- Tổng quan
- Nội dung
- VB gốc
- Tiếng Anh
- Hiệu lực
- VB liên quan
- Lược đồ
-
Nội dung hợp nhất
Tính năng này chỉ có tại LuatVietnam.vn. Nội dung hợp nhất tổng hợp lại tất cả các quy định còn hiệu lực của văn bản gốc và các văn bản sửa đổi, bổ sung, đính chính... trên một trang. Việc hợp nhất văn bản gốc và những văn bản, Thông tư, Nghị định hướng dẫn khác không làm thay đổi thứ tự điều khoản, nội dung.
Khách hàng chỉ cần xem Nội dung hợp nhất là có thể nắm bắt toàn bộ quy định hiện hành đang áp dụng, cho dù văn bản gốc đã qua nhiều lần chỉnh sửa, bổ sung.
- Tải về
Thông tư 72/2015/TT-BGTVT Quy chuẩn về phân cấp và đóng sàn nâng tàu
| Cơ quan ban hành: | Bộ Giao thông Vận tải |
Số công báo:
Số công báo là mã số ấn phẩm được đăng chính thức trên ấn phẩm thông tin của Nhà nước. Mã số này do Chính phủ thống nhất quản lý.
|
Đã biết
|
| Số hiệu: | 72/2015/TT-BGTVT | Ngày đăng công báo: |
Đã biết
|
| Loại văn bản: | Thông tư | Người ký: | Đinh La Thăng |
|
Ngày ban hành:
Ngày ban hành là ngày, tháng, năm văn bản được thông qua hoặc ký ban hành.
|
09/11/2015 |
Ngày hết hiệu lực:
Ngày hết hiệu lực là ngày, tháng, năm văn bản chính thức không còn hiệu lực (áp dụng).
|
Đang cập nhật |
|
Áp dụng:
Ngày áp dụng là ngày, tháng, năm văn bản chính thức có hiệu lực (áp dụng).
|
Đã biết
|
Tình trạng hiệu lực:
Cho biết trạng thái hiệu lực của văn bản đang tra cứu: Chưa áp dụng, Còn hiệu lực, Hết hiệu lực, Hết hiệu lực 1 phần; Đã sửa đổi, Đính chính hay Không còn phù hợp,...
|
Đã biết
|
| Lĩnh vực: | Giao thông |
TÓM TẮT THÔNG TƯ 72/2015/TT-BGTVT
Nội dung tóm tắt đang được cập nhật, Quý khách vui lòng quay lại sau!
Tải Thông tư 72/2015/TT-BGTVT
|
BỘ GIAO THÔNG VẬN TẢI Số: 72/2015/TT-BGTVT |
CỘNG HÒA XÃ HỘI CHỦ NGHĨA VIỆT NAM Hà Nội, ngày 09 tháng 11 năm 2015 |
Căn cứ Luật Tiêu chuẩn và Quy chuẩn kỹ thuật ngày 29 tháng 6 năm 2006;
Căn cứ Nghị định số 127/2007/NĐ-CP ngày 01 tháng 8 năm 2007 của Chính phủ quy định chi tiết thi hành một số điều của Luật Tiêu chuẩn và Quy chuẩn kỹ thuật;
Căn cứ Nghị định số 107/2012/NĐ-CP ngày 20 tháng 12 năm 2012 của Chính phủ quy định chức năng, nhiệm vụ, quyền hạn và cơ cấu tổ chức của Bộ Giao thông vận tải;
Theo đề nghị của Vụ trưởng Vụ Khoa học-Công nghệ và Cục trưởng Cục Đăng kiểm Việt Nam,
Bộ trưởng Bộ Giao thông vận tải ban hành Thông tư ban hành Quy chuẩn kỹ thuật quốc gia về phân cấp và đóng sàn nâng tàu.
Điều 1. Ban hành kèm theo Thông tư này Quy chuẩn kỹ thuật quốc gia về phân cấp và đóng sàn nâng tàu - Mã số đăng ký: QCVN 57: 2015/BGTVT.
Điều 2. Thông tư này có hiệu lực thi hành kể từ ngày 28 tháng 05 năm 2016. Bãi bỏ Khoản 3 Điều 1 Thông tư số 06/2013/TT-BGTVT ngày 02 tháng 5 năm 2013 của Bộ trưởng Bộ Giao thông vận tải ban hành các Quy chuẩn kỹ thuật quốc gia về các quy phạm liên quan tàu biển.
Điều 3. Chánh Văn phòng Bộ, Chánh Thanh tra Bộ, các Vụ trưởng, Cục trưởng Cục Đăng kiểm Việt Nam, Thủ trưởng các cơ quan, đơn vị thuộc Bộ Giao thông vận tải, các tổ chức và cá nhân có liên quan chịu trách nhiệm thi hành Thông tư này./.
|
Nơi nhận: |
BỘ TRƯỞNG |
QCVN 57: 2015/BGTVT
QUY CHUẨN KỸ THUẬT QUỐC GIA VỀ PHÂN CẤP VÀ ĐÓNG SÀN NÂNG TÀU
National Technical Regulation on Classification and Construction of Ship Lift Platform
Lời nói đầu
Quy chuẩn kỹ thuật quốc gia về phân cấp và đóng sàn nâng tàu QCVN 57: 2015/BGTVT do Cục Đăng kiểm Việt Nam biên soạn, Bộ Khoa học và Công nghệ thẩm định, Bộ trưởng Bộ Giao thông vận tải ban hành kèm theo Thông tư số 72/2015/TT-BGTVT ngày 9/11/2015 của Bộ trưởng Bộ Giao thông vận tải.
MỤC LỤC
I. QUY ĐỊNH CHUNG
1.1. Phạm vi điều chỉnh và đối tượng áp dụng
1.2. Tài liệu viện dẫn và giải thích từ ngữ
II. QUY ĐỊNH KỸ THUẬT
Chương 1. Quy định chung
1.1. Quy định chung
Chương 2. Kiểm tra phân cấp
2.1. Kiểm tra phân cấp trong quá trình đóng mới
2.2. Kiểm tra phân cấp các sàn nâng tàu không có giám sát của Đăng kiểm trong đóng mới
2.3. Kiểm tra chu kỳ và kiểm tra bất thường
2.4. Chuẩn bị kiểm tra và trợ giúp kiểm tra
Chương 3. Kết cấu sàn nâng tàu
3.1. Yêu cầu
Chương 4. Hệ thống máy, thiết bị điện, điều khiển và vận hành
4.1. Hệ thống máy
4.2. Thiết bị điện
4.3. Điều khiển và vận hành
III. QUY ĐỊNH VỀ QUẢN LÝ
1.1. Quy định chung
1.2. Quy định về giám sát kỹ thuật
1.3. Chứng nhận
IV. TRÁCH NHIỆM CỦA CÁC TỔ CHỨC, CÁ NHÂN
1.1. Trách nhiệm của chủ các sàn nâng, công ty khai thác sàn nâng, cơ sở thiết kế, đóng mới, hoán cải, phục hồi và sửa chữa sàn nâng tàu
1.2. Trách nhiệm của Cục Đăng kiểm Việt Nam
1.3. Kiểm tra thực hiện của Bộ Giao thông vận tải
V. TỔ CHỨC THỰC HIỆN
Phụ lục A MẪU GIẤY CHỨNG NHẬN THẨM ĐỊNH THIẾT KẾ SÀN NÂNG TÀU
Phụ lục B MẪU GIẤY CHỨNG NHẬN PHÂN CẤP SÀN NÂNG TÀU
Phụ lục C MẪU GIẤY ĐỀ NGHỊ THẨM ĐỊNH THIẾT KẾ SÀN NÂNG TÀU
Phụ lục D MẪU GIẤY ĐỀ NGHỊ KIỂM TRA PHÂN CẤP SÀN NÂNG TÀU
QUY CHUẨN KỸ THUẬT QUỐC GIA VỀ PHÂN CẤP VÀ ĐÓNG SÀN NÂNG TÀU
National Technical Regulation on Classification and Construction of Ship Lift Platform
I. QUY ĐỊNH CHUNG
1.1. Phạm vi điều chỉnh và đối tượng áp dụng
1.1.1. Phạm vi điều chỉnh
1. Quy chuẩn kỹ thuật quốc gia này (sau đây gọi tắt là "Quy chuẩn") áp dụng cho sàn nâng tàu được Cục Đăng kiểm Việt Nam kiểm tra và phân cấp.
2. Các yêu cầu liên quan trong QCVN 21: 2010/BGTVT "Quy chuẩn kỹ thuật quốc gia - Quy phạm phân cấp và đóng tàu biển vỏ thép" được áp dụng cho sàn nâng tàu, trừ khi có quy định khác trong Quy chuẩn này.
3. Các yêu cầu trong Quy chuẩn này được áp dụng cho hệ thống sàn nâng tàu dùng để nâng tàu lên và hạ xuống bằng cách sử dụng tời hoặc kích, trong đó tàu được kê trên sàn có kết cấu dạng bản lề hoặc cứng.
4. Tàu có thể được đặt trên hệ thống các gối kê, giàn đỡ, hoặc là đệm hơi/ đệm nước nhằm mục đích di chuyển tàu sau khi được nâng lên.
5. Các hệ thống sàn nâng tàu có nguyên lý hoạt động kết hợp giữa sàn nâng tàu và ụ nổi cần được xem xét đặc biệt dựa trên những yêu cầu trong Quy chuẩn này và Quy chuẩn kỹ thuật quốc gia về phân cấp và đóng ụ nổi (QCVN 55: 2013/BGTVT).
1.1.2. Đối tượng áp dụng
Quy chuẩn này áp dụng đối với các tổ chức và cá nhân có hoạt động liên quan đến sàn nâng tàu thuộc phạm vi điều chỉnh nêu tại 1.1.1 là Cục Đăng kiểm Việt Nam (sau đây trong Quy chuẩn này viết tắt là "Đăng kiểm"), các chủ sàn nâng, công ty khai thác sàn nâng, cơ sở thiết kế, đóng mới, hoán cải, phục hồi và sửa chữa sàn nâng tàu.
1.2. Tài liệu viện dẫn và giải thích từ ngữ
1.2.1. Các tài liệu viện dẫn
1. QCVN 21: 2010/BGTVT: Quy chuẩn kỹ thuật quốc gia - Quy phạm phân cấp và đóng tàu biển vỏ thép, ban hành kèm theo Thông tư số 12/2010/TT-BGTVT ngày 21/4/2010 của Bộ trưởng Bộ Giao thông vận tải.
2. QCVN 23: 2010/BGTVT: Quy chuẩn kỹ thuật quốc gia - Quy phạm thiết bị nâng hàng tàu biển, ban hành kèm theo Thông tư số 11/2010/TT-BGTVT ngày 20/4/2010 của Bộ trưởng Bộ Giao thông vận tải.
3. QCVN 55: 2013/BGTVT: Quy chuẩn kỹ thuật quốc gia về phân cấp và đóng ụ nổi, ban hành kèm theo Thông tư số 06/2013/TT-BGTVT ngày 2/5/2013 của Bộ trưởng Bộ Giao thông vận tải.
4. ISO 898-1: Đặc tính cơ khí của các cơ cấu bắt chặt làm bằng thép các bon và thép hợp kim - Phần 1: Bu lông, ốc vít và đinh tán với các cấp theo đặc tính lý thuyết - Ren bước lớn và ren bước nhỏ (Mechanical properties of fasteners made of carbon steel and alloy steel - Part 1: Bolts, screws and studs with specified property classes - Coarse thread and fine pitch thread).
5. ISO 4309: 2010: Cẩu trục - Dây cáp - Chăm sóc và bảo dưỡng, kiểm tra và loại bỏ (Cranes - Wire ropes - Care and maintenance, inspection and discard).
1.2.2. Giải thích từ ngữ
1. Tải trọng phân bố lớn nhất (MDL)
(1) Tải trọng phân bố lớn nhất (MDL) là tải trọng lớn nhất, tính bằng tấn/m, không bao gồm tải trọng do gió, có thể phân bố đều dọc theo tâm sàn nâng, hoặc trong trường hợp tàu chỉ được kê lên giá đỡ để dịch chuyển và các giá này phân bố đều trên các thanh ray dọc phía trong thuộc phạm vi chiều dài kê tàu lớn nhất của sàn, hoặc là tải trọng được dùng để tính toán kích thước cơ cấu của hệ thống sàn nâng tàu và sức nâng của các đơn vị tời.
Tải trọng phân bố lớn nhất được lấy bằng sức nâng của 1 cặp tời trừ đi tự trọng của chiều dài sàn được đỡ bởi các tời đó, sau đó chia cho khoảng cách giữa các tời.
(2) Đối với hệ thống dịch chuyển có giá đỡ và giá chuyển hướng độc lập thì phải đặc biệt chú ý đến kết cấu cục bộ của sàn tại vị trí có tải trọng tập trung dưới chân của giá đỡ.
(3) Tải trọng phân bố lớn nhất ở trên sàn phải bao gồm khối lượng của các giàn đỡ, giá đỡ hoặc các đế kê tàu.
(4) Ngoài ra, công thức tính tải trọng phân bố lớn nhất có thể biểu diễn dưới dạng ngoại trừ hệ thống dịch chuyển và giá trị này sẽ liên quan trực tiếp đến phân bố khối lượng của tàu được kê trên sàn.
2. Sức nâng lớn nhất (MLC)
Sức nâng lớn nhất là tải trọng lớn nhất theo lý thuyết, tính bằng tấn, không tính đến tải trọng do gió, mà sàn có thể nâng được. MLC được tính theo công thức sau:
MLC = MDL x chiều dài hiệu dụng lớn nhất.
Giá trị sức nâng lớn nhất này là chưa tính đến các tải trọng động hoặc chưa tính đến phân bố khối lượng cụ thể của tàu trên sàn. Do đó, giá trị này không được sử dụng trong khai thác sàn nâng và có thể được ghi trong Giấy chứng nhận với mục đích tham khảo.
3. Sức nâng danh nghĩa (NLC)
(1) Sức nâng danh nghĩa (NLC) là lượng chiếm nước lớn nhất của một con tàu có hình dáng thông thường, tính bằng tấn, được nâng lên mà không vượt quá tải trọng phân bố lớn nhất tính toán trong thiết kế của sàn.
Sức nâng danh nghĩa được lấy bằng:
NLC = MDL x chiều dài hiệu dụng lớn nhất x hệ số phân bố.
(2) NLC được sử dụng để hướng dẫn người vận hành về tải trọng do một con tàu có hình dáng thông thường tác dụng lên sàn sao cho không vượt quá giá trị MDL tại mọi vị trí của sàn trong quá trình kê tàu và dịch chuyển. Giá trị này có thể được sử dụng trong một số trường hợp, ví dụ như khi không biết chính xác phân bố khối lượng của tàu được kê trên sàn.
(3) Tàu có hình dáng thông thường là tàu có một thân, kiểu truyền thống, được kê trên các đế dọc theo tâm của sàn nâng, mà không phải là các dạng tàu khác như tàu hai thân, ba thân, tàu nửa chìm nửa nổi, tàu có lỗ khoét thông với biển v.v… được kê trên các đế bố trí đặc biệt.
4. Hệ số phân bố
(1) Hệ số phân bố là hệ số được đưa vào tính toán nhằm đảm bảo tải trọng phân bố lớn nhất không bị vượt quá trên toàn bộ chiều dài hiệu dụng của sàn nâng và có tính đến cả các hệ số động học. Thông thường, hệ số phân bố được lấy như sau:
(a) Sàn có thiết kế dạng bản lề (không có hệ thống cơ cấu dọc, hoặc không có độ cứng chống uốn dọc), các đế kê, giàn đỡ hoặc giá đỡ được bố trí theo lối thông thường: 0,67;
(b) Sàn có thiết kế dạng bản lề kết hợp với giàn đỡ thủy lực, hoặc là sàn có thiết kế cứng (thiết kế cứng là dạng sàn có kết cấu chịu được mô men uốn tại mọi vị trí của sàn) kết hợp với giàn đỡ mềm hoặc cứng: 0,83. Trường hợp hệ số phân bố lớn hơn 0,83 phải được Đăng kiểm xem xét đặc biệt.
(2) Có thể cần phải xem xét đặc biệt các sàn có hệ thống dịch chuyển với giàn đỡ kiểu điều chỉnh lực có tác dụng phân bố lại trọng lượng của tàu ở những vị trí quá lớn (vượt quá giá trị MDL). Các tính toán liên quan phải được trình Đăng kiểm xem xét.
5. Chiều dài hiệu dụng của sàn
(1) Chiều dài hiệu dụng của sàn là tổng chiều dài giữa các tời cộng với chiều dài các công xon đỡ hai đầu, nhưng mỗi chiều dài công xon đỡ không được lấy lớn hơn 0,4 lần khoảng cách giữa các tời.
(2) Trong trường hợp công xon được đỡ bởi mép bờ trong quá trình dịch chuyển thì các công xon đỡ có chiều dài lớn hơn 0,4 lần khoảng cách tời cần phải được xem xét đặc biệt.
(3) Đối với các sàn nâng mà tàu được kê trực tiếp lên giàn đỡ để dịch chuyển, chiều dài kê tàu sẽ nhỏ hơn chiều dài hiệu dụng của sàn được tính khi tàu được kê trực tiếp lên tâm sàn. Trong trường hợp đó, chiều dài hiệu dụng của sàn có thể được tính như sau:
(a) Số lượng giàn đỡ x khoảng cách các giàn đỡ; hoặc
(b) Số lượng giá đỡ x khoảng cách các giá đỡ.
6. Sức nâng phải được xem xét đặc biệt trong các trường hợp sau đây:
(1) Việc bố trí các đế kê hoặc giàn đỡ làm cho tải trọng không phân bố dọc theo tâm sàn, ví dụ kê tàu không đối xứng;
(2) Thiết kế đưa vào tính toán các tải trọng phân bố lớn nhất có giá trị khác nhau dọc theo chiều dài sàn.
7. Chiều dài sàn nâng tàu là chiều dài lớn nhất không kể các phần nhô của sàn nâng.
8. Chiều rộng sàn nâng tàu là chiều rộng lớn nhất không kể các phần nhô của sàn nâng.
9. Ngày ấn định kiểm tra hàng năm là ngày tương ứng với ngày hết hạn của Giấy chứng nhận phân cấp sàn nâng, nhưng không bao gồm ngày hết hạn của Giấy chứng nhận phân cấp sàn nâng.
II. QUY ĐỊNH KỸ THUẬT
CHƯƠNG 1. QUY ĐỊNH CHUNG
1.1. Quy định chung
1.1.1. Thay thế tương đương
Kết cấu thân sàn nâng tàu, trang thiết bị, bố trí và kích thước cơ cấu khác so với những quy định ở Quy chuẩn này có thể được Đăng kiểm chấp nhận với điều kiện chứng minh được rằng kết cấu thân sàn nâng tàu, trang thiết bị, bố trí và kích thước cơ cấu ấy tương đương với những yêu cầu ở Quy chuẩn này.
1.1.2. Các quy định khác
1. Ngoài những quy định về phân cấp và đóng mới các sàn nâng tàu ở Quy chuẩn này, chủ sàn nâng tàu, nhà máy đóng sàn nâng tàu và người thiết kế phải tuân theo các quy định của pháp luật về an toàn, vệ sinh lao động và các quy chuẩn khác áp dụng cho sàn nâng tàu.
2. Trong trường hợp yêu cầu đặc biệt, hệ thống dịch chuyển theo chiều dọc và chiều ngang sàn sẽ được kiểm tra và được ghi bổ sung vào trong ký hiệu phân cấp hoặc Giấy chứng nhận. Tuy nhiên, nếu thiết kế của sàn nâng có hoạt động tương tác và phụ thuộc lẫn nhau giữa sàn và hệ thống di chuyển, ví dụ trường hợp sàn cứng và hệ thống đỡ tàu mềm, thì hệ thống dịch chuyển đó sẽ được coi như điều kiện cần và đủ để phân cấp.
3. Các quy định của Quy chuẩn này được xây dựng dựa trên giả thiết là hệ thống sàn nâng tàu sẽ được vận hành và chịu tải phù hợp. Các tải trọng tập trung mà lớn hơn giá trị tải trọng phân bố tính toán lớn nhất hoặc các trường hợp tải hay điều kiện thời tiết nào đó mà có thể gây quá tải định mức của từng tời đều không được xét đến.
4. Người khai thác sàn nâng cần phải được cung cấp đầy đủ thông tin dưới dạng Sổ tay hướng dẫn sử dụng để đảm bảo an toàn cho sàn nâng tàu.
CHƯƠNG 2. KIỂM TRA PHÂN CẤP
2.1. Kiểm tra phân cấp trong quá trình đóng mới
2.1.1. Quy định chung
1. Trong quá trình kiểm tra đóng mới thân sàn nâng tàu, trang thiết bị, hệ thống máy, trang bị điện và điều khiển phải được kiểm tra để đảm bảo rằng chúng đều thỏa mãn những yêu cầu của Quy chuẩn.
2. Không được lắp đặt mới các vật liệu có chứa amiăng.
2.1.2. Bản vẽ và hồ sơ
1. Các bản vẽ và hồ sơ ghi rõ kích thước của các cơ cấu, bố trí và các chi tiết của các phần chính của kết cấu cũng như các số liệu có liên quan phải được trình Đăng kiểm. Số bộ bản vẽ và hồ sơ trình thẩm định được quy định ở 1.3.2-1(3)(a) Mục III. Thông thường, các bản vẽ và hồ sơ này phải bao gồm các mục từ (1) đến (4) như sau:
(1) Hồ sơ liên quan đến kết cấu để thẩm định:
(a) Bản vẽ kết cấu sàn nâng;
(b) Bản vẽ kết cấu của hệ thống dịch chuyển nếu hệ thống này được phân cấp;
(c) Bản vẽ kết cấu hộp pu li phía trên và phía dưới;
(d) Bản vẽ kết cấu bệ tời;
(e) Thông số kỹ thuật của cáp và xích;
(f) Đặc tính vật liệu của thép chế tạo kết cấu.
(2) Hồ sơ liên quan đến kết cấu để tham khảo:
(a) Bản tính thể hiện các thông số đầu vào của thiết kế như lực nâng danh nghĩa, tải trọng phân bố lớn nhất, trọng lượng và trọng tâm của các thành phần tải và các giá trị liên quan khác;
(b) Bản vẽ lắp ráp sàn nâng;
(c) Bản vẽ bố trí sàn nâng;
(d) Bản vẽ bố trí và chi tiết các thanh ray;
(e) Bản vẽ bố trí tời và sơ đồ buộc dây;
(f) Bản vẽ bố trí giá đỡ và đế kê;
(g) Thông số liên quan đến công nghệ hàn.
(3) Hồ sơ liên quan đến hệ thống máy, thiết bị điện, điều khiển và vận hành để thẩm định:
(a) Sơ đồ hệ thống thủy lực hoặc hơi, nếu có;
(b) Bản vẽ bánh răng tời, trục, ly hợp, phanh, bu lông khớp nối, tang trống hàn và các hạng mục tương tự, cùng với ứng suất và vật liệu chế tạo chúng;
(c) Sơ đồ mạch điện, chỉ rõ dòng điện làm việc và công suất của tất cả các thiết bị điện, kiểu và kích thước cáp điện, phân loại và kiểu của thiết bị bảo vệ;
(d) Bản vẽ bố trí và sơ đồ mạch điện của bảng điện;
(e) Bố trí chung của trung tâm điều khiển;
(f) Sơ đồ bố trí của bảng điều khiển;
(g) Chi tiết các mạch điện báo động và bảo vệ.
(4) Hồ sơ liên quan đến hệ thống máy, thiết bị điện, điều khiển và vận hành để tham khảo:
(a) Bản tính ngắn mạch dòng điện và thanh cái, thanh cái bảng điện và đầu ra của máy biến áp;
(b) Bảng tính tải cho các thiết bị điện của sàn nâng.
2.1.3. Kiểm tra trong quá trình đóng mới
1. Từ khi bắt đầu đến kết thúc đóng mới sàn nâng tàu, Đăng kiểm viên phải tiến hành kiểm tra vật liệu, chất lượng công nghệ và trang thiết bị. Các bước kiểm tra bắt buộc là:
(1) Kiểm tra vật liệu và trang thiết bị theo quy định ở Phần 7A và 7B Mục II của QCVN 21:2010/BGTVT;
(2) Kiểm tra quy trình hàn và kiểm tra đường hàn bằng chụp ảnh phóng xạ theo quy định ở Phần 6 Mục II của QCVN 21: 2010/BGTVT;
(3) Kiểm tra của Đăng kiểm viên trong phân xưởng, khi lắp ráp phân đoạn hoặc tổng đoạn;
(4) Kiểm tra khi mỗi phần của sàn nâng tàu được hoàn thành;
(5) Kiểm tra khi tiến hành thử theo quy định ở 2.1.4.
2.1.4. Thử nghiệm
1. Quy định chung
(1) Các tiêu chuẩn thử quy định trong mục này được áp dụng cho các sàn nâng tàu trong trường hợp hệ thống điều khiển của sàn nâng có thể đo được tải thực tế trên mỗi đơn vị tời riêng biệt bằng phương pháp chấp nhận được và trong trường hợp các thiết bị ngắt quá mức nâng, ngắt quá tải và thiết bị thăng bằng được trang bị phù hợp với yêu cầu của Chương 4;
(2) Các tiêu chuẩn thử sẽ được xem xét đặc biệt nếu do đặc tính vốn có của thiết kế sàn nâng dẫn đến việc áp dụng khác đi các quy định về điều khiển an toàn;
(3) Quy trình thử chi tiết dựa trên các yêu cầu của mục này phải được trình Đăng kiểm xem xét.
2. Thử tải
(1) Tời:
(a) Phải tiến hành thử không tải mỗi đơn vị tời tại nhà máy;
(b) Đối với hệ thống sàn nâng tàu có số lượng lớn các tời giống hệt nhau thì có thể xem xét thử tải có chọn lọc tại nhà máy miễn là tất cả các tời được thử toàn tải trong quá trình thử toàn bộ hệ thống sàn nâng. Tải thử được quy định ở Bảng 2.4.1-1(1);
(c) Đối với việc thử các đơn vị tời tại nhà máy, giá trị SWL trong Bảng 2.4.1-1(1) phải được lấy bằng sức căng của một dây tác dụng lên tời.
Bảng 2.4.1-1(1) Tải thử đối với tời và giàn đỡ
|
Tải định mức, SWL |
Tải thử (tấn) |
|
20 tấn ≤ SWL |
SWL x 1,25 |
|
20 tấn < SWL ≤ 50 tấn |
SWL + 5 |
|
SWL > 50 tấn |
1,1 x SWL |
(2) Hệ thống dịch chuyển:
(a) Tất cả giàn đỡ để di chuyển tàu theo chiều dọc hoặc chiều ngang sàn phải được thử tải phù hợp với các yêu cầu ở Bảng 2.4.1-1(1) dựa trên năng lực định mức của giàn đỡ;
(b) Các hệ thống dịch chuyển mà đã được tích hợp giá đỡ và giá chuyển hướng cũng phải được thử một cách riêng lẻ phù hợp với Bảng 2.4.1-1(1), căn cứ vào năng lực định mức của giá đỡ và giá chuyển hướng;
(c) Đối với hệ thống sàn nâng có một số lượng lớn các giàn đỡ thì có thể xem xét thử một cách có chọn lọc trong số các giàn đỡ đó.
(3) Xy lanh thủy lực:
(a) Các xy lanh được sử dụng ở sàn nâng và ở giàn đỡ của hệ thống dịch chuyển phải được thử áp suất tại nhà máy tới 1,5 lần áp suất thiết kế;
(b) Các xy lanh được lắp trên giàn đỡ và giá chuyển hướng của hệ thống dịch chuyển phải được thử tải như một phần của việc thử tải giàn đỡ hoặc giá chuyển hướng.
(4) Sàn:
(a) Sàn phải được thử tải trong quá trình lắp đặt tại hiện trường:
(i) Ở trạng thái không tải hoặc một phần tải; và
(ii) Với 100% tải trọng phân bố lớn nhất.
(b) Phải tiến hành thử không tải hoặc một phần tải để chứng minh hệ thống sàn hoạt động hiệu quả;
(c) Việc thử tải với 100% tải trọng phân bố lớn nhất có thể được thực hiện theo các bước bằng cách thử các cặp đối diện hoặc các bộ tời nếu kích thước của hệ thống sàn nâng quá lớn dẫn đến việc thử toàn bộ sàn cùng lúc là không khả thi;
(d) Nếu việc thử với 100% tải trọng phân bố lớn nhất được thực hiện theo các bước thì phải chắc chắn là mỗi đơn vị tời được thử tới tải định mức. Điều này đặc biệt quan trọng đối với các sàn được thiết kế cứng.
(5) Các chi tiết khác:
Việc thử các chi tiết tháo được, xích và cáp được thực hiện theo quy định 2.5-2(2) và (3) Mục II QCVN 23: 2010/BGTVT.
3. Thử hoạt động
(1) Ngoài việc thử tải như quy định ở -1, cần phải thử toàn bộ hoạt động với một con tàu có lượng chiếm nước bằng xấp xỉ sức nâng danh nghĩa của hệ thống sàn nâng tàu. Việc thử này cần được tiến hành trên toàn bộ chu trình hoạt động, bao gồm nâng lên, kê đỡ tàu, di chuyển lên bờ, di chuyển trên bờ trên bộ phận đỡ tàu (nếu có), di chuyển trở lại sàn, và hạ xuống;
(2) Tùy thuộc vào điều kiện thực tế, nếu không có khả năng thử hoạt động ở sức nâng danh nghĩa thì có thể thử với tải nhỏ hơn nhưng không nhỏ hơn 60% sức nâng danh nghĩa;
(3) Khi việc thử hoạt động bị giới hạn, Giấy chứng nhận sẽ được xác nhận về các giới hạn của quá trình thử và hoạt động dịch chuyển sẽ bị hạn chế tới lượng chiếm nước được thử như nêu ở (2) cho tới khi có một con tàu với lượng chiếm nước phù hợp để thử hệ thống ở sức nâng danh nghĩa. Việc thử hoạt động ở 100% sức nâng danh nghĩa thường phải được thực hiện trong vòng một năm sau khi hoàn thành việc thử bị giới hạn ở trên dưới sự chứng kiến của Đăng kiểm;
(4) Thử hệ thống máy, thiết bị điện, điều khiển và vận hành phải theo các yêu cầu ở Chương 4.
2.2. Kiểm tra phân cấp các sàn nâng tàu không có giám sát của Đăng kiểm trong đóng mới
2.2.1. Trình bản vẽ và hồ sơ
Các bản vẽ ghi rõ thông số của sàn nâng tàu hiện có và các hồ sơ quy định ở 2.1.2 phải được trình để Đăng kiểm soát xét. Các báo cáo và biên bản liên quan đến kết cấu của sàn nâng tàu cũng phải được gửi cho Đăng kiểm khi có yêu cầu.
2.2.2. Kiểm tra
1. Trong suốt quá trình kiểm tra, Đăng kiểm viên phải xem xét sự thỏa mãn về chất lượng công nghệ và xác nhận kích thước của các cơ cấu và trang thiết bị theo các hồ sơ đã soát xét. Để xác nhận thực trạng của bất kỳ hư hỏng nào, nếu cần, các phần của kết cấu phải được khoan để kiểm tra. Sàn nâng tàu có hình thức kết cấu mới phải được xem xét đặc biệt.
2. Kiểm tra toàn bộ kết cấu thép. Phải ghi lại quy cách vật liệu, phạm vi của hư hỏng, nếu có. Việc thử không phá hủy phải thỏa mãn các quy định sau:
(1) Tất cả các mối hàn góc và đối đầu ở khu vực đỡ hộp pu li, các mối hàn đối đầu nằm ngang trên sống đỡ chính và các khu vực có tầm quan trọng tương tự. 100% mối hàn đối đầu phải được kiểm tra từ tính và siêu âm, 100% mối hàn góc phải được kiểm tra từ tính;
(2) 20% các mối hàn góc ở cơ cấu chính còn lại phải được kiểm tra từ tính.
3. Kiểm tra toàn bộ cáp, xích nâng, cùng với cả pu li và các bộ tời. Cáp và xích phải được thay mới theo các quy định ở 2.3.2-3. Phải áp dụng các quy định ở từ 2.3.2-4(2) đến (4) và phạm vi thay mới ban đầu phải được sự đồng ý của Đăng kiểm viên.
4. Kiểm tra toàn bộ các tời, hệ thống điện và hệ thống điều khiển tương ứng với các quy định ở 2.3.2-6, -7 và -9.
5 Phải thử hệ thống sàn nâng tàu theo các quy định ở 2.1.4.
Trong trường hợp hệ thống dịch chuyển tàu muốn được trao cấp thì cần thỏa mãn các yêu cầu ở 2.3.2-8, trong đó số lượng chốt trục bánh xe của giá chuyển hướng rút ra để kiểm tra phải là 25%.
2.3. Kiểm tra chu kỳ và kiểm tra bất thường
2.3.1. Quy định chung
1. Để duy trì cấp, sàn nâng tàu phải được tiến hành kiểm tra chu kỳ, kiểm tra bất thường (kiểm tra khi sự cố, sửa chữa, hoán cải và trang bị lại v.v...) phù hợp với những quy định ở 2.3.2 và 2.3.3 dưới đây.
2.3.2. Kiểm tra chu kỳ
1. Kiểm tra chu kỳ phải được thực hiện theo hệ thống kiểm tra liên tục chu kỳ 5 năm phù hợp với Kế hoạch kiểm tra được Đăng kiểm duyệt, với khối lượng hàng năm như quy định từ -2 đến -13 dưới đây. Kiểm tra chu kỳ phải được hoàn thành không muộn hơn ngày ấn định kiểm tra hàng năm.
2. Hàng năm, 20% sống dọc và ngang, chính và phụ cần được kiểm tra (có thể sẽ phải tháo các cần ngắt tới hạn để nâng những vùng ngập nước của sàn lên khỏi mặt nước). Việc kiểm tra bao gồm:
(1) Tại chỗ chuyển tiếp hoặc đỡ ở các mối nối của dầm dọc và ngang để tìm các dấu hiệu của làm việc quá tải, nứt và các khuyết điểm khác;
(2) Kiểm tra tổng thể lớp sơn bảo vệ;
(3) Kiểm tra sự thẳng hàng của các thanh ray, dấu hiệu của sự mài mòn tại các chỗ nối và các thanh ray chuyển tiếp giữa sàn nâng và bờ.
Để phục vụ kiểm tra, cần phải dỡ bỏ lớp vật liệu lát mặt sàn nếu cần thiết.
3. Đăng kiểm viên phải kiểm tra đảm bảo về điều kiện bảo quản và bôi trơn các cáp nâng.
Tại đợt kiểm tra chu kỳ, Đăng kiểm viên cũng phải tiến hành kiểm tra toàn bộ tại chỗ bằng mắt thường đến mức có thể thực hiện được để tìm các dấu hiệu về ăn mòn, mài mòn, đứt trên các sợi của cáp.
(1) Nói chung, dây cáp phải được thay mới nếu có 5% hoặc hơn số lượng sợi cáp trên một khoảng chiều dài bằng 10 lần đường kính cáp bị đứt, mài mòn hoặc ăn mòn. Tuy nhiên, đối với từng trường hợp cụ thể, việc loại bỏ cáp phải phù hợp với tiêu chuẩn ISO 4309:2010;
(2) Tại lần kiểm tra hàng năm thứ hai và các năm tiếp theo, số lượng tối thiểu dây cáp cần phải tháo ra khỏi hệ thống sàn nâng tàu được xác định như sau:
|
Tới 6 đơn vị tời: Trên 6 tới 20 đơn vị tời: Trên 20 đơn vị tời: |
1 cáp; 2 cáp; 4 cáp. |
Đăng kiểm viên cần phải chọn một mẫu chiều dài trên mỗi dây cáp được thay thế để thử phá hủy. Nếu mẫu thử bị đứt ở tải trọng thấp hơn 10 phần trăm giá trị yêu cầu tối thiểu thì cần phải xem xét thử và thay thế một phần hoặc toàn bộ số dây cáp còn lại;
(3) Mục đích là sao cho thay thế các dây cáp theo trình tự, tùy thuộc vào tốc độ mài mòn, ăn mòn hóa học, ăn mòn thông thường hoặc các dạng hư hỏng khác liên quan đến mỗi hệ thống sàn nâng tàu. Đối với các hệ thống sàn nâng tàu nhỏ thì việc này dẫn đến chu kỳ thay thế là khoảng 5 năm. Đề nghị chu kỳ thay thế lớn hơn 10 năm đối với các hệ thống sàn nâng tàu lớn sẽ được Đăng kiểm xem xét riêng dựa trên các kết quả thử.
4. Nếu áp dụng thiết bị thử không phá hủy để kiểm tra cáp nâng trong kỳ kiểm tra hàng năm thì cần tuân thủ quy trình dưới đây:
(1) Độ chính xác và tin cậy của thiết bị thử không phá hủy phải thỏa mãn các yêu cầu Đăng kiểm viên đưa ra;
(2) Phạm vi thử phải thỏa mãn yêu cầu của Đăng kiểm viên nhằm xác minh sự phù hợp của thiết bị đối với hệ thống tời/cáp và tốc độ cáp cụ thể;
(3) Kiểm tra cáp hàng năm phải được tiến hành như sau:
(a) Kiểm tra toàn bộ cáp bằng mắt thường để tìm các sợi đứt trên cáp. Phải đặc biệt chú ý tình trạng của cáp trong phạm vi kết thúc cáp vì những vùng này khó để thiết bị thử không phá hủy tiếp cận (Xem (4) - Thử A);
(b) Thiết bị dùng để thử không phá hủy cáp phải được người có đào tạo (có năng lực) vận hành. Số lượng cáp được chọn để thử phải thỏa mãn quy định 2.3.2-3(2) nhưng không nhỏ hơn 10 phần trăm tổng số lượng cáp của hệ thống sàn nâng tàu. Cáp phải được kiểm tra trên toàn bộ chiều dài và được chọn dựa trên Kế hoạch kiểm tra lập sẵn, trên cơ sở luân phiên hàng năm (Xem (4) - Thử B);
(c) Hai năm sau khi hoàn thành việc lắp đặt sàn nâng tàu, một cáp đã được kiểm tra không phá hủy phải được chọn để thử phá hủy nhằm xác nhận kết quả thử không phá hủy. Sau đó, một cáp phải được chọn để thử kéo đứt mỗi năm (Xem (4) - Thử C).
(4) Các kết quả thử ở (3) sẽ được sử dụng để xác định việc thay thế hoặc thử tiếp có cần phải tiến hành hay không. Các tiêu chuẩn dưới đây phải được áp dụng để xác định việc giữ lại dây cáp hay không:
Thử A: Số lượng sợi bị đứt trên dây cáp không lớn hơn số lượng được quy định trong tiêu chuẩn ISO 4309:2010 đối với từng loại cáp được sử dụng;
Thử B: Diện tích mặt cắt ngang không được giảm hơn 10 phần trăm so với ban đầu.
Trong trường hợp phần diện tích giảm nằm trong khoảng 5 đến 10 phần trăm thì cần phải xem xét để đưa các dây cáp này bổ sung thêm vào số lượng cáp đã chọn thử không phá hủy ở lần kiểm tra hàng năm tiếp theo;
Thử C: Lượng suy giảm lực kéo đứt sau khi đã tính đến tác dụng tổng hợp của mài mòn, rỗ do ăn mòn, và sợi đứt không được lớn hơn 10 phần trăm lực kéo đứt nhỏ nhất của cáp. Lực kéo đứt nhỏ nhất của cáp sẽ được xác định theo nhà sản xuất cáp.
5. Đăng kiểm viên có nhiệm vụ kiểm tra việc bảo trì, tình trạng và việc bôi trơn các xích nâng. Nói chung, ở bất cứ đâu trên xích mà đường kính chỗ mòn nhất giảm so với đường kính danh nghĩa từ 4% trở lên thì cần phải thay mới.
6. Phải kiểm tra 20% pu li bên trên và bên dưới, ổ đỡ, trục, và phần vỏ bảo vệ, trong số đó, cần phải mở ra kiểm tra ít nhất 2 bộ pu li hoàn chỉnh. Tất cả các pu li phải được mở để kiểm tra ít nhất 1 lần trong chu kỳ kiểm tra 5 năm. Cần phải chú ý đến puli bên dưới trong khu vực lỗ thoát nước và phải kiểm tra khu vực liên kết giữa vỏ bảo vệ pu li với điểm đỡ trên và dưới.
7. Phải tháo vỏ bảo vệ của 20% tời để kiểm tra các hạng mục sau:
(1) Kiểm tra sự ăn khớp giữa các bánh răng hở;
(2) Phải mở gối đỡ ổ trục chính;
(3) Sử dụng cần siết lực để kiểm tra siết chặt của ốc siết lắp bánh răng trụ tròn cuối với tang trống;
(4) Kiểm tra các bánh răng chính, tất cả trục và ổ đỡ của bánh răng hở;
(5) Kiểm tra cấu trúc của tời và việc bố trí các bu lông.
8. Trong trường hợp hệ thống dịch chuyển tàu được trao cấp thì phải kiểm tra 20 phần trăm số lượng giá chuyển hướng.
(1) Kiểm tra mài mòn của các bánh xe và tình trạng liên kết giữa các giá chuyển hướng;
(2) Rút ngẫu nhiên 10 phần trăm chốt trục bánh xe của giá chuyển hướng để kiểm tra dấu hiệu mài mòn quá mức và các hư hỏng khác;
(3) Kiểm tra sự thẳng hướng và mài mòn của các thanh ray để xác nhận sự phù hợp trong việc bố trí khóa và định vị.
9. Thử cách điện toàn bộ hệ thống điện và kiểm tra tất cả cáp điện. Ngoài ra:
(1) Kiểm tra công tắc, rơ le, và tất cả các thiết bị cơ điện khác;
(2) Kiểm tra 20 phần trăm mô tơ điện, trong đó có các ổ đỡ và phanh từ;
(3) Kiểm tra ngắt quá tải của tất cả các áp tô mát;
(4) Kiểm tra máy nén cấp khí cho cá chặn trong tời cùng với bình khí nén;
(5) Kiểm tra hiệu quả làm việc của tất cả các thiết bị an toàn.
10. Trong khoảng thời gian hợp lý gần với kiểm tra hàng năm, Đăng kiểm viên cần có mặt để chứng kiến hoạt động nâng hạ và dịch chuyển để kiểm tra hoạt động tổng thể của hệ thống sàn nâng tàu.
11. Cần chú ý rằng lớp vật liệu lát mặt sàn không liên quan đến việc phân cấp sàn nâng tàu. Tuy nhiên, cũng cần báo cáo tình trạng chung của lớp vật liệu lát mặt sàn.
12. Cần phải báo cáo bất kỳ vấn đề nào khác mà liên quan đến việc phân cấp sàn nâng tàu.
13. Các yêu cầu đối với việc kiểm tra chu kỳ hệ thống sàn nâng nhỏ sẽ được xem xét đặc biệt.
2.3.3. Hư hỏng, hoán cải và trang bị lại
Khi có hư hỏng hoặc tiến hành công việc hoán cải kết cấu, máy móc hoặc trang thiết bị làm ảnh hưởng hoặc có thể làm ảnh hưởng đến cấp của sàn nâng tàu, chủ sàn nâng tàu hoặc đại diện của chủ sàn nâng tàu phải thông báo để mời Đăng kiểm viên đến kiểm tra.
2.4. Chuẩn bị kiểm tra và trợ giúp kiểm tra
2.4.1. Chuẩn bị kiểm tra và trợ giúp kiểm tra
1. Người mời kiểm tra (hoặc đại diện của người mời kiểm tra) phải có trách nhiệm thực hiện tất cả công việc chuẩn bị phù hợp với yêu cầu của đợt kiểm tra cũng như các công việc cần thiết phục vụ cho công việc kiểm tra do Đăng kiểm viên yêu cầu. Công tác chuẩn bị nhằm đảm bảo một lối vào an toàn và dễ dàng, các điều kiện vật chất và hồ sơ cần thiết để tiến hành việc kiểm tra. Các thiết bị để tiến hành kiểm tra, đo đạc và thử nghiệm mà Đăng kiểm viên cần để tiến hành việc phân cấp phải được chọn lựa và kiểm chuẩn riêng biệt theo tiêu chuẩn mà Đăng kiểm cho là thích hợp. Tuy nhiên, Đăng kiểm viên có thể chấp nhận những thiết bị đo đạc đơn giản (như thước, thước dây, đồng hồ hàn, trắc vi kế) mà không cần sự lựa chọn riêng lẻ hay sự xác nhận về kiểm chuẩn với điều kiện những thiết bị có thiết kế thông dụng đạt tiêu chuẩn và được đối chiếu định kỳ với các thiết bị hay dụng cụ thử nghiệm tương tự. Đăng kiểm viên cũng có thể chấp nhận những thiết bị được sử dụng trong quá trình kiểm tra (như đồng hồ đo áp suất, nhiệt độ hoặc vòng quay máy và các dụng cụ đo) dựa trên hồ sơ kiểm chuẩn hoặc so sánh với những chỉ số của các dụng cụ khác.
2. Người mời kiểm tra phải bố trí ít nhất một người đại diện nắm vững các hạng mục kiểm tra để chuẩn bị tốt công việc phục vụ kiểm tra và giúp đỡ Đăng kiểm viên khi có yêu cầu trong suốt quá trình kiểm tra.
3. Đăng kiểm viên, chủ sàn nâng tàu hoặc người đại diện của chủ sàn nâng tàu, đại diện đơn vị đo và các đơn vị liên quan phải họp bàn về thời gian bắt đầu kiểm tra và đo đạc cũng như kế hoạch kiểm tra để đảm bảo các thiết bị đo có chất lượng tốt và việc kiểm tra, đo đạc diễn ra an toàn.
4. Công việc kiểm tra có thể bị hoãn lại nếu chưa có sự chuẩn bị cần thiết hay chủ sàn nâng tàu hoặc nhân viên như yêu cầu ở mục -2 không có mặt khi tiến hành kiểm tra hoặc Đăng kiểm viên thấy chưa có sự đảm bảo an toàn cho việc kiểm tra.
5. Trong quá trình kiểm tra, Đăng kiểm viên sẽ thông báo những chỗ cần thiết phải sửa chữa cho đại diện người yêu cầu kiểm tra trong khuyến nghị của mình. Việc sửa chữa phải được thực hiện thỏa mãn yêu cầu của Đăng kiểm viên.
6. Thay thế trang thiết bị và phụ tùng v.v…
Nếu cần thiết phải thay thế trang thiết bị và phụ tùng v.v… sử dụng trên sàn nâng tàu thì việc thay thế đó phải tuân thủ quy định đối với sàn nâng tàu hiện có. Tuy nhiên, trong trường hợp thiết bị đó được chỉ rõ hoặc Đăng kiểm cho rằng cần thiết thì Đăng kiểm có thể yêu cầu thiết bị thay thế đó phải thỏa mãn Quy chuẩn hiện hành. Ngoài ra, thiết bị thay thế đó không được sử dụng vật liệu có chứa amiăng.
CHƯƠNG 3. KẾT CẤU SÀN NÂNG TÀU
3.1. Yêu cầu
3.1.1. Tải trọng
1. Tự trọng
Phải đưa vào tính toán tự trọng bao gồm khối lượng của tất cả các cơ cấu thép, đường ray, mối hàn, hệ thống sơn và lớp phủ mặt sàn. Khi sử dụng gỗ để phủ mặt sàn thì phải xem xét thích đáng đến tính ngậm nước của gỗ khi tính toán.
2. Tải trọng kê tàu và dịch chuyển
(1) Thiết kế sàn nâng phải dựa trên tải trọng phân bố lớn nhất trên một mét khi các đế kê xếp dọc theo tâm sàn nâng hoặc dọc theo bộ thanh ray dịch chuyển phía trong và/hoặc chân giá đỡ trong trường hợp đế kê tàu không trực tiếp đặt lên trên sàn;
(2) Tải trọng tác dụng lên sàn từ giàn đỡ hoặc bánh xe của giá chuyển hướng phải được đưa vào tính toán trong quá trình dịch chuyển như sau:
(a) Trên toàn bộ chiều dài kê tàu của sàn cho tới mút phía bờ của sàn đối với trường hợp dịch chuyển theo chiều dọc sàn;
(b) Trên toàn bộ chiều dài của thanh ray dịch chuyển ngang đối với trường hợp dịch chuyển theo chiều ngang.
(3) Việc bố trí đế kê và giàn đỡ phải đảm bảo sao cho ứng suất trên thân vỏ của tàu được kê không lớn hơn giá trị mà kết cấu thân tàu có thể chịu được. Thông thường, giá trị ứng suất này nằm trong khoảng 200 đến 230 t/m2. Tuy nhiên, trong một số trường hợp cá biệt mà gây ra giá trị ứng suất lớn hơn hoặc nhỏ hơn thì vẫn có thể chấp nhận được;
(4) Ảnh hưởng của lực tác động cần thiết để thắng lực ma sát trong hệ thống dịch chuyển phải được đưa vào tính toán độ bền theo phương nằm ngang của sàn. Lực ma sát phải được lấy không nhỏ hơn 1,5% tải trọng trên bánh xe của giàn đỡ nếu bánh xe được lắp ổ đỡ lăn, và 4% nếu bánh xe được lắp ổ đỡ trượt.
3. Tải trọng ở khu vực tiếp cận và tải trọng mặt sàn nói chung
(1) Khu vực để đi vào và tiếp cận của sàn cũng phải được thiết kế cho mục đích đi bộ vào và bảo dưỡng ứng với:
(a) Tải trọng gia tăng lấy bằng 5 kN/m2, phân bố đều; và
(b) Tải trọng tập trung lấy bằng 10 kN tại một điểm bất kỳ.
Có thể yêu cầu tải trọng với giá trị lớn hơn nhằm thỏa mãn các tiêu chuẩn về vận hành của thiết bị.
(2) Trong trường hợp yêu cầu phải tiếp cận bằng xe, mặt sàn và kết cấu đỡ mặt sàn phải được thiết kế phù hợp với các yêu cầu ở 8.9, 10.7 và 15.5 Phần 2A QCVN 21:2010/BGTVT ứng với các phương tiện dự định sử dụng. Các tải trọng này thường không ảnh hưởng đến sức nâng quy định ở 1.2.2 Mục I.
4. Tải trọng gió
(1) Mỗi sàn nâng và hệ thống dịch chuyển và cơ cấu đỡ phải có khả năng chịu được:
(a) Tải trọng do gió tác dụng lên cả tàu và sàn ứng với tốc độ gió lớn nhất được quy định trong trường hợp sàn nâng vẫn tiếp tục hoạt động được;
(b) Tải trọng do gió tác dụng lên sàn ứng với tốc độ gió lớn nhất mà sàn phải dừng hoạt động dựa vào chu kỳ xuất hiện là 1 lần trên 50 năm.
(2) Tốc độ gió thiết kế phải dựa trên các dữ liệu về khí tượng tại vùng lắp đặt sàn nâng.
Trong trường hợp không thể xác định được tốc độ gió bằng các ghi chép tin cậy liên quan đến khí tượng tại vùng lắp sàn nâng thì phải sử dụng các giá trị sau:
(a) 20 m/s đối với điều kiện hoạt động bình thường; (b) 63 m/s đối với điều kiện dừng hoạt động.
5. Tải trọng địa chấn
(1) Sàn nâng ở những khu vực có nguy cơ động đất cao phải được thiết kế để có thể chịu được gia tốc do Động đất vận hành cơ bản (OBE) gây ra. Đây là giá trị gia tốc mà hệ thống sàn nâng, theo dự tính, vẫn duy trì được hoạt động. Động đất với cường độ lớn như vậy là rất có thể xảy ra tại khu vực lắp đặt sàn nâng trong suốt tuổi thọ vận hành của sàn.
(2) Có thể phải xem xét đến hoạt động địa chấn lớn nhất có thể xảy ra tại khu vực lắp sàn nâng nếu sự cố đối với sàn nâng sẽ dẫn đến tổn thất lớn về người hoặc gây hư hại nghiêm trọng đến môi trường.
6. Các tổ hợp tải trọng
(1) Sàn nâng tàu và hệ thống dịch chuyển phải được xem xét chịu các tải trọng thiết kế do các trường hợp sau gây ra:
(a) Trường hợp 1: Tải trọng vận hành - Tàu được kê trên sàn và dịch chuyển khi không có gió
Sàn nâng và hệ thống dịch chuyển phải được xem xét chịu tự trọng của cả hệ thống cộng với tải trọng tác dụng theo phương thẳng đứng do tàu và hệ thống dịch chuyển gây ra, cùng với các tải trọng nằm ngang do lực kéo/ ma sát gây ra trong quá trình dịch chuyển.
(b) Trường hợp 2: Tải trọng vận hành - Tàu được kê trên sàn và dịch chuyển khi có gió
Sàn nâng và hệ thống dịch chuyển phải được xem xét chịu tự trọng của cả hệ thống cộng với tải trọng tác dụng theo phương thẳng đứng do tàu và hệ thống dịch chuyển gây ra, cùng với các tải trọng nằm ngang do gió (phải sử dụng vận tốc thực tế của gió hoặc 20 m/s) tác dụng đồng thời lên cả tàu và sàn nâng cộng với các tải trọng nằm ngang do lực kéo/ ma sát gây ra trong quá trình dịch chuyển.
(c) Trường hợp 3: Duy trì tồn tại - Tàu nằm trên hệ thống dịch chuyển trên bờ trong trạng thái xảy ra gió rất mạnh
Hệ thống dịch chuyển phải được xem xét chịu được tự trọng của nó cộng với tải trọng theo phương thẳng đứng do tàu gây ra, cùng với tải trọng nằm ngang do tình trạng gió rất mạnh (phải sử dụng giá trị gió thực tế hoặc nếu không tốc độ gió phải được lấy bằng 63 m/s) tác dụng đồng thời lên tàu và sàn đỡ tàu. Nếu thấy cần thiết, cũng phải xem xét đến hoạt động địa chấn do Động đất vận hành cơ bản gây ra như sau:
- Xảy ra riêng rẽ; hoặc
- Xảy ra đồng thời với tình trạng gió rất mạnh.
(2) Tại khu vực đế kê hông tàu, kết cấu của sàn phải được thiết kế chịu tải trọng lớn nhất do trường hợp 2 gây ra. Tải trọng này không được nhỏ hơn 20% tải trọng phân bố lớn nhất tính trên một mét.
3.1.2. Ứng suất cho phép
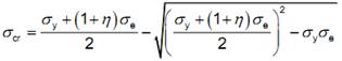
1. Ứng suất cho phép, σa, phải được lấy bằng ứng suất phá hủy của cơ cấu đang xét nhân với hệ số ứng suất F, hệ số này phụ thuộc vào trường hợp tải trọng đang xem xét. Ứng suất cho phép được tính theo công thức chung như sau:
σa = Fσ hoặc
ta = Ft.
Trong đó:
σa là ứng suất pháp cho phép, N/mm2;
ta là ứng suất cắt cho phép, N/mm2;
Σ và t là ứng suất phá hủy, N/mm2.
2. Hệ số ứng suất F đối với thép có σy/σu ≤ 0,85 được cho trong Bảng 3.1.2-1, trong đó:
σy là ứng suất chảy của vật liệu, N/mm2;
σu là ứng suất kéo tới hạn của vật liệu, N/mm2;
Bảng 3.1.2-1 Hệ số ứng suất F
|
Trường hợp tải trọng |
1 |
2 |
3 |
|
Hệ số ứng suất F |
0,67 |
0,75 |
0,85 |
3. Ứng suất cho phép đối với thép có σy/σu > 0,85 phải được tính theo công thức sau:
σa = 0,46(σu+ σy)
ta = 0,27F(σu+ σy)
Trong đó, σa và ta được xác định như ở -1.
4. Các loại thép có σy/σu > 0,94 thường không được chấp nhận và phải được xem xét đặc biệt.
5. Ứng suất phá hủy đối với các chế độ phá hủy trong giới hạn đàn hồi của vật liệu được quy định ở Bảng 3.1.2-2.
Bảng 3.1.2-2 Ứng suất phá hủy
|
Chế độ phá hủy |
Ký hiệu |
Ứng suất phá hủy |
|
Kéo |
σ |
1,0σy |
|
Nén |
σc |
1,0σy |
|
Cắt |
t |
0,58σy |
|
Trên ổ đỡ |
σbr |
1,0σy |
6. Đối với các cơ cấu chịu ứng suất kết hợp, phải sử dụng tiêu chuẩn về ứng suất cho phép sau:
σxx < Fσt
σyy < Fσt
t0 < Ft
![]()
Trong đó:
σxx là ứng suất tác dụng theo phương trục x, N/mm2;
σyy là ứng suất tác dụng theo phương trục y, N/mm2;
t0 là ứng suất cắt, N/mm2.
7. Ứng suất cho phép có thể giảm ở những khu vực có lỗ khoét hoặc có các chi tiết kết cấu mà có thể tạo nên tập trung ứng suất.
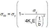
8. Đối với các cơ cấu chịu nén, ứng suất hướng trục cho phép của các cơ cấu này phải được lấy bằng ứng suất nén tới hạn σcr, được xác định như công thức dưới đây (công thức Perry-Robertson), và nhân với hệ số ứng suất F cho trong Bảng 3.1.2-1.

Trong đó

![]()
E là mô đun đàn hồi của vật liệu;
L là chiều dài của cơ cấu;
r là bán kính quán tính mặt cắt ngang của cơ cấu;
a là hằng số Robertson (được cho trong Bảng 3.1.2-4);
σy là ứng suất chảy;
K là hệ số phụ thuộc vào liên kết mút của cơ cấu, được lấy theo Bảng 3.1.2-3.
Bảng 3.1.2-3 Hệ số K
|
Hình minh họa |
Điều kiện biên |
Hệ số K |
|
|
2 đầu ngàm |
0,7 |
|
|
1 đầu ngàm, 1 đầu liên kết kiểu bản lề nhưng không có chuyển vị ngang |
0,85 |
|
|
Cả 2 đầu liên kết kiểu bản lề nhưng không có chuyển vị ngang |
1,0 |
|
|
1 đầu ngàm, 1 đầu không có chuyển vị xoay và chỉ có chuyển vị ngang |
1,5 |
|
|
1 đầu ngàm, 1 đầu vừa chuyển vị ngang vừa chuyển vị xoay |
2,0 |
Bảng 3.1.2-4 Hằng số Robertson
|
Kiểu mặt cắt |
Chiều dày bản cánh hoặc tấm (mm) |
Trục mất ổn định |
Hằng số |
|
Thép hình chữ I |
|
xx |
2,0 |
|
yy |
3,5 |
||
|
Thép hình chữ H (1) |
≤ 40 |
xx |
3,5 |
|
yy |
5,5 |
||
|
> 40 |
xx |
5,5 |
|
|
yy |
8,0 |
||
|
Thép hàn chữ I hoặc H (1) (2) (3) |
≤ 40 |
xx |
3,5 |
|
yy |
5,5 |
||
|
> 40 |
xx |
3,5 |
|
|
yy |
8,0 |
||
|
Thép hình chữ I hoặc H được hàn thêm tấm nắp (1) (4) |
|
xx |
3,5 |
|
yy |
|
||
|
|
xx |
2,0 |
|
|
yy |
|
||
|
Mặt cắt hàn hình hộp (1) (3) (4) |
≤ 40 |
Bất kỳ |
3,5 |
|
> 40 |
Bất kỳ |
5,5 |
|
|
Thép hình chữ U, L hoặc T |
|
Bất kỳ |
5,5 |
|
Thép rỗng cán nóng |
|
Bất kỳ |
2,0 |
|
Thép uốn tròn, vuông hoặc dẹt (1) |
≤ 40 |
Bất kỳ |
3,5 |
|
> 40 |
Bất kỳ |
5,5 |
|
|
Thép hình ghép (nhiều hơn một thanh chữ I, H hoặc U ghép lại với nhau, thanh I ghép với thanh U v.v...) |
|
Bất kỳ |
5,5 |
|
Hai thanh thép hình chữ L, U hoặc T ghép lưng vào nhau |
|
Bất kỳ |
5,5 |
|
Hai thanh thép hình được buộc vào nhau |
|
Bất kỳ |
5,5 |
|
Thanh chống chéo |
|
Bất kỳ |
2,0 |
|
Chú thích: (1) Đối với các chiều dày nằm trong khoảng 40 và 50 mm, giá trị σcr có thể được lấy bằng giá trị trung bình của các giá trị tính cho chiều dày nhỏ hơn 40 mm và lớn hơn 40 mm. (2) Đối với thép hàn chữ I hoặc H, nếu đảm bảo rằng mép của bản cánh chỉ bị cắt bằng đèn xì thì có thể sử dụng giá trị a sau đây khi tính toán ổn định của cơ cấu đối với trục yy: - Chiều dày của bản cánh ≤ 40 mm thì a = 3,5; - Chiều dày của bản cánh > 40 mm thì a = 5,5. (3) Độ bền chảy của mặt cắt cơ cấu tạo bởi thép tấm hàn bị giảm 25 N/mm2. (4) "Mặt cắt hàn hình hộp" là những mặt cắt được tạo thành từ: - 4 tấm hàn với nhau; - 2 thanh thép góc hàn với nhau; - 1 thanh thép chữ I hoặc H hàn với 2 tấm mà không phải là mặt cắt hộp được tạo bởi 2 thanh thép chữ U hoặc tạo bởi các tấm được hàn cơ cấu dọc. |
|||
Giá trị σcr của thép được cho trong Bảng 3.1.2-5. Đăng kiểm có thể chấp nhận các phương pháp đã được công nhận khác để tính toán σcr.
Bảng 3.1.2-5 Giá trị σcr (N/mm2), tính cho cơ cấu bằng thép
|
Ứng suất chảy, N/mm2 |
240 |
260 |
360 |
||||||||||
|
Độ mảnh |
Hằng số Robertson |
2,0 |
3,5 |
5,5 |
8,0 |
2,0 |
3,5 |
5,5 |
8,0 |
2,0 |
3,5 |
5,5 |
8,0 |
|
20 |
239 |
239 |
238 |
237 |
259 |
258 |
257 |
255 |
356 |
353 |
350 |
345 |
|
|
30 |
234 |
230 |
224 |
218 |
253 |
248 |
242 |
234 |
348 |
339 |
328 |
316 |
|
|
40 |
228 |
220 |
210 |
199 |
246 |
237 |
226 |
214 |
337 |
322 |
305 |
286 |
|
|
50 |
221 |
209 |
195 |
181 |
238 |
225 |
210 |
194 |
323 |
301 |
278 |
256 |
|
|
60 |
212 |
196 |
180 |
163 |
228 |
210 |
192 |
174 |
302 |
275 |
249 |
225 |
|
|
70 |
200 |
182 |
163 |
146 |
214 |
193 |
174 |
156 |
272 |
245 |
219 |
196 |
|
|
80 |
185 |
165 |
147 |
131 |
196 |
175 |
155 |
138 |
237 |
213 |
190 |
170 |
|
|
90 |
167 |
148 |
131 |
116 |
175 |
156 |
138 |
122 |
202 |
182 |
164 |
147 |
|
|
100 |
149 |
132 |
117 |
103 |
154 |
137 |
122 |
108 |
171 |
156 |
141 |
127 |
|
|
110 |
131 |
117 |
103 |
92 |
134 |
121 |
107 |
96 |
146 |
134 |
122 |
111 |
|
|
120 |
115 |
103 |
92 |
82 |
117 |
106 |
95 |
85 |
125 |
116 |
106 |
97 |
|
|
130 |
101 |
91 |
82 |
73 |
102 |
93 |
84 |
76 |
108 |
101 |
93 |
85 |
|
|
140 |
89 |
81 |
73 |
66 |
90 |
83 |
75 |
68 |
94 |
89 |
82 |
76 |
|
|
150 |
78 |
72 |
66 |
59 |
79 |
74 |
67 |
61 |
83 |
78 |
73 |
68 |
|
|
160 |
70 |
65 |
59 |
53 |
71 |
66 |
60 |
55 |
73 |
69 |
65 |
61 |
|
|
180 |
56 |
53 |
48 |
44 |
57 |
53 |
49 |
45 |
59 |
56 |
53 |
49 |
|
|
190 |
51 |
48 |
44 |
40 |
51 |
48 |
45 |
41 |
53 |
51 |
48 |
45 |
|
|
200 |
46 |
44 |
40 |
37 |
47 |
44 |
41 |
38 |
48 |
46 |
44 |
41 |
|
|
210 |
42 |
40 |
37 |
34 |
42 |
40 |
38 |
35 |
43 |
42 |
40 |
38 |
|
|
220 |
39 |
37 |
34 |
32 |
39 |
37 |
35 |
32 |
40 |
38 |
37 |
35 |
|
|
230 |
35 |
34 |
32 |
29 |
36 |
34 |
32 |
30 |
36 |
35 |
34 |
32 |
|
|
240 |
33 |
31 |
29 |
27 |
33 |
31 |
30 |
28 |
34 |
32 |
31 |
30 |
|
Độ mảnh s của cơ cấu với bán kính quán tính không đổi trên toàn bộ các mặt cắt được tính theo công thức sau:
s = KL/r
Trong đó:
K là hệ số tra theo Bảng 3.1.2-3;
L là chiều dài của cơ cấu;
r là bán kính quán tính của mặt cắt cơ cấu.
9. Ứng suất cho phép khi tính toán ổn định tấm phải được lấy bằng ứng suất tới hạn σcb hoặc σbb hoặc tb như dưới đây, sau đó nhân với hệ số ứng suất F cho trong Bảng 3.1.2-1.
(1) Đối với tấm chỉ chịu nén, ứng suất tới hạn được tính toán như sau:
(a) Nếu σcb < 0,5σy
![]()
(b) Nếu σcb ≥ 0,5σy

Trong đó:
σcb là ứng suất tới hạn khi tấm bị nén;
E là mô đun đàn hồi của vật liệu;
t là chiều dày tấm;
b là chiều rộng tấm, đo theo phương vuông góc với phương của ứng suất;
a là chiều dài tấm;
Kc là hệ số, được xác định như sau:
- Nếu α = a/b ≥ 1 thì ![]()
- Nếu α = a/b < 1 thì ![]()
μ là hệ số Poisson.
Đồ thị của Kc được cho trong Hình 3.1.2-1.

Hình 3.1.2-1 Hệ số Kc
(2) Đối với cơ cấu chịu ứng suất cắt, ứng suất tới hạn được tính như sau:
(a) Nếu tb < 0,29σy
![]()
b) Nếu tb ≥ 0,29σy

Trong đó:
tb là ứng suất cắt tới hạn khi tính ổn định của cơ cấu;
b là kích thước nhỏ nhất của tấm;
a là chiều dài tấm;
Ks là hệ số được xác định như sau:
- Nếu α = a/b ≥ 1 thì ![]()
- Nếu α = a/b < 1 thì ![]()
μ là hệ số Poisson.
Đồ thị của Ks được cho trong Hình 3.1.2-2.

Hình 3.1.2-2 Hệ số Ks
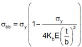
(3) Đối với cơ cấu chịu ứng suất uốn, ứng suất tới hạn được tính như sau:
(a) Nếu σbb < 0,5σy
![]()
(b) Nếu σbb ≥ 0,5σy

Trong đó:
σcb là ứng suất tới hạn khi tính ổn định của cơ cấu;
b là chiều rộng tấm, đo theo phương vuông góc với phương của ứng suất;
a là chiều dài tấm, theo phương của ứng suất;
Kb là hệ số được xác định như sau:
- Nếu α = a/b ≥ 2/3 thì ![]()
- Nếu α = a/b < 2/3 thì ![]()
μ là hệ số Poisson.
Đồ thị của Kb được cho trong Hình 3.1.2-3.

Hình 3.1.2-3 Hệ số Kb
(4) Đối với cơ cấu chịu ứng suất nén và cắt kết hợp thì phải thỏa mãn các tiêu chuẩn sau:
(a) σc ≤ Fσcb
(b) t ≤ Ftb
(c)![]()
Trong đó: σc và t là ứng suất nén và cắt tác dụng lên cơ cấu.
(5) Đối với cơ cấu chịu ứng suất uốn và cắt kết hợp thì phải thỏa mãn các tiêu chuẩn sau:
(a) σb ≤ Fσbb
(b) t ≤ Ftb
(c)![]()
Trong đó: σb và t là ứng suất do uốn và cắt tác dụng lên cơ cấu.
(6) Đối với cơ cấu chịu ứng suất uốn và nén kết hợp thì phải thỏa mãn các tiêu chuẩn sau:
(a) σc ≤ Fσcb
(b) σb ≤ Fσbb
(c)![]()
(7) Đối với cơ cấu chịu ứng suất uốn, nén và cắt kết hợp thì phải thỏa mãn các tiêu chuẩn sau:
(a) σc ≤ Fσcb
(b) σb ≤ Fσbb
(c) t ≤ Ftb
(d) ![]()
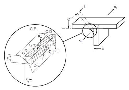
10. Ứng suất cho phép đối với các mối nối và liên kết phải thỏa mãn các yêu cầu dưới đây, trong đó F là hệ số ứng suất cho trong 3.1.2-1.
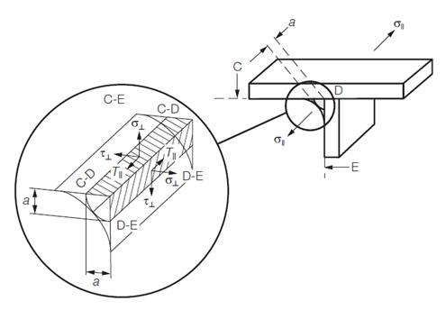
(1) Đối với các mối hàn, tính chất vật lý của kim loại hàn được coi như giống với kim loại được hàn. Đối với mối hàn đối đầu ngấu hoàn toàn, ứng suất cho phép bằng với ứng uất kéo cho phép của kim loại được hàn.
(2) Đối với mối hàn góc và mối hàn ngấu một phần, ứng suất cho phép phải giảm. Các giá trị của ứng suất giảm được cho trong Bảng 3.1.2-6 với F là hệ số ứng suất. Hình 3.1.2-4 minh họa các thành phần ứng suất của một mối hàn góc điển hình. Ứng suất thực tế ở mối hàn góc phải nhỏ hơn hoặc bằng ứng suất cho phép và phải được xác định như sau:
(a) Xác định các ứng suất vuông góc với mối hàn:
![]()
hoặc
![]()
(b) Xác định các ứng suất song song với mối hàn:
tװ≤ 0,58Fσy
(c) Xác định ứng suất kết hợp trên mối hàn:
![]()
Bảng 3.1.2-6 Ứng suất cho phép của mối hàn
|
Kiểu mối hàn |
Ứng suất cho phép |
|
|
Kéo và nén |
Cắt |
|
|
Mối hàn đối đầu ngấu hoàn toàn |
1,0Fσy |
0,58Fσy |
|
Mối hàn góc |
0,7Fσy |
0,58Fσy |

Hình 3.1.2-4 Các thành phần ứng suất trên mối hàn
(3) Ứng suất thực tế của mối hàn góc phải được tính toán dựa trên chiều cao của mối hàn (xem Hình 3.1.2-4).
(4) Độ bền của các mối nối sử dụng bu lông được tạo lực căng trước để truyền lực cắt và/hoặc lực kéo (ví dụ như bu lông bắt chặt cường độ cao) phải được xác định theo một phương pháp thích hợp nêu trong một tiêu chuẩn quốc gia hoặc quốc tế được Đăng kiểm công nhận.
(5) Đối với các mối nối sử dụng bu lông chính xác, là loại bu lông tinh được tiện hoặc làm lạnh lắp vào lỗ được khoan hoặc doa đúng cỡ với đường kính không lớn hơn đường kính của bu lông quá 0,4 mm, ứng suất cho phép đối với ngoại lực tác dụng được cho trong Bảng 3.1.2-7.
Bảng 3.1.2-7 Ứng suất cho phép đối với bu lông lắp không có khe hở
|
Kiểu tải trọng |
Ứng suất cho phép |
|
|
Trường hợp tải trọng 1 và 2 |
Trường hợp tải trọng 3 |
|
|
Kéo |
0,4σy |
0,54σy |
|
Chịu cắt đơn |
0,38σy |
0,51σy |
|
Chịu cắt đôi |
0,57σy |
0,77σy |
|
Kéo và cắt |
0,48σy |
0,64σy |
|
Ổ đỡ |
0,9σy |
1,2σy |
(6) Ứng suất cho phép đối với bu lông lắp có khe hở phải được lấy theo Bảng 3.1.2-8.
Bảng 3.1.2-8 Ứng suất cho phép đối với bu lông lắp có khe hở
|
Kiểu tải trọng |
Ứng suất cho phép |
|
|
Trường hợp tải trọng 1 và 2 |
Trường hợp tải trọng 3 |
|
|
Kéo |
0,4σy |
0,54σy |
|
Chịu cắt đơn |
0,32σy |
0,43σy |
|
Chịu cắt đôi |
0,36σy |
0,48σy |
|
Kéo và cắt |
0,48σy |
0,64σy |
|
Ổ đỡ |
0,7σy |
0,9σy |
(7) Nếu mối nối chịu sự dao động hoặc có sự đảo chiều của tải trọng dọc theo mối nối thì các bu lông phải được tạo lực căng trước bằng các phương tiện có kiểm soát sao cho ứng suất của bu lông đạt 70% tới 90% ứng suất chảy của vật liệu chế tạo bu lông.
(8) Không được sử dụng bu lông thường cho các mối nối chính hoặc các mối nối chịu sự phá hủy do mỏi.
(9) Bu lông làm bằng thép các bon phải phù hợp với Tiêu chuẩn ISO 898-1 hoặc tiêu chuẩn tương đương được công nhận. Các bu lông phải được lựa chọn cấp từ 8,8 đến 10,9. Việc sử dụng bu lông cấp 12,9 phải được Đăng kiểm xem xét đặc biệt. Bu lông làm từ các loại vật liệu khác, ví dụ như thép không rỉ, phải thỏa mãn các tiêu chuẩn quốc gia hoặc quốc tế mà Đăng kiểm công nhận.
(10) Các phương pháp khác sử dụng để tính toán ứng suất cho phép của bu lông có thể được chấp nhận miễn là phương pháp đó đã được công nhận trong các tiêu chuẩn quốc gia hoặc quốc tế và cho kết quả tương đương với các yêu cầu trong phần này.
11. Ứng suất cho phép của pu li, ma ní và các bộ phận tháo rời khác phải thỏa mãn quy định ở 6.4 QCVN 23: 2010/BGTVT.
12. Các cơ cấu của kết cấu chỉ chịu tác dụng của gió, bất kể trong trường hợp tải trọng nào, có thể được xác định trên cơ sở hệ số ứng suất F = 0,85.
3.1.3. Hệ số an toàn của cáp và xích
1. Hệ số an toàn của cáp
(1) Hệ số an toàn của cáp nâng và hạ sàn không lấy nhỏ hơn 3/1 dựa vào lực đứt đã được chứng nhận của cáp và ứng suất kéo lớn nhất của cáp. Ứng suất kéo lớn nhất của cáp được lấy dựa vào sức nâng định mức của tời, có sự giảm trừ do ảnh hưởng của ma sát trên pu li và độ cứng của dây cáp, lấy bằng 1,5% đối với ổ đỡ bi hoặc ổ đỡ lăn và 5% đối với ổ đỡ trượt. Tổn thất do ma sát của pu li và độ cứng của dây cáp xác định bằng cách đo tại hiện trường trên các thiết bị của sàn nâng tương tự sẽ được xem xét, với điều kiện các số liệu là có được từ cả sàn nâng mới và hiện có.
(2) Đối với sàn nâng có hệ thống dịch chuyển tàu theo chiều ngang sàn, nếu sàn đỡ tàu được treo trên cáp trong quá trình dịch chuyển thì thì năng lực cần thiết của cáp phải dựa trên lực nâng lớn nhất để cân bằng với tải trọng phân bố lớn nhất trong quá trình dịch chuyển.
(3) Trong trường hợp thực hiện việc dịch chuyển tàu theo chiều ngang sàn hoặc tàu nằm trên sàn trong khoảng thời gian dài thì nên xem xét đến việc trang bị các thiết bị để khóa hoặc treo nhằm truyền tải trọng của sàn trực tiếp lên các kết cấu đỡ.
2. Hệ số an toàn của xích
(1) Hệ số an toàn của xích nâng hạ sàn phải không được lấy nhỏ hơn 3/1 dựa vào lực đứt đã được chứng nhận của xích và ứng suất kéo lớn nhất của xích. Ứng suất kéo lớn nhất của xích được lấy dựa vào sức nâng định mức của tời.
(2) Trên cơ sở phá hủy gây ra bởi ăn mòn do ứng suất, không được sử dụng loại xích cấp 80 hoặc xích tương tự bằng hợp kim. (3) Có thể yêu cầu hệ số an toàn cao hơn khi:
(a) Tốc độ nâng của sàn lớn hơn 0,5 m/phút;
(b) Chế độ hoạt động của hệ thống tời có thể gây ra tải trọng va đập lớn đáng kể.
3.1.4. Vật liệu
1. Vật liệu phải thỏa mãn các quy định ở Phần 7A Mục II của QCVN 21: 2010/BGTVT.
2. Thép dùng trong các hệ thống sàn nâng tàu được áp dụng như Bảng 3.1.4-2.
Bảng 3.1.4-2 Sử dụng cấp thép
|
Nhiệt độ thiết kế nhỏ nhất |
Chiều dày (mm) |
Cấp thép |
|
Trên 10 °C |
t ≤ 40 40 < t ≤ 80 t > 80 |
A/AH D/DH E/EH |
|
Trên 0 °C và tới 10 °C |
t ≤ 20 20 < t ≤ 25 25 < t ≤ 40 t > 40 |
A/AH B/AH D/DH E/EH |
|
Trên -10 °C và tới 0 °C |
t ≤ 12,5 12,5 < t ≤ 25,5 t > 25,5 |
B/AH D/DH E/EH |
|
Trên -25 °C và tới -10 °C |
t ≤ 40 |
D/DH |
Lưu ý: AH, DH và EH tương ứng với cấp thép sau (AH: A32, A36 và A40; DH: D32, D36 và D40; EH: E32, E36 và E40).
3. Có thể xem xét thay đổi việc thử độ dai va đập với rãnh khía trong trường hợp hệ thống sàn nâng tàu hoạt động ở khu vực ít khi có nhiệt độ thấp.
CHƯƠNG 4. HỆ THỐNG MÁY, THIẾT BỊ ĐIỆN, ĐIỀU KHIỂN VÀ VẬN HÀNH
4.1. Hệ thống máy
4.1.1. Quy định chung
1. Hệ thống máy của sàn nâng tàu phải thỏa mãn các yêu cầu ở Phần 3 Mục II của QCVN 21:2010/BGTVT, trừ khi có các quy định trong Quy chuẩn này với các yêu cầu sau:
(1) Hệ thống máy chỉ cần thỏa mãn yêu cầu về sức bền;
(2) Ứng suất cho phép có thể khác nhau phụ thuộc vào kiểu máy, công dụng, phương pháp chế tạo và điều kiện môi trường thực tế sử dụng;
(3) Đối với các bánh răng thì chỉ cần tính toán sức bền khi chịu tải trọng xoắn lớn nhất và hệ số ứng suất tập trung tại chân răng cũng phải tính đến.
4.2. Thiết bị điện
4.2.1. Quy định chung
1. Thiết bị điện phải được lắp đặt sao cho giảm đến mức thấp nhất sự cố do điện như chập, cháy v.v... theo quy định ở Phần 4 Mục II của QCVN 21: 2010/BGTVT.
2. Cáp điện và máy phát điện phải là loại phù hợp với các tiêu chuẩn hiện hành được Đăng kiểm công nhận và thích hợp để làm việc an toàn và hữu hiệu trong điều kiện môi trường được lắp đặt.
3. Mạch điện phải được bảo vệ chống quá tải kể cả chập mạch. Thiết bị bảo vệ phải có khả năng ngắt điện khi mạch điện bị sự cố, loại trừ được sự phát triển của hư hỏng và nguy cơ gây cháy cũng như ổn định công suất cho nguồn điện dẫn động chính, hệ chiếu sáng, thông tin liên lạc và thiết bị báo động.
4.3. Điều khiển và vận hành
4.3.1. Các yêu cầu
1. Thiết bị tại các trạm điều khiển phải hiển thị được chuyển động của sàn nâng sao cho sàn luôn nằm theo phương ngang. Phải có chuông báo động khi sàn nâng bị lệch và xoắn vượt quá giá trị cho phép.
2 Ngoài ra, phải có bộ hãm sàn nâng tàu tại mức bằng với cầu tàu, thiết bị độc lập phải được lắp đặt sao cho sàn nâng tàu không thể nâng lên hoặc hạ xuống quá mức.
3. Nếu nhiều tời và kích nâng được trang bị thì phải có thiết bị thỏa mãn:
(1) Chúng phải hoạt động đồng bộ;
(2) Mỗi thiết bị phải thể hiện sự hoạt động tại trạm điều khiển.
4. Tổng tải trọng của sàn nâng tàu phải được hiển thị tại trạm điều khiển.
5. Phải có thiết bị tự động giữ sàn nâng tàu ở vị trí và kích hoạt chuông báo động khi cáp hoặc xích bị chùng.
6. Nếu sàn nâng tàu được khóa bằng bánh răng, then thì phải có thiết bị đảm bảo rằng nguồn năng lượng chỉ được ngắt khi bánh răng và then đã vào đúng vị trí.
III. QUY ĐỊNH VỀ QUẢN LÝ
1.1. Quy định chung
Nếu thỏa mãn Quy chuẩn này, sàn nâng tàu hoặc sàn nâng tàu cùng với hệ thống dịch chuyển sẽ được thêm dấu hiệu bổ sung vào ký hiệu phân cấp quy định ở 2.1.2-1 Phần 1A Mục II QCVN 21: 2010/BGTVT. Cụ thể như sau:
(1) Nếu chỉ sàn nâng tàu được phân cấp:
Sàn nâng tàu hoạt động tại ………………….*
(2) Nếu sàn nâng tàu cùng với hệ thống dịch chuyển được phân cấp:
Sàn nâng tàu và hệ thống dịch chuyển hoạt động tại ………………….*
Chú thích:
* Cần ghi rõ tên cảng, nhà máy hoặc khu vực cụ thể mà sàn nâng tàu hoạt động.
1.2. Quy định về giám sát kỹ thuật
Sàn nâng tàu phải được kiểm tra với nội dung phù hợp với Chương 2 Mục II của Quy chuẩn này.
1.3. Chứng nhận
1.3.1. Giấy chứng nhận
1. Giấy chứng nhận thẩm định thiết kế sàn nâng tàu
Nếu thỏa mãn các yêu cầu của Quy chuẩn này thì sàn nâng tàu sẽ được cấp Giấy chứng nhận thẩm định thiết kế theo mẫu ở Phụ lục A của Quy chuẩn này.
2. Giấy chứng nhận phân cấp sàn nâng tàu và giấy chứng nhận phân cấp sàn nâng tàu tạm thời
(1) Nếu được Đăng kiểm kiểm tra phân cấp thoả mãn các yêu cầu của Quy chuẩn này, sàn nâng tàu sẽ được Đăng kiểm cấp giấy chứng nhận phân cấp sàn nâng tàu tạm thời.
(2) Trước khi hết thời hạn hiệu lực của giấy chứng nhận phân cấp sàn nâng tàu tạm thời, Đăng kiểm sẽ cấp giấy chứng nhận phân cấp cho sàn nâng tàu theo mẫu ở Phụ lục B của Quy chuẩn này nếu sàn nâng tàu hoàn toàn thỏa mãn các quy định của Quy chuẩn này.
(3) Đăng kiểm sẽ xác nhận vào giấy chứng nhận phân cấp sàn nâng tàu sau khi Đăng kiểm viên kết thúc kiểm tra hàng năm và xác nhận rằng sàn nâng tàu thỏa mãn các quy định của Quy chuẩn này.
3. Hiệu lực của Giấy chứng nhận phân cấp sàn nâng tàu và Giấy chứng nhận phân cấp sàn nâng tàu tạm thời
(1) Giấy chứng nhận phân cấp sàn nâng tàu có hiệu lực trong thời hạn không quá 5 năm tính từ ngày kết thúc kiểm tra phân cấp hoặc ngày hết hạn của Giấy chứng nhận phân cấp trước đó. Giấy chứng nhận phân cấp sàn nâng tàu sẽ được cấp lại khi hết hiệu lực với điều kiện khối lượng kiểm tra hàng năm lần thứ năm đã hoàn thành thỏa mãn yêu cầu của Quy chuẩn này.
(2) Giấy chứng nhận phân cấp sàn nâng tàu tạm thời chỉ có hiệu lực với thời hạn tối đa là 5 tháng, tính từ ngày cấp giấy chứng nhận đó. Giấy chứng nhận phân cấp sàn nâng tàu tạm thời sẽ mất hiệu lực khi giấy chứng nhận phân cấp sàn nâng tàu được cấp.
4. Các Giấy chứng nhận thử và kiểm tra khác Các giấy chứng nhận thử các chi tiết tháo được, xích và cáp được thực hiện theo quy định tương ứng ở 1.3.1 Mục III của QCVN 23:2010/BGTVT.
1.3.2. Thủ tục chứng nhận
1. Thủ tục cấp Giấy chứng nhận thẩm định thiết kế sàn nâng tàu.
(1) Trình tự thực hiện
(a) Tổ chức, cá nhân hoàn thiện hồ sơ theo quy định và gửi Cục Đăng kiểm Việt Nam;
(b) Cục Đăng kiểm Việt Nam tiếp nhận hồ sơ, kiểm tra thành phần hồ sơ: nếu hồ sơ không đầy đủ thì trong thời hạn 02 ngày làm việc kể từ ngày nhận hồ sơ phải có văn bản hướng dẫn tổ chức, cá nhân hoàn thiện lại; nếu hồ sơ đầy đủ thì viết giấy hẹn thời gian trả kết quả;
(c) Cục Đăng kiểm Việt Nam tiến hành kiểm tra xem xét hồ sơ: nếu không đạt thì trả lời tổ chức, cá nhân; nếu đạt thì cấp giấy chứng nhận thẩm định thiết kế theo quy định.
(2) Cách thức thực hiện
Tổ chức, cá nhân nộp hồ sơ và nhận kết quả qua hệ thống bưu chính hoặc trực tiếp tại trụ sở cơ quan Đăng kiểm hoặc bằng một hình thức phù hợp khác.
(3) Thành phần, số lượng hồ sơ
(a) Thành phần hồ sơ
01 giấy đề nghị (bản chính) theo mẫu nêu tại Phụ lục C của Quy chuẩn này; 03 bản tài liệu thiết kế (bản chính);
(b) Số lượng hồ sơ: 01 bộ.
(4) Thời hạn giải quyết
20 ngày làm việc kể từ khi nhận đủ hồ sơ theo quy định hoặc có thể lâu hơn nhưng không quá 90 ngày đối với các sàn nâng tàu sử dụng vật liệu mới hoặc công nghệ mới hoặc có thiết kế mới, phức tạp…
(5) Cơ quan thực hiện thủ tục
Cục Đăng kiểm Việt Nam.
(6) Kết quả thực hiện thủ tục
Giấy chứng nhận thẩm định thiết kế sàn nâng tàu và đóng dấu thẩm định vào tài liệu thiết kế.
(7) Yêu cầu, điều kiện đối với thiết kế sàn nâng tàu
Hồ sơ thiết kế sàn nâng tàu phải thỏa mãn các quy định của Quy chuẩn này.
(8) Phí và lệ phí
Mức thu phí, lệ phí theo quy định của Bộ Tài chính và nộp trực tiếp hoặc chuyển khoản cho cơ quan cấp Giấy chứng nhận.
2. Thủ tục cấp Giấy chứng nhận phân cấp sàn nâng tàu.
(1) Trình tự thực hiện
(a) Tổ chức, cá nhân hoàn thiện hồ sơ theo quy định và gửi Cục Đăng kiểm Việt Nam;
(b) Cục Đăng kiểm Việt Nam tiếp nhận hồ sơ, kiểm tra thành phần hồ sơ: nếu hồ sơ không đầy đủ thì trong thời hạn 02 ngày làm việc kể từ ngày nhận hồ sơ phải có văn bản hướng dẫn tổ chức, cá nhân hoàn thiện lại; nếu hồ sơ đầy đủ thì viết giấy hẹn kiểm tra thực tế theo đề nghị của người nộp hồ sơ về thời gian và địa điểm kiểm tra thực tế;
(c) Cục Đăng kiểm Việt Nam tiến hành kiểm tra thực tế: nếu không đạt thì trả lời tổ chức, cá nhân bằng văn bản; nếu đạt thì cấp giấy chứng nhận theo quy định.
(2) Cách thức thực hiện
(a) Tổ chức, cá nhân nộp hồ sơ qua hệ thống bưu chính, fax, email hoặc trực tiếp tại trụ sở cơ quan Đăng kiểm hoặc bằng một hình thức phù hợp khác.
(b) Tổ chức, cá nhân nhận kết quả qua hệ thống bưu chính hoặc trực tiếp tại trụ sở cơ quan Đăng kiểm hoặc bằng một hình thức phù hợp khác.
(3) Thành phần, số lượng hồ sơ
(a) Thành phần hồ sơ: giấy đề nghị bản chính (hoặc bản sao, chụp trong trường hợp hồ sơ nộp qua fax hoặc email) theo mẫu nêu tại Phụ lục D của Quy chuẩn này.
(b) Số lượng hồ sơ: 01 bộ.
(4) Thời hạn giải quyết
Giấy chứng nhận được cấp trong vòng 03 ngày làm việc, kể từ khi kết thúc kiểm tra phân cấp; và trong vòng 01 ngày làm việc, kể từ khi hoàn thành kiểm tra hàng năm lần thứ năm.
(5) Cơ quan thực hiện thủ tục
Cục Đăng kiểm Việt Nam.
(6) Kết quả thực hiện thủ tục
Giấy chứng nhận phân cấp sàn nâng tàu theo mẫu quy định ở Phụ lục B của Quy chuẩn này.
(7) Yêu cầu, điều kiện cấp giấy chứng nhận
Sàn nâng tàu được cấp giấy chứng nhận phải phù hợp với các quy định của Quy chuẩn này.
(8) Phí và lệ phí
Mức thu phí, lệ phí theo quy định của Bộ Tài chính và nộp trực tiếp hoặc chuyển khoản cho cơ quan cấp Giấy chứng nhận.
IV. TRÁCH NHIỆM CỦA CÁC TỔ CHỨC, CÁ NHÂN
1.1. Trách nhiệm của các chủ sàn nâng, công ty khai thác sàn nâng, cơ sở thiết kế, đóng mới, hoán cải, phục hồi và sửa chữa sàn nâng tàu
1.1.1. Các chủ sàn nâng, công ty khai thác sàn nâng
1. Thực hiện đầy đủ các quy định nêu trong Quy chuẩn này khi sàn nâng tàu được đóng mới, hoán cải, phục hồi, khai thác nhằm đảm bảo và duy trì tình trạng kỹ thuật của sàn nâng tàu.
1.1.2. Các cơ sở thiết kế
1. Thiết kế sàn nâng tàu thỏa mãn các quy định của Quy chuẩn này.
2. Cung cấp đầy đủ khối lượng hồ sơ thiết kế theo yêu cầu và trình thẩm định hồ sơ thiết kế theo quy định của Quy chuẩn này.
1.1.3. Các cơ sở đóng mới, hoán cải, phục hồi, sửa chữa sàn nâng tàu
1. Phải có đủ năng lực, bao gồm cả trang thiết bị, cơ sở vật chất và nhân lực có trình độ chuyên môn đáp ứng nhu cầu đóng mới, hoán cải, phục hồi, sửa chữa sàn nâng tàu.
2. Phải đảm bảo tiêu chuẩn chất lượng, an toàn kỹ thuật khi đóng mới, hoán cải, phục hồi, sửa chữa sàn nâng tàu và tuân thủ thiết kế đã được thẩm định.
3. Chịu sự kiểm tra giám sát của Đăng kiểm Việt Nam về chất lượng, an toàn kỹ thuật của sàn nâng tàu.
1.2. Trách nhiệm của Cục Đăng kiểm Việt Nam
1.2.1. Thẩm định thiết kế, giám sát
Bố trí các Đăng kiểm viên có năng lực, đủ tiêu chuẩn để thực hiện thẩm định thiết kế, giám sát trong đóng mới, hoán cải, phục hồi, sửa chữa và khai thác sàn nâng tàu phù hợp với các yêu cầu kỹ thuật nêu trong Quy chuẩn này.
1.2.2. Hướng dẫn thực hiện/ áp dụng
Hướng dẫn thực hiện các quy định của Quy chuẩn này đối với các chủ sàn nâng tàu, công ty khai thác sàn nâng tàu, cơ sở thiết kế, đóng mới, hoán cải, phục hồi và sửa chữa sàn nâng tàu, các đơn vị Đăng kiểm thuộc hệ thống Đăng kiểm Việt Nam trong phạm vi cả nước.
1.2.3. Rà soát và cập nhật Quy chuẩn
Căn cứ yêu cầu thực tế, Cục Đăng kiểm Việt Nam có trách nhiệm báo cáo và kiến nghị Bộ Giao thông vận tải sửa đổi, bổ sung Quy chuẩn này theo định kỳ hàng năm.
1.3. Kiểm tra thực hiện của Bộ Giao thông vận tải
Bộ Giao thông vận tải (Vụ Khoa học - Công nghệ) có trách nhiệm định kỳ hoặc đột xuất kiểm tra việc tuân thủ Quy chuẩn này của các đơn vị có hoạt động liên quan.
V. TỔ CHỨC THỰC HIỆN
1.1. Cục Đăng kiểm Việt Nam tổ chức hệ thống kiểm tra, giám sát kỹ thuật, phân cấp và đăng ký kỹ thuật sàn nâng tàu. Tổ chức in ấn, phổ biến Quy chuẩn này cho các tổ chức, cá nhân có liên quan thực hiện/ áp dụng.
1.2. Trong trường hợp có sự khác nhau giữa quy định của Quy chuẩn này với quy định của Quy phạm, Tiêu chuẩn và Quy chuẩn kỹ thuật khác liên quan đến sàn nâng tàu thì áp dụng quy định của Quy chuẩn này.
1.3. Trong trường hợp các tài liệu được viện dẫn trong Quy chuẩn này được sửa đổi, bổ sung hoặc thay thế thì thực hiện theo nội dung đã được sửa đổi, bổ sung hoặc thay thế có hiệu lực của tài liệu đó.
1.4. Quy chuẩn này cũng như các sửa đổi áp dụng cho các sàn nâng tàu được đóng mới vào hoặc sau ngày Quy chuẩn này có hiệu lực.
1.5. Trong trường hợp không thể thực hiện được quy định nào đó của Quy chuẩn, trong các trường hợp đặc biệt cần thiết, Bộ Giao thông vận tải sẽ quyết định việc áp dụng trong từng trường hợp cụ thể.
PHỤ LỤC A
MẪU GIẤY CHỨNG NHẬN THẨM ĐỊNH THIẾT KẾ SÀN NÂNG TÀU
|
|
CỤC ĐĂNG KIỂM VIỆT NAM |
|
Cấp theo các quy định của Quy chuẩn kỹ thuật quốc gia QCVN 57: 2015/BGTVT
GIẤY CHỨNG NHẬN
THẨM ĐỊNH THIẾT KẾ SÀN NÂNG TÀU
Số:
CỤC ĐĂNG KIỂM VIỆT NAM CHỨNG NHẬN:
Tên/ Ký hiệu thiết kế.................................................................................................
Loại thiết kế: ...........................................................................................................
Chiều dài: ................................................. (m); Chiều rộng: ................................ (m)
Sức nâng danh nghĩa (NLC): ................... (t); Chiều dài hiệu dụng của sàn nâng: .. (m)
Sức nâng lớn nhất (MLC):......................... (t);
Cấp sàn nâng: .........................................................................................................
Vùng hoạt động ......................................................................................................
Số thẩm định ..........................................................................................................
Công văn đề nghị thẩm định số................. Ngày ......................................................
Cơ sở thiết kế..........................................................................................................
Chủ sử dụng thiết kế ...............................................................................................
Nơi đóng ................................................................................................................
Đơn vị giám sát........................................................................................................
Những lưu ý ............................................................................................................
|
|
Cấp tại ............... Ngày ...................................... CỤC ĐĂNG KIỂM VIỆT NAM |
NƠI NHẬN:
|
- Cơ sở thiết kế |
01 |
|
- Đơn vị giám sát |
01 |
|
- Lưu Cục ĐKVN |
01 |
|
- Lưu nơi thẩm định |
01 |
PHỤ LỤC B
MẪU GIẤY CHỨNG NHẬN PHÂN CẤP SÀN NÂNG TÀU
|
|
CỤC ĐĂNG KIỂM VIỆT NAM |
|
GIẤY CHỨNG NHẬN PHÂN CẤP SÀN NÂNG TÀU
CLASSIFICATION CERTIFICATE FOR SHIP LIFT PLATFORM
Số:………………
No
Cấp theo các quy định của Quy chuẩn kỹ thuật quốc gia QCVN 57: 2015/BGTVT
Issued under the provisions of National Technical Regulation QCVN 57: 2015/BGTVT
|
Tên sàn nâng:…………………………………... |
Số phân cấp:…………………………………… |
|
Chiều dài:………………………………………… |
Chiều rộng:………………………………….. (m) |
|
Chiều dài hiệu dụng:………………………… (m) |
Sức nâng lớn nhất:………………………….. (t) |
|
Sức nâng danh nghĩa:………………………... (t) Nominal lifting capacity |
|
Năm và nơi đóng:.................................................................................................................
Year and Place of Build……………………………….. ...................................
Chủ sàn nâng:......................................................................................................................
Owner ………………………………………………….. .....................................
Căn cứ kết quả kiểm tra đã tiến hành, chứng nhận rằng sàn nâng này và các trang thiết bị của sàn nâng thỏa mãn các yêu cầu của Quy chuẩn kỹ thuật quốc gia về phân cấp và đóng sàn nâng tàu (QCVN 57: 2015/BGTVT), do đó sàn nâng được nhận cấp/ phục hồi cấp (*) với ký hiệu dưới đây:
This is to certify that as a result of the survey performed the Ship lift platform, its equipment and arrangments are found to be in compliance with the requirements of National Technical Regulation on Classification and Construction of Ship lift platform (QCVN 57: 2015/BGTVT), based on which class with the following notation is assigned/renewed(*) to the Ship Lift Platform:
|
|
|
|
|
|
Các hạn chế thường xuyên:......................................................................................
Permanent restrictions..............................................................................................
Các đặc tính khác:....................................................................................................
Other characteristics
Giấy chứng nhận có hiệu lực đến ngày ……………………….. với điều kiện phải có xác nhận hàng năm phù hợp với Quy chuẩn.
This Certificate is valid until Subject to annual confirmation in accordance with the Regulation.
|
|
Cấp tại…………………… Ngày……………………….. CỤC ĐĂNG KIỂM VIỆT NAM |
________________
(*) Gạch bỏ khi không thích hợp
Delete as appropriate
|
XÁC NHẬN CẤP SÀN NÂNG TÀU HÀNG NĂM LẦN THỨ NHẤT Căn cứ kết quả kiểm tra đã tiến hành, cấp sàn nâng được xác nhận. On the basis of the survey performed, the class is confirmed Nơi kiểm tra: .......................................................................... Ngày: ..................................................................................... CỤC ĐĂNG KIỂM VIỆT NAM (VR) |
|
|
XÁC NHẬN CẤP SÀN NÂNG TÀU HÀNG NĂM LẦN THỨ HAI Căn cứ kết quả kiểm tra đã tiến hành, cấp sàn nâng được xác nhận. On the basis of the survey performed, the class is confirmed Nơi kiểm tra: .......................................................................... Ngày: ..................................................................................... CỤC ĐĂNG KIỂM VIỆT NAM (VR) |
|
|
XÁC NHẬN CẤP SÀN NÂNG TÀU HÀNG NĂM LẦN THỨ BA Căn cứ kết quả kiểm tra đã tiến hành, cấp sàn nâng được xác nhận. On the basis of the survey performed, the class is confirmed Nơi kiểm tra: .......................................................................... Ngày: ..................................................................................... CỤC ĐĂNG KIỂM VIỆT NAM (VR) |
|
|
XÁC NHẬN CẤP SÀN NÂNG TÀU HÀNG NĂM LẦN THỨ TƯ Căn cứ kết quả kiểm tra đã tiến hành, cấp sàn nâng được xác nhận. On the basis of the survey performed, the class is confirmed Nơi kiểm tra: .......................................................................... Ngày: ..................................................................................... CỤC ĐĂNG KIỂM VIỆT NAM (VR) |
|
|
NHỮNG LƯU Ý VÀ HẠN CHẾ TẠM THỜI |
|
|
Chú ý: |
Giấy chứng nhận này mất hiệu lực trong các trường hợp sau: Giấy chứng nhận hết hạn; Sau tai nạn mà sàn nâng không báo kiểm tra; Khi vi phạm vùng hoạt động hoặc chất tải quá sức nâng của sàn; Khi sàn nâng không tuân theo các yêu cầu hoặc hướng dẫn của Cục Đăng kiểm Việt Nam. |
|
Notes: |
The Certificate shall cease to be valid in the following cases: After the expiry of terms; After an accident, unless it is submitted to a survey; If violating the specified area of navigation or loading the platform exceeding its lifting capacity; If requirements or instructions of Vietnam Register have not been complied with. |
PHỤ LỤC C
MẪU GIẤY ĐỀ NGHỊ THẨM ĐỊNH THIẾT KẾ SÀN NÂNG TÀU
CỘNG HÒA XÃ HỘI CHỦ NGHĨA VIỆT NAM
Độc lập - Tự do - Hạnh phúc
------------------
ĐỀ NGHỊ THẨM ĐỊNH THIẾT KẾ SÀN NÂNG TÀU
Số:......................Ngày:........................
Kính gửi: ...........................................................................................
Cơ sở thiết kế:........................................................................................................
Địa chỉ:...................................................................................................................
Điện thoại: .................................Fax:.....................................Email:........................
Tên/ký hiệu thiết kế: .................................................... / .........................................
Các thông số chính của sàn nâng tàu:
Chiều dài:........................................................................................................... (m)
Chiều dài hiệu dụng:........................................................................................... (m)
Chiều rộng: ........................................................................................................ (m)
Sức nâng lớn nhất (MLC):.................................................................................. (tấn)
Sức nâng danh nghĩa (NLC):.............................................................................. (tấn)
Vật liệu đóng sàn nâng:...........................................................................................
Khu vực hoạt động: ............................................................................................ (*)
Chủ sử dụng thiết kế:..............................................................................................
Nơi đóng: ..............................................................................................................
|
|
Người đề nghị |
(*) Ghi rõ tên cảng, nhà máy hoặc khu vực cụ thể mà sàn nâng tàu hoạt động.
PHỤ LỤC D
MẪU GIẤY ĐỀ NGHỊ KIỂM TRA PHÂN CẤP SÀN NÂNG TÀU
CỘNG HÒA XÃ HỘI CHỦ NGHĨA VIỆT NAM
Độc lập - Tự do - Hạnh phúc
------------------
ĐỀ NGHỊ KIỂM TRA PHÂN CẤP SÀN NÂNG TÀU
Số:......................Ngày:........................
Kính gửi: (Tên Đơn vị Đăng kiểm)
Tên tổ chức/cá nhân:................................................................................................
Địa chỉ:....................................................................................................................
...............................................................................................................................
Điện thoại:………………….………Fax:……………..………….Email:..............................
...............................................................................................................................
Các thông số chính của sàn nâng tàu:
Loại thiết kế:............................................................................................................
Chiều dài:............................................................................................................ (m)
Chiều dài hiệu dụng:............................................................................................ (m)
Chiều rộng:......................................................................................................... (m)
Sức nâng lớn nhất (MLC): ................................................................................. (tấn)
Sức nâng danh nghĩa (NLC): .............................................................................. (tấn)
Vật liệu đóng sàn nâng: ...........................................................................................
Khu vực hoạt động: ................................................................................................
Nội dung đề nghị:
...............................................................................................................................
...............................................................................................................................
...............................................................................................................................
...............................................................................................................................
Địa điểm và thời gian:...............................................................................................
...........................................................................................................................................
|
Nơi nhận: |
TỔ CHỨC/CÁ NHÂN |
Bạn chưa Đăng nhập thành viên.
Đây là tiện ích dành cho tài khoản thành viên. Vui lòng Đăng nhập để xem chi tiết. Nếu chưa có tài khoản, vui lòng Đăng ký tại đây!
Bạn chưa Đăng nhập thành viên.
Đây là tiện ích dành cho tài khoản thành viên. Vui lòng Đăng nhập để xem chi tiết. Nếu chưa có tài khoản, vui lòng Đăng ký tại đây!
