- Tổng quan
- Nội dung
- VB gốc
- Tiếng Anh
- Hiệu lực
- VB liên quan
- Lược đồ
-
Nội dung hợp nhất
Tính năng này chỉ có tại LuatVietnam.vn. Nội dung hợp nhất tổng hợp lại tất cả các quy định còn hiệu lực của văn bản gốc và các văn bản sửa đổi, bổ sung, đính chính... trên một trang. Việc hợp nhất văn bản gốc và những văn bản, Thông tư, Nghị định hướng dẫn khác không làm thay đổi thứ tự điều khoản, nội dung.
Khách hàng chỉ cần xem Nội dung hợp nhất là có thể nắm bắt toàn bộ quy định hiện hành đang áp dụng, cho dù văn bản gốc đã qua nhiều lần chỉnh sửa, bổ sung.
- Tải về
Quyết định 357/QĐ-BKHĐT thủ tục hành chính đầu tư theo phương thức đối tác công tư, đấu thầu
| Cơ quan ban hành: | Bộ Kế hoạch và Đầu tư |
Số công báo:
Số công báo là mã số ấn phẩm được đăng chính thức trên ấn phẩm thông tin của Nhà nước. Mã số này do Chính phủ thống nhất quản lý.
|
Đang cập nhật |
| Số hiệu: | 357/QĐ-BKHĐT | Ngày đăng công báo: | Đang cập nhật |
| Loại văn bản: | Quyết định | Người ký: | Nguyễn Văn Trung |
|
Ngày ban hành:
Ngày ban hành là ngày, tháng, năm văn bản được thông qua hoặc ký ban hành.
|
02/04/2021 |
Ngày hết hiệu lực:
Ngày hết hiệu lực là ngày, tháng, năm văn bản chính thức không còn hiệu lực (áp dụng).
|
Đang cập nhật |
|
Áp dụng:
Ngày áp dụng là ngày, tháng, năm văn bản chính thức có hiệu lực (áp dụng).
|
Đã biết
|
Tình trạng hiệu lực:
Cho biết trạng thái hiệu lực của văn bản đang tra cứu: Chưa áp dụng, Còn hiệu lực, Hết hiệu lực, Hết hiệu lực 1 phần; Đã sửa đổi, Đính chính hay Không còn phù hợp,...
|
Đã biết
|
| Lĩnh vực: | Hành chính, Đầu tư, Đấu thầu-Cạnh tranh |
TÓM TẮT QUYẾT ĐỊNH 357/QĐ-BKHĐT
Ngày 02/4/2021, Bộ Kế hoạch và Đầu tư đã ban hành Quyết định 357/QĐ-BKHĐT về việc công bố thủ tục hành chính mới, sửa đổi, bãi bỏ trong lĩnh vực đầu tư theo phương thức đối tác công tư, đấu thầu thuộc phạm vi chức năng quản lý của Bộ Kế hoạch và Đầu tư.
Theo đó, Bộ Kế hoạch và Đầu tư công bố 08 thủ tục hành chính mới lĩnh vực đầu tư theo phương thức đối tác công tư bao gồm: Thẩm định báo cáo nghiên cứu tiền khả thi, quyết định chủ trương đầu tư dự án PPP do nhà đầu tư đề xuất; Thẩm định báo cáo nghiên cứu khả thi, quyết định phê duyệt dự án PPP do nhà đầu tư đề xuất; Thẩm định nội dung điều chỉnh quyết định chủ trương đầu tư, quyết định điều chỉnh chủ trương đầu tư dự án PPP do nhà đầu tư đề xuất;…
Ngoài ra, Danh mục 06 thủ tục hành chính bị bãi bỏ gồm: Thẩm định báo cáo nghiên cứu tiền khả thi, quyết định chủ trương đầu tư dự án do nhà đầu tư đề xuất; Thẩm định, phê duyệt báo cáo nghiên cứu khả thi dự án do nhà đầu tư đề xuất; Thẩm định, phê duyệt báo cáo nghiên cứu khả thi điều chỉnh dự án do nhà đầu tư đề xuất;…
Quyết định này có hiệu lực kể từ ngày ký.
Xem chi tiết Quyết định 357/QĐ-BKHĐT có hiệu lực kể từ ngày 02/04/2021
Tải Quyết định 357/QĐ-BKHĐT
|
BỘ KẾ HOẠCH VÀ ĐẦU TƯ ___________ Số: 357/QĐ-BKHĐT
|
CỘNG HÒA XÃ HỘI CHỦ NGHĨA VIỆT NAM Độc lập - Tự do - Hạnh phúc _______________________ Hà Nội, ngày 02 tháng 4 năm 2021 |
QUYẾT ĐỊNH
Công bố thủ tục hành chính mới, sửa đổi, bãi bỏ trong lĩnh vực đầu tư theo
phương thức đối tác công tư, đấu thầu thuộc phạm vi chức năng quản lý
của Bộ Kế hoạch và Đầu tư
______________
BỘ TRƯỞNG BỘ KẾ HOẠCH VÀ ĐẦU TƯ
Căn cứ Nghị định số 86/2017/NĐ-CP ngày 25 tháng 7 năm 2017 của Chính phủ quy định chức năng, nhiệm vụ, quyền hạn và cơ cấu tổ chức của Bộ Kế hoạch và Đầu tư;
Căn cứ Nghị định số 63/2010/NĐ-CP ngày 08 tháng 6 năm 2010 của Chính phủ về kiểm soát thủ tục hành chính;
Căn cứ Nghị định số 48/2013/NĐ-CP ngày 14 tháng 5 năm 2013 của Chính phủ sửa đổi, bổ sung một số điều của các Nghị định liên quan đến kiểm soát thủ tục hành chính;
Căn cứ Nghị định số 92/2017/NĐ-CP ngày 07 tháng 8 năm 2017 của Chính phủ sửa đổi, bổ sung một số điều của các Nghị định liên quan đến kiểm soát thủ tục hành chính;
Căn cứ Thông tư số 02/2017/TT-VPCP ngày 31 tháng 10 năm 2017 của Văn phòng Chính phủ hướng dẫn về nghiệp vụ kiểm soát thủ tục hành chính;
Xét đề nghị của Cục trưởng Cục Quản lý đấu thầu.
QUYẾT ĐỊNH:
Điều 1. Công bố thủ tục hành chính
1. Công bố kèm theo Quyết định này thủ tục hành chính mới, sửa đổi, bãi bỏ trong lĩnh vực đầu tư theo phương thức đối tác công tư, đấu thầu thuộc phạm vi chức năng quản lý của Bộ Kế hoạch và Đầu tư (theo các Phụ lục I và II ban hành kèm theo Quyết định này).
2. Thủ tục hành chính quy định tại khoản 1 Điều này được đăng tải trên Cổng thông tin điện tử của Bộ Kế hoạch và Đầu tư, chuyên mục “Thủ tục hành chính” tại địa chỉ: http://www.mpi.gov.vn/Pages/tinbai.asnx?idTin=:49556&idcm= 156.
Điều 2. Hiệu lực thi hành
1. Quyết định này có hiệu lực từ ngày ký.
2. Danh mục và nội dung cụ thể của các thủ tục hành chính trong lĩnh vực đầu tư theo hình thức đối tác công tư được ban hành tại Quyết định số 244/QĐ-BKHĐT ngày 12/3/2019 của Bộ trưởng Bộ Kế hoạch và Đầu tư hết hiệu lực kể từ ngày Quyết định này có hiệu lực thi hành.
3. Danh mục và các nội dung cụ thể của thủ tục “danh mục dự án đầu tư có sử dụng đất do nhà đầu tư đề xuất” trong lĩnh vực đấu thầu ban hành tại Quyết định số 1463/QĐ-BKHĐT ngày 06/10/2020 của Bộ trưởng Bộ Kế hoạch và Đầu tư được sửa đổi tại Quyết định này.
|
Nơi nhận: - Như Điều 3; - Bộ trưởng (để b/c); - Cục KSTTHC (VPCP); - Bộ, cơ quan ngang bộ, cơ quan thuộc Chính phủ, Cơ quan TW của tổ chức chính trị, VKSNDTC, TANDTC. Kiểm toán NN, Văn phòng Chủ tịch nước, Văn phòng Quốc hội, Cơ quan TW của Mặt trận Tổ quốc VN và của tổ chức chính trị xã hội; - UBND, Sở KH&ĐT các tỉnh, TP trực thuộc TW; TTTH (để đưa tin, cập nhật trên cổng dịch vụ công của Bộ); - Các đơn vị: Vụ PC, TCCB, VPB2 (P. KSTH); - Lưu: VT, QLĐT. |
KT. BỘ TRƯỞNG THỨ TRƯỞNG
Nguyễn Văn Trung
|
THỦ TỤC HÀNH CHÍNH BAN HÀNH MỚI, SỬA ĐỔI, BÃI BỎ TRONG LĨNH VỰC ĐẦU TƯ THEO PHƯƠNG THỨC ĐỐI TÁC CÔNG TƯ, LĨNH VỰC ĐẤU THẦU LỰA CHỌN NHÀ ĐẦU TƯ THUỘC PHẠM VI CHỨC NĂNG QUẢN LÝ CỦA BỘ KẾ HOẠCH VÀ ĐẦU TƯ
(Ban hành kèm theo Quyết định số 357/QĐ-BKHĐT ngày 02 tháng 4 năm 2021 của Bộ trưởng Bộ Kế hoạch và Đầu tư)
A. DANH MỤC THỦ TỤC HÀNH CHÍNH BAN HÀNH MỚI, SỬA ĐỔI
|
STT |
TÊN TTHC |
CĂN CỨ PHÁP LÝ |
CƠ QUAN THỰC HIỆN |
Ghi chú |
|
I. THỦ TỤC HÀNH CHÍNH CẤP TRUNG ƯƠNG |
||||
|
Lĩnh vực đầu tư theo phương thức đối tác công tư |
||||
|
1 |
Thẩm định báo cáo nghiên cứu tiền khả thi, quyết định chủ trương đầu tư dự án PPP do nhà đầu tư đề xuất |
- Luật Đầu tư theo phương thức đối tác công tư số 64/2020/QH14 ngày 18/6/2020; - Nghị định số 35/2021/NĐ-CP ngày 29/3/2021. |
- Quốc hội; - Thủ tướng Chính phủ; - Bộ trưởng, người đứng đầu cơ quan trung ương; cơ quan tổ chức được Chính phủ, Thủ tướng Chính phủ thành lập và được giao dự toán ngân sách theo quy định của pháp luật về ngân sách nhà nước; - Ủy ban nhân dân cấp tỉnh; - Hội đồng thẩm định nhà nước; - Hội đồng thẩm định liên ngành; |
|
|
2 |
Thẩm định báo cáo nghiên cứu khả thi, quyết định phê duyệt dự án PPP do nhà đầu tư đề xuất |
|
||
|
3 |
Thẩm định nội dung điều chỉnh quyết định chủ trương đầu tư, quyết định điều chỉnh chủ trương đầu tư dự án PPP do nhà đầu tư đề xuất |
|
||
|
4 |
Thẩm định nội dung điều chỉnh báo cáo nghiên cứu khả thi, quyết định phê duyệt điều chỉnh dự án PPP do nhà đầu tư đề xuất |
- Luật Đầu tư theo phương thức đối tác công tư số 64/2020/QH14 ngày 18/6/2020; - Nghị định số 35/2021/NĐ-CP ngày 29/3/2021. |
- Hội đồng thẩm định cấp cơ sở. |
|
Các thủ tục hành chính này được sửa đổi, bổ sung bởi Phụ lục I Quyết định số 1643/QĐ-BKHĐT theo quy định tại Khoản 1 Điều 1.
|
II. THỦ TỤC HÀNH CHÍNH CẤP TỈNH |
|
Lĩnh vực đầu tư theo phương thức đối tác công tư |
|
1 |
Thẩm định báo cáo nghiên cứu tiền khả thi, quyết định chủ trương đầu tư dự án PPP do nhà đầu tư đề xuất |
- Luật Đầu tư theo phương thức đối tác công tư số 64/2020/QH14 ngày 18/6/2020; - Nghị định số 35/2021/NĐ-CP ngày 29/3/2021. |
- Hội đồng nhân dân cấp tỉnh; - Ủy ban nhân dân cấp tỉnh; - Hội đồng thẩm định cấp cơ sở hoặc đơn vị được giao nhiệm vụ thẩm định. |
|
|
2 |
Thẩm định báo cáo nghiên cứu khả thi, quyết định phê duyệt dự án PPP do nhà đầu tư đề xuất |
- Luật Đầu tư theo phương thức đối tác công tư số 64/2020/QH14 ngày 18/6/2020; - Nghị định số 35/2021/NĐ-CP ngày 29/3/2021. |
|
|
|
3 |
Thẩm định nội dung điều chỉnh quyết định chủ trương đầu tư, quyết định điều chỉnh chủ trương đầu tư dự án PPP do nhà đầu tư đề xuất |
- Luật Đầu tư theo phương thức đối tác công tư số 64/2020/QH14 ngày 18/6/2020; - Nghị định số 35/2021/NĐ-CP ngày 29/3/2021. |
|
|
|
4 |
Thẩm định nội dung điều chỉnh báo cáo nghiên cứu khả thi, quyết định phê duyệt điều chỉnh dự án PPP do nhà đầu tư đề xuất |
- Luật Đầu tư theo phương thức đối tác công tư số 64/2020/QH14 ngày 18/6/2020; - Nghị định số 35/2021/NĐ-CP ngáy 29/3/2021. |
|
|
Lĩnh vực đấu thầu lựa chọn nhà đầu tư |
|
5 |
Danh mục dự án đầu tư có sử dụng đất do nhà đầu tư đề xuất (đối với dự án không thuộc diện chấp thuận chủ trương đầu tư) |
- Luật Đấu thầu số 43/2013/QH13 ngày 26/11/2013 - Luật Đầu tư số 61/2020/QH14 ngày 17/6/2021 - Nghị định số 31/2021/NĐ-CP ngày 26/3/2021 - Nghị định số 25/2020/NĐ-CP ngày 28/02/2020 |
Ủy ban nhân dân cấp tỉnh |
Mã TTHC: 2.002283 theo Quyết định số 1463/QĐ-BKHĐT ngày 06/10/2020 |
Các thủ tục hành chính này được sửa đổi, bổ sung bởi Phụ lục I Quyết định số 1643/QĐ-BKHĐT theo quy định tại Khoản 1 Điều 1.
B. DANH MỤC THỦ TỤC HÀNH CHÍNH ĐƯỢC BÃI BỎ
|
STT |
TÊN TTHC |
CĂN CỨ PHÁP LÝ |
CƠ QUAN THỰC HIỆN |
MÃ HỒ SƠ TTHC |
|
|
THỦ TỤC HÀNH CHÍNH CẤP TRUNG ƯƠNG |
|||||
|
Đấu thầu lựa chọn nhà đầu tư |
|||||
|
1 |
Thẩm định báo cáo nghiên cứu tiền khả thi, quyết định chủ trương đầu tư dự án do nhà đầu tư đề xuất |
- Luật Đầu tư công số 49/2014/QH13 ngày 18/6/2014; - Nghị định số 63/2018/NĐ-CP ngày 04/5/2018 về đầu tư theo hình thức PPP (Nghị định số 63/2018/NĐ-CP) - Thông tư số 09/2018/TT-BKHĐT ngày 28/12/2018 hướng dẫn thực hiện một số điều của Nghị định số 63/2018/NĐ-CP ngày 04/5/2018 của Chính phủ về đầu tư theo hình thức đối tác công tư (Thông tư số 09/2018/TT-BKHĐT) |
Bộ, ngành |
Mã TTHC: 2.001096 theo Quyết định số 244/QĐ-BKHĐT ngày 12/3/2019 |
|
|
2 |
Thẩm định, phê duyệt báo cáo nghiên cứu khả thi dự án do nhà đầu tư đề xuất |
- Luật Đầu tư công; - Nghị định số 63/2018/NĐ-CP; - Thông tư số 09/2018/TT-BKHĐT. |
Bộ, ngành |
- Mã TTHC: 2.000139 theo Quyết định số 244/QĐ-BKHĐT ngày 12/3/2019 |
|
|
3 |
Thẩm định, phê duyệt báo cáo nghiên cứu khả thi điều chỉnh dự án do nhà đầu tư đề xuất |
- Luật Đầu tư công; - Nghị định số 63/2018/NĐ-CP; - Thông tư số 09/2018/TT-BKHĐT. |
Bộ, ngành |
Mã TTHC: 1.005089 theo Quyết định số 244/QĐ-BKHĐT ngày 12/3/2019 |
|
|
THỦ TỤC HÀNH CHÍNH CẤP TỈNH |
|||||
|
Đấu thầu lựa chọn nhà đầu tư |
|||||
|
1 |
Thẩm định báo cáo nghiên cứu tiền khả thi, quyết định chủ trương đầu tư dự án do nhà đầu tư đề xuất |
- Luật Đầu tư công; - Nghị định số 63/2018/NĐ-CP; - Thông tư số 09/2018/TT-BKHĐT. |
UBND tỉnh |
Mã TTHC: 2.002097 theo Quyết định số 244/QĐ-BKHĐT ngày 12/3/2019 |
|
|
2 |
Thẩm định, phê duyệt báo cáo nghiên cứu khả thi dự án do nhà đầu tư đề xuất |
- Luật Đầu tư công; - Nghị định số 63/2018/NĐ-CP; - Thông tư số 09/2018/TT-BKHĐT. |
UBND tỉnh |
Mã TTHC: 2.001995 theo Quyết định số 244/QĐ-BKHĐT ngày 12/3/2019 |
|
|
3 |
Thẩm định, phê duyệt báo cáo nghiên cứu khả thi điều chỉnh dự án do nhà đầu tư đề xuất |
- Luật Đầu tư công; - Nghị định số 63/2018/NĐ-CP; - Thông tư số 09/2018/TT-BKHĐT. |
UBND tỉnh |
Mã TTHC: 2.001994 theo Quyết định số 244/QĐ-BKHĐT ngày 12/3/2019 |
|
Phụ lục II
NỘI DUNG CỤ THỂ CỦA TỪNG THỦ TỤC HÀNH CHÍNH TRONG LĨNH VỰC ĐẦU TƯ THEO PHƯƠNG THỨC ĐỐI TÁC CÔNG TƯ, ĐẤU THẦU THUỘC PHẠM VI QUẢN LÝ CỦA BỘ KẾ HOẠCH VÀ ĐẦU TƯ
(Ban hành kèm theo Quyết định Số 357/QĐ-BKHĐT ngày 02 tháng 4 năm 2021 của Bộ trưởng Bộ Kế hoạch và Đầu tư)
__________________
A. THỦ TỤC HÀNH CHÍNH CẤP TRUNG ƯƠNG
Nội dung cụ thể các thủ tục hành chính này được sửa đổi, bổ sung bởi Phụ lục II Quyết định số 1643/QĐ-BKHĐT theo quy định tại Khoản 1 Điều 1.
- Nhà đầu tư gửi văn bản đề xuất thực hiện dự án PPP đến cơ quan có thẩm quyền; trường hợp không xác định được cơ quan có thẩm quyền thì gửi đến cơ quan quản lý nhà nước về đầu tư theo phương thức PPP;
- Cơ quan có thẩm quyền xem xét, trả lời bằng văn bản chấp thuận hoặc không chấp thuận việc nhà đầu tư lập báo cáo nghiên cứu tiền khả thi. Nội dung văn bản chấp thuận bao gồm cách thức phối hợp với các tổ chức, đơn vị thuộc cơ quan có thẩm quyền, yêu cầu về thời hạn nộp hồ sơ đề xuất dự án của nhà đầu tư và nội dung khác có liên quan; trường hợp không chấp thuận thì nêu rõ lý do;
- Trường hợp được cơ quan có thẩm quyền chấp thuận, nhà đầu tư lập hồ sơ đề xuất dự án bao gồm: báo cáo nghiên cứu tiền khả thi, hồ sơ về tư cách pháp lý, năng lực, kinh nghiệm của nhà đầu tư;
- Nhà đầu tư gửi hồ sơ đề xuất dự án đến cơ quan có thẩm quyền.
- Nhà đầu tư lập báo cáo nghiên cứu tiền khả thi làm cơ sở để cơ quan có thẩm quyền trình Chính phủ, đồng thời gửi Bộ Kế hoạch và Đầu tư;
- Bộ trưởng Bộ Kế hoạch và Đầu tư đề xuất Thủ tướng Chính phủ thành lập Hội đồng thẩm định nhà nước;
- Hội đồng thẩm định nhà nước thẩm định báo cáo nghiên cứu tiền khả thi. Trường hợp dự án có sử dụng vốn đầu tư công, việc thẩm định nguồn vốn và khả năng cân đối vốn theo quy định của pháp luật về đầu tư công;
- Chính phủ hoàn chỉnh hồ sơ trình Quốc hội xem xét, quyết định;
- Cơ quan của Quốc hội thẩm tra hồ sơ do Chính phủ trình;
- Quốc hội xem xét, thông qua nghị quyết về chủ trương đầu tư dự án.
- Nhà đầu tư lập báo cáo nghiên cứu tiền khả thi làm cơ sở để cơ quan có thẩm quyền gửi Bộ Kế hoạch và Đầu tư;
- Bộ trưởng Bộ Kế hoạch và Đầu tư đề xuất Thủ tướng Chính phủ thành lập Hội đồng thẩm định liên ngành;
- Hội đồng thẩm định liên ngành thẩm định báo cáo nghiên cứu tiền khả thi;
- Bộ Kế hoạch và Đầu tư chủ trì thẩm định nguồn vốn và khả năng cân đối vốn đối với phần vốn ngân sách trung ương theo quy định của pháp luật về đầu tư công trong trường hợp dự án PPP sử dụng vốn ngân sách trung ương, gửi Hội đồng thẩm định liên ngành;
- Cơ quan chuyên môn quản lý đầu tư công tại địa phương chủ trì thẩm định nguồn vốn và khả năng cân đối vốn đối với phần vốn ngân sách địa phương theo quy định của pháp luật về đầu tư công trong trường hợp dự án PPP sử dụng vốn ngân sách địa phương, gửi Hội đồng thẩm định liên ngành;
- Hội đồng thẩm định liên ngành hoàn thành và gửi báo cáo thẩm định đến cơ quan có thẩm quyền;
- Cơ quan có thẩm quyền hoàn chỉnh hồ sơ trình Thủ tướng Chính phủ xem xét, quyết định;
- Thủ tướng Chính phủ quyết định chủ trương đầu tư dự án.
- Nhà đầu tư lập báo cáo nghiên cứu tiền khả thi làm cơ sở trình Bộ trưởng, người đứng đầu cơ quan trung ương, cơ quan khác xem xét, quyết định;
- Hội đồng thẩm định cấp cơ sở hoặc đơn vị được giao nhiệm vụ thẩm định báo cáo nghiên cứu tiền khả thi;
- Cơ quan chuyên môn quản lý đầu tư công thuộc Bộ, cơ quan trung ương, cơ quan khác chủ trì thẩm định nguồn vốn và khả năng cân đối vốn đầu tư công theo quy định của pháp luật về đầu tư công trong trường hợp dự án PPP sử dụng vốn đầu tư công, gửi Hội đồng thẩm định cấp cơ sở hoặc đơn vị được giao nhiệm vụ thẩm định;
- Hội đồng thẩm định cấp cơ sở hoặc đơn vị được giao nhiệm vụ thẩm định hoàn thành và gửi báo cáo thẩm định đến cơ quan, đơn vị chủ trì tiếp nhận hồ sơ đề xuất dự án PPP;
- Cơ quan, đơn vị chủ trì tiếp nhận hồ sơ đề xuất hoàn chỉnh hồ sơ trình Bộ trưởng, người đứng đầu cơ quan trung ương, cơ quan khác xem xét, quyết định;
- Bộ trưởng, người đứng đầu cơ quan trung ương, cơ quan khác quyết định chủ trương đầu tư dự án.
2. Cách thức thực hiện
- Trực tiếp bằng văn bản tại:
+ Hội đồng thẩm định nhà nước, hội đồng thẩm định liên ngành do Bộ Kế hoạch và Đầu tư đề xuất thành lập đối với dự án thuộc thẩm quyền quyết định chủ trương đầu tư của Quốc hội, Thủ tướng Chính phủ;
+ Hội đồng thẩm định cấp cơ sở hoặc đơn vị trực thuộc được giao thực hiện nhiệm vụ thẩm định đối với dự án thuộc thẩm quyền quyết định chủ trương của Bộ trưởng, người đứng đầu cơ quan trung ương; cơ quan, tổ chức được Chính phủ, Thủ tướng Chính phủ thành lập và được giao dự toán ngân sách theo quy định của pháp luật về ngân sách nhà nước.
- Hồ sơ thẩm định báo cáo nghiên cứu tiền khả thi bao gồm:
+ Văn bản đề nghị thẩm định;
+ Dự thảo tờ trình đề nghị quyết định chủ trương đầu tư;
+ Báo cáo nghiên cứu tiền khả thi;
+ Văn bản chấp thuận việc nhà đầu tư lập báo cáo nghiên cứu tiền khả thi;
+ Quyết định sử dụng tài sản công để tham gia dự án PPP theo quy định của pháp luật về quản lý, sử dụng tài sản công (trường hợp dự án sử dụng tài sản công làm vốn nhà nước hỗ trợ xây dựng công trình, hệ thống cơ sở hạ tầng);
+ Tài liệu pháp lý khác có liên quan của dự án.
- Hồ sơ đề nghị quyết định chủ trương đầu tư dự án PPP bao gồm:
+ Tờ trình đề nghị quyết định chủ trương đầu tư;
+ Dự thảo quyết định chủ trương đầu tư;
+ Báo cáo nghiên cứu tiền khả thi;
+ Báo cáo thẩm định báo cáo nghiên cứu tiền khả thi; báo cáo thẩm tra đối với dự án do Quốc hội quyết định chủ trương đầu tư;
+ Tài liệu pháp lý khác có liên quan của dự án.
5. Thời hạn giải quyết
- Đối với dự án thuộc thẩm quyền quyết định chủ trương đầu tư của Quốc hội, thời gian thẩm định thực hiện theo Nghị định số 29/2021/NĐ-CP ngày 26/3/2021 của Chính phủ quy định về trình tự, thủ tục thẩm định dự án quan trọng quốc gia và giám sát, đánh giá đầu tư: Không quá 90 ngày;
- Dự án thuộc thẩm quyền quyết định quyết định chủ trương của Thủ tướng Chính phủ: Không quá 20 ngày;
- Dự án thuộc thẩm quyền quyết định chủ trương đầu tư của Bộ trưởng, người đứng đầu cơ quan trung ương, cơ quan khác: Không quá 15 ngày.
6. Cơ quan thực hiện
- Quốc hội;
- Thủ tướng Chính phủ;
- Bộ trưởng, người đứng đầu cơ quan trưng ương; cơ quan tổ chức được Chính phủ, Thủ tướng Chính phủ thành lập và được giao dự toán ngân sách theo quy định của pháp luật về ngân sách nhà nước;
- Ủy ban nhân dân cấp tỉnh;
- Hội đồng thẩm định nhà nước;
- Hội đồng thẩm định liên ngành;
- Hội đồng thẩm định cấp cơ sở.
8. Kết quả thực hiện thủ tục hành chính
- Báo cáo thẩm định Báo cáo nghiên cứu tiền khả thi dự án PPP do nhà đầu tư đề xuất;
- Quyết định phê duyệt chủ trương đầu tư dự án PPP do nhà đầu tư đề xuất.
Các Phụ lục ban hành kèm theo Nghị định số 35/2021/NĐ-CP ngày 29/3/2021 quy định chi tiết và hướng dẫn thi hành Luật Đầu tư theo phương thức đối tác công tư bao gồm;
- Phụ lục I: Mẫu kế hoạch thẩm định báo cáo nghiên cứu tiền khả thi hoặc báo cáo nghiên cứu khả thi dự án;
- Phụ lục II - Mẫu số 01: Báo cáo nghiên cứu tiền khả thi dự án PPP;
- Phụ lục II – Mẫu số 02: Báo cáo thẩm định báo cáo nghiên cứu tiền khả thi dự án PPP;
- Phụ lục II - Mẫu số 03: Nghị quyết/Quyết định chủ trương đầu tư dự án PPP.
11. Yêu cầu, điều kiện thực hiện thủ tục (nếu có):
- Dự án PPP do nhà đầu tư đề xuất phải đáp ứng các điều kiện sau đây:
+ Phù hợp với điều kiện lựa chọn dự án để đầu tư theo phương thức PPP quy định tại các điểm a, b, c và d khoản 1 Điều 14 của Luật PPP;
+ Không trùng với dự án PPP đang được cơ quan có thẩm quyền tổ chức lập báo cáo nghiên cứu tiền khả thi hoặc đã chấp thuận nhà đầu tư khác lập báo cáo nghiên cứu tiền khả thi;
+ Phù hợp với chiến lược, kế hoạch phát triển kinh tế - xã hội của quốc gia và quy hoạch có liên quan theo quy định của pháp luật về quy hoạch.
- Dự án do nhà đầu tư đề xuất phải tổ chức đấu thầu rộng rãi hoặc đàm phán cạnh tranh theo quy định tại Điều 37 hoặc Điều 38 của Luật PPP.
12. Căn cứ pháp lý của thủ tục hành chính
- Luật Đầu tư theo phương thức đối tác công tư số 64/2020/QH14 ngày 18/6/2020;
- Nghị định số 35/2021/NĐ-CP ngày 29/3/2021 quy định chi tiết và hướng dẫn thi hành Luật Đầu tư theo phương thức đối tác công tư.
1. Trình tự thực hiện
- Nhà đầu tư lập báo cáo nghiên cứu khả thi căn cứ quyết định chủ trương đầu tư, gửi cơ quan có thẩm quyền.
- Hội đồng thẩm định nhà nước, hội đồng thẩm định liên ngành tổ chức thẩm định báo cáo nghiên cứu khả thi đối với dự án thuộc thẩm quyền quyết định chủ trương đầu tư của Quốc hội, Thủ tướng Chính phủ.
- Hội đồng thẩm định cấp cơ sở hoặc đơn vị trực thuộc được giao thực hiện nhiệm vụ thẩm định dự án tổ chức thẩm định báo cáo nghiên cứu khả thi đối với dự án thuộc thẩm quyền quyết định chủ trương đầu tư của Bộ trưởng, người đứng đầu cơ quan trung ương; cơ quan, tổ chức được Chính phủ, Thủ tướng Chính phủ thành lập và được giao dự toán ngân sách theo quy định của pháp luật về ngân sách nhà nước.
- Thủ tướng Chính phủ phê duyệt dự án đối với dự án thuộc thẩm quyền quyết định chủ trương đầu tư của Quốc hội; Bộ trưởng, người đứng đầu cơ quan trung ương, cơ quan khác phê duyệt dự án đối với dự án thuộc thẩm quyền quyết định chủ trương đầu tư của Thủ tướng Chính phủ, Bộ trưởng, người đứng đầu cơ quan trung ương, cơ quan khác.
2. Cách thức thực hiện
- Trực tiếp bằng văn bản tại:
+ Hội đồng thẩm định nhà nước, hội đồng thẩm định liên ngành do Bộ Kế hoạch và Đầu tư đề xuất thành lập đối với dự án thuộc thẩm quyền của Quốc hội, Thủ tướng Chính phủ;
+ Hội đồng thẩm định cấp cơ sở hoặc đơn vị trực thuộc được giao thực hiện nhiệm vụ thẩm định đối với dự án thuộc thẩm quyền của Bộ trưởng, người đứng đầu cơ quan trung ương; cơ quan, tổ chức được Chính phủ, Thủ tướng Chính phủ thành lập và được giao dự toán ngân sách theo quy định của pháp luật về ngân sách nhà nước.
- Hồ sơ thẩm định báo cáo nghiên cứu khả thi dự án PPP do nhà đầu tư đề xuất bao gồm:
+ Văn bản đề nghị thẩm định;
+ Dự thảo tờ trình đề nghị phê duyệt dự án;
+ Báo cáo nghiên cứu khả thi;
+ Quyết định chủ trương đầu tư;
+ Quyết định phê duyệt kết quả lựa chọn nhà đầu tư (trường hợp dự án ứng dụng công nghệ cao, công nghệ mới);
+ Văn bản thoa thuận giữa cơ quan có thẩm quyền với nhà đầư tư về việc giao nhà đầu tư lập báo cáo nghiên cứu khả thi (bao gồm trường hợp dự án ứng dụng công nghệ cao, công nghệ mới);
+ Tài liệu pháp lý khác có liên quan của dự án.
- Hồ sơ đề nghị phê duyệt dự án PPP do nhà đầu tư đề xuất bao gồm:
+ Tờ trình đề nghị phê duyệt dự án;
+ Dự thảo quyết định phê duyệt dự án;
+ Báo cáo nghiên cứu khả thi;
+ Báo cáo thẩm định báo cáo nghiên cứu khả thi;
+ Quyết định chủ trương đầu tư;
+ Quyết định phê duyệt kết quả lựa chọn nhà đầu tư (trường hợp dự án ứng dụng công nghệ cao, công nghệ mới);
+ Tài liệu pháp lý khác có liên quan của dự án.
5. Thời hạn giải quyết
- Đối với dự án thuộc thẩm quyền quyết định chủ trương đầu tư của Quốc hội, thời gian thẩm định thực hiện theo Nghị định số 29/2021/NĐ-CP ngày 26/3/2021 của Chính phủ quy định về trình tự, thủ tục thẩm định dự án quan trọng quốc gia và giám sát, đánh giá đầu tư;
- Dự án thuộc thẩm quyền quyết định chủ trương đầu tư của Thủ tướng Chính phủ: Không quá 90 ngày;
- Dự án thuộc thẩm quyền quyết định chủ trương đầu tư của Bộ trưởng, người đứng đầu cơ quan trung ương, cơ quan khác: Không quá 60 ngày.
6. Cơ quan thực hiện
- Quốc hội;
- Thủ tướng Chính phủ;
- Bộ trưởng, người đứng đầu cơ quan trung ương; cơ quan tổ chức được Chính phủ, Thủ tướng Chính phủ thành lập và được giao dự toán ngân sách theo quy định của pháp luật về ngân sách nhà nước;
- Ủy ban nhân dân cấp tỉnh;
- Hội đồng thẩm định nhà nước;
- Hội đồng thẩm định liên ngành;
- Hội đồng thẩm định cấp cơ sở.
8. Kết quả thực hiện thủ tục hành chính
- Báo cáo thẩm định Báo cáo nghiên cứu khả thi dự án PPP do nhà đầu tư đề xuất;
- Quyết định phê duyệt, dự án PPP do nhà đầu tư đề xuất.
10. Tên mẫu đơn, mẫu tờ khai (đính kèm)
Các Phụ lục ban hành kèm theo Nghị định số 35/2021/NĐ-CP ngày 29/3/2021 quy định chi tiết và hướng dẫn thi hành Luật Đầu tư theo phương thức đối tác công tư bao gồm:
- Phụ lục I: Mẫu kế hoạch thẩm định báo cáo nghiên cứu tiền khả thi hoặc báo cáo nghiên cứu khả thi dự án;
- Phụ lục III - Mẫu số 01: Báo cáo nghiên cứu khả thi dự án PPP;
- Phụ lục III - Mẫu số 02: Báo cáo thẩm định báo cáo nghiên cứu khả thi dự án PPP;
- Phụ lục III - Mẫu số 03: Quyết định phê duyệt dự án PPP.
12. Căn cứ pháp lý của thủ tục hành chính
- Luật Đầu tư theo phương thức đối tác công tư số 64/2020/QH14 ngày 18/6/2020;
- Nghị định số 35/2021/NĐ-CP ngày 29/3/2021 quy định chi tiết và hướng dẫn thi hành Luật Đầu tư theo phương thức đối tác công tư.
1. Trình tự thực hiện
Trình tự thẩm định nội dung điều chỉnh chủ trương đầu tư, quyết định điều chỉnh chủ trương đầu tư dự án PPP do nhà đầu tư đề xuất
- Nhà đầu tư lập văn bản đề nghị thẩm định, dự thảo tờ trình đề nghị quyết định chủ trương làm cơ sở để cơ quan có thẩm quyền trình Chính phủ, đồng thời gửi Bộ Kế hoạch và Đầu tư;
- Bộ trưởng Bộ Kế hoạch và Đầu tư đề xuất Thủ tướng Chính phủ thành lập Hội đồng thẩm định nhà nước;
- Hội đồng thẩm định nhà nước thẩm định nội dung điều chỉnh báo cáo nghiên cứu tiền khả thi. Trường hợp dự án có sử dụng vốn đầu tư công, việc thẩm định nguồn vốn và khả năng cân đối vốn theo quy định của pháp luật về đầu tư công;
- Chính phủ hoàn chỉnh hồ sơ trình Quốc hội xem xét, quyết định;
- Cơ quan của Quốc hội thẩm tra hồ sơ do Chính phủ trình;
- Quốc hội xem xét, thông qua nghị quyết về điều chỉnh chủ trương đầu tư dự án.
- Nhà đầu tư lập nội dung điều chỉnh báo cáo nghiên cứu tiền khả thi làm cơ sở để cơ quan có thẩm quyền gửi Bộ Kế hoạch và Đầu tư;
- Bộ trưởng Bộ Kế hoạch và Đầu tư đề xuất Thủ tướng Chính phủ thành lập Hội đồng thẩm định liên ngành;
- Hội đồng thẩm định liên ngành thẩm định nội dung điều chỉnh báo cáo nghiên cứu tiền khả thi;
- Bộ Kế hoạch và Đầu tư chủ trì thẩm định nguồn vốn và khả năng cân đối vốn đối với phần vốn ngân sách trung ương theo quy định của pháp luật về đầu tư công trong trường hợp dự án PPP sử dụng vốn ngân sách trung ương, gửi Hội đồng thẩm định liên ngành;
- Cơ quan chuyên môn quản lý đầu tư công tại địa phương chủ trì thẩm định nguồn vốn và khả năng cân đối vốn đối với phần vốn ngân sách địa phương theo quy định của pháp luật về đầu tư công trong trường hợp dự án PPP sử dụng vốn ngân sách địa phương, gửi Hội đồng thẩm định liên ngành;
- Hội đồng thẩm định liên ngành hoàn thành và gửi báo cáo thẩm định nội dung điều chỉnh đến cơ quan có thẩm quyền;
- Cơ quan có thẩm quyền hoàn chỉnh hồ sơ trình Thủ tướng Chính phủ xem xét, quyết định;
- Thủ tướng Chính phủ phê duyệt điều chỉnh quyết định chủ trương đầu tư dự án.
- Nhà đầu tư lập nội dung điều chỉnh báo cáo nghiên cứu tiền khả thi làm cơ sở trình Bộ trưởng, người đứng đầu cơ quan trung ương, cơ quan khác xem xét, quyết định;
- Hội đồng thẩm định cấp cơ sở hoặc đơn vị được giao nhiệm vụ thẩm định nội dung điều chỉnh báo cáo nghiên cứu tiền khả thi;
- Cơ quan chuyên môn quản lý đầu tư công thuộc Bộ, cơ quan trung ương, cơ quan khác chủ trì thẩm định nguồn vốn và khả năng cân đối vốn đầu tư công theo quy định của pháp luật về đầu tư công trong trường hợp dự án PPP sử dụng vốn đầu tư công, gửi Hội đồng thẩm định cấp cơ sở hoặc đơn vị được giao nhiệm vụ thẩm định;
- Hội đồng thẩm định cấp cơ sở hoặc đơn vị được giao nhiệm vụ thẩm định hoàn thành và gửi báo cáo thẩm định đến cơ quan, đơn vị chủ trì tiếp nhận hồ sơ đề xuất;
- Cơ quan, đơn vị chủ trì tiếp nhận hồ sơ đề xuất hoàn chỉnh hồ sơ trình Bộ trưởng, người đứng đầu cơ quan trung ương, cơ quan khác xem xét, quyết định;
- Bộ trưởng, người đứng đầu cơ quan trung ương, cơ quan khác phê duyệt điều chỉnh chủ trương đầu tư dự án.
2. Cách thức thực hiện
- Trực tiếp bằng văn bản tại:
+ Hội đồng thẩm định nhà nước, hội đồng thẩm định liên ngành do Bộ Kế hoạch và Đầu tư đề xuất thành lập đối với dự án thuộc thẩm quyền của Quốc hội, Thủ tướng Chính phủ;
+ Hội đồng thẩm định cấp cơ sở hoặc đơn vị trực thuộc được giao thực hiện nhiệm vụ thẩm định đối với dự án thuộc thẩm quyền quyết định chủ trương đầu tư của Bộ trưởng, người đứng đầu cơ quan trưng ương; cơ quan, tổ chức được Chính phủ, Thủ tướng Chính phủ thành lập và được giao dự toán ngân sach theo quy định của pháp luật về ngân sách nhà nước.
- Hồ sơ đề nghị thẩm định điều chỉnh quyết định, chủ trương đầu tư dự án PPP bao gồm:
+ Văn bản đề nghị thẩm định;
+ Dự thảo tờ trình đề nghị điều chỉnh chủ trương đầu tư;
+ Nội dung điều chỉnh báo cáo nghiên cứu tiền khả thi;
+ Văn bản chấp thuận nhà đầu tư lập báo cáo nghiên cứu tiền khả thi;
+ Quyết định sử dụng tài sản công để tham gia dự án PPP theo quy định của pháp luật về quản lý, sử dựng tài sản công (trường hợp dự án sử dụng tài sản công làm vốn nhà nước hỗ trợ xây dựng công trình, hệ thống cơ sở hạ tầng);
+ Tài liệu pháp lý khác có liên quan của dự án.
- Hồ sơ đề nghị quyết định điều chỉnh chủ trương đầu tư dự án PPP bao gồm:
+ Tờ trình đề nghị phê duyệt nội dung điều chỉnh chủ trương đầu tư;
+ Dự thảo quyết định điều chỉnh chủ trương đầu tư;
+ Nội dung điều chỉnh báo cáo nghiên cứu tiền khả thi;
+ Báo cáo thẩm định, thẩm tra đối với các nội dung điều chỉnh.
+ Tài liệu pháp lý khác có liên quan của dự án.
5. Thời hạn giải quyết
- Đối với dự án thuộc thẩm quyền quyết định chủ trương đầu tư của Quốc hội, thời gian thẩm định thực hiện theo Nghị định số 29/2021/NĐ-CP ngày 26/3/2021 của Chính phủ quy định về trình tự, thủ tục thẩm định dự án quan trọng quốc gia và giám sát, đánh giá đầu tư: Không quá 90 ngày;
- Dự án thuộc thẩm quyền quyết định quyết định chủ trương của Thủ tướng Chính phủ: Không quá 20 ngày;
- Dự án thuộc thẩm quyền quyết định chủ trương đầu tư của Bộ trưởng, người đứng đầu cơ quan trung ương, cơ quan khác: Không quá 15 ngày.
6. Cơ quan thực hiện
- Quốc hội;
- Thủ tướng Chính phủ;
- Bộ Kế hoạch và đầu tư đối với dự án thuộc thẩm quyền của Quốc hội, Thủ tướng Chính phủ;
- Bộ trưởng, người đứng đầu cơ quan trung ương; cơ quan tổ chức được Chính phủ, Thủ tướng Chính phủ thành lập và được giao dự toán ngân sách theo quy định của pháp luật về ngân sách nhà nước;
- Hội đồng thẩm định nhà nước;
- Hội đồng thẩm định liên ngành;
- Hội đồng thẩm định cấp cơ sở;
- Ủy ban nhân dân cấp tỉnh.
8. Kết quả thực hiện thủ tục hành chính
- Báo cáo thẩm định, thẩm tra đối với các nội dung điều chỉnh quyết định chủ trương đầu tư dự án PPP do nhà đầu tư đề xuất;
- Quyết định điều chỉnh chủ trương đầu tư dự án PPP do nhà đầu tư đề xuất.
10. Tên mẫu đơn, mẫu tờ khai (đính kèm)
Các Phụ lục ban hành kèm theo Nghị định số 35/2021/NĐ-CP ngày 29/3/2021 quy định chi tiết và hướng dẫn thi hành Luật Đầu tư theo phương thức đối tác công tư bao gồm:
- Phụ lục I: Mẫu kế hoạch thẩm định báo cáo nghiên cứu tiền khả thi hoặc báo cáo nghiên cứu khả thi dự án;
- Phụ lục II - Mẫu số 01: Báo cáo nghiên cứu tiền khả thi dự án PPP;
- Phụ lục II - Mẫu số 02: Báo cáo thẩm định báo cáo nghiên cứu tiền khả thi dự án PPP;
- Phụ lục II - Mẫu số 03: Nghị quyết/Quyết định chủ trương đầu tư dự án PPP
11. Yêu cầu, điều kiện thực hiện thủ tục (nếu có): Không có.
12. Căn cứ pháp lý của thủ tục hành chính
- Luật Đầu tư theo phương thức đối tác công tư số 64/2020/QH14 ngày 18/6/2020;
- Nghị định số 35/2021/NĐ-CP ngày 29/3/2021 quy định chi tiết và hướng dẫn thi hành Luật Đầu tư theo phương thức đối tác công tư.
1. Trình tự thực hiện
Trình tự lập, thẩm định nội dung điều chỉnh báo cáo nghiên cứu khả thi và phê duyệt điều chỉnh dự án PPP do nhà đầu tư đề xuất được thực hiện như sau:
- Nhà đầu tư lập tờ trình đề nghị phê duyệt điều chỉnh dự án gửi cơ quan có thẩm quyền.
- Hội đồng thẩm định nhà nước, Hội đồng thẩm định liên ngành tổ chức thẩm định nội dung điều chỉnh báo cáo nghiên cứu khả thi đối với dự án thuộc thẩm quyền quyết định chủ trương đầu tư của Quốc hội, Thủ tướng Chính phủ.
- Hội đồng thẩm định cấp cơ sở hoặc đơn vị trực thuộc được giao thực hiện nhiệm vụ thẩm định dự án tổ chức thẩm định nội dung điều chỉnh báo cáo nghiên cứu khả thi đối với dự án thuộc thẩm quyền quyết định chủ trương đầu tư của Bộ trưởng, người đứng đầu cơ quan trung ương, cơ quan khác.
- Thủ tướng Chính phủ quyết định phê duyệt điều chỉnh dự án đối với dự án thuộc thẩm quyền quyết định chủ trương đầu tư của Quốc hội; Bộ trưởng, người đứng đầu cơ quan trung ương, cơ quan khác phê duyệt dự án đối với dự án thuộc thẩm quyền quyết định chủ trương đầu tư của Thủ tướng Chính phủ, Bộ trưởng, người đứng đầu cơ quan trung ương, cơ quan khác.
2. Cách thức thực hiện
- Trực tiếp bằng văn bản tại:
+ Hội đồng thẩm định nhà nước, hội đồng thẩm định liên ngành do Bộ Kế hoạch và Đầu tư đề xuất thành lập đối với dự án thuộc thẩm quyền của Quốc hội, Thủ tướng Chính phủ;
+ Hội đồng thẩm định cấp cơ sở hoặc đơn vị trực thuộc được giao thực hiện nhiệm vụ thẩm định đối với dự án thuộc thẩm quyền quyết định chủ trương đầu tư của Bộ trưởng, người đứng đầu cơ quan trung ương; cơ quan, tổ chức được Chính phủ, Thủ tướng Chính phủ thành lập và được giao dự toán ngân sách theo quy định của pháp luật về ngân sách nhà nước.
- Hồ sơ đề nghị thẩm định nội dung điều chỉnh báo cáo nghiên cứu khả thi dự án PPP do nhà đầu tư đề xuất bao gồm:
+ Văn bản đề nghị thẩm định;
+ Dự thảo tờ trình đề nghị phê duyệt điều chỉnh dự án;
+ Nội dung điều chỉnh báo cáo nghiên cứu khả thi;
+ Quyết định chủ trương đầu tư (hoặc quyết định điều chỉnh chủ trương đầu tư, nếu có);
+ Quyết định phê duyệt kết quả lựa chọn nhà đầu tư (trường hợp dự án ứng dụng công nghệ cao, công nghệ mới);
+ Tài liệu pháp lý khác có liên quan của dự án.
- Hồ sơ đề nghị phê duyệt điều chỉnh dự án PPP do nhà đầu tư đề xuất bao gồm:
+Tờ trình đề nghị phê duyệt điều chỉnh dự án;
+ Dự thảo quyết định phê duyệt điều chỉnh dự án;
+ Nội dung điều chỉnh báo cáo nghiên cứu khả thi;
+ Báo cáo thẩm định nội dung điều chỉnh báo cáo nghiên cứu khả thi;
+ Quyết định chủ trương đầu tư (hoặc quyết định điều chỉnh chủ trương đầu tư, nếu có);
+ Quyết định phê duyệt kết quả lựa chọn nhà đầu tư (trường hợp dự án ứng dụng công nghệ cao, công nghệ mới);
+ Tài liệu pháp lý khác có liên quan của dự án.
5. Thời hạn giải quyết
- Đối với dự án thuộc thẩm quyền quyết định chủ trương đầu tư của Quốc hội, thời gian thẩm định thực hiện theo Nghị định số 29/2021/NĐ-CP ngày 26/3/2021 của Chính phủ quy định về trình tự, thủ tục thẩm định dự án quan trọng quốc gia và giám sát, đánh giá đầu tư;
- Dự án thuộc thẩm quyền quyết định chủ trương đầu tư của Thủ tướng Chính phủ: Không quá 90 ngày;
- Dự án thuộc thẩm quyền quyết định chủ trương đầu tư của Bộ trưởng, người đứng đầu cơ quan trung ương, cơ quan khác: Không quá 60 ngày.
6. Cơ quan thực hiện
- Quốc hội;
- Thủ tướng Chính phủ;
- Bộ Kế hoạch và đầu tư đối với dự án thuộc thẩm quyền của Quốc hội, Thủ tướng Chính phủ;
- Bộ trưởng, người đứng đầu cơ quan trung ương; cơ quan tổ chức được Chính phủ, Thủ tướng Chính phủ thành lập và được giao dự toán ngân sách theo quy định của pháp luật về ngân sách nhà nước;
- Hội đồng thẩm định nhà nước;
- Hội đồng thẩm định liên ngành;
- Hội đồng thẩm định cấp cơ sở;
- Ủy ban nhân dân cấp tỉnh.
8. Kết quả thực hiện thủ tục hành chính
- Báo cáo thẩm định nội dung điều chỉnh báo cáo nghiên cứu khả thi dự án PPP do nhà đầu tư đề xuất;
- Quyết định phê duyệt nội dung điều chỉnh dự án PPP do nhà đầu tư đề xuất.
10. Tên mẫu đơn, mẫu tờ khai (đính kèm)
Các Phụ lục ban hành kèm theo Nghị định số 35/2021/NĐ-CP ngày 29/3/2021 quy định chi tiết và hướng dẫn thi hành Luật Đầu tư theo phương thức đối tác công tư bao gồm:
- Phụ lục I: Mẫu kế hoạch thẩm định báo cáo nghiên cứu tiền khả thi hoặc báo cáo nghiên cứu khả thi dự án;
- Phụ lục III - Mẫu số 01: Báo cáo nghiên cứu khả thi dự án PPP;
- Phụ lục III - Mẫu số 02: Báo cáo thẩm định báo cáo nghiên cứu khả thi dự án PPP;
- Phụ lục III - Mẫu số 03: Quyết định phê duyệt dự án PPP.
12. Căn cứ pháp lý của thủ tục hành chính
- Luật Đầu tư theo phương thức đối tác công tư số 64/2020/QH14 ngày 18/6/2020;
- Nghị định số 35/2021/NĐ-CP ngày 29/3/2021 quy định chi tiết và hướng dẫn thi hành Luật Đầu tư theo phương thức đối tác công tư.
B. THỦ TỤC HÀNH CHÍNH CẤP TỈNH
1. Trình tự thực hiện
- Nhà đầu tư gửi văn bản đề xuất thực hiện dự án PPP đến cơ quan có thẩm quyền; trường hợp không xác định được cơ quan có thẩm quyền thì gửi đến cơ quan quản lý nhà nước về đầu tư theo phương thức PPP;
- Cơ quan có thẩm quyền xem xét, trả lời bằng văn bản chấp thuận hoặc không chấp thuận việc nhà đầu tư lập báo cáo nghiên cứu tiền khả thi. Nội dung văn bản chấp thuận bao gồm cách thức phối hợp với các tổ chức, đơn vị thuộc cơ quan có thẩm quyền, yêu cầu về thời hạn nộp hồ sơ đề xuất dự án của nhà đầu tư và nội dung khác có liên quan; trường hợp không chấp thuận thì nêu rõ lý do;
- Trường hợp được cơ quan có thẩm quyền chấp thuận, nhà đầu tư lập hồ sơ đề xuất dự án bao gồm: báo cáo nghiên cứu tiền khả thi, hồ sơ về tư cách pháp lý, năng lực, kinh nghiệm của nhà đầu tư;
- Nhà đầu tư gửi hồ sơ đề xuất dự án đến cơ quan có thẩm quyền.
- Nhà đầu tư lập báo cáo nghiên cứu tiền khả thi, trình Ủy ban nhân dân cấp tỉnh;
- Hội đồng thẩm định cấp cơ sở hoặc đơn vị được giao nhiệm vụ thẩm định báo cáo nghiên cứu tiền khả thi;
- Cơ quan chuyên môn quản lý đầu tư công tại địa phương chủ trì thẩm định nguồn vốn và khả năng cân đối vốn đầu tư công theo quy định của pháp luật về đầu tư công trong trường hợp dự án PPP sử dụng vốn đầu tư công, gử Hội đồng thẩm định cấp cơ sở hoặc đơn vị được giao nhiệm vụ thẩm định;
- Hội đồng thẩm định cấp cơ sở hoặc đơn vị được giao nhiệm vụ thẩm định hoàn thành và gửi báo cáo thẩm định đến cơ quan, đơn vị chủ trì tiếp nhận hồ sơ đề xuất;
- Cơ quan, đơn vị chủ trì tiếp nhận hồ sơ đề xuất PPP hoàn chỉnh hồ sơ làm cơ sở để Ủy ban nhân dân cấp tỉnh trình Hội đồng nhân dân cấp tỉnh xem xét, quyết định;
- Hội đồng nhân dân cấp tỉnh quyết định chủ trương đầu tư dự án.
- Hồ sơ thẩm định báo cáo nghiên cứu tiền khả thi bao gồm:
+ Văn bản đề nghị thẩm định;
+ Dự thảo tờ trình đề nghị quyết định chủ trương đầu tư;
+ Báo cáo nghiên cứu tiền khả thi;
+ Văn bản chấp thuận việc nhà đầu tư lập báo cáo nghiên cứu tiền khả thi;
+ Quyết định sử dụng tài sản công để tham gia dự án PPP theo quy định của pháp luật về quản lý, sử dụng tài sản công (trường hợp dự án sử dụng tài sản công làm vốn nhà nước hỗ trợ xây dựng công trình, hệ thống cơ sở hạ tầng);
+ Tài liệu pháp lý khác có liên quan của dự án.
- Hồ sơ đề nghị quyết định chủ trương đầu tư dự án PPP bao gồm:
+ Tờ trình đề nghị quyết định chủ trương đầu tư;
+ Dự thảo quyết định chủ trương đầu tư;
+ Báo cáo nghiên cứu tiền khả thi;
+ Báo cáo thẩm định báo cáo nghiên cứu tiền khả thi; báo cáo thẩm tra đối với dự án do Quốc hội quyết định chủ trương đầu tư;
+ Tài liệu pháp lý khác có liên quan của dự án.
5. Thời hạn giải quyết
- Thời gian thẩm định: Không quá 30 ngày.
- Thời hạn phê duyệt quyết định chủ trương đầu tư: Không quá 15 ngày.
6. Cơ quan thực hiện:
- Hội đồng nhân dân cấp tỉnh;
- Ủy ban nhân dân cấp tỉnh;
- Hội đồng thẩm định cấp cơ sở hoặc đơn vị trực thuộc được giao thực hiện nhiệm vụ thẩm định.
8. Kết quả thực hiện thủ tục hành chính
- Báo cáo thẩm định Báo cáo nghiên cứu tiền khả thi dự án PPP do nhà đầu tư đề xuất.
- Quyết định phê duyệt chủ trương đầu tư dự án PPP do nhà đầu tư đề xuất.
10. Tên mẫu đơn, mẫu tờ khai (đính kèm)
Các Phụ lục ban hành kèm theo Nghị định số 35/2021/NĐ-CP ngày 29/3/2021 quy định chi tiết và hướng dẫn thi hành Luật Đầu tư theo phương thức đối tác công tư bao gồm:
- Phụ lục I: Mẫu kế hoạch thẩm định báo cáo nghiên cứu tiền khả thi hoặc báo cáo nghiên cứu khả thi dự án;
- Phụ lục II - Mẫu số 01: Báo cáo nghiên cứu tiền khả thi dự án PPP;
- Phụ lục II - Mẫu số 02: Báo cáo thẩm định báo cáo nghiên cứu tiền khả thi dự án PPP;
- Phụ lục II - Mẫu số 03: Nghị quyết/Quyết định chủ trương đầu tư dự án PPP.
11. Yêu cầu, điều kiện thực hiện thủ tục (nếu có)
- Dự án PPP do nhà đầu tư đề xuất phải đáp ứng các điều kiện sau đây:
+ Phù hợp với điều kiện lựa chọn dự án để đầu tư theo phương thức PPP quy định tại các điểm a, b, c và d khoản 1 Điều 14 của Luật PPP;
+ Không trùng với dự án PPP đang được cơ quan có thẩm quyền tổ chức lập báo cáo nghiên cứu tiền khả thi hoặc đã chấp thuận nhà đầu tư khác lập báo cáo nghiên cứu tiền khả thi;
+ Phù hợp với chiến lược, kế hoạch phát triển kinh tế - xã hội của quốc gia và quy hoạch có liên quan theo quy định của pháp luật về quy hoạch.
- Dự án do nhà đầu tư đề xuất phải tổ chức đấu thầu rộng rãi hoặc đàm phán cạnh tranh theo quy định tại Điều 37 hoặc Điều 38 của Luật PPP.
12. Căn cứ pháp lý của thủ tục hành chính:
- Luật Đầu tư theo phương thức đối tác công tư số 64/2020/QH14 ngày 18/6/2020;
- Nghị định số 35/2021/NĐ-CP ngày 29/3/2021 quy định chi tiết và hướng dẫn thi hành Luật Đầu tư theo phương thức đối tác công tư.
1. Trình tự thực hiện
Trình tự lập, thẩm định báo cáo nghiên cứu khả thi và phê duyệt dự án được thực hiện như sau:
- Nhà đầu tư tổ chức lập báo cáo nghiên cứu khả thi căn cứ quyết định chủ trương đầu tư, gửi cơ quan có thẩm quyền.
- Hội đồng thẩm định cấp cơ sở hoặc đơn vị trực thuộc được giao thực hiện nhiệm vụ thẩm định dự án tổ chức thẩm định báo cáo nghiên cứu khả thi.
- Chủ tịch Ủy ban nhân dân cấp tỉnh phê duyệt dự án thuộc thẩm quyền quyết định chủ trương đầu tư của Hội đồng nhân dân cấp tỉnh,
- Hồ sơ thẩm định báo cáo nghiên cứu khả thi dự án PPP do nhà đầu tư đề xuất bao gồm:
+ Văn bản đề nghị thẩm định;
+ Dự thảo tờ trình đề nghị phê duyệt dự án;
+ Báo cáo nghiên cứu khả thi;
+ Quyết định chủ trương đầu tư;
+ Quyết định phê duyệt kết quả lựa chọn nhà đầu tư (trường hợp dự án ứng dụng công nghệ cao, công nghệ mới);
+ Văn bản thỏa thuận giữa cơ quan có thẩm quyền với nhà đầu tư về việc giao nhà đầu tư lập báo cáo nghiên cứu khả thi (bao gồm trường hợp dự án ứng dụng công nghệ cao, công nghệ mới);
+ Tài liệu pháp lý khác có liên quan của dự án.
- Hồ sơ đề nghị phê duyệt dự án PPP do nhà đầu tư đề xuất bao gồm:
+ Tờ trình đề nghị phê duyệt dự án;
+ Dự thảo quyết định phê duyệt dự án;
+ Báo cáo nghiên cứu khả thi;
+ Báo cáo thẩm định báo cáo nghiên cứu khả thi;
+ Quyết định chủ trương đầu tư;
+ Quyết định phê duyệt kết quả lựa chọn nhà đầu tư (trường hợp dự án ứng dụng công nghệ cao, công nghệ mới);
+ Tài liệu pháp lý khác có liên quan của dự án.
5. Thời hạn giải quyết
- Thời gian thẩm định: Không quá 30 ngày
- Thời gian phê duyệt dự án PPP: Không quá 15 ngày
6. Cơ quan thực hiện:
- Hội đồng nhân dân cấp tỉnh;
+ Ủy ban nhân dân cấp tỉnh;
- Hội đồng thẩm định cấp cơ sở hoặc đơn vị trực thuộc được giao thực hiện nhiệm vụ thẩm định.
8. Kết quả thực hiện thủ tục hành chính
- Báo cáo thẩm định Báo cáo nghiên cứu khả thi dự án PPP do nhà đầu tư đề xuất.
- Quyết định phê duyệt dự án PPP do nhà đầu tư đề xuất.
10. Tên mẫu đơn, mẫu tờ khai (đính kèm)
Các Phụ lục ban hành kèm theo Nghị định số 35/2021/NĐ-CP ngày 29/3/2021 quy định chi tiết và hướng dẫn thi hành Luật Đầu tư theo phương thức đối tác công tư bao gồm:
- Phụ lục I: Mẫu kế hoạch thẩm định báo cáo nghiên cứu tiền khả thi hoặc báo cáo nghiên cứu khả thi dự án;
- Phụ lục III - Mẫu số 01: Báo cáo nghiên cứu khả thi dự án PPP;
- Phụ lục III - Mẫu số 02: Báo cáo thẩm định báo cáo nghiên cứu khả thi dự án PPP;
- Phụ lục III - Mẫu số 03: Quyết định phê duyệt dự án PPP.
12. Căn cứ pháp lý của thủ tục hành chính
- Luật Đầu tư theo phương thức đối tác công tư số 64/2020/QH14 ngày 18/6/2020;
- Nghị định số 35/2021/NĐ-CP ngày 29/3/2021 quy định chi tiết và hướng dẫn thi hành Luật Đầu tư theo phương thức đối tác công tư.
Trình tự thẩm định nội dung điều chỉnh chủ trương đầu tư, quyết định điều chỉnh chủ trương đầu tư dự án PPP do nhà đầu tư đề xuất đối với dự án thuộc thẩm quyền quyết định chủ trương đầu tư của Hội đồng nhân dân cấp tỉnh
- Nhà đầu tư lập nội dung điều chỉnh báo cáo nghiên cứu tiền khả thi làm cơ sở trình Bộ trưởng, người đứng đầu cơ quan trung ương, cơ quan khác xem xét, quyết định;
- Hội đồng thẩm định cấp cơ sở hoặc đơn vị được giao nhiệm vụ thẩm định nội dung điều chỉnh báo cáo nghiên cứu tiền khả thi;
- Cơ quan chuyên môn quản lý đầu tư công tại địa phương chủ trì thẩm định nguồn vốn và khả năng cân đối vốn đầu tư công theo quy định của pháp luật về đầu tư công trong trường hợp dự án PPP sử dụng vốn đầu tư công, gửi Hội đồng thẩm định cấp cơ sở hoặc đơn vị được giao nhiệm vụ thẩm định;
- Hội đồng thẩm định cấp cơ sở hoặc đơn vị được giao nhiệm vụ thẩm định hoàn thành và gửi báo cáo thẩm định đến cơ quan, đơn vị chủ trì tiếp nhận hồ sơ đề xuất;
- Cơ quan, đơn vị chủ trì tiếp nhận hồ sơ đề xuất hoàn chỉnh hồ sơ làm cơ sở để Ủy ban nhân dân cấp tỉnh trình Hội đồng nhân dân cấp tỉnh xem xét, quyết định;
- Hội đồng nhân dân cấp tỉnh quyết định chủ trương đầu tư dự án.
- Hồ sơ đề nghị thẩm định điều chỉnh quyết định chủ trương đầu tư dự án PPP bao gồm:
+ Văn bản đề nghị thẩm định;
+ Dự thảo tờ trình đề nghị điều chỉnh chủ trương đầu tư;
+ Nội dung điều chỉnh báo cáo nghiên cứu tiền khả thi;
+ Văn bản chấp thuận nhà đầu tư lập báo cáo nghiên cứu tiền khả thi;
+ Quyết định sử dụng tài sản công để tham gia dự án PPP theo quy định của pháp luật về quản lý, sử dụng tài sản công (trường hợp dự án sử dụng tài sản công làm vốn nhà nước hỗ trợ xây dựng công trình, hệ thống cơ sở hạ tầng);
+ Tài liệu pháp lý khác có liên quan của dự án.
- Hồ sơ đề nghị quyết định điều chỉnh chủ trương đầu tư dự án PPP bao gồm:
+ Tờ trình đề nghị phê duyệt nội dung điều chỉnh chủ trương đầu tư;
+ Dự thảo quyết định điều chỉnh chủ trương đầu tư;
+ Nội dung điều chỉnh báo cáo nghiên cứu tiền khả thi;
+ Báo cáo thẩm định, thẩm tra đối với các nội dung điều chỉnh.
+ Tài liệu pháp lý khác có liên quan của dự án.
5. Thời hạn giải quyết
Dự án thuộc thẩm quyền quyết định chủ trương đầu tư của Hội đồng nhân dân cấp tỉnh: Không quá 15 ngày.
6. Cơ quan thực hiện:
- Hội đồng nhân dân cấp tỉnh;
- Ủy ban nhân dân cấp tỉnh;
- Hội đồng thẩm định cấp cơ sở hoặc đơn vị trực thuộc được giao thực hiện nhiệm vụ thẩm định.
8. Kết quả thực hiện thủ tục hành chính
- Báo cáo thẩm định, thẩm tra đối với các nội dung điều chỉnh quyết định chủ trương đầu tư dự án PPP do nhà đầu tư đề xuất;
- Quyết định điều chỉnh chủ trương đầu tư dự án PPP do nhà đầu tư đề xuất.
10. Tên mẫu đơn, mẫu tờ khai (đính kèm)
Các Phụ lục ban hành kèm theo Nghị định số 35/2021/NĐ-CP ngày 29/3/2021 quy định chi tiết và hướng dẫn thi hành Luật Đầu tư theo phương thức đối tác công tư bao gồm:
- Phụ lục I: Mẫu kế hoạch thẩm định báo cáo nghiên cứu tiền khả thi hoặc báo cáo nghiên cứu khả thi dự án;
- Phụ lục II - Mẫu số 01: Báo cáo nghiên cứu tiền khả thi dự án PPP;
- Phụ lục II - Mẫu số 02: Báo cáo thẩm định báo cáo nghiên cứu tiền khả thi dự án PPP;
- Phụ lục II - Mẫu số 03: Nghị quyết/Quyết định chủ trương đầu tư dự án PPP.
12. Căn cứ pháp lý của thủ tục hành chính
- Luật Đầu tư theo phương thức đối tác công tư số 64/2020/QH14 ngày 18/6/2020;
- Nghị định số 35/2021/NĐ-CP ngày 29/3/2021 quy định chi tiết và hướng dẫn thi hành Luật Đầu tư theo phương thức đối tác công tư.
1. Trình tự thực hiện
Trình tự lập, thẩm định nội dung điều chỉnh báo cáo nghiên cứu khả thi và phê duyệt điều chỉnh dự án PPP do nhà đầu tư đề xuất được thực hiện như sau:
- Nhà đầu tư lập tờ trình đề nghị điều chỉnh dự án, gửi cơ quan có thẩm quyền;
- Hội đồng thẩm định cấp cơ sở hoặc đơn vị được giao nhiệm vụ thẩm định nội dung điều chỉnh báo cáo nghiên cứu tiền khả thi;
- Hội đồng thẩm định cấp cơ sở hoặc đơn vị được giao nhiệm vụ thẩm định hoàn thành và gửi báo cáo thẩm định đến cơ quan, đơn vị chủ trì tiếp nhận hồ sơ đề xuất PPP;
- Ủy ban nhân dân cấp tỉnh quyết định phê duyệt điều chỉnh dự án PPP.
- Hồ sơ đề nghị thẩm định nội dung điều chỉnh báo cáo nghiên cứu khả thi dự án PPP do nhà đầu tư đề xuất bao gồm:
+ Văn bản đề nghị thẩm định;
+ Dự thảo tờ trình đề nghị phê duyệt điều chỉnh dự án;
+ Nội dung điều chỉnh báo cáo nghiên cứu khả thi;
+ Quyết định chủ trương đầu tư (hoặc quyết định điều chỉnh chủ trương đầu tư, nếu có);
+ Quyết định phê duyệt kết quả lựa chọn nhà đầu tư (trường hợp dự án ứng dụng công nghệ cao, công nghệ mới);
+ Tài liệu pháp lý khác có liên quan của dự án.
- Hồ sơ đề nghị phê duyệt điều chỉnh dự án PPP do nhà đầu tư đề xuất bao gồm:
+ Tờ trình đề nghị phê duyệt điều chỉnh dự án;
+ Dự thảo quyết định phê duyệt điều chỉnh dự án;
+ Nội dung điều chỉnh báo cáo nghiên cứu khả thi;
+ Báo cáo thẩm định nội dung điều chỉnh báo cáo nghiên cứu khả thi;
+ Quyết định chủ trương đầu tư (hoặc quyết định điều chỉnh chủ trương đầu tư, nếu có);
+ Quyết định phê duyệt kết quả lựa chọn nhà đầu tư (trường hợp dự án ứng dụng công nghệ cao, công nghệ mới);
+ Tài liệu pháp lý khác có liên quan của dự án.
5. Thời hạn giải quyết
- Thời hạn thẩm định: Không quá 60 ngày.
- Thời hạn phê duyệt: Không quá 15 ngày.
6. Cơ quan thực hiện:
- Hội đồng nhân dân cấp tỉnh;
- Ủy ban nhân dân cấp tỉnh;
- Hội đồng thẩm định cấp cơ sở hoặc đơn vị trực thuộc được giao thực hiện nhiệm vụ thẩm định.
8. Kết quả thực hiện thủ tục hành chính
- Báo cáo thẩm định nội dung điều chỉnh báo cáo nghiên cứu khả thi dự án PPP do nhà đầu tư đề xuất;
- Quyết định phê duyệt nội dung điều chỉnh dự án PPP do nhà đầu tư đề xuất
10. Tên mẫu dơn, mẫu tờ khai (đính kèm)
Các Phụ lục ban hành kèm theo Nghị định số 35/2021/NĐ-CP ngày 29/3/2021 quy định chi tiết và hướng dẫn thi hành Luật Đầu tư theo phương thức đối tác công tư bao gồm:
- Phụ lục I: Mẫu kế hoạch thẩm định báo cáo nghiên cứu tiền khả thi hoặc báo cáo nghiên cứu khả thi dự án;
- Phụ lục III - Mẫu số 01: Báo cáo nghiên cứu khả thi dự án PPP;
- Phụ lục III - Mẫu số 02: Báo cáo thẩm định báo cáo nghiên cứu khả thi dự án PPP;
- Phụ lục III - Mẫu số 03: Quyết định phê duyệt dự án PPP.
12. Căn cứ pháp lý của thủ tục hành chính
- Luật Đầu tư theo phương thức đối tác công tư số 64/2020/QH14 ngày 18/6/2020;
- Nghị định số 35/2021/NĐ-CP ngày 29/3/2021 quy định chi tiết và hướng dẫn thi hành Luật Đầu tư theo phương thức đối tác công tư.
Nội dung cụ thể các thủ tục hành chính này được sửa đổi, bổ sung bởi Phụ lục II Quyết định số 1643/QĐ-BKHĐT theo quy định tại Khoản 1 Điều 1.
1. Trình tự thực hiện
- Nhà đầu tư lập hồ sơ đề xuất dự án gửi Sở Kế hoạch và Đầu tư
- Sở Kế hoạch và Đầu tư phối hợp với các cơ quan có liên quan tổng hợp danh mục dự án đầu tư có sử dụng đất, xác định yêu cầu sơ bộ về năng lực, kinh nghiệm của nhà đầu tư, báo cáo Chủ tịch Ủy ban nhân dân cấp tỉnh.-
Chủ tịch Ủy ban nhân dân cấp tỉnh xem xét, phê duyệt danh mục dự án đầu tư có sử dụng đất.
2. Cách thức thực hiện:
- Trực tiếp tại Sở Kế hoạch và Đầu tư; bằng văn bản.
3. Thành phần hồ sơ:
Hồ sơ đề xuất dự án do nhà đầu tư chuẩn bị bao gồm các nội dung sau đây:
- Văn bản đề nghị thực hiện dự án đầu tư có sử dụng đất, bao gồm cam kết chịu mọi chi chí, rủi ro nếu hồ sơ đề xuất dự án không được chấp thuận;
- Nội dung đề xuất dự án đầu tư gồm: Tên dự án, mục tiêu đầu tư, quy mô đầu tư, sơ bộ tổng chi phí thực hiện dự án, vốn đầu tư, phương án huy động vốn, thời hạn, tiến độ đầu tư; phân tích hiệu quả kinh tế - xã hội của dự án, bảo đảm quốc phòng, an ninh, phát triển bền vững của dự án đầu tư;
- Đề xuất dự kiến nhu cầu sử dụng đất; thông tin về hiện trạng sử dụng đất tại địa điểm thực hiện dự án (nếu có); mục đích sử dụng đất; các chỉ tiêu quy hoạch được duyệt;
- Các tài liệu cần thiết khác để giải trình hồ sơ đề xuất dự án (nếu có).
5. Thời hạn giải quyết:
- Trong thời hạn 30 ngày kể từ khi nhận được đề xuất, Sở Kế hoạch và Đầu tư phối hợp với các cơ quan có liên quan tổng hợp danh mục dự án đầu tư có sử dụng đất; đánh giá việc đáp ứng đầy đủ điều kiện xác định dự án đầu tư có sử dụng đất quy định khoản 5 Điều 108 Nghị định số 31/2021/NĐ-CP; xác định yêu cầu sơ bộ về năng lực, kinh nghiệm của nhà đầu tư, báo cáo Chủ tịch Ủy ban nhân dân cấp tỉnh.
- Trong thời hạn 10 ngày kể từ ngày nhận được báo cáo của Sở Kế hoạch và Đầu tư, Chủ tịch Ủy ban nhân dân câp tỉnh xem xét, phê duyệt danh mục dự án đầu tư có sử dụng đất, trong đó bao gồm yêu cầu sơ bộ về năng lực, kinh nghiệm của nhà đầu tư.
6. Cơ quan thực hiện:
- Sở Kế hoạch và Đầu tư, các cơ quan có liên quan.
- Ủy ban nhân dân cấp tỉnh.
7. Đối tượng thực hiện thủ tục hành chính: Tổ chức, Cá nhân,
- Luật Đấu thầu số 43/2013/QH13 ngày 26 tháng 11 năm 2013;
- Nghị định số 25/2020/NĐ-CP ngày 28 tháng 02 năm 2020 quy định chi tiết thi hành một số điều của Luật Đấu thầu về lựa chọn nhà đầu tư;
- Nghị định số 31/2021/NĐ-CP ngày 26/3/2021 của Chính phủ quy định chi tiết và hướng dẫn thi hành một số điều của Luật Đầu tư.
- Thông tư số 06/2020/TT-BKHĐT ngáy 18 tháng 9 năm 2020 của Bộ trưởng Bộ Kế hoạch và Đầu tư hướng dẫn thực hiện Nghị định số 25/2020/NĐ-CP ngày 28 tháng 02 năm 2020 của Chính phủ quy định chi tiết thi hành một số điều của Luật Đấu thầu về lựa chọn nhà đầu tư.
C. MẪU ĐƠN, MẪU TỜ KHAI KÈM THEO NỘI DUNG TTHC
PHỤ LỤC I
MẪU KẾ HOẠCH THẨM ĐỊNH
(Kèm theo Nghị định số 35/2021/NĐ-CP ngày 29 tháng 3 năm 2021 của Chính phủ)
_______________
|
HỘI ĐỒNG THẨM ĐỊNH DỰ ÁN [Tên dự án] |
CỘNG HÒA XÃ HỘI CHỦ NGHĨA VIỆT NAM Địa điểm, ngày tháng năm |
KẾ HOẠCH THẨM ĐỊNH
BÁO CÁO NGHIÊN CỨU TIỀN KHẢ THI hoặc
BÁO CÁO NGHIÊN CỨU KHẢ THI DỰ ÁN
[tên dự án]
I. NHIỆM VỤ VÀ NỘI DUNG THẨM ĐỊNH
1. Nhiệm vụ thẩm định
- Thẩm định Báo cáo nghiên cứu tiền khả thi [Tên dự án] để báo cáo [cấp có thẩm quyền quyết định chủ trương đầu tư] xem xét, quyết định.
Hoặc
- Thẩm định Báo cáo nghiên cứu khả thi [Tên dự án] để báo cáo [cấp có thẩm quyền phê duyệt dự án] xem xét, quyết định.
2. Cơ sở pháp lý tổ chức thẩm định
Luật, Nghị định, Thông tư và các văn bản của cấp có thẩm quyền có liên quan.
3. Nội dung thẩm định
- Thẩm định báo cáo nghiên cứu tiền khả thi dự án PPP [hoặc nội dung điều chỉnh báo cáo nghiên cứu tiền khả thi dự án PPP] theo quy định tại Điều 15 của Luật PPP [hoặc Điều 18 của Luật PPP].
Hoặc
- Thẩm định báo cáo nghiên cứu khả thi dự án PPP [hoặc nội dung điều chỉnh báo cáo nghiên cứu khả thi dự án PPP] theo quy định tại Điều 20 của Luật PPP [hoặc Điều 24 của Luật PPP].
II. TỔ CHỨC THẨM ĐỊNH
1. Phân công nhiệm vụ chi tiết cho các thành viên Hội đồng thẩm định
- Xác định nội dung thẩm định chi tiết cho các thành viên Hội đồng thẩm định, cụ thể như sau:
(a) Đối với kế hoạch thẩm định báo cáo nghiên cứu tiền khả thi (hoặc nội dung điều chỉnh báo cáo nghiên cứu tiền khả thi).
|
STT |
Nội dung thẩm định |
Hình thức đánh giá |
Thành viên HĐTĐ chịu trách nhiệm chính theo chức năng quản lý nhà nước được phân công |
|
1 |
Sự phù hợp với điều kiện lựa chọn dự án để đầu tư theo phương thức PPP quy định tại Điều 14 của Luật PPP |
Báo cáo bằng văn bản |
Tất cả các thành viên Hội đồng |
|
2 |
Sự phù hợp với căn cứ lập báo cáo nghiên cứu tiền khả thi quy định tại khoản 2 Điều 14 của Luật PPP |
Báo cáo bằng văn bản |
Thành viên Hội đồng thuộc cơ quan, đơn vị [ghi tên cơ quan, đơn vị] |
|
3 |
Hiệu quả đầu tư; khả năng thu hồi vốn cho nhà đầu tư |
Báo cáo bằng văn bản |
Thành viên Hội đồng thuộc cơ quan, đơn vị [ghi tên cơ quan, đơn vị] |
|
4 |
Sự phù hợp của loại hợp đồng dự án PPP |
Báo cáo bằng văn bản |
Thành viên Hội đồng thuộc cơ quan, đơn vị [ghi tên cơ quan, đơn vị] |
|
5 |
Cơ chế chia sẻ phần giảm doanh thu (nếu đề xuất áp dụng) |
Báo cáo bằng văn bản |
Thành viên Hội đồng thuộc cơ quan, đơn vị [ghi tên cơ quan, đơn vị] |
|
6 |
Nguồn vốn và khả năng cân đối vốn đối với dự án PPP có sử dụng vốn nhà nước. |
Báo cáo bằng văn bản |
Thành viên Hội đồng thuộc cơ quan, đơn vị [ghi tên cơ quan, đơn vị] |
|
7 |
Các nội dung liên quan đến tổ chức lựa chọn nhà đầu tư |
Báo cáo bằng văn bản |
Thành viên Hội đồng thuộc cơ quan, đơn vị [ghi tên cơ quan, đơn vị] |
(b) Đối với kế hoạch thẩm định báo cáo nghiên cứu khả thi (hoặc nội dung điều chỉnh báo cáo nghiên cứu khả thi):
|
STT |
Nội dung thẩm định |
Hình thức đánh giá |
Thành viên HĐTĐ chịu trách nhiệm chính theo chức năng quản lý nhà nước được phân công |
|
1 |
Sự phù hợp với căn cứ pháp lý |
Báo cáo bằng văn bản |
Tất cả các thành viên Hội đồng |
|
2 |
Sự cần thiết đầu tư |
Báo cáo bằng văn bản |
Thành viên Hội đồng thuộc cơ quan, đơn vị [ghi tên cơ quan, đơn vị] |
|
3 |
Sự phù hợp với yêu cầu về phương án kỹ thuật, công nghệ, tiêu chuẩn chất lượng của công trình, hệ thống cơ sở hạ tầng hoặc sản phẩm, dịch vụ công. Việc thẩm định các nội dung về hồ sơ thiết kế, kỹ thuật, công nghệ, tiêu chuẩn chất lượng được thực hiện theo quy định của pháp luật về xây dựng, pháp luật khác có liên quan |
Báo cáo bằng văn bản |
Thành viên Hội đồng thuộc cơ quan, đơn vị [ghi tên cơ quan, đơn vị] |
|
4 |
Sự phù hợp của loại hợp đồng dự án PPP |
Báo cáo bằng văn bản |
Thành viên Hội đồng thuộc cơ quan, đơn vị [ghi tên cơ quan, đơn vị] |
|
5 |
Tính khả thi về tài chính; phương án tổ chức quản lý, kinh doanh hoặc cung cấp sản phẩm, dịch vụ công |
Báo cáo bằng văn bản |
Thành viên Hội đồng thuộc cơ quan, đơn vị [ghi tên cơ quan, đơn vị] |
|
6 |
Hiệu quả kinh tế - xã hội |
Báo cáo bằng văn bản |
Thành viên Hội đồng thuộc cơ quan, đơn vị [ghi tên cơ quan, đơn vị] |
|
7 |
Các nội dung liên quan đến tổ chức lựa chọn nhà đầu tư |
Báo cáo bằng văn bản |
Thành viên Hội đồng thuộc cơ quan, đơn vị [ghi tên cơ quan, đơn vị] |
- Xác định cách thức phối hợp giữa các thành viên Hội đồng.
- Phân chia nhóm làm việc và nhiệm vụ của từng nhóm (nếu cần).
2. Đề xuất về thuê tư vấn thẩm tra (nếu có)
- Căn cứ pháp lý.
- Nhiệm vụ của tư vấn thẩm tra (Yêu cầu đối với tư vấn thẩm tra có thể được đính kèm Kế hoạch thẩm định dưới dạng Phụ lục).
- Dự kiến số lượng vị trí chuyên gia cần thiết để thực hiện nhiệm vụ thẩm tra gắn với từng nội dung trong báo cáo thẩm định; xác định nhiệm vụ cụ thể của các chuyên gia tùy theo từng nội dung trong báo cáo thẩm định và nhu cầu sử dụng chuyên gia; dự kiến chi phí cần thiết và có dự toán chi phí kèm theo.
- Kế hoạch, quy trình thủ tục lựa chọn tư vấn thẩm tra.
3. Địa điểm và phương tiện làm việc
Xác định địa điểm, phương tiện để Hội đồng thẩm định thực hiện nhiệm vụ, lưu trữ hồ sơ, thực hiện khảo sát (nếu có) và các điều kiện cần thiết khác để thực hiện nhiệm vụ.
4. Chi phí thẩm định, thẩm tra (có thể lập Thuyết minh dự toán đính kèm Kế hoạch thẩm định dưới dạng Phụ lục)
- Dự kiến chi phí thẩm tra (nếu có).
- Dự kiến chi phí thẩm định.
- Đơn vị chịu trách nhiệm thanh toán chi phí thẩm định, thẩm tra theo đúng quy định của pháp luật.
III. THỜI GIAN VÀ CHƯƠNG TRÌNH LÀM VIỆC CỦA HỘI ĐỒNG
1. Chương trình làm việc
- Dự kiến thời gian tổ chức các cuộc họp thẩm định; thời gian để các thành viên Hội đồng thẩm định gửi lại báo cáo thẩm định cho cơ quan thường trực Hội đồng tổng hợp; thời gian để cơ quan thường trực Hội đồng thẩm định tổng hợp, hoàn thiện và trình Hội đồng, Chủ tịch Hội đồng phê duyệt báo cáo thẩm định.
- Dự kiến thời gian lựa chọn tư vấn thẩm tra, thời gian làm việc của tư vấn thẩm tra.
2. Thời gian và tiến độ báo cáo
- Dự kiến thời gian và tiến độ báo cáo.
- Các yêu cầu về chế độ báo cáo, số lượng báo cáo, thời gian nộp báo cáo, nội dung tương ứng từng báo cáo.
3. Trách nhiệm của các bên tham gia thẩm định, thẩm tra.
Trên cơ sở nội dung thẩm định, thẩm tra, nêu rõ trách nhiệm của các bên tham gia thực hiện thẩm định, thẩm tra, phối hợp giữa các bên thực hiện theo quy định lại Nghị định này.
PHỤ LỤC II
(Kèm theo Nghị định số 35/2021/NĐ-CP ngày 29 tháng 3 năm 2021 của Chính phủ)
_______________
|
Mẫu số 01 |
Báo cáo nghiên cứu tiền khả thi dự án PPP |
|
Mẫu số 02 |
Báo cáo thẩm định báo cáo nghiên cứu tiền khả thi dự án PPP |
|
Mẫu số 03 |
Nghị quyết/Quyết định chủ trương đầu tư dự án PPP |
Mẫu số 01
BÁO CÁO NGHIÊN CỨU TIỀN KHẢ THI DỰ ÁN PPP
__________
Báo cáo nghiên cứu tiền khả thi (BCNCTKT) là tài liệu trình bày các nội dung nghiên cứu sơ bộ về sự cần thiết, tính khả thi và hiệu quả của dự án. Phụ lục này hướng dẫn các nội cung được trình bày trong BCNCTKT để cấp có thẩm quyền quyết định chủ trương đầu tư dự án PPP.
Căn cứ tính chất, quy mô, lĩnh vực, loại hợp đồng của dự án, đơn vị chuẩn bị dự án hoặc nhà đầu tư lập BCNCTKT theo các nội dung được hướng dẫn dưới đây. Trường hợp áp dụng Mẫu này để trình bày các nội dung điều chỉnh BCNLTKT, đơn vị chuẩn bị dự án hoặc nhà đầu tư sắp xếp, lựa chọn các nội dung phù hợp.
A. THÔNG TIN CƠ BẢN CỦA DỰ ÁN
Tóm tắt về thuyết minh thông tin cơ bản của dự án, bao gồm:
1. Tên dự án.
2. Tên cơ quan có thẩm quyền.
3. Tên đơn vị chuẩn bị dự án hoặc nhà đầu tư đề xuất dự án.
4. Địa điểm, quy mô, công suất dự án, diện tích sử dụng đất.
5. Yêu cầu về kỹ thuật.
6. Sơ bộ tổng mức đầu tư.
7. Vốn nhà nước trong dự án PPP (nếu có).
8. Loại hợp đồng dự án.
9. Các chỉ tiêu chính thuộc phương án tài chính sơ bộ.
10. Thời gian thực hiện dự án.
11. Ưu đãi và bảo đảm đầu tư.
12. Tên bên mời thầu, hình thức lựa chọn nhà đầu tư và thời gian tổ chức lựa chọn nhà đầu tư (đối với trường hợp dự án ứng dụng công nghệ cao, công nghệ mới).
B. CĂN CỨ LẬP BÁO CÁO NGHIÊN CỨU TIỀN KHẢ THI
Liệt kê các văn bản pháp lý chủ yếu làm căn cứ lập BCNCTKT, bao gồm:
1. Các Luật, Nghị định và Thông tư hướng dẫn liên quan đến việc triển khai dự án theo phương thức PPP.
2. Các Luật, Nghị định và Thông tư hướng dẫn liên quan đến ngành, lĩnh vực đầu tư của dự án.
3. Các nghị quyết hoặc quyết định phê duyệt chiến lược, kế hoạch phát triển kinh tế - xã hội của quốc gia và quy hoạch có liên quan theo quy định của pháp luật về quy hoạch.
C. THÀNH PHẦN HỒ SƠ TRÌNH
Liệt kê thành phần hồ sơ trình tương ứng với từng giai đoạn
I. THÀNH PHẦN HỒ SƠ ĐỀ NGHỊ THẨM ĐỊNH BCNCTKT (HOẶC NỘI DUNG ĐIỀU CHỈNH BCNCTKT)
1. Văn bản để nghị thẩm định.
2. Dự thảo tờ trình đề nghị quyết định chủ trương đầu tư (hoặc điều chỉnh chủ trương đầu tư)
3. BCNCTKT (hoặc nội dung điều chỉnh BCNCTKT).
4. Văn bản chấp thuận việc nhà đầu tư lập BCNCTKT (Trường hợp dự án do nhà đầu tư đề xuất).
5. Quyết định sử dụng tài sản công để tham gia dự án PPP theo quy định của pháp luật về quản lý, sử dụng tài sản công (trường hợp dự án sử dụng tài sản công làm vốn nhà nước hỗ trợ xây dựng công trình, hệ thống cơ sở hạ tầng).
6. Tài liệu pháp lý khác có liên quan của dự án.
II. THÀNH PHẦN HỒ SƠ ĐỀ NGHỊ QUYẾT ĐỊNH CHỦ TRƯƠNG ĐẦU TƯ (HOẶC ĐIỀU CHỈNH CHỦ TRƯƠNG ĐẦU TƯ)
1. Tờ trình đề nghị quyết định chủ trương đầu tư (hoặc điều chỉnh chủ trương đầu tư).
2. Dự thảo quyết định chủ trương đầu tư (hoặc quyết định điều chỉnh chủ trương đầu tư).
3. BCNCTKT (hoặc nội dung điều chỉnh BCNCTKT.
4. Báo cáo thẩm định BCNCTKT: báo cáo thẩm tra đối với dự án do Quốc hội quyết định chủ trương đầu tư (hoặc báo cáo thẩm định, thẩm tra đối với các nội dung điều chỉnh).
5. Tài liệu pháp lý khác có liên quan của dự án.
D. NỘI DUNG BÁO CÁO NGHIÊN CỨU TIỀN KHẢ THI
I. SỰ CẦN THIẾT ĐẦU TƯ DỰ ÁN
1. Bối cảnh chung
- Thuyết minh sơ bộ bối cảnh chung về kinh tế - xã hội của quốc gia, địa phương trong giai đoạn dự án được triển khai.
- Đánh giá tổng quan về ngành, lĩnh vực mà dự án đề xuất, các ảnh hưởng trực tiếp, gián tiếp của các quy định pháp luật chuyên ngành đối với dự án.
- Phân tích sự phù hợp của dự án đối với chiến lược, kế hoạch phát triển kinh tế - xã hội của quốc gia và quy hoạch có liên quan theo quy định của pháp luật về quy hoạch.
2. Hiện trạng khu vực thực hiện dự án
- Trường hợp dự án khởi công mới, thuyết minh về hiện trạng, thực trạng của khu vực, địa điểm sẽ triển khai dự án.
- Trường hợp dự án khởi công mới, sửa chữa, nâng cấp, đánh giá bổ sung hiện trạng của công trình cần cải tạo, sửa chữa, nâng cấp.
- Trường hợp dự án áp dụng loại hợp đồng O&M, đánh giá hiện trạng công trình, hệ thống cơ sở hạ tầng thuộc dự án; máy móc, thiết bị và các loại tài sản khác có liên quan.
3. Các dự án có liên quan
Nêu thông tin cơ bản về các dự án có liên quan và ảnh hưởng tích cực, tiêu cực của các dự án đó đối với dự án được đề xuất.
4. Lợi thế của việc đầu tư theo phương thức PPP
Phân tích lợi thế đối với dự án khi đầu tư theo phương thức PPP so với phương thức đầu tư khác trên cơ sở các nội dung: Khả năng thu hút nguồn vốn, công nghệ, kinh nghiệm quản lý của khu vực tư nhân; khả năng phân chia rủi ro giữa các bên có liên quan và các nội dung khác.
5. Tác động của việc thực hiện dự án đối với cộng đồng, dân cư
Phân tích tác động cửa việc thực hiện dự án theo phương thức PPP đến xã hội (tái định cư, đền bù, bình đẳng giới, tạo cơ hội việc làm...) đối với cộng đồng, dân cư trong phạm vi dự án.
II. THÔNG TIN SƠ BỘ VỀ DỰ ÁN
1. Mục tiêu của dự án
Thuyết minh sơ bộ các mục tiêu tổng thể và mục tiêu cụ thể mà dự án cần đạt được trong bối cảnh, hiện trạng đã phân tích ở các mục trên.
2. Quy mô, công suất của dự án
Phân tích sơ bộ nhu cầu sử dụng công trình, hệ thống cơ sở hạ tầng; sản phẩm, dịch vụ công được cung cấp trên cơ sở quy hoạch, dữ liệu khảo sát thực tiễn hoặc các số liệu dự báo; thuyết minh quy mô, công suất của dự án.
3. Địa điểm thực hiện dự án
Mô tả địa điểm, khu đất thực hiện dự án và các dự án hoặc công trình khác đang hoặc sắp được triển khai trong vùng lân cận có quy hoạch hoặc liên quan đến dự án (nếu có).
4. Nhu cầu sử dụng đất, mặt nước và tài nguyên khác (nếu có)
Nêu diện tích, hiện trạng đất, mặt nước và tài nguyên khác (nếu có) được sử dụng để thực hiện dự án.
5. Phương án bồi thường, hỗ trợ, tái định cư
Trường hợp hiện trạng khu đất chưa được giải phóng mặt bằng, thuyết minh sơ bộ phương án bồi thường, hỗ trợ, tái định cư đối với dự án đang được đề xuất theo quy định hiện hành.
III. THUYẾT MINH VỀ KỸ THUẬT
1. Phương án thiết kế sơ bộ (không áp dụng đối với loại hợp đồng O&M)
- Nội dung phương án thiết kế sơ bộ thuộc BCNCTKT được lập theo quy định của pháp luật về xây dựng (đối với dự án có cấu phần xây dựng) hoặc được lập theo quy định của pháp luật khác có liên quan (đối với dự án không có cấu phần xây dựng).
- Trường hợp dự án có công trình phải thực hiện thi tuyển phương án kiến trúc theo quy định của pháp luật về kiến trúc, thuyết minh căn cứ pháp lý, sự cần thiết, hình thức thi tuyển, chi phí, kế hoạch và nội dung liên quan khác của việc tổ chức thi tuyển phương án kiến trúc.
2. Sơ bộ yêu cầu về chất lượng công trình, hệ thống cơ sở hạ tầng của dự án; sản phẩm, dịch vụ công được cung cấp
- Căn cứ quy mô, công suất của dự án, tiêu chuẩn, định mức của ngành, tính sẵn có và khả năng ứng dụng thực tiễn của công nghệ, phân tích một số phương án có thể áp dụng và đề xuất phương án phù hợp, làm cơ sở để tính toán tổng mức đầu tư của dự án. BCNCTKT cần nêu rõ việc nhà đầu tư được đề xuất phương án kỹ thuật, công nghệ khác đáp ứng yêu cầu về kỹ thuật, chất lượng công trình, hệ thống cơ sở hạ tầng dự án, sản phẩm, dịch vụ công được cung cấp và mang lại hiệu quả cao hơn cho dự án.
- Sơ bộ yêu cầu về chất lượng công trình, hệ thống cơ sở hạ tầng của dự án; sản phẩm, dịch vụ công được cung cấp.
- Trường hợp dự án có yếu tố đặc biệt cần áp dụng giải pháp đổi mới sáng tạo nhằm rút ngắn tiến độ và hoàn thành xây dựng công trình, hệ thống cơ sở hạ tầng trong một khoảng thời gian nhất định, đạt mức tiết kiệm năng lượng cao, bảo vệ môi trường đối với dự án thuộc nhóm có nguy cơ tác động xấu đến môi trường mức độ cao theo pháp luật về bảo vệ môi trường, thuyết minh sự cần thiết, phù hợp và lý do áp dụng.
- Đối với dự án áp dụng loại hợp đồng O&M, căn cứ phân tích về hiện trạng công trình, hệ thống cơ sở hạ tầng thuộc dự án; máy móc, thiết bị và các loại tài sản khác có liên quan, thuyết minh yêu cầu về việc vận hành công trình, hệ thống cơ sở hạ tầng của dự án nhằm cung cấp sản phẩm, dịch vụ công.
3. Phương án phân chia dự án thành phần (nếu có)
Trường hợp dự án PPP dự kiến được tách thành một số dự án thành phần, thuyết minh phương án, cơ sở, mục tiêu của việc phân chia.
IV. ĐÁNH GIÁ SƠ BỘ HIỆU QUẢ KINH TẾ - XÃ HỘI; TÁC ĐỘNG MÔI TRƯỜNG CỦA DỰ ÁN
1. Xác định các yếu tố chi phí và lợi ích về mặt kinh tế - xã hội
Xác định sơ bộ các yếu tố chi phí và lợi ích về mặt kinh tế - xã hội của dự án theo các nhóm yếu tố dưới đây:
- Nhóm yếu tố có thể định lượng và quy đổi được thành tiền (được sử dụng để tính toán tỷ số lợi ích trên chi phí về kinh tế).
- Nhóm yếu tố có thể định lượng nhưng không định giá được (ví dụ: Lợi ích do cải thiện về môi trường, lợi ích do thúc đẩy tăng trưởng kinh tế, gia tăng việc làm...).
- Nhóm yếu tố chỉ có thể định tính (ví dụ: Lợi ích do tăng tính kết nối giữa các vùng sản xuất và đầu mối tiêu thụ, cải thiện chất lượng cuộc sống của người dân vùng dự án...).
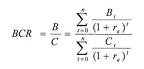
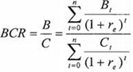
2. Sơ bộ phân tích hiệu quả kinh tế - xã hội của dự án thông qua tỷ số lợi ích trên chi phí về kinh tế (BCR)
Tỷ số lợi ích trên chi phí về kinh tế (BCR) là tỷ số giữa tổng lợi ích mà việc đầu tư mang lại trên tổng chi phí bỏ ra trong quá trình đầu tư và khai thác, được quy về giá trị hiện tại. Để đảm bảo dự án đạt hiệu quả kinh tế - xã hội, BCR yêu cầu lớn hơn 1 (>1) và được tính toán sơ bộ trong bước lập BCNCTKT theo công thức sau:

Trong đó:
Bt: sơ bộ giá trị lợi ích năm thứ t;
Ct: sơ bộ giá trị chi phí năm thứ t;
t: năm trong vòng đời dự án (0, 1, 2,..., n);
n: số năm hoạt động của dự án (thời hạn hợp đồng dự án);
re: tỷ suất chiết khấu kinh tế của dự án (Giá trị re được xác định theo quy định của từng ngành. Trường hợp chưa được quy định cụ thể thì đơn vị lập BCNCTKT có thể tham khảo giá trị re = 10% hoặc đề xuất giá trị tính toán khác nhưng cần có thuyết minh về lý do lựa chọn giá trị đó).
3. Kết luận sơ bộ về hiệu quả kinh tế - xã hội của dự án
Trên cơ sở phân tích theo hướng dẫn nêu trên, kết luận sơ bộ về hiệu quả kinh tế - xã hội của dự án.
Trường hợp không đủ điều kiện xác định các yếu tố chi phí và lợi ích có thể định lượng và quy đổi được thành tiền làm cơ sở để tính toán tỷ số lợi ích trên chi phí về kinh tế của dự án, kết luận sơ bộ về hiệu quả kinh tế - xã hội của dự án trên cơ sở các nhóm yếu tố còn lại.
4. Tác động môi trường
Đánh giá sơ bộ tác động môi trường theo quy định của pháp luật về bảo vệ môi trường như đối với dự án đầu tư công.
5. Yêu cầu về quốc phòng, an ninh quốc gia, bảo vệ bí mật nhà nước (nếu có)
Thuyết minh các yếu tố bảo đảm yêu cầu về quốc phòng, an ninh quốc gia, bảo vệ bí mật nhà nước.
6. Tác động đối với việc triển khai các cam kết quốc tế về đầu tư
Thuyết minh sơ bộ tác động của dự án đối với việc triển khai các cam kết quốc tế về đầu tư.
V. PHÂN TÍCH TÀI CHÍNH DỰ ÁN
1. Các thông số đầu vào sử dụng trong mô hình tài chính
- Chi phí trong suốt vòng đời dự án: Chi phí trong suốt vòng đời dự án gồm tổng mức đầu tư và chi phí khai thác, vận hành trong suốt vòng đời dự án. Trong đó, tổng mức đầu tư được xác định theo pháp luật về xây dựng đối với dự án có cấu phần xây dựng hoặc theo pháp luật khác có liên quan đối với dự án không có cấu phần xây dựng. Chi phí khai thác, vận hành trong suốt vòng đời dự án bằng các chi phí liên quan đến vận hành và bảo dưỡng công trình dự án; các chi phí nhân lực để vận hành và bảo dưỡng công trình dự án; chi phí quản lý dự án; chi phí tư vấn giám sát, dự phòng...
- Doanh thu: Xác định doanh thu của dự án qua từng năm (doanh thu ở mức căn bản, doanh thu ở mức tối đa và doanh thu ở mức tối thiểu) trên cơ sở các nội dung về dự báo nhu cầu; giá, phí sản phẩm, dịch vụ và các khoản thu khác của dự án (xem xét cơ sở pháp lý để xác định giá, phí; dự kiến lộ trình tăng giá, phí).
- Các thông số đầu vào khác: Lãi vay, thời gian vay; tỷ lệ lạm phát; tỷ giá; tỷ lệ khấu hao và các thông số khác.
2. Dự báo nhu cầu
- Phân tích lưu lượng, nhu cầu sử dụng công trình, hệ thống cơ sở hạ tầng, sản phẩm, dịch vụ công được cung cấp.
- Dự báo tốc độ tăng trưởng của nhu cầu trong tương lai, làm cơ sở xem xét hiệu quả kinh tế xã hội và phân tích sơ bộ phương án tài chính.
- Phân tích khả năng chi trả của cộng đồng người sử dụng, tổ chức bao tiêu đối với dự án áp dụng loại hợp đồng BOT, BTO, BOO, O&M.
3. Phương án tài chính sơ bộ của dự án
Trình bày nội dung phương án tài chính sơ bộ (nội dung chi tiết thực hiện theo hướng dẫn của Chính phủ tại Nghị định quy định chi tiết cơ chế tài chính trong dự án PPP), bao gồm:
- Tổng mức đầu tư: Trên cơ sở các thuyết minh về kỹ thuật được lựa chọn, BCNCTKT xác định sơ bộ tổng mức đầu tư của dự án.
- Cơ cấu nguồn vốn của nhà đầu tư/doanh nghiệp dự án (vốn chủ sở hữu, vốn vay và các nguồn vốn hợp pháp khác) và phương án huy động vốn giả định; thời gian vay, kỳ hạn phát hành trái phíếu doanh nghiệp (nếu có); chi phí huy động vốn: lãi suất vốn vay, lãi suất phát hành trái phíếu doanh nghiệp (nếu có) và chi phí cần thiết liên quan đến huy động vốn (nếu có);
- Vốn nhà nước tham gia trong dự án dự kiến (nếu có), cụ thể bao gồm:
+ Vốn hỗ trợ xây dựng công trình, hệ thống cơ sở hạ tầng thuộc dự án PPP: vốn đầu tư công, giá trị tài sản công (được xác định trong quyết định sử dụng tài sản công để tham gia dự án PPP theo quy định của pháp luật về quản lý, sử dụng tài sản công);
+ Vốn thanh toán (bao gồm phương thức thanh toán) cho nhà đầu tư thực hiện dự án áp dụng loại hợp đồng BTL, BLT;
+ Vốn nhà nước để chi trả kinh phí bồi thường, giải phóng mặt bằng, hỗ trợ tái định cư, hỗ trợ xây dựng công trình tạm.
- Phương án thu hồi vốn đầu tư và lợi nhuận của nhà đầu tư trong trường hợp áp dụng loại hợp đồng BOT, BTO, BOO và O&M.
- Giá trị tối thiểu nộp ngân sách nhà nước (đối với dự án áp dụng loại hợp đồng O&M).
- Thời hạn hợp đồng dự án. Đối với dự án áp dụng loại hợp đồng O&M, thời hạn hợp đồng dự án được xác định căn cứ yêu cầu về kỹ thuật, công nghệ của từng loại công trình, hệ thống cơ sở hạ tầng, thời gian cần sửa chữa định kỳ hoặc thời gian sử dụng công trình, hệ thống cơ sở hạ tầng theo quy định của pháp luật.
- Đề xuất ưu đãi đảm bảo phương án tài chính của dự án (nếu có).
- Dự kiến các khoản chi phí của dự án trong thời gian vận hành.
- Các thông số đầu vào, chỉ tiêu tài chính.
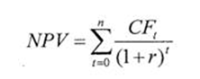
4. Các chỉ tiêu tài chính xem xét tính khả thi của dự án
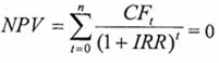
Căn cứ nội dung sơ bộ phương án tài chính và các thông số đầu vào của mô hình tài chính, tính khả thi về tài chính của dự án được xem xét trên cơ sở chỉ tiêu Giá trị hiện tại ròng tài chính (NPV).
NPV của dự án là giá trị hiện tại của đồng tiền thuần trong suốt vòng đời dự án. Để đảm bảo dự án đạt hiệu quả tài chính, NPV phải dương (>0) và được tính theo công thức sau:

Trong đó:
CFt: giá trị đồng tiền thuần là khoản chênh lệch giữa số tiền thu được (đồng tiền vào) và số tiền chi ra (đồng tiền ra) của dự án tại năm thứ t;
t: năm trong vòng đời dự án (0, 1, 2,..., n);
n: số năm hoạt động của dự án (thời hạn hợp đồng dự án);
r: tỷ suất chiết khấu.
5. Đánh giá phương án tài chính và kết luận sơ bộ về tính khả thi tài chính của dự án
Trên cơ sở các phân tích tại các Mục nêu trên, căn cứ tính chất của từng loại hợp đồng dự án, kết luận sơ bộ về tính khả thi tài chính của dự án.
VI. MỘT SỐ NỘI DUNG KHÁC
1. Loại hợp đồng dự án
Xác định loại hợp đồng phù hợp với dự án căn cứ thuyết minh về các nội dung sau:
- Phương án kỹ thuật, công nghệ sơ bộ.
- Phương án tài chính sơ bộ (dự báo nhu cầu, nguồn thu và khả năng thu hồi vốn cho nhà đầu tư, thời gian hoàn vốn và thời hạn hợp đồng dự án) khả năng chi trả của cộng đồng người sử dụng, tổ chức bao tiêu đối với dự án áp dụng loại hợp đồng BOT, BTO, BOO, O&M).
- Vai trò, trách nhiệm, phân bổ và quản lý rủi ro liên quan đến thực hiện dự án giữa cơ quan có thẩm quyền và nhà đầu tư trong suốt vòng đời dự án.
2. Phân tích rủi ro trong quá trình thực hiện dự án
- Thuyết minh sơ bộ một số rủi ro chính có thể phát sinh trong suốt vòng đời dự án, bao gồm: Rủi ro về pháp lý (thay đổi chính sách, pháp luật), rủi ro về quyền sử dụng đất, rủi ro về môi trường, rủi ro về kỹ thuật, công nghệ được lựa chọn, rủi ro về thiết kế và xây dựng, rủi ro về tài khóa (ngân sách trung ương, địa phương, khả năng cung cấp bảo lãnh...), rủi ro về doanh thu (nhu cầu của thị trường, lưu lượng...), rủi ro vận hành...
- Phân tích cơ chế phân bổ, quản lý rủi ro và trách nhiệm của các bên trong việc quản lý rủi ro, xác định một số biện pháp giảm thiểu các rủi ro (bảo hiểm rủi ro, dự phòng nguồn xử lý khi có sự cố ô nhiễm môi trường, cơ chế chia sẻ phần giảm doanh thu...).
3. Ưu đãi, bảo đảm đầu tư
Đề xuất ưu đãi đầu tư (bao gồm ưu đãi đặc thù của ngành, lĩnh vực hoặc của địa phương), các loại hình bảo lãnh, bảo đảm của Chính phủ và điều kiện kèm theo cũng như các nghĩa vụ cần thiết khác trong thời gian thực hiện hợp đồng dự án.
4. Cơ chế chia sẻ phần giảm doanh thu
Căn cứ phân tích sơ bộ một số rủi ro chính có thể phát sinh trong suốt vòng đời dự án và các điều kiện quy định tại Điều 82 của Luật PPP, thuyết minh lý do và đề xuất phương án áp dụng cơ chế chia sẻ rủi ro về doanh thu giữa nhà nước và doanh nghiệp dự án (bao gồm: biện pháp phải thực hiện trước khi áp dụng; thời gian áp dụng; thời điểm bắt đầu áp dụng cơ chế và nội dung cần thiết khác).
5. Tổ chức quản lý thực hiện dự án PPP
- Thuyết minh hình thức, cơ cấu tổ chức quản lý thực hiện dự án của cơ quan có thẩm quyền, nhà đầu tư, doanh nghiệp dự án đối với từng giai đoạn cụ thể; phương thức để cơ quan có thẩm quyền phối hợp với nhà đầu tư, doanh nghiệp dự án trong quá trình thực hiện dự án.
- Thuyết minh sơ bộ các nội dung quản lý thực hiện dự án bao gồm: nội dung và phương thức giám sát chất lượng công trình; giám sát thực hiện hợp đồng dự án, đảm bảo cung cấp sản phẩm, dịch vụ công ổn định, liên tục; phương thức nhà đầu tư, doanh nghiệp dự án thực hiện kinh doanh, khai thác công trình dự án, cung cấp dịch vụ.
6. Lựa chọn nhà đầu tư
- Đối với dự án ứng dụng công nghệ cao, công nghệ mới, xác định: Tên bên mời thầu; hình thức lựa chọn nhà đầu tư; thời gian tổng thể và các mốc thời gian dự kiến tổ chức đàm phán cạnh tranh (dạng bảng theo dõi tiến độ).
- Đối với dự án có yêu cầu về quốc phòng, an ninh quốc gia, bảo vệ bí mật nhà nước, thuyết minh về cơ sở áp dụng hình thức lựa chọn nhà đầu tư. Trường hợp đề xuất áp dụng hình thức chỉ định nhà đầu tư, thuyết minh sự cần thiết, cơ sở pháp lý và nội dung dự kiến báo cáo Thủ tướng Chính phủ.
- Đối với dự án thuộc ngành, nghề chưa được tiếp cận thị trường đối với nhà đầu tư nước ngoài theo quy định của pháp luật về đầu tư, thuyết minh về cơ sở áp dụng hình thức lựa chọn nhà đầu tư trong nước phù hợp với các cam kết quốc tế về đầu tư.
7. Kế hoạch thực hiện dự án
Thời gian thực hiện dự án: Dự kiến thời gian chuẩn bị dự án (bao gồm thời gian lập, thẩm định BCNCTKT và quyết định chủ trương đầu tư; lập, thẩm định báo cáo nghiên cứu khả thi và phê duyệt dự án); thời gian tổ chức lựa chọn nhà đầu tư và ký kết hợp đồng.
8. Các nội dung khác
- Thuyết minh sơ bộ nội dung cần khảo sát sự quan tâm của nhà đầu tư đối với dự án tại bước lập báo cáo nghiên cứu khả thi (trừ dự án ứng dụng công nghệ cao, công nghệ mới và dự án có yêu cầu về quốc phòng, an ninh quốc gia, bảo vệ bí mật nhà nước dự kiến báo cáo Thủ tướng Chính phủ cho phép áp dụng hình thức chỉ định nhà đầu tư).
- Đối với dự án có yếu tố đặc biệt cần áp dụng giải pháp đổi mới sáng tạo nhằm rút ngắn tiến độ và hoàn thành xây dựng công trình, hệ thống cơ sở hạ tầng trong một khoảng thời gian nhất định, đạt mức tiết kiệm năng lượng cao, bảo vệ môi trường đối với dự án thuộc nhóm có nguy cơ tác động xấu đến môi trường mức độ cao theo pháp luật về bảo vệ môi trường, thuyết minh nội dung yêu cầu sơ bộ về năng lực, kinh nghiệm nhà đầu tư.
Đ. KẾT LUẬN VÀ KIẾN NGHỊ
Trình bày kết luận về việc dự án đáp ứng các điều kiện để đầu tư theo phương thức PPP quy định tại khoản 1 Điều 14 của Luật PPP.
Trình bày các kiến nghị cấp có thẩm quyền thực hiện thủ tục thẩm định, quyết định chủ trương đầu tư dự án và xác định các nội dung cần được nghiên cứu chi tiết tại báo cáo nghiên cứu khả thi.
Mẫu số 02
BÁO CÁO THẨM ĐỊNH
BÁO CÁO NGHIÊN CỨU TIỀN KHẢ THI DỰ ÁN PPP
_________________
Căn cứ tính chất, quy mô, lĩnh vực và nội dung của báo cáo nghiên cứu tiền khả thi (BCNCTKT), báo cáo thẩm định BCNCTKT được thực hiện theo các nội dung hướng dẫn dưới đây. Hội đồng thẩm định hoặc đơn vị được giao nhiệm vụ thẩm định cần đưa ra ý kiến nhận xét cụ thể đối với từng nội dung và đề xuất phương án giải quyết trong trường hợp có nội dung chưa đồng thuận hoặc cần bổ sung, hoàn thiện với đơn vị chuẩn bị dự án hoặc nhà đầu tư đề xuất dự án. Trường hợp áp dụng Mẫu này để thẩm định các nội dung điều chỉnh BCNCTKT, Hội đồng thẩm định hoặc đơn vị được giao nhiệm vụ thẩm định sắp xếp, lựa chọn các nội dung phù hợp.
A. KHÁI QUÁT VỀ DỰ ÁN
Trình bày thông tin khái quát về dự án, bao gồm:
1. Tên dự án.
2. Tên cơ quan có thẩm quyền.
3. Tên đơn vị chuẩn bị dự án hoặc nhà đầu tư đề xuất dự án.
4. Địa điểm, quy mô, công suất dự án, diện tích sử dụng đất.
5. Yêu cầu về kỹ thuật.
6. Dự kiến tổng mức đầu tư.
7. Vốn nhà nước trong dự án PPP (nếu có).
8. Loại hợp đồng dự án.
9. Các chỉ tiêu chính thuộc phương án tài chính sơ bộ.
10. Thời gian thực hiện dự án.
11. Ưu đãi và bảo đảm đầu tư.
12. Tên bên mời thầu, hình thức lựa chọn nhà đầu tư và thời gian tổ chức lựa chọn nhà đầu tư (đối với trường hợp dự án ứng dụng công nghệ cao, công nghệ mới).
B. TỔNG HỢP Ý KIẾN CỦA CÁC THÀNH VIÊN HỘI ĐỒNG THẨM ĐỊNH/CƠ QUAN, ĐƠN VỊ CÓ LIÊN QUAN
Tổng hợp ý kiến thẩm định của các thành viên Hội đồng thẩm định đối với hồ sơ BCNCTKT của dự án, trong đó nêu rõ thành viên chủ trì thẩm định các nội dung cụ thể tại Mục C của Báo cáo này. Trường hợp không thành lập Hội đồng thẩm định, đơn vị được giao chủ trì thẩm định tổng hợp ý kiến các cơ quan, đơn vị có liên quan tại Mục này.
C. TỔNG HỢP KẾT QUẢ THẨM ĐỊNH
I. KIỂM TRA SƠ BỘ HỒ SƠ
Đánh giá về kết luận sơ bộ về tính đầy đủ về thành phần, nội dung hồ sơ.
II. THẨM ĐỊNH VỀ NỘI DUNG CỦA HỒ SƠ
Sự phù hợp với điều kiện lựa chọn dự án để đầu tư theo phương thức PPP
Đánh giá sự phù hợp của BCNCTKT với điều kiện lựa chọn dự án để đầu tư theo phương thức PPP quy định tại khoản 1 Điều 14 của Luật PPP, gồm:
- Tính cần thiết phải đầu tư dự án.
- Sự phù hợp về lĩnh vực đầu tư theo quy định của Luật PPP.
- Không trùng lặp với dự án PPP đã có quyết định chủ trương đầu tư hoặc quyết định phê duyệt dự án.
- Lợi thế của việc đầu tư dự án theo phương thức PPP so với các hình thức đầu tư khác.
- Khả năng bố trí vốn nhà nước trong trường hợp có nhu cầu sử dụng vốn nhà nước.
2. Sự phù hợp với căn cứ lập BCNCTKT
Đánh giá sự phù hợp của BCNCTKT với các căn cứ quy định tại khoản 2 Điều 14 của Luật PPP, gồm:
- Sự phù hợp của dự án với chiến lược, kế hoạch phát triển kinh tế - xã hội của quốc gia và quy hoạch có liên quan theo quy định của pháp luật về quy hoạch.
- Sự phù hợp của dự án với quy định của Luật PPP và pháp luật chuyên ngành về lĩnh vực đầu tư.
- Sự phù hợp của dự án với các văn bản pháp lý có liên quan (nếu có).
3. Hiệu quả đầu tư và khả năng thu hồi vốn cho nhà đầu tư
a) Hiệu quả đầu tư của dự án
- Đánh giá sự phù hợp của phương án sơ bộ về kỹ thuật, công nghệ.
- Trường hợp dự án có yếu tố đặc biệt cần áp dụng giải pháp đổi mới sáng tạo nhằm rút ngắn tiến độ và hoàn thành xây dựng công trình, hệ thống cơ sở hạ tầng trong một khoảng thời gian nhất định, đạt mức tiết kiệm năng lượng cao, bảo vệ môi trường đối với dự án thuộc nhóm có nguy cơ tác động xấu đến môi trường mức độ cao theo pháp luật về bảo vệ môi trường, xem xét sự phù hợp của các nội dung này.
- Trường hợp dự án được đề xuất phân chia thành các dự án thành phần, xem xét sự phù hợp của đề xuất.
- Xem xét tính hợp lý của các yếu tố chi phí, lợi ích về mặt kinh tế - xã hội, tỷ số lợi ích trên chi phí về kinh tế của dự án (BCR). Dự án được đánh giá là đạt hiệu quả kinh tế - xã hội khi BCR lớn hơn 1 (>1). Trường hợp BCNCTKT không xác định BCR, đánh giá tính hợp lý của các nhóm yếu tố còn lại.
- Xem xét sự phù hợp của phần thuyết minh về tác động của dự án đối với môi trường theo quy định của pháp luật về bảo vệ môi trường, xã hội và các nội dung khác.
- Đánh giá các yêu cầu bảo đảm quốc phòng, an ninh quốc gia, bảo vệ bí mật nhà nước của dự án, căn cứ ý kiến của Bộ Quốc phòng, Bộ Công an.
b) Khả năng thu hồi vốn cho nhà đầu tư
- Xem xét tính hợp lý của các yếu tố tài chính đầu vào, các chỉ tiêu tài chính và sơ bộ phương án tài chính của dự án. Dự án đạt hiệu quả tài chính khi NPV dương (>0).
- Đánh giá sự phù hợp của các hình thức ưu đãi, bảo đảm đầu tư nhằm làm tăng tính khả thi của dự án theo quy định của pháp luật về đầu tư, đầu tư PPP.
4. Sự phù hợp khi áp dụng cơ chế chia sẻ phần giảm doanh thu đối với dự án
Trường hợp BCNCTKT đề xuất áp dụng cơ chế chia sẻ phần giảm doanh thu, căn cứ quy mô và tính chất của dự án, đánh giá các nội dung sau:
- Sự đáp ứng đối với các điều kiện áp dụng cơ chế chia sẻ phần giảm doanh thu theo quy định của pháp luật.
- Sự phù hợp của phương án chia sẻ phần giảm doanh thu.
- Khả năng cân đối chi phí xử lý rủi ro trong phạm vi nguồn dự phòng ngân sách nhà nước, biện pháp bảo đảm cân đối ngân sách nhà nước trong trường hợp chi trả, căn cứ ý kiến của cơ quan tài chính cấp tương ứng.
5. Nguồn vốn và khả năng cân đối vốn
- Đối với dự án có sử dụng vốn đầu tư công; tổng hợp báo cáo thẩm định nguồn vốn và khả năng cân đối vốn của cơ quan chuyên môn quản lý đầu tư công theo pháp luật về đầu tư công.
- Đối với dự án sử dụng nguồn vốn chi thường xuyên, nguồn thu hợp pháp dành để chi thường xuyên của cơ quan nhà nước, đơn vị sự nghiệp công lập để thanh toán cho doanh nghiệp dự án: tổng hợp ý kiến thẩm định của cơ quan tài chính cấp tương ứng theo quy định của pháp luật về ngân sách nhà nước.
- Đối với dự án sử dụng giá trị tài sản công làm phần Nhà nước tham gia: Tổng hợp giá trị tài sản công được xác định trong quyết định sử dụng tài sản công để tham gia dự án PPP.
6. Sự phù hợp của loại hợp đồng dự án
Đánh giá sự phù hợp của loại hợp đồng dự án trên cơ sở xem xét các yếu tố:
- Nguồn thu và khả năng thu hồi vốn cho nhà đầu tư.
- Thời gian hoàn vốn và thời hạn hợp đồng dự án.
- Tính hợp lý trong việc phân chia trách nhiệm của các bên trong quá trình triển khai dự án và các biện pháp phòng ngừa, giảm thiểu rủi ro, bao gồm rủi ro đối với ngân sách của trung ương và địa phương, khả năng chi trả của cộng đồng người sử dụng sản phẩm, dịch vụ công của dự án.
7. Hình thức lựa chọn nhà đầu tư
- Trường hợp BCNCTKT đề xuất áp dụng đàm phán cạnh tranh do dự án được xác định là dự án ứng dụng công nghệ cao, công nghệ mới, đánh giá sự phù hợp đề xuất này và thời gian đàm phán cạnh tranh.
- Trường hợp BCNCTKT đề xuất áp dụng lựa chọn nhà đầu tư trong nước hoặc đề xuất báo cáo Thủ tướng Chính phủ cho phép áp dụng chỉ định nhà đầu tư do dự án cần bảo đảm yếu tố quốc phòng, an ninh quốc gia, bảo vệ bí mật nhà nước, đánh giá sự phù hợp của đề xuất này.
- Trường hợp BCNCTKT đề xuất áp dụng lựa chọn nhà đầu tư trong nước do dự án thuộc ngành, nghề chưa được tiếp cận thị trường đối với nhà đầu tư nước ngoài theo pháp luật về đầu tư, đánh giá sự phù hợp của đề xuất này.
8. Nội dung khác
Xem xét sự phù hợp của các nội dung cần khảo sát sự quan tâm của nhà đầu tư. Trường hợp dự án xuất hiện yếu tố đặc biệt cần áp dụng giải pháp đổi mới sáng tạo nhằm rút ngắn tiến độ và hoàn thành xây dựng công trình, hệ thống cơ sở hạ tầng trong một khoảng thời gian nhất định, đạt mức tiết kiệm năng lượng cao, bảo vệ môi trường đối với dự án thuộc nhóm có nguy cơ tác động xấu mức độ cao đến môi trường theo pháp luật về bảo vệ môi trường, xem xét sự phù hợp các yêu cầu sơ bộ về năng lực, kinh nghiệm của nhà đầu tư.
D. NHẬN XÉT VÀ KIẾN NGHỊ
Trên cơ sở các phân tích nêu trên, nhận xét tổng quát về BCNCTKT và nêu rõ kiến nghị theo một trong hai trường hợp sau đây:
1. Trường hợp BCNCTKT phù hợp với quy định của pháp luật và được đánh giá là đủ điều kiện để quyết định chủ trương đầu tư theo phương thức PPP, kiến nghị cấp có thẩm quyền:
a) Phê duyệt chủ trương đầu tư dự án. Đối với dự án do nhà đầu tư đề xuất, phê duyệt chủ trương đầu tư dự án đồng thời kiến nghị cấp có thẩm quyền giao nhà đầu tư tổ chức lập BCNCKT.
b) Giao đơn vị chuẩn bị dự án căn cứ ý kiến thẩm định BCNCTKT hoàn thiện các nội dung liên quan trong thông báo mới khảo sát và tổ chức khảo sát theo quy định tại Điều 25 của Nghị định này; hoàn thiện BCNCKT.
2. Trường hợp không thống nhất với nội dung của BCNCTKT, báo cáo cấp có thẩm quyền xem xét, quyết định theo một trong hai phương án sau:
a) Phương án 1: Yêu cầu đơn vị chuẩn bị dự án, nhà đầu tư điều chỉnh BCNCTKT.
b) Phương án 2: Không phê duyệt BCNCTKT.
Mẫu số 03
|
CƠ QUAN RA NGHỊ QUYẾT Số: …. |
CỘNG HÒA XÃ HỘI CHỦ NGHĨA VIỆT NAM Địa điểm, ngày … tháng … năm … |
NGHỊ QUYẾT (QUYẾT ĐỊNH)
Về chủ trương đầu tư dự án... theo phương thức đối tác công tư (PPP)
____________
THỦ TRƯỞNG CƠ QUAN RA NGHỊ QUYẾT (QUYẾT ĐỊNH) CHỦ TRƯƠNG ĐẦU TƯ
Căn cứ Luật Đầu tư theo phương thức đối tác công tư ngày 18 tháng 6 năm 2020;
Căn cứ Nghị định số /2021/NĐ-CP ngày tháng năm 2021 của Chính phủ quy định chi tiết và hướng dẫn thi hành một số điều của Luật Đầu tư theo phương thức đối tác công tư;
Căn cứ.... quy định chức năng, nhiệm vụ, quyền hạn và tổ chức bộ máy của...;
Căn cứ tờ trình đề nghị quyết định chủ trương đầu tư và hồ sơ kèm theo do…… nộp ngày và hồ sơ bổ sung nộp ngày .... (nếu có);
Căn cứ báo cáo thẩm định của….. ngày… tháng .... năm …;
QUYẾT NGHỊ (QUYẾT ĐỊNH):
Điều 1. Phê duyệt (quyết định) chủ trương đầu tư (tên dự án) với các nội dung sau:
1. Mục tiêu dự án
2. Dự kiến quy mô, địa điểm thực hiện dự án
3. Dự kiến thời gian thực hiện dự án
4. Dự kiến nhu cầu sử dụng đất, mặt nước, tài nguyên khác (nếu có)
5. Dự kiến loại hợp đồng dự án PPP
6. Sơ bộ tổng mức đầu tư của dự án
7. Sơ bộ phương án tài chính của dự án
a) Cơ cấu nguồn vốn: vốn nhà đầu tư, doanh nghiệp dự án PPP chịu trách nhiệm thu xếp (vốn chủ sở hữu, vốn vay và các nguồn vốn hợp pháp khác); vốn nhà nước trong dự án PPP (nếu có)
b) Vốn nhà nước trong dự án:
- Giá trị phần vốn hỗ trợ xây dựng công trình, hệ thống cơ sở hạ tầng.
- Giá trị phần vốn chi trả kinh phí bồi thường, giải phóng mặt bằng, hỗ trợ tái định cư, hỗ trợ xây dựng công trình tạm.
- Giá trị phần vốn hỗ trợ xây dựng công trình, hệ thống cơ sở hạ tầng và vốn chi trả kinh phí bồi thường giải phóng mặt bằng, hỗ trợ tái định cư, hỗ trợ xây dựng công trình tạm chiếm tỷ lệ ...% tổng mức đầu tư.
- Chi phí lập, thẩm định báo cáo nghiên cứu tiền khả thi.
Trường hợp dự án áp dụng loại hợp đồng BTL, BLT, quyết định chủ trương đầu tư nêu phương thức thanh toán cho nhà đầu tư (giá trị và tiến độ thanh toán định kỳ).
c) Dự kiến khung giá, phí sản phẩm, dịch vụ công (đối với dự án áp dụng cơ chế thu phí trực tiếp từ người sử dụng)
8. Ưu đãi và bảo đảm đầu tư
a) Ưu đãi về thuế thu nhập doanh nghiệp: Cơ sở pháp lý của ưu đãi; đối tượng và điều kiện hưởng ưu đãi (nếu có)
b) Ưu đãi về thuế nhập khẩu: Cơ sở pháp lý của ưu đãi; đối tượng và điều kiện hưởng ưu đãi (nếu có)
c) Ưu đãi về miễn, giảm tiền thuê đất, tiền sử dụng đất, thuế sử dụng đất: Cơ sở pháp lý của ưu đãi; đối tượng và điều kiện hưởng ưu đãi (nếu có)
d) Các bảo đảm đầu tư khác: Cơ sở pháp lý của hình thức bảo đảm; đối tượng và điều kiện hưởng bảo đảm
9. Cơ chế chia sẻ phần tăng, giảm doanh thu
a) Dự án này áp dụng cơ chế chia sẻ phần tăng doanh thu theo quy định tại khoản 1 Điều 82 của Luật PPP
b) [Trường hợp áp dụng cơ chế chia sẻ phần giảm doanh thu] Dự án này được áp dụng cơ chế chia sẻ phần giảm doanh thu theo quy định tại khoản 2 và khoản 3 Điều 82 của Luật PPP như sau: Điều kiện, phương án chia sẻ và nguồn vốn dự kiến sử dụng để chi trả phần giảm doanh thu
10. Tên cơ quan có thẩm quyền; tên nhà đầu tư đề xuất dự án (trường hợp dự án do nhà đầu tư đề xuất)
11. Các nội dung cần thiết khác
Đối với từng trường hợp cụ thể, quyết định chủ trương đầu tư bổ sung các nội dung sau:
- Đối với dự án ứng dụng công nghệ cao, ứng dụng công nghệ mới, quyết định chủ trương đầu tư nêu các nội dung sau: Tên bên mời thầu; Hình thức lựa chọn nhà đầu tư; Thời gian tổ chức lựa chọn nhà đầu tư.
- Đối với dự án xuất hiện yếu tố đặc biệt cần áp dụng giải pháp đổi mới sáng tạo, quyết định chủ trương đầu tư nêu rõ tiến độ hoàn thành, mức tiết kiệm năng lượng, yêu cầu về bảo vệ môi trường tương ứng để thực hiện việc khảo sát sự quan tâm của nhà đầu tư theo quy định tại Điều 25 của Nghị định này.
Điều 2. Tổ chức thực hiện
1. Cơ quan (Tên cơ quan có thẩm quyền hoặc đơn vị chuẩn bị dự án) chịu trách nhiệm hoàn thiện và đăng tải thông báo mời khảo sát theo quy định tại Điều 25 của Nghị định này.
2. Cơ quan (Tên cơ quan có thẩm quyền hoặc đơn vị chuẩn bị dự án) hoặc nhà đầu tư đề xuất dự án hoàn thiện Báo cáo nghiên cứu khả thi của dự án (Tên dự án) trình cấp có thẩm quyền phê duyệt dự án theo quy định của Luật PPP.
[- Đối với dự án ứng dụng công nghệ cao, ứng dụng công nghệ mới: Cơ quan (Tên cơ quan có thẩm quyền hoặc bên mời thầu) chủ trì, phối hợp với các cơ quan liên quan hoàn thiện hồ sơ mời đàm phán dự án (Tên dự án) trình cấp có thẩm quyền phê duyệt, làm cơ sở tổ chức đàm phán cạnh tranh theo quy định của Luật PPP và Nghị định này.
- Đối với dự án cần bảo đảm yêu cầu về quốc phòng, an ninh quốc gia, bảo vệ bí mật nhà nước và được đề xuất áp dụng hình thức chỉ định nhà đầu tư: Cơ quan (Tên cơ quan có thẩm quyền hoặc đơn vị chuẩn bị dự án) chủ trì, phối hợp với các cơ quan liên quan dự thảo tờ trình báo cáo Thủ tướng Chính phủ chấp thuận áp dụng hình thức chỉ định nhà đầu tư.]
3. Trách nhiệm của các cơ quan liên quan khác (nếu có).
4. Các nội dung khác (nếu có).
Điều 3. Điều khoản thi hành
1. Cơ quan (Tên cơ quan có thẩm quyền hoặc đơn vị chuẩn bị dự án) hoặc nhà đầu tư đề xuất dự án, các cơ quan liên quan khác chịu trách nhiệm thi hành Nghị quyết (Quyết định) này.
2. Cơ quan ……………. chịu trách nhiệm kiểm tra, giám sát việc thực hiện Nghị quyết (Quyết định) này báo cáo cơ quan (Tên cơ quan quyết định chủ trương đầu tư dự án) theo quy định của pháp luật.
|
Nơi nhận: |
ĐẠI DIỆN CƠ QUAN |
PHỤ LỤC III
(Kèm theo nghị định số 35/2021/NĐ-CP ngày 29 tháng 3 năm 2021 của Chính phủ)
______________
|
Mẫu số 01 |
Báo cáo nghiên cứu khả thi dự án PPP |
|
Mẫu số 02 |
Báo cáo thẩm định báo cáo nghiên cứu khả thi dự án PPP |
|
Mẫu số 03 |
Quyết định phê duyệt dự án PPP |
Mẫu số 01
BÁO CÁO NGHIÊN CỨU KHẢ THI DỰ ÁN PPP
__________
Báo cáo nghiên cứu khả thi (BCNCKT) là tài liệu trình bày các nội dung nghiên cứu về sự cần thiết, tính khả thi và hiệu quả của dự án PPP. Phụ lục này hướng dẫn các nội dung được trình bày trong BCNCKT để cấp có thẩm quyền phê duyệt dự án.
Căn cứ tính chất, quy mô, lĩnh vực của dự án, đơn vị chuẩn bị dự án hoặc nhà đầu tư lập BCNCKT theo các nội dung được hướng dẫn dưới đây. Trường hợp áp dụng Mẫu này để trình bày các nội dung điều chỉnh BCNCKT, đơn vị chuẩn bị dự án hoặc nhà đầu tư sắp xếp, lựa chọn các nội dung phù hợp.
A. THÔNG TIN CƠ BẢN CỦA DỰ ÁN
Tóm tắt và thuyết minh thông tin cơ bản của dự án, bao gồm:
1. Tên dự án.
2. Tên cơ quan có thẩm quyền, cơ quan ký kết hợp đồng.
3. Tên đơn vị chuẩn bị dự án hoặc nhà đầu tư đề xuất dự án.
4. Địa điểm, quy mô, công suất dự án, diện tích sử dụng đất.
5. Yêu cầu về kỹ thuật.
6. Tổng mức đầu tư.
7. Vốn nhà nước trong dự án PPP (nếu có).
8. Loại hợp đồng dự án.
9. Các chỉ tiêu chính thuộc phương án tài chính.
10. Thời gian thực hiện dự án.
11. Ưu đãi và bảo đảm đầu tư
12. Tên bên mời thầu, hình thức lựa chọn nhà đầu tư và thời gian tổ chức lựa chọn nhà đầu tư (không áp dụng đối với dự án ứng dụng công nghệ cao, công nghệ mới)
B. CĂN CỨ LẬP BÁO CÁO NGHIÊN CỨU KHẢ THI
Liệt kê các văn bản pháp lý chủ yếu làm căn cứ lập BCNCKT, bao gồm:
1. Các Luật, Nghị định và Thông tư hướng dẫn liên quan đến việc triển khai dự án theo phương thức PPP.
2. Các Luật, Nghị định và Thông tư hướng dẫn liên quan đến ngành, lĩnh vực đầu tư của dự án.
3. Các nghị quyết hoặc quyết định phê duyệt chiến lược, kế hoạch phát triển kinh tế - xã hội của quốc gia và quy hoạch có liên quan theo quy định của pháp luật về quy hoạch.
4. Các quyết định, văn bản của cấp có thẩm quyền trong các bước lập, thẩm định BCNCTKT, quyết định chủ trương đầu tư.
C. THÀNH PHẦN HỒ SƠ TRÌNH
Liệt kê thành phần hồ sơ trình tương ứng với từng giai đoạn
I. THÀNH PHẦN HỒ SƠ ĐỀ NGHỊ THẨM ĐỊNH BCNCKT (HOẶC NỘI DUNG ĐIỀU CHỈNH BCNCKT)
1. Văn bản đề nghị thẩm định.
2. Dự thảo tờ trình đề nghị phê duyệt dự án (hoặc điều chỉnh dự án).
3. BCNCKT (hoặc nội dung điều chỉnh BCNCKT).
4. Quyết định chủ trương đầu tư (hoặc quyết định điều chỉnh chủ trương đầu tư, nếu có).
5. Quyết định phê duyệt kết quả lựa chọn nhà đầu tư (trường hợp dự án ứng dụng công nghệ cao, công nghệ mới).
6. Văn bản thỏa thuận giữa cơ quan có thẩm quyền với nhà đầu tư về việc giao nhà đầu tư lập BCNCKT (trường hợp dự án do nhà đầu tư đề xuất; dự án ứng dụng công nghệ cao, công nghệ mới).
7. Tài liệu pháp lý khác có liên quan của dự án.
II. THÀNH PHẦN HỒ SƠ ĐỀ NGHỊ PHÊ DUYỆT DỰ ÁN (HOẶC ĐIỀU CHỈNH DỰ ÁN)
1. Tờ trình đề nghị phê duyệt dự án (hoặc điều chỉnh dự án).
2. Dự thảo quyết định phê duyệt dự án (hoặc quyết định điều chỉnh dự án).
3. BCNCKT (hoặc nội dung điều chỉnh BCNCKT).
4. Báo cáo thẩm định BCNCKT (hoặc báo cáo thẩm định nội dung điều chỉnh BCNCKT).
5. Quyết định chủ trương đầu tư (hoặc quyết định điều chỉnh chủ trương đầu tư, nếu có).
6. Quyết định phê duyệt kết quả lựa chọn nhà đầu tư (trường hợp dự án ứng dụng công nghệ cao, công nghệ mới).
7. Tài liệu pháp lý khác có liên quan của dự án.
D. NỘI DUNG BÁO CÁO NGHIÊN CỨU KHẢ THI
I. SỰ CẦN THIẾT ĐẦU TƯ DỰ ÁN
1. Bối cảnh chung
- Thuyết minh chi tiết bối cảnh chung về kinh tế - xã hội của quốc gia, địa phương trong giai đoạn dự án được triển khai; các điều kiện, môi trường tự nhiên tác động đến dự án.
- Tổng quan về ngành, lĩnh vực mà dự án đề xuất, các ảnh hưởng trực tiếp, gián tiếp của các quy định về pháp luật chuyên ngành đối với dự án.
- Phân tích chi tiết sự phù hợp của dự án đối với chiến lược, kế hoạch phát triển kinh tế - xã hội của quốc gia và quy hoạch có liên quan theo quy định của pháp luật về quy hoạch.
- Nhận định các lợi ích dự kiến dự án sẽ đóng góp cho quốc gia và/hoặc địa phương.
2. Hiện trạng khu vực thực hiện dự án
- Trường hợp dự án khởi công mới, thuyết minh về hiện trạng, thực trạng của khu vực, địa điểm sẽ triển khai dự án.
- Trường hợp dự án cải tạo, sửa chữa, nâng cấp, đánh giá bổ sung hiện trạng của công trình cần cải tạo, sửa chữa, nâng cấp.
- Trường hợp dự án áp dụng loại hợp đồng O&M, đánh giá hiện trạng công trình, hệ thống cơ sở hạ tầng thuộc dự án; máy móc, thiết bị và các loại tài sản khác có liên quan.
3. Các dự án có liên quan
- Nêu thông tin cơ bản về các dự án có liên quan (bao gồm dự án hỗ trợ và dự án cạnh tranh) có thể tác động về mặt doanh thu, lợi nhuận, chi phí... đến dự án được đề xuất; thuyết minh tác động tích cực cũng như ảnh hưởng tiêu cực của các dự án đó đối với dự án được đề xuất.
- Trường hợp lập BCNCKT của dự án thành phần, phân tích mối liên hệ với các dự án thành phần còn lại.
4. Lợi thế của việc đầu tư theo phương thức PPP
Phân tích chi tiết lợi thế đối với dự án khi đầu tư theo phương thức PPP so với hình thức đầu tư khác trên cơ sở các nội dung: Khả năng thu hút nguồn vốn, công nghệ, kinh nghiệm quản lý của khu vực tư nhân.
5. Kết quả tiếp thu ý kiến về tác động của việc đầu tư thực hiện dự án
- Tổng hợp ý kiến tham vấn về việc đầu tư thực hiện dự án của các cơ quan, tổ chức sau đây: Hội đồng nhân dân, Ủy ban nhân dân, Mặt trận Tổ Quốc Việt Nam cấp tỉnh nơi thực hiện dự án, đoàn đại biểu quốc hội tỉnh, thành phố nơi thực hiện dự án; hiệp hội nghề nghiệp liên quan đến lĩnh vực đầu tư.
- Nêu giải trình, tiếp thu ý kiến tham vấn của các cơ quan, tổ chức nói trên.
6. Khảo sát sự quan tâm của nhà đầu tư và bên cho vay
- Thuyết minh quá trình tổ chức khảo sát, nội dung khảo sát ý kiến nhà đầu tư, bên cho vay (nếu có).
- Phân tích kết quả khảo sát bao gồm: các nội dung của BCNCKT được điều chỉnh căn cứ kết quả khảo sát; số lượng nhà đầu tư, bên cho vay quan tâm dự án; danh sách ngắn nhà đầu tư đáp ứng yêu cầu của dự án có yếu tố đặc biệt cần áp dụng giải pháp đổi mới sáng tạo nhằm rút ngắn tiến độ và hoàn thành xây dựng công trình, hệ thống cơ sở hạ tầng trong một khoảng thời gian nhất định, đạt mức tiết kiệm năng lượng cao, bảo vệ môi trường đối với dự án thuộc nhóm có nguy cơ tác động xấu đến môi trường mức độ cao theo pháp luật về bảo vệ môi trường (nếu có).
II. THÔNG TIN CHI TIẾT VỀ DỰ ÁN
1. Mục tiêu của dự án
Xác định mục tiêu tổng thể và mục tiêu cụ thể của dự án, bao gồm:
- Mục tiêu tổng thể: Đóng góp của dự án vào việc thực hiện các mục tiêu chung của quốc gia; những lợi ích dự án đóng góp cho kinh tế - xã hội của quốc gia, địa phương và ngành, lĩnh vực.
- Mục tiêu cụ thể: Những vấn đề, thực trạng được giải quyết; số lượng đối tượng hưởng lợi từ dự án; quy mô, công suất dự án cần đạt được để đáp ứng nhu cầu sử dụng.
2. Quy mô, công suất của dự án
Phân tích nhu cầu sử dụng công trình, hệ thống cơ sở hạ tầng, sản phẩm, dịch vụ công trên cơ sở quy hoạch, dữ liệu khảo sát thực tiễn hoặc các số liệu dự báo; thuyết minh quy mô, công suất của dự án; trường hợp cần phân kỳ đầu tư, nêu rõ quy mô, công suất của từng thời kỳ cho phù hợp với dự báo về tăng trưởng nhu cầu.
3. Địa điểm thực hiện dự án
Mô tả địa điểm, khu đất thực hiện dự án trên cơ sở các nội dung sau: Phạm vi, diện tích đất sử dụng, hiện trạng khu đất được sử dụng, hành lang bảo vệ (nếu có), diện tích xây dựng công trình, lợi thế của địa điểm đối với dự án; kết quả khảo sát địa điểm thực hiện dự án (nếu tổ chức). Trường hợp xung quanh hoặc trong địa phận thực hiện dự án có các dự án hoặc công trình khác đang hoặc sắp triển khai, phân tích mức độ ảnh hưởng của các dự án đó đối với dự án đang được đề xuất.
4. Nhu cầu sử dụng đất, mặt nước và tài nguyên khác (nếu có)
Nêu diện tích, hiện trạng đất, mặt nước và tài nguyên khác (nếu có) được sử dụng để thực hiện dự án.
5. Phương án bồi thường, hỗ trợ, tái định cư
Trường hợp hiện trạng khu đất chưa được giải phóng, thuyết minh phương án bồi thường, hỗ trợ, tái định cư đối với dự án đang được đề xuất theo quy định hiện hành.
III. THUYẾT MINH VỀ KỸ THUẬT
1. Yêu cầu về phương án kỹ thuật, công nghệ, tiêu chuẩn chất lượng công trình, hệ thống cơ sở hạ tầng, sản phẩm, dịch vụ công được cung cấp
- Xác định các phương án kỹ thuật, công nghệ trên cơ sở quy mô, công suất của dự án; tiêu chuẩn chất lượng, định mức của ngành; tính sẵn có và khả năng ứng dụng thực tiễn của công nghệ; rủi ro về kỹ thuật, công nghệ (nếu có); yêu cầu về việc cung cấp nguyên liệu đầu vào chủ yếu cho các hoạt động sản xuất, kinh doanh.
- Nêu cụ thể các yêu cầu về kỹ thuật, chất lượng công trình, hệ thống cơ sở hạ tầng của dự án, sản phẩm, dịch vụ công cung cấp thông qua chỉ số đánh giá chất lượng thực hiện dự án về mặt kỹ thuật.
- Mô tả về phương án kỹ thuật, công nghệ được lựa chọn. Đây là cơ sở để tính toán tổng mức đầu tư của dự án. Nêu rõ việc nhà đầu tư được đề xuất phương án kỹ thuật, công nghệ khác đáp ứng chỉ số đánh giá chất lượng thực hiện dự án về mặt kỹ thuật và mang lại hiệu quả cao hơn cho dự án.
- Đối với dự án áp dụng loại hợp đồng O&M, căn cứ phân tích về hiện trạng công trình, hệ thống cơ sở hạ tầng thuộc dự án; máy móc, thiết bị và các loại tài sản khác có liên quan, thuyết minh yêu cầu về việc vận hành công trình, hệ thống cơ sở hạ tầng của dự án nhằm cung cấp sản phẩm, dịch vụ công.
- Trường hợp dự án sử dụng vốn đầu tư công làm phần vốn hỗ trợ xây dựng, nêu căn cứ, lý do, yêu cầu của kỹ thuật, tính chất công trình để thuyết minh phương thức quản lý và sử dụng nguồn vốn đầu tư công trong dự án PPP (tiểu dự án hoặc hạng mục).
- Trường hợp khảo sát thị trường về một số yêu cầu, tiêu chuẩn kỹ thuật thực hiện dự án, phân tích kết quả khảo sát và nêu các nội dung được tiếp thu sau khi khảo sát.
2. Thiết kế cơ sở (không áp dụng đối với hợp đồng O&M)
Nội dung thiết kế cơ sở trong BCNCKT được lập theo quy định của pháp luật về xây dựng (đối với dự án có cấu phần xây dựng) hoặc được lập theo quy định của pháp luật chuyên ngành (đối với dự án không có cấu phần xây dựng).
IV. PHÂN TÍCH HIỆU QUẢ KINH TẾ - XÃ HỘI CỦA DỰ ÁN; TÁC ĐỘNG VỀ MÔI TRƯỜNG, XÃ HỘI VÀ QUỐC PHÒNG, AN NINH
1. Xác định các yếu tố chi phí và lợi ích về mặt kinh tế - xã hội
Xác định chi tiết các yếu tố chi phí và lợi ích về mặt kinh tế - xã hội của dự án theo các nhóm yếu tố dưới đây:
- Nhóm yếu tố có thể định lượng và quy đổi được thành tiền (được sử dụng để tính toán các chỉ tiêu phân tích hiệu quả kinh tế - xã hội của dự án).
- Nhóm yếu tố có thể định lượng nhưng không định giá được (ví dụ: Lợi ích do cải thiện về môi trường, lợi ích do thúc đẩy tăng trưởng kinh tế, gia tăng việc làm...).
- Nhóm yếu tố chỉ có thể định tính (ví dụ: Lợi ích do tăng tính kết nối giữa các vùng sản xuất và đầu mối tiêu thụ, cải thiện chất lượng cuộc sống của người dân vùng dự án...).
2. Các chỉ tiêu phân tích hiệu quả kinh tế - xã hội của dự án
a) Giá trị hiện tại ròng kinh tế (ENPV)
ENPV là hiệu số giữa tổng lợi ích mang lại trừ đi tổng chi phí bỏ ra trong thời gian tính toán kinh tế, được quy đổi về hiện tại. Để đảm bảo dự án đạt hiệu quả kinh tế - xã hội, ENPV phải dương (>0) và được tính theo công thức sau:

Trong đó:
Bt: lợi ích năm thứ t;
Ct: chi phí năm thứ t;
t: năm trong vòng đời dự án (0, 1, 2,..., n);
n: số năm hoạt động của dự án (thời gian hợp đồng dự án);
re: tỷ suất chiết khấu kinh tế của dự án. Giá trị re được xác định theo quy định của từng ngành. Trường hợp chưa được quy định cụ thể thì đơn vị lập BCNCKT có thể tham khảo giá trị re=10% hoặc đề xuất giá trị tính toán khác nhưng cần có thuyết minh về lý do lựa chọn giá trị đó.
b) Tỷ số lợi ích trên chi phí về kinh tế (BCR)
BCR là tỷ số giữa tổng lợi ích mà việc đầu tư mang lại trên tổng chi phí bỏ ra trong quá trình đầu tư và khai thác đã được quy về giá trị hiện tại. Để đảm bảo dự án đạt hiệu quả kinh tế - xã hội, BCR phải lớn hơn 1 (>1) và được tính theo công thức sau:

Trong đó: Bt, Ct, t, n, re có ý nghĩa tương tự như trong công thức tính ENPV nêu trên.
c) Tỷ suất nội hoàn kinh tế (EIRR)
Tỷ suất nội hoàn kinh tế là tỷ suất chiết khấu kinh tế tối đa để dự án thu hồi nguồn vốn đầu tư và chi phí vận hành, đạt được sự hòa vốn. EIRR bằng giá trị tỷ suất chiết khấu (re) trong trường hợp ENPV = 0 và được xác định thông qua việc giải phương trình sau:
Trong đó: Bt, Ct, t, n có ý nghĩa tương tự như trong công thức tính ENPV nêu trên.
Để đảm bảo dự án đạt hiệu quả kinh tế - xã hội, EIRR phải lớn hơn tỷ suất chiết khấu xã hội (SDR - Social Discount Rate): EIRR > SDR. Giá trị SDR được xác định theo quy định của từng ngành. Trường hợp chưa được quy định cụ thể thì đơn vị lập BCNCKT có thể tham khảo giá trị SDR=10% hoặc đề xuất giá trị tính toán khác nhưng cần có thuyết minh về lý do lựa chọn giá trị đó.
3. Kết luận về hiệu quả kinh tế - xã hội của dự án
Trên cơ sở phân tích theo hướng dẫn nêu trên, BCNCKT nêu kết luận về hiệu quả kinh tế - xã hội của dự án.
Trường hợp không đủ điều kiện xác định các yếu tố chi phí và lợi ích có thể định lượng và quy đổi được thành tiền làm cơ sở để tính toán các chỉ tiêu phân tích hiệu quả kinh tế - xã hội của dự án, BCNCKT nêu kết luận về hiệu quả kinh tế - xã hội của dự án trên cơ sở các nhóm yếu tố còn lại.
4. Tác động môi trường, xã hội, quốc phòng, an ninh của dự án
- Lập hồ sơ đánh giá tác động môi trường theo pháp luật về bảo vệ môi trường. Trường hợp dự án sử dụng tài nguyên thiên nhiên làm yếu tố đầu vào chính (thuộc các lĩnh vực như năng lượng, điện, nước...), phân tích chi tiết về tác động của dự án đối với nguồn tài nguyên thiên nhiên và biện pháp giảm thiểu tác động tiêu cực.
- Thuyết minh yếu tố tác động đến xã hội trong quá trình thực hiện dự án như hỗ trợ tái định cư, bình đẳng giới, lao động, tạo việc làm... và các biện pháp giảm thiểu tác động tiêu cực.
- Trường hợp dự án có tác động về quốc phòng, an ninh quốc gia, bảo vệ bí mật nhà nước, phân tích chi tiết nội dung này căn cứ ý kiến của Bộ Quốc phòng, Bộ Công an hoặc Công an tỉnh, thành phố tại địa bàn thực hiện dự án tại bước quyết định chủ trương đầu tư dự án.
V. PHÂN TÍCH TÀI CHÍNH DỰ ÁN
1. Các thông số đầu vào sử dụng trong mô hình tài chính
- Chi phí trong suốt vòng đời dự án: Chi phí trong suốt vòng đời dự án gồm tổng mức đầu tư và chi phí khai thác, vận hành trong suốt vòng đời dự án. Trong đó, tổng mức đầu tư được xác định theo pháp luật về xây dựng đối với dự án có cấu phần xây dựng hoặc theo pháp luật khác có liên quan đối với dự án không có cấu phần xây dựng. Chi phí khai thác, vận hành trong suốt vòng đời dự án bằng các chi phí liên quan đến vận hành và bảo dưỡng công trình dự án; các chi phí nhân lực để vận hành và bảo dưỡng công trình dự án; chi phí quản lý dự án; chi phí tư vấn giám sát, dự phòng...
- Doanh thu: Xác định doanh thu của dự án qua từng năm (doanh thu ở mức căn bản, doanh thu ở mức tối đa và doanh thu ở mức tối thiểu) trên cơ sở các nội dung về dự báo nhu cầu; giá, phí sản phẩm, dịch vụ công và các khoản thu khác của dự án (xem xét cơ sở pháp lý để xác định giá, phí; dự kiến lộ trình tăng giá, phí).
- Các thông số đầu vào khác: Lãi vay, thời gian vay; tỷ lệ lạm phát; tỷ giá; tỷ lệ khấu hao và các thông số khác.
2. Phương án tài chính của dự án
Trình bày nội dung phương án tài chính (nội dung chi tiết thực hiện theo hướng dẫn của Chính phủ tại Nghị định quy định chi tiết cơ chế tài chính trong dự án PPP), bao gồm:
- Tổng mức đầu tư: Trên cơ sở các thuyết minh về kỹ thuật được lựa chọn, BCNCKT xác định tổng mức đầu tư của dự án.
- Cơ cấu nguồn vốn của nhà đầu tư/doanh nghiệp dự án (vốn chủ sở hữu, vốn vay và các nguồn vốn hợp pháp khác) và phương án huy động vốn giả định; thời gian vay, kỳ hạn phát hành trái phíếu doanh nghiệp (nếu có); chi phí huy động vốn: lãi suất vốn vay, lãi suất phát hành trái phíếu doanh nghiệp (nếu có) và chi phí cần thiết liên quan đến huy động vốn (nếu có);
- Vốn nhà nước tham gia trong dự án dự kiến (nếu có), cụ thể bao gồm:
+ Vốn hỗ trợ xây dựng công trình, hệ thống cơ sở hạ tầng thuộc dự án PPP: vốn đầu tư công, giá trị tài sản công (được xác định trong quyết định sử dụng tài sản công để tham gia dự án PPP theo quy định của pháp luật về quản lý, sử dụng tài sản công);
+ Vốn thanh toán (bao gồm phương thức thanh toán) cho nhà đầu tư thực hiện dự án áp dụng loại hợp đồng BTL, BLT;
+ Vốn nhà nước để chi trả kinh phí bồi thường, giải phóng mặt bằng, hỗ trợ tái định cư, hỗ trợ xây dựng công trình tạm.
- Phương án thu hồi vốn đầu tư và lợi nhuận của nhà đầu tư đối với dự án áp dụng loại hợp đồng BOT, BTO, BOO và O&M.
- Giá trị phần nộp ngân sách nhà nước đối với dự án áp dụng loại hợp đồng O&M.
- Thời hạn hợp đồng dự án. Đối với dự án áp dụng loại hợp đồng O&M, thời hạn hợp đồng dự án được xác định căn cứ yêu cầu về kỹ thuật, công nghệ của từng loại công trình, hệ thống cơ sở hạ tầng, thời gian cần sửa chữa định kỳ hoặc thời gian sử dụng công trình, hệ thống cơ sở hạ tầng theo quy định của pháp luật.
- Đề xuất ưu đãi đảm bảo phương án tài chính của dự án (nếu có).
- Dự kiến các khoản chi phí của dự án trong thời gian vận hành.
- Các thông số đầu vào, chỉ tiêu tài chính.
3. Dự báo nhu cầu
BCNCKT phân tích nhu cầu sử dụng công trình, hệ thống cơ sở hạ tầng của dự án, sản phẩm, dịch vụ công được cung cấp; dự báo tốc độ tăng trưởng nhu cầu trong tương lai, cụ thể:
- Phân tích nhu cầu hiện tại: Căn cứ hiện trạng dự án, quy mô, công suất dự án, xác định số lượng đối tượng hưởng lợi từ dự án.
- Dự báo nhu cầu tương lai: Xây dựng các kịch bản về nhu cầu (tối đa, trung bình, tối thiểu) trong suốt vòng đời dự án.
- Phân tích khả năng chi trả của cộng đồng người sử dụng, tổ chức bao tiêu đối với dự án áp dụng loại hợp đồng BOT, BTO, BOO, O&M.
4. Các chỉ tiêu tài chính xem xét tính khả thi của dự án
Căn cứ nội dung phương án tài chính và các thông số đầu vào của mô hình tài chính, tính khả thi về tài chính của dự án được xem xét trên cơ sở các chỉ tiêu tài chính sau:
- Giá trị hiện tại ròng tài chính (NPV) của dự án là giá trị hiện tại của đồng tiền thuần trong suốt vòng đời dự án. Để đảm bảo dự án đạt hiệu quả tài chính, NPV phải dương (>0) và được tính theo công thức sau:

Trong đó:
CFt: giá trị đồng tiền thuần là khoản chênh lệch giữa số tiền thu được (đồng tiền vào) và số tiền chi ra (đồng tiền ra) của dự án tại năm thứ t;
t: năm trong vòng đời dự án (0, 1, 2,..., n);
n: số năm hoạt động của dự án (thời gian hợp đồng dự án);
r: tỷ suất chiết khấu.
- Tỷ suất nội hoàn tài chính (IRR) cho biết lợi nhuận của dự án, không bao gồm cơ cấu huy động vốn. IRR là tỷ suất chiết khấu (r) tại điều kiện biên NPV=0 và được tính toán thông qua việc giải phương trình sau đây:

Trong đó: CFt, t, n có ý nghĩa tương tự như trong công thức tính NPV nêu trên.
Để đánh giá dự án khả thi về mặt tài chính, IRR của dự án sau khi tính toán cần được so sánh với các giá trị: (i) Chi phí vốn bình quân gia quyền của dự án (WACC); (ii) IRR của các dự án có tính chất tương tự, trong cùng lĩnh vực; (iii) IRR kỳ vọng tối thiểu của các nhà đầu tư tiềm năng đối với dự án. Dự án có tính khả thi về tài chính khi IRR lớn hơn giá trị (i) và phù hợp với các giá trị (ii), (iii). Ngoài ra, có thể sử dụng chỉ số khả năng trả nợ (DSCR) để đánh giá tính khả thi về tài chính đối với bên cho vay của dự án.
Căn cứ điều kiện cụ thể của từng dự án, BCNCKT bổ sung các chỉ tiêu đánh giá tính khả thi của phương án tài chính theo quy định tại Nghị định cơ chế quản lý tài chính dự án PPP.
5. Kết luận về tính khả thi tài chính của dự án
Trên cơ sở các phân tích tại các Mục nêu trên, căn cứ tính chất của từng loại hợp đồng dự án, nêu kết luận về tính khả thi tài chính của dự án.
6. Quản lý và sử dụng vốn nhà nước trong dự án PPP
Căn cứ kết quả phân tích hiệu quả kinh tế - xã hội và phương án tài chính của dự án, thuyết minh các nội dung có liên quan đến việc quản lý và sử dụng vốn nhà nước trong dự án PPP, bao gồm:
- Đối với dự án cần vốn hỗ trợ xây dựng công trình, hệ thống cơ sở hạ tầng thuộc dự án PPP: Nêu căn cứ pháp lý về việc cân đối và bố trí vốn đầu tư công trong kế hoạch đầu tư công trung hạn, dự kiến việc cân đối và bố trí trong kế hoạch đầu tư công hàng năm; nêu phương thức quản lý và sử dụng (tiểu dự án hoặc hạng mục), kế hoạch và tiến độ giải ngân nguồn vốn cho nhà đầu tư.
Trường hợp sử dụng tài sản công làm vốn nhà nước tham gia trong dự án, đơn vị chuẩn bị dự án xác định cụ thể thủ tục định giá tài sản công, phương thức, kế hoạch và tiến độ bàn giao hoặc chuyển nhượng tài sản công cho nhà đầu tư.
- Đối với dự án cần vốn thanh toán cho doanh nghiệp dự án PPP: Nêu sơ bộ nguồn vốn và khả năng cân đối (dự kiến về kế hoạch đầu tư công trung hạn và hàng năm đối với nguồn vốn đầu tư công hoặc kế hoạch vốn, dự toán chi đối với nguồn vốn hợp pháp khác theo quy định của pháp luật); phương thức, kế hoạch và tiến độ giải ngân nguồn vốn cho nhà đầu tư.
- Đối với dự án cần vốn nhà nước để chi trả kinh phí bồi thường, giải phóng mặt bằng, hỗ trợ tái định cư, hỗ trợ xây dựng công trình tạm: Căn cứ phương án bồi thường, hỗ trợ, tái định cư, nêu dự kiến về kế hoạch đầu tư công trung hạn và hàng năm; dự kiến kế hoạch và tiến độ giải ngân nguồn vốn.
VI. LOẠI HỢP ĐỒNG DỰ ÁN
1. Căn cứ lựa chọn loại hợp đồng cho dự án
BCNCKT xác định dự án thuộc nhóm hợp đồng áp dụng cơ chế thu phí trực tiếp từ người sử dụng hoặc tổ chức bao tiêu sản phẩm, dịch vụ công hoặc nhóm hợp đồng áp dụng cơ chế Nhà nước thanh toán trên cơ sở chất lượng sản phẩm, dịch vụ công, căn cứ thuyết minh về các nội dung sau:
- Phương án kỹ thuật, công nghệ;
- Phương án tài chính (dự báo nhu cầu, nguồn thu và khả năng thu hồi vốn cho nhà đầu tư, thời gian hoàn vốn và thời hạn hợp đồng dự án, khả năng chi trả của cộng đồng người sử dụng, tổ chức bao tiêu đối với dự án áp dụng loại hợp đồng BOT, BTO, BOO, O&M).
2. Trách nhiệm của các bên trong việc thực hiện hợp đồng dự án
Thuyết minh chi tiết về vai trò, trách nhiệm trong suốt vòng đời dự án của các bên có liên quan, bao gồm: Cơ quan có thẩm quyền, nhà đầu tư, doanh nghiệp dự án và các tổ chức khác có liên quan (bên cho vay, đơn vị cung ứng đầu vào, đơn vị bao tiêu sản phẩm, nhà thầu...).
3. Phân tích các rủi ro chính của dự án
Mô tả và đánh giá các rủi ro chính trong suốt vòng đời dự án như: Rủi ro về pháp lý (thay đổi chính sách, pháp luật), rủi ro về quyền sử dụng đất, rủi ro về môi trường, rủi ro về kỹ thuật, công nghệ được lựa chọn, rủi ro về thiết kế và xây dựng, rủi ro về tài khóa (ngân sách trung ương, địa phương, khả năng cung cấp bảo lãnh, bảo đảm không dẫn đến các khoản nợ ngoài dự kiến cho phía Nhà nước), rủi ro về doanh thu (nhu cầu của thị trường, lưu lượng...), rủi ro vận hành...
4. Cơ chế phân bổ và quản lý rủi ro
Thuyết minh cụ thể cơ chế phân bổ, quản lý rủi ro (bao gồm các biện pháp giảm thiểu rủi ro), trách nhiệm giữa cơ quan có thẩm quyền và đối tác tư nhân (nhà đầu tư, doanh nghiệp dự án, bên cho vay...) trong quá trình thực hiện dự án.
VII. CÁC HÌNH THỨC ƯU ĐÃI, BẢO ĐẢM ĐẦU TƯ
1. Ưu đãi, bảo đảm đầu tư
Thuyết minh chi tiết về các đề xuất ưu đãi đầu tư (bao gồm ưu đãi đặc thù của ngành, lĩnh vực hoặc của địa phương), các loại hình bảo lãnh, bảo đảm của Chính phủ và điều kiện kèm theo cũng như các nghĩa vụ cần thiết khác trong thời gian thực hiện hợp đồng dự án.
2. Cơ chế chia sẻ phần giảm doanh thu
Nêu rõ việc dự án được áp dụng cơ chế chia sẻ rủi ro; nguồn vốn và khả năng cân đối nguồn vốn để xử lý rủi ro từ dự phòng ngân sách trung ương hay địa phương theo quyết định chủ trương đầu tư.
VIII. QUẢN LÝ THỰC HIỆN DỰ ÁN
1. Hình thức, cơ cấu tổ chức quản lý thực hiện dự án PPP
Thuyết minh hình thức, cơ cấu tổ chức quản lý thực hiện dự án của cơ quan có thẩm quyền, nhà đầu tư, doanh nghiệp dự án đối với từng giai đoạn cụ thể; phương thức để cơ quan có thẩm quyền phối hợp với nhà đầu tư, doanh nghiệp dự án trong quá trình thực hiện dự án.
Đối với dự án có cấu phần xây dựng, nhà đầu tư, doanh nghiệp dự án lựa chọn hình thức quản lý dự án theo quy định của pháp luật về xây dựng. Đối với dự án không có cấu phần xây dựng, hình thức quản lý dự án theo quy định của pháp luật khác có liên quan.
2. Nội dung quản lý thực hiện dự án
Thuyết minh các nội dung quản lý thực hiện dự án bao gồm nội dung và phương thức giám sát chất lượng công trình; giám sát thực hiện hợp đồng dự án, đảm bảo cung cấp sản phẩm, dịch vụ công ổn định, liên tục; phương thức nhà đầu tư thực hiện kinh doanh, khai thác công trình, hệ thống cơ sở hạ tầng, cung cấp sản phẩm, dịch vụ công.
Xác định các chỉ số đánh giá chất lượng thực hiện dự án trên các khía cạnh: Kỹ thuật, vận hành, môi trường, xã hội, tài chính, tiến độ... làm cơ sở xây dựng hồ sơ mời thầu, hồ sơ yêu cầu, hợp đồng dự án và giám sát chất lượng công trình dự án, sản phẩm, dịch vụ công mà nhà đầu tư, doanh nghiệp dự án cung cấp.
IX. KẾ HOẠCH TỔ CHỨC THỰC HIỆN DỰ ÁN
1. Tổ chức lựa chọn nhà đầu tư (không áp dụng đối với dự án ứng dụng công nghệ cao, công nghệ mới)
- Tên bên mời thầu.
- Hình thức lựa chọn nhà đầu tư: Căn cứ kết quả khảo sát sự quan tâm của nhà đầu tư hoặc ý kiến chỉ đạo của Thủ tướng Chính phủ đối với dự án cần bảo đảm yêu cầu về quốc phòng, an ninh quốc gia, bảo vệ bí mật nhà nước, xác định hình thức lựa chọn nhà đầu tư theo quy định tại Điều 34 của Nghị định này.
- Thời gian tổng thể và các mốc thời gian dự kiến tổ chức lựa chọn nhà đầu tư (dạng bảng theo dõi tiến độ).
2. Kế hoạch thực hiện hợp đồng dự án
- Đề xuất cơ quan thực hiện việc ký kết và thực hiện hợp đồng.
- Thời gian đàm phán và ký kết hợp đồng dự án với nhà đầu tư, doanh nghiệp dự án; đóng tài chính của dự án và hợp đồng dự án bắt đầu có hiệu lực.
- Thời gian thực hiện hợp đồng dự án (bao gồm thời điểm chấm dứt hợp đồng dự án). Trường hợp dự án có cấu phần xây dựng, xác định cụ thể thời gian xây dựng công trình, thời gian vận hành và chuyển giao công trình.
- Trường hợp dự án phải phân kỳ để giảm sự phức tạp của việc đầu tư hoặc tăng tính khả thi về tài chính và sự hấp dẫn của dự án, BCNCKT phân tích nguyên nhân, dự kiến kế hoạch phân kỳ và trình bày các phương pháp thực hiện.
Đ. KẾT LUẬN VÀ KIẾN NGHỊ
Trình bày các nội dung kết luận chính của BCNCKT đã được phân tích ở trên, phù hợp, khả thi để triển khai đầu tư theo phương thức PPP. Theo đó, đưa ra kiến nghị cấp có thẩm quyền phê duyệt dự án hoặc các kiến nghị khác (nếu có).
Mẫu số 02
BÁO CÁO THẨM ĐỊNH
BÁO CÁO NGHIÊN CỨU KHẢ THI DỰ ÁN PPP
____________
Căn cứ tính chất, quy mô, lĩnh vực và nội dung của báo cáo nghiên cứu khả thi (BCNCKT), báo cáo thẩm định BCNCKT được thực hiện theo các nội dung hướng dẫn dưới đây. Đối với BCNCKT do nhà đầu tư lập, cần xem xét các yếu tố khác mà nhà đầu tư thuyết minh. Hội đồng thẩm định cần đưa ra ý kiến nhận xét cụ thể đối với từng nội dung và đề xuất phương án giải quyết trường hợp có nội dung chưa đồng thuận hoặc cần bổ sung, hoàn thiện với đơn vị chuẩn bị dự án hoặc nhà đầu tư lập BCNCKT. Trường hợp áp dụng Mẫu này để thẩm định các nội dung điều chỉnh BCNCKT, Hội đồng thẩm định hoặc đơn vị được giao nhiệm vụ thẩm định sắp xếp, lựa chọn các nội dung phù hợp.
A. KHÁI QUÁT VỀ DỰ ÁN
Trình bày thông tin khái quát về dự án, bao gồm:
1. Tên dự án.
2. Tên cơ quan nhà nước có thẩm quyền; cơ quan ký kết hợp đồng.
3. Tên đơn vị chuẩn bị dự án hoặc nhà đầu tư đề xuất dự án.
4. Địa điểm, quy mô, công suất dự án, diện tích sử dụng đất.
5. Yêu cầu về kỹ thuật.
6. Tổng mức đầu tư.
7. Vốn nhà nước trong dự án PPP (nếu có).
8. Loại hợp đồng dự án.
9. Các chỉ tiêu chính thuộc phương án tài chính.
10. Thời gian thực hiện dự án.
11. Ưu đãi và bảo đảm đầu tư.
12. Tên mời thầu, hình thức lựa chọn nhà đầu tư và thời gian tổ chức lựa chọn nhà đầu tư (không áp dụng đối với dự án ứng dụng công nghệ cao, công nghệ mới)
B. TỔNG HỢP Ý KIẾN CỦA CÁC THÀNH VIÊN HỘI ĐỒNG THẨM ĐỊNH/CƠ QUAN, ĐƠN VỊ CÓ LIÊN QUAN
Tổng hợp ý kiến thẩm định của các thành viên Hội đồng thẩm định đối với hồ sơ BCNCKT của dự án, trong đó nêu rõ thành viên chủ trì thẩm định các nội dung cụ thể tại Mục C của Báo cáo này. Trường hợp không thành lập Hội đồng thẩm định, đơn vị được giao chủ trì thẩm định tổng hợp ý kiến các cơ quan, đơn vị có liên quan tại Mục này.
C. TỔNG HỢP KẾT QUẢ THẨM ĐỊNH
I. KIỂM TRA HỒ SƠ
Đánh giá về tính đầy đủ về thành phần, nội dung hồ sơ.
II. THẨM ĐỊNH VỀ NỘI DUNG CỦA HỒ SƠ
1. Sự phù hợp với căn cứ pháp lý
Đánh giá sự phù hợp của BCNCKT với các văn bản pháp lý có liên quan.
2. Sự cần thiết đầu tư dự án
Đánh giá sự phù hợp của BCNCKT đối với một số nội dung sau:
- Quy hoạch, kế hoạch phát triển ngành, vùng, kế hoạch phát triển kinh tế - xã hội của địa phương.
- Sự cần thiết đầu tư dự án.
- Tác động của việc thực hiện dự án đối với cộng đồng, dân cư trong phạm vi dự án. (căn cứ kết quả tiếp thu ý kiến về tác động của việc thực hiện dự án của Hội đồng nhân dân, Ủy ban nhân dân, Mặt trận Tổ quốc Việt Nam cấp tỉnh nơi thực hiện dự án, hiệp hội nghề nghiệp liên quan đến lĩnh vực đầu tư.
- Sự phù hợp của các mục tiêu tổng thể và mục tiêu cụ thể đối với hiện trạng của ngành, lĩnh vực hoặc địa phương, khả năng giải quyết các vấn đề mà cộng đồng dân cư yêu cầu.
- Lợi thế của việc đầu tư dự án theo phương thức PPP so với các hình thức đầu tư khác.
- Mức độ ảnh hưởng của các dự án có liên quan.
3. Tính khả thi của dự án
a) Thẩm định tính khả thi về mặt kỹ thuật
- Các yêu cầu về mặt kỹ thuật: Xem xét sự phù hợp của phương án kỹ thuật, công nghệ với quy mô, công suất của dự án, các tiêu chuẩn, định mức và yêu cầu kỹ thuật đầu vào; tính sẵn có và khả năng ứng dụng thực tiễn của công nghệ được lựa chọn; tính rõ ràng, đầy đủ của việc xác định các rủi ro kỹ thuật chính, tính hợp lý của phương án giảm thiểu các rủi ro đó; tính thực tiễn của các chỉ số đánh giá chất lượng thực hiện dự án về mặt kỹ thuật.
- Trường hợp dự án sử dụng vốn đầu tư công làm vốn hỗ trợ xây dựng công trình, hệ thống cơ sở hạ tầng, xem xét sự phù hợp của thuyết minh về các yêu cầu kỹ thuật dẫn đến phương thức quản lý và sử dụng phần vốn này (tiểu dự án hoặc hạng mục).
- Thiết kế cơ sở: Tổng hợp ý kiến thẩm định của cơ quan chuyên môn về xây dựng theo pháp luật xây dựng đối với dự án có cấu phần xây dựng hoặc cơ quan chuyên môn theo quy định của pháp luật chuyên ngành đối với dự án không có cấu phần xây dựng.
- Các yếu tố đầu vào cung ứng cho dự án: Xem xét sự phù hợp của khả năng cung cấp nguyên liệu đầu vào chủ yếu cho các hoạt động sản xuất, kinh doanh của dự án, căn cứ quy mô, công suất theo phân kỳ đầu tư (nếu có).
- Các yếu tố đầu ra của dự án: Xem xét sự phù hợp của các yếu tố đầu ra với quy mô, công suất, nhu cầu sử dụng công trình, hệ thống cơ sở hạ tầng, sản phẩm, dịch vụ công cung cấp; xem xét tính phù hợp của các chỉ số đánh giá chất lượng thực hiện dự án được trình bày trong BCNCKT.
b) Hiệu quả kinh tế - xã hội của dự án
- Đóng góp của dự án cho các nhiệm vụ phát triển kinh tế - xã hội: Xem xét tính hợp lý của các nhóm yếu tố chi phí, lợi ích về mặt kinh tế - xã hội và các chỉ tiêu kinh tế (Giá trị hiện tại ròng kinh tế - ENPV, tỷ số lợi ích trên chi phí về kinh tế - BCR; tỷ suất nội hoàn kinh tế - EIRR). Dự án đạt hiệu quả kinh tế - xã hội khi các chỉ tiêu kinh tế nêu trên đáp ứng yêu cầu sau:
ENPV phải dương (>0); BCR lớn hơn 1 (>1); EIRR lớn hơn tỷ suất chiết khấu xã hội (SDR).
- Tác động của dự án đối với môi trường: Hồ sơ đánh giá tác động môi trường của dự án phải được lập và phê duyệt phù hợp với quy định hiện hành của pháp luật về bảo vệ môi trường. Hội đồng thẩm định tổng hợp ý kiến thẩm định của cơ quan chuyên môn theo quy định của pháp luật về môi trường đối với hồ sơ nêu trên.
- Tác động của dự án đối với xã hội: Xem xét sự phù hợp của các tác động được thuyết minh trong BCNCKT đối với các nhóm đối tượng khác nhau trong xã hội, cộng đồng địa phương, những nhóm đối tượng thiệt thời không có khả năng chi trả giá hoặc phí đối với sản phẩm, dịch vụ công của dự án như: phụ nữ, người nghèo, người tàn tật...
- Tác động của dự án đối với quốc phòng, an ninh (nếu có): Trường hợp dự án có liên quan đến các vấn đề quốc phòng, an ninh, xem xét sự phù hợp của các tác động và biện pháp giảm thiểu được trình bày trong BCNCKT.
c) Tính khả thi về mặt tài chính
- Đánh giá tính hợp lý của các yếu tố tài chính đầu vào, các chỉ tiêu tài chính (Giá trị hiện tại ròng tài chính - NPV; Tỷ suất nội hoàn tài chính - IRR) và phương án tài chính sơ bộ của dự án. Dự án đạt hiệu quả tài chính khi:
- NPV dương (>0).
- IRR lớn hơn giá trị (i) chi phí vốn bình quân gia quyền của dự án WACC và phù hợp với các giá trị: (ii) IRR của các dự án có tính chất tương tự, trong cùng lĩnh vực; (iii) IRR kỳ vọng tối thiểu của các nhà đầu tư tiềm năng đối với dự án.
- Vốn nhà nước tham gia trong dự án:
+ Xem xét sự phù hợp của giá trị phần vốn, số vốn được bố trí trong kế hoạch đầu tư công trung hạn đối với vốn đầu tư công;
- Sự phù hợp của giá trị và mục đích sử dụng tài sản công được xác định trong quyết định sử dụng tài sản công để tham gia dự án PPP theo quy định của pháp luật về quản lý, sử dụng tài sản công hoặc vốn từ nguồn thu để lại từ hoạt động cung cấp dịch vụ công để thanh toán cho nhà đầu tư hoặc kế hoạch vốn, dự toán chi đối với vốn từ nguồn chi thường xuyên, phương thức, kế hoạch và tiến độ giải ngân cho nhà đầu tư.
+ Xem xét khả năng bảo đảm không dẫn đến các khoản nợ tài chính ngoài dự kiến cho phía Nhà nước.
- Sự phù hợp của các hình thức ưu đãi, bảo đảm đầu tư; nguồn vốn và khả năng cân đối nguồn vốn để xử lý rủi ro từ dự phòng ngân sách trung ương hay địa phương theo quyết định chủ trương đầu tư.
4. Sự phù hợp của loại hợp đồng dự án
Đánh giá sự phù hợp của loại hợp đồng dự án căn cứ các nội dung sau:
- Nguồn thu và khả năng thu hồi vốn cho nhà đầu tư.
- Thời gian hoàn vốn và thời hạn hợp đồng dự án.
- Tính hợp lý trong việc phân chia trách nhiệm của các bên trong quá trình triển khai dự án.
- Các rủi ro chính của dự án được xác định đầy đủ và phù hợp trong các kịch bản tài chính.
- Khả năng xảy ra các rủi ro và mức độ ảnh hưởng đối với dự án được xác định cụ thể và phù hợp.
- Các biện pháp giảm thiểu rủi ro được xác định phù hợp.
5. Sự phù hợp của các nội dung về lựa chọn nhà đầu tư (không áp dụng đối với dự án ứng dụng công nghệ cao, công nghệ mới)
Đánh giá kết quả khảo sát sự quan tâm của nhà đầu tư được trình bày tại BCNCKT.
Xem xét sự phù hợp của hình thức lựa chọn nhà đầu tư được đề xuất, bao gồm:
+ Đấu thầu rộng rãi trong nước, quốc tế, có sơ tuyển, không sơ tuyển;
+ Đàm phán cạnh tranh theo quy định tại khoản 1 Điều 38 của Luật PPP; xem xét danh sách nhà đầu tư đáp ứng yêu cầu thực hiện dự án.
+ Chỉ định nhà đầu tư theo quy định tại điểm a khoản 1 Điều 39 của Luật PPP.
6. Sự phù hợp của kế hoạch triển khai dự án, cơ chế giám sát và quản lý dự án
Xem xét và có ý kiến cụ thể về sự phù hợp của kế hoạch tổ chức triển khai dự án (bao gồm cả đánh giá khả năng tổ chức triển khai dự án của cơ quan ký kết hợp đồng và bên mời thầu), cơ chế giám sát và quản lý dự án được trình bày trong BCNCKT.
D. NHẬN XÉT VÀ KIẾN NGHỊ
Trên cơ sở các phân tích nêu trên, nhận xét tổng quát về BCNCKT và nêu rõ kiến nghị theo một trong hai trường hợp sau đây:
1. Trường hợp BCNCKT phù hợp với quy định của pháp luật và được đánh giá là khả thi để triển khai đầu tư theo phương thức PPP, kiến nghị cấp có thẩm quyền phê duyệt dự án.
2. Trường hợp không thống nhất với nội dung của BCNCKT, báo cáo cấp có thẩm quyền xem xét, quyết định theo một trong hai phương án sau:
+ Phương án 1: Yêu cầu đơn vị chuẩn bị dự án, nhà đầu tư điều chỉnh BCNCKT.
+ Phương án 2: Không phê duyệt BCNCKT.
Mẫu số 03
|
CƠ QUAN RA QUYẾT ĐỊNH Số: ………… |
CỘNG HÒA XÃ HỘI CHỦ NGHĨA VIỆT NAM Địa điểm, ngày …. tháng …. năm …… |
QUYẾT ĐỊNH
Về phê duyệt dự án…. theo phương thức đối tác công tư (PPP)
__________
THỦ TRƯỞNG CƠ QUAN RA QUYẾT ĐỊNH PHÊ DUYỆT DỰ ÁN
Căn cứ Luật Đầu tư theo phương thức đối tác công tư ngày 18 tháng 6 năm 2020;
Căn cứ Nghị định số /2021/NĐ-CP ngày tháng năm 2021 của Chính phủ quy định chi tiết và hướng dẫn thi hành một số điều của Luật Đầu tư theo phương thức đối tác công tư;
Căn cứ.... quy định chức năng, nhiệm vụ, quyền hạn và tổ chức bộ máy của...;
Căn cứ tờ trình đề nghị phê duyệt dự án và hồ sơ kèm theo do …… nộp ngày ….. và hồ sơ bổ sung nộp ngày .... (nếu có);
Căn cứ báo cáo thẩm định của …………. ngày ………… tháng …….. năm…………;
QUYẾT ĐỊNH:
Điều 1. Phê duyệt Dự án (tên dự án) với các nội dung sau:
1. Mục tiêu dự án
2. Quy mô, địa điểm thực hiện dự án
3. Thời gian thực hiện dự án
4. Diện tích mặt đất, mặt nước sử dụng; nhu cầu sử dụng tài nguyên khác (nếu có)
5. Loại hợp đồng dự án PPP
6. Tổng mức đầu tư của dự án
7. Cơ cấu nguồn vốn: Vốn nhà đầu tư, doanh nghiệp dự án PPP chịu trách nhiệm thu xếp (vốn chủ sở hữu, vốn vay và các nguồn vốn hợp pháp khác); vốn nhà nước trong dự án PPP (nếu có)
8. Vốn nhà nước trong dự án PPP (nếu có), bao gồm:
a) Vốn hỗ trợ xây dựng công trình, hệ thống cơ sở hạ tầng: Giá trị, tiến độ thanh toán, tỷ lệ thanh toán theo tiến độ, phương thức quản lý và sử dụng
b) Vốn chi trả kinh phí bồi thường, giải phóng mặt bằng, hỗ trợ tái định cư, hỗ trợ xây dựng công trình tạm: Giá trị, tiến độ thanh toán, tỷ lệ thanh toán theo tiến độ, phương thức quản lý và sử dụng.
c) Giá trị vốn nhà nước tại điểm a và điểm b nêu trên chiếm tỷ lệ ...% tổng mức đầu tư.
d) Chi phí lập, thẩm định báo cáo nghiên cứu tiền khả thi, báo cáo nghiên cứu khả thi; dự kiến chi phí tổ chức lựa chọn nhà đầu tư.
9. Giá, phí sản phẩm, dịch vụ công: (đối với dự án áp dụng cơ chế thu phí trực tiếp từ người sử dụng)
10. Tên cơ quan có thẩm quyền, cơ quan ký kết hợp đồng, bên mời thầu; tên nhà đầu tư đề xuất dự án (trường hợp dự án do nhà đầu tư đề xuất)
11. Hình thức lựa chọn nhà đầu tư; thời gian tổ chức lựa chọn nhà đầu tư (trường hợp dự án được cơ quan có thẩm quyền cho phép tổ chức sơ tuyến trước khi phê duyệt dự án, nêu rõ việc đã thực hiện sơ tuyển); danh sách ngắn được mời vào trao đổi, đàm phán về nội dung hồ sơ mời thầu (đối với dự án áp dụng đàm phán cạnh tranh quy định tại khoản 1 Điều 38 của Luật PPP); cơ chế ưu đãi trong lựa chọn nhà đầu tư cho nhà đầu tư đề xuất dự án:
Điều 2. Tổ chức thực hiện
1. Cơ quan (Tên cơ quan có thẩm quyền hoặc bên mời thầu) chịu trách nhiệm:
a) Chủ trì, phối hợp với các cơ quan liên quan hoàn thiện hồ sơ mời thầu, trình cấp có thẩm quyền xem xét, phê duyệt làm cơ sở để lựa chọn nhà đầu tư.
b) Tổ chức lựa chọn nhà đầu tư theo đúng quy định của pháp luật;
c) Các nội dung khác (nếu có).
2. Trách nhiệm của các cơ quan liên quan khác (nếu có)
Điều 3. Điều khoản thi hành
1. Cơ quan (Tên cơ quan có thẩm quyền, đơn vị chuẩn bị dự án, bên mời thầu) và các cơ quan liên quan khác chịu trách nhiệm thi hành Quyết định này.
2. Cơ quan …………….. chịu trách nhiệm kiểm tra, giám sát việc thực hiện Quyết định này báo cáo cơ quan (Tên cơ quan quyết định phê duyệt dự án) theo quy định của pháp luật.
|
Nơi nhận: |
ĐẠI DIỆN CƠ QUAN |
Các mẫu đơn, mẫu tờ khai này được sửa đổi, bổ sung bởi Phụ lục II Quyết định số 1643/QĐ-BKHĐT theo quy định tại Khoản 1 Điều 1.
Bạn chưa Đăng nhập thành viên.
Đây là tiện ích dành cho tài khoản thành viên. Vui lòng Đăng nhập để xem chi tiết. Nếu chưa có tài khoản, vui lòng Đăng ký tại đây!
Bạn chưa Đăng nhập thành viên.
Đây là tiện ích dành cho tài khoản thành viên. Vui lòng Đăng nhập để xem chi tiết. Nếu chưa có tài khoản, vui lòng Đăng ký tại đây!