL), bậc kiểm tra và việc độ lệch chuẩn quá trình s đã biết hay chưa. Trong lấy mẫu một lần, việc xác định khả năng chấp nhận lô được dựa trên một mẫu lấy từ lô đó.
5.2.2. Dạng k với một giới hạn quy định
Trong trường hợp một giới hạn quy định, lô được chấp nhận nếu thống kê chất lượng Q lớn hơn hoặc bằng hằng số chấp nhận k. Thống kê chất lượng đo mức độ trung bình mẫu nằm trong phạm vi giới hạn quy định, như bội số của độ lệch chuẩn mẫu hoặc quá trình, chọn giá trị nào thích hợp.
a) Trong trường hợp giới hạn quy định trên U, thống kê chất lượng được xác định:
1) theo phương pháp "s":
(4)
2) theo phương pháp "s":
(5)
b) Trong trường hợp giới hạn quy định dưới, thống kê chất lượng được xác định:
1) theo phương pháp "s":
(6)
2) theo phương pháp "s":
(7)
Bất kể công thức nào là thích hợp cho Q, chuẩn mực chấp nhận đòi hỏi trung bình mẫu ít nhất nằm trong giới hạn quy định là k độ lệch chuẩn, ví dụ:
(8)
có thể viết theo cách khác là:
(9)
Biểu đồ chấp nhận đối với một giới hạn quy định trên được thể hiện trên Hình 8.

Hình 8 - Biểu đồ chấp nhận đối với một giới hạn quy định trên là 110, chữ mã cỡ mẫu G, phương pháp "s", AQL = 1 %: n = 18, k = 2,770
5.2.3. Dạng k với một giới hạn quy định
Trong trường hợp kiểm soát riêng rẽ hai giới hạn quy định, giới hạn trên và giới hạn dưới thuộc về hai loại khác nhau với AQL khác nhau phản ánh mức độ nghiêm trọng khác nhau của chúng. Điều này dẫn đến các hằng số chấp nhận Dạng k khác nhau được ký hiệu tương ứng là kU và kL. Ký hiệu thống kê chất lượng tương ứng là QU và QL, lô chỉ được coi là chấp nhận được nếu QU ³ kU và QL ³ kL.
Trong trường hợp chưa biết độ lệch chuẩn quá trình (phương pháp "s"), hai bất đẳng thức này có thể được viết là:
L + kLs £
£ U -kUs.
Kéo theo:
L + kLs £ U - kUs,
từ đó có thể rút ra là:
(10)
Nói cách khác, nếu bất đẳng thức (10) không thỏa mãn thì cũng đồng thời không thỏa mãn hai bất đẳng thức QU ³ kU và QL ³ kL. Vì vậy, vế phải của bất đẳng thức (10) là smax đối với hai giới hạn quy định riêng rẽ.
Biểu đồ chấp nhận đối với kiểm soát riêng rẽ hai giới hạn quy định theo phương pháp "s" được thể hiện trên Hình 9. Bằng cách chuyển đổi đơn giản các trục, hình vẽ đã được chuẩn hóa để áp dụng giá trị bất kỳ của giới hạn quy định trên và dưới U và L.

Hình 9 - Biểu đồ chấp nhận chuẩn hóa đối với kiểm soát riêng rẽ hai giới hạn quy định: phương pháp "s", chữ mã cỡ mẫu G, AQL là 0,40 % giới hạn dưới và 1,0 % giới hạn trên
Đối với phương pháp "s", phương pháp nhờ đó từng giá trị của smax được tính toán còn phức tạp hơn. Trước tiên, hằng số chấp nhận trong kiểm tra ngặt được xác định. Sau đó, tìm các AQL ứng với các hằng số chấp nhận này trong kiểm tra thường, gọi là aU và aL. Cuối cùng, giá trị của smax được tính là:
(11)
trong đó Kp là p- phân vị trên của phân bố chuẩn chuẩn hóa.
5.3. Quy trình dạng p* đối với phương án lấy mẫu một lần
5.3.1. Khả năng áp dụng
Quy trình dạng p* liên quan đến việc chỉ chấp nhận lô khi ước lượng hiện
của tỷ lệ không phù hợp quá trình p không vượt quá giới hạn trên p*, nghĩa là chuẩn mực chấp nhận có dạng:
Chấp nhận lô nếu
£ p*, nếu không thì không chấp nhận. (12)
Không giống như quy trình Dạng k, quy trình Dạng p* hoàn toàn tổng quát. Chúng có thể áp dụng đồng thời cho nhiều hơn một đặc trưng chất lượng và chúng bao trùm kiểm soát kết hợp và phức hợp hai giới hạn quy định. Tuy nhiên, giống như hằng số chấp nhận dạng k, giá trị của hằng số chấp nhận Dạng p* phụ thuộc vào cỡ lô, giới hạn chất lượng chấp nhận (AQL), bậc kiểm tra và việc độ lệch chuẩn quá trình s đã biết hay chưa.
5.3.2. Dạng p* với một giới hạn quy định (một đặc trưng chất lượng)
5.3.2.1. Sự phù hợp
Dạng k bao gồm các tính toán đơn giản hơn và vì vậy dễ áp dụng hơn nhiều so với Dạng p* đối với một đặc trưng chất lượng và một giới hạn quy định. Tuy nhiên, ưu điểm chính của việc sử dụng Dạng p* trong những tình huống này là thu được ước lượng của tỷ lệ không phù hợp quá trình. Điều này có thể được về trên biểu đồ kiểm soát để đưa ra cảnh báo sớm về bất kỳ sự suy giảm chất lượng nào.
5.3.2.2. Chuẩn mực chấp nhận theo phương pháp "s"
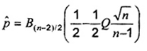
Thống kê chất lượng Q được tính theo Biểu thức (4) hoặc Biểu thức (6), khi thích hợp. Khi đó, ước lượng của tỷ lệ không phù hợp quá trình được cho bởi:
(13)
trong đó:
n là cỡ mẫu;
Bb(.) thể hiện hàm phân bố bêta đối xứng với cả hai tham số bằng b.
CHÚ THÍCH: Phép tính gần đúng cho hàm này chỉ đòi hỏi các bảng phân bố chuẩn được cho trong TCVN 8243-2 (ISO 3951-2) và ISO 3951-3, trong trường hợp người sử dụng không có phần mềm phù hợp hoặc bằng hàm bêta.
Chuẩn mực chấp nhận thu được bằng cách thay biểu thức đối với
từ Biểu thức (13) vào Biểu thức (12).
5.3.2.3. Chuẩn mực chấp nhận theo phương pháp "s"
Thống kê chất lượng Q được tính theo Biểu thức (5) hoặc Biểu thức (7), khi thích hợp. Khi đó, ước lượng của tỷ lệ không phù hợp quá trình được cho bởi:
(14)
trong đó:
F (.) ký hiệu hàm phân bố chuẩn chuẩn hóa.
Chuẩn mực chấp nhận thu được bằng cách thay biểu thức đối với
từ Biểu thức (14) vào Biểu thức (12).
5.3.3. Dạng p* đối với kiểm soát riêng rẽ hai giới hạn quy định (một đặc trưng chất lượng)
5.3.3.1. Sự phù hợp
Dạng k cũng dễ sử dụng hơn nhiều so với Dạng p* đối với một đặc trưng chất lượng với kiểm soát riêng rẽ hai giới hạn quy định, ưu điểm của việc sử dụng Dạng p* trong những tình huống này là thu được ước lượng của tỷ lệ không phù hợp quá trình, điều này có thể được vẽ trên biểu đồ kiểm soát để đưa ra cảnh báo sớm về bất kỳ sự suy giảm chất lượng nào.
Đối với hai giới hạn quy định riêng rẽ, mỗi giới hạn thuộc về một loại khác nhau, áp dụng AQL khác nhau và vì vậy hằng số chấp nhận Dạng p* khác nhau. Các hằng số chấp nhận này được ký hiệu là
ở giới hạn trên và
ở giới hạn dưới. Giá trị của các hằng số này không ảnh hưởng bởi việc sử dụng phương pháp"s" hay phương pháp "s", mặc dù cỡ mẫu có ảnh hưởng.
5.3.3.2. Chuẩn mực chấp nhận theo phương pháp "s"
Ký hiệu thống kê chất lượng đối với giới hạn quy định trên là QU, tính theo Biểu thức (4). Tương tự, ký hiệu thống kê chất lượng đối với giới hạn quy định dưới là QL, tính theo Biểu thức (6). Thay QU trong Biểu thức (13) để có được
và QL trong Biểu thức (13) để có được
. Lô được đánh giá là chấp nhận được nếu và chỉ nếu 
5.3.3.3. Chuẩn mực chấp nhận theo phương pháp "s"
Đối với kiểm soát riêng rẽ theo phương pháp "s", cần tìm hệ số smax áp dụng f cho kiểm soát riêng rẽ với yêu cầu về AQL đã cho, và giá trị của smax xác định là (U - L)f. Nếu giá trị giả định trước của s vượt quá smax thì lô có thể được đánh giá là không được chấp nhận mà không cần lấy thêm bất kỳ mẫu nào, cho đến khi giá trị của s có thể chứng tỏ là nhỏ hơn hoặc bằng smax.
Nếu s £ smax thì việc lấy mẫu sẽ có giá trị. Thống kê chất lượng đối với giới hạn quy định trên, QU, được tính theo Biểu thức (5). Tương tự, ký hiệu thống kê chất lượng đối với giới hạn quy định dưới, QL, được tính theo Biểu thức (7). Tỷ lệ không phù hợp vượt quá giới hạn quy định trên và dưới tìm được bằng cách thay QU trong Biểu thức (14) để có được
và QL trong Biểu thức (14) để có được
. Lô được đánh giá là chấp nhận được nếu và chỉ nếu 
5.3.4. Dạng p* đối với kiểm soát kết hợp hai giới hạn quy định (một đặc trưng chất lượng)
5.3.4.1. Chuẩn mực chấp nhận theo phương pháp "s"
Thống kê chất lượng QU đối với giới hạn quy định trên được tính theo Biểu thức (4). Tương tự, thống kê chất lượng QL đối với giới hạn quy định dưới được tính theo Biểu thức (6). Thay QU trong Biểu thức (13) để có được
và QL. trong Biểu thức (13) để có được
. Lô được đánh giá là chấp nhận được nếu và chỉ nếu, tổng các ước lượng này đủ nhỏ, nghĩa là nếu 
Một cách khác, có thể sử dụng biểu đồ chấp nhận. Hình 10 thể hiện hình dạng điển hình của biểu đồ chấp nhận phương pháp "s" chuẩn hóa đối với kiểm soát kết hợp hai giới hạn quy định. Nhược điểm chính của cách tiếp cận này là không tạo ra ước lượng của tỷ lệ không phù hợp quá trình. Như với các phương pháp biểu đồ khác, cũng có ít khả năng các điểm mẫu nằm quá gần với đường cong chấp nhận để xác định xem chúng nằm trong hay nằm ngoài vùng chấp nhận.

Hình 10 - Biểu đồ chấp nhận chuẩn hóa đối với kiểm soát kết hợp hai giới hạn quy định: phương pháp "s", chữ mã cỡ mẫu G, AQL = 1 %: n = 18, p* = 0,03323
5.3.4.2. Chuẩn mực chấp nhận theo phương pháp "s"
Đối với kiểm soát kết hợp theo phương pháp "s", bước đầu cần tìm hệ số smax áp dụng f cho kiểm soát kết hợp với yêu cầu về AQL đã cho, và xác định giá trị của smax là (U - L)f. Nếu giá trị giả định trước của s vượt quá smax thì lô có thể được đánh giá là không được chấp nhận mà không cần lấy thêm bất kỳ mẫu nào, cho đến khi giá trị của s có thể chứng tỏ là nhỏ hơn hoặc bằng smax.
Nếu s £ smax thì có thể, mặc dù không chắc chắn, là quá trình hoạt động ở mức độ thỏa mãn, vì vậy việc lấy mẫu sẽ có giá trị. Thống kê chất lượng QU đối với giới hạn quy định trên được tính theo Biểu thức (5). Tương tự, ký hiệu thống kê chất lượng QU đối với giới hạn quy định dưới được tính theo Biểu thức (7). Thay QU trong Biểu thức (14) để có được
và QL trong Biểu thức (14) để có được
. Lô được đánh giá là chấp nhận được chỉ khi 
Biểu đồ chấp nhận chuẩn hóa được trình bày trên Hình 11. Chú ý là biên trên và dưới của vùng chấp nhận gần như là đường thẳng. Trên thực tế, với mọi mục đích thực tiễn, biên trên và dưới có thể được vẽ là đường thẳng:
(
- L)/(U - L) = ks và (
- L)/(U - L) = 1 -ks
trong đó k là hằng số chấp nhận Dạng k tương ứng với một giới hạn quy định và AQL kết hợp.

Hình 11 - Biểu đồ chấp nhận chuẩn hóa đối với kiểm soát kết hợp hai giới hạn quy định: phương pháp sigma, chữ mã cỡ mẫu G, AQL = 1 %: n = 10, p* = 0,03323
5.3.5. Dạng p* đối với kiểm soát phức hợp hai giới hạn quy định (một đặc trưng chất lượng)
5.3.5.1. Khái quát
Hằng số chấp nhận đối với cả hai giới hạn kết hợp được ký hiệu là p* và hằng số chấp nhận nhỏ hơn đối với giới hạn có mức độ nghiêm trọng lớn hơn là
.
5.3.4.2. Chuẩn mực chấp nhận theo phương pháp "s"
Thống kê chất lượng QU đối với giới hạn quy định trên được tính theo Biểu thức (4). Tương tự, thống kê chất lượng QL đối với giới hạn quy định dưới được tính theo Biểu thức (6). Thay QU trong Biểu thức (13) để có được Và Q, trong Biểu thức (13) để có được
.
được đặt bằng
nếu giới hạn trên là giới hạn có mức độ nghiêm trọng lớn hơn; nếu không thì
được đặt bằng
Lô được đánh giá là chấp nhận được chỉ khi 
Hình dạng điển hình của vùng chấp nhận đối với kiểm soát phức hợp khi độ lệch chuẩn quá trình chưa biết được thể hiện trên Hình 12. Đây là trường hợp chữ mã cỡ mẫu G, trong đó AQL tổng thể là 1,5% cùng với AQL về giới hạn quy định trên là 0,4 %. Chú ý là vùng chấp nhận đối với kiểm soát kết hợp trừ đi vùng phía trên đường thẳng tương ứng với kiểm soát của giới hạn quy định trên.

Hình 12 - Biểu đồ chấp nhận chuẩn hóa đối với kiểm soát phức hợp hai giới hạn quy định: phương pháp sigma, chữ mã cỡ mẫu G, AQL = 1 %: n = 10, p* = 0,03323
5.3.5.3. Chuẩn mực chấp nhận theo phương pháp "s"
Bước đầu là tìm hệ số smax áp dụng f cho kiểm soát phức hợp với yêu cầu về AQL đã cho, và xác định giá trị của smax là (U-L)f. Nếu giá trị giả định trước của s vượt quá smax thì lô có thể được đánh giá là không được chấp nhận mà không cần lấy thêm bất kỳ mẫu nào, cho đến khi giá trị của s có thể chứng tỏ là nhỏ hơn hoặc bằng smax.
Nếu s £ smax thì lô có thể đáp ứng chuẩn mực chấp nhận. Thống kê chất lượng QU đối với giới hạn quy định trên được tính theo Biểu thức (5). Tương tự, ký hiệu thống kê chất lượng QL đối với giới hạn quy định dưới được tính theo Biểu thức (7). Thay QU trong Biểu thức (14) để có được
và QL trong Biểu thức (14) để có được
được đặt bằng
nếu giới hạn trên là giới hạn có mức độ nghiêm trọng lớn hơn, nếu không thì đặt bằng
. Lô được đánh giá là chấp nhận được chỉ khi
và 
Hình dạng điển hình của vùng chấp nhận đối với kiểm soát phức hợp khi độ lệch chuẩn quá trình đã biết được thể hiện trên Hình 13.

Hình 13 - Biểu đồ chấp nhận chuẩn hóa đối với kiểm soát phức hợp hai giới hạn quy định: phương pháp sigma, chữ mã cỡ mẫu M, AQL kết hợp = 1,5 %, AQL 0,4 % đối với giới hạn trên
3.3.6. Dạng p* đối với hai đặc trưng chất lượng độc lập
5.3.6.1. Ký hiệu
Nếu không rõ ràng, các thống kê và tham số đối với hai đặc trưng chất lượng được phân biệt trong điều dưới đây bằng cách gắn x hoặc y trong ngoặc đơn. Do đó, ước lượng của tỷ lệ không phù hợp quá trình cao hơn giới hạn trên U(x) đối với x được ký hiệu là
và ước lượng của tỷ lệ không phù hợp quá trình thấp hơn giới hạn dưới L(x) đối với x được ký hiệu là
Ước lượng của tổng tỷ lệ không phù hợp trong trường hợp x có hai giới hạn quy định được ký hiệu là
, nếu không thì
trong trường hợp một giới hạn quy định dưới và
trong trường hợp một giới hạn quy định trên. Áp dụng cách ký hiệu tương tự đối với U(y) và L(y).
Trường hợp có nhiều hơn một loại không phù hợp, các loại được chỉ ra bằng tiếp tố A đối với loại có mức độ nghiêm trọng cao nhất, B đối với loại có mức độ nghiêm trọng tiếp theo, v.v... Do đó, ước lượng tỷ lệ không phù hợp quá trình tương ứng được ký hiệu là
trong khi hằng số chấp nhận được ký hiệu là 
5.3.6.2. Chuẩn mực chấp nhận theo phương pháp "s"
5.3.6.2.1. Một loại không phù hợp

5.3.6.2.2. Hai loại không phù hợp
Đối với hai loại không phù hợp A và B, các đại lượng
và
được tính, trong từng trường hợp sử dụng công thức:

chỉ những phần tử thuộc về mỗi loại tương ứng mới được tính. Ví dụ, nếu loại A gồm giới hạn dưới về x và loại B gồm cả giới hạn về x và giới hạn dưới về y thì:

trong khi

Chỉ chấp nhận lô nếu 
5.3.6.2.3. Ba hoặc nhiều loại không phù hợp
Tổng quát hóa cho ba hoặc nhiều loại không phù hợp đã rõ ràng. Các đại lượng
A,
B,
C, ... được tính và lô chỉ được chấp nhận nếu 
5.3.6.3. Chuẩn mực chấp nhận theo phương pháp "s"
Quy trình đối với phương pháp s tương tự như đối với phương pháp "s", ngoài ra:
- công thức cho
L(x) và
U(x) là vùng đuôi trong phân bố chuẩn thay vì trong phân bố bêta và do đó xác định đơn giản hơn;
- bất cứ khi nào cả hai giới hạn của đặc trưng chất lượng bao gồm trong cùng một loại, giá trị của s cho đặc trưng đó phải được kiểm tra để thấy rằng nó không vượt quá smax đối với kiểm soát kết hợp cho loại đó;
- bất cứ khi nào một giới hạn của đặc trưng chất lượng bao gồm trong một loại còn giới hạn kia thuộc một loại khác, giá trị của s cho đặc trưng đó phải được kiểm tra để thấy rằng nó không vượt quá smax đối với kiểm soát riêng rẽ cho hai loại đó;
- bất cứ khi nào cả hai giới hạn của đặc trưng chất lượng bao gồm trong một loại và một trong hai giới hạn thuộc về một loại khác, giá trị của s cho đặc trưng đó phải được kiểm tra để thấy rằng nó không vượt quá smax đối với kiểm soát phức hợp cho hai loại đó.
5.4. Phương án lấy mẫu hai lần
5.4.1. Khái quát
Các phương án lấy mẫu hai lần đạt được việc giảm lượng lấy mẫu trung bình và kiểm tra bằng quá trình lấy mẫu hai giai đoạn, với cả hai cỡ mẫu nhỏ hơn đáng kể so với cỡ mẫu một lần tương ứng. Khi chất lượng đặc biệt tốt hoặc đặc biệt kém, mẫu đầu tiên thường cho kết quả đủ chắc chắn để đưa ra quyết định mà không cần lấy mẫu thứ hai. Đối với trường hợp lô có chất lượng trung gian, đôi khi cần mẫu thứ hai để giải quyết nghi ngờ.
Phần nhiều công việc về phương án lấy mẫu hai lần giả định rằng cả hai cỡ mẫu bằng nhau, để tránh sự phức tạp không cần thiết. Đây là giả định trường hợp trong phần còn lại của điều này. Khi cả hai cỡ mẫu bằng nhau, chúng thường bằng khoảng 60 % cỡ mẫu một lần tương ứng, vì vậy có thể tiết kiệm trung bình trong lấy mẫu và kiểm tra lên đến khoảng 40 %.
Phương án lấy mẫu hai lần có thể có một số nhược điểm. Khi mất nhiều thời gian để thử cá thể, nhưng có thể kiểm tra hoặc thử đồng thời, thì việc thay thế phương án lấy mẫu một lần bằng phương án lấy mẫu hai lần có thể tốn gấp đôi thời gian cần thiết để đưa ra quyết định chấp nhận hay không chấp nhận. Vấn đề này trở nên tệ hơn nếu thời gian đã được đặt trước tại cơ sở kiểm tra.
Thậm chí còn tệ hơn trong trường hợp các cá thể cần được vận chuyển từ một khoảng cách đáng kể để thử. Điều này làm nảy sinh một số câu hỏi. Có nên vận chuyển đồng thời cả hai mẫu đến cơ sở kiểm tra? Có nên đặt trước thời gian kiểm tra cho một hoặc cả hai mẫu, nghĩa là chi phí cho thời gian đặt rồi sau đó không sử dụng là những gì? Nếu mẫu thứ hai được chuyển đến nhưng không cần, nó có thể được chuyển trở lại và trả về lô mà nó đã được lấy, nghĩa là có thể giả định rằng cá thể không bị ảnh hưởng bất lợi bởi hành trình dài hay không? Có sự chậm trễ nào do sử dụng lấy mẫu hai lần gây nên vấn đề lưu kho đối với các lô đang chờ quyết định xử lý không? Tiết kiệm từ việc sử dụng lấy mẫu hai lần có nhiều hơn so với việc phải chi phí thêm cho quản lý và hậu cần không?
Do đó, quyết định có hay không thay thế phương án lấy mẫu một lần bằng phương án lấy mẫu hai lần phụ thuộc vào khoản tiết kiệm tiềm năng từ việc giảm lượng lấy mẫu trung bình và kiểm tra có nhiều giá trị hơn các khía cạnh tiêu cực của lấy mẫu hai lần.
5.4.2. Phương án lấy mẫu hai lần Dạng k
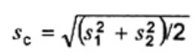
Phương án lấy mẫu hai lần Dạng k với cỡ mẫu thứ nhất và thứ hai bằng nhau có bốn tham số: n, ka, kr, và kc, việc sử dụng chúng, khi độ lệch chuẩn quá trình chưa biết, như dưới đây. Giả định rằng có một giới hạn quy định trên, U. Mẫu ngẫu nhiên cỡ n được lấy từ lô và giá trị của đặc trưng chất lượng x được đo trên từng cá thể mẫu. Trung bình mẫu
, độ lệch chuẩn mẫu s1 và thống kê chất lượng Q1 = (U -
1)/s1 được tính. Nếu Q1 ³ ka, lô được chấp nhận ngay. Nếu Q1 £ kr, lô ngay lập tức không được chấp nhận.
Nếu kr < Q1 < ka, mẫu ngẫu nhiên thứ hai cỡ n được lấy từ lô và trung bình
2 và độ lệch chuẩn s2 của nó được tính. Trung bình mẫu kết hợp
= (
+
) / 2 và độ lệch chuẩn kết hợp
được tính cùng với thống kê chất lượng kết hợp
Nếu Qc ³ kc, lô được chấp nhận; nếu không thì lô không được chấp nhận.
Nếu độ lệch chuẩn quá trình s được giả định trước là đã biết thì s1 và sc trong các biểu thức trên đối với Q1 và Qc được thay bằng s. Độ lệch chuẩn của mẫu đầu tiên s1 vẫn cần được tính để xác nhận rằng giá trị của s không thay đổi.
Nếu kiểm tra dựa trên giới hạn quy định dưới L, thay cho giới hạn quy định trên, thì các biểu thức có dạng U -
được thay bằng biểu thức tương ứng có dạng
-L.
5.4.3. Phương án lấy mẫu hai lần Dạng p*
Phương án lấy mẫu hai lần Dạng p* có bốn tham số:
ý nghĩa của chúng như dưới đây, khi độ lệch chuẩn quá trình chưa biết. Mẫu ngẫu nhiên cỡ n được lấy từ lô và giá trị của đặc trưng chất lượng x được đo trên từng cá thể mẫu. Trung bình mẫu
và độ lệch chuẩn mẫu s1 được tính cùng với ước lượng
, của tỷ lệ không phù hợp quá trình. Nếu
, lô được chấp nhận ngay. Nếu
, lô ngay lập tức không được chấp nhận.
Nếu
mẫu ngẫu nhiên thứ hai cỡ n được lấy từ lô và trung bình
2 và độ lệch chuẩn s2 của nó được tính. Trung bình mẫu kết hợp
và độ lệch chuẩn kết hợp
được tính cùng với ước lượng kết hợp
của tỷ lệ không phù hợp quá trình. Nếu
, lô được chấp nhận; nếu không thì lô không được chấp nhận.
Khi độ lệch chuẩn quá trình s chưa biết, các ước lượng
và
là vùng đuôi của phân bố bêta đối xứng (xem 5.3.2.2). Đối với s đã biết, các ước lượng
và
là vùng đuôi của phân bố chuẩn (xem 5.3.2.3). Khi biết được s thì không cần s1 và sc cho tính toán
và
. Tuy nhiên, như là trường hợp với Dạng k, vẫn nên tính toán và sử dụng độ lệch chuẩn mẫu đầu tiên, s1, cho mục đích theo dõi.
Nếu kiểm tra dựa trên giới hạn quy định dưới L, thay cho giới hạn quy định trên, thì các biểu thức có dạng
được thay bằng biểu thức tương ứng có dạng
- L.
Phương án lấy mẫu hai lần Dạng p* có thể áp dụng cho trường hợp đa biến theo cách tương tự như Phương án lấy mẫu một lần Dạng p*.
5.5. Phương án lấy mẫu nhiều lần
Phương án lấy mẫu nhiều lần để kiểm tra định lượng về khái niệm đơn thuần là việc mở rộng từ phương án hai giai đoạn sang phương án nhiều giai đoạn. Tuy nhiên, chưa có phương án chuẩn hóa nào như vậy hoặc hiện đang được xây dựng.
5.6. Phương án lấy mẫu liên tiếp
5.6.1. Khái quát
Phương án lấy mẫu liên tiếp là sự mở rộng cuối cùng của phương án nhiều giai đoạn trong đó quyết định chấp nhận, không chấp nhận hay tiếp tục lấy mẫu được đưa ra sau khi mỗi cá thể trong mẫu được chọn và đo. Rõ ràng, phương án lấy mẫu liên tiếp không thích hợp khi cần có nhiều thời gian để thử từng cá thể về sự phù hợp và khi có thể thử đồng thời tất cả các cá thể được lấy mẫu. Trường hợp phương án lấy mẫu liên tiếp phù hợp, chúng cung cấp, về trung bình, tính kinh tế lớn nhất trong nỗ lực lấy mẫu và kiểm tra.
Hiện tại, không có tiêu chuẩn nào về phương án lấy mẫu liên tiếp định lượng cho trường hợp chưa biết độ lệch chuẩn quá trình.
5.6.2. Cắt
Nhược điểm của phương án lấy mẫu liên tiếp là việc lấy mẫu có thể gần như không xác định. (Trên thực tế, khả năng vượt quá cỡ mẫu một lần đối với phương án lấy mẫu liên tiếp nhỏ hơn rất nhiều so với phương án lấy mẫu hai lần tương ứng.) Tuy nhiên, để khắc phục nhược điểm này cho phương án lấy mẫu liên tiếp, phương án lấy mẫu liên tiếp chuẩn hóa thường được cắt ở cỡ mẫu nt bằng khoảng 1,5 lần cỡ mẫu một lần tương ứng. Vì vậy, quyết định chấp nhận hay không chấp nhận buộc phải ở cỡ mẫu nt nếu như chưa có được quyết định sớm hơn.
5.6.3. Phương án lấy mẫu liên tiếp Dạng k
Phương án lấy mẫu liên tiếp Dạng k để kiểm tra định lượng có bốn tham số là: hA, hR, g và nt. Mỗi lần chọn ngẫu nhiên một cá thể từ lô. Cỡ mẫu sau khi từng cá thể được chọn được ký hiệu là ncum, trong đó ncum = 1, 2,... , nt.
Trước tiên xét trường hợp một giới hạn quy định cho một đặc trưng chất lượng x, khi độ lệch chuẩn quá trình của đặc trưng chất lượng là s. "Độ trôi nổi" y được xác định bằng y = U - x trong trường hợp giới hạn quy định trên U, hoặc y = x - L trong trường hợp giới hạn quy định dưới L. "Độ trôi nổi tích lũy" được xác định là:

Đối với ncum = 1, 2,..., nt - 1, lô được chấp nhận mà không cần lấy mẫu thêm nếu:

hoặc không được chấp nhận mà không cần lấy mẫu thêm nếu:

Tuy nhiên, nếu:

thì cá thể khác được chọn ngẫu nhiên từ lô và được đo. Nếu đạt đến cỡ mẫu cắt nt thì lô được chấp nhận nếu:
![]()
còn nếu không thì không được chấp nhận.
Để đơn giản, Ant đôi khi được viết tắt là At.
Biểu đồ chấp nhận điển hình đối với một giới hạn quy định được thể hiện trên Hình 14.

Hình 14 - Biểu đồ chấp nhận đối với lấy mẫu liên tiếp định lượng cho một giới hạn quy định, phương pháp sigma, chữ mã cỡ mẫu K, s = 1,0, AQL =1,0 %, hA = 2,764, hR = 3,895, g = 1,900, nt = 27
5.6.4. Phương án lấy mẫu liên tiếp Dạng p*
Phương án lấy mẫu liên tiếp Dạng p*, ngay cả khi đã biết độ lệch chuẩn quá trình, không thể biểu thị chính xác như phương án Dạng k. Kết quả là chúng chưa được chuẩn hóa. Tuy nhiên, như với phương án lấy mẫu một lần, phương án Dạng p* có thể suy ra từ phương án Dạng k tương ứng. Công thức thích hợp cho độ lệch chuẩn quá trình đã biết là:

trong đó
và F (.) thể hiện hàm phân bố chuẩn chuẩn hóa.
Ở cỡ mẫu ncum, trong đó ncum < nt < lô được chấp nhận nếu
và không được chấp nhận nếu
nếu
thì lấy một cá thể mẫu khác. Nếu đạt đến cỡ mẫu nt mà chưa đưa ra được quyết định chấp nhận hay không chấp nhận thì lô được chấp nhận nếu
còn nếu không thì không chấp nhận.
6. Tiêu chuẩn về lấy mẫu chấp nhận lô định lượng
6.1. Khái quát
Điều này tóm tắt các đặc điểm nổi bật của từng tiêu chuẩn về phương pháp lấy mẫu chấp nhận định lượng hiện hành hoặc đang được xây dựng. Các mô tả này, cùng với thông tin trước đó, thường cho phép người sử dụng lựa chọn những tiêu chuẩn về lấy mẫu định lượng phù hợp nhất với mục đích đã cho.
Khi so sánh giữa các hệ thống lấy mẫu chấp nhận định lượng của các tiêu chuẩn khác nhau trong điều này không đủ để cho phép đưa ra lựa chọn cuối cùng về hệ thống, chương trình hay phương án lấy mẫu trong một tình huống cụ thể, người sử dụng cần xem xét các yếu tố được đề cập trong TCVN 9946-1:2013 (ISO/TR 8550-1:2007).
Bộ tiêu chuẩn ISO 3951 về lấy mẫu chấp nhận định lượng chủ yếu dự kiến dùng cho kiểm tra loạt các lô liên tục từ một nguồn có khoảng thời gian đủ để cho phép áp dụng các quy tắc chuyển đổi. Việc kiểm tra tiến hành trên lô tách biệt sử dụng bộ tiêu chuẩn ISO 3951 sẽ cung cấp ít bằng chứng về tính chuẩn của phân bố của đặc trưng sản phẩm hoặc về độ lệch chuẩn của quá trình. Vì vậy, không nên áp dụng bộ tiêu chuẩn này cho kiểm tra lô riêng rẽ.
6.2. TCVN 8243-1 (ISO 3951-1): Quy trình lấy mẫu để kiểm tra định lượng - Phần 1: Quy định đối với phương án lấy mẫu một lần xác định theo giới hạn chất lượng chấp nhận (AQL) để kiểm tra từng lô đối với một đặc trưng chất lượng và một AQL
TCVN 8243-1 (ISO 3951-1) trình bày hệ thống lấy mẫu được xác định theo cỡ lô, bậc kiểm tra và AQL và bổ trợ cho TCVN 7790-1 (ISO 2859-1). Hai tiêu chuẩn này có chung triết lý và mục đích. TCVN 8243-1 (ISO 3951-1) chủ yếu dự kiến dùng cho kiểm tra loạt các lô liên tục từ một nguồn có khoảng thời gian đủ để cho phép áp dụng các quy tắc chuyển đổi.
TCVN 8243-1 (ISO 3951-1) cung cấp các phương án lấy mẫu một lần, nghĩa là phương án trong đó quyết định về khả năng chấp nhận lô dựa trên một mẫu. Không giống như TCVN 7790-1 (ISO 2859-1), nó không đưa ra phương án lấy mẫu hai lần hay nhiều lần. Các phương án lấy mẫu hai lần định lượng được cho trong ISO 3951-3.
TCVN 8243-1 (ISO 3951-1) chỉ áp dụng trong trường hợp một đặc trưng sản phẩm, đo lường được trên thang đo liên tục, được xét với một loại không phù hợp. Đặc trưng sản phẩm cần được phân bố theo phân bố chuẩn, phân bố gần xấp xỉ chuẩn hoặc phân bố có thể chuyển đổi thành gần xấp xỉ chuẩn (xem Điều 3).
Lô được đánh giá là không chấp nhận được khi phân bố của đặc trưng sản phẩm không chỉ ra trung bình và độ biến động phù hợp với chuẩn mực lấy mẫu quy định cho một hoặc hai giới hạn quy định đã cho. Có sự lựa chọn giữa chuẩn mực chấp nhận bằng số và bằng biểu đồ. Quy trình được đưa ra cho cả hai trường hợp chưa biết và đã biết độ lệch chuẩn quá trình.
Quy trình Dạng k được sử dụng xuyên suốt tiêu chuẩn, ngoại trừ trường hợp cỡ mẫu ba và bốn được cung cấp Quy trình dạng p*.
6.3. TCVN 8243-2:2009 (ISO 3951-2:2006), Quy trình lấy mẫu để kiểm tra định lượng - Phần 2: Quy định chung đối với phương án lấy mẫu một lần xác định theo giới hạn chất lượng chấp nhận (AQL) để kiểm tra từng lô có đặc trưng chất lượng độc lập
TCVN 8243-2 (ISO 3951-2) là phiên bản tổng quát hóa của TCVN 8243-1 (ISO 3951-1). Giống như TCVN 8243-1 (ISO 3951-1), TCVN 8243-2 (ISO 3951-2) chỉ các phương án lấy mẫu một lần và dự kiến dùng cho kiểm tra loạt các lô liên tục từ một nguồn có khoảng thời gian đủ để cho phép áp dụng các quy tắc chuyển đổi.
Trong khi TCVN 8243-1 (ISO 3951-1) áp dụng cho một đặc trưng sản phẩm, đo lường được trên thang đo liên tục, TCVN 8243-2 (ISO 3951-2) áp dụng cho số lượng bất kỳ các đặc trưng chất lượng nếu chủng độc lập hay ít nhất là gần như độc lập. Mỗi đặc trưng phải được phân bố theo phân bố chuẩn, phân bố gần xấp xỉ chuẩn hoặc phân bố có thể chuyển đổi thành xấp xỉ chuẩn (xem Điều 3).
Lô được đánh giá là không chấp nhận được khi phân bố của đặc trưng sản phẩm không chỉ ra tỷ lệ không phù hợp quá trình đáp ứng chuẩn mực lấy mẫu đối với các giới hạn quy định đã cho. Tất cả các chuẩn mực chấp nhận đều bằng số. Quy trình được đưa ra cho cả trường hợp chưa biết độ lệch chuẩn quá trình cũng như trường hợp giả định là đã biết độ lệch chuẩn quá trình.
Tiêu chuẩn trình bày cả quy trình Dạng k và Dạng p*.
Nếu có nhiều hơn một loại không phù hợp, quy trình chấp nhận phải được áp dụng cho từng loại riêng rẽ. Lô chỉ được chấp nhận nếu nó phù hợp với chuẩn mực chấp nhận đối với tất cả các loại.
6.4. ISO 3951-3: Quy trình lấy mẫu để kiểm tra định lượng - Phần 3: Chương trình lấy mẫu hai lần xác định theo giới hạn chất lượng chấp nhận (AQL) để kiểm tra từng lô
ISO 3951-3 đưa ra phương án lấy mẫu hai lần định lượng (xem 5.4). Vì quy trình dùng cho phương án lấy mẫu hai lần tương đối phức tạp nên phần nội dung chính giới hạn ở trường hợp một đặc trưng chất lượng. Quy trình dùng cho hai hay nhiều đặc trưng chất lượng được cho trong các phụ lục. Mỗi đặc trưng cũng cần được đo lường được theo thang đo liên tục và được phân bố theo phân bố chuẩn, phân bố gần xấp xỉ chuẩn hoặc phân bố có thể chuyển đổi thành gần xấp xỉ chuẩn (xem Điều 3).
Mục đích của các phương án lấy mẫu này là giảm lượng trung bình lấy mẫu và kiểm tra đối với loạt các lô.
Lô được đánh giá là không chấp nhận được khi phân bố của đặc trưng sản phẩm không chỉ ra tỷ lệ không phù hợp quá trình đáp ứng chuẩn mực lấy mẫu đối với các giới hạn quy định đã cho. Tất cả các chuẩn mực chấp nhận đều bằng số. Quy trình được đưa ra cho cả trường hợp chưa biết độ lệch chuẩn quá trình cũng như trường hợp đã biết độ lệch chuẩn quá trình.
Tiêu chuẩn trình bày cả quy trình Dạng k và Dạng p*.
Để giữ cho phương án lấy mẫu càng đơn giản càng tốt, cỡ mẫu thứ nhất và thứ hai của mỗi phương án được cho bằng nhau. Tuy nhiên, để tạo sự phù hợp tốt giữa đường OC của các phương án này và đường OC của phương án lấy mẫu một lần tương ứng ở TCVN 7790-1 (ISO 2859-1), cỡ mẫu dọc các hàng của bảng tổng thể được phép khác biệt. Thực sự có một xu hướng rõ rệt là cỡ mẫu nhỏ hơn đối với các AQL nhỏ hơn, tạo thêm động lực cho nhà sản xuất cải tiến mức chất lượng của mình. Xu hướng này bị gián đoạn xuống đường chéo thứ hai và thứ ba (phía trên bên phải xuống phía dưới bên trái) của bảng tổng thể dùng cho kiểm tra thường và ngặt, và xuống đường chéo thứ hai, thứ ba và thứ tư đối với kiểm tra giảm. Điều này là vì các phương án dọc theo các đường chéo này phù hợp với các phương án tùy chọn của TCVN 7790-1 (ISO 2859-1) có số chấp nhận là phân số, dẫn đến hình dạng khác biệt của đường đặc trưng hiệu quả (OC) so với phương án có số chấp nhận là số nguyên.
6.5. ISO 3951-4: Quy trình lấy mẫu để kiểm tra định lượng - Phần 4: Quy trình đánh giá mức chất lượng công bố
Tiêu chuẩn này đưa ra phương án lấy mẫu định lượng để đánh giá mức chất lượng của lô hoặc quá trình có phù hợp với giá trị công bố hay không. Các quy trình dùng cho số lượng đặc trưng chất lượng bất kỳ được cung cấp với mỗi đặc trưng đo lường được theo thang đo liên tục và được phân bố theo phân bố chuẩn, phân bố gần xấp xỉ chuẩn hoặc phân bố có thể chuyển đổi thành gần xấp xỉ chuẩn (xem Điều 3). Phương án lấy mẫu được lập để có rủi ro nhỏ hơn 5 % phủ nhận mức chất lượng công bố (DQL) đúng. Ngược lại, rủi ro 10 % không phủ nhận DQL không đúng, có liên quan đến tỷ số chất lượng giới hạn. ISO 3951-4 đưa ra các phương án lấy mẫu tương ứng với ba mức khả năng phân biệt. Quy trình được đưa ra cho cả trường hợp chưa biết độ lệch chuẩn quá trình cũng như trường hợp đã biết độ lệch chuẩn quá trình.
Trái ngược với các phần khác của ISO 3951, các quy trình trong ISO 3951-4 không dự kiến dùng cho đánh giá chấp nhận lô. Nói chung, việc cân đối giữa rủi ro đưa ra kết luận không đúng đối với quy trình đánh giá khác với việc cân đối trong các quy trình lấy mẫu chấp nhận.
Có thể sử dụng ISO 3951-4 cho nhiều dạng kiểm tra chất lượng khác nhau trong các tình huống bằng chứng khách quan về sự phù hợp với DQL nào đó được cung cấp thông qua kiểm tra mẫu. Quy trình áp dụng cho các thực thể như lô, đầu ra quá trình, v.v... cho phép chọn ngẫu nhiên các mẫu cá thể riêng rẽ.
ISO 3951-4 được dự kiến sử dụng khi đại lượng quan tâm là tỷ lệ cá thể không phù hợp trong quá trình.
6.6. ISO 3951-5: Quy trình lấy mẫu để kiểm tra định lượng - Phần 5: Phương án lấy mẫu liên tiếp xác định theo giới hạn chất lượng chấp nhận (AQL) để kiểm tra định lượng (đã biết độ lệch chuẩn)
ISO 3951-5 trình bày hệ thống lấy mẫu cung cấp một phạm vi rộng các phương án lấy mẫu liên tiếp loạt các lô, với các phương án xác định theo cỡ lô, bậc kiểm tra và AQL để bổ trợ cho các hệ thống trong TCVN 8243-1 (ISO 3951-1), TCVN 8243-2 (ISO 3951-2) và ISO 3951-3, bao gồm cả các quy tắc chuyển đổi. Như với các phương án nêu trong các tiêu chuẩn khác của bộ ISO 3951, mỗi đặc trưng sản phẩm cần đo lường được theo thang đo liên tục và được phân bố theo phân bố chuẩn, phân bố gần xấp xỉ chuẩn hoặc phân bố có thể chuyển đổi thành gần xấp xỉ chuẩn (xem Điều 3).
Các quy trình lấy mẫu trong ISO 3951-5 dựa trên đánh giá liên tiếp các kết quả kiểm tra và có thể sử dụng để khuyến khích nhà cung cấp đưa ra các lô có chất lượng với xác suất chấp nhận cao trong khi vẫn duy trì giới hạn trên đối với rủi ro của người tiêu dùng khi nhận những lô có chất lượng kém.
Các phương án lấy mẫu chủ yếu để sử dụng cho kiểm tra một đặc trưng chất lượng trong loạt các lô liên tục từ cùng một loạt sản xuất.
6.7. ISO 8423: Phương án lấy mẫu liên tiếp để kiểm tra định lượng phần trăm không phù hợp (đã biết độ lệch chuẩn)
ISO 8423 trình bày hệ thống lấy mẫu cung cấp một phạm vi rộng các phương án lấy mẫu liên tiếp được xác định theo điểm rủi ro của người tiêu dùng (CRP) và điểm rủi ro của nhà sản xuất (PRP). Mọi đặc trưng sản phẩm áp dụng tiêu chuẩn này cần đo lường được theo thang đo liên tục và được phân bố theo phân bố chuẩn, phân bố gần xấp xỉ chuẩn hoặc phân bố có thể chuyển đổi thành gần xấp xỉ chuẩn (xem Điều 3). Vì các phương án được thiết kế để kiểm nghiệm giữa các mức chất lượng, nên các phương án không chỉ phù hợp cho lấy mẫu chấp nhận mà còn phù hợp với kiểm nghiệm giả thuyết.
Đối với trường hợp hai giới hạn quy định. ISO 8423 đưa ra quy trình kiểm soát kết hợp và kiểm soát riêng rẽ (xem 4.1.3.2 và 4.1.3.3).
Quy trình lấy mẫu trong ISO 8423 dựa trên đánh giá liên tiếp các kết quả kiểm tra. Khi áp dụng cho loạt các lô liên tục, chúng có thể sử dụng để khuyến khích nhà cung cấp - thông qua áp lực về kinh tế và tâm lý của việc không được chấp nhận các lô có chất lượng kém - cung cấp các lô có chất lượng với xác suất chấp nhận cao trong khi vẫn duy trì giới hạn trên đối với rủi ro của người tiêu dùng khi nhận những lô có chất lượng kém.
Các phương án lấy mẫu chủ yếu để sử dụng cho kiểm tra một đặc trưng chất lượng.
7. Ảnh hưởng của các điều kiện thị trường và sản xuất lên quá trình lựa chọn
Một số cách thức trong đó điều kiện thị trường và sản xuất xác định ở Điều 111) của TCVN 9946-1:2013 (ISO/TR 8550-1:2007) ảnh hưởng đến việc lựa chọn hệ thống, chương trình hoặc phương án lấy mẫu định tính trong các tình huống kiểm tra khác nhau được tóm tắt trong Bảng 1, Bảng 2 và Bảng 3. Bảng 2 và Bảng 3 có các chú thích hướng dẫn, được xác định bởi, và đề cập đến, điều kiện thị trường [xem 11.2, TCVN 9946-1:2013 (ISO/TR 8550-1:2007)] và điều kiện sản xuất [xem 11.3, TCVN 9946-1:2013 (ISO/TR 8550-1:2007)]. Cần chú ý rằng sự đồng tồn tại bất kỳ của các điều kiện khác nhau có thể ảnh hưởng đến việc lựa chọn. Tình huống kiểm tra cũng phải được xem xét (xem Bảng 1).
Hình 15 và 16 minh họa quy trình lựa chọn đối với lấy mẫu định lượng tương ứng cho trường hợp sản xuất liên tục với độ dài loạt trên 10 lô và trường hợp sản xuất không liên tục hay độ dài loạt ít hơn hoặc bằng 10 lô.
Bảng 1 - Hướng dẫn lựa chọn hệ thống, chương trình hoặc phương án lấy mẫu chấp nhận đề xuất để kiểm tra định lượng, dựa trên tình huống kiểm tra
| Ví dụ về tình huống kiểm tra | Các điều kiện ảnh hưởng đến việc lựa chọn phương án lấy mẫu [xem TCVN 9946-1:2013 (ISO/TR 8550-1:2007)] | Loại phương án lấy mẫu có thể áp dụng | Phương án lấy mẫu chấp nhận cụ thể |
| Đặc trưng chất lượng không phân bố chuẩn | 11.3 p), 11.3 q), 11.3 g), 11.3 h) |
| Chương trình của ISO 3951 không thích hợp trừ khi đặc trưng có thể chuyển đổi thành chuẩn |
| Nhiều hơn một đặc trưng chất lượng |
| AQL | TCVN 8243-2 (ISO 3951-2) và ISO 3951-3 |
| Cá thể đắt tiền hoặc quan trọng | 11.2 c), 11.2 d) | Kiểm tra 100 % AQL Liên tiếp | Không có tiêu chuẩn. ISO 3951-3. ISO 8423. |
| Kiểm tra cuối cùng | 11.2 a), 11.2 f), 11.3 a), 11.3. b), 11.3 j) | AQL | TCVN 8243-1 (ISO 3951-1) hoặc ISO 3951-5 đối với một đặc trưng chất lượng và một AQL. Nếu không là TCVN 8243-2 (ISO 3951-2). |
| Chưa biết lịch sử về chất lượng tiếp nhận | 11.2 c), 11.2 f), 11.2 h), 11.3 g), 11.3 m) | LQ | ISO 2859-2. |
| Giới hạn chất lượng đầu ra trung bình | 11.2 f), 11.3 n), 11.3 o) | AOQL | Tiêu chuẩn bất kỳ trong bộ này nhưng xác định AQL tương ứng từ đường OC và xem xét bắt đầu kiểm tra ngặt. |
| Lô nhỏ có chất lượng tốt cần thiết | 11.2 c), 11.3 a), 11.3 j), 11.3 o) | AQL | Ưu tiên sử dụng định tính (xem ISO 2859-2). |
| Có lịch sử chất lượng tiếp nhận tốt | 11.2 g), 11.2 h) | AQL | Tiêu chuẩn bất kỳ trong bộ này, bắt đầu kiểm tra thường |
| Lô sản xuất một lần | 11.2 c), 11.2 d), 11.2 f, 11.3 i) | Phương án một lần duy nhất | Lấy mẫu định lượng không phù hợp. |
| CHÚ THÍCH: Xem thêm Bảng 2 và Bảng 3, Hình 15 và Hình 16 minh họa quá trình lựa chọn. | |||
Bảng 2 - Hướng dẫn lựa chọn hệ thống, chương trình hoặc phương án lấy mẫu chấp nhận để lấy mẫu định lượng, sử dụng điều kiện thị trường hiện có
| Điều kiện thị trường [TCVN 9946-1:2013 (ISO/TR 8550-1:2007)] | Chỉ thị thực tiễn a | Chú thích hướng dẫn với viện dẫn TCVN 9946-1:2013 (ISO/TR 8550-1:2007) |
| Việc sản xuất liên tục và phản hồi của bên tiếp nhận có thể tác động đến chất lượng của nhà cung cấp hoặc bảo hành có nghĩa là chấp nhận - 11.2 a), 11.2 b) | TCVN 8243-1 (ISO 3951-1), TCVN 8243-2 (ISO 3951-2), ISO 3951-3, ISO 3951-5 | Hầu như tất cả các tiêu chuẩn định lượng đều được khuyến nghị. Việc lựa chọn phụ thuộc vào các yếu tố khác. Hàm ý các loạt dài (8.1). |
| Lô tách biệt hoặc là một trong loạt ngắn hoặc bên nhận không thể tác động đến chất lượng của nhà cung cấp hoặc bảo hành không có nghĩa là chấp nhận - 11.2 f), 11.2 g) | ISO 2859-2 | Lấy mẫu định lượng không phù hợp. Phương án LQ định tính được khuyến nghị (8.5). |
| Tỷ lệ không phù hợp nhỏ có thể gây tổn thất lớn - 11.2 c) | ISO 2859-2 | Điều này hàm ý trị số CRQ thấp (8.5.2) và sự phân biệt thích đáng (8.3, 8.4, 8.5, 8.6, 9.1). Mọi tiêu chuẩn định lượng đều phù hợp, với AQL được chọn bằng cách tham khảo đường OC sao cho CRQ đủ nhỏ. Việc lựa chọn tiêu chuẩn sẽ phụ thuộc vào các yếu tố khác. |
| Tỷ lệ không phù hợp nhỏ không thể gây tổn thất lớn; dễ dàng phát hiện trong quá trình xử lý - 11.2 b) | Tất cả các chương trình của ISO 3951. Kiểm tra gián tiếp và lấy mẫu đột xuất | Hầu như tất cả các tiêu chuẩn định lượng đều được khuyến nghị. Việc lựa chọn phụ thuộc vào các yếu tố khác. Thường hàm ý các loạt dài (8.1) và rất có thể cũng thuộc loại (11.2 g) và (Điều 8, 9.2), do đó sự phân biệt (hoặc IL) trung bình (8.3, 8.5, 8.6, và 9.1). |
| Lô không được chấp nhận gây đóng cửa nhà máy và tổn thất kinh tế - 11.2 d) | Phương án AOQL định tính, ví dụ ISO 18414, TCVN 7790-1 (ISO 2859-1) | AOQL và kiểm tra tinh lọc (8.7) có thể hữu ích - TCVN 7790 (ISO 2859) cung cấp dữ liệu AOQL. Tình huống này cũng có thể cần hoạt động quản lý nhiều hơn, đặc biệt khi kiểm tra lấy mẫu cho kết quả không được chấp nhận. Vì không có tiêu chuẩn xác định theo AOQL về lấy mẫu định lượng nên xem xét sử dụng ISO 18414. Bảng 8 của TCVN 7790-1 (ISO 2859-1) cũng liên hệ AOQL với AQL cho phương án lấy mẫu một lần. |
| Có nhiều nguồn khác cho cá thể - 11.2 i) | Xem chú thích hướng dẫn | Xem xét các yếu tố khác. |
| Có lịch sử chất lượng tiếp nhận và chất lượng tốt nhất quán - 11.2e) | Tất cả các chương trình của ISO 3951, TCVN 7790-3 (ISO 2859-3), kiểm tra gián tiếp và lấy mẫu đột xuất | Khi có thể tin cậy vào kiểm tra tại nguồn (kiểm tra gián tiếp bởi nhà sản xuất), có thể xem xét kiểm tra lô cách quãng hoặc kiểm tra giảm. Cỡ mẫu nhỏ với DR trung bình trong chương trình, nghĩa là quy tắc chuyển đổi là đảm bảo thiết yếu (8.3, 8.4, 8.5 và 9.2). |
| Không có lịch sử chất lượng tiếp nhận hoặc có lịch sử và chất lượng kém - 11.2 j) | Kiểm tra ngặt. Tất cả các chương trình của ISO 3951, ISO 8423, ISO 2859-2 | Điều này hàm ý sử dụng quy tắc chuyển đổi (5) và bắt đầu với các điều kiện lấy mẫu tương đối ngặt, ví dụ kiểm tra ngặt, chỉ chuyển sang kém ngặt hơn (thường) khi chất lượng được thiết lập, để sau đó tiếp tục cung cấp - loạt dài (8.1, 8.3, 8.4, 8.5, 8.7 và Điều 9); TCVN 7790 (ISO 2859) đối với loạt ngắn không thích hợp cho lấy mẫu định lượng. |
| a "Chỉ thị thực tiễn" (phương án hoặc hệ thống lấy mẫu) đơn giản nghĩa là các tiêu chuẩn đề cập cần được xem xét trước tiên mặc dù các yếu tố khác có thể chỉ ra, hoặc dẫn đến, lựa chọn khác. Thực tế, rủi ro và chi phí luôn cần được xem xét. Bất kỳ sự đồng tồn tại các điều kiện nào đều có thể ảnh hưởng đến việc lựa chọn. Xem thêm Bảng 3. | ||
Bảng 3 - Hướng dẫn lựa chọn hệ thống, chương trình hoặc phương án lấy mẫu chấp nhận để lấy mẫu định lượng, sử dụng điều kiện sản xuất hiện có
| Điều kiện sản xuất [TCVN 9946-1:2013 (ISO/TR 8550-1:2007)] | Chỉ thị thực tiễn a | Chú thích hướng dẫn với viện dẫn TCVN 9946-1:2013 (ISO/TR 8550-1:2007) |
| Có lịch sử chất lượng tốt nhất quán trong sản xuất -10.3 b) | TCVN 8243-1 (ISO 3951-1), TCVN 8243-2 (ISO 3951-2), kiểm tra gián tiếp, lấy mẫu đột xuất | Khi có thể tin cậy vào kiểm tra tại nguồn (kiểm tra gián tiếp bởi nhà cung cấp), có thể xem xét kiểm tra lô cách quãng hoặc kiểm tra giảm. Cỡ mẫu nhỏ với DR trung bình trong chương trình, nghĩa là quy tắc chuyển đổi là đảm bảo thiết yếu (Điều 6, 8.1, 8.4.1, 9.2 và 10.4). |
| Chất lượng sản xuất rất biến động và/hoặc kém -11.3 k) | Kiểm tra ngặt TCVN 8243-1 (ISO 3951-1) | Điều này hàm ý sử dụng quy tắc chuyển đổi (Điều 6) và bắt đầu với các điều kiện lấy mẫu tương đối ngặt, ví dụ kiểm tra ngặt, chỉ chuyển sang kém ngặt hơn (thường) khi chất lượng được thiết lập, để sau đó tiếp tục cung cấp - loạt dài (8.1, 8.3, 8.4, 8.5 , 8.7 và Điều 9). Sử dụng tiêu chuẩn định tính ISO 2859-2 đối với loạt ngắn. |
| Dễ lựa chọn lấy mẫu ngẫu nhiên hoặc thử nghiệm nhanh và không tốn kém -11.3 c), 11.3 d) | ISO 3951-3 | Xem xét phương tiện thu lợi từ tình huống này bằng các sử dụng lấy mẫu liên tiếp hoặc hai lần, với điều kiện việc quản lý không trở nên quá phức tạp và tốn kém (9.3). |
| Lấy mẫu ngẫu nhiên khó khăn và tốn kém - 11.3 l) | TCVN 8243-1 (ISO 3951-1), TCVN 8243-2 (ISO 3951-2), ISO 3951-3 | Có nghĩa là ban đầu toàn bộ mẫu được lấy, dẫn đến lấy mẫu một lần. Có thể sử dụng lấy mẫu hai lần hoặc nhiều lần với quy tắc cho lựa chọn mẫu con và liên tục có cắt (9.3). Vấn đề quản lý có thể nảy sinh. |
| Thử nghiệm lâu và/hoặc tốn kém - 11.3 m) | TCVN 8243-1 (ISO 3951-1), ISO 8423 | Có nghĩa là các mẫu nhỏ có rủi ro từng lô lớn hơn (phương án lấy mẫu có tỷ lệ phân biệt nhỏ hơn) nhưng có sự kiểm soát chất lượng dài hạn (8.3, 8.4, 8.5, 8.6 và Điều 9). |
| Hình dạng và độ rộng của phân bố là quan trọng - 10.3 g) | ISO 3951-5, ISO 8423, TCVN 9603 (ISO 5479) | Chú ý đặc biệt đến việc chọn PR, CR, PRQ và CRQ (8.4) |
| Hình dạng và độ rộng của phân bố không quan trọng - 11.3 p) | Xem chú thích hướng dẫn. | Xem xét các yếu tố khác. |
| Phân bố đã biết là phân bố chuẩn - 11.3 h) | TCVN 8243-1 (ISO 3951-1), TCVN 8243-2 (ISO 3951-2), ISO 3951-3 | Điều này đề cập đến đặc trưng quan tâm, ví dụ chiều dài phân bố chuẩn, nhưng kiểm tra có thể là định lượng hoặc định tính. Chuẩn mực phù hợp sẽ được xác định từ hiểu biết về phân bố (8.2, 8.3, 8.4, 8.5, 8.6). |
| Phân bố chưa biết hoặc đã biết không phải là phân bố chuẩn -11.3 q) | TCVN 9603 (ISO 5479), Xem chú thích hướng dẫn. | Có thể sử dụng lấy mẫu định lượng nếu có được thông tin về phân bố trong loạt dài, và phân bố có thể chuyển đổi thành chuẩn, nhưng có những rủi ro thêm đối với loạt ngắn hoặc tại thời điểm bắt đầu cung cấp liên tục. Lấy mẫu định tính được khuyến nghị. Hầu như mọi tiêu chuẩn định tính đều áp dụng, lựa chọn phụ thuộc vào các yếu tố khác. Nếu kiểm tra bằng phép đo thì xem xét việc chuyển đổi sang định tính. |
| Lô thuộc loại lô đơn nhất -11.3 i) | Xem 6.1 và chú thích hướng dẫn. | Xem 10.3. Không khuyến nghị sử dụng lấy mẫu định lượng đối với lô tách biệt. |
| Thử nghiệm nhanh - 11.3 j), 11.3 d), 11.3 f) | ISO 3951-5, | Lấy mẫu liên tiếp đặc biệt thích hợp khi kiểm tra nhanh, tốn kém và phá hủy. |
| Việc kiểm tra cá thể là tốn kém hoặc phá hủy - 11.3 e), 11.3 f) | ISO 3951-3, | Kiểm tra tối thiểu hàm ý mẫu nhỏ. (bao gồm cả lấy mẫu định lượng): lấy mẫu hai lần hoặc liên tiếp là ứng cử chính (9.3). |
| Việc kiểm tra cá thể không tốn kém hoặc không phá hủy - 11.3 n). 11.3 o) | Xem chú thích hướng dẫn. | Xem xét các yếu tố khác. |
| a "Chỉ thị thực tiễn" (phương án hoặc hệ thống lấy mẫu) đơn giản nghĩa là các tiêu chuẩn đề cập cần được xem xét trước tiên, mặc dù các yếu tố khác có thể chỉ ra, hoặc dẫn đến, lựa chọn khác. Thực tế, rủi ro và chi phí luôn cần được xem xét. Bất kỳ sự đồng tồn tại các điều kiện nào đều có thể ảnh hưởng đến việc lựa chọn. Xem thêm Bảng 1. | ||

Hình 15 - Minh họa quy trình lựa chọn để kiểm tra định lượng khi sản xuất liên tục và độ dài loạt trên 10 lô ở kiểm tra ban đầu

Hình 16 - Minh họa quy trình lựa chọn để kiểm tra định lượng khi sản xuất không liên tục hoặc độ dài loạt bằng hoặc ít hơn 10 lô ở kiểm tra ban đầu
CHÚ THÍCH CHO HÌNH 15 VÀ HÌNH 16
Các chú thích sau đây sử dụng chung cho Hình 15 và Hình 16. Viện dẫn đến các chú thích trong các hình bằng chữ số "N" ở góc trái phía dưới của các hộp trong hình.
N1 Chỉ dẫn chi tiết thêm cho việc lựa chọn phương án lấy mẫu thích hợp được cho trong các tiêu chuẩn liên quan.
N2 Giới hạn chất lượng chấp nhận (AQL), chất lượng ứng với rủi ro của nhà sản xuất (PRQ), chất lượng giới hạn (LQ), chất lượng ứng với rủi ro của người tiêu dùng (CRQ), bậc kiểm tra (IL) hoặc tỷ lệ phân biệt (DR) có thể được quy định, ví dụ bằng hợp đồng. Nếu không được quy định, các tham số thích hợp cần phải được xác định trước khi chọn phương án lấy mẫu từ tiêu chuẩn áp dụng.
N3 Khi sử dụng TCVN 8243-1 (ISO 3951-1), TCVN 8243-2 (ISO 3951-2) hoặc ISO 3951-3, trước tiên cần chọn từ phương pháp "s" và phương pháp "s" để có được phương án lấy mẫu, như chỉ ra trong tiêu chuẩn.
Lấy mẫu liên tiếp sử dụng ISO 3951-5 hoặc ISO 8423 có yêu cầu là độ lệch chuẩn có thể được coi là hằng số và được lấy là s.
N4 Điều này chịu các điều khoản nhất định về tỷ số giữa cỡ lô với cỡ mẫu và việc cắt của kiểm tra. Thực tế là độ lệch chuẩn sẽ không được biết chính xác tạo thêm rủi ro trong lấy mẫu.
N5 Bảng phương án lấy mẫu cơ bản (Bảng 4 trong ISO 8423) dựa trên rủi ro của nhà sản xuất là 5 % và rủi ro của người tiêu dùng là 10 %.
N6 Nếu phương án lấy mẫu thu được từ nỗ lực ban đầu là không chấp nhận được vì lý do bất kỳ, ví dụ do cỡ mẫu quá lớn, thì trước tiên cần chắc chắn rằng việc lựa chọn được thực hiện đúng đắn.
Nếu phương án vẫn không chấp nhận được thì các bên liên quan cần xem xét "mức chất lượng" và "rủi ro lấy mẫu" để đạt được sự thông hiểu và thống nhất về các tham số sửa đổi cho việc lựa chọn hệ thống/phương án lấy mẫu.
N7 Quy tắc chuyển đổi không áp dụng được nhưng có thể chọn phương án lấy mẫu phù hợp bất kỳ từ các bảng phương án lấy mẫu kiểm tra thường hoặc ngặt.
PHỤ LỤC A
(quy định)
Giấy xác suất chuẩn

Hình A.1 - Giấy xác suất chuẩn
THƯ MỤC TÀI LIỆU THAM KHẢO
[1] ISO 2854:1976, Statistical interpretation of data - Techniques of estimation and tests relating to means and variances (Giải thích dữ liệu thống kê - Kỹ thuật ước lượng và thử nghiệm liên quan đến trung bình và phương sai)
[2] TCVN 7790-1:2007 (ISO 2859-1:1999), Quy trình lấy mẫu để kiểm tra định tính - Phần 1: Chương trình lấy mẫu được xác định theo giới hạn chất lượng chấp nhận (AQL) để kiểm tra từng lô
[3] ISO 2859-2:2004, Sampling procedures for inspection by attributes - Part 2: Sampling plans indexed by limiting quality (LQ) for isolated lot inspection (Quy trình lấy mẫu để kiểm tra định tính - Phần 2: Phương án lấy mẫu xác định theo giới hạn chất lượng (LQ) để kiểm tra lô tách biệt)
[4] TCVN 7790-3:2008 (ISO 2859-3:2005), Quy trình lấy mẫu để kiểm tra định tính - Phần 3: Quy trình lấy mẫu lô cách quãng
[5] TCVN 7790-4:2008 (ISO 2859-4:2002), Quy trình lấy mẫu để kiểm tra định tính - Phần 4: Quy trình đánh giá mức chất lượng công bố
[6] TCVN 7790-10:2008 (ISO 2859-10:2006), Quy trình lấy mẫu để kiểm tra định tính - Phần 10: Giới thiệu về bộ tiêu chuẩn TCVN 7790 (ISO 2859) về lấy mẫu để kiểm tra định tính
[7] TCVN 8244-1:2010 (ISO 3534-1:2006), Thống kê học - Từ vựng và ký hiệu - Phần 1: Thuật ngữ chung về thống kê và thuật ngữ dùng trong xác suất
[8] TCVN 8244-2:2010 (ISO 3534-2:2006), Thống kê học - Từ vựng và ký hiệu - Phần 2: Thống kê ứng dụng
[9] TCVN 8243-1:2009 (ISO 3951-1:2005), Quy trình lấy mẫu để kiểm tra định lượng - Phần 1: Quy định đối với phương án lấy mẫu một lần xác định theo giới hạn chất lượng chấp nhận (AQL) để kiểm tra từng lô đối với một đặc trưng chất lượng và một AQL
[10] TCVN 8243-2:2009 (ISO 3951-2:2006), Quy trình lấy mẫu để kiểm tra định lượng - Phần 2: Quy định chung đối với phương án lấy mẫu một lần xác định theo giới hạn chất lượng chấp nhận (AQL) để kiểm tra từng lô có đặc trưng chất lượng độc lập
[11] ISO 3951-3, Sampling procedures for inspection by variables - Part 3: Double sampling schemes indexed by acceptance quality limit (AQL) for lot-by-lot inspection [Quy trình lấy mẫu để kiểm tra định lượng - Phần 3: Chương trình lấy mẫu hai lần xác định theo giới hạn chất lượng chấp nhận (AQL) để kiểm tra từng lô]
[12] ISO 3951-4:2011, Sampling pnocedures for inspection by variables - Part 4: Procedures for assessment of declared quality levels (Quy trình lấy mẫu để kiểm tra định lượng - Phần 4: Quy trình đánh giá mức chất lượng công bố)
[13] ISO 3951-5:2006, Sampling procedures for inspection by variables - Part 5: Sequential sampling plans indexed by acceptance quality limit (AQL) for inspection by variables (known Standard deviation) [Quy trình lấy mẫu để kiểm tra định lượng - Phần 5: Phương án lấy mẫu xác định theo giới hạn chất lượng chấp nhận (AQL) để kiểm tra định lượng (đã biết độ lệch chuẩn)]
[14] TCVN 9603:2013 (ISO 5479:1997), Giải thích dữ liệu thống kê - Kiểm nghiệm sai lệch so với phân bố chuẩn
[15] TCVN 9601:2013 (ISO 8422:2006), Phương án lấy mẫu liên tiếp để kiểm tra định tính
[16] ISO 8423:2008, Sequential sampling plans for inspection by variables for percent nonconforming (known standard deviation) [Phương án lấy mẫu liên tiếp để kiểm tra định lượng phần trăm không phù hợp (đã biết độ lệch chuẩn)]
[17] TCVN ISO 9000 (ISO 9000), Hệ thống quản lý chất lượng - Cơ sở và từ vựng
[18] ISO 18414:2006, Acceptance sampling procedures by attributes - Accept-zero sampling system based on credit principle for controlling outgoing quality (Quy trình lấy mẫu chấp nhận định tính - Hệ thống lấy mẫu chấp nhận "không" dựa trên nguyên tắc tin cậy đối với kiểm soát chất lượng đầu ra)
[19] BOX, G.E.P. and COX, D.R. An analysis of transformations. Journal oi Royal Statistical Society, B. 26, 1964. pp. 211-252 (Tạp chí Hội thống kê hoàng gia)
[20] KITTLITZ, R. Transforming the exponential for SPC applications. Journal of Quality Technology, 31(3), 1999, pp. 301-308 (Tạp chí Công nghệ chất lượng)
MỤC LỤC
Lời nói đầu
Lời giới thiệu
1. Phạm vi áp dụng
2. Tài liệu viện dẫn
3. Tính chuẩn
3.1. Mối quan hệ giữa dạng phân bố của đặc trưng chất lượng và phần trăm không phù hợp
3.2. Xác định sai lệch khỏi tính chuẩn
3.3. Chuyển đổi thành chuẩn
4. Loại kiểm soát
4.1. Kiểm soát một đặc trưng chất lượng
4.2. Kiểm soát hai hoặc nhiều đặc trưng chất lượng
5. Dạng chuẩn mực chấp nhận
5.1. Khái quát
5.2. Quy trình dạng k đối với phương án lấy mẫu một lần
5.3. Quy trình dạng p* đối với phương án lấy mẫu một lần
5.4. Phương án lấy mẫu hai lần
5.5. Phương án lấy mẫu nhiều lần
5.6. Phương án lấy mẫu liên tiếp
6. Tiêu chuẩn về lấy mẫu chấp nhận lô định lượng
6.1. Khái quát
6.2. TCVN 8243-1 (ISO 3951-1): Quy trình lấy mẫu để kiểm tra định lượng - Phần 1: Quy định đối với phương án lấy mẫu một lần xác định theo giới hạn chất lượng chấp nhận (AQL) để kiểm tra từng lô đối với một đặc trưng chất lượng và một AQL
6.3. TCVN 8243-2:2009 (ISO 3951-2:2006), Quy trình lấy mẫu để kiểm tra định lượng - Phần 2: Quy định chung đối với phương án lấy mẫu một lần xác định theo giới hạn chất lượng chấp nhận (AQL) để kiểm tra từng lô có đặc trưng chất lượng độc lập
6.4. ISO 3951-3: Quy trình lấy mẫu để kiểm tra định lượng - Phần 3: Chương trình lấy mẫu hai lần xác định theo giới hạn chất lượng chấp nhận (AQL) để kiểm tra từng lô
6.5. ISO 3951-4: Quy trình lấy mẫu để kiểm tra định lượng - Phần 4: Quy trình đánh giá mức chất lượng công bố
6.6. ISO 3951-5: Quy trình lấy mẫu để kiểm tra định lượng - Phần 5: Phương án lấy mẫu liên tiếp xác định theo giới hạn chất lượng chấp nhận (AQL) để kiểm tra định lượng (đã biết độ lệch chuẩn)
6.7. ISO 8423: Phương án lấy mẫu liên tiếp để kiểm tra định lượng phần trăm không phù hợp (đã biết độ lệch chuẩn)
7. Ảnh hưởng của các điều kiện thị trường và sản xuất lên quá trình lựa chọn
Phụ lục A (quy định), Giấy xác suất chuẩn
Thư mục tài liệu tham khảo
1) Trong điều này và các bảng tiếp theo, chữ số in đậm để chỉ số điều trong TCVN 9946-1:2013 (ISO/TR 8550-1:2007).
Bạn chưa Đăng nhập thành viên.
Đây là tiện ích dành cho tài khoản thành viên. Vui lòng Đăng nhập để xem chi tiết. Nếu chưa có tài khoản, vui lòng Đăng ký tại đây!