- Tổng quan
- Nội dung
- VB gốc
- Tiếng Anh
- Hiệu lực
- VB liên quan
- Lược đồ
-
Nội dung hợp nhất
Tính năng này chỉ có tại LuatVietnam.vn. Nội dung hợp nhất tổng hợp lại tất cả các quy định còn hiệu lực của văn bản gốc và các văn bản sửa đổi, bổ sung, đính chính... trên một trang. Việc hợp nhất văn bản gốc và những văn bản, Thông tư, Nghị định hướng dẫn khác không làm thay đổi thứ tự điều khoản, nội dung.
Khách hàng chỉ cần xem Nội dung hợp nhất là có thể nắm bắt toàn bộ quy định hiện hành đang áp dụng, cho dù văn bản gốc đã qua nhiều lần chỉnh sửa, bổ sung.
- Tải về
Thông tư 02/2025/TT-BKHĐT quy định Bộ chỉ tiêu thống kê phát triển bền vững của Việt Nam
| Cơ quan ban hành: | Bộ Kế hoạch và Đầu tư |
Số công báo:
Số công báo là mã số ấn phẩm được đăng chính thức trên ấn phẩm thông tin của Nhà nước. Mã số này do Chính phủ thống nhất quản lý.
|
Đã biết
|
| Số hiệu: | 02/2025/TT-BKHĐT | Ngày đăng công báo: |
Đã biết
|
| Loại văn bản: | Thông tư | Người ký: | Nguyễn Chí Dũng |
| Trích yếu: | Quy định Bộ chỉ tiêu thống kê phát triển bền vững của Việt Nam | ||
|
Ngày ban hành:
Ngày ban hành là ngày, tháng, năm văn bản được thông qua hoặc ký ban hành.
|
03/01/2025 |
Ngày hết hiệu lực:
Ngày hết hiệu lực là ngày, tháng, năm văn bản chính thức không còn hiệu lực (áp dụng).
|
Đang cập nhật |
|
Áp dụng:
Ngày áp dụng là ngày, tháng, năm văn bản chính thức có hiệu lực (áp dụng).
|
Đã biết
|
Tình trạng hiệu lực:
Cho biết trạng thái hiệu lực của văn bản đang tra cứu: Chưa áp dụng, Còn hiệu lực, Hết hiệu lực, Hết hiệu lực 1 phần; Đã sửa đổi, Đính chính hay Không còn phù hợp,...
|
Đã biết
|
| Lĩnh vực: | Đầu tư | ||
TÓM TẮT THÔNG TƯ 02/2025/TT-BKHĐT
Ngày 03/01/2025, Bộ Kế hoạch và Đầu tư đã ban hành Thông tư 02/2025/TT-BKHĐT quy định Bộ chỉ tiêu thống kê phát triển bền vững của Việt Nam. Sau đây là một số nội dung đáng chú ý của Thông tư này.
1. Danh mục chỉ tiêu thống kê phát triển bền vững của Việt Nam gồm 145 chỉ tiêu thống kê phản ánh 17 mục tiêu phát triển bền vững của Việt Nam
- Mục tiêu 1. Chấm dứt mọi hình thức nghèo ở mọi nơi gồm các chỉ tiêu:
- Tỷ lệ dân số sống dưới chuẩn nghèo quốc tế;
- Tỷ lệ nghèo đa chiếu;
- Tỷ lệ người lao động tham gia bảo hiểm xã hội;
- Tỷ lệ người tham gia bảo hiểm y tế;
- Số người được hưởng bảo hiểm xã hội, bảo hiểm y tế, bảo hiểm thất nghiệp…
- Mục tiêu 2. Xóa đói, bảo đảm an ninh lương thực, cải thiện dinh dưỡng và thúc đẩy phát triển nông nghiệp bền vững gồm các chỉ tiêu:
- Tỷ lệ mất an ninh lương thực;
- Tỷ lệ trẻ em dưới 05 tuổi suy dinh dưỡng (chiều cao theo tuổi – thể thấp còi);
- Tỷ lệ trẻ em dưới 05 tuổi thừa cân, béo phì…
- Mục tiêu 3. Bảo đảm cuộc sống khỏe mạnh và tăng cường phúc lợi cho mọi người ở mọi lứa tuổi gồm các chỉ tiêu:
- Tỷ lệ phụ nữ đẻ được nhân viên y tế có kỹ năng đỡ;
- Số ca mắc mới lao trên 100.000 dân;
- Số ca mắc mới sốt rét trên 100.000 dân…
- Mục tiêu 4: Đảm bảo nền giáo dục có chất lượng, công bằng, toàn diện và thúc đẩy các cơ hội học tập suốt đời cho tất cả mọi người gồm các chỉ tiêu:
- Tỷ lệ học sinh đi học phổ thông;
- Tỷ lệ học sinh hoàn thành các cấp tiểu học, trung học cơ sở, trung học phổ thông;
- Tỷ lệ huy động trẻ em 05 tuổi đi học mẫu giáo…
2. Bộ chỉ tiêu thống kê phát triển bền vững của Việt Nam là bộ chỉ tiêu thống kê liên quan đến nhiều ngành, nhiều lĩnh vực, liên kết vùng nhằm cung cấp số liệu đánh giá tình hình thực hiện các mục tiêu phát triển bền vững của Việt Nam.
Thông tư có hiệu lực thi hành kể từ ngày 10/3/2025.
Xem chi tiết Thông tư 02/2025/TT-BKHĐT có hiệu lực kể từ ngày 10/03/2025
Tải Thông tư 02/2025/TT-BKHĐT
|
BỘ KẾ HOẠCH VÀ ĐẦU TƯ |
CỘNG HÒA XÃ HỘI CHỦ NGHĨA VIỆT NAM |
THÔNG TƯ
Quy định Bộ chỉ tiêu thống kê phát triển bền vững của Việt Nam
_____________________
Căn cứ Luật Thống kê ngày 23 tháng 11 năm 2015 và Luật sửa đổi, bổ sung một số điều và Phụ lục Danh mục chỉ tiêu thống kê quốc gia của Luật Thống kê ngày 12 tháng 11 năm 2021;
Căn cứ Nghị định số 94/2016/NĐ-CP ngày 01 tháng 7 năm 2016 của Chính phủ quy định chi tiết và hướng dẫn thi hành một số điều của Luật Thống kê;
Căn cứ Nghị định số 94/2022/NĐ-CP ngày 07 tháng 11 năm 2022 của Chính phủ quy định nội dung chỉ tiêu thống kê thuộc hệ thống chỉ tiêu thống kê quốc gia và quy trình biên soạn chỉ tiêu tổng sản phẩm trong nước, chỉ tiêu tổng sản phẩm trên địa bàn tỉnh, thành phố trực thuộc trung ương;
Căn cứ Nghị định số 62/2024/NĐ-CP ngày 07 tháng 6 năm 2024 sửa đổi, bổ sung một số điều, phụ lục của Nghị định số 94/2016/NĐ-CP ngày 01 tháng 7 năm 2016 của Chính phủ quy định chi tiết và hướng dẫn thi hành một số điều của Luật Thống kê và Nghị định số 94/2022/NĐ-CP ngày 07 tháng 11 năm 2022 của Chính phủ quy định nội dung chỉ tiêu thống kê thuộc hệ thống chỉ tiêu thống kê quốc gia và quy trình biên soạn chỉ tiêu tổng sản phẩm trong nước, chỉ tiêu tổng sản phẩm trên địa bàn tỉnh, thành phố trực thuộc trung ương;
Căn cứ Nghị định số 89/2022/NĐ-CP ngày 28 tháng 10 năm 2022 của Chính phủ quy định chức năng, nhiệm vụ, quyền hạn và cơ cấu tổ chức của Bộ Kế hoạch và Đầu tư;
Theo đề nghị của Tổng cục trưởng Tổng cục Thống kê;
Bộ trưởng Bộ Kế hoạch và Đầu tư ban hành Thông tư quy định Bộ chỉ tiêu thống kê phát triển bền vững của Việt Nam.
Điều 1. Phạm vi điều chỉnh và đối tượng áp dụng
1. Thông tư này quy định Bộ chỉ tiêu thống kê phát triển bền vững của Việt Nam gồm:
a) Danh mục chỉ tiêu thống kê phát triển bền vững của Việt Nam quy định tại Phụ lục I Thông tư này gồm 145 chỉ tiêu thống kê phản ánh 17 mục tiêu phát triển bền vững của Việt Nam;
b) Nội dung chỉ tiêu thống kê phát triển bền vững của Việt Nam quy định tại Phụ lục II Thông tư này gồm khái niệm, phương pháp tính; phân tổ chủ yếu; kỳ công bố; nguồn số liệu và cơ quan chịu trách nhiệm thu thập, tổng hợp.
2. Bộ chỉ tiêu thống kê phát triển bền vững của Việt Nam là bộ chỉ tiêu thống kê liên quan đến nhiều ngành, nhiều lĩnh vực, liên kết vùng nhằm cung cấp số liệu đánh giá tình hình thực hiện các mục tiêu phát triển bền vững của Việt Nam.
3. Thông tư này áp dụng đối với cơ quan, tổ chức, cá nhân cung cấp thông tin thống kê, sản xuất thông tin thống kê và sử dụng thông tin thống kê về các mục tiêu phát triển bền vững của Việt Nam.
Điều 2. Tổ chức thực hiện
1. Bộ Kế hoạch và Đầu tư (Tổng cục Thống kê) chủ trì, phối hợp với các cơ quan có liên quan:
a) Thu thập, tổng hợp thông tin thống kê thuộc Bộ chỉ tiêu thống kê phát triển bền vững của Việt Nam bảo đảm cung cấp số liệu thống kê đầy đủ, chính xác, kịp thời và đáp ứng yêu cầu so sánh quốc tế;
b) Xây dựng và hoàn thiện các hình thức thu thập thông tin Bộ chỉ tiêu thống kê phát triển bền vững của Việt Nam;
c) Xây dựng cơ sở dữ liệu thống kê phát triển bền vững của Việt Nam và phổ biến thông tin thống kê các chỉ tiêu thống kê phát triển bền vững của Việt Nam.
2. Bộ, cơ quan ngang Bộ, cơ quan thuộc Chính phủ, Tòa án nhân dân tối cao, Viện kiểm sát nhân dân tối cao và các cơ quan có liên quan căn cứ vào Bộ chỉ tiêu thống kê phát triển bền vững của Việt Nam có trách nhiệm thu thập, tổng hợp, biên soạn những chỉ tiêu được phân công và cung cấp cho Bộ Kế hoạch và Đầu tư (Tổng cục Thống kê) để tổng hợp chung.
Điều 3. Hiệu lực thi hành
1. Thông tư này có hiệu lực thi hành kể từ ngày 10 tháng 3 năm 2025.
2. Thông tư số 03/2019/TT-BKHĐT ngày 22 tháng 01 năm 2019 của Bộ trưởng Bộ Kế hoạch và Đầu tư quy định Bộ chỉ tiêu thống kê phát triển bền vững của Việt Nam hết hiệu lực kể từ ngày Thông tư này có hiệu lực thi hành.
3. Trong quá trình thực hiện, nếu có vướng mắc, các cơ quan, đơn vị gửi ý kiến về Bộ Kế hoạch và Đầu tư (Tổng cục Thống kê) để kịp thời có hướng dẫn, nghiên cứu sửa đổi, bổ sung./.
|
Nơi nhận: |
BỘ TRƯỞNG
Nguyễn Chí Dũng |
Phụ lục I
DANH MỤC CHỈ TIÊU THỐNG KÊ
PHÁT TRIỂN BỀN VỮNG CỦA VIỆT NAM
(Ban hành kèm theo Thông tư số 02/2025/TT-BKHĐT ngày 03 tháng 01 năm 2025
của Bộ trưởng Bộ Kế hoạch và Đầu tư)
|
STT |
Mã số |
Mã số chỉ tiêu quốc gia tương ứng |
Mục tiêu, tên chỉ tiêu |
|
Mục tiêu 1. Chấm dứt mọi hình thức nghèo ở mọi nơi |
|||
|
1 |
1.1.1 |
|
Tỷ lệ dân số sống dưới chuẩn nghèo quốc tế |
|
2 |
1.2.1 |
1802 |
Tỷ lệ nghèo đa chiều |
|
3 |
1.2.2 |
1803 |
Tỷ lệ trẻ em nghèo đa chiều |
|
4 |
1.3.1.a |
|
Tỷ lệ người lao động tham gia bảo hiểm xã hội |
|
5 |
1.3.1.b |
|
Tỷ lệ người lao động tham gia bảo hiểm thất nghiệp |
|
6 |
1.3.1.c |
0714 |
Tỷ lệ người tham gia bảo hiểm y tế |
|
7 |
1.3.1.d |
0716 |
Số người được hưởng bảo hiểm xã hội, bảo hiểm y tế, bảo hiểm thất nghiệp |
|
8 |
1.3.1.e |
|
Số người được hỗ trợ xã hội hàng tháng tại cộng đồng |
|
9 |
1.3.1.g |
|
Số người được hỗ trợ xã hội đột xuất |
|
10 |
1.3.1.h |
|
Số người được nuôi dưỡng tập trung trong cơ sở bảo trợ xã hội, nhà xã hội |
|
11 |
1.4.1 |
|
Tỷ lệ dân số sống trong hộ tiếp cận với các dịch vụ cơ bản |
|
Mục tiêu 2. Xóa đói, bảo đảm an ninh lương thực, cải thiện dinh dưỡng và thúc đẩy phát triển nông nghiệp bền vững |
|||
|
12 |
2.1.2 |
0813 |
Tỷ lệ mất an ninh lương thực |
|
13 |
2.2.1 |
1607 |
Tỷ lệ trẻ em dưới 05 tuổi suy dinh dưỡng (chiều cao theo tuổi - thể thấp còi) |
|
14 |
2.2.2.a |
1607 |
Tỷ lệ trẻ em dưới 05 tuổi suy dinh dưỡng (cân nặng theo chiều cao - thể gầy còm) |
|
15 |
2.2.2.b |
|
Tỷ lệ trẻ em dưới 05 tuổi thừa cân, béo phì |
|
16 |
2.3.1 |
|
Năng suất lao động ngành nông, lâm nghiệp và thủy sản |
|
17 |
2.3.2 |
|
Thu nhập bình quân lao động ngành nông, lâm nghiệp và thủy sản |
|
18 |
2.4.1 |
0814 |
Tỷ lệ diện tích đất sản xuất nông nghiệp đạt hiệu quả và bền vững |
|
19 |
2.5.1.a |
|
Số lượng nguồn gen giống cây trồng được bảo tồn |
|
20 |
2.5.1.b |
|
Số lượng nguồn gen giống vật nuôi được bảo tồn |
|
21 |
2.c.1 |
1101 |
Chỉ số giá tiêu dùng nhóm lương thực, thực phẩm |
|
Mục tiêu 3. Bảo đảm cuộc sống khỏe mạnh và tăng cường phúc lợi cho mọi người ở mọi lứa tuổi |
|||
|
22 |
3.1.1 |
1603 |
Tỷ số tử vong mẹ trên 100.000 trẻ đẻ sống |
|
23 |
3.1.2 |
|
Tỷ lệ phụ nữ đẻ được nhân viên y tế có kỹ năng đỡ |
|
24 |
3.2.1 |
1605 |
Tỷ suất chết của trẻ em dưới 05 tuổi |
|
25 |
3.2.2.a |
1604 |
Tỷ suất chết của trẻ em dưới 01 tuổi |
|
26 |
3.3.1.a |
1608 |
Số ca hiện nhiễm HIV được phát hiện trên 100.000 dân |
|
27 |
3.3.2 |
|
Số ca mắc mới lao trên 100.000 dân |
|
28 |
3.3.3 |
|
Số ca mắc mới sốt rét trên 100.000 dân |
|
29 |
3.5.2 |
|
Tỷ lệ người từ 15 tuổi trở lên sử dụng rượu, bia tới mức nguy hại |
|
30 |
3.6.1 |
1901 |
Số vụ tai nạn giao thông; số người chết, bị thương do tai nạn giao thông |
|
31 |
3.7.1 |
|
Tỷ lệ phụ nữ từ 15-49 tuổi có nhu cầu tránh thai và có sử dụng biện pháp tránh thai hiện đại |
|
32 |
3.7.2 |
|
Tỷ suất sinh ở tuổi vị thành niên (10-14 tuổi; 15-19 tuổi) |
|
33 |
3.8.1 |
|
Mức độ bao phủ các dịch vụ y tế thiết yếu |
|
34 |
3.8.2 |
|
Tỷ lệ người sống trong hộ có chi phí y tế lớn so với tổng chi tiêu |
|
35 |
3.a.1 |
|
Tỷ lệ người từ 15 tuổi trở lên sử dụng thuốc lá |
|
36 |
3.b.1 |
1606 |
Tỷ lệ trẻ em dưới 01 tuổi được tiêm chủng đầy đủ các loại vắc xin |
|
37 |
3.c.1 |
|
Số nhân viên y tế trên 10.000 dân |
|
Mục tiêu 4. Đảm bảo nền giáo dục có chất lượng, công bằng, toàn diện và thúc đẩy các cơ hội học tập suốt đời cho tất cả mọi người |
|||
|
38 |
4.1.1 |
1503 |
Tỷ lệ học sinh đi học phổ thông |
|
39 |
4.1.2 |
|
Tỷ lệ học sinh hoàn thành các cấp tiểu học, trung học cơ sở, trung học phổ thông |
|
40 |
4.2.2 |
|
Tỷ lệ huy động trẻ em 05 tuổi đi học mẫu giáo |
|
41 |
4.3.1.a |
1507 |
Số sinh viên đại học trên 10.000 dân |
|
42 |
4.3.1.b |
0203 |
Tỷ lệ lao động đã qua đào tạo |
|
43 |
4.4.1 |
1317 |
Tỷ lệ người từ 15-64 tuổi biết kỹ năng về công nghệ thông tin và truyền thông |
|
44 |
4.5.1 |
|
Chỉ số bình đẳng giới trong giáo dục các cấp tiểu học, trung học cơ sở, trung học phổ thông |
|
45 |
4.6.1 |
|
Tỷ lệ dân số từ 15 tuổi trở lên biết chữ |
|
46 |
4.7.1 |
|
Tỷ lệ trường có phổ biến kiến thức về giới, phòng chống bạo lực, xâm hại; cung cấp kiến thức về HIV |
|
47 |
4.a.1 |
|
Tỷ lệ các trường học có (a) điện; (b) internet dùng cho mục đích học tập; (c) máy tính dùng cho mục đích học tập; (d) cơ sở hạ tầng và tài liệu phù hợp với học sinh, sinh viên khuyết tật; (e) nước uống; (f) hệ thống vệ sinh tiện lợi và riêng rẽ cho từng giới tính và (g) chỗ rửa tay thuận tiện |
|
48 |
4.c.1 |
|
Tỷ lệ giáo viên đạt trình độ chuẩn được đào tạo trở lên |
|
Mục tiêu 5. Đạt được bình đẳng về giới; tăng quyền và tạo cơ hội cho phụ nữ và trẻ em gái |
|||
|
49 |
5.1.1.a |
0103 |
Tỷ số giới tính khi sinh |
|
50 |
5.2.1 |
|
Tỷ lệ phụ nữ và trẻ em gái từ 15 tuổi trở lên đã từng bị bạo lực bởi chồng hoặc bạn tình hiện tại hoặc trước đây trong 12 tháng qua |
|
51 |
5.2.2 |
|
Tỷ lệ phụ nữ và trẻ em gái từ 15 tuổi trở lên đã từng bị bạo lực tình dục bởi những người không phải chồng hoặc không phải bạn tình trong 12 tháng qua |
|
52 |
5.3.1 |
|
Tỷ lệ phụ nữ từ 20-24 tuổi đã kết hôn hoặc sống chung như vợ chồng lần đầu trước 15 tuổi, trước 18 tuổi |
|
53 |
5.3.1.a |
|
Tỷ lệ tảo hôn |
|
54 |
5.4.1 |
|
Tỷ lệ thời gian làm công việc nội trợ và chăm sóc gia đình không được trả công |
|
55 |
5.5.1.a |
0211 |
Tỷ lệ nữ đại biểu Quốc hội |
|
56 |
5.5.1.b |
0212 |
Tỷ lệ nữ đại biểu Hội đồng nhân dân |
|
57 |
5.5.2 |
|
Tỷ lệ nữ là nhà lãnh đạo trong các ngành, các cấp và các đơn vị |
|
58 |
5.6.1 |
|
Tỷ lệ phụ nữ từ 15-49 tuổi tự quyết định về quan hệ tình dục, sử dụng biện pháp tránh thai và chăm sóc sức khỏe sinh sản |
|
59 |
5.a.1 |
|
Tỷ lệ hộ sử dụng đất sản xuất nông nghiệp có giấy chứng nhận quyền sử dụng đất đối với đất sản xuất nông nghiệp |
|
60 |
5.b.1 |
|
Tỷ lệ người sở hữu điện thoại di động |
|
Mục tiêu 6. Đảm bảo đầy đủ và quản lý bền vững tài nguyên nước và hệ thống vệ sinh cho tất cả mọi người |
|||
|
61 |
6.1.1 |
1808 |
Tỷ lệ dân số được sử dụng nguồn nước hợp vệ sinh |
|
62 |
6.2.1 |
1809 |
Tỷ lệ dân số sử dụng hố xí hợp vệ sinh |
|
63 |
6.3.1 |
|
Tỷ lệ nước thải đô thị được thu gom, xử lý đạt tiêu chuẩn, quy chuẩn theo quy định |
|
64 |
6.3.1.a |
|
Tỷ lệ khu công nghiệp đang hoạt động có hệ thống xử lý nước thải tập trung đạt tiêu chuẩn môi trường |
|
65 |
6.4.1.a |
|
Tỷ lệ hồ chứa lớn được kiểm soát, giám sát để bảo đảm duy trì dòng chảy tối thiểu của lưu vực sông |
|
66 |
6.4.1.b |
|
Tỷ lệ các hồ chứa lớn, quan trọng trên các lưu vực sông được vận hành theo quy chế phối hợp liên hồ chứa |
|
67 |
6.6.1.a |
|
Số lượng khu Ramsar được thành lập và công nhận |
|
Mục tiêu 7. Đảm bảo khả năng tiếp cận nguồn năng lượng bền vững, đáng tin cậy và có khả năng chi trả cho tất cả mọi người |
|||
|
68 |
7.1.1 |
|
Tỷ lệ dân số sử dụng điện |
|
69 |
7.1.2 |
|
Tỷ lệ hộ có sử dụng nhiên, liệu sạch |
|
70 |
7.2.1 |
|
Tỷ trọng năng lượng tái tạo trong tổng tiêu dùng năng lượng cuối cùng |
|
71 |
7.3.1.a |
|
Tổng cung năng lượng sơ cấp/GDP |
|
72 |
7.3.1.b |
|
Tiêu hao năng lượng so với tổng sản phẩm trong nước |
|
73 |
7.b.1 |
|
Công suất lắp đặt năng lượng tái tạo |
|
Mục tiêu 8. Đảm bảo tăng trưởng kinh tế bền vững, toàn diện, liên tục; tạo việc làm đầy đủ, năng suất và việc làm tốt cho tất cả mọi người |
|||
|
74 |
8.1.1 |
|
Tốc độ tăng tổng sản phẩm trong nước bình quân đầu người |
|
75 |
8.1.1.b |
0503 |
Tốc độ tăng tổng sản phẩm trong nước |
|
76 |
8.2.1 |
|
Tốc độ tăng năng suất lao động |
|
77 |
8.3.1 |
0206 |
Tỷ lệ lao động có việc làm phi chính thức |
|
78 |
8.5.1 |
0209 |
Thu nhập bình quân một lao động có việc làm |
|
79 |
8.5.2 |
0204 |
Tỷ lệ thất nghiệp |
|
80 |
8.6.1 |
|
Tỷ lệ người từ 15-24 tuổi không có việc làm và không tham gia học tập hoặc đào tạo |
|
81 |
8.7.1 |
0207 |
Tỷ lệ người từ 05-17 tuổi tham gia lao động |
|
82 |
8.8.1 |
|
Số người bị tai nạn lao động |
|
83 |
8.9.1 |
|
Tỷ lệ đóng góp của hoạt động du lịch trong tổng sản phẩm trong nước |
|
84 |
8.10.1 |
|
Số chi nhánh ngân hàng thương mại và số máy ATM trên 100.000 dân từ 15 tuổi trở lên |
|
85 |
8.10.2 |
0707 |
Tỷ lệ người từ 15 tuổi trở lên có tài khoản giao dịch tại ngân hàng hoặc các tổ chức được phép khác |
|
Mục tiêu 9. Xây dựng cơ sở hạ tầng có khả năng chống chịu cao, thúc đẩy công nghiệp hóa bao trùm và bền vững, tăng cường đổi mới |
|||
|
86 |
9.1.2.a |
1202 |
Số lượt hành khách vận chuyển và luân chuyển |
|
87 |
9.1.2.b |
1203 |
Khối lượng hàng hóa vận chuyển và luân chuyển |
|
88 |
9.2.1.a |
|
Tỷ trọng giá trị tăng thêm ngành công nghiệp chế biến, chế tạo trong tổng sản phẩm trong nước |
|
89 |
9.2.1.b |
0904 |
Giá trị tăng thêm bình quân đầu người ngành công nghiệp chế biến, chế tạo theo sức mua tương đương |
|
90 |
9.2.2 |
|
Tỷ trọng lao động có việc làm trong ngành công nghiệp chế biến, chế tạo |
|
91 |
9.3.2 |
|
Số lượng doanh nghiệp nhỏ và vừa đang có dư nợ tại các tổ chức tín dụng |
|
92 |
9.5.1 |
1406 |
Chi cho nghiên cứu khoa học và phát triển công nghệ so với tổng sản phẩm trong nước (GDP) |
|
93 |
9.5.2 |
1403 |
Số người hoạt động nghiên cứu khoa học và phát triển công nghệ trên 1.000.000 dân |
|
94 |
9.c.1 |
1314 |
Tỷ lệ dân số được phủ sóng bởi mạng di động |
|
95 |
9.c.2 |
|
Tỷ lệ hộ gia đình được phủ mạng internet băng rộng cáp quang |
|
Mục tiêu 10. Giảm bất bình đẳng trong xã hội |
|||
|
96 |
10.1.1.a |
|
Tốc độ tăng thu nhập bình quân đầu người của 40% dân số có thu nhập thấp nhất so với tốc độ tăng trưởng về thu nhập bình quân đầu người |
|
97 |
10.1.1.b |
|
Tốc độ tăng chi tiêu bình quân đầu người của 40% dân số chi tiêu thấp nhất so với tốc độ tăng trưởng về chi tiêu bình quân đầu người |
|
98 |
10.2.1 |
|
Tỷ lệ người sống dưới 50% thu nhập trung vị |
|
99 |
10.4.1 |
|
Tỷ trọng giá trị lao động trong tổng sản phẩm trong nước |
|
100 |
10.4.2 |
1805 |
Hệ số bất bình đẳng trong phân phối thu nhập (hệ số Gini) |
|
101 |
10.7.1 |
|
Tỷ lệ chi phí tuyển dụng mà lao động di cư phải trả so với thu nhập hàng tháng ở nước đến làm việc |
|
Mục tiêu 11. Phát triển đô thị, nông thôn bền vững, có khả năng chống chịu; đảm bảo môi trường sống và làm việc an toàn, phân bổ hợp lý dân cư và lao động theo vùng |
|||
|
102 |
11.1.1 |
|
Tỷ lệ dân số sống trong các nhà tạm |
|
103 |
11.5.1 |
2103 |
Số người chết, mất tích, bị thương do thiên tai trên 100.000 dân |
|
104 |
11.5.2 |
2103 |
Tổng giá trị thiệt hại do thiên tai gây ra |
|
105 |
11.6.1 |
2107 |
Tỷ lệ chất thải rắn sinh hoạt đô thị được thu gom, xử lý |
|
106 |
11.8.1 |
|
Tỷ lệ xã được công nhận đạt tiêu chuẩn nông thôn mới |
|
107 |
11.8.2 |
2107 |
Tỷ lệ chất thải rắn sinh hoạt nông thôn được thu gom, xử lý |
|
Mục tiêu 12. Đảm bảo mô hình sản xuất và tiêu dùng bền vững |
|||
|
108 |
12.4.2 |
2106 |
Tỷ lệ chất thải nguy hại được thu gom, xử lý |
|
109 |
12.4.3 |
|
Tỷ lệ khu vực ô nhiễm môi trường đất được xử lý, cải tạo và phục hồi theo quy định |
|
Mục tiêu 13. Ứng phó kịp thời, hiệu quả với biến đổi khí hậu và thiên tai |
|||
|
110 |
13.1.1 |
2103 |
Số người chết, mất tích, bị thương do thiên tai trên 100.000 dân |
|
111 |
13.2.2 |
2110 |
Lượng phát thải khí nhà kính bình quân đầu người |
|
112 |
13.3.1.a |
|
Tỷ lệ cơ sở phát thải khí nhà kính xây dựng và thực hiện kế hoạch giảm phát thải khí nhà kính |
|
113 |
13.3.2 |
|
Tỷ lệ dân số được phổ biến kiến thức về phòng, chống thiên tai |
|
Mục tiêu 14. Bảo tồn và sử dụng bền vững đại dương, biển và nguồn lợi biển để phát triển bền vững |
|||
|
114 |
14.1.1.a |
|
Tỷ lệ điểm quan trắc chất lượng nước biển ven bờ đạt yêu cầu của quy chuẩn kỹ thuật quốc gia đối với các thông số: Ô nhiễm chất hữu cơ (N-NH4+) và dầu mỡ khoáng |
|
115 |
14.5.1 |
|
Tỷ lệ diện tích các khu bảo tồn biển, ven biển trên tổng diện tích tự nhiên vùng biển quốc gia |
|
Mục tiêu 15. Bảo vệ và phát triển rừng bền vững, bảo tồn đa dạng sinh học, phát triển dịch vụ hệ sinh thái, chống sa mạc hóa, ngăn chặn suy thoái và phục hồi tài nguyên đất |
|||
|
116 |
15.1.1 |
2102 |
Tỷ lệ che phủ rừng |
|
117 |
15.1.2 |
|
Tỷ lệ diện tích các khu bảo tồn thiên nhiên trên đất liền so với diện tích lãnh thổ đất liền |
|
118 |
15.2.1.a |
|
Diện tích rừng được bảo vệ |
|
119 |
15.3.1 |
2105 |
Tỷ lệ diện tích đất bị thoái hóa |
|
120 |
15.6.1 |
|
Tỷ lệ tỉnh, thành phố trực thuộc trung ương tham gia vào hệ thống cơ sở dữ liệu quốc gia về nguồn gen và tri thức truyền thống về nguồn gen |
|
121 |
15.6.2 |
|
Số lượng hồ sơ tiếp cận nguồn gen và chia sẻ lợi ích |
|
Mục tiêu 16. Thúc đẩy xã hội hòa bình, công bằng, bình đẳng vì sự phát triển bền vững, tạo khả năng tiếp cận công lý cho tất cả mọi người; xây dựng các thể chế hiệu quả, có trách nhiệm giải trình và có sự tham gia ở các cấp. |
|||
|
122 |
16.1.1 |
|
Số nạn nhân của tội cố ý giết người trên 100.000 dân |
|
123 |
16.1.3 |
1905 |
Tỷ lệ dân số bị bạo lực |
|
124 |
16.1.4 |
|
Tỷ lệ dân số cảm thấy an toàn khi đi bộ một mình quanh khu vực sống sau khi trời tối |
|
125. |
16.2.1 |
|
Tỷ lệ người dưới 18 tuổi đã từng bị người chăm sóc, nuôi dưỡng xử phạt về thể chất hoặc bị xử phạt về tinh thần trong tháng qua |
|
126 |
16.2.2 |
|
Số nạn nhân của nạn mua bán người được phát hiện trên 100.000 dân |
|
127 |
16.2.3 |
|
Tỷ lệ người từ 18-29 tuổi đã từng bị bạo lực tình dục trước 18 tuổi |
|
128 |
16.3.1 |
|
Tỷ lệ nạn nhân bị bạo lực trong 12 tháng qua đã trình báo với cơ quan có thẩm quyền hoặc cơ quan, đoàn thể có thể hỗ trợ |
|
129 |
16.4.2 |
|
Tổng số vũ khí, vật liệu nổ và công cụ hỗ trợ trái phép bị tịch thu |
|
130 |
16.5.1 |
|
Tỷ lệ người phải trả chi phí không chính thức khi sử dụng dịch vụ công |
|
131 |
16.5.2 |
|
Tỷ lệ doanh nghiệp phải trả chi phí không chính thức khi sử dụng dịch vụ công |
|
132 |
16.6.1 |
|
Tỷ lệ chi ngân sách nhà nước so với dự toán chi ngân sách nhà nước đã được phê duyệt |
|
133 |
16.6.2 |
|
Tỷ lệ dân số hài lòng về dịch vụ công trong lần gần đây nhất |
|
134 |
16.9.1 |
0113 |
Tỷ lệ trẻ em dưới 05 tuổi đã được đăng ký khai sinh |
|
Mục tiêu 17. Tăng cường phương thức thực hiện và thúc đẩy đối tác toàn cầu vì sự phát triển bền vững |
|||
|
135 |
17.1.1 |
0602 |
Tỷ lệ thu ngân sách nhà nước so với tổng sản phẩm trong nước |
|
136 |
17.1.2 |
|
Tỷ trọng các khoản chi được bảo đảm từ nguồn thu thuế |
|
137 |
17.3.1.a |
|
Vốn hỗ trợ phát triển chính thức và vốn vay ưu đãi của các nhà tài trợ nước ngoài |
|
138 |
17.3.1.b |
|
Vốn đầu tư nước ngoài vào Việt Nam |
|
139 |
17.4.1 |
|
Nghĩa vụ trả nợ nước ngoài quốc gia so với tổng kim ngạch xuất khẩu hàng hóa và dịch vụ |
|
140 |
17.6.1 |
1307 |
Số thuê bao truy nhập Internet băng rộng trên 100 dân |
|
141 |
17.8.1 |
1306 |
Tỷ lệ người sử dụng Internet |
|
142 |
17.11.1 |
1006 |
Trị giá hàng hóa xuất khẩu, nhập khẩu |
|
143 |
17.17.1 |
|
Tổng số dự án đầu tư theo phương thức đối tác công tư |
|
144 |
17.19.1 |
|
Tỷ lệ đăng ký khai sinh |
|
145 |
17.19.2 |
|
Tỷ lệ đăng ký khai tử |
Phụ lục II
NỘI DUNG CHỈ TIÊU THỐNG KÊ
PHÁT TRIỂN BỀN VỮNG CỦA VIỆT NAM
(Ban hành kèm theo Thông tư số 02/2025/TT-BKHĐT ngày 03 tháng 01 năm 2025
của Bộ trưởng Bộ Kế hoạch và Đầu tư)
Mục tiêu 1: Chấm dứt mọi hình thức nghèo ở mọi nơi
1.1.1. Tỷ lệ dân số sống dưới chuẩn nghèo quốc tế
1. Khái niệm, phương pháp tính
Tỷ lệ dân số sống dưới chuẩn nghèo quốc tế là phần trăm dân số có mức thu nhập bình quân một ngày dưới 2,15 Đô la Mỹ theo sức mua tương đương 2017 so với tổng dân số tại thời điểm đó.
Công thức tính:
|
Tỷ lệ dân số sông dưới |
= |
Dân số có thu nhập bình quân |
x 100 |
|
Tổng dân số |
2. Phân tổ chủ yếu
- Giới tính;
- Dân tộc;
- Thành thị/nông thôn;
- Tỉnh, thành phố trực thuộc trung ương;
- Vùng kinh tế - xã hội.
3. Kỳ công bố: Năm.
4. Nguồn số liệu: Khảo sát mức sống dân cư Việt Nam.
5. Cơ quan chịu trách nhiệm thu thập, tổng hợp: Bộ Kế hoạch và Đầu tư (Tổng cục Thống kê).
1.2.1. Tỷ lệ nghèo đa chiều
1. Khái niệm, phương pháp tính
Tỷ lệ nghèo đa chiều là tỷ lệ phần trăm giữa số hộ nghèo đa chiều so với tổng số hộ.
Công thức tính:
|
Tỷ lệ nghèo đa chiều (%) |
= |
Số hộ nghèo đa chiều |
x 100 |
|
Tổng dân số |
Chuẩn nghèo đa chiều bao gồm 2 tiêu chí: (1) Tiêu chí về thu nhập và (2) tiêu chí về mức độ thiếu hụt dịch vụ xã hội cơ bản. Các tiêu chí để xác định chuẩn nghèo đa chiều dựa trên văn bản quy phạm pháp luật tương ứng theo từng thời kỳ.
2. Phân tổ chủ yếu
- Dân tộc của chủ hộ;
- Thành thị/nông thôn;
- Tỉnh, thành phố trực thuộc trung ương;
- Vùng kinh tế - xã hội.
3. Kỳ công bố: Năm.
4. Nguồn số liệu: Khảo sát mức sống dân cư Việt Nam.
5. Cơ quan chịu trách nhiệm thu thập, tổng hợp: Bộ Kế hoạch và Đầu tư (Tổng cục Thống kê).
1.2.2. Tỷ lệ trẻ em nghèo đa chiều
1. Khái niệm, phương pháp tính
Tỷ lệ trẻ em nghèo đa chiều là tỷ lệ phần trăm giữa số trẻ em từ 0-15 tuổi nghèo đa chiều so với tổng số trẻ em từ 0-15 tuổi.
Công thức tính:
|
Tỷ lệ trẻ em nghèo đa chiều (%) |
= |
Tổng số trẻ em từ 0-15 tuổi nghèo đa chiều |
x 100 |
|
Tổng số trẻ em từ 0-15 tuổi |
Dựa trên nguồn số liệu hiện có, các chiều tiếp cận dịch vụ xã hội cơ bản để xác định nghèo đa chiều trẻ em gồm giáo dục, y tế, nhà ở, nước hợp vệ sinh, hố xí hợp vệ sinh, dinh dưỡng và tiếp cận công nghệ thông tin. Một trẻ em được gọi là nghèo đa chiều nếu thiếu hụt từ 2 chiều tiếp cận dịch vụ xã hội cơ bản trở lên. Đối với mỗi chiều, có các chỉ tiêu tương ứng để xác định mức độ thiếu hụt.
Lưu ý: Trường hợp cơ quan quản lý nhà nước về vấn đề trẻ em có văn bản quy phạm pháp luật hướng dẫn tiêu chuẩn xác định nghèo đa chiều trẻ em thì phương pháp tính sẽ thay đổi theo quy định của văn bản pháp luật.
2. Phân tổ chủ yếu
- Giới tính;
- Dân tộc;
- Thành thị/nông thôn;
- Vùng kinh tế - xã hội.
3. Kỳ công bố: 2 năm.
4. Nguồn số liệu: Khảo sát mức sống dân cư Việt Nam.
5. Cơ quan chịu trách nhiệm thu thập, tổng hợp: Bộ Kế hoạch và Đầu tư (Tổng cục Thống kê).
1.3.1.a. Tỷ lệ người lao động tham gia bảo hiểm xã hội
Bảo hiểm xã hội là sự bảo đảm thay thế hoặc bù đắp một phần thu nhập của người lao động khi họ bị giảm hoặc mất thu nhập do ốm đau, thai sản, tai nạn lao động, bệnh nghề nghiệp, hết tuổi lao động hoặc chết, trên cơ sở đóng vào quỹ bảo hiểm xã hội.
Số người tham gia bảo hiểm xã hội gồm số người tham gia bảo hiểm xã hội bắt buộc và số người tham gia bảo hiểm xã hội tự nguyện.
Bảo hiểm xã hội bắt buộc là loại hình bảo hiểm xã hội do Nhà nước tổ chức mà người lao động và người sử dụng lao động phải tham gia.
Bảo hiểm xã hội tự nguyện là loại hình bảo hiểm xã hội do Nhà nước tổ chức mà người tham gia được lựa chọn mức đóng, phương thức đóng phù hợp với thu nhập của mình và Nhà nước có chính sách hỗ trợ tiền đóng bảo hiểm xã hội để người tham gia hưởng chế độ hưu trí và tử tuất.
Số người tham gia bảo hiểm xã hội bắt buộc thuộc các đối tượng sau:
- Người lao động là công dân Việt Nam thuộc đối tượng tham gia bảo hiểm xã hội bắt buộc, gồm:
+ Người làm việc theo hợp đồng lao động không xác định thời hạn, hợp đồng lao động xác định thời hạn có thời hạn từ đủ 01 tháng trở lên, kể cả trường hợp người lao động và người sử dụng lao động thỏa thuận bằng tên gọi khác nhưng có nội dung thể hiện về việc làm có trả công, tiền lương và sự quản lý, điều hành, giám sát của một bên;
+ Cán bộ, công chức, viên chức;
+ Công nhân và viên chức quốc phòng, công nhân công an, người làm công tác khác trong tổ chức cơ yếu;
+ Sĩ quan, quân nhân chuyên nghiệp quân đội nhân dân; sĩ quan, hạ sĩ quan nghiệp vụ, sĩ quan, hạ sĩ quan chuyên môn kỹ thuật công an nhân dân; người làm công tác cơ yếu hưởng lương như đối với quân nhân;
+ Hạ sĩ quan, binh sĩ quân đội nhân dân; hạ sĩ quan, chiến sĩ nghĩa vụ công an nhân dân; học viên quân đội, công an, cơ yếu đang theo học được hưởng sinh hoạt phí;
+ Dân quân thường trực;
+ Người lao động đi làm việc ở nước ngoài theo hợp đồng quy định tại Luật Người lao động Việt Nam đi làm việc ở nước ngoài theo hợp đồng, trừ trường hợp điều ước quốc tế mà nước Cộng hòa xã hội chủ nghĩa Việt Nam là thành viên có quy định khác;
+ Vợ hoặc chồng không hưởng lương từ ngân sách nhà nước được cử đi công tác nhiệm kỳ cùng thành viên cơ quan đại diện nước Cộng hòa xã hội chủ nghĩa Việt Nam ở nước ngoài được hưởng chế độ sinh hoạt phí;
+ Người quản lý doanh nghiệp, kiểm soát viên, người đại diện phần vốn nhà nước, người đại diện phần vốn của doanh nghiệp theo quy định của pháp luật; thành viên Hội đồng quản trị, Tổng giám đốc, Giám đốc, thành viên Ban kiểm soát hoặc kiểm soát viên và các chức danh quản lý khác được bầu của hợp tác xã, liên hiệp hợp tác xã theo quy định của Luật Hợp tác xã có hưởng tiền lương;
+ Người hoạt động không chuyên trách ở cấp xã, ở thôn, tổ dân phố;
+ Đối tượng quy định tại điểm a khoản này làm việc không trọn thời gian, có tiền lương trong tháng bằng hoặc cao hơn tiền lương làm căn cứ đóng bảo hiểm xã hội bắt buộc thấp nhất;
+ Chủ hộ kinh doanh của hộ kinh doanh có đăng ký kinh doanh tham gia theo quy định của Chính phủ;
+ Người quản lý doanh nghiệp, kiểm soát viên, người đại diện phần vốn nhà nước, người đại diện phần vốn của doanh nghiệp theo quy định của pháp luật; thành viên Hội đồng quản trị, Tổng giám đốc, Giám đốc, thành viên Ban kiểm soát hoặc kiểm soát viên và các chức danh quản lý khác được bầu của hợp tác xã, liên hiệp hợp tác xã theo quy định của Luật Hợp tác xã không hưởng tiền lương.
- Người lao động là công dân nước ngoài làm việc tại Việt Nam thuộc đối tượng tham gia bảo hiểm xã hội bắt buộc khi làm việc theo hợp đồng lao động xác định thời hạn có thời hạn từ đủ 12 tháng trở lên với người sử dụng lao động tại Việt Nam.
- Người sử dụng lao động thuộc đối tượng tham gia bảo hiểm xã hội bắt buộc bao gồm cơ quan nhà nước, đơn vị sự nghiệp công lập; cơ quan, đơn vị, doanh nghiệp thuộc Quân đội nhân dân, Công an nhân dân và tổ chức cơ yếu; tổ chức chính trị, tổ chức chính trị - xã hội, tổ chức chính trị xã hội - nghề nghiệp, tổ chức xã hội - nghề nghiệp, tổ chức xã hội khác; cơ quan, tổ chức nước ngoài, tổ chức quốc tế hoạt động trên lãnh thổ Việt Nam; doanh nghiệp, tổ hợp tác, hợp tác xã, liên hiệp hợp tác xã, hộ kinh doanh, tổ chức khác và cá nhân có thuê mướn, sử dụng lao động theo hợp đồng lao động.
Người tham gia bảo hiểm xã hội tự nguyện là công dân Việt Nam từ đủ 15 tuổi trở lên không thuộc đối tượng tham gia bảo hiểm xã hội bắt buộc và không phải là người đang hưởng lương hưu, trợ cấp bảo hiểm xã hội, trợ cấp hằng tháng.
Tỷ lệ người lao động tham gia bảo hiểm xã hội là tỷ lệ phần trăm giữa số người tham gia bảo hiểm xã hội so với lực lượng lao động trong độ tuổi lao động năm báo cáo.
Công thức tính:
|
Tỷ lệ người lao động tham gia bảo hiểm xã hội (%) |
= |
Số người tham gia bảo hiểm xã hội năm báo cáo |
x 100 |
|
Lực lượng lao động trong độ tuổi lao động năm báo cáo |
2. Phân tổ chủ yếu
- Tỉnh, thành phố trực thuộc trung ương;
- Vùng kinh tế - xã hội.
3. Kỳ công bố: Năm.
4. Nguồn số liệu
- Số người tham gia bảo hiểm xã hội: Dữ liệu hành chính của Bảo hiểm xã hội Việt Nam;
- Lực lượng lao động trong độ tuổi lao động: Điều tra lao động việc làm.
5. Cơ quan chịu trách nhiệm thu thập, tổng hợp
- Chủ trì: Bộ Kế hoạch và Đầu tư (Tổng cục Thống kê);
- Phối hợp: Bảo hiểm xã hội Việt Nam (cung cấp số liệu về số người lao động tham gia bảo hiểm xã hội).
1.3.1.b. Tỷ lệ người lao động tham gia bảo hiểm thất nghiệp
1. Khái niệm, phương pháp tính
Bảo hiểm thất nghiệp là chế độ nhằm bù đắp một phần thu nhập của người lao động khi bị mất việc làm, hỗ trợ người lao động học nghề, duy trì việc làm, tìm việc làm trên cơ sở đóng vào Quỹ bảo hiểm thất nghiệp.
Số người tham gia bảo hiểm thất nghiệp được xác định như sau:
- Người lao động phải tham gia bảo hiểm thất nghiệp khi làm việc theo hợp đồng lao động hoặc hợp đồng làm việc như sau:
+ Hợp đồng lao động hoặc hợp đồng làm việc không xác định thời hạn;
+ Hợp đồng lao động hoặc hợp đồng làm việc xác định thời hạn.
Trong trường hợp người lao động giao kết và đang thực hiện nhiều hợp đồng lao động thì người lao động và người sử dụng lao động của hợp đồng lao động giao kết đầu tiên có trách nhiệm tham gia bảo hiểm thất nghiệp.
- Người lao động theo quy định tại khoản 1 Điều 43 Luật Việc làm đang hưởng lương hưu, giúp việc gia đình thì không phải tham gia bảo hiểm thất nghiệp.
- Người sử dụng lao động tham gia bảo hiểm thất nghiệp gồm cơ quan nhà nước, đơn vị sự nghiệp công lập, đơn vị vũ trang nhân dân; tổ chức chính trị, tổ chức chính trị - xã hội, tổ chức chính trị xã hội - nghề nghiệp, tổ chức xã hội, tổ chức xã hội - nghề nghiệp; cơ quan, tổ chức nước ngoài, tổ chức quốc tế hoạt động trên lãnh thổ Việt Nam; doanh nghiệp, hợp tác xã, hộ dân cư, hộ kinh doanh, tổ hợp tác, tổ chức khác và cá nhân có thuê mướn, sử dụng lao động theo hợp đồng làm việc hoặc hợp đồng lao động.
Tỷ lệ người lao động tham gia bảo hiểm thất nghiệp là tỷ lệ phần trăm giữa số người tham gia bảo hiểm thất nghiệp so với lực lượng lao động trong độ tuổi lao động năm báo cáo.
Công thức tính:
|
Tỷ lệ người lao động tham gia bảo hiểm thất nghiệp (%) |
= |
Số người tham gia bảo hiểm thất nghiệp năm báo cáo |
x 100 |
|
Lực lượng lao động trong độ tuổi lao động năm báo cáo |
2. Phân tổ chủ yếu
- Tỉnh, thành phố trực thuộc trung ương;
- Vùng kinh tế - xã hội.
3. Kỳ công bố: Năm.
4. Nguồn số liệu
- Số người tham gia bảo hiểm thất nghiệp: Dữ liệu hành chính của Bảo hiểm xã hội Việt Nam;
- Lực lượng lao động trong độ tuổi lao động: Điều tra lao động việc làm.
5. Cơ quan chịu trách nhiệm thu thập, tổng hợp
- Chủ trì: Bộ Kế hoạch và Đầu tư (Tổng cục Thống kê).
- Phối hợp: Bộ Lao động - Thương binh và Xã hội; Bảo hiểm xã hội Việt Nam (cung cấp số liệu về số người lao động tham gia bảo hiểm thất nghiệp).
1.3.1.c. Tỷ lệ người tham gia bảo hiểm y tế
1. Khái niệm, phương pháp tính
a) Số người tham gia bảo hiểm y tế
Bảo hiểm y tế là hình thức bảo hiểm bắt buộc được áp dụng đối với các đối tượng theo quy định của Luật Bảo hiểm y tế để chăm sóc sức khỏe, không vì mục đích lợi nhuận do Nhà nước tổ chức thực hiện.
Số người tham gia bảo hiểm y tế được xác định theo 6 nhóm đối tượng cụ thể như sau:
- Nhóm do người lao động và người sử dụng lao động đóng;
- Nhóm do cơ quan bảo hiểm xã hội đóng;
- Nhóm do ngân sách nhà nước đóng;
- Nhóm được ngân sách nhà nước hỗ trợ mức đóng;
- Nhóm tham gia bảo hiểm y tế theo hộ gia đình;
- Nhóm do người sử dụng lao động đóng.
Chi tiết về người tham gia bảo hiểm y tế thuộc 06 nhóm tham gia bảo hiểm y tế quy định tại Điều 1, Điều 2, Điều 3, Điều 4, Điều 5, Điều 6 Chương I Nghị định số 146/2018/NĐ-CP ngày 17 tháng 10 năm 2018 của Chính phủ quy định chi tiết và hướng dẫn thi hành một số điều của Luật Bảo hiểm y tế.
b) Tỷ lệ người tham gia bảo hiểm y tế
Tỷ lệ người tham gia bảo hiểm y tế là tỷ lệ phần trăm giữa số người tham gia bảo hiểm y tế so với dân số trung bình năm báo cáo.
Công thức tính:
|
Tỷ lệ người tham gia bảo hiểm y tế (%) |
= |
Số người tham gia bảo hiểm y tế năm báo cáo |
x 100 |
|
Dân số trung bình năm báo cáo |
2. Phân tổ chủ yếu
- Nhóm tham gia bảo hiểm y tế;
- Tỉnh, thành phố trực thuộc trung ương;
- Vùng kinh tế - xã hội.
3. Kỳ công bố: Năm.
4. Nguồn số liệu
- Số người tham gia bảo hiểm y tế: Dữ liệu hành chính của Bảo hiểm xã hội Việt Nam;
- Dân số trung bình: Điều tra biến động dân số và kế hoạch hóa gia đình.
5. Cơ quan chịu trách nhiệm thu thập, tổng hợp
- Chủ trì: Bộ kế hoạch và Đầu tư (Tổng cục Thống kê);
- Phối hợp: Bảo hiểm xã hội Việt Nam (thu thập số liệu số người tham gia bảo hiểm y tế).
1.3.1.d. Số người được hưởng bảo hiểm xã hội, bảo hiểm y tế, bảo hiểm thất nghiệp
1. Khái niệm, phương pháp tính, phân tổ chủ yếu
a) Số người được hưởng bảo hiểm xã hội
Số người được hưởng bảo hiểm xã hội là số người đã tham gia bảo hiểm xã hội được nhận tiền bảo hiểm xã hội (tính theo số người, bạt kể một người nhận được nhiều loại bảo hiểm xã hội khác nhau).
Số người được hưởng bảo hiểm xã hội được chi trả theo các chế độ: Ốm đau, thai sản; tai nạn lao động, bệnh nghề nghiệp; hưu trí; tử tuất.
Phân tổ chủ yếu
- Chế độ trợ cấp;
- Thời gian hưởng (hưởng 1 lần/hàng tháng);
- Tỉnh, thành phố trực thuộc trung ương;
- Vùng kinh tế - xã hội.
b) Số người được hưởng bảo hiểm y tế
Số người được hưởng bảo hiểm y tế là số người đã tham gia bảo hiểm y tế khi đi khám chữa bệnh được hưởng các dịch vụ khám chữa bệnh (tính theo số lượt người khám chữa bệnh bảo hiểm y tế).
Phân tổ chủ yếu
- Hình thức điều trị (nội trú/ngoại trú);
- Tỉnh, thành phố trực thuộc trung ương;
- Vùng kinh tế - xã hội.
c) Số người được hưởng bảo hiểm thất nghiệp
Số người được hưởng bảo hiểm thất nghiệp là số người đã tham gia đóng bảo hiểm thất nghiệp khi mất việc làm (thất nghiệp) được hưởng chế độ bảo hiểm thất nghiệp (tính theo số người hưởng bảo hiểm thất nghiệp).
Phân tổ chủ yếu
- Chế độ trợ cấp (trợ cấp thất nghiệp/hỗ trợ học nghề/hỗ trợ đào tạo nâng cao kỹ năng nghề);
- Tỉnh, thành phố trực thuộc trung ương;
- Vùng kinh tế - xã hội.
2. Kỳ công bố: Năm.
3. Nguồn số liệu: Dữ liệu hành chính của Bảo hiểm xã hội Việt Nam.
4. Cơ quan chịu trách nhiệm thu thập, tổng hợp: Bảo hiểm xã hội Việt Nam.
1.3.1.e. Số người được hỗ trợ xã hội hàng tháng tại cộng đồng
1. Khái niệm, phương pháp tính
Đối tượng hưởng trợ cấp xã hội hàng tháng gồm:
1. Trẻ em dưới 16 tuổi không có nguồn nuôi dưỡng thuộc một trong các trường hợp sau đây:
a) Bị bỏ rơi chưa có người nhận làm con nuôi;
b) Mồ côi cả cha và mẹ;
c) Mồ côi cha hoặc mẹ và người còn lại bị tuyên bố mất tích theo quy định của pháp luật;
d) Mồ côi cha hoặc mẹ và người còn lại đang hưởng chế độ chăm sóc, nuôi dưỡng tại cơ sở trợ giúp xã hội, nhà xã hội;
đ) Mồ côi cha hoặc mẹ và người còn lại đang trong thời gian chấp hành án phạt tù tại trại giam hoặc đang chấp hành quyết định xử lý vi phạm hành chính tại trường giáo dưỡng, cơ sở giáo dục bắt buộc, cơ sở cai nghiện bắt buộc;
e) Cả cha và mẹ bị tuyên bố mất tích theo quy định của pháp luật;
g) Cả cha và mẹ đang hưởng chế độ chăm sóc, nuôi dưỡng tại cơ sở trợ giúp xã hội, nhà xã hội;
h) Cả cha và mẹ đang trong thời gian chấp hành án phạt tù tại trại giam hoặc đang chấp hành quyết định xử lý vi phạm hành chính tại trường giáo dưỡng, cơ sở giáo dục bắt buộc, cơ sở cai nghiện bắt buộc;
i) Cha hoặc mẹ bị tuyên bố mất tích theo quy định của pháp luật và người còn lại đang hưởng chế độ chăm sóc, nuôi dưỡng tại cơ sở trợ giúp xã hội, nhà xã hội;
k) Cha hoặc mẹ bị tuyên bố mất tích theo quy định của pháp luật và người còn lại đang trong thời gian chấp hành án phạt tù tại trại giam hoặc đang chấp hành quyết định xử lý vi phạm hành chính tại trường giáo dưỡng, cơ sở giáo dục bắt buộc, cơ sở cai nghiện bắt buộc;
l) Cha hoặc mẹ đang hưởng chế độ chăm sóc, nuôi dưỡng tại cơ sở trợ giúp xã hội và người còn lại đang trong thời gian chấp hành án phạt tù tại trại giam hoặc đang chấp hành quyết định xử lý vi phạm hành chính tại trường giáo dưỡng, cơ sở giáo dục bắt buộc, cơ sở cai nghiện bắt buộc.
2. Người thuộc diện quy định tại khoản 1 Điều này đang hưởng trợ cấp xã hội hàng tháng mà đủ 16 tuổi nhưng đang học văn hóa, học nghề, trung học, chuyên nghiệp, cao đẳng, đại học văn bằng thứ nhất thì tiếp tục được hưởng chính sách trợ giúp xã hội cho đến khi kết thúc học, nhưng tối đa không quá 22 tuổi.
3. Trẻ em nhiễm HIV/AIDS thuộc hộ nghèo.
4. Người thuộc diện hộ nghèo, hộ cận nghèo chưa có chồng hoặc chưa có vợ; đã có chồng hoặc vợ nhưng đã chết hoặc mất tích theo quy định của pháp luật và đang nuôi con dưới 16 tuổi hoặc đang nuôi con từ 16 đến 22 tuổi và người con đó đang học văn hóa, học nghề, trung học chuyên nghiệp, cao đẳng, đại học văn bằng thứ nhất quy định tại khoản 2 Điều này (sau đây gọi chung là người đơn thân nghèo đang nuôi con).
5. Người cao tuổi thuộc một trong các trường hợp quy định sau đây:
a) Người cao tuổi thuộc diện hộ nghèo, không có người có nghĩa vụ và quyền phụng dưỡng hoặc có người có nghĩa vụ và quyền phụng dưỡng nhưng người này đang hưởng trợ cấp xã hội hàng tháng;
b) Người cao tuổi từ đủ 75 tuổi đến 80 tuổi thuộc diện hộ nghèo, hộ cận nghèo không thuộc diện quy định ở điểm a khoản này đang sống tại địa bàn các xã, thôn vùng đồng bào dân tộc thiểu số và miền núi đặc biệt khó khăn;
c) Người từ đủ 80 tuổi trở lên không thuộc diện quy định tại điểm a khoản này mà không có lương hưu, trợ cấp bảo hiểm xã hội hàng tháng, trợ cấp xã hội hàng tháng;
d) Người cao tuổi thuộc diện hộ nghèo, không có người có nghĩa vụ và quyền phụng dưỡng, không có điều kiện sống ở cộng đồng, đủ điều kiện tiếp nhận vào cơ sở trợ giúp xã hội nhưng có người nhận nuôi dưỡng, chăm sóc tại cộng đồng.
6. Người khuyết tật nặng, người khuyết tật đặc biệt nặng theo quy định pháp luật về người khuyết tật.
7. Trẻ em dưới 3 tuổi thuộc diện hộ nghèo, hộ cận nghèo không thuộc đối tượng quy định tại các khoản 1, 3 và 6 Điều này đang sống tại địa bàn các xã, thôn vùng đồng bào dân tộc thiểu số và miền núi đặc biệt khó khăn.
8. Người nhiễm HIV/AIDS thuộc diện hộ nghèo không có nguồn thu nhập ổn định hàng tháng như tiền lương, tiền công, lương hưu, trợ cấp bảo bảo hiểm xã hội, trợ cấp xã hội hàng tháng.
2. Phân tổ chủ yếu
- Giới tính;
- Nhóm đối tượng;
- Tỉnh, thành phố trực thuộc trung ương.
3. Kỳ công bố: Năm.
4. Nguồn số liệu: Chế độ báo cáo thống kê ngành Lao động - Thương binh và Xã hội.
5. Cơ quan chịu trách nhiệm thu thập, tổng hợp: Bộ Lao động - Thương binh và Xã hội.
1.3.1.g. Số người được hỗ trợ xã hội đột xuất
1. Khái niệm, phương pháp tính
Những đối tượng được hưởng trợ cấp xã hội đột xuất bao gồm:
+ Hộ gia đình có người chết, mất tích do thiên tai, hỏa hoạn, dịch bệnh; tai nạn giao thông, tai nạn lao động đặc biệt nghiêm trọng hoặc các lý do bất khả kháng khác;
+ Người bị thương nặng do thiên tai, hỏa hoạn; tai nạn giao thông, tai nạn lao động đặc biệt nghiêm trọng hoặc các lý do bất khả kháng khác;
+ Hộ nghèo, hộ cận nghèo, hộ gia đình có hoàn cảnh khó khăn có nhà ở bị bị hư hỏng nặng, đổ, sập, trôi, cháy hoàn toàn do thiên tai, hỏa hoạn hoặc lý do bất khả kháng khác mà không còn nơi ở;
+ Hộ phải di dời nhà ở khẩn cấp theo quyết định của cơ quan có thẩm quyền do nguy cơ sạt lở, lũ, lụt, thiên tai, hỏa hoạn hoặc lý do bất khả kháng khác;
+ Trẻ em có cả cha và mẹ chết, mất tích do thiên tai, hỏa hoạn hoặc lý do bất khả kháng khác mà không còn người thân thích chăm sóc, nuôi dưỡng.
2. Phân tổ chủ yếu
- Nhóm đối tượng;
- Tỉnh, thành phố trực thuộc trung ương.
3. Kỳ công bố: Năm.
4. Nguồn số liệu: Chế độ báo cáo thống kê ngành Lao động - Thương binh và Xã hội.
5. Cơ quan chịu trách nhiệm thu thập, tổng hợp: Bộ Lao động - Thương binh và Xã hội.
1.3.1.h. Số người được nuôi dưỡng tập trung trong cơ sở bảo trợ xã hội, nhà xã hội
1. Khái niệm, phương pháp tính
Đối tượng được chăm sóc, nuôi dưỡng tại cơ sở bảo trợ xã hội, nhà xã hội, gồm:
1. Đối tượng bảo trợ xã hội có hoàn cảnh đặc biệt khó khăn bao gồm:
a) Đối tượng trẻ em thuộc diện khó khăn không tự lo được cuộc sống và không có người nhận chăm sóc, nuôi dưỡng tại cộng đồng, gồm:
Trẻ em dưới 16 tuổi không có nguồn nuôi dưỡng thuộc một trong các trường hợp quy định sau đây:
- Bị bỏ rơi chưa có người nhận làm con nuôi;
- Mồ côi cả cha và mẹ;
- Mồ côi cha hoặc mẹ và người còn lại mất tích theo quy định của pháp luật;
- Mồ côi cha hoặc mẹ và người còn lại đang hưởng chế độ chăm sóc, nuôi dưỡng tại cơ sở bảo trợ xã hội, nhà xã hội;
- Mồ côi cha hoặc mẹ và người còn lại đang trong thời gian chấp hành án phạt tù tại trại giam hoặc đang chấp hành quyết định xử lý vi phạm hành chính tại trường giáo dưỡng, cơ sở giáo dục bắt buộc, cơ sở cai nghiện bắt buộc;
- Cả cha và mẹ mất tích theo quy định của pháp luật;
- Cả cha và mẹ đang hưởng chế độ chăm sóc, nuôi dưỡng tại cơ sở bảo trợ xã hội, nhà xã hội;
- Cả cha và mẹ đang trong thời gian chấp hành án phạt tù tại trại giam hoặc đang chấp hành quyết định xử lý vi phạm hành chính tại trường giáo dưỡng, cơ sở giáo dục bắt buộc, cơ sở cai nghiện bắt buộc;
- Cha hoặc mẹ mất tích theo quy định của pháp luật và người còn lại đang hưởng chế độ chăm sóc, nuôi dưỡng tại cơ sở bảo trợ xã hội, nhà xã hội;
- Cha hoặc mẹ mất tích theo quy định của pháp luật và người còn lại đang trong thời gian chấp hành án phạt tù tại trại giam hoặc đang chấp hành quyết định xử lý vi phạm hành chính tại trường giáo dưỡng, cơ sở giáo dục bắt buộc, cơ sở cai nghiện bắt buộc;
- Cha hoặc mẹ đang hưởng chế độ chăm sóc, nuôi dưỡng tại cơ sở bảo trợ xã hội, nhà xã hội và người còn lại đang trong thời gian chấp hành án phạt tù tại trại giam hoặc đang chấp hành quyết định xử lý vi phạm hành chính tại trường giáo dưỡng, cơ sở giáo dục bắt buộc, cơ sở cai nghiện bắt buộc.
Trẻ em bị nhiễm HIV thuộc hộ nghèo; người bị nhiễm HIV thuộc hộ nghèo không còn khả năng lao động mà không có lương hưu, trợ cấp bảo hiểm xã hội hàng tháng, trợ cấp ưu đãi người có công hàng tháng, trợ cấp hàng tháng khác.
b) Người cao tuổi thuộc diện được chăm sóc, nuôi dưỡng tại cơ sở bảo trợ xã hội, nhà xã hội theo quy định của pháp luật về người cao tuổi;
c) Trẻ em khuyết tật, người khuyết tật thuộc diện được chăm sóc, nuôi dưỡng tại cơ sở bảo trợ xã hội, nhà xã hội theo quy định của pháp luật về người khuyết tật.
2. Đối tượng cần bảo vệ khẩn cấp bao gồm:
a) Nạn nhân của bạo lực gia đình; nạn nhân bị xâm hại tình dục; nạn nhân bị buôn bán; nạn nhân bị cưỡng bức lao động;
b) Trẻ em, người lang thang xin ăn trong thời gian chờ đưa về nơi cư trú;
c) Đối tượng cần bảo vệ khẩn cấp khác theo quyết định của Chủ tịch Ủy ban nhân dân cấp tỉnh.
3. Người chưa thành niên, người không còn khả năng lao động là đối tượng thuộc diện chăm sóc, nuôi dưỡng tại cơ sở trợ giúp xã hội theo quy định của pháp luật về xử lý vi phạm hành chính
4. Đối tượng tự nguyện sống tại cơ sở bảo trợ xã hội, nhà xã hội bao gồm:
a) Người cao tuổi thực hiện theo hợp đồng ủy nhiệm chăm sóc;
b) Người không thuộc diện quy định tại khoản 1 và khoản 2 không có điều kiện sống tại gia đình, có nhu cầu vào sống tại cơ sở bảo trợ xã hội, nhà xã hội.
2. Phân tổ chủ yếu
- Nhóm đối tượng;
- Tỉnh, thành phố trực thuộc trung ương;
- Vùng kinh tế - xã hội
3. Kỳ công bố: Năm.
4. Nguồn số liệu: Chế độ báo cáo thống kê ngành Lao động - Thương binh và Xã hội.
5. Cơ quan chịu trách nhiệm thu thập, tổng hợp: Bộ Lao động - Thương binh và Xã hội.
1.4.1. Tỷ lệ dân số sống trong hộ tiếp cận với các dịch vụ cơ bản
1. Khái niệm, phương pháp tính
Tỷ lệ dân số sống trong hộ tiếp cận với các dịch vụ cơ bản là phần trăm dân số sống trong hộ được tiếp cận với các dịch vụ cơ bản trong tổng dân số trong năm xác định.
Các dịch vụ cơ bản được xác định theo chuẩn nghèo tiếp cận đa chiều quy định trong chuẩn nghèo quốc gia tương ứng theo từng thời kỳ.
Công thức tính:
|
Tỷ lệ dân số sống trong hộ tiếp cận với các dịch vụ cơ bản (%) |
= |
Dân số sống trong hộ được tiếp cận với các dịch vụ cơ bản |
x 100 |
|
Tổng dân số |
2. Phân tổ chủ yếu
- Thành thị/nông thôn;
- Vùng kinh tế - xã hội.
3. Kỳ công bố: 2 năm.
4. Nguồn số liệu: Khảo sát mức sống dân cư Việt Nam.
5. Cơ quan chịu trách nhiệm thu thập, tổng hợp: Bộ Kế hoạch và Đầu tư (Tổng cục Thống kê).
Mục tiêu 2: Xóa đói, bảo đảm an ninh lương thực, cải thiện dinh dưỡng và thúc đẩy phát triển nông nghiệp bền vững
2.1.2. Tỷ lệ mất an ninh lương thực
1. Khái niệm, phương pháp tính
An ninh lương thực là trạng thái mà mọi người có khả năng tiếp cận các thực phẩm an toàn, bổ dưỡng, đầy đủ để duy trì cuộc sống khỏe mạnh và năng động.
Chỉ tiêu này đo lường tỷ lệ phần trăm dân số trải qua tình trạng mất an ninh lương thực ở mức độ vừa và nghiêm trọng.
Công thức tính:
|
Tỷ lệ mất an ninh |
= |
Dân số trải qua tình trạng mất an ninh lương thực |
x 100 |
|
Tổng dân số |
Dân số trải qua tình trạng mất an ninh lương thực được thu thập và tính toán theo thang đo FIES. Thang đo FIES do Tổ chức Lương thực và Nông nghiệp Liên hợp quốc (FAO) quy định nhằm đánh giá các mức độ thiếu lương thực, thực phẩm của dân số, gồm 8 nội dung như sau:
|
STT |
Nội dung thang đo |
|
1 |
Lo lắng không có đủ thức ăn |
|
2 |
Không thể mua thực phẩm bảo đảm dinh dưỡng và tốt cho sức khỏe |
|
3 |
Chỉ ăn một vài loại thực phẩm |
|
4 |
Phải bỏ một bữa ăn |
|
5 |
Ăn ít hơn số lượng cần phải ăn |
|
6 |
Cạn kiệt thực phẩm |
|
7 |
Bị đói. |
|
8 |
Không ăn gì cả ngày |
Dữ liệu ở cấp độ cá nhân hoặc hộ gia đình được thu thập bằng cách áp dụng bảng câu hỏi về an ninh lương thực trong một cuộc điều tra mẫu.
Phương pháp được sử dụng để phân tích dữ liệu FIES xuất phát từ lý thuyết đáp ứng câu hỏi (IRT). Mô hình IRT cụ thể được áp dụng cho dữ liệu FIES là mô hình Rasch (mô hình logistic một tham số, 1-PL).
2. Phân tổ chủ yếu: Vùng kinh tế - xã hội.
3. Kỳ công bố: 2 năm.
4. Nguồn số liệu: Khảo sát mức sống dân cư Việt Nam.
5. Cơ quan chịu trách nhiệm thu thập, tổng hợp: Bộ Kế hoạch và Đầu tư (Tổng cục Thống kê).
2.2.1. Tỷ lệ trẻ em dưới 05 tuổi suy dinh dưỡng (chiều cao theo tuổi - thể thấp còi)
1. Khái niệm, phương pháp tính
Tỷ lệ trẻ em dưới 05 tuổi suy dinh dưỡng thể thấp còi là tỷ lệ trẻ em dưới 05 tuổi có chiều cao theo tuổi thấp dưới trừ hai độ lệch chuẩn (-2SD) của chiều cao trung vị của quần thể tham khảo của Tổ chức Y tế Thế giới.
Quần thể tham khảo của Tổ chức Y tế Thế giới (WHO) là một nhóm trẻ có sức khỏe, cân nặng và chiều cao phát triển bình thường. Cân nặng và chiều cao của những trẻ em này được Tổ chức Y tế Thế giới dùng làm chuẩn để đánh giá tình trạng dinh dưỡng của những trẻ em cùng độ tuổi. Quần thể tham khảo năm 2006 của Tổ chức Y tế Thế giới là chuẩn mới thay thế cho quần thể tham khảo cũ trước đây của Hoa Kỳ và của Tổ chức Y tế Thế giới.
Tình trạng dinh dưỡng được phân loại theo các mức sau:
- Bình thường: ≥ - 2SD
- Suy dinh dưỡng:
Độ I (vừa): < - 2SD và ≥ - 3SD
Độ II (nặng): < - 3SD và ≥ - 4SD
Độ III (rất nặng): < - 4SD
Trong đó, SD là độ chênh lệch chuẩn.
Công thức tính:
|
Tỷ lệ trẻ em dưới 05 tuổi suy dinh dưỡng thể thấp còi (%) |
= |
Số trẻ em dưới 05 tuổi suy dinh dưỡng chiều cao theo tuổi |
x 100 |
|
Số trẻ em dưới 05 tuổi được đo |
2. Phân tổ chủ yếu
- Giới tính;
- Dân tộc (Kinh/khác);
- Thành thị/nông thôn;
- Tỉnh, thành phố trực thuộc trung ương;
- Vùng kinh tế - xã hội.
3. Kỳ công bố: Năm.
4. Nguồn số liệu: Điều tra dinh dưỡng.
5. Cơ quan chịu trách nhiệm thu thập, tổng hợp: Bộ Y tế.
2.2.2.a. Tỷ lệ trẻ em dưới 05 tuổi suy dinh dưỡng (cân nặng theo chiều cao - thể gầy còm)
1. Khái niệm, phương pháp tính
Tỷ lệ trẻ em dưới 05 tuổi suy dinh dưỡng thể gầy còm là tỷ lệ trẻ em dưới 05 tuổi có chiều cao theo tuổi thấp dưới trừ hai độ lệch chuẩn (-2SD) của chiều cao trung vị của quần thể tham khảo của Tổ chức Y tế Thế giới.
Quần thể tham khảo của Tổ chức Y tế Thế giới (WHO) là một nhóm trẻ có sức khỏe, cân nặng và chiều cao phát triển bình thường. Cân nặng và chiều cao của những trẻ em này được Tổ chức Y tế Thế giới dùng làm chuẩn để đánh giá tình trạng dinh dưỡng của những trẻ em cùng độ tuổi. Quần thể tham khảo năm 2006 của Tổ chức Y tế Thế giới là chuẩn mới thay thế cho quần thể tham khảo cũ trước đây của Hoa Kỳ và của Tổ chức Y tế Thế giới.
|
Tỷ lệ trẻ em dưới 05 tuổi suy dinh dưỡng thể gầy còm (%) |
= |
Số trẻ em dưới 05 tuổi suy dinh dưỡng cân nặng theo chiều cao |
x 100 |
|
Số trẻ em dưới 05 tuổi được cân và đo |
2. Phân tổ chủ yếu
- Giới tính;
- Dân tộc (Kinh/khác);
- Thành thị/nông thôn;
- Tỉnh, thành phố trực thuộc trung ương;
- Vùng kinh tế - xã hội.
3. Kỳ công bố: Năm.
4. Nguồn số liệu: Điều tra dinh dưỡng.
5. Cơ quan chịu trách nhiệm thu thập, tổng hợp: Bộ Y tế.
2.2.2.b. Tỷ lệ trẻ em dưới 05 tuổi thừa cân, béo phì
1. Khái niệm, phương pháp tỉnh
Tỷ lệ trẻ em dưới 05 tuổi thừa cân, béo phì được tính bằng tổng số trẻ em dưới 05 tuổi bị thừa cân, béo phì tính trên tổng số trẻ dưới 05 tuổi được cân, đo trên địa bàn (tỉnh/huyện/xã) tại thời điểm điều tra.
Cách đánh giá tình trạng thừa cân, béo phì của trẻ em dưới 05 tuổi dựa vào Z- Score của chỉ số cân nặng theo chiều cao. Theo các tiêu chuẩn của Quần thể tham khảo WHO 2006, tình trạng thừa cân, béo phì của trẻ em dưới 05 tuổi được phân loại khi Z- score cân nặng theo chiều cao ở ngưỡng như sau:
Chỉ số Z-score cân nặng theo chiều cao (WHZ):
|
1 < Z-score ≤ 2 |
Trẻ nguy cơ thừa cân |
|
2 < Z-score ≤ 3 |
Trẻ thừa cân |
|
Z-score > 3 |
Trẻ béo phì |
Công thức tính:
|
Tỷ lệ trẻ em dưới 05 tuổi bị thừa cân, béo phì (%) |
= |
Số trẻ em dưới 05 tuổi bị thừa cân, béo phì |
x 100 |
|
Tổng số trẻ em dưới 05 tuổi được cân và đo chiều cao |
2. Phân tổ chủ yếu
- Giới tính;
- Dân tộc (Kinh/khác);
- Thành thị/nông thôn/miền núi;
- Tỉnh, thành phố;
- Vùng kinh tế - xã hội.
3. Kỳ công bố: Năm.
4. Nguồn số liệu: Điều tra dinh dưỡng.
5. Cơ quan chịu trách nhiệm thu thập, tổng hợp: Bộ Y tế.
2.3.1. Năng suất lao động ngành nông, lâm nghiệp và thủy sản
1. Khái niệm, phương pháp tính
Năng suất lao động ngành nông, lâm nghiệp và thủy sản phản ánh hiệu suất làm việc của lao động ngành nông, lâm nghiệp và thủy sản, thường đo bằng tổng sản phẩm trong nước ngành nông, lâm nghiệp và thủy sản tính bình quân một lao động có việc làm ngành nông, lâm nghiệp và thủy sản trong thời kỳ tham chiếu.
Công thức tính:
|
Năng suất lao động ngành nông, lâm nghiệp và thủy sản |
= |
Tổng sản phẩm trong nước ngành nông, lâm nghiệp và thủy sản |
|
Tổng số lao động có việc làm ngành nông, lâm nghiệp và thủy sản |
2. Kỳ công bố: Năm.
3. Nguồn số liệu
- Điều tra thống kê;
- Chế độ báo cáo thống kê;
- Dữ liệu hành chính.
4. Cơ quan chịu trách nhiệm thu thập, tổng hợp: Bộ Kế hoạch và Đầu tư (Tổng cục Thống kê).
2.3.2. Thu nhập bình quân lao động ngành nông, lâm nghiệp và thủy sản
1. Khái niệm, phương pháp tính
Thu nhập của lao động ngành nông, lâm nghiệp và thủy sản có việc làm bao gồm những khoản thu nhập sau:
- Thu nhập từ tiền công, tiền lương và các khoản thu nhập khác có tính chất như lương, gồm: Tiền làm thêm, tiền thưởng, tiền phụ cấp,... của những người lao động làm công hưởng lương trong nền kinh tế. Các khoản thu nhập này có thể bằng tiền hoặc hiện vật.
- Thu nhập từ các hoạt động sản xuất kinh doanh, gồm: Thu lợi từ các hoạt động sản xuất nông nghiệp để bán sản phẩm, lợi nhuận từ việc kinh doanh hàng hóa, dịch vụ,... không bao gồm những khoản thu nhập từ lãi suất cho vay hay lợi tức được trả mà không liên quan đến công việc đang làm.
Thu nhập bình quân một lao động ngành nông, lâm nghiệp và thủy sản có việc làm là tổng thu nhập của tất cả lao động ngành nông, lâm nghiệp và thủy sản có việc làm so với tổng số lao động có việc làm.
Công thức tính:
|
Thu nhập bình quân một lao động ngành nông, lâm nghiệp và thủy sản có việc làm |
= |
Tổng thu nhập của tất cả lao động có |
|
Tổng số lao động có việc làm ngành nông, lâm nghiệp và thủy sản |
2. Phân tổ chủ yếu: Vùng kinh tế - xã hội.
3. Kỳ công bố: Năm.
4. Nguồn số liệu: Điều tra lao động và việc làm.
5. Cơ quan chịu trách nhiệm thu thập, tổng hợp: Bộ Kế hoạch và Đầu tư (Tổng cục Thống kê).
2.4.1. Tỷ lệ diện tích đất sản xuất nông nghiệp đạt hiệu quả và bền vững
1. Khái niệm, phương pháp tính
Tỷ lệ diện tích đất sản xuất nông nghiệp đạt hiệu quả và bền vững là tỷ lệ phần trăm giữa diện tích đất sản xuất nông nghiệp đạt hiệu quả và bền vững so với tổng diện tích đất sản xuất nông nghiệp;
Công thức tính:
|
Tỷ lệ diện tích đất sản xuất nông nghiệp đạt hiệu quả và bền vững (%) |
= |
Diện tích đất sản xuất nông nghiệp đạt hiệu quả và bền vững |
x 100 |
|
Tổng diện tích đất sản xuất nông nghiệp |
Đất sản xuất nông nghiệp gồm đất trồng cây hằng năm và đất trồng cây lâu năm. Đất trồng cây hằng năm bao gồm đất trồng lúa, đất trồng cây hằng năm khác.
Chỉ tiêu này được tính dựa trên kết quả điều tra mẫu thông qua 11 chỉ tiêu thành phần tương ứng với 11 chủ đề thuộc 3 khía cạnh kinh tế, xã hội, môi trường.
|
Khía cạnh |
Chủ đề |
Chỉ tiêu thành phần |
|
Kinh tế |
Năng suất đất |
Giá trị sản phẩm trên một hecta |
|
Lợi nhuận |
Thu nhập ròng |
|
|
Khả năng thích ứng và phục hồi |
Cơ chế giảm thiểu rủi ro |
|
|
Môi trường |
Sức khỏe của đất |
Tỷ lệ thoái hóa đất |
|
Sử dụng nước |
Sự ổn định của nguồn nước tưới |
|
|
Rủi ro ô nhiễm phân bón |
Sử dụng phân bón |
|
|
Rủi ro thuốc bảo vệ thực vật |
Sử dụng thuốc bảo vệ thực vật |
|
|
Đa dạng sinh học |
Áp dụng hỗ trợ đa dạng sinh học trong sản xuất nông nghiệp |
|
|
Xã hội |
Việc làm tốt |
Tiền công, tiền lương trong nông nghiệp |
|
An ninh lương thực, thực phẩm |
An ninh lương thực, thực phẩm theo thang đo trải nghiệm mất an ninh lương thực (FIES) |
|
|
Quyền sử dụng đất |
Đảm bảo quyền sử dụng đất |
Tỷ lệ đất sản xuất nông nghiệp hiệu quả và bền vững được tính cho từng chỉ tiêu thành phần và phân loại theo 3 mức độ: Cao, chấp nhận được và không bền vững, dựa trên phân loại và tổng hợp diện tích theo 3 mức độ từ cấp độ nông trại (là cơ sở có sử dụng đất sản xuất nông nghiệp trong thời gian tham chiếu, gồm hộ, hợp tác xã, doanh nghiệp,...). Tổng các tỷ lệ theo các mức độ hiệu quả và bền vững cao, chấp nhận được và không bền vững của mỗi chỉ tiêu thành phần bằng 100%.
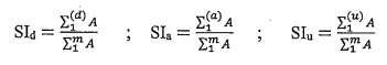
Tỷ lệ đất sản xuất nông nghiệp đạt hiệu quả và bền vững (SDG 2.4.1) bằng tổng tỷ lệ sản xuất hiệu quả và bền vững ở mức cao và chấp nhận được của chỉ tiêu thành phần mà tổng tỷ lệ sản xuất hiệu quả và bền vững ở mức cao và chấp nhận được của nó thấp nhất trong 11 chỉ tiêu thành phần. Công thức tính:

Trong đó:
SDG241a+d: Tỷ lệ đất sản xuất nông nghiệp đạt hiệu quả và bền vững.
SId: Tỷ lệ đất sản xuất nông nghiệp đạt hiệu quả và bền vững ở mức cao của chỉ tiêu thành phần thứ n.
Sla: Tỷ lệ đất sản xuất nông nghiệp đạt hiệu quả và bền vững ở mức chấp nhận được của chỉ tiêu thành phần thứ n.
n: Số chỉ tiêu thành phần.
Tính tỷ lệ đất sản xuất nông nghiệp đạt hiệu quả và bền vững của mỗi chỉ tiêu thành phần:
Mẫu số ở tất cả các chỉ tiêu thành phần là diện tích đất sản xuất nông nghiệp của các nông trại trong danh sách mẫu.
Tử số của mỗi chỉ tiêu thành phần theo từng mức độ sản xuất hiệu quả và bền vững cao, trung bình, không bền vững lần lượt là tổng diện tích đất sản xuất nông nghiệp của các nông trại trong danh sách mẫu được phân loại sản xuất hiệu quả và bền vững theo mức độ cao, chấp nhận được, không bền vững. Mỗi nông trại được phân loại sản xuất hiệu quả và bền vững theo tiêu chí của từng chỉ tiêu thành phần.
Công thức tính:

Trong đó:
Sld; Sla; SIu : Lần lượt là tỷ lệ đất sản xuất nông nghiệp hiệu quả và bền vững ở mức cao, chấp nhận được, không bền vững;
m: Số nông trại trong danh sách điều tra mẫu;
d,a,u: Lần lượt là số nông trại được phân loại hiệu quả và bền vững ở mức cao; chấp nhận được, không bền vững (d+a+u = m);
A: Diện tích đất sản xuất nông nghiệp, của mỗi nông trại.
Bộ tiêu chí phân loại hiệu quả và bền vững dựa trên phương pháp luận của Tổ chức Nông Lương Liên Hợp Quốc (FAO) xây dựng. Cụ thể như sau:
|
STT |
Chỉ tiêu thành phần |
Tiêu chí sản xuất hiệu quả và bền vững (Tiêu chí phân loại hiệu quả bền vững ở cấp nông trại) |
|||||
|
1 |
Giá trị sản phẩm trên một hecta |
Mỗi nông trại sẽ tính giá trị sản phẩm trên 1 hecta đất sản xuất nông nghiệp, tập hợp thành 1 dãy số liệu về giá trị sản phẩm trên một hecta, từ đó tìm ra giá trị tương ứng với phân vị 90 của dãy số liệu đó. Phân loại hiệu quả và bền vững ở cấp nông trại: Mức độ cao: Giá trị sản phẩm trên 1 đơn vị diện tích của nông trại ≥ 2/3 giá trị của phân vị 90; Chấp nhận được: Giá trị sản phẩm trên 1 đơn vị diện tích của nông trại ≥ 1/3 giá trị của phân vị 90 và < 2/3 giá trị của phân vị 90; Không bền vững: Giá trị sản phẩm trên 1 đơn vị diện tích của nông trại <1/3 giá trị của phân vị 90. Thời gian tham chiếu: Năm trước liền kề năm điều tra. |
|||||
|
2 |
Thu nhập ròng |
Phân loại hiệu quả và bền vững ở cấp nông trại: Mức độ cao: Trong 3 năm liên tiếp, hoạt động sản xuất nông nghiệp của nông trại có lãi ở cả 3 năm; Chấp nhận được: Trong 3 năm liên tiếp, hoạt động sản xuất nông nghiệp của nông trại có lãi 1 hoặc 2 năm; Không bền vững: Trong 3 năm liên tiếp, hoạt động sản xuất nông nghiệp của nông trại không có lãi ở bất kỳ năm nào. Thời gian tham chiếu: 3 năm trước liền kề năm điều tra. |
|||||
|
3 |
Cơ chế giảm thiểu rủi ro |
Chỉ tiêu thành phần này đo lường các cơ chế giảm thiểu rủi ro sau: - Tiếp cận được với tín dụng; - Tiếp cận được với bảo hiểm; - Đa dạng hóa trong sản xuất của trang trại (tỷ trọng của một loại sản phẩm nông nghiệp không lớn hơn 66% trong tổng giá trị sản xuất nông nghiệp của nông trại). Phân loại hiệu quả và bền vững ở cấp nông trại: Mức độ cao: Nông trại đảm bảo được 2 trong 3 cơ chế; Chấp nhận được: Nông trại đảm bảo được 1 cơ chế; Không bền vững: Nông trại không đảm bảo được cơ chế nào. Thời gian tham chiếu: Năm trước liền kề năm điều tra. |
|||||
|
4 |
Tỷ lệ thoái hóa đất |
Chỉ tiêu thành phần này đo lường tỷ lệ đất bị thoái hóa do các vấn đề liên quan đến xói mòn đất, giảm độ phì nhiêu của đất, xâm nhập mặn, hạn hán, ô nhiễm, mất đa dạng sinh học đất,... qua đánh giá của nông trại dựa trên thực tiễn sản xuất.
Phân loại hiệu quả và bền vững ở cấp nông trại: Mức độ cao: Tỷ lệ thoái hóa đất <10% Chấp nhận được: Tỷ lệ thoái hóa đất ≥ 10% và < 50% Không bền vững: Tỷ lệ thoái hóa đất ≥ 50% Thời gian tham chiếu: 3 năm trước liền kề năm điều tra. |
|||||
|
5 |
Sự ổn định của nguồn nước tưới |
Chỉ tiêu thành phần này đánh giá sự ổn định của nguồn nước tưới dưới 3 góc độ: Tỷ lệ diện tích đất sản xuất nông nghiệp được tưới tiêu; sự sụt giảm của mực nước ngầm, sông, suối; tổ chức phân bổ nguồn nước tưới có hiệu quả hay không thông qua đánh giá của nông trại dựa trên thực tiễn sản xuất. Phân loại hiệu quả và bền vững ở cấp nông trại: Mức độ cao: Nguồn nước tưới ổn định qua các năm; Chấp nhận được: Nguồn nước tưới không ổn định qua các năm hoặc không rõ là có ổn định hay không nhưng có tổ chức phân phối nước đáp ứng được nhu cầu sử dụng nước cho tưới tiêu; Không bền vững: Các trường hợp còn lại. Thời gian tham chiếu: 3 năm trước liền kề năm điều tra. |
|||||
|
6 |
Sử dụng phân bón |
Chỉ tiêu thành phần này đánh giá rủi ro về ô nhiễm phân bón thông qua bộ chỉ tiêu về “Biện pháp giảm thiểu tác hại của phân bón đến môi trường” thông qua đánh giá của nông trại dựa trên thực tiễn sản xuất. Phân loại nông trại: Mức độ cao: Nông trại thực hiện ít nhất bốn biện pháp để giảm thiểu rủi ro ô nhiễm môi trường; Chấp nhận được: Nông trại thực hiện 2-3 biện pháp để giảm thiểu rủi ro ô nhiễm môi trường; Không bền vững: Nông trại chỉ thực hiện 1 biện pháp hoặc không thực hiện bất kỳ biện pháp nào để giảm thiểu rủi ro ô nhiễm môi trường. Thời gian tham chiếu: Năm trước liền kề năm điều tra. |
|||||
|
7 |
Sử dụng thuốc bảo vệ thực vật |
Chỉ tiêu thành phần này đánh giá rủi ro về ô nhiễm thuốc bảo vệ thực vật thông qua bộ chỉ tiêu về “Biện pháp giảm thiểu tác hại của thuốc bảo vệ thực vật liên quan đến sức khỏe” và “Biện pháp giảm thiểu các tác hại của thuốc bảo vệ thực vật liên quan đến môi trường” thông qua đánh giá của nông trại. Phân loại hiệu quả và bền vững ở cấp nông trại: Mức độ cao: Nông trại tuân thủ cả 3 biện pháp liên quan đến sức khỏe và ít nhất 4 biện pháp liên quan đến môi trường; Chấp nhận được: Nông trại thực hiện 2 hoặc 3 biện pháp liên quan đến sức khỏe và 2 hoặc 3 biện pháp liên quan đến môi trường; Không bền vững: Nông trại chỉ thực hiện 1 biện pháp hoặc không thực hiện bất kỳ biện pháp nào liên quan đến sức khỏe và chỉ thực hiện 1 biện pháp hoặc không thực hiện bất kỳ biện pháp nào liên quan đến môi trường. Thời gian tham chiếu: Năm trước liền kề năm điều tra |
|||||
|
8 |
Áp dụng hỗ trợ đa dạng sinh học trong sản xuất nông nghiệp |
Chỉ tiêu thành phần này đánh giá mức độ hiệu quả và bền vững về đa dạng sinh học trong sản xuất với 5 tiêu chí: - Để lại ít nhất 10% diện tích cho thảm thực vật tự nhiên hoặc đa dạng; - Nông trại sản xuất các sản phẩm nông nghiệp được chứng nhận hữu cơ, hoặc các sản phẩm của nó đang trải qua quá trình chứng nhận; - Nông trại không sử dụng các chất kháng khuẩn quan trọng về mặt y tế làm chất kích thích tăng trưởng; - Ít nhất hai nhóm sản phẩm chiếm tỷ trọng từ 10% trở lên; - Thực hành luân canh trên ít nhất 80% diện tích canh tác của nông trại trong thời gian 3 năm (không bao gồm cây trồng lâu năm và đồng cỏ lâu dài) trong thời gian 3 năm; - Sử dụng giống thuần chủng. Phân loại hiệu quả và bền vững ở cấp nông trại: Mức độ cao: Đáp ứng từ 3 tiêu chí trở lên; Chấp nhận được: Đáp ứng 2 tiêu chí; Không bền vững: Không đáp ứng bất kỳ tiêu chí nào. |
|||||
|
9 |
Tiền công, tiền lương trong nông nghiệp |
Phân loại nông trại: Mức độ cao: Mức tiền công, tiền lương của lao động cao hơn mức lương tối thiểu của quốc gia hoặc mức lương tối thiểu của ngành nông nghiệp; Bền vững mức độ chấp nhận được: Mức tiền công, tiền lương của lao động bằng mức lương tối thiểu của quốc gia hoặc mức lương tối thiểu của ngành nông nghiệp; Không bền vững: Mức tiền công, tiền lương của lao động thấp hơn mức lương tối thiểu của quốc gia hoặc mức lương tối thiểu của ngành nông nghiệp. |
|||||
|
10 |
Thang đo trải nghiệm mất an ninh lương thực, thực phẩm (FIES) |
Chỉ tiêu thành phần này đánh giá mức độ hiệu quả và bền vững ở cấp nông trại thông qua trải nghiệm mất an ninh lương thực của các thành viên trong nông trại theo thang đo và phân loại FIES. Mức độ cao: Nông trại không rơi vào tình trạng mất an ninh lương thực, thực phẩm hoặc chỉ rơi vào tình trạng mất an ninh dạng nhẹ; Chấp nhận được: Tình trạng mất an ninh lương thực, thực phẩm ở nông trại là vừa phải; Không bền vững: Tình trạng mất an ninh lương thực, thực phẩm của nông trại là nghiêm trọng. |
|||||
|
11 |
Đảm bảo quyền sử dụng đất |
Chỉ tiêu thành phần này đánh giá mức độ hiệu quả và bền vững ở cấp nông trại thông qua 4 tiêu chí: - Giấy tờ hợp pháp về đất sản xuất nông nghiệp; - Tên của các thành viên của nông trại trên giấy tờ hợp pháp (có quyền hoặc đồng quyền sở hữu hoặc sở hữu quyền sử dụng đất); - Quyền bán; - Quyền thừa kế. Phân loại nông trại: Mức độ cao: Có giấy tờ hợp pháp với tên chủ sở hữu hoặc chủ sở hữu quyền sử dụng trên đó hoặc có quyền bán bất kỳ mảnh đất sản xuất nông nghiệp nào hoặc có quyền thừa kế bất kỳ mảnh đất sản xuất nông nghiệp nào; Chấp nhận được: Có giấy tờ hợp pháp ngay cả khi thành viên của nông trại không được ghi tên là chủ sở hữu hoặc chủ sở hữu quyền sử dụng; Không bền vững: Các trường hợp còn lại. |
2. Phân tổ chủ yếu
- Chỉ tiêu thành phần;
- Vùng kinh tế - xã hội.
3. Kỳ công bố: 5 năm.
4. Nguồn số liệu
- Tổng điều tra nông thôn, nông nghiệp;
- Điều tra nông thôn, nông nghiệp giữa kỳ.
5. Cơ quan chịu trách nhiệm thu thập, tổng hợp: Bộ Kế hoạch và Đầu tư (Tổng cục Thống kê).
2.5.1.a. Số lượng nguồn gen giống cây trồng được bảo tồn
1. Khái niệm, phương pháp tính
Nguồn gen là các loài sinh vật, các mẫu vật di truyền trong khu bảo tồn, cơ sở bảo tồn đa dạng sinh học, cơ sở nghiên cứu khoa học và phát triển công nghệ và trong tự nhiên.
Giống cây trồng là một quần thể cây trồng có thể phân biệt được với quần thể cây trồng khác thông qua sự biểu hiện của ít nhất là một đặc tính và di truyền được cho đời sau; đồng nhất về hình thái, ổn định qua các chu kỳ nhân giống; có giá trị canh tác, giá trị sử dụng.
Nguồn gen giống cây trồng là những giống cây trồng sống hay mẫu vật di truyền của chúng có khả năng tạo ra hoặc tham gia tạo ra cây trồng mới.
Bảo tồn tại chỗ là bảo tồn loài hoang dã trong môi trường sống tự nhiên của chúng; bảo tồn loài cây trồng, có giá trị trong môi trường sống, nơi hình thành và phát triển các đặc điểm đặc trưng của chúng.
Bảo tồn chuyển chỗ là bảo tồn loài hoang dã ngoài môi trường sống tự nhiên thường xuyên hoặc theo mùa của chúng; bảo tồn loài cây trồng, có giá trị ngoài môi trường sống, nơi hình thành và phát triển các đặc điểm đặc trưng của chúng; lưu giữ, bảo quản nguồn gen và mẫu vật di truyền trong các cơ sở khoa học và công nghệ hoặc cơ sở lưu giữ, bảo quản nguồn gen và mẫu vật di truyền.
Các hình thức lưu giữ nguồn gen cây trồng phổ biến đang sử dụng trong bảo tồn chuyển chỗ gồm:
- Ngân hàng gen hạt giống (lưu giữ trong kho lạnh);
- Ngân hàng gen đồng ruộng (lưu giữ trên đồng ruộng);
- Ngân hàng gen in-vitro (lưu giữ trong ống nghiệm, bình thủy tinh).
Thời gian lưu giữ nguồn gen trong kho lạnh thường được phân thành các loại:
+ Dài hạn: Lưu giữ 50 - 100 năm, tùy thuộc điều kiện, phương tiện bảo quản;
+ Trung hạn: Lưu giữ 10-15 năm, tùy thuộc điều kiện, phương tiện bảo quản.
Phương pháp tính: Thống kê số lượng nguồn gen giống cây trồng được lưu giữ, bảo tồn tại các cơ sở bảo tồn, lưu giữ tài nguyên thực vật.
2. Phân tổ chủ yếu
- Tên nguồn gen;
- Thời gian lưu giữ (kho lạnh); Trung hạn, dài hạn.
3. Kỳ công bố: Năm.
4. Nguồn số liệu: Chế độ báo cáo thống kê ngành nông nghiệp và phát triển nông thôn.
5. Cơ quan chịu trách nhiệm thu thập, tổng hợp: Bộ Nông nghiệp và Phát triển nông thôn.
2.5.1.b. Số lượng nguồn gen giống vật nuôi được bảo tồn
1. Khái niệm, phương pháp tính
Giống vật nuôi là quần thể vật nuôi cùng loài, cùng nguồn gốc, có ngoại hình và cấu trúc di truyền tương tự nhau, được hình thành, củng cố, phát triển do tác động của con người phải có số lượng bảo đảm để nhân giống và di truyền được những đặc điểm của giống cho thế hệ sau (khoản 9 Điều 2 Luật Chăn nuôi năm 2018).
Nguồn gen giống vật nuôi là các động vật sống và sản phẩm giống của chúng mang thông tin di truyền có khả năng tạo ra hoặc tham gia tạo ra giống vật nuôi mới (khoản 21 Điều 2 Luật Chăn nuôi năm 2018).
Bảo tồn tại chỗ là bảo tồn loài hoang dã trong môi trường sống tự nhiên của chúng; bảo tồn loài vật nuôi đặc hữu, có giá trị trong môi trường sống, nơi hình thành và phát triển các đặc điểm đặc trưng của chúng.
Bảo tồn chuyển chỗ là bảo tồn loài hoang dã ngoài môi trường sống tự nhiên thường xuyên hoặc theo mùa của chúng; bảo tồn loài vật nuôi đặc hữu, có giá trị ngoài môi trường sống, nơi hình thành và phát triển các đặc điểm đặc trưng của chúng; lưu giữ, bảo quản nguồn gen và mẫu vật di truyền trong các cơ sở khoa học và công nghệ hoặc cơ sở lưu giữ, bảo quản nguồn gen và mẫu vật di truyền.
Thời gian lưu giữ nguồn gen trong kho lạnh thường được phân thành các loại:
+ Dài hạn: Lưu giữ 50- 100 năm, tùy thuộc điều kiện, phương tiện bảo quản;
+ Trung hạn: Lưu giữ 10-15 năm, tùy thuộc điều kiện, phương tiện bảo quản.
Phương pháp tính: Thống kê số lượng nguồn gen giống vật nuôi tại các tổ chức, cá nhân lưu giữ, bảo tồn giống vật nuôi.
2. Phân tổ chủ yếu
- Hình thức bảo tồn;
- Thời gian lưu giữ: Trung hạn, dài hạn.
3. Kỳ công bố: Năm.
4. Nguồn số liệu: Chế độ báo cáo thống kê ngành nông nghiệp và phát triển nông thôn.
5. Cơ quan chịu trách nhiệm thu thập, tổng hợp: Bộ Nông nghiệp và Phát triển nông thôn.
2.c.1. Chỉ số giá tiêu dùng nhóm lương thực, thực phẩm
1. Khái niệm, phương pháp tính
Chỉ số giá tiêu dùng nhóm lương thực, thực phẩm là chỉ tiêu tương đối (tính bằng %) phản ánh xu hướng và mức độ biến động giá cả chung theo thời gian của các mặt hàng lương thực, thực phẩm tiêu dùng hàng ngày của người dân.
Danh mục hàng hoá đại diện gồm các mặt hàng lương thực, thực phẩm chủ yếu, đại diện cho tiêu dùng của dân cư trong một giai đoạn nhất định, được sử dụng để điều tra thu thập giá định kỳ, phục vụ tính chỉ số giá tiêu dùng.
Quyền số tính chỉ số giá tiêu dùng là tỷ trọng chi tiêu cho các nhóm hàng lương thực, thực phẩm trong tổng chi tiêu của dân cư của năm được chọn làm gốc so sánh. Quyền số này được sử dụng cố định trong 5 năm.
Sau mỗi chu kỳ 5 năm, danh mục mặt hàng đại diện, quyền số lại được cập nhật cho phù hợp với thị trường tiêu dùng và cơ cấu chi tiêu cho đời sống hàng ngày của người dân trong thời kỳ hiện tại.
Công thức tính:
Chỉ số giá tiêu dùng nhóm lương thực, thực phẩm được tính toán theo công thức Laspeyres bình quân nhân gia quyền có dạng tổng quát như sau:

Trong đó:
: Chỉ số giá tiêu dùng kỳ báo cáo (t) so với kỳ gốc cố định (0);
: Tương ứng là giá tiêu dùng kỳ báo cáo (t) và kỳ gốc cố định (0);
: Quyền số kỳ gốc cố định (0);
: Chi tiêu dùng ở kỳ gốc cố định (0);
n : Số mặt hàng.
Phương pháp tính chỉ số giá tiêu dùng nhóm lương thực, thực phẩm
Chỉ số giá tiêu dùng nhóm lương thực, thực phẩm được tính từ kết quả điều tra giá tiêu dùng của từng tỉnh, thành phố trực thuộc trung ương. Chỉ số giá tiêu dùng được tính bằng phương pháp bình quân nhân gia quyền giữa mức biến động giá của các nhóm mặt hàng với quyền số tương ứng.
Chỉ số giá tiêu dùng nhóm lương thực, thực phẩm của các tỉnh, thành phố trực thuộc trung ương được tính bằng phương pháp bình quân nhân gia quyền giữa chỉ số giá tiêu dùng của mỗi nhóm lương thực, thực phẩm được chọn điều tra với quyền số tương ứng.
Chỉ số giá tiêu dùng nhóm lương thực, thực phẩm của 6 vùng kinh tế được tính bằng phương pháp bình quân nhân gia quyền giữa chỉ số giá nhóm lương thực, thực phẩm của mỗi tỉnh, thành phố trực thuộc trung ương trong vùng với quyền số tương ứng.
Chỉ số giá tiêu dùng nhóm lương thực, thực phẩm của cả nước được tính bằng phương pháp bình quân nhân gia quyền giữa chỉ số giá nhóm lương thực, thực phẩm của các vùng kinh tế với quyền số tương ứng.
2. Phân tổ chủ yếu
- Lương thực/thực, phẩm;
- Thành thị/nông thôn;
- Tỉnh, thành phố trực thuộc trung ương.
3. Kỳ công bố: Năm.
4. Nguồn số liệu
- Điều tra giá tiêu dùng;
- Khảo sát mức sống dân cư Việt Nam.
5. Cơ quan chịu trách nhiệm thu thập, tổng hợp: Bộ Kế hoạch và Đầu tư (Tổng cục Thống kê).
Mục tiêu 3: Bảo đảm cuộc sống khỏe mạnh và tăng cường phúc lợi cho mọi người ở mọi lứa tuổi
3.1.1. Tỷ số tử vong mẹ trên 100.000 trẻ đẻ sống
1. Khái niệm, phương pháp tính
- Tử vong mẹ là số phụ nữ tử vong trong thời gian mang thai hoặc trong vòng 42 ngày sau khi kết thúc thai nghén do bất cứ nguyên nhân nào liên quan đến thai nghén hoặc bệnh lý bị nặng lên do mang thai hoặc sinh đẻ gây ra mà không phải do tai nạn hoặc tự tử.
- Tỷ số tử vong mẹ trên 100.000 trẻ đẻ sống là số tử vong mẹ của một khu vực trong kỳ nghiên cứu tính trên 100.000 trẻ đẻ ra sống của khu vực đó trong cùng kỳ.
Công thức tính:

Trong đó:
MRb : Tỷ số tử vong mẹ trên 100.000 trẻ đẻ sống;
: Số phụ nữ chết do những nguyên nhân liên quan đến mang thai và sinh đẻ trong thời kỳ nghiên cứu;
B: Số trẻ em đẻ ra sống trong thời kỳ nghiên cứu.
2. Phân tổ chủ yếu: Nhóm dân tộc (Kinh/khác).
3. Kỳ công bố: 10 năm.
4. Nguồn số liệu
- Tổng điều tra dân số và nhà ở;
- Cơ sở dữ liệu ngành Y tế (các trường hợp tử vong mẹ được thẩm định).
5. Cơ quan chịu trách nhiệm thu thập, tổng hợp:
- Chủ trì: Bộ Kế hoạch và Đầu tư (Tổng cục Thống kê);
- Phối hợp: Bộ Y tế.
3.1.2. Tỷ lệ phụ nữ đẻ được nhân viên y tế có kỹ năng đỡ
1. Khái niệm, phương pháp tính
Tỷ lệ phụ nữ đẻ được nhân viên y tế có kỹ năng đỡ là số phụ nữ đẻ trong kỳ báo cáo được nhân viên y tế có kỹ năng đỡ tính trên 100 phụ nữ đẻ trong cùng thời kỳ.
Nhân viên y tế có kỹ năng bao gồm bác sỹ chuyên khoa phụ sản từ định hướng trở lên, hộ sinh trung cấp trở lên, y sỹ sản nhi, những cán bộ y tế khác có phạm vi hành nghề sản phụ khoa hoặc phạm vi hành nghề phù hợp theo quy định của Luật Khám bệnh, chữa bệnh.
Công thức tính:
|
Tỷ lệ phụ nữ đẻ được nhân viên y tế có kỹ năng đỡ (%) |
= |
Tổng số phụ nữ đẻ được nhân viên |
˟ |
100 |
|
Tổng số phụ nữ đẻ trong kỳ báo cáo |
2. Phân tổ chủ yếu
- Dân tộc (Kinh/khác);
- Tỉnh, thành phố trực thuộc trung ương.
3. Kỳ công bố: Năm.
4. Nguồn số liệu: Chế độ báo cáo thống kê ngành Y tế.
5. Cơ quan chịu trách nhiệm thu thập, tổng hợp: Bộ Y tế.
3.2.1. Tỷ suất chết của trẻ em dưới 05 tuổi
1. Khái niệm, phương pháp tính
Tỷ suất chết của trẻ em dưới 05 tuổi là số đo mức độ chết của trẻ em từ 05 năm đầu tiên của cuộc sống, được định nghĩa là số trẻ em dưới 05 tuổi chết tính bình quân trên 1.000 trẻ em sinh ra sống trong thời kỳ nghiên cứu.
Công thức tính:

Trong đó:
U5MR: Tỷ suất chết của trẻ em dưới 05 tuổi;
5D0: Số trẻ em chết ở độ tuổi dưới 05 tuổi trong thời kỳ nghiên cứu;
B: Số trẻ đẻ ra sống trong thời kỳ nghiên cứu.
2. Phân tổ chủ yếu
- Giới tính;
- Dân tộc
- Thành thị/nông thôn;
- Tỉnh, thành phố trực thuộc trung ương;
- Vùng kinh tế - xã hội.
3. Kỳ công bố: Năm.
Riêng phân tổ dân tộc công bố theo kỳ 5 năm.
4. Nguồn số liệu
- Tổng điều tra dân số và nhà ở;
- Điều tra dân số và nhà ở giữa kỳ;
- Điều tra biến động dân số và kế hoạch hóa gia đình;
- Điều tra, thu thập thông tin về thực trạng kinh tế - xã hội của 53 dân tộc thiểu số.
5. Cơ quan chịu trách nhiệm thu thập, tổng hợp: Bộ Kế hoạch và Đầu tư (Tổng cục Thống kê).
3.2.2.a. Tỷ suất chết của trẻ em dưới 01 tuổi
1. Khái niệm, phương pháp tính
Tỷ suất chết của trẻ em dưới 01 tuổi là số đo mức độ chết của trẻ em trong năm đầu tiên của cuộc sống. Tỷ suất này được định nghĩa là số trẻ em dưới 01 tuổi chết tính bình quân trên một nghìn trẻ em sinh ra sống trong thời kỳ nghiên cứu.
Công thức tính:

Trong đó:
IMR : Tỷ suất chết của trẻ em dưới 01 tuổi;
D0 : Số trẻ em chết ở độ tuổi dưới 1 tuổi trong thời kỳ nghiên cứu;
B : Số trẻ đẻ ra sống trong thời kỳ nghiên cứu.
2. Phân tổ chủ yếu
- Giới tính;
- Dân tộc;
- Thành thị/nông thôn;
- Tỉnh, thành phố trực thuộc trung ương;
- Vùng kinh tế - xã hội.
3. Kỳ công bố: Năm.
Riêng phân tổ dân tộc công bố theo kỳ 5 năm.
4. Nguồn số liệu
- Tổng điều tra dân số và nhà ở;
- Điều tra dân số và nhà ở giữa kỳ;
- Điều tra biến động dân số và kế hoạch hóa gia đình;
- Điều tra, thu thập thông tin về thực trạng kinh tế - xã hội của 53 dân tộc thiểu số.
5. Cơ quan chịu trách nhiệm thu thập, tổng hợp: Bộ Kế hoạch và Đầu tư (Tổng cục Thống kê).
3.3.1.a. Số ca hiện nhiễm HIV được phát hiện trên 100.000 dân
1. Khái niệm, phương pháp tính
Số ca hiện nhiễm HIV được phát hiện trên 100.000 dân là tỷ số giữa tổng số người đã được cơ quan y tế phát hiện bị nhiễm HIV tại thời điểm báo cáo so với tổng dân số.
Công thức tính:
|
Tổng số người hiện nhiễm HIV được phát hiện trên 100.000 dân |
= |
Tổng số người hiện nhiễm HIV tại thời điểm báo cáo |
˟ |
100.000 |
|
Tổng dân số |
2. Phân tổ chủ yếu
- Giới tính;
- Nhóm tuổi;
- Tỉnh, thành phố trực thuộc trung ương;
- Vùng kinh tế - xã hội.
3. Kỳ công bố: Năm.
4. Nguồn số liệu: Chế độ báo cáo thống kê ngành Y tế.
5. Cơ quan chịu trách nhiệm thu thập, tổng hợp
- Chủ trì: Bộ Y tế.
- Phối hợp: Bộ Kế hoạch và Đầu tư (Tổng cục Thống kê).
3.3.2. Số ca mắc mới lao trên 100.000 dân
1. Khái niệm, phương pháp tính
Số ca mắc mới lao trên 100.000 dân là số ca bệnh lao mới được phát hiện (tất cả các dạng bệnh lao) trên 100.000 dân trong năm xác định.
Công thức tính:
|
Số ca mắc mới lao trên 100.000 dân |
= |
Tổng số bệnh nhân mắc lao mới được |
˟ |
100.000 |
|
Dân số trung bình trong cùng năm |
2. Phân tổ chủ yếu
- Giới tính;
- Nhóm tuổi;
- Tỉnh, thành phố trực thuộc trung ương;
- Vùng kinh tế - xã hội;
3. Kỳ công bố: Năm.
4. Nguồn số liệu: Chế độ báo cáo thống kê ngành Y tế.
5. Cơ quan chịu trách nhiệm thu thập, tổng hợp
- Chủ trì: Bộ Y tế;
- Phối hợp: Bộ Kế hoạch và Đầu tư (Tổng cục Thống kê).
3.3.3. Số ca mắc mới sốt rét trên 100.000 dân
1. Khái niệm, phương pháp tính
Số ca mắc mới sốt rét trên 100.000 dân là số người có ký sinh trùng sốt rét mới được phát hiện tính trên 100.000 dân trong năm xác định.
Công thức tính:
|
Số ca mắc mới sốt rét trên 100.000 dân |
= |
Tổng số người có ký sinh trùng sốt rét |
˟ |
100.000 |
|
Dân số trung bình trong cùng năm |
2. Phân tổ chủ yếu
- Giới tính;
- Nhóm tuổi;
- Tỉnh, thành phố trực thuộc trung ương;
- Vùng kinh tế - xã hội.
3. Kỳ công bố: Năm.
4. Nguồn số liệu: Chế độ báo cáo thống kê ngành Y tế.
5. Cơ quan chịu trách nhiệm thu thập, tổng hợp
- Chủ trì: Bộ Y tế;
- Phối hợp: Bộ Kế hoạch và Đầu tư (Tổng cục Thống kê).
3.5.2. Tỷ lệ người từ 15 tuổi trở lên sử dụng rượu, bia tới mức nguy hại
1. Khái niệm, phương pháp tính
Tỷ lệ người từ 15 tuổi trở lên sử dụng rượu, bia tới mức nguy hại là tỷ lệ phần trăm số người từ 15 tuổi trở lên sử dụng rượu, bia tới mức nguy hại so với tổng dân số từ 15 tuổi trở lên trong năm xác định.
- Mức độ:
+ Mức nguy cơ thấp: uống ≤ 2 đơn vị cồn/ngày với nam giới, ≤ 1 đơn vị cồn/ngày đối với nữ giới và không uống quá năm ngày trong một tuần;
+ Mức nguy cơ cao: uống từ 2 - ≤ 5 đơn vị cồn/ngày;
+ Mức nguy hại: uống ≥ 6 đơn vị cồn/ngày hoặc có 1 lần bất kỳ trong 30 ngày qua uống ≥ 6 đơn vị cồn/lần.
Công thức tính:
|
Tỷ lệ người từ 15 tuổi trở |
= |
Số người từ 15 tuổi trở lên sử |
˟ |
100 |
|
Dân số từ 15 tuổi trở lên |
2. Phân tổ chủ yếu
- Giới tính;
- Nhóm tuổi;
- Dân tộc;
- Thành thị/nông thôn.
3. Kỳ công bố: 5 năm.
4. Nguồn số liệu: Điều tra thống kê.
5. Cơ quan chịu trách nhiệm thu thập, tổng hợp: Bộ Y tế.
3.6.1. Số vụ tai nạn giao thông; số người chết, bị thương do tai nạn giao thông
1. Khái niệm, phương pháp tính
Tai nạn giao thông là sự kiện bất ngờ, nằm ngoài ý muốn chủ quan của con người, xảy ra khi các đối tượng tham gia giao thông đang hoạt động trên đường giao thông công cộng, đường chuyên dùng hoặc ở các địa bàn giao thông công cộng (gọi là mạng lưới giao thông: Đường bộ, đường sắt, đường thủy, đường hàng không), nhưng do chủ quan, vi phạm các quy tắc an toàn giao thông hoặc do gặp phải các tình huống, sự cố đột xuất không kịp phòng tránh, đã gây ra những thiệt hại nhất định cho tính mạng, sức khỏe con người hoặc tài sản.
Một lần hoặc nhiều lần va chạm liên tiếp giữa các đối tượng tham gia giao thông tại một địa điểm nhất định thì được gọi là một vụ tai nạn giao thông. Vụ tai nạn giao thông xảy ra đối với một hoặc nhiều đối tượng tham gia giao thông.
Số người bị tai nạn giao thông gồm những người bị thương và chết do tai nạn giao thông gây ra.
Người chết do tai nạn giao thông gồm toàn bộ số người bị chết do các tai nạn giao thông gây ra.
Người bị thương là những người bị tổn thương về thể xác và tâm trí do ảnh hưởng trực tiếp của tai nạn giao thông, làm ảnh hưởng đến cuộc sống bình thường.
Số người bị thương do tai nạn giao thông gồm toàn bộ số người bị thương phải điều trị do tai nạn giao thông gây ra.
2. Phân tổ chủ yếu
- Loại tai nạn (đường bộ/đường sắt/đường thuỷ/đường hàng hải);
- Tỉnh, thành phố trực thuộc trung ương;
- Vùng kinh tế - xã hội.
3. Kỳ công bố: Năm.
4. Nguồn số liệu
- Chế độ báo cáo thống kê ngành Công an;
- Chế độ báo cáo thống kê ngành Giao thông vận tải.
5. Cơ quan chịu trách nhiệm thu thập, tổng hợp
- Chủ trì:
+ Bộ Công an: Thu thập số vụ tai nạn giao thông; số người chết, bị thương do tai nạn giao thông đường bộ/đường sắt/đường thuỷ;
+ Bộ Giao thông vận tải (Cục hàng hải Việt Nam): Thu thập số vụ tai nạn giao thông; số người chết, bị thương do tai nạn giao thông đường hàng hải.
- Phối hợp: Bộ Kế hoạch và Đầu tư (Tổng cục Thống kê).
3.7.1. Tỷ lệ phụ nữ từ 15-49 tuổi có nhu cầu tránh thai và có sử dụng biện pháp tránh thai hiện đại
1. Khái niệm, phương pháp tính
Phương pháp tránh thai hiện đại bao gồm triệt sản nữ, đặt vòng tránh thai, que tránh thai, thuốc tiêm, thuốc uống ngừa thai, bao cao su nữ, các biện pháp màng chắn tránh thai (bao gồm màng ngăn, mũ chụp cổ tử cung và chất diệt tinh trùng dạng bọt, mỡ, kem và xốp đệm tránh thai), phương pháp vô kinh khi con bú, ngừa thai khẩn cấp và các phương pháp hiện đại khác, miếng dán tránh thai hoặc vòng âm đạo.
Tỷ lệ phụ nữ từ 15-49 tuổi có nhu cầu tránh thai và có sử dụng biện pháp tránh thai hiện đại là tỷ lệ phần trăm số phụ nữ từ 15-49 tuổi có nhu cầu tránh thai đang sử dụng (hoặc chồng/bạn tình đang sử dụng) ít nhất một biện pháp tránh thai hiện đại tính trên tổng số phụ nữ từ 15-49 tuổi có nhu cầu tránh thai.
Công thức tính:
|
Tỷ lệ phụ nữ từ 15-49 tuổi có nhu cầu tránh thai và có sử dụng biện pháp tránh thai hiện đại (%) |
= |
Số phụ nữ từ 15-49 tuổi có nhu cầu tránh thai đang sử dụng (hoặc chồng/bạn tình đang sử dụng) ít nhất một biện pháp tránh thai hiện đại |
˟ |
100 |
|
Tổng số phụ nữ từ 15-49 tuổi có nhu cầu tránh thai |
2. Phân tổ chủ yếu
- Nhóm tuổi;
- Tình trạng hôn nhân;
- Thành thị/nông thôn;
- Tỉnh, thành phố trực thuộc trung ương.
3. Kỳ công bố: Năm.
4. Nguồn số liệu: Điều tra biến động dân số và kế hoạch hóa gia đình.
5. Cơ quan chịu trách nhiệm thu thập, tổng hợp: Bộ Kế hoạch và Đầu tư (Tổng cục Thống kê).
3.7.2. Tỷ suất sinh ở tuổi vị thành niên (10-14 tuổi; 15-19 tuổi)
1. Khái niệm, phương pháp tính
Tỷ suất sinh ở tuổi vị thành niên (10-14 tuổi; 15-19 tuổi) là tổng số trẻ sinh ra sống của phụ nữ ở tuổi vị thành niên (10-14 tuổi; 15-19 tuổi) trên một nghìn phụ nữ ở cùng nhóm tuổi.
Công thức tính:
|
Tỷ suất sinh ở tuổi vị |
= |
Tổng số trẻ sinh ra sống của |
˟ |
1000 |
|
Tổng số phụ nữ ở tuổi vị thành niên (10-14 tuổi; 15-19 tuổi) |
2. Phân tổ chủ yếu
- Trình độ học vấn của người mẹ;
- Nhóm tuổi (10-14 tuổi; 15-19 tuổi);
- Thành thị/nông thôn;
- Tỉnh, thành phố trực thuộc trung ương.
3. Kỳ công bố
- Tỷ suất sinh của nhóm tuổi 15-19 công bố theo kỳ năm.
- Tỷ suất sinh của nhóm tuổi 10-14 công bố theo kỳ 5 năm.
4. Nguồn số liệu
- Tổng điều tra dân số và nhà ở;
- Điều tra dân số và nhà ở giữa kỳ;
- Điều tra biến động dân số và kế hoạch hóa gia đình;
- Dữ liệu hành chính.
5. Cơ quan chịu trách nhiệm thu thập, tổng hợp
- Chủ trì: Bộ Kế hoạch và Đầu tư (Tổng cục Thống kê);
- Phối hợp: Bộ Y tế.
3.8.1. Mức độ bao phủ các dịch vụ y tế thiết yếu
1. Khái niệm, phương pháp tính
Mức độ bao phủ các dịch vụ thiết yếu dựa trên những can thiệp sức khỏe bao gồm sức khỏe sinh sản, bà mẹ, trẻ sơ sinh và trẻ em, dịch vụ dân số, các bệnh truyền nhiễm, bệnh không lây nhiễm, năng lực cung cấp dịch vụ và khả năng tiếp cận, giữa đại bộ phận dân cư nói chung và bộ phận dân cư khó khăn nhất.
Chỉ tiêu này (index) được đo lường theo thang điểm từ 0 đến 100 được tính là trung bình khối của 14 chỉ tiêu về của độ bao phủ dịch vụ y tế:
- Tỷ lệ phụ nữ trong độ tuổi sinh sản (15-49 tuổi) áp dụng và hài lòng biện pháp tránh thai hiện đại.
- Tỷ lệ phụ nữ có thai được khám thai ít nhất 4 lần.
- Tỷ lệ trẻ em dưới 01 tuổi được tiêm chủng đầy đủ các loại vắc xin.
- Tỷ lệ trẻ em dưới 05 tuổi nghi ngờ bị viêm phổi (ho và khó thở không phải do dị dạng ở ngực và tắc mũi) trong hai tuần trước cuộc điều tra được điều trị tại cơ sở y tế.
- Tỷ lệ người bệnh lao được phát hiện và điều trị khỏi.
- Tỷ lệ người nhiễm HIV hiện đang được điều trị ARV (ART).
- Tỷ lệ phần trăm dân số ở các khu vực có dịch sốt rét ngủ có màn được phun thuốc vào đêm trước khi điều tra.
- Tỷ lệ hệ gia đình có nhà tiêu hợp vệ sinh.
- Tỷ lệ người trên 18 tuổi có huyết áp bình thường (theo chuẩn của nhóm tuổi), bất kể tình trạng điều trị.
- Tỷ lệ người trên 25 tuổi có chỉ số đường huyết ở mức chuẩn theo nhóm tuổi.
- Tỷ lệ dân số từ 15 tuổi trở lên hút thuốc lá được sử dụng dịch vụ cai nghiện thuốc lá.
- Số giường bệnh viện bình quân đầu người, với ngưỡng tối đa 18 trên 10.000 dân.
- Số nhân lực y tế (bác sỹ, điều dưỡng và dược sĩ) trên một 10.000 dân.
- Chỉ số năng lực cốt lõi quốc tế (IHR), đó là tỷ lệ phần trăm trung bình của các thuộc tính của 13 năng lực cốt lõi đã đạt được tại một thời điểm cụ thể.
2. Phân tổ chủ yếu
- Giới tính;
- Nhóm tuổi.
3. Kỳ công bố: 5 năm.
4. Nguồn số liệu
- Điều tra thống kê;
- Dữ liệu hành chính.
5. Cơ quan chịu trách nhiệm thu thập, tổng hợp: Bộ Y tế.
3.8.2. Tỷ lệ người sống trong hộ có chi phí y tế lớn so với tổng chi tiêu
1. Khái niệm, phương pháp tính
Tỷ lệ người sống trong hộ có chi phí y tế lớn so với tổng chi tiêu là tỷ lệ người sống trong hộ có chi tiêu về y tế chiếm tỷ lệ lớn (hơn 10% hoặc 25%) trong tổng số chi tiêu của hộ.
Công thức tính:
|
Tỷ lệ người sống trong hộ có chi phí y tế lớn so với tổng chi tiêu (%) |
= |
Số người sống trong hộ có chi phí y tế lớn hơn 10% hoặc lớn hơn 25% tổng |
˟ |
100 |
|
Tổng số người sống trong hộ được khảo sát |
2. Phân tổ chủ yếu
- Dân tộc của chủ hộ;
- Thành thị/nông thôn;
- Vùng kinh tế - xã hội;
3. Kỳ công bố: 2 năm.
4. Nguồn số liệu: Khảo sát mức sống dân cư Việt Nam.
5. Cơ quan chịu trách nhiệm thu thập, tổng hợp: Bộ Kế hoạch và Đầu tư (Tổng cục Thống kê).
3.a.1. Tỷ lệ người từ 15 tuổi trở lên sử dụng thuốc lá
1. Khái niệm, phương pháp tính
Tỷ lệ người từ 15 tuổi trở lên sử dụng thuốc lá là phần trăm dân số từ 15 tuổi trở lên hiện đang sử dụng bất kỳ sản phẩm thuốc lá nào.
Sản phẩm thuốc lá là sản phẩm được sản xuất từ toàn bộ hoặc một phần nguyên liệu thuốc lá và được chế biến dưới dạng thuốc điếu, xì gà, thuốc lá sợi dùng để hút tẩu và các dạng sản phẩm, khác dùng để hút, nhai, ngửi.
Công thức tính:
|
Tỷ lệ dân số từ 15 tuổi trở lên sử dụng thuốc lá (%) |
= |
Dân số từ 15 tuổi trở lên sử dụng thuốc lá |
˟ |
100 |
|
Dân số 15 tuổi trở lên |
2. Phân tổ chủ yếu
- Giới tính;
- Thành thị/nông thôn.
3. Kỳ công bố: 5 năm.
4. Nguồn số liệu: Điều tra thống kê.
5. Cơ quan chịu trách nhiệm thu thập, tổng hợp
- Chủ trì: Bộ Y tế;
- Phối hợp: Bộ Kế hoạch và Đầu tư (Tổng cục Thống kê).
3.b.1. Tỷ lệ trẻ em dưới 01 tuổi được tiêm chủng đầy đủ các loại vắc xin
1. Khái niệm, phương pháp tính
Tỷ lệ trẻ em dưới 01 tuổi được tiêm chủng đầy đủ các loại vắc xin là tỷ lệ phần trăm giữa số trẻ em dưới 01 tuổi được tiêm (uống) đầy đủ các loại vắc xin phòng bệnh theo quy định của Bộ Y tế so với tổng số trẻ em dưới 01 tuổi trong cùng kỳ báo cáo.
Công thức tính:
|
Tỷ lệ trẻ em |
= |
Số trẻ em dưới 01 tuổi được tiêm (uống) |
˟ |
100 |
|
Tổng số trẻ em dưới 01 tuổi |
2. Phân tổ chủ yếu
- Tỉnh, thành phố trực thuộc trung ương;
- Vùng kinh tế - xã hội.
3. Kỳ công bố: Năm.
4. Nguồn số liệu: Báo cáo định kỳ của cơ sở y tế.
5. Cơ quan chịu trách nhiệm thu thập, tổng hợp: Bộ Y tế.
3.c.1. Số nhân viên y tế trên 10.000 dân
1. Khái niệm, phương pháp tính
Nhân viên y tế là lao động hiện có việc làm trong các cơ sở y tế (kể cả công và tư, kể cả biên chế và hợp đồng) tại thời điểm báo cáo của một khu vực.
Nhân viên y tế gồm: Bác sĩ, dược sĩ, điều dưỡng, hộ sinh, các nhân viên y tế khác.
Công thức tính:
|
Số nhân viên y tế trên 10.000 dân |
= |
Tổng số nhân viên y tế làm việc tại các cơ sở y tế tại thời điểm báo cáo |
˟ |
10.000 |
|
Tổng dân số |
2. Phân tổ chủ yếu
- Loại nhân viên y tế (Bác sĩ, dược sĩ, điều dưỡng, hộ sinh, các nhân viên y tế khác);
- Loại hình (công/tư);
- Thành thị/nông thôn;
- Tỉnh, thành phố trực thuộc trung ương.
3. Kỳ công bố: Năm.
4. Nguồn số liệu
- Báo cáo định kỳ của các cơ sở y tế;
- Điều tra cơ sở y tế.
5. Cơ quan chịu trách nhiệm thu thập, tổng hợp
- Chủ trì: Bộ Y tế;
- Phối hợp: Bộ Kế hoạch và Đầu tư (Tổng cục Thống kê).
Mục tiêu 4: Đảm bảo nền giáo dục có chất lượng, công bằng, toàn diện và thúc đẩy các cơ hội học tập suốt đời cho tất cả mọi người
4.1.1. Tỷ lệ học sinh đi học phổ thông
1. Khái niệm, phương pháp tính
Tỷ lệ học sinh đi học phổ thông gồm tỷ lệ học sinh đi học chung phổ thông và tỷ lệ học sinh đi học đúng tuổi phổ thông.
a) Tỷ lệ học sinh đi học chung phổ thông
Tỷ lệ học sinh đi học chung cấp tiểu học là tỷ lệ phần trăm giữa số học sinh đang học cấp tiểu học so với tổng dân số ở độ tuổi cấp tiểu học từ 6 - 10 tuổi.
Tỷ lệ học sinh đi học chung cấp trung học cơ sở là tỷ lệ phần trăm giữa số học sinh đang học cấp trung học cơ sở so với tổng dân số ở độ tuổi cấp trung học cơ sở từ 11-14 tuổi.
Tỷ lệ học sinh đi học chung cấp trung học phổ thông là tỷ lệ phần trăm giữa số học sinh đang học cấp trung học phổ thông so với tổng dân số ở độ tuổi cấp trung học phổ thông từ 15 - 17 tuổi.
Công thức tính:
|
Tỷ lệ học sinh |
= |
Số học sinh đang học cấp học i |
˟ |
100 |
|
Dân số trong độ tuổi cấp học i |
b) Tỷ lệ học sinh đi học đúng tuổi phổ thông
Tỷ lệ học sinh đi học đúng tuổi cấp tiểu học là tỷ lệ phần trăm giữa số học sinh từ 6 - 10 tuổi đang học cấp tiểu học so với tổng dân số trong độ tuổi cấp tiểu học từ 6 - 10 tuổi.
Tỷ lệ học sinh đi học đúng tuổi cấp trung học cơ sở là tỷ lệ phần trăm giữa số học sinh từ 11 - 14 tuổi đang học cấp trung học cơ sở so với tổng dân số trong độ tuổi cấp trung học cơ sở từ 11 - 14 tuổi.
Tỷ lệ học sinh đi học đúng tuổi cấp trung học phổ thông là tỷ lệ phần trăm giữa số học sinh từ 15 - 17 tuổi đang học cấp trung học phổ thông so với tổng dân số trong độ tuổi cấp trung học phổ thông từ 15 - 17 tuổi.
Công thức tính:
|
Tỷ lệ học sinh đi học |
= |
Số học sinh trong độ tuổi cấp học i |
˟ |
100 |
|
Dân số trong độ tuổi cấp học i |
Tuổi học sinh quy ước bằng năm khai giảng năm học trừ đi năm sinh của học sinh trong giấy khai sinh.
2. Phân tổ chủ yếu
- Chung/đúng tuổi;
- Cấp học (tiểu học; trung học cơ sở; trung học phổ thông)
- Giới tính;
- Dân tộc;
- Thành thị/nông thôn;
- Tỉnh, thành phố trực thuộc trung ương;
- Vùng kinh tế - xã hội.
3. Kỳ công bố: Năm.
4. Nguồn số liệu
- Chế độ báo cáo thống kê ngành Giáo dục;
- Điều tra biến động dân số và kế hoạch hóa gia đình;
- Khảo sát mức sống dân cư Việt Nam.
5. Cơ quan chịu trách nhiệm thu thập, tổng hợp
- Chủ trì: Bộ Giáo dục và Đào tạo;
- Phối hợp: Bộ Kế hoạch và Đầu tư (Tổng cục Thống kê).
4.1.2. Tỷ lệ học sinh hoàn thành các cấp tiểu học, trung học cơ sở, trung học phổ thông
1. Khái niệm, phương pháp tính
a. Tỷ lệ học sinh hoàn thành cấp tiểu học là tỷ lệ phần trăm giữa số học sinh hoàn thành chương trình tiểu học năm học (t) so với số học sinh lớp 01 đầu năm học (t-4).
Công thức tính:
|
Tỷ lệ học sinh hoàn thành cấp tiểu học (%) |
= |
Số học sinh hoàn thành chương trình tiểu học năm học t |
˟ |
100 |
|
Số học sinh lớp 01 năm học t-4 |
b. Tỷ lệ học sinh hoàn thành cấp trung học cơ sở: là tỷ lệ phần trăm giữa số học sinh tốt nghiệp trung học cơ sở năm học (t) so với số học sinh lớp 06 đầu năm học (t-3).
Công thức tính:
|
Tỷ lệ học sinh hoàn thành cấp trung học cơ sở (%) |
= |
Số học sinh tốt nghiệp trung học cơ sở năm học t |
˟ |
100 |
|
Số học sinh lớp 06 đầu năm học t-3 |
c. Tỷ lệ học sinh hoàn thành cấp trung học phổ thông là tỷ lệ phần trăm giữa số học sinh được công nhận tốt nghiệp trung học phổ thông năm học (t) so với số học sinh lớp 10 đầu năm học (t-2).
Công thức tính:
|
Tỷ lệ học sinh hoàn thành cấp trung học phổ thông (%) |
= |
Số học sinh được công nhận tốt nghiệp trung học phổ thông năm học t |
˟ |
100 |
|
Số học sinh lớp 10 đầu năm học t-2 |
2. Phân tổ chủ yếu
- Cấp học;
- Giới tính;
- Dân tộc;
- Khuyết tật;
- Loại hình;
- Tỉnh, thành phố trực thuộc trung ương.
3. Kỳ công bố: Năm.
4. Nguồn số liệu: Chế độ báo cáo thống kê ngành Giáo dục.
5. Cơ quan chịu trách nhiệm thu thập, tổng hợp: Bộ Giáo dục và Đào tạo.
4.2.2. Tỷ lệ huy động trẻ em 05 tuổi đi học mẫu giáo
1. Khái niệm, phương pháp tính
Tỷ lệ huy động trẻ em 05 tuổi là tỷ lệ phần trăm giữa số trẻ em 05 tuổi đang học tại trường mẫu giáo, trường mầm non, lớp mẫu giáo độc lập, lớp mẫu giáo tại cơ sở giáo dục khác so với dân số độ tuổi 05 tuổi.
Công thức tính:
|
Tỷ lệ huy động trẻ em 05 tuổi đi học mẫu giáo năm học t (%) |
= |
Số trẻ em 05 tuổi đang học mẫu giáo, mầm non năm học t |
˟ |
100 |
|
Dân số trong độ tuổi 05 tuổi năm t |
2. Phân tổ chủ yếu
- Giới tính;
- Tỉnh, thành phố trực thuộc trung ương.
3. Kỳ công bố: Năm.
4. Nguồn số liệu: Chế độ báo cáo thống kê ngành Giáo dục.
5. Cơ quan chịu trách nhiệm thu thập, tổng hợp: Bộ Giáo dục và Đào tạo.
4.3.1.a. Số sinh viên đại học trên 10.000 dân
1. Khái niệm, phương pháp tính
Số sinh viên đại học trên 10.000 dân là tỷ số giữa số sinh viên đang học trình độ đại học trên mười nghìn dân.
Công thức tính:
|
Số sinh viên đại học trên 10.000 dân |
= |
Số sinh viên đang học trình độ đại học |
˟ |
100 |
|
Tổng dân số |
2. Phân tổ chủ yếu: Loại hình.
3. Kỳ công bố: Năm.
4. Nguồn số liệu: Chế độ báo cáo thống kê ngành Giáo dục.
5. Cơ quan chịu trách nhiệm thu thập, tổng hợp
- Chủ trì: Bộ Giáo dục và Đào tạo;
- Phối hợp: Bộ Kế hoạch và Đầu tư (Tổng cục Thống kê).
4.3.1.b. Tỷ lệ lao động đã qua đào tạo
1. Khái niệm, phương pháp tính
Lao động qua đã đào tạo, gồm:
- Lao động đã qua đào tạo có bằng/chứng chỉ: Là người từ đủ 15 tuổi trở lên có việc làm hoặc thất nghiệp, đã từng theo học và tốt nghiệp chương trình đào tạo chuyên môn kỹ thuật thuộc hệ thống giáo dục quốc dân đồng thời được cấp một trong các loại bằng hoặc chứng chỉ sau: Sơ cấp, trung cấp, cao đẳng, đại học, thạc sĩ, tiến sĩ, tiến sĩ khoa học.
- Người chưa theo học một chương trình đào tạo chuyên môn kỹ thuật nào nhưng do tự học, do được truyền nghề hoặc vừa làm vừa học nên họ đã có được kỹ năng, tay nghề, tương đương với bậc 1 của công nhân kỹ thuật có bằng/chứng chỉ cùng nghề và thực tế đã từng làm công việc này với thời gian từ 3 năm trở lên. Nhóm này thường được gọi là công nhân kỹ thuật không bằng/chứng chỉ.
Công thức tính:
|
Tỷ lệ lao động đã |
= |
Số lao động đã qua đào tạo |
˟ |
100 |
|
Lực lượng lao động |
|
Tỷ lệ lao động đã qua đào tạo (%) |
= |
Số lao động đã qua đào tạo |
˟ |
100 |
|
Lực lượng lao động |
2. Phân tổ chủ yếu
- Giới tính;
- Nhóm tuổi;
- Trình độ chuyên môn kỹ thuật;
- Ngành kinh tế;
- Thành thị/nông thôn;
- Tỉnh, thành phố trực thuộc trung ương;
- Vùng kinh tế - xã hội.
3. Kỳ công bố: Năm.
4. Nguồn số liệu:
- Điều tra lao động và việc làm;
- Chế độ báo cáo thống kê ngành Lao động - Thương binh và xã hội.
5. Cơ quan chịu trách nhiệm thu thập, tổng hợp:
- Bộ Kế hoạch và Đầu tư (Tổng cục Thống kê): Chịu trách nhiệm thu thập, tổng hợp “Tỷ lệ lao động đã qua đào tạo có bằng/chứng chỉ”.
- Bộ Lao động - Thương binh và Xã hội: Chịu trách nhiệm thu thập, tổng hợp “Tỷ lệ lao động qua đào tạo”.
4.4.1. Tỷ lệ người từ 15-64 tuổi biết kỹ năng về công nghệ thông tin và truyền thông
1. Khái niệm, phương pháp tính
Tỷ lệ người từ 15-64 tuổi biết kỹ năng về công nghệ thông tin và truyền thông là tỷ lệ phần trăm giữa số người từ 15-64 tuổi biết kỹ năng công nghệ thông tin và truyền thông so với tổng số người từ 15-64 tuổi của kỳ báo cáo.
Công thức tính:
|
Tỷ lệ người người từ 15- |
= |
Số người người từ 15-64 tuổi biết kỹ năng |
˟ |
100 |
|
Tổng số người từ 15-64 tuổi |
Tiêu chí xác định người có kỹ năng công nghệ thông tin và truyền thông, tiêu chí sắp xếp người có kỹ năng vào nhóm có kỹ năng cơ bản hay nâng cao được quy định bởi Bộ Thông tin và Truyền thông nhằm phục vụ yêu cầu quản lý của từng thời kỳ và bảo đảm mục tiêu so sánh quốc tế.
2. Phân tổ chủ yếu
- Giới tính;
- Dân tộc;
- Nhóm tuổi;
- Thành thị/nông thôn;
- Kỹ năng (cơ bản/nâng cao);
- Tỉnh, thành phố trực thuộc trung ương;
- Vùng kinh tế - xã hội.
3. Kỳ công bố: 2 năm.
4. Nguồn số liệu: Khảo sát mức sống dân cư Việt Nam.
5. Cơ quan chịu trách nhiệm thu thập, tổng hợp
- Chủ trì: Bộ Kế hoạch và Đầu tư (Tổng cục Thống kê).
- Phối hợp: Bộ Thông tin và Truyền thông.
4.5.1. Chỉ số bình đẳng giới trong giáo dục các cấp tiểu học, trung học cơ sở, trung học phổ thông
1. Khái niệm, phương pháp tính
Chỉ số bình đẳng giới trong giáo dục các cấp tiểu học, trung học cơ sở, trung học phổ thông là tỷ số giữa giá trị của một chỉ tiêu giáo dục của nữ giới so với nam giới. Giá trị của chỉ số càng gần 1 cho thấy sự bình đẳng giữa nữ và nam càng cao; càng gần 0 cho thấy sự bất bình đẳng càng lớn.
Công thức tính:
|
Chỉ số bình đẳng giới |
= |
Giá trị của chỉ tiêu i của nữ giới |
˟ |
100 |
|
Giá trị của chỉ tiêu i của nam giới |
Trong đó:
i: Tỷ lệ học sinh đi học chung/đúng tuổi cấp tiểu học; tỷ lệ học sinh đi học chung/đúng tuổi cấp trung học cơ sở; tỷ lệ học sinh đi học chung/đúng tuổi cấp trung học phổ thông.
2. Phân tổ chủ yếu: Cấp học.
3. Kỳ công bố: Năm.
4. Nguồn số liệu
- Chế độ báo cáo thống kê ngành Giáo dục;
- Điều tra biến động dân số và kế hoạch hóa gia đình;
- Khảo sát mức sống dân cư Việt Nam.
5. Cơ quan chịu trách nhiệm thu thập, tổng hợp
- Chủ trì: Bộ Giáo dục và Đào tạo;
- Phối hợp: Bộ Kế hoạch và Đầu tư (Tổng cục Thống kê).
4.6.1. Tỷ lệ dân số từ 15 tuổi trở lên biết chữ
1. Khái niệm, phương pháp tính
Tỷ lệ dân số từ 15 tuổi trở lên biết chữ là tỷ lệ phần trăm giữa dân số 15 tuổi trở lên tại thời điểm (t) biết chữ (có thể đọc, viết và hiểu được một câu đơn giản bằng chữ quốc ngữ, chữ dân tộc hoặc chữ nước ngoài) so với tổng dân số từ 15 tuổi trở lên tại thời điểm đó.
Công thức tính:
|
Tỷ lệ dân số từ 15 tuổi |
= |
Dân số từ 15 tuổi trở lên biết chữ |
˟ |
100 |
|
Dân số từ 15 tuổi trở lên |
2. Phân tổ chủ yếu
- Giới tính;
- Nhóm tuổi;
- Nhóm dân tộc (Kinh/khác);
- Thành thị/nông thôn;
- Tỉnh, thành phố trực thuộc trung ương;
- Vùng kinh tế - xã hội.
3. Kỳ công bố: Năm.
4. Nguồn số liệu
- Tổng điều tra dân số và nhà ở;
- Điều tra dân số và nhà ở giữa kỳ;
- Điều tra biến động dân số và kế hoạch hóa gia đình.
5. Cơ quan chịu trách nhiệm thu thập, tổng hợp: Bộ Kế hoạch và Đầu tư (Tổng cục Thống kê).
4.7.1. Tỷ lệ trường có phổ biến kiến thức về giới, phòng chống bạo lực, xâm hại; cung cấp kiến thức về HIV
1. Khái niệm, phương pháp tính
Tỷ lệ trường có phổ biến kiến thức về giới, phòng chống bạo lực, xâm hại; cung cấp kiến thức về HIV là tỷ lệ phần trăm số trường có phổ biến kiến thức về giới tính, phòng chống bạo lực, xâm hại; cung cấp kiến thức về HIV trong tổng số trường của cấp học đó.
Công thức tính:
|
Tỷ lệ trường có phổ biến kiến thức về giới, phòng chống bạo lực, xâm hại; cung cấp kiến thức về HIV cấp học n (%) |
= |
Số trường có phổ biến kiến thức về giới, phòng chống bạo lực, xâm hại; cung cấp kiến thức về HIV cấp học n |
˟ |
100 |
|
Tổng số trường của cấp học n |
2. Phân tổ chủ yếu
- Cấp học;
- Tỉnh, thành phố trực thuộc trung ương.
3. Kỳ công bố: Năm.
4. Nguồn số liệu: Chế độ báo cáo thống kê ngành Giáo dục.
5. Cơ quan chịu trách nhiệm thu thập, tổng hợp: Bộ Giáo dục và Đào tạo.
4.a.1. Tỷ lệ các trường học có: (a) điện; (b) internet dùng cho mục đích học tập; (c) máy tính dùng cho mục đích học tập; (d) cơ sở hạ tầng và tài liệu phù hợp với học sinh, sinh viên khuyết tật; (e) nước uống; (f) hệ thống vệ sinh tiện lợi và riêng rẽ cho từng giới tính và (g) chỗ rửa tay thuận tiện
1. Khái niệm, phương pháp tính
Là tỷ lệ phần trăm các trường học theo cấp học có các cơ sở hoặc dịch vụ có sẵn, gồm:
- Điện: Các nguồn năng lượng thường xuyên và sẵn có cho phép sử dụng đầy đủ và bền vững cơ sở hạ tầng công nghệ thông tin và truyền thông cho mục đích giảng dạy, học tập.
- Internet dùng cho mục đích học tập: Internet có sẵn để tăng cường việc giảng dạy, học tập và học sinh có thể truy cập được. Truy cập có thể thông qua băng thông cố định, băng rộng cố định hoặc qua mạng di động.
- Máy tính dùng cho mục đích học tập: Sử dụng máy tính để hỗ trợ cung cấp các khóa học hoặc nhu cầu giảng dạy và học tập độc lập. Máy tính bao gồm các loại sau:
+ Máy tính để bàn;
+ Máy tính xách tay;
+ Máy tính bảng.
- Cơ sở hạ tầng phù hợp với học sinh khuyết tật: Là cơ sở hạ tầng mà tất cả người sử dụng có thể tiếp cận được, kể cả những người khuyết tật. Khả năng tiếp cận bao gồm dễ đi vào, dễ thoát ra hoặc dễ dàng sử dụng các dịch vụ và cơ sở của nhà trường.
- Các tài liệu phù hợp với học sinh khuyết tật bao gồm các tài liệu học tập và các sản phẩm hỗ trợ cho phép học sinh khuyết tật/hạn chế về chức năng tiếp cận với việc học và tham gia đầy đủ vào trường học. Các tài liệu học tập có thể tiếp cận bao gồm sách giáo khoa, tài liệu giảng dạy, tài liệu đánh giá và các tài liệu khác có sẵn và được cung cấp dưới các định dạng thích hợp như âm thanh, chữ nổi, ngôn ngữ ký hiệu và các định dạng đơn giản mà học sinh khuyết tật /hạn chế về chức năng có thể sử dụng.
- Nước uống là nguồn nước bảo đảm theo quy định tại khoản 1 điều 5, Thông tư liên tịch số 13/2016/TTLT-BYT-BGDĐT ngày 12 tháng 5 năm 2016 của Bộ Y tế và Bộ Giáo dục và Đào tạo quy định về y tế trường học.
- Hệ thống vệ sinh tiện lợi và riêng rẽ cho từng giới tính: Là các nhà vệ sinh tách riêng cho nam, nữ của các cơ sở học tập.
- Chỗ rửa tay thuận tiện: Là chỗ rửa tay đang sử dụng được, có nước hợp vệ sinh và xà phòng cho tất cả các học sinh nam và học sinh nữ.
Công thức tính:
|
Tỷ lệ trường học ở cấp học (%) |
= |
Số trường học ở cấp học n có |
˟ |
100 |
|
Tổng số trường học ở cấp học n |
2. Phân tổ chủ yếu
- Cấp học;
- Tỉnh, thành phố trực thuộc trung ương.
3. Kỳ công bố: Năm.
4. Nguồn số liệu: Chế độ báo cáo thống kê ngành Giáo dục.
5. Cơ quan chịu trách nhiệm thu thập, tổng hợp: Bộ Giáo dục và Đào tạo.
4.c.1. Tỷ lệ giáo viên đạt trình độ chuẩn được đào tạo trở lên
1. Khái niệm, phương pháp tính
Tỷ lệ giáo viên đạt trình độ chuẩn được đào tạo trở lên là tỷ lệ phần trăm giữa số giáo viên đạt trình độ chuẩn được đào tạo trở lên theo cấp học (tiểu học, trung học cơ sở và trung học phổ thông) so với tổng số giáo viên của cấp học tương ứng.
Giáo viên tiểu học, trung học cơ sở, trung học phổ thông đạt trình độ chuẩn được đào tạo trở lên là giáo viên có bằng cử nhân sư phạm, cử nhân thuộc ngành đào tạo giáo viên trở lên hoặc có bằng cử nhân chuyên ngành phù hợp trở lên và có chứng chỉ bồi dưỡng nghiệp vụ sư phạm.
Công thức tính:
|
Tỷ lệ giáo viên đạt |
= |
Số giáo viên đạt trình độ chuẩn được đào |
˟ |
100 |
|
Tổng số giáo viên ở cấp học n năm học t |
2. Phân tổ chủ yếu
- Giới tính;
- Cấp học;
- Tỉnh, thành phố trực thuộc trung ương.
3. Kỳ công bố: Năm.
4. Nguồn số liệu: Chế độ báo cáo thống kê ngành Giáo dục.
5. Cơ quan chịu trách nhiệm thu thập, tổng hợp: Bộ Giáo dục và Đào tạo.
Mục tiêu 5: Đạt được bình đẳng về giới, tăng quyền và tạo cơ hội cho phụ nữ và trẻ em gái
5.1.1.a. Tỷ số giới tính khi sinh
1. Khái niệm, phương pháp tính
Tỷ số giới tính khi sinh là số bé trai sinh ra sống trên 100 bé gái sinh ra sống của một khu vực trong kỳ báo cáo (thường là một năm).
Công thức tính:
|
Tỷ số giới tính |
= |
Tổng số bé trai sinh ra sống |
˟ |
100 |
|
Tổng số bé gái sinh ra sống |
2. Phân tổ chủ yếu
- Thành thị/nông thôn;
- Vùng kinh tế - xã hội;
- Tỉnh, thành phố trực thuộc trung ương.
3. Kỳ công bố: Năm.
4. Nguồn số liệu
- Tổng điều tra dân số và nhà ở;
- Điều tra dân số và nhà ở giữa kỳ;
- Điều tra biến động dân số và kế hoạch hóa gia đình;
- Dữ liệu hành chính.
5. Cơ quan chịu trách nhiệm thu thập, tổng hợp
- Chủ trì: Bộ Kế hoạch và Đầu tư (Tổng cục Thống kê);
- Phối hợp: Bộ Y tế.
5.2.1. Tỷ lệ phụ nữ và trẻ em gái từ 15 tuổi trở lên đã từng bị bạo lực bởi chồng hoặc bạn tình hiện tại hoặc trước đây trong 12 tháng qua
1. Khái niệm, phương pháp tính
Tỷ lệ phụ nữ và trẻ em gái từ 15 tuổi trở lên đã từng bị bạo lực bởi chồng hoặc bạn tình hiện tại hoặc trước đây trong 12 tháng qua là tỷ lệ phần trăm phụ nữ và trẻ em gái từ 15 tuổi trở lên đã từng bị bạo lực về thể chất, tình dục hoặc tinh thần bởi chồng hoặc bạn tình hiện tại hoặc trước đây trong 12 tháng qua so với tổng số phụ nữ và trẻ em gái từ 15 tuổi trở lên.
Các loại bạo lực được xác định như sau:
a) Bạo lực về thể chất: Bao gồm các hành vi nhằm mục đích làm tổn hại đến nạn nhân như đẩy, nắm lấy, xoắn cánh tay, kéo tóc, tát, đá, cắn hoặc đánh bằng nắm tay, hoặc đe dọa hoặc tấn công bằng một số loại vũ khí, súng hoặc dao,...
Công thức tính:
|
Tỷ lệ phụ nữ và trẻ em gái từ 15 tuổi trở hoặc trước đây trong 12 tháng qua (%) |
= |
Số phụ nữ và trẻ em gái từ 15 tuổi trở lên đã từng bị bạo lực về thể chất bởi chồng hoặc bạn tình hiện tại hoặc trước đây trong 12 tháng qua |
˟ |
100 |
|
Tổng số phụ nữ và trẻ em gái từ 15 tuổi trở lên |
b) Bạo lực tình dục là hành vi tình dục có hại hoặc không mong muốn được áp đặt trên một người nhất định. Bạo lực tình dục bao gồm các hành vi tiếp xúc lạm dụng tình dục, buộc phải tham gia vào các hành vi tình dục, cố gắng hoặc hoàn thành hành vi tình dục mà không có sự đồng ý, loạn luân, quấy rối tình dục,...
Công thức tính:
|
Tỷ lệ phụ nữ và trẻ em gái |
= |
Số phụ nữ và trẻ em gái từ 15 tuổi |
˟ |
100 |
|
Tổng số phụ nữ và trẻ em gái từ 15 tuổi trở lên |
c) Bạo lực tinh thần là hành vi lạm dụng tình cảm và kiểm soát hành vi. Bạo lực tinh thần thường gắn với bạo lực thể chất và tình dục của chồng hoặc bạn tình.
|
Tỷ lệ phụ nữ và trẻ em gái bạo lực về tinh thần bởi hoặc trước đây trong 12 |
= |
Số phụ nữ và trẻ em gái từ 15 tuổi trở lên đã từng bị bạo lực về tinh thần bởi chồng hoặc bạn tình trong 12 tháng qua |
˟ |
100 |
|
Tổng số phụ nữ và trẻ em gái từ 15 tuổi trở lên |
2. Phân tổ chủ yếu
- Nhóm tuổi;
- Dân tộc;
- Trình độ học vấn;
- Hình thức bạo lực (thể chất/tình dục/tinh thần);
- Tần suất bạo lực;
- Thành thị/nông thôn.
3. Kỳ công bố: 10 năm.
4. Nguồn số liệu: Khảo sát sức khỏe dân cư và kinh nghiệm cuộc sống.
5. Cơ quan chịu trách nhiệm thu thập: Bộ Kế hoạch và Đầu tư (Tổng cục Thống kê).
5.2.2. Tỷ lệ phụ nữ và trẻ em gái từ 15 tuổi trở lên đã từng bị bạo lực tình dục bởi những người không phải chồng hoặc không phải bạn tình trong 12 tháng qua
1. Khái niệm, phương pháp tính
Tỷ lệ phụ nữ và trẻ em gái từ 15 tuổi trở lên đã từng bị bạo lực tình dục bởi những người không phải chồng hoặc không phải bạn tình trong 12 tháng qua là tỷ lệ phần trăm số phụ nữ và trẻ em gái từ 15 tuổi trở lên đã từng bị bạo lực tình dục bởi những người không phải là chồng hoặc không phải bạn tình trong 12 tháng qua so với tổng số phụ nữ và trẻ em gái từ 15 tuổi trở lên.
Công thức tính:
|
Tỷ lệ phụ nữ và trẻ em gái |
= |
Số phụ nữ và trẻ em gái từ 15 tuổi |
˟ |
100 |
|
Tổng số phụ nữ và trẻ em gái từ 15 tuổi trở lên |
2. Phân tổ chủ yếu
- Nhóm tuổi;
- Nơi xảy ra;
- Trình độ học vấn;
- Dân tộc;
- Tần suất bạo lực;
- Thành thị/nông thôn.
3. Kỳ công bố: 10 năm.
4. Nguồn số liệu: Khảo sát sức khỏe dân cư và kinh nghiệm cuộc sống.
5. Cơ quan chịu trách nhiệm thu thập: Bộ Kế hoạch và Đầu tư (Tổng cục Thống kê).
5.3.1. Tỷ lệ phụ nữ từ 20-24 tuổi đã kết hôn hoặc sống chung như vợ chồng lần đầu trước 15 tuổi, trước 18 tuổi
1. Khái niệm, phương pháp tính
Tỷ lệ phụ nữ từ 20-24 tuổi đã kết hôn hoặc chung sống như vợ chồng lần đầu trước 15 tuổi, trước 18 tuổi là phần trăm số phụ nữ từ 20-24 tuổi đã kết hôn hoặc chung sống như vợ chồng lần đầu trước 15 tuổi, trước 18 tuổi so với tổng số phụ nữ từ 20-24 tuổi.
Công thức tính:
|
Tỷ lệ phụ nữ từ 20-24 tuổi đã kết hôn hoặc sống chung như vợ chồng lần đầu trước 15 tuổi, trước 18 tuổi (%) |
= |
Số phụ nữ từ 20-24 tuổi đã kết hôn hoặc sống chung như vợ chồng lần đầu trước 15 tuổi, trước 18 tuổi |
˟ |
100 |
|
Tổng số phụ nữ từ 20-24 tuổi |
2. Phân tổ chủ yếu
- Dân tộc (Kinh/khác);
- Trình độ học vấn;
- Thành thị/nông thôn;
- Vùng kinh tế - xã hội;
- Tỉnh, thành phố trực thuộc trung ương.
3. Kỳ công bố: 5 năm.
4. Nguồn số liệu
- Tổng điều tra dân số và nhà ở;
- Điều tra dân số và nhà ở giữa kỳ.
5. Cơ quan chịu trách nhiệm thu thập, tổng hợp: Bộ Kế hoạch và Đầu tư (Tổng cục Thống kê).
5.3.1.a. Tỷ lệ tảo hôn
1. Khái niệm, phương pháp tính
Tảo hôn là việc lấy vợ, lấy chồng khi một bên hoặc cả hai bên chưa đủ tuổi kết hôn theo quy định của pháp luật.
Luật Hôn nhân và Gia đình quy định độ tuổi kết hôn là nam từ đủ 20 tuổi trở lên, nữ từ đủ 18 tuổi trở lên.
Tỷ lệ tảo hôn là tỷ lệ phần trăm số trường hợp kết kết hôn hoặc chung sống với nhau như vợ chồng chưa đủ tuổi theo quy định của pháp luật trên tổng số trường hợp đã kết hôn hoặc sống chung như vợ chồng.
2. Phân tổ chủ yếu: Dân tộc.
3. Kỳ công bố: 5 năm.
4. Nguồn số liệu
- Tổng điều tra dân số và nhà ở;
- Điều tra dân số và nhà ở giữa kỳ;
- Điều tra thực trạng kinh tế - xã hội của 53 dân tộc thiểu số.
5. Cơ quan chịu trách nhiệm thu thập, tổng hợp
- Chủ trì: Bộ Kế hoạch và Đầu tư (Tổng cục Thống kê);
- Phối hợp: Ủy ban Dân tộc.
5.4.1. Tỷ lệ thời gian làm công việc nội trợ và chăm sóc gia đình không được trả công
1. Khái niệm phương pháp tính
Công việc nội trợ và chăm sóc gia đình không được trả công bao gồm việc chuẩn bị thực phẩm, rửa bát/chén, dọn dẹp và sửa chữa nhà ở, giặt là/ủi, làm vườn, chăm sóc vật nuôi, mua sắm, lắp đặt, phục vụ và sửa chữa đồ dùng cá nhân và gia đình, chăm sóc trẻ em và chăm sóc người bệnh, người cao tuổi hoặc người khuyết tật trong gia đình, ...
Công thức tính:
|
Tỷ lệ thời gian làm công việc |
= |
Số giờ trung bình hàng ngày làm đình không được trả công |
˟ |
100 |
|
24 |
2. Phân tổ chủ yếu
- Giới tính;
- Nhóm tuổi;
- Thành thị/nông thôn;
- Tỉnh, thành phố trực thuộc trung ương;
- Vùng kinh tế - xã hội.
3. Kỳ công bố: Năm.
4. Nguồn số liệu: Điều tra lao động việc làm.
5. Cơ quan chịu trách nhiệm thu thập, tổng hợp: Bộ Kế hoạch và Đầu tư (Tổng cục Thống kê).
5.5.1.a. Tỷ lệ nữ đại biểu Quốc hội
1. Khái niệm, phương pháp tính
Tỷ lệ nữ đại biểu Quốc hội là số phần trăm giữa nữ đại biểu Quốc hội so với tổng số đại biểu Quốc hội trong cùng nhiệm kỳ.
Công thức tính:
|
Tỷ lệ nữ đại biểu |
= |
Số nữ đại biểu Quốc hội nhiệm kỳ k |
˟ |
100 |
|
Tổng số đại biểu Quốc hội nhiệm kỳ k |
2. Phân tổ chủ yếu
- Nhóm tuổi;
- Trình độ học vấn;
- Dân tộc.
3. Kỳ công bố: Đầu mỗi nhiệm kỳ.
4. Nguồn số liệu: Dữ liệu hành chính.
5. Cơ quan chịu trách nhiệm thu thập, tổng hợp: Văn phòng Quốc hội.
5.5.1.b. Tỷ lệ nữ đại biểu Hội đồng nhân dân
1. Khái niệm, phương pháp tính
Tỷ lệ nữ đại biểu Hội đồng nhân dân cấp tỉnh (tỉnh, thành phố thuộc trung ương) là tỷ lệ phần trăm giữa số nữ đại biểu Hội đồng nhân dân cấp tỉnh so với tổng số đại biểu Hội đồng nhân dân cấp tỉnh cùng nhiệm kỳ.
Tỷ lệ nữ đại biểu Hội đồng nhân dân cấp huyện (huyện, quận, thị xã, thành phố trực thuộc tỉnh, thành phố thuộc trung ương) là tỷ lệ phần trăm giữa số nữ đại biểu Hội đồng nhân dân cấp huyện so với tổng số đại biểu Hội đồng nhân dân cấp huyện cùng nhiệm kỳ.
Tỷ lệ nữ đại biểu Hội đồng nhân dân cấp xã (xã, phường, thị trấn) là tỷ lệ phần trăm giữa số nữ đại biểu Hội đồng nhân dân cấp xã so với tổng số đại biểu Hội đồng nhân dân cấp xã cùng nhiệm kỳ.
Công thức tính:
|
Tỷ lệ nữ đại biểu |
= |
Số nữ đại biểu Hội đồng nhân dân |
˟ |
100 |
|
Tổng số đại biểu Hội đồng nhân dân |
2. Phân tổ chủ yếu
- Cấp hành chính;
- Dân tộc;
- Nhóm tuổi;
- Trình độ học vấn.
3. Kỳ công bố: Đầu mỗi nhiệm kỳ.
4. Nguồn số liệu: Chế độ báo cáo thống kê ngành Nội vụ.
5. Cơ quan chịu trách nhiệm thu thập, tổng hợp: Bộ Nội vụ.
5.5.2. Tỷ lệ nữ là nhà lãnh đạo trong các ngành, các cấp và các đơn vị
1. Khái niệm, phương pháp tính
Tỷ lệ nữ là nhà lãnh đạo trong các ngành, các cấp và các đơn vị là tỷ lệ phần trăm lao động nữ là nhà lãnh đạo trong các ngành, các cấp và các đơn vị so với tổng số lao động là nhà lãnh đạo trong các ngành, các cấp và các đơn vị.
Lao động là nhà lãnh đạo trong các ngành, các cấp và các đơn vị được xác định theo Danh mục nghề nghiệp Việt Nam được Thủ tướng Chính phủ ban hành.
Công thức tính:
|
Tỷ lệ nữ là nhà lãnh đạo trong các ngành, các cấp và các đơn vị (%) |
= |
Số nữ là nhà lãnh đạo trong các ngành, các cấp và các đơn vị |
˟ |
100 |
|
Tổng số nhà lãnh đạo trong các ngành, các cấp và các đơn vị |
2. Phân tổ chủ yếu
- Thành thị/nông thôn;
- Vùng kinh tế - xã hội.
3. Kỳ công bố: Năm.
4. Nguồn số liệu: Điều tra lao động và việc làm.
5. Cơ quan chịu trách nhiệm thu thập, tổng hợp: Bộ Kế hoạch và Đầu tư (Tổng cục Thống kê).
5.6.1. Tỷ lệ phụ nữ từ 15-49 tuổi tự quyết định về quan hệ tình dục, sử dụng biện pháp tránh thai và chăm sóc sức khỏe sinh sản
1. Khái niệm, phương pháp tính
Tỷ lệ phụ nữ từ 15-49 tuổi tự quyết định về quan hệ tình dục, sử dụng biện pháp tránh thai và chăm sóc sức khỏe sinh sản là tỷ lệ phần trăm phụ nữ trong độ tuổi từ 15- 49 tuổi được lựa chọn hoặc tự quyết định cả ba khía cạnh: Quan hệ tình dục, sử dụng biện pháp tránh thai và chăm sóc sức khỏe sinh sản.
Công thức tính:
|
Tỷ lệ phụ nữ từ 15-49 tuổi |
= |
Số phụ nữ từ 15-49 tuổi được lựa |
˟ |
100 |
|
Tổng số phụ nữ từ 15-49 tuổi |
2. Phân tổ chủ yếu
- Nhóm tuổi;
- Trình độ học vấn;
- Thành thị/nông thôn.
3. Kỳ công bố: Năm.
4. Nguồn số liệu: Điều tra biến động dân số và kế hoạch hóa gia đình.
5. Cơ quan chịu trách nhiệm thu thập, tổng hợp: Bộ Kế hoạch và Đầu tư (Tổng cục Thống kê).
5.a.1. Tỷ lệ hộ sử dụng đất sản xuất nông nghiệp có giấy chứng nhận quyền sử dụng đất đối với đất sản xuất nông nghiệp
1. Khái niệm phương pháp tính
Hộ có sử dụng đất sản xuất nông nghiệp là hộ gia đình có thực hiện hoạt động trồng trọt trong 12 tháng qua trên đất sản xuất nông nghiệp (đất giao lâu dài, đất chuyển nhượng, đi thuê, mượn, đấu thầu).
Không tính: Các hộ có hoạt động sản xuất lâm nghiệp, đánh bắt và nuôi trồng thủy sản; các hộ có quyền sử dụng đất sản xuất nông nghiệp nhưng không canh tác trên đất đó; các hộ có thành viên tham gia vào lĩnh vực nông nghiệp chỉ như người lao động làm công ăn lương.
Tỷ lệ hộ sử dụng đất sản xuất nông nghiệp có giấy chứng nhận quyền sử dụng đất đối với đất sản xuất nông nghiệp là phần trăm số hộ sử dụng đất sản xuất nông nghiệp có giấy chứng nhận quyền sử dụng đất đối với đất sản xuất nông nghiệp so với tổng số hộ có sử dụng đất sản xuất nông nghiệp.
Công thức tính:
|
Tỷ lệ hộ sử dụng đất sản xuất nông nghiệp, có giấy chứng nhận quyền sử dụng đất đối với đất sản xuất nông nghiệp (%) |
= |
Số hộ sử dụng đất sản xuất nông nghiệp có giấy chứng nhận quyền sử dụng đất đối với đất sản xuất nông nghiệp |
˟ |
100 |
|
Tổng số hộ có sử dụng đất sản xuất nông nghiệp |
2. Phân tổ chủ yếu
- Giới tính của chủ hộ;
- Tỉnh, thành phố trực thuộc trung ương.
3. Kỳ công bố: 5 năm.
4. Nguồn số liệu
- Tổng điều tra nông thôn, nông nghiệp;
- Điều tra nông thôn, nông nghiệp giữa kỳ.
5. Cơ quan chịu trách nhiệm thu thập, tổng hợp: Bộ Kế hoạch và Đầu tư (Tổng cục Thống kê).
5.b.1. Tỷ lệ người sở hữu điện thoại di động
1. Khái niệm, phương pháp tính
Tỷ lệ người sở hữu điện thoại di động là tỷ lệ phần trăm giữa số người sở hữu điện thoại di động so với tổng dân số của kỳ báo cáo.
Công thức tính:
|
Tỷ lệ người sở hữu |
= |
Số người sở hữu điện thoại di động |
˟ |
100 |
|
Tổng dân số |
Tùy theo yêu cầu quản lý của từng thời kỳ và để bảo đảm mục tiêu so sánh quốc tế số người sở hữu điện thoại di động được quy định theo độ tuổi nhất định. Vì vậy, phạm vi thu thập số liệu sẽ được quy định cụ thể trong từng phương án điều tra.
2. Phân tổ chủ yếu
- Giới tính;
- Nhóm tuổi;
- Dân tộc;
- Khuyết tật;
- Thành thị/nông thôn;
- Tỉnh, thành phố trực thuộc trung ương;
- Vùng kinh tế - xã hội.
3. Kỳ công bố: Năm.
Riêng phân tổ Khuyết tật công bố theo kỳ 5 năm.
4. Nguồn số liệu
- Khảo sát mức sống dân cư Việt Nam;
- Điều tra quốc gia về người khuyết tật.
5. Cơ quan chịu trách nhiệm thu thập, tổng hợp: Bộ Kế hoạch và Đầu tư (Tổng cục Thống kê).
Mục tiêu 6: Đảm bảo đầy đủ và quản lý bền vững tài nguyên nước và hệ thống vệ sinh cho tất cả mọi người
6.1.1. Tỷ lệ dân số được sử dụng nguồn nước hợp vệ sinh
1. Khái niệm, phương pháp tính
Tỷ lệ dân số sử dụng nguồn nước hợp vệ sinh là tỷ lệ phần trăm giữa dân số được sử dụng nguồn nước hợp vệ sinh so với tổng dân số.
Công thức tính:
|
Tỷ lệ dân số được sử |
= |
Dân số được sử dụng |
˟ |
100 |
|
Tổng dân số |
Nguồn nước hợp vệ sinh là những nguồn nước chính dùng cho ăn, uống của hộ gia đình như sau:
- Nước máy;
- Giếng khoan;
- Giếng đào được bảo vệ;
- Nước suối, khe mó được bảo vệ;
- Nước mưa;
- Nước mua từ xe xitec chở nước;
- Nước đóng chai, bình.
2. Phân tổ chủ yêu:
- Thành thị/nông thôn;
- Tỉnh, thành phố trực thuộc trung ương;
- Vùng kinh tế - xã hội.
3. Kỳ công bố: Năm.
4. Nguồn số liệu: Khảo sát mức sống dân cư Việt Nam.
5. Cơ quan chịu trách nhiệm thu thập, tổng hợp: Bộ Kế hoạch và Đầu tư (Tổng cục Thống kê).
6.2.1. Tỷ lệ dân số sử dụng hố xí hợp vệ sinh
1. Khái niệm, phương pháp tính
Tỷ lệ dân số sử dụng hố xí hợp vệ sinh là tỷ lệ phần trăm giữa dân số sử dụng hố xí hợp vệ sinh so với tổng dân số.
Công thức tính:
|
Tỷ lệ dân số sử dụng hố xí hợp vệ sinh (%) |
= |
Dân số sử dụng hố xí hợp vệ sinh |
˟ |
100 |
|
Tổng dân số |
Hố xí hợp vệ sinh bao gồm:
- Hố xí tự hoại, thấm dội nước;
- Hố xí đào (cải tiến có ống thông hơi; có bệ ngồi);
- Hố xí ủ phân trộn.
2. Phân tổ chủ yếu
- Thành thị/nông thôn;
- Tỉnh, thành phố trực thuộc trung ương;
- Vùng kinh tế - xã hội.
3. Kỳ công bố: Năm.
4. Nguồn số liệu: Khảo sát mức sống dân cư Việt Nam.
5. Cơ quan chịu trách nhiệm thu thập, tổng hợp: Bộ Kế hoạch và Đầu tư (Tổng cục Thống kê).
6.3.1. Tỷ lệ nước thải đô thị được thu gom, xử lý đạt tiêu chuẩn, quy chuẩn theo quy định
1. Khái niệm, phương pháp tính
- Nước thải là nước đã qua sử dụng và được xả thải ra môi trường xung quanh. Xử lý nước thải là quá trình sử dụng các giải pháp công nghệ, kỹ thuật làm giảm, loại bỏ, tiêu hủy các thành phần có hại trong nước thải, đảm bảo nước thải ra môi trường đạt tiêu chuẩn, quy chuẩn theo quy định.
- Tỷ lệ nước thải đô thị được thu gom, xử lý đạt tiêu chuẩn, quy chuẩn theo quy định là tỷ lệ phần trăm nước thải đô thị được thu gom, xử lý đạt tiêu chuẩn, quy chuẩn theo quy định trên 80% tổng công suất cấp nước sạch tại địa phương.
Công thức tính:
|
Tỷ lệ nước thải đô thị được thu gom, xử lý đạt tiêu chuẩn, quy chuẩn theo quy định (%) |
= |
Tổng công suất khai thác xử lý nước thải đô thị |
x 100 |
|
Tổng công suất khai thác của nhà máy nước x 80% |
2. Phân tổ chủ yếu
- Loại đô thị (loại đặc biệt/loại I/loại II/loại III/loại IV/loại V);
- Tỉnh, thành phố trực thuộc trung ương.
3. Kỳ công bố: Năm.
4. Nguồn số liệu: Chế độ báo cáo thống kê ngành Xây dựng.
5. Cơ quan chịu trách nhiệm thu thập, tổng hợp: Bộ Xây dựng.
6.3.1.a. Tỷ lệ khu công nghiệp đang hoạt động có hệ thống xử lý nước thải tập trung đạt tiêu chuẩn môi trường
1. Khái niệm, phương pháp tính
Tỷ lệ khu công nghiệp đang hoạt động có hệ thống xử lý nước thải tập trung đạt tiêu chuẩn môi trường là tỷ lệ phần trăm các khu công nghiệp đang hoạt động có nhà máy xử lý nước thải tập trung đạt tiêu chuẩn môi trường trong tổng số các khu công nghiệp đang hoạt động.
Công thức tính:
|
Tỷ lệ khu công nghiệp đang hoạt động có hệ thống xử lý nước thải tập trung đạt tiêu chuẩn môi trường (%) |
= |
Số lượng các khu công nghiệp đang hoạt động có nhà máy xử lý nước thải tập trung đạt tiêu chuẩn môi trường |
x 100 |
|
Tổng số khu công nghiệp đang hoạt động |
2. Phân tổ chủ yếu: Tỉnh, thành phố trực thuộc trung ương.
3. Kỳ công bố: Năm.
4. Nguồn số liệu: Chế độ báo cáo thống kê ngành Kế hoạch và Đầu tư.
5. Cơ quan chịu trách nhiệm thu thập, tổng hợp: Bộ Kế hoạch và Đầu tư (Vụ Quản lý các khu kinh tế).
6.4.1.a. Tỷ lệ hồ chứa lớn được kiểm soát, giám sát để bảo đảm duy trì dòng chảy tối thiểu của lưu vực sông
1. Khái niệm, phương pháp tính
Tỷ lệ hồ chứa lớn được kiểm soát, giám sát để bảo đảm duy trì dòng chảy tối thiểu của lưu vực sông là tỷ lệ phần trăm số hồ chứa lớn được kiểm soát, giám sát để bảo đảm duy trì dòng chảy tối thiểu của lưu vực sông so với tổng số hồ chứa lớn.
Việc kiểm soát, giám sát được thực hiện theo quy định của Bộ Tài nguyên và Môi trường.
Dòng chảy tối thiểu là dòng chảy ở mức thấp nhất cần thiết để duy trì dòng sông hoặc đoạn sông nhằm bảo đảm sự phát triển bình thường của hệ sinh thái thủy sinh và bảo đảm mức tối thiểu cho hoạt động khai thác, sử dụng nguồn nước của các đối tượng sử dụng nước.
Công thức tính:
|
Tỷ lệ hồ chứa lớn được kiểm soát, giám sát để bảo đảm duy trì dòng chảy tối thiểu của lưu vực sông (%) |
= |
Số hồ chứa lớn được kiểm soát, giám sát để bảo đảm duy trì dòng chảy tối thiểu của lưu vực sông |
x 100 |
|
Tổng số hồ chứa lớn |
2. Kỳ công bố: Năm.
3. Nguồn số liệu: Dữ liệu hành chính.
4. Cơ quan chịu trách nhiệm thu thập, tổng hợp: Bộ Tài nguyên và Môi trường.
6.4.1.b. Tỷ lệ các hồ chứa lớn, quan trọng trên các lưu vực sông được vận hành theo quy chế phối hợp liên hồ chứa
1. Khái niệm, phương pháp tính
Tỷ lệ các hồ chứa lớn, quan trọng trên các lưu vực sông được vận hành theo quy chế phối hợp liên hồ chứa là tỷ lệ phần trăm các hồ chứa lớn, quan trọng trên các lưu vực sông được vận hành theo quy chế phối hợp liên hồ chứa so với tổng số hồ chứa lớn, quan trọng trên các lưu vực sông.
Các hồ chứa lớn, quan trọng trên các lưu vực sông được vận hành theo quy chế phối hợp liên hồ chứa bao gồm các hồ thuộc danh mục các hồ thủy lợi, thủy điện trên lưu vực sông được Thủ tướng Chính phủ quy định.
Công thức tính:
|
Tỷ lệ các hồ chứa lớn, quan trọng trên các lưu vực sông được vận hành theo quy chế phối hợp liên hồ chứa (%) |
= |
Các hồ chứa lớn, quan trọng trên các lưu vực sông được vận hành theo quy chế phối hợp liên hồ chứa |
x 100 |
|
Tổng số hồ chứa lớn, quan trọng trên các lưu vực sông |
2. Kỳ công bố: Năm.
3. Nguồn số liệu: Dữ liệu hành chính.
4. Cơ quan chịu trách nhiệm thu thập, tổng hợp: Bộ Tài nguyên và Môi trường.
6.6.1.a. Số lượng khu Ramsar được thành lập và công nhận
1. Khái niệm, phương pháp tính
Khu Ramsar là vùng đất ngập nước có tầm quan trọng quốc tế được Ban thư ký Công ước Ramsar công nhận. Theo quy định trên, Công ước Ramsar là tên viết tắt của Công ước về các vùng đất ngập nước có tầm quan trọng quốc tế.
2. Kỳ công bố: Năm.
3. Nguồn số liệu: Dữ liệu hành chính.
4. Cơ quan chịu trách nhiệm thu thập, tổng hợp: Bộ Tài nguyên và Môi trường.
Mục tiêu 7: Đảm bảo khả năng tiếp cận nguồn năng lượng bền vững, đáng tin cậy và có khả năng chi trả cho tất cả mọi người
7.1.1. Tỷ lệ dân số sử dụng điện
1. Khái niệm, phương pháp tính
Tỷ lệ dân số sử dụng điện là tỷ lệ phần trăm của dân số sử dụng điện trên tổng dân số (chỉ tính dân số sử dụng điện lưới).
Công thức tính:
|
Tỷ lệ dân số sử dụng điện (%) |
= |
Dân số sử dụng điện |
x 100 |
|
Tổng dân số |
2. Phân tổ chủ yếu
- Thành thị/nông thôn;
- Vùng kinh tế - xã hội;
- Tỉnh, thành phố trực thuộc trung ương.
3. Kỳ công bố: 2 năm.
4. Nguồn số liệu: Khảo sát mức sống dân cư Việt Nam.
5. Cơ quan chịu trách nhiệm thu thập, tổng hợp: Bộ Kế hoạch và Đầu tư (Tổng cục Thống kê).
7.1.2. Tỷ lệ hộ có sử dụng nhiên liệu sạch
1. Khái niệm, phương pháp tính
Nhiên liệu sạch là loại nhiên liệu có tác động tối thiểu đến môi trường khi được sản xuất, sử dụng, và thải bỏ. Các đặc điểm chính của nhiên liệu sạch bao gồm:
+ Phát thải thấp: sản sinh ít khí thải độc hại như CO2, Nox, Sox, và các hạt bụi mịn khi đốt cháy.
+ Tái tạo được: có thể được tái tạo hoặc có nguồn gốc từ các nguồn tài nguyên không cạn kiệt.
+ Thân thiện với môi trường: ít gây tác động tiêu cực đến hệ sinh thái và sức khoẻ con người.
+ Hiệu suất năng lượng cao: Có khả năng chuyển hoá năng lượng một cách hiệu quả.
Một số ví dụ về nhiên liệu sạch bao gồm:
+ Điện: Đặc biệt là điện từ các nguồn năng lượng tái tạo như gió, mặt trời, và thủy điện.
+ Hydro: Khi sản xuất từ nước và sử dụng năng lượng tái tạo để phân tách nước.
+ Khí sinh học (biogas): Sản xuất từ quá trình phân hủy sinh học của các vật liệu hữu cơ.
+ Nhiên liệu sinh học (biofuels): Như ethanol và biodiesel, sản xuất từ cây cối hoặc chất thải sinh học.
+ Khí tự nhiên (natural gas): Mặc dù không hoàn toàn không phát thải, nhưng vẫn được xem là sạch hơn so với than và dầu.
Hộ gia đình sử dụng nhiên liệu sạch để nấu ăn là hộ chủ yếu sử dụng bếp điện, bếp năng lượng mặt trời, LPG (khí dầu mỏ hóa lỏng), bếp ga/bếp ga sinh học, các bếp sử dụng ethanol hoặc cồn.
Hộ gia đình sử dụng nhiên liệu sạch để sưởi ấm là những hộ gia đình chủ yếu dùng hệ thống sưởi trung tâm hoặc sử dụng máy sưởi năng lượng mặt trời, điện, đường ống ga tự nhiên, LPG/ga hóa lỏng, ga sinh học, hoặc cồn/ethanol.
Hội gia đình sử dụng nhiên liệu sạch để thắp sáng là những hộ gia đình chủ yếu sử dụng điện, đèn năng lượng mặt trời, đèn sạc điện hoặc chạy bằng pin, đèn sử dụng khí ga tự nhiên.
Công thức tính:
|
Tỷ lệ hộ có sử dụng nhiên liệu sạch (%) |
= |
Số hộ gia đình chủ yếu sử dụng nhiên liệu sạch để nấu ăn, sưởi ấm và thắp sáng |
x 100 |
|
Tổng số hộ |
2. Phân tổ chủ yếu
- Giới tính của chủ hộ;
- Thành thị/nông thôn;
- Tỉnh, thành phố trực thuộc trung ương.
3. Kỳ công bố: 2 năm.
4. Nguồn số liệu: Khảo sát mức sống dân cư Việt Nam.
5. Cơ quan chịu trách nhiệm thu thập, tổng hợp: Bộ Kế hoạch và Đầu tư (Tổng cục Thống kê).
7.2.1. Tỷ trọng năng lượng tái tạo trong tổng tiêu dùng năng lượng cuối cùng
1. Khái niệm, phương pháp tính
Tiêu dùng năng lượng tái tạo bao gồm tiêu dùng năng lượng từ: Thủy điện, nhiên liệu sinh học rắn, gió, mặt trời, nhiên liệu sinh học lỏng, khí sinh học, địa nhiệt, sóng biển và chất thải. Tổng tiêu dùng năng lượng cuối cùng được tính từ bảng cân đối và số liệu thống kê quốc gia là tổng tiêu dùng cuối cùng trừ sử dụng phi năng lượng.
Các nguồn năng lượng tái tạo cụ thể:
- Năng lượng mặt trời;
- Năng lượng thủy điện;
- Năng lượng gió;
- Năng lượng nhiên liệu sinh học lỏng bao gồm xăng sinh học, diesel sinh học và nhiên liệu sinh học lỏng khác;
- Nhiên liệu sinh học rắn bao gồm gỗ củi, chất thải động vật, chất thải thực vật, rượu đen, bã mía và than củi,...;
- Năng lượng thải bao gồm năng lượng từ rác thải đô thị tái tạo.
Tiêu dùng năng lượng cuối cùng là phần năng lượng tiêu dùng trực tiếp cho toàn xã hội khi tiêu dùng năng lượng bị mất hoàn toàn, không tái tạo ra nguồn năng lượng khác. Năng lượng tiêu dùng cuối cùng không gồm năng lượng tiêu dùng để chế biến ra các loại năng lượng mới.
Công thức tính:
|
Tỷ trọng năng lượng tái tạo trong tổng tiêu dùng năng lượng cuối cùng (%) |
= |
Năng lượng tái tạo |
x 100 |
|
Tổng tiêu dùng năng lượng cuối cùng |
2. Kỳ công bố: Năm.
3 Nguồn số liệu
- Điều tra thống kê;
- Chế độ báo cáo thống kê;
- Dữ liệu hành chính.
4. Cơ quan chịu trách nhiệm thu thập, tổng hợp
- Chủ trì: Tổng cục Thống kê;
- Phối hợp: Bộ Công Thương.
7.3.1.a. Tổng cung năng lượng sơ Cấp/GDP
1. Khái niệm, phương pháp tính
Tổng cung năng lượng sơ Cấp/GDP: là chỉ tiêu phản ánh mối quan hệ giữa việc sử dụng năng lượng và GDP. Chỉ tiêu cho biết để tạo ra một đơn vị tổng sản phẩm trong nước (GDP) cần sử dụng bao nhiêu đơn vị năng lượng.
Năng lượng sơ cấp là năng lượng được khai thác hoặc thu được trực tiếp từ thiên nhiên, chưa qua quá trình chuyển đổi bao gồm nhiên liệu hóa thạch (như than đá, đá phiến dầu, than bùn và các sản phẩm than bùn, dầu thô và khí tự nhiên), nhiên liệu sinh học, rác thải, năng lượng hạt nhân, thủy điện, địa nhiệt, năng lượng mặt trời, năng lượng gió và nhiệt từ các máy bơm nhiệt thu được từ môi trường xung quanh.
Tổng cung năng lượng sơ cấp là tổng lượng năng lượng mà một quốc gia sử dụng trong một thời kỳ nhất định và được tính như sau:
Công thức tính:
|
Tổng cung năng lượng sơ cấp |
= |
Sản xuất năng lượng sơ cấp |
+ |
Nhập khẩu năng lượng (gồm năng lượng sơ cấp và chuyển đổi) |
- |
Xuất khẩu năng lượng (gồm năng lượng sơ cấp sơ cấp và chuyển đổi) |
- |
Dự trữ hàng hải, hàng không quốc tế (gồm + năng lượng sơ cấp và chuyển đổi) |
+ |
Chênh lệch tồn kho (gồm năng lượng sơ cấp và chuyển đổi) |
|
Tổng cung năng lượng sơ cấp/GDP |
= |
Tổng cung năng lượng sơ cấp |
|
GDP |
Tổng cung năng lượng sơ cấp được tính bằng đơn vị tấn dầu tương đương (TOE); GDP được tính theo giá so sánh.
3. Kỳ công bố: Năm.
4. Nguồn số liệu
- Điều tra thống kê;
- Chế độ báo cáo thống kê;
- Dữ liệu hành chính.
5. Cơ quan chịu trách nhiệm thu thập, tổng hợp
- Chủ trì: Bộ Kế hoạch và Đầu tư (Tổng cục Thống kê);
- Phối hợp: Bộ Công Thương; Bộ Xây dựng; Bộ Giao thông vận tải; Bộ Nông nghiệp và Phát triển nông thôn.
7.3.1.b. Tiêu hao năng lượng so với tổng sản phẩm trong nước
1. Khái niệm, phương pháp tính
Tiêu hao năng lượng bao gồm tiêu hao năng lượng dùng cho sản xuất và tiêu hao năng lượng dùng cho sinh hoạt.
Năng lượng dùng cho sản xuất và sinh hoạt gồm: Xăng, dầu, khí, than, điện,...
Công thức tính:
|
Tiêu hao năng lượng so với tổng sản phẩm trong nước (%) |
= |
Tiêu hao năng lượng |
x 100 |
|
|
Tổng sản phẩm trong nước |
3. Kỳ công bố: Năm.
4. Nguồn số liệu
- Điều tra thống kê;
- Chế độ báo cáo thống kê;
- Dữ liệu hành chính.
5. Cơ quan chịu trách nhiệm thu thập, tổng hợp
- Chủ trì: Bộ Kế hoạch và Đầu tư (Tổng cục Thống kê);
- Phối hợp: Bộ Công Thương.
7.b.1. Công suất lắp đặt năng lượng tái tạo
1. Khái niệm, phương pháp tính
Năng lượng tái tạo gồm: Điện từ năng lượng mặt trời, điện từ năng lượng gió, điện từ năng lượng thủy triều.
a. Công suất lắp đặt điện từ năng lượng mặt trời
Sản lượng điện từ năng lượng mặt trời là sản lượng điện sản xuất ra từ nguồn năng lượng mặt trời được tính trên đồng hồ đo sản lượng tại nơi sản xuất chuyển qua cho bên tiêu thụ trong một thời kỳ nhất định.
Năng lượng mặt trời là ánh sáng và bức xạ nhiệt từ mặt trời, đã được con người khai thác từ xưa bằng cách sử dụng một loạt các công nghệ và ngày càng phát triển cao hơn.
Các ứng dụng năng lượng mặt trời gồm: Nước nóng năng lượng mặt trời, chiếu sáng, năng lượng mặt trời nấu ăn, nước sạch thông qua chưng cất và tẩy uế, điện năng lượng mặt trời, không gian sưởi ấm và làm mát thông qua kiến trúc năng lượng mặt trời, quá trình tích nhiệt độ cao cho mục đích công nghiệp, điện năng lượng mặt trời dựa trên các động cơ nhiệt và tế bào quang điện.
Phương pháp tính:
Thu năng lượng mặt trời, cách phổ biến nhất là sử dụng tấm panel. Công nghệ năng lượng mặt trời được phổ biến một trong hai cách thụ động và chủ động tùy thuộc vào cách thu, chuyển đổi và phân phối năng lượng mặt trời.
Kỹ thuật năng lượng mặt trời chủ động bao gồm việc sử dụng các tấm panel thu quang điện và thu nhiệt năng lượng mặt trời. Hoạt động công nghệ làm tăng nguồn cung cấp năng lượng gọi là công nghệ nguồn cung. Kỹ thuật năng lượng mặt trời thụ động bao gồm định hướng một tòa nhà với Mặt Trời, lựa chọn vật liệu với khối lượng nhiệt thuận lợi, hiệu ứng phân tán ánh sáng và thiết kế không gian tự nhiên lưu thông không khí. Công nghệ thụ động làm giảm nhu cầu năng lượng gọi là công nghệ phía cầu.
Trong phạm vi chỉ tiêu này chỉ tính đến nguồn năng lượng mặt trời đã được dùng để sản xuất ra điện hay chỉ tính sản lượng điện sản xuất được từ nguồn năng lượng mặt trời.
Công suất điện năng lượng mặt trời là khả năng sản xuất điện của nhà máy trên cơ sở công suất lắp đặt của nhà máy. Vì vậy, đơn vị tính cũng được sử dụng đơn vị như các nguồn điện khác là: W hoặc bội số của W là kW và MW.
Sản lượng điện là lượng điện được sản xuất trong thời gian nhất định được tính theo kWh. Sản lượng điện được tính trên đồng hồ đo sản lượng tại nơi sản xuất chuyển qua cho tiêu thụ.
Điện sản xuất được đo đếm ở đầu máy phát của từng tổ máy qua đồng hồ tổng của nhà máy đã tách riêng phần điện tự dùng và tổn thất trên máy biến áp số còn lại chính là điện tiêu thụ.
b. Công suất lắp đặt điện từ năng lượng gió
Công suất lắp đặt và sản lượng điện từ năng lượng gió là sản lượng điện sản xuất ra từ nguồn năng lượng gió được tính trên đồng hồ đo sản lượng tại nơi sản xuất chuyển qua cho bên tiêu thụ trong một thời kỳ nhất định.
Năng lượng gió là động năng của không khí di chuyển trong bầu khí quyển Trái Đất. Năng lượng gió là một hình thức gián tiếp của năng lượng mặt trời. Sử dụng năng lượng gió là một trong các cách lấy năng lượng xa xưa nhất từ môi trường tự nhiên và đã được biết đến tự thời kỳ cổ đại.
Năng lượng gió mô tả quá trình mà gió đã được sử dụng để tạo ra năng lượng cơ học hoặc điện. Tua bin gió chuyển đổi năng lượng động lực trọng gió thành Năng lượng cơ học. Năng lượng cơ học này có thể được sử dụng cho các nhiệm vụ cụ thể (chẳng hạn như xay ngũ cốc hoặc bơm nước) hoặc một máy phát điện có thể chuyển đổi năng lượng cơ học thành điện, nhà máy điện.
Gió là một dạng của năng lượng mặt trời, do sưởi ấm không đồng đều của bầu khí quyển của mặt trời, các bất thường của bề mặt trái đất, và vòng quay của trái đất. Mô hình dòng chảy gió được sửa đổi bởi địa hình của trái đất, sông nước, và độ che phủ thực vật. Năng lượng gió dòng chảy này, hoặc chuyển động có thể được sử dụng khi qua tua-bin gió hiện đại, để tạo ra điện.
Phương pháp tính
Trong phạm vi chỉ tiêu này chỉ tính đến nguồn năng lượng gió được dùng cho phát điện hay chỉ tính sản lượng điện được sản xuất được từ nguồn năng gió mà thôi.
Công suất điện năng lượng gió là khả năng sản xuất điện của nhà máy nên đơn vị tính cũng được sử dụng như các nguồn điện khác là: W hoặc bội số của W là kW và MW.
Sản lượng điện là lượng điện được sản xuất trong thời gian nhất định được tính theo kWh. Sản lượng điện được tính trên đồng hồ đo sản lượng tại nơi sản xuất chuyển qua cho tiêu thụ.
Điện sản xuất được đo đếm ở đầu máy phát của từng tổ máy qua đồng hồ tổng của nhà máy đã tách riêng phần điện từ dùng và tổn thất trên máy biến áp số còn lại chính là điện tiêu thụ.
c. Công suất lắp đặt điện từ năng lượng thủy triều
Công suất lắp đặt và sản lượng điện từ năng lượng thủy triều là sản lượng điện sản xuất ra từ nguồn năng lượng thủy triều được tính trên đồng hồ đo sản lượng tại nơi sản xuất chuyển qua cho bên tiêu thụ trong một thời kỳ nhất định.
Điện thủy triều được khai thác từ sự thay đổi của thủy triều lên xuống hàng ngày. Lợi dụng dòng thủy triều người ta sẽ lắp đặt hệ thống thiết bị sản xuất điện.
Hiện nay có 2 loại công nghệ khai thác được áp dụng tại các nước trên thế giới để khai thác hiệu quả nguồn năng lượng này là khai thác dựa vào động năng dòng chảy thủy triều và khai thác dựa vào thế năng của thủy triều.
Với công nghệ khai thác dựa vào thế năng của thủy triều, người ta phải xây dựng hồ chứa và lợi dụng quy luật triều lên xuống để tạo ra sự chênh lệch cột nước tĩnh của khối lượng nước trong hồ và ngoài biển hoặc ngược lại. Khi đó sử dụng các tuabin nước để phát điện. Công nghệ này có ưu điểm là làm giảm được tính không ổn định của năng lượng thủy triều, tuy nhiên lại gặp khó khăn khi phải xây đập để tạo nên các hồ chứa tại các vùng biển thường có điều kiện địa hình phức tạp.
Hiện nay một số nơi trên thế giới đã triển khai hệ thống máy phát điện sử dụng năng lượng thủy triều.
Phương pháp tính:
Công suất điện năng lượng thủy triều là khả năng sản xuất điện của nhà máy vì vậy đơn vị tính cũng được sử dụng đơn vị như các nguồn điện khác là: W hoặc bội số của W là KW và MW.
Sản lượng điện là lượng điện được sản xuất trong thời gian nhất định được tính theo kWh. Sản lượng điện được tính trên đồng hồ đo sản lượng tại nơi sản xuất chuyển qua cho tiêu thụ.
Điện sản xuất được đo đếm ở đầu máy phát của từng tổ máy qua đồng hồ tổng của nhà máy đã tách riêng phần điện tự dùng và tổn thất trên máy biến áp số còn lại chính là điện tiêu thụ.
2. Phân tổ chủ yếu
- Công suất;
- Loại năng lượng (mặt trời/gió/thủy triều).
3. Kỳ công bố: 2 năm.
4. Nguồn số liệu: Điều tra năng lực sản xuất của một số sản phẩm công nghiệp.
5. Cơ quan chịu trách nhiệm thu thập, tổng hợp: Bộ Công Thương.
Mục tiêu 8: Đảm bảo tăng trưởng kinh tế bền vững, toàn diện, liên tục; tạo việc làm đầy đủ, năng suất và việc làm tốt cho tất cả mọi người
8.1.1. Tốc độ tăng tổng sản phẩm trong nước bình quân đầu người
1. Khái niệm; phương pháp tính
Tổng sản phẩm trong nước bình quân đầu người được tính bằng cách chia tổng sản phẩm trong nước trong năm cho dân số trung bình trong năm tương ứng. Tổng sản phẩm trong nước bình quân đầu người có thể tính theo giá hiện hành, tính theo nội tệ hoặc ngoại tệ, cũng có thể tính theo giá so sánh để tính tốc độ tăng.
Công thức tính:
|
Tổng sản phẩm trong nước bình quân đầu người |
= |
Tổng sản phẩm trong nước (GDP) trong năm (tính bằng VND) |
|
Dân số trung bình trong cùng năm |
Tổng sản phẩm trong nước bình quân đầu người tính bằng ngoại tệ được tính bằng USD theo tỷ giá hối đoái (hiện hành) hoặc tỷ giá sức mua tương đương.
|
Tổng sản phẩm trong nước bình quân đầu người theo tỷ giá hối đoái hoặc sức mua tương đương (USD) |
= |
GDP bình quân đầu người tính bằng VND |
|
Tỷ giá hối đoái VND/USD hoặc tỷ giá sức mua tương đương bình quân năm |
Tốc độ tăng tổng sản phẩm trong nước bình quân đầu người được tính theo công thức sau:
|
Tốc độ tăng tổng sản phẩm trong nước bình quân đầu người (%) |
= |
Tổng sản phẩm trong nước bình quân đầu người năm báo cáo |
x 100 -100 |
|
Tổng sản phẩm trong nước bình quân đầu người năm trước báo cáo |
2. Phân tổ chủ yếu
- Tỉnh, thành phố trực thuộc trung ương;
- Vùng kinh tế - xã hội.
3. Kỳ công bố: Năm.
4. Nguồn số liệu
- Điều tra thống kê;
- Chế độ báo cáo thống kê;
- Dữ liệu hành chính;
- Tỷ giá của Đồng Việt Nam (VND) với Đô la Mỹ (USD) do Bộ Kế hoạch và Đầu tư (Tổng cục Thống kê) công bố căn cứ vào báo cáo của Ngân hàng Nhà nước Việt Nam; tỷ giá sức mua tương đương do Bộ Kế hoạch và Đầu tư (Tổng cục Thống kê) tính toán căn cứ vào số liệu công bố của Tổ chức Ngân hàng thế giới.
5. Cơ quan chịu trách nhiệm thu thập, tổng hợp: Bộ Kế hoạch và Đầu tư (Tổng cục Thống kê).
8.1.1.b. Tốc độ tăng tổng sản phẩm trong nước
1. Khái niệm, phương pháp tính
a) Tính tốc độ tăng tổng sản phẩm trong nước quý, 6 tháng, 9 tháng, năm
Tốc độ tăng tổng sản phẩm trong nước quý, 6 tháng, 9 tháng, năm (kỳ) là tỷ lệ phần trăm tăng lên của tổng sản phẩm trong nước (GDP) của kỳ này so với GDP của cùng kỳ năm trước.
Tốc độ tăng trưởng GDP được tính theo giá so sánh theo công thức sau:
|
Tốc độ tăng trưởng GDP (%) |
= |
GDPn1 |
x 100 -100 |
|
GDPn0 |
Trong đó:
GDPn1 : Là GDP theo giá so sánh của quý, 6 tháng, 9 tháng hoặc năm báo cáo;
GDPn0: Là GDP theo giá so sánh của quý, 6 tháng, 9 tháng hoặc năm trước năm báo cáo.
b) Tính tốc độ tăng trưởng GDP bình quân theo thời kỳ (nhiều năm)
Công thức tính:

Trong đó:
GY: Tốc độ tăng GDP bình quân năm theo thời kỳ; từ năm sau năm gốc so sánh đến năm thứ n;
GDPn: GDP theo giá so sánh năm cuối (năm thứ n) của thời kỳ nghiên cứu;
GDP0: GDP theo giá so sánh năm gốc so sánh của thời kỳ nghiên cứu;
n: Số năm tính từ năm sau năm gốc so sánh cho đến năm báo cáo.
2. Phân tố chủ yếu
- Ngành kinh tế;
- Loại hình kinh tế;
- Mục đích sử dụng;
- Tỉnh, thành phố trực thuộc trung ương;
- Vùng kinh tế - xã hội.
3. Kỳ công bố: Năm.
4. Nguồn số liệu
- Điều tra thống kê;
- Chế độ báo cáo thống kê;
- Dữ liệu hành chính.
5. Cơ quan chịu trách nhiệm thu thập, tổng hợp: Bộ Kế hoạch và Đầu tư (Tổng cục Thống kê).
8.2.1. Tốc độ tăng năng suất lao động
1. Khái niệm, phương pháp tính
Năng suất lao động là chỉ tiêu phản ánh hiệu suất làm việc của lao động, thường đo bằng tổng sản phẩm trong nước tính bình quân một lao động trong thời kỳ tham chiếu.
Công thức tính:
|
Năng suất lao động (VND/lao động) |
= |
Tổng sản phẩm trong nước |
|
Tổng số người có việc làm bình quân |
Tốc độ tăng năng suất lao động được tính theo công thức sau:
|
Tốc độ tăng năng suất lao động (%) |
= |
Năng suất lao động năm báo cáo |
x 100 -100 |
|
Năng suất lao động năm trước năm báo cáo |
2. Phân tố chủ yếu
- Ngành (hoặc khu vực) kinh tế;
- Loại hình kinh tế.
3. Kỳ công bố: Năm.
4. Nguồn số liệu
- Điều tra thống kê;
- Chế độ báo cáo thống kê;
- Dữ liệu hành chính.
5. Cơ quan chịu trách nhiệm thu thập, tổng hợp: Bộ Kế hoạch và Đầu tư (Tổng cục Thống kê).
8.3.1. Tỷ lệ lao động có việc làm phi chính thức
1. Khái niệm, phương pháp tính
Lao động có việc làm phi chính thức là những người có việc làm thuộc một trong năm nhóm sau: (i) Lao động gia đình không được hưởng lương, hưởng công; (ii) Người chủ của cơ sở, lao động tự làm trong khu vực phi chính thức; (iii) Người làm công hưởng lương không được ký hợp đồng lao động hoặc được ký hợp đồng lao động nhưng không được cơ sở tuyển dụng đóng bảo hiểm xã hội theo hình thức bắt buộc; (iv) Xã viên hợp tác xã không đóng bảo hiểm xã hội bắt buộc; (v) Lao động tự làm hoặc lao động làm công hưởng lương trong các hộ gia đình hoặc hộ nông, lâm nghiệp và thủy sản.
Lao động trong khu vực hộ nông, lâm nghiệp và thủy sản.
Tỷ lệ lao động có việc làm phi chính thức là tỷ lệ phần trăm giữa số người có việc làm phi chính thức so với tổng số lao động có việc làm.
Công thức tính:
|
Tỷ lệ lao động có việc làm phi chính thức (%) |
= |
Số lao động có việc làm phi chính thức |
x 100 |
|
Số lao động có việc làm |
2. Phân tổ chủ yếu
- Giới tính;
- Nhóm tuổi;
- Trình độ chuyên môn kỹ thuật;
- Ngành kinh tế;
- Khu vực kinh tế;
- Loại hình kinh tế;
- Nghề nghiệp;
- Thành thị/nông thôn;
- Tỉnh, thành phố trực thuộc trung ương;
- Vùng kinh tế - xã hội.
3. Kỳ công bố: Năm.
4. Nguồn số liệu: Điều tra lao động và việc làm.
5. Cơ quan chịu trách nhiệm thu thập, tổng hợp: Bộ Kế hoạch và Đầu tư (Tổng cục Thống kê).
8.5.1. Thu nhập bình quân một lao động có việc làm
1. Khái niệm, phương pháp tính
Thu nhập của lao động có việc làm bao gồm những khoản thu nhập sau:
- Thu nhập từ tiền công, tiền lương và các khoản thu nhập khác có tính chất như lương, gồm: Tiền làm thêm, tiền thưởng, tiền phụ cấp,... của những người lao động làm công hưởng lương trong nền kinh tế. Các khoản thu nhập này có thể bằng tiền hoặc hiện vật.
- Thu nhập từ các hoạt động sản xuất kinh doanh, gồm: Thu lợi từ các hoạt động sản xuất nông nghiệp để bán sản phẩm, lợi nhuận từ việc kinh doanh hàng hóa, dịch vụ,... không bao gồm những khoản thu nhập từ lãi suất cho vay hay lợi tức được trả mà không liên quan đến công việc đang làm.
Thu nhập bình quân một lao động có việc làm là tổng thu nhập của tất cả lao động có việc làm so với tổng số lao động có việc làm.
Công thức tính:
|
Thu nhập bình quân một lao động có việc làm |
= |
Tổng thu nhập của tất cả lao động có việc làm |
|
Tổng số lao động có việc làm |
2. Phân tổ chủ yếu
- Giới tính;
- Nghề nghiệp;
- Ngành kinh tế;
- Thành thị/nông thôn;
- Vùng kinh tế - xã hội;
- Tỉnh, thành phố trực thuộc trung ương.
3. Kỳ công bố: Năm.
4. Nguồn số liệu: Điều tra lao động và việc làm.
5. Cơ quan chịu trách nhiệm thu thập, tổng hợp: Bộ Kế hoạch và Đầu tư (Tổng cục Thống kê).
8.5.2. Tỷ lệ thất nghiệp
1. Khái niệm, phương pháp tính
Người thất nghiệp là người từ đủ 15 tuổi trở lên mà trong thời kỳ tham chiếu có đầy đủ cả 03 yếu tố: Hiện không làm việc, đang tìm kiếm việc làm và sẵn sàng làm việc.
- Người thất nghiệp còn là những người hiện không có việc làm và sẵn sàng làm việc nhưng trong thời kỳ tham chiếu không đi tìm việc do đã chắc chắn có một công việc hoặc một hoạt động sản xuất kinh doanh để bắt đầu sau thời kỳ tham chiếu.
Tỷ lệ thất nghiệp là tỷ lệ phần trăm giữa số người thất nghiệp so với lực lượng lao động.
Công thức tính:
|
Tỷ lệ thất nghiệp (%) |
= |
Số người thất nghiệp |
x 100 |
|
Lực lượng lao động |
2. Phân tổ chủ yếu
- Giới tính;
- Nhóm tuổi;
- Thành thị/nông thôn;
- Trình độ chuyên môn kỹ thuật;
- Tỉnh, thành phố trực thuộc trung ương;
- Vùng kinh tế - xã hội.
3. Kỳ công bố: Năm.
4. Nguồn số liệu: Điều tra lao động và việc làm.
5. Cơ quan chịu trách nhiệm thu thập, tổng hợp: Bộ Kế hoạch và Đầu tư (Tổng cục Thống kê).
8.6.1. Tỷ lệ người từ 15-24 tuổi không có việc làm và không tham gia học tập hoặc đào tạo
1. Khái niệm, phương pháp tính
Tỷ lệ người từ 15-24 tuổi không có việc làm và không tham gia học tập hoặc đào tạo là phần trăm người từ 15-24 tuổi hiện không có việc làm và không tham gia học tập hoặc đào tạo trong tổng số người từ 15-24 tuổi.
Công thức tính:
|
Tỷ lệ người từ 15-24 tuổi không có việc làm và không tham gia học tập hoặc đào tạo (%) |
= |
Tổng số người từ 15-24 tuổi – Số người từ 15-24 tuổi có việc làm – Số người từ 15-24 tuổi hiện không làm việc nhưng được đào tạo, học tập |
x 100 |
|
Tổng số người từ 15-24 tuổi |
Hoặc
|
Tỷ lệ người từ 15-24 tuổi không có việc làm và không tham gia học tập hoặc đào tạo (%) |
= |
(Số người từ 15-24 tuổi thất nghiệp + Số người từ 15-24 tuổi ngoài lực lượng lao động) – (Số người từ 15-24 tuổi thất nghiệp hiện đang đi học hoặc đào tạo + Số người từ 15-24 tuổi ngoài lực lượng lao động đang đi học hoặc đào tạo |
x 100 |
|
Tổng số người từ 15-24 tuổi |
2. Phân tổ chủ yếu
- Giới tính;
- Thành thị/nông thôn;
- Tỉnh, thành phố trực thuộc trung ương.
3. Kỳ công bố: Năm.
4. Nguồn số liệu: Điều tra lao động và việc làm.
5. Cơ quan chịu trách nhiệm thu thập, tổng hợp: Bộ Kế hoạch và Đầu tư (Tổng cục Thống kê).
8.7.1. Tỷ lệ người từ 05 - 17 tuổi tham gia lao động
1. Khái niệm, phương pháp tính
Người từ 05 - 17 tuổi tham gia lao động là những người từ đủ 05 đến 17 tuổi trong thời gian tham chiếu có làm việc từ 01 giờ trở lên để tạo ra các sản phẩm hàng hóa hoặc cung cấp các dịch vụ nhằm mục đích được nhận tiền công, tiền lương hoặc để thu lợi nhuận hoặc để phụ giúp thành viên trong gia đình nhận tiền công, tiền lương; ngoại trừ các công việc nội trợ của hộ gia đình và/hoặc công việc vặt ở nhà trường hoặc các công việc nông nghiệp tự sản, tự tiêu.
Tỷ lệ người từ 05 - 17 tuổi tham gia lao động là tỷ lệ phần trăm giữa số người từ 05-17 tuổi tham gia lao động so với tổng dân số từ 05 - 17 tuổi.
Công thức tính:
|
Tỷ lệ người từ 05 – 17 tuổi tham gia lao động (%) |
= |
Số người từ 05 – 17 tuổi tham gia lao động |
x 100 |
|
Tổng dân số từ 05 – 17 tuổi |
2. Phân tổ chủ yếu
- Giới tính;
- Nhóm tuổi (05 - 15 tuổi; 16 - 17 tuổi);
- Ngành kinh tế;
- Nghề nghiệp;
- Thành thị/nông thôn;
- Tỉnh, thành phố trực thuộc trung ương.
- Vùng kinh tế - xã hội.
3. Kỳ công bố: 5 năm.
4. Nguồn số liệu: Điều tra lao động và việc làm.
5. Cơ quan chịu trách nhiệm thu thập, tổng hợp
- Chủ trì: Bộ Kế hoạch và Đầu tư (Tổng cục Thống kê);
- Phối hợp: Bộ Lao động - Thương binh và Xã hội.
8.8.1. Số người bị tai nạn lao động
1. Khái niệm, phương pháp tính
Tai nạn lao động là tai nạn gây tổn thương cho bất kỳ bộ phận, chức năng nào của cơ thể hoặc gây tử vong cho người lao động, xảy ra trong quá trình lao động, gắn liền với việc thực hiện công việc, nhiệm vụ lao động, kể cả trong thời gian nghỉ giải lao, ăn giữa ca, ăn bồi dưỡng hiện vật, vệ sinh kinh nguyệt, tắm rửa, cho con bú, đi vệ sinh, chuẩn bị và kết thúc công việc tại nơi làm việc.
Tai nạn lao động được phân loại như sau:
- Tai nạn lao động chết người;
- Tai nạn lao động nặng (bị thương nặng);
- Tai nạn lao động nhẹ (bị thương nhẹ).
Người bị tai nạn lao động là người bị thương hoặc bị chết trong các vụ tai nạn lao động. Tai nạn lao động chết người là tai nạn mà người bị nạn chết ngay tại nơi xảy ra tai nạn hoặc chết trên đường đi cấp cứu; chết trong thời gian cấp cứu; chết trong thời gian đang điều trị; chết do tái phát của chính vết thương do tai nạn lao động gây ra (theo kết luận tại biên bản khám nghiệm pháp y).
2. Phân tổ chủ yếu
- Giới tính;
- Dạng chấn thương;
- Số người chết;
- Nhóm ngành kinh tế;
- Tỉnh, thành phố trực thuộc trung ương.
3. Kỳ công bố: Năm.
4. Nguồn số liệu: Chế độ báo cáo thống kê ngành Lao động – Thương binh và Xã hội.
Báo cáo thống kê của các Sở Lao động - Thương binh và Xã hội các tỉnh, thành phố trực thuộc trung ương theo Nghị định số 39/2016/NĐ-CP ngày 15/5/2016 của Chính phủ quy định chi tiết một số Điều của Luật An toàn, vệ sinh lao động.
5. Cơ quan chịu trách nhiệm thu thập, tổng hợp: Bộ Lao động - Thương binh và Xã hội.
8.9.1. Tỷ lệ đóng góp của hoạt động du lịch trong tổng sản phẩm trong nước
1. Khái niệm, phương pháp tính
Tỷ lệ đóng góp của hoạt động du lịch trong GDP được tính bằng giá trị tăng thêm của hoạt động du lịch so với GDP theo giá hiện hành. Trong đó giá trị tăng thêm của hoạt động du lịch được tạo ra bởi tất cả các ngành để đáp ứng tiêu dùng du lịch của khách du lịch nội địa và khách du lịch quốc tế trên lãnh thổ việt Nam trong khoảng thời gian đi du lịch.
Khách du lịch hội địa là công dân Việt Nam, người nước ngoài thường trú tại Việt Nam đi du lịch trong phạm vi lãnh thổ Việt Nam.
Khách du lịch quốc tế đến Việt Nam là công dân không phải là người thường trú tại Việt Nam - đất nước mà họ cư trú thường xuyên trong khoảng thời gian ít hơn 1 năm liên tục và mục đích của chuyến đi không phải là để thực hiện các hoạt động kiếm tiền.
Phân ngành kinh tế của hoạt động du lịch bao gồm lưu trú, ăn uống, vận tải, ngành bán lẻ, dịch vụ khác (y tế, vui chơi giải trí, bảo hiểm,..).
Phân tổ tỷ lệ đóng góp của hoạt động du lịch xanh trong GDP được tính tương tự như tỷ lệ đóng góp của hoạt động du lịch trong GDP. Từ số liệu giá trị tăng thêm của hoạt động du lịch phân theo ngành dịch vụ lữ hành, lưu trú, ăn uống, vận tải, thương mại và các ngành dịch vụ khác, kết hợp với các chỉ tiêu như tỷ lệ các cơ sở dán nhãn xanh và tỷ lệ phương tiện sử dụng điện hoặc năng lượng xanh được các cơ quan chức năng thực hiện và báo cáo sẽ tính toán được phân tổ tỷ lệ giá trị tăng thêm xanh của hoạt động du lịch.
Công thức tính:
|
Tỷ lệ đóng góp của hoạt động du lịch trong GDP năm (n) |
= |
Giá trị tăng thêm (VA) của hoạt động du lịch năm (n) |
x 100 |
|
GDP theo giá hiện hành năm (n) |
2. Kỳ công bố: 2 năm.
3. Nguồn số liệu
- Điều tra thống kê (Điều tra chi tiêu của khách du lịch, Điều tra chi tiêu của hộ gia đình trong đó có chi tiêu cho hoạt động du lịch, điều tra doanh nghiệp, cơ sở cá thể kinh doanh dịch vụ lữ hành hàng năm, vụ lữ hành);
- Báo cáo thống kê (Số lượng khách du lịch nội địa, số lượng khách du lịch quốc tế hàng năm, tỷ lệ số lượng điểm tham quan, mua sắm, điểm dừng chân, nhà hàng phục vụ khách du lịch được dán nhãn xanh, tỷ lệ cơ sở lưu trú được dán nhãn bông sen xanh), tỷ lệ phương điện sử dụng điện hoặc năng lượng xanh,., phục vụ cho việc tính toán các chỉ tiêu liên quan đến hoạt động du lịch do các cơ quan có thẩm quyền ban hành, dán nhãn và thực hiện báo cáo thống kê;
- Nguồn khác: Hệ số chi phí trung gian, bảng cân đối liên ngành cập nhật mới nhất.
5. Cơ quan chịu trách nhiệm thu thập, tổng hợp
- Chủ trì: Bộ Kế hoạch và Đầu tư (Tổng cục Thống kê);
- Phối hợp: Bộ Văn hóa, Thể thao và Du lịch.
8.10.1. Số chi nhánh ngân hàng thương mại và số máy ATM trên 100.000 dân từ 15 tuổi trở lên
1. Khái niệm, phương pháp tính
Chi nhánh ngân hàng thương mại là đơn vị phụ thuộc ngân hàng thương mại, hạch toán phụ thuộc, có con dấu, có nhiệm vụ thực hiện một hoặc một số chức năng của ngân hàng thương mại theo phân cấp của ngân hàng thương mại và phù hợp với quy định của pháp luật.
ATM là thiết bị giao dịch tự động mà khách hàng có thể sử dụng để gửi, nạp, rút tiền mặt, chuyển khoản, thanh toán tiền hàng hóa dịch vụ, vấn tin tài khoản, thực hiện các giao dịch khác theo quy định của pháp luật.
Công thức tính:
|
Số chi nhánh ngân hàng thương mại trên 100.000 dân từ 15 tuổi trở lên |
= |
Số chi nhánh ngân hàng thương mại |
x 100.000 |
|
Dân số từ 15 tuổi trở lên |
|
Số máy ATM trên 100.000 dân từ 15 tuổi trở lên |
= |
Số máy ATM |
x 100.000 |
|
Dân số từ 15 tuổi trở lên |
2. Phân tổ chủ yếu: Tỉnh, thành phố trực thuộc trung ương.
3. Kỳ công bố: Năm.
4. Nguồn số liệu
- Số chi nhánh ngân hàng thương mại và số máy ATM: Dữ liệu hành chính;
- Dân số từ 15 tuổi trở lên: Điều tra thống kê.
5. Cơ quan chịu trách nhiệm thu thập, tổng hợp
- Chủ trì: Ngân hàng Nhà nước Việt Nam: Cung cấp số liệu số chi nhánh ngân hàng thương mại và số máy ATM;
- Phối hợp: Bộ Kế hoạch và Đầu tư (Tổng cục Thống kê): Cung cấp số liệu dân số từ 15 tuổi trở lên.
8.10.2. Tỷ lệ người từ 15 tuổi trở lên có tài khoản giao dịch tại ngân hàng hoặc các tổ chức được phép khác
1. Khái niệm, phương pháp tính
Tỷ lệ người từ 15 tuổi trở lên có tài khoản giao dịch tại ngân hàng hoặc các tổ chức được phép khác là tỷ lệ phần trăm giữa số người từ 15 tuổi trở lên có tài khoản giao dịch đang còn hoạt động tại ngân hàng hoặc các tổ chức được phép khác so với dân số từ 15 tuổi trở lên.
Công thức tính:
|
Tỷ lệ người từ 15 tuổi trở lên có tài khoản giao dịch tại ngân hàng hoặc các tổ chức được phép khác (%) |
= |
Số người từ 15 tuổi trở lên có tài khoản giao dịch tại ngân hàng hoặc các tổ chức được phép khác |
x 100 |
|
Dân số từ 15 tuổi trở lên |
- Dân số từ 15 tuổi trở lên là người dân mang quốc tịch Việt Nam có độ tuổi từ 15 tuổi trở lên.
- Tài khoản bao gồm: Tài khoản thanh toán; thẻ ngân hàng do các tổ chức tín dụng, chi nhánh ngân hàng nước ngoài mở hoặc phát hành; tài khoản Mobile Money do các doanh nghiệp viễn thông được phép cung ứng.
+ Tài khoản thanh toán là tài khoản tiền gửi không kỳ hạn của khách hàng mở tại ngân hàng để sử dụng các dịch vụ thanh toán do ngân hàng cung ứng.
+ Thẻ ngân hàng là phương tiện thanh toán do tổ chức phát hành thẻ phát hành để thực hiện giao dịch thẻ theo các điều kiện và điều khoản được các bên thỏa thuận, không bao gồm các loại thẻ do các tổ chức cung ứng hàng hóa, dịch vụ phát hành chỉ để sử dụng trong việc thanh toán hàng hóa, dịch vụ của chính các tổ chức phát hành đó.
+ Tài khoản Mobile Money là tài khoản viễn thông thanh toán cho các hàng hóa, dịch vụ có giá trị nhỏ do các doanh nghiệp viễn thông được phép cung ứng cho khách hàng.
2. Phân tổ chủ yếu
- Giới tính;
- Nhóm tuổi.
3. Kỳ công bố: Năm.
4. Nguồn số liệu
- Số người từ 15 tuổi trở lên có tài khoản giao dịch tại ngân hàng hoặc các tổ chức được phép khác: Dữ liệu hành chính;
- Dân số từ 15 tuổi trở lên: Điều tra thống kê.
5. Cơ quan chịu trách nhiệm thu thập, tổng hợp
- Chủ trì: Ngân hàng Nhà nước Việt Nam: Cung cấp số liệu số người từ 15 tuổi trở lên có tài khoản giao dịch tại ngân hàng hoặc các tổ chức được phép khác;
- Phối hợp:
+ Bộ Kế hoạch và Đầu tư (Tổng cục Thống kê): Cung cấp số liệu dân số từ 15 tuổi trở lên.
+ Bộ Công an.
Mục tiêu 9: Xây dựng cơ sở hạ tầng có khả năng chống chịu cao, thúc đẩy công nghiệp hóa bao trùm và bền vững, tăng cường đổi mới
9.1.2.a. Số lượt hành khách vận chuyển và luân chuyển
1. Khái niệm, phương pháp tính
a) Số lượt hành khách vận chuyển
Số lượt hành khách vận chuyển là số hành khách được vận chuyển bởi các đơn vị chuyên vận tải và các đơn vị thuộc các ngành khác có hoạt động kinh doanh vận tải, không phân biệt độ dài quãng đường vận chuyển, số lượng hành khách vận chuyển là số hành khách thực tế đã được vận chuyển.
b) Số lượt hành khách luân chuyển
Số lượt hành khách luân chuyển là số lượt hành khách được vận chuyển tính theo chiều dài của quãng đường vận chuyển.
Công thức tính:
|
Số lượt hành khách luân chuyển |
= |
Số lượt hành khách vận chuyển |
x |
Quãng đường vận chuyển |
Trong đó:
Quãng đường vận chuyển là quãng đường tính giá vé đã được cơ quan có thẩm quyền quy định.
Đối với xe khách cho thuê theo hợp đồng vận tải chuyến thì lượt hành khách vận chuyển của mỗi hợp đồng chỉ tính 1 lần hành khách vận chuyển theo số ghế phương tiện.
2. Phân tổ chủ yếu
- Ngành vận tải (đường sắt/đường bộ/đường thuỷ/đường hàng không);
- Loại hình kinh tế;
- Trong nước/ngoài nước;
- Tỉnh, thành phố trực thuộc trung ương;
- Vùng kinh tế - xã hội.
3. Kỳ công bố: Năm.
4. Nguồn số liệu
- Tổng điều tra kinh tế;
- Điều tra doanh nghiệp;
- Điều tra cơ sở sản xuất, kinh doanh cá thể;
- Điều tra hoạt động thương mại và dịch vụ.
5. Cơ quan chịu trách nhiệm thu thập, tổng hợp: Bộ Kế hoạch và Đầu tư (Tổng cục Thống kê).
9.1.2.b. Khối lượng hàng hóa vận chuyển và luân chuyển
1. Khái niệm, phương pháp tính
a) Khối lượng hàng hoá vận chuyển
a) Khối lượng hàng hoá vận chuyển
Khối lượng hàng hoá vận chuyển là khối lượng hàng hoá đã được vận chuyển trong kỳ, không phân biệt độ dài quãng đường vận chuyển. Đơn vị tính khối lượng hàng hoá vận chuyển là tấn (T), vận tải đường ống là mét khối (m3) nhưng quy đổi ra tấn để cộng chung khi tính tổng khối lượng vận chuyển.
Khối lượng hàng hoá vận chuyển được tính theo trọng lượng thực tế của hàng hoá vận chuyển (kể cả bao bì nếu có). Khối lượng hàng hoá vận chuyển chỉ được tính sau khi kết thúc quá trình vận chuyển, đã vận chuyển đến nơi giao nhận theo quy định trong hợp đồng vận chuyển và làm xong thủ tục giao nhận. Đối với hàng hoá cồng kềnh vận chuyển bằng ô tô, trong điều kiện không thể cân đo trực tiếp được khối lượng thì quy ước tính bằng 50% trọng tải phương tiện hoặc tính theo thỏa thuận giữa chủ phương tiện và chủ hàng để tính khối lượng hàng hoá thực tế.
b) Khối lượng hàng hóa luân chuyển
Khối lượng hàng hóa luân chuyển là khối lượng hàng hóa được vận chuyển tính theo chiều dài của quãng đường vận chuyển.
Công thức tính:
|
Khối lượng hàng hóa luân chuyển (T.Km) |
= |
Khối lượng hàng hóa vận chuyển (T) |
x |
Quãng đường đã vận chuyển (Km) |
2. Phân tổ chủ yếu
- Ngành vận tải (đường sắt/đường bộ/đường thuỷ/đường hàng không);
- Loại hình kinh tế;
- Trong nước/ngoài nước;
- Tỉnh, thành phố trực thuộc trung ương;
- Vùng kinh tế - xã hội.
3. Kỳ công bố: Năm.
4. Nguồn số liệu
- Tổng điều tra kinh tế;
- Điều tra doanh nghiệp;
- Điều tra cơ sở sản xuất, kinh doanh cá thể;
- Điều tra hoạt động thương mại và dịch vụ.
5. Cơ quan chịu trách nhiệm thu thập, tổng hợp: Bộ Kế hoạch và Đầu tư (Tổng cục Thống kê).
9.2.1.a. Tỷ trọng giá trị tăng thêm ngành công nghiệp chế biến, chế tạo trong tổng sản phẩm trong nước
1. Khái niệm, phương pháp tính
Tỷ trọng giá trị tăng thêm ngành công nghiệp chế biến, chế tạo trong tổng sản phẩm trong nước (GDP) là tỷ lệ phần trăm của giá trị tăng thêm được tạo ra của ngành công nghiệp chế biến, chế tạo so với GDP trong một thời kỳ nhất định.
Công thức tính:
|
Tỷ trọng giá trị tăng thêm ngành công nghiệp chế biến, chế tạo trong GDP |
= |
Giá trị tăng thêm ngành công nghiệp chế biến, chế tạo |
x 100 |
|
Tổng sản phẩm trong nước |
Trong đó:
|
Giá trị tăng thêm ngành công nghiệp chế biến, chế tạo |
= |
Giá trị sản xuất ngành công nghiệp chế biến, chế tạo |
- |
Chi phí trung gian ngành công nghiệp chế biến, chế tạo |
2. Phân tổ chủ yếu
- Loại hình kinh tế;
- Tỉnh, thành phố trực thuộc trung ương.
3. Kỳ công bố: Năm.
4. Nguồn số liệu
- Tổng điều tra kinh tế;
- Điều tra doanh nghiệp;
- Điều tra cơ sở sản xuất kinh doanh cá thể;
- Kết quả các cuộc điều tra thống kê trong Chương trình điều tra thống kê quốc gia.
5. Cơ quan chịu trách nhiệm thu thập, tổng hợp: Bộ Kế hoạch và Đầu tư (Tổng cục Thống kê).
9.2.1.b. Giá trị tăng thêm ngành công nghiệp chế biến, chế tạo bình quân đầu người theo sức mua tương đương
1. Khái niệm, phương pháp tính
Giá trị tăng thêm ngành công nghiệp chế biến, chế tạo bình quân đầu người theo sức mua tương đương (PPP) được tính bằng giá trị tăng thêm của ngành công nghiệp chế biến, chế tạo trong năm theo sức mua tương đương chia cho dân số trung bình trong năm tương ứng.
Công thức tính:

Trong đó:
VAcbctbq: Giá trị tăng thêm ngành công nghiệp chế biến, chế tạo bình quân đầu người theo sức mua tương đương;
VAcbcttd: Giá trị tăng thêm ngành chế biến, chế tạo theo sức mua tương đương.
VAcbcttd = VAcbcthh x Ttd
VAcbcthh: Giá trị tăng thêm ngành chế biến, chế tạo tính theo giá hiện hành;
Ttd: Tỷ giá sức mua tương đương của Việt Nam so với tỷ giá bình quân toàn cầu;
Ptb: Dân số trung bình trong năm.
2. Kỳ công bố: Năm.
3. Nguồn số liệu
- Tổng điều tra kinh tế;
- Điều tra doanh nghiệp;
- Điều tra cơ sở sản xuất kinh doanh cá thể;
- Kết quả các cuộc điều tra thống kê trong Chương trình điều tra thống kê quốc gia.
4. Cơ quan chịu trách nhiệm thu thập, tổng hợp: Bộ Kế hoạch và Đầu tư (Tổng cục Thống kê).
9.2.2. Tỷ trọng lao động có việc làm trong ngành công nghiệp chế biến, chế tạo
1. Khái niệm, phương pháp tính
Tỷ trọng lao động có việc làm trong ngành công nghiệp chế biến, chế tạo là tỷ lệ phần trăm giữa số lao động có việc làm trong ngành công nghiệp chế biến, chế tạo so với tổng số lao động có việc làm.
Công thức tính:
|
Tỷ trọng lao động có việc làm trong ngành công nghiệp chế biến, chế tạo |
= |
Số lao động có việc làm trong ngành công nghiệp chế biến, chế tạo |
x 100 |
|
Tổng số lao động có việc làm |
2. Phân tổ chủ yếu: Giới tính.
3. Kỳ công bố: Năm.
4. Nguồn số liệu: Điều tra lao động và việc làm.
5. Cơ quan chịu trách nhiệm thu thập, tổng hợp: Bộ Kế hoạch và Đầu tư (Tổng cục Thống kế).
9.3.2. Số lượng doanh nghiệp nhỏ và vừa đang có dư nợ tại các tổ chức tín dụng
1. Khái niệm phương pháp tính
Doanh nghiệp nhỏ và vừa được phân theo quy mô, bao gồm doanh nghiệp siêu nhỏ, doanh nghiệp nhỏ và doanh nghiệp vừa.
a) Doanh nghiệp siêu nhỏ
Doanh nghiệp siêu nhỏ trong lĩnh vực nông nghiệp, lâm nghiệp, thủy sản và lĩnh vực công nghiệp, xây dựng có số lao động tham gia bảo hiểm xã hội bình quân năm không quá 10 người và tổng doanh thu của năm không quá 3 tỷ đồng hoặc tổng nguồn vốn không quá 3 tỷ đồng.
Doanh nghiệp siêu nhỏ trong lĩnh vực thương mại, dịch vụ có số lao động tham gia bảo hiểm xã hội bình quân năm không quá 10 người và tổng doanh thu của năm không quá 10 tỷ đồng hoặc tổng nguồn vốn không quá 3 tỷ đồng.
b) Doanh nghiệp nhỏ
Doanh nghiệp nhỏ trong lĩnh vực nông nghiệp, lâm nghiệp, thủy sản và lĩnh vực công nghiệp, xây dựng có số lao động tham gia bảo hiểm xã hội bình quân năm không quá 100 người và tổng doanh thu của năm không quá 50 tỷ đồng hoặc tổng nguồn vốn không quá 20 tỷ đồng nhưng không phải là doanh nghiệp siêu nhỏ.
Doanh nghiệp nhỏ trong lĩnh vực thương mại, dịch vụ có số lao động tham gia bảo hiểm xã hội bình quân năm không quá 50 người và tổng doanh thu của năm không quá 100 tỷ đồng hoặc tổng nguồn vốn không quá 50 tỷ đồng nhưng không phải là doanh nghiệp siêu nhỏ.
c) Doanh nghiệp vừa
Doanh nghiệp vừa trong lĩnh vực nông nghiệp, lâm nghiệp, thủy sản và lĩnh vực công nghiệp, xây dựng có số lao động tham gia bảo hiểm xã hội bình quân năm không quá 200 người và tổng doanh thu của năm không quá 200 tỷ đồng hoặc tổng nguồn vốn không quá 100 tỷ đồng nhưng không phải là doanh nghiệp nhỏ, doanh nghiệp siêu nhỏ.
Doanh nghiệp vừa trong lĩnh vực thương mại, dịch vụ có số lao động tham gia bảo hiểm xã hội bình quân năm không quá 100 người và tổng doanh thu của năm không quá 300 tỷ đồng hoặc tổng nguồn vốn không quá 100 tỷ đồng nhưng không phải là doanh nghiệp siêu nhỏ, doanh nghiệp nhỏ.
2. Kỳ công bố: Năm.
3. Nguồn số liệu: Dữ liệu hành chính.
4. Cơ quan chịu trách nhiệm thu thập, tổng hợp: Ngân hàng Nhà nước Việt Nam.
9.5.1. Chi cho nghiên cứu khoa học và phát triển công nghệ so với tổng sản phẩm trong nước (GDP)
1. Khái niệm, phương pháp tính
Chi cho nghiên cứu khoa học và phát triển công nghệ là các khoản chi gồm chi đầu tư phát triển, chi cho nhiệm vụ nghiên cứu khoa học và phát triển công nghệ và chi khác. Nguồn cấp kinh phí được chia thành 3 loại nguồn:
(1) Ngân sách nhà nước (gồm cả các nguồn có tính chất ngân sách nhà nước), được chia thành ngân sách trung ương và ngân sách địa phương. Ngân sách trung ương gồm kinh phí cân đối từ Bộ Khoa học và Công nghệ và từ các bộ, ngành. Ngân sách địa phương là nguồn được cân đối từ ngân sách tỉnh, thành phố trực thuộc trung ương;
(2) Ngoài ngân sách nhà nước gồm từ các doanh nghiệp và từ cơ sở giáo dục đại học, cao đẳng;
(3) Nguồn từ nước ngoài.
Tỷ lệ chi cho nghiên cứu khoa học và phát triển công nghệ so với tổng sản phẩm trong nước được tính theo công thức sau:
|
Tỷ lệ chi cho nghiên cứu khoa học và phát triển công nghệ so với tổng sản phẩm trong nước (%) |
= |
Chi cho nghiên cứu khoa học và phát triển công nghệ |
x 100 |
|
Tổng sản phẩm trong nước |
2. Phân tổ chủ yếu: Nguồn cấp kinh phí.
3. Kỳ công bố: 2 năm.
4. Nguồn số liệu
- Chi cho nghiên cứu khoa học và phát triển công nghệ: Điều tra nghiên cứu khoa học và phát triển công nghệ;
- Tổng sản phẩm trong nước: Điều tra thống kê; Chế độ báo cáo thống kê; Dữ liệu hành chính.
5. Cơ quan chịu trách nhiệm thu thập, tổng hợp
- Chủ trì: Bộ Khoa học và Công nghệ;
- Phối hợp: Bộ Kế hoạch và Đầu tư (Tổng cục Thống kê).
9.5.2. Số người hoạt động nghiên cứu khoa học và phát triển công nghệ trên 1.000.000 dân
1. Khái niệm, phương pháp tính
Người nghiên cứu khoa học và phát triển công nghệ là người có trình độ từ cao đẳng trở lên trực tiếp tham gia và dành tối thiểu 10% thời gian vào hoạt động nghiên cứu khoa học và phát triển công nghệ thuộc các khu vực hoạt động sau:
- Tổ chức nghiên cứu khoa học, tổ chức nghiên cứu khoa học và phát triển công nghệ được tổ chức dưới hình thức viện hàn lâm, viện, trung tâm, phòng thí nghiệm, trạm nghiên cứu, trạm quan trắc, trạm thử nghiệm và hình thức khác;
- Cơ sở giáo dục đại học, cao đẳng được tổ chức theo quy định của Luật Giáo dục đại học, Luật Giáo dục nghề nghiệp;
- Tổ chức dịch vụ khoa học và công nghệ được tổ chức dưới hình thức trung tâm, văn phòng, phòng thử nghiệm và hình thức khác;
- Các cơ quan hành chính, đơn vị sự nghiệp khác có hoạt động NC&PT;
- Các doanh nghiệp có hoạt động NC&PT.
Phương pháp tính:
- Số cán bộ nghiên cứu tính theo đầu người là tổng số cán bộ có trình độ từ cao đẳng trở lên trực tiếp tham gia và dành tối thiểu 10% thời gian vào hoạt động nghiên cứu khoa học và phát triển công nghệ.
- Số người nghiên cứu quy đổi tương đương toàn thời gian (Full time equivalent-FTE) là số người có trình độ cao đẳng trở lên trực tiếp tham gia vào hoạt động nghiên cứu khoa học và phát triển công nghệ được quy đổi sang tương đương toàn thời gian dựa trên mức độ sử dụng thời gian dành cho nghiên cứu và phát triển trong năm thống kê. Một FTE là một người dùng toàn bộ (100%) thời gian làm việc của mình cho hoạt động nghiên cứu và phát triển trong 1 năm.
Để tính được số FTE cần xác định được hệ số sử dụng thời gian cho nghiên cứu khoa học và phát triển công nghệ của mỗi nhóm người hoạt động nghiên cứu khoa học và phát triển công nghệ.
Công thức tính:
|
Số người hoạt động nghiên cứu khoa học và phát triển công nghệ (FTE) |
= |
Số người hoạt động nghiên cứu khoa học và phát triển công nghệ khu vực tổ chức nghiên cứu khoa học và phát triển công nghệ x hệ số quy đổi |
+ |
Số người hoạt động nghiên cứu khoa học và phát triển công nghệ khu vực đại học x hệ số quy đổi |
+ |
Số người hoạt động nghiên cứu khoa học và phát triển công nghệ khu vực doanh nghiệp x hệ số quy đổi |
+ |
(Tương tự, theo khu vực hoạt động),… |
Theo kết quả nghiên cứu của Bộ Khoa học và Công nghệ (2019) cho thấy hệ số quy đổi của tổ chức nghiên cứu khoa học và phát triển công nghệ là 1; khu vực đại học là 0,31; khu vực hành chính sự nghiệp là 0,22; khu vực tổ chức dịch vụ KH&CN là 0,3; khu vực doanh nghiệp là 0,71. Hệ số quy đổi có thể được thay đổi theo từng giai đoạn.
2. Phân tổ chủ yếu
- Trình độ chuyên môn;
- Khu vực hoạt động;
- Giới tính;
- Lĩnh vực khoa học và công nghệ.
3. Kỳ công bố: 2 năm.
4. Nguồn số liệu: Điều tra nghiên cứu khoa học và phát triển công nghệ.
5. Đơn vị chịu trách nhiệm thu thập, tổng hợp: Bộ khoa học và Công nghệ.
9.c.1. Tỷ lệ dân số được phủ sóng bởi mạng di động
1. Khái niệm, phương pháp tính
Tỷ lệ dân số được phủ sóng bởi mạng di động là tỷ lệ phần trăm giữa dân số trong phạm vi được phủ sóng di động so với dân số trung bình của kỳ báo cáo.
Công thức tính:
|
Tỷ lệ dân số được phủ sóng bởi mạng di động (%) |
= |
Dân số trong phạm vi phủ sóng thông tin di động |
x 100 |
|
Dân số trung bình |
Dân số trong phạm vi phủ sóng thông tin di động là dân số trong phạm vi có tín hiệu thông tin di động tế bào (3G/4G/5G) đảm bảo tiêu chuẩn (về thông tin di động) theo quy định hiện hành.
2. Phân tổ chủ yếu
- Công nghệ (3G/4G/5G);
- Tỉnh, thành phố trực thuộc trung ương.
3. Kỳ công bố: Năm.
4. Nguồn số liệu: Chế độ báo cáo thống kê ngành Thông tin và Truyền thông.
5. Cơ quan chịu trách nhiệm thu thập, tổng hợp
- Chủ trì: Bộ Thông tin và Truyền thông;
- Phối hợp: Bộ Kế hoạch và Đầu tư (Tổng cục Thống kê).
9.c.2. Tỷ lệ hộ gia đình được phủ mạng internet băng rộng cáp quang
1. Khái niệm, phương pháp tính
Tỷ lệ hộ gia đình được phủ mạng internet băng rộng cáp quang là tỷ lệ phần trăm giữa số hộ gia đình được phủ mạng internet băng rộng cáp quang so với tổng số hộ gia đình của kỳ báo cáo.
Công thức tính:
|
Tỷ lệ hộ gia đình được phủ mạng internet băng rộng cáp quang (%) |
= |
Số hộ gia đình được phủ mạng internet băng rộng cáp quang |
x 100 |
|
Tổng số hộ |
2. Phân tổ chủ yếu: Tỉnh, thành phố trực thuộc trung ương.
3. Kỳ công bố: Năm.
4. Nguồn số liệu: Chế độ báo cáo thống kê ngành Thông tin và Truyền thông.
5. Cơ quan chịu trách nhiệm thu thập, tổng hợp
- Chủ trì: Bộ Thông tin và Truyền thông;
- Phối hợp: Bộ Kế hoạch và Đầu tư (Tổng cục Thống kê).
Mục tiêu 10: Giảm bất bình đẳng trong xã hội
10.1.1.a. Tốc độ tăng thu nhập bình quân đầu người của 40% dân số có thu nhập thấp nhất so với tốc độ tăng trưởng về thu nhập bình quân đầu người
1. Khái niệm, phương pháp tính
Tốc độ tăng thu nhập bình quân đầu người của 40% dân số có thu nhập thấp nhất so với tốc độ tăng trưởng về thu nhập bình quân đầu người được tính bằng tỷ lệ giữa (a) và (b).
(a) Tốc độ tăng thu nhập bình quân đầu người của 40% dân số có thu nhập thấp nhất là tỷ lệ giữa thu nhập bình quân đầu người của nhóm 40% dân số có thu nhập thấp năm t so với năm t-1.
(b) Tốc độ tăng trưởng về thu nhập bình quân đầu người nói chung là tỷ lệ giữa thu nhập bình quân đầu người năm t so với năm t-1.
Công thức tính:
|
Tốc độ tăng thu nhập bình quân đầu người của 40% dân số có thu nhập thấp nhất so với tốc độ tăng trưởng về thu nhập bình quân đầu người |
= |
Tốc độ tăng thu nhập bình quân đầu người của 40% dân số có thu nhập thấp nhất |
|
Tốc độ tăng trưởng về thu nhập bình quân đầu người nói chung |
2. Phân tổ chủ yếu: Thành thị/nông thôn.
3. Kỳ công bố: 2 năm.
4. Nguồn số liệu: Khảo sát mức sống dân cư Việt Nam.
5. Cơ quan chịu trách nhiệm thu thập, tổng hợp: Bộ Kế hoạch và Đầu tư (Tổng cục Thống kê).
10.1.1.b. Tốc độ tăng chi tiêu bình quân đầu người của 40% dân số có chi tiêu thấp nhất so với tốc độ tăng trưởng về chi tiêu bình quân đầu người
1. Khái niệm, phương pháp tính
Tốc độ tăng chi tiêu bình quân đầu người của 40% dân số có chi tiêu thấp nhất so với tốc độ tăng trưởng về chi tiêu bình quân đầu người được tính bằng tỷ lệ giữa (a) và (b).
(a) Tốc độ tăng chi tiêu bình quân đầu người của 40% dân số có chi tiêu thấp nhất là tỷ lệ giữa chi tiêu bình quân đầu người của nhóm 40% dân số có chi tiêu thấp năm t so với năm t-1.
(b) Tốc độ tăng trưởng về chi tiêu bình quân đầu người nói chung là tỷ lệ giữa chi tiêu bình quân đầu người năm t so với năm t-1.
Công thức tính:
|
Tốc độ tăng chi tiêu bình quân đầu người của 40% dân số có chi tiêu thấp nhất so với tốc độ tăng trưởng về chi tiêu bình quân đầu người |
= |
Tốc độ tăng chi tiêu của 40% dân số có chi tiêu thấp nhất |
|
Tốc độ tăng trưởng về chi tiêu bình quân đầu người nói chung |
2. Phân tổ chủ yếu: Thành thị/nông thôn.
3. Kỳ công bố: 2 năm.
4. Nguồn số liệu: Khảo sát mức sống dân cư Việt Nam.
5. Cơ quan chịu trách nhiệm thu thập, tổng hợp: Bộ Kế hoạch và Đầu tư (Tổng cục Thống kê).
10.2.1. Tỷ lệ người sống dưới 50% thu nhập trung vị
1. Khái niệm, phương pháp tính
Tỷ lệ người sống dưới 50% thu nhập trung vị là tỷ lệ phần trăm dân số có thu nhập bình quân đầu người thấp hơn 50% thu nhập trung vị bình quân đầu người của quốc gia so với tổng dân số.
2. Phân tổ chủ yếu
- Giới tính;
- Nhóm tuổi;
- Thành thị/nông thôn;
- Tỉnh, thành phố trực thuộc trung ương.
3. Kỳ công bố: 2 năm.
4. Nguồn số liệu: Khảo sát mức sống dân cư Việt Nam.
5. Cơ quan chịu trách nhiệm thu thập, tổng hợp: Bộ Kế hoạch và Đầu tư (Tổng cục Thống kê).
10.4.1. Tỷ trọng giá trị lao động trong tổng sản phẩm trong nước
1. Khái niệm, phương pháp tính
Tỷ trọng giá trị lao động trong tổng sản phẩm trong nước là phần trăm số chi trả cho người lao động tính trong tổng sản phẩm trong nước.
Chi trả cho người lao động là tổng số tiền thù lao bằng tiền mặt hoặc hiện vật mà người sử dụng lao động phải trả cho công việc do người lao động thực hiện trong kỳ.
Chi trả cho người lao động bao gồm:
- Tiền lương (bằng tiền hoặc hiện vật);
- Đóng góp bảo hiểm xã hội cho người lao động (chi phí của người sử dụng lao động).
Công thức tính:
|
Tỷ trọng giá trị lao động trong tổng sản phẩm trong nước (%) |
= |
Tổng chi trả cho người lao động |
x 100 |
|
Tổng sản phẩm trong nước |
2. Kỳ công bố: 5 năm.
3. Nguồn số liệu
- Điều tra thống kê;
- Chế độ báo cáo thống kê;
- Dữ liệu hành chính.
4. Cơ quan chịu trách nhiệm thu thập, tổng hợp: Bộ Kế hoạch và Đầu tư (Tổng cục Thống kê).
10.4.2. Hệ số bất bình đẳng trong phân phối thu nhập (hệ số Gini)
1. Khái niệm, phương pháp tính
Hệ số Gini (G) được tính dựa vào đường cong Lorenz. Đường cong Lorenz được tạo bởi 2 yếu tố: Tỷ lệ thu nhập của dân cư cộng dồn và tỷ lệ dân số tương ứng cộng dồn.
Hệ số Gini là giá trị của diện tích A (được tạo bởi đường cong Lorenz và đường thẳng 45° từ gốc tọa độ) chia cho diện tích A+B (là diện tích tam giác vuông nằm dưới đường thẳng 45° từ gốc tọa độ).
Công thức tính:

Trong đó:
G: Hệ số Gini;
Fi: Tỷ lệ dân số cộng dồn đến người thứ i;
Yi: Tỷ lệ thu nhập cộng dồn đến người thứ i.
Khi đường cong Lorenz trùng với đường thẳng 45° (đường bình đẳng tuyệt đối) thì hệ số Gini bằng 0 (vì A=0), xã hội có sự phân phối thu nhập bình đẳng tuyệt đối, mọi người dân có thu nhập như nhau. Khi đường cong Lorenz trùng với trục hoành, hệ số Gini bằng 1 (vì B=0), xã hội có sự phân phối thu nhập bất bình đẳng tuyệt đối, một người dân hưởng toàn bộ thu nhập của cả xã hội. Hệ số Gini nhận giá trị từ 0 đến 1. Hệ số Gini càng gần 1 thì sự bất bình đẳng về thu nhập trong dân cư càng lớn.

Hệ Số Gini có giá trị chính xác nhất khi được tính dựa trên số liệu thu nhập bình quân của từng người dân. Tuy nhiên, căn cứ vào tính sẵn có và sự thuận tiện trong tính toán cũng có thể tính hệ số Gini dựa trên số liệu thu nhập bình quân đầu người theo nhóm dân cư. Giá trị của hệ số Gini tính theo nhóm dân cư thấp hơn giá trị của hệ số Gini tính theo từng người dân. Số nhóm dân cư càng lớn thì tính chính xác của hệ số Gini càng cao.
2. Phân tổ chủ yếu
- Thành thị/nông thôn;
- Tỉnh, thành phố trực thuộc trung ương;
- Vùng kinh tế - xã hội.
3. Kỳ công bố: Năm.
4. Nguồn số liệu: Khảo sát mức sống dân cư Việt Nam.
5. Cơ quan chịu trách nhiệm thu thập, tổng hợp: Bộ Kế hoạch và Đầu tư (Tổng cục Thống kê).
10.7.1. Tỷ lệ chi phí tuyển dụng mà lao động di cư phải trả so với thu nhập hàng tháng ở nước đến làm việc
1. Khái niệm, phương pháp tính
Tỷ lệ chi phí tuyển dụng mà lao động di cư phải trả so với thu nhập hàng tháng ở nước đến làm việc là chỉ tiêu phản ánh tỷ lệ của tổng chi phí mà người lao động nhập cư phải trả để có việc làm ở nước ngoài tính trên thu nhập trung bình hàng tháng của người lao động từ công việc đó tại nước đến lao động.
Thời gian tham chiếu: Chi phí tuyển dụng và thu nhập được sử dụng để tính chỉ tiêu này tham chiếu đến công việc đầu tiên ở nước đến làm việc và năm làm việc đầu tiên của người lao động nhập cư ở nước đến.
Chi phí mà người lao động nhập cư phải trả để có việc làm ở nước ngoài bao gồm bất kỳ khoản phí hay chi phí nào phát sinh trong quá trình tuyển dụng để người lao động có được việc làm đầu tiên ở nước ngoài. Những khoản chi phí này tương ứng với tổng số tiền mà người lao động nhập cư và/hoặc gia đình của họ phải trả để tìm kiếm, để bảo đảm để nhận được một công việc từ người sử dụng lao động ở nước ngoài cũng như chi phí để đến được nơi làm việc cho công việc đầu tiên ở nước ngoài (vé máy bay, lệ phí visa, chi phí đi lại,.;.).
Thu nhập của người lao động nhập cư ở nước đến bao gồm các khoản thu nhập thực tế họ nhận được trong tháng gần nhất của công việc đầu tiên ở nước đến, bao gồm cả các khoản thưởng và các khoản thu nhập khác (ví dụ thu nhập làm thêm giờ) và trừ đi các khoản bị trừ như thuế, đóng bảo hiểm cũng như các khoản trừ tính theo lương để thu hồi lại bất kỳ chi phí tuyển dụng nào mà người sử dụng lao động phải trả.
Vì việc gợi nhớ đến việc làm đầu tiên ở nước ngoài có thể gây khó khăn. Do vậy khuyến nghị sẽ tập trung vào những lao động nhập cư mà công việc đầu tiên của họ ở nước ngoài xảy ra trong một giai đoạn nhất định (ví dụ bằng hoặc ít hơn 3 năm).
Công thức tính:
|
Tỷ lệ chi phí tuyển dụng mà lao động di cư phải trả so với thu nhập hàng tháng ở nước đến làm việc (%) |
= |
Tổng chi phí người lao động di cư phải trả để có việc làm ở nước ngoài |
x 100 |
|
Tổng thu nhập bình quân hàng tháng của người lao động từ công việc đó ở nước đến làm việc |
2. Phân tổ
- Giới tính;
- Nhóm tuổi;
- Trình độ chuyên môn kỹ thuật;
- Nước đến lao động chủ yếu.
3. Kỳ công bố: 5 năm.
4. Nguồn số liệu: Điều tra lao động và việc làm.
5. Cơ quan chịu trách nhiệm thu thập, tổng hợp: Bộ Kế hoạch và Đầu tư (Tổng cục Thống kê).
Mục tiêu 11: Phát triển đô thị, nông thôn bền vững, có khả năng chống chịu; đảm bảo môi trường sống và làm việc an toàn; phân bổ hợp lý dân cư và lao động theo vùng
11.1.1. Tỷ lệ dân số sống trong các nhà tạm
1. Khái niệm, phương pháp tính
Những người sống trong các nhà tạm là người sống trong các loại nhà có kết cấu cột, tường bằng các vật liệu đơn giản như gỗ tạp/tre, đất vôi/rơm, phiên/liếp/ván ép, mái tấm lợp, mái lá/rơm/rạ/giấy dầu.
Công thức tính:
|
Tỷ lệ dân số sống trong các nhà tạm (%) |
= |
Dân số sống trong các nhà tạm |
x 100 |
|
Tổng dân số |
2. Phân tổ chủ yếu
- Giới tính;
- Nhóm tuổi;
- Thành thị/nông thôn;
- Tỉnh, thành phố trực thuộc trung ương;
- Vùng kinh tế - xã hội;
- Nhóm thu nhập.
3. Kỳ công bố: 2 năm.
4. Nguồn số liệu: Khảo sát mức sống dân cư Việt Nam.
5. Cơ quan chịu trách nhiệm thu thập, tổng hợp: Bộ Kế hoạch và Đầu tư (Tổng cục Thống kê).
11.5.1. Số người chết, mất tích, bị thương do thiên tai trên 100.000 dân
1. Khái niệm, phương pháp tính
Thiên tai là hiện tượng tự nhiên bất thường có thể gây thiệt hại về người, tài sản, môi trường, điều kiện sống và các hoạt động kinh tế - xã hội, bao gồm: Bão, áp thấp nhiệt đới, lốc, sét, mưa lớn, lũ, lũ quét, ngập lụt, sạt lở đất do mưa lũ hoặc dòng chảy, sụt lún đất do mưa lũ hoặc dòng chảy, nước dâng, xâm nhập mặn, nắng nóng, hạn hán, rét hại, mưa đá, sương muối, động đất, sóng thần và các loại thiên tai khác.
Số người chết, mất tích, bị thương do thiên tai trên 100.000 dân là số người chết, mất tích, bị thương do thiên tai tính trên 100.000 dân trong năm xác định.
Công thức tính:
|
Số người chết, mất tích, bị thương do thiên tai trên 100.000 dân |
= |
Số người chết, mất tích, bị thương do thiên tai |
x 100.000 |
|
Tổng dân số |
2. Phân tổ chủ yếu
- Giới tính;
- Nhóm tuổi;
- Loại thiên tai (áp thấp nhiệt đới/bão/lũ/lũ quét/sạt lở đất/ngập lụt/hạn hán/nắng nóng/rét hại);
- Tỉnh, thành phố trực thuộc trung ương.
3. Kỳ công bố: Năm.
4. Nguồn số liệu: Chế độ báo cáo thống kê ngành nông nghiệp và phát triển nông thôn.
5. Cơ quan chịu trách nhiệm thu thập, tổng hợp:
- Chủ trì: Bộ Nông nghiệp và Phát triển nông thôn;
- Phối hợp: Bộ Kế hoạch và Đầu tư (Tổng cục Thống kê).
11.5.2. Tổng giá trị thiệt hại do thiên tai gây ra
1. Khái niệm, phương pháp tính
Tổng giá trị thiệt hại do thiên tai gây ra được tính là tổng thiệt hại về vật chất bao gồm: Nhà ở, kết cấu hạ tầng và các cơ sở vật chất liên quan; mùa màng, tàu thuyền, lồng bè nuôi trồng thủy sản, hải sản và các dạng vật chất khác.
2. Phân tổ chủ yếu
- Nhóm loại hình thiên tai;
- Tỉnh, thành phố trực thuộc trung ương;
- Vùng kinh tế - xã hội.
3. Kỳ công bố: Năm.
4. Nguồn số liệu: Chế độ báo cáo thống kê ngành Nông nghiệp và Phát triển nông thôn.
5. Cơ quan chịu trách nhiệm thu thập, tổng hợp: Bộ Nông nghiệp và Phát triển nông thôn.
11.6.1. Tỷ lệ chất thải rắn sinh hoạt đô thị được thu gom, xử lý
1. Khái niệm, phương pháp tính
Tỷ lệ chất thải rắn sinh hoạt đô thị được thu gom, xử lý là tỷ lệ phần trăm giữa khối lượng chất thải rắn sinh hoạt đô thị được thu gom, xử lý so với tổng khối lượng chất thải rắn sinh hoạt đô thị phát sinh.
- Khối lượng chất thải rắn sinh hoạt được thu gom, xử lý là khối lượng chất thải rắn sinh hoạt được thu gom, vận chuyển bởi các công ty dịch vụ công ích, doanh nghiệp tư nhân, tổ, đội thu gom chất thải rắn sinh hoạt,... và đưa đến các cơ sở xử lý chất thải rắn hoặc bãi chôn lấp.
Công thức tính:
|
Tỷ lệ chất thải rắn sinh hoạt đô thị được thu gom, xử lý (%) |
= |
Khối lượng chất thải rắn sinh hoạt đô thị được thu gom, xử lý (tấn) |
x |
100 |
|
Tổng khối lượng chất thải rắn sinh hoạt đô thị phát sinh (tấn) |
2. Phân tổ chủ yếu
- Tỉnh, thành phố trực thuộc trung ương;
- Vùng kinh tế - xã hội.
3. Kỳ công bố: Năm.
4. Nguồn số liệu: Điều tra các chỉ tiêu về bảo vệ môi trường.
5. Cơ quan chịu trách nhiệm thu thập, tổng hợp: Bộ Tài nguyên và Môi trường.
11.8.1. Tỷ lệ xã được công nhận đạt tiêu chuẩn nông thôn mới
1. Khái niệm, phương pháp tính
Xã đạt tiêu chuẩn nông thôn mới là xã đạt các tiêu chí nông thôn mới và được công nhận bằng văn bản của Ban chỉ đạo Chương trình mục tiêu quốc gia về xây dựng nông thôn mới của tỉnh, thành phố trực thuộc trung ương.
Công thức tính:
|
Tỷ lệ xã được công nhận đạt tiêu chuẩn nông thôn mới (%) |
= |
Số xã được công nhận đạt tiêu chuẩn |
x |
100 |
|
Tổng số xã thực hiện Chương trình mục |
2. Phân tổ chủ yếu: Tỉnh, thành phố trực thuộc trung ương.
3. Kỳ công bố: Năm.
4. Nguồn số liệu: Chế độ báo cáo thống kê.
5. Cơ quan chịu trách nhiệm thu thập, tổng hợp: Bộ Nông nghiệp và Phát triển nông thôn.
11.8.2. Tỷ lệ chất thải rắn sinh hoạt nông thôn được thu gom, xử lý
1. Khái niệm, phương pháp tính
- Tỷ lệ chất thải rắn sinh hoạt nông thôn được thu gom, xử lý là tỷ lệ phần trăm giữa khối lượng chất thải rắn sinh hoạt nông thôn được thu gom, xử lý so với tổng khối lượng chất thải rắn sinh hoạt nông thôn phát sinh.
- Khối lượng chất thải rắn sinh hoạt được thu gom, xử lý là khối lượng chất thải rắn sinh hoạt được thu gom, vận chuyển bởi các công ty dịch vụ công ích, doanh nghiệp tư nhân, tổ, đội thu gom chất thải rắn sinh hoạt,... và đưa đến các cơ sở xử lý chất thải rắn hoặc bãi chôn lấp.
Công thức tính:
|
Tỷ lệ chất thải rắn sinh hoạt nông thôn được thu gom, xử lý (%) |
= |
Khối lượng chất thải rắn sinh hoạt nông thôn được thu gom, xử lý (tấn) |
x |
100 |
|
Tổng khối lượng chất thải rắn sinh |
2. Phân tổ chủ yếu
- Tỉnh, thành phố trực thuộc trung ương;
- Vùng kinh tế - xã hội.
3. Kỳ công bố: Năm.
4. Nguồn số liệu
- Điều tra các chỉ tiêu về bảo vệ môi trường;
- Chế độ báo cáo thống kê ngành tài nguyên và môi trường.
5. Cơ quan chịu trách nhiệm thu thập, tổng hợp: Bộ Tài nguyên và Môi trường.
Mục tiêu 12: Đảm bảo mô hình sản xuất và tiêu dùng bền vững
12.4.2. Tỷ lệ chất thải nguy hại được thu gom, xử lý
1. Khái niệm, phương pháp tính
Chất thải là vật chất ở thể rắn, lỏng, khí hoặc ở dạng khác được thải ra từ hoạt động sản xuất, kinh doanh, dịch vụ, sinh hoạt hoặc hoạt động khác.
Chất thải nguy hại là chất thải chứa yếu tố độc hại, phóng xạ, lây nhiễm, dễ cháy, dễ nổ, gây ăn mòn, gây ngộ độc hoặc có đặc tính nguy hại khác.
Tỷ lệ chất thải nguy hại được thu gom, xử lý là tỷ lệ phần trăm giữa khối lượng chất thải nguy hại được thu gom, xử lý (kể cả tái chế, đồng xử lý, thu hồi năng lượng từ chất thải nguy hại) so với tổng khối lượng chất thải nguy hại phát sinh.
Tỷ lệ này càng cao phản ánh mức độ bảo vệ môi trường càng tốt và ngược lại.
Công thức tính:
|
Tỷ lệ chất thải nguy hại |
= |
Khối lượng chất thải nguy hại được |
x |
100 |
|
Tổng khối lượng chất thải nguy hại |
2. Phân tổ chủ yếu
- Thu gom/xử lý;
- Tỉnh, thành phố trực thuộc trung ương;
- Vùng kinh tế - xã hội.
3. Kỳ công bố: Năm.
4. Nguồn số liệu: Điều tra các chỉ tiêu về bảo vệ môi trường.
5. Cơ quan chịu trách nhiệm thu thập, tổng hợp
- Chủ trì: Bộ Tài nguyên và Môi trường;
- Phối hợp: Bộ Công Thương; Bộ Y tế.
12.4.3. Tỷ lệ khu vực ô nhiễm môi trường đất được xử lý, cải tạo và phục hồi theo quy định
1. Khái niệm, phương pháp tính
Tỷ lệ khu vực ô nhiễm môi trường đất được xử lý, cải tạo và phục hồi là tỷ lệ phần trăm tổng số khu vực đất bị ô nhiễm được hoàn thành việc xử lý, cải tạo trên tổng số khu vực đất bị ô nhiễm được phát hiện tính đến kỳ báo cáo.
Công thức tính:
|
Tỷ lệ số khu vực ô nhiễm môi trường đất được xử lý, cải tạo và phục hồi theo quy định (%) |
= |
Tổng số khu vực đất bị ô nhiễm được |
x |
100 |
|
Tổng số khu vực đất bị ô nhiễm được |
Trong đó:
Khu vực đất bị ô nhiễm là khu vực được phát hiện có một hoặc nhiều chất gây ô nhiễm tồn lưu vượt quá quy chuẩn kỹ thuật môi trường, ảnh hưởng xấu đến con người, môi trường và hệ sinh thái.
Khu vực đất bị ô nhiễm được tính trong chỉ số này bao gồm: khu vực đất canh tác bị ô nhiễm do hóa chất, hóa chất bảo vệ thực vật; khu vực bị nhiễm chất độc hóa học do chiến tranh; khu vực khai thác khoáng sản độc hại đã kết thúc hoạt động, khu vực đất thuộc khu sản xuất, kinh doanh, dịch vụ tập trung, cụm công nghiệp, cơ sở sản xuất, kho chứa hóa chất, kho chứa thuốc bảo vệ thực vật được xác định bị ô nhiễm tồn lưu; làng nghề, khu vực bãi chôn lấp không hợp vệ sinh đã dừng hoạt động hoặc đóng cửa.
2. Phân tổ chủ yếu
- Loại khu vực đất bị ô nhiễm;
- Tỉnh, thành phố trực thuộc trung ương.
3. Kỳ công bố: Năm.
4. Nguồn số liệu
- Chế độ báo cáo thống kê ngành tài nguyên và môi trường;
- Điều tra các chỉ tiêu về bảo vệ môi trường.
5. Cơ quan chịu trách nhiệm thu thập, tổng hợp: Bộ Tài nguyên và Môi trường.
Mục tiêu 13. Ứng phó kịp thời, hiệu quả với biến đổi khí hậu và thiên tai
13.1.1. Số người chết, mất tích, bị thương do thiên tai trên 100.000 dân
1. Khái niệm; phương pháp tính
Thiên tai là hiện tượng tự nhiên bất thường có thể gây thiệt hại về người, tài sản, môi trường, điều kiện sống và các hoạt động kinh tế - xã hội, bao gồm: Bão, áp thấp nhiệt đới, lốc, sét, mưa lớn, lũ, lũ quét, ngập lụt, sạt lở đất do mưa lũ hoặc dòng chảy, sụt lún đất do mưa lũ hoặc dòng chảy, nước dâng, xâm nhập mặn, nắng nóng, hạn hán, rét hại, mưa đá, sương muối, động đất, sóng thần và các loại thiên tai khác.
Số người chết, mất tích, bị thương do thiên tai trên 100.000 dân là: Số người chết, mất tích, bị thương do thiên tai tính trên 100.000 dân trong năm xác định;
Công thức tính:
|
Số người chết, mất tích, bị thương do thiên tai trên 100.000 dân |
= |
Số người chết, mất tích, bị thương do thiên tai |
x |
100.000 |
|
Tổng dân số |
2. Phân tổ chủ yếu
- Giới tính;
- Nhóm tuổi;
- Loại thiên tai (áp thấp nhiệt đới/bão/lũ/lũ quét/sạt lở đất/ngập lụt/hạn hán/nắng nóng/rét hại);
- Tỉnh, thành phố trực thuộc trung ương.
3. Kỳ công bố: Năm.
4. Nguồn số liệu: Chế độ báo cáo thống kê ngành nông nghiệp và phát triển nông thôn.
5. Cơ quan chịu trách nhiệm thu thập, tổng hợp:
- Chủ trì: Bộ Nông nghiệp và Phát triển nông thôn;
- Phối hợp: Bộ Kế hoạch và Đầu tư (Tổng cục Thống kê).
13.2.2. Lượng phát thải khí nhà kính bình quân đầu người
1. Khái niệm, phương pháp tính
Khí nhà kính là loại khí trong khí quyển gây hiệu ứng nhà kính. Hiệu ứng nhà kính là hiện tượng năng lượng bức xạ của Mặt trời được hấp thụ trong khí quyển, chuyển hóa thành nhiệt lượng gây hiện tượng nóng lên toàn cầu. Theo Công ước khung của Liên hợp quốc về biến đổi khí hậu, Các khí nhà kính chủ yếu gồm: CO2, CH4, N2O, HFCs, PFCs, SF6, NF3.
Lượng phát thải khí nhà kính trong năm được quy đổi ra lượng khí CO2 tương đương, được thu thập số liệu trên phạm vi cả nước.
Công thức tính:
|
Lượng phát thải khí nhà kính bình quân đầu người (tấn CO2 tương đương/người) |
= |
Tổng lượng phát thải khí nhà kính |
|
Tổng dân số |
2. Phân tổ chủ yếu
- Loại khí thải;
- Nguồn phát thải.
3. Kỳ công bố: 2 năm.
4. Nguồn số liệu
- Chế độ báo cáo thống kê cấp quốc gia;
- Chế độ báo cáo thống kê ngành tài nguyên và môi trường.
5. Cơ quan chịu trách nhiệm thu thập, tổng hợp
- Chủ trì: Bộ Tài nguyên và Môi trường;
- Phối hợp: Bộ Kế hoạch và Đầu tư, Bộ Nông nghiệp và Phát triển nông thôn, Bộ Xây dựng, Bộ Công Thương, Bộ Giao thông Vận tải, Ủy ban nhân dân các tỉnh, thành phố trực thuộc trung ương.
13.3.1.a. Tỷ lệ cơ sở phát thải khí nhà kính xây dựng và thực hiện kế hoạch giảm phát thải khí nhà kính
1. Khái niệm, phương pháp tính
Cơ sở phát thải khí nhà kính phải thực hiện kiểm kê khí nhà kính là cơ sở có mức phát thải khí nhà kính hằng năm từ 3.000 tấn CO2 tương đương trở lên hoặc thuộc một trong các trường hợp sau:
- Nhà máy nhiệt điện, cơ sở sản xuất công nghiệp có tổng lượng tiêu thụ năng lượng hằng năm từ 1.000 tấn dầu tương đương (TOE) trở lên;
- Công ty kinh doanh vận tải hàng hóa có tổng tiêu thụ nhiên liệu hằng năm từ 1.000 TOE trở lên;
- Tòa nhà thương mại có tổng tiêu thụ năng lượng hằng năm từ 1.000 TOE trở lên;
- Cơ sở xử lý chất thải rắn có công suất hoạt động hằng năm từ 65.000 tấn trở lên.
Danh mục các cơ sở phát thải khí nhà kính phải thực hiện kiểm kê khí nhà kính do Thủ tướng Chính phủ quy định và cập nhật định kỳ hai năm một lần.
Công thức tính:
|
Tỷ lệ cơ sở phát thải khí nhà kính xây dựng và thực hiện kế hoạch giảm phát thải khí nhà kính |
= |
Số cơ sở phát thải khí nhà kính phải thực hiện kiểm kê khí nhà kính |
x |
100 |
|
Số cơ sở phát thải khí nhà kính phải thực hiện kiểm kê khí nhà kính |
2. Kỳ công bố: 2 năm.
4. Nguồn số liệu: Dữ liệu hành chính.
5. Cơ quan chịu trách nhiệm thu thập, tổng hợp: Bộ Tài nguyên và Môi trường.
13.3.2. Tỷ lệ dân số được phổ biến kiến thức về phòng, chống thiên tai
1. Khái niệm; phương pháp tính
Tỷ lệ dân số được phổ biến kiến thức về phòng, chống thiên tai là tỷ lệ phần trăm dân số được phổ biến kiến thức về phòng, chống thiên tai so với tổng dân số.
Công thức tính:
|
Tỷ lệ dân số được phổ biến kiến thức về phòng, chống thiên tai (%) |
= |
Dân số được phổ biến kiến thức về phòng, chống thiên tai |
x |
100 |
|
Tổng dân số |
2. Phân tổ chủ yếu
- Giới tính;
- Thành thị/nông thôn;
- Tỉnh, thành phố trực thuộc trung ương.
3. Kỳ công bố: 5 năm.
4. Nguồn số liệu:
- Chế độ báo cáo thống kê ngành nông nghiệp và phát triển nông thôn;
- Điều tra thống kê.
5. Cơ quan chịu trách nhiệm thu thập, tổng hợp: Bộ Nông nghiệp và Phát triển nông thôn.
Mục tiêu 14. Bảo tồn và sử dụng bền vững đại dương, biển và nguồn lợi biển để phát triển bền vững
14.1.1.a. Tỷ lệ điểm quan trắc chất lượng nước biển ven bờ đạt yêu cầu của quy chuẩn kỹ thuật quốc gia đối với các thông số: Ô nhiễm chất hữu cơ (N-NH4+) và dầu mỡ khoáng
1. Khái niệm, phương pháp tính
Vùng biển ven bờ để quản lý chất lượng nước biển là vùng biển (bao gồm cả các khu vực đầm phá) tính từ đường bờ biển tới đường cách bờ biển 06 hải lý (khoảng 10,8 km).
Các thông số kỹ thuật đo được của các chất tồn tại trong môi trường nước biển, nếu vượt quá ngưỡng QCVN, các chất này có khả năng gây ô nhiễm môi trường nước biển, tác động xấu tới các loài sinh vật và hệ sinh thái môi trường biển.
Trong hệ thống quan trắc môi trường quốc gia, chương trình quan trắc môi trường biển (môi trường nước khu vực cửa sông, ven biển, biển xa bờ) tiến hành đánh giá chất lượng môi trường nước biển thông qua một số thông số chính như: Độ muối, DO, N-NH4+, N-NO3-, P-PO43-, CN, kim loại nặng (Pb, Cd, Hg), dầu mỡ, chlorophyll-a. Hàm lượng của các chất này trong nước biển là các thông số kỹ thuật đo được của các chất đó tồn tại trong nước biển.
Trong phạm vi chỉ tiêu này chỉ tính tỷ lệ điểm quan trắc chất lượng nước biển ven bờ đạt yêu cầu của quy chuẩn kỹ thuật quốc gia đối với các thông số: Ô nhiễm chất hữu cơ (N-NH4+) (%) và dầu mỡ khoáng (%).
N-NH4+ là một trong những thông số đặc trưng cho ô nhiễm chất dinh dưỡng trong môi trường nước biển. Nếu trong môi trường nước biển tồn tại lượng chất dinh dưỡng trên với hàm lượng cao sẽ dẫn tới các hiện tượng như thủy triều đỏ, gây thối và mùi khó chịu trong môi trường nước biển.
Dầu mỡ khoáng trong nước là lượng dầu mỡ có mặt trong môi trường nước biển do hoạt động của con người gây ra, nếu hàm lượng dầu mỡ trong nước biển vượt quá ngưỡng QCVN sẽ gây ô nhiễm môi trường biển và ảnh hưởng xấu tới các loài thủy sinh vật.
Các thông số và giá trị giới hạn được quy định tại Quy chuẩn kỹ thuật quốc gia về chất lượng nước biển (QCVN 10:2023/BTNMT) của Bộ Tài nguyên và Môi trường.
Phương pháp sử dụng để xác định hàm lượng một số chất trong nước biển là phương pháp lấy mẫu nước tại các vị trí quan trắc, sau đó đưa về phân tích kết quả tại phòng thí nghiệm.
Phương pháp lấy mẫu quan trắc chất lượng nước biển được áp dụng theo hướng dẫn của các tiêu chuẩn, quy chuẩn kỹ thuật quốc gia tương ứng.
Phương pháp phân tích xác định các thông số trong nước biển thực hiện theo hướng dẫn của các tiêu chuẩn quốc gia hoặc tiêu chuẩn phân tích tương ứng của các tổ chức quốc tế.
Số liệu được sử dụng để báo cáo thống kê đối với chỉ tiêu này là số liệu quan trắc của các thông số được tính bằng giá trị trung bình của các đợt quan trắc trong năm.
Tỷ lệ các thông số chất lượng nước biển ven bờ đạt yêu cầu của quy chuẩn kỹ thuật quốc gia là tỷ lệ các thông số nước biển ven bờ tại thời điểm lấy mẫu so với các thông số chất lượng nước biển ven bờ đạt yêu cầu của quy chuẩn kỹ thuật quốc gia.
Tùy vào các thông số chất lượng nước biển ven bờ mà tỷ lệ đánh giá chất lượng nước biển ven bờ đạt hay không đạt quy chuẩn kỹ thuật quốc gia.
2. Kỳ công bố: Năm
3. Nguồn số liệu: Dữ liệu hành chính.
4. Cơ quan chịu trách nhiệm thu thập, tổng hợp: Bộ Tài nguyên và Môi trường.
14.5.1. Tỷ lệ diện tích các khu bảo tồn biển, ven biển trên tổng diện tích tự nhiên vùng biển quốc gia
1. Khái niệm; phương pháp tính
Các khu bảo tồn biển nhằm bảo vệ các hệ sinh thái, các loài thủy sinh vật biển có giá trị kinh tế, khoa học; góp phần phát triển kinh tế biển, cải thiện sinh kế của cộng đồng ngư dân các địa phương ven biển.
Diện tích các khu bảo tồn biển là diện tích của phần biển, đảo, quần đảo, ven biển của các khu bảo tồn biển để bảo vệ đa dạng sinh học biển.
Tỷ lệ diện tích các khu bảo tồn biển, ven biển trên tổng diện tích tự nhiên vùng biển quốc gia là tỷ lệ phần trăm diện tích các khu bảo tồn biển, ven biển so với tổng diện tích tự nhiên vùng biển quốc gia.
Công thức tính:
|
Tỷ lệ diện tích các khu bảo tồn biển, ven biển trên tổng diện tích tự nhiên vùng biển quốc gia (%) |
= |
Diện tích các khu bảo tồn biển, ven biển trên tổng diện tích tự nhiên vùng biển quốc gia |
x |
100 |
|
Tổng diện tích tự nhiên vùng biển quốc gia |
2. Kỳ công bố: 5 năm.
3. Nguồn số liệu: Dữ liệu hành chính.
4. Cơ quan chịu trách nhiệm thu thập, tổng hợp: Bộ Nông nghiệp và Phát triển nông thôn.
Mục tiêu 15: Bảo vệ và phát triển rừng bền vững, bảo tồn đa dạng sinh học, phát triển dịch vụ hệ sinh thái, chống sa mạc hoá, ngăn chặn suy thoái và phục hồi tài nguyên đất
15.1.1. Tỷ lệ che phủ rừng
1. Khái niệm, phương pháp tính
Tỷ lệ che phủ rừng là tỷ lệ phần trăm giữa diện tích rừng so với tổng diện tích đất tự nhiên trên một phạm vi địa lý nhất định.
Công thức tính:
|
Tỷ lệ che phủ rừng |
= |
Diện tích rừng hiện có |
x |
100 |
|
Tổng diện tích đất tự nhiên |
2. Phân tổ chủ yếu
- Nguồn gốc hình thành: Rừng tự nhiên và rừng trồng;
- Tỉnh, thành phố trực thuộc trung ương;
- Vùng kinh tế - xã hội.
3. Kỳ công bố: Năm.
4. Nguồn số liệu: Điều tra kiểm kê rừng.
5. Cơ quan chịu trách nhiệm thu thập, tổng hợp: Bộ Nông nghiệp và Phát triển nông thôn.
15.1.2. Tỷ lệ diện tích các khu bảo tồn thiên nhiên trên đất liền so với diện tích lãnh thổ đất liền
1. Khái niệm, phương pháp tính
Khu bảo tồn thiên nhiên là khu vực địa lý được xác lập ranh giới và phân khu chức năng để bảo tồn đa dạng sinh học.
Diện tích các khu bảo tồn thiên nhiên gồm vườn quốc gia, khu dự trữ thiên nhiên, khu bảo tồn loài - sinh cảnh, khu bảo vệ cảnh quan,... được công nhận trên địa bàn các tỉnh, thành phố trực thuộc trung ương.
Công thức tính:
|
Tỷ lệ diện tích các khu bảo tồn thiên nhiên trên đất liền so với diện tích lãnh thổ đất liền (%) |
= |
Diện tích các khu bảo tồn thiên nhiên trên đất liền |
x |
100 |
|
Diện tích lãnh thổ đất liền |
2. Phân tổ chủ yếu: Tỉnh, thành phố trực thuộc trung ương.
3. Kỳ công bố: 5 năm.
4. Nguồn số liệu: Điều tra các chỉ tiêu về bảo vệ môi trường.
5. Cơ quan chịu trách nhiệm thu thập, tổng hợp: Bộ Tài nguyên và Môi trường.
15.2.1a. Diện tích rừng được bảo vệ
1. Khái niệm, phương pháp tính
Diện tích rừng được bảo vệ là diện tích rừng giao, khoán cho các tổ chức, cá nhân, hộ gia đình quản lý bảo vệ kết hợp với khai thác hợp lý nhằm ngăn chặn những tác nhân xâm hại đến rừng như chặt phá rừng làm nương rẫy, khai thác lâm sản và săn bắt động vật rừng trái phép.
Diện tích rừng được bảo vệ gồm diện tích rừng sản xuất, rừng phòng hộ, rừng đặc dụng đã được giao, khoán cho các chủ rừng quản lý bảo vệ tính đến thời điểm nhất định.
2. Phân tổ chủ yếu
- Theo mục đích sử dụng: rừng đặc dụng, rừng phòng hộ, rừng sản xuất.
- Theo loại hình kinh tế: kinh tế nhà nước; kinh tế ngoài nhà nước; kinh tế có vốn đầu tư trực tiếp nước ngoài.
- Tỉnh, thành phố trực thuộc trung ương;
- Vùng kinh tế - xã hội.
3. Kỳ công bố: Năm.
4. Nguồn số liệu
- Điều tra kiểm kê rừng.
- Chế độ báo cáo thống kê ngành lâm nghiệp.
5. Cơ quan chịu trách nhiệm thu thập, tổng hợp: Bộ Nông nghiệp và Phát triển nông thôn.
15.3.1. Tỷ lệ diện tích đất bị thoái hóa
1. Khái niệm, phương pháp tính
Đất bị thoái hóa là đất bị thay đổi những đặc tính và tính chất vốn có ban đầu (theo chiều hướng xấu) do sự tác động của điều kiện tự nhiên và con người.
Thoái hoá đất có khả năng xảy ra trên tất cả các loại đất: Đất sản xuất nông nghiệp, đất lâm nghiệp, đất nuôi trồng thuỷ sản, đất bằng chưa sử dụng, đất đồi núi chưa sử dụng.
Đất bị thoái hóa gồm các loại hình sau: Đất bị khô hạn, hoang mạc hóa; đất bị hoang hóa; sạt lở đất; kết von, đá ong hóa; đất bị chai cứng, chặt bí; ô nhiễm đất; xói mòn đất; đất bị ngập úng; đất bị mặn hóa; đất bị phèn hóa.
Công thức tính:
|
Tổng diện tích đất bị thoái hóa |
= |
Diện tích đất bị thoái hóa nhẹ |
+ |
Diện tích đất bị thoái hóa trung bình |
+ |
Diện tích đất bị thoái hóa nặng |
Tổng hợp phân hạng mức độ thoái hóa đất (đất bị thoái hoá nặng, thoái hoá trung bình, thoái hoá nhẹ) theo quy định kỹ thuật về điều tra thoái hóa đất của Bộ Tài nguyên và Môi trường.
|
Tỷ lệ diện tích đất bị thoái hóa (%) |
= |
Tổng diện tích đất bị thoái hóa |
x |
100 |
|
Tổng diện tích đất |
2. Phân tổ chủ yếu
- Loại hình thoái hoá;
- Loại đất (đất sản xuất nông nghiệp/đất lâm nghiệp/đất nuôi trồng thuỷ sản/đất bằng chưa sử dụng/đất đồi núi chưa sử dụng);
- Tỉnh, thành phố trực thuộc trung ương;
- Vùng kinh tế - xã hội.
3. Kỳ công bố: 5 năm.
4. Nguồn số liệu
- Chế độ báo cáo thống kê ngành tài nguyên và môi trường;
- Điều tra, đánh giá thoái hóa đất của các vùng kinh tế - xã hội; các tỉnh, thành phố trực thuộc trung ương.
5. Cơ quan chịu trách nhiệm thu thập, tổng hợp: Bộ Tài nguyên và Môi trường.
15.6.1. Tỷ lệ tỉnh, thành phố trực thuộc trung ương tham gia vào hệ thống cơ sở dữ liệu quốc gia về nguồn gen và tri thức truyền thống về nguồn gen
1. Khái niệm, phương pháp tính
Tỷ lệ tỉnh, thành phố trực thuộc trung ương tham gia vào hệ thống cơ sở dữ liệu quốc gia về nguồn gen và tri thức truyền thống về nguồn gen là tỷ lệ phần trăm số tỉnh, thành phố trực thuộc trung ương tham gia vào hệ thống cơ sở dữ liệu quốc gia về nguồn gen và tri thức truyền thống về nguồn gen trên tổng số tỉnh, thành phố trực thuộc trung ương.
Công thức tính:
|
Tỷ lệ tỉnh, thành phố trực thuộc trung ương tham gia vào hệ thống cơ sở dữ liệu quốc gia về nguồn gen và tri thức truyền thống về nguồn gen |
= |
Số tỉnh, thành phố trực thuộc trung ương tham gia vào hệ thống cơ sở dữ liệu quốc gia về nguồn gen và tri thức truyền thống về nguồn gen |
x |
100 |
|
Tổng số tỉnh, thành phố trực thuộc trung ương |
2. Kỳ công bố: Năm.
3. Nguồn số liệu: Dữ liệu hành chính.
4. Cơ quan chịu trách nhiệm thu thập, tổng hợp: Bộ Tài nguyên và Môi trường.
15.6.2. Số lượng hồ sơ tiếp cận nguồn gen và chia sẻ lợi ích
1. Khái niệm, phương pháp tính
Nguồn gen bao gồm các loài sinh vật, các mẫu vật di truyền trong khu bảo tồn, cơ sở bảo tồn đa dạng sinh học, cơ sở nghiên cứu khoa học và phát triển công nghệ và trong tự nhiên. Trong đố, mẫu vật di truyền là mẫu vật thực vật, động vật, vi sinh vật và nấm mang các đơn vị chức năng di truyền còn khả năng tái sinh.
Tiếp cận nguồn gen là hoạt động điều tra, thu thập nguồn gen để nghiên cứu phát triển, sản xuất sản phẩm thương mại.
Hợp đồng tiếp cận nguồn gen và chia sẻ lợi ích là hợp đồng thỏa thuận giữa Bên cung cấp và Bên tiếp cận về các điều khoản và điều kiện để thực hiện hoạt động tiếp cận nguồn gen cho các mục đích sử dụng và chia sẻ lợi ích từ việc sử dụng nguồn gen.
2. Kỳ công bố: Năm.
3. Nguồn số liệu: Dữ liệu hành chính.
4. Cơ quan chịu trách nhiệm thu thập, tổng hợp: Bộ Tài nguyên và Môi trường.
Mục tiêu 16: Thúc đẩy xã hội hoà bình, công bằng, bình đẳng vì phát triển bền vững, tạo khả năng tiếp cận công lý cho tất cả mọi người; xây dựng các thể chế hiệu quả, có trách nhiệm giải trình và có sự tham gia ở các cấp
16.1.1. Số nạn nhân của tội cố ý giết người trên 100.000 dân
1. Khái niệm, phương pháp tính
Cố ý giết người là hành vi mà người phạm tội nhận thức rõ ràng về tính chất nguy hiểm cho xã hội và mong muốn gây ra hậu quả chết người.
Công thức tính:
|
Số nạn nhân của tội cố ý giết người trên 100.000 dân (%) |
= |
Số nạn nhân của tội cố ý giết người |
x |
100.000 |
|
Tổng dân số |
2. Phân tổ chủ yếu
- Giới tính;
- Thành thị/nông thôn.
3. Kỳ công bố: Năm.
4. Nguồn số liệu: Dữ liệu hành chính.
5. Cơ quan chịu trách nhiệm thu thập, tổng hợp
- Chủ trì: Bộ Công an;
- Phối hợp: Bộ Kế hoạch và Đầu tư (Tổng cục Thống kê).
16.1.3. Tỷ lệ dân số bị bạo lực
1. Khái niệm, phương pháp tính
Tỷ lệ dân số bị bạo lực là tỷ lệ phần trăm số người bị bạo lực so với tổng dân số.
Dân số bị bạo lực bao gồm: Bạo lực thể chất, bạo lực tình dục, bạo lực tinh thần.
- Bạo lực thể chất là các hành vi nhằm mục đích làm tổn hại về thể chất đối với nạn nhân. Bạo lực thể chất bao gồm các hành vi tấn công bằng vũ lực, hành vi gây thương tích hoặc có nguy cơ gây thương tích về thể chất như đẩy, kéo tóc, tát, đá, cắn hoặc dùng vũ khí để tấn công,...
- Bạo lực tình dục là hành vi tình dục ngoài mong muốn hoặc cố gắng đạt được hành vi tình dục ngoài mong muốn của nạn nhân, không được sự đồng ý của nạn nhân hoặc sử dụng vũ lực đe dọa, lạm dụng quyền lực/vị trí ép buộc nạn nhân phải đồng ý;...
- Bạo lực tinh thần là hành vi, lời nói có tính chất đe dọa, xúc phạm, kiểm soát bất hợp pháp, đập phá đồ đạc hay bất kì hành vi nào gây tổn hại về mặt tinh thần đối với nạn nhân.
Công thức tính:
|
Tỷ lệ dân số bị bạo lực (%) |
= |
Số người bị bạo lực |
x |
100 |
|
Tổng dân số |
2. Phân tổ chủ yếu
- Giới tính;
- Nhóm tuổi;
- Loại bạo lực (thể chất/tình dục/tinh thần);
- Thành thị/nông thôn.
3. Kỳ công bố: 10 năm.
4. Nguồn số liệu: Khảo sát sức khỏe dân cư và kinh nghiệm cuộc sống.
5. Cơ quan chịu trách nhiệm thu thập, tổng hợp: Bộ Kế hoạch và Đầu tư (Tổng cục Thống kê).
16.1.4. Tỷ lệ dân số cảm thấy an toàn khi đi bộ một mình quanh khu vực sống sau khi trời tối
1. Khái niệm, phương pháp tính
Tỷ lệ dân số cảm thấy an toàn khi đi bộ một mình quanh khu vực sống sau khi trời tối là tỷ lệ phần trăm số người cảm thấy an toàn khi đi bộ một mình quanh khu vực sống sau khi trời tối so với tổng dân số.
Công thức tính:
|
Tỷ lệ dân số cảm thấy an toàn khi đi bộ một mình quanh khu vực sống sau khi trời tối (%) |
= |
Số người cảm thấy an toàn khi đi bộ một mình quanh khu vực sống sau khi trời tối |
x |
100 |
|
Tổng dân số |
2. Phân tổ chủ yếu
- Giới tính;
- Thành thị/nông thôn.
3. Kỳ công bố: 10 năm.
4. Nguồn số liệu: Khảo sát sức khỏe dân cư và kinh nghiệm cuộc sống.
5. Cơ quan chịu trách nhiệm thu thập, tổng hợp: Bộ Kế hoạch và Đầu tư (Tổng cục Thống kê).
16.2.1. Tỷ lệ người dưới 18 tuổi đã từng bị người chăm sóc, nuôi dưỡng xử phạt về thể chất hoặc bị xử phạt về tinh thần trong tháng qua
1. Khái niệm, phương pháp tính
Hình phạt về thể chất là hành động gây ra sự đau đớn, khó chịu về thể chất nhưng chưa đến mức gây ra thương tích.
Xử phạt về tinh thần là hành động quát, mắng,... có tính xỉ nhục, xúc phạm đến trẻ em.
Tỷ lệ người dưới 18 tuổi đã từng bị người chăm sóc, nuôi dưỡng xử phạt về thể chất hoặc bị xử phạt về tinh thần trong tháng qua là tỷ lệ phần trăm số người dưới 18 tuổi đã từng trải qua bất kỳ hành vi xử phạt thể chất hoặc xử phạt tinh thần do người chăm sóc trong tháng vừa qua so với tổng số người dưới 18 tuổi được khảo sát.
Công thức tính:
|
Tỷ lệ người dưới 18 tuổi đã từng bị người chăm sóc, nuôi dưỡng xử phạt về thể chất hoặc bị xử phạt về tinh thần trong tháng qua (%) |
= |
Số người dưới 18 tuổi đã từng trải qua bất kỳ hành vi xử phạt thể chất hoặc xử phạt tinh thần do người chăm sóc trong tháng qua |
x |
100 |
|
Tổng số người dưới 18 tuổi được khảo sát |
2. Phân tổ chủ yếu
- Giới tính;
- Nhóm tuổi;
- Thành thị/nông thôn;
- Tỉnh, thành phố trực thuộc trung ương.
3. Kỳ công bố: 10 năm.
4. Nguồn số liệu: Khảo sát sức khỏe dân cư và kinh nghiệm cuộc sống.
5. Cơ quan chịu trách nhiệm thu thập, tổng hợp: Bộ Kế hoạch và Đầu tư (Tổng cục Thống kê).
16.2.2. Số nạn nhân của nạn mua bán người được phát hiện trên 100.000 dân
1. Khái niệm, phương pháp tính
Nạn nhân của nạn mua bán người là người bị xâm hại bởi hành vi mua bán người, mua bán người dưới 16 tuổi được quy định tại Điều 150 và Điều 151 Bộ Luật Hình sự.
Chỉ tiêu này được tính bằng số nạn nhân của nạn mua bán người được phát hiện tính bình quân trên 100.000 dân trong cùng kỳ.
Các nạn nhân được phát hiện là kết quả của cơ quan chức năng trong quá trình giải cứu, trao trả hoặc nạn nhân tự trở về trình báo và được cơ quan có thẩm quyền xác định là nạn nhân.
Công thức tính:
|
Số nạn nhân của nạn mua bán người được phát hiện trên 100.000 dân (%) |
= |
Số nạn nhân của nạn mua bán người được phát hiện |
x |
100.000 |
|
Tổng dân số |
2. Phân tổ chủ yếu
- Giới tính;
- Thành thị/nông thôn.
3. Kỳ công bố: Năm
4. Nguồn số liệu: Dữ liệu hành chính.
5. Cơ quan chịu trách nhiệm thu thập, tổng hợp
- Chủ trì: Bộ Công an;
- Phối hợp: Bộ Kế hoạch và Đầu tư (Tổng cục Thống kê).
16.2.3. Tỷ lệ người từ 18-29 tuổi đã từng bị bạo lực tình dục trước 18 tuổi
1. Khái niệm, phương pháp tính
Bạo lực tình dục trước 18 tuổi bao gồm bất kỳ hoạt động tình dục nào bị bắt buộc do người trưởng thành thực hiện đối với một đứa trẻ, mà đứa trẻ này có quyền được bảo vệ theo luật hình sự, gồm:
a) Việc dụ dỗ hoặc cưỡng ép một đứa trẻ tham gia vào bất kỳ hoạt động tình dục bất hợp pháp hoặc có hại về mặt tâm lý;
b) Việc sử dụng trẻ em trong khai thác tình dục với lợi ích thương mại;
c) Việc sử dụng trẻ em trong các hình ảnh âm thanh hoặc hình ảnh về lạm dụng tình dục trẻ em;
d) Mại dâm trẻ em, nô lệ tình dục, bóc lột tình dục trong du lịch, buôn bán vì mục đích bóc lột tình dục (trong và giữa các quốc gia), bán trẻ em vì mục đích tình dục và hôn nhân cưỡng bức.
Tỷ lệ người từ 18-29 tuổi đã từng bị bạo lực tình dục trước 18 tuổi là tỷ lệ phần trăm số người từ 18-29 tuổi được báo cáo bị bất kỳ hành vi bạo lực tình dục nào trước tuổi 18 trong tổng số người tuổi từ 18-29 tuổi được khảo sát.
Công thức tính:
|
Tỷ lệ người từ 18-29 tuổi đã từng bị bạo lực tình dục trước 18 tuổi (%) |
= |
Số người từ 18-29 tuổi được báo cáo bị bất kỳ hành vi bạo lực tình dục nào trước 18 tuổi |
x |
100 |
|
Tổng số người tuổi từ 18-29 tuổi được khảo sát |
2. Phân tổ chủ yếu
- Giới tính;
- Nhóm tuổi;
- Tình trạng hôn nhân;
- Trình độ học vấn;
- Tỉnh, thành phố trực thuộc trung ương.
3. Kỳ công bố: 10 năm.
4. Nguồn số liệu: Khảo sát sức khỏe dân cư và kinh nghiệm cuộc sống.
5. Cơ quan chịu trách nhiệm thu thập, tổng hợp: Bộ Kế hoạch và Đầu tư (Tổng cục Thống kê).
16.3.1. Tỷ lệ nạn nhân bị bạo lực trong 12 tháng qua đã trình báo với cơ quan có thẩm quyền hoặc cơ quan, đoàn thể có thể hỗ trợ
1. Khái niệm, phương pháp tính
Nạn nhân bị bạo lực bao gồm bạo lực thể chất, bạo lực tình dục, bạo lực tinh thần.
- Bạo lực thể chất là các hành vi nhằm mục đích làm tổn hại về thể chất đối với nạn nhân. Bạo lực thể chất bao gồm các hành vi tấn công bằng vũ lực, hành vi gây thương tích hoặc có nguy cơ gây thương tích về thể chất như đẩy, kéo tóc, tát, đá, cắn hoặc dùng vũ khí để tấn công,...
- Bạo lực tình dục là hành vi tình dục ngoài mong muốn hoặc cố gắng đạt được hành vi tình dục ngoài mong muốn của nạn nhân, không được sự đồng ý của nạn nhân hoặc sử dụng vũ lực đe dọa, lạm dụng quyền lực/vị trí ép buộc nạn nhân phải đồng ý;...
- Bạo lực tinh thần là hành vi, lời nói có tính chất đe dọa, xúc phạm, kiểm soát bất hợp pháp, đập phá đồ đạc hay bất kì hành vi nào gây tổn hại về mặt tinh thần đối với nạn nhân.
Công thức tính:
|
Tỷ lệ nạn nhân bị bạo lực trong 12 tháng qua đã trình báo với cơ quan có thẩm quyền hoặc cơ quan, đoàn thể có thể hỗ trợ (%) |
= |
Số nạn nhân bị bạo lực trong 12 tháng đã trình báo với cơ quan có thẩm quyền hoặc cơ quan, đoàn thể có thể hỗ trợ |
x |
100 |
|
Tổng số nạn nhân bị bạo lực trong 12 tháng qua |
2. Phân tổ chủ yếu
- Giới tính;
- Nhóm tuổi;
- Loại bạo lực;
- Thành thị/nông thôn.
3. Kỳ công bố: 10 năm.
4. Nguồn số liệu: Khảo sát sức khỏe dân cư và kinh nghiệm cuộc sống.
5. Cơ quan chịu trách nhiệm thu thập, tổng hợp: Bộ Kế hoạch và Đầu tư (Tổng cục Thống kê).
16.4.2. Tổng số vũ khí, vật liệu nổ và công cụ hỗ trợ trái phép bị tịch thu
1. Khái niệm phương pháp tính
Vũ khí, vật liệu nổ, công cụ hỗ trợ trái phép gồm:
a) Vũ khí là thiết bị, phương tiện hoặc tổ hợp những thiết bị, phương tiện được chế tạo, sản xuất có khả năng gây sát thương, nguy hại cho tính mạng, sức khỏe con người, phá hủy kết cấu vật chất, bao gồm: vũ khí quân dụng, vũ khí thô sơ, vũ khí thể thao, súng săn.
b) Vật liệu nổ là là sản phẩm dưới tác động của xung kích thích ban đầu gây ra phản ứng hóa học nhanh, mạnh, tỏa nhiệt, sinh khí, phát sáng, tạo ra tiếng nổ, bao gồm:
- Thuốc nổ là hóa chất hoặc hỗn hợp chất được sản xuất, sử dụng nhằm tạo ra phản ứng nổ dưới tác động của xung kích thích;
- Phụ kiện nổ là kíp nổ, dây nổ, dây cháy chậm, mồi nổ, vật phẩm chứa thuốc nổ có tác dụng tạo xung kích thích ban đầu làm nổ khối thuốc nổ hoặc thiết bị chuyên dùng có chứa thuốc nổ.
c) Công cụ hỗ trợ là là phương tiện, động vật nghiệp vụ được sử dụng để thi hành công vụ, thực hiện nhiệm vụ bảo vệ nhằm hạn chế, ngăn chặn người có hành vi vi phạm pháp luật chống trả, trốn chạy; bảo vệ người thi hành công vụ, người thực hiện nhiệm vụ bảo vệ hoặc báo hiệu khẩn cấp, bao gồm:
- Súng bắn điện, hơi ngạt, chất độc, chất gây mê, từ trường, laze, lưới; súng phóng dây mồi; súng bắn đạn nhựa, nổ, cao su, hơi cay, pháo hiệu, hiệu lệnh, đánh dấu và đạn sử dụng cho các loại súng này; phương tiện xịt hơi cay, hơi ngạt, chất độc, chất gây mê, chất gây ngứa; lựu đạn khói, lựu đạn cay, quả nổ; dùi cui điện, dùi cui cao su, dùi cui kim loại; khóa số tám, bàn chông, dây đinh gai; áo giáp; găng tay điện, găng tay bắt dao; lá chắn, mũ chống đạn; thiết bị áp chế bằng âm thanh; ghế thẩm vấn đối tượng đặc biệt thuộc danh mục do Bộ trưởng Bộ Công an ban hành;
- Động vật nghiệp vụ là động vật được huấn luyện để sử dụng cho yêu cầu bảo vệ an ninh quốc gia, bảo đảm trật tự, an toàn xã hội thuộc danh mục do Bộ trưởng Bộ Công an ban hành;
- Công cụ khác có tính năng, tác dụng tương tự như công cụ hỗ trợ quy định tại điểm a khoản này, không thuộc danh mục do Bộ trưởng Bộ Công an ban hành.
Chỉ tiêu này chỉ tính số lượng vũ khí, vật liệu nổ và công cụ hỗ trợ trái phép bị tịch thu để đánh giá mức độ an toàn trong dân cư, gây nguy hiểm cho an ninh xã hội.
2. Kỳ công bố: Năm.
3. Nguồn số liệu: Dữ liệu hành chính.
4. Cơ quan chịu trách nhiệm thu thập, tổng hợp
- Chủ trì: Bộ Công an;
- Phối hợp: Bộ Quốc phòng.
16.5.1. Tỷ lệ người phải trả chi phí không chính thức khi sử dụng dịch vụ công
1. Khái niệm, phương pháp tính
Dịch vụ công là những hoạt động phục vụ các lợi ích chung, thiết yếu, các quyền và nghĩa vụ cơ bản của tổ chức và công dân do Nhà nước trực tiếp thực hiện hoặc chuyển giao cho các cơ sở ngoài Nhà nước thực hiện nhằm mục tiêu hiệu quả và công bằng. Dịch vụ công là những hoạt động của cơ quan nhà nước trong việc thực thi chức năng quản lý hành chính nhà nước và bảo đảm cung ứng các hàng hóa công cộng phục vụ nhu cầu chung, thiết yếu của xã hội. Việc tiến hành hoạt động ấy có thể do nhà nước hoặc tư nhân đảm nhiệm.
Tỷ lệ người phải trả chi phí không chính thức khi sử dụng dịch vụ công là tỷ lệ phần trăm số người được xác định trả chi phí không chính thức khi sử dụng dịch vụ cộng trong tổng số người sử dụng dịch vụ công được khảo sát.
Công thức tính:
|
Tỷ lệ người phải trả chi phí không chính thức khi sử dụng dịch vụ công (%) |
= |
Số người được xác định phải trả chi phí không chính thức khi sử dụng dịch vụ công |
x |
100 |
|
Tổng số người sử dụng dịch vụ công được khảo sát |
2. Phân tổ chủ yếu
- Nhóm tuổi;
- Giới tính;
- Loại hình chính thức;
- Thành thị/nông thôn;
- Tỉnh, thành phố trực thuộc trung ương.
3. Kỳ công bố: Năm.
4. Nguồn số liệu: Điều tra thống kê (Khảo sát đo lường sự hài lòng của người dân đối với sự phục vụ của cơ quan hành chính nhà nước).
5. Cơ quan chịu trách nhiệm thu thập, tổng hợp: Bộ Nội vụ.
16.5.2. Tỷ lệ doanh nghiệp phải trả chi phí không chính thức khi sử dụng dịch vụ công
1. Khái niệm, phương pháp tính
Dịch vụ công là những hoạt động phục vụ các lợi ích chung, thiết yếu, các quyền và nghĩa vụ cơ bản của tổ chức và công dân do Nhà nước trực tiếp thực hiện hoặc chuyển giao cho các cơ sở ngoài Nhà nước thực hiện nhằm mục tiêu hiệu quả và công bằng. Dịch vụ công là những hoạt động của cơ quan nhà nước trong việc thực thi chức năng quản lý hành chính nhà nước và bảo đảm cung ứng các hàng hóa công cộng phục vụ nhu cầu chung, thiết yếu của xã hội. Việc tiến hành hoạt động ấy có thể do nhà nước hoặc tư nhân đảm nhiệm.
Tỷ lệ doanh nghiệp phải trả chi phí không chính thức khi sử dụng dịch vụ công là tỷ lệ phần trăm số doanh nghiệp được xác định phải trả chi phí không chính thức khi sử dụng dịch vụ công trong tổng số doanh nghiệp sử dụng dịch vụ công được khảo sát.
Công thức tính:
|
Tỷ lệ doanh nghiệp phải trả chi phí không chính thức khi sử dụng dịch vụ công (%) |
= |
Số doanh nghiệp được xác định phải trả chi phí không chính thức khi sử dụng dịch vụ công |
x |
100 |
|
Tổng số doanh nghiệp sử dụng dịch vụ công được khảo sát |
2. Phân tổ chủ yếu: Tỉnh, thành phố trực thuộc trung ương.
3. Kỳ công bố: Năm.
4. Nguồn số liệu: Điều tra thống kê.
5. Cơ quan chịu trách nhiệm thu thập, tổng hợp: Liên đoàn Thương mại và Công nghiệp Việt Nam.
16.6.1. Tỷ lệ chi ngân sách nhà nước so với dự toán chi ngân sách nhà nước đã được phê duyệt
1. Khái niệm, phương pháp tính
Tỷ lệ chi ngân sách nhà nước so với dự toán chi ngân sách nhà nước đã được phê duyệt phản ánh mức độ chênh lệch giữa tổng chi ngân sách thực tế so với dự toán NSNN được Quốc hội quyết định; được đo lường bằng tỷ lệ Quyết toán chi NSNN so với Dự toán chi NSNN đã được Quốc hội quyết định.
Công thức tính:
|
Tỷ lệ chi ngân sách Nhà nước so với dự toán đã được phê duyệt (%) |
= |
Quyết toán chi NSNN |
x |
100 |
|
Dự toán chi NSNN đã được Quốc hội quyết định |
2. Kỳ công bố: Năm.
3. Nguồn số liệu: Số liệu NSNN đã chuyển đổi theo GFS để cung cấp cho các tổ chức quốc tế và công bố công khai trên Cổng TTĐT của Bộ Tài chính.
4. Cơ quan chịu trách nhiệm thu thập, tổng hợp: Bộ Tài chính.
16.6.2. Tỷ lệ dân số hài lòng về dịch vụ công trong lần gần đây nhất
1. Khái niệm, phương pháp tính
Dịch vụ công là những hoạt động phục vụ các lợi ích chung, thiết yếu, các quyền và nghĩa vụ cơ bản của tổ chức và công dân do Nhà nước trực tiếp thực hiện hoặc chuyển giao cho các cơ sở ngoài Nhà nước thực hiện nhằm mục tiêu hiệu quả và công bằng. Dịch vụ công là những hoạt động của cơ quan nhà nước trong việc thực thi chức năng quản lý hành chính nhà nước và bảo đảm cung ứng các hàng hóa công cộng phục vụ nhu cầu chung, thiết yếu của xã hội. Việc tiến hành hoạt động ấy có thể do nhà nước hoặc tư nhân đảm nhiệm.
Dịch vụ công gồm 3 loại: Dịch vụ công trong lĩnh vực sự nghiệp; dịch vụ công trong lĩnh vực công ích và dịch vụ công trong lĩnh vực hành chính nhà nước hay còn gọi là dịch vụ hành chính công.
Dịch vụ sự nghiệp công gồm các hoạt động cung cấp phúc lợi xã hội thiết yếu cho người dân như: Giáo dục, văn hóa, khoa học, chăm sóc sức khỏe, thể dục thể thao, bảo hiểm, an sinh xã hội,...
Dịch vụ công ích là các hoạt động cung cấp hàng hóa, dịch vụ cơ bản, thiết yếu cho người dân và cộng đồng như: Vệ sinh môi trường, xử lý rác thải, cấp nước sạch, vận tải công cộng đô thị, phòng chống thiên tai,... Một số hoạt động khu vực tư nhân có thể đảm nhiệm như: Vệ sinh môi trường, cung ứng nước sạch.
Dịch, vụ hành chính công là loại dịch vụ gắn liền với chức năng quản lý nhà nước nhằm đáp ứng yêu cầu của người dân. Đây là một phần trong chức năng quản lý nhà nước. Để thực hiện chức năng này, nhà nước phải tiến hành những hoạt động phục vụ trực tiếp như cấp giấy phép, giấy chứng nhận, đăng ký, công chứng, thị thực, hộ tịch,...
Tỷ lệ dân số hài lòng về dịch vụ công trong lần gần đây nhất là tỷ lệ phần trăm dân số hài lòng về dịch vụ công trong lần gần đây nhất trong tổng số người dân được được khảo sát.
Công thức tính:
|
Tỷ lệ dân số hài lòng về dịch vụ công trong lần gần đây nhất (%) |
= |
Dân số hài lòng về dịch vụ công trong lần gần đây nhất |
x |
100 |
|
Tổng số người dân được khảo sát |
2. Phân tổ chủ yếu
- Giới tính;
- Nhóm tuổi;
- Nhóm thu nhập;
- Người khuyết tật;
- Dân tộc;
- Loại hình dịch vụ công;
- Thành thị/nông thôn;
- Tỉnh, thành phố trực thuộc trung ương.
3. Kỳ công bố: Năm.
4. Nguồn số liệu: Điều tra thống kê.
5. Cơ quan chịu trách nhiệm thu thập, tổng hợp: Bộ Nội vụ.
16.9.1. Tỷ lệ trẻ em dưới 05 tuổi đã được đăng ký khai sinh
1. Khái niệm, phương pháp tính
Trẻ em dưới 05 tuổi đã được đăng ký khai sinh là số trẻ em dưới 05 tuổi tính từ ngày sinh, được đăng ký khai sinh và cấp Giấy khai sinh theo quy định của Luật Hộ tịch.
Tỷ lệ trẻ em dưới 05 tuổi đã được đăng ký khai sinh là tỷ lệ phần trăm giữa số trẻ em dưới 05 tuổi đã được đăng ký khai sinh so với tổng số trẻ em dưới 05 tuổi trong kỳ báo cáo.
Công thức tính:
|
Tỷ lệ trẻ em dưới 05 tuổi đã được đăng ký khai sinh (%) |
= |
Số trẻ em dưới 05 tuổi đã được đăng ký khai sinh |
x |
100 |
|
Số trẻ em dưới 05 tuổi |
2. Phân tổ chủ yếu
- Giới tính;
- Dân tộc;
- Tỉnh, thành phố trực thuộc trung ương;
- Vùng kinh tế - xã hội.
3. Kỳ công bố: Năm.
Riêng phân tổ dân tộc công bố theo kỳ 5 năm.
4. Nguồn số liệu
- Tổng điều tra dân số và nhà ở;
- Điều tra dân số và nhà ở giữa kỳ;
- Điều tra biến động dân số và kế hoạch hóa gia đình;
- Cơ sở dữ liệu quốc gia về dân cư;
- Cơ sở dữ liệu về hộ tịch điện tử;
- Kho dữ liệu chuyên ngành dân số.
5. Cơ quan chịu trách nhiệm thu thập, tổng hợp
- Chủ trì: Bộ kế hoạch và Đầu tư (Tổng cục Thống kê);
- Phối hợp:
+ Bộ Công an;
+ Bộ Y tế: Cung cấp kho dữ liệu chuyên ngành dân số;
+ Bộ Tư pháp: Cung cấp cơ sở dữ liệu về hộ tịch điện tử.
Mục tiêu 17: Tăng cường phương thức thực hiện và thúc đẩy đối tác toàn cầu vì sự phát triển bền vững
17.1.1. Tỷ lệ thu ngân sách nhà nước so với tổng sản phẩm trong nước
1. Khái niệm, phương pháp tính
Chỉ tiêu này phản ánh huy động thu NSNN so với GDP. Trong đó, gồm 2 chỉ số thành phần: (i) Tỷ lệ thu NSNN và viện trợ so với GDP và (ii) Tỷ lệ thu từ thuế, phí so với GDP.
Tỷ lệ thu ngân sách nhà nước so với tổng sản phẩm trong nước là tỷ lệ phần trăm giữa thu ngân sách nhà nước so với tổng sản phẩm trong nước.
Công thức tính:
|
Tỷ lệ thu ngân sách nhà nước so với tổng sản phẩm trong nước (%) |
= |
Tổng thu ngân sách nhà nước |
x |
100 |
|
Tổng sản phẩm trong nước |
Thu ngân sách nhà nước bao gồm: Toàn bộ các khoản thu từ thuế, lệ phí; Toàn bộ các khoản phí thu từ các hoạt động dịch vụ do cơ quan nhà nước thực hiện, trường hợp được khoán chi phí hoạt động thì được khấu trừ; các khoản phí thu từ các hoạt động dịch vụ do đơn vị sự nghiệp công lập và doanh nghiệp nhà nước thực hiện nộp ngân sách nhà nước theo quy định của pháp luật; Các khoản viện trợ không hoàn lại của Chính phủ các nước, các tổ chức, cá nhân ở ngoài nước cho Chính phủ Việt Nam và chính quyền địa phương; Các khoản thu khác theo quy định của pháp luật.
Lưu ý: Các chỉ tiêu tổng thu ngân sách nhà nước và tổng sản phẩm trong nước cùng được tính theo giá hiện hành.
2. Kỳ công bố: Năm.
3. Nguồn số liệu
- Thu ngân sách nhà nước: số liệu NSNN đã chuyển đổi theo GFS để cung cấp cho các tổ chức quốc tế và công bố công khai trên cổng TTĐT của Bộ Tài chính;
- Tổng sản phẩm trong nước: Điều tra thống kê; Chế độ báo cáo thống kê; Dữ liệu hành chính.
4. Cơ quan chịu trách nhiệm thu thập, tổng hợp
- Chủ trì: Bộ Kế hoạch và Đầu tư (Tổng cục Thống kê);
- Phối hợp: Bộ Tài chính.
17.1.2. Tỷ trọng các khoản chi được bảo đảm từ nguồn thu thuế
1. Khái niệm, phương pháp tính
Chỉ tiêu này phản ánh tỷ trọng các khoản chi NSNN (chi đầu tư và chi thường xuyên) được bảo đảm từ nguồn thu từ thuế, phí (không bao gồm thu tiền sử dụng đất, thu tiền bán nhà ở thuộc sở hữu nhà nước và thu viện trợ); được đo lường bằng tỷ lệ thu từ thuế, phí so với tổng chi NSNN.
Công thức tính:
|
Tỷ trọng các khoản chi được bảo đảm từ nguồn thu thuế (%) |
= |
Thu từ thuế, phí |
x |
100 |
|
Tổng chi ngân sách nhà nước |
2. Kỳ công bố: Năm.
3. Nguồn số liệu: Số liệu Ngân sách nhà nước đã chuyển đổi theo GFS để cung cấp cho các tổ chức quốc tế và công bố công khai trên Cổng Thông tin điện tử của Bộ Tài chính.
4. Cơ quan chịu trách nhiệm thu thập, tổng hợp: Bộ Tài chính.
17.3.1.a. Vốn hỗ trợ phát triển chính thức và vốn vay ưu đãi của các nhà tài trợ nước ngoài
1. Khái niệm, phương pháp tính
a) Khái niệm
- Vốn hỗ trợ phát triển chính thức (ODA), vốn vay ưu đãi là nguồn vốn của nhà tài trợ nước ngoài cung cấp cho nhà nước hoặc Chính phủ Cộng hòa xã hội chủ nghĩa Việt Nam để hỗ trợ phát triển, bảo đảm phúc lợi và an sinh xã hội.
- Vốn đối ứng là khoản vốn đóng góp của phía Việt Nam (bằng hiện vật hoặc tiền) trong chương trình, dự án sử dụng vốn ODA, vốn vay ưu đãi nhằm chuẩn bị và thực hiện chương trình, dự án được bố trí từ nguồn ngân sách trung ương ngân sách địa phương, chủ dự án tự bố trí, vốn đóng góp của đối tượng thụ hưởng và các nguồn vốn hợp pháp khác.
- Cơ quan chủ quản: Quy định tại khoản 7 Điều 3 Nghị định số 114/2021/NĐ-CP ngày 16/12/2021 của Chính phủ về quản lý và sử dụng vốn hỗ trợ phát triển chính thức (ODA) và vốn vay ưu đãi của nhà tài trợ nước ngoài.
- Vốn ODA và vốn vay ưu đãi của các nhà tài trợ nước ngoài gồm 3 loại sau:
+ Vốn ODA không hoàn lại là khoản vốn ODA không phải hoàn trả lại cho nhà tài trợ nước ngoài, được cung cấp theo hình thức dự án độc lập hoặc kết hợp với các dự án đầu tư sử dụng vốn vay ODA, vay có ưu đãi nước ngoài.
+ Vốn vay ODA là khoản vay nước ngoài có thành tố ưu đãi đạt ít nhất 35% đối với khoản vay có điều kiện ràng buộc liên quan đến mua sắm hàng hóa và dịch vụ theo quy định của nhà tài trợ nước ngoài hoặc đạt ít nhất 25% đối với khoản vay không có điều kiện ràng buộc.
+ Vốn vay ưu đãi là khoản vay nước ngoài có điều kiện ưu đãi hơn so với vay thương mại nhưng thành tố ưu đãi chưa đạt tiêu chuẩn của vay ODA.
- Vốn ODA và vốn vay ưu đãi của các nhà tài trợ được phân loại theo các tiêu thức sau:
+ Vốn ODA và vốn vay ưu đãi của các nhà tài trợ ký kết phân theo các nhà tài trợ.
+ Vốn ODA và vốn vay ưu đãi của các nhà tài trợ ký kết phân theo các ngành, các lĩnh vực ưu tiên sử dụng ODA và vay ưu đãi của các nhà tài trợ.
+ Vốn ODA và vốn vay ưu đãi của các nhà tài trợ thực hiện phân theo các ngành, lĩnh vực ưu tiên sử dụng ODA và vay ưu đãi của các nhà tài trợ.
- Kế hoạch năm: Là kế hoạch đã được cấp có thẩm quyền phê duyệt, giao để triển khai các hoạt động của chương trình, dự án thực hiện trong năm báo cáo.
b) Phương pháp tính
|
Tổng mức đầu tư của dự án |
= |
Vốn vay |
+ |
Vay ưu đãi |
+ |
Viện trợ |
+ |
Vốn đối ứng |
|
Vốn nước ngoài |
= |
Vốn vay ODA |
+ |
Vay ưu đãi |
+ |
Viện trợ không |
- Lũy kế giải ngân vốn ODA, vay ưu đãi từ đầu dự án đến thời điểm báo cáo là tổng giải ngân vốn ODA, vay ưu đãi từ bắt đầu dự án đến thời điểm báo cáo.
- Lũy kế giải ngân vốn ODA, vay ưu đãi từ đầu năm đến thời điểm báo cáo là tổng giải ngân vốn ODA, vay ưu đãi từ đầu năm đến thời điểm báo cáo.
- Lũy kế giải ngân vốn đối ứng từ đầu dự án đến thời điểm báo cáo là tổng giải ngân vốn đối ứng bắt đầu dự án đến thời điểm báo cáo.
- Lũy kế giải ngân vốn đối ứng từ đầu năm đến thời điểm báo cáo là tổng giải ngân vốn đối ứng từ đầu năm đến thời điểm báo cáo.
- Vốn nước ngoài quy đổi sang USD: Tỷ giá hối đoái quy đổi tại thời điểm phê duyệt dự án và được ghi trong quyết định phê duyệt.
2. Phân tổ chủ yếu
- Hình thức hỗ trợ (vốn ODA không hoàn lại, vốn vay ODA, vốn vay ưu đãi);
- Ngành kinh tế;
- Tỉnh, thành phố trực thuộc trung ương.
3. Kỳ công bố: Năm.
4. Nguồn số liệu
- Chế độ báo cáo thống kê đối với các cơ quan chủ quản sử dụng vốn ODA và vốn vay ưu đãi các nhà tài trợ;
- Chế độ báo cáo thống kê ngành Kế hoạch và Đầu tư;
- Chế độ báo cáo thống kê của các Bộ, cơ quan ngang Bộ, cơ quan liên ngành như: Bộ Tài chính, Ngân hàng Nhà nước Việt Nam, Kho bạc Nhà nước Việt Nam,...
5. Cơ quan chịu trách nhiệm thu thập, tổng hợp: Bộ Kế hoạch và Đầu tư.
17.3.1.b. Vốn đầu tư nước ngoài vào Việt Nam
1. Khái niệm, phương pháp tính
Vốn đầu tư nước ngoài là toàn bộ vốn bằng tiền hoặc tài sản hợp pháp do nhà đầu tư nước ngoài đưa vào Việt Nam để tiến hành các hoạt động đầu tư theo quy định của Luật Đầu tư và các quy định khác của pháp luật có liên quan.
Vốn đầu tư đăng ký gồm:
- Vốn đầu tư đăng ký mới của những dự án đầu tư mới được cấp giấy chứng nhận đăng ký đầu tư trong kỳ.
- Vốn đầu tư điều chỉnh là vốn đầu tư bổ sung hoặc giảm đi của những dự án đã được cấp giấy chứng nhận đăng ký đầu tư từ trước đó.
- Giá trị vốn góp, mua cổ phần, mua phần vốn góp của nhà đầu tư nước ngoài vào các tổ chức kinh tế.
2. Phân tổ chủ yếu
- Ngành kinh tế;
- Nước/vùng lãnh thổ đầu tư;
- Tỉnh, thành phố trực thuộc trung ương.
3. Kỳ công bố: Năm.
4. Nguồn số liệu
- Chế độ báo cáo hoạt động đầu tư nước ngoài tại Việt Nam;
- Chế độ báo cáo thống kê ngành Kế hoạch và Đầu tư.
5. Cơ quan chịu trách nhiệm thu thập, tổng hợp: Bộ kế hoạch và Đầu tư.
17.4.1. Nghĩa vụ trả nợ nước ngoài quốc gia so với tổng kim ngạch xuất khẩu hàng hóa và dịch vụ
1. Khái niệm, phương pháp tính
Nghĩa vụ trả nợ nước ngoài quốc gia so với tổng kim ngạch xuất khẩu hàng hóa và dịch vụ là nghĩa vụ trả nợ nước ngoài của quốc gia (không bao gồm nghĩa vụ trả nợ gốc ngắn hạn dưới 12 tháng) so với tổng kim ngạch xuất khẩu hàng hóa và dịch vụ. Nợ nước ngoài quốc gia trong chỉ tiêu này đề cập đến các khoản nợ nước ngoài của Chính phủ, nợ nước ngoài được Chính phủ bảo lãnh, nợ của doanh nghiệp và tổ chức tín dụng được vay nước ngoài theo phương thức tự vay, tự trả theo quy định của pháp luật Việt Nam.
Công thức tính:
|
Nghĩa vụ trả nợ nước ngoài quốc gia so với tổng kim ngạch xuất khẩu hàng hóa và dịch vụ (%) |
= |
Nghĩa vụ trả nợ nước ngoài của quốc gia (không bao gồm nghĩa vụ trả nợ gốc ngắn hạn dưới 12 tháng) |
x |
100 |
|
Tổng kim ngạch xuất khẩu hàng hóa và dịch vụ |
2. Kỳ công bố: Năm.
3. Nguồn số liệu: Dữ liệu nợ công của Việt Nam do Bộ Tài chính quản lý thông qua việc sử dụng phần mềm DMFAS và tổng hợp báo cáo thống kê từ các cơ quan có liên quan.
4. Cơ quan chịu trách nhiệm thu thập, tổng hợp: Bộ Tài chính.
17.6.1. Số thuê bao truy nhập Internet băng rộng trên 100 dân
1. Khái niệm, phương pháp tính
Số thuê bao truy nhập Internet băng rộng gồm số thuê bao truy nhập Internet băng rộng cố định và số thuê bao truy nhập Internet băng rộng di động đang được duy trì dịch vụ tính đến thời điểm cuối kỳ báo cáo.
Công thức tính:
|
Số thuê bao truy nhập Internet băng rộng trên 100 dân (%) |
= |
Số thuê bao truy nhập Internet băng rộng |
x |
100 |
|
Tổng dân số |
2. Phân tổ chủ yếu
- Phương thức kết nối (cố định/di động);
- Tỉnh, thành phố trực thuộc trung ương;
- Vùng kinh tế - xã hội.
3. Kỳ công bố: Năm.
4. Nguồn số liệu: Chế độ báo cáo thống kê ngành Thông tin và Truyền thông.
5. Cơ quan chịu trách nhiệm thu thập, tổng hợp
- Chủ trì: Bộ Thông tin và Truyền thông;
- Phối hợp: Bộ Kế hoạch và Đầu tư (Tổng cục Thống kê).
17.8.1. Tỷ lệ người sử dụng Internet
1. Khái niệm; phương pháp tính
Tỷ lệ người sử dụng Internet là tỷ lệ phần trăm giữa số người sử dụng Internet so với tổng dân số của kỳ báo cáo.
Công thức tính:
|
Tỷ lệ người sử dụng Internet (%) |
= |
Số người sử dụng Internet |
x |
100 |
|
Tổng dân số |
Người sử dụng Internet là người truy nhập vào mạng Internet để đọc tin tức, tìm kiếm thông tin, tham gia mạng xã hội, mua sắm trực tuyến, sử dụng dịch vụ hành chính công trực tuyến,... thông qua máy tính, điện thoại di động, máy tính bảng, máy trò chơi, tivi kỹ thuật số.
Tùy theo yêu cầu quản lý của từng thời kỳ và để bảo đảm mục tiêu so sánh quốc tế, số người sử dụng Internet được quy định theo độ tuổi và tần suất sử dụng nhất định. Vì vậy, phạm vi thu thập số liệu sẽ được quy định cụ thể trong từng phương án điều tra.
2. Phân tổ chủ yếu
- Giới tính;
- Nhóm tuổi;
- Dân tộc;
- Khuyết tật (5 năm);
- Thành thị/nông thôn;
- Tỉnh, thành phố trực thuộc trung ương;
- Vùng kinh tế - xã hội.
3. Kỳ công bố: Năm.
Riêng phân tổ khuyết tật công bố theo kỳ 5 năm.
4. Nguồn số liệu
- Khảo sát mức sống dân cư Việt Nam;
- Điều tra quốc gia về người khuyết tật.
5. Cơ quan chịu trách nhiệm thu thập, tổng hợp: Bộ Kế hoạch và Đầu tư (Tổng cục Thống kê).
17.11.1. Trị giá hàng hóa xuất khẩu, nhập khẩu
1. Khái niệm, phương pháp tính
a) Khái niệm
a.1) Hàng hóa xuất khẩu gồm toàn bộ hàng hóa có xuất xứ trong nước và hàng hóa nước ngoài tái xuất khẩu, được đưa ra nước ngoài, làm giảm nguồn của cải, vật chất của đất nước. Trong đó:
- Hàng hóa có xuất xứ trong nước là hàng hoá được khai thác, sản xuất, chế biến trong nước theo các quy định về xuất xứ hàng hóa của Việt Nam;
- Hàng hóa tái xuất khẩu là hàng hóa có xuất xứ nước ngoài mà trước đó đã được nhập khẩu và được thống kê là hàng nhập khẩu, sau đó lại xuất khẩu nguyên trạng hoặc chỉ chế biến giản đơn, bảo quản, đóng gói lại, không làm thay đổi tính chất cơ bản của hàng hóa.
a.2) Hàng hóa nhập khẩu gồm toàn bộ hàng hóa có xuất xứ nước ngoài và hàng Việt Nam tái nhập khẩu, được đưa từ nước ngoài vào Việt Nam, làm tăng nguồn của cải, vật chất của đất nước.
- Hàng hoá có xuất xứ nước ngoài là hàng hóa được khai thác, sản xuất, chế biến ở nước ngoài theo các quy định về xuất xứ hàng hóa của Việt Nam;
- Hàng hóa tái nhập khẩu là hàng hóa của Việt Nam đã xuất khẩu và được thống kê vào hàng xuất khẩu trước đó, sau đó lại nhập khẩu nguyên trạng hoặc chỉ chế biến giản đơn, bảo quản, đóng gói lại, không làm thay đổi tính chất cơ bản của hàng hóa.
b) Phạm vi thống kê
b.1) Hàng hóa được tính trong thống kê xuất khẩu, nhập khẩu gồm:
(1) Hàng hóa mua/bán theo các hợp đồng thương mại thông thường ký với nước ngoài;
(2) Hàng hóa thuộc loại hình hàng đổi hàng với nước ngoài, không sử dụng các hình thức thanh toán;
(3) Hàng hóa thuộc các hợp đồng gia công, lắp ráp ký với nước ngoài, có hoặc không thay đổi quyền sở hữu, bao gồm: Thành phẩm hoàn trả sau gia công, lắp ráp; nguyên liệu/vật tư xuất khẩu, nhập khẩu để gia công, lắp ráp; hàng hóa làm mẫu phục vụ cho gia công, lắp ráp; máy móc, thiết bị trực tiếp phục vụ gia công, lắp ráp, được thoả thuận trong hợp đồng gia công, lắp ráp;
(4) Hàng hóa thuộc các giao dịch giữa doanh nghiệp mẹ với doanh nghiệp con, chi nhánh đầu tư trực tiếp ở nước ngoài, hàng hóa giao dịch giữa người mua và người bán có mối quan hệ đặc biệt;
(5) Hàng hóa tái xuất/tái nhập: Hàng hoá nước ngoài/hàng hóa trong nước đã nhập khẩu/xuất khẩu và được thống kê vào nhập khẩu/xuất khẩu trước đó, sau đó lại xuất khẩu/nhập khẩu nguyên dạng hoặc chỉ sơ chế, bảo quản, đóng gói lại, không làm thay đổi tính chất cơ bản của hàng hoá, trừ hàng hóa tạm nhập khẩu/tạm xuất khẩu phải chịu sự kiểm tra, giám sát của cơ quan Hải quan và phải tái xuất/tái nhập theo quy định của pháp luật;
(6) Hàng hoá xuất khẩu, nhập khẩu thuộc loại hình vay nợ, viện trợ Chính phủ, phi chính phủ, các tổ chức quốc tế và các hình thức viện trợ nhân đạo khác;
(7) Hàng hóa thuộc hợp đồng thuê/cho thuê tài chính (máy móc, thiết bị, phương tiện vận tải), theo đó người thuê có quyền lợi, trách nhiệm, chịu rủi ro,... liên quan đến hàng hóa. Nếu trong hợp đồng không xác định rõ các nội dung trên thì căn cứ vào thời hạn thuê là 12 tháng trở lên;
(8) Hàng hóa trả lại trong kinh doanh xuất khẩu, nhập khẩu (hàng hóa mà trước đó đã được thống kê vào hàng xuất khẩu hoặc nhập khẩu, sau đó được tái nhập hoặc tái xuất);
(9) Hàng hóa tạm nhập, tạm xuất có thời hạn để sử dụng tạm thời cho mục đích cụ thể nhưng sau đó được chuyển đổi loại hình hải quan để không thực hiện tái xuất, tái nhập. Những hàng hóa đó bao gồm: Hàng hóa hội chợ, triển lãm, giới thiệu sản phẩm; tài liệu hội nghị, hội thảo, nghiên cứu khoa học, giáo dục, thi đấu thể thao, biểu diễn văn hóa, biểu diễn nghệ thuật, khám chữa bệnh, nghiên cứu và phát triển sản phẩm; phương tiện vận tải, công ten nơ và các thiết bị liên quan đến vận tải; các động sản khác;
(10) Hàng hoá mua/bán, trao đổi quà biên giới, không có hợp đồng thương mại;
(11) Các hàng hóa đặc thù:
- Vàng phi tiền tệ: Là vàng ở các dạng bột, thanh, thỏi, miếng, xu, vàng trang sức,... dưới dạng tinh chế, thô hoặc dạng bán sơ chế do các doanh nghiệp, ngân hàng thương mại (trừ ngân hàng, tổ chức khác nhận ủy quyền thực hiện giao dịch của Ngân hàng Nhà nước Việt Nam) xuất khẩu, nhập khẩu cho mục đích kinh doanh, sản xuất, gia công, chế tác,... theo quy định của pháp luật;
- Tiền giấy, chứng khoán chưa phát hành, tiền xu không hoặc chưa đưa vào lưu thông; các bộ sưu tập tiền xu hoặc tiền giấy;
- Phương tiện lưu giữ thông tin, hình ảnh: Băng từ, đĩa từ, CD-ROM, thẻ thông minh,... đã hoặc chưa ghi âm, hình, dữ liệu, trò chơi điện tử, phần mềm,..., được sản xuất để dùng chung cho mọi khách hàng hoặc để mua/bán thông thường (trừ các loại được sản xuất theo yêu cầu riêng của khách hàng hoặc bản gốc phim ảnh, tác phẩm nghệ thuật, chương trình truyền hình, chương trình biểu diễn nghệ thuật,...);
- Hàng hóa gửi hoặc nhận qua đường bưu điện hoặc dịch vụ chuyển phát nhanh;
- Điện năng xuất khẩu, nhập khẩu;
- Hàng hóa xuất khẩu, nhập khẩu sử dụng phương thức thương mại điện tử: Việc trao đổi thông tin, đặt hàng, ký kết hợp đồng thương mại và thanh toán với nước ngoài được thực hiện qua mạng Internet nhưng hàng hóa được đưa ra khỏi/đưa vào lãnh thổ Việt Nam, thực hiện các thủ tục hải quan thông thường, được tính đến trong thống kê nếu hàng hóa thuộc phạm vi thống kê;
- Hàng hóa, nhiên liệu bán cho các phương tiện vận tải nước ngoài sử dụng trong hành trình giao thông quốc tế; hàng hóa, nhiên liệu mua để sử dụng trong hành trình giao thông quốc tế;
- Dầu thô và khoáng sản được khai thác trong khu vực thềm lục địa, vùng đặc quyền kinh tế của Việt Nam, hải phận quốc tế, vùng chồng lấn được mua, bán với nước ngoài;
- Thiết bị giàn khoan do doanh nghiệp mua/bán ngoài khơi, không thực hiện tờ khai hải quan;
- Máy bay, tàu thuyền và phương tiện vận tải khác thuộc các giao dịch không thực hiện tờ khai hải quan;
- Hàng hóa nhận được từ các tổ chức quốc tế ở nước ngoài hoặc gửi đi cho các tổ chức quốc tế (trừ hàng hóa gửi hoặc nhận giữa các tổ chức quốc tế);
- Hàng hóa là tài sản di chuyển, hàng hóa là hành lý của người xuất cảnh, nhập cảnh phải khai theo quy định;
- Chất thải và phế liệu có giá trị thương mại;
- Vệ tinh trong trường hợp có thay đổi quyền sở hữu giữa các tổ chức, cá nhân trong nước với nước ngoài.
b.2) Hàng hóa không tính trong thống kê gồm:
(1) Hàng hóa xuất khẩu, nhập khẩu tại chỗ: Hàng hóa do thương nhân Việt Nam ký hợp đồng mua/bán với thương nhân nước ngoài nhưng được giao/nhận tại Việt Nam theo chỉ định của thương nhân nước ngoài.
(2) Hàng hóa do thương nhân Việt Nam mua của nước ngoài và bán thẳng cho nước thứ ba, hàng hóa không về Việt Nam hoặc có về Việt Nam nhưng không làm thủ tục xuất khẩu, nhập khẩu thông thường tại Hải quan Việt Nam.
(3) Hàng hóa mua/bán tại các cửa hàng miễn thuế (Duty Free Shop).
(4) Hàng hóa tạm nhập, tạm xuất có thời hạn sau đó được tái xuất, tái nhập như: Hàng tham dự triển lãm, hội chợ, giới thiệu sản phẩm; tài liệu hội nghị, hội thảo, nghiên cứu khoa học, giáo dục, thi đấu thể thao, biểu diễn văn hóa, biểu diễn nghệ thuật, khám chữa bệnh, nghiên cứu và phát triển sản phẩm; phương tiện vận tải, công ten nơ và các thiết bị liên quan đến vận tải.
(5) Hàng hoá chỉ đơn thuần đi qua lãnh thổ Việt Nam với mục đích chuyển tải, quá cảnh.
(6) Các loại hàng hóa đặc thù gồm:
- Hàng hoá thuộc hợp đồng cho thuê hoặc đi thuê hoạt động (máy bay, tàu thuyền, máy móc thiết bị): Không có sự chuyển quyền sở hữu đối với hàng hóa sau thời gian thuê/cho thuê;
- Hàng hoá của Chính phủ Việt Nam gửi hoặc nhận với cơ quan đại diện ngoại giao, cơ quan đại diện lãnh sự, cơ quan đại diện tại tổ chức quốc tế của Việt Nam ở nước ngoài;
- Hàng hóa gửi và nhận của các cơ quan đại diện ngoại giao, cơ quan đại diện lãnh sự của nước ngoài, cơ quan đại diện của các tổ chức quốc tế đặt tại Việt Nam;
- Vàng tiền tệ: Vàng thuộc giao dịch của Ngân hàng Nhà nước Việt Nam hoặc các tổ chức được Ngân hàng Nhà nước Việt Nam ủy quyền xuất khẩu, nhập khẩu cho mục đích dự trữ, cân đối tiền tệ theo qui định của pháp luật;
- Tiền xu đang lưu hành, tiền giấy, tiền séc và chứng khoán đã phát hành trong khâu lưu thông;
- Hàng hóa với chức năng là phương tiện rỗng dùng để chứa hàng hóa: Công-ten-nơ, các thùng, chai, lọ và các loại khác theo phương thức quay vòng chỉ nhằm mục đích vận chuyển hàng hóa;
- Các sản phẩm, nội dung truyền nhận theo phương thức điện tử (phần mềm, các sản phẩm âm thanh, hình ảnh, phim, sách điện tử và loại khác);
- Phương tiện lưu giữ thông tin, hình ảnh, chứa phần mềm được sản xuất theo yêu cầu hoặc đơn đặt hàng riêng; bản gốc phim ảnh, tác phẩm nghệ thuật, chương trình truyền hình, chương trình biểu diễn nghệ thuật,...
- Hàng hóa đưa ra hoặc đưa vào lãnh thổ Việt Nam bất hợp pháp;
- Hàng hóa đưa vào hoặc đưa ra khỏi lãnh thổ hải quan của Việt Nam với mục đích sửa chữa hoặc bảo trì nếu hoạt động đó không làm thay đổi xuất xứ của hàng hóa;
- Hàng hoá xuất khẩu, nhập khẩu là vũ khí, khí tài nhằm bảo vệ lợi ích, chủ quyền và an ninh quốc gia thuộc các danh mục bí mật của nhà nước;
- Chất thải, phế liệu không có trị giá thương mại.”
c) Phương pháp tính
“Thời điểm thống kê: Là thời điểm cơ quan Hải quan chấp nhận đăng ký tờ khai hải quan.
Những thay đổi trên tờ khai hải quan trong quá trình thực hiện thủ tục hải quan sẽ được cập nhật vào hệ thống thông tin hải quan và được điều chỉnh trong các báo cáo thống kê.
Trong vòng 90 ngày sau khi kết thúc năm báo cáo, cơ quan thống kê sẽ ngừng cập nhật các thay đổi trên tờ khai hải quan.
Trị giá thống kê hàng hóa xuất khẩu, nhập khẩu:
- Đối với hàng hóa phải nộp thuế xuất khẩu hoặc nhập khẩu và các loại thuế liên quan trong quá trình làm thủ tục xuất khẩu, nhập khẩu thì trị giá thống kê là trị giá tính thuế của hàng hóa.
- Đối với hàng hóa không phải nộp thuế xuất khẩu hoặc nhập khẩu và các loại thuế liên quan trong quá trình làm thủ tục xuất khẩu, nhập khẩu thì trị giá thống kê là trị giá khai báo của hàng hóa được cơ quan hải quan chấp nhận.
- Trị giá thống kê hàng hóa xuất khẩu, nhập khẩu tính bằng Đô la Mỹ (USD). Cơ quan hải quan căn cứ vào quy định hiện hành về tỷ giá tính thuế đối với hàng hóa xuất khẩu, nhập khẩu để quy đổi các ngoại tệ về đồng Đô la Mỹ.
Xác định trị giá thống kê trong những trường hợp đặc thù:
- Trường hợp tờ khai hải quan đăng ký một lần nhưng xuất khẩu hoặc nhập khẩu nhiều lần thì trị giá thống kê là trị giá thực tế của hàng hóa khi xuất khẩu, nhập khẩu;
- Tiền giấy, tiền kim loại và các giấy tờ có giá chưa phát hành, chưa đưa vào lưu thông: Trị giá thống kê là chi phí để sản xuất ra tiền giấy, tiền kim loại và các giấy tờ có giá (không phải là mệnh giá của tiền giấy, tiền kim loại hay các giấy tờ có giá này);
- Phương tiện trung gian dùng để chứa thông tin bao gồm: Băng từ, đĩa từ, CD-ROM, thẻ thông minh và các phương tiện trung gian khác đã hoặc chưa chứa thông tin, trừ loại được sản xuất theo yêu cầu hoặc đơn đặt hàng riêng: Thống kê theo trị giá hải quan toàn bộ của các hàng hóa này (không phải chỉ là trị giá của các phương tiện trung gian chưa có thông tin);
- Hàng hóa được phép ghi giá tạm tính khi đăng ký tờ khai hải quan thì trị giá thống kê phải được điều chỉnh khi có giá chính thức trên tờ khai sửa đổi, bổ sung;
- Hàng gia công, chế biến, lắp ráp: Tính trị giá toàn bộ hàng hoá nguyên liệu trước khi gia công, chế biến, lắp ráp và toàn bộ giá trị thành phẩm hoàn trả sau gia công, chế biến, lắp ráp;
- Các giao dịch không khai trị giá (ví dụ: hàng đổi hàng, hàng viện trợ nhân đạo,...) thì trị giá của hàng hóa trong thống kê được tính theo nguyên tắc xác định trị giá hải quan;
- Hàng trả lại: Trị giá thống kê là trị giá hàng hóa được định giá theo trị giá của giao dịch xuất khẩu hoặc nhập khẩu ban đầu;
- Điện năng xuất khẩu, nhập khẩu: Trị giá thống kê là trị giá khai trên tờ khai hải quan;
- Hàng hóa theo hợp đồng thuê tài chính: Tính trị giá của hàng hóa trên cơ sở giá bán của hàng hóa tương tự (loại trừ các dịch vụ cung cấp kèm theo hợp đồng cho thuê như chi phí đào tạo, bảo trì, phí tài chính).
Loại tiền và tỷ giá: Trị giá thống kê hàng hoá xuất khẩu, nhập khẩu tính bằng Đô la Mỹ (USD). Cơ quan hải quan căn cứ vào quy định hiện hành về tỷ giá tính thuế đối với hàng hóa xuất khẩu, nhập khẩu để quy đổi các ngoại tệ sử dụng trong thống kê.
Đơn vị tính thống kê: Là đơn vị tính quy đổi sử dụng trong các biểu mẫu thống kê. Các đơn vị tính lượng khác nhau được quy đổi về đơn vị tính thống nhất trong biểu mẫu căn cứ vào các dữ liệu từ hồ sơ hải quan.
Nước đối tác thương mại:
Xuất khẩu: Thống kê theo “nước, vùng lãnh thổ cuối cùng hàng đến”: Là nước hoặc vùng lãnh thổ mà tại thời điểm xuất khẩu, người khai hải quan biết được hàng hoá của Việt Nam sẽ được chuyển đến để bốc dỡ, không tính nước mà hàng hoá trung chuyển, quá cảnh.
Nhập khẩu: Thống kê theo “nước, vùng lãnh thổ xuất xứ” là nước hoặc vùng lãnh thổ mà tại đó hàng hóa được nuôi trồng, khai thác, sản xuất hoặc chế biến, theo các quy định về xuất xứ hàng hóa của Việt Nam.”
2. Phân tổ chủ yếu
- Danh mục hàng hóa xuất, nhập khẩu Việt Nam;
- Nước, vùng lãnh thổ cuối cùng hàng đến (đối với xuất khẩu) là nước hoặc vùng lãnh thổ mà tại thời điểm xuất khẩu, người khai hải quan biết được hàng hoá của Việt Nam sẽ được chuyển đến để bốc dỡ, không tính nước mà hàng hoá trung chuyển, quá cảnh.
- Nước, vùng lãnh thổ xuất xứ (đối với nhập khẩu) là nước hoặc vùng lãnh thổ mà tại đó hàng hóa được nuôi trồng, khai thác, sản xuất hoặc chế biến, theo các quy định về xuất xứ hàng hóa của Việt Nam.
- Phương thức vận chuyển hàng hóa xuất khẩu/nhập khẩu phân chia theo: đường không, đường thủy, đường bộ và loại khác.
- Tỉnh, thành phố trực thuộc trung ương: số liệu của mỗi tỉnh, thành phố được tổng hợp từ tờ khai hải quan xuất khẩu, nhập khẩu của toàn bộ các doanh nghiệp, cơ quan, tổ chức, cá nhân đăng ký mã số doanh nghiệp tại tỉnh, thành phố đó.
3. Kỳ công bố: Năm.
4. Nguồn số liệu: Chế độ báo cáo thống kê cấp quốc gia.
5. Cơ quan chịu trách nhiệm thu thập, tổng hợp
- Chủ trì: Bộ Tài chính;
- Phối hợp: Bộ Kế hoạch và Đầu tư (Tổng cục Thống kê).
17.17.1. Tổng số dự án đầu tư theo phương thức đối tác công tư
1. Khái niệm, phương pháp tính
Dự án đầu tư theo phương thức đối tác công tư (sau đây gọi là đầu tư theo phương thức PPP) là tập hợp các đề xuất có liên quan đến việc đầu tư để cung cấp sản phẩm, dịch vụ công thông qua việc thực hiện một hoặc các hoạt động sau đây:
+ Xây dựng, vận hành, kinh doanh công trình, hệ thống cơ sở hạ tầng;
+ Cải tạo, nâng cấp, mở rộng, hiện đại hóa, vận hành, kinh doanh , công trình, hệ thống cơ sở hạ tầng sẵn có;
+ Vận hành, kinh doanh công trình, hệ thống cơ sở hạ tầng sẵn có.
- Đầu tư theo phương thức đối tác công tư là phương thức đầu tư được thực hiện trên cơ sở hợp tác có thời hạn giữa nhà nước và nhà đầu tư tư nhân thông qua việc ký kết và thực hiện hợp đồng dự án PPP nhằm thu hút nhà đầu tư tư nhân tham gia dự án PPP.
2. Phân tổ chủ yếu
- Lĩnh vực đầu tư;
- Tổng mức đầu tư;
- Vốn nhà nước tham gia trong dự án;
- Loại hợp đồng;
- Thời gian thực hiện hợp đồng.
3. Kỳ công bố: Năm.
4. Nguồn số liệu: Báo cáo tình hình thực hiện PPP hàng năm.
5. Đơn vị chịu trách nhiệm thu thập, tổng hợp: Bộ Kế hoạch và Đầu tư.
17.19.1. Tỷ lệ đăng ký khai sinh
1. Khái niệm, phương pháp tính
Tỷ lệ đăng ký khai sinh là tỷ lệ phần trăm giữa số người đã được đăng ký khai sinh so với tổng dân số trong kỳ báo cáo.
Công thức tính:
|
Tỷ lệ đăng ký khai sinh (%) |
= |
Số người được đăng ký khai sinh |
x |
100 |
|
Tổng dân số |
2. Phân tổ chủ yếu
- Giới tính;
- Dân tộc;
- Tỉnh, thành phố trực thuộc trung ương;
- Vùng kinh tế - xã hội.
3. Kỳ công bố: Năm.
Riêng phân tổ dân tộc công bố theo kỳ 5 năm.
4. Nguồn số liệu
- Tổng điều tra dân số và nhà ở;
- Điều tra dân số và nhà ở giữa kỳ;
- Điều tra biến động dân số và kế hoạch hóa gia đình;
- Cơ sở dữ liệu quốc gia về dân cư;
- Cơ sở dữ liệu về hộ tịch điện tử;
- Kho dữ liệu chuyên ngành dân số.
5. Cơ quan chịu trách nhiệm thụ thập, tổng hợp
- Chủ trì: Bộ Kế hoạch và Đầu tư (Tổng cục Thống kê);
- Phối hợp: Bộ Công an; Bộ Y tế ; Bộ Tư pháp.
17.19.2. Tỷ lệ đăng ký khai tử
1. Khái niệm, phương pháp tính
Số trường hợp tử vong được đăng ký khai tử là số trường hợp chết được đăng ký khai tử trong kỳ nghiên cứu. Số trường hợp tử vong được đăng ký khai tử gồm cả các trường hợp tuyên bố chết theo bản án/quyết định của tòa án và đã được ghi vào sổ việc thay đổi hộ tịch theo quy định tại Luật Hộ tịch, đăng ký khai tử đúng hạn và đăng ký khai tử quá hạn.
Tỷ lệ đăng ký khai tử là tỷ lệ phần trăm giữa số người đã được đăng ký khai tử so với tổng dân số trong kỳ báo cáo.
Công thức tính:
|
Tỷ lệ đăng ký khai tử (%) |
= |
Số người được đăng ký khai tử |
x |
100 |
|
Tổng dân số |
2. Phân tổ chủ yếu
- Giới tính;
- Dân tộc;
- Tỉnh, thành phố trực thuộc trung ương;
- Vùng kinh tế - xã hội.
3. Kỳ công bố: Năm.
Riêng phân tổ dân tộc công bố theo kỳ 5 năm.
4. Nguồn số liệu
- Tổng điều tra dân số và nhà ở;
- Điều tra dân số và nhà ở giữa kỳ;
- Điều tra biến động dân số và kế hoạch hóa gia đình;
- Cơ sở dữ liệu quốc gia về dân cư;
- Cơ sở dữ liệu về hộ tịch điện tử;
- Kho dữ liệu chuyên ngành dân số.
5. Cơ quan chịu trách nhiệm thu thập, tổng hợp
- Chủ trì: Bộ Kế hoạch và Đầu tư (Tổng cục Thống kê);
- Phối hợp: Bộ Công an; Bộ Y tế; Bộ Tư pháp.
Bạn chưa Đăng nhập thành viên.
Đây là tiện ích dành cho tài khoản thành viên. Vui lòng Đăng nhập để xem chi tiết. Nếu chưa có tài khoản, vui lòng Đăng ký tại đây!
Bạn chưa Đăng nhập thành viên.
Đây là tiện ích dành cho tài khoản thành viên. Vui lòng Đăng nhập để xem chi tiết. Nếu chưa có tài khoản, vui lòng Đăng ký tại đây!