- Tổng quan
- Nội dung
- Tiêu chuẩn liên quan
- Lược đồ
- Tải về
Tiêu chuẩn Quốc gia TCVN 6567:2006 Động cơ cháy do nén, động cơ cháy cưỡng bức trên ô tô
| Số hiệu: | TCVN 6567:2006 | Loại văn bản: | Tiêu chuẩn Việt Nam |
| Cơ quan ban hành: | Bộ Khoa học và Công nghệ | Lĩnh vực: | Giao thông |
|
Ngày ban hành:
Ngày ban hành là ngày, tháng, năm văn bản được thông qua hoặc ký ban hành.
|
2006 |
Hiệu lực:
|
Đang cập nhật |
| Người ký: | Đang cập nhật |
Tình trạng hiệu lực:
Cho biết trạng thái hiệu lực của văn bản đang tra cứu: Chưa áp dụng, Còn hiệu lực, Hết hiệu lực, Hết hiệu lực 1 phần; Đã sửa đổi, Đính chính hay Không còn phù hợp,...
|
Đã biết
|
TÓM TẮT TIÊU CHUẨN VIỆT NAM TCVN 6567:2006
Nội dung tóm tắt đang được cập nhật, Quý khách vui lòng quay lại sau!
Tải tiêu chuẩn Việt Nam TCVN 6567:2006
TIÊU CHUẨN QUỐC GIA
TCVN 6567 : 2006
PHƯƠNG TIỆN GIAO THÔNG ĐƯỜNG BỘ - ĐỘNG CƠ CHÁY DO NÉN, ĐỘNG CƠ CHÁY CƯỠNG BỨC SỬ DỤNG KHÍ DẦU MỎ HÓA LỎNG VÀ ĐỘNG CƠ SỬ DỤNG KHÍ THIÊN NHIÊN LẮP TRÊN ÔTÔ - YÊU CẦU VÀ PHƯƠNG PHÁP THỬ KHÍ THẢI Ô NHIỄM TRONG PHÊ DUYỆT KIỂU
Road vehicles - Compression ignition engines, positive - ignition engines fuelled with liquefied petroleum gas and natural gas engines equipped for automobiles - Requirements and test method of emission of pollutants in type approval
Lời nói đầu
TCVN 6567 : 2006 thay thế TCVN 6567:1999.
TCVN 6567 : 2006 được biên soạn trên cơ sở quy định của ECE 49-02/S2/C2 và ECE 49-03.
TCVN 6567 : 2006 do Ban kỹ thuật tiêu chuẩn TCVN/TC 22 "Phương tiện giao thông đường bộ" biên soạn, Tổng cục Tiêu chuẩn Đo lường Chất lượng đề nghị, Bộ Khoa học và Công nghệ ban hành.
Tiêu chuẩn này được chuyển đổi năm 2008 từ Tiêu chuẩn Việt Nam cùng số hiệu thành Tiêu chuẩn Quốc gia theo quy định tại Khoản 1 Điều 69 của Luật Tiêu chuẩn và Quy chuẩn kỹ thuật và điểm a khoản 1 Điều 6 Nghị định số 127/2007/NĐ-CP ngày 1/8/2007 của Chính phủ quy định chi tiết thi hành một số điều của Luật Tiêu chuẩn và Quy chuẩn kỹ thuật.
PHƯƠNG TIỆN GIAO THÔNG ĐƯỜNG BỘ - ĐỘNG CƠ CHÁY DO NÉN, ĐỘNG CƠ CHÁY CƯỠNG BỨC SỬ DỤNG KHÍ DẦU MỎ HÓA LỎNG VÀ ĐỘNG CƠ SỬ DỤNG KHÍ THIÊN NHIÊN LẮP TRÊN ÔTÔ - YÊU CẦU VÀ PHƯƠNG PHÁP THỬ KHÍ THẢI Ô NHIỄM TRONG PHÊ DUYỆT KIỂU
Road vehicles - Compression ignition engines, positive - ignition engines fuelled with liquefied petroleum gas and natural gas engines equipped for automobiles - Requirements and test method of emission of pollutants in type approval
1. Phạm vi áp dụng
Tiêu chuẩn này quy định yêu cầu và phương pháp thử các chất khí và hạt gây ô nhiễm trong khí thải của các động cơ cháy do nén (động cơ điêzen..., sau đây gọi tắt là động cơ CI), động cơ sử dụng khí thiên nhiên (khí thiên nhiên sau đây gọi tắt là NG) và động cơ cháy cưỡng bức sử dụng khí dầu mỏ hóa lỏng (khí dầu mỏ hóa lỏng sau đây gọi tắt là LPG) được sử dụng trên ôtô có vận tốc thiết kế trên 25km/h thuộc các loại M1 có khối lượng toàn bộ trên 3,5 tấn, M2, M3, N1, N2 và N3 trong phê duyệt kiểu xe cơ giới sản xuất, lắp ráp.
Tiêu chuẩn này có hai phần được trình bày riêng trong từng điều có liên quan:
- Phần I: Kiểm tra khí thải theo mức EURO 1 và EURO 2.
- Phần II: Kiểm tra khí thải theo mức EURO 3 và EURO 4.
2. Tài liệu viện dẫn
TCVN 6565:2006 Phương tiện giao thông đường bộ - Khí thải nhìn thấy được (khói) từ động cơ cháy do nén - Yêu cầu và phương pháp thử trong phê duyệt kiểu.
TCVN 6785:2006 Phương tiện giao thông đường bộ - Phát thải chất gây ô nhiễm từ ô tô theo nhiên liệu dùng cho động cơ - Yêu cầu và phương pháp thử trong phê duyệt kiểu.
ISO 5725:1994 Accuracy (trueness and precision) of measurement methods and results - Part 1 to Part 6 (Độ chính xác (tính đúng và ổn định) của các phương pháp đo và kết quả đo - Phần 1 đến Phần 6).
ISO 11614 : 1999 Reciprocating internal combustion compression-ignition engines - Apparatus for measurement of the opacity and for determination of the light absorption coefficient of exhaust gas (Động cơ đốt trong cháy do nén kiểu pittông - Thiết bị đo độ khói và xác định hệ số hấp thụ ánh sáng của khí thải).
ECE 85 Uniform provisions concerning the approval of internal combustion engines or electric drive trains intended for propulsion of motor vehicles of categories M and N with the regard to the measurement of net power and the maximum 30 minutes power electric drive trains (Quy định thống nhất về phê duyệt kiểu động cơ đốt trong hoặc động cơ điện lắp trên ô tô loại M và N trong việc do công suất động cơ hữu ích và công suất lớn nhất trong 30 phút của động cơ điện).
3. Thuật ngữ định nghĩa và chữ viết tắt
3.1. Kiểu động cơ (engine type)
Một loại động cơ mà trong đó các động cơ có cùng những đặc điểm chủ yếu được xác định trong Phụ lục A (áp dụng cho Phần I) và Phụ lục C (áp dụng cho Phần II) của tiêu chuẩn này.
3.2. Kiểu ô tô (vehicle type)
Một loại ô tô mà trong đó các ô tô có cùng những đặc điểm chủ yếu của động cơ và ô tô được xác định trong Phụ lục A của tiêu chuẩn này.
3.3. Phê duyệt kiểu ô tô (approval of a vehicle)
Sự phê duyệt kiểu ô tô về mức phát thải các chất khí và hạt gây ô nhiễm do động cơ ô tô.
3.4. Phê duyệt kiểu động cơ/họ động cơ (approval of an engine/engine family)
Sự phê duyệt kiểu của động cơ hoặc của họ động cơ về mức phát thải các chất khí và hạt gây ô nhiễm do động cơ ô tô.
3.5. Động cơ cháy do nén (compression ignition (C.I.) engine)
Động cơ làm việc theo nguyên lý cháy do nén, sau đây gọi tắt là động cơ C.I. (ví dụ, động cơ Điêzen).
3.6. Động cơ điêzen (diesel engine)
Một loại động cơ làm việc theo nguyên lý cháy do nén
3.7. Động cơ nhiên liệu khí (gas engine)
Động cơ sử dụng nhiên liệu là NG hoặc LPG.
3.8. Họ động cơ (engine family)
Một nhóm động cơ của các nhà sản xuất mà qua thiết kế của chúng như được xác định trong Phụ lục C2 của Phụ lục C, chúng có các đặc điểm khí thải tương tự nhau; tất cả các động cơ trong họ phải phù hợp với các giá trị giới hạn khí thải thích hợp.
3.9. Động cơ gốc (parent engine)
Động cơ được chọn từ một họ động cơ sao cho các đặc điểm khí thải của nó sẽ đại diện cho họ động cơ đó.
3.10. Chất khí gây ô nhiễm (gaseous pollutants)
Cacbon mônôxit, hydrocacbon (có công thức hóa học là C1H1,85 đối với động cơ C.I., C1H3,76 đối với động cơ N.G. và C1H2.61 đối với động cơ LPG) và các nitơ ôxít, nitơ ôxít cuối cùng được coi là tương đương nitơ điôxít (NO2)
3.11. Các hạt gây ô nhiễm (particulate pollutants)
Chất bất kỳ thu được bằng một bộ lọc quy định sau khi pha loãng khí thải động cơ C.I. với không khí được lọc sạch sao cho nhiệt độ không lớn hơn 325K (520C)(sau đây gọi là các hạt)
3.12. Khói (smoke)
Các hạt lơ lửng trong dòng khí thải của động cơ điêzen, hấp thụ, phản xạ hoặc khúc xạ ánh sáng.
3.13. Công suất hữu ích (net power)
Công suất ở cuối trục khuỷu của động cơ, đo được trên băng thử (kW) bằng phương pháp đo quy định theo Phụ lục K của TCVN 6565:2006 hoặc theo ECE 85.
3.14. Tốc độ danh định (rated speed)
Tốc độ toàn tải lớn nhất theo điều khiển của bộ điều tốc như quy định của nhà sản xuất trong tài liệu bảo dưỡng và tài liệu hướng dẫn kèm theo bán hàng, hoặc nếu không có bộ điều tốc thì đó là tốc độ tương ứng với công suất lớn nhất của động cơ như quy định của nhà sản xuất.
3.15. Phần trăm tải (percent load)
Mômen xoắn hữu ích tương ứng với một tốc độ động cơ, có giá trị bằng một phần của mômen xoắn hữu ích lớn nhất của động cơ.
3.16. Tốc độ có mômen xoắn lớn nhất (maximum torque speed)
Tốc độ động cơ mà ở đó mô men xoắn của động cơ có giá trị lớn nhất theo quy định của nhà sản xuất.
3.17. Tốc độ trung gian (intermediate speed)
Tốc độ tương ứng với giá trị mômen xoắn lớn nhất và nằm trong khoảng 60% đến 75% tốc độ danh định; trong các trường hợp khác là tốc độ bằng 60% tốc độ danh định.
3.18. Công suất lớn nhất theo công bố Pmax (declared maximum power)
Công suất lớn nhất tính theo kW (công suất hữu ích) theo công bố của nhà sản xuất trong tài liệu kỹ thuật cho việc phê duyệt kiểu.
3.19. Chu trình thử (test cycle)
Một chuỗi các điểm thử trong đó tại mỗi điểm động cơ có tốc độ, mô men xoắn đã định theo các trạng thái ổn định (ESC), hoặc trạng thái quá độ (ETC, ELR).
CHÚ THÍCH - Xem nghĩa đầy đủ của các chữ viết tắt ESC, ETC và ELR tại 3.34.2.3.
3.20. Chu trình thử ESC (ESC test)
Chu trình thử gồm 13 chế độ có trạng thái ổn định được áp dụng theo 5.2.1.2 của tiêu chuẩn này.
3.21. Chu trình thử ELR (ELR test)
Chu trình thử gồm một chuỗi các bước thử có tải ở tốc độ động cơ không đổi được áp dụng theo 5.2.1.2 của tiêu chuẩn này.
3.22. Chu trình thử ETC (ETC test)
Chu trình thử gồm 1800 chế độ chuyển tiếp diễn ra rất nhanh theo từng giây một, được áp dụng theo 5.2.1.2 của tiêu chuẩn này.
3.23. Dải tốc độ hoạt động của động cơ (engine operating speed range)
Dải tốc độ động cơ hay được sử dụng nhất trong khi động cơ hoạt động, nằm giữa tốc độ thấp và tốc độ cao như được quy định tại Phụ lục C của tiêu chuẩn này.
3.24. Tốc độ thấp nth (low speed nlow)
Tốc độ động cơ thấp nhất mà tại đó công suất động cơ bằng 50% công suất cực đại theo công bố.
3.25. Tốc độ cao ncao (high speed nhigh)
Tốc độ động cơ cao nhất mà tại đó công suất động cơ bằng 70% công suất cực đại theo công bố.
3.26. Tốc độ động cơ A, B và C (engine speed A, B and C)
Các tốc độ thử nằm trong dải tốc độ hoạt động của động cơ được sử dụng cho chu trình thử ESC và chu trình thử ELR như quy định tại Phụ lục G1 của tiêu chuẩn này.
3.27. Miền điều khiển (control area)
Miền nằm giữa tốc độ A và C và nằm giữa các giá trị 25% và 100% tải.
3.28. Tốc độ chuẩn nch (reference speed nref)
Tốc độ có giá trị bằng 100% được sử dụng để không chuẩn hóa các giá trị tốc độ tương đối của chu trình thử ETC như quy định tại Phụ lục G2, Phụ lục G trong tiêu chuẩn này.
3.29. Thiết bị đo độ khói (opacimeter).
Thiết bị được thiết kế để đo độ chắn sáng của các hạt trong khói thải theo nguyên lý hấp thụ ánh sáng.
3.30. Dải nhiên liệu khí NG (NG gas range).
Dải nhiên liệu H hoặc L như qui định tại Phụ lục J của tiêu chuẩn này.
3.31. Khả năng tự thích ứng (self adaptability)
Thiết bị động cơ bất kỳ cho phép giữ tỉ lệ không khí / nhiên liệu không đổi.
3.32. Hiệu chuẩn lại (recalibration)
Sự hiệu chỉnh tinh động cơ NG để cung cấp đặc tính giống nhau (công suất, tiêu hao nhiên liệu) với dải khí NG khác nhau.
3.33. Chỉ số Wobbe (W) (wobbe index)
Tỉ số của nhiệt lượng của một đơn vị thể tích khí và căn bậc hai của khối lượng riêng tương đối của nó trong điều kiện chuẩn:
![]()
CHÚ THÍCH - (1) Các thuật ngữ nêu từ 3.1 đến 3.7, 3.10 và 3.11, 3.15 là các thuật ngữ áp dụng chung cho toàn tiêu chuẩn, các thuật ngữ nêu tại 3.14, 3.16 và 3.17 áp dụng riêng cho phần I về kiểm tra khí thải theo các mức EURO 1 và EURO 2, các thuật ngữ còn lại áp dụng riêng cho phần II về kiểm tra khí thải theo các mức EURO 3 và EURO 4.
3.34. Ký hiệu, chữ viết tắt và đơn vị
3.34.1. Áp dụng cho phần I
| Ký hiệu | Đơn vị | Thuật ngữ |
| P | kW | Công suất ra hữu ích, không hiệu chỉnh |
| CO(1) | g/kWh | Cacbonmonoxit |
| HC(1) | g/kWh | Hydrocacbon |
| Nox(1) | g/kWh | Các nitơoxit |
| PT(1) | g/kWh | Các hạt |
|
| g/kWh | Khối lượng phát thải trung bình của mỗi chất gây ô nhiễm |
| Conc | Ppm | Nồng độ (phần triệu thể tích) |
| Conc W | Ppm | Nồng độ ướt (phần triệu thể tích) |
| Conc D | Ppm | Nồng độ khô (phần triệu thể tích) |
| mass(1) | g/h hoặc g | Lưu lượng tính theo khối lượng (sau đây gọi tắt là lưu lượng khối lượng) của chất gây ô nhiễm |
| WF(1) | - | Hệ số trọng lượng |
| WFe(1) | - | Hệ số trọng lượng hiệu dụng |
| GEXH(1) | kg/h | Lưu lượng khối lượng khí thải ở trạng thái ướt |
| V'EXH | m3/h | Lưu lượng tính theo thể tích (sau đây gọi tắt là lưu lượng thể tích) khí thải ở trạng thái khô |
| V"EXH | m3/h | Lưu lượng thể tích khí thải ở trạng thái ướt |
| GAIR | kg/h | Lưu lượng khối lượng không khí nạp |
| V'AIR | m3/h | Lưu lượng thể tích không khí nạp ở trạng thái khô |
| V"AIR | m3/h | Lưu lượng thể tích không khí nạp ở trạng thái ướt |
| GFUEL(1) | kg/h | Lưu lượng nhiên liệu |
| GDIL | kg/h | Lưu lượng khối lượng không khí pha loãng |
| V"DI | m3/h | Lưu lượng khối lượng không khí pha loãng ở trạng thái ướt |
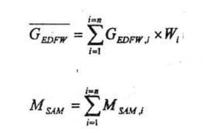
| MSAM | Kg | Khối lượng mẫu qua các bộ lọc lấy mẫu hạt |
| VSAM | m3 | Thể tích mẫu qua các bộ lọc lấy mẫu hạt ở trạng thái ướt |
| V"EDF | m3/h | Lưu lượng thể tích pha loãng tương đương ở trạng thái ướt |
| GEDF | kg/h | Lưu lượng khối lượng pha loãng tương đương |
| i(1) | - | Chỉ số dưới của dòng chữ để biểu thị một chế độ riêng biệt |
| pf | Mg | Khối lượng mẫu hạt |
| GTOT | kg/h | Lưu lượng khối lượng khí thải pha loãng |
| V"TOT | m3/h | Lưu lượng thể tích khí thải pha loãng ở trạng thái ướt |
| Q | - | Tỉ lệ pha loãng |
| r(1) | - | Tỷ lệ giữa các diện tích mặt cắt ngang của đầu ống lấy mẫu và của ống xả |
| Ap(1) | m2 | Diện tích mặt cắt ngang của đầu ống lấy mẫu kiểu đẳng động học |
| AT(1) | m2 | Diện tích mặt cắt ngang của ống xả |
| HFID(1) | - | Thiết bị dò kiểu ion hóa ngọn lửa - chịu nhiệt |
| NDUVR | - | Sự hấp thụ công hưởng tia cực tím không khuyếch tán |
| NDIR(1) | - | Thiết bị phân tích hồng ngoại không khuyếch tán |
| HCLA | - | Thiết bị phân tích kiểu quang hóa - nhiệt |
| S(1) | kW | Mức công suất chỉnh đặt của băng thử như nêu trong D.4.2.4, Phụ lục D. |
| Pmin | kW | Công suất hữu ích nhỏ nhất của động cơ như nêu trên dòng (e) trong bảng tại A.1.8.2, Phụ lục A |
| L | - | Phần trăm tải như nêu trong D.4.1, Phụ lục D |
| Pmax | kW | Công suất hấp thụ cho phép lớn nhất bởi thiết bị do động cơ dẫn động theo quy định tại A.2.4, Phụ lục A trừ đi công suất hấp thụ toàn bộ bởi thiết bị do động cơ dẫn động trong khi thử như quy định tại A.1.7.2.2, Phụ lục A. |
CHÚ THÍCH - (1) Áp dụng cho cả phần II.
3.34.2. Áp dụng cho phần II
3.34.2.1. Ký hiệu của các thông số thử nghiệm
| Ký hiệu | Đơn vị | Thuật ngữ |
| CEE | - | Hiệu suất êtan |
| CEM | - | Hiệu suất mêtan |
| C1 | - | Hydrocacbon tương đương cacbon 1 |
| Conc | ppm hoặc % thể tích | Ký hiệu thể hiện nồng độ (phần triệu / phần trăm thể tích) |
| Do | m3/s | Phần bị chắn của hàm hiệu chuẩn PDP |
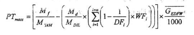
| DF | - | Hệ số pha loãng |
| D | - | Hằng số hàm Bessel |
| E | - | Hằng số hàm Bessel |
| EZ | g/kWh | NOx nội suy của điểm điều khiển |
| fa | - | Hệ số không khí phòng thử nghiệm |
| fc | S-1 | Tần số không qua bộ lọc Bessel |
| FFH | - | Hệ số nhiên liệu riêng để tính nồng độ ướt theo nồng độ khô |
| Fs | - | Hệ số Stoichiometric |
| GAIRW | kg/h | Lưu lượng khối lượng không khí nạp ở trạng thái ướt |
| GAIRD | kg/h | Lưu lượng khối lượng không khí nạp ở trạng thái khô |
| GDILW | kg/h | Lưu lượng khối lượng không khí pha loãng ở trạng thái ướt |
| GEDFW | kg/h | Lưu lượng khối lượng khí thải pha loãng tương đương ở trạng thái ướt |
| GTOTW | kg/h | Lưu lượng khối lượng khí thải pha loãng ở trạng thái ướt |
| H | MJ/m3 | Nhiệt trị |
| HREF | g/kg | Giá trị chuẩn của độ ẩm tuyệt đối (10,71 g/kg) |
| Ha | g/kg | Độ ẩm tuyệt đối của không khí nạp |
| Hd | g/kg | Độ ẩm tuyệt đối của không khí pha loãng |
| HTCRAT | mol/mol | Tỉ lệ Hydro-Cacbon |
| K | - | Hằng số Bessel |
| k | m-1 | Hệ số hấp thụ ánh sáng |
| KH,D | - | Hệ số hiệu chỉnh độ ẩm đối với NOx cho động cơ điêzen |
| KH,G | - | Hệ số hiệu chỉnh độ ẩm đối với NOx cho động cơ khí |
| Kv | - | Hàm hiệu chuẩn CFV |
| Kw,a |
| Hệ số hiệu chỉnh khô theo ướt cho không khí nạp |
| Kw,d | - | Hệ số hiệu chỉnh khô theo ướt cho không khí pha loãng |
| Kw,e | - | Hệ số hiệu chỉnh khô theo ướt cho khí thải pha loãng |
| Kw,r | - | Hệ số hiệu chỉnh khô theo ướt cho khí thải khô |
| L | % | Phần trăm mô men xoắn so với mô men xoắn lớn nhất đối với động cơ thử |
| La | m | Chiều dài hiệu quả của dải sáng |
| m | - | Độ dốc của hàm hiệu chuẩn PDP |
| MDIL | kg | Khối lượng mẫu không khí pha loãng đi qua các bộ lọc hạt |
| Md | mg | Khối lượng mẫu hạt của không khí pha loãng được thu lại |
| Mf | mg | Khối lượng mẫu hạt được thu lại |
| Mf,p | mg | Khối lượng mẫu hạt được thu lại trên bộ lọc chính |
| Mf,b | mg | Khối lượng mẫu hạt được thu lại trên bộ lọc chính dự phòng |
| MSAM | kg | Khối lượng mẫu khí thải được pha loãng đi qua các bộ lọc hạt |
| MSEC | kg | Khối lượng không khí pha loãng thứ cấp |
| MTOTW | kg | Khối lượng toàn bộ CVS của toàn bộ chu trình ở trạng thái ướt |
| MTOTW,i | kg | Khối lượng CVS tức thời ở trạng thái ướt |
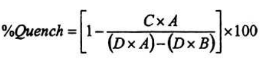
| N | % | Độ khói |
| Np | - | Tổng số vòng quay của PDP trong toàn bộ chu trình. |
| Np,i | - | Số vòng quay của PDP trong một khoảng thời gian |
| n | min-1 | Tốc độ động cơ |
| np | s-1 | Tốc độ PDP |
| ncao | min-1 | Tốc độ cao của động cơ |
| nth | min-1 | Tốc độ thấp của động cơ |
| rref | min-1 | Tốc độ chuẩn của động cơ đối với thử ETC |
|
| kPa | Áp suất hơi bão hòa của không khí nạp vào động cơ |
| pA | kPa | Áp suất tuyệt đối |
| pB | kPa | Tổng áp suất không khí |
| pd | kPa | Áp suất hơi bão hòa của không khí pha loãng |
| ps | kPa | Áp suất không khí khô |
| p1 | kPa | Độ giảm áp suất tại cửa vào của bơm |
| p (a) | kW | Công suất hấp thụ bởi các thiết bị phụ được lắp để thử nghiệm |
| p (b) | kW | Công suất hấp thụ bởi các thiết bị phụ được tháo ra để thử nghiệm |
| p (n) | kW | Công suất hữu ích không hiệu chỉnh |
| p (m) | kW | Công suất đo được trên băng thử |
| W | - | Hằng số Bessel |
| Qs | m3/s | Lưu lượng thể tích của CVS |
| q | - | Tỉ lệ pha loãng |
| r | - | Tỉ lệ của các diện tích mặt cắt ngang của đầu lấy mẫu đẳng động học và của ống |
| Ra | % | Độ ẩm tương đối của không khí nạp |
| Rd | % | Độ ẩm tương đối của không khí pha loãng |
| Rf | - | Hệ số đáp trả FID |
|
| kg/m3 | Khối lượng riêng |
| S | kW | Công suất chỉnh đặt của băng thử |
| Si | m-1 | Giá trị độ khói tức thời |
| Sl | - | Hệ số chuyển l |
| T | K | Nhiệt độ tuyệt đối |
| Ta | K | Nhiệt độ tuyệt đối của không khí nạp |
| t | s | Thời gian đo |
| te | s | Thời gian đáp trả về điện |
| tf | s | Thời gian đáp trả bộ lọc đối với hàm Bessel |
| tp | s | Thời gian đáp trả vật lý |
| Dt | s | Khoảng thời gian giữa các số liệu độ khói liền nhau (= 1/tốc độ lấy mẫu) |
| Dti | s | Khoảng thời gian cho lưu lượng CFV tức thời |
| t | % | Hệ số truyền của khói |
| Vo | m3/vòng | Lưu lượng thể tích PDP trong điều kiện thực |
| W | - | Chỉ số Wobbe |
| Wact | kWh | Công thực tế của chu trình ETC |
| Wref | kWh | Công chuẩn (tham chiếu) của chu trình ETC |
| WF | - | Hệ số trọng lượng |
| WFg | - | Hệ số trọng lượng ảnh hưởng |
| Xo | m3/vòng | Hàm số hiệu chuẩn của lưu lượng thể tích của PDP |
| Yi | m-1 | Giá trị độ khói trung bình Bessel trong một giây |
3.34.2.2. Ký hiệu của các hợp chất hóa học
| Ký hiệu | Hợp chất hóa học |
| CH4 | Mê tan |
| C2H6 | Êtan |
| C3H8 | Prô pan |
| DOP | Di - octylphtalate |
| CO2 | Cac bon điôxit |
| NMHC | Hydrocacbon không mê tan |
| NO | Nitơ ôxít |
| NO2 | Nitơ điôxít |
| PT | Các hạt |
3.34.2.3. Chữ viết tắt một số thuật ngữ
| Chữ viết tắt | Thuật ngữ |
| CFV | Lưu lượng tới hạn Venturi (Critical flow venturi) |
| CLD | Thiết bị dò kiểu quang hóa (Chemiluminescent detector) |
| ELR | Thử đáp ứng tải kiểu Châu Âu (European Load Respond Test) |
| ESC | Chu trình ổn định kiểu Châu Âu (European Steady State Cycle) |
| ETC | Chu trình chuyển tiếp nhanh kiểu Châu Âu (European Transient Cycle) |
| FID | Thiết bị dò kiểu ion hóa ngọn lửa (Flame Ionisation Detector) |
| GC | Sắc phổ khí (Gas Chromatograph) |
| HCLD | Thiết bị dò kiểu quang hóa - nhiệt (Heated Chemiluminescent Detector) |
| LPG | Khí dầu mỏ hóa lỏng (Liquefied Petroleum Gas) |
| NG | Khí thiên nhiên (Natural Gas) |
| NMC | Mỏ cắt không dùng mê tan (Non-Methane Cutter) |
4. Tài liệu kỹ thuật và mẫu thử
4.1. Đối với việc kiểm tra riêng động cơ
4.1.1. Tài liệu kỹ thuật
Tài liệu kỹ thuật ít nhất phải bao gồm các đặc điểm chủ yếu của động cơ như nêu trong Phụ lục A khi kiểm tra theo mức EURO 1 và EURO 2 hoặc Phụ lục C khi kiểm tra theo mức EURO 3 và EURO 4 của tiêu chuẩn này.
4.1.2. Mẫu thử
Một động cơ phù hợp với đặc điểm của kiểu động cơ như nêu trong Phụ lục A hoặc C nói trên.
4.2. Đối với việc kiểm tra xe liên quan đến động cơ của xe
Tài liệu kỹ thuật ít nhất phải bao gồm các đặc điểm chủ yếu của động cơ như nêu trong Phụ lục A hoặc C của tiêu chuẩn này, một bản mô tả xe và các bộ phận của xe liên quan với động cơ như nêu trong Phụ lục A hoặc C.
5. Yêu cầu và các phép thử
5.1. Phần I - kiểm tra khí thải theo mức EURO 1 và EURO 2
5.1.1. Đối với thử phê duyệt kiểu động cơ
5.1.1.1. Yêu cầu chung
Các bộ phận có thể ảnh hưởng đến các chất khí và hạt gây ô nhiễm phải được thiết kế, chế tạo và lắp ráp sao cho động cơ phù hợp với yêu cầu của tiêu chuẩn này trong điều kiện sử dụng bình thường, kể cả khi có rung động.
5.1.1.2. Yêu cầu về khí thải
Các chất khí và hạt gây ô nhiễm do động cơ được đưa vào thử nghiệm phải được đo bằng phương pháp trình bày trong Phụ lục D. Phụ lục D4 của Phụ lục D mô tả các hệ thống hoặc thiết bị phân tích khác có thể được chấp nhận bởi cơ sở thử nghiệm nếu chúng cho kết quả tương đương. Đối với một phòng thí nghiệm riêng biệt khác, kết quả được xác định là tương đương khi giá trị của chúng nằm trong khoảng ±5% của kết quả thử của một trong các hệ thống chuẩn được mô tả ở đây. Đối với các chất thải dạng hạt chỉ có hệ thống pha loãng kiểu lưu lượng đầy đủ mới được phê duyệt là hệ thống chuẩn. Để giới thiệu một hệ thống mới theo tiêu chuẩn này, tính tương đương của nó với hệ thống chuẩn phải được quyết định trên cơ sở tính đến khả năng lặp lại và tái lập lại được kết quả của nó bởi một phòng thí nghiệm theo tiêu chuẩn quốc tế như được mô tả trong ISO 5725:1994.
5.1.1.2.1. Yêu cầu về giới hạn khí thải
Khối lượng phát thải của cacbon mônôxit, hydrocacbon, các nitơ ôxít và các hạt không vượt quá các giá trị giới hạn được qui định trong bảng 1.
Bảng 1 - Giá trị giới hạn khí thải
Đơn vị: g/kWh
| Mức | Cacbon mônoxít (CO) | Hydrocacbon (HC) | Các nitơ ôxit | Các hạt |
| Mức A | 4,5 | 1,1 | 8,0 | 0,36 (1) |
| Mức B | 4,0 | 1,1 | 7,0 | 0,15 |
(1) Trong trường hợp các động cơ có công suất không lớn hơn 85 kW, giá trị giới hạn khối lượng các hạt lấy bằng 0,61 g/kWh.
5.1.2. Đối với lắp đặt động cơ trên ô tô
5.1.2.1. Việc lắp đặt động cơ trên ô tô phải phù hợp với những đặc điểm có liên quan đến phê duyệt kiểu động cơ sau đây:
5.1.2.1.1. Độ giảm áp suất nạp, áp suất ngược của khí thải không được vượt quá giá trị quy định đối với động cơ được phê duyệt kiểu trong Phụ lục B của tiêu chuẩn này.
5.1.2.1.2. Công suất hấp thụ bởi thiết bị dẫn động động cơ không được vượt quá công suất hấp thụ cho phép lớn nhất quy định đối với động cơ được phê duyệt kiểu trong Phụ lục B của tiêu chuẩn này.
5.1.3. Đối với kiểm tra sự phù hợp của sản phẩm trong sản xuất
5.1.3.1. Mỗi động cơ hoặc ô tô thuộc kiểu động cơ hoặc ô tô được phê duyệt theo tiêu chuẩn này và được sản xuất tiếp theo phải phù hợp với yêu cầu về khí thải và các yêu cầu khác nêu trong Phụ lục B của tiêu chuẩn này.
5.1.3.2. Khi lấy một động cơ từ loại sản phẩm và tiến hành thử như mô tả trong Phụ lục D, khối lượng phát thải cacbon mônôxít, khối lượng hydrocacbon, khối lượng nitơ ôxít và khối lượng các hạt phải không vượt quá giá trị giới hạn cho trong Bảng 2.
Bảng 2 - Giá trị giới hạn khí thải
Đơn vị: g/kWh
| Mức | Cacbon mônôxít (CO) | Hydrocacbon | Các nitơ ôxít | Các hạt |
| Mức A | 4,9 | 1,23 | 9,0 | 0,40 (1) |
| Mức B | 4,0 | 1,1 | 7,0 | 0,15 |
(1) Nếu công suất động cơ ≤ 85 kW, giá trị giới hạn của khối lượng khí thải là 0,68 g/kWh.
5.1.3.3. Nếu động cơ được chọn từ loạt sản phẩm để thử trên không thỏa mãn yêu cầu của 5.1.3.2 phải kiểm tra tiếp theo như dưới đây.
Nhà sản xuất có thể đề nghị thực hiện các phép đo trên một mẫu gồm các động cơ được lấy từ loạt sản phẩm đó, bao gồm cả ô tô được chọn thử từ đầu. Nhà sản xuất phải xác định kích thước mẫu n (số lượng động cơ) với sự đồng ý của cơ sở thử nghiệm. Phải thử các động cơ trừ động cơ được chọn thử từ đầu. Sau đó phải xác định trung bình cộng (
) của các kết quả đạt được từ mẫu đối với từng chất gây ô nhiễm. Việc sản xuất loại sản phẩm đó sẽ được coi là phù hợp nếu các điều kiện sau đây được đáp ứng:
với
+ k.S ≤ L
Trong đó:
X là một kết quả riêng bất kỳ thu được trong bộ mẫu n;
là giá trị trung bình của các kết quả thử;
L là giá trị giới hạn được quy định trong 5.1.3.2 đối với từng chất khí gây ô nhiễm được xét;
k là một hệ số trọng lượng phụ thuộc vào n và được cho trong bảng 3.
Bảng 3 - Hệ số trọng lượng
| n | 2 | 3 | 4 | 5 | 6 | 7 | 8 | 9 | 10 |
| k | 0,973 | 0,613 | 0,489 | 0,421 | 0,376 | 0,342 | 0,317 | 0,296 | 0,279 |
| n | 11 | 12 | 13 | 14 | 15 | 16 | 17 | 18 | 19 |
| k | 0,265 | 0,253 | 0,242 | 0,233 | 0,224 | 0,216 | 0,210 | 0,203 | 0,198 |
Nếu n > 20 thì ![]()
5.1.3.4. Cơ sở thử nghiệm chịu trách nhiệm kiểm tra sự phù hợp của sản xuất phải thực hiện các phép thử trên các động cơ đã được chạy rà hoàn toàn hoặc một phần, theo các thông số kỹ thuật của nhà sản xuất.
5.1.4. Đối với sửa đổi kiểu
Mọi sửa đổi động cơ đã được phê duyệt kiểu phải bảo đảm rằng kiểu động cơ đã sửa đổi vẫn phù hợp với yêu cầu nêu trong 5.1.1. Việc này được kiểm tra bằng một trong hai cách sau:
- xem xét nội dung sửa đổi;
- cơ sở thử nghiệm đã tiến hành thử nghiệm phục vụ phê duyệt kiểu cung cấp thêm báo cáo thử nghiệm.
5.2. Phần II - kiểm tra khí thải theo mức EURO 3 và EURO 4
5.2.1. Đối với thử phê duyệt kiểu động cơ
5.2.1.1. Yêu cầu chung: Xem 5.1.1.1
5.2.1.1.1. Không được sử dụng thiết bị hỏng và/hoặc chiến lược kiểm soát khí thải không hợp lý trên ô tô.
5.2.1.2. Để kiểm tra yêu cầu C (tương đương EURO 3) trong Bảng 4 và Bảng 5 trong 5.2.1.2.1, khí thải động cơ điêzen phải được xác định theo chu trình thử ESC và ELR với các động cơ điêzen quy ước bao gồm các động cơ có thiết bị phun nhiên liệu điện tử, tuần hoàn khí thải (EGR), và/hoặc các bộ xử lý xúc tác ô xy hóa. Các động cơ điêzen lắp các hệ thống xử lý - sau khí thải tiên tiến bao gồm các bộ xúc tác khử NOx và/hoặc các bẫy hạt phải được bổ sung chu trình thử ETC.
Để kiểm tra theo yêu cầu D (tương đương EURO 4) trong Bảng 4 và Bảng 5 trong 5.2.1.2.1, khí thải động cơ điêzen phải được xác định theo chu trình thử ESC, ELR và ETC.
Khí thải từ các động cơ sử dụng nhiên liệu khí thải phải được xác định theo chu trình thử ETC.
Quy trình thử ESC và ELR được mô tả trong Phụ lục G1, quy trình thử ETC được mô tả trong Phụ lục G2 và G3, Phụ lục G của tiêu chuẩn này.
Các chất khí và hạt gây ô nhiễm do động cơ được đưa vào thử nghiệm phải được đo bằng phương pháp trình bày trong Phụ lục G. Phụ lục G4 của Phụ lục G mô tả các hệ thống hoặc thiết bị phân tích khác có thể được chấp nhận bởi cơ sở thử nghiệm nếu chúng cho kết quả tương đương. Đối với một phòng thí nghiệm riêng biệt khác, kết quả được xác định là tương đương khi giá trị của chúng nằm trong khoảng ±5% của kết quả thử của một trong các hệ thống chuẩn được mô tả ở đây. Đối với các chất thải dạng hạt chỉ có hệ thống pha loãng kiểu lưu lượng đầy đủ mới được phê duyệt là hệ thống chuẩn. Để giới thiệu một hệ thống mới theo tiêu chuẩn này, tính tương đương của nó với hệ thống chuẩn phải được quyết định trên cơ sở tính đến khả năng lặp lại và tái lập lại được kết quả của nó bởi một phòng thí nghiệm theo tiêu chuẩn quốc tế như được mô tả trong ISO 5725:1994.
5.2.1.2.1. Giới hạn khí thải
Giới hạn khí thải của từng chất khí và hạt (kể cả khói) theo các mức C và D (tương đương EURO 3 và EURO 4) khi thử ESC và ELR được nêu trong bảng 4, khi thử ETC được nêu trong bảng 5.
Bảng 4 - Giới hạn khí thải của từng chất khí và hạt khi thử ESC và ELR
| Mức | Khối lượng các chất (g/kWh) | Độ khói | |||
| CO | HC | NOx | PT | ||
| C | 2,1 | 0,66 | 5,0 | 0,10 | 0,8 |
| 0,13 (1) | |||||
| D | 1,5 | 0,46 | 3,5 | 0,02 | 0,5 |
| (1) Cho động cơ có thể tích làm việc (thể tích tương ứng với hành trình píttông - thể tích quét) của mỗi xi lanh nhỏ hơn 0,75 dm3 và tốc độ quay động cơ tại công suất danh định lớn hơn 3000 vòng/phút | |||||
Bảng 5 - Giới hạn khí thải của từng chất khí và hạt khi thử ETC (1)
| Mức | Giá trị giới hạn khối lượng các chất (g/kWh) | ||||
| CO | NMHC | CH4 (2) | NOx | PT (3) | |
| Mức C | 5,45 | 0,78 | 1,6 | 5,0 | 0,16 |
| 0,21(4) | |||||
| Mức D | 4,0 | 0,55 | 1,1 | 3,5 | 0,03 |
| (1) Điều kiện kiểm tra khả năng thích ứng của thử ETC (xem 3.9, Phụ lục G2) khi đo khí thải của động cơ nhiên liệu khí theo các giá trị giới hạn của mức C phải được kiểm tra lại, và nếu cần thiết, phải được sửa đổi theo quy trình quy định trong Nghị quyết R.E.3. (2) Chỉ cho động cơ NG. (3) Không áp dụng cho động cơ nhiên liệu khí. (4) Cho động cơ có thể tích làm việc (thể tích tương ứng với hành trình píttông - thể tích quét) của mỗi xi lanh nhỏ hơn 0,75 dm3 và tốc độ quay động cơ tại công suất danh định lớn hơn 3000 vòng/phút. | |||||
5.2.1.2.2. Đo HC đối với động cơ điêzen và khí
Nhà sản xuất có thể chọn đo khối lượng của Hydrocacbon tổng (THC) trong thử ETC thay cho việc đo khối lượng của NMHC. Trong trường hợp này, giá trị giới hạn của THC bằng giá trị của NMHC trong Bảng 5.
5.2.1.2.3. Yêu cầu riêng đối với động cơ điêzen
5.2.1.2.3.1. Khối lượng riêng biệt của NOx được đo tại các điểm kiểm tra ngẫu nhiên trong miền, kiểm soát của thử ESC không được lớn hơn khoảng 10% giá trị nội suy từ các chế độ thử liền kề (xem 4.6.2 và 4.6.3, Phụ lục G1, Phụ lục G).
5.2.1.2.3.2. Giá trị độ khói ở tốc độ thử ngẫu nhiên của chu trình thử ELR không được lớn hơn giá trị độ khói cao nhất của hai giá trị tại hai tốc độ thử liền kề khoảng 20% hoặc 5% giá trị giới hạn, chọn giá trị lớn hơn.
5.2.2. Đối với việc lắp đặt động cơ trên ô tô
5.2.2.1. Xem 5.1.2.1.
5.2.2.1.1. Xem 5.1.2.1.1
5.2.2.1.2. Công suất hấp thụ bởi các thiết bị phụ cần cho vận hành động cơ không được lớn hơn công suất hấp thụ quy định trong Phụ lục C đối với động cơ được phê duyệt kiểu.
5.2.3. Đối với việc miễn kiểm tra các động cơ cùng một họ
Các động cơ cùng một họ như định nghĩa tại 3.8 và được xác định cùng họ như quy định tại 5.2.4.1 dưới đây sẽ được miễn kiểm tra khí thải nếu động cơ gốc (xem định nghĩa 3.9) của họ động cơ đó đã được kiểm tra khí thải theo các loại nhiên liệu tương ứng.
5.2.3.1. Họ động cơ (xem định nghĩa 3.8)
5.2.3.1.1. Các thông số xác định họ động cơ
Như được xác định bởi nhà sản xuất, họ động cơ có thể được xác định bởi các đặc điểm cơ bản chung đối với các động cơ trong một họ. Trong một số trường hợp có thể có sự tương tác lẫn nhau giữa các thông số. Phải xem xét các ảnh hưởng này để bảo đảm rằng chỉ có các động cơ có các đặc điểm khí thải giống nhau mới được đưa vào cùng một họ động cơ.
Các động cơ được coi là cùng một họ nếu có chung các danh mục sau đây:
5.2.3.1.1.1. Số kỳ động cơ: 2 kỳ hoặc 4 kỳ.
5.2.3.1.1.2. Chất làm mát
- Không khí.
- Nước.
- Dầu.
5.2.3.1.1.3. Đối với động cơ nhiên liệu khí và động cơ có hệ thống xử lý khí thải sau:
Số lượng xi lanh (các động cơ điêzen có số lượng xi lanh ít hơn động cơ gốc có thể được coi là cùng một họ nếu hệ thống nhiên liệu đo nhiên liệu cho từng xi lanh.
5.2.3.1.1.4. Thể tích làm việc của từng xi lanh riêng biệt của các động cơ không sai khác nhau quá 15%.
5.2.3.1.1.5. Phương pháp nạp không khí:
- Nạp bằng phương pháp hút tự nhiên.
- Nạp có áp suất nạp.
- Nạp có áp suất nạp với máy làm mát không khí nạp.
5.2.3.1.1.6. Loại/thiết kế buồng cháy
- Buồng cháy phụ.
- Buồng cháy xoáy lốc.
- Buồng cháy hở.
5.2.3.1.1.7. Van và lỗ van - cấu hình, kích thước và số lượng
- Nắp xi lanh.
- Thành xi lanh.
- Các te động cơ.
5.2.3.1.1.8. Hệ thống phun nhiên liệu (cho động cơ điêzen)
- Bơm - ống dẫn - vòi phun.
- Bơm một dãy.
- Bơm phân phối.
- Bơm đơn.
- Vòi phun độc lập.
5.2.3.1.1.9. Hệ thống nhiên liệu (cho động cơ nhiên liệu khí)
- Bộ trộn.
- Nạp/phun nhiên liệu khí (đơn điểm, đa điểm).
- Phun nhiên liệu lỏng (đơn điểm, đa điểm).
5.2.3.1.1.10. Hệ thống đánh lửa (động cơ nhiên liệu khí)
5.2.3.1.1.11. Các đặc điểm khác
- Tuần hoàn khí thải.
- Phun/tạo nhũ tương nước.
- Phun không khí thứ cấp.
- Hệ thống làm mát đường nạp.
5.2.3.1.1.12. Xử lý sau khí thải.
- Xúc tác ba chiều.
- Xúc tác ô xy hóa.
- Xúc tác khử.
- Bộ phản ứng nhiệt.
- Bẫy hạt.
5.2.3.1.2. Chọn động cơ gốc
5.2.3.1.2.1. Động cơ điêzen
Động cơ mẹ của họ động cơ phải được chọn bằng việc sử dụng các tiêu chí chủ yếu về sự cung cấp nhiên liệu cao nhất của mỗi kỳ làm việc của động cơ tại tốc độ có mô men xoắn lớn nhất được công bố. Trong trường hợp từ hai động cơ trở lên chung nhau tiêu chí chủ yếu này, động cơ gốc phải được chọn bằng việc sử dụng các tiêu chí phụ của sự cung cấp nhiên liệu cao nhất mỗi kỳ tại tốc độ danh định. Trong các điều kiện nào đó, có thể thử động cơ thứ hai. Vì vậy một động cơ bổ sung có thể được chọn để thử trên cơ sở các đặc điểm cho thấy rằng động cơ này có thể có mức khí thải cao nhất trong họ động cơ.
Nếu động cơ trong họ có nhiều đặc điểm đa dạng khác được coi là ảnh hưởng đến khí thải thì những đặc điểm này cũng phải được nhận biết và được tính đến trong việc lựa chọn động cơ gốc.
5.2.3.1.2.2. Động cơ nhiên liệu khí
Động cơ gốc của họ động cơ phải được chọn bằng việc sử dụng các tiêu chí chủ yếu về dung tích làm việc lớn nhất. Trong trường hợp từ hai động cơ trở lên chung nhau tiêu chí chủ yếu này, động cơ gốc phải được chọn bằng việc sử dụng các tiêu chí phụ theo thứ tự sau:
- sự cung cấp nhiên liệu cao nhất mỗi kỳ tại tốc độ có công suất danh định công bố;
- thời điểm đánh lửa sớm nhất;
- tỉ lệ tuần hoàn khí thải thấp nhất;
- không có bơm không khí hoặc bơm lưu lượng không khí thực thấp nhất.
Trong các điều kiện nào đó, có thể thử động cơ thứ hai. Vì vậy một động cơ bổ sung có thể được chọn để thử trên cơ sở các đặc điểm cho thấy rằng động cơ này có thể có mức phí thải cao nhất trong họ động cơ.
5.2.4. Đối với kiểm tra sự phù hợp của sản phẩm trong sản xuất
Mỗi động cơ hoặc ô tô thuộc kiểu động cơ hoặc ô tô được phê duyệt theo tiêu chuẩn này và được sản xuất tiếp theo phải phù hợp với yêu cầu về khí thải tương ứng nêu tại Bảng 4 và Bảng 5 của tiêu chuẩn này.
5.2.5. Đối với sửa đổi kiểu
Xem 5.1.4.
PHỤ LỤC A
(quy định)
Các đặc điểm chủ yếu của động cơ và xe khi kiểm tra khí thải theo EURO 1 và EURO 2
A.1 Các đặc điểm chủ yếu của động cơ và thông tin liên quan đến thực hiện phép thử
A.1.1 Mô tả động cơ..............................................................................................................
A.1.1.1 Nhà sản xuất..............................................................................................................
A.1.1.2 Mã động cơ của nhà sản xuất.....................................................................................
A.1.1.3 Chu kỳ: 4 kỳ/2 kỳ(1) .....................................................................................................
A.1.1.4 Đường kính lỗ xi lanh: ..........................................................................................mm
A.1.1.5 Hành trình pittông: ...............................................................................................mm
A.1.1.6 Số và bố trí xi lanh:....................................................................................................
A.1.1.7 Dung tích động cơ: ............................................................................................. cm3
A.1.1.8. Tốc độ danh định:.....................................................................................................
A.1.1.9 Tốc độ tương ứng với mô men xoắn lớn nhất..............................................................
A.1.1.10 Tỉ lệ nén(2) ................................................................................................................
A.1.1.11 Mô tả hệ thống cháy: cháy do nén/cháy cưỡng bức(1) ................................................
A.1.1.12 Nhiên liệu: Nhiên liệu điêzen/khí thiên nhiên(1) ..............................................................
A.1.1.13 Bản vẽ buồng cháy và đỉnh pittông............................................................................
A.1.1.14 Diện tích mặt cắt ngang nhỏ nhất của các cửa nạp và cửa xả.....................................
A.1.1.15 Hệ thống làm mát.....................................................................................................
A.1.1.15.1 Chất lỏng...............................................................................................................
A.1.1.15.1.1 Loại chất lỏng.....................................................................................................
A.1.1.15.1.2 Bơm tuần hoàn: Có/không(1)................................................................................
A.1.1.15.1.3 Đặc tính hoặc nhãn hiệu hoặc kiểu bơm: (nếu có thể áp dụng)...............................
A.1.1.15.1.4 Tỉ số truyền động (nếu có thể áp dụng)................................................................
A.1.1.15.2 Không khí..............................................................................................................
A.1.1.15.2.1 Máy quạt (thổi): Có/không(1).................................................................................
A.1.1.15.2.2 Đặc tính hoặc nhãn hiệu và kiểu quạt: (nếu có thể áp dụng)...................................
A.1.1.15.2.3 Tỉ số truyền động (nếu có thể áp dụng)................................................................
A.1.1.16 Nhiệt độ cho phép bởi nhà sản xuất..........................................................................
A.1.1.16.1 Chất lỏng làm mát: Nhiệt độ lớn nhất ở cửa ra .................................................. K
A.1.1.16.2 Làm mát bằng không khí: Điểm chuẩn.....................................................................
Nhiệt độ lớn nhất tại điểm chuẩn .............................................................................K
A.1.1.16.3 Nhiệt độ lớn nhất của không khí nạp tại đầu ra của bộ phận làm mát trung gian đầu vào (nếu có thể áp dụng)
A.1.1.16.4 Nhiệt độ khí thải lớn nhất tại chỗ ống (các ống) xả ngay cạnh phía ngoài của mặt bích (các mặt bích của ống góp (các ống góp) khí thải............................................................................................................
A.1.1.16.5 Nhiệt độ nhiên liệu: Nhỏ nhất ................................K, lớn nhất .......................... K
đối với động cơ cháy do nén tại đầu vào của bơm cao áp, và đối với các động cơ khí thiên nhiên tại mức (cấp) cuối cùng của bộ điều chỉnh áp suất.
A.1.1.16.6 Đối với các động cơ khí thiên nhiên: áp suất nhiên liệu: Nhỏ nhất ................kPa;
Lớn nhất: ................... kPa, tại mức (cấp) cuối cùng của bộ điều chỉnh áp suất (bộ giảm áp)
A.1.1.16.7 Nhiệt độ dầu bôi trơn: nhỏ nhất ......................................................................... K;
Lớn nhất .............................................................................................................................. K
A.1.1.17 Thiết bị tăng áp: Có/không(1)......................................................................................
A.1.1.17.1 Nhãn hiệu..............................................................................................................
A.1.1.17.2 Kiểu......................................................................................................................
A.1.1.17.3 Mô tả hệ thống (ví dụ, áp suất nạp lớn nhất, tổn thất, nếu có thể áp dụng)................
A.1.1.17.4 Bộ phận làm mát trung gian: Có/không(1).................................................................
A.1.1.18 Hệ thống nạp: Độ tụt áp suất nạp cho phép lớn nhất ở tốc độ danh định của động cơ và tại 100% tải: ........................................................................................................... kPa
A.1.1.19 Hệ thống xả: áp suất ngược trên đường ống xả cho phép lớn nhất: ................. kPa
A.1.1.20 Công suất hữu ích lớn nhất: ............................ kW tại ................................... vg/ph
A.1.1.21 Mô men xoắn lớn nhất: ..................................Nm tại ..................................... vg/ph
A.1.2 Các thiết bị chống ô nhiễm không khí
A.1.2.1 Các thiết bị kiểm soát ô nhiễm bổ sung (nếu có, và nếu không thì được viết bằng một tên khác)
A.1.2.1.1 Bộ biến đổi kiểu xúc tác: Có/không (1).......................................................................
A.1.2.1.1.1 Số lượng bộ biến đổi xác tác và các thành phần:...................................................
A.1.2.1.1.2 Kích thước và hình dạng của bộ biến đổi xúc tác (thể tích ....).................................
A.1.2.1.1.3 Loại phản ứng xúc tác...........................................................................................
A.1.2.1.1.4 Tổng lượng nạp liệu của các kim loại quí:..............................................................
A.1.2.1.1.5 Nồng độ tương đối:..............................................................................................
A.1.2.1.1.6 Chất nền (cấu tạo và vật liệu):................................................................................
A.1.2.1.1.7 Mật độ lỗ:.............................................................................................................
A.1.2.1.1.8 Loại vỏ của bộ biến đổi xúc tác:............................................................................
A.1.2.1.1.9 Vị trí của bộ biến đổi xúc tác (vị trí và các khoảng cách tham chiếu trong hệ thống xả)
A.1.2.1.1.10 Cảm biến ôxy: Loại.............................................................................................
A.1.2.1.1.10.1 Vị trí của cảm biến ôxy.....................................................................................
A.1.2.1.1.10.2 Phạm vi điều khiển của cảm biến ôxy:...............................................................
A.1.2.2 Phun không khí: có/không (1).......................................................................................
A.1.2.2.1 Kiểu (bơm không khí, xung không khí,...):.................................................................
A.1.2.3 Tuần hoàn khí thải (EGR): có/không(1)..........................................................................
A.1.2.3.1 Đặc tính (lưu lượng...):.............................................................................................
A.1.2.4 Các hệ thống khác (mô tả và sự làm việc)...................................................................
A.1.3 Cung cấp nhiên liệu
A.1.3.1 Phun nhiên liệu (chỉ cho động cơ cháy do nén): Có/không(1).........................................
A.1.3.1.1 Bơm cung cấp: áp suất (2) .................. kPa hoặc đường đặc tính (2)...........................
A.1.3.1.2 Hệ thống phun.........................................................................................................
A.1.3.1.2.1 Bơm.....................................................................................................................
A.1.3.1.2.1.1 Nhãn hiệu...........................................................................................................
A.1.3.1.2.1.2 Kiểu...................................................................................................................
A.1.3.1.2.1.2.3 Lượng cấp: ............ mm3 (2) của mỗi hành trình hoặc chu trình ở tốc độ bơm .........vg/phút khi phun hoàn toàn, hoặc đường đặc tính (1)(2)//:.....................................................................................................
Nêu phương pháp áp dụng: Trên động cơ/trên băng của bơm (1)..............................................
A.1.3.1.2.1.4 Sự phun sớm.....................................................................................................
A.1.3.1.2.1.4.1 Đặc tính phun sớm (2):......................................................................................
A.1.3.1.2.1.4.2 Thời điểm phun(2):............................................................................................
A.1.3.1.2.2 Ống phun.............................................................................................................
A.1.3.1.2.2.1 Độ dài ............................................................................................................ mm
A.1.3.1.2.2.2 Đường kính trong:.......................................................................................... mm
A.1.3.1.2.3 Vòi phun...............................................................................................................
A.1.3.1.2.3.1 Nhãn hiệu:..........................................................................................................
A.1.3.1.2.3.2 Kiểu:..................................................................................................................
A.1.3.1.2.3.3 Áp suất mở: ............................................................................................... kPa (2)
hoặc đường đặc tính (1)(2)
A.1.3.1.2.4 Bộ điều tốc...........................................................................................................
A.1.3.1.2.4.1 Nhãn hiệu...........................................................................................................
A.1.3.1.2.4.2 Kiểu...................................................................................................................
A.1.3.1.2.4.3 Tốc độ khi bắt đầu trạng thái tới hạn ở toàn tải(1): ................................. vg/phút
A.1.3.1.2.4.4 Tốc độ không tải lớn nhất(1): .................................................................. vg/phút
A.1.3.1.2.4.5 Tốc độ không tải nhỏ nhất(1): ................................................................. vg/phút
A.1.3.1.3 Hệ thống khởi động ở trạng thái nguội
A.1.3.1.3.1 Nhãn hiệu.............................................................................................................
A.1.3.1.3.2 Kiểu.....................................................................................................................
A.1.3.1.3.3 Mô tả:..................................................................................................................
A.1.3.2 Thiết bị trộn (chỉ cho động cơ khí thiên nhiên): có/không (2)...........................................
A.1.3.2.1 Bộ giảm áp.............................................................................................................
A.1.3.2.1.1 Nhãn hiệu:............................................................................................................
A.1.3.2.1.2 Kiểu:....................................................................................................................
A.1.3.2.1.3 Áp suất ở cấp cuối cùng, lớn nhất: .................. kPa, nhỏ nhất: ..................... kPa
A.1.3.2.1.4 Hệ thống không tải khởi động...............................................................................
A.1.3.2.1.5 Điều chỉnh không tải..............................................................................................
A.1.3.2.2 Điều chỉnh nồng độ hỗn hợp....................................................................................
A.1.3.2.3 Thiết bị trộn.............................................................................................................
A.1.3.2.3.1 Nhãn hiệu:............................................................................................................
A.1.3.2.3.2 Kiểu:....................................................................................................................
A.1.3.3 Phun nhiên liệu (chỉ có động cơ NG): Có/không(1).........................................................
A.1.3.3.1 Mô tả hệ thống:.......................................................................................................
A.1.3.3.2 Nguyên lý làm việc: ống góp khí nạp (đơn/đa nhánh) /phun trực tiếp/quy định khác
| Loại hộp điều khiển (hoặc không) | Thông tin được cung cấp trong trường hợp phun nhiên liệu liên tục; trong trường hợp khác, các chi tiết khác tương đương |
| Loại điều chỉnh nhiên liệu | |
| Loại cảm biên lưu lượng không khí | |
| Loại phân phối nhiên liệu | |
| Loại điều chỉnh áp suất | |
| Loại ngắt mạch cực nhỏ | |
| Loại vít điều chỉnh không tải | |
| Loại hộp tiết lưu | |
| Loại cảm biến nhiệt độ nước | |
| Loại cảm biến nhiệt độ không khí | |
| Loại rơ le nhiệt độ không khí | |
| Bảo vệ chống nhiễu điện từ. Mô tả và/hoặc bản vẽ | |
A.1.3.3.3 Nhãn hiệu................................................................................................................
A.1.3.3.4 Kiểu:.......................................................................................................................
A.1.3.3.5 Vòi phun: Áp suất mở ............... kPa hoặc đường đặc tính (2)...................................
A.1.3.3.6 Thời điểm phun:.......................................................................................................
A.1.3.3.7 Hệ thống khởi động lạnh:.........................................................................................
A.1.3.3.7.1 Nguyên lý hoạt động:............................................................................................
A.1.3.3.7.2 Giới hạn/thông số chỉnh đặt để hoạt động (1)(2)........................................................
A.1.3.4 Đối với động cơ LPG:................................................................................................
A.1.3.4.1 Thiết bị hóa hơi/Bộ giảm áp(1):..................................................................................
A.1.3.4.1.1 Nhãn hiệu:............................................................................................................
A.1.3.4.1.2 Kiểu:....................................................................................................................
A.1.3.4.1.3 Số chứng nhận:....................................................................................................
A.1.3.4.1.4 Mã nhận dạng:......................................................................................................
A.1.3.4.1.5 Các bản vẽ:..........................................................................................................
A.1.3.4.1.6 Số lượng điểm điều chỉnh chính:............................................................................
A.1.3.4.1.7 Mô tả nguyên lý điều chỉnh bằng các điểm điều chỉnh chính:...................................
A.1.3.4.1.8 Số lượng điểm điều chỉnh không tải:......................................................................
A.1.3.4.1.9 Mô tả nguyên lý điều chỉnh bằng các điểm điều chỉnh không tải:.............................
A.1.3.4.1.10 Những khả năng điều chỉnh khác (nếu có và khả năng nào):..................................
A.1.3.4.2 Sử dụng thiết bị chế hòa khí LPG: Có/không (1).........................................................
A.1.3.4.2.1 Mô tả hệ thống:....................................................................................................
A.1.3.4.2.1.1 Nhãn hiệu...........................................................................................................
A.1.3.4.2.1.2 Kiểu...................................................................................................................
A.1.3.4.3 Bộ trộn: Có/không (1)................................................................................................
A.1.3.4.3.1 Số lượng:.............................................................................................................
A.1.3.4.3.2 Nhãn hiệu:............................................................................................................
A.1.3.4.3.3 Mã nhận dạng:......................................................................................................
A.1.3.4.3.4 Các bản vẽ:..........................................................................................................
A.1.3.4.3.5 Vị trí lắp đặt:.........................................................................................................
A.1.3.4.3.6 Những khả năng điều chỉnh:..................................................................................
A.1.3.4.4 Thiết bị phun: Có/không(1).........................................................................................
A.1.3.4.4.1 Số lượng:.............................................................................................................
A.1.3.4.4.2 Nhãn hiệu:............................................................................................................
A.1.3.4.4.3 Mã nhận dạng:......................................................................................................
A.1.3.4.4.4 Các bản vẽ:..........................................................................................................
A.1.3.4.4.5 Vị trí lắp:...............................................................................................................
A.1.3.4.4.6 Những khả năng điều chỉnh:..................................................................................
A.1.3.4.4.7 Vòi phun: Có/không(1)............................................................................................
A.1.3.4.4.7.1 Nhãn hiệu:..........................................................................................................
A.1.3.4.4.7.2 Kiểu:..................................................................................................................
A.1.3.4.4.7.3 Mã nhận dạng:...................................................................................................
A.1.3.4.5 Bộ điều khiển điện tử cấp nhiên liệu LPG:.................................................................
A.1.3.4.5.1 Nhãn hiệu:............................................................................................................
A.1.3.4.5.2 Mã nhận dạng:......................................................................................................
A.1.3.4.5.3 Những khả năng điều chỉnh:..................................................................................
A.1.3.4.6 Tài liệu chứng minh thêm:.........................................................................................
A.1.3.4.6.1 Mô tả thiết bị LPG và sự bảo vệ vật lý của chất xúc tác trong bộ chuyển từ xăng sang LPG hoặc ngược lại
.............................................................................................................................................
A.1.3.4.6.2 Sơ đồ bố trí hệ thống (đầu nối điện, các đầu nối chân không, các ống mềm bù v.v...)
.............................................................................................................................................
.............................................................................................................................................
A.1.3.4.6.3 Bản vẽ các ký hiệu:...............................................................................................
A.1.3.4.6.4 Số liệu điều chỉnh:.................................................................................................
A.1.3.4.6.5 Chứng minh của xe về xăng, nếu đã được cấp rồi:.................................................
.............................................................................................................................................
A.1.4 Hệ thống đánh lửa bằng tia lửa điện
A.1.4.1 Nhãn hiệu:..................................................................................................................
A.1.4.2 Kiểu:..........................................................................................................................
A.1.4.3 Nguyên lý làm việc:....................................................................................................
A.1.4.4 Đặc tính đánh lửa sớm(1):............................................................................................
A.1.4.5 Góc đánh lửa tĩnh (1):.............................. độ trước điểm chết trên:...............................
A.1.4.6 Khe hở tiếp điểm (1):...................................................................................................
A.1.4.7 Góc đóng tiếp điểm (1):...............................................................................................
A.1.4.8 Bugi:..........................................................................................................................
A.1.4.8.1 Nhãn hiệu:...............................................................................................................
A.1.4.8.2 Kiểu:.......................................................................................................................
A.1.4.8.3 Điều chỉnh khe hở gi:...............................................................................................
A.1.4.9 Cuộn dây đánh lửa:....................................................................................................
A.1.4.9.1 Nhãn hiệu:...............................................................................................................
A.1.4.9.2 Kiểu:.......................................................................................................................
A.1.4.10 Tụ đánh lửa:.............................................................................................................
A.1.4.10.1 Nhãn hiệu:.............................................................................................................
A.1.4.10.2 Kiểu:.....................................................................................................................
A.1.5 Các thông số điều chỉnh thời điểm hoạt động của van (xúp páp)
A.1.5.1 Hành trình (độ nâng) van lớn nhất và các góc mở và đóng so với các điểm chết hoặc số liệu tương đương
.............................................................................................................................................
A.1.5.2 Chuẩn và/hoặc phạm vi chỉnh đặt (2).............................................................................
A.1.6 Thiết bị được động cơ dẫn động
Công suất cho phép lớn nhất, do nhà sản xuất khai báo, được hấp thụ bởi thiết bị được động cơ dẫn động như được quy định trong và theo các điều kiện làm việc của quy định ECE 85 về độ công suất động cơ, tại các tốc độ động cơ được định nghĩa tại 3.14 và 3.17 của tiêu chuẩn này.
Trung gian: ............................................... kW, Danh định: .............................................. kW
A.1.7 Thông tin bổ sung về các điều kiện thử
A.1.7.1 Dầu bôi trơn được sử dụng........................................................................................
A.1.7.1.1 Nhãn hiệu:...............................................................................................................
A.1.7.1.2 Loại:.......................................................................................................................
(tỉ lệ phần trăm công bố của dầu bôi trơn trong hỗn hợp nếu dầu bôi trơn và nhiên liệu được pha trộn)
A.1.7.2 Thiết bị được động cơ dẫn động (nếu có thể áp dụng): ...............................................
A.1.7.2.1 Đánh số và nhận dạng các chi tiết:...........................................................................
A.1.7.2.2 Công suất hấp thụ tại những tốc độ chỉ thị của động cơ (theo quy định của nhà sản xuất)
| Thiết bị | Công suất hấp thụ (kW) tại các tốc độ động cơ khác nhau | |
| Trung gian | Danh định | |
|
|
|
|
|
|
|
|
|
|
|
|
|
|
|
|
|
|
|
|
|
|
|
|
| Tổng cộng |
|
|
A.1.7.3 Mức công suất chỉnh đặt của băng thử động cơ (kW)
| Phần trăm tải | Mức công suất chỉnh đặt của băng thử động cơ (kW) tại các tốc độ động cơ khác nhau | |
| Trung gian | Danh định | |
| 10 |
|
|
| 25 |
|
|
| 50 |
|
|
| 75 |
|
|
| 100 |
|
|
A.1.8 Đặc tính động cơ
A.1.8.1 Tốc độ động cơ
Không tải: ..................................................... vg/phút
Trung gian: ................................................... vg/phút
Danh định: ................................................... vg/phút
A.1.8.2 Công suất động cơ(3)
| Điều kiện | Công suất (kW) tại những tốc độ động cơ khác nhau | |
| Trung gian | Danh định | |
| (a) Công suất lớn nhất được đo khi thử (kW) |
|
|
| (b) Công suất hấp thụ toàn bộ bởi thiết bị được động cơ dẫn động theo A.1.7.2.2, (kW) |
|
|
| (c) Công suất động cơ, (kW) |
|
|
| (d) Công suất hấp thụ cho phép lớn nhất theo A.1.6, (kW) |
|
|
| (e) Công suất động cơ hữu ích nhỏ nhất, (kW) |
|
|
(c) = (a) + (b) và (e) = (c) - (d)
CHÚ THÍCH Phần A.1:
(1) Gạch phần không có.
(2) Xác định dung sai.
(3) Giá trị đo, không được hiệu chỉnh theo điều kiện chuẩn.
A.2 Đặc tính của các bộ phận của ôtô liên quan tới động cơ
(cho phê duyệt kiểu một kiểu ôtô liên quan đến động cơ của nó).
A.2.1 Mô tả ô tô
A.2.1.1 Nhãn hiệu:
A.2.1.2 Kiểu:.................
A.2.1.3 Tên và địa chỉ nhà sản xuất:
A.2.1.4 Kiểu động cơ và số phê duyệt:
A.2.2 Độ tụt áp suất nạp của hệ thống nạp tại tốc độ danh định (vg/ph) và ở 100% tải (1):... kPa
A.2.3 Áp suất ngược trên đường ống xả ở tốc độ danh định (vg/ph) và ở 100% tải (1): ......kPa
A.2.4 Công suất hấp thụ bởi thiết bị được động cơ dẫn động như quy định trong điều kiện làm việc của ECE 85 về đo công suất động cơ ở các tốc độ được định nghĩa tại 3.14 và 3.17 của tiêu chuẩn này.
| Thiết bị | Công suất hấp thụ (kW) tại những tốc độ động cơ khác nhau | |
| Trung gian | Danh định | |
|
|
|
|
|
|
|
|
|
|
|
|
|
|
|
|
|
|
|
|
|
|
|
|
| Tổng cộng |
|
|
(1) nằm trong giới hạn quy định tại A.1.1.17 và A.1.1.18 của phụ lục này.
PHỤ LỤC B
(quy định)
Thông số trong tài liệu khi kiểm tra khí thải theo EURO 1 và EURO 2 của cơ quan cấp chứng nhận để kiểm tra việc lắp đặt động cơ lên xe và sự phù hợp của sản phẩm trong sản xuất
B.1 Kiểu đốt cháy hỗn hợp: cháy do nén/cháy cưỡng bức (1)...................................................
B.2 Loại nhiên liệu:.................................................................................................................
B.3 Độ tụt áp suất nạp cho phép lớn nhất: ........................................................................ kPa
B.4 Áp suất ngược cho phép lớn nhất: ............................................................................. kPa
B.5 Công suất hấp thụ cho phép lớn nhất bởi thiết bị được động cơ dẫn động:
Trung gian ............................................... kW; Danh định: ................................................ kW
B.6 Những hạn chế khi sử dụng (nếu có):
B.7 Các mức phát thải - Các giá trị thử khí thải bằng quy trình 13 chế độ
CO .................... g/kWh; HC .................................. g/kWh; NOx ................................... g/kWh
PT...................... g/kWh được xác định bằng một hệ thống lưu lượng toàn phần/từng phần (1)
B.8 Động cơ được đề nghị để thử:.........................................................................................
(1) Gạch phần không có.
PHỤ LỤC C
(quy định)
Các đặc điểm chủ yếu của động cơ (gốc) và thông tin liên quan đến thực hiện phép thử khi kiểm tra khí thải theo EURO 3 và EURO 4
C.1 Mô tả động cơ...............................................................................................................
C.1.1 Nhà sản xuất...............................................................................................................
C.1.2 Mã động cơ của nhà sản xuất......................................................................................
C.1.3 Chu kỳ: 4 kỳ/2kỳ (2)......................................................................................................
C.1.4 Số lượng và bố trí xi lanh:...........................................................................................
C.1.4.1 Đường kính lỗ xi lanh: ............................................................................................. mm
C.1.4.2 Hành trình pittông: ................................................................................................... mm
C.1.4.3 Thứ tự nổ:................................................................................................................
C.1.5 Dung tích động cơ:..................................................................................................... cm3
C.1.6 Tỉ số nén (3).................................................................................................................
C.1.7 Bản vẽ buồng cháy và đỉnh pittông:.............................................................................
C.1.8 Diện tích mặt cắt ngang nhỏ nhất của các cửa nạp và cửa xả........................................
C.1.9 Tốc độ không tải:........................................................................................................
C.1.10 Công suất hữu ích lớn nhất: ............................ kW tại tốc độ: ........................... vg/phút
C.1.11 Tốc độ cho phép lớn nhất của động cơ:.....................................................................
C.1.12 Mô men xoắn hữu ích lớn nhất: ...................... Nm tại tốc độ: .......................... vg/phút
C.1.13 Mô tả hệ thống cháy: cháy do nén/cháy cưỡng bức (2)................................................
C.1.14 Nhiên liệu: điêzen/LPG/NG-H/NG-L/NG-HL (2)................................................................
C.1.15 Hệ thống làm mát......................................................................................................
C.1.15.1 Chất lỏng................................................................................................................
C.1.15.1.1 Loại chất lỏng......................................................................................................
C.1.15.1.2 Bơm tuần hoàn: Có/không (2)................................................................................
C.1.15.1.3 Đặc tính hoặc nhãn hiệu hoặc kiểu bơm: (nếu có thể áp dụng)................................
C.1.15.1.4 Tỉ số truyền động (nếu có thể áp dụng).................................................................
C.1.15.2 Không khí...............................................................................................................
C.1.15.2.1 Máy quạt (thổi): có/không (2).................................................................................
C.1.15.2.2 Đặc tính hoặc nhãn hiệu và kiểu quạt: (nếu có thể áp dụng)....................................
C.1.15.2.3 Tỉ số truyền động (nếu có thể áp dụng).................................................................
C.1.16 Nhiệt độ cho phép bởi nhà sản xuất...........................................................................
C.1.16.1 Chất lỏng làm mát. Nhiệt độ lớn nhất ở cửa:............................................................
C.1.16.2 Làm mát bằng không khí: Điểm chuẩn......................................................................
Nhiệt độ lớn nhất tại điểm chuẩn ...................................................................................... K
C.1.16.3 Nhiệt độ lớn nhất của không khí nạp tại đầu ra của bộ phận làm mát trung gian đường nạp (nếu có thể áp dụng)
C.1.16.4 Nhiệt độ lớn nhất của khí thải tại chỗ ống (các ống) xả ngay cạnh phía ngoài của mặt bích (các mặt bích của ống góp (các ống góp) khí thải/tua bin tăng áp:..................... K
C.1.16.5 Nhiệt độ nhiên liệu: Nhỏ nhất ............................... K, lớn nhất: .......................... K
đối với động cơ điêzen tại đầu vào của bơm cao áp, và đối với các động cơ khí tại mức (cấp) cuối cùng của bộ điều chỉnh áp suất.
C.1.16.6 Đối với các động cơ khí thiên nhiên: áp suất nhiên liệu: Nhỏ nhất........................ kPa
lớn nhất ........................ kPa, tại mức (cấp) cuối cùng của bộ điều chỉnh áp suất (bộ giảm áp)
C.1.16.7 Nhiệt độ dầu bôi trơn: nhỏ nhất ............................. K, lớn nhất ............................ K
C.1.17 Thiết bị tăng áp: Có/không (2)......................................................................................
C.1.17.1 Nhãn hiệu...............................................................................................................
C.1.17.2 Kiểu.......................................................................................................................
C.1.17.3 Mô tả hệ thống (ví dụ, áp suất nạp lớn nhất, tổn thất, nếu có thể áp dụng).................
C.1.17.4 Bộ phận làm mát trung gian: Có/không (2).................................................................
C.1.18 Hệ thống nạp: Độ tụt áp suất nạp cho phép lớn nhất ở tốc độ danh định của động cơ và tại 100% tải như quy định trong và dưới các điều kiện hoạt động của TCVN 6565:2006:........ kPa
C.1.19 Hệ thống xả: áp suất ngược trên đường ống xả cho phép lớn nhất ở tốc độ danh định của động cơ và tại 100% tải như quy định trong và dưới các điều kiện hoạt động của TCVN 6565:2006: .............. kPa
Thể tích hệ thống xả: .................................. dm3
C.2 Các biện pháp chống ô nhiễm không khí
C.2.1 Thiết bị tái chế khí các te (mô tả và bản vẽ):..................................................................
...........................................................................................................................................
C.2.2 Các thiết bị kiểm soát ô nhiễm bổ sung (nếu có, và nếu không thì được viết bằng một tên khác)
C.2.2.1 Bộ biến đổi kiểu xúc tác: có/không(2).........................................................................
C.2.2.1.1 Nhãn hiệu:.............................................................................................................
C.2.2.1.2 Kiểu:.....................................................................................................................
C.2.2.1.3 Số lượng bộ biến đổi xúc tác và các thành phần:....................................................
C.2.2.1.4 Kích thước, hình dạng và thể tích của bộ biến đổi xúc tác........................................
C.2.2.1.5 Loại phản ứng xúc tác:...........................................................................................
C.2.2.1.6 Tổng lượng nạp liệu của các kim loại quí:...............................................................
C.2.2.1.7 Nồng độ tương đối:...............................................................................................
C.2.2.1.8 Chất nền (cấu tạo và vật liệu):.................................................................................
C.2.2.1.9 Mật độ lỗ:..............................................................................................................
C.2.2.1.10 Loại vỏ của bộ biến đổi xúc tác:...........................................................................
C.2.2.1.11 Vị trí của bộ biến đổi xúc tác (vị trí và các khoảng cách tham chiếu trong đường xả)
C.2.2.2 Cảm biến ôxy: Có/không (2).......................................................................................
C.2.2.2.1 Nhãn hiệu:.............................................................................................................
C.2.2.2.2 Kiểu:.....................................................................................................................
C.2.2.2.3 Vị trí:.....................................................................................................................
C.2.2.3 Phun không khí: có/không (2).....................................................................................
C.2.2.3.1 Kiểu (bơm không khí, xung không khí, ...):..............................................................
C.2.2.4 Tuần hoàn khí thải (EGR): có/không (2).......................................................................
C.2.2.4.1 Đặc tính (lưu lượng....):..........................................................................................
C.2.2.5 Bẫy hạt: Có/không (2)
C.2.2.5.1 Kích thước, hình dạng và kích thước của bẫy hạt:...................................................
C.2.2.5.2 Kiểu và thiết kế của bẫy hạt....................................................................................
C.2.2.5.3 Vị trí (khoảng cách chuẩn trong đường ống xả).......................................................
C.2.2.5.4 Phương pháp hoặc hệ thống tái sinh, mô tả và/hoặc bản vẽ
C.2.2.6 Các hệ thống khác: Có/không (2)................................................................................
C.2.2.6.1 Mô tả và sự làm việc..............................................................................................
C.3 Cung cấp nhiên liệu
C.3.1 Động cơ điêzen...........................................................................................................
C.3.1.1 Bơm cung cấp: Áp suất (3) …………………. kPa hoặc đường đặc tính (2).....................
C.3.1.2 Hệ thống phun..........................................................................................................
C.3.1.2.1 Bơm......................................................................................................................
C.3.1.2.1.1 Nhãn hiệu............................................................................................................
C.3.1.2.1.2 Kiểu....................................................................................................................
C.3.1.2.1.3 Lượng cấp: …. mm3(3) của mỗi hành trình hoặc chu trình ở tốc độ bơm …vg/phút
Khi phun hoàn toàn, hoặc đường đặc tính (2)(3).......................................................................
Nêu phương pháp áp dụng: Trên động cơ/trên băng của bơm (2)............................................
Nếu có điều khiển tăng áp, nêu đặc tính cung cấp nhiên liệu và áp suất tăng áp theo tốc độ động cơ
C.3.1.2.1.4 Sự phun sớm......................................................................................................
C.3.1.2.1.4.1 Đặc tính phun sớm (3):.......................................................................................
C.3.1.2.1.4.2 Góc phun sớm ở trạng thái tĩnh (3):.....................................................................
C.3.1.2.2 Ống phun..............................................................................................................
C.3.1.2.2.1 Độ dài ……………………………………………………………………………… mm
C.3.1.2.2.2 Đường kính trong: ……………………………………………………………….. mm
C.3.1.2.3 Vòi phun................................................................................................................
C.3.1.2.3.1 Nhãn hiệu:...........................................................................................................
C.3.1.2.3.2 Kiểu:...................................................................................................................
C.3.1.2.3.3 Áp suất mở: ………………………………………………………………………… kPa(3)
hoặc đường đặc tính (2)(3)......................................................................................................
C.3.1.2.4 Bộ điều tốc............................................................................................................
C.3.1.2.4.1 Nhãn hiệu............................................................................................................
C.3.1.2.4.2 Kiểu....................................................................................................................
C.3.1.2.4.3 Tốc độ khi bắt đầu trạng thái tới hạn ở toàn tải: …………………………... vg/phút
C.3.1.2.4.4 Tốc độ không tải lớn nhất: ……………………………………………………. vg/phút
C.3.1.2.4.5 Tốc độ không tải nhỏ nhất: …………………………………………………….vg/phút
C.3.1.3 Hệ thống khởi động ở trạng thái nguội.......................................................................
C.3.1.3.1 Nhãn hiệu..............................................................................................................
C.3.1.3.2 Kiểu:.....................................................................................................................
C.3.1.3.3 Mô tả:...................................................................................................................
C.3.1.3.4 Thiết bị trợ giúp khởi động phụ
C.3.1.3.4.1 Nhãn hiệu:...........................................................................................................
C.3.1.3.4.2 Kiểu:...................................................................................................................
C.3.2 Động cơ nhiên liệu khí (6)
C.3.2.1 Nhiên liệu: NG/LPG (2)
C.3.2.2 Bộ giảm áp hoặc bộ hóa hơi/bộ giảm áp (3)
C.3.2.2.1 Nhãn hiệu:.............................................................................................................
C.3.2.2.2 Kiểu
C.3.2.2.3 Số lượng giai đoạn giảm áp
C.3.2.2.4 Áp suất ở cấp cuối cùng lớn nhất: …………….. kPa, nhỏ nhất: ………………… kPa
C.3.2.2.5 Số điểm điều chỉnh chính:.......................................................................................
C.3.2.2.6 Số điểm điều chỉnh không tải
C.3.2.3 Hệ thống nhiên liệu: Thiết bị trộn/phun khí/phun chất lỏng/phun trực tiếp (2)..................
C.3.2.3.1 Điều chỉnh nồng độ hỗn hợp...................................................................................
C.3.2.3.2 Mô tả hệ thống và/hoặc sơ đồ và bản vẽ:...............................................................
C.3.2.4 Thiết bị trộn..............................................................................................................
C.3.2.4.1 Số lượng:..............................................................................................................
C.3.2.4.2 Nhãn hiệu:.............................................................................................................
C.3.2.4.3 Kiểu:.....................................................................................................................
C.3.2.4.4 Vị trí:.....................................................................................................................
C.3.2.4.5 Khả năng điều chỉnh:..............................................................................................
C.3.2.5 Phun ống góp nạp:...................................................................................................
C.3.2.5.1 Phun: đơn điểm/đa điểm (2)
C.3.2.5.2 Phun: liên tục/đồng thời/trình tự (2)
C.3.2.5.3 Thiết bị phun
C.3.2.5.3.1 Nhãn hiệu:...........................................................................................................
C.3.2.5.3.2 Kiểu:...................................................................................................................
C.3.2.5.3.3 Khả năng điều chỉnh:...........................................................................................
C.3.2.5.4 Bơm cung cấp (nếu có)
C.3.2.5.4.1 Nhãn hiệu:...........................................................................................................
C.3.2.5.4.2 Kiểu:...................................................................................................................
C.3.2.5.5 Vòi phun
C.3.2.5.5.1 Nhãn hiệu:...........................................................................................................
C.3.2.5.5.2 Kiểu:...................................................................................................................
C.3.2.6 Phun trực tiếp
C.3.2.6.1 Bơm phun/bộ giảm áp (2)
C.3.2.6.1.1 Nhãn hiệu:...........................................................................................................
C.3.2.6.1.2 Kiểu:...................................................................................................................
C.3.2.6.1.3 Thời điểm phun:..................................................................................................
C.3.2.6.2 Vòi phun
C.3.2.6.2.1 Nhãn hiệu:...........................................................................................................
C.3.2.6.2.2 Kiểu:...................................................................................................................
C.3.2.6.2.3 Áp suất mở/đặc tính (3)
C.3.2.7 Bộ điều khiển điện tử................................................................................................
C.3.2.7.1 Nhãn hiệu:.............................................................................................................
C.3.2.7.2 Kiểu:.....................................................................................................................
C.3.2.7.3 Khả năng có thể điều chỉnh:....................................................................................
C.3.2.8 Thiết bị riêng của nhiên liệu NG:
C.3.2.8.1 Phương án 1 (dành cho trường hợp phê duyệt động cơ đối với một vài thành phần nhiên liệu cụ thể)
C.3.2.8.1.1 Thành phần nhiên liệu
| Mêtan (CH4): | cơ bản ..……. % mol | nhỏ nhất ….…. %mol | lớn nhất ..……% mol |
| Êtan (C2H6): | cơ bản ..……. % mol | nhỏ nhất ….…. %mol | lớn nhất ..……% mol |
| Prôpan (C3H8): | cơ bản ..……. % mol | nhỏ nhất ….…. %mol | lớn nhất ..……% mol |
| Butan (C4H10): | cơ bản ..……. % mol | nhỏ nhất ….…. %mol | lớn nhất ..……% mol |
| C5/C5+: | cơ bản ..……. % mol | nhỏ nhất ….…. %mol | lớn nhất ..……% mol |
| Ô xy (O2): | cơ bản ..……. % mol | nhỏ nhất ….…. %mol | lớn nhất ..……% mol |
| Khí trơ (N2, He….) | cơ bản ..……. % mol | nhỏ nhất ….…. %mol | lớn nhất ..……% mol |
C.3.2.8.1.2 Vòi phun
C.3.2.8.1.2.1 Nhãn hiệu:........................................................................................................
C.3.2.8.1.2.2 Kiểu:................................................................................................................
C.3.2.8.1.2.3 Các bộ phận khác (nếu có)
C.3.2.8.2 Phương án 2 (chỉ áp dụng cho trường hợp phê duyệt một vài thành phần nhiên liệu cụ thể)
C.4 Xác định thời điểm đóng/mở van
C.4.1 Hành trình (Độ nâng) lớn nhất của các van và các góc mở và đóng van theo các điểm chết hoặc số liệu tương đương...........................................................................................................................................
C.4.2 Chuẩn và/hoặc các dải chỉnh đặt (2)
C.5 Hệ thống đánh lửa (động cơ cháy cưỡng bức)
C.5.1 Kiểu hệ thống đánh lửa:
Cuộn dây đánh lửa và bugi chung/cuộn dây đánh lửa và bugi riêng biệt/cuộn dây trên bugi/kiểu khác (qui định) (2)
C.5.2 Bộ điều khiển đánh lửa
C.5.2.1 Nhãn hiệu:................................................................................................................
C.5.2.2 Kiểu:........................................................................................................................
C.5.3 Đường cong đánh lửa sớm/bản đồ đánh lửa sớm (2)(3)
C.5.4 Góc đánh lửa (3):…………. độ trước điểm chết trên tại tốc độ ……………. vg/phút và áp suất tuyệt đối ở ống góp (MAP)............................................................... kPa.
C.5.5 Bugi
C.5.5.1 Nhãn hiệu:................................................................................................................
C.5.5.2 Kiểu:........................................................................................................................
C.5.5.3 Khe hở chỉnh đặt:....................................................................................................... mm
C.5.6 Cuộn dây đánh lửa
C.5.6.1 Nhãn hiệu:................................................................................................................
C.5.6.2 Kiểu:........................................................................................................................
C.6 Thiết bị dẫn động động cơ
Động cơ thử phải có trang bị phụ cần thiết cho động cơ hoạt động (ví dụ quạt, bơm nước ...) như quy định và trong điều kiện hoạt động nêu tại tiêu chuẩn TCVN 6565:2006.
C.6.1 Thiết bị phụ được lắp vào để thử nghiệm
Nếu không thể hoặc không thích hợp để lắp thiết bị phụ lên băng thử thì phải xác định công suất hấp thụ bởi chúng và phải trừ công suất này ra khỏi công suất động cơ đo được trong toàn bộ miền làm việc của chu trình thử.
C.6.2 Thiết bị phụ được tháo ra để thử nghiệm
Các thiết bị phụ chỉ cần cho hoạt động của xe (ví dụ máy nén khí, hệ thống điều hòa...) phải được tháo ra để thử. Những chỗ không thể tháo được, có thể xác định công suất hấp thụ bởi chúng và được cộng vào công suất động cơ đo được trong toàn bộ miền làm việc của chu trình thử.
C.7 Thông tin bổ sung về các điều kiện thử
C.7.1 Dầu bôi trơn được sử dụng:........................................................................................
C.7.1.1 Nhãn hiệu:................................................................................................................
C.7.1.2 Loại:........................................................................................................................
C.7.2 Thiết bị được động cơ dẫn động (nếu có):
Công suất hấp thụ bởi thiết bị phụ chỉ cần thiết được xác định nếu:
- Các thiết bị phụ cần cho vận hành động cơ, không được lắp vào động cơ và/hoặc
- Các thiết bị phụ không cần cho vận hành động cơ, được lắp vào động cơ
C.7.2.1 Đánh số và nhận dạng các chi tiết:............................................................................
C.7.2.2 Công suất hấp thụ tại những tốc độ chỉ thị của động cơ (theo quy định của nhà sản xuất)
| Thiết bị | Công suất hấp thụ (kW) tại các tốc độ động cơ khác nhau | ||||||
| Không tải | Thấp | Cao | A(7) | B(7) | C7) | Chuẩn (8) | |
| Thiết bị phụ cần cho vận hành động cơ (được trừ đi khỏi công suất động cơ) |
|
|
|
|
|
|
|
| Thiết bị phụ không cần cho vận hành động cơ (được cộng vào công suất động cơ) |
|
|
|
|
|
|
|
C.8 Đặc tính động cơ
C.8.1 Tốc độ động cơ (9)
Tốc độ thấp nth: .......................................vg/phút
Tốc độ cao nc: .........................................vg/phút
Đối với chu trình thử ESC và ELR:
Không tải: ..............................................vg/phút
Tốc độ A: ...............................................vg/phút
Tốc độ B:................................................vg/phút
Tốc độ C: ..............................................vg/phút
Đối với chu trình thử ETC:
Tốc độ chuẩn: .......................................vg/phút
C.8.2 Công suất động cơ (được đo theo TCVN 6565:2006), kW
|
| Tốc độ động cơ | ||||
| Công suất được đo trên băng thử P(m) | Không tải | A(7) | B(7) | C(7) | Chuẩn(8) |
| Công suất hấp thụ bởi thiết bị phụ được lắp khi thử P(a): - Nếu được lắp - Nếu không được lắp | 0 | 0 | 0 | 0 | 0 |
| Công suất hấp thụ bởi thiết bị phụ được lắp khi thử P(b): - Nếu được lắp - Nếu không được lắp | 0 | 0 | 0 | 0 | 0 |
| Công suất hữu ích của động cơ P(n) = P(m) - P(a) + P(b) |
|
|
|
|
|
C.8.3 Các thông số chỉnh đặt băng thử động cơ (kW)
Các thông số chỉnh đặt băng thử cho thử ESC và ELR và cho chu trình chuẩn của thử ETC phải dựa vào công suất hữu ích P(n) nêu trên. Nên lắp động cơ lên băng thử trong điều kiện thực. Trong trường hợp này, P(m) và P(n) là một. Nếu không thể hoặc không thích hợp cho việc vận hành động cơ trong điều kiện thực, các thông số chỉnh đặt băng thử phải được hiệu chỉnh theo điều kiện thực bằng cách sử dụng công thức trên.
C.8.3.1 Thử ESC và ELR
Các thông số chỉnh đặt băng thử phải được tính theo công thức trong 1.2, Phụ lục G1, Phụ lục G.
| Phần trăm tải | Tốc độ động cơ | |||
| Không tải | A | B | C | |
| 10 |
|
|
|
|
| 25 |
|
|
|
|
| 50 |
|
|
|
|
| 75 |
|
|
|
|
| 100 |
|
|
|
|
C.8.3.2 Thử ETC
Nếu động cơ không được thử trong điều kiện thực thì công thức hiệu chỉnh để biến đổi công suất hoặc công chu trình được đo như được xác định tại điều 2, phụ lục G2, thành công suất hoặc công chu trình hữu ích phải do nhà sản xuất động cơ quy định cho toàn bộ miền hoạt động của chu trình và được cơ sở thử nghiệm đồng ý.
CHÚ THÍCH:
(1) Đối với động cơ và hệ thống không thông thường, các đặc điểm kỹ thuật tương đương với các đặc điểm nêu ở đây phải do nhà sản xuất cung cấp;
(2) Xóa phần không có;
(3) Quy định dung sai;
(6) Đối với hệ thống được bố trí khác, phải cung cấp thông tin tương đương;
(7) Thử ESC;
(8) Chỉ cho thử ETC;
(9) Quy định dung sai; trong phạm vi ±3% giá trị do nhà sản xuất công bố.
PHỤ LỤC C - PHỤ LỤC C1
(quy định)
Đặc tính của những bộ phận ôtô liên quan tới động cơ
1 Độ tụt áp suất nạp của hệ thống nạp tại tốc độ danh định (vg/ph) và ở 100% tải .......... kPa
2 Áp suất ngược trên đường ống xả ở tốc độ danh định (vg/ph) và ở 100% tải ............... kPa
3 Thể tích hệ thống xả: ...................................................................................................... cm3
4 Công suất hấp thụ bởi thiết bị phụ cần cho vận hành động cơ như quy định về điều kiện làm việc của ECE 85.
| Thiết bị | Công suất hấp thụ (kW) tại các tốc độ động cơ khác nhau | ||||||
| Không tải | Thấp | Cao | A(7) | B(7) | C(7) | Chuẩn (8) | |
| Thiết bị phụ cần cho vận hành động cơ |
|
|
|
|
|
|
|
PHỤ LỤC C - PHỤ LỤC C2
(quy định)
Đặc tính chủ yếu của họ động cơ
1 Thông số chung
1.1 Chu trình cháy:................................................................................................................
1.2 Chất làm mát:.................................................................................................................
1.3 Số xi lanh (1)...................................................................................................................
1.4 Thể tích làm việc của từng xi lanh:...................................................................................
1.5 Phương pháp nạp không khí:..........................................................................................
1.6 Kiểu / thiết kế buồng cháy:..............................................................................................
1.7 Van và cửa van - cấu hình, kích thước và số lượng:.........................................................
1.8 Hệ thống nhiên liệu:........................................................................................................
1.9 Hệ thống đánh lửa (động cơ khí):....................................................................................
1.10 Các đặc điểm khác
a. Tuần hoàn khí thải (1)
b. Phun/tạo nhũ tương nước (1)
c. Phun không khí (1)
d. Hệ thống làm mát đường nạp (1)
1.11 Xử lý sau khí thải (1):
Bằng chứng về tỉ lệ đồng nhất (hoặc thấp nhất đối với động cơ gốc): dung tích hệ thống/cung cấp nhiên liệu mỗi kỳ, theo số biểu đồ:.................................................................................................................................
2 Danh sách họ động cơ
2.1 Tên của họ động cơ điêzen:..............................................................................................
2.1.1 Đặc điểm của động cơ trong họ này:
|
|
| Động cơ gốc | |||
| Kiểu động cơ |
|
|
|
|
|
| Số xi lanh |
|
|
|
|
|
| Tốc độ danh định (vg/phút) |
|
|
|
|
|
| Cung cấp nhiên liệu mỗi kỳ (mm3) |
|
|
|
|
|
| Công suất hữu ích danh định (kW) |
|
|
|
|
|
| Tốc độ tại mô men xoắn lớn nhất (vg/phút) |
|
|
|
|
|
| Cung cấp nhiên liệu mỗi kỳ (mm3) |
|
|
|
|
|
| Mô men xoắn lớn nhất (Nm) |
|
|
|
|
|
| Tốc độ không tải thấp (vg/phút) |
|
|
|
|
|
| Dung tích làm việc của xi lanh (% của động cơ gốc) |
|
|
|
| 100 |
2.2 Tên của họ động cơ sử dụng khí
2.2.1 Đặc điểm của động cơ trong họ này:
|
|
| Động cơ gốc | |||
| Kiểu động cơ |
|
|
|
|
|
| Số xi lanh |
|
|
|
|
|
| Tốc độ danh định (vg/phút) |
|
|
|
|
|
| Cung cấp nhiên liệu mỗi kỳ (mm3) |
|
|
|
|
|
| Công suất hữu ích danh định (kW) |
|
|
|
|
|
| Tốc độ tại mô men xoắn lớn nhất (vg/phút) |
|
|
|
|
|
| Cung cấp nhiên liệu mỗi kỳ (mm3) |
|
|
|
|
|
| Mô men xoắn lớn nhất (Nm) |
|
|
|
|
|
| Tốc độ không tải thấp (vg/phút) |
|
|
|
|
|
| Dung tích làm việc của xi lanh (% của động cơ gốc) |
|
|
|
| 100 |
| Thời điểm đánh lửa |
|
|
|
|
|
| Lưu lượng tuần hoàn khí thải ERG |
|
|
|
|
|
| Bơm không khí: Có/không |
|
|
|
|
|
| Lưu lượng thực của bơm không khí |
|
|
|
|
|
CHÚ THÍCH - (1) Nếu không áp dụng, sử dụng dấu hiệu 'N/A'.
PHỤ LỤC C - PHỤ LỤC C3
(quy định)
Các đặc điểm chủ yếu của kiểu động cơ trong họ
Phụ lục này được yêu cầu đối với từng động cơ trong họ, có nội dung như Phụ lục C, từ C1 đến hết C5.
PHẦN I - KIỂM TRA KHÍ THẢI THEO MỨC EURO 1 VÀ EURO 2
PHỤ LỤC D
(quy định)
Phương pháp thử khí thải để kiểm tra theo mức EURO 1 và EURO 2
D.1 Giới thiệu
- Mục này mô tả phương pháp xác định các loại khí thải và hạt gây ô nhiễm từ động cơ được thử.
- Phép thử phải được thực hiện với động cơ được lắp trên một hệ thống thử bao gồm băng thử và các thiết bị khác.
D.2 Điều kiện thử động cơ
D.2.1 Phải đo nhiệt độ tuyệt đối (T) của không khí tại cửa nạp vào động cơ theo độ Kelvin và áp suất không khí khô (ps) theo kPa, và thông số F phải được xác định theo các mục sau đây:
D.2.2 Các động cơ tăng áp dẫn động cơ khí và động cơ hút tự nhiên
D.2.2.1 Động cơ C.I.
![]()
D.2.2.2 Động cơ cháy cưỡng bức
![]()
D.2.3 Động cơ tăng áp tuabin có hoặc không có làm mát không khí nạp:
D.2.3.1 Động cơ C.I.
![]()
D.2.3.2 Động cơ cháy cưỡng bức
![]()
D.2.4 Phép thử là đúng khi thông số F như sau:
0,96 ≤ F ≤ 1,06
D.3 Nhiên liệu
Nhiên liệu phải là nhiên liệu chuẩn được quy định tại Phụ lục E đối với động cơ C.I. và tại Phụ lục F đối với động cơ N.G. hoặc nhiên liệu có đặc tính kỹ thuật tương đương.
D.3.1 Đối với LPG, nhiên liệu phải có chất lượng thương mại, khối lượng riêng và nhiệt trị của nó phải được xác định và được ghi trong báo cáo.
D.4 Chu trình thử
D.4.1 Chu trình thử 13 chế độ (13 - mode cycle) sau đây phải được tuân theo trong vận hành băng thử động cơ:
| Chế độ (pha) | Tốc độ động cơ khi thử | Phần trăm tải L, % |
| 1 | Không tải | - |
| 2 | Trung gian | 10 |
| 3 | Trung gian | 25 |
| 4 | Trung gian | 50 |
| 5 | Trung gian | 75 |
| 6 | Trung gian | 100 |
| 7 | Không tải | - |
| 8 | Danh định | 100 |
| 9 | Danh định | 75 |
| 10 | Danh định | 50 |
| 11 | Danh định | 25 |
| 12 | Danh định | 10 |
| 13 | Không tải | - |
D.4.2 Tiến hành thử
Ít nhất hai giờ trước khi thử, mỗi bộ lọc (giấy lọc) để đo lượng phát thải của các hạt phải được đặt vào một đĩa Petri được đóng kín nhưng không bịt kín hẳn và được đặt trong buồng cân để ổn định (điều hòa) nhiệt độ. Vào lúc cuối mỗi giai đoạn ổn định, mỗi bộ lọc được cân và trọng lượng bì được ghi lại. Sau đó bộ lọc được cất giữ trong đĩa Petri - đĩa này phải vẫn còn nằm trong buồng cân, hoặc được cất giữ trong một bình chứa bộ lọc được nút kín cho tới khi được dùng để thử. Trong vòng một giờ sau khi lấy bộ lọc ra khỏi buồng cân, nếu bộ lọc không được sử dụng nó phải được cân lại trước khi sử dụng.
Trong mỗi chế độ của chu trình thử, tốc độ động cơ quy định phải được duy trì với khoảng sai số là ±50vg/ph và mô men xoắn đã quy định phải được duy trì với sai số là ±2% của mô men xoắn lớn nhất tại tốc độ thử của động cơ. Đối với động cơ C.I. nhiên liệu tại cửa nạp vào bơm cao áp phải có nhiệt độ bằng 306 - 316 K (330C - 430C). Bộ điều tốc và hệ thống nhiên liệu phải được điều chỉnh theo quy định trong tài liệu bán hàng và bảo dưỡng của nhà sản xuất.
Đối với động cơ N.G., nhiệt độ và áp suất nhiên liệu ở cấp cuối cùng của bộ giảm áp phải nằm trong khoảng quy định của nhà sản xuất; thiết bị hạn chế tốc độ và hệ thống nhiên liệu phải được điều chỉnh theo quy định trong tài liệu bán hàng và bảo dưỡng của nhà sản xuất.
Mỗi lần thử thực hiện các bước sau đây:
D.4.2.1 Dụng cụ và ống lấy mẫu phải được lắp ráp theo yêu cầu đề ra khi sử dụng một hệ thống pha loãng lưu lượng toàn phần để làm loãng khí thải, đuôi ống được nối vào hệ thống, và các mức hạn chế áp suất nạp và áp suất ngược của khí thải được điều chỉnh lại cho phù hợp. Lưu lượng toàn bộ phải được điều chỉnh để duy trì được nhiệt độ của khí thải đã được pha loãng không lớn hơn 325K (520C) ngay trước các bộ lọc hạt ở chế độ có dòng nhiệt lớn nhất như đã xác định theo lưu lượng và/hoặc nhiệt độ khí thải;
D.4.2.2 Hệ thống làm mát và hệ thống pha loãng lưu lượng toàn phần, hoặc hệ thống pha loãng lưu lượng một phần theo thứ tự, được khởi động.
D.4.2.3 Động cơ được khởi động và được làm ấm lên cho tới khi tất cả nhiệt độ và áp suất đạt tới trạng thái cân bằng.
D.4.2.4 Đặc tính mô men xoắn ở toàn tải phải được xác định bằng thực nghiệm để tính các giá trị mômen xoắn cho các chế độ thử quy định và để kiểm tra tính phù hợp của đặc tính động cơ được thử với những thông số kỹ thuật của nhà sản xuất. Đặc tính đã được hiệu chỉnh không được sai khác hơn ±4% về mômen xoắn hữu ích lớn nhất so với các giá trị do nhà sản xuất đã khai báo. Công suất hấp thụ cho phép lớn nhất bởi thiết bị được động cơ dẫn động, được nhà sản xuất khai báo để áp dụng cho kiểu động cơ, được tính đến khi xem xét. Mức công suất chỉnh đặt của băng thử đối với từng tốc độ và tải trọng động cơ được tính toán theo công thức sau:
s = Pmin x + Paux
trong đó:
s là mức chỉnh đặt băng thử;
Pmin là công suất hữu ích nhỏ nhất như chỉ ra trên dòng (e) trong bảng của A.1.8.2, Phụ lục A;
L là phần trăm tải như chỉ ra trong D.4.1;
Pmax là công suất hấp thụ cho phép toàn bộ của thiết bị được động cơ dẫn động trừ đi công suất của thiết bị bất kỳ nào được dẫn động thực sự bởi động cơ: (d) - (b) của A.1.8.2, Phụ lục A.
D.4.2.5 Các máy phân tích khí thải được chỉnh đặt tại điểm 0 (zero) và điều chỉnh thang đo. Khởi động hệ thống lấy mẫu hạt. Khi sử dụng hệ thống pha loãng lưu lượng một phần, tỉ lệ pha loãng phải được lập ra sao cho duy trì được nhiệt độ của khí thải đã được pha loãng không lớn hơn 325K (520C) ngay trước các bộ lọc hạt ở chế độ có dòng nhiệt lớn nhất được xác định theo lưu lượng và/hoặc nhiệt độ khí thải. Dải vận tốc khí thải và những dao động của áp suất, nếu có thể, được kiểm tra và được điều chỉnh theo yêu cầu của Phụ lục D4.
D.4.2.6 Trình tự thử được bắt đầu (xem D.4.1). Động cơ được chạy trong 6 phút ở mỗi chế độ, kết thúc việc theo đổi tốc độ và tải của động cơ trong phút thứ nhất. Các đường đặc tính của các máy phân tích được ghi cho cả sáu phút với dòng khí thải đi qua các máy phân tích ít nhất trong cả ba phút cuối cùng. Để lấy mẫu hạt, hai bộ lọc (bộ lọc chính và bộ lọc dự trữ, xem phụ lục D4) được sử dụng cho toàn bộ quá trình thử. Với một hệ thống pha loãng lưu lượng một phần, đối với mỗi chế độ, tỷ lệ kết quả pha loãng dòng khí thải chỉ được sai khác trong khoảng ±7% so với tỷ lệ trung bình của tất cả các chế độ. Với hệ thống pha loãng lưu lượng toàn phần, tỷ lệ lưu lượng khối lượng tổng cộng chỉ được sai khác trong khoảng ±7% so với tỷ lệ trung bình của tất cả các chế độ. Khối lượng mẫu được thấm qua các bộ lọc hạt (MSAM) phải được điều chỉnh ở mỗi chế độ có tính đến hệ số trọng lượng chế độ tổng thể và tỉ lệ lưu lượng khối lượng lượng nhiên liệu hoặc khí thải (xem Phụ lục D4). Thời gian lấy mẫu ít nhất là 20 giây. Việc lấy mẫu phải được thực hiện trong mỗi chế độ càng chậm càng tốt. Tốc độ và tải của động cơ, nhiệt độ không khí nạp và lưu lượng khí thải phải được ghi trong suốt năm phút cuối của từng chế độ, với những yêu cầu về tốc độ và tải phải được đáp ứng trong suốt thời gian lấy mẫu hạt, nhất là trong suốt phút cuối cùng của mỗi chế độ.
D.4.2.7 Phải đọc và ghi bất kỳ số liệu nào cần bổ sung cho việc tính toán (xem D.5)
D.4.2.8 Các mức chỉnh đặt 0 và chỉnh đặt dải đo của các máy phân tích khí thải phải được kiểm tra và chỉnh đặt lại, như yêu cầu, ít nhất ở cuối phép thử. Phép thử sẽ được coi là thỏa mãn yêu cầu nếu mức điều chỉnh cần thiết sau khi thử không lớn hơn độ chính xác của các máy được quy định tại 2.3.2 của Phụ lục D1.
D.5 Đánh giá số liệu
D.5.1 Vào lúc kết thúc phép thử, ghi lại khối lượng mẫu tổng cộng thấm qua bộ lọc (MSAM). Đặt các bộ lọc trở lại vào buồng cân và được ổn định ít nhất 2 giờ, nhưng không quá 36 giờ và sau đó cân. Khối lượng toàn bộ của các bộ lọc được ghi lại. Khối lượng hạt (Pt) là tổng của khối lượng các hạt được thu góp trên các bộ lọc chính và bộ lọc dự trữ.
D.5.2 Để đánh giá biểu đồ phát thải chất khí, phải xác định được 60 giây cuối cùng của từng chế độ và số đọc trung bình trên đồ thị đối với HC, CO và NOx trong mỗi chế độ được xác định từ những kết quả đọc trung bình và số liệu hiệu chuẩn tương đương. Tuy nhiên, một kiểu ghi khác có thể được sử dụng nếu nó đảm bảo thu được số liệu tương đương.
PHỤ LỤC D - PHỤ LỤC D1
(quy định)
Phương pháp đo và lấy mẫu
1 Chỉ dẫn chung
Các chất thải của động cơ được nói đến ở đây bao gồm hydrocacbon, cacbon mônôxit, nitơ ôxit và các hạt. Trong một chu trình thử đã quy định, số lượng các chất ô nhiễm trên được kiểm tra liên tục. Chu trình thử gồm một số chế độ tốc độ và công suất mà chúng thuộc toàn bộ dải chế độ làm việc điển hình của động cơ điêzen.
Trong mỗi chế độ thử, nồng độ mỗi chất khí ô nhiễm, lưu lượng khí thải, công suất đầu ra được xác định và các giá trị đo phải được cân. Đối với các hạt, việc lấy mẫu được thực hiện trong suốt chu trình thử cuối cùng. Tất cả các giá trị đo được tính ra gam cho mỗi chất gây ô nhiễm phát thải ra trên mỗi kilôoát giờ, như được mô tả trong của Phụ lục D3.
2 Thiết bị
2.1 Băng thử động cơ
Thiết bị sau đây phải được dùng để thử khí thải của động cơ trên các băng thử động cơ.
2.1.1 Một băng thử động cơ với những đặc tính phù hợp để thực hiện chu trình như mô tả trong D.4
2.1.2 Các dụng cụ đo tốc độ, mô men xoắn, tiêu hao nhiên liệu, tiêu thụ không khí, nhiệt độ chất làm mát và chất bôi trơn, áp suất khí thải và độ tụt áp tại ống góp khí nạp, nhiệt độ khí thải, nhiệt độ không khí nạp, áp suất không khí, độ ẩm và nhiệt độ nhiên liệu. Độ chính xác của những dụng cụ này phải thỏa mãn phương pháp đo công suất động cơ đốt trong của ôtô quy định tại ECE 85; các dụng cụ khác phải có độ chính xác thỏa mãn các yêu cầu sau đây:
2.1.2.1 Nhiệt độ
Nhiệt độ khí thải phải được đo với độ chính xác ±5K (±50C), nhiệt độ các chất khác phải được đo với độ chính xác ±1,5K (±1,50C).
2.1.2.2 Độ ẩm tuyệt đối
Độ ẩm tuyệt đối (H) phải được xác định với độ chính xác ±5%.
2.1.3 Một hệ thống làm mát động cơ với dung tích đủ để duy trì nhiệt độ làm việc của động cơ ở mức quy định trong suốt thời gian thử động cơ theo quy định.
2.1.4 Ở nơi mà có thể có rủi ro ảnh hưởng đáng kể đến công suất động cơ, hoặc khi nhà sản xuất yêu cầu, phải lắp một hệ thống khí thải đầy đủ khi chuẩn bị sử dụng, không cách nhiệt và không được làm mát, kéo dài ít nhất 0,5m sau chỗ lắp các ống lấy mẫu khí thải thô (ban đầu).
Trong các trường hợp khác, có thể lắp một hệ thống tương đương với điều kiện là áp suất đo ở đầu ra của hệ thống xả của động cơ không sai khác hơn 1000 Pa so với áp suất được quy định bởi nhà sản xuất.
Cửa thoát của hệ thống xả được xác định như một điểm cách 150 mm với phía cuối dòng khí thải so với điểm cuối của phần lắp vào động cơ của hệ thống xả.
2.1.5 Khi có một rủi ro ảnh hưởng đáng kể đến công suất động cơ, hoặc khi nhà sản xuất yêu cầu, phải lắp một hệ thống khí nạp đầy đủ khi chuẩn bị cho ứng dụng đã định.
Trong các trường hợp khác, có thể sử dụng một hệ thống tương đương và nên kiểm tra để xác định rằng áp suất nạp không sai khác hơn 100 Pa so với giới hạn đã được nhà sản xuất quy định đối với một bầu lọc không khí.
2.2 Lưu lượng khí thải
Để tính lượng phát thải cần biết lưu lượng khí thải (xem 1.1.1 của Phụ lục D3). Để xác định lưu lượng khí thải có thể sử dụng một trong các phương pháp sau đây.
2.2.1 Đo trực tiếp lưu lượng khí thải bằng ống phun lưu lượng hoặc hệ thống đo tương tự.
2.2.2 Đo lưu lượng không khí và lưu lượng nhiên liệu bằng các hệ thống đo thích hợp và tính lưu lượng khí thải bằng các công thức sau:
2.2.2.1 Đối với các động cơ C.I.
GEXH = GAIR + GFUEL
hoặc
V'EXH = V'AIR - 0,75GFUEL (thể tích khí thải khô)
hoặc
V"EXH = V"AIR + 0,77GFUEL (thể tích khí thải ướt)
Độ chính xác của việc xác định lưu lượng khí thải phải bằng ±2,5% hoặc tốt hơn. Nồng độ CO phải được đo trong khí thải khô. Phát thải CO phải được tính toán từ thể tích khí thải khô (V'EXH). Nếu lưu lượng khối lượng khí thải (GEXH) được sử dụng trong tính toán, nồng độ CO và NOx phải được gắn liền với khí thải ướt. Sự tính toán phát thải HC sẽ gồm cả GEXH và V"EXH theo phương pháp đo được sử dụng.
2.2.2.2 Đối với động cơ N.G.
GEXH = GAIR + GFUEL
hoặc
V'EXH = V'AIR - 1,35GFUEL (thể tích khí thải khô)
hoặc
V"EXH = V"AIR + 1,36GFUEL (thể tích khí thải ướt)
Độ chính xác của việc xác định lưu lượng khí thải phải là ±2,5% hoặc tốt hơn.
2.2.2.3 Đối với động cơ nhiên liệu LPG
V'EXH = V'AIR - GFUEL (thể tích khí thải khô)
hoặc
V"EXH = V"AIR + GFUEL (thể tích khí thải ướt)
2.3 Thiết bị lấy mẫu và phân tích
Phụ lục D4 mô tả hệ thống phân tích các chất khí và hạt gây ô nhiễm hiện nay. Có thể sử dụng các hệ thống khác hoặc các máy phân tích khác nếu cho được những kết quả tương đương.
2.3.1 Máy phân tích
Các chất khí gây ô nhiễm phải được phân tích bằng các máy phân tích sau đây:
2.3.1.1 Phân tích cacbon mônôxít (CO)
Máy phân tích CO phải là loại máy hấp thụ hồng ngoại không khuyếch tán (NDIR)
2.3.1.2 Phân tích hydrocacbon (HC)
Máy phân tích HC phải là máy loại dò ion hóa ngọn lửa chịu nhiệt (HFID). Do có hydrocacbon nặng trong khí thải điêzen, hệ thống HFID phải được nung nóng và duy trì ở nhiệt độ 453 - 473K (180-2000C). Nó phải được hiệu chuẩn theo quy định tại B.4.5.2 của Phụ lục B.
2.3.1.3 Phân tích Nitơ ôxit (NOx)
Máy phân tích nitơ ôxit (NOx) phải là loại máy quang hóa (CLA), quang hóa - nhiệt (HCLA) hoặc tương đương.
2.3.1.4 Phân tích cacbonđioxit (CO2) (để tính tỷ lệ pha loãng)
Máy phân tích CO2 phải là loại máy hấp thụ hồng ngoại không khuyếch tán (NDIR).
2.3.2 Độ chính xác
Các máy phân tích phải có một thang đo tương thích với độ chính xác yêu cầu để đo nồng độ các chất khí gây ô nhiễm trong mẫu khí thải. Sai số đo phải là ±2,5% sai lệch lớn nhất của thang đo hoặc tốt hơn. Đối với nồng độ nhỏ hơn 100 ppm, sai số đo phải không quá ±3ppm.
2.3.3 Làm khô khí
Các thiết bị làm khô khí tùy chọn không được ảnh hưởng đến hàm lượng chất ô nhiễm của dòng khí.
2.3.4 Lấy mẫu
Phải sử dụng một đường lấy mẫu chịu nhiệt để phân tích HC liên tục cùng với thiết bị dò ion hóa ngọn lửa (HFID) kể cả máy ghi (R). Trong suốt quá trình thử, nhiệt độ của hệ thống lấy mẫu đầy đủ phải được giữ trong khoảng 453 - 473K (180 - 2000C). Đường lấy mẫu chịu nhiệt phải được lắp với một bộ lọc chịu nhiệt (F) (hiệu suất 99% với các hạt xấp xỉ 0,3 mm). Một đường lấy mẫu chịu nhiệt thứ hai để phân tích NOx được sử dụng khi thích hợp. Nhiệt độ của đường này phải được điều khiển trong khoảng 368 - 473K (95-2000C). Đường lấy mẫu để phân tích CO (CO2) có thể là loại chịu nhiệt hoặc không.
2.3.5 Xác định các hạt
Việc xác định các hạt cần một hệ thống pha loãng có thể duy trì nhiệt độ của khí thải được pha loãng không quá 325K (520C) và để phòng sự ngưng tụ nước, cần một hệ thống lấy mẫu các hạt, các bộ lọc lấy mẫu hạt được quy định và một cân vi lượng mà nóc được đặt trong một buồng cân được điều hòa không khí. Việc pha loãng có thể được thực hiện bằng một hệ thống pha loãng lưu lượng đầy đủ hoặc một phần. Phụ lục D4 mô tả các hệ thống phân tích được dùng hiện nay. Có thể được sử dụng các hệ thống khác nếu cho được các kết quả tương đương.
PHỤ LỤC D - PHỤ LỤC D2
(quy định)
Phương pháp hiệu chuẩn
1 Chỉ dẫn chung
Mỗi máy phân tích phải được hiệu chuẩn thường xuyên tùy theo mức độ cần thiết để thỏa mãn yêu cầu về độ chính xác của phương pháp thử. Phương pháp hiệu chuẩn được mô tả trong phụ lục này dùng cho máy phân tích được chỉ ra tại 2.3 của Phụ lục D1.
2 Các loại khí
2.1 Khí tinh khiết
Những khí sau đây phải sẵn có cho việc hiệu chuẩn và vận hành:
Nitơ tinh khiết (độ tinh khiết ≤ 1ppm C, ≤ 1 ppm CO, ≤ 400 ppm CO2, ≤ 1 ppm NO);
Ôxy tinh khiết (độ tinh khiết ≥ 99,5% thể tích O2)
Hỗn hợp hydrô (40 ± 2% hydro, heli cân bằng) (độ tinh khiết ≤ 1 ppm C, ≤ 400 ppm CO2, ≤ 1 ppm NO) (hàm lượng ôxy giữa 18-21% thể tích);
Propan (độ tinh khiết tối thiểu: 99,5%)
2.2 Các khí hiệu chuẩn và khí hiệu chuẩn dải đo
Phải có những khí có thành phần hóa học sau đây:
Hỗn hợp của:
C3H8 và không khí tổng hợp tinh khiết (xem 2.1);
CO và nitơ tinh khiết;
NOx và nitơ tinh khiết (số lượng NO2 trong khí hiệu chuẩn này không được quá 5% hàm lượng NO);
Nồng độ thực của khí hiệu chuẩn và khí hiệu chuẩn dải đo phải có sai số trong khoảng ±2% của giá trị danh nghĩa. Tất cả nồng độ của các khí hiệu chuẩn phải được cho theo thể tích (phần trăm hoặc phần triệu thể tích).
Các khí dùng để hiệu chuẩn nói chung và hiệu chuẩn dải đo phải thu được bằng một thiết bị tách khí, pha loãng với N2 tinh khiết hoặc với không khí tổng hợp tinh khiết.
Độ chính xác của thiết bị trộn phải sao cho nồng độ của các khí hiệu chuẩn và khí hiệu chuẩn dải đo có thể được xác định với độ chính xác trong khoảng ±2%.
3 Quy trình vận hành đối với máy phân tích và hệ thống lấy mẫu.
Phương pháp thực hiện đối với máy phân tích phải theo các chỉ dẫn khởi động và thao tác của nhà sản xuất thiết bị. Yêu cầu tối thiểu sau đây phải được thỏa mãn.
4 Thủ tục hiệu chuẩn
4.1 Thủ tục hiệu chuẩn phải được thực hiện trong khoảng một tháng trước khi thử khí thải. Bộ thiết bị phải được hiệu chuẩn và các đường cong hiệu chuẩn được kiểm tra theo các loại khí tiêu chuẩn. Phải dùng lưu lượng khí như khi lấy mẫu khí thải.
4.1.1 Phải làm ấm thiết bị ít nhất trong 2 giờ.
4.1.2 Thực hiện kiểm tra sự rò rỉ của hệ thống. Dụng cụ lấy mẫu phải được tách ra khỏi hệ thống xả và được nút kín lại ở đầu ống. Bật công tắc cho máy bơm của máy phân tích chạy. Sau giai đoạn ổn định ban đầu tất cả các đồng hồ lưu lượng và áp suất phải chỉ ở điểm '0' (zêrô). Nếu không, các đường ống lấy mẫu phải được kiểm tra và khắc phục các rò rỉ.
4.1.3 Máy phân tích NDIR phải được điều chỉnh khi thích hợp, việc đốt ngọn lửa của máy phân tích HFID phải được tối ưu.
4.1.4 Các máy phân tích sử dụng không khí khô (hoặc nitơ), CO (CO2 nếu được sử dụng) và NOx tinh khiết phải được điều chỉnh điểm 0 (zêrô); không khí khô phải được sử dụng cho máy phân tích HC. Khi sử dụng các khí hiệu chuẩn thích hợp, các máy phân tích phải được chỉnh đặt lại.
4.1.5 Nếu cần thiết, việc điều chỉnh điểm 0 (zêrô) phải được kiểm tra lại và lặp lại thủ tục mô tả trong 4.1.4.
4.1.6 Các đồng hồ đo khí hoặc dụng cụ đo lưu lượng được dùng để xác định lưu lượng qua các bộ lọc các hạt và để tính tỷ lệ pha loãng được hiệu chuẩn bằng một thiết bị đo lưu lượng không khí tiêu chuẩn đặt phía trước (theo chiều dòng chảy) các dụng cụ đo. Thiết bị này phải phù hợp với các quy định của cơ quan tiêu chuẩn quốc gia của mỗi nước. Các điểm trên đường cong hiệu chuẩn liên quan với các phép đo thiết bị hiệu chuẩn phải phù hợp với giá trị nhỏ nhất trong hai giá trị sau: nằm trong khoảng ±1% dải hoạt động lớn nhất hoặc ±2% của điểm đó.
4.1.7 Khi sử dụng hệ thống pha loãng lưu lượng một phần với dụng cụ lấy mẫu đẳng động học, tỷ lệ pha loãng được kiểm tra với động cơ đang chạy bằng cách sử dụng CO2 hoặc NOx trong khí thải thô được pha loãng.
4.1.8 Khi sử dụng hệ thống pha loãng toàn phần, toàn bộ lưu lượng được kiểm tra bằng một phép kiểm tra prôpan. Lấy khối lượng đo được trừ đi khối lượng trọng trường của prôpan đã được phun vào hệ thống và sau đó chia cho khối lượng trọng trường đó. Bất kỳ sự sai khác nào lớn hơn ±3% đều phải được hiệu chỉnh lại.
4.2 Thiết lập đường cong hiệu chuẩn
4.2.1 Mỗi khoảng hoạt động sử dụng bình thường được hiệu chuẩn theo trình tự sau đây.
4.2.2 Đường đặc tính hiệu chuẩn được thiết lập bởi ít nhất 5 điểm hiệu chuẩn cách nhau càng đều càng tốt. Nồng độ danh nghĩa của khí hiệu chuẩn có nồng độ cao nhất phải không nhỏ hơn 80% của giá trị cao nhất của thang đo.
4.2.3 Đường đặc tính hiệu chuẩn được tính bằng phương pháp bình phương bé nhất. Nếu bậc đa thức kết quả lớn hơn 3, số điểm hiệu chuẩn ít nhất phải bằng bậc đa thức này cộng với 2.
4.2.4 Đường đặc tính hiệu chuẩn không được sai khác hơn ±2% so với giá trị danh nghĩa của mỗi khí hiệu chuẩn.
4.2.5 Vết của đường cong hiệu chuẩn
Theo vết của đường cong hiệu chuẩn và các điểm hiệu chuẩn có thể kiểm tra việc hiệu chuẩn được thực hiện chính xác hay không. Những thông số đặc tính khác nhau của máy phân tích phải được chỉ ra, đặc biệt là:
Thang đo,
Độ nhạy,
Điểm không,
Ngày thực hiện hiệu chuẩn.
4.2.6 Nếu cơ sở thử nghiệm cho thấy rằng mình có thể có những công nghệ thay thế có thể có độ chính xác tương đương (ví dụ máy tính, các bộ chuyển thang đo điều khiển điện tử v.v...) thì có thể sử dụng được những công nghệ thay thế này.
4.3 Kiểm tra xác nhận sự hiệu chuẩn
4.3.1 Mỗi dải hoạt động danh nghĩa được sử dụng của máy phải được kiểm tra trước mỗi lần phân tích theo các bước sau đây:
4.3.2 Sự hiệu chuẩn được kiểm tra với việc sử dụng khí hiệu chuẩn không và khí hiệu chuẩn dải đo mà giá trị danh nghĩa của chúng gần bằng giá trị giả định được phân tích.
4.3.3 Đối với 2 điểm được xem xét, nếu giá trị được tìm thấy đó không sai khác so với giá trị lý thuyết quá ±5% giá trị cao nhất của thang đo thì các thông số điều chỉnh có thể được sửa đổi. Ngoài trường hợp này ra, phải thiết lập một đường cong hiệu chuẩn theo 4.2 của phụ lục này.
4.3.4 Sau khi thử, khí hiệu chuẩn không và khí hiệu chuẩn dải đo cùng tên được sử dụng để kiểm tra lại. Phép phân tích sẽ được coi là có thể chấp nhận được nếu sự khác nhau giữa 2 kết quả đo nhỏ hơn 2%.
4.4. Thử hiệu suất của bộ biến đổi NOx
4.4.1 Hiệu chuẩn của bộ biến đổi NO2 thành NO trong hình D2.1 được thử như sau:
4.4.2 Bằng cách sử dụng phép thử quy định cuối Phụ lục D và quy trình dưới đây, hiệu suất của bộ biến đổi có thể được thử bằng một thiết bị ôzôn hóa.
4.4.3 Hiệu chuẩn máy phân tích quang hóa (CLA) trong khoảng hoạt động phổ biến nhất của máy theo quy định kỹ thuật của nhà sản xuất với việc sử dụng khí chuẩn điểm không và khí chuẩn dải đo (hàm lượng NO của nó phải bằng khoảng 80% của dải hoạt động và nồng độ NO2 của hỗn hợp khí nhỏ hơn 5% nồng độ của NO). Máy phân tích NOx phải ở trong chế độ NO sao cho khí chuẩn dải đo không đi qua bộ biến đổi. Ghi nồng độ chỉ thị.
4.4.4 Qua một ống chữ T, ôxy được bổ sung liên tục cho dòng khí chuẩn dải đo tới khi nồng độ chỉ thị nhỏ hơn khoảng 10% nồng độ tiêu chuẩn chỉ thị được cho tại 4.4.3. Ghi nồng độ chỉ thị (c). Thiết bị ion hóa được giữ không cho hoạt động trong suốt quá trình.
4.4.5 Bây giờ máy ion hóa được kích hoạt để sinh ra đủ ôzôn làm cho nồng độ NO giảm xuống 20% (nhỏ nhất là 10%) của nồng độ tiêu chuẩn chỉ thị được cho tại 4.4.3. Ghi nồng độ chỉ thị (d).
4.4.6 Máy phân tích NO được chuyển sang chế độ NOx, có nghĩa là hỗn hợp khí (gồm NO, NO2, O2 và N2) bây giờ đi qua bộ biến đổi. Ghi nồng độ chỉ thị (a).
4.4.7 Bây giờ thiết bị ôzon hóa ngừng hoạt động. Hỗn hợp khi mô tả tại 4.4.6 đi qua bộ biến đổi vào thiết bị dò. Ghi nồng độ chỉ thị (b).
4.4.8 Với sự ngừng hoạt động của thiết bị ôzôn hóa, lưu lượng ôxy hoặc không khí tổng hợp cũng ngừng cung cấp. Kết quả đọc NO của máy phân tích phải không sai lệch quá ±5% số được cho tại 4.4.3.
4.4.9 Hiệu suất bộ biến đổi NOx được tính như sau:
Hiệu suất (%) = ![]()
4.4.10 Hiệu suất của bộ biến đổi phải được thử trước mỗi lần hiệu chuẩn máy phân tích NOx.

Hình D2.1 - Sơ đồ thiết bị hiệu suất bộ biến đổi NOx
4.4.11 Hiệu suất của bộ biến đổi phải không nhỏ hơn 95%.
CHÚ THÍCH - Nếu khoảng hoạt động của máy phân tích cao hơn khoảng cao nhất mà bộ biến đổi NOx có thể hoạt động để tạo ra sự giảm từ 80% xuống 20% thì khoảng cao nhất đó của bộ biến đổi NOx sẽ được sử dụng.
4.5 Kiểm tra sự đáp trả hydrocacbon FID (thiết bị dò kiểu ion hóa ngọn lửa)
4.5.1 Tối ưu hóa đáp trả của thiết bị dò
FID phải được điều chỉnh theo quy định của nhà sản xuất thiết bị. Propan trong không khí sẽ được sử dụng để tối ưu hóa sự đáp trả trên dải hoạt động phổ biến nhất.
4.5.2 Hiệu chuẩn máy phân tích HC
Máy phân tích sẽ được hiệu chuẩn bằng sử dụng propan (C3H8) trong không khí và không khí tổng hợp tinh khiết. Xem 2.2 của Phụ lục này (khí hiệu chuẩn và khí hiệu chuẩn dải đo).
Lập một đường cong hiệu chuẩn như mô tả trong 4.2 và 4.3.4 của Phụ lục này.
4.5.3 Hệ số đáp trả của các hyđrôcacbon khác nhau và các giới hạn nên dùng.
Hệ số đáp trả (Rf), đối với một loại hyđrôcacbon cụ thể là tỷ số của số đo C1 của FID so với nồng độ bình khí, biểu diễn theo ppm C1.
Đối với dải hoạt động, nồng độ của khí thử phải ở mức tạo ra một đáp trả gần bằng 80% của độ lệch của toàn thang đo. Nồng độ phải đo được với độ chính xác ±2% so với mẫu chuẩn trọng lực theo thể tích. Hơn nữa bình khí phải được điều hòa nhiệt độ sơ bộ trong 24 giờ giữa 200C và 300C.
Hệ số đáp trả sẽ được xác định khi đưa máy phân tích vào bảo dưỡng và sau đó tại các bảo dưỡng chính định kỳ. Các khí thử được sử dụng và các hệ số đáp trả nên dùng so với một hệ số Rf = 1 đối với propan và không khí tinh khiết là:
- Mêtan và không khí tinh khiết: 1,00 ≤ Rf ≤ 1,15
- Propilen và không khí tinh khiết: 0,90 ≤ Rf ≤ 1,00
- Toluen và không khí tinh khiết: 0,90 ≤ Rf ≤ 1,00
4.5.4 Kiểm tra nhiễu ôxy và các giới hạn nên dùng
Rf sẽ được xác định như mô tả tại 4.5.3. Khí thử được dùng và khoảng hệ số đáp trả nên dùng là:
Propan và nitơ: 0,95 ≤ Rf ≤ 1,05
PHỤ LỤC D - PHỤ LỤC D3
(quy định)
Tính toán khí và hạt trong khí thải
1 Tính toán
1.1 Những kết quả thử trong báo cáo cuối cùng có được qua các bước sau đây:
1.1.1 Lưu lượng khối lượng khí thải GEXH hoặc V"EXH và V'EXH phải được xác định (xem 2.2 của Phụ lục D1) cho từng chế độ.
1.1.2 Khi áp dụng GEXH, các nồng độ đo được biến đổi thành một nồng độ ở trạng thái ướt theo 1.1.2.1 dưới đây nếu chưa đo ở trạng thái ướt.
1.1.2.1 Các nồng độ khí thải đo được trên một nền khô được biến đổi thành các nồng độ khí thải ở trạng thái ướt đặc trưng cho trạng thái trong khí thải theo quan hệ dưới đây:
1.1.2.1.1 Đối với động cơ C.I.:
ppm (trạng thái ướt) = ppm (trạng thái khô) x (1 - 1,85 GFUEL/GAIR)
trong đó:
GFUEL là lưu lượng nhiên liệu (kg/s) (kg/h)
GAIR là lưu lượng không khí (kg/s) (kg/h) (không khí khô)
1.1.2.1.2 Đối với động cơ N.G
Nồng độ W (trạng thái ướt) = Nồng độ D (trạng thái khô) x (1 - 3,15 GFUEL/GAIR)
Trong đó
GFUEL là lưu lượng nhiên liệu (kg/s) (kg/h)
GAIR là lưu lượng không khí (kg/s) (kg/h)
1.1.2.1.3 Đối với động cơ LPG:
ppm (trạng thái ướt) = ppm (trạng thái khô) x (1 - 2,40 GFUEL/GAIR)
trong đó:
GFUEL là lưu lượng nhiên liệu (kg/s) (kg/h)
GAIR là lưu lượng không khí (kg/s) (kg/h) (không khí khô)
1.1.3 Nồng độ NOx phải được hiệu chỉnh về độ ẩm theo 1.1.3.1 đối với động cơ C.I và 1.1.3.2 đối với động cơ N.G.
1.1.3.1 Hệ số hiệu chỉnh NOx của động cơ C.I.
Các giá trị của các nitơ ôxit phải được nhân với hệ số hiệu chỉnh độ ẩm sau đây
![]()
Trong đó

T = nhiệt độ không khí (K)
= tỷ lệ nhiên liệu - không khí (trạng thái không khí khô)
H = độ ẩm không khí nạp (g H2O/kg không khí khô)
trong đó:
![]()
Trong đó
Ra là độ ẩm tương đối của không khí xung quanh (%);
Pd là áp suất hơi bão hòa tại nhiệt độ không khí (kPa);
Pa là áp suất khí quyển (kPa)
1.1.3.2 Hệ số hiệu chỉnh NOx của động cơ N.G và LPG.
Các giá trị của các nitơ ôxit phải được nhân với hệ số hiệu chỉnh độ ẩm sau đây (KNOx)
KNOx = 0,6272 + 0,4403 H - 0,0008625 H 2
Trong đó H = độ ẩm không khí nạp (g H2O/kg không khí khô) (xem 1.1.3.1)
1.1.4 Lưu lượng khối lượng chất ô nhiễm đối với mỗi chế độ phải được tính như sau (chỉ đối với động cơ C.I)
(1) NOxmass = 0,001587 x NOxnồng độ x GEXH
(2) COmass = 0,000966 x COnồng độ x GEXH
(3) HCmass = 0,000478 x HCnồng độ x GEXH
hoặc
(1) NOxmass = 0,00205 x NOxnồng độ x V'EXH (khô)
(2) NOxmass = 0,00205 x NOxnồng độ x V"EXH (ướt)
(3) COmass = 0,00125 x COnồng độ x V'EXH (khô)
(4) HCmass = 0,000618 x HCnồng độ x V"EXH (ướt)
1.1.5 Lưu lượng khối lượng chất ô nhiễm đối với động cơ NG và chế độ đo, giả thiết khối lượng riêng của khí thải bằng 1,249 kg/m3, phải được tính như sau:
(1) NOxmass = 0,001641 x NOxnồng độW x GEXH
(2) COmass = 0,001001 x COnồng độW x GEXH
(3) HCmass = 0,000563 x HCnồng độw x GEXH1)
Hoặc
(1) NOxmass = 0,00205 x NOxnồng độD x V'EXH (khô)
(2) COmass = 0,00125 x COnồng độD x V'EXH (khô)
(3) HCmass = 0,000703 x HCnồng độD x V"EXH (khô) (1)
Khí thải phải được tính theo công thức sau:



Pi là các giá trị đo
Các hệ số trọng lượng được dùng trong tính toán trên theo bảng D3.1 sau đây
Bảng D3.1 - Hệ số trọng lượng
| Chế độ | Hệ số trọng lượng (WF) |
| 1 | 0,25/3 |
| 2 | 0,08 |
| 3 | 0,08 |
| 4 | 0,08 |
| 5 | 0,08 |
| 6 | 0,25 |
| 7 | 0,25/3 |
| 8 | 0,10 |
| 9 | 0,02 |
| 10 | 0,02 |
| 11 | 0,02 |
| 12 | 0,02 |
| 13 | 0,25/3 |
1.1.7 Lưu lượng khối lượng chất ô nhiễm đối với động cơ LPG và chế độ đo, phải được tính như sau:
(1) NOxmass = 0,001587 x NOxnồng độ x GEXH
(2) COmass = 0,000966 x COnồng độ x GEXH
(3) HCmass = 0,000505 x HCnồng độ x GEXH
Hoặc
(1) NOxmass = 0,00205 x NOxnồng độ x V'EXH (khô)
(2) NOxmass = 0,00205 x NOxnồng độ x V"EXH (ướt)
(3) COmass = 0,00125 x COnồng độ x V'EXH (khô)
(4) HCmass = 0,000653 x HCnồng độ x V"EXH (ướt)
1.2 Phát thải hạt được tính theo cách sau. Công thức chung này được áp dụng cho cả hai hệ thống pha loãng toàn phần và hệ thống pha loãng một phần:
![]()
Trong đó WF như 1.1.5.
1.2.1 Lưu lượng khối lượng hạt được tính như sau:
![]()
Hoặc
![]()
1.2.2 GEDF, V"EDF, MSAM, VSAM trong suốt chu trình thử được xác định bằng tổng giá trị trung bình của các chế độ riêng biệt.

1.2.3 Hệ số trọng lượng hiệu quả WFE đối với từng chế độ được tính bằng cách sau:
![]()
hoặc
![]()
Giá trị của các Hệ số trọng lượng hiệu quả phải bằng các Hệ số trọng lượng được liệt kê trong 1.1.5 của phụ lục này với sai số ±0,003.
1.2.4 Những kết quả thử báo cáo cuối cùng của phát thải các hạt nhận được qua các bước sau đây, khi sử dụng hệ thống pha loãng toàn phần (Phụ lục D, hệ thống 2):
1.2.4.1 Tỷ lệ lưu lượng thể tích khi thải pha loãng V"TOT được xác định qua tất cả các chế độ, V"TOT tương ứng với V"EDF,i trong các công thức chung của 1.2.2.
1.2.4.2 Khi sử dụng một hệ thống pha loãng đơn, MSAM bằng khối lượng thấm qua các bộ lọc mẫu (GF1 trong Phụ lục D, hệ thống 2)
1.2.4.3 Khi sử dụng một hệ thống pha loãng kép, MSAM bằng khối lượng thấm qua các bộ lọc mẫu (GF1 trong Phụ lục D, hệ thống 2) trừ đi khối lượng của không khí pha loãng thứ cấp (GF2 trong Phụ lục D, hệ thống 2).
1.3 Kết quả thử phát thải các hạt trong báo cáo cuối cùng phải được trích ra qua các bước sau đây, khi sử dụng hệ thống pha loãng một phần (phụ lục D, hệ thống 3). Vì có những loại điều khiển tỉ lệ pha loãng khác nhau được sử dụng nên những phương pháp tính khác nhau đối với GEDF hoặc V"EDF cũng được sử dụng. Tất cả tính toán dựa vào các giá trị trung bình của các chế độ riêng trong giai đoạn lấy mẫu.
1.3.1 Loại lấy mẫu phân đoạn có ống lấy mẫu đẳng động học
GEDF,i = GEXH,i x qi
hoặc:
V"EDF,i = V"EXH,i x qi
![]()
hoặc:
![]()
ở đây r tương ứng với tỉ số các diện tích mặt cắt ngang của dụng cụ lấy mẫu đẳng động học và của ống xả:
r =
1.3.2 Loại lấy mẫu phân đoạn với phép đo CO2 hoặc NOx
GEDF,i = GEXH,i x qi
Hoặc
V"EDF,i = V"EXH,i x qi
![]()
Trong đó
Nồng độE = nồng độ khí thải thô
Nồng độD = nồng độ khí thải đã pha loãng
Nồng độA = nồng độ không khí đã pha loãng
Các nồng độ được đo ở trạng thái khô được biến đổi thành một nồng độ ướt theo 1.1.2.1 của phụ lục này.
1.3.3 Loại lấy mẫu toàn phần với phép đo CO2 và phương pháp cân bằng cacbon
(động cơ C.I)
Hoặc
(động cơ LPG)
Hoặc
(động cơ NG)
Trong đó:
CO2D = nồng độ CO2 của khí thải đã pha loãng
CO2A = nồng độ CO2 của không khí đã pha loãng
(nồng độ % thể tích ở trạng thái ướt)
Công thức này dựa trên giả thiết cân bằng cacbon (các nguyên tử cacbon cung cấp cho động cơ được phát thải thành CO2) và thu được qua các bước sau:
GEDF,i = GEXH,i x qi
![]()
1.3.4 Loại lấy mẫu toàn phần có kiểm soát lưu lượng khối lượng
GEDF,i = GEXH,i x qi
![]()
PHỤ LỤC D - PHỤ LỤC D4
(quy định)
Các hệ thống lấy mẫu và phân tích
1 Xác định lượng khí thải 1)
1.1 Hệ thống 1 (HCLA hoặc hệ thống tương đương)
Một sơ đồ mạch của hệ thống lấy mẫu và phân tích sử dụng HCLA hoặc các hệ thống tương đương để đo NOx được cho trong hình D4.1 của phụ lục này.
SP- Dụng cụ lấy mẫu bằng thép không gỉ để thu mẫu từ khí thải. Nên dùng một ống lấy mẫu thẳng có nhiều lỗ ngang, đầu cuối bịt kín với chiều dài đút vào trong ống xả ít nhất bằng 80% của ống lấy mẫu. Nhiệt độ khí thải tại ống lấy mẫu phải không quá 343K (730C). Đối với động cơ N.G, ống lấy mẫu phải được lắp cách ống góp khí thải hoặc cách mặt bích tuabin nạp từ 1,5 đến 2,5m.
HSL1- Ống lấy mẫu kiểu chịu nhiệt, nhiệt độ phải được giữ ở 453 - 473K (180-2000C); ống phải được chế tạo bằng thép không gỉ hoặc PTFE.
F1 - Bộ lọc trước kiểu chịu nhiệt, nếu được sử dụng; nhiệt độ phải bằng nhiệt độ của HSL1.
T1 - Chỉ số nhiệt độ của dòng mẫu đi vào khoang lò.
V1 - Van thích hợp cho sự chọn mẫu, không khí hoặc khí chuẩn dải đo hoặc lưu lượng khí đi vào hệ thống. Van phải ở trong khoang lò hoặc được nung nóng tới nhiệt độ của ống lấy mẫu HSL1.
V2, V3 - Các van kim để điều khiển khí hiệu chuẩn và khí zêrô.
F2 - Bộ lọc để loại bỏ các hạt. Một đĩa lọc kiểu sợi thủy tinh đường kính 70mm là phù hợp. Bộ lọc phải dễ dàng lấy ra/đặt vào và thay đổi hàng ngày hoặc thường xuyên hơn khi cần thiết.
P1 - Bơm mẫu chịu nhiệt
G1 - Đồng hồ áp suất để đo áp suất trong ống lấy mẫu của máy phân tích HC
R3 - Van điều chỉnh áp suất để điều khiển áp suất trong ống lấy mẫu và của dòng khí đi vào thiết bị dò.
HFID - Thiết bị dò hydrocacbon kiểu ion hóa ngọn lửa chịu nhiệt. Nhiệt độ của khoang lò phải được giữ ở 453 - 473 K (180 - 2000C).
FL1, FL2, FL3 - Đồng hồ lưu lượng để đo lưu lượng mẫu rò rỉ.
R1, R2 - Các bộ điều chỉnh áp suất không khí và nhiên liệu.
HSL2 - Ống lấy mẫu kiểu chịu nhiệt, nhiệt độ phải được giữ trong khoảng 368K - 473K (95-2000C); đường ống phải được chế tạo bằng thép không gỉ hoặc PTFE.
HCLA - Máy phân tích NOx kiểu quang hóa nhiệt.
T2 - Nhiệt độ chỉ thị của dòng khí mẫu đi vào HCLA.
T3 - Nhiệt độ chỉ thị của bộ biến đổi NO2 - NO.
V9, V10 - Van 3 chiều để đi vòng qua bộ biến đổi NO2 - NO.
V11 - Van kim cân bằng lưu lượng qua bộ biến đổi NO2 - NO và để đi vòng qua bộ biến đổi NO2 - NO.
SL - Ống dẫn khí mẫu, ống phải được chế tạo bằng PTFE hoặc thép không gỉ. Nó có thể được chịu nhiệt hoặc không.
B - Thùng làm mát và ngưng tụ nước từ khí thải. Thùng đó phải được duy trì ở nhiệt độ 273K đến 277K (00C đến 40C) bằng nước đá hoặc làm lạnh.
C - Ống xoắn làm lạnh và bộ gom có khả năng ngưng tụ và thu gom hơi nước (chọn kèm theo máy phân tích không chạy cảm nước).
T4 - Nhiệt độ chỉ thị của nhiệt độ bộ gom.
V5, V6 - Các van lật để tháo nước các bộ gom và ống xi - phông ngưng tụ.
R4, R5 - Bộ điều chỉnh áp suất để kiểm soát lưu lượng mẫu
V7, V8 - Van bi hoặc các van từ để dẫn các dòng khí mẫu, khí zêrô và khí hiệu chuẩn vào máy phân tích.
V12, V13 - Các van kim điều khiển lưu lượng vào máy phân tích.
CO - Máy phân tích CO kiểu NDIR
NOx - Máy phân tích NOx kiểu HCLA
FL4, FL5 - Đồng hồ đo lưu lượng khí rò rỉ
V4, V14 - Các van từ hoặc van bi 3 chiều. Các van này phải ở trong khoang lò hoặc được nung nóng tới nhiệt độ của đường khí mẫu HSL1.

Các thuật ngữ tiếng Anh trong Hình D4.1
| Air | Không khí | Heated sample line (HSL) | Đường lấy mẫu chịu nhiệt |
| Span gas |
| Temperature gauge (T) | Đồng hồ đo nhiệt độ |
| Zero gas | Khí 0/ khí zero | Calibration gas | Khí hiệu chuẩn |
| Fuel | Nhiên liệu | Pressure gauge (G) | Đồng hồ đo áp suất |
| Exhaust | Khí thải | Bath cooler (H) | Thùng làm mát |
| Back flush |
| Filter (F) | Lọc |
| Sample probe (SP) | Đầu lấy mẫu | Sample pump (P) | Bơm mẫu chịu nhiệt |
| Heated airfilter (F) | Lọc không khí chịu nhiệt | Heated oven | Lò nung |
| Converter | Bộ biến đổi khí thải | Needle valve (V) | Van kim |
| Analyser | Máy phân tích khí thải | Pressure regulator (R) | Bộ điều chỉnh áp suất |
| Drain valve (V) | Van xả | Three - way valve | Van 3 chiều |
| Selecting valve (V) | Van chọn | Flowmeter (FL) | Đồng hồ đo lưu lượng |
| Vent | Venturi | Heated | Chịu nhiệt/gia nhiệt |
Hình D4.1 - Sơ đồ hệ thống phân tích khí thải CO, NOx và HC
(phân tích bằng HCLA và ống dẫn khí mẫu chịu nhiệt)
2 Xác định phát thải hạt
Hai hệ thống lấy mẫu và pha loãng khác nhau về nguyên tắc (hệ thống pha loãng toàn phần và pha loãng một phần) được mô tả trong phần này. Yêu cầu kỹ thuật về bộ lọc, buồng cân bằng và buồng cân áp dụng cho cả hai hệ thống.
2.1 Bộ lọc lấy mẫu hạt
2.1.1 Cần có các bộ lọc sợi thủy tinh floruacacbon hoặc các bộ lọc (màng) gốc floruacacbon.
2.1.2 Các bộ lọc hạt phải có đường kính nhỏ nhất là 47mm (đường kính thấm hạt là 37 mm). Có thể chấp nhận các đường kính lớn hơn.
2.1.3 Khí thải đã pha loãng được lấy mẫu bằng hai bộ lọc đặt nối tiếp nhau theo trình tự thử (một lọc chính và một lọc dự phòng).
2.1.4 Tải nhỏ nhất trên lọc chính đường kính 47mm (đường kính thấm là 37mm) nên là 0,5 mg, trên một lọc chính đường kính 70 mm (đường kính thấm là 60 mm) nên là 1,3 mg.
2.1.5 Các tải tương đương nhỏ nhất là 0,5 mg/1075 mm2 (khối lượng/diện tích vùng thấm) nên dành cho các bộ lọc khác.
2.2 Buồng cân và yêu cầu kỹ thuật của cân vi lượng
2.2.1 Nhiệt độ của buồng (hoặc phòng) cân trong đó các bộ lọc hạt được điều hòa nhiệt độ và được cân phải được duy trì trong khoảng ±6K tại một điểm nhiệt độ ở giữa 293 và 303K (20 và 300C) trong quá trình điều hòa nhiệt độ và cân tất cả các bộ lọc. Độ ẩm tương đối phải được duy trì trong khoảng ±10% độ ẩm tương đối của điểm ở giữa 35% và 55%.
2.2.2 Môi trường của buồng (hoặc phòng) cân phải không có chất bẩn của không khí xung quanh (ví dụ bụi) mà chúng có thể lắng đọng trên các bộ lọc trong khi điều hòa nhiệt độ. Có ít nhất hai bộ lọc chuẩn không được sử dụng phải được cân trong vòng 4 giờ, nhưng nên cân đồng thời với cân bộ lọc mẫu. Nếu khối lượng trung bình của bộ lọc chuẩn thay đổi trong khi cân bộ lọc mẫu hơn ±6% của tải trên bộ lọc nhỏ nhất đã nêu, thì tất cả các bộ lọc mẫu bị hủy bỏ và các phép thử khí thải phải được lắp lại.
Trong trường hợp khối lượng thay đổi từ -3,0 đến -6,0%, nhà sản xuất được lựa chọn như sau: hoặc lặp lại phép thử hoặc cộng khối lượng trung bình đã bị mất vào khối lượng tinh của mẫu.
Trong trường hợp khối lượng thay đổi từ +3,0 đến +6,0%, nhà sản xuất được lựa chọn: hoặc lặp lại phép thử hoặc chấp nhận giá trị khối lượng bộ lọc mẫu đã đo.
Nếu khối lượng trung bình thay đổi không quá ±3% thì khối lượng bộ lọc mẫu đã đo được sử dụng. Các bộ lọc chuẩn phải cùng kích thước và vật liệu với các bộ lọc mẫu và được thay ít nhất một tháng một lần.
2.2.3 Cân vi lượng được dùng để xác định khối lượng tất cả các bộ lọc phải có độ chính xác 2% và khả năng đọc được 1% của tải trên bộ lọc nhỏ nhất đã nêu.
2.3 Yêu cầu kỹ thuật bổ sung
Tất cả các bộ phận của hệ thống pha loãng và lấy mẫu từ ống xả lên tới cái giữ bộ lọc liên quan tới khí thải pha loãng và khí thải thô phải được thiết kế để tối thiểu hóa sự kết tủa hoặc thay đổi các hạt. Tất cả các bộ phận phải được làm bằng chất dẫn điện mà không phản ứng với các thành phần khí thải, và phải được nối mát (đất) để phòng ngừa các hiệu ứng tĩnh điện.
2.4 Hệ thống 2 (hệ thống pha loãng toàn phần)
2.4.1 Hệ thống lấy mẫu hạt được mô tả trên cơ sở pha loãng toàn bộ khí thải bằng cách sử dụng nguyên lý CVS (lấy mẫu thể tích thay đổi).
Hình D4.2 là sơ đồ của hệ thống này. Lưu lượng toàn bộ của hỗn hợp khí thải và không khí pha loãng phải được đo, và một mẫu phải được thu gom lại để phân tích.
2.4.2 Khối lượng hạt được xác định tuần tự theo khối lượng mẫu được thu gom trên 2 bộ lọc, lưu lượng mẫu, từ lưu lượng toàn bộ của không khí pha loãng và khí thải trong suốt giai đoạn thử. Một PDP hoặc một CFV và một hệ thống pha loãng đơn hoặc kép có thể được sử dụng. Khí thải (không phải hạt) không được xác định bằng hệ thống CVS. Các bộ phận phải đáp ứng các yêu cầu sau đây:
EP (ống xả) - Độ dài ống xả từ cửa thoát của ống góp khí thải của động cơ hoặc lỗ thoát của máy nạp tua bin tới đường ống pha loãng phải không quá 10m. Nếu ống dài hơn 4 m so với yêu cầu thì đoạn ống 4 m đó phải được cách nhiệt. Độ dày hướng kính của phần cách nhiệt phải không nhỏ hơn 25 mm. Độ dẫn nhiệt của vật liệu cách nhiệt phải không quá 0,1 W/mk khi đo ở 673K (3000C)
PDP (bơm pittông) - Bơm pittông đo toàn bộ lưu lượng khí thải pha loãng theo số vòng quay và thể tích làm việc của bơm. Áp suất ngược trong hệ thống xả không được bị thấp đi một cách bất thường bởi PDP hoặc hệ thống nạp không khí pha loãng. Áp suất tĩnh được đo khi hệ thống CVS đang vận hành vẫn phải bằng áp suất tĩnh ±1,5 kPa được đo khi không nối với CVS ở cùng một tốc độ và phụ tải động cơ. Khi không sử dụng sự bù lưu lượng, nhiệt độ hỗn hợp khí ngay phía trước PDP phải bằng nhiệt độ làm việc trung bình ±6K được kiểm tra trong suốt quá trình thử.
CFV - Ống lưu lượng tới hạn Venturi đo toàn bộ lưu lượng khí thải pha loãng bằng cách duy trì lưu lượng ở các trạng thái nghẽn dòng (lưu lượng tới hạn). Những biến đổi áp suất tĩnh trong khí thải thô phải phù hợp với các yêu cầu chi tiết đối với PDP. Nhiệt độ hỗn hợp khí ngay trước CFV phải bằng nhiệt độ làm việc trung bình ±11K được kiểm tra trong suốt quá trình thử.
HE - Bộ trao đổi nhiệt phải đủ khả năng duy trì nhiệt độ trong giới hạn yêu cầu trên (nếu EFC được sử dụng thì HE là tùy chọn)
EFC - Nếu nhiệt độ đầu vào PDP hoặc CFV bị thay đổi, cần phải có một hệ thống tính lưu lượng điện tử để đo liên tục lưu lượng (tùy chọn nếu HE được sử dụng);
PDT - Đường ống pha loãng sơ cấp phải:
Có đường kính đủ nhỏ để gây ra dòng chảy rối (số Reynol > 4000) và đủ độ dài để gây ra sự hòa trộn hoàn toàn khí thải và không khí pha loãng.
Hệ thống pha loãng đơn có đường kính không nhỏ hơn 460mm hoặc hệ thống pha loãng kép có đường kính không nhỏ hơn 200 mm.
Khí thải động cơ phải hướng xuôi dòng tại điểm nó được dẫn vào đường ống pha loãng sơ cấp và được hòa trộn hoàn toàn.
SDS - Hệ thống pha loãng đơn thu gom mẫu từ đường ống pha loãng sơ cấp và sau đó đưa mẫu này qua các bộ lọc thu gom. Dung tích dòng của PDP hoặc CFV phải đủ để duy trì khí thải pha loãng ở một nhiệt độ không quá 325K (520C) ở ngay trước bộ lọc hạt sơ cấp.
DDS - Hệ thống pha loãng kép thu gom mẫu từ đường ống pha loãng sơ cấp và sau đó chuyển mẫu này vào một đường ống pha loãng thứ cấp, ở đó mẫu được pha loãng tiếp. Sau đó mẫu được pha loãng kép được đi qua các bộ lọc thu gom. Dung tích dòng của PDP và CFV phải đủ để duy trì dòng khí thải pha loãng trong PDP ở nhiệt độ không quá 464K (1910C) tại vùng lấy mẫu. Hệ thống pha loãng thứ cấp phải cung cấp đủ không khí pha loãng thứ cấp để duy trì dòng khí thải được pha loãng kép ở nhiệt độ không quá 325K (250C) ngay trước bộ lọc hạt sơ cấp.
PSP - Ống lấy mẫu hạt (chỉ đối với SDS) phải:
Được lắp đối diện ngược dòng khí ở chỗ không khí pha loãng và khí thải được hòa trộn tốt (tức là trên đường tâm của đường ống pha loãng, cách điểm ở đó khí thải đi vào đường ống pha loãng một đoạn gần 10 lần đường kính đường ống về phía xuôi dòng)
Đường kính trong không nhỏ hơn 12mm.
Khoảng cách từ đầu ống lấy mẫu tới cái giữ bộ lọc phải không quá 1020mm. Đầu ống lấy mẫu phải không bị nung nóng.
PTT - Đường ống vận chuyển hạt (chỉ cho DDS) phải:
Đường lắp đối diện ngược dòng khí ở chỗ không khí pha loãng và khí thải được hòa trộn tốt (tức là trên đường tâm của đường ống pha loãng, cách điểm ở đó khí thải đi vào đường ống pha loãng một đoạn gần 10 lần đường kính đường ống về phía xuôi dòng).
Đường kính trong tối thiểu là 12 mm.
Mặt phẳng đầu vào cách mặt phẳng đầu ra không quá 910mm. Mẫu hạt phải đi ra trên đường tâm của đường ống pha loãng thứ cấp và hướng xuôi dòng. Dụng cụ lấy mẫu phải không bị nung nóng.
SDT - Đường ống pha loãng thứ cấp (chỉ cho DDS) phải có đường kính không nhỏ hơn 75mm và đủ dài để mẫu pha loãng kép có một thời gian ít nhất là 0,25 giây lưu động trong đường ống. Cái giữ bộ lọc sơ cấp phải được đặt cách cửa ra của đường ống pha loãng thứ cấp không quá 300mm.
DAF - Không khí pha loãng có thể được lọc ở cửa nạp không khí pha loãng, phải có nhiệt độ 298K (250C) ± 5K và có thể được lấy mẫu để xác định các mức hạt nền mà sau đó có thể được trừ đi khỏi giá trị được đo trong khí thải đã pha loãng.
FH - Đối với bộ lọc sơ cấp và lọc dự phòng, có thể sử dụng một hộp lọc hoặc hộp lọc riêng biệt. Phải đáp ứng được các yêu cầu tại 2.1.3 của phụ lục này. Không được làm nóng những cái giữ bộ lọc.
SP - Bơm lấy mẫu hạt phải được đặt cách đường ống đủ mức sau cho nhiệt độ khí nạp được duy trì không đổi (±3K) nếu sự tính toán lưu lượng không được sử dụng. Các bơm lấy mẫu phải chạy trong suốt quy trình thử đầy đủ. Một hệ thống đi vòng được sử dụng để cho mẫu đi qua các bộ lọc mẫu.
DP - Bơm không khí pha loãng, (chỉ đối với DDS) phải được bố trí để không khí pha loãng thứ cấp được cung cấp ở nhiệt độ 298K (250C) ± 5K.
GF1 - Nếu việc tính toán lưu lượng không được sử dụng, đồng hồ đo khí hoặc dụng cụ đo lưu lượng (đối với lưu lượng mẫu hạt) phải được bố trí ở khoảng cách đủ mức so với đường ống sao cho nhiệt độ khí nạp giữ không đổi ±3K.
GF2 - Đồng hồ đo khí hoặc dụng cụ đo lưu lượng (không khí pha loãng, chỉ đối với DDS) phải được bố trí sao cho nhiệt độ khí nạp được giữ ở 298K (250C) ±5K.
2.5 Hệ thống 3 (hệ thống pha loãng một phần)
2.5.1 Một hệ thống lấy mẫu hạt được mô tả dựa trên sự pha loãng một phần của khí thải. Hình D4.3 là một sơ đồ của hệ thống này. Khối lượng hạt phát thải được xác định theo một mẫu được thu gom trên một cặp bộ lọc và theo tỷ lệ pha loãng, lưu lượng mẫu và lưu lượng khí thải hoặc lưu lượng nhiên liệu trong suốt giai đoạn thử.
2.5.2 Sự tính toán tỉ lệ pha loãng phụ thuộc vào loại hệ thống sử dụng. Chỉ một phần khí thải đã pha loãng (loại lấy mẫu một phần rất nhỏ) hoặc tất cả khí thải đã pha loãng (loại lấy mẫu toàn phần) có thể được lấy mẫu. Tất cả các loại được mô tả ở đây tương đương với điều kiện là chúng phù hợp với các yêu cầu nêu tại 4.2.6 và tại 1.1.6.3. Phụ lục D3. Các bộ phận phải đáp ứng những yêu cầu sau:
EP - Đối với các loại không có dụng cụ lấy mẫu đẳng động học, cần có một ống thẳng dài bằng 6 lần đường kính ống phía trước và 3 lần đường kính ống phía sau đầu dụng cụ lấy mẫu.
Đối với các loại có dụng cụ lấy mẫu đẳng động học, ống xả phải không bị gấp khuỷu tay, cong và thay đổi đường kính đột ngột ít nhất là 15 lần đường kính ống phía trước và 4 lần đường kính ống phía sau đầu ống lấy mẫu. Vận tốc khí thải vùng lấy mẫu phải cao hơn 10m/s và thấp hơn 200m/s.
Các dao động áp suất của khí thải, trung bình không được vượt quá 500Pa. Bất kỳ bước giảm dao động áp suất nào trừ việc sử dụng một hệ thống xả loại khung (có bầu giảm âm) không được làm thay đổi đặc tính động cơ và không gây ra sự kết tủa các hạt.
PR - Dụng cụ lấy mẫu phải được lắp đối diện ngược dòng khí trên đường tâm ống xả tại điểm mà những điều kiện về dòng khí ở trên được đáp ứng. Đường kính trong nhỏ nhất là 4 mm.
ISP - Dụng cụ lấy mẫu đẳng động học (mẫu đẳng động học gồm các hạt trong dòng chất lỏng hoặc son khí đi vào miệng dụng cụ lấy mẫu với cùng vận tốc thẳng của dòng chất lỏng tại điểm ngay trước đầu lắp vào của dụng cụ lấy mẫu) (tùy chọn nếu sử dụng EGA hoặc điều khiển lưu lượng khối lượng) phải được thiết kế để cung cấp một mẫu tương xứng với khí thải thô. Để đạt mục đích này, ISP thay thế PR như đã nói trên và phải được nối với bộ chuyển đổi áp suất vì sai và một bộ điều khiển tốc độ để đạt được dòng đẳng động học ở đầu mút dụng cụ lấy mẫu. Đường kính trong phải không nhỏ hơn 12 mm.
EGA - Các máy phân tích khí thải (tùy chọn sử dụng ISP hoặc điều khiển lưu lượng khối lượng) để phân tích CO2 hoặc NOx có thể được sử dụng (với phương pháp cân bằng cacbon chỉ dùng để phân tích CO2). Các máy phân tích phải được hiệu chuẩn bằng cùng một phương pháp như các máy phân tích để đo các chất khí thải ô nhiễm. Một hoặc nhiều máy phân tích có thể được sử dụng để xác định những khác nhau về nồng độ.
TT - Ống lưu chuyển mẫu hạt phải:
Được nung nóng hoặc được cách nhiệt sao cho nhiệt độ khí trong ống lưu chuyển không được nhỏ hơn 425K (1500C). Nếu nhiệt độ khí thải nhỏ hơn 425K (1500C) thì nó không được thấp hơn nhiệt độ khí thải.
Đường kính bằng hoặc lớn hơn đường kính dụng cụ lấy mẫu, nhưng không lớn hơn 25 mm.
Khoảng cách từ mặt phẳng cửa vào đến mặt phẳng cửa ra không lớn hơn 1000mm.
Mẫu hạt phải đi ra trên đường tâm của đường ống pha loãng và hướng dòng về phía sau.
SC - (chỉ đối với ISP) cần có một hệ thống điều khiển áp suất để chia tách đẳng động học khí thải bằng cách duy trì một áp suất vì sai bằng không giữa EP và ISP. Dưới những điều kiện này, các vận tốc khí thải trong EP và ISP là đồng nhất, và lưu lượng khối lượng qua ISP là một phần rất nhỏ không đổi của toàn bộ lưu lượng khí thải. Sự điều chỉnh được làm xong bởi sự điều khiển tốc độ của máy quạt kiểu hút (SB) và giữ tốc độ của quạt thổi gây áp suất (SP) không đổi trong từng chế độ. Sai số trong vòng lặp điều khiển áp suất không được quá ±0,5% thang đo của bộ chuyển đổi áp suất (DPT). Các dao động áp suất trung bình trong đường ống pha loãng không được vượt quá ± 250Pa.
DPT - (Chỉ đối với ISP). Bộ chuyển đổi áp suất vi sai phải có một khoảng cực đại là ±500Pa.
FC1 - Bộ điều khiển lưu lượng (không khí pha loãng) cần thiết để điều khiển lưu lượng khối lượng không khí pha loãng. Nó có thể được nối với dòng khí thải hoặc dòng nhiên liệu và/hoặc tín hiệu vi phân CO2. Khi sử dụng sự cung cấp không khí tăng áp, FC1 điều khiển trực tiếp lưu lượng không khí.
GF1 - Đồng hồ đo khí hoặc dụng cụ đo lưu lượng (lưu lượng mẫu hạt) phải được định vị sao cho nhiệt độ khí nạp vẫn bằng 298K (250C) ±5K.
SB - (chỉ áp dụng cho loại mẫu một phần nhỏ)
PB - Để điều khiển lưu lượng khối lượng không khí pha loãng, PB phải được nối với FC1. Các tín hiệu lưu lượng khí thải hoặc lưu lượng nhiên liệu và/hoặc tín hiệu vi phân CO2 có thể được dùng như các tín hiệu điều khiển. PB không bắt buộc khi sử dụng sự cung cấp không khí tăng áp.
DAF - Không khí pha loãng có thể được lọc ở đầu vào của nó, phải có nhiệt độ 298K (250C) ±5K và có thể được lấy mẫu để xác định các mức hạt nền mà sau đó chúng có thể được trừ đi khỏi các giá trị đo trong khí thải pha loãng.
DT - Đường ống pha loãng phải:
Đường kính đủ nhỏ để tạo ra dòng chảy rối (số Reynol > 4000) và đủ chiều dài để hòa trộn hoàn toàn khí thải và không khí pha loãng.
Đường kính không nhỏ hơn 25mm đối với loại lấy mẫu toàn phần.
Đường kính không nhỏ hơn 75mm đối với loại lấy mẫu một phần nhỏ.
Khí thải động cơ phải được hướng xuôi dòng ở chỗ nó được dẫn vào đường ống pha loãng, và được hòa trộn hoàn toàn với không khí pha loãng bằng một lỗ phun hòa trộn. Đối với loại lấy mẫu một phần nhỏ, chất lượng hòa trộn phải được kiểm tra sau khi mẫu được đưa vào sử dụng bằng một profin CO2 của đường ống với động cơ đang chạy (ít nhất 6 điểm đo cách đều nhau).
PSS - Hệ thống lấy mẫu hạt phải được cấu tạo sao cho để thu gom một mẫu từ đường ống pha loãng và cho mẫu này đi qua các bộ lọc mẫu (hệ thống lấy mẫu một phần nhỏ) hoặc cho tất cả khí thải pha loãng qua các bộ lọc mẫu (hệ thống lấy mẫu toàn bộ). Để tránh bất kỳ tác động nào đến các vòng lặp điều khiển, nên có một bơm lấy mẫu chạy suốt giai đoạn thử hoàn toàn. Một hệ thống nhánh với một van bi giữa dụng cụ lấy mẫu và cái giữ bộ lọc phải được sử dụng để cho mẫu đi qua các bộ lọc mẫu tại các thời điểm mong muốn. Nhiễu của thủ tục chuyển mạch đến các vùng lặp điều khiển phải được hiệu chỉnh trong khoảng dưới 3 giây.
PSP - Ống lấy mẫu hạt phải:
Được lắp đối diện ngược dòng tại chỗ không khí pha loãng và khí thải được hòa trộn tốt (tức là trên đường tâm của đường ống pha loãng, cách điểm ở đó khí thải đi vào đường ống pha loãng về phía xuôi dòng một đoạn bằng gần 10 lần đường kính đường ống). Đường kính trong không nhỏ hơn 12mm.
PTT - ống vận chuyển các hạt phải không được nung nóng và các độ dài sau không quá 1020mm:
Đối với hệ thống lấy mẫu một phần nhỏ: Từ đầu mút dụng cụ lấy mẫu tới cái giữ bộ lọc
Đối với hệ thống lấy mẫu toàn phần: Từ đầu đường ống pha loãng đến cái giữ bộ lọc
FH - Đối với các bộ lọc sơ cấp và dự phòng, có thể sử dụng một hộp lọc hoặc các hộp lọc riêng biệt. Các yêu cầu của 2.1.3 phải được đáp ứng. Các cái giữ bộ lọc không được nung nóng.
SP - Nếu sự tính toán không được sử dụng, bơm lấy mẫu hạt phải được đặt cách đủ xa đường ống sao cho nhiệt độ khí nạp được duy trì không đổi (±3K).
FC2 - Một bộ điều khiển lưu lượng (lưu lượng mẫu hạt, tùy chọn) có thể được sử dụng để tăng độ chính xác của lưu lượng mẫu hạt;
GF2 - Nếu sự tính toán không được sử dụng, đồng hồ đo khí hoặc dụng cụ lưu lượng (lưu lượng mẫu hạt) phải được đặt cách đủ xa đường ống sao cho nhiệt độ khí nạp được duy trì không đổi (±3K)
BV - Van bi phải có một đường kính không nhỏ hơn đường ống lấy mẫu và có một cái chuyển mạch thời gian nhỏ hơn 0,5 giây.

Hình D4.2 - Hệ thống pha loãng toàn phần

Hình D4.3 - Hệ thống pha loãng một phần
PHỤ LỤC E
(quy định)
Đặc tính kỹ thuật của nhiên liệu chuẩn cho động cơ C.I. trong thử phê duyệt kiểu và kiểm tra sự phù hợp của sản xuất theo mức EURO 1 và EURO 2
Nhiên liệu chuẩn RF-03-A-847) CEC
Loại: Nhiên liệu điêzen
|
| Giới hạn và đơn vị 3) | Phương pháp ASTM 1) |
| Số Xê tan 4)
Tỷ trọng ở 150C (kg/l) | Nhỏ nhất 49 Lớn nhất 53 Nhỏ nhất 0,835 Lớn nhất 0,845 | D 613
D 1298 |
| Nhiệt độ chưng cất 2) - Điểm 50% - Điểm 90% - Điểm sôi cuối cùng | Nhỏ nhất 2450C Nhỏ nhất 3200C Lớn nhất 3400C Lớn nhất 3700C |
D 86 |
| Điểm chớp cháy | Nhỏ nhất 550C | D 93 |
| CFPP | Nhỏ nhất Lớn nhất -50C | EN 116 (CEN) |
| Độ nhớt ở 400C | Nhỏ nhất 2,5 mm2/s Lớn nhất 3,5 mm2/s | D 445 |
| Hàm lượng lưu huỳnh 8) | (Được báo cáo) Lớn nhất: 0,3% khối lượng | D 1266 / D2622 D 2785 |
| Ăn mòn đồng | Lớn nhất 1 | D 130 |
| Cặn cácbon (10% cặn chưng cất DR) | Lớn nhất 0,2% khối lượng | D 189 |
| Hàm lượng tro | Lớn nhất 0,1% khối lượng | D 482 |
| Hàm lượng nước | Lớn nhất 0,05% khối lượng | D 95 / D 1744 |
| Số trung hòa (axít mạnh) | Lớn nhất 0,2 mg/KOH/g |
|
| Tính chống ôxi hóa 6) | Lớn nhất 2,5 mg/100ml | D 2274 |
| Chất phụ gia 5) |
|
|
| Tỷ lệ cacbon - Hydro | Được báo cáo |
|
CHÚ THÍCH 1 - Phương pháp của ISO tương đương khi đã ban hành để được thừa nhận đối với tất cả các đặc tính liệt kê ở trên.
CHÚ THÍCH 2 - Những con số trình bày thể hiện lượng đã bốc hơi (phần trăm được phục hồi + phần trăm đã mất)
CHÚ THÍCH 3 - Các giá trị trình bày trong quy định là "những giá trị đúng"
Trong việc thiết lập các giá trị giới hạn của chúng đã áp dụng các thuật ngữ của ASTM D 3244 "Xác định cơ sở cho những thương lượng về chất lượng sản xuất dầu mỏ" và trong việc cố định một giá trị nhỏ nhất, đã tính đến một sự sai khác nhỏ nhất bằng 2R ở trên điểm 0; trong việc cố định một giá trị lớn nhất và nhỏ nhất, sự sai khác nhỏ nhất là 4R (R-khả năng lặp lại).
Mặc dù có phương pháp này, mà nó là cần thiết vì những lý do thống kê, nhà sản xuất nhiên liệu vẫn hướng đến giá trị 0 mà ở đó trị số lớn nhất được quy định là 2R và hướng đến giá trị trung bình trong trường hợp dựa theo các giới hạn lớn nhất và nhỏ nhất. Nếu cần làm sáng tỏ các câu hỏi là liệu một nhiên liệu có đáp ứng được các yêu cầu đó không của quy định, sẽ áp dụng các thuật ngữ của ASTM D 3244.
CHÚ THÍCH 4 - Dải giá trị của số xêtan không phù hợp với yêu cầu về dải giá trị nhỏ nhất bằng 4R. Tuy nhiên, trong các trường hợp có tranh chấp giữa người cung cấp và người sử dụng nhiên liệu, các thuật ngữ trong ASTMD 3244 có thể được sử dụng để giải quyết những tranh chấp như vậy với điều kiện là các phép đo tái lập, với số lượng đủ để đạt độ chính xác cần thiết, được ưu tiên thực hiện hơn là những xác định đơn lẻ.
CHÚ THÍCH 5 - Nhiên liệu này chỉ được cấu tạo trên cơ sở các thành phần hydrocacbon chưng cất cracking và chưng cất trực tiếp, được phép loại lưu huỳnh. Nó không được chứa các phụ gia kim loại hoặc các phụ gia làm tăng xêtan.
CHÚ THÍCH 6 - Mặc dù tính chống ôxy hóa được kiểm soát, thời gian có dùng được của nó có thể sẽ bị hạn chế. Người cung cấp sẽ cho lời khuyên về các điều kiện cất giữ và thời hạn.
CHÚ THÍCH 7 - Nếu cần tính hiệu suất nhiệt của một động cơ hoặc ôtô, nhiệt trị của nhiên liệu có thể được tính theo công thức sau:
Năng lượng riêng (nhiệt trị) (tinh) = (46,423 - 8,792 d2 + 3,170 d) (1 - (x+y+s)) + 9,420s - 2,499x. (MJ/kg)
Trong đó:
d là khối lượng riêng ở 150C
x là tỷ lệ khối lượng nước (%/100)
y là tỷ lệ khối lượng tro (%/100)
s là tỷ lệ khối lượng lưu huỳnh (%/100)
CHÚ THÍCH 8 - Theo đề nghị của nhà sản xuất ô tô, có thể sử dụng nhiên liệu điêzen với 0,05% hàm lượng lưu huỳnh lớn nhất tính theo khối lượng để phản ánh chất lượng nhiên liệu thị trường tương lai, cho cả thử phê duyệt kiểu và kiểm tra sự phù hợp của sản phẩm trong sản xuất.
PHỤ LỤC F
(quy định)
Đặc tính kỹ thuật của nhiên liệu N.G. chuẩn trong thử phê duyệt kiểu và kiểm tra sự phù hợp của sản xuất theo mức EURO 1 và EURO 2
Loại nhiên liệu: khí thiên nhiên
| Đặc tính | Đơn vị | Giới hạn | Phương pháp thử | ||
| Nhỏ nhất | Lớn nhất | ||||
| 1 | Tỷ trọng | kg/m3 (*) | 0,680 | 0,720 | ISO 6976 |
| 2 | Nhiệt trị - cao Nhiệt trị - thấp | kJ/m3 (*) | 36900 33300 | 39300 35400 | (ASTM D 3588) |
| 3 | Thành phần mêtan Etan Propan/Butan C5/C5+ Tính trơ | % Mol |
97,5 - - - - |
99,9 1 0,8 0,6 2,1 | ISO 6974 (ASTM D 1945) |
|
| Hàm lượng lưu huỳnh | mg/m3 | - | 80,00 | (1) |
| (*) Giá trị được xác định trong điều kiện chuẩn (288K (150C) và 101,325 kPa) | |||||
(1) Phân tích nồng độ Sunphuahydrô và Mecaptan trong khí thiên nhiên.
- Phân tích được thực hiện bằng phương pháp sắc ký khí với một đầu do trắc quang ngọn lửa có bộ lọc chọn lưu huỳnh.
- Các điều kiện thử
Các cột GS-9 30m x 0,53mm JD (J & W)
Vòi phun T = 1500C
Đầu dò T = 2000C
Lò T = 2 (tối thiểu) ở 700C và 6 (tối thiểu) ở 2000C
Khí vận chuyển = Nitơ 30 ml/phút
- Đưa mẫu vào
Bằng một van lấy mẫu khí hoặc vòi phun khí
Thể tích đưa vào = 100ml
Nồng độ được tính bằng so sánh với một mẫu chuẩn ngoài. Tốt hơn là đưa vào các mẫu chuẩn với các mức nồng độ khác nhau để xây dựng một đường cong hiệu chuẩn.
PHẦN II - KIỂM TRA KHÍ THẢI THEO MỨC EURO 3 VÀ EURO 4
PHỤ LỤC G
(quy định)
Phương pháp thử khí thải để kiểm tra theo mức EURO 3 và EURO 4
G.1 Giới thiệu
G.1.1 Điều này mô tả phương pháp xác định các loại khí thải và hạt gây ô nhiễm từ động cơ thử. Phải áp dụng ba chu trình thử được mô tả theo quy định tại 5.2.1.2, tiêu chuẩn này:
- ESC là chu trình 13 chế độ ở trạng thái ổn định;
- ELR bao gồm các bước có tải diễn ra rất nhanh ở các tốc độ khác nhau, các bước này là các phần tích hợp của một quy trình thử và được tiến hành đồng thời;
- ETC gồm các chế độ diễn ra rất nhanh nối tiếp nhau từng giây một như một chuỗi các trạng thái quá độ.
G.1.2 Phép thử phải được thực hiện với động cơ được lắp trên một hệ thống thử bao gồm băng thử và các thiết bị khác.
G.1.3 Nguyên lý đo
Khí thải được đo từ ống xả động cơ gồm các thành phần khí (CO, THC đối với động cơ điêzen chỉ bằng chu trình thử ESC; NMHC đối với động cơ điêzen và động cơ nhiên liệu khí, chỉ bằng chu trình thử ETC; CH4 đối với động cơ nhiên liệu khí, chỉ bằng chu trình thử ETC và NOx), các hạt (chỉ cho động cơ điêzen) và khói (động cơ điêzen, chỉ bằng chu trình thử ELR). Ngoài ra thường sử dụng CO2 như một khí đánh dấu để xác định tỉ lệ pha loãng của hệ thống pha loãng toàn phần và một phần. Việc đo CO2 nói chung là một công cụ rất tốt để phát hiện các vấn đề đo trong quá trình chạy thử.
G.1.4 Thử ESC
Trong khi làm ấm động cơ theo trình tự quy định phải liên tục kiểm tra số lượng các khí thải nêu trên bằng việc lấy mẫu từ khí thải thô. Chu trình thử bao gồm các chế độ tốc độ và công suất chứa được dải hoạt động điển hình của động cơ điêzen. Trong mỗi chế độ phải xác định nồng độ của các chất khí ô nhiễm, lưu lượng khí thải và công suất hữu ích và các giá trị đo đó được cân. Mẫu hạt phải được pha loãng với không khí xung quanh đã được điều kiện hóa. Phải lấy một mẫu của quy trình thử đầy đủ và thu gom vào các bộ lọc thích hợp. Phải tính toán khối lượng từng chất ô nhiễm phát ra theo gam cho mỗi kWh (g/kWh) như mô tả trong phụ lục G của điều này. Ngoài ra phải đo NOx tại 3 điểm trong miền điều khiển được lựa chọn bởi cơ sở thử nghiệm (1) và các giá trị đo được so sánh theo các giá trị được tính toán từ các chế độ chứa các điểm thử đã được chọn đó của chu trình thử.
Việc kiểm tra sự điều khiển NOx bảo đảm tính hiệu quả của việc điều khiển khí thải của động cơ trong dải hoạt động điển hình của động cơ.
CHÚ THÍCH: (1) Các điểm thử phải được chọn bằng cách sử dụng các phương pháp thống kê ngẫu nhiên đã được chấp thuận.
G.1.5 Thử ELR
Trong phép thử đáp ứng tải quy định, khói của động cơ đã được làm ấm phải được xác định bằng thiết bị đo độ khói (xem định nghĩa tại 3.29). Phép thử có sự đặt tải từ 10% đến 100% tải lên động cơ ở tốc độ không đổi với 3 tốc độ động cơ khác nhau. Ngoài ra, cơ sở thử nghiệm phải tiến hành bước đặt tải thứ tư do mình lựa chọn, và giá trị được so sánh với các giá trị của các bước đặt tải trước đó. Giá trị đỉnh của khói phải được xác định bằng việc áp dụng một thuật toán ước lượng trung bình như mô tả trong phụ lục G1 của phụ lục này.
G.1.6 Thử ETC
Trong chu trình quá độ quy định với động cơ đã được làm ấm trên cơ sở theo sát các chế độ chạy xe đặc trưng trên đường bộ của các động cơ hạng nặng lắp trên ôtô tải và ôtô khách, các chất ô nhiễm nêu trên phải được kiểm tra sau khi pha loãng toàn bộ khí thải với không khí xung quanh đã được điều kiện hóa. Bằng việc sử dụng các tín hiệu phản hồi của tốc độ và mômen xoắn động cơ trên băng thử động cơ, công suất phải được tích phân theo thời gian của chu trình để tính ra công do động cơ sinh ra trong suốt chu trình. Nồng độ của NOx và HC phải được xác định trong suốt chu trình bằng sự tích phân các tín hiệu của thiết bị phân tích. Nồng độ CO, CO2 và NMHC có thể được xác định bằng sự tích phân các tín hiệu của thiết bị phân tích hoặc bằng lấy mẫu vào túi. Đối với các hạt, một mẫu theo tỉ lệ phải được thu gom vào các bộ lọc phù hợp. Lưu lượng khí thải pha loãng phải được xác định trong suốt chu trình để tính toán khối lượng khí thải các chất ô nhiễm. Các giá trị khối lượng khí thải phải được liên hệ với công động cơ để có được khối lượng tính theo gam của mỗi chất ô nhiễm thải ra trên từng kWh như mô tả trong phụ lục G2 của phụ lục này.
G.2 Điều kiện thử
G.2.1 Điều kiện thử động cơ
G.2.1.1 Phải đo nhiệt độ tuyệt đối (T) của không khí tại cửa nạp vào động cơ theo độ Kelvin và áp suất không khí khô (ps) theo kPa, và thông số F phải được xác định theo các mục sau đây:
(a) Đối với động cơ điêzen:
Các động cơ tăng áp dẫn động cơ khí và động cơ hút tự nhiên:
![]()
Động cơ tăng áp tuabin có hoặc không có làm mát không khí nạp:
![]()
(b) Đối với động cơ sử dụng nhiên liệu khí:
![]()
G.2.1.2 Tính đúng của phép thử
Phép thử được coi là đúng nếu thông số F thỏa mãn điều kiện như sau: 0,96 ≤ F ≤ 1,06
G.2.2 Động cơ có làm mát không khí nạp
Nhiệt độ không khí nạp phải được ghi lại và, tại tốc độ tương ứng với chế độ đầy tải và công suất lớn nhất do nhà sản xuất công bố, nhiệt độ này phải trong khoảng ±5K so với nhiệt độ không khí nạp lớn nhất quy định tại C.1.16.3, Phụ lục C. Nhiệt độ làm mát trung bình ít nhất phải bằng 293 K (200C)
Nếu sử dụng quạt thổi ở ngoài hoặc hệ thống xưởng thử thì nhiệt độ không khí nạp cũng phải như trên. Việc chỉnh đặt thiết bị làm mát không khí nạp để thỏa mãn các điều kiện trên phải được áp dụng cho toàn bộ chu trình thử.
G.2.3 Hệ thống nạp không khí của động cơ
Tại tốc độ tương ứng với chế độ đầy tải và công suất lớn nhất do nhà sản xuất công bố, hệ thống nạp không khí của động cơ phải cho thấy rằng áp suất của không khí nạp nằm trong khoảng ±100 Pa so với giới hạn trên của áp suất trong quá trình hoạt động của động cơ.
G.2.4 Hệ thống xả của động cơ
Hệ thống xả phải được sử dụng để giữ được áp suất ngược trong hệ thống xả nằm trong khoảng ±1000 Pa so với giới hạn trên của áp suất trong quá trình hoạt động của động cơ tại tốc độ tương ứng với chế độ đầy tải và công suất lớn nhất do nhà sản xuất công bố và có thể tích nằm trong khoảng ±40% thể tích quy định bởi nhà sản xuất. Có thể sử dụng hệ thống xưởng thử nếu nó đại diện được các điều kiện hoạt động thực của động cơ. Hệ thống xả phải phù hợp với các yêu cầu đối với việc lấy mẫu khí thải như được quy định tại 3.4, Phụ lục G4 và tại 2.2.1, EP và 2.3.1, EP của Phụ lục G7.
Nếu động cơ được trang bị một thiết bị xử lý khí thải sau, ống xả phải có cùng đường kính trong sử dụng đối với ít nhất 4 đường kính ống phía trước cửa vào của đoạn đầu đoạn mở rộng chứa thiết bị xử lý sau trên đường ống xả. Khoảng cách từ mặt bích ống góp khí thải hoặc cửa ra của máy nạp tua bin đến thiết bị xử lý khí thải sau phải như trong cấu tạo của xe hoặc nằm trong các yêu cầu về khoảng cách của nhà sản xuất, áp suất ngược trong hệ thống xả hoặc sự hạn chế phải theo cùng chỉ tiêu như trên và có thể được lắp một van. Hộp xử lý sau có thể được tháo ra trong quá trình các phép thử giả và trong quá trình bố trí động cơ, và được thay bằng một hộp tương đương có một bộ xử lý xúc tác không hoạt động trợ giúp.
G.2.5 Hệ thống làm mát
Có một hệ thống làm mát có đủ dung tích để duy trì nhiệt độ hoạt động bình thường của động cơ theo quy định của nhà sản xuất.
G.2.6 Dầu bôi trơn
Đặc tính kỹ thuật của dầu bôi trơn được dùng để thử khí thải phải được ghi và trình bày cùng với kết quả thử như quy định tại C.7.1, Phụ lục C.
G.2.7 Nhiên liệu
Nhiên liệu thử phải là nhiên liệu chuẩn quy định tại các Phụ lục H, K hoặc J hoặc nhiên liệu có đặc tính kỹ thuật tương đương.
Nhiệt độ nhiên liệu và điểm đo phải do nhà sản xuất quy định trong các giới hạn được cho tại C.1.16.5, Phụ lục C. Nhiệt độ nhiên liệu phải không thấp hơn 306K (330C). Nếu không quy định, nhiệt độ đó phải bằng 311K ± 5K (380C±50C) tại cửa vào của cung cấp nhiên liệu.
Đối với động cơ NG và LPG, nhiệt độ nhiên liệu và điểm đo phải do nhà sản xuất quy định trong các giới hạn được cho tại C.1.16.5, Phụ lục C hoặc nếu động cơ không phải là động cơ gốc thì theo Phụ lục C3.
G.2.8 Thử hệ thống xử lý khí thải sau
Nếu động cơ có một hệ thống xử lý khí thải sau thì khí thải được đo trong các chu trình thử phải là đại diện của khí thải trong phạm vi quy định. Nếu không đạt được điều này với một chu trình thử đơn (ví dụ đối với các bộ lọc hạt có tái sinh theo chu kỳ), phải tiến hành một vài chu trình thử và các kết quả thử được tính trung bình và/hoặc được cân. Chu trình đúng phải được nhà sản xuất động cơ và cơ sở thử nghiệm đồng ý trên cơ sở có sự đánh giá kỹ thuật tốt.
PHỤ LỤC G - PHỤ LỤC G1
(quy định)
Chu trình thử ESC và ELR
1 Các thông số chỉnh đặt băng thử và động cơ
1.1 Xác định tốc độ động cơ A, B và C
Các tốc độ động cơ A, B và C phải được nhà sản xuất khai theo các quy định sau:
Tốc độ cao nhi phải được xác định bằng tính toán tại 70% công suất hữu ích lớn nhất theo khai báo như được xác định tại C.8.2, Phụ lục C. Tốc độ cao nhất của động cơ mà tại đó giá trị công suất xuất hiện trên đường đặc tính công suất được xác định như nhi.
Tốc độ thấp nlo phải được xác định bằng tính toán tại 50% công suất hữu ích lớn nhất theo khai báo như được xác định tại C.8.2, Phụ lục C. Tốc độ thấp nhất của động cơ mà tại đó giá trị công suất xuất hiện trên đường đặc tính công suất được xác định như nlo.
Các tốc độ động cơ A, B và C phải được tính toán như sau:
A = nlo + 25% (nhi - nlo)
B = nlo + 50% (nhi - nlo)
C = nlo + 75% (nhi - nlo)
Các tốc độ động cơ A, B và C có thể được kiểm tra lại bằng một trong hai phương pháp sau:
a) Các điểm thử bổ sung phải được đo trong quá trình phê duyệt công suất động cơ theo TCVN 6565:2006 để xác định độ chính xác của nhi và nlo. Công suất lớn nhất, nhi và nlo phải được xác định từ đặc tính công suất, và các tốc độ động cơ A, B và C phải được tính toán theo các quy định nêu trên.
b) Động cơ phải được vẽ đồ hình dọc theo đường đặc tính toàn tải, từ tốc độ không tải lớn nhất đến tốc độ không tải nhỏ nhất bằng cách sử dụng ít nhất 5 điểm trên mỗi khoảng và các điểm đo trong khoảng ±1000 vg/ph so với tốc độ tại công suất lớn nhất khai báo. Công suất lớn nhất, nhi và nlo phải được xác định từ đường cong vẽ đồ hình này, và các tốc độ động cơ A, B và C phải được tính toán theo các quy định.
Nếu các tốc độ động cơ đo được A, B và C ở trong khoảng ±3% các tốc độ động cơ như khai báo của nhà sản xuất thì các tốc độ động cơ khai báo đó phải được sử dụng để thử khí thải. Nếu sai số đó bị vượt quá đối với bất kỳ tốc độ nào trong các tốc độ đó thì các tốc độ động cơ đo được đó phải được sử dụng để thử khí thải.
1.2 Xác định các thông số chỉnh đặt của băng thử
Đặc tính mômen khi toàn tải phải được xác định bằng thí nghiệm để tính toán các giá trị mô men xoắn cho các chế độ thử quy định trong các điều kiện thực như quy định tại C.8.2, Phụ lục C. Công suất hấp thụ bởi thiết bị được động cơ dẫn động, nếu có, phải được kể đến. Thông số chỉnh đặt băng thử cho mỗi chế độ thử phải được tính toán theo công thức sau:
S = P(n) x , nếu được thử trong các điều kiện thực
S = P(n) x + (P(a) - P(b)), nếu không được thử trong các điều kiện thực
Trong đó:
S là thông số chỉnh đặt của băng thử (kW);
P(n) là công suất hữu ích của động cơ như được chỉ ra tại C.8.2, Phụ lục C, kW;
L là phần trăm tải như được nêu trong 2.7.1 của Phụ lục G1;
P(a) là Công suất hấp thụ bởi các thiết bị phụ được lắp như được chỉ ra tại C.6.1, Phụ lục C;
P(b) là Công suất hấp thụ bởi các thiết bị phụ được tháo ra như được chỉ ra tại C.6.2, Phụ lục C.
2 Tiến hành thử ESC
Theo đề nghị của nhà sản xuất, có thể tiến hành một phép thử chuẩn bị ban đầu để đưa động cơ và hệ thống xả vào các điều kiện thử trước chu trình đo.
2.1 Chuẩn bị các bộ lọc mẫu
Ít nhất một giờ trước khi thử, mỗi bộ lọc (cặp) để đo lượng phát thải của các hạt phải được đặt vào một đĩa Petri được đóng kín nhưng không bịt kín hẳn và được đặt trong buồng cân để ổn định (điều hòa) nhiệt độ. Vào lúc cuối mỗi giai đoạn ổn định, mỗi bộ lọc (cặp) được cân và trọng lượng bì được ghi lại. Sau đó bộ lọc (cặp) được cất giữ trong đĩa Petri - đĩa này phải vẫn còn nằm trong buồng cân hoặc được cất giữ trong một bình chứa bộ lọc được nút kín cho tới khi được dùng để thử. Trong vòng tám giờ sau khi lấy bộ lọc ra khỏi buồng cân, nếu bộ lọc (cặp) không được sử dụng nó phải được cân lại trước khi sử dụng.
2.2 Lắp thiết bị đo
Dụng cụ đo và các ống lấy mẫu phải được lắp theo yêu cầu. Khi sử dụng hệ thống pha loãng toàn phần cho việc pha loãng khí thải, đuôi ống xả phải được nối vào hệ thống.
2.3 Khởi động hệ thống pha loãng và động cơ
Hệ thống pha loãng và động cơ phải được khởi động và làm ấm lên cho đến khi mọi nhiệt độ và áp suất được ổn định tại công suất lớn nhất theo giới thiệu của nhà sản xuất và quy định kỹ thuật.
2.4 Khởi động hệ thống lấy mẫu hạt
Hệ thống lấy mẫu hạt phải được khởi động và chạy ở chế độ không qua bộ lọc (on by-pass). Mức nền của hạt trong không khí pha loãng có thể được xác định bằng cách cho không khí pha loãng đi qua bộ lọc hạt. Nếu sử dụng không khí pha loãng đã được lọc, một phép đo có thể được làm ngay trước hoặc sau khi thử. Nếu không khí pha loãng không được lọc, các phép đo có thể được làm vào lúc bắt đầu hoặc lúc cuối của chu trình và các giá trị được lấy trung bình.
2.5 Điều chỉnh tỉ lệ pha loãng
Không khí pha loãng phải được chỉnh đặt sao cho nhiệt độ của khí thải phải được pha loãng khi được đo ngay trước bộ lọc chính phải không lớn hơn 325K (520C) tại mọi chế độ. Tỉ lệ pha loãng (q) không được lớn hơn 4.
Đối với hệ thống sử dụng việc đo nồng độ CO2 hoặc NOx để kiểm soát tỉ lệ pha loãng, nồng độ CO2 hoặc NOx đó của không khí pha loãng phải được đo ở đầu và cuối của từng phép thử. Các phép đo nồng độ nền CO2 hoặc NOx của không khí pha loãng trước và sau thử không được sai khác nhau quá 100 ppm đối với CO2 hoặc 5 ppm đối với NOx.
2.6 Kiểm tra máy phân tích
Các máy phân tích khí thải phải được chỉnh đặt tại điểm 0 và được điều chỉnh toàn thang đo.
2.7 Chu trình thử
2.7.1 Chu trình thử 13 chế độ sau đây phải được tuân theo trong vận hành động cơ thử trên băng thử động cơ.
Bảng G1.1 - Chu trình thử 13 chế độ (13 - mode cycle)
| Chế độ | Tốc độ động cơ | Phần trăm tải | Hệ số trọng lượng | Thời gian mỗi chế độ |
| 1 | Không tải | - | 0,15 | 4 |
| 2 | A | 100 | 0,08 | 2 |
| 3 | B | 50 | 0,10 | 2 |
| 4 | B | 75 | 0,10 | 2 |
| 5 | A | 50 | 0,05 | 2 |
| 6 | A | 75 | 0,05 | 2 |
| 7 | A | 25 | 0,05 | 2 |
| 8 | B | 100 | 0,09 | 2 |
| 9 | B | 25 | 0,10 | 2 |
| 10 | C | 100 | 0,08 | 2 |
| 11 | C | 25 | 0,05 | 2 |
| 12 | C | 75 | 0,05 | 2 |
| 13 | C | 50 | 0,05 | 2 |
2.7.2 Quy trình thử
Phải bắt đầu quy trình thử. Phép thử phải được thực hiện theo thứ tự của các chế độ được đánh số trong bảng trên của 2.7.1 của Phụ lục G1. Động cơ phải được vận hành trong thời gian quy định cho mỗi chế độ, việc đạt tốc độ động cơ và thay đổi tải được hoàn thành trong 20s đầu tiên. Tốc độ động cơ quy định phải được duy trì với sai số ±50 vòng/phút và mômen xoắn phải được duy trì với sai số ±2% mô men xoắn lớn nhất tại tốc độ thử.
Theo đề nghị của nhà sản xuất, quy trình thử có thể được lặp lại đủ số lần cần cho việc lấy mẫu thêm khối lượng hạt trên bộ lọc. Nhà sản xuất phải cung cấp bản mô tả chi tiết sự đánh giá số liệu và cách tính toán. Khí thải gây ô nhiễm chỉ được xác định trong chu trình thứ nhất.
2.7.3 Sự đáp trả máy phân tích
Số liệu đầu ra của máy phân tích phải được ghi trên một máy ghi đồ thị kiểu sơ đồ hoặc được đo với hệ thống thu số liệu tương đương có khí thải đi qua máy phân tích trong suốt chu trình thử.
2.7.4 Lấy mẫu hạt
Mỗi cặp bộ lọc (bộ lọc chính và bộ lọc dự phòng, xem Phụ lục G4) phải được sử dụng cho qui trình thử đầy đủ. Phải tính đến các hệ số trọng lượng "modal" quy định trong quy trình thử bằng việc lấy mẫu tỉ lệ với lưu lượng khối lượng khí thải trong quá trình thực hiện mỗi chế độ riêng biệt của chu trình thử. Có thể làm được việc này bằng cách điều chỉnh lưu lượng mẫu, thời gian lấy mẫu, và/hoặc tỉ lệ pha loãng sao cho các tiêu chuẩn đối với các hệ số trọng lượng ảnh hưởng nêu tại 5.6 của Phụ lục G1 được thỏa mãn.
Thời gian lấy mẫu của từng chế độ phải ít nhất là 4s cho mỗi hệ số trọng lượng. Việc lấy mẫu phải được thực hiện càng muộn càng tốt trong mỗi chế độ. Việc lấy mẫu hạt phải kết thúc không sớm hơn 5s trước khi kết thúc mỗi chế độ thử.
2.7.5 Tình trạng động cơ
Tải và tốc độ động cơ, độ tụt áp và nhiệt độ không khí nạp, áp suất ngược và nhiệt độ khí thải, lưu lượng nhiên liệu, lưu lượng không khí hoặc khí thải, độ ẩm và nhiệt độ nhiên liệu phải được ghi trong quá trình thực hiện mỗi chế độ. Yêu cầu về tải và tốc độ động cơ (xem 2.7.2 của Phụ lục G1) phải được thỏa mãn trong thời gian lấy mẫu hạt, đặc biệt trong mọi trường hợp của phút cuối cùng của mỗi chế độ thử.
Phải ghi lại mọi số liệu bổ sung cần thiết cho việc tính toán (xem điều 4 và điều 5 của Phụ lục G1).
2.7.6 Kiểm tra NOx trong miền kiểm soát
Việc kiểm tra NOx trong miền kiểm soát phải được thực hiện ngay khi kết thúc chế độ thứ 13. Động cơ phải được duy trì trạng thái hoạt động như trong chế độ thứ 13 trong thời gian ba phút trước khi bắt đầu các phép đo. Ba phép đo phải được thực hiện tại các vị trí khác nhau trong miền kiểm soát do cơ sở thử nghiệm lựa chọn(1). Thời gian của mỗi phép đo phải là hai phút.
Quy trình đo giống quy trình đo NOx trong chu trình thử 13 chế độ và phải được thực hiện theo quy định nêu tại 2.7.3, 2.7.5 và 4.1 và điều 3 của Phụ lục G4.
Sự tính toán phải được thực hiện theo quy định nêu tại điều 4 của Phụ lục G1.
CHÚ THÍCH - (1) Các điểm đo phải được lựa chọn bằng cách sử dụng các phương pháp thống kê ngẫu nhiên được chấp nhận.
2.7.7 Kiểm tra lại máy phân tích
Sau khi thử khí thải, phải kiểm tra lại máy phân tích bằng khí chuẩn Zero và khí chuẩn dải đo. Phép thử sẽ được coi là đúng nếu sai khác giữa các kết quả đo trước và sau thử nhỏ hơn 2% giá trị khí chuẩn.
3 Tiến hành thử ELR
3.1 Lắp đặt thiết bị đo
Thiết bị đo độ khói và các ống lấy mẫu nếu có phải được lắp sau bộ tiêu âm của khí thải hoặc thiết bị xử lý sau khí thải và theo phương pháp lắp đặt chung do nhà sản xuất thiết bị quy định. Ngoài ra, yêu cầu nêu tại điều 10 của ISO 11614 phải được tuân theo một cách hợp lý.
Trước khi kiểm tra điểm 0 và toàn thang đo, thiết bị đo độ khói phải được làm ấm lên và được ổn định theo tài liệu của nhà sản xuất thiết bị. Nếu thiết bị đo độ khói có hệ thống làm sạch không khí để chống bám muội của các kính đo, hệ thống này cũng phải được kích hoạt và được điều chỉnh theo tài liệu của nhà sản xuất thiết bị.
3.2 Kiểm tra thiết bị đo độ khói
Việc kiểm tra điểm 0 và toàn thang đo phải được thực hiện trong chế độ chỉ thị độ khói vì thang đo độ khói cung cấp hai điểm hiệu chuẩn có thể xác định đúng thực tế có độ khói 0% và 100%. Tiếp theo hệ số hấp thụ ánh sáng được tính toán hiệu chỉnh chính xác theo độ khói đo được và LA như đệ trình của nhà sản xuất thiết bị, khi dụng cụ đo được quay lại chế độ chỉ thị k để thử.
Khi luồng sáng của thiết bị đo độ khói không bị chắn, kết quả chỉ thị phải được điều chỉnh tới 0% ± 1% độ khói. Khi ánh sáng bị chắn không đến được bộ phận nhận ánh sáng, kết quả chỉ thị phải được điều chỉnh tới 100% ± 1% độ khói.
3.3 Chu trình thử
3.3.1 Điều kiện hóa động cơ
Việc làm ấm động cơ và hệ thống phải thực hiện với công suất động cơ lớn nhất để ổn định các thông số động cơ theo tài liệu của nhà sản xuất. Pha điều kiện hóa trước cũng phải bảo vệ phép đo thực chống lại ảnh hưởng của chất lắng đọng trong hệ thống xả từ phép thử trước.
Khi động cơ đã được ổn định, chu trình phải được bắt đầu sau pha tiền điều kiện hóa 20 ± 2s. Do đề nghị của nhà sản xuất, một phép thử giả có thể được tiến hành cho việc điều kiện hóa bổ sung trước chu trình đo.
3.3.2 Quy trình thử
Phép thử có quy trình thử 3 bước có tải ở mỗi một tốc độ trong 3 tốc độ động cơ A (chu trình 1), B (chu trình 2) và C (chu trình 3) được xác định theo G.1.1, Phụ lục G, sau đó là chu trình thứ 4 ở tốc độ nằm trong miền điều khiển và tải giữa 10% và 100% do Cơ sở thử nghiệm chọn (1). Quy trình sau đây phải được tuân theo trong vận hành băng thử để thử động cơ như nêu tại Hình G1.1.
CHÚ THÍCH - (1) Các điểm đo phải được lựa chọn bằng cách sử dụng các phương pháp thống kê ngẫu nhiên được chấp nhận.

Hình G1.1 - Quy trình thử ELR
(a) Động cơ phải được vận hành ở tốc độ động cơ A và 10% tải trọng 20 ± 2s. Sai số của tốc độ quy định là ±20 vg/ph và sai số của mô men xoắn quy định là ±2% mô men xoắn lớn nhất tại tốc độ thử.
(b) Ở cuối giai đoạn trước, cần điều khiển tốc độ phải được chuyển rất nhanh tới vị trí mở rộng và được giữ tại đó 10 ± 1s. Phải đặt tải cần thiết lên băng thử để giữ tốc độ động cơ có sai số ±150 vg/ph trong 3s đầu tiên, và ±20 vg/ph trong thời gian còn lại của mỗi giai đoạn.
(c) Quy trình mô tả tại (a) và (b) phải được lặp lại hai lần.
(d) Vào lúc kết thúc bước có tải thứ ba, động cơ phải được điều chỉnh tới tốc độ động cơ B và 10% tải trong 20±2.
(e) Quy trình từ (a) đến (c) phải được tiến hành với động cơ ở tốc độ động cơ B.
(f) Vào lúc kết thúc bước có tải thứ ba, động cơ phải được điều chỉnh tới tốc độ động cơ C và 10% tải trong 20 ± 2.
(g) Quy trình từ (a) đến (c) phải được tiến hành với động cơ ở tốc độ động cơ C.
(h) Vào lúc kết thúc bước có tải thứ ba, động cơ phải được điều chỉnh tới tốc độ động cơ lựa chọn và 10% tải trong 20 ± 2.
(i) Quy trình từ (a) đến (c) phải được tiến hành với động cơ ở tốc độ động cơ lựa chọn.
3.4 Tính đúng của chu trình
Sai lệch chuẩn tương đối của các giá trị độ khói trung bình tại từng tốc độ thử (SVA, SVB, SVC, khi được tính theo 6.3.3 của Phụ lục G1 từ 3 bước đặt tải liên tiếp tại mỗi tốc độ thử) phải thấp hơn 15% của giá trị độ khói trung bình hoặc 10% của giá trị độ khói trong Bảng 4, điều 5.2.1.2.1 của tiêu chuẩn này, chọn giá trị lớn hơn. Nếu sai khác lớn hơn giá trị trên, phải lặp lại quy trình thử cho đến khi 3 bước đặt tải liên tiếp thỏa mãn yêu cầu này.
3.5 Kiểm tra lại thiết bị đo độ khói
Giá trị sai lệch so với điểm 0 của thiết bị đo độ khói sau khi thử không được lớn hơn ±5.0% của giá trị độ khói trong Bảng 4, điều 5.2.1.2.1 của tiêu chuẩn này.
4 Tính toán khí thải
4.1 Đánh giá số liệu
Để đánh giá khí thải, số ghi đồ thị trong 30s cuối cùng của mỗi chế độ phải được tính giá trị trung bình, và nồng độ trung bình của HC, CO và NOx của mỗi chế độ phải được xác định theo các số ghi đồ thị trung bình và tương ứng với số liệu tiêu chuẩn. Có thể sử dụng một kiểu sai lệch khác của sự ghi kết quả nếu nó bảo đảm thu được số liệu tương đương.
Đối với việc kiểm tra NOx trong miền kiểm soát yêu cầu trên chỉ áp dụng cho NOx.
Lưu lượng khí thải GEXHW hoặc lưu lượng khí thải được pha loãng GTOTW, nếu được tùy ý sử dụng, phải được xác định theo 2.3 của Phụ lục G4.
4.2 Hiệu chỉnh khô/ướt
Nồng độ đo phải được biết đổi thành nồng độ ở trạng thái ướt theo công thức sau nếu nó không được đo trong trạng thái ướt.
nồng độ (trạng thái ướt) = Kw x nồng độ (trạng thái khô)
Đối với khí thải khô:
![]()
và

Đối với khí thải được pha loãng:
![]()
Hoặc

Đối với không khí pha loãng
Kw,d = 1 - Kw1

Đối với không khí nạp (nếu khác với không khí pha loãng):
Kw,a = 1 - Kw2

Trong đó:
Ha, Hd là g nước/kg không khí khô;
Rd, Ra là độ ẩm tương đối của không khí pha loãng / khí nạp (%);
pd, pa là áp suất hơi bão hòa của không khí pha loãng / khí nạp (kPa);
pB là áp suất không khí tổng, kPa.
4.3 Hiệu chỉnh NOx về độ ẩm và nhiệt độ
Vì NOx phụ thuộc vào điều kiện không khí xung quanh nên nồng độ NOx phải được hiệu chỉnh về nhiệt độ và độ ẩm của không khí xung quanh với các hệ số được cho trong các công thức sau:
![]()
Trong đó:
A = 0,309 GFUEL / GAIRD - 0,0266;
B = - 0,209 GFUEL/GAIRD + 0,00954;
Ta là nhiệt độ không khí (K);
Ha là độ ẩm của không khí nạp, g nước/kg không khí khô (như nêu tại 4.2 của Phụ lục G1).
4.4 Tính toán lưu lượng khối lượng khí thải
Lưu lượng khối lượng khí thải (g/h) đối với từng chế độ phải được tính toán như dưới đây, giả thiết rằng nồng độ khí thải bằng 1,293 kg/m3 ở 273 K (00C) và 101,3 kPa;
(1) NOx mass = 0,001587 x NOx conc x KH,D x GEXHW
(2) CO mass = 0,000966 x CO conc x GEXHW
(3) HCmass = 0,000479 x HCconc x GEXHW
Ở đây NOxconc, COconc, HCconc (1) là nồng độ trung bình (ppm) trong khí thải thô như đã xác định tại điều 4 Phụ lục 1.
Nếu, tùy chọn, khí thải được xác định với hệ thống pha loãng toàn phần thì phải áp dụng các công thức sau:
(1) NOx mass = 0,001587 x NOx conc x KH,D x GTOTW
(2) CO mass = 0,000966 x CO conc x GTOTW
(3) HCmass = 0,000479 x HCconc x GTOTW
Ở đây NOx conc, COconc, HCconc (1) là nồng độ nền hiệu chỉnh trung bình (ppm) trong khí thải pha loãng của từng chế độ như đã xác định tại 4.3.1.1, Phụ lục G2.
CHÚ THÍCH - (1) Trên cơ sở C1 tương đương.
4.5 Tính toán các khí thải riêng
Các khí thải (g/kWh) phải được tính toán cho tất cả các thành phần riêng biệt theo các công thức sau:



Hệ số trọng lượng (WF) sử dụng trong tính toán trên là 2.7.1
4.6 Tính toán các giá trị kiểm soát miền
Đối với 3 điểm kiểm soát được chọn theo 2.7.6, NOx phải được đo và tính toán theo 4.6.1 và cũng được xác định bằng phép nội suy từ các chế độ của chu trình thử gần điểm kiểm soát liên quan nhất theo 4.6.2. Các giá trị đo sau đó được so sánh với các giá trị nội suy theo 4.8.3 của Phụ lục G1.
4.6.1 Tính toán khí thải riêng
NOx đối với từng điểm trong các điểm kiểm soát (Z) phải được tính như sau:
NOx mass,Z = 0,001587 x NOx conc,Z x KH,D x GEXHW
NOx,Z = NOxmass,Z / P(n)Z
4.6.2 Xác định giá trị khí thải từ chu trình thử
NOx đối với từng điểm trong các điểm kiểm soát phải được nội suy từ 4 chế độ gần nhất của chu trình thử bao quanh điểm kiểm soát được chọn Z như được chỉ ra trong Hình G1.2. Đối với các chế độ này (R, S, T, U), áp dụng các định nghĩa sau:
Tốc độ (R) = Tốc độ (T) = nRT, Phần trăm tải (R) = Phần trăm tải (S)
Tốc độ (S) = Tốc độ (U) = nSU, Phần trăm tải (T) = Phần trăm tải (U).
NOx của điểm kiểm soát được chọn Z phải được tính toán như sau:
EZ = ERS + (ETU - ERS) . (MZ - MRS) / (MTU - MRS)
Và
ETU = ET + (EU - ET) . (nZ - nRT) / (nSU - nRT)
ERS = ER + (ES - ER) . (nZ - nRT) / (nSU - nRT)
MTU = MT + (MU - MT) . (nZ - nRT) / (nSU - nRT)
MRS = MR + (MS - MR) . (nZ - nRT) / (nSU - nRT)
Trong đó:
ER, Es, ET, EU = NOx riêng của các chế độ bao quanh được tính theo 4.6.1 của Phụ lục G1.
MR, MS, MT, MU = Mô men xoắn của động cơ tại các chế độ bao quanh.

Hình G1.2 - Nội suy điểm kiểm soát NOx
4.6.3 So sánh các giá trị NOx
Giá trị đo riêng của NOx của điểm kiểm soát Z (NOx,Z) được so sánh với giá trị nội suy như sau (EZ):
NOx,diff = 100 x (NOx,z - Ez) / Ez
5 Tính toán phát thải hạt
5.1 Đánh giá số liệu
Để đánh giá hạt, khối lượng mẫu tổng (MSAM,i) đi qua bộ lọc ở từng chế độ phải được ghi lại.
Các bộ lọc phải được đưa trở lại buồng cân và được điều hòa trong khoảng từ 1 giờ đến 80 giờ và sau đó được cân khối lượng. Khối lượng toàn bộ của các bộ lọc phải được ghi lại và sau đó trừ đi khối lượng bì (xem điều 1 Phụ lục G1). Khối lượng hạt Mf là tổng các khối lượng hạt được thu gom từ các bộ lọc chính và bộ lọc dự phòng.
Nếu việc hiệu chỉnh nền được áp dụng, khối lượng không khí pha loãng (MDIL) đi qua bộ lọc và khối lượng hạt (Md) phải được ghi lại. Nếu số lần đo lớn hơn một, phải tính toán thương số Md/MDIL cho từng lần đo và các giá trị được lấy trung bình.
5.2 Hệ thống pha loãng một phần
Các kết quả tử được báo cáo cuối cùng của khối lượng hạt phải được xác định qua các bước sau đây. Vì có thể áp dụng các cách điều khiển tỉ lệ pha loãng nên phải áp dụng các phương pháp tính khác nhau đối với GEDFW. Mọi tính toán phải được dựa trên các giá trị trung bình của các chế độ riêng trong giai đoạn lấy mẫu.
5.2.1 Các hệ thống đẳng động học
GEDFW,i = GEXHW,i x qi
![]()
ở đây r tương ứng với tỉ lệ của các diện tích mặt cắt ngang của các đầu dò đẳng động học và ống xả:
r =
5.2.2 Các hệ thống đo nồng độ CO2 hoặc NOx
GEDFW,i = GEXHW,i x qi
![]()
Trong đó:
concE là nồng độ trong trạng thái ướt của khí đánh dấu trong khí thải khô;
concD là nồng độ trong trạng thái ướt của khí đánh dấu trong khí thải pha loãng;
concA là nồng độ trong trạng thái ướt của khí đánh dấu trong không khí pha loãng;
Các nồng độ được đo trong trạng thái khô phải được biến đổi thành nồng độ trong trạng thái ướt theo 4.2 Phụ lục G1.
5.2.3 Các hệ thống đo CO2 và phương pháp cân bằng các bon (1)
![]()
Trong đó:
CO2D = nồng độ CO2 của khí thải pha loãng;
CO2A = nồng độ CO2 của không khí pha loãng;
(nồng độ theo % trong trạng thái ướt)
Công thức này dựa trên cơ sở giả thiết cân bằng các bon (các nguyên tử cacbon cung cấp cho động cơ phát thải ra CO2) và được xác định qua các bước sau:
GEDFW,i = GEXHW,i x qi
![]()
CHÚ THÍCH - (1) giá trị chỉ đúng đối với nhiên liệu chuẩn quy định trong tiêu chuẩn này.
5.2.4 Các hệ thống đo lưu lượng
GEDFW,i = GEXHW,i x qi
![]()
5.3 Hệ thống pha loãng toàn phần
Các kết quả thử được báo cáo của phát thải hạt phải được xác định qua các bước sau đây. Mọi tính toán phải được dựa trên các giá trị trung bình của các chế độ riêng trong giai đoạn lấy mẫu.
GEDFW,i = GTOT,i
5.4 Tính toán lưu lượng khối lượng hạt
Lưu lượng khối lượng hạt phải được tính như sau:

Trong đó

i = 1,…n
được xác định trong toàn bộ chu trình thử bằng tổng của các giá trị trung bình của các chế độ riêng trong suốt giai đoạn lấy mẫu.
Lưu lượng khối lượng hạt có thể được hiệu chỉnh nền như sau:

Nếu số phép đo nhiều hơn 1 thì (Md/MDIL) phải được thay bằng giá trị trung bình của (Md/MDIL)
DFi = 13,4/(concCO2 + (concCO + concHC) x 10-4)) đối với các chế độ riêng
Hoặc
DFi = 13,4/concCO2 đối với các chế độ riêng.
5.5 Tính toán khí thải riêng
Phát thải hạt được tính như sau:

5.6 Hệ số trọng lượng ảnh hưởng
Hệ số trọng lượng ảnh hưởng WFE,i đối với từng chế độ phải được tính như sau:

Sai số của các hệ số trọng lượng ảnh hưởng phải bằng ± 0,003 (0,005 đối với chế độ không tải) của các hệ số trọng lượng nêu tại 2.7.1.
6 Tính toán các giá trị của độ khói
6.1 Thuật toán Bessel
Thuật toán này phải được sử dụng để tính các giá trị trung bình trong một s từ các số đo tức thời, được biến đổi theo 6.3.1. Thuật toán mô phỏng một bộ lọc bậc hai lưu lượng thông qua thấp, và việc sử dụng nó đòi hỏi các tính toán lặp để xác định các hệ số. Các hệ số này là hàm của thời gian đáp trả của hệ thống thiết bị đo độ khói và tốc độ lấy mẫu. Vì vậy 6.1.1 dưới đây phải được lặp lại bất kỳ khi nào thời gian đáp trả của hệ thống thiết bị đo độ khói và/hoặc tốc độ lấy mẫu thay đổi.
6.1.1 Tính thời gian đáp ứng của bộ lọc và các hằng số Bessel
Thời gian đáp ứng Bessel cần thiết là hàm của các thời gian đáp trả điện và vật lý của hệ thống thiết bị đo độ khói, như được quy định tại 5.2.4, Phụ lục G4, và phải được tính theo công thức sau:
)
Trong đó
tp là thời gian đáp trả vật lý, s;
te là thời gian đáp trả điện, s;
các tính toán để ước lượng tần số cắt của bộ lọc (fc) dựa trên việc nhập 0 và 1 theo từng bậc trong 0,01 s (xem Phụ lục G.4). Thời gian đáp trả được xác định bằng thời gian giữa lúc dữ liệu ra của hàm Bessel đạt được 10% (t10) và lúc nó đạt được 90% (t90) của hàm bậc thang này. Điều này phải đạt được bằng sự lặp lại fc cho tới khi t90 - t10 = tf. Độ lặp đầu tiên đối với fc được cho bởi công thức sau:
fc = p / (10 . tf)
Các hằng số Bessel E và K phải được tính như sau:
![]()
K = 2 x E x (D x W2 - 1) - 1
Trong đó:
D = 0,618034
Dt = 1/ tốc độ lấy mẫu
W = 1/ {tang (p x Dt x fc)
6.1.2 Tính thuật toán Bessel
Bằng cách sử dụng E và K, đáp trả trung bình Bessel 1 s đối với 1 lần nhập theo từng bậc Si phải được tính như sau:

Trong đó:
Si-2 =
= 0
Si = 1
Yi-2 =
=0
Thời gian t90 và t10 phải được nội suy. Sự sai khác giữa t90 và t10 được xác định là thời gian đáp trả t1 đối với giá trị fc đó. Nếu thời gian đáp trả này không đủ gần với thời gian đáp trả cần thiết, phải tiếp tục nội suy cho đến khi sai lệch giữa thời gian đáp trả thực và thời gian đáp trả cần thiết không quá 1 s như dưới đây:
| (t90 - t10) - tf | ≤ 0,01 . tf
6.2 Đánh giá số liệu
Các giá trị đo độ khói phải được lấy mẫu với một tốc độ nhỏ nhất bằng 20Hz.
6.3 Xác định độ khói
6.3.1 Biến đổi số liệu
Vì đơn vị đo cơ bản của mọi thiết bị đo độ khói là hệ số truyền nên các giá trị độ khói phải được biến đổi từ hệ số truyền (t) thành hệ số hấp thụ ánh sáng (k) như sau:
k = - x ln (1 - )
và N = 100 - t
Trong đó:
k là hệ số hấp thụ ánh sáng (m-1);
LA là chiều dài luồng sáng hiệu quả, do nhà sản xuất thiết bị công bố;
N là độ khói, %;
t là hệ số truyền, %.
Việc biến đổi số liệu này phải được áp dụng trước khi thực hiện bất cứ việc xử lý số liệu thêm nào.
6.3.2 Tính toán độ khói trung bình Bessel
Tần số cắt fc đúng là tần số sinh ra thời gian đáp trả cần thiết tf. Một khi tần số này được xác định qua quá trình xử lý lặp nêu tại 6.1.1, các hằng số thuật toán Bessel đúng phải được tính. Sau đó thuật toán Bessel phải được áp dụng đối với vết khói tức thời (giá trị k), như được mô tả tại 6.1.2.
Về bản chất, thuật toán Bessel là thuật toán đệ quy. Vì vậy, nó cần một số giá trị vào ban đầu
và Si-2 và các giá trị đầu ra ban đầu Yi-2 và
để bắt đầu chạy thuật toán. Những thông số này có thể giả thiết là bằng 0.
Đối với từng bước tải của ba tốc độ A, B và C, giá trị 1 s lớn nhất Ymax phải được chọn từ các giá trị riêng Yi của từng vết khói.
6.3.3 Kết quả cuối cùng
Các giá trị độ khói trung bình (SV) từ mỗi chu trình (tốc độ thử) phải được tính như sau:
Đối với tốc độ A: SVA = (Ymax1,A + Ymax2,A + Ymax3,A) / 3
Đối với tốc độ B: SVB = (Ymax1,B + Ymax2,B + Ymax3,B) / 3
Đối với tốc độ C: SVC = (Ymax1,C + Ymax2,C + Ymax3,C) / 3
Trong đó:
Ymax1, Ymax2, Ymax3 = Giá trị độ khói trung bình Bessel cao nhất trong 1 s tại mỗi một trong ba bước có tải.
Giá trị cuối cùng phải được tính như sau:
SV = (0,43 x SVA) + (0,56 x SVB) x (0,01 x SVC)
PHỤ LỤC G - PHỤ LỤC G2
(quy định)
Chu trình thử ETC
1 Quy trình lập mô hình đặc tính của động cơ
1.1 Xác định dải tốc độ lập mô hình đặc tính của động cơ
Để tạo ra chu trình ETC trong các phòng thử, động cơ cần được lập mô hình đặc tính ngay trước chu trình thử để xác định đặc tính tốc độ theo mô men xoắn. Các tốc độ lập mô hình đặc tính nhỏ nhất và lớn nhất được xác định như sau:
Tốc độ lập mô hình đặc tính nhỏ nhất = tốc độ không tải nhỏ nhất.
Tốc độ lập mô hình đặc tính lớn nhất = nhi . 1,02 hoặc bằng tốc độ tại đó mô men toàn tải đột ngột bằng 0, chọn giá trị nhỏ hơn.
1.2 Thực hiện lập mô hình đặc tính công suất động cơ
Động cơ phải được làm nóng lên tại công suất lớn nhất để ổn định các thông số của động cơ theo tài liệu của nhà sản xuất và quy định kỹ thuật. Khi động cơ được ổn định, việc lập mô hình đặc tính động cơ phải được thực hiện như sau:
Động cơ phải hoạt động ở tốc độ không tải nhỏ nhất.
Động cơ phải hoạt động ở chế độ toàn tải của bơm cao áp ở tốc độ lập mô hình đặc tính nhỏ nhất.
Tốc độ động cơ phải được tăng lên với tỉ lệ trung bình là 8 ± 1 vòng/s từ tốc độ lập mô hình đặc tính nhỏ nhất đến tốc độ lập mô hình đặc tính lớn nhất. Các điểm mô men và tốc độ động cơ phải được ghi lại tại tốc độ lấy mẫu bằng ít nhất 1 điểm / 1 s.
1.3 Hệ đường đặc tính
Tất cả các điểm được ghi như nêu tại 1.2 phải được nối với nhau bằng cách dùng phép nội suy tuyến tính giữa các điểm. Đường cong mô men kết quả là đường đặc tính và phải được dùng để biến đổi các giá trị mô men được chuẩn hóa thành các giá trị thực cho chu trình thử, như mô tả tại điều 2 Phụ lục G2.
1.4 Lập mô hình đặc tính thay thế
Nếu nhà sản xuất nghĩ rằng các kỹ thuật lập mô hình đặc tính nêu trên không an toàn hoặc không đại diện cho động cơ của họ thì có thể sử dụng kỹ thuật lập mô hình đặc tính thay thế. Các kỹ thuật lập mô hình đặc tính thay thế này phải thỏa mãn mục đích của quy trình lập mô hình đặc tính quy định để xác định mô men xoắn lớn nhất có thể có tại mọi tốc độ động cơ đạt được trong suốt chu trình thử. Sai lệch của các kỹ thuật lập mô hình đặc tính quy định trong mục này do sự an toàn hoặc do tính đại diện phải được chấp nhận bởi cơ sở thử nghiệm với sự chứng minh việc áp dụng của chúng. Tuy nhiên, trong mọi trường hợp đều không được giảm các đường quét liên tiếp của tốc độ động cơ được dùng cho các động cơ tua bin tăng áp hoặc động cơ có điều khiển tốc độ.
1.5 Tái tạo các phép thử
Không cần thiết phải lập mô hình đặc tính động cơ trước mỗi và mọi chu trình thử. Động cơ phải được lập mô hình đặc tính lại ngay trước chu trình thử nếu:
+ Đã có một khoảng thời gian bất hợp lý kể từ lần lập mô hình đặc tính cuối cùng, theo xác định của đánh giá kỹ thuật, hoặc
+ Đã có những thay đổi vật lý hoặc sự hiệu chuẩn lại đối với động cơ mà chúng có thể sẽ ảnh hưởng đến đặc tính động cơ.
2 Sự tạo ra chu trình thử chuẩn
Chu trình thử quá độ được mô tả trong Phụ lục G3. Các giá trị chuẩn hóa của mômen và tốc độ phải được thay đổi thành các giá trị thực sinh ra trong chu trình chuẩn như sau:
2.1 Tốc độ thực
Tốc độ phải được phi chuẩn hóa theo công thức sau:
Tốc độ thực = {% tốc độ (tốc độ chuẩn - tốc độ không tải nhỏ nhất)/100} + tốc độ không tải nhỏ nhất
Tốc độ chuẩn (nref) tương ứng với 100% giá trị tốc độ quy định trong chương trình băng thử động cơ của Phụ lục G3 và được xác định như sau (xem Hình G2.1):
nref = nlo + 95% (nhi - nlo)
Trong đó nhi và nlo được quy định theo điều 3 của tiêu chuẩn này hoặc theo 1.1, Phụ lục G1.

Hình G2.1 - Các định nghĩa riêng của chu trình thử
2.2 Mô men thực
Các giá trị mô men của chu trình chuẩn phải được phi chuẩn hóa như sau:
Mô men thực = (% mô men x mô men lớn nhất) / 100
Đối với tốc độ thực liên quan được xác định theo 2.1 Phụ lục G2.
Để tạo ra chu trình thử chuẩn, các giá trị mô men âm của các điểm kiểm tra ('m') phải có cả các giá trị phi chuẩn hóa được xác định bằng một trong các cách sau:
+ Làm mất tác dụng 40% giá trị mômen dương có tại điểm tốc độ liên quan;
+ Lập mô hình đặc tính của mômen âm được yêu cầu cho việc chuyển động cơ từ tốc độ lập mô hình đặc tính nhỏ nhất thành tốc độ lập mô hình đặc tính lớn nhất;
+ Xác định mô men âm cần thiết để chuyển động cơ từ tốc độ không tải nhỏ nhất và các tốc độ chuẩn và nội suy tuyến tính giữa hai điểm này.
3 Tiến hành thử khí thải
Theo đề nghị của nhà sản xuất, có thể tiến hành một phép thử giả để chuẩn hóa điều kiện hoạt động của động cơ và hệ thống xả trước khi tiến hành thử khí thải.
Các động cơ sử dụng LPG và NG phải được chạy rà bằng cách sử dụng chu trình thử ETC. Động cơ phải được chạy trong ít nhất hai chu trình ETC cho đến khi khí CO đo được trong một chu trình ETC không lớn hơn khí CO đo được trong chu trình ETC trước đó 10%.
3.1 Chuẩn bị các bộ lọc mẫu (chỉ áp dụng cho động cơ điêzen)
Xem 2.1, Phụ lục G1.
3.2 Lắp đặt trang thiết bị đo
Xem 2.2 Phụ lục G1.
3.3 Khởi động hệ thống pha loãng và động cơ
Xem 2.3 Phụ lục G1.
3.4 Khởi động hệ thống lấy mẫu hạt (chỉ áp dụng cho động cơ điêzen)
Xem 2.4 Phụ lục G1.
3.5 Điều chỉnh hệ thống pha loãng toàn phần
Dòng khí thải được pha loãng toàn phần phải được chỉnh đặt để loại bỏ sự ngưng tụ nước trong hệ thống, và để đạt được nhiệt độ bề mặt bộ lọc lớn nhất không quá 325K (520C) (xem 2.3.1, DT, Phụ lục G6).
3.6 Kiểm tra máy phân tích
Các máy phân tích khí thải phải được chỉnh đặt tại điểm 0 và được hiệu chuẩn dải đo. Nếu các túi mẫu được sử dụng thì phải làm hết khí trong các túi đó.
3.7 Quy trình khởi động động cơ
Động cơ đã được ổn định phải được khởi động theo quy trình khởi động động cơ trong tài liệu hướng dẫn sử dụng của nhà sản xuất và bằng cách sử dụng máy khởi động hoặc băng thử. Có thể tùy ý bắt đầu trực tiếp phép thử từ giai đoạn chuẩn hóa điều kiện hoạt động của động cơ mà không cần tắt máy khi động cơ đã đạt được tốc độ không tải nhỏ nhất.
3.8 Chu trình thử
3.8.1 Quy trình thử
Nếu động cơ đã đạt được tốc độ không tải nhỏ nhất thì quy trình thử phải được bắt đầu. Phép thử phải được thực hiện theo chu trình chuẩn như được quy định tại điều 2 Phụ lục G2. Các điểm đặt lệnh điều khiển tốc độ và mô men xoắn phải được phát ra ở tần số không nhỏ hơn 5 Hz (nên là 10 Hz). Tốc độ và mô men xoắn phản hồi của động cơ phải được ghi lại ít nhất một lần 1 s trong suốt chu trình thử và các tín hiệu có thể được lọc điện tử.
3.8.2 Sự đáp trả máy phân tích
Nếu chu trình được bắt đầu trực tiếp từ giai đoạn chuẩn hóa điều kiện hoạt động của động cơ thì thiết bị đo phải được khởi động đồng bộ tại lúc khởi động động cơ hoặc quy trình thử:
+ Khởi động việc thu thập hoặc phân tích không khí pha loãng;
+ Khởi động việc thu thập hoặc phân tích khí thải được pha loãng;
+ Khởi động việc đo lượng khí thải được pha loãng (CVS) và đo nhiệt độ và áp suất yêu cầu;
+ Khởi động việc ghi số liệu phản hồi của tốc độ và mô men xoắn của băng thử.
Phải đo HC và NOx liên tục trong đường ống pha loãng với tần số 2Hz. Nồng độ trung bình phải được xác định bằng việc tích phân các tín hiệu phân tích trong suốt chu trình thử. Thời gian đáp trả hệ thống phải không lớn hơn 20s, và nếu cần thiết phải được phối hợp với các dao động lưu lượng CVS và thời gian lấy mẫu/các khoảng trống của chu trình thử. CO, CO2, NMHC và CH4 phải được xác định bằng việc tích hợp hoặc phân tích các nồng độ trong các túi mẫu được thu thập trong suốt chu trình thử. Các nồng độ của khí thải gây ô nhiễm trong không khí pha loãng phải được xác định bằng việc tích hợp hoặc bằng thu thập vào túi mẫu cơ sở. Mọi giá trị khác phải được ghi lại với ít nhất một lần đo trong 1 s (1 Hz)
3.8.3 Lấy mẫu hạt (chỉ áp dụng cho động cơ điêzen)
Nếu chu trình được bắt đầu trực tiếp từ giai đoạn chuẩn hóa điều kiện hoạt động của động cơ thì hệ thống lấy mẫu hạt phải được chuyển từ chế độ cho đi qua sang chế độ thu thập các hạt tại lúc khởi động động cơ hoặc quy trình thử.
Nếu không sử dụng sự bù lưu lượng, các bơm lấy mẫu phải được điều chỉnh sao cho sai số giữa lưu lượng qua ống lấy mẫu hạt hoặc ống chuyển so với lưu lượng chỉnh đặt không quá 5%. Nếu sử dụng sự bù lưu lượng (tức là điều khiển một phần lưu lượng mẫu), rõ ràng là tỉ lệ của lưu lượng đường ống chính với lưu lượng lấy mẫu hạt không được thay đổi quá 5% giá trị chỉnh đặt của nó trừ trong 10 s lấy mẫu đầu tiên.
CHÚ THÍCH: Đối với pha loãng kép, lưu lượng mẫu là sự sai khác tinh giữa lưu lượng qua các bộ lọc mẫu và lưu lượng không khí pha loãng thứ cấp.
Nhiệt độ và áp suất trung bình tại đầu vào các đồng hồ đo khí hoặc các dụng cụ đo lưu lượng phải được ghi lại. Nếu lưu lượng chỉnh đặt không thể duy trì được trong suất chu trình với sai số 5% do tải qua bộ lọc hạt cao thì phép thử phải được chấm dứt. Phép thử phải được tiến hành lại bằng việc sử dụng lưu lượng thấp hơn hoặc bộ lọc đường kính lớn hơn.
3.8.4 Sự dừng động cơ
Nếu động cơ dùng lại tại bất cứ lúc nào trong suốt chu trình thử, động cơ phải được khởi động lại và được chuẩn hóa lại điều kiện hoạt động và phép thử phải được lặp lại. Nếu xảy ra một lỗi chức năng nào trong bất kỳ trang thiết bị thử cần thiết nào trong chu trình thử thì phép thử đó phải bị hủy bỏ.
3.8.5 Các công việc sau khi thử
Tại lúc kết thúc phép thử, việc đo lưu lượng khí thải được pha loãng, lưu lượng khí vào túi mẫu và bơm lấy mẫu hạt phải được dừng lại. Đối với hệ thống máy phân tích tích hợp, việc lấy mẫu phải được tiếp tục cho đến khi các lần đáp trả hệ thống trôi qua.
Nồng độ của các túi mẫu nếu được sử dụng phải được phân tích càng sớm càng tốt và trong bất cứ trường hợp nào cũng không được chậm hơn 20 phút sau khi kết thúc phép thử.
Sau thử khí thải, phải sử dụng khí chuẩn điểm 0 và chuẩn dải đo để kiểm tra lại các máy phân tích. Phép thử sẽ được coi là chấp nhận được nếu sai khác giữa các kết quả kiểm tra trước và sau nhỏ hơn 2% giá trị khí thải dải đo.
Riêng đối với động cơ điêzen, các bộ lọc hạt phải được đưa trở lại buồng cân không chậm hơn 1 giờ từ khi kết thúc phép thử và phải được điều kiện hóa lại trong đĩa Petri được đóng lại nhưng không cần kín trong ít nhất một giờ nhưng không quá 80 giờ trước khi cân.
3.9 Kiểm tra việc tiến hành thử
3.9.1 Việc chuyển dịch số liệu
Để tối thiểu hóa hiệu ứng chéo của sự trễ thời gian giữa các giá trị chu trình chuẩn và giá trị phản hồi, toàn bộ trình tự tín hiệu phản hồi của mô men và tốc độ động cơ có thể sớm hoặc muộn về thời gian so với trình tự tín hiệu chuẩn của mô men và tốc độ động cơ. Nếu các tín hiệu phản hồi bị dịch chuyển thì cả mô men và tốc độ phải được dịch chuyển cùng số lượng theo cùng một hướng.
3.9.2 Tính toán công chu trình
Công chu trình thực Wact (kWh) phải được tính toán bằng việc sử dụng từng cặp các giá trị phản hồi của mô men và tốc độ động cơ đã được ghi. Việc này phải được làm sau bất kỳ sự dịch chuyển số liệu phản hồi nào đã xảy ra nếu phương án này được chọn. Công chu trình thực Wact được dùng để so sánh với công chu trình chuẩn Wref và để tính các khí thải riêng (xem 4.4 và 5.2). Phải sử dụng cùng phương pháp để tích phân cả hai công suất động cơ thực và chuẩn. Nếu các giá trị được xác định nằm giữa các giá trị đo liền kề hoặc chuẩn liền kề thì phải áp dụng phép nội suy tuyến tính.
Trong tích phân công chu trình thực và chuẩn phải kể đến và đặt các giá trị mô men âm bằng 0. Nếu việc tích phân được thực hiện với tần số nhỏ hơn 5 Hz và nếu một khoảng thời gian đã cho giá trị mô men thay đổi từ âm sang dương hoặc ngược lại, phần âm phải được tính và được đặt bằng 0. Phần dương phải được kể đến trong các giá trị tích phân.
Wact phải nằm trong khoảng Wref ± 5%.
3.9.3 Số liệu thống kê hợp lý của chu trình thử
Phải thực hiện hồi quy tuyến tính của các giá trị phản hồi theo giá trị chuẩn cho mô men, tốc độ và công suất. Việc này phải được làm sau bất kỳ sự dịch chuyển số liệu phản hồi nào đã xảy ra nếu phương án này được chọn. Phải sử dụng phương pháp bình phương nhỏ nhất với công thức thích hợp nhất có dạng.
y = mx + b
trong đó
y là giá trị phản hồi (thực) của mômen (Nm), tốc độ (vg/phút) hoặc công suất (kW);
m là độ dốc của đường hồi quy;
x là giá trị chuẩn (thực) của mô men (Nm), tốc độ (vg/phút) hoặc công suất (kW);
b là phần đoạn bị chắn y của đường hồi quy.
Sai số ước lượng chuẩn (SE) của y theo x và hệ số xác định (r2) phải được tính cho từng đường hồi quy. Sự phân tích này nên được thực hiện ở tần số 1 Hz. Tất cả các giá trị mômen chuẩn âm và các giá trị phản hồi liên quan phải được xóa khỏi tính toán số liệu thống kê hợp lý về mô men và công suất chu trình. Đối với một phép thử được coi là đúng, các tiêu chuẩn đánh giá trong Bảng G2.1 phải được thỏa mãn.
Bảng G2.1 - Sai số đường hồi quy
|
| Tốc độ | Mô men | Công suất |
| Sai số ước lượng chuẩn (SE) của y theo x | Lớn nhất: 100 vg/phút | Lớn nhất: 13% mô men lớn nhất của động cơ lập mô hình đặc tính công suất | Lớn nhất: 8% công suất lớn nhất của động cơ lập mô hình đặc tính công suất |
| Độ dốc của đường hồi quy, m | 0,95 đến 1,03 | 0,83 đến 1,03 | 0,89 đến 1,03 |
| Hệ số xác định (r2) | Nhỏ nhất: 0,9700 | Nhỏ nhất: 0,8800 | Nhỏ nhất: 0,9100 |
| Phần đoạn bị chắn y của đường hồi quy, b | Nhỏ nhất: 50 vg/phút | ±20 Nm hoặc ±2% mô men lớn nhất (chọn giá trị lớn hơn) | ±4 kW hoặc ±2% công suất lớn nhất (chọn giá trị lớn hơn) |
Việc xóa các điểm khỏi phép phân tích hồi quy được cho phép tại các chỗ nêu trong Bảng G2.2.
Bảng G2.2 - Việc xóa các điểm cho phép khỏi phép phân tích hồi quy
| Điều kiện | Các điểm được xóa |
| Phản hồi mô men và toàn tải ≠ chuẩn mô men | mô men và/hoặc công suất |
| Không tải, không có điểm không tải nhỏ nhất và phản hồi mô men > chuẩn mô men | |
| Không tải/bướm ga đóng, điểm không tải nhỏ nhất và tốc độ > tốc độ không tải nhỏ nhất chuẩn | tốc độ và/hoặc công suất |
4 Tính toán khí thải
4.1 Xác định lưu lượng khí thải được pha loãng
Lưu lượng khí thải được pha loãng toàn phần trong suốt chu trình (kg/lần thử) phải được tính theo các giá trị đo trong chu trình và số liệu hiệu chuẩn tương ứng của thiết bị đo lưu lượng (Vo đối với PDP hoặc Kv đối với CFV, như được xác định tại điều 2, Phụ lục G5). Phải áp dụng công suất sau đây nếu nhiệt độ khí thải được pha loãng được giữ không đổi trong suốt chu trình bằng việc sử dụng bộ trao đổi nhiệt (±6K đối với PDP - CVS, ±11 K đối với CFV-CVS, xem 2.3, Phụ lục G7).
Đối với hệ thống PDP-CVS:
MTOTW = 1,293 x Vo x Np x (pB - p1) x 273 / (101.3 x T)
Trong đó:
MTOTW là khối lượng khí thải được pha loãng trong trạng thái ướt trong suốt chu trình, (kg);
Vo là thể tích khí được bơm theo mỗi vòng quay trong các điều kiện thử, (m3/vòng quay);
pB là áp suất không khí trong phòng thử, (kPa);
p1 là độ giảm áp suất dưới áp suất không khí tại đầu vào của bơm, (kPa);
T là nhiệt độ trung bình của khí thải được pha loãng tại đầu vào của bơm trong suốt chu trình, (K).
Đối với hệ thống CFV-CVS:
MTOTW = 1,293 x t x Kv x pA / T0,5
Trong đó:
MTOTW là khối lượng khí thải được pha loãng trong trạng thái ướt trong suốt chu trình, (kg);
t là thời gian của chu trình, (s);
Kv là hệ số hiệu chuẩn của dòng tới hạn Venturi đối với điều kiện chuẩn;
pA là áp suất tuyệt đối tại đầu vào ống Venturi, (kPa);
T là nhiệt độ tuyệt đối tại đầu vào ống Venturi, (K).
Nếu sử dụng hệ thống bù lưu lượng (không có bộ trao đổi nhiệt) thì khối lượng khí thải tức thời phải được tính toán và tích phân trong suốt chu trình. Trong trường hợp này, khối lượng tức thời của khí thải được pha loãng phải được tính như sau:
Đối với hệ thống PDP-CVS:
MTOTW = 1,293 x Vo x Np,i x (pB - p1) x 273 / (101.3 x T)
Trong đó:
MTOTW là khối lượng tức thời của khí thải được pha loãng trong trạng thái ướt, (kg);
Np,i là số vòng quay của bơm trong từng khoảng thời gian.
Đối với hệ thống CFV-CVS:
MTOTW = 1,293 x Dti x Kv x pA / T0,5
Trong đó:
MTOTW là khối lượng tức thời của khí thải được pha loãng trong trạng thái ướt, (kg);
Dti là khoảng thời gian, (s).
Nếu khối lượng toàn bộ của mẫu hạt (MSAM) và khí thải ô nhiễm lớn hơn 0,5% lưu lượng CVS toàn bộ (MTOTW) thì lưu lượng CVS phải được hiệu chỉnh đối với MSAM hoặc lưu lượng mẫu hạt phải được đưa trở lại CVS ngay trước thiết bị đo lưu lượng (PDP hoặc CFV).
4.2 Hiệu chuẩn NOx theo độ ẩm
Vì NOx phụ thuộc vào điều kiện không khí xung quanh nên nồng độ NOx phải được hiệu chỉnh về độ ẩm của không khí xung quanh với các hệ số được cho trong các công thức sau:
(a) Đối với động cơ điêzen:
![]()
(b) Đối với động cơ khí:
![]()
Trong đó:
Ha là độ ẩm của không khí nạp, g nước/kg không khí khô (như nêu tại 4.2 Phụ lục G1)
4.3 Tính toán lưu lượng khối lượng khí thải
4.3.1 Hệ thống có lưu lượng khối lượng không đổi
Đối với hệ thống có bộ trao đổi nhiệt, khối lượng khí thải ô nhiễm (g/lần thử) phải được xác định như sau:
(1) NOxmass = 0,001587 x NOxconc x KH,D x MTOTW (động cơ điêzen)
(2) NOxmass = 0,001587 x NOxconc x KH,G x MTOTW (động cơ khí)
(3) COmass = 0,000966 x COconc x MTOTW
(4) HCmass = 0,000479 x HCconc x MTOTW (động cơ điêzen)
(5) HCmass = 0,000502 x HCconc x MTOTW (động cơ LPG)
(6) NMHCmass = 0,000516 x NMHCconc x MTOTW (động cơ NG)
(7) CH4,mass = 0,000552 x CH4,conc x MTOTW (động cơ NG)
Trong đó:
NOx conc, COconc, HCconc, (1) NMHCconc = các nồng độ hiệu chỉnh nền trung bình trong suốt chu trình theo tích hợp (bắt buộc đối với NOx và HC) hoặc đo túi, ppm;
MTOTW = khối lượng toàn bộ của khí thải được pha loãng trong suốt chu trình như được xác định tại G2.4.1, (kg);
KH,D và KH,G = xem 4.2 Phụ lục G2.
CHÚ THÍCH: (1) trên cơ sở C1 tương đương.
Các nồng độ được đo trong trạng thái khô phải được biến đổi sang trạng thái ướt theo 4.2, Phụ lục G1.
Việc xác định NMHCconc phụ thuộc vào phương pháp được sử dụng (xem 3.3.4, Phụ lục G4). Trong cả hai trường hợp, nồng độ CH4 phải được xác định và trừ đi khỏi nồng độ HC như sau:
(a) Phương pháp GC:
NMHCconc = HCconc - CH4,conc
(b) Phương pháp NMC:
![]()
Trong đó:
HC (w/Cutter) là nồng độ HC với dòng khí mẫu đi qua NMC;
HC (w/o Cutter) là nồng độ HC với dòng khí mẫu không đi qua NMC;
CEM là Hiệu quả mêtan như được xác định tại 1.8.4.1, Phụ lục G5;
CEE là Hiệu quả êtan như được xác định tại 1.8.4.2, Phụ lục G5.
4.3.1.1 Xác định nồng độ hiệu chỉnh nền
Nồng độ hiệu chỉnh nền trung bình của khí thải ô nhiễm trong không khí pha loãng phải được trừ đi khỏi nồng độ đo để đạt được nồng độ tinh của khí thải ô nhiễm. Các giá trị trung bình của nồng độ nền có thể được xác định bằng phương pháp túi mẫu hoặc bằng đo liên tục với phép tích phân, phải áp dụng công thức sau:
conc = conce - concd (1 - 1/DF)
Trong đó:
conc là nồng độ khí thải ô nhiễm được xét trong khí thải được pha loãng, được hiệu chỉnh bởi số lượng khí thải ô nhiễm được xét trong không khí pha loãng, (ppm);
conce là nồng độ khí thải ô nhiễm được xét được đo trong khí thải được pha loãng, (ppm);
concd là nồng độ khí thải ô nhiễm được xét được đo trong không khí pha loãng, (ppm);
DF là hệ số pha loãng.
DF phải được tính như sau:
(a) Đối với động cơ điêzen và LPG:
![]()
(b) Đối với động cơ NG:
![]()
Trong đó:
CO2,conce là nồng độ CO2 trong khí thải được pha loãng, (% thể tích);
HCconce là nồng độ HC trong khí thải được pha loãng, (ppm C1);
NMHCconce là nồng độ NMHC trong khí thải được pha loãng, (ppm C1);
COconce là nồng độ CO trong khí thải được pha loãng, (ppm);
Fs xem 3.34.1.
Các nồng độ được đo trong trạng thái khô phải được biến đổi sang trạng thái ướt theo 4.2. Phụ lục G1.
Hệ thống Stoichiometric Fs phải được tính như sau:

Trong đó:
x,y là thành phần nhiên liệu CxHy.
nếu các thành phần nhiên liệu không được biết thì có thể sử dụng các Fs như sau:
Fs (điêzen) = 13,4
Fs (LPG) = 11,6
Fs (NG) = 9,5
4.3.2 Các hệ thống có bù lưu lượng
Đối với các hệ thống không có bộ trao đổi nhiệt, khối lượng chất ô nhiễm (g/lần thử) phải được xác định bằng tính toán khối lượng khí thải tức thời và tích phân các giá trị tức thời trong suốt chu trình. Việc hiệu chỉnh nền cũng phải được áp dụng trực tiếp cho nồng độ khí thải tức thời. Phải áp dụng các công thức sau:
(1) NOx mass =
(động cơ điêzen)
(2) NOx mass =
(động cơ nhiên liệu khí)
(3) COmass = ![]()
(4) HCmass =
(động cơ điêzen)
(5) HCmass =
(động cơ LPG)
(6) NMHCmass =
(động cơ NG)
(7) CH4,mass =
(động cơ NG)
Trong đó:
conce, concd xem 4.3.1.1 Phụ lục G2;
MTOTW,i là khối lượng tức thời của khí thải được pha loãng, xem 4.1 Phụ lục G2, (kg);
MTOTW xem 4.1 Phụ lục G2, (kg);
KH,D và KH,G xem 4.2 Phụ lục G2;
DF xem 4.3.1.1 Phụ lục G2.
4.4 Tính toán các khí thải riêng
Khí thải (g/kWh) phải được tính toán cho mọi thành phần riêng biệt như sau:
(Động cơ điêzen và khí)
(Động cơ điêzen và khí)
(Động cơ điêzen và LPG)
(Động cơ NG)
(Động cơ NG)
Trong đó:
Wact - xem 3.9.2 Phụ lục G2, (kWh)
5 Tính toán phát thải hạt (chỉ áp dụng cho động cơ điêzen)
5.1 Tính toán lưu lượng khối lượng
Khối lượng hạt (g/lần thử) phải được tính như sau:
![]()
Trong đó:
Mf là khối lượng hạt được lấy mẫu trong suốt chu trình, (mg);
MTOTW là xem 4.1 Phụ lục G2, (kg)
MSAM là khối lượng khí thải được pha loãng được lấy từ đường ống pha loãng để thu thập các hạt, (kg)
và:
Mf là Mf,p + Mf,b nếu được cân riêng, (mg);
Mf,p là khối lượng hạt được thu thập trên bộ lọc chính, (mg);
Mf,b là khối lượng hạt được thu thập trên bộ lọc dự phòng, (mg).
Nếu sử dụng hệ thống pha loãng kép, khối lượng của không khí pha loãng thứ cấp phải được trừ đi khỏi khối lượng tổng của khí thải được pha loãng kép được lấy mẫu qua các bộ lọc hạt.
MSAM = MTOT - MSEC
Trong đó:
MTOT là khối lượng của khí thải được pha loãng kép qua các bộ lọc hạt, (kg);
MSEC là khối lượng của không khí pha loãng thứ cấp, (kg).
Nếu mức hạt nền trong không khí pha loãng được xác định theo 3.4, khối lượng hạt có thể được hiệu chỉnh nền. Trong trường hợp này, khối lượng hạt (g/lần thử) phải được tính như sau:
![]()
Trong đó:
Mf, MSAM, MTOTW xem ở trên;
MDIL là khối lượng của không khí pha loãng chính được lấy mẫu bởi bộ lấy mẫu hạt nền, (kg);
Md là khối lượng của hạt nền thu thập được của không khí pha loãng chính, (mg);
DF xem 4.3.1.1 Phụ lục G2.
5.2 Tính toán khí thải riêng
Phát thải hạt (g/kWh) phải được xác định như sau:
![]()
Trong đó Wact xem 3.9.2 Phụ lục G2.
PHỤ LỤC G - PHỤ LỤC G3
(quy định)
Lịch trình hoạt động của băng thử động cơ theo ETC
| Thời gian | Tốc độ định mức | Mô men định mức |
| 1 | 0 | 0 |
| 2 | 0 | 0 |
| 3 | 0 | 0 |
| 4 | 0 | 0 |
| 5 | 0 | 0 |
| 6 | 0 | 0 |
| 7 | 0 | 0 |
| 8 | 0 | 0 |
| 9 | 0 | 0 |
| 10 | 0 | 0 |
| 11 | 0 | 0 |
| 12 | 0 | 0 |
| 13 | 0 | 0 |
| 14 | 0 | 0 |
| 15 | 0 | 0 |
| 16 | 0,1 | 1,5 |
| 17 | 23,1 | 21,5 |
| 18 | 12,6 | 28,5 |
| 19 | 21,8 | 71 |
| 20 | 19,7 | 76,8 |
| 21 | 54,6 | 80,9 |
| 22 | 71,3 | 4,9 |
| 23 | 55,9 | 18,1 |
| 24 | 72 | 85,4 |
| 25 | 86,7 | 61,8 |
| 26 | 51,7 | 0 |
| 27 | 53,4 | 48,9 |
| 28 | 34,2 | 87,6 |
| 29 | 45,5 | 92,7 |
| 30 | 54,6 | 99,5 |
| 31 | 64,5 | 96,8 |
| 32 | 71,7 | 85,4 |
| 33 | 79,4 | 54,8 |
| 34 | 89,7 | 99,4 |
| 35 | 57,4 | 0 |
| 36 | 59,7 | 30,6 |
| 37 | 90,1 | "m" |
| 38 | 82,9 | "m" |
| 39 | 51,3 | "m" |
| 40 | 28,5 | "m" |
| 41 | 29,3 | "m" |
| 42 | 26,7 | "m" |
| 43 | 20,4 | "m" |
| 44 | 14,1 | 0 |
| 45 | 6,5 | 0 |
| 46 | 0 | 0 |
| 47 | 0 | 0 |
| 48 | 0 | 0 |
| 49 | 0 | 0 |
| 50 | 0 | 0 |
| 51 | 0 | 0 |
| 52 | 0 | 0 |
| 53 | 0 | 0 |
| 54 | 0 | 0 |
| 55 | 0 | 0 |
| 56 | 0 | 0 |
| 57 | 0 | 0 |
| 58 | 0 | 0 |
| 59 | 0 | 0 |
| 60 | 0 | 0 |
| 61 | 0 | 0 |
| 62 | 25,5 | 11,1 |
| 63 | 28,5 | 20,9 |
| 64 | 32 | 73,9 |
| 65 | 4 | 82,3 |
| 66 | 34,5 | 80,4 |
| 67 | 64,1 | 86 |
| 68 | 58 | 0 |
| 69 | 50,3 | 83,4 |
| 70 | 66,4 | 99,1 |
| 71 | 81,4 | 99,6 |
| 72 | 88,7 | 73,4 |
| 73 | 52,5 | 0 |
| 74 | 46,4 | 58,5 |
| 75 | 48,6 | 90,9 |
| 76 | 55,2 | 99,4 |
| 77 | 62,3 | 99 |
| 78 | 68,4 | 91,5 |
| 79 | 74,5 | 73,7 |
| 80 | 38 | 0 |
| 81 | 41,8 | 89,6 |
| 82 | 47,1 | 99,2 |
| 83 | 52,5 | 99,8 |
| 84 | 56,9 | 80,8 |
| 85 | 58,3 | 11,8 |
| 86 | 56,2 | "m" |
| 87 | 52 | "m" |
| 88 | 43,3 | "m" |
| 89 | 36,1 | "m" |
| 90 | 27,6 | "m" |
| 91 | 21,1 | "m" |
| 92 | 8 | 0 |
| 93 | 0 | 0 |
| 94 | 0 | 0 |
| 95 | 0 | 0 |
| 96 | 0 | 0 |
| 97 | 0 | 0 |
| 98 | 0 | 0 |
| 99 | 0 | 0 |
| 100 | 0 | 0 |
| 101 | 0 | 0 |
| 102 | 0 | 0 |
| 103 | 0 | 0 |
| 104 | 0 | 0 |
| 105 | 0 | 0 |
| 106 | 0 | 0 |
| 107 | 0 | 0 |
| 108 | 11,6 | 14,8 |
| 109 | 0 | 0 |
| 110 | 27,2 | 74,8 |
| 111 | 17 | 76,9 |
| 112 | 36 | 78 |
| 113 | 59,7 | 86 |
| 114 | 80,8 | 17,9 |
| 115 | 49,7 | 0 |
| 116 | 65,6 | 86 |
| 117 | 78,6 | 72,2 |
| 118 | 64,9 | "m" |
| 119 | 44,3 | "m" |
| 120 | 51,4 | 83,4 |
| 121 | 58,1 | 97 |
| 122 | 69,3 | 99,3 |
| 123 | 72 | 20,8 |
| 124 | 72,1 | "m" |
| 125 | 65,3 | "m" |
| 126 | 64 | "m" |
| 127 | 59,7 | "m" |
| 128 | 52,8 | "m" |
| 129 | 45,9 | "m" |
| 130 | 38,7 | "m" |
| 131 | 32,4 | "m" |
| 132 | 27 | "m" |
| 133 | 21,7 | "m" |
| 134 | 19,1 | 0,4 |
| 135 | 34,7 | 14 |
| 136 | 16,4 | 48,6 |
| 137 | 0 | 11,2 |
| 138 | 1,2 | 2,1 |
| 139 | 30,1 | 19,3 |
| 140 | 30 | 73,9 |
| 141 | 54,4 | 74,4 |
| 142 | 77,2 | 55,6 |
| 143 | 58,1 | 0 |
| 144 | 45 | 82,1 |
| 145 | 68,7 | 98,1 |
| 146 | 85,7 | 67,2 |
| 147 | 60,2 | 0 |
| 148 | 59,4 | 98 |
| 149 | 72,7 | 99,6 |
| 150 | 79,9 | 45 |
| 151 | 44,3 | 0 |
| 152 | 41,5 | 84,4 |
| 153 | 56,2 | 98,2 |
| 154 | 65,7 | 99,1 |
| 155 | 74,4 | 84,7 |
| 156 | 54,4 | 0 |
| 157 | 47,9 | 89,7 |
| 158 | 54,5 | 99,5 |
| 159 | 62,7 | 96,8 |
| 160 | 62,3 | 0 |
| 161 | 46,2 | 54,2 |
| 162 | 44,3 | 83,2 |
| 163 | 48,2 | 13,3 |
| 164 | 51 | "m" |
| 165 | 50 | "m" |
| 166 | 49,2 | "m" |
| 167 | 49,3 | "m" |
| 168 | 49,9 | "m" |
| 169 | 51,6 | "m" |
| 170 | 49,7 | "m" |
| 171 | 48,5 | "m" |
| 172 | 50,3 | 72,5 |
| 173 | 51,1 | 84,5 |
| 174 | 54,6 | 64,8 |
| 175 | 56,6 | 76,5 |
| 176 | 58 | "m" |
| 177 | 53,6 | "m" |
| 178 | 40,8 | "m" |
| 179 | 32,9 | "m" |
| 180 | 26,3 | "m" |
| 181 | 20,9 | "m" |
| 182 | 10 | 0 |
| 183 | 0 | 0 |
| 184 | 0 | 0 |
| 185 | 0 | 0 |
| 186 | 0 | 0 |
| 187 | 0 | 0 |
| 188 | 0 | 0 |
| 189 | 0 | 0 |
| 190 | 0 | 0 |
| 191 | 0 | 0 |
| 192 | 0 | 0 |
| 193 | 0 | 0 |
| 194 | 0 | 0 |
| 195 | 0 | 0 |
| 196 | 0 | 0 |
| 197 | 0 | 0 |
| 198 | 0 | 0 |
| 199 | 0 | 0 |
| 200 | 0 | 0 |
| 201 | 0 | 0 |
| 202 | 0 | 0 |
| 203 | 0 | 0 |
| 204 | 0 | 0 |
| 205 | 0 | 0 |
| 206 | 0 | 0 |
| 207 | 0 | 0 |
| 208 | 0 | 0 |
| 209 | 0 | 0 |
| 210 | 0 | 0 |
| 211 | 0 | 0 |
| 212 | 0 | 0 |
| 213 | 0 | 0 |
| 214 | 0 | 0 |
| 215 | 0 | 0 |
| 216 | 0 | 0 |
| 217 | 0 | 0 |
| 218 | 0 | 0 |
| 219 | 0 | 0 |
| 220 | 0 | 0 |
| 221 | 0 | 0 |
| 222 | 0 | 0 |
| 223 | 0 | 0 |
| 224 | 0 | 0 |
| 225 | 21,2 | 62,7 |
| 226 | 30,8 | 75,1 |
| 227 | 5,9 | 82,7 |
| 228 | 34,6 | 80,3 |
| 229 | 59,9 | 87 |
| 230 | 84,3 | 86,2 |
| 231 | 68,7 | "m" |
| 232 | 43,6 | "m" |
| 233 | 41,5 | 85,4 |
| 234 | 49,9 | 94,3 |
| 235 | 60,8 | 99 |
| 236 | 70,2 | 99,4 |
| 237 | 81,1 | 92,4 |
| 238 | 49,2 | 0 |
| 239 | 56 | 86,2 |
| 240 | 56,2 | 99,3 |
| 241 | 61,7 | 99 |
| 242 | 69,2 | 99,3 |
| 243 | 74,1 | 99,8 |
| 244 | 72,4 | 8,4 |
| 245 | 71,3 | 0 |
| 246 | 71,2 | 9,1 |
| 247 | 67,1 | "m" |
| 248 | 65,5 | "m" |
| 249 | 64,4 | "m" |
| 250 | 62,9 | 25,6 |
| 251 | 62,2 | 35,6 |
| 252 | 62,9 | 24,4 |
| 253 | 58,8 | "m" |
| 254 | 56,9 | "m" |
| 255 | 54,5 | "m" |
| 256 | 51,7 | 17 |
| 257 | 56,2 | 78,7 |
| 258 | 59,5 | 94,7 |
| 259 | 65,5 | 99,1 |
| 260 | 71,2 | 99,5 |
| 261 | 76,6 | 99,9 |
| 262 | 79 | 0 |
| 263 | 52,9 | 97,5 |
| 264 | 53,1 | 99,7 |
| 265 | 59 | 99,1 |
| 266 | 62,2 | 99 |
| 267 | 65 | 99,1 |
| 268 | 69 | 83,1 |
| 269 | 69,9 | 28,4 |
| 270 | 70,6 | 12,5 |
| 271 | 68,9 | 8,4 |
| 272 | 69,8 | 9,1 |
| 273 | 69,6 | 7 |
| 274 | 65,7 | "m" |
| 275 | 67,1 | "m" |
| 276 | 66,7 | "m" |
| 277 | 65,6 | "m" |
| 278 | 64,5 | "m" |
| 279 | 62,9 | "m" |
| 280 | 59,3 | "m" |
| 281 | 54,1 | "m" |
| 282 | 51,3 | "m" |
| 283 | 47,9 | "m" |
| 284 | 43,6 | "m" |
| 285 | 39,4 | "m" |
| 286 | 34,7 | "m" |
| 287 | 29,8 | "m" |
| 288 | 20,9 | 73,4 |
| 289 | 36,9 | "m" |
| 290 | 35,5 | "m" |
| 291 | 20,9 | "m" |
| 292 | 49,7 | 11,9 |
| 293 | 42,5 | "m" |
| 294 | 32 | "m" |
| 295 | 23,6 | "m" |
| 296 | 19,1 | 0 |
| 297 | 15,7 | 73,5 |
| 298 | 25,1 | 76,8 |
| 299 | 34,5 | 81,4 |
| 300 | 44,1 | 87,4 |
| 301 | 52,8 | 98,6 |
| 302 | 63,6 | 99 |
| 303 | 73,6 | 99,7 |
| 304 | 62,2 | "m" |
| 305 | 29,2 | "m" |
| 306 | 46,4 | 22 |
| 307 | 47,3 | 13,8 |
| 308 | 47,2 | 12,5 |
| 309 | 47,9 | 11,5 |
| 310 | 47,8 | 35,5 |
| 311 | 49,2 | 83,3 |
| 312 | 52,7 | 96,4 |
| 313 | 57,4 | 99,2 |
| 314 | 61,8 | 99 |
| 315 | 66,4 | 60,9 |
| 316 | 65,8 | "m" |
| 317 | 59 | "m" |
| 318 | 50,7 | "m" |
| 319 | 41,8 | "m" |
| 320 | 34,7 | "m" |
| 321 | 28,7 | "m" |
| 322 | 25,2 | "m" |
| 323 | 43 | 24,8 |
| 324 | 38,7 | 0 |
| 325 | 48,1 | 31,9 |
| 326 | 40,3 | 61 |
| 327 | 42,4 | 52,1 |
| 328 | 46,4 | 47,7 |
| 329 | 46,9 | 30,7 |
| 330 | 46,1 | 23,1 |
| 331 | 45,7 | 23,2 |
| 332 | 45,5 | 31,9 |
| 333 | 46,4 | 73,6 |
| 334 | 51,3 | 60,7 |
| 335 | 51,3 | 51,1 |
| 336 | 53,2 | 46,8 |
| 337 | 53,9 | 50 |
| 338 | 53,4 | 52,1 |
| 339 | 53,8 | 45,7 |
| 340 | 50,6 | 22,1 |
| 341 | 47,8 | 26 |
| 342 | 41,6 | 17,8 |
| 343 | 38,7 | 29,8 |
| 344 | 35,9 | 71,6 |
| 345 | 34,6 | 47,3 |
| 346 | 34,8 | 80,3 |
| 347 | 35,9 | 87,2 |
| 348 | 38,8 | 90,8 |
| 349 | 41,5 | 94,7 |
| 350 | 47,1 | 99,2 |
| 351 | 53,1 | 99,7 |
| 352 | 46,4 | 0 |
| 353 | 42,5 | 0,7 |
| 354 | 43,6 | 58,6 |
| 355 | 47,1 | 87,5 |
| 356 | 54,1 | 99,5 |
| 357 | 62,9 | 99 |
| 358 | 72,6 | 99,6 |
| 359 | 82,4 | 99,5 |
| 360 | 88 | 99,4 |
| 361 | 46,4 | 0 |
| 362 | 53,4 | 95,2 |
| 363 | 58,4 | 99,2 |
| 364 | 61,5 | 99 |
| 365 | 64,8 | 99 |
| 366 | 68,1 | 99,2 |
| 367 | 73,4 | 99,7 |
| 368 | 73,3 | 29,8 |
| 369 | 73,5 | 14,6 |
| 370 | 68,3 | 0 |
| 371 | 45,4 | 49,9 |
| 372 | 47,2 | 75,7 |
| 373 | 44,5 | 9 |
| 374 | 47,8 | 10,3 |
| 375 | 46,8 | 15,9 |
| 376 | 46,9 | 12,7 |
| 377 | 46,8 | 8,9 |
| 378 | 46,1 | 6,2 |
| 379 | 46,1 | "m" |
| 380 | 45,5 | "m" |
| 381 | 44,7 | "m" |
| 382 | 43,8 | "m" |
| 383 | 41 | "m" |
| 384 | 41,1 | 6,4 |
| 385 | 38 | 6,3 |
| 386 | 35,9 | 0,3 |
| 387 | 33,5 | 0 |
| 388 | 53,1 | 48,9 |
| 389 | 48,3 | "m" |
| 390 | 49,9 | "m" |
| 391 | 48 | "m" |
| 392 | 45,3 | "m" |
| 393 | 41,6 | 3,1 |
| 394 | 44,3 | 79 |
| 395 | 44,3 | 89,5 |
| 396 | 43,4 | 98,8 |
| 397 | 44,3 | 98,9 |
| 398 | 43 | 98,8 |
| 399 | 42,2 | 98,8 |
| 400 | 42,7 | 98,8 |
| 401 | 45 | 99 |
| 402 | 43,6 | 98,9 |
| 403 | 42,2 | 98,8 |
| 404 | 44,8 | 99 |
| 405 | 43,4 | 98,8 |
| 406 | 45 | 99 |
| 407 | 42,2 | 54,8 |
| 408 | 61,2 | 31,9 |
| 409 | 56,3 | 72,3 |
| 410 | 59,7 | 99,1 |
| 411 | 62,3 | 99 |
| 412 | 67,9 | 99,2 |
| 413 | 69,5 | 99,3 |
| 414 | 73,1 | 99,7 |
| 415 | 77,7 | 99,8 |
| 416 | 79,7 | 99,7 |
| 417 | 82,5 | 99,5 |
| 418 | 85,3 | 99,4 |
| 419 | 86,6 | 99,4 |
| 420 | 89,4 | 99,4 |
| 421 | 62,2 | 0 |
| 422 | 52,7 | 96,4 |
| 423 | 50,2 | 99,8 |
| 424 | 49,3 | 99,6 |
| 425 | 52,2 | 99,8 |
| 426 | 51,3 | 100 |
| 427 | 51,3 | 100 |
| 428 | 51,1 | 100 |
| 429 | 51,1 | 100 |
| 430 | 51,8 | 99,9 |
| 431 | 51,3 | 100 |
| 432 | 51,1 | 100 |
| 433 | 51,3 | 100 |
| 434 | 52,3 | 99,8 |
| 435 | 52,9 | 99,7 |
| 436 | 53,8 | 99,6 |
| 437 | 51,7 | 99,9 |
| 438 | 53,5 | 99,6 |
| 439 | 52 | 99,8 |
| 440 | 51,7 | 99,9 |
| 441 | 53,2 | 99,7 |
| 442 | 54,2 | 99,5 |
| 443 | 55,2 | 99,4 |
| 444 | 53,8 | 99,6 |
| 445 | 53,1 | 99,7 |
| 446 | 55 | 99,4 |
| 447 | 57 | 99,2 |
| 448 | 61,5 | 99 |
| 449 | 59,4 | 5,7 |
| 450 | 59 | 0 |
| 451 | 57,3 | 59,8 |
| 452 | 64,1 | 99 |
| 453 | 70,9 | 90,5 |
| 454 | 58 | 0 |
| 455 | 41,5 | 59,8 |
| 456 | 44,1 | 92,6 |
| 457 | 46,8 | 99,2 |
| 458 | 47,2 | 99,3 |
| 459 | 51 | 100 |
| 460 | 53,2 | 99,7 |
| 461 | 53,1 | 99,7 |
| 462 | 55,9 | 53,1 |
| 463 | 53,9 | 13,9 |
| 464 | 52,5 | "m" |
| 465 | 51,7 | "m" |
| 466 | 51,5 | 52,2 |
| 467 | 52,8 | 80 |
| 468 | 54,9 | 95 |
| 469 | 57,3 | 99,2 |
| 470 | 60,7 | 99,1 |
| 471 | 62,4 | "m" |
| 472 | 60,1 | "m" |
| 473 | 53,2 | "m" |
| 474 | 44 | "m" |
| 475 | 35,2 | "m" |
| 476 | 30,5 | "m" |
| 477 | 26,5 | "m" |
| 478 | 22,5 | "m" |
| 479 | 20,4 | "m" |
| 480 | 19,1 | "m" |
| 481 | 19,1 | "m" |
| 482 | 13,4 | "m" |
| 483 | 6,7 | "m" |
| 484 | 3,2 | "m" |
| 485 | 14,3 | 63,8 |
| 486 | 34,1 | 0 |
| 487 | 23,9 | 75,7 |
| 488 | 31,7 | 79,2 |
| 489 | 32,1 | 19,4 |
| 490 | 35,9 | 5,8 |
| 491 | 36,6 | 0,8 |
| 492 | 38,7 | "m" |
| 493 | 38,4 | "m" |
| 494 | 39,4 | "m" |
| 495 | 39,7 | "m" |
| 496 | 40,5 | "m" |
| 497 | 40,8 | "m" |
| 498 | 39,7 | "m" |
| 499 | 39,2 | "m" |
| 500 | 38,7 | "m" |
| 501 | 32,7 | "m" |
| 502 | 30,1 | "m" |
| 503 | 21,9 | "m" |
| 504 | 12,8 | 0 |
| 505 | 0 | 0 |
| 506 | 0 | 0 |
| 507 | 0 | 0 |
| 508 | 0 | 0 |
| 509 | 0 | 0 |
| 510 | 0 | 0 |
| 511 | 0 | 0 |
| 512 | 0 | 0 |
| 513 | 0 | 0 |
| 514 | 30,5 | 25,6 |
| 515 | 19,7 | 56,9 |
| 516 | 16,3 | 45,1 |
| 517 | 27,2 | 4,6 |
| 518 | 21,7 | 1,3 |
| 519 | 29,7 | 28,6 |
| 520 | 36,6 | 73,7 |
| 521 | 61,3 | 59,5 |
| 522 | 40,8 | 0 |
| 523 | 36,6 | 27,8 |
| 524 | 39,4 | 80,4 |
| 525 | 51,3 | 88,9 |
| 526 | 58,5 | 11,1 |
| 527 | 60,7 | "m" |
| 528 | 54,5 | "m" |
| 529 | 51,3 | "m" |
| 530 | 45,5 | "m" |
| 531 | 40,8 | "m" |
| 532 | 38,9 | "m" |
| 533 | 36,6 | "m" |
| 534 | 36,1 | 72,7 |
| 535 | 44,8 | 78,9 |
| 536 | 51,6 | 91,1 |
| 537 | 59,1 | 99,1 |
| 538 | 66 | 99,1 |
| 539 | 75,1 | 99,9 |
| 540 | 81 | 8 |
| 541 | 39,1 | 0 |
| 542 | 53,8 | 89,7 |
| 543 | 59,7 | 99,1 |
| 544 | 64,8 | 99 |
| 545 | 70,6 | 96,1 |
| 546 | 72,6 | 19,6 |
| 547 | 72 | 6,3 |
| 548 | 68,9 | 0,1 |
| 549 | 67,7 | "m" |
| 550 | 66,8 | "m" |
| 551 | 64,3 | 16,9 |
| 552 | 64,9 | 7 |
| 553 | 63,6 | 12,5 |
| 554 | 63 | 7,7 |
| 555 | 64,4 | 38,2 |
| 556 | 63 | 11,8 |
| 557 | 63,6 | 0 |
| 558 | 63,3 | 5 |
| 559 | 60,1 | 9,1 |
| 560 | 61 | 8,4 |
| 561 | 59,7 | 0,9 |
| 562 | 58,7 | "m" |
| 563 | 56 | "m" |
| 564 | 53,9 | "m" |
| 565 | 52,1 | "m" |
| 566 | 49,9 | "m" |
| 567 | 46,4 | "m" |
| 568 | 43,6 | "m" |
| 569 | 40,8 | "m" |
| 570 | 37,5 | "m" |
| 571 | 27,8 | "m" |
| 572 | 17,1 | 0,6 |
| 573 | 12,2 | 0,9 |
| 574 | 11,5 | 1,1 |
| 575 | 8,7 | 0,5 |
| 576 | 8 | 0,9 |
| 577 | 5,3 | 0,2 |
| 578 | 4 | 0 |
| 579 | 3,9 | 0 |
| 580 | 0 | 0 |
| 581 | 0 | 0 |
| 582 | 0 | 0 |
| 583 | 0 | 0 |
| 584 | 0 | 0 |
| 585 | 0 | 0 |
| 586 | 0 | 0 |
| 587 | 8,7 | 22,8 |
| 588 | 16,2 | 49,4 |
| 589 | 23,6 | 56 |
| 590 | 21,1 | 56,1 |
| 591 | 23,6 | 56 |
| 592 | 46,2 | 68,8 |
| 593 | 68,4 | 61,2 |
| 594 | 58,7 | "m" |
| 595 | 31,6 | "m" |
| 596 | 19,9 | 8,8 |
| 597 | 32,9 | 70,2 |
| 598 | 43 | 79 |
| 599 | 57,4 | 98,9 |
| 600 | 72,1 | 73,8 |
| 601 | 53 | 0 |
| 602 | 48,1 | 86 |
| 603 | 56,2 | 99 |
| 604 | 65,4 | 98,9 |
| 605 | 72,9 | 99,7 |
| 606 | 67,5 | "m" |
| 607 | 39 | "m" |
| 608 | 41,9 | 38,1 |
| 609 | 44,1 | 80,4 |
| 610 | 46,8 | 99,4 |
| 611 | 48,7 | 99,9 |
| 612 | 50,5 | 99,7 |
| 613 | 52,5 | 90,3 |
| 614 | 51 | 1,8 |
| 615 | 50 | "m" |
| 616 | 49,1 | "m" |
| 617 | 47 | "m" |
| 618 | 43,1 | "m" |
| 619 | 39,2 | "m" |
| 620 | 40,6 | 0,5 |
| 621 | 41,8 | 53,4 |
| 622 | 44,4 | 65,1 |
| 623 | 48,1 | 67,8 |
| 624 | 53,8 | 99,2 |
| 625 | 58,6 | 98,9 |
| 626 | 63,6 | 98,8 |
| 627 | 68,5 | 99,2 |
| 628 | 72,2 | 89,4 |
| 629 | 77,1 | 0 |
| 630 | 57,8 | 79,1 |
| 631 | 60,3 | 98,8 |
| 632 | 61,9 | 98,8 |
| 633 | 63,8 | 98,8 |
| 634 | 64,7 | 98,9 |
| 635 | 65,4 | 46,5 |
| 636 | 65,7 | 44,5 |
| 637 | 65,6 | 3,5 |
| 638 | 49,1 | 0 |
| 639 | 50,4 | 73,1 |
| 640 | 50,5 | "m" |
| 641 | 51 | "m" |
| 642 | 49,4 | "m" |
| 643 | 49,2 | "m" |
| 644 | 48,6 | "m" |
| 645 | 47,5 | "m" |
| 646 | 46,5 | "m" |
| 647 | 46 | 11,3 |
| 648 | 45,6 | 42,8 |
| 649 | 47,1 | 83 |
| 650 | 46,2 | 99,3 |
| 651 | 47,9 | 99,7 |
| 652 | 49,5 | 99,9 |
| 653 | 50,6 | 99,7 |
| 654 | 51 | 99,6 |
| 655 | 53 | 99,3 |
| 656 | 54,9 | 99,1 |
| 657 | 55,7 | 99 |
| 658 | 56 | 99 |
| 659 | 56,1 | 9,3 |
| 660 | 55,6 | "m" |
| 661 | 55,4 | "m" |
| 662 | 64,9 | 61,6 |
| 663 | 54,9 | 59,8 |
| 664 | 54 | 39,3 |
| 665 | 53,8 | "m" |
| 666 | 52 | "m" |
| 667 | 50,4 | "m" |
| 668 | 50,6 | 0 |
| 669 | 49,3 | 41,7 |
| 670 | 50 | 73,2 |
| 671 | 50,4 | 99,7 |
| 672 | 51,9 | 99,5 |
| 673 | 53,6 | 99,3 |
| 674 | 54,6 | 99,1 |
| 675 | 56 | 99 |
| 676 | 55,8 | 99 |
| 677 | 58,4 | 98,9 |
| 678 | 59,9 | 98,8 |
| 679 | 60,9 | 98,8 |
| 680 | 63 | 98,8 |
| 681 | 64,3 | 98,9 |
| 682 | 64,8 | 64 |
| 683 | 65,9 | 46,5 |
| 684 | 66,2 | 28,7 |
| 685 | 65,2 | 1,8 |
| 686 | 65 | 6,8 |
| 687 | 63,6 | 53,6 |
| 688 | 62,4 | 82,5 |
| 689 | 61,8 | 98,8 |
| 690 | 59,8 | 98,8 |
| 691 | 59,2 | 98,8 |
| 692 | 59,7 | 98,8 |
| 693 | 61,2 | 98,8 |
| 694 | 62,2 | 49,4 |
| 695 | 62,8 | 37,2 |
| 696 | 63,5 | 46,3 |
| 697 | 64,7 | 72,8 |
| 698 | 64,7 | 72,3 |
| 699 | 65,4 | 77,4 |
| 700 | 66,1 | 69,3 |
| 701 | 64,3 | "m" |
| 702 | 64,3 | "m" |
| 703 | 63 | "m" |
| 704 | 62,2 | "m" |
| 705 | 61,6 | "m" |
| 706 | 62,4 | "m" |
| 707 | 62,2 | "m" |
| 708 | 61 | "m" |
| 709 | 58,7 | "m" |
| 710 | 55,5 | "m" |
| 711 | 51,7 | "m" |
| 712 | 49,2 | "m" |
| 713 | 48,8 | 40,4 |
| 714 | 47,9 | "m" |
| 715 | 46,2 | "m" |
| 716 | 45,6 | 9,8 |
| 717 | 45,6 | 34,5 |
| 718 | 45,5 | 37,1 |
| 719 | 43,8 | "m" |
| 720 | 41,9 | "m" |
| 721 | 41,3 | "m" |
| 722 | 41,4 | "m" |
| 723 | 41,2 | "m" |
| 724 | 41,8 | "m" |
| 725 | 41,8 | "m" |
| 726 | 43,2 | 17,4 |
| 727 | 45 | 29 |
| 728 | 44,2 | "m" |
| 729 | 43,9 | "m" |
| 730 | 38 | 10,7 |
| 731 | 56,8 | "m" |
| 732 | 57,1 | "m" |
| 733 | 52 | "m" |
| 734 | 44,4 | "m" |
| 735 | 40,2 | "m" |
| 736 | 39,2 | 16,5 |
| 737 | 38,9 | 73,2 |
| 738 | 39,9 | 89,8 |
| 739 | 42,3 | 98,6 |
| 740 | 43,7 | 98,8 |
| 741 | 45,5 | 99,1 |
| 742 | 45,6 | 99,2 |
| 743 | 48,1 | 99,7 |
| 744 | 49 | 100 |
| 745 | 49,8 | 99,9 |
| 746 | 49,8 | 99,9 |
| 747 | 51,9 | 99,5 |
| 748 | 52,8 | 99,4 |
| 749 | 53,3 | 99,3 |
| 750 | 52,9 | 99,3 |
| 751 | 54,3 | 99,2 |
| 752 | 55,5 | 99,1 |
| 753 | 56,7 | 99 |
| 754 | 61,7 | 98,8 |
| 755 | 64,3 | 47,4 |
| 756 | 64,7 | 1,8 |
| 757 | 66,2 | "m" |
| 758 | 49,1 | "m" |
| 759 | 52,1 | 46 |
| 760 | 52,6 | 61 |
| 761 | 52,9 | 0 |
| 762 | 52,3 | 20,4 |
| 763 | 54,2 | 56,7 |
| 764 | 55,4 | 59,8 |
| 765 | 56,1 | 49,2 |
| 766 | 56,8 | 33,7 |
| 767 | 57,2 | 96 |
| 768 | 58,6 | 98,9 |
| 769 | 59,5 | 98,8 |
| 770 | 61,2 | 98,8 |
| 771 | 62,1 | 98,8 |
| 772 | 62,7 | 98,8 |
| 773 | 62,8 | 98,8 |
| 774 | 64 | 98,9 |
| 775 | 63,2 | 46,3 |
| 776 | 62,4 | "m" |
| 777 | 60,3 | "m" |
| 778 | 58,7 | "m" |
| 779 | 57,2 | "m" |
| 780 | 56,1 | "m" |
| 781 | 56 | 9,3 |
| 782 | 55,2 | 26,3 |
| 783 | 54,8 | 42,8 |
| 784 | 55,7 | 47,1 |
| 785 | 56,6 | 52,4 |
| 786 | 58 | 50,3 |
| 787 | 58,6 | 20,6 |
| 788 | 58,7 | "m" |
| 789 | 59,3 | "m" |
| 790 | 58,6 | "m" |
| 791 | 60,5 | 9,7 |
| 792 | 59,2 | 9,6 |
| 793 | 59,9 | 9,6 |
| 794 | 59,6 | 9,6 |
| 795 | 59,9 | 6,2 |
| 796 | 59,9 | 9,6 |
| 797 | 60,5 | 13,1 |
| 798 | 60,3 | 20,7 |
| 799 | 59,9 | 31 |
| 800 | 60,5 | 42 |
| 801 | 61,5 | 52,5 |
| 802 | 60,9 | 51,4 |
| 803 | 61,2 | 57,7 |
| 804 | 62,8 | 98,8 |
| 805 | 63,4 | 96,1 |
| 806 | 64,6 | 45,4 |
| 807 | 64,1 | 5 |
| 808 | 63 | 3,2 |
| 809 | 62,7 | 14,9 |
| 810 | 63,5 | 35,8 |
| 811 | 64,1 | 73,3 |
| 812 | 64,3 | 37,4 |
| 813 | 64,1 | 21 |
| 814 | 63,7 | 21 |
| 815 | 62,9 | 18 |
| 816 | 62,4 | 32,7 |
| 817 | 61,7 | 46,2 |
| 818 | 59,8 | 45,1 |
| 819 | 57,4 | 43,9 |
| 820 | 54,8 | 42,8 |
| 821 | 54,3 | 65,2 |
| 822 | 52,9 | 62,1 |
| 823 | 52,4 | 30,6 |
| 824 | 50,4 | "m" |
| 825 | 48,6 | "m" |
| 826 | 47,9 | "m" |
| 827 | 46,8 | "m" |
| 828 | 46,9 | 9,4 |
| 829 | 49,5 | 41,7 |
| 830 | 50,5 | 37,8 |
| 831 | 52,3 | 20,4 |
| 832 | 54,1 | 30,7 |
| 833 | 56,3 | 41,8 |
| 834 | 58,7 | 26,5 |
| 835 | 57,3 | "m" |
| 836 | 59 | "m" |
| 837 | 59,8 | "m" |
| 838 | 60,3 | "m" |
| 839 | 61,2 | "m" |
| 840 | 61,8 | "m" |
| 841 | 62,5 | "m" |
| 842 | 62,4 | "m" |
| 843 | 61,5 | "m" |
| 844 | 63,7 | "m" |
| 845 | 61,9 | "m" |
| 846 | 61,6 | 29,7 |
| 847 | 60,3 | "m" |
| 848 | 59,2 | "m" |
| 849 | 57,3 | "m" |
| 850 | 52,3 | "m" |
| 851 | 49,3 | "m" |
| 852 | 47,3 | "m" |
| 853 | 46,3 | 38,8 |
| 854 | 46,8 | 35,1 |
| 855 | 46,6 | "m" |
| 856 | 44,3 | "m" |
| 857 | 43,1 | "m" |
| 858 | 42,4 | 2,1 |
| 859 | 41,8 | 2,4 |
| 860 | 43,8 | 68,8 |
| 861 | 44,6 | 89,2 |
| 862 | 46 | 99,2 |
| 863 | 46,9 | 99,4 |
| 864 | 47,9 | 99,7 |
| 865 | 50,2 | 99,8 |
| 866 | 51,2 | 99,6 |
| 867 | 52,3 | 99,4 |
| 868 | 53 | 99,3 |
| 869 | 54,2 | 99,2 |
| 870 | 55,5 | 99,1 |
| 871 | 56,7 | 99 |
| 872 | 57,3 | 98,9 |
| 873 | 58 | 98,9 |
| 874 | 60,5 | 31,1 |
| 875 | 60,2 | "m" |
| 876 | 60,3 | "m" |
| 877 | 60,5 | 6,3 |
| 878 | 61,4 | 19,3 |
| 879 | 60,3 | 1,2 |
| 880 | 60,5 | 2,9 |
| 881 | 61,2 | 34,1 |
| 882 | 61,6 | 13,2 |
| 883 | 61,5 | 16,4 |
| 884 | 61,2 | 16,4 |
| 885 | 61,3 | "m" |
| 886 | 63,1 | "m" |
| 887 | 63,2 | 4,8 |
| 888 | 62,3 | 22,3 |
| 889 | 62 | 38,5 |
| 890 | 61,6 | 29,6 |
| 891 | 61,6 | 26,6 |
| 892 | 61,8 | 28,1 |
| 893 | 62 | 29,6 |
| 894 | 62 | 16,3 |
| 895 | 61,1 | "m" |
| 896 | 61,2 | "m" |
| 897 | 60,7 | 19,2 |
| 898 | 60,7 | 32,5 |
| 899 | 60,9 | 17,8 |
| 900 | 60,1 | 19,2 |
| 901 | 59,3 | 38,2 |
| 902 | 59,9 | 45 |
| 903 | 59,4 | 32,4 |
| 904 | 59,2 | 23,5 |
| 905 | 59,5 | 40,8 |
| 906 | 58,3 | "m" |
| 907 | 58,2 | "m" |
| 908 | 57,6 | "m" |
| 909 | 57,1 | "m" |
| 910 | 57 | 0,6 |
| 911 | 57 | 26,3 |
| 912 | 56,5 | 29,2 |
| 913 | 56,3 | 20,5 |
| 914 | 56,1 | "m" |
| 915 | 55,2 | "m" |
| 916 | 54,7 | 17,5 |
| 917 | 55,2 | 29,2 |
| 918 | 55,2 | 29,2 |
| 919 | 55,9 | 16 |
| 920 | 55,9 | 26,3 |
| 921 | 56,1 | 36,5 |
| 922 | 55,8 | 19 |
| 923 | 55,9 | 9,2 |
| 924 | 55,8 | 21,9 |
| 925 | 56,4 | 42,8 |
| 926 | 56,4 | 38 |
| 927 | 56,4 | 11 |
| 928 | 56,4 | 35,1 |
| 929 | 54 | 7,3 |
| 930 | 53,4 | 5,4 |
| 931 | 52,3 | 27,6 |
| 932 | 52,1 | 32 |
| 933 | 52,3 | 33,4 |
| 934 | 52,2 | 34,9 |
| 935 | 52,8 | 60,1 |
| 936 | 53,7 | 69,7 |
| 937 | 54 | 70,7 |
| 938 | 55,1 | 71,7 |
| 939 | 55,2 | 46 |
| 940 | 54,7 | 12,6 |
| 941 | 52,5 | 0 |
| 942 | 51,8 | 24,7 |
| 943 | 51,4 | 43,9 |
| 944 | 50,9 | 71,1 |
| 945 | 51,2 | 76,8 |
| 946 | 50,3 | 87,5 |
| 947 | 50,2 | 99,8 |
| 948 | 50,9 | 100 |
| 949 | 49,9 | 99,7 |
| 950 | 50,9 | 100 |
| 951 | 49,8 | 99,7 |
| 952 | 50,4 | 99,8 |
| 953 | 50,4 | 99,8 |
| 954 | 49,7 | 99,7 |
| 955 | 51 | 100 |
| 956 | 50,3 | 99,8 |
| 957 | 50,2 | 99,8 |
| 958 | 49,9 | 99,7 |
| 959 | 50,9 | 100 |
| 960 | 50 | 99,7 |
| 961 | 50,2 | 99,8 |
| 962 | 50,2 | 99,8 |
| 963 | 49,9 | 99,7 |
| 964 | 50,4 | 99,8 |
| 965 | 50,2 | 99,8 |
| 966 | 50,3 | 99,8 |
| 967 | 49,9 | 99,7 |
| 968 | 31,7 | 100 |
| 969 | 50,6 | 99,9 |
| 970 | 49,9 | 99,7 |
| 971 | 49,6 | 99,6 |
| 972 | 49,4 | 99,6 |
| 973 | 49 | 99,5 |
| 974 | 49,8 | 99,7 |
| 975 | 50,9 | 100 |
| 976 | 50,4 | 99,8 |
| 977 | 49,8 | 99,7 |
| 978 | 49,1 | 99,5 |
| 979 | 50,4 | 99,8 |
| 980 | 49,8 | 99,7 |
| 981 | 49,3 | 99,5 |
| 982 | 49,1 | 99,5 |
| 983 | 49,9 | 99,7 |
| 984 | 49,1 | 99,5 |
| 985 | 50,4 | 99,8 |
| 986 | 50,9 | 100 |
| 987 | 51,4 | 99,9 |
| 988 | 51,5 | 99,9 |
| 989 | 52,2 | 99,7 |
| 990 | 52,8 | 74,1 |
| 991 | 53,3 | 46 |
| 992 | 53,6 | 36,4 |
| 993 | 53,4 | 33,5 |
| 994 | 53,9 | 58,9 |
| 995 | 55,2 | 73,8 |
| 996 | 55,8 | 52,4 |
| 997 | 55,7 | 9,2 |
| 998 | 55,8 | 2,2 |
| 999 | 56,4 | 33,6 |
| 1000 | 55,4 | "m" |
| 1001 | 55,2 | "m" |
| 1002 | 55,8 | 26,3 |
| 1003 | 55,8 | 23,3 |
| 1004 | 56,4 | 50,2 |
| 1005 | 57,6 | 68,3 |
| 1006 | 58,8 | 90,2 |
| 1007 | 59,9 | 98,9 |
| 1008 | 62,3 | 98,8 |
| 1009 | 63,1 | 74,4 |
| 1010 | 63,7 | 49,4 |
| 1011 | 63,3 | 9,8 |
| 1012 | 48 | 0 |
| 1013 | 47,9 | 73,5 |
| 1014 | 49,9 | 99,7 |
| 1015 | 49,9 | 48,8 |
| 1016 | 49,6 | 2,3 |
| 1017 | 49,9 | "m" |
| 1018 | 49,3 | "m" |
| 1019 | 49,7 | 47,5 |
| 1020 | 49,4 | "m" |
| 1021 | 49,4 | "m" |
| 1022 | 48,3 | "m" |
| 1023 | 49,4 | "m" |
| 1024 | 48,5 | "m" |
| 1025 | 48,7 | "m" |
| 1026 | 48,7 | "m" |
| 1027 | 49,1 | "m" |
| 1028 | 49 | "m" |
| 1029 | 49,8 | "m" |
| 1030 | 48,7 | "m" |
| 1031 | 48,5 | "m" |
| 1032 | 49,3 | 31,3 |
| 1033 | 49,7 | 45,3 |
| 1034 | 48,3 | 44,5 |
| 1035 | 49,8 | 61 |
| 1036 | 49,4 | 64,3 |
| 1037 | 49,8 | 64,4 |
| 1038 | 50,5 | 65,6 |
| 1039 | 50,3 | 64,5 |
| 1040 | 51,2 | 82,9 |
| 1041 | 50,5 | 86 |
| 1042 | 50,6 | 89 |
| 1043 | 50,4 | 81,4 |
| 1044 | 49,9 | 49,9 |
| 1045 | 49,1 | 20,1 |
| 1046 | 47,9 | 24 |
| 1047 | 48,1 | 36,2 |
| 1048 | 47,5 | 34,5 |
| 1049 | 46,9 | 30,3 |
| 1050 | 47,7 | 53,5 |
| 1051 | 46,9 | 61,6 |
| 1052 | 46,5 | 73,6 |
| 1053 | 48 | 84,6 |
| 1054 | 47,2 | 87,7 |
| 1055 | 48,7 | 80 |
| 1056 | 48,7 | 50,4 |
| 1057 | 47,8 | 38,6 |
| 1058 | 48,8 | 63,1 |
| 1059 | 47,4 | 5 |
| 1060 | 47,3 | 47,4 |
| 1061 | 47,3 | 49,8 |
| 1062 | 46,9 | 23,9 |
| 1063 | 46,7 | 44,6 |
| 1064 | 46,8 | 65,2 |
| 1065 | 46,9 | 60,4 |
| 1066 | 46,7 | 61,5 |
| 1067 | 45,5 | "m" |
| 1068 | 45,5 | "m" |
| 1069 | 44,2 | "m" |
| 1070 | 43 | "m" |
| 1071 | 42,5 | "m" |
| 1072 | 41 | "m" |
| 1073 | 39,9 | "m" |
| 1074 | 39,9 | 38,2 |
| 1075 | 40,1 | 48,1 |
| 1076 | 39,9 | 48 |
| 1077 | 39,4 | 59,3 |
| 1078 | 43,8 | 19,8 |
| 1079 | 52,9 | 0 |
| 1080 | 52,8 | 88,9 |
| 1081 | 53,4 | 99,5 |
| 1082 | 54,7 | 99,3 |
| 1083 | 56,3 | 99,1 |
| 1084 | 57,5 | 99 |
| 1085 | 59 | 98,9 |
| 1086 | 59,8 | 98,9 |
| 1087 | 60,1 | 98,9 |
| 1088 | 61,8 | 48,3 |
| 1089 | 61,8 | 55,6 |
| 1090 | 61,7 | 59,8 |
| 1091 | 62 | 55,6 |
| 1092 | 62,3 | 29,6 |
| 1093 | 62 | 19,3 |
| 1094 | 61,3 | 7,9 |
| 1095 | 61,1 | 19,2 |
| 1096 | 61,2 | 43 |
| 1097 | 61,1 | 59,7 |
| 1098 | 61,1 | 98,8 |
| 1099 | 61,3 | 98,8 |
| 1100 | 61,3 | 26,6 |
| 1101 | 60,4 | "m" |
| 1102 | 58,8 | "m" |
| 1103 | 57,7 | "m" |
| 1104 | 56 | "m" |
| 1105 | 54,7 | "m" |
| 1106 | 53,3 | "m" |
| 1107 | 52,6 | 23,2 |
| 1108 | 53,4 | 84,2 |
| 1109 | 53,9 | 99,4 |
| 1110 | 54,9 | 99,3 |
| 1111 | 55,8 | 99,2 |
| 1112 | 57,1 | 99 |
| 1113 | 56,5 | 99,1 |
| 1114 | 58,9 | 98,9 |
| 1115 | 58,7 | 98,9 |
| 1116 | 59,8 | 98,9 |
| 1117 | 61 | 98,8 |
| 1118 | 60,7 | 19,2 |
| 1119 | 59,4 | "m" |
| 1120 | 57,9 | "m" |
| 1121 | 57,6 | "m" |
| 1122 | 56,3 | "m" |
| 1123 | 55 | "m" |
| 1124 | 53,7 | "m" |
| 1125 | 52,1 | "m" |
| 1126 | 51,1 | "m" |
| 1127 | 49,7 | 25,8 |
| 1128 | 49,1 | 46,1 |
| 1129 | 48,7 | 46,9 |
| 1130 | 48,2 | 46,7 |
| 1131 | 48 | 70 |
| 1132 | 48 | 70 |
| 1133 | 47,2 | 67,6 |
| 1134 | 47,3 | 67,6 |
| 1135 | 46,6 | 74,7 |
| 1136 | 47,4 | 13 |
| 1137 | 46,3 | "m" |
| 1138 | 45,4 | "m" |
| 1139 | 45,5 | 24,8 |
| 1140 | 44,8 | 73,8 |
| 1141 | 46,6 | 99 |
| 1142 | 46,3 | 98,9 |
| 1143 | 48,5 | 99,4 |
| 1144 | 49,9 | 99,7 |
| 1145 | 49,1 | 99,5 |
| 1146 | 49,1 | 99,5 |
| 1147 | 51 | 100 |
| 1148 | 51,5 | 99,9 |
| 1149 | 50,9 | 100 |
| 1150 | 51,6 | 99,9 |
| 1151 | 52,1 | 99,7 |
| 1152 | 50,9 | 100 |
| 1153 | 52,2 | 99,7 |
| 1154 | 51,5 | 98,3 |
| 1155 | 51,5 | 47,2 |
| 1156 | 50,8 | 78,4 |
| 1157 | 50,3 | 83 |
| 1158 | 50,3 | 31,7 |
| 1159 | 49,3 | 31,3 |
| 1160 | 48,8 | 21,5 |
| 1161 | 47,8 | 59,4 |
| 1162 | 48,1 | 77,1 |
| 1163 | 48,4 | 87,6 |
| 1164 | 49,6 | 87,5 |
| 1165 | 51 | 81,4 |
| 1166 | 51,6 | 66,7 |
| 1167 | 53,3 | 63,2 |
| 1168 | 55,2 | 62 |
| 1169 | 55,7 | 43,9 |
| 1170 | 56,4 | 30,7 |
| 1171 | 56,8 | 23,4 |
| 1172 | 57 | "m" |
| 1173 | 57,6 | "m" |
| 1174 | 56,9 | "m" |
| 1175 | 56,4 | 4 |
| 1176 | 57 | 23,4 |
| 1177 | 56,4 | 41,7 |
| 1178 | 57 | 49,2 |
| 1179 | 57,7 | 56,6 |
| 1180 | 58,6 | 56,6 |
| 1181 | 58,9 | 64 |
| 1182 | 59,4 | 68,2 |
| 1183 | 58,8 | 71,4 |
| 1184 | 60,1 | 71,3 |
| 1185 | 60,6 | 79,1 |
| 1186 | 60,7 | 83,3 |
| 1187 | 60,7 | 77,1 |
| 1188 | 60 | 73,5 |
| 1189 | 60,2 | 55,5 |
| 1190 | 59,7 | 54,4 |
| 1191 | 59,8 | 73,3 |
| 1192 | 59,8 | 77,9 |
| 1193 | 59,8 | 73,9 |
| 1194 | 60 | 76,5 |
| 1195 | 59,5 | 82,3 |
| 1196 | 59,9 | 82,8 |
| 1197 | 59,8 | 65,8 |
| 1198 | 59 | 48,6 |
| 1199 | 58,9 | 62,2 |
| 1200 | 59,1 | 70,4 |
| 1201 | 58,9 | 62,1 |
| 1202 | 58,4 | 67,4 |
| 1203 | 58,7 | 58,9 |
| 1204 | 58,3 | 57,7 |
| 1205 | 57,5 | 57,8 |
| 1206 | 57,2 | 57,6 |
| 1207 | 57,1 | 42,6 |
| 1208 | 57 | 70,1 |
| 1209 | 56,4 | 59,6 |
| 1210 | 56,7 | 39 |
| 1211 | 55,9 | 68,1 |
| 1212 | 56,3 | 79,1 |
| 1213 | 56,7 | 89,7 |
| 1214 | 56 | 89,4 |
| 1215 | 56 | 93,1 |
| 1216 | 56,4 | 93,1 |
| 1217 | 56,7 | 94,4 |
| 1218 | 56,9 | 94,8 |
| 1219 | 57 | 94,1 |
| 1220 | 57,7 | 94,3 |
| 1221 | 57,5 | 93,7 |
| 1222 | 58,4 | 93,2 |
| 1223 | 58,7 | 93,2 |
| 1224 | 58,2 | 93,7 |
| 1225 | 58,5 | 93,1 |
| 1226 | 58,8 | 86,2 |
| 1227 | 59 | 72,9 |
| 1228 | 58,2 | 59,9 |
| 1229 | 57,6 | 8,5 |
| 1230 | 57,1 | 47,6 |
| 1231 | 57,2 | 74,4 |
| 1232 | 57 | 79,1 |
| 1233 | 56,7 | 67,2 |
| 1234 | 56,8 | 69,1 |
| 1235 | 56,9 | 71,3 |
| 1236 | 57 | 77,3 |
| 1237 | 57,4 | 78,2 |
| 1238 | 57,3 | 70,6 |
| 1239 | 57,7 | 64 |
| 1240 | 57,5 | 55,6 |
| 1241 | 58,6 | 49,6 |
| 1242 | 58,2 | 41,1 |
| 1243 | 58,8 | 40,6 |
| 1244 | 58,3 | 21,1 |
| 1245 | 58,7 | 24,9 |
| 1246 | 59,1 | 24,8 |
| 1247 | 58,6 | "m" |
| 1248 | 58,8 | "m" |
| 1249 | 58,8 | "m" |
| 1250 | 58,7 | "m" |
| 1251 | 59,1 | "m" |
| 1252 | 59,1 | "m" |
| 1253 | 59,4 | "m" |
| 1254 | 60,6 | 2,6 |
| 1255 | 59,6 | "m" |
| 1256 | 60,1 | "m" |
| 1257 | 60,6 | "m" |
| 1258 | 59,6 | 4,1 |
| 1259 | 60,7 | 7,1 |
| 1260 | 60,5 | "m" |
| 1261 | 59,7 | "m" |
| 1262 | 59,6 | "m" |
| 1263 | 59,8 | "m" |
| 1264 | 58,6 | 4,9 |
| 1265 | 60,1 | 5,9 |
| 1266 | 59,9 | 60,1 |
| 1267 | 59,7 | "m" |
| 1268 | 59,6 | "m" |
| 1269 | 59,7 | 22 |
| 1270 | 59,8 | 10,3 |
| 1271 | 59,9 | 10 |
| 1272 | 60,6 | 6,2 |
| 1273 | 60,5 | 7,3 |
| 1274 | 60,2 | 14,8 |
| 1275 | 60,6 | 8,2 |
| 1276 | 60,6 | 5,5 |
| 1277 | 61 | 14,3 |
| 1278 | 61 | 12 |
| 1279 | 61,3 | 34,2 |
| 1280 | 61,2 | 17,1 |
| 1281 | 61,5 | 15,7 |
| 1282 | 61 | 9,5 |
| 1283 | 61,1 | 9,2 |
| 1284 | 60,5 | 4,3 |
| 1285 | 60,2 | 7,8 |
| 1286 | 60,2 | 5,9 |
| 1287 | 60,2 | 5,3 |
| 1288 | 59,9 | 4,6 |
| 1289 | 59,4 | 21,5 |
| 1290 | 59,6 | 15,8 |
| 1291 | 59,3 | 10,1 |
| 1292 | 58,9 | 9,4 |
| 1293 | 58,8 | 9 |
| 1294 | 58,9 | 35,4 |
| 1295 | 58,9 | 30,7 |
| 1296 | 58,9 | 25,9 |
| 1297 | 58,7 | 22,9 |
| 1298 | 58,7 | 24,4 |
| 1299 | 59,3 | 61 |
| 1300 | 60,1 | 56 |
| 1301 | 60,5 | 50,6 |
| 1302 | 59,5 | 16,2 |
| 1303 | 59,7 | 50 |
| 1304 | 59,7 | 31,4 |
| 1305 | 60,1 | 43,1 |
| 1306 | 60,8 | 38,4 |
| 1307 | 60,9 | 40,2 |
| 1308 | 61,3 | 49,7 |
| 1309 | 61,8 | 45,9 |
| 1310 | 62 | 45,9 |
| 1311 | 62,2 | 45,8 |
| 1312 | 62,6 | 46,8 |
| 1313 | 62,7 | 44,3 |
| 1314 | 62,9 | 44,4 |
| 1315 | 63,1 | 43,7 |
| 1316 | 63,5 | 46,1 |
| 1317 | 63,6 | 40,7 |
| 1318 | 64,3 | 49,5 |
| 1319 | 63,7 | 27 |
| 1320 | 63,8 | 15 |
| 1321 | 63,6 | 18,7 |
| 1322 | 63,4 | 8,4 |
| 1323 | 63,2 | 8,7 |
| 1324 | 63,3 | 21,6 |
| 1325 | 62,0 | 18,7 |
| 1326 | 83 | 22,1 |
| 1327 | 63,1 | 20,3 |
| 1328 | 61,8 | 19,1 |
| 1329 | 61,6 | 17,1 |
| 1330 | 61 | 0 |
| 1331 | 61,2 | 22 |
| 1332 | 60,8 | 40,3 |
| 1333 | 61,1 | 34,3 |
| 1334 | 60,7 | 16,1 |
| 1335 | 60,6 | 16,6 |
| 1336 | 60,5 | 18,5 |
| 1337 | 60,6 | 29,8 |
| 1338 | 60,9 | 19,5 |
| 1339 | 60,9 | 22,3 |
| 1340 | 61,4 | 35,8 |
| 1341 | 61,3 | 42,9 |
| 1342 | 61,5 | 31 |
| 1343 | 61,3 | 19,2 |
| 1344 | 61 | 9,3 |
| 1345 | 60,8 | 44,2 |
| 1346 | 60,9 | 55,3 |
| 1347 | 61,2 | 56 |
| 1348 | 60,9 | 60,1 |
| 1349 | 60,7 | 59,1 |
| 1350 | 60,9 | 56,8 |
| 1351 | 60,7 | 58,1 |
| 1352 | 59,6 | 78,4 |
| 1353 | 59,6 | 84,6 |
| 1354 | 59,4 | 66,6 |
| 1355 | 59,3 | 75,5 |
| 1356 | 58,9 | 49,6 |
| 1357 | 59,1 | 75,8 |
| 1358 | 59 | 77,6 |
| 1359 | 59 | 67,8 |
| 1360 | 59 | 56,7 |
| 1361 | 58,8 | 54,2 |
| 1362 | 58,9 | 59,6 |
| 1363 | 58,9 | 60,8 |
| 1364 | 59,3 | 56,1 |
| 1365 | 58,9 | 48,5 |
| 1366 | 59,3 | 42,9 |
| 1367 | 59,4 | 41,4 |
| 1368 | 59,6 | 38,9 |
| 1369 | 59,4 | 32,9 |
| 1370 | 59,3 | 30,6 |
| 1371 | 59,4 | 30 |
| 1372 | 59,4 | 25,3 |
| 1373 | 58,8 | 18,6 |
| 1374 | 59,1 | 18 |
| 1375 | 58,5 | 10,6 |
| 1376 | 58,8 | 10,5 |
| 1377 | 58,5 | 8,2 |
| 1378 | 58,7 | 13,7 |
| 1379 | 59,1 | 7,8 |
| 1380 | 59,1 | 6 |
| 1381 | 59,1 | 6 |
| 1382 | 59,4 | 13,1 |
| 1383 | 59,7 | 22,3 |
| 1384 | 60,7 | 10,5 |
| 1385 | 59,8 | 9,8 |
| 1386 | 60,2 | 8,8 |
| 1387 | 59,9 | 8,7 |
| 1388 | 61 | 9,1 |
| 1389 | 60,6 | 28,2 |
| 1390 | 60,6 | 22 |
| 1391 | 59,6 | 23,2 |
| 1392 | 59,6 | 19 |
| 1393 | 60,6 | 38,4 |
| 1394 | 59,8 | 41,6 |
| 1395 | 60 | 47,3 |
| 1396 | 60,5 | 55,4 |
| 1397 | 60,9 | 58,7 |
| 1398 | 61,3 | 37,9 |
| 1399 | 61,2 | 38,3 |
| 1400 | 61,4 | 58,7 |
| 1401 | 61,3 | 51,3 |
| 1402 | 61,4 | 71,1 |
| 1403 | 61,1 | 51 |
| 1404 | 61,5 | 56,6 |
| 1405 | 61 | 60,6 |
| 1406 | 61,1 | 75,4 |
| 1407 | 61,4 | 69,4 |
| 1408 | 61,6 | 69,9 |
| 1409 | 61,7 | 59,6 |
| 1410 | 61,8 | 54,8 |
| 1411 | 61,6 | 53,6 |
| 1412 | 61,3 | 53,5 |
| 1413 | 61,3 | 52,9 |
| 1414 | 61,2 | 54,1 |
| 1415 | 61,3 | 53,2 |
| 1416 | 61,2 | 52,2 |
| 1417 | 61,2 | 52,3 |
| 1418 | 61 | 48 |
| 1419 | 60,9 | 41,5 |
| 1420 | 61 | 32,2 |
| 1421 | 60,7 | 22 |
| 1422 | 60,7 | 23,3 |
| 1423 | 60,8 | 38,8 |
| 1424 | 61 | 40,7 |
| 1425 | 61 | 30,6 |
| 1426 | 61,3 | 62,6 |
| 1427 | 61,7 | 55,9 |
| 1428 | 62,3 | 43,4 |
| 1429 | 62,3 | 37,4 |
| 1430 | 62,3 | 35,7 |
| 1431 | 62,8 | 34,4 |
| 1432 | 62,8 | 31,5 |
| 1433 | 62,9 | 31,7 |
| 1434 | 62,9 | 29,9 |
| 1435 | 62,8 | 29,4 |
| 1436 | 62,7 | 28,7 |
| 1437 | 61,5 | 14,7 |
| 1438 | 61,9 | 17,2 |
| 1439 | 61,5 | 6,1 |
| 1440 | 61 | 9,9 |
| 1441 | 60,9 | 4,8 |
| 1442 | 60,6 | 11,1 |
| 1443 | 60,3 | 6,9 |
| 1444 | 60,8 | 7 |
| 1445 | 60,2 | 9,2 |
| 1446 | 60,5 | 21,7 |
| 1447 | 60,2 | 22,4 |
| 1448 | 60,7 | 31,6 |
| 1449 | 60,9 | 28,9 |
| 1450 | 59,6 | 21,7 |
| 1451 | 60,2 | 18 |
| 1452 | 59,5 | 16,7 |
| 1453 | 59,8 | 15,7 |
| 1454 | 59,6 | 15,7 |
| 1455 | 59,3 | 15,7 |
| 1456 | 59 | 7,5 |
| 1457 | 58,8 | 7,1 |
| 1458 | 58,7 | 16,5 |
| 1459 | 59,2 | 50,7 |
| 1460 | 59,7 | 60,2 |
| 1461 | 60,4 | 44 |
| 1462 | 60,2 | 35,3 |
| 1463 | 60,4 | 17,1 |
| 1464 | 59,9 | 13,5 |
| 1465 | 59,9 | 12,8 |
| 1466 | 59,6 | 14,8 |
| 1467 | 59,4 | 15,9 |
| 1468 | 59,4 | 22 |
| 1469 | 60,4 | 38,4 |
| 1470 | 59,5 | 38,8 |
| 1471 | 59,3 | 31,9 |
| 1472 | 60,9 | 40,8 |
| 1473 | 60,7 | 39 |
| 1474 | 60,9 | 30,1 |
| 1475 | 61 | 29,3 |
| 1476 | 60,6 | 28,4 |
| 1477 | 60,9 | 36,3 |
| 1478 | 60,8 | 30,5 |
| 1479 | 60,7 | 26,7 |
| 1480 | 60,1 | 4,7 |
| 1481 | 59,9 | 0 |
| 1482 | 60,4 | 36,2 |
| 1483 | 60,7 | 32,5 |
| 1484 | 59,9 | 3,1 |
| 1485 | 59,7 | "m" |
| 1486 | 59,5 | "m" |
| 1487 | 59,2 | "m" |
| 1488 | 58,8 | 0,6 |
| 1489 | 58,7 | "m" |
| 1490 | 58,7 | "m" |
| 1491 | 57,9 | "m" |
| 1492 | 58,2 | "m" |
| 1493 | 57,6 | "m" |
| 1494 | 58,3 | 9,5 |
| 1495 | 57,2 | 6 |
| 1496 | 57,4 | 27,3 |
| 1497 | 58,3 | 59,9 |
| 1498 | 58,3 | 7,3 |
| 1499 | 58,8 | 21,7 |
| 1500 | 58,8 | 38,9 |
| 1501 | 59,4 | 26,2 |
| 1502 | 59,1 | 25,5 |
| 1503 | 59,1 | 26 |
| 1504 | 59 | 39,1 |
| 1505 | 59,5 | 52,3 |
| 1506 | 59,4 | 31 |
| 1507 | 59,4 | 27 |
| 1508 | 59,4 | 29,8 |
| 1509 | 59,4 | 23,1 |
| 1510 | 58,9 | 16 |
| 1511 | 59 | 31,5 |
| 1512 | 58,8 | 25,9 |
| 1513 | 58,9 | 40,2 |
| 1514 | 58,8 | 28,4 |
| 1515 | 58,9 | 38,9 |
| 1516 | 59,1 | 35,3 |
| 1517 | 58,8 | 30,3 |
| 1518 | 59 | 19 |
| 1519 | 58,7 | 3 |
| 1520 | 57,9 | 0 |
| 1521 | 58 | 2,4 |
| 1522 | 57,1 | "m" |
| 1523 | 56,7 | "m" |
| 1524 | 56,7 | 5,3 |
| 1525 | 56,6 | 2,1 |
| 1526 | 56,8 | "m" |
| 1527 | 56,3 | "m" |
| 1528 | 56,3 | "m" |
| 1529 | 56 | "m" |
| 1530 | 58,7 | "m" |
| 1531 | 56,6 | 3,8 |
| 1532 | 56,9 | "m" |
| 1533 | 56,9 | "m" |
| 1534 | 57,4 | "m" |
| 1535 | 57,4 | "m" |
| 1536 | 58,3 | 13,9 |
| 1537 | 58,5 | "m" |
| 1538 | 59,1 | "m" |
| 1539 | 59,4 | "m" |
| 1540 | 59,6 | "m" |
| 1541 | 59,5 | "m" |
| 1542 | 59,6 | 0,5 |
| 1543 | 59,3 | 9,2 |
| 1544 | 59,4 | 11,2 |
| 1545 | 59,1 | 26,8 |
| 1546 | 59 | 11,7 |
| 1547 | 58,8 | 6,4 |
| 1548 | 58,7 | 5 |
| 1549 | 57,5 | "m" |
| 1550 | 57,4 | "m" |
| 1551 | 57,1 | 1,1 |
| 1552 | 57,1 | 0 |
| 1553 | 57 | 4,5 |
| 1554 | 57,1 | 3,7 |
| 1555 | 57,3 | 3,3 |
| 1556 | 57,3 | 16,8 |
| 1557 | 58,2 | 29,3 |
| 1558 | 58,7 | 12,5 |
| 1559 | 58,3 | 12,2 |
| 1560 | 58,6 | 12,7 |
| 1561 | 59 | 13,6 |
| 1562 | 59,8 | 21,9 |
| 1563 | 59,3 | 20,9 |
| 1564 | 59,7 | 19,2 |
| 1565 | 60,1 | 15,9 |
| 1566 | 60,7 | 16,7 |
| 1567 | 60,7 | 18,1 |
| 1568 | 60,7 | 40,6 |
| 1569 | 60,7 | 59,7 |
| 1570 | 61,1 | 66,8 |
| 1571 | 61,1 | 58,8 |
| 1572 | 60,3 | 64,7 |
| 1573 | 60,1 | 63,6 |
| 1574 | 60,7 | 83,2 |
| 1575 | 60,4 | 82,2 |
| 1576 | 60 | 80,5 |
| 1577 | 59,9 | 78,7 |
| 1578 | 60,8 | 67,9 |
| 1579 | 60,4 | 57,7 |
| 1580 | 60,2 | 60,6 |
| 1581 | 59,6 | 72,7 |
| 1582 | 59,9 | 73,6 |
| 1583 | 59,8 | 74,1 |
| 1584 | 59,6 | 84,6 |
| 1585 | 59,4 | 76,1 |
| 1586 | 60,1 | 76,9 |
| 1587 | 59,5 | 84,6 |
| 1588 | 59,8 | 77,5 |
| 1589 | 60,6 | 67,9 |
| 1590 | 59,3 | 47,3 |
| 1591 | 59,3 | 43,1 |
| 1592 | 59,4 | 38,3 |
| 1593 | 58,7 | 38,2 |
| 1594 | 58,8 | 39,2 |
| 1595 | 59,1 | 67,9 |
| 1596 | 59,7 | 60,5 |
| 1597 | 59,5 | 32,9 |
| 1598 | 59,6 | 20 |
| 1599 | 59,6 | 34,4 |
| 1600 | 59,4 | 23,9 |
| 1601 | 59,6 | 15,7 |
| 1602 | 59,9 | 41 |
| 1603 | 60,5 | 26,3 |
| 1604 | 59,6 | 14 |
| 1605 | 59,7 | 21,2 |
| 1606 | 60,9 | 19,6 |
| 1607 | 60,1 | 34,3 |
| 1608 | 59,9 | 27 |
| 1609 | 60,8 | 25,6 |
| 1610 | 60,6 | 26,3 |
| 1611 | 60,9 | 26,1 |
| 1612 | 61,1 | 38 |
| 1613 | 61,2 | 31,6 |
| 1614 | 61,4 | 30,6 |
| 1615 | 61,7 | 29,6 |
| 1616 | 61,5 | 28,8 |
| 1617 | 61,7 | 27,8 |
| 1618 | 62,2 | 20,3 |
| 1619 | 61,4 | 19,6 |
| 1620 | 61,8 | 19,7 |
| 1621 | 61,8 | 18,7 |
| 1622 | 61,6 | 17,7 |
| 1623 | 61,7 | 8,7 |
| 1624 | 61,7 | 1,4 |
| 1625 | 61,7 | 5,9 |
| 1626 | 61,2 | 8,1 |
| 1627 | 61,9 | 45,8 |
| 1628 | 61,4 | 31,5 |
| 1629 | 61,7 | 22,3 |
| 1630 | 62,4 | 21,7 |
| 1631 | 62,6 | 21,9 |
| 1632 | 62,2 | 22,2 |
| 1633 | 62,5 | 31 |
| 1634 | 62,3 | 31,3 |
| 1635 | 62,6 | 31,7 |
| 1636 | 62,3 | 22,8 |
| 1637 | 62,7 | 12,6 |
| 1638 | 62,2 | 15,2 |
| 1639 | 61,9 | 32,6 |
| 1640 | 62,5 | 23,1 |
| 1641 | 61,7 | 19,4 |
| 1642 | 61,7 | 10,8 |
| 1643 | 61,6 | 10,2 |
| 1644 | 61,4 | "m" |
| 1645 | 60,8 | "m" |
| 1646 | 60,7 | "m" |
| 1647 | 61 | 12,4 |
| 1648 | 60,4 | 5,3 |
| 1649 | 61 | 13,1 |
| 1650 | 60,7 | 29,6 |
| 1651 | 60,5 | 28,9 |
| 1652 | 60,8 | 27,1 |
| 1653 | 61,2 | 27,3 |
| 1654 | 60,9 | 20,6 |
| 1655 | 61,1 | 13,9 |
| 1656 | 60,7 | 13,4 |
| 1657 | 61,3 | 26,1 |
| 1658 | 60,9 | 23,7 |
| 1659 | 61,4 | 32,1 |
| 1660 | 61,7 | 33,5 |
| 1661 | 61,8 | 34,1 |
| 1662 | 61,7 | 17 |
| 1663 | 61,7 | 2,5 |
| 1664 | 61,5 | 5,9 |
| 1665 | 61,3 | 14,9 |
| 1666 | 61,5 | 17,2 |
| 1667 | 61,1 | "m" |
| 1668 | 61,4 | "m" |
| 1669 | 61,4 | 8,8 |
| 1670 | 61,3 | 8,8 |
| 1671 | 61 | 18 |
| 1672 | 61,5 | 13 |
| 1673 | 61 | 3,7 |
| 1674 | 60,9 | 3,1 |
| 1675 | 60,9 | 4,7 |
| 1676 | 60,6 | 4,1 |
| 1677 | 60,6 | 6,7 |
| 1678 | 60,6 | 12,8 |
| 1679 | 60,7 | 11,9 |
| 1680 | 60,6 | 12,4 |
| 1681 | 60,1 | 12,4 |
| 1682 | 60,5 | 12 |
| 1683 | 60,4 | 11,8 |
| 1684 | 59,9 | 12,4 |
| 1685 | 59,6 | 12,4 |
| 1686 | 59,6 | 9,1 |
| 1687 | 59,9 | 0 |
| 1688 | 59,9 | 20,4 |
| 1689 | 59,8 | 4,4 |
| 1690 | 59,4 | 3,1 |
| 1691 | 59,5 | 26,3 |
| 1692 | 59,6 | 20,1 |
| 1693 | 59,4 | 35 |
| 1694 | 60,9 | 22,1 |
| 1695 | 60,5 | 12,2 |
| 1696 | 60,1 | 11 |
| 1697 | 60,1 | 8,2 |
| 1698 | 60,5 | 6,7 |
| 1699 | 60 | 5,1 |
| 1700 | 60 | 5,1 |
| 1701 | 60 | 9 |
| 1702 | 60,1 | 5,7 |
| 1703 | 59,9 | 8,5 |
| 1704 | 59,4 | 6 |
| 1705 | 59,5 | 5,5 |
| 1706 | 59,5 | 14,2 |
| 1707 | 59,5 | 6,2 |
| 1708 | 59,4 | 10,3 |
| 1709 | 59,6 | 13,8 |
| 1710 | 59,5 | 13,9 |
| 1711 | 60,1 | 18,9 |
| 1712 | 59,4 | 13,1 |
| 1713 | 59,8 | 5,4 |
| 1714 | 59,9 | 2,9 |
| 1715 | 60,1 | 7,1 |
| 1716 | 59,6 | 12 |
| 1717 | 59,6 | 4,9 |
| 1718 | 59,4 | 22,7 |
| 1719 | 59,6 | 22 |
| 1720 | 60,1 | 17,4 |
| 1721 | 60,2 | 16,6 |
| 1722 | 59,4 | 28,6 |
| 1723 | 60,3 | 22,4 |
| 1724 | 59,9 | 20 |
| 1725 | 60,2 | 18,6 |
| 1726 | 60,3 | 11,9 |
| 1727 | 60,4 | 11,6 |
| 1728 | 60,6 | 10,6 |
| 1729 | 60,8 | 16 |
| 1730 | 60,9 | 17 |
| 1731 | 60,9 | 16,1 |
| 1732 | 60,7 | 11,4 |
| 1733 | 60,9 | 11,3 |
| 1734 | 61,1 | 11,2 |
| 1735 | 61,1 | 25,6 |
| 1736 | 61 | 14,6 |
| 1737 | 61 | 10,4 |
| 1738 | 60,6 | "m" |
| 1739 | 60,9 | "m" |
| 1740 | 60,8 | 4,8 |
| 1741 | 59,9 | "m" |
| 1742 | 59,8 | "m" |
| 1743 | 59,1 | "m" |
| 1744 | 58,8 | "m" |
| 1745 | 58,8 | "m" |
| 1746 | 58,2 | "m" |
| 1747 | 58,5 | 14,3 |
| 1748 | 57,5 | 4,4 |
| 1749 | 57,9 | 0 |
| 1750 | 57,8 | 20,9 |
| 1751 | 58,3 | 9,2 |
| 1752 | 57,8 | 8,2 |
| 1753 | 57,5 | 15,3 |
| 1754 | 58,4 | 38 |
| 1755 | 58,1 | 15,4 |
| 1756 | 58,8 | 11,8 |
| 1757 | 58,3 | 8,1 |
| 1758 | 58,3 | 5,5 |
| 1759 | 59 | 4,1 |
| 1760 | 58,2 | 4,9 |
| 1761 | 57,9 | 10,1 |
| 1762 | 58,5 | 7,5 |
| 1763 | 57,4 | 7 |
| 1764 | 58,2 | 6,7 |
| 1765 | 58,2 | 17,3 |
| 1766 | 57,3 | 17,3 |
| 1767 | 58 | 11,4 |
| 1768 | 57,5 | 47,4 |
| 1769 | 57,4 | 28,8 |
| 1770 | 58,8 | 24,3 |
| 1771 | 57,7 | 25,5 |
| 1772 | 58,4 | 35,5 |
| 1773 | 58,4 | 29,3 |
| 1774 | 59 | 33,8 |
| 1775 | 59 | 18,7 |
| 1776 | 58,8 | 9,8 |
| 1777 | 58,8 | 23,9 |
| 1778 | 59,1 | 48,2 |
| 1779 | 59,4 | 37,2 |
| 1780 | 59,6 | 29,1 |
| 1781 | 50 | 25 |
| 1782 | 40 | 20 |
| 1783 | 30 | 15 |
| 1784 | 20 | 10 |
| 1785 | 10 | 5 |
| 1786 | 0 | 0 |
| 1787 | 0 | 0 |
| 1788 | 0 | 0 |
| 1789 | 0 | 0 |
| 1790 | 0 | 0 |
| 1791 | 0 | 0 |
| 1792 | 0 | 0 |
| 1793 | 0 | 0 |
| 1794 | 0 | 0 |
| 1795 | 0 | 0 |
| 1796 | 0 | 0 |
| 1797 | 0 | 0 |
| 1798 | 0 | 0 |
| 1799 | 0 | 0 |
| 1800 | 0 | 0 |
| ‘m’ = ‘monitoring’ = kiểm tra | ||
Lịch trình hoạt động của băng thử động cơ theo ETC được thể hiện dưới dạng đồ thị như Hình G3.1.

Hình G3.1 - Lịch trình hoạt động của băng thử động cơ theo ETC
PHỤ LỤC G - PHỤ LỤC G4
(quy định)
Quy trình đo và lấy mẫu
1 Chỉ dẫn chung
Khí thải gồm các chất khí, hạt và khói của động cơ mẫu phải được đo bằng các phương pháp quy định tại Phụ lục G7. Các hệ thống phân tích khí, các hệ thống lấy mẫu và pha loãng hạt và thiết bị đo độ khói lần lượt được mô tả tại điều 1, 2 và 3 của Phụ lục G7.
Đối với ESC, các thành phần khí thải được xác định trong khí thải thô. Một cách tùy chọn, chúng cũng có thể được xác định trong khí thải được pha loãng nếu sử dụng hệ thống pha loãng toàn phần để xác định các hạt. Các hạt phải được xác định bằng hệ thống pha loãng toàn phần hoặc hệ thống pha loãng một phần.
Đối với ETC, chỉ sử dụng hệ thống pha loãng toàn phần để xác định các chất khí và hạt và nó được coi là hệ thống chuẩn. Tuy nhiên, cơ sở thử nghiệm có thể chấp nhận hệ thống pha loãng một phần nếu sự tương đương của nó theo yêu cầu tại 5.2.1.2 của tiêu chuẩn này được chứng minh và nếu có bản mô tả chi tiết các phương pháp tính toán và đánh giá số liệu được nộp cho cơ sở thử nghiệm.
2 Băng thử và trang thiết bị khác trong phòng thử
2.1 Băng thử động cơ
Một băng thử động cơ với các đặc tính phù hợp phải được sử dụng để thực hiện các chu trình thử mô tả trong các Phụ lục G1 và G2. Hệ thống đo tốc độ phải có độ chính xác bằng ±2% số đo, hệ thống đo mô men xoắn phải có độ chính xác bằng ±3% số đo trong dải đo > 20% giá trị cao nhất của thang đo và độ chính xác bằng ±0,6% giá trị cao nhất của thang đo trong dải đo ≤ 20% giá trị cao nhất của thang đo.
2.2 Thiết bị đo khác
Các thiết bị đo tiêu thụ nhiên liệu, tiêu thụ không khí, nhiệt độ chất lỏng làm mát và dầu bôi trơn, áp suất khí thải và độ tụt áp trong đường nạp, nhiệt độ khí thải, nhiệt độ không khí nạp, độ ẩm và áp suất không khí và nhiệt độ nhiên liệu phải được sử dụng khi yêu cầu. Các thiết bị này phải thỏa mãn các yêu cầu trong Bảng G4.1.
Bảng G4.1 - Độ chính xác của thiết bị đo
| Thiết bị đo | Độ chính xác |
| Tiêu thụ nhiên liệu | ±2% giá trị lớn nhất của động cơ |
| Tiêu thụ không khí | ±2% giá trị lớn nhất của động cơ |
| Nhiệt độ ≤ 600 K (3270C) | ± 2 K tuyệt đối |
| Nhiệt độ ≥ 600 K (3270C) | ±1% số đo |
| Áp suất không khí | ± 0,1 kPa tuyệt đối |
| Áp suất khí thải | ± 0,2 kPa tuyệt đối |
| Độ tụt áp suất nạp | ± 0,05 kPa tuyệt đối |
| Các áp suất khác | ± 0,1 kPa tuyệt đối |
| Độ ẩm tương đối | ±3% tuyệt đối |
| Độ ẩm tuyệt đối | ±5% số đo |
2.3 Lưu lượng khí thải
Để tính toán khí thải ô nhiễm trong khí thải thô cần phải biết lưu lượng khí thải (xem 4.4 của G1). Để xác định lưu lượng khí thải có thể sử dụng các phương pháp sau:
Đo trực tiếp lưu lượng khí thải bằng vòi phun lưu lượng hoặc bằng hệ thống đo tương đương;
Đo lưu lượng không khí và lưu lượng nhiên liệu bằng các hệ thống đo thích hợp và tính lưu lượng khí thải bằng công thức sau:
GEXHW = GAIRW + GFUEL (đối với lưu lượng khối lượng khí thải ướt)
Độ chính xác của việc xác định lưu lượng khí thải phải bằng ±2,5% số đo hoặc tốt hơn.
2.4 Lưu lượng khí thải pha loãng
Để tính toán khí thải ô nhiễm trong khí thải pha loãng bằng việc sử dụng hệ thống pha loãng toàn phần (bắt buộc đối với chu trình ETC) cần phải biết lưu lượng khí thải pha loãng (xem 4.3 Phụ lục G2). Lưu lượng khối lượng tổng của khí thải pha loãng (GTOTW) hoặc khối lượng tổng cộng của khí thải pha loãng trong suốt chu trình phải được đo với PDP hoặc CFV (2.3.1, Phụ lục G7). Độ chính xác phải bằng ±2% số đo hoặc tốt hơn và phải được xác định theo quy định của 2.4, Phụ lục G5).
3 Xác định các thành phần khí
3.1 Các yêu cầu chung đối với máy phân tích
Các máy phân tích phải có dải đo thích hợp theo độ chính xác yêu cầu để đo nồng độ các thành phần khí thải (xem 3.1.1 Phụ lục G4). Các máy phân tích cần hoạt động sao cho nồng độ đo được nằm trong khoảng từ 15% đến 100% giá trị cao nhất của thang đo.
Hệ thống cung cấp kết quả đo (máy tính, máy ghi chép số liệu) có thể cung cấp độ chính xác đầy đủ và độ phân giải thấp hơn 15% giá trị cao nhất của thang đo, các phép đo dưới 15% giá trị cao nhất của thang đo cũng có thể chấp nhận được. Trong trường hợp này, thực hiện các hiệu chuẩn bổ sung cho ít nhất 4 điểm khác 0 cách đều nhau về danh nghĩa để bảo đảm độ chính xác của các đường cong hiệu chuẩn theo 1.5.5.2, Phụ lục G5).
Sự tương thích điện từ (EMC) của thiết bị phải ở mức đủ để tối thiểu hóa được các lỗi phụ.
3.1.1 Sai số đo
Sai số đo tổng cộng, bao gồm cả độ nhạy chéo đối với các khí khác (xem 1.9, Phụ lục G5) không được lớn hơn ±5% số đo hoặc ±3,5% giá trị cao nhất của thang đo, chọn số nhỏ hơn. Đối với nồng độ nhỏ hơn 100 ppm, sai số đo tổng cộng không được lớn hơn ±4 ppm.
3.1.2 Tính lặp lại
Tính lặp lại, được xác định bằng 2,5 lần sai lệch chuẩn của 10 đáp trả lặp lại đối với khí hiệu chuẩn đã cho hoặc khí chuẩn dải đo, không được lớn hơn ±1% nồng độ cao nhất của thang đo đối với từng dải đo được sử dụng trên 155 ppm (hoặc ppm C).
3.1.3 Độ ồn
Bất kỳ đáp trả toàn phần (đỉnh đến đỉnh) kéo dài 10s nào trong máy phân tích đối với các khí chuẩn điểm 0, khí hiệu chuẩn và khí chuẩn dải đo cũng không được lớn hơn 2% giá trị cao nhất của thang đo trên mọi dải đo được sử dụng.
3.1.4 Sự trôi điểm không
Sự trôi điểm không trong một giờ phải không nhỏ hơn 2% giá trị cao nhất của thang đo trên dải đo được sử dụng thấp nhất. Đáp trả điểm không là đáp trả trung bình, gồm cả độ ồn, đối với các khí chuẩn điểm 0 trong khoảng thời gian 30s.
3.1.5 Sự trôi điểm chuẩn dải đo
Sự trôi điểm chuẩn dải đo trong một giờ phải không nhỏ hơn 2% giá trị cao nhất của thang đo trên dải đo được sử dụng thấp nhất. Chuẩn dải đo được định nghĩa là sự sai khác giữa đáp trả điểm không và đáp trả điểm chuẩn dải đo, gồm cả độ ồn, đối với các khí chuẩn dải đo trong khoảng thời gian 30s.
3.2 Làm khô khí
Thiết bị làm khô khí tùy chọn phải có sự ảnh hưởng rất nhỏ đối với nồng độ của các khí được đo. Các máy sấy kiểu hóa học mà không phải là thiết bị sử dụng phương pháp rút nước ra khỏi mẫu có thể chấp nhận được.
3.3 Máy phân tích
Các điều từ 3.3.1 đến 3.3.4 Phụ lục G4 này mô tả các nguyên lý đo. Các khí được đo phải được phân tích bằng các thiết bị sau. Đối với các máy phân tích không tuyến tính, cho phép sử dụng các mạch tuyến tính.
3.3.1 Máy phân tích CO: Xem 2.3.1.1 Phụ lục D1.
3.3.2 Máy phân tích CO2: Xem 2.3.1.4 Phụ lục D1.
3.3.3 Máy phân tích HC
Đối với các động cơ điêzen và động cơ dùng nhiên liệu LPG, máy phân tích phải là kiểu HFID (xem 3.34.1 về ký hiệu, chữ viết tắt ...) có thiết bị dò, van, vật liệu ống ... chịu được nhiệt để duy trì được nhiệt độ khí là 463 K ± 10 K (1900C ± 100C).
Đối với động cơ dùng nhiên liệu NG, máy phân tích có thể là kiểu máy dò ion hóa ngọn lửa không chịu nhiệt (FID), phụ thuộc vào phương pháp được sử dụng (xem 1.3, Phụ lục G6).
3.3.4 Máy phân tích NMHC (chỉ có động cơ dùng nhiên liệu NG)
NMHC phải được xác định bằng một trong các phương pháp sau:
3.3.4.1 Phương pháp sắc phổ khí (GC)
NMHC phải được xác định bằng việc trừ đi mêtan được phân tích bằng GC trong điều kiện 423K (1500C) khỏi HC được đo theo 3.3.3 Phụ lục G4.
3.3.4.2 Phương pháp cắt không dùng mê tan (NMC)
Phần nhỏ không có mêtan phải được xác định bằng thiết bị NMC chịu nhiệt được hoạt động cùng với một FID theo 3.3.3 Phụ lục G4 bằng việc trừ mêtan khỏi HC.
3.3.5 Máy phân tích NOx
Máy phân tích NOx phải là kiểu phân tích quang hóa (CLD) hoặc phân tích quang hóa chịu nhiệt (HCLD) có bộ biến đổi NO2/NO nếu được đo trong trạng thái khô. Nếu được đo trong trạng thái ướt, phải sử dụng HCLD có bộ biến đổi được duy trì nhiệt độ trên 328K (550C) với điều kiện là, qua kiểm tra, việc dập tắt bằng nước (xem 1.9.2.2, Phụ lục G5) được thỏa mãn.
3.4 Lấy mẫu các khí
3.4.1 Khí thải thô (chỉ áp dụng cho chu trình ESC)
Các ống lấy mẫu các chất khí phải được lắp cách miêng thoát của ống xả về phía trước (ngược chiều dòng khí thải) càng xa càng tốt và ít nhất là một đoạn bằng 0,5 m hoặc bằng 3 lần đường kính ống xả (chọn giá trị lớn hơn), đủ gần với động cơ để bảo đảm nhiệt độ khí thải tại ống lấy mẫu ít nhất bằng 343 K (700C)
Đối với động cơ nhiều xi lanh có ống góp khí thải được chia nhiều nhánh, miệng của ống lấy mẫu phải được đặt cách động cơ một khoảng cách đủ xa (theo chiều dòng khí thải) để bảo đảm rằng mẫu khí thải đại diện cho khí thải từ tất cả các xi lanh. Đối với động cơ nhiều xi lanh có các nhóm ống góp riêng biệt (ví dụ động cơ chữ V), cho phép lấy mẫu khí thải từ mỗi nhóm riêng và tính toán khí thải trung bình. Các phương pháp khác được chứng minh có sự tương quan với các phương pháp trên có thể được sử dụng. Để tính toán khí thải phải sử dụng lưu lượng khối lượng khí thải.
Nếu động cơ có trang bị hệ thống xử lý khí thải sau, mẫu khí thải phải được lấy phía sau hệ thống này.
3.4.2 Khí thải pha loãng (bắt buộc đối với chu trình ETC, tùy chọn đối với chu trình ESC).
Ống dẫn khí thải giữa động cơ và hệ thống pha loãng toàn phần phải phù hợp với yêu cầu nêu tại 2.3.1, EP, Phụ lục G6.
Các ống lấy mẫu các chất khí thải phải được lắp trong đường ống pha loãng tại điểm mà ở đó không khí pha loãng và khí thải được hòa trộn tốt và ở sát ống lấy mẫu hạt.
Đối với chu trình ETC, nói chung việc lấy mẫu có thể được làm bằng hai cách.
+ Các chất ô nhiễm được lấy mẫu đưa vào túi mẫu trong suốt chu trình và được đo sau khi kết thúc phép thử;
+ Các chất ô nhiễm được lấy mẫu liên tục và được tích hợp trong suốt chu trình; phương pháp này là bắt buộc đối với HC và NOx.
4 Xác định các hạt
Việc xác định các hạt yêu cầu có hệ thống pha loãng. Sự pha loãng có thể được thực hiện bởi hệ thống pha loãng một phần (chỉ cho chu trình ESC) hoặc hệ thống pha loãng toàn phần (bắt buộc đối với chu trình ETC). Khả năng về lưu lượng của hệ thống pha loãng phải đủ lớn để loại trừ hoàn toàn sự ngưng tụ nước trong các hệ thống pha loãng và lấy mẫu, và duy trì nhiệt độ của khí thải được pha loãng không quá 325 K (520C) ở ngay phía trước các bộ lọc.
Cho phép khử độ ẩm không khí pha loãng trước khi đưa vào hệ thống pha loãng, đặc biệt hữu ích khi độ ẩm không khí pha loãng cao. Nhiệt độ của không khí pha loãng phải bằng 298K ± 5K (250C ± 50C). Nếu nhiệt độ xung quanh thấp hơn 293K (200C) thì nên làm nóng không khí pha loãng để cao hơn giới hạn trên của nhiệt độ không khí pha loãng (303 K). Tuy nhiên, nhiệt độ của không khí pha loãng phải không vượt quá 325K (520C) ngay trước khi khí thải vào đường ống pha loãng.
Hệ thống pha loãng một phần phải được thiết kế để tách dòng khí thải thành hai phần, phần nhỏ hơn được pha loãng với không khí và sau đó được sử dụng để đo hạt. Đối với việc này, chủ yếu là tỉ lệ pha loãng phải rất chính xác. Có thể áp dụng các phương pháp tách khác nhau và do đó kiểu tách dòng được sử dụng sẽ quyết định đáng kể quy trình và thiết bị lấy mẫu được sử dụng (2.2, Phụ lục G6). Ống lấy mẫu hạt phải được lắp sát ống lấy mẫu khí và việc lắp đặt phải phù hợp với quy định tại 3.4.1, Phụ lục G4.
Để xác định khối lượng hạt, cần có hệ thống lấy mẫu hạt, các bộ lọc lấy mẫu hạt, cân vi lượng và buồng cân được điều khiển về độ ẩm và nhiệt độ. Để lấy mẫu hạt, phải áp dụng phương pháp lọc đơn trong đó sử dụng một cặp bộ lọc (xem 4.1.3 Phụ lục G4) trong suốt chu trình thử. Đối với chu trình ESC, phải chú ý nhiều đến các lần lấy mẫu và lưu lượng trong các giai đoạn lấy mẫu của phép thử.
4.1 Bộ lọc lấy mẫu hạt
4.1.1 Yêu cầu kỹ thuật của bộ lọc
Cần sử dụng các bộ lọc sợi thủy tinh phủ floruacacbon hoặc các bộ lọc kiểu màng floruacacbon.
Các kiểu bộ lọc phải có hiệu suất thu thập chất DOP 0,3 mm (xem bảng chữ viết tắt) ít nhất bằng 95% ở vận tốc bề mặt của dòng khí từ 35 đến 80 cm/s.
4.1.2 Kích thước của bộ lọc
Các bộ lọc hạt phải có đường kính nhỏ nhất bằng 47mm (37mm đối với đường kính vết hạt). Có thể chấp nhận đường kính lớn hơn theo quy định tại 4.1.5 Phụ lục G4.
4.1.3 Các bộ lọc chính và dự phòng
Khí thải pha loãng phải được lấy mẫu bởi một cặp bộ lọc được đặt nối tiếp nhau (một lọc chính và một lọc dự phòng) trong suốt quá trình thử. Bộ lọc dự phòng phải được đặt cách bộ lọc chính về phía sau theo chiều dòng khí một đoạn không lớn hơn 100 mm và không được tiếp xúc với bộ lọc chính. Các bộ lọc có thể được cân riêng hoặc cả cặp trong đó hai bề mặt có vết hạt của hai bộ lọc được đặt chập vào nhau.
4.1.4 Vận tốc bề mặt của bộ lọc
Vận tốc bề mặt của dòng khí đi qua bộ lọc phải từ 35 đến 80 cm/s. Sự tăng giảm áp suất giữa lúc bắt đầu và lúc kết thúc phép thử không được quá 25 kPa.
4.1.5 Khả năng chịu tải của bộ lọc
Khả năng chịu tải của bộ lọc nhỏ nhất là 0,5 mg/1075 mm2 diện tích vết hạt. Các giá trị nêu trong bảng G4.2 dưới đây là cho các bộ lọc phổ biến nhất hiện nay.
Bảng G4.2 - Khả năng chịu tải của bộ lọc
| Đường kính bộ lọc | Đường kính vết hạt nên bằng (mm) | Tải bộ lọc nhỏ nhất nên bằng (mg) |
| 47 | 37 | 0,5 |
| 70 | 60 | 1,3 |
| 90 | 80 | 2,3 |
| 110 | 100 | 3,6 |
4.2 Yêu cầu kỹ thuật đối với buồng cân và cân phân tích
4.2.1 Trạng thái môi trường của buồng cân
Nhiệt độ của buồng trong đó các hạt được thuần hóa và được cân phải được duy trì trong quá trình cân và thuần hóa bằng 295 K ± 3K (220C ± 30C). Độ ẩm phải được duy trì theo điểm sương 282,5 K ± 3K (9,50C ± 50C) và độ ẩm tương đối bằng 45% ± 8%.
4.2.2 Cân bộ lọc chuẩn
Môi trường của buồng cân phải không có bất kỳ chất bẩn nào (ví dụ bụi) đọng trên các bộ lọc hạt trong khi ổn định chúng. Các nhiễu về điều kiện kỹ thuật đối với buồng cân nêu tại 4.2.1 Phụ lục G4 trên là được phép nếu thời gian nhiễu không quá 30 phút. Buồng cân phải thỏa mãn các yêu cầu kỹ thuật ngay trước khi có người đi vào buồng cân. Có ít nhất hai bộ lọc chuẩn hoặc hai cặp bộ lọc chuẩn không được sử dụng phải được cân trong vòng bốn giờ nhưng tốt nhất là cùng thời gian cân bộ lọc để lấy mẫu. Chúng phải có cùng kích thước và vật liệu như các bộ lọc để lấy mẫu.
Nếu giữa các lần cân bộ lọc để lấy mẫu, khối lượng trung bình của các bộ lọc chuẩn (các cặp bộ lọc chuẩn) thay đổi quá 5% (7,5% đối với cặp bộ lọc) tải bộ lọc nhỏ nhất (xem 4.1.5 Phụ lục G4) thì tất cả các bộ lọc để lấy mẫu phải bị hủy và phép thử khí thải phải lặp lại.
Nếu tiêu chuẩn ổn định buồng cân nêu tại 4.2.1 Phụ lục G4 không được thỏa mãn nhưng việc cân bộ lọc chuẩn (cặp bộ lọc) thỏa mãn tiêu chuẩn nêu trên thì nhà sản xuất động cơ có thể được lựa chọn là hoặc chấp nhận khối lượng bộ lọc để lấy mẫu hoặc hủy phép thử, đóng hệ thống điều khiển buồng cân và tiến hành lại phép thử.
4.2.3 Cân phân tích
Cân phân tích được sử dụng để xác định khối lượng các bộ lọc phải có độ chính xác (sai lệch chuẩn) 20 mg và độ phân giải 10mg (1 số = 10 mg). Đối với bộ lọc có đường kính nhỏ hơn 70mm, độ chính xác và độ phân giải theo thứ tự phải là 2mg và 1 mg.
4.3 Yêu cầu kỹ thuật bổ sung đối với việc đo hạt
Mọi bộ phận của hệ thống pha loãng và lấy mẫu từ ống xả đến cái giữ bộ lọc mà chúng tiếp xúc với khí thải thô và khí thải pha loãng phải được thiết kế để tối thiểu hóa sự kết tủa hoặc sự biến đổi của các hạt. Mọi bộ phận phải được làm bằng vật liệu dẫn điện mà không có phản ứng với các thành phần khí thải và phải được nối mát để phòng ngừa hiệu ứng tĩnh điện.
5 Xác định độ khói
Phần này đề ra các yêu cầu đối với các thiết bị thử cần thiết và thiết bị tùy chọn được dùng trong thử theo chu trình ELR. Độ khói phải được đo bằng thiết bị đo độ khói có chế độ chỉ thị độ khói và hệ số hấp thụ ánh sáng. Chế độ chỉ thị độ khói chỉ được sử dụng để kiểm tra và hiệu chuẩn thiết bị đo độ khói. Các giá trị độ khói của chu trình thử phải được đo trong chế độ chỉ thị hệ số hấp thụ ánh sáng.
5.1 Yêu cầu chung
Chu trình thử ELR yêu cầu sử dụng hệ thống đo độ khói và xử lý số liệu gồm ba khối chức năng. Các khối chức năng này có thể được kết hợp trong một bộ phận hoặc như một hệ thống của các bộ phận quan hệ lẫn nhau. Ba khối chức năng này là:
+ Một thiết bị đo độ khói thỏa mãn yêu cầu nêu tại điều 3, Phụ lục G6.
+ Một thiết bị xử lý số liệu có thể thực hiện các chức năng mô tả tại điều 6, Phụ lục G1.
+ Một máy in và/hoặc thiết bị điện để lưu trữ để ghi và cho kết quả các giá trị độ khói quy định tại 6.3, Phụ lục G1.
5.2 Yêu cầu riêng
5.2.1 Độ tuyến tính
Độ tuyến tính phải trong phạm vi ±2% độ khói.
5.2.2 Sự trôi điểm không
Sự trôi điểm không trong một giờ không quá ±1% độ khói.
5.2.3 Hiển thị và dải đo của thiết bị đo độ khói
Để hiển thị độ khói, dải đo phải từ 0 đến 100% độ khói và khả năng đọc được 0,1% độ khói. Để hiển thị hệ số hấp thụ ánh sáng, dải đo hệ số hấp thụ ánh sáng phải từ 0 đến 30 m-1 và có khả năng đọc được 0,01 m-1.
5.2.4 Thời gian đáp trả của thiết bị
Thời gian đáp trả vật lý của thiết bị đo độ khói phải không quá 0,2 s. Thời gian đáp trả vật lý là sự sai khác giữa các thời gian khi kết quả của bộ thu đáp trả nhanh đạt được 10 và 90% của sai lệch lớn nhất khi độ khói của khí được đo bị thay đổi trong thời gian nhỏ hơn 0,1s.
Thời gian đáp trả điện của thiết bị đo độ khói phải không quá 0,05s. Thời gian đáp trả điện là sự sai khác giữa các thời gian khi chỉ thị của thiết bị đo độ khói đạt được 10 và 90% giá trị cao nhất của thang đo khi nguồn sáng bị ngắt hoặc bị tắt trong thời gian nhỏ nhất 0,01s.
5.2.5 Bộ lọc tỉ trọng bằng 0
Mọi bộ lọc tỉ trọng bằng 0 được dùng để hiệu chuẩn thiết bị đo độ khói, trong các phép đo tuyến tính, hoặc trong chỉnh đặt dải đo phải có giá trị được biết không quá 1% độ khói. Độ chính xác của giá trị định mức của bộ lọc phải được kiểm tra ít nhất mỗi năm một lần bằng cách sử dụng vết chuẩn theo tiêu chuẩn quốc gia hoặc quốc tế.
Các bộ lọc tỉ trọng bằng 0 là các thiết bị chính xác và có thể dễ dàng bị hỏng trong sử dụng. Phải hạn chế tới mức ít nhất việc cầm tay và khi cần phải được làm cẩn thận để tránh cào xước hoặc làm bẩn bộ lọc.
PHỤ LỤC G - PHỤ LỤC G5
(quy định)
Quy trình hiệu chuẩn
1 Hiệu chuẩn máy phân tích
1.1 Chỉ dẫn chung
Mỗi máy phân tích phải được hiệu chuẩn thường xuyên tùy theo mức độ cần thiết để thỏa mãn yêu cầu về độ chính xác của phương pháp thử. Phương pháp hiệu chuẩn được mô tả trong phụ lục này dùng cho các máy phân tích được nêu tại điều 3 Phụ lục G4 và điều 1 Phụ lục G6.
1.2 Khí hiệu chuẩn
Phải tuân theo thời gian sử dụng của tất cả khí hiệu chuẩn. Phải ghi ngày hết hạn sử dụng của khí hiệu chuẩn do nhà sản xuất khí công bố.
1.2.1 Khí tinh khiết
Các khí nitơ, ôxy, hỗn hợp hydro-heli, không khí tổng hợp: xem 2.1, Phụ lục D2.
Ngoài ra còn có khí propan hoặc CO để kiểm tra CVS.
1.2.2 Khí hiệu chuẩn và khí hiệu chuẩn dải đo
Xem 2.2, Phụ lục D2.
Ngoài ra còn có các loại khí sau:
CO2 và nitơ tinh khiết;
CH4 và không khí tổng hợp tinh khiết;
C2H6 và không khí tổng hợp tinh khiết;
CHÚ THÍCH - Cho phép sử dụng các hợp chất khí khác nếu các khí đó không phản ứng với một khí khác.
1.3 Quy trình vận hành đối với máy phân tích và hệ thống lấy mẫu
Quy trình vận hành đối với máy phân tích phải theo các chỉ dẫn về sự khởi động và vận hành của nhà sản xuất thiết bị. Phải tuân theo các yêu cầu tối thiểu được nêu từ 1.4 đến 1.9 Phụ lục G5.
1.4 Thử sự rò rỉ
Thực hiện kiểm tra sự rò rỉ của hệ thống. Ống lấy mẫu phải được tách ra khỏi hệ thống xả và được nút kín lại ở đầu ống. Bật công tắc cho máy bơm của máy phân tích chạy. Sau giai đoạn ổn định ban đầu, tất cả các đồng hồ lưu lượng và áp suất phải chỉ ở điểm '0' (zêrô). Nếu không, các đường ống lấy mẫu phải được kiểm tra và khắc phục các rò rỉ.
Xét về độ chân không, tốc độ rò rỉ cho phép lớn nhất phải bằng 0,5% lưu lượng đang sử dụng của phần được kiểm tra của hệ thống. Lưu lượng các máy phân tích và lưu lượng rẽ nhánh không qua máy phân tích có thể được sử dụng để đánh giá lưu lượng sử dụng.
Một phương pháp khác là đưa vào một sự thay đổi bậc nồng độ tại đoạn đầu đường lấy mẫu bằng việc chuyển từ khí Zero sang khí hiệu chuẩn dải đo. Nếu sau một khoảng thời gian thích hợp, số đo nồng độ thấp hơn nồng độ được đưa vào thì chứng tỏ rằng có vấn đề về hiệu chuẩn hoặc rò rỉ.
1.5 Quy trình hiệu chuẩn
1.5.1 Lắp thiết bị đo
Việc lắp thiết bị đo phải được hiệu chuẩn và các đường cong hiệu chuẩn được kiểm tra với các khí tiêu chuẩn. Lưu lượng khí phải như lưu lượng khí khi lấy mẫu khí thải.
1.5.2 Thời gian làm ấm thiết bị
Thời gian làm ấm thiết bị phải theo hướng dẫn của nhà sản xuất. Nếu không có quy định, ít nhất phải làm ấm trong hai giờ.
1.5.3 Máy phân tích NDIR và HFID
Máy phân tích NDIR phải được tinh chỉnh nếu cần thiết, và phải tối ưu hóa ngọn lửa đốt cháy của HFID (xem 1.8.1 Phụ lục G5).
1.5.4 Hiệu chuẩn
Mỗi dải hoạt động danh nghĩa được sử dụng phải được hiệu chuẩn.
Các máy phân tích CO, CO2, NOx và HC phải được chỉnh đặt điểm 0 bằng việc sử dụng không khí tổng hợp hoặc ni tơ tinh khiết.
Các khí hiệu chuẩn thích hợp phải được đưa vào các máy phân tích, các giá trị được ghi lại và đường cong hiệu chuẩn được thiết lập theo 1.5.5 Phụ lục G5.
Phải kiểm tra lại việc chỉnh đặt điểm 0 và nếu cần thiết phải lặp lại quy trình hiệu chuẩn.
1.5.5 Thiết lập đường cong hiệu chuẩn
1.5.5.1 Chỉ dẫn chung
Đường cong hiệu chuẩn phải được thiết lập bởi ít nhất 5 điểm hiệu chuẩn (không kể điểm 0) cách nhau càng đều đặn càng tốt. Nồng độ danh nghĩa cao nhất phải không nhỏ hơn 90% giá trị cao nhất của thang đo.
Đường cong hiệu chuẩn phải được tính toán bằng phương pháp bình phương bé nhất. Nếu bậc đa thức kết quả lớn hơn 3, số điểm hiệu chuẩn (kể cả điểm 0) ít nhất phải bằng bậc đa thức này cộng với 2.
Đường cong hiệu chuẩn không được sai khác hơn ±2% so với giá trị danh nghĩa của mỗi điểm hiệu chuẩn, và tại điểm 0 không được sai khác quá ±1% giá trị cao nhất của thang đo.
Theo vết của đường cong hiệu chuẩn và các điểm hiệu chuẩn, có thể kiểm tra việc hiệu chuẩn được thực hiện chính xác hay không. Những thông số đặc tính khác nhau của máy phân tích phải được chỉ ra, đặc biệt là:
Dải đo,
Độ nhạy,
Ngày thực hiện hiệu chuẩn.
1.5.5.2 Hiệu chuẩn đoạn dưới 15% giá trị cao nhất thang đo
Trong dải hiệu chuẩn thấp hơn 15% giá trị cao nhất của thang đo, đường cong hiệu chuẩn máy phân tích phải được thiết lập bởi ít nhất bốn điểm hiệu chuẩn bổ sung (không kể điểm 0) cách đều nhau về danh nghĩa.
Đường cong hiệu chuẩn phải được tính toán bằng phương pháp bình phương bé nhất.
Đường cong hiệu chuẩn không được sai khác hơn ±4% so với giá trị danh nghĩa của mỗi điểm hiệu chuẩn, và tại điểm 0 không được sai khác quá ±1% giá trị cao nhất của thang đo.
1.5.5.3 Các phương pháp thay thế
Nếu công nghệ thay thế (ví dụ máy tính, bộ công tắc chuyển đổi dải điều khiển điện tử..) có thể có độ chính xác tương đương, những thay thế này có thể được sử dụng.
1.6 Kiểm tra sự hiệu chuẩn
Mỗi dải hoạt động danh nghĩa được sử dụng của máy phải được kiểm tra trước mỗi lần phân tích theo các bước sau đây:
Sự hiệu chuẩn phải được kiểm tra bởi một khí hiệu chuẩn điểm không và một khí chuẩn dải đo có giá trị danh nghĩa lớn hơn 80% giá trị cao nhất của thang đo của dải đo đó.
Đối với hai điểm được xem xét, nếu giá trị đó được thấy là không sai khác quá ±4% giá trị cao nhất của thang đo so với giá trị chuẩn được công bố thì các thông số hiệu chỉnh có thể được sửa đổi. Ngoài trường hợp này ra, phải thiết lập một đường cong hiệu chuẩn theo 1.5.5 Phụ lục G5.
1.7 Thử hiệu suất của bộ biến đổi NOx
Hiệu chuẩn của bộ biến đổi NO2 thành NO phải được thử theo quy định từ 1.7.1 đến 1.7.8 Phụ lục G5 như sau:
1.7.1 Sơ đồ nguyên lý của phép thử
Bằng cách sử dụng sơ đồ nguyên lý của phép thử trong hình G5.1 (cũng xem 3.3.5, Phụ lục G4) và quy trình dưới đây, hiệu suất của bộ biến đổi có thể được thử bằng một thiết bị ôzôn hóa.

Hình G5.1 - Sơ đồ thiết bị thử hiệu suất bộ biến đổi NOx
1.7.2 Hiệu chuẩn
CLD và HCLD được hiệu chuẩn theo 4.4.3 Phụ lục D2.
1.7.3 Tính toán
Hiệu suất bộ biến đổi NOx được tính như sau:
Hiệu suất (%) = (1 + ) x 100
Trong đó:
a là nồng độ NOx theo 1.7.6 Phụ lục G5;
b là nồng độ NOx theo 1.7.7 Phụ lục G5;
c là nồng độ NO theo 1.7.4 Phụ lục G5;
d là nồng độ NO theo 1.7.5 Phụ lục G5.
1.7.4 Bổ sung ôxy
Qua một ống chữ T, ôxy hoặc không khí zêrô (là khí được dùng khi hiệu chuẩn điểm '0') được bổ sung liên tục cho lưu lượng khí chuẩn dải đo tới khi nồng độ chỉ thị nhỏ hơn khoảng 20% nồng độ hiệu chuẩn chỉ thị được cho tại 4.4.3 Phụ lục D2. Ghi nồng độ chỉ thị d (máy phân tích trong chế độ NO).
1.7.5 Kích hoạt máy iôn hóa
Xem 4.4.5 Phụ lục D2.
1.7.6 Chế độ NOx
Xem 4.4.6 Phụ lục D2 (máy phân tích ở trong chế độ NOx).
1.7.7 Ngừng kích hoạt máy i ôn hóa
Xem 4.4.7 Phụ lục D2 (máy phân tích ở trong chế độ NOx)
1.7.8 Chế độ NO
Chuyển sang chế độ NO với sự ngừng kích hoạt thiết bị ôzôn hóa, lưu lượng ôxy hoặc không khí tổng hợp cũng được cắt cung cấp. Số đo NOx của máy phân tích phải không sai lệch quá ±5% giá trị đo theo 1.7.2 Phụ lục G5 (máy phân tích ở trong chế độ NO).
1.7.9 Định kỳ thử
Hiệu suất của bộ biến đổi phải được thử trước mỗi lần hiệu chuẩn máy phân tích NOx.
1.7.10 Yêu cầu về hiệu suất
Hiệu suất của bộ biến đổi phải không nhỏ hơn 90% nhưng nếu cao hơn 95% càng tốt
CHÚ THÍCH: Với máy phân tích trong dải hoạt động phổ biến nhất, nếu máy iôn hóa không tạo ra được việc giảm nồng độ từ 80% xuống 20% theo 1.7.5 Phụ lục G5 thì phải sử dụng dải cao nhất mà dải đó sẽ tạo ra được sự giảm này.
1.8 Điều chỉnh FID (thiết bị dò iôn hóa ngọn lửa)
1.8.1 Tối ưu hóa sự đáp trả máy dò
FID phải được điều chỉnh theo quy định của nhà sản xuất thiết bị. Propan trong khí chuẩn dải đo không khí phải được sử dụng để tối ưu hóa sự đáp trả trong dải hoạt động phổ biến nhất.
Với lưu lượng nhiên liệu và không khí được chỉnh đặt theo ý kiến của nhà sản xuất, khí chuẩn dải đo 350±75 ppm C phải được đưa vào máy phân tích. Sự đáp trả tại lưu lượng nhiên liệu đã cho phải được xác định từ sự sai khác giữa sự đáp trả khí chuẩn dải đo và sự đáp trả khí 0. Lưu lượng nhiên liệu phải được điều chỉnh tăng về phía trên và về phía dưới so với giá trị quy định của nhà sản xuất. Sự đáp trả khí chuẩn dải đo và sự đáp trả khí 0 tại các lưu lượng nhiên liệu này phải được ghi lại. Sự sai khác giữa sự đáp trả khí chuẩn dải đo và sự đáp trả khí 0 phải được vẽ thành đồ thị và lưu lượng nhiên liệu được điều chỉnh tới phía đậm của đường cong.
1.8.2 Các hệ số đáp trả HC
Máy phân tích phải được hiệu chuẩn bằng cách sử dụng propan trong không khí và trong không khí sạch tổng hợp, theo 1.5 Phụ lục G5. Các hệ số đáp trả phải được xác định khi đưa một máy phân tích vào bảo dưỡng và sau các kỳ bảo dưỡng chính. Hệ số đáp trả (Rf) đối với một loại HC riêng biệt là tỉ số của số đo FID C1 với nồng độ khí trong xi lanh theo đơn vị ppm C1. Nồng độ của khí thử phải bằng mức để có được đáp trả bằng gần 80% giá trị cao nhất của thang đo. Nồng độ phải được chỉ thị với độ chính xác bằng ±2% so với chuẩn trọng lượng theo thể tích. Ngoài ra, chai chứa khí phải được điều hòa trước trong 24 giờ ở nhiệt độ 298K ± 5K (250C ± 50C).
Các khí thử được sử dụng và nên có các dải hệ số đáp trả tương đối như sau:
Mê tan và không khí sạch tổng hợp: 1,00 ≤ Rf ≤ 1,15
Propylen và không khí sạch tổng hợp: 0,90 ≤ Rf ≤ 1,1
Toluen và không khí sạch tổng hợp: 0,90 < Rf < 1,10
Các giá trị này có quan hệ với hệ số đáp trả Rf, bằng 1,00 đối với propan và không khí sạch tổng hợp.
1.8.3 Kiểm tra nhiễu ôxy
Việc kiểm tra nhiễu ôxy phải được xác định khi đưa một máy phân tích vào bảo dưỡng và sau các kỳ bảo dưỡng chính.
Hệ số đáp trả được định nghĩa và phải được xác định như mô tả tại 1.8.2 Phụ lục G5. Khí thử phải được sử dụng và các dải hệ số đáp trả tương đối như sau:
Propan và nitơ: 0,95 ≤ Rf ≤ 1,05
Giá trị này có quan hệ với hệ số đáp trả Rf, bằng 1,00 đối với propan và không khí sạch tổng hợp.
Nồng độ ôxy trong không khí dùng cho FID phải ở trong phạm vi ±1 phần tử gam % của nồng độ ôxy của không khí dùng cho FID được dùng trong kiểm tra nhiễu ôxy lần cuối cùng. Nếu sự khác nhau lớn thì nhiễu ôxy phải được kiểm tra và điều chỉnh máy phân tích nếu cần.
1.8.4 Hiệu suất của máy cắt không dùng mê tan (NMC, chỉ cho động cơ dùng NG)
NMC được sử dụng để khử HC không có mê tan ra khỏi khí mẫu bằng sự ôxy hóa tất cả HC trừ mê tan.
Một cách lý tưởng, hiệu suất biến đổi đối với mêtan bằng 0%, và đối với các HC khác được đại diện bằng êtan là bằng 100%. Đối với phép đo kiểm tra sự chính xác của NMHC, hai hiệu suất đó phải được xác định và được sử dụng để tính lưu lượng khối lượng khí thải NMHC (xem 4.3 Phụ lục G2).
1.8.4.1 Hiệu suất mê tan
Khí hiệu chuẩn mê tan phải đi qua FID trong hai trường hợp có đi qua hoặc không đi qua NMC và hai nồng độ đó được ghi lại. Hiệu suất phải được xác định như sau:

Trong đó:
concw là nồng độ HC có CH4 đi qua NMC.
concw/o là nồng độ HC có CH4 không đi qua NMC.
1.8.4.2 Hiệu suất êtan
Khí hiệu chuẩn êtan phải đi qua FID trong hai trường hợp có đi qua hoặc không đi qua NMC và hai nồng độ đó được ghi lại. Hiệu chuẩn phải được xác định như sau:

Trong đó:
concw là nồng độ HC có C2H6 đi qua NMC.
concw/o là nồng độ HC có C2H6 không đi qua NMC.
1.9 Hiệu ứng nhiễu với các máy phân tích CO, CO2 và NOx
Các khí không phải là khí được phân tích nhưng trong khí thải có thể gây nhiễu cho số đo bằng một vài cách. Nhiễu dương xảy ra trong NDIR mà trong đó khí gây nhiễu gây ra hiệu ứng giống hiệu ứng của khí được đo nhưng ở mức độ nhỏ hơn. Nhiễu âm xẩy ra trong NDIR do khí gây nhiễu làm rộng dải hấp thụ của khí được đo, và xảy ra trong thiết bị CLD do khí nhiễu dập tắt bức xạ. Việc kiểm tra nhiễu tại 1.9.1 và 1.9.2 Phụ lục G5 phải được thực hiện ngay trước khi bắt đầu sử dụng máy phân tích và sau một vài kỳ bảo dưỡng chính.
1.9.1 Kiểm tra nhiễu máy phân tích CO
Nước và CO2 có thể gây nhiễu đối với đặc tính của máy phân tích. Vì vậy, khí chuẩn dải đo CO2 có nồng độ từ 80 đến 100% của giá trị cao nhất của thang đo của dải hoạt động lớn nhất được sử dụng trong khi thử phải được làm sôi lên qua nước tại nhiệt độ phòng và sự đáp trả máy phân tích được ghi lại. Sự đáp trả máy phân tích không được lớn hơn 1% của giá trị cao nhất của thang đo đối với các dải đo không nhỏ hơn 300 ppm hoặc lớn hơn 3 ppm đối với các dải đo nhỏ hơn 300 ppm.
1.9.2 Kiểm tra độ dập tắt trong máy phân tích NOx
Hai khí liên quan đến máy phân tích CLD (và HCLD) là CO2 và hơi nước. Những đáp trả dập tắt đối với các khí này tỉ lệ thuận với nồng độ của chúng, và do đó cần kỹ thuật thử để xác định sự dập tắt tại các nồng độ mong muốn cao nhất trải qua trong quá trình thử.
1.9.2.1 Kiểm tra độ dập tắt bằng CO2
Khí chuẩn dải đo CO2 có nồng độ từ 80 đến 100% của giá trị cao nhất của thang đo của dải hoạt động lớn nhất phải được cho qua máy phân tích NDIR và giá trị CO2 đó được ghi lại là A. Sau đó nó phải được pha loãng gần bằng 50% với khí chuẩn dải đo NO và đi qua NDIR và (H)CLD với các giá trị CO2 và NO được ghi lại là B và C. Sau đó phải cắt cung cấp CO2 và chỉ có NO được đi qua (H)CLD và giá trị NO được ghi lại là D. Độ dập tắt, mà nó không được lớn hơn 3% của giá trị cao nhất của thang đo, phải được tính như sau:

Trong đó:
A là nồng độ CO2 chưa pha loãng được đo bằng NDIR (%);
B là nồng độ CO2 được pha loãng được đo bằng NDIR (%);
C là nồng độ NO được pha loãng được đo bằng (H)CLD (ppm);
D là nồng độ NO chưa được pha loãng được đo bằng (H)CLD (ppm).
Có thể sử dụng các phương pháp thay thế, như phương pháp trộn động lực, về pha loãng và định lượng các giá trị khí chuẩn dải đo CO2 và NO.
1.9.2.2 Kiểm tra độ dập tắt bằng nước
Việc kiểm tra này chỉ áp dụng đối với các phép đo nồng độ khí ướt. Việc tính toán độ dập tắt phải tính đến sự pha loãng khí chuẩn dải đo NO với hơi nước và tính đến thang đo nồng độ hơi nước mong muốn của hỗn hợp trong quá trình thử.
Khí chuẩn dải đo NO có nồng độ từ 80 đến 100% giá trị cao nhất của thang đo của dải hoạt động bình thường được sử dụng trong khi thử phải được cho qua máy phân tích (H)CLD và giá trị NO được ghi lại là D. Sau đó khí chuẩn dải đo NO phải được làm sôi lên qua nước tại nhiệt độ phòng và đi qua (H)CLD và giá trị NO được ghi lại là C. Áp suất làm việc tuyệt đối của máy phân tích và nhiệt độ nước phải được xác định và được ghi lại là E và F. Áp suất hơi nước bão hòa tương ứng với nhiệt độ nước sôi F phải được xác định và được ghi lại là G. Nồng độ hơi nước (H, %) của hỗn hợp phải được tính như sau:
H = 100 x (G/E)
Nồng độ khí chuẩn dải đo NO pha loãng mong muốn (trong hơi nước) (De) phải được tính như sau:
De = D x (1 - H/100)
Đối với khí thải điêzen, nồng độ hơi nước mong muốn lớn nhất trong khí thải (Hm, %) trong quá trình thử phải được dự tính với giả thiết tỉ lệ nguyên tử nhiên liệu H/C là 1,8/1 từ nồng độ khí chuẩn dải đo CO chưa pha loãng (A, như được đo tại 1.9.2.1 Phụ lục G5) như sau:
Hm = 0,9 x A
Độ dập tắt bằng nước, mà nó phải không lớn hơn 3%, phải được tính như sau:
% Độ dập tắt bằng nước = 100 x (De - C/De) x (Hm/H)
Trong đó:
De là nồng độ NO pha loãng mong muốn (ppm);
C là nồng độ CO pha loãng (ppm);
Hm là nồng độ hơi nước lớn nhất (%);
H là nồng độ hơi nước thực (%).
CHÚ THÍCH - Đối với việc kiểm tra này, khí chuẩn dải đo NO chứa nồng độ NO2 là quan trọng vì sự hấp thụ NO2 trong nước không được kể đến trong tính toán độ dập tắt.
1.10 Chu kỳ hiệu chuẩn
Các máy phân tích phải được hiệu chuẩn theo 1.5 Phụ lục G5 ít nhất ba tháng một lần hoặc bất cứ khi nào có sự sửa chữa hoặc thay đổi hệ thống mà có thể ảnh hưởng đến sự hiệu chuẩn.
2 Hiệu chuẩn hệ thống CVS
2.1 Yêu cầu chung
Hệ thống CVS phải được hiệu chuẩn bằng việc sử dụng đồng hồ đo lưu lượng chính xác có thể để lại vết theo tiêu chuẩn quốc gia hoặc quốc tế và một thiết bị hạn chế dòng. Phải đo lưu lượng đi qua hệ thống tại các mức chỉnh đặt hạn chế dòng khác nhau, và các thông số điều khiển hệ thống phải được đo và được liên hệ với lưu lượng. Có thể sử dụng các kiểu đồng hồ đo lưu lượng khác nhau, ví dụ Venturi được hiệu chuẩn, đồng hồ đo lưu lượng kiểu lớp được hiệu chuẩn, đồng hồ đo kiểu tua bin được hiệu chuẩn.
2.2 Hiệu chuẩn bơm pit tông (PDP)
Mọi thông số liên quan đến bơm phải được đo đồng thời với các thông số liên quan đến đồng hồ đo lưu lượng được lắp nối tiếp với bơm. Lưu lượng tính toán (m3/ph tại đầu vào bơm, áp suất và nhiệt độ tuyệt đối phải được vẽ ngược với hàm tương quan mà nó là giá trị của sự kết hợp cụ thể các thông số của bơm. Sau đó phải xác định phương trình tuyến tính quan hệ với lưu lượng bơm và hàm tương quan. Nếu CVS có đường truyền đa tốc thì phải thực hiện sự hiệu chuẩn đối với mỗi dải được sử dụng. Phải duy trì ổn định nhiệt độ trong quá trình hiệu chuẩn.
2.2.1 Phân tích số liệu
Lưu lượng không khí (Qs) tại mỗi mức chỉnh đặt hạn chế dòng (ít nhất 6 chỉnh đặt) phải được tính theo tiêu chuẩn (m3/ph) từ số liệu đồng hồ đo lưu lượng bằng cách sử dụng phương pháp quy định của nhà sản xuất. Lưu lượng không khí sau đó phải được biến đổi thành lưu lượng bơm (Vo) (m3/vòng) ở áp suất và nhiệt độ tuyệt đối đầu vào như sau:
![]()
Trong đó:
Qs là lưu lượng không khí ở điều kiện tiêu chuẩn (101,3 kPa, 273 K), (m3/s);
T là nhiệt độ đầu vào của bơm, (K);
pA là áp suất tuyệt đối đầu vào của bơm (pB - p1), (kPa);
n là tốc độ của bơm (vòng/s).
Để giải thích tác động lẫn nhau giữa những biến đổi áp suất tại bơm và tốc độ trượt của bơm, hàm tương quan (Xo) giữa tốc độ bơm, sai lệch áp suất đầu vào với áp suất đầu ra của bơm phải được tính như sau:
![]()
Trong đó:
DPp là sai lệch áp suất đầu vào với áp suất đầu ra của bơm (kPa);
pA là áp suất tuyệt đối đầu ra của bơm (kPa).
Phải thực hiện sự điều chỉnh bình phương bé nhất tuyến tính để có được công thức hiệu chuẩn sau:
Vo = Do - m x (Xo)
Do và m là các hằng số chắn và độ dốc mô tả các đường hồi quy.
Đối với hệ thống CVS có nhiều tốc độ, các đường cong hiệu chuẩn được tạo ra cho các dải lưu lượng bơm khác nhau phải gần như song song và các giá trị chắn (Do) phải tăng khi dải lưu lượng bơm giảm.
Các giá trị tính toán từ công thức trên phải bằng giá trị đo Vo ± 0,5%. Các giá trị m sẽ thay đổi từ bơm này sang bơm khác. Sự tràn các hạt sẽ làm cho sự trượt bơm giảm, như được phản ánh bằng các giá trị thấp đối với m. Vì vậy, sự hiệu chuẩn phải được thực hiện khí bơm khởi động, sau khi bảo dưỡng chính và nếu sự kiểm tra toàn bộ hệ thống (2.4 Phụ lục G5) cho thấy có sự thay đổi tốc độ trượt.
2.3 Hiệu chuẩn ống lưu lượng tới hạn Venturi (CFV)
Sự hiệu chuẩn CFV dựa trên cơ sở phương trình lưu lượng đối với ống Venturi tới hạn. Lưu lượng khí là một hàm của áp suất và nhiệt độ đầu vào như được nêu dưới đây:
![]()
Trong đó:
Kv là hệ số hiệu chuẩn;
pA là áp suất tuyệt đối đầu vào của ống Venturi (kPa);
T là nhiệt độ đầu vào của ống Venturi (K).
2.3.1 Phân tích số liệu
Lưu lượng không khí (Qs) tại mỗi mức chỉnh đặt hạn chế dòng (ít nhất 6 chỉnh đặt) phải được tính theo tiêu chuẩn (m3/ph) từ số liệu đồng hồ đo lưu lượng bằng cách sử dụng phương pháp quy định của nhà sản xuất. Hệ số hiệu chuẩn phải được tính theo số liệu hiệu chuẩn như sau:
![]()
Trong đó:
Qs là lưu lượng không khí ở điều kiện tiêu chuẩn (101.3 kPa, 273 K), (m3/s);
pA là áp suất tuyệt đối đầu vào của ống Venturi (kPa);
T là nhiệt độ đầu vào của ống Venturi (K).
Để xác định dải lưu lượng tới hạn, Kv phải được vẽ như một hàm của pA. Đối với lưu lượng tới hạn (nghẹt). Kv sẽ có giá trị hằng số tương đối. Khí áp suất giảm (độ chân không tăng), ống Venturi trở nên không bị nghẹt và Kv giảm, nó cho thấy rằng CFV được hoạt động bên ngoài khoảng cho phép. Đối với số điểm tối thiểu bằng 8 trong vùng lưu lượng tới hạn, Kv trung bình và độ lệch chuẩn phải được tính. Độ lệch chuẩn không được quá ±0,3% Kv trung bình.
2.4 Kiểm tra toàn bộ hệ thống
Độ chính xác tổng cộng của hệ thống CVS và hệ thống phân tích phải được xác định bằng việc đưa một khối lượng khí ô nhiễm đã biết vào hệ thống trong khi nó đang được hoạt động bình thường. Chất ô nhiễm được phân tích và khối lượng được tính theo 4.3 Phụ lục G2 trừ trường hợp prôpan có hệ số bằng 0,000472 được sử dụng thay cho HC bằng 0,000479. Phải áp dụng một trong hai kỹ thuật sau.
2.4.1 Đo bằng lỗ lưu lượng tới hạn
Một lượng khí sạch được biết trước về khối lượng (CO hoặc propan) phải được cung cấp cho hệ thống CVS qua một lỗ tới hạn đã được hiệu chuẩn. Nếu áp suất đầu vào đủ cao, lưu lượng, mà nó được điều chỉnh bằng lỗ lưu lượng tới hạn, phụ thuộc vào áp suất tại lỗ ra (lưu lượng tới hạn). Hệ thống CVS phải được hoạt động như đang ở trong một phép thử khí thải bình thường trong khoảng 5 đến 10 phút.
Một mẫu khí phải được phân tích bằng thiết bị thông dụng (túi mẫu hoặc phương pháp tích hợp), và khối lượng khí được tính toán. Vì vậy khối lượng được xác định đó phải bằng khối lượng khí được biết trước về khối lượng được phun vào ± 3%.
2.4.2 Đo bằng kỹ thuật trọng lượng
Khối lượng một ống hình trụ tròn chứa đầy CO hoặc propan phải được xác định với độ chính xác bằng ±0,01g. Hệ thống CVS phải được hoạt động như trong một phép thử khí thải bình thường đang ở trong khoảng 5 đến 10 phút trong khi NO hoặc propan được phun vào hệ thống. Lượng khí sạch xả ra phải được xác định bằng cân vi lượng. Một mẫu khí phải được phân tích bằng thiết bị thông dụng (túi mẫu hoặc phương pháp tích hợp), và khối lượng khí được tính. Vì vậy khối lượng được xác định đó phải bằng khối lượng khí được phun vào ±3%.
3 Hiệu chuẩn hệ thống đo hạt
3.1 Yêu cầu chung
Mỗi bộ phận phải được hiệu chuẩn thường xuyên để thỏa mãn các yêu cầu về độ chính xác của tiêu chuẩn này. Phương pháp hiệu chuẩn được mô tả tại đây được dùng cho các bộ phận được nêu trong điều 4 Phụ lục G4 và điều 2 của Phụ lục G6.
3.2 Đo lưu lượng
Việc hiệu chuẩn đồng hồ đo lưu lượng khí hoặc dụng cụ đo lưu lượng phải có thể để lại vết theo tiêu chuẩn quốc gia hoặc quốc tế. Sai số lớn nhất của giá trị đo phải bằng ±2% số đo. Nếu lưu lượng khí được đo bằng phép đo lưu lượng sai phân thì sai số lớn nhất của phép sai phân phải sao cho độ chính xác của GEDF là ±4% (xem 2.2.1 Phụ lục G6, EGA). Nó có thể được tính bằng cách lấy căn bậc hai của các sai số của mỗi dụng cụ.
3.3 Kiểm tra điều kiện lưu lượng từng phần
Dải vận tốc khí thải và dao động áp suất phải được kiểm tra và điều chỉnh theo yêu cầu tại 2.2.1 Phụ lục G6, EP nếu có thể
3.4 Chu kỳ hiệu chuẩn
Các dụng cụ đo lưu lượng phải được hiệu chuẩn ít nhất ba tháng một lần hoặc bất cứ khi nào có sự sửa chữa hoặc thay đổi mà có thể ảnh hưởng đến sự hiệu chuẩn.
4 Hiệu chuẩn thiết bị đo độ khói
4.1 Yêu cầu chung
Thiết bị đo độ khói phải được hiệu chuẩn thường xuyên để thỏa mãn các yêu cầu về độ chính xác của tiêu chuẩn này. Phương pháp hiệu chuẩn được mô tả tại đây được dùng cho các bộ phận được chỉ ra tại điều 5 Phụ lục G4 và điều 3 của Phụ lục G6.
4.2 Quy trình hiệu chuẩn
4.2.1 Thời gian làm ấm
Thiết bị đo độ khói phải được làm ấm và được ổn định theo hướng dẫn của nhà sản xuất. Nếu thiết bị đo độ khói có hệ thống không khí sạch để phòng ngừa sự kết muội trong các chi tiết quang của dụng cụ thì hệ thống này cũng phải được kích hoạt và điều chỉnh theo hướng dẫn của nhà sản xuất.
4.2.2 Thiết lập sự đáp trả tuyến tính
Độ tuyến tính của thiết bị đo độ khói phải được kiểm tra trong chế độ đưa ra kết quả đo theo hướng dẫn của nhà sản xuất. Ba bộ lọc tỉ trọng 0 của đường truyền đã được biết, mà nó phải đáp ứng yêu cầu tại 5.2.5 Phụ lục G4, phải được đưa vào thiết bị đo độ khói và giá trị đó được ghi lại. Các bộ lọc tỉ trọng 0 phải có độ khói danh nghĩa là gần bằng 10%, 20% và 40%.
Độ tuyến tính không được sai khác quá ±2% độ khói so với giá trị danh nghĩa của bộ lọc tỉ trọng 0. Bất cứ độ phi tuyến nào lớn hơn giá trị trên phải được hiệu chuẩn ngay trước khi thử.
4.2.3 Chu kỳ hiệu chuẩn
Các dụng cụ đo lưu lượng phải được hiệu chuẩn theo 4.2.2 Phụ lục G5 ít nhất ba tháng một lần hoặc bất cứ khi nào có sự sửa chữa hoặc thay đổi mà có thể ảnh hưởng đến sự hiệu chuẩn.
PHỤ LỤC G - PHỤ LỤC G6
(quy định)
Các hệ thống lấy mẫu và phân tích
1 Xác định chất thải dạng khí
1.1 Giới thiệu
Điều 1.2 và các Hình G6.1 và G6.2 có mô tả chi tiết về các hệ thống lấy mẫu và phân tích được khuyến nghị. Vì các cấu hình khác nhau có thể cho kết quả tương đương nên không đòi hỏi phải phù hợp chính xác với các Hình G6.1 và G6.2. Các bộ phận bổ sung như dụng cụ đo, các van, các van Sôlênôit (van từ), các bơm và các chuyển mạch có thể được sử dụng để cung cấp thông tin bổ sung và phối hợp các chức năng của các hệ thống thành phần. Các thành phần khác, mà không cần duy trì độ chính xác trên một số hệ thống, có thể được loại trừ nếu sự loại trừ của chúng dựa trên cơ sở các đánh giá kỹ thuật tốt.
1.2 Mô tả hệ thống phân tích
Hệ thống phân tích để xác định các khí thải trong khí thải thô (Hình G6.1, riêng cho ESC) hoặc khí thải được pha loãng (Hình G6.2, cho ETC và ESC) được mô tả trên cơ sở sử dụng các thiết bị sau:
- Máy phân tích HFID để đo HC;
- Máy phân tích NDIR để đo CO và CO2;
- Máy phân tích HCLD hoặc máy phân tích tương đương để đo NOx;
Mẫu cho tất cả các thành phần khí thải có thể được lấy với cùng một hoặc với hai ống lấy mẫu được đặt sát và về cơ bản là tách riêng đối với các máy phân tích khác nhau. Phải cẩn thận để tránh xảy ra sự ngưng tụ của các thành phần khí thải (gồm nước và axít sunphuarich) tại bất kỳ điểm nào của hệ thống phân tích.

Trong hình này:
Zero gas = Khí chuẩn 0; Span gas = Khí chuẩn dải đo; Vent = ống Venturi; Air = không khí; Fuel = nhiên liệu
Hình G6.1 - Sơ đồ dòng chảy của hệ thống phân tích khí thải khô CO, CO2, NOx và HC áp dụng riêng cho ESC.

Trong hình này:
Zero gas = Khí chuẩn 0; Span gas = Khí chuẩn dải đo; Vent = ống Venturi; Air = không khí; Fuel = nhiên liệu
Hình G6.2 - Sơ đồ dòng chảy của hệ thống phân tích khí thải pha loãng CO, CO2, NOx, HC (áp dụng cho ETC, tùy chọn đối với ESC)
1.2.1 Các thành phần trong Hình G6.1 và G6.2
EP = ống xả.
SP1 = ống lấy mẫu khí thải (Hình G6.1).
Đó là ống thép không gỉ, thẳng, một đầu kín và có nhiều lỗ. Đường kính trong không được lớn hơn đường kính trong của đường ống dẫn mẫu. Chiều dày ống lấy mẫu không được lớn hơn 1 mm. Phải có ít nhất ba lỗ trên ba mặt phẳng hướng kính khác nhau được xác định kích thước theo lưu lượng mẫu. Ống lấy mẫu phải được đưa vào trong ống xả từ thành ống bên này sang phía thành ống phía bên kia ít nhất bằng 80% đường kính ống xả. Có thể sử dụng một hoặc hai ống lấy mẫu.
SP2 = ống lấy mẫu HC trong khí thải pha loãng (Hình G6.2)
Ống lấy mẫu phải:
- Được xác định như một đường dẫn mẫu chịu nhiệt HSL1 thứ nhất dài từ 254 mm đến 762mm;
- có đường kính trong nhỏ nhất bằng 5 mm;
- đường lắp vào ống pha loãng DT (xem 2.3, Hình G6.20) tại điểm mà ở đó không khí pha loãng và khí thải được hòa trộn tốt với nhau (tức là cách vị trí, tại đó khí thải đi vào ống pha loãng, về phía sau theo chiều dòng khí một đoạn gần bằng 10 lần đường kính ống pha loãng);
- cách các ống lấy mẫu khác và thành ống pha loãng theo hướng kính đủ xa sao cho không bị ảnh hưởng của bất kỳ luồng sóng hoặc dòng xoáy lốc nào;
- được nung nóng để tăng nhiệt độ khí lên đến 463 K ± 10K (1900C ±100C) tại cửa ra của ống lấy mẫu.
SP3 = ống lấy mẫu khí thải pha loãng CO, CO2, NOx (Hình G6.2)
Ống lấy mẫu phải:
- cùng trong mặt phẳng của SP 2;
- cách các ống lấy mẫu khác và thành ống pha loãng theo hướng kính đủ xa sao cho không bị ảnh hưởng của bất kỳ luồng sóng hoặc dòng xoáy lốc nào;
- được nung nóng và cách nhiệt trên toàn thể chiều dài của nó tới nhiệt độ nhỏ nhất là 328 K (550C) để ngăn ngừa sự ngưng tụ nước.
HSL1 = Đường ống dẫn mẫu chịu nhiệt
Đường ống dẫn mẫu đưa mẫu khí từ ống lấy mẫu đến các điểm phân chia dòng và máy phân tích HC.
Đường ống dẫn mẫu phải:
- có đường kính trong từ 5 mm đến 13,5 mm;
- được làm bằng thép không gỉ hoặc PTFE.
- duy trì nhiệt độ thành ống bằng 463 K ± 10K (1900C ± 100C) khi được đo ở mỗi đoạn nung nóng được điều khiển tách biệt nếu nhiệt độ khí thải tại ống lấy mẫu không quá 463K ±10K (1900C ± 100C);
- duy trì nhiệt độ thành ống cao hơn 453 K (1800C) nếu nhiệt độ khí thải tại ống lấy mẫu cao hơn 463 K (1900C);
- duy trì nhiệt độ khí bằng 463 K ± 10 K (1900C ± 100C) ngay trước bộ lọc chịu nhiệt F2 và HFID;
HSL2 = Đường ống dẫn mẫu NOx chịu nhiệt
Đường ống dẫn mẫu phải:
- duy trì nhiệt độ thành ống bằng 328 K đến 473 K ± 10 K (550C đến 2000C) cho đến tận bộ biến đổi C khi sử dụng bể làm mát B, và cho đến tận máy phân tích khi không sử dụng bể làm mát B.
- được làm bằng thép không gỉ hoặc PTFE.
SL = Đường ống dẫn mẫu CO và CO2.
Đường ống phải được làm bằng thép không gỉ hoặc PTFE. Nó có thể là loại chịu nhiệt hoặc không chịu nhiệt.
BK = Túi mẫu nền (tùy chọn; Hình G6.2)
Để lấy mẫu các nồng độ nền
BG = Túi mẫu (tùy chọn; Hình G6.2, CO và CO2)
Để lấy mẫu các nồng độ mẫu.
F1 = Bộ lọc chính chịu nhiệt
Nhiệt độ phải bằng nhiệt độ của HSL1.
F2 = Bộ lọc chịu nhiệt
Bộ lọc phải lấy được mọi hạt rắn từ mẫu khí trước máy phân tích. Nhiệt độ phải bằng nhiệt độ của HSL1.
Khi cần phải thay bộ lọc.
P = Bơm lấy mẫu chịu nhiệt
Bơm phải được làm nóng tới nhiệt độ của HSL1.
HC = HFID để xác định HC.
Nhiệt độ phải được giữ trong khoảng 453 K đến 473 K (1800C đến 2000C).
CO, CO2 = máy phân tích NDIR để xác định CO và CO2 (tùy chọn để xác định tỉ lệ pha loãng khi đo PT).
NO = máy phân tích CLD hoặc HCLD để xác định NOx.
Nếu HCLD được sử dụng, nó phải được giữ ở nhiệt độ từ 328 K đến 473 K (550C đến 2000C)
C = Bộ biến đổi
Bộ biến đổi phải được dùng để giảm NO2 thành NO theo kiểu xúc tác trước khi phân tích trong CLD hoặc HCLD.
B = Bể làm mát (tùy chọn)
Để làm mát và ngưng tụ nước từ mẫu khí thải. Bể phải được duy trì nhiệt độ từ 273 K đến 277K (00C đến 40C) bằng nước đá hoặc làm lạnh. Nó là tùy chọn nếu máy phân tích không có nhiễu hơi nước như được xác định tại 1.9.1 và 1.9.2 Phụ lục G5. Nếu nước được khử bởi sự ngưng tụ, nhiệt độ khí mẫu hoặc điểm sương phải được kiểm tra trong bẫy nước hoặc cuối dòng. Nhiệt độ khí mẫu hoặc điểm sương không được lớn hơn 280 K (70C). Không được phép dùng máy sấy khô hóa học để khử nước khỏi mẫu.
T1, T2, T3 = Cảm biến nhiệt độ
Để kiểm tra nhiệt độ dòng khí.
T4 = Cảm biến nhiệt độ.
Để kiểm tra nhiệt độ bộ biến đổi NO2 - NO.
T5 = Cảm biến nhiệt độ
Để kiểm tra nhiệt độ bể làm mát.
G1, G2, G3 = Đồng hồ đo áp suất
Để đo áp suất trong các đường ống dẫn mẫu
R1, R2 = Bộ điều áp
Để điều khiển áp suất không khí và nhiên liệu cho HFID.
R3, R4, R5 = Bộ điều áp
Để điều khiển áp suất trong các đường ống dẫn mẫu và dòng khí vào máy phân tích.
FL1, FL2, FL3 = Đồng hồ đo lưu lượng
Để kiểm tra lưu lượng mẫu đi qua.
FL4 đến FL6 = Đồng hồ đo lưu lượng (tùy chọn)
Để kiểm tra lưu lượng đi qua máy phân tích
V1 đến V5 = Van chọn
Phù hợp cho việc chọn lọc lưu lượng mẫu, khí chuẩn dải đo hoặc khí 0 vào máy phân tích.
V6, V7 = Van Solenoid
Để đi vòng qua bộ biến đổi NO2 - NO.
V8 = Van kim
Để cân bằng lưu lượng đi qua và không đi qua bộ biến đổi NO2 - NO.
V9, V10 = Van kim
Để điều khiển lưu lượng vào máy phân tích.
V11, V12 = Van khuỷu (tùy chọn)
Để tháo nước ngưng tụ ra khỏi bể B.
1.3 Phân tích NMHC (chỉ cho động cơ nhiên liệu NG)
1.3.1 Phương pháp sắc ký khí (GC, Hình G6.3)
Khi sử dụng phương pháp GC, một thể tích mẫu nhỏ được đo được phun lên trên cột phân tích mà trong cột đó nó được quét bởi một khí trơ. Cột đó tách biệt các thành phần khác nhau theo các điểm sôi của chúng để chúng rửa sạch khỏi cột đó tại các thời điểm khác nhau. Sau đó các khí này đi qua một bộ dò có phát ra tín hiệu điện, tín hiệu này phụ thuộc vào nồng độ của chúng. Vì nó không phải là một kỹ thuật phân tích liên tục, nó chỉ có thể được dùng kết hợp với phương pháp lấy mẫu bằng túi như mô tả tại 3.4.2 Phụ lục G4.
Đối với NMHC, phải sử dụng phương pháp GC tự động với một FID. Khí thải phải được lấy mẫu vào túi mẫu mà từ đó một phần phải được trích ra và phun vào HC. Mẫu đó được tách thành hai phần (CH4/không khí/CO và NMHC/CO2/H2O) trên cột Porapak. Cột sàng phân tử tách CH4 khỏi không khí và CO trước khi qua nó đi vào FID để đo nồng độ của nó. Một chu trình đầy đủ từ khi phun một mẫu đến khi phun lần hai có thể được làm trong 30s. Để xác định NMHC, phải trừ nồng độ CH4 ra khỏi nồng độ tổng HC (xem 4.3.1 Phụ lục G2).
Hình G6.3 cho thấy một GC điển hình để xác định CH4 một cách thông thường. Các phương pháp GC khác cũng có thể được dùng trên cơ sở đánh giá kỹ thuật tốt.

Hình G6.3 - Sơ đồ dòng chảy để phân tích CH4 (phương pháp GC)
Các thành phần của Hình G6.3
PC = cột Porapak
Porapak N, 180/300 mm (mắt lưới 50/80), dài 610 mm x đường kính trong 2,16 mm phải được sử dụng và được điều hòa ít nhất 12 h ở 423 K (1500C) cùng với khí mang trước khi bắt đầu sử dụng.
MSC = cột sàng phân tử
Kiểu 13X, 250/350 mm (mắt lưới 45/60), dài 1220 mm x đường kính trong 2,16 mm phải được sử dụng và được điều hòa ít nhất 12 h ở 423 K (1500C) cùng với khí chuyên chở trước khi bắt đầu sử dụng.
OV = lò nung
Dể duy trì các cột và các van ở nhiệt độ ổn định cho máy phân tích hoạt động, và để điều hòa các cột ở nhiệt độ 423 K (1500C).
SLP = vòng lấy mẫu
Một ống thép không gỉ đủ dài để đạt được thể tích 1 cm3.
P = bơm
Để đưa mẫu vào máy sắc kí khí.
D = máy sấy
Phải sử dụng máy sấy có sàng phân tử để khử nước và các tạp chất khác có thể có trong khí chuyên chở.
HC = FID để đo nồng độ CH4.
V1 = Van phun mẫu
Để phun mẫu lấy từ túi mẫu qua SL của Hình G6.2. Nó phải là loại thể tích không làm việc thấp, kín khí và có thể chịu được nhiệt tới 423 K (1500C)
V3 = Van chọn
Để chọn khí chuẩn dải đo, mẫu, hoặc chặn dòng chảy.
V2, V4, V5, V6, V7, V8 = Van kim để chỉnh đặt lưu lượng cho hệ thống
R1, R2, R3 = Bộ điều áp
Theo thứ tự, là các van để điều khiển lưu lượng nhiên liệu (= khí chuyên chở), mẫu và không khí.
FC = ống lưu lượng mao dẫn
Để điều khiển lưu lượng không khí vào FID.
G1, G2, G3 = Đồng hồ đo áp suất
Theo thứ tự, là các van, để điều khiển lưu lượng nhiên liệu (= khí chuyên chở), mẫu và không khí.
F1, F2, F3, F4, F5 = bộ lọc
Các bộ lọc làm bằng kim loại thiêu kết để ngăn sạn cát không đi vào bơm hoặc dụng cụ.
FL1 = Đồng hồ đo lưu lượng
Để đo lưu lượng mẫu không đi qua.
1.3.2 Phương pháp cắt không dùng mê tan (NMC, Hình G6.4)
Thiết bị cắt ôxi hóa mọi HCx trừ CH4 thành CO2 và H2O sao cho, bằng việc cho mẫu đi qua NMC, chỉ CH4 bị phát hiện bởi FID. Nếu túi lấy mẫu được sử dụng, một hệ thống làm trệch hướng dòng phải được lắp ở SL (xem 1.2, Hình G6.2) mà với nó lưu lượng có thể luân phiên đi qua hoặc đi vòng quanh máy cắt theo phần phía trên của Hình G6.4. Để đo NMHC, cả hai giá trị (HC và CH4) phải được kiểm tra trên FID và được ghi lại. Nếu phương pháp tích hợp được sử dụng, NMC cùng với FID thứ hai phải được lắp song song với FID thông thường vào HSL1 (xem 1.2, Hình G6.2) theo phần thấp hơn của Hình G6.4. Để đo NMHC, các giá trị của hai FID (HC và CH4) phải được kiểm tra và được ghi lại.
Trước khi thử, máy cắt phải được xác định rõ đặc tính ở 600 K (3270C) liên quan tới hiệu ứng xúc tác của nó trên CH4 và C2H6 tại các giá trị H2O đại diện cho các điều kiện dòng khí thải. Điểm sương và mức O2 của dòng khí được lấy mẫu phải được biết. Sự đáp trả tương đối của FID đối với CH4 phải được ghi lại (xem 1.8.2 Phụ lục G5).

Hình G6.4 - Sơ đồ dòng chảy để phân tích khí CH4 với máy cắt không dùng mê tan (NMC)
Các thành phần của Hình G6.4
NMC = Máy cắt không dùng mê tan
Để ôxy hóa mọi HCx trừ mê tan.
HC = HFID
Để đo nồng độ HC và CH4. Nhiệt độ phải được giữ trong khoảng từ 453 K đến 473 K (1800C đến 2000C)
V1 = Van chọn
Để chọn mẫu, khí 0 và khí chuẩn dải đo. V1 giống V2 của Hình G6.2.
V2, V3 = Van Solenoid
Để đi vòng qua NMC.
V4 = Van kim
Để cân bằng lưu lượng qua và đi vòng qua NMC
R1 = Bộ điều áp
Để điều khiển áp suất trong đường ống dẫn mẫu và lưu lượng qua HFID. R1 giống R3 của Hình G6.2
FL1 = Đồng hồ đo lưu lượng
Để đo lưu lượng mẫu đi vòng qua. FL1 giống FL1 của Hình G6.2.
2 Pha loãng khí thải và xác định các hạt
2.1 Mở đầu
Các điều 2.2, 2.3 và 2.4 và các Hình G6.5 đến Hình G6.16 có mô tả chi tiết của các hệ thống lấy mẫu và pha loãng được giới thiệu. Vì các cấu hình khác nhau có thể cho kết quả tương đương nên không đòi hỏi phải phù hợp chính xác với các hình này. Các bộ phận bổ sung như dụng cụ đo, các van, Sôlênôit, các bơm và các cơ cấu chuyển mạch có thể được sử dụng để cung cấp thông tin bổ sung và phối hợp các chức năng của các hệ thống thành phần. Các thành phần khác không cần để duy trì độ chính xác trên một số hệ thống có thể được loại trừ nếu sự loại trừ chúng dựa trên cơ sở các đánh giá kỹ thuật tốt.
2.2 Hệ thống pha loãng lưu lượng một phần
Hệ thống pha loãng được mô tả trong các Hình từ G6.5 đến G6.13 dựa trên cơ sở pha loãng một phần của dòng khí thải. Việc tách dòng khí thải và quá trình pha loãng tiếp theo có thể được thực hiện bởi các loại hệ thống pha loãng khác nhau. Đối với việc thu gom các hạt sau đó, toàn bộ khí thải pha loãng hoặc chỉ một phần của khí thải pha loãng được đi qua hệ thống lấy mẫu hạt (2.4, Hình G6.15). Phương pháp thứ nhất là kiểu lấy mẫu toàn phần, phương pháp thứ hai là kiểu lấy mẫu một phần.
Việc tính tỉ lệ pha loãng phụ thuộc vào kiểu lấy mẫu được sử dụng. Sau đây là các kiểu lấy mẫu:
Các hệ thống đẳng động học (Hình G6.5, 6)
Với các hệ thống này, lưu lượng vào ống chuyển được làm phù hợp với lưu lượng khí thải lớn hơn trong các điều kiện vận tốc và/hoặc áp suất khí, vì vậy dòng khí thải tại ống lấy mẫu phải đồng nhất và không bị chảy rối.Việc này đạt được thường là do sử dụng một bộ cộng hưởng và một ống tiếp cận thẳng phía trước điểm lấy mẫu. Tỉ lệ tách sau đó được tính theo các giá trị có thể đo được dễ dàng, như các đường kính ống.
Cần chú ý rằng đẳng động học chỉ được dùng để làm phù hợp các trạng thái lưu lượng chứ không làm phù hợp sự phân bố kích thước. Trường hợp sau là không cần thiết vì các hạt đủ nhỏ để đi theo dòng chất lỏng.
Các hệ thống điều khiển lưu lượng bằng việc đo nồng độ (các Hình từ G6.7 đến G6.11)
Với các hệ thống này, một mẫu được lấy từ dòng khí thải lớn do điều chỉnh lưu lượng không khí pha loãng và toàn bộ lưu lượng khí thải pha loãng. Tỉ lệ pha loãng được xác định theo nồng độ của các khí để lại vết, như CO2 hoặc NOx, xảy ra tự nhiên trong khí thải động cơ. Các nồng độ trong khí thải pha loãng và trong không khí pha loãng được đo, mặc dù nồng độ trong khí thải thô có thể được đo trực tiếp hoặc được xác định theo lưu lượng nhiên liệu và phương trình cân bằng các bon nếu thành phần nhiên liệu được biết. Các hệ thống có thể được điều khiển bằng tỉ lệ pha loãng được tính (Hình G6.7, 8) hoặc bằng lưu lượng vào ống chuyển (các Hình G6.6, 7, 8)
Các hệ thống điều khiển lưu lượng bằng việc đo lưu lượng (các Hình từ G6.12 và 13)
Với các hệ thống này, một mẫu được lấy từ dòng khí thải lớn bằng việc chỉnh đặt lưu lượng không khí pha loãng và lưu lượng khí thải pha loãng. Tỉ lệ pha loãng được xác định theo sự sai khác của hai lưu lượng đó. Cần phải hiệu chuẩn chính xác các đồng hồ đo lưu lượng so với một đồng hồ khác, vì độ lớn tương đối của hai lưu lượng đó có thể dẫn đến sai số đáng kể tại các tỉ lệ pha loãng cao hơn (≥ 15). Việc điều khiển lưu lượng rất dễ bằng việc giữ cho tỉ lệ lưu lượng khí thải pha loãng không đổi và thay đổi tỉ lệ không khí pha loãng nếu cần.
Khi sử dụng các hệ thống pha loãng một phần phải chú ý tránh các vấn đề tổn thất các hạt trong ống chuyển tiềm tàng, bảo đảm rằng một mẫu đại diện được lấy từ khí thải động cơ và chú ý đến việc xác định tỉ lệ tách. Các hệ thống được mô tả chú ý đến các vùng quan trọng này.

Hình G6.5 - Hệ thống pha loãng một phần với ống lấy mẫu đẳng động học và lấy mẫu một phần (điều khiển SB)
Khí thải thô được chuyển từ ống xả EP đến đường ống pha loãng DT qua ống chuyển TT bằng ống lấy mẫu đẳng động học ISP. Áp suất khí thải sai phân giữa ống xả và đầu vào ống lấy mẫu được đo với bộ chuyển áp suất DPT. Tín hiệu này được truyền tới bộ điều khiển lưu lượng FC1 điều khiển quạt hút SB để duy trì áp suất sai phân bằng 0 tại đầu mút ống lấy mẫu. Dưới ba điều kiện này, vận tốc khí thải trong EP và ISP là bằng nhau, và lưu lượng qua ISP và TT là phần không đổi (được tách) của lưu lượng khí thải. Tỉ lệ tách được xác định theo các diện tích tiết diện ngang của EP và ISP. Tỉ lệ lưu lượng không khí pha loãng được đo với thiết bị đo lưu lượng FM1. Tỉ lệ pha loãng được tính theo tỉ lệ lưu lượng không khí pha loãng và tỉ lệ tách.

Hình G6.6 - Hệ thống pha loãng một phần với ống lấy mẫu đẳng động học và lấy mẫu một phần (điều khiển PB)
Khí thải thô được chuyển từ ống xả EP đến đường ống pha loãng DT qua ống chuyển TT bằng ống lấy mẫu đẳng động học ISP. Áp suất sai phân của khí thải giữa ống xả và đầu vào ống lấy mẫu được đo với bộ chuyển áp suất DPT. Tín hiệu này được truyền tới bộ điều khiển lưu lượng FC1 điều khiển quạt đẩy FB để duy trì áp suất sai phân bằng 0 tại đầu mút ống lấy mẫu. Việc này được thực hiện bằng cách lấy một phần nhỏ của không khí pha loãng mà lưu lượng của nó đã được đo với thiết bị đo lưu lượng FM1 rồi và bằng việc cung cấp nó cho TT qua vòi phun khí nén. Dưới ba điều kiện này, vận tốc khí thải EP và ISP là bằng nhau, và lưu lượng qua ISP và TT là phần không đổi (được tách) của lưu lượng khí thải. Tỉ lệ tách được xác định theo các diện tích tiết diện ngang của EP và ISP. Không khí pha loãng được hút qua DT bằng quạt hút SB, và tỉ lệ lưu lượng không khí pha loãng được đo với thiết bị đo lưu lượng FM1 tại đầu vào của DT Tỉ lệ pha loãng được tính theo tỉ lệ lưu lượng không khí pha loãng và tỉ lệ tách.

Hình G6.7 - Hệ thống pha loãng một phần với việc đo nồng độ CO2 hoặc NOx và lấy mẫu một phần
Khí thải thô được chuyển từ ống xả EP đến đường ống pha loãng DT bằng ống lấy mẫu SP và ống chuyển TT. Các nồng độ của khí vết (CO2 hoặc NOx) được đo trong khí thải thô và khí thải được pha loãng cũng như trong không khí pha loãng với máy phân tích EGA. Các tín hiệu này được truyền tới bộ điều khiển lưu lượng FC2 điều khiển quạt đẩy PB hoặc quạt hút SB để duy trì tỉ lệ tách khí thải mong muốn và tỉ lệ pha loãng trong DT. Tỉ lệ pha loãng được tính theo nồng độ của khí vết trong khí thải thô, khí thải được pha loãng và không khí pha loãng.

Hình G6.8 - Hệ thống pha loãng một phần với việc đo nồng độ CO, cân bằng cacbon và lấy mẫu toàn phần
Khí thải thô được chuyển từ ống xả EP đến đường ống pha loãng DT bằng ống lấy mẫu SP và ống chuyển TT. Các nồng độ của CO2 được đo trong khí thải được pha loãng và không khí pha loãng với máy phân tích EGA. Các tín hiệu CO2 và lưu lượng nhiên liệu GFUEL được truyền tới bộ điều khiển lưu lượng FC2 hoặc FC3 của hệ thống lấy mẫu hạt (xem Hình G6.15), FC2 điều khiển quạt đẩy PB, FC3 điều khiển bơm P (xem Hình G6.15), bằng cách điều chỉnh lưu lượng vào và ra khỏi hệ thống để duy trì tỉ lệ tách khí thải mong muốn và tỉ lệ pha loãng trong DT. Tỉ lệ pha loãng được tính theo nồng độ của CO2 và GFUEL bằng việc sử dụng giả thiết cân bằng cacbon.

Hình G6.9 - Hệ thống pha loãng một phần với ống Venturi đơn, đo nồng độ CO và lấy mẫu một phần
Khí thải thô được chuyển từ ống xả EP đến đường ống pha loãng DT bằng ống lấy mẫu SP và ống chuyển TT do áp suất âm được tạo ra bởi ống Venturi VN trong DT. Lưu lượng khí qua TT phụ thuộc vào trao đổi xung lượng tại vùng Venturi và do đó bị ảnh hưởng bởi áp suất tuyệt đối tại cửa ra của TT. Các nồng độ của khí vết (CO hoặc NO) được đo trong khí thải thô, khí thải pha loãng và không khí pha loãng với máy phân tích EGA và tỉ lệ pha loãng được tính theo các giá trị được đo đó.

Hình G6.10 - Hệ thống pha loãng một phần với ống Venturi kép hoặc lỗ hạn chế kép, đo nồng độ và lấy mẫu một phần
Khí thải thô được chuyển từ ống xả EP đến đường ống pha loãng DT qua ống lấy mẫu SP và ống chuyển TT bởi một thiết bị chia lưu lượng có một tập hợp các lỗ hạn chế hoặc ống Venturi. Thiết bị chia thứ nhất (FD1) được đặt trong EP, cái thứ hai (FD2) đặt trong TT. Ngoài ra, hai van điều khiển áp suất (PCV1 và PCV2) cần thiết để duy trì sự tách khí thải không đổi bằng việc điều khiển áp suất ngược trong EP và áp suất trong DT. PCV1 được đặt sau SP trong EP, PCV2 ở giữa quạt thổi PB và DT. Các nồng độ của khí vết (CO hoặc NO) được đo trong khí thải thô, khí thải pha loãng và không khí pha loãng bằng máy phân tích EGA. Chúng cần thiết để kiểm tra sự tách khí thải và có thể được dùng để điều chỉnh PCV1 và PCV2 đối với sự điều khiển tách dòng chính xác. Tỉ lệ pha loãng được tính theo các nồng độ khí vết.

Hình G6.11 - Hệ thống pha loãng một phần với đa ống tách, đo nồng độ và lấy mẫu một phần
Khí thải thô được chuyển từ ống xả EP đến đường ống pha loãng DT qua ống chuyển TT bởi một thiết bị chia lưu lượng FD3 có các ống cùng kích thước (đường kính, chiều dài và bán kính cong) được lắp trong EP. Khí thải được dẫn vào DT qua một trong các ống này, và khí thải qua phần còn lại của các ống được cho đi qua buồng ẩm DC. Vì vậy, sự tách khí thải được xác định bằng tổng số các ống. Sự điều khiển việc tách không đổi cần phải có áp suất sai phân bằng 0 giữa DC và miệng ra của TT, áp suất này được đo với bộ chuyển áp suất sai phân. Các nồng độ của khí vết (CO hoặc NO) được đo trong khí thải thô, khí thải pha loãng và không khí pha loãng với máy phân tích EGA. Chúng cần thiết để kiểm tra sự tách khí thải và có thể được dùng để điều khiển lưu lượng không khí phun để điều khiển tách dòng chính xác. Tỉ lệ pha loãng được tính theo các nồng độ khí vết.

Hình G6.12 - Hệ thống pha loãng một phần bằng điều khiển lưu lượng và lấy mẫu toàn phần
Khí thải thô được chuyển từ ống xả EP đến đường ống pha loãng DT qua ống lấy mẫu SP và ống chuyển TT. Lưu lượng toàn phần qua đường ống được điều chỉnh bởi bộ điều khiển lưu lượng FC3 và bơm lấy mẫu P của hệ thống lấy mẫu hạt (xem Hình G6.12). Lưu lượng không khí pha loãng được điều khiển bởi bộ điều khiển lưu lượng FC2 mà nó có thể sử dụng GEXHW, GAIRW, hoặc GFUEL như các tín hiệu lệnh đối với việc tách khí thải mong muốn. Lưu lượng mẫu vào DT là sự sai lệch của lưu lượng toàn phần với lưu lượng không khí pha loãng. Lưu lượng không khí pha loãng được đo bằng thiết bị đo lưu lượng FM1, lưu lượng toàn phần được đo bằng FM3 của hệ thống lấy mẫu hạt (xem Hình G6.15). Tỉ lệ pha loãng được tính theo hai lưu lượng này.

Hình G6.13 - Hệ thống pha loãng một phần bằng điều khiển lưu lượng và lấy mẫu toàn phần
Khí thải thô được chuyển từ ống xả EP đến đường ống pha loãng DT qua ống lấy mẫu SP và ống chuyển TT. Sự tách khí thải và lưu lượng vào DT được điều khiển bởi bộ điều khiển lưu lượng FC2 mà nó điều chỉnh lưu lượng (hoặc tốc độ) của quạt thổi PB và quạt hút SB một cách phù hợp. Điều này là có thể vì mẫu được lấy bằng hệ thống lấy mẫu hạt được trở lại vào DT toàn phần qua đường ống được điều chỉnh bởi bộ điều khiển FC3 và bơm lấy mẫu P của (xem Hình G6.12). Có thể sử dụng GEXHW, GAIRW, hoặc GFUEL như các tín hiệu lệnh đối với FC2. Lưu lượng không khí pha loãng được đo bằng thiết bị đo lưu lượng FM1, lưu lượng toàn phần được đo bằng FM2. Tỉ lệ pha loãng được tính theo hai lưu lượng này.
2.2.1 Các bộ phận trong các Hình từ G6.5 đến G6.13
EP = ống xả
Ống xả có thể được cách nhiệt. Để giảm quán tính nhiệt của ống xả, tỉ lệ giữa độ dày và đường kính ống xả nên nhỏ hơn hoặc bằng 0,015. Việc dùng các đoạn ống mềm phải được hạn chế theo tỉ lệ giữa chiều dài và đường kính ống nhỏ hơn hoặc bằng 12. Phải tối thiểu hóa các đoạn ống cong để giảm sự lắng đọng do quán tính. Đối với hệ thống đẳng động học, ống xả phải không bị gấp khúc, bị cong và thay đổi đường kính đột ngột trong đoạn mà tiết diện phía trước và tiết diện phía sau (theo chiều dòng chảy) cách đầu mút ống lấy mẫu, theo thứ tự, bằng 6 lần đường kính ống và 3 lần đường kính ống. Vận tốc khí tại vùng lấy mẫu phải lớn hơn 10 m/s trừ chế độ không tải. Dao động áp suất của khí thải phải không quá ±500 Pa so với giá trị trung bình. Mọi biện pháp làm giảm dao động áp suất trừ khi dùng hệ thống xả kiểu khung (gồm bộ tiêu âm và các thiết bị xử lý khí thải sau) không được làm thay đổi đặc tính động cơ và không được gây ra sự lắng đọng các hạt. Đối với hệ thống không có ống lấy mẫu đẳng động học, đoạn ống cách đầu mút ống lấy mẫu một đoạn bằng 6 lần đường kính về phía trước và 3 lần đường kính ống về phía sau được nói ở trên nên thẳng.
SP = ống lấy mẫu khí thải (các Hình G6.4, 8, 9, 10, 12, 13)
Đường kính trong nhỏ nhất bằng 4 mm. Tỉ lệ giữa các đường kính nhỏ nhất của ống xả và của ống lấy mẫu phải bằng 4. Ống lấy mẫu phải là ống hở quay về phía trước dòng chảy trên đường tâm ống xả, hoặc là một đầu kín và có nhiều lỗ như mô tả dưới SP1 tại 1.2.1, Hình G6.1).
ISP = ống lấy mẫu đẳng động học (các Hình G6.5, 6)
Ống lấy mẫu đẳng động học phải được lắp quay về phía trước dòng chảy trên đường tâm ống xả nơi mà các điều kiện dòng chảy trong đoạn nói về EP được đáp ứng, và phải được thiết kế để lấy mẫu một phần của khí thải thô. Đường kính trong nhỏ nhất phải bằng 12 mm. Cần có một hệ thống điều khiển việc tách khí thải đẳng động học bằng việc duy trì áp suất sai phân giữa EP và ISP bằng 0. Trong các điều kiện này, vận tốc khí thải trong EP và ISP bằng nhau và lưu lượng khối lượng qua ISP là một phần không đổi của lưu lượng khí thải. ISP phải được nối với bộ biến năng áp suất sai phân DPT. Việc điều khiển được thực hiện bởi bộ điều khiển lưu lượng FC1 để áp suất sai phân giữa EP và ISP bằng 0.
FD1, FD2 = Bộ chia lưu lượng (Hình G6.10)
Một bộ các ống Venturi hoặc các lỗ hạn chế được lắp trong ống xả EP và trong ống chuyển TT để cung cấp sự lấy mẫu một phần trong khí thải thô. Hệ thống điều khiển gồm hai van điều khiển áp suất PCV1 và PCV2 là cần thiết cho việc tách một phần bởi việc điều khiển áp suất trong EP và DT.
FD3 = Bộ chia lưu lượng (Hình G6.11)
Một bộ các ống (thiết bị đa ống) được lắp trong ống xả EP để cung cấp sự lấy mẫu một phần trong khí thải thô. Một trong các ống cung cấp khí thải cho đường ống pha loãng DT trong khi các ống khác đưa khí thải thoát ra và đi vào buồng ẩm DC. Các ống thải cùng kích thước (đường kính, chiều dài và bán kính cong) để việc tách khí thải phụ thuộc vào tổng số ống. Hệ thống điều khiển là cần thiết cho việc tách một phần qua việc duy trì áp suất sai phân giữa cửa thoát của thiết bị đa ống đi vào DC và cửa thoát của TT bằng 0. Trong các điều kiện này, vận tốc khí thải trong EP và FD3 tỉ lệ thuận, và lưu lượng TT là một phần không đổi của lưu lượng khí thải. Hai điểm đó phải được nối với bộ biến năng áp suất sai phân DPT. Việc điều khiển được thực hiện bởi bộ điều khiển lưu lượng FC1 để áp suất sai phân bằng 0.
EGA = máy phân tích khí thải (các Hình G6.7 đến G6.11)
Các máy phân tích CO2 hoặc NOx có thể được sử dụng (chỉ với phương pháp cân bằng cacbon cho CO2). Các máy phân tích phải được hiệu chuẩn giống như máy phân tích để đo khí ô nhiễm. Một hoặc một vài máy phân tích có thể được sử dụng để xác định các sai lệch nồng độ. Độ chính xác của các hệ thống đo phải sao cho để độ chính xác của GEDFW,i là ±4%.
TT = ống chuyển (các Hình G6.5 đến G6.13)
Ống chuyển phải như sau:
- Càng ngắn càng tốt, chiều dài ≤ 5m;
- Đường kính không nhỏ hơn đường kính ống lấy mẫu nhưng ≤ 25 mm;
- Thoát ra trên đường tâm của ống pha loãng và hướng về phía sau;
Nếu chiều dài ống ≤1 m, nó phải được cách nhiệt bằng vật liệu có độ dẫn nhiệt bằng 0,05 W/m.K với độ dày cách nhiệt hướng kính tương ứng với đường kính của ống lấy mẫu. Nếu ống dài hơn 1 m thì nó phải được cách nhiệt và được làm nóng tới nhiệt độ của vách ống nhỏ nhất bằng 523 K (2500C)
DPT = Bộ biến năng áp suất sai phân (các Hình G6.5, 6 và G6.11)
Bộ biến năng áp suất sai phân phải có dải áp suất bằng ±500 Pa hoặc nhỏ hơn.
FC1 = Bộ điều khiển lưu lượng (các Hình G6.5, 6 và G6.11)
Đối với các hệ thống đẳng động học (các Hình G6.5, 6), bộ điều khiển lưu lượng là cần thiết để duy trì áp suất sai phân giữa EP và ISP bằng 0. Việc điều chỉnh có thể được làm bằng các cách sau:
(a) điều khiển tốc độ hoặc lưu lượng của quạt hút SB và giữ tốc độ hoặc lưu lượng của quạt thổi PB không thay đổi trong quá trình thực hiện từng chế độ (Hình G6.5).
(b) điều chỉnh quạt hút SP để có lưu lượng khối lượng của khí thải pha loãng không đổi và điều khiển lưu lượng của quạt thổi PB, và do đó cả lưu lượng mẫu khí thải trong vùng ở cuối ống chuyển TT (Hình G6.6)
Trong trường hợp hệ thống điều khiển áp suất, sai số trong vòng lặp điều khiển phải không quá ±3 Pa. Dao động áp suất trung bình trong ống pha loãng phải không quá ±250 Pa. Đối với hệ thống đa ống (Hình G6.11), bộ điều khiển lưu lượng là cần thiết cho việc tách khí thải theo tỉ lệ để duy trì áp suất sai phân giữa cửa thoát và bộ đa ống bằng 0. Việc điều chỉnh được thực hiện bằng việc điều khiển tỉ lệ lưu lượng phun không khí vào DT tại cửa ra của TT.
PCV1, PCV2 = Van điều khiển áp suất (Hình G6.10).
Hai van điều khiển áp suất cần thiết cho hệ thống ống Venturi kép/lỗ hạn chế kép để tách lưu lượng theo tỉ lệ bằng việc điều khiển áp suất ngược của EP và áp suất trong DT. Các van phải được đặt sau SP trong EP và ở giữa PB và DT.
DC = Buồng ẩm (Hình G6.11).
Buồng ẩm phải được lắp tại cửa ra của bộ đa ống để tối thiểu hóa dao động áp suất trong EP.
VN = ống Venturi (Hình G6.9)
Ống Venturi được lắp trong ống pha loãng DT để tạo ra áp suất âm trong vùng tại cửa thoát của ống chuyển TT. Lưu lượng khí qua TT được xác định bằng sự trao đổi động lượng tại vùng ống Venturi, và về cơ bản là tỉ lệ với lưu lượng của quạt thổi PB dẫn đến tỉ lệ pha loãng không đổi. Vì sự trao đổi động lượng bị ảnh hưởng bởi nhiệt độ tại cửa ra của TT và sai lệch áp suất giữa EP và DT nên tỉ lệ pha loãng thực khi thải thấp thấp hơn một chút khi tải cao.
FC2 = Bộ điều khiển lưu lượng (các Hình G6.7, 8 và G6.12, 13; tùy chọn)
Bộ điều khiển lưu lượng có thể được sử dụng để điều khiển lưu lượng của quạt thổi PB và/hoặc quạt hút SB. Nó có thể được liên hệ với các tín hiệu lưu lượng khí thải, không khí nạp hoặc nhiên liệu và/hoặc các tín hiệu sai phân CO2 hoặc NOx. Khi sử dụng sự cung cấp không khí nén (hình G6.12), FC2 điều khiển trực tiếp lưu lượng không khí.
FM1 = Thiết bị đo lưu lượng (các Hình G6.5, 6 và G6.12, 13)
Đồng hồ đo khí hoặc dụng cụ đo lưu lượng khác để đo lưu lượng không khí pha loãng. FM1 là tùy chọn nếu quạt thổi PB được hiệu chuẩn để đo lưu lượng.
FM2 = Thiết bị đo lưu lượng (Hình G6.13)
Đồng hồ đo khí hoặc dụng cụ đo lưu lượng khác để đo lưu lượng không khí pha loãng. FM2 là tùy chọn nếu quạt húti SB được hiệu chuẩn để đo lưu lượng.
PB = Quạt thổi (các Hình G6.5 đến G6.10, G6.13)
Để điều khiển tỉ lệ lưu lượng không khí pha loãng, PB có thể được nối với các bộ điều khiển lưu lượng FC1 và FC2. Khi sử dụng van bướm thì không cần PB. PB có thể được sử dụng để đo lưu lượng không khí pha loãng nếu được hiệu chuẩn.
SB = Quạt hút (các Hình G6.5 đến G6.11, G6.13)
Chỉ dùng cho hệ thống lấy mẫu một phần. SB có thể được dùng để đo lưu lượng khí thải pha loãng nếu được hiệu chuẩn.
DAF = Bộ lọc không khí pha loãng (các Hình G6.5 đến G6.13).
Không khí pha loãng nên được lọc và loại trừ than để loại bỏ các HC nền. Theo đề nghị của nhà sản xuất động cơ, không khí pha loãng phải được lấy mẫu theo quy định để xác định các mức hạt nền mà chúng sau đó có thể được trừ đi khỏi các giá trị được đo trong khí thải pha loãng.
DT = ống pha loãng (các Hình từ G6.5 đến G6.13)
Ống pha loãng phải:
- có chiều dài đủ để tạo ra sự hòa trộn hoàn toàn khí thải và không khí pha loãng trong các điều kiện chảy rối;
- được chế tạo bằng thép không gỉ có:
+ tỉ lệ chiều dày/đường kính ≤ 0,025 đối với các ống pha loãng có đường kính trong > 75 mm;
+ chiều dày danh nghĩa ≥ 1,5 mm đối với các ống pha loãng có đường kính trong ≤ 75mm;
- đối với kiểu lấy mẫu một phần, đường kính ít nhất bằng 75 mm;
- đối với kiểu lấy mẫu toàn phần, đường kính ít nhất bằng 25 mm;
- có thể được gia nhiệt tới nhiệt độ thành ống ≤ 325 K (520C) bằng gia nhiệt trực tiếp hoặc bằng làm nóng không khí pha loãng trước với điều kiện là nhiệt độ không khí không vượt quá 325 K (520C) trước khi đưa khí thải vào ống pha loãng.
- có thể được cách nhiệt.
Khí thải động cơ phải được trộn toàn bộ với không khí pha loãng. Đối với hệ thống lấy mẫu một phần, chất lượng trộn phải được kiểm tra sau khi đưa vào sử dụng bằng mẫu CO2 của ống với động cơ đang chạy (ít nhất là 4 điểm đo cách đều). Nếu cần có thể sử dụng lỗ hạn chế để hòa trộn.
CHÚ THÍCH - Nếu nhiệt độ xung quanh trong vùng lân cận ống pha loãng (DT) thấp hơn 293K (200C), cần chú ý để tránh sự tổn thất hạt trên các thành ống pha loãng mát. Do đó, nên làm nóng và/hoặc cách nhiệt ống trong các giới hạn đã cho ở trên.
Tại các chế độ tải cao của động cơ, ống có thể được làm mát bằng các phương tiện không quá mạnh như quạt tuần hoàn càng lâu càng tốt để cho nhiệt độ của môi trường làm mát thấp hơn 293 K (200C)
HE = Bộ trao đổi nhiệt (các Hình G6.10, 11)
Bộ trao đổi nhiệt phải đủ khả năng để duy trì nhiệt độ tại cửa vào của quạt hút SB bằng nhiệt độ làm việc trung bình được kiểm tra trong quá trình thử ±11 K.
2.3 Hệ thống pha loãng toàn phần
Hệ thống pha loãng được mô tả trong Hình G6.14 dựa vào sự pha loãng của toàn bộ khí thải khi sử dụng phương pháp lấy mẫu thể tích không đổi (CVS). Phải đo thể tích toàn bộ của hỗn hợp khí thải và không khí pha loãng. Có thể sử dụng PDP hoặc CFV. Tiếp theo, để thu gom các hạt, mẫu khí thải pha loãng được cho đi qua hệ thống lấy mẫu hạt (2.4, Hình G6.15 và 16). Nếu việc này được làm trực tiếp, nó được gọi là pha loãng đơn. Nếu mẫu được pha loãng nhiều hơn một lần trong ống pha loãng phụ, nó được gọi là pha loãng kép. Việc này có tác dụng nếu yêu cầu về nhiệt độ của mặt bộ lọc không thể thỏa mãn được bởi sự pha loãng đơn. Mặc dù, về phần nào đó, là hệ thống pha loãng, hệ thống pha loãng kép được mô tả như một sự sửa đổi của hệ thống lấy mẫu hạt tại 2.4, Hình G6.16 vì nó có chung hầu hết các bộ phận với một hệ thống lấy mẫu hạt điển hình.

Hình G6.14 - Hệ thống pha loãng lưu lượng toàn phần
Toàn bộ lượng khí thải thô được hòa trộn với không khí pha loãng trong ống pha loãng DT. Lưu lượng khí thải pha loãng được đo bằng bơm pít tông PDP hoặc bằng ống hạn chế lưu lượng Venturi CFV. Có thể sử dụng một bộ trao đổi nhiệt HE hoặc bù lưu lượng điện tử EFC để lấy mẫu hạt theo tỉ lệ và để xác định lưu lượng. Vì việc xác định khối lượng hạt dựa vào toàn bộ lưu lượng khí thải được pha loãng nên tỉ lệ pha loãng không được yêu cầu cho việc tính toán.
2.3.1 Các bộ phận của Hình G6.14
EP = ống xả
Chiều dài ống xả từ cửa thoát của ống góp khí thải, lỗ thoát của máy nạp tua bin hoặc của thiết bị xử lý sau tới ống pha loãng không được lớn hơn 10m. Nếu chiều dài ống xả sau ống góp khí thải, lỗ thoát của máy nạp tua bin hoặc của thiết bị xử lý lớn hơn 4 m thì toàn bộ phần ống lớn hơn 4 m phải được cách nhiệt, trừ ống để lắp thiết bị đo độ khói kiểu lấy mẫu trong ống nếu được sử dụng. Chiều dày hướng kính của đoạn cách nhiệt ít nhất phải bằng 25 mm. Độ dẫn nhiệt của vật liệu cách nhiệt phải không lớn hơn 0,1 W/mK khi được đo ở nhiệt độ 673K. Để giảm quán tính nhiệt của ống xả, tỉ lệ giữa chiều dày ống và đường kính ống nên không lớn hơn 0,015. Việc sử dụng các đoạn ống dẻo phải được hạn chế theo tỉ lệ giữa chiều dài ống và đường kính ống không lớn hơn 12.
PDP = Bơm pít tông
PDP đo lưu lượng khí thải toàn phần theo số vòng quay và hành trình làm việc của bơm. Áp suất ngược trong hệ thống xả không bị thấp đi một cách gò bó bởi PDP hoặc hệ thống nạp không khí pha loãng. Áp suất ngược tĩnh trong hệ thống xả được đo với sự hoạt động của hệ thống PDP phải được duy trì bằng áp suất tĩnh ±1,5 kPa được đo khi ngắt bơm PDP tại tốc độ và tải động cơ đồng nhất. Nhiệt độ hỗn hợp khí thải ngay trước PDP phải bằng nhiệt độ làm việc trung bình được kiểm tra trong quá trình thử ±6K, khi không sử dụng sự bù lưu lượng. Có thể sử dụng sự bù lưu lượng nếu nhiệt độ tại đầu vào PDP không lớn hơn 323 K (500C)
CFV = ống hạn chế lưu lượng Venturi
CFV đo toàn bộ lưu lượng khí thải pha loãng bằng sự duy trì lưu lượng trong các điều kiện nghẽn dòng. Áp suất ngược tĩnh trong hệ thống xả được đo với sự hoạt động của hệ thống CFV phải được duy trì bằng áp suất tĩnh ±1,5 kPa được đo khi không nối với CFV tại điểm tốc độ và tải động cơ đồng nhất. Nhiệt độ hỗn hợp khí thải ngay trước CFV phải bằng nhiệt độ làm việc trung bình được kiểm tra trong quá trình thử ±11 K, khi không sử dụng sự bù lưu lượng.
HE = bộ trao đổi nhiệt (tùy chọn, nếu EFC được sử dụng)
Bộ trao đổi nhiệt phải đủ khả năng để duy trì nhiệt độ trong các giới hạn yêu cầu nêu trên.
EFC = sự bù lưu lượng điện tử (tùy chọn nếu HE được sử dụng)
Nếu nhiệt độ tại đầu vào PDP hoặc CFV không được giữ trong các giới hạn nêu trên, cần có hệ thống bù lưu lượng để đo liên tục lưu lượng và điều khiển việc lấy mẫu theo tỉ lệ trong hệ thống hạt. Do đó, các tín hiệu đo lưu lượng liên tục được sử dụng để hiệu chỉnh lưu lượng mẫu qua các bộ lọc hạt của hệ thống lấy mẫu hạt (xem 2.4, các Hình G6.15, 16).
DT = ống pha loãng
Ống pha loãng phải:
- có đường kính đủ nhỏ để tạo ra dòng chảy rối (số Reynol > 4000) và có chiều dài đủ để tạo ra sự hòa trộn hoàn toàn khí thải và không khí pha loãng; lỗ hạn chế có thể được sử dụng;
- đối với hệ thống pha loãng đơn, đường kính ít nhất bằng 460 mm;
- đối với hệ thống pha loãng kép, đường kính ít nhất bằng 210 mm;
- có thể được cách nhiệt.
Hướng của dòng khí thải động cơ phải là hướng xuôi dòng tại điểm nó được đưa vào ống pha loãng và được hòa trộn hoàn toàn. Khi sử dụng hệ thống pha loãng đơn, mẫu từ ống pha loãng được chuyển đến hệ thống lấy mẫu hạt (xem 2.4, Hình G6.15). Khả năng bảo đảm lưu lượng của PDP hoặc CFV phải đủ để duy trì nhiệt độ khí thải được pha loãng ≤325 K (520C) ngay trước bộ lọc hạt chính. Khi sử dụng hệ thống pha loãng kép, mẫu từ ống pha loãng được chuyển đến ống pha loãng thứ cấp, tại đó nó được pha loãng thêm và sau đó được đi qua các bộ lọc hạt (xem 2.4, Hình G6.16). Khả năng bảo đảm lưu lượng của PDP hoặc CFV phải đủ để duy trì nhiệt độ dòng khí thải được pha loãng trong DT ≤ 464 K (1910C) tại vùng lấy mẫu. Hệ thống pha loãng thứ cấp phải cung cấp đủ không khí pha loãng thứ cấp để duy trì nhiệt độ dòng khí thải được pha loãng kép ≤ 325 K (520C) ngay trước bộ lọc hạt chính.
DFA = Bộ lọc không khí pha loãng
Không khí pha loãng nên được lọc và loại trừ than để loại bỏ các HC nền. Theo đề nghị của nhà sản xuất động cơ, không khí pha loãng phải được lấy mẫu theo quy định để xác định các mức hạt nền mà chúng sau đó có thể được trừ đi khỏi các giá trị được đo trong khí thải pha loãng.
PSP = ống lấy mẫu hạt
Ống lấy mẫu hạt là đoạn đầu của PTT và:
- phải được lắp quay mặt về phía trước dòng chảy tại điểm mà không khí pha loãng và khí thải được hòa trộn tốt, tức là cách điểm, mà tại đó khí thải đi vào ống pha loãng về phía sau theo chiều dòng chảy và trên đường tâm ống pha loãng (DT), một đoạn bằng 10 lần đường kính ống pha loãng;
- đường kính trong nhỏ nhất phải bằng 12 mm;
- có thể được làm nóng tới nhiệt độ thành ống ≤ 325 K (520C) bằng gia nhiệt trực tiếp hoặc bằng làm nóng không khí pha loãng trước với điều kiện là nhiệt độ không khí không vượt quá 325 K (520C) trước khi đưa khí thải vào ống pha loãng;
- có thể được cách nhiệt.
2.4 Hệ thống lấy mẫu hạt
Hệ thống lấy mẫu hạt được yêu cầu để thu gom các hạt bằng bộ lọc hạt. Đối với trường hợp pha loãng một phần lấy mẫu toàn phần mà toàn bộ mẫu khí thải pha loãng đi qua các bộ lọc, hệ thống pha loãng (xem 2.2, các Hình G6.8, 12) và hệ thống lấy mẫu thường tạo nên một bộ thiết bị tích hợp. Đối với trường hợp pha loãng một phần lấy mẫu một phần hoặc pha loãng lưu lượng toàn bộ, chỉ có một phần khí thải pha loãng đi qua các bộ lọc, hệ thống pha loãng (xem 2.2, các Hình từ G6.5 đến G6.11, 13) và hệ thống lấy mẫu thường tạo nên các bộ thiết bị khác nhau.
Trong tiêu chuẩn này, hệ thống pha loãng kép (Hình G6.16) của hệ thống pha loãng lưu lượng toàn phần được coi như là một sửa đổi riêng của hệ thống lấy mẫu hạt điển hình như chỉ ra trong Hình G6.15. Hệ thống pha loãng kép bao gồm tất cả các phần quan trọng của hệ thống lấy mẫu hạt, như các hộp giữ bộ lọc và bơm lấy mẫu, và thêm một số đặc điểm pha loãng như cung cấp không khí pha loãng và ống pha loãng thứ cấp.
Để tránh bất kỳ tác động nào trên các vòng lặp điều khiển, nên cho bơm lấy mẫu chạy trong toàn bộ quy trình thử. Đối với phương pháp lọc đơn, phải sử dụng hệ thống đi vòng qua để cho mẫu đi qua các bộ lọc mẫu tại các thời điểm mong muốn. Phải tối thiểu hóa nhiễu của việc chuyển quy trình trên vòng lặp.

Hình G6.15 - Hệ thống lấy mẫu hạt
Mẫu của khí thải pha loãng được lấy từ ống pha loãng DT của hệ thống pha loãng lưu lượng toàn phần qua PSP và PTT bằng bơm lấy mẫu P. Mẫu được đi qua các hộp giữ bộ lọc FH trong đó chứa các bộ lọc hạt. Lưu lượng mẫu được điều khiển bởi bộ điều khiển lưu lượng FC3. Nếu sử dụng sự bù lưu lượng điện tử EFC (xem Hình G6.14) thì lưu lượng khí thải pha loãng được sử dụng như một tín hiệu lệnh đối với FC3.

Hình G6.16 - Hệ thống pha loãng kép (chỉ cho hệ thống lưu lượng toàn phần)
Mẫu của khí thải được pha loãng được chuyển từ DT của hệ thống pha loãng lưu lượng toàn phần qua ống lấy mẫu hạt PSP và ống chuyển hạt PTT đến ống pha loãng thứ cấp SDT, mà tại đó nó được pha loãng thêm một lần nữa. Sau đó mẫu được đi qua FH. Lưu lượng không khí pha loãng thường không đổi trong khi lưu lượng mẫu được điều khiển bởi FC3. Nếu sử dụng EFC (xem Hình G6.14) thì lưu lượng khí thải được pha loãng toàn phần được sử dụng làm tín hiệu lệnh cho FC3.
2.4.1 Các bộ phận của Hình G6.15 và 16
PTT = ống chuyển hạt (các Hình G6.15 và 16)
Chiều dài ống chuyển hạt phải không quá 1020 mm và nó phải được giảm tới mức ngắn nhất khi có thể được. Tại chỗ có thể được (tức là, đối với hệ thống lấy mẫu một phần pha loãng lưu lượng một phần và đối với hệ thống pha loãng lưu lượng toàn phần), phải kể đến cả chiều dài của các ống lấy mẫu (theo thứ tự SP, ISP, PSP, xem 2.2 và G6.2.3). Các kích thước là đúng đối với:
- Kiểu lấy mẫu một phần pha loãng lưu lượng toàn phần và hệ thống pha loãng lưu lượng toàn phần kiểu đơn: Từ đầu ống lấy mẫu (SP, ISP, PSP) đến hộp giữ bộ lọc;
- Kiểu lấy mẫu toàn phần pha loãng lưu lượng một phần: Từ cuối ống pha loãng đến hộp giữ bộ lọc;
- Hệ thống pha loãng lưu lượng toàn phần kiểu kép: Từ đầu ống lấy mẫu (PSP) đến ống pha loãng thứ cấp.
Ống chuyển:
- Có thể được làm nóng tới nhiệt độ thành ống ≤ 325 K (52ºC) bằng gia nhiệt trực tiếp hoặc bằng làm nóng không khí pha loãng trước với điều kiện là nhiệt độ không khí không vượt quá 325 K (52ºC) trước khi đưa khí thải vào ống pha loãng;
- Có thể được cách nhiệt.
SDT = ống pha loãng thứ cấp (Hình G6.16)
Ống pha loãng thứ cấp phải có đường kính nhỏ nhất bằng 75 mm, và có đủ chiều dài để cho mẫu pha loãng kép có khoảng thời gian ít nhất là 0,25 s ở trong ống. Hộp giữ bộ lọc (FH) chính phải được đặt cách cửa ra của SDT trong vòng 300 mm.
Ống pha loãng thứ cấp:
- Có thể được làm nóng tới nhiệt độ thành ống ≤ 325 K (520C) bằng gia nhiệt trực tiếp hoặc bằng làm nóng không khí pha loãng trước với điều kiện là nhiệt độ không khí không vượt quá 325 K (520C) trước khi đưa khí thải vào ống pha loãng;
- Có thể được cách nhiệt.
FH = Hộp giữ bộ lọc (các Hình G6.15, 16)
Đối với các bộ lọc chính và dự phòng, có thể sử dụng hộp hoặc các hộp tách biệt. Các yêu cầu của 4.1.3 Phụ lục G4 phải được thỏa mãn.
Các hộp giữ bộ lọc:
- có thể được làm nóng tới nhiệt độ thành ống ≤ 325 K (520C) bằng gia nhiệt trực tiếp hoặc bằng làm nóng không khí pha loãng trước với điều kiện là nhiệt độ không khí không vượt quá 325 K (520C) trước khi đưa khí thải vào ống pha loãng;
- có thể được cách nhiệt.
P = bơm lấy mẫu (các Hình G6.15 và 16)
Bơm lấy mẫu hạt phải được đặt cách ống một khoảng cách đủ xa để nhiệt độ khí đầu vào được duy trì không đổi (±3K) nếu không sử dụng FC3 để hiệu chỉnh lưu lượng.
DP = Bơm không khí pha loãng (Hình G6.16)
Bơm không khí pha loãng phải được đặt ở vị trí sao cho không khí pha loãng thứ cấp được cung cấp ở nhiệt độ 298 K ± 5K (250C ± 50C) nếu không khí pha loãng không được gia nhiệt trước.
FC3 = Bộ điều khiển lưu lượng (các Hình G6.15 và 16)
Bộ điều khiển lưu lượng phải được sử dụng để bù lưu lượng mẫu hạt vì những thay đổi nhiệt độ và áp suất trên đường đi của mẫu nếu chưa có các biện pháp khác. Cần phải có bộ điều khiển lưu lượng nếu EFC (xem Hình G6.14) được sử dụng.
FM3 = thiết bị đo lưu lượng (các Hình G6.15 và 16)
Đồng hồ đo khí hoặc dụng cụ đo lưu lượng mẫu hạt phải được đặt cách đủ xa bơm mẫu P để sao cho nhiệt độ khí đầu vào được giữ không đổi (±3K) nếu không sử dụng FC3 để hiệu chỉnh lưu lượng.
FM4 = thiết bị đo lưu lượng (Hình G6.16)
Đồng hồ đo khí hoặc dụng cụ đo lưu lượng không khí pha loãng phải được đặt ở vị trí sao cho nhiệt độ khí đầu vào được giữ ở nhiệt độ 298 K ± 5K (250C ± 50C).
BV = van bi (tùy chọn)
Van bi phải có đường kính trong không nhỏ hơn đường kính trong của PTT và thời gian chuyển nhỏ hơn 0,5 s.
CHÚ THÍCH - Nếu nhiệt độ xung quanh trong vùng lân cận ống pha loãng PSP, PTT, SDT và FH thấp hơn 293 K (200C), cần chú ý để tránh sự tổn thất hạt ở phía các thành ống nguội của các bộ phận này. Do đó, nên làm nóng và/hoặc cách nhiệt các bộ phận này trong các giới hạn đã cho trong các mô tả liên quan. Nhiệt độ bề mặt bộ lọc trong khi lấy mẫu không nên thấp hơn 293 K (200C).
Tại các chế độ tải cao của động cơ, các bộ phận trên có thể được làm mát bằng các phương tiện không quá mạnh như quạt tuần hoàn càng lâu càng tốt để cho nhiệt độ của môi trường làm mát không thấp hơn 293 K (200C)
3 Xác định độ khói
3.1 Giới thiệu
Các hệ thống thiết bị đo độ khói được mô tả tại 3.2 và 3.3 và các Hình G6.17 và 18. Vì các cấu hình khác nhau có thể cho kết quả tương đương nên không yêu cầu hệ thống thiết bị thực tế phải phù hợp chính xác với các Hình G6.17 và G6.18. Các bộ phận bổ sung như dụng cụ đo, các van, Sôlênôit, các bơm và các chuyển mạch có thể được sử dụng để cung cấp thông tin bổ sung và phối hợp các chức năng của các hệ thống thành phần. Các thành phần khác không cần duy trì độ chính xác trên một số hệ thống có thể được loại trừ nếu sự loại trừ dựa trên cơ sở đánh giá kỹ thuật tốt. Nguyên lý đo là ánh sáng được truyền qua đoạn dòng khói được đo có chiều dài riêng và một phần của ánh sáng tới đi đến bộ thu ánh sáng được sử dụng để đánh giá đặc tính cản ánh sáng của môi trường. Việc đo độ khói phụ thuộc vào thiết kế của thiết kế đo và có thể được thực hiện trong ống xả (thiết bị đo độ khói trong ống lưu lượng toàn phần), ở cuối ống (thiết bị đo độ khói cuối ống lưu lượng toàn phần) hoặc bằng cách lấy mẫu khỏi ống xả (thiết bị đo độ khói lưu lượng một phần) để xác định hệ số hấp thụ ánh sáng theo tín hiệu độ đục. Nhà sản xuất thiết bị phải cung cấp tài liệu cho biết chiều dài của đường ánh sáng của thiết bị.
3.2 Thiết bị đo độ khói lưu lượng toàn phần
Có thể sử dụng hai kiểu phổ biến của thiết bị đo độ khói lưu lượng toàn phần (Hình G6.17). Với thiết bị đo độ khói kiểu trong ống - đo độ khói của toàn bộ khói trong ống, độ khói của toàn bộ cột khí thải trong ống xả được đo. Với thiết bị đo độ khói kiểu cuối ống - đo độ khói của toàn bộ cột khói ngay bên ngoài cửa thoát đuôi ống xả, độ khói của toàn bộ cột khí thải trong ống xả được đo khi nó thoát ra ngoài ống xả. Với kiểu thiết bị đo độ khói này, chiều dài hiệu quả của đường ánh sáng là một hàm của kiểu ống xả và khoảng cách giữa mặt cuối ống xả và thiết bị đo độ khói.

Hình G6.17 - Thiết bị đo độ khói lưu lượng toàn phần
3.2.1 Các thành phần của Hình G6.17
EP = ống xả
Với thiết bị đo độ khói kiểu trong ống, không được thay đổi đường kính ống xả trong đoạn ống dài bằng 3 lần đường kính ống xả trước hoặc sau vùng đo. Nếu đường kính ống xả của vùng đo lớn hơn đường kính của ống xả thì ống nên chụm (hội tụ) dần.
Với thiết bị đo độ khói kiểu cuối ống, đoạn cuối dài 0,6 m của ống xả phải là một đoạn tiết diện tròn và không bị cong và gấp khúc. Đầu cuối của ống xả phải được cắt vuông góc. Thiết bị đo độ khói phải được lắp trên đường tâm của cột khói trong đoạn cuối ống xả dài 25 ± 5mm.
OPL = Chiều dài của đường ánh sáng
Chiều dài của đường ánh sáng bị tối do khói giữa thiết bị đo độ khói và bộ thu ánh sáng, khi cần thiết được điều chỉnh chính xác về tính không đồng nhất do gradien mật độ và hiệu ứng vân. Chiều dài của đường ánh sáng phải được nhà sản xuất dụng cụ quy định có kể đến mọi biện pháp chống lại muội (ví dụ, không khí sạch). Nếu không có sẵn chiều dài của đường ánh sáng, nó phải được xác định theo ISO 11614 - 1999, 11.6.5. Để xác định đúng chiều dài của đường ánh sáng, vận tốc khí thải nhỏ nhất phải bằng 20 m/s.
LS = Nguồn sáng
Nguồn sáng phải là một đèn nóng sáng có nhiệt độ mầu trong khoảng 2800 - 3250 K hoặc một đèn đi ốt phát ánh sáng xanh lá cây (LED) có đỉnh phổ từ 550 đến 570 nm. Nguồn sáng phải được bảo vệ chống lại muội bằng các biện pháp không ảnh hưởng đến chiều dài của đường ánh sáng theo quy định của nhà sản xuất.
LD = Bộ dò ánh sáng
Bộ dò phải là một tế bào quang điện hoặc một đi ốt ánh sáng (có lọc nếu cần thiết). Đối với nguồn là đèn nóng sáng, bộ thu sáng phải có đáp trả đỉnh phổ tương tự đặc tính phototopic của mắt người (đáp trả lớn nhất) trong khoảng từ 550 đến 570 nm, tới mức nhỏ hơn 4% của đáp trả lớn nhất đó khi đáp trả này thấp hơn 430 nm và cao hơn 680 nm. Bộ dò ánh sáng phải được bảo vệ chống lại muội bằng các biện pháp không ảnh hưởng đến chiều dài của đường ánh sáng theo quy định của nhà sản xuất.
CL = Ống chuẩn trực
Ánh sáng phát ra phải được chuẩn trực thành một luồng sáng có đường kính lớn nhất bằng 30 mm. Các tia của chùm sáng phải song song với trục quang học của dung sai bằng 30.
T1 = cảm biến nhiệt độ (tùy chọn)
Nhiệt độ khí thải có thể được kiểm tra trong khi thử.
3.3 Thiết bị đo độ khói lưu lượng một phần
Với thiết bị đo độ khói lưu lượng một phần (Hình G6.18), một mẫu khí thải đại diện được lấy từ ống xả và đi qua một ống chuyển đến buồng đo. Với kiểu thiết bị đo độ khói này, chiều dài hiệu quả đường truyền sáng là một hàm của kiểu thiết bị đo độ khói. Các thời gian đáp trả được nêu trong đoạn sau đây áp dụng đối với lưu lượng nhỏ nhất của thiết bị đo độ khói, theo quy định của nhà sản xuất thiết bị.

Hình G6.18 - Thiết bị đo độ khói lưu lượng một phần
3.3.1 Các thành phần của Hình G6.18
EP = Ống xả
Ống xả phải là một ống thẳng có chiều dài ít nhất bằng 6 lần đường kính ống xả đối với đoạn trước đầu mút của ống lấy mẫu và 3 lần đường kính ống xả đối với đoạn sau đầu mút của ống lấy mẫu xét theo chiều dòng khí thải.
SP = Ống lấy mẫu
Ống lấy mẫu phải là một ống hở mà mặt hở đó hướng về phía trước của dòng khí thải và ở trên hoặc gần ở trên đường tâm ống xả. Khe hở với thành của đuôi ống xả ít nhất phải bằng 5 mm. Đường kính ống lấy mẫu phải bảo đảm một mẫu đại diện và đủ lưu lượng qua thiết bị đo độ khói.
TT = Ống chuyển
Ống chuyển phải:
- càng ngắn càng tốt và bảo đảm nhiệt độ khí thải bằng 373 ± 30 K (1000C ± 300C) tại cửa vào buồng đo.
- có nhiệt độ thành ống đủ cao trên điểm sương của khí thải để chống ngưng tụ.
- đường kính bằng đường kính của ống lấy mẫu trên suốt chiều dài ống.
- có thời gian đáp trả nhỏ hơn 0,05 s ở lưu lượng nhỏ nhất của thiết bị, như được xác định theo 5.2.4 Phụ lục G4.
- không có ảnh hưởng đáng kể đối với giá trị đỉnh của độ khói.
FM = Thiết bị đo lưu lượng
Thiết bị đo lưu lượng để phát hiện lưu lượng chính xác vào buồng đo. Lưu lượng nhỏ nhất và lớn nhất phải do nhà sản xuất quy định và phải sao cho yêu cầu về thời gian đáp trả của TT và các đặc tính của chiều dài đường truyền sáng được thỏa mãn. Thiết bị đo lưu lượng có thể được đóng kín với bơm lấy mẫu P nếu được sử dụng.
MC = Buồng đo
Buồng đo phải có bề mặt bên trong không có tính phản xạ hoặc môi trường quang học tương đương. Sự va chạm của tia sáng lạc trên bộ dò do phản xạ bên trong của hiệu ứng khuếch tán phải được giảm đến tối thiểu.
Áp suất khí trong MC phải không khác so với áp suất không khí quá 0,75 kPa. Tại nơi mà thiết kế không thể đáp ứng được điều này, số đo thiết bị đo độ khói phải được biến đổi thành áp suất không khí, nhiệt độ thành buồng đo phải được chỉnh đặt trong khoảng 343 K (700C) và 373 K (1000C) ± 5K, nhưng trong bất cứ trường hợp nào cũng đủ cao trên điểm sương của khí thải để chống ngưng tụ. Buồng đo phải được trang bị các thiết bị phù hợp để đo nhiệt độ.
OPL = chiều dài đường truyền sáng
Chiều dài của đường ánh sáng bị tối do khói giữa thiết bị đo độ khói và bộ thu ánh sáng, khi cần thiết được hiệu chỉnh chính xác về tính không đồng nhất do gradien mật độ và hiệu ứng vân. Chiều dài của đường ánh sáng phải được nhà sản xuất dụng cụ quy định có kể đến mọi biện pháp chống lại muội (ví dụ, không khí sạch). Nếu không có sẵn chiều dài của đường ánh sáng, nó phải được xác định theo ISO 11614 - 1999, 11.6.5.
LS = nguồn sáng
Xem 3.2.1
LD = Bộ dò ánh sáng
Xem 3.2.1
CL = Ông chuẩn trực
Xem 3.2.1
T1 = Cảm biến nhiệt độ (tùy chọn)
Để kiểm tra nhiệt độ khí tại cửa vào buồng đo.
P = Bơm lấy mẫu (tùy chọn)
Có thể sử dụng bơm lấy mẫu sau buồng đo để chuyển khí mẫu qua buồng đo.
PHỤ LỤC H
(quy định)
Đặc tính kỹ thuật của nhiên liệu chuẩn cho thử phê duyệt kiểu và kiểm tra sự phù hợp của sản xuất theo mức EURO 3 và EURO 4
H.1 Nhiên liệu điêzen (1)
| Chỉ tiêu | Đơn vị | Giá trị giới hạn (1) | Phương pháp thử (2) | |
| Nhỏ nhất | Lớn nhất | |||
| Số Xê tan (3) |
| 52 | 54 | ISO 5165 |
| Khối lượng riêng ở 150C | kg/m3 | 833 | 837 | ISO 3675 |
| Nhiệt độ chưng cất |
|
|
|
|
| - Điểm 50% | 0C | 245 |
| ISO 3405 |
| - Điểm 90% | 345 | 350 | ||
| - Điểm sôi cuối cùng |
| 370 | ||
| Điểm chớp cháy | 55 | --- | EN 27719 | |
| CFPP | --- | - 5 | EN 116 | |
| Độ nhớt ở 400C | mm2/s | 2,5 | 3,5 | EN-ISO 3104 |
| Polycylic aromatic hydrocarbone | % m/m | 3,0 | 6,0 | IP 391 (*) |
| Hàm lượng lưu huỳnh (4) | mg/kg | --- | 300 | EN-ISO 14596 |
| Ăn mòn đồng |
| --- | 1 | EN-ISO 2160 |
| Cặn cácbon (10% cặn chưng cất DR) | % m/m | --- | 0,2 | EN-ISO 10370 |
| Hàm lượng tro | % m/m | --- | 0,01 | EN-ISO 6245 |
| Hàm lượng nước | % m/m | --- | 0,05 | EN-ISO 12937 |
| Số trung hòa (axít mạnh) | mg OH/g | --- | 0,02 | ASTM D 974-95 |
| Tính chống ôxi hóa (5) | mg/ml | --- | 0,025 | EN-ISO 12205 |
CHÚ THÍCH
(1) Nếu cần tính hiệu suất nhiệt của một động cơ hoặc ô tô, nhiệt trị của nhiên liệu có thể được tính theo: Năng lượng riêng (nhiệt trị) (tính).
MJ/kg = (46,423 - 8,792 d2 + 3,170d) (1 - (x + y + s)) + 9,420s - 2,499x.
Trong đó:
d là khối lượng riêng ở 150C;
x là tỉ lệ khối lượng của nước (% / 100);
y là tỉ lệ khối lượng của tro (% / 100);
s là tỉ lệ khối lượng của lưu huỳnh (% / 100).
(2) Các giá trị trình bày trong bảng trên là "những giá trị đúng". Trong việc thiết lập các giá trị giới hạn của chúng, các thuật ngữ của ISO 4259, Sản phẩm dầu mỏ - Xác định và áp dụng số liệu chính xác liên quan đến các phương pháp thử, đã được áp dụng, và trong việc cố định giá trị nhỏ nhất, đã tính đến một sự sai khác nhỏ nhất bằng 2R ở trên điểm 0; trong việc cố định một giá trị lớn nhất và nhỏ nhất, sự sai khác nhỏ nhất là 4R (R-khả năng lặp lại). Mặc dù có phương pháp này, mà nó là cần thiết vì những lý do thống kê, nhà sản xuất nhiên liệu vẫn hướng đến giá trị 0 mà ở đó trị số lớn nhất được quy định là 2R và hướng đến giá trị trung bình trong trường hợp dựa theo các giới hạn lớn nhất và nhỏ nhất. Nếu cần làm sáng tỏ các câu hỏi là liệu một nhiên liệu có đáp ứng được các yêu cầu đó không của quy định, sẽ áp dụng các thuật ngữ đó của ISO 4259.
(3) Dải giá trị của số xêtan không phù hợp với yêu cầu về dải giá trị nhỏ nhất bằng 4R. Tuy nhiên, trong các trường hợp có tranh chấp giữa người cung cấp và người sử dụng nhiên liệu, các thuật ngữ trong ISO 4259 có thể được sử dụng để giải quyết những tranh chấp như vậy với điều kiện là các phép đo tái lập, với số lượng đủ để đạt độ chính xác cần thiết, được ưu tiên thực hiện hơn là những xác định đơn lẻ.
(4) Hàm lượng thực của lưu huỳnh của nhiên liệu được dùng để thử phải được báo cáo. Ngoài ra, hàm lượng lưu huỳnh của nhiên liệu chuẩn được dùng để phê duyệt xe hoặc động cơ theo các giá trị giới hạn được quy định trong các yêu cầu D của Bảng 4 và 5 tại 5.2.1.2.1 của tiêu chuẩn này phải có hàm lượng lưu huỳnh lớn nhất bằng 50 ppm.
(5) Mặc dù tính ổn định ôxy hóa được kiểm soát, thời hạn sử dụng của nó có thể sẽ bị hạn chế. Người cung cấp cần cho lời khuyên về các điều kiện cất giữ và thời hạn.
PHỤ LỤC J
(quy định)
Đặc tính kỹ thuật của nhiên liệu N.G. chuẩn cho trong thử phê duyệt kiểu và kiểm tra sự phù hợp của sản xuất theo mức EURO 3 và EURO 4
Khí thiên nhiên (NG)
Các loại nhiên liệu thị trường Châu Âu có sẵn thuộc hai dải:
- Dải H, các loại đầu và cuối là G20 và G23;
- Dải L, các loại đầu và cuối là G23 và G25;
Các đặc tính của G20, G23 và G25 được tóm tắt như sau:
Loại G20
| Chỉ tiêu | Đơn vị | Giá trị cơ bản | Giá trị giới hạn | Phương pháp thử | |
| Nhỏ nhất | Lớn nhất | ||||
| Thành phần: Mê tan | % mol | 100 | 99 | 100 | ISO 6974 |
| Cân bằng [khí trơ + C2/C2+] | - | - | 1 | ||
| N2 |
|
|
| ||
| Hàm lượng lưu huỳnh | mg/m3 | - | - | 50 | ISO 6326-5 |
Loại G23
| Chỉ tiêu | Đơn vị | Giá trị cơ bản | Giá trị giới hạn | Phương pháp thử | |
| Nhỏ nhất | Lớn nhất | ||||
| Thành phần: Mê tan | % mol | 92,5 | 91,5 | 93,5 | ISO 6974 |
| Cân bằng [khí trơ + C2/C2+] | - | - | 1 | ||
| N2 | 7,5 | 6,5 | 8,5 | ||
| Hàm lượng lưu huỳnh | mg/m3 (*) | - | - | 50 | ISO 6326-5 |
(*) Giá trị được xác định theo điều kiện chuẩn (293,2K) và 101,3 kPa.
Loại G25
| Chỉ tiêu | Đơn vị | Giá trị cơ bản | Giá trị giới hạn | Phương pháp thử | |
| Nhỏ nhất | Lớn nhất | ||||
| Thành phần: Mê tan | % mol | 86 | 84 | 88 | ISO 6974 |
| Cân bằng [khí trơ + C2/C2+] | - | - | 1 | ||
| N2 | 14 | 12 | 16 | ||
| Hàm lượng lưu huỳnh | mg/m3 (*) | - | - | 50 | ISO 6326-5 |
(*) Giá trị được xác định theo điều kiện chuẩn (293,2K) và 101,3 kPa.
PHỤ LỤC K
(quy định)
Đặc tính kỹ thuật của nhiên liệu L.G chuẩn cho thử phê duyệt kiểu và kiểm tra sự phù hợp của sản xuất theo mức EURO 3 và EURO 4
| Chỉ tiêu | Đơn vị | Nhiên liệu A | Nhiên liệu B | Phương pháp thử | ||
| Nhỏ nhất | Lớn nhất | Nhỏ nhất | Lớn nhất | |||
| MON |
| 93,5 |
| 93,5 |
| EN 589 Phụ lục B |
| Thành phần: |
|
|
|
|
|
|
| Hàm lượng C3 | % thể tích | 48 | 52 | 83 | 87 |
|
| Hàm lượng C4 | % thể tích | 48 | 52 | 13 | 17 | ISO 7941 |
| Olefin | % thể tích | 0 | 12 | 9 | 15 |
|
| Cặn bay hơi | mg/kg |
| 50 |
| 50 | NFM 41 - 015 |
| Hàm lượng lưu huỳnh tổng | ppm (1) |
| 50 |
| 50 | EN 24260 |
| Sunphua Hydro | --- |
| Không có |
| Không có | ISO 8819 |
| Ăn mòn đồng | Xếp loại |
| Cấp 1 |
| Cấp 1 | ISO 6251 (2) |
| Hàm lượng nước ở 00C |
|
| Không có |
| Không có | Quan sát |
| (1) Giá trị được xác định trong điều kiện tiêu chuẩn 293,2 K (200C) và 101,3 kPa; (2) Phương pháp này có thể xác định không chính xác sự có vật liệu ăn mòn nếu mẫu chứa chất ức chế ăn mòn hoặc chất khác mà nó giảm bớt tính ăn mòn của mẫu đối với miếng đồng. Vì vậy việc cho thêm các hợp chất như vậy nhằm gây ảnh hưởng xấu đến phương pháp này là bị cấm. | ||||||
MỤC LỤC
1 Phạm vi áp dụng
2 Tài liệu viện dẫn
3 Thuật ngữ, định nghĩa
4 Tài liệu kỹ thuật và mẫu thử
4.1 Đối với kiểm tra riêng động cơ
4.2 Đối với việc kiểm tra xe liên quan đến động cơ của xe
Phụ lục A - Các đặc điểm chủ yếu của động cơ và xe khi kiểm tra khí thải theo EURO 1 và EURO 2
Phụ lục B - Thông số trong tài liệu khi kiểm tra khí thải theo EURO 1 và EURO 2 của cơ quan cấp chứng nhận để kiểm tra việc lắp đặt động cơ trên xe và sự phù hợp của sản phẩm trong sản xuất
Phụ lục C - Các đặc điểm chủ yếu của động cơ (gốc) và thông tin liên quan đến thực hiện phép thử khi kiểm tra khí thải theo EURO 3 và EURO 4
PHẦN I - KIỂM TRA KHÍ THẢI THEO MỨC EURO 1 VÀ EURO 2
Phụ lục D - Phương pháp thử khí thải để kiểm tra theo mức EURO 1 và EURO 2
Phụ lục E - Đặc tính kỹ thuật của nhiên liệu chuẩn cho động cơ C.I. trong thử phê duyệt kiểu và kiểm tra sự phù hợp của sản xuất theo mức EURO 1 và EURO 2
Phụ lục F - Đặc tính kỹ thuật của nhiên liệu N.G. chuẩn trong thử phê duyệt kiểu và kiểm tra sự phù hợp của sản xuất theo mức EURO 1 và EURO 2
PHẦN II - KIỂM TRA KHÍ THẢI THEO MỨC EURO 3 VÀ EURO 4
Phụ lục G - Phương pháp thử khí thải để kiểm tra theo EURO 3 và EURO 4
Phụ lục H - Đặc tính kỹ thuật của nhiên liệu chuẩn trong thử phê duyệt kiểu và kiểm tra sự phù hợp của sản xuất theo mức EURO 3 và EURO 4
Phụ lục J - Đặc tính kỹ thuật của nhiên liệu N.G. chuẩn trong thử phê duyệt kiểu và kiểm tra sự phù hợp của sản xuất theo mức EURO 3 và EURO 4
Phụ lục K - Đặc tính kỹ thuật của nhiên liệu L.G, chuẩn trong thử phê duyệt kiểu và kiểm tra sự phù hợp của sản xuất theo mức EURO 3 và EURO 4.
1) Đối với HC (CH3,76), nồng độ phải được thể hiện bằng cacbon tương đương (tức là propan tương đương x 3)
1) Đối với động cơ LPG có thể chấp nhận ống và dụng cụ lấy mẫu không chịu nhiệt để đo HC và NOx.
Bạn chưa Đăng nhập thành viên.
Đây là tiện ích dành cho tài khoản thành viên. Vui lòng Đăng nhập để xem chi tiết. Nếu chưa có tài khoản, vui lòng Đăng ký tại đây!