- Tổng quan
- Nội dung
- VB gốc
- Tiếng Anh
- Hiệu lực
- VB liên quan
- Lược đồ
-
Nội dung hợp nhất
Tính năng này chỉ có tại LuatVietnam.vn. Nội dung hợp nhất tổng hợp lại tất cả các quy định còn hiệu lực của văn bản gốc và các văn bản sửa đổi, bổ sung, đính chính... trên một trang. Việc hợp nhất văn bản gốc và những văn bản, Thông tư, Nghị định hướng dẫn khác không làm thay đổi thứ tự điều khoản, nội dung.
Khách hàng chỉ cần xem Nội dung hợp nhất là có thể nắm bắt toàn bộ quy định hiện hành đang áp dụng, cho dù văn bản gốc đã qua nhiều lần chỉnh sửa, bổ sung.
- Tải về
Văn bản hợp nhất 82/VBHN-BNNMT 2025 quy định về giá đất do Bộ Nông nghiệp và Môi trường ban hành
| Số hiệu: | 82/VBHN-BNNMT | Ngày ký xác thực: | 28/11/2025 |
| Loại văn bản: | Văn bản hợp nhất | Cơ quan hợp nhất: | Bộ Nông nghiệp và Môi trường |
|
Ngày đăng công báo:
|
Đang cập nhật |
Người ký:
|
Nguyễn Thị Phương Hoa |
| Trích yếu: | Nghị định quy định về giá đất | ||
|
Số công báo:
Số công báo là mã số ấn phẩm được đăng chính thức trên ấn phẩm thông tin của Nhà nước. Mã số này do Chính phủ thống nhất quản lý.
|
Đang cập nhật |
Ngày hết hiệu lực:
Ngày hết hiệu lực là ngày, tháng, năm văn bản chính thức không còn hiệu lực (áp dụng).
|
Đang cập nhật |
TÓM TẮT VĂN BẢN HỢP NHẤT 82/VBHN-BNNMT
Nội dung tóm tắt đang được cập nhật, Quý khách vui lòng quay lại sau!
|
| CỘNG HÒA XÃ HỘI CHỦ NGHĨA VIỆT NAM _________________________
|
NGHỊ ĐỊNH[1]
Quy định về giá đất
Nghị định số 71/2024/NĐ-CP ngày 27 tháng 6 năm 2024 của Chính phủ quy định về giá đất có hiệu lực kể từ ngày Luật Đất đai số 31/2024/QH15 có hiệu lực thi hành, Điều 37 của Nghị định số 71/2024/NĐ-CP có hiệu lực kể từ ngày Nghị định số 71/2024/NĐ-CP được ký ban hành, được sửa đổi, bổ sung bởi:
Nghị định số 151/2025/NĐ-CP ngày 12 tháng 6 năm 2025 của Chính phủ quy định về phân định thẩm quyền của chính quyền địa phương 2 cấp, phân quyền, phân cấp trong lĩnh vực đất đai.
Quyết định số 2418/QĐ-BNNMT ngày 28 tháng 6 năm 2025 của Bộ trưởng Bộ Nông nghiệp và Môi trường về việc đính chính Nghị định số 151/2025/NĐ-CP ngày 12 tháng 6 năm 2025 của Chính phủ quy định về phân định thẩm quyền của chính quyền địa phương 02 cấp, phân quyền, phân cấp trong lĩnh vực đất đai.
Nghị định số 226/2025/NĐ-CP ngày 15 tháng 8 năm 2025 của Chính phủ quy định sửa đổi, bổ sung một số điều của các nghị định quy định chi tiết thi hành Luật Đất đai.
Căn cứ Luật Tổ chức Chính phủ năm 2025; Luật Tổ chức chính quyền địa phương năm 2025[2];
Căn cứ Luật Đất đai số 31/2024/QH15 được sửa đổi, bổ sung một số điều bởi các Luật số 43/2024/QH15, số 47/2024/QH15, số 58/2024/QH15, Luật số 71/2025/QH15, số 84/2025/QH15, số 93/2025/QH15 và số 95/2025/QH15;
Theo đề nghị của Bộ trưởng Bộ Tài nguyên và Môi trường;
Chính phủ ban hành Nghị định quy định về giá đất[3].
Chương I. QUY ĐỊNH CHUNG
Điều 1. Phạm vi điều chỉnh
Nghị định này quy định về phương pháp định giá đất quy định tại Điều 158; xây dựng, điều chỉnh, sửa đổi, bổ sung bảng giá đất quy định tại Điều 159; định giá đất cụ thể quy định tại Điều 160; điều kiện hành nghề tư vấn xác định giá đất quy định tại điểm b khoản 3 Điều 162; áp dụng phương pháp định giá đất của các trường hợp chuyển tiếp quy định tại điểm c khoản 2 Điều 257 Luật Đất đai.
Điều 2. Đối tượng áp dụng
1. Cơ quan thực hiện chức năng quản lý nhà nước về đất đai; cơ quan có chức năng xây dựng, điều chỉnh, sửa đổi, bổ sung, thẩm định, quyết định bảng giá đất; cơ quan, người có thẩm quyền xác định, thẩm định, quyết định giá đất cụ thể.
2. Tổ chức tư vấn xác định giá đất, cá nhân hành nghề tư vấn xác định giá đất.
3. Tổ chức, cá nhân khác có liên quan.
Điều 3. Giải thích từ ngữ
Trong Nghị định này, các từ ngữ dưới đây được hiểu như sau:
1.[4] Chuyển nhượng trên thị trường là chuyển nhượng quyền sử dụng đất hoặc chuyển nhượng quyền sử dụng đất, quyền sở hữu tài sản gắn liền với đất khi đã thực hiện thủ tục về thuế, phí, lệ phí tại cơ quan thuế hoặc đã đăng ký biến động tại Văn phòng đăng ký đất đai hoặc đã ký hợp đồng chuyển nhượng giữa chủ đầu tư dự án bất động sản, nhà ở thương mại với khách hàng theo quy định của pháp luật trừ trường hợp hợp đồng mua, bán bất động sản hình thành trong tương lai.
2. Khu đất cần định giá là tập hợp các thửa đất trong cùng một khu vực, dự án có sử dụng đất cần định giá.
3. Thửa đất so sánh là thửa đất có cùng mục đích sử dụng đất, tương đồng nhất định về các yếu tố ảnh hưởng đến giá đất với thửa đất cần định giá đã chuyển nhượng trên thị trường, trúng đấu giá quyền sử dụng đất mà người trúng đấu giá đã hoàn thành nghĩa vụ tài chính theo quyết định trúng đấu giá.
4. Tổ chức thực hiện định giá đất là tổ chức hoạt động tư vấn xác định giá đất quy định tại khoản 3 Điều 162 Luật Đất đai được cơ quan có chức năng quản lý đất đai thuê, đặt hàng hoặc giao nhiệm vụ[5] thực hiện tư vấn định giá đất.
Chương II. PHƯƠNG PHÁP ĐỊNH GIÁ ĐẤT
Điều 4. Trình tự, nội dung xác định giá đất theo phương pháp so sánh
1. Khảo sát, thu thập thông tin về thửa đất, khu đất cần định giá, gồm:
a) Mục đích sử dụng đất;
b) Các yếu tố ảnh hưởng đến giá đất theo quy định tại Điều 8 của Nghị định này.
2. Khảo sát, thu thập thông tin đối với thửa đất so sánh, gồm:
a)[6] Thông tin đầu vào để định giá đất là giá đất đã hoàn thành chuyển nhượng trên thị trường, giá đất đã trúng đấu giá quyền sử dụng đất sau khi hoàn thành nghĩa vụ tài chính quy định tại các điểm a, b và c khoản 3 Điều 158 Luật Đất đai;
b)[7] Thông tin tại điểm a khoản này được lấy từ các nguồn: cơ sở dữ liệu quốc gia về đất đai, cơ sở dữ liệu quốc gia về giá; Văn phòng đăng ký đất đai; cơ quan thuế; đơn vị, tổ chức thực hiện việc đấu giá quyền sử dụng đất, đấu giá tài sản; sàn giao dịch bất động sản, doanh nghiệp bất động sản; thông tin thu thập qua điều tra, khảo sát.
Trên cơ sở thông tin thu thập được để xác định giá mặt bằng chung; giá mặt bằng chung là bình quân số học của các giá đất thu thập được. Tổ chức thực hiện định giá đất lựa chọn thông tin giá đất theo thứ tự ưu tiên đối với thông tin gần giá mặt bằng chung;
c) Các yếu tố ảnh hưởng đến giá đất theo quy định tại Điều 8 của Nghị định này.
3.[8] Việc lựa chọn thông tin của các thửa đất so sánh thực hiện theo thứ tự ưu tiên như sau:
a) Có khoảng cách gần nhất đến thửa đất, khu đất cần định giá và không bị giới hạn bởi địa giới hành chính của các đơn vị hành chính cấp xã trong địa bàn hành chính cấp tỉnh. Trường hợp mở rộng phạm vi thu thập thông tin ngoài địa bàn hành chính cấp tỉnh, tổ chức thực hiện định giá đất phải giải trình cụ thể lý do trong Báo cáo thuyết minh xây dựng phương án giá đất để Hội đồng thẩm định giá đất xem xét, quyết định;
b) Tương đồng nhất định về các yếu tố ảnh hưởng đến giá đất;
c) Thông tin gần nhất với thời điểm định giá đất.
Trường hợp có nhiều nguồn thông tin khác nhau phát sinh tại cùng thời điểm thì ưu tiên lựa chọn nguồn thông tin theo thứ tự như sau: cơ sở dữ liệu quốc gia về đất đai, cơ sở dữ liệu quốc gia về giá; Văn phòng đăng ký đất đai; cơ quan thuế; đơn vị tổ chức thực hiện việc đấu giá quyền sử dụng đất, đấu giá tài sản; sàn giao dịch bất động sản, doanh nghiệp bất động sản; thông tin thu thập qua điều tra, khảo sát; trường hợp thông tin được hình thành trước ngày 01 tháng 8 năm 2024 thì được lựa chọn thông tin phù hợp tình hình thực tế về giá đất tại địa phương mà không căn cứ vào thứ tự ưu tiên nêu tại điểm này.
4. Trường hợp thửa đất so sánh có tài sản gắn liền với đất thì giá trị của tài sản gắn liền với đất (nếu có) của thửa đất so sánh được xác định như sau:
a) Đối với trường hợp tài sản gắn liền với đất là công trình xây dựng
Việc xác định giá trị của tài sản gắn liền với đất tại thời điểm chuyển nhượng, trúng đấu giá quyền sử dụng đất như sau:
| Giá trị của tài sản gắn liền với đất tại thời điểm chuyển nhượng, trúng đấu giá quyền sử dụng đất | = | Giá trị xây dựng mới tại thời điểm chuyển nhượng, trúng đấu giá quyền sử dụng đất | - | Giá trị hao mòn đến thời điểm chuyển nhượng, trúng đấu giá quyền sử dụng đất |
Phương pháp tính giá trị xây dựng mới và giá trị hao mòn của tài sản gắn liền với đất thực hiện theo quy định của pháp luật chuyên ngành. Trường hợp chưa có quy định hoặc hướng dẫn về phương pháp tính giá trị xây dựng mới và giá trị hao mòn thì việc tính toán thực hiện căn cứ vào thông tin, số liệu thực tế thu thập được trên thị trường;
b)[9] Đối với trường hợp tài sản gắn liền với đất là cây lâu năm, rừng trồng
Đối với cây lâu năm thì giá trị của tài sản gắn liền với đất tại thời điểm chuyển nhượng, trúng đấu giá quyền sử dụng đất là giá trị khai thác tính theo thu nhập từ việc thu hoạch sản phẩm tương ứng với số năm còn lại trong chu kỳ thu hoạch hoặc được xác định theo đơn giá bồi thường đối với cây lâu năm do Ủy ban nhân dân cấp tỉnh ban hành.
Đối với rừng trồng thì giá trị của tài sản gắn liền với đất tại thời điểm chuyển nhượng, trúng đấu giá quyền sử dụng đất thực hiện theo quy định của pháp luật chuyên ngành; trường hợp chưa có quy định thì giá trị của tài sản gắn liền với đất được xác định bằng tổng chi phí đã đầu tư để trồng, chăm sóc rừng trồng đến thời điểm chuyển nhượng, trúng đấu giá quyền sử dụng đất hoặc được xác định theo đơn giá bồi thường đối với rừng trồng do Ủy ban nhân dân cấp tỉnh ban hành.
Tổ chức thực hiện định giá đất đề xuất cách xác định giá trị của tài sản gắn liền với đất là cây lâu năm, rừng trồng để Hội đồng thẩm định giá đất cụ thể xem xét, quyết định.
5.[10] Xác định giá của thửa đất so sánh như sau:
| Giá đất của thửa đất so sánh | = | Giá trị quyền sử dụng đất và tài sản gắn liền với đất của thửa đất so sánh | - | Giá trị của tài sản gắn liền với đất tại thời điểm chuyển nhượng, trúng đấu giá quyền sử dụng đất |
| Diện tích thửa đất so sánh | ||||
6.[11] Căn cứ các yếu tố ảnh hưởng đến giá đất quy định tại Điều 8 của Nghị định này và đặc điểm của thửa đất, khu đất cần định giá, việc điều chỉnh giá của thửa đất so sánh theo giá trị tuyệt đối hoặc tỷ lệ phần trăm (%) thực hiện theo nguyên tắc sau:
a)[12] Lấy các yếu tố ảnh hưởng đến giá đất của thửa đất cần định giá làm chuẩn để điều chỉnh giá của thửa đất so sánh; thực hiện điều chỉnh theo giá trị tuyệt đối trước, điều chỉnh theo tỷ lệ phần trăm (%) sau;
b) Trường hợp có yếu tố ảnh hưởng đến giá đất của thửa đất so sánh theo hướng làm giảm giá đất so với thửa đất cần định giá thì điều chỉnh tăng mức giá đất của thửa đất so sánh (cộng) theo yếu tố đó; trường hợp có yếu tố ảnh hưởng đến giá đất của thửa đất so sánh theo hướng làm tăng giá đất so với thửa đất cần định giá thì điều chỉnh giảm mức giá đất của thửa đất so sánh (trừ) theo yếu tố đó;
c) Trường hợp các yếu tố ảnh hưởng đến giá đất của thửa đất so sánh giống với thửa đất cần định giá thì giữ nguyên mức giá của thửa đất so sánh.
7. Giá đất ước tính của thửa đất cần định giá được xác định bằng cách điều chỉnh giá đất của từng thửa đất so sánh do các yếu tố khác nhau của các thửa đất so sánh với thửa đất cần định giá và thực hiện như sau:
| Giá đất ước tính của thửa đất, khu đất cần định giá theo từng thửa đất so sánh | = | Giá đất của từng thửa đất so sánh | ± | Mức điều chỉnh về giá từ yếu tố ảnh hưởng đến giá đất của từng thửa đất so sánh với thửa đất cần định giá |
8. Giá đất của thửa đất cần định giá được xác định bằng cách lấy bình quân số học đối với các giá đất ước tính của thửa đất cần định giá theo từng thửa đất so sánh đã xác định theo quy định tại khoản 7 Điều này; giá đất của thửa đất cần định giá đã xác định phải bảo đảm chênh lệch với từng giá đất ước tính không quá 15%.
9. Việc xác định giá đất bằng phương pháp so sánh được minh họa chi tiết tại ví dụ số 01 Phụ lục I ban hành kèm theo Nghị định số 226/2025/NĐ-CP[13].
Điều 5. Trình tự, nội dung xác định giá đất theo phương pháp thu nhập
1. Khảo sát, thu thập thông tin về thu nhập của thửa đất, khu đất cần định giá
a)[14] Đối với đất phi nông nghiệp thì khảo sát, thu thập từ việc cho thuê đất, cho thuê mặt bằng trong thời gian 03 năm (được tính từ ngày 01 tháng 01 đến hết ngày 31 tháng 12) liên tục liền kề trước thời điểm định giá của thửa đất, khu đất cần định giá hoặc trong 01 năm (được tính từ ngày 01 tháng 01 đến hết ngày 31 tháng 12) liền kề trước thời điểm định giá của 03 thửa đất có khoảng cách gần nhất đến thửa đất, khu đất cần định giá, ưu tiên lựa chọn thửa đất có sự tương đồng nhất định đến các yếu tố ảnh hưởng đến giá đất để so sánh theo phương pháp so sánh.
Trường hợp không thu thập được thông tin từ việc cho thuê đất, cho thuê mặt bằng thì thu thập thông tin về thu nhập từ hoạt động sản xuất, kinh doanh ghi trong báo cáo tài chính trong thời gian 03 năm (được tính từ ngày 01 tháng 01 đến hết ngày 31 tháng 12) liên tục liền kề với năm xác định thời điểm định giá của thửa đất, khu đất cần định giá hoặc trong báo cáo tài chính của 01 năm (được tính từ ngày 01 tháng 01 đến hết ngày 31 tháng 12) liền kề với năm xác định thời điểm định giá của 03 thửa đất có khoảng cách gần nhất đến thửa đất, khu đất cần định giá, ưu tiên lựa chọn thửa đất có sự tương đồng nhất định đến các yếu tố ảnh hưởng đến giá đất;
b) Đối với đất nông nghiệp thì khảo sát, thu thập thông tin về thu nhập từ việc sử dụng đất nông nghiệp tại cơ quan thống kê, cơ quan thuế, cơ quan nông nghiệp và phát triển nông thôn, cụ thể như sau:
- Trong khoảng thời gian 03 năm (được tính từ ngày 01 tháng 01 đến hết ngày 31 tháng 12) liên tục liền kề trước thời điểm định giá đối với đất trồng cây hàng năm, đất nuôi trồng thủy sản, đất làm muối, đất nông nghiệp khác;
- Tối thiểu 03 vụ thu hoạch liên tục trước thời điểm định giá đối với đất trồng cây lâu năm;
- Trong một chu kỳ khai thác trước thời điểm định giá đối với đất trồng rừng sản xuất theo quy định của pháp luật có liên quan.
Trường hợp không có số liệu từ cơ quan thống kê, cơ quan thuế, cơ quan nông nghiệp và phát triển nông thôn thì thu thập thông tin về thu nhập thực tế phổ biến trên thị trường của 03 thửa đất có khoảng cách gần nhất đến thửa đất, khu đất cần định giá.
2.[15] Khảo sát, thu thập thông tin về chi phí của thửa đất, khu đất cần định giá
a) Đối với đất phi nông nghiệp
Chi phí để tạo ra thu nhập từ việc sử dụng đất quy định tại điểm a khoản 1 Điều này là các khoản chi phí xây dựng, đầu tư phát triển thương hiệu, đầu tư công trình hạ tầng, thúc đẩy việc kinh doanh, hỗ trợ khách hàng, vận hành, duy tu, bảo dưỡng công trình xây dựng gắn liền với đất, đảm bảo an ninh, chi phí sản xuất được xác định theo định mức, đơn giá do cơ quan nhà nước có thẩm quyền ban hành, các khoản thuế liên quan đến sử dụng đất và các khoản chi phí khác do Hội đồng thẩm định giá đất quyết định, lựa chọn phù hợp với dự án và tình hình thực tế tại địa phương.
Trường hợp chi phí để tạo ra thu nhập từ việc sử dụng đất chưa có định mức, đơn giá do cơ quan nhà nước có thẩm quyền ban hành thì thu thập thông tin đối với các chi phí nêu trên ghi trong báo cáo tài chính; trường hợp báo cáo tài chính không thể hiện rõ chi phí để tạo ra thu nhập từ việc sử dụng đất thì khảo sát chi phí để tạo ra thu nhập từ việc sử dụng đất thực tế phổ biến trên thị trường;
b) Đối với đất nông nghiệp
Chi phí để tạo ra thu nhập từ việc sử dụng đất gồm các khoản thuế liên quan đến sử dụng đất, chi phí sản xuất căn cứ vào định mức, đơn giá do cơ quan nhà nước có thẩm quyền ban hành tại cơ quan thống kê, cơ quan thuế, cơ quan chuyên môn về nông nghiệp và môi trường và thực hiện theo quy định tại điểm b khoản 1 Điều này.
Trường hợp không có số liệu từ cơ quan thống kê, cơ quan thuế, cơ quan chuyên môn về nông nghiệp và môi trường thì thu thập thông tin về chi phí để tạo ra thu nhập từ việc sử dụng đất thực tế phổ biến trên thị trường của 03 thửa đất có khoảng cách gần nhất đến thửa đất, khu đất cần định giá, ưu tiên lựa chọn thửa đất có sự tương đồng nhất định về các yếu tố ảnh hưởng đến giá đất.
3. Xác định thu nhập ròng bình quân năm được thực hiện như sau:
Thu nhập ròng bình quân năm = Thu nhập bình quân năm - Chi phí bình quân năm
Trong đó:
a) Thu nhập bình quân năm là trung bình cộng thu nhập quy định tại khoản 1 Điều này trong thời gian 01 năm. Đối với trường hợp thu nhập được xác định từ việc cho thuê đất, cho thuê mặt bằng của 03 thửa đất thì giá cho thuê đất, cho thuê mặt bằng để tính thu nhập bình quân năm xác định theo trình tự, nội dung như xác định giá đất bằng phương pháp so sánh quy định tại các khoản 6, 7 và 8 Điều 4 của Nghị định này;
b) Chi phí bình quân năm là trung bình cộng chi phí quy định tại khoản 2 Điều này trong thời gian 01 năm.
4. Xác định giá trị quyền sử dụng đất của thửa đất cần định giá được thực hiện như sau:
| Giá trị quyền sử dụng đất của thửa đất cần định giá | = | Thu nhập ròng bình quân năm |
| Lãi suất tiền gửi tiết kiệm bình quân |
Lãi suất tiền gửi tiết kiệm bình quân (r) của loại tiền gửi bằng tiền Việt Nam kỳ hạn 12 tháng tại các ngân hàng thương mại do Nhà nước nắm giữ trên 50% vốn điều lệ hoặc tổng số cổ phần có quyền biểu quyết trên địa bàn cấp tỉnh (sau đây gọi là ngân hàng thương mại nhà nước) của 03 năm liền kề tính đến hết quý gần nhất có số liệu trước thời điểm định giá.
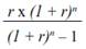
Riêng đối với đất sản xuất, kinh doanh phi nông nghiệp sử dụng có thời hạn thì lãi suất tiền gửi tiết kiệm bình quân được điều chỉnh theo công thức sau:
Lãi suất điều chỉnh theo thời hạn = ![]()
Trong đó: n là thời hạn sử dụng đất còn lại của thửa đất cần định giá (tính theo năm) đối với trường hợp thuê đất trả tiền thuê đất một lần cho cả thời gian thuê.
5. Xác định giá đất của thửa đất cần định giá được thực hiện như sau:
| Giá đất của thửa đất cần định giá | = | Giá trị quyền sử dụng đất của thửa đất cần định giá |
| Diện tích thửa đất cần định giá |
Đối với trường hợp thửa đất cần định giá đã được đầu tư, xây dựng các công trình gắn liền với đất phục vụ trực tiếp sản xuất, kinh doanh để tạo ra thu nhập thì sau khi xác định giá trị của thửa đất và công trình gắn liền với đất phải trừ đi giá trị của công trình gắn liền với đất theo quy định tại điểm a khoản 4 Điều 4 của Nghị định này.
6. Trong thời hạn 05 ngày làm việc kể từ ngày nhận được văn bản yêu cầu của cơ quan có chức năng quản lý đất đai, các ngân hàng thương mại nhà nước có trách nhiệm cung cấp bằng văn bản thông tin về lãi suất tiền gửi tiết kiệm bình quân quy định tại khoản 4 Điều này.
7. Việc xác định giá đất bằng phương pháp thu nhập được minh họa chi tiết tại ví dụ số 02 Phụ lục I ban hành kèm theo Nghị định số 226/2025/NĐ-CP[16].
Điều 6. Trình tự, nội dung xác định giá đất theo phương pháp thặng dư
1. Khảo sát, thu thập các thông tin về thửa đất, khu đất cần định giá; các thông tin về quy hoạch sử dụng đất, quy hoạch chi tiết xây dựng hoặc quy hoạch tổng mặt bằng, các hồ sơ, tài liệu theo quy định của pháp luật về xây dựng đã được cơ quan nhà nước có thẩm quyền thẩm định, phê duyệt để xác định hiệu quả sử dụng đất cao nhất và các thông tin cần thiết khác phục vụ định giá đất.
2. Ước tính tổng doanh thu phát triển của thửa đất, khu đất
a)[17] Tổng doanh thu phát triển của thửa đất, khu đất được xác định trên cơ sở ước tính giá chuyển nhượng, giá thuê đất, giá thuê mặt bằng, giá kinh doanh sản phẩm, dịch vụ, mức biến động của giá chuyển nhượng, giá thuê đất, giá thuê mặt bằng, giá kinh doanh sản phẩm, dịch vụ trong thời gian thực hiện dự án và các yếu tố khác hình thành doanh thu bao gồm: thời gian bán hàng; thời điểm bắt đầu bán hàng, kinh doanh sản phẩm, dịch vụ; tỷ lệ bán hàng; tỷ lệ lấp đầy; các yếu tố khác phù hợp với tình hình thực tế tại địa phương và từng dự án.
Giá kinh doanh sản phẩm, dịch vụ được áp dụng trong trường hợp không thu thập được giá chuyển nhượng, giá thuê đất, giá thuê mặt bằng;
b)[18] Khảo sát, thu thập thông tin về giá chuyển nhượng, giá thuê đất, giá thuê mặt bằng; giá kinh doanh sản phẩm, dịch vụ.
Thông tin về giá bán nhà ở, căn hộ, công trình xây dựng, một phần công trình xây dựng, giá đất thu thập theo quy định tại khoản 2 và khoản 3 Điều 4 của Nghị định này; thông tin về giá thuê đất, giá thuê mặt bằng thu thập thông qua các hợp đồng cho thuê đất, thuê mặt bằng; thông tin về giá kinh doanh sản phẩm, dịch vụ thông qua việc điều tra, khảo sát các dự án có hình thức kinh doanh sản phẩm, dịch vụ tương tự, có khoảng cách gần nhất đến thửa đất, khu đất cần định giá và có sự tương đồng nhất định về các yếu tố ảnh hưởng đến giá đất quy định tại Điều 8 Nghị định này;
c) Việc ước tính giá chuyển nhượng, giá thuê đất, giá thuê mặt bằng, giá kinh doanh sản phẩm, dịch vụ để xác định tổng doanh thu phát triển của thửa đất, khu đất được thực hiện bằng phương pháp so sánh như đối với thửa đất, khu đất cần định giá đã được đầu tư xây dựng theo quy hoạch chi tiết xây dựng hoặc quy hoạch tổng mặt bằng đã được phê duyệt;
d)[19] Việc xác định mức biến động của giá chuyển nhượng, giá thuê đất, giá thuê mặt bằng, giá kinh doanh sản phẩm, dịch vụ căn cứ vào số liệu của cơ quan thống kê hoặc cơ quan quản lý thị trường bất động sản. Trường hợp không có số liệu của cơ quan thống kê hoặc cơ quan quản lý thị trường bất động sản thì thực hiện như sau:
Đối với trường hợp xác định mức biến động của giá chuyển nhượng thì căn cứ theo chỉ số giá tiêu dùng nhóm nhà ở, điện, nước và vật liệu xây dựng bình quân 03 năm liền kề trước thời điểm định giá đất (được tính từ ngày 01 tháng 01 đến hết ngày 31 tháng 12) do cơ quan nhà nước có thẩm quyền công bố áp dụng trên địa bàn hành chính cấp tỉnh hoặc trên phạm vi cả nước.
Đối với trường hợp xác định mức biến động của giá thuê đất, giá thuê mặt bằng thì căn cứ theo mức biến động thể hiện trong các hợp đồng cho thuê đất, cho thuê mặt bằng hoặc chỉ số giá tiêu dùng nhóm nhà ở, điện, nước và vật liệu xây dựng bình quân 03 năm liền kề trước thời điểm định giá đất (được tính từ ngày 01 tháng 01 đến hết ngày 31 tháng 12) do cơ quan nhà nước có thẩm quyền công bố áp dụng trên địa bàn hành chính cấp tỉnh hoặc trên phạm vi cả nước.
Đối với trường hợp xác định mức biến động của giá kinh doanh sản phẩm, dịch vụ thì căn cứ số liệu thực tế trên thị trường.
Việc lựa chọn mức biến động quy định tại điểm này do tổ chức thực hiện định giá đất đề xuất để Hội đồng thẩm định giá đất xem xét, quyết định;
đ) Căn cứ tình hình thực tế tại địa phương, cơ quan có chức năng quản lý đất đai cấp tỉnh chủ trì, phối hợp với các Sở, ngành có liên quan tham mưu, trình Ủy ban nhân dân cấp tỉnh quy định cụ thể tỷ lệ bán hàng, tỷ lệ lấp đầy để áp dụng chậm nhất từ ngày 01 tháng 01 năm 2025. Trong trường hợp cần thiết, Ủy ban nhân dân cấp tỉnh điều chỉnh để phù hợp với tình hình thực tế của địa phương.
Trong thời gian Ủy ban nhân dân cấp tỉnh chưa quy định tỷ lệ bán hàng, tỷ lệ lấp đầy thì tổ chức thực hiện định giá đất căn cứ số liệu thực tế của 03 dự án đầu tư cùng mục đích sử dụng đất chính có khoảng cách gần nhất đến thửa đất, khu đất cần định giá để đề xuất trong báo cáo thuyết minh xây dựng phương án giá đất đối với từng dự án để Hội đồng thẩm định giá đất xem xét, quyết định.
Đối với thời gian bán hàng, thời điểm bắt đầu bán hàng, kinh doanh sản phẩm, dịch vụ thì căn cứ vào tiến độ đã được xác định trong chủ trương đầu tư hoặc hồ sơ mời thầu thực hiện dự án đầu tư hoặc quyết định phê duyệt, chấp thuận dự án đầu tư để ước tính doanh thu phát triển của dự án. Trường hợp trong các văn bản về chủ trương đầu tư hoặc hồ sơ mời thầu thực hiện dự án đầu tư hoặc quyết định phê duyệt, chấp thuận dự án đầu tư chưa xác định thời gian bán hàng, thời điểm bắt đầu bán hàng thì Ủy ban nhân dân cấp tỉnh quy định phù hợp với tình hình thực tế tại địa phương cho các nhóm dự án cùng mục đích sử dụng đất chính hoặc từng dự án cụ thể để áp dụng hoặc tổ chức thực hiện định giá đất căn cứ số liệu thực tế của 03 dự án đầu tư cùng mục đích sử dụng đất chính có khoảng cách gần nhất đến thửa đất, khu đất cần định giá đề xuất để Hội đồng thẩm định giá đất xem xét, quyết định.
3. Ước tính tổng chi phí phát triển của thửa đất, khu đất
a)[20] Các chi phí đầu tư xây dựng để xác định giá đất trong Nghị định này bao gồm:
- Chi phí xây dựng các công trình, hạng mục công trình của dự án (có tính đến chi phí dự phòng cho yếu tố trượt giá), gồm: xây dựng các công trình hạ tầng kỹ thuật, công trình kiến trúc và các công trình xây dựng khác thuộc dự án theo quy hoạch đã được phê duyệt;
- Chi phí xây dựng các công trình, hạng mục công trình xây dựng tạm, phụ trợ phục vụ thi công; chi phí phá dỡ các công trình xây dựng không thuộc phạm vi của công tác phá dỡ giải phóng mặt bằng đã được xác định trong chi phí bồi thường, hỗ trợ, tái định cư;
- Chi phí thiết bị (bao gồm cả các khoản thuế có liên quan);
- Chi phí quản lý dự án;
- Chi phí tư vấn đầu tư xây dựng;
- Chi phí san lấp mặt bằng, chi phí rà phá bom mìn, chi phí khảo sát địa chất, chi phí, lệ phí thực hiện các thủ tục về xây dựng công trình, chi phí bảo hiểm công trình trong thời gian xây dựng và các chi phí hợp lý, hợp lệ khác theo quy định của pháp luật về xây dựng mà góp phần trực tiếp hình thành doanh thu phát triển của dự án, do tổ chức thực hiện định giá đất lựa chọn đối với từng dự án cụ thể, đề xuất Hội đồng thẩm định giá đất xem xét, quyết định.
Trường hợp áp dụng suất vốn đầu tư thì thực hiện theo quy định của pháp luật xây dựng về suất vốn đầu tư xây dựng công trình.
Trường hợp xác định giá đất đối với dự án lấn biển hoặc hạng mục lấn biển trong dự án đầu tư thì ngoài chi phí lấn biển đã được cơ quan nhà nước có thẩm quyền phê duyệt còn bao gồm các chi phí đầu tư xây dựng quy định tại điểm này mà chưa được xác định trong dự án lấn biển đã được phê duyệt hoặc hạng mục lấn biển trong dự án đầu tư đã được phê duyệt.
Trường hợp thửa đất, khu đất cần định giá thực hiện dự án đầu tư xây dựng kinh doanh nhà ở để bán hoặc để bán kết hợp cho thuê được chuyển nhượng quyền sử dụng đất dưới hình thức phân lô, bán nền thì không tính chi phí xây dựng nhà ở trong chi phí đầu tư xây dựng;
b)[21] Chi phí kinh doanh bao gồm: chi phí tiếp thị, quảng cáo, phát triển thương hiệu, bán hàng, hỗ trợ chiết khấu bán hàng, chi phí quản lý vận hành được tính bằng tỷ lệ % trên doanh thu phù hợp với tính chất, quy mô dự án và tình hình thực tế tại địa phương. Trường hợp khi ước tính doanh thu phát triển đã loại trừ các chi phí quy định tại điểm này trong khi lựa chọn thửa đất so sánh thì không tính đến các chi phí này khi ước tính chi phí phát triển;
c) Chi phí lãi vay, lợi nhuận của nhà đầu tư có tính đến vốn chủ sở hữu, rủi ro trong kinh doanh được tính bằng tỷ lệ % nhân với tổng của chi phí quy định tại điểm a, điểm b khoản này và giá trị quyền sử dụng đất của thửa đất, khu đất cần định giá theo quy định tại khoản 6 Điều này;
d) Tổng chi phí phát triển của thửa đất, khu đất quy định tại khoản này không bao gồm kinh phí bồi thường, hỗ trợ, tái định cư theo phương án đã được cấp có thẩm quyền phê duyệt. Việc hoàn trả kinh phí bồi thường, hỗ trợ, tái định cư mà nhà đầu tư đã tự nguyện ứng trước thực hiện theo quy định tại khoản 2 Điều 94 Luật Đất đai;
đ) Căn cứ thông tin về các dự án tương tự trong khu vực định giá hoặc khu vực lân cận gần nhất, cơ quan có chức năng quản lý đất đai cấp tỉnh chủ trì, phối hợp với các sở, ngành có liên quan tham mưu, trình Ủy ban nhân dân cấp tỉnh quy định cụ thể các tỷ lệ % để xác định chi phí kinh doanh; chi phí lãi vay, lợi nhuận của nhà đầu tư có tính đến vốn chủ sở hữu, rủi ro trong kinh doanh cho các nhóm dự án cùng mục đích sử dụng đất chính hoặc từng dự án cụ thể để áp dụng chậm nhất từ ngày 01 tháng 01 năm 2025. Trong trường hợp cần thiết, Ủy ban nhân dân cấp tỉnh điều chỉnh để phù hợp với tình hình thực tế của địa phương.
Trong thời gian Ủy ban nhân dân cấp tỉnh chưa quy định chi phí kinh doanh thì chi phí kinh doanh được xác định bằng mức bình quân của 03 dự án đầu tư cùng mục đích sử dụng đất chính có khoảng cách gần nhất đến thửa đất, khu đất cần định giá.
Trong thời gian Ủy ban nhân dân cấp tỉnh chưa quy định tỷ lệ % để tính chi phí lãi vay, lợi nhuận của nhà đầu tư có tính đến vốn chủ sở hữu, rủi ro trong kinh doanh thì tổ chức thực hiện định giá đất đề xuất trong báo cáo thuyết minh xây dựng phương án giá đất đối với từng dự án để Hội đồng thẩm định giá đất xem xét, quyết định.
Đối với thời gian xây dựng, tiến độ xây dựng thì căn cứ vào tiến độ đã được xác định trong chủ trương đầu tư hoặc hồ sơ mời thầu thực hiện dự án đầu tư hoặc quyết định phê duyệt, chấp thuận dự án đầu tư để ước tính chi phí phát triển của dự án. Trường hợp trong các văn bản về chủ trương đầu tư hoặc hồ sơ mời thầu thực hiện dự án đầu tư hoặc quyết định phê duyệt, chấp thuận dự án đầu tư chưa xác định thời gian xây dựng, tiến độ xây dựng thì Ủy ban nhân dân cấp tỉnh quy định phù hợp với tình hình thực tế tại địa phương cho các nhóm dự án cùng mục đích sử dụng đất chính hoặc từng dự án cụ thể để áp dụng hoặc tổ chức thực hiện định giá đất căn cứ số liệu thực tế của 03 dự án đầu tư cùng mục đích sử dụng đất chính có khoảng cách gần nhất đến thửa đất, khu đất cần định giá đề xuất để Hội đồng thẩm định giá đất xem xét, quyết định.
4. Việc ước tính tổng chi phí đầu tư xây dựng được thực hiện như sau:
a) Chi phí đầu tư xây dựng được ước tính theo quy hoạch chi tiết xây dựng hoặc quy hoạch tổng mặt bằng hoặc hồ sơ thiết kế cơ sở hoặc hồ sơ thiết kế thi công được cơ quan có thẩm quyền thẩm định, phê duyệt. Việc ước tính chi phí đầu tư xây dựng quy định tại điểm này thực hiện theo quy định của pháp luật về xây dựng;
b)[22] Việc ước tính tổng chi phí đầu tư xây dựng căn cứ theo thứ tự ưu tiên như sau:
- Dự toán xây dựng đã được cơ quan chuyên môn về xây dựng thẩm định và chủ đầu tư phê duyệt theo quy định của pháp luật về xây dựng;
- Dự toán xây dựng dựa trên định mức, đơn giá do cơ quan nhà nước có thẩm quyền ban hành, công bố và đã được cơ quan, tổ chức tư vấn thẩm định hoặc thẩm tra độc lập. Cơ quan, tổ chức tư vấn thẩm định hoặc thẩm tra độc lập chịu trách nhiệm trước pháp luật về kết quả thẩm định hoặc thẩm tra đối với dự toán xây dựng mà mình đã thực hiện;
- Suất vốn đầu tư xây dựng do Bộ Xây dựng công bố.
Dự toán xây dựng được thẩm định, thẩm tra quy định tại điểm này được phép xác định chậm nhất đến thời điểm tổ chức phiên họp đầu tiên của Hội đồng thẩm định giá đất cụ thể;
c)[23] Trường hợp chưa có các căn cứ quy định tại điểm b khoản này thì tổ chức thực hiện định giá đất thu thập thông tin về chi phí thực tế phổ biến của 03 dự án đầu tư cùng mục đích sử dụng đất chính có khoảng cách gần nhất đến thửa đất, khu đất cần định giá, tương đồng nhất định về các yếu tố ảnh hưởng đến giá đất để đề xuất Hội đồng thẩm định giá đất xem xét, quyết định cho từng dự án.
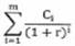
5. Việc ước tính các khoản doanh thu, chi phí thực hiện theo từng năm thực hiện dự án và phải chiết khấu về giá trị hiện tại tại thời điểm định giá đất. Việc ước tính tổng doanh thu phát triển, tổng chi phí phát triển của khu đất, thửa đất thực hiện theo công thức sau:
Tổng doanh thu phát triển =
Tổng chi phí phát triển = ![]()
Trong đó:
- TRi là doanh thu năm thứ i của dự án;
- Ci là chi phí năm thứ i của dự án;
- r là tỷ lệ chiết khấu tính theo lãi suất cho vay trung hạn (từ 01 năm đến 03 năm) bình quân bằng tiền Việt Nam đối với dự án đầu tư, kinh doanh bất động sản của các ngân hàng thương mại nhà nước của năm liền kề tính đến hết quý gần nhất có số liệu trước thời điểm định giá;
- n là số năm bán hàng của dự án (tính tròn năm);
- m là số năm xây dựng và phát sinh chi phí của dự án (tính tròn năm).
6. Xác định giá đất của thửa đất, khu đất cần định giá
Giá trị quyền sử dụng đất của thửa đất, khu đất cần định giá được xác định theo công thức sau:
| Giá trị quyền sử dụng đất của thửa đất, khu đất cần định giá | = | Tổng doanh thu phát triển | - | Tổng chi phí phát triển |
Giá đất của thửa đất, khu đất cần định giá được xác định theo công thức sau:
| Giá đất của thửa đất, khu đất cần định giá | = | Giá trị quyền sử dụng đất của thửa đất, khu đất đất cần định giá |
| Diện tích thửa đất, khu đất cần định giá |
7.[24] Trường hợp trong quyết định giao đất, cho thuê đất có diện tích giao đất có thu tiền sử dụng đất, có diện tích cho thuê đất trả tiền thuê đất một lần cho cả thời gian thuê hoặc có diện tích cho thuê đất trả tiền thuê đất hằng năm hoặc có diện tích giao đất không thu tiền sử dụng đất thì giá đất của thửa đất cần định giá quy định tại khoản 6 Điều này được xác định theo từng phần diện tích giao đất có thu tiền sử dụng đất, cho thuê đất trả tiền thuê đất một lần cho cả thời gian thuê trong quyết định giao đất, cho thuê đất đó. Việc phân bổ chi phí xây dựng kết cấu hạ tầng kỹ thuật theo từng phần diện tích giao đất có thu tiền sử dụng đất, cho thuê đất trả tiền thuê đất một lần cho cả thời gian thuê được thực hiện theo công thức sau:
| Chi phí xây dựng kết cấu hạ tầng kỹ thuật đối với phần diện tích giao đất có thu tiền | = | Tổng chi phí xây dựng kết cấu hạ tầng kỹ thuật của toàn bộ diện tích theo quyết định | x | Diện tích giao đất có thu tiền sử dụng đất |
| Tổng diện tích giao đất có thu tiền sử dụng đất, cho thuê đất trả tiền thuê đất một lần cho cả thời gian thuê |
| Chi phí xây dựng kết cấu hạ tầng kỹ thuật đối với phần diện tích cho thuê đất trả tiền thuê đất một lần cho cả thời gian thuê | = | Tổng chi phí xây dựng kết cấu hạ tầng kỹ thuật của toàn bộ diện tích theo quyết định | x | Diện tích cho thuê đất trả tiền thuê đất một lần cho cả thời gian thuê |
| Tổng diện tích giao đất có thu tiền sử dụng đất, cho thuê đất trả tiền thuê đất một lần cho cả thời gian thuê |
Trong đó: Tổng chi phí xây dựng kết cấu hạ tầng kỹ thuật của toàn bộ diện tích theo quyết định được xác định trong chi phí đầu tư xây dựng quy định tại khoản 3 Điều này được thực hiện theo quy định của pháp luật về xây dựng.
8.[25] Trường hợp thửa đất, khu đất cần định giá được cơ quan nhà nước có thẩm quyền giao đất, cho thuê đất để thực hiện dự án đầu tư theo nhiều quyết định thì thực hiện như sau:
a) Trường hợp diện tích giao đất, cho thuê đất có đầy đủ điều kiện để tính được doanh thu phát triển, chi phí phát triển của thửa đất, khu đất thì xác định doanh thu phát triển ước tính, chi phí phát triển ước tính được thực hiện theo diện tích giao đất, cho thuê đất của quyết định đó;
b) Trường hợp diện tích giao đất, cho thuê đất không ước tính được doanh thu phát triển hoặc chi phí phát triển ước tính lớn hơn doanh thu phát triển ước tính đối với diện tích cần định giá đất thì việc xác định doanh thu phát triển ước tính, chi phí phát triển ước tính được thực hiện cho toàn bộ dự án theo quy hoạch chi tiết hoặc quy hoạch tổng mặt bằng được cơ quan, cấp có thẩm quyền phê duyệt hoặc chấp thuận theo quy định pháp luật về quy hoạch đô thị và nông thôn;
c) Trường hợp trong một dự án có quyết định giao đất, cho thuê đất đáp ứng các điều kiện quy định tại điểm a khoản này đồng thời có quyết định giao đất chỉ với diện tích đất không thu tiền sử dụng đất hoặc có quyết định cho thuê đất chỉ với diện tích đất thuê trả tiền hằng năm hoặc có quyết định giao đất, cho thuê đất có phần diện tích không thu tiền sử dụng đất, phần diện tích trả tiền thuê đất hằng năm hoặc diện tích đất còn lại của dự án chưa được giao đất thuộc trường hợp giao đất không thu tiền sử dụng đất, chưa được cho thuê đất thuộc trường hợp trả tiền thuê đất hằng năm thì việc xác định doanh thu phát triển ước tính, chi phí phát triển ước tính được thực hiện cho toàn bộ dự án theo quy hoạch chi tiết hoặc quy hoạch tổng mặt bằng được cơ quan, cấp có thẩm quyền phê duyệt hoặc chấp thuận theo quy định pháp luật về quy hoạch đô thị và nông thôn.
9. Trong thời hạn 05 ngày làm việc kể từ ngày nhận được văn bản yêu cầu của cơ quan có chức năng quản lý đất đai, các ngân hàng thương mại nhà nước có trách nhiệm cung cấp thông tin bằng văn bản về lãi suất cho vay trung hạn quy định tại khoản 5 Điều này.
10. Việc xác định giá đất bằng phương pháp thặng dư được minh họa chi tiết tại ví dụ số 03 Phụ lục I ban hành kèm theo Nghị định số 226/2025/NĐ-CP[26].
Điều 7. Trình tự, nội dung xác định giá đất theo phương pháp hệ số điều chỉnh giá đất
1. Khảo sát, thu thập thông tin về các thửa đất cần định giá theo vị trí đất, khu vực quy định trong bảng giá đất, bao gồm: vị trí, diện tích, loại đất và thời hạn sử dụng, thông tin giá đất trong bảng giá đất.
2. Khảo sát, thu thập thông tin về giá đất theo quy định tại các điểm a, b, c khoản 3 và khoản 4 Điều 158 Luật Đất đai cho từng vị trí đất, khu vực.
Trường hợp thửa đất lựa chọn để thu thập thông tin có tài sản gắn liền với đất thì thực hiện chiết trừ giá trị tài sản gắn liền với đất để xác định giá đất của thửa đất theo quy định tại khoản 4 và khoản 5 Điều 4 của Nghị định này.
3. Xác định giá đất thị trường của từng vị trí đất, khu vực:
a) Thống kê giá đất thu thập được theo từng vị trí đất, khu vực;
b) Trường hợp giá đất thu thập theo từng vị trí đất, khu vực mà nhiều thửa đất có tính tương đồng nhất định về giá đất nếu có trường hợp giá đất quá cao hoặc quá thấp so với mặt bằng chung thì loại bỏ thông tin giá đất này trước khi xác định giá đất thị trường;
c) Giá đất thị trường của từng vị trí đất, khu vực được xác định bằng cách lấy bình quân số học của các mức giá đất tại vị trí đất, khu vực đó.
4. Xác định hệ số điều chỉnh giá đất
Hệ số điều chỉnh giá đất được xác định theo từng loại đất, vị trí đất, khu vực bằng cách lấy giá đất thị trường chia cho giá đất trong bảng giá đất tại vị trí đất, khu vực đó.
5. Giá đất của thửa đất cần định giá tại từng vị trí đất, khu vực được xác định như sau:
| Giá đất của thửa đất cần định giá | = | Giá đất trong bảng giá đất của thửa đất cần định giá | x | Hệ số điều chỉnh giá đất |
Điều 8. Các yếu tố ảnh hưởng đến giá đất
1. Các yếu tố ảnh hưởng đến giá đất đối với đất phi nông nghiệp, bao gồm:
a) Vị trí, địa điểm của thửa đất, khu đất;
b) Điều kiện về giao thông: độ rộng, kết cấu mặt đường, tiếp giáp với 01 hoặc nhiều mặt đường;
c) Điều kiện về cấp thoát nước, cấp điện;
d) Diện tích, kích thước, hình thể của thửa đất, khu đất;
đ) Các yếu tố liên quan đến quy hoạch xây dựng gồm: hệ số sử dụng đất, mật độ xây dựng, chỉ giới xây dựng, giới hạn về chiều cao công trình xây dựng, giới hạn số tầng hầm được xây dựng theo quy hoạch chi tiết xây dựng đã được cơ quan nhà nước có thẩm quyền phê duyệt (nếu có);
e) Hiện trạng môi trường, an ninh;
g) Thời hạn sử dụng đất;
h)[27] Các yếu tố khác ảnh hưởng đến giá đất phù hợp với điều kiện thực tế, truyền thống văn hóa, phong tục tập quán của địa phương, chi phí phát triển thương hiệu, chi phí thúc đẩy kinh doanh, hỗ trợ khách hàng, quà tặng, khuyến mại mà chủ đầu tư đã cộng vào giá bán và các chi phí hợp lý khác ảnh hưởng đến giá đất.
2. Các yếu tố ảnh hưởng đến giá đất đối với đất nông nghiệp, bao gồm:
a) Năng suất cây trồng, vật nuôi;
b) Vị trí, đặc điểm thửa đất, khu đất: khoảng cách gần nhất đến nơi sản xuất, tiêu thụ sản phẩm;
c) Điều kiện giao thông phục vụ sản xuất, tiêu thụ sản phẩm: độ rộng, cấp đường, kết cấu mặt đường; điều kiện về địa hình;
d) Thời hạn sử dụng đất, trừ đất nông nghiệp được Nhà nước giao cho hộ gia đình, cá nhân theo hạn mức giao đất nông nghiệp, đất nông nghiệp trong hạn mức nhận chuyển quyền thì không căn cứ vào thời hạn sử dụng đất;
đ) Các yếu tố khác ảnh hưởng đến giá đất phù hợp với thực tế, truyền thống văn hóa, phong tục tập quán của địa phương.
3. Cơ quan có chức năng quản lý đất đai cấp tỉnh chủ trì, phối hợp với các Sở, ngành có liên quan tham mưu, trình Ủy ban nhân dân cấp tỉnh quy định cụ thể các yếu tố ảnh hưởng đến giá đất, mức độ chênh lệch tối đa của từng yếu tố ảnh hưởng đến giá đất để xác định mức tương đồng nhất định, cách thức điều chỉnh đối với từng mức độ chênh lệch của từng yếu tố ảnh hưởng đến giá đất.
Trường hợp Ủy ban nhân dân cấp tỉnh chưa quy định hoặc quy định còn thiếu các yếu tố ảnh hưởng đến giá đất, mức độ chênh lệch tối đa của từng yếu tố ảnh hưởng đến giá đất, cách thức điều chỉnh đối với từng mức độ chênh lệch của từng yếu tố ảnh hưởng đến giá đất thì tổ chức thực hiện định giá đất đề xuất cụ thể trong Báo cáo thuyết minh xây dựng phương án giá đất để Hội đồng thẩm định giá đất xem xét, quyết định.
Điều 9. Áp dụng phương pháp định giá đất của các trường hợp quy định tại điểm c khoản 2 Điều 257 Luật Đất đai
1. Trường hợp giao đất có thu tiền sử dụng đất, cho thuê đất trả tiền thuê đất một lần cho cả thời gian thuê mà theo quy định tại thời điểm ban hành quyết định thuộc trường hợp áp dụng phương pháp hệ số điều chỉnh giá đất và trường hợp cho thuê đất trả tiền thuê đất hằng năm thì áp dụng bảng giá đất nhân với hệ số điều chỉnh giá đất tại thời điểm ban hành quyết định. Trường hợp thời điểm ban hành quyết định từ ngày 01 tháng 7 năm 2014 đến ngày 31 tháng 12 năm 2014 mà thuộc trường hợp áp dụng phương pháp hệ số điều chỉnh giá đất tại thời điểm ban hành quyết định và trường hợp cho thuê đất trả tiền thuê đất hằng năm thì áp dụng bảng giá đất tại thời điểm ban hành quyết định nhân với hệ số điều chỉnh giá đất năm 2015.
2. Trường hợp giao đất có thu tiền sử dụng đất, cho thuê đất trả tiền thuê đất một lần cho cả thời gian thuê mà theo quy định tại thời điểm ban hành quyết định không thuộc trường hợp áp dụng phương pháp hệ số điều chỉnh giá đất thì áp dụng các phương pháp theo quy định tại các điểm a, b, c khoản 5, các điểm a, b, c khoản 6 Điều 158 Luật Đất đai và các điều 4, 5, 6 của Nghị định này.
3. Trường hợp giao đất, cho thuê đất theo tiến độ bồi thường, hỗ trợ, tái định cư thì căn cứ quy định tại khoản 1 và khoản 2 Điều này để áp dụng các phương pháp định giá đất theo từng quyết định.
4. Đối với trường hợp quy định tại khoản 3 Điều này khi áp dụng phương pháp thặng dư để định giá đất thì xử lý như sau:
a) Trường hợp có đầy đủ điều kiện để ước tính được doanh thu phát triển, chi phí phát triển của thửa đất, khu đất thì xác định doanh thu phát triển ước tính, chi phí phát triển ước tính được thực hiện theo diện tích giao đất, cho thuê đất của quyết định đó;
b) Trường hợp không ước tính được đầy đủ doanh thu phát triển của thửa đất, khu đất hoặc chi phí phát triển ước tính lớn hơn doanh thu phát triển ước tính đối với diện tích cần định giá đất thì việc xác định doanh thu phát triển ước tính, chi phí phát triển ước tính được thực hiện cho toàn bộ dự án theo quy hoạch chi tiết xây dựng hoặc quy hoạch tổng mặt bằng được cơ quan có thẩm quyền phê duyệt.
5. Việc xác định giá đất bằng phương pháp thặng dư đối với trường hợp quy định tại khoản 4 Điều này được minh họa chi tiết tại ví dụ số 04 Phụ lục II ban hành kèm theo Nghị định này.
Điều 10. Trách nhiệm của các cơ quan, đơn vị trong việc cung cấp thông tin[28]
Các cơ quan, tổ chức, đơn vị được giao quản lý, khai thác, sử dụng nguồn thông tin quy định tại điểm b khoản 2 Điều 4 và điểm b khoản 1 Điều 5 của Nghị định này có trách nhiệm cung cấp thông tin để phục vụ công tác định giá đất bằng văn bản hoặc phương thức điện tử trong thời hạn 05 ngày làm việc kể từ ngày nhận được văn bản yêu cầu của cơ quan có chức năng quản lý đất đai hoặc tổ chức thực hiện định giá đất.
Trường hợp thu thập thông tin từ cơ sở dữ liệu quốc gia về đất đai thì khai thác trong cơ sở dữ liệu của địa phương.
Chương III. BẢNG GIÁ ĐẤT
Mục 1. QUY ĐỊNH CHUNG
Điều 11. Căn cứ xây dựng, điều chỉnh, sửa đổi, bổ sung bảng giá đất
Việc xây dựng, điều chỉnh, sửa đổi, bổ sung bảng giá đất phải thực hiện theo quy định tại Điều 158 Luật Đất đai và các điều 4, 5, 6, 7 của Nghị định này; kết quả tổng hợp, phân tích thông tin về giá đất thị trường; kết quả thực hiện bảng giá đất hiện hành; các yếu tố tự nhiên, kinh tế - xã hội, quản lý và sử dụng đất đai, các yếu tố ảnh hưởng đến giá đất.
Điều 12. Nội dung xây dựng, điều chỉnh, sửa đổi, bổ sung bảng giá đất
1. Quy định cụ thể giá các loại đất:
a) Giá đất trồng cây hằng năm gồm đất trồng lúa và đất trồng cây hằng năm khác;
b) Giá đất trồng cây lâu năm;
c) Giá đất rừng sản xuất;
d) Giá đất nuôi trồng thủy sản;
đ) Giá đất làm muối;
e) Giá đất ở tại nông thôn;
g) Giá đất ở tại đô thị;
h) Giá đất khu công nghiệp, cụm công nghiệp;
i) Giá đất thương mại, dịch vụ;
k) Giá đất cơ sở sản xuất phi nông nghiệp;
l) Giá đất sử dụng cho hoạt động khoáng sản;
m) Giá các loại đất trong khu công nghệ cao;
n) Giá các loại đất khác theo phân loại đất quy định tại Điều 9 Luật Đất đai chưa được quy định từ điểm a đến điểm m khoản này theo yêu cầu quản lý của địa phương.
2. Xác định giá đất đối với một số loại đất khác trong bảng giá đất:
a) Đối với đất rừng phòng hộ và đất rừng đặc dụng thì căn cứ vào giá đất rừng sản xuất tại khu vực lân cận để quy định mức giá đất;
b) Đối với đất chăn nuôi tập trung, các loại đất nông nghiệp khác thì căn cứ vào giá các loại đất nông nghiệp tại khu vực lân cận để quy định mức giá đất;
c) Đối với đất sử dụng vào các mục đích công cộng có mục đích kinh doanh, đất phi nông nghiệp khác thì căn cứ vào giá đất cơ sở sản xuất phi nông nghiệp tại khu vực lân cận để quy định mức giá đất;
d)[29] Đối với đất xây dựng trụ sở cơ quan; đất xây dựng công trình sự nghiệp; đất sử dụng vào các mục đích công cộng không có mục đích kinh doanh, đất tôn giáo, đất tín ngưỡng; đất nghĩa trang, nhà tang lễ, cơ sở hỏa táng; đất cơ sở lưu trữ tro cốt thì căn cứ vào giá đất cùng mục đích sử dụng tại khu vực lân cận để quy định mức giá đất.
Trường hợp trong bảng giá đất không có giá loại đất cùng mục đích sử dụng thì căn cứ vào giá đất ở hoặc giá đất thương mại, dịch vụ tại khu vực lân cận để quy định mức giá đất. Riêng đối với đất xây dựng công trình sự nghiệp thì căn cứ vào giá đất thương mại, dịch vụ hoặc đất cơ sở sản xuất phi nông nghiệp tại khu vực lân cận để quy định mức giá đất cho phù hợp với tình hình thực tế tại địa phương.
đ) Đối với đất sông, ngòi, kênh, rạch, suối và mặt nước chuyên dùng thì căn cứ vào mục đích sử dụng để quy định mức giá đất cho phù hợp;
3. Giá đất trong bảng giá đất đối với đất sử dụng có thời hạn được tính tương ứng với thời hạn sử dụng đất là 70 năm, trừ đất nông nghiệp được Nhà nước giao cho hộ gia đình, cá nhân theo hạn mức giao đất nông nghiệp, đất nông nghiệp trong hạn mức nhận chuyển quyền thì không căn cứ vào thời hạn sử dụng đất.
Điều 13. Chuẩn bị xây dựng bảng giá đất
Việc chuẩn bị xây dựng bảng giá đất lần đầu để công bố và áp dụng từ ngày 01 tháng 01 năm 2026 thực hiện như sau:
1. Cơ quan có chức năng quản lý đất đai cấp tỉnh lập dự án xây dựng bảng giá đất, trong đó xác định nội dung, thời gian, tiến độ, dự toán kinh phí thực hiện và các nội dung liên quan.
2. Cơ quan có chức năng quản lý đất đai cấp tỉnh chuẩn bị hồ sơ thẩm định dự án xây dựng bảng giá đất và gửi cơ quan có chức năng tài chính cấp tỉnh; cơ quan có chức năng tài chính cấp tỉnh có trách nhiệm thẩm định và gửi văn bản thẩm định hồ sơ dự án xây dựng bảng giá đất về cơ quan có chức năng quản lý đất đai cấp tỉnh. Hồ sơ thẩm định dự án xây dựng bảng giá đất gồm:
a) Công văn đề nghị thẩm định dự án xây dựng bảng giá đất;
b) Dự thảo Dự án xây dựng bảng giá đất;
c) Dự thảo Tờ trình về việc phê duyệt dự án;
d) Dự thảo Quyết định của Ủy ban nhân dân cấp tỉnh về việc phê duyệt dự án.
3. Cơ quan có chức năng quản lý đất đai cấp tỉnh tiếp thu, hoàn thiện ý kiến thẩm định và trình Ủy ban nhân dân cấp tỉnh hồ sơ dự án xây dựng bảng giá đất. Hồ sơ dự án xây dựng bảng giá đất gồm:
a) Dự án xây dựng bảng giá đất sau khi đã tiếp thu, hoàn thiện ý kiến thẩm định;
b) Tờ trình về việc phê duyệt dự án;
c) Dự thảo Quyết định của Ủy ban nhân dân cấp tỉnh về việc phê duyệt dự án;
d) Văn bản thẩm định hồ sơ dự án xây dựng bảng giá đất.
4. Ủy ban nhân dân cấp tỉnh chỉ đạo các sở, ngành, Ủy ban nhân dân cấp xã[30], Ban quản lý khu công nghệ cao, khu kinh tế (nếu có) để thực hiện xây dựng bảng giá đất.
5.[31] Căn cứ vào điều kiện thực tế tại địa phương, cơ quan có chức năng quản lý đất đai cấp tỉnh quyết định đặt hàng, giao nhiệm vụ cho đơn vị sự nghiệp công lập đủ điều kiện hoạt động tư vấn xác định giá đất hoặc lựa chọn tổ chức tư vấn xác định giá đất theo quy định của pháp luật về đấu thầu để xây dựng bảng giá đất.
6. Thành lập Hội đồng thẩm định bảng giá đất, Tổ giúp việc của Hội đồng:
a) Cơ quan có chức năng tài chính cấp tỉnh trình Chủ tịch[32] Ủy ban nhân dân cấp tỉnh thành phần Hội đồng thẩm định bảng giá đất theo quy định tại khoản 1 Điều 161 Luật Đất đai để thẩm định dự thảo bảng giá đất, trong đó:
Đại diện tổ chức tư vấn xác định giá đất tham gia Hội đồng là người đủ điều kiện hành nghề tư vấn xác định giá đất theo quy định và không thuộc tổ chức tư vấn xác định giá đất được thuê để xây dựng, điều chỉnh, sửa đổi, bổ sung bảng giá đất;
Chuyên gia về giá đất tham gia Hội đồng là người có tối thiểu 05 năm kinh nghiệm làm việc một trong các lĩnh vực tài chính đất đai, quản lý giá, quản lý đất đai, thẩm định giá.
b) Cơ quan có chức năng tài chính cấp tỉnh trình Chủ tịch Hội đồng thẩm định bảng giá đất quyết định thành lập Tổ giúp việc của Hội đồng, bao gồm: đại diện lãnh đạo Cơ quan có chức năng tài chính cấp tỉnh làm Tổ trưởng và đại diện các cơ quan có chức năng quản lý đất đai, xây dựng, kế hoạch và đầu tư, thuế và các thành viên khác do Chủ tịch Hội đồng quyết định. Tổ giúp việc có trách nhiệm chuẩn bị các nội dung theo phân công để đề xuất, báo cáo Hội đồng thẩm định bảng giá đất xem xét tại phiên họp thẩm định.
Điều 14. Trình tự, thủ tục xây dựng bảng giá đất
Việc xây dựng bảng giá đất lần đầu để công bố và áp dụng từ ngày 01 tháng 01 năm 2026 thực hiện như sau:
1. Tổ chức thực hiện định giá đất tiến hành xây dựng bảng giá đất như sau:
a) Điều tra, khảo sát, thu thập thông tin phục vụ việc xây dựng bảng giá đất theo khu vực, vị trí; việc xây dựng bảng giá đất đến từng thửa đất trên cơ sở vùng giá trị, thửa đất chuẩn;
b) Xác định loại đất, khu vực, vị trí đất tại từng xã, phường[33] đối với khu vực xây dựng bảng giá đất theo khu vực, vị trí; xác định loại đất, tổng số thửa đất, số thửa đất của mỗi loại đất đối với khu vực xây dựng bảng giá đất đến từng thửa đất trên cơ sở vùng giá trị, thửa đất chuẩn;
c) Tổng hợp, hoàn thiện hồ sơ kết quả điều tra, khảo sát, thu thập thông tin tại cấp xã, [34]cấp tỉnh; phân tích, đánh giá kết quả thực hiện bảng giá đất hiện hành đối với việc xây dựng bảng giá đất theo khu vực, vị trí;
d) Tổng hợp kết quả điều tra, khảo sát, thu thập thông tin; thiết lập vùng giá trị; lựa chọn thửa đất chuẩn và xác định giá cho thửa đất chuẩn; lập bảng tỷ lệ so sánh đối với việc xây dựng bảng giá đất đến từng thửa đất trên cơ sở vùng giá trị, thửa đất chuẩn;
đ) Xây dựng dự thảo bảng giá đất và dự thảo Báo cáo thuyết minh xây dựng bảng giá đất.
2. Cơ quan có chức năng quản lý đất đai cấp tỉnh có trách nhiệm xây dựng dự thảo Tờ trình về việc ban hành bảng giá đất; đăng hồ sơ lấy ý kiến đối với dự thảo bảng giá đất trên trang thông tin điện tử của Ủy ban nhân dân cấp tỉnh, cơ quan có chức năng quản lý đất đai cấp tỉnh trong thời gian 30 ngày; lấy ý kiến bằng văn bản đối với dự thảo bảng giá đất của Ủy ban Mặt trận Tổ quốc Việt Nam cấp tỉnh, các tổ chức thành viên của Mặt trận, cơ quan thuế, tổ chức công chứng nhà nước, tổ chức tư vấn xác định giá đất; tiếp thu, hoàn thiện dự thảo Tờ trình về việc ban hành bảng giá đất; chỉ đạo tổ chức thực hiện định giá đất tiếp thu, giải trình ý kiến góp ý, hoàn thiện dự thảo bảng giá đất và Báo cáo thuyết minh xây dựng bảng giá đất.
3. Cơ quan có chức năng quản lý đất đai cấp tỉnh trình Hội đồng thẩm định bảng giá đất hồ sơ trình thẩm định bảng giá đất; Hội đồng thẩm định bảng giá đất thực hiện thẩm định bảng giá đất và gửi văn bản thẩm định bảng giá đất về cơ quan có chức năng quản lý đất đai cấp tỉnh.
4. Cơ quan có chức năng quản lý đất đai cấp tỉnh tổ chức thực hiện tiếp thu, giải trình, chỉnh sửa và hoàn thiện dự thảo bảng giá đất theo ý kiến của Hội đồng thẩm định bảng giá đất; trình Ủy ban nhân dân cấp tỉnh.
5.[35] Ủy ban nhân dân cấp tỉnh trình Hội đồng nhân dân cùng cấp quyết định bảng giá đất, công bố công khai và chỉ đạo cập nhật vào cơ sở dữ liệu quốc gia về đất đai.
6.[36] Trong thời hạn không quá 15 ngày kể từ ngày quyết định ban hành bảng giá đất; quyết định điều chỉnh, sửa đổi, bổ sung bảng giá đất, Ủy ban nhân dân cấp tỉnh gửi kết quả về Bộ Nông nghiệp và Môi trường theo Mẫu số 28 của Phụ lục II ban hành kèm theo Nghị định số 151/2025/NĐ-CP ngày 12 tháng 6 năm 2025 của Chính phủ quy định về phân định thẩm quyền của chính quyền địa phương 02 cấp, phân quyền, phân cấp trong lĩnh vực đất đai.
Điều 15. Hồ sơ lấy ý kiến góp ý đối với dự thảo bảng giá đất, trình Hội đồng thẩm định bảng giá đất, trình Hội đồng nhân dân cấp tỉnh thông qua bảng giá đất
1. Hồ sơ lấy ý kiến góp ý đối với dự thảo bảng giá đất:
a) Dự thảo Tờ trình về việc ban hành bảng giá đất;
b) Dự thảo bảng giá đất;
c) Dự thảo Báo cáo thuyết minh xây dựng bảng giá đất.
2. Hồ sơ trình thẩm định bảng giá đất:
a) Tờ trình về việc ban hành bảng giá đất;
b) Dự thảo bảng giá đất;
c) Báo cáo thuyết minh xây dựng bảng giá đất;
d) Báo cáo tiếp thu, giải trình ý kiến góp ý đối với dự thảo bảng giá đất.
3. Hồ sơ trình Hội đồng nhân dân cấp tỉnh quyết định bảng giá đất:
a) Tờ trình về việc ban hành bảng giá đất;
b) Dự thảo bảng giá đất;
c) Báo cáo thuyết minh xây dựng bảng giá đất;
d) Báo cáo tiếp thu, giải trình ý kiến góp ý đối với dự thảo bảng giá đất;
đ) Văn bản thẩm định bảng giá đất;
e) Báo cáo tiếp thu, giải trình ý kiến thẩm định bảng giá đất.
Điều 16. Điều chỉnh, sửa đổi, bổ sung bảng giá đất
1.[37] Bảng giá đất do Ủy ban nhân dân cấp tỉnh trình Hội đồng nhân dân cùng cấp quyết định điều chỉnh, sửa đổi, bổ sung hằng năm để công bố và áp dụng từ ngày 01 tháng 01 của năm tiếp theo hoặc trong năm thực hiện như sau:
a) Điều chỉnh, sửa đổi giá đất của từng loại đất tại từng khu vực, vị trí có biến động trên thị trường đối với khu vực xây dựng bảng giá đất theo khu vực, vị trí; giá đất của từng thửa đất có biến động trên thị trường đối với khu vực xây dựng bảng giá đất đến từng thửa đất trên cơ sở vùng giá trị, thửa đất chuẩn;
b) Bổ sung giá đất chưa được quy định trong bảng giá đất hiện hành của từng loại đất tại từng khu vực, vị trí đối với khu vực xây dựng bảng giá đất theo khu vực, vị trí; của từng thửa đất đối với khu vực xây dựng bảng giá đất đến từng thửa đất trên cơ sở vùng giá trị, thửa đất chuẩn;
c) Giữ nguyên giá đất trong bảng giá đất đã xây dựng, điều chỉnh, sửa đổi, bổ sung hiện hành của từng loại đất tại từng khu vực, vị trí không có biến động trên thị trường đối với khu vực xây dựng bảng giá đất theo khu vực, vị trí; giá đất của từng thửa đất không có biến động trên thị trường đối với khu vực xây dựng bảng giá đất đến từng thửa đất trên cơ sở vùng giá trị, thửa đất chuẩn.
2.[38] Trình tự, thủ tục điều chỉnh, sửa đổi, bổ sung bảng giá đất thực hiện theo quy định tại các Điều 13, 14 và 15 của Nghị định này; trường hợp điều chỉnh, sửa đổi, bổ sung bảng giá đất trong năm thì áp dụng một số hoặc toàn bộ trình tự quy định tại Điều 13, 14 và 15 Nghị định này.
3. Trường hợp thuộc đối tượng áp dụng bảng giá đất mà tại thời điểm định giá đất thửa đất, khu đất cần định giá chưa được quy định trong bảng giá đất thì căn cứ tình hình cụ thể tại địa phương, cơ quan có chức năng quản lý nhà nước về đất đai cấp tỉnh căn cứ vào giá đất trong bảng giá đất của khu vực, vị trí có điều kiện hạ tầng tương tự để xác định giá đất trình Ủy ban nhân dân cấp tỉnh quyết định, trừ trường hợp quy định tại khoản 3 Điều 111 Luật Đất đai.
Điều 17. Trình tự điều chỉnh bảng giá đất đối với trường hợp quy định tại khoản 1 Điều 257 Luật Đất đai
1. Cơ quan có chức năng quản lý đất đai cấp tỉnh lựa chọn tổ chức thực hiện định giá đất theo quy định tại khoản 5 Điều 13 của Nghị định này.
2. Tổ chức thực hiện định giá đất tiến hành điều chỉnh bảng giá đất theo quy định tại khoản 1 Điều 14 của Nghị định này.
3. Cơ quan có chức năng quản lý đất đai cấp tỉnh có trách nhiệm xây dựng dự thảo Tờ trình về việc ban hành bảng giá đất; tổ chức lấy ý kiến các cơ quan, tổ chức, cá nhân có liên quan về hồ sơ lấy ý kiến đối với dự thảo bảng giá đất; tiếp thu, hoàn thiện Tờ trình về việc ban hành bảng giá đất; tiếp thu, giải trình ý kiến góp ý, hoàn thiện dự thảo bảng giá đất và Báo cáo thuyết minh xây dựng bảng giá đất.
4. Cơ quan có chức năng quản lý đất đai cấp tỉnh trình Hội đồng thẩm định bảng giá đất.
5. Hội đồng thẩm định bảng giá đất thực hiện thẩm định bảng giá đất và gửi văn bản thẩm định về cơ quan có chức năng quản lý đất đai cấp tỉnh.
6. Cơ quan có chức năng quản lý đất đai cấp tỉnh thực hiện tiếp thu, giải trình, chỉnh sửa và hoàn thiện dự thảo bảng giá đất, trình Ủy ban nhân dân cấp tỉnh quyết định điều chỉnh bảng giá đất theo thành phần hồ sơ quy định tại khoản 3 Điều 15 của Nghị định này.
Mục 2. BẢNG GIÁ ĐẤT THEO VỊ TRÍ ĐẤT
Điều 18. Xác định khu vực trong xây dựng bảng giá đất
1. Các loại đất cần xác định khu vực trong bảng giá đất bao gồm: đất nông nghiệp, đất ở tại nông thôn; đất thương mại, dịch vụ tại nông thôn; đất sản xuất kinh doanh phi nông nghiệp không phải là đất thương mại, dịch vụ tại nông thôn; đất xây dựng trụ sở cơ quan, đất xây dựng công trình sự nghiệp, đất sử dụng vào mục đích công cộng và đất phi nông nghiệp khác tại nông thôn.
2. Khu vực trong xây dựng bảng giá đất được xác định theo từng đơn vị hành chính cấp xã và căn cứ vào năng suất, cây trồng, vật nuôi, khoảng cách đến nơi sản xuất, tiêu thụ sản phẩm, điều kiện giao thông phục vụ sản xuất, tiêu thụ sản phẩm (đối với đất nông nghiệp); căn cứ vào điều kiện kết cấu hạ tầng kỹ thuật, hạ tầng xã hội, các lợi thế cho sản xuất, kinh doanh; khoảng cách đến trung tâm chính trị, kinh tế, thương mại trong khu vực (đối với đất ở tại nông thôn; đất thương mại, dịch vụ tại nông thôn; đất sản xuất kinh doanh phi nông nghiệp không phải là đất thương mại, dịch vụ tại nông thôn; đất xây dựng trụ sở cơ quan, đất xây dựng công trình sự nghiệp, đất sử dụng vào mục đích công cộng và đất phi nông nghiệp khác tại nông thôn) và thực hiện theo quy định sau:
a) Khu vực 1 là khu vực có khả năng sinh lợi cao nhất và điều kiện kết cấu hạ tầng thuận lợi nhất;
b) Các khu vực tiếp theo là khu vực có khả năng sinh lợi thấp hơn và kết cấu hạ tầng kém thuận lợi hơn so với khu vực liền kề trước đó.
Điều 19. Điều tra, khảo sát, thu thập thông tin
1. Thu thập thông tin về các yếu tố tự nhiên, kinh tế - xã hội, quản lý và sử dụng đất đai ảnh hưởng đến giá đất tại xã, phường [39]theo Mẫu số 29 Phụ lục II ban hành kèm theo Nghị định số 151/2025/NĐ-CP.[40]
2. Thu thập thông tin đầu vào theo quy định tại điểm a và b khoản 2 Điều 4 của Nghị định này được hình thành trong thời gian 24 tháng tính từ thời điểm khảo sát trở về trước. Trường hợp thông tin có cùng thời điểm phát sinh thì ưu tiên lựa chọn nguồn thông tin theo thứ tự như sau: cơ sở dữ liệu quốc gia về đất đai, cơ sở dữ liệu quốc gia về giá; Văn phòng đăng ký đất đai; cơ quan thuế; đơn vị, tổ chức thực hiện việc đấu giá quyền sử dụng đất, đấu giá tài sản[41]; sàn giao dịch bất động sản, doanh nghiệp bất động sản; thông tin thu thập qua điều tra, khảo sát.
3. Điều tra, khảo sát, thu thập thông tin về các khoản thu nhập, chi phí để xác định giá đất theo phương pháp thu nhập đối với trường hợp không đủ điều kiện áp dụng phương pháp so sánh nhưng xác định được các khoản thu nhập, chi phí từ việc sử dụng đất theo mục đích sử dụng đất.
4. Việc điều tra, khảo sát, thu thập thông tin quy định tại khoản 2 và khoản 3 Điều này thực hiện từ Mẫu số 30 đến Mẫu số 31 Phụ lục II ban hành kèm theo Nghị định số 151/2025/NĐ-CP[42]. Ngoài các nội dung điều tra, khảo sát quy định tại khoản này, Ủy ban nhân dân cấp tỉnh có thể bổ sung các thông tin khác vào phiếu điều tra để đáp ứng yêu cầu xây dựng bảng giá đất tại địa phương.
Điều 20. Xác định vị trí đất trong xây dựng bảng giá đất
1. Căn cứ xác định vị trí đất trong xây dựng bảng giá đất
a) Đối với nhóm đất nông nghiệp: Vị trí đất trong xây dựng bảng giá đất được xác định theo từng khu vực và thực hiện như sau:
Vị trí 1 là vị trí mà tại đó các thửa đất có các yếu tố và điều kiện thuận lợi nhất;
Các vị trí tiếp theo là vị trí mà tại đó các thửa đất có các yếu tố và điều kiện kém thuận lợi hơn so với vị trí liền kề trước đó.
b) Đối với đất phi nông nghiệp: Vị trí đất được xác định gắn với từng đường, đoạn đường, phố, đoạn phố (đối với đất ở tại đô thị, đất thương mại, dịch vụ tại đô thị, đất sản xuất kinh doanh phi nông nghiệp không phải là đất thương mại, dịch vụ tại đô thị), đường, đoạn đường hoặc khu vực (đối với các loại đất phi nông nghiệp quy định tại khoản 1 Điều 18 của Nghị định này) và căn cứ vào điều kiện kết cấu hạ tầng kỹ thuật, hạ tầng xã hội, các lợi thế cho sản xuất, kinh doanh; khoảng cách đến trung tâm chính trị, kinh tế, thương mại trong khu vực và thực hiện như sau:
Vị trí 1 là vị trí mà tại đó các thửa đất có các yếu tố và điều kiện thuận lợi nhất;
Các vị trí tiếp theo là vị trí mà tại đó các thửa đất có các yếu tố và điều kiện kém thuận lợi hơn so với vị trí liền kề trước đó.
2.[43] Căn cứ quy định tại khoản 1 Điều này và tình hình thực tế tại địa phương, Hội đồng nhân dân cấp tỉnh quy định tiêu chí cụ thể để xác định vị trí đối với từng loại đất, số lượng vị trí đất trong bảng giá đất đồng thời với việc quyết định bảng giá đất. Đối với thửa đất, khu đất có yếu tố thuận lợi hoặc kém thuận lợi trong việc sử dụng đất, Hội đồng nhân dân cấp tỉnh căn cứ tình hình thực tế tại địa phương để quy định tăng hoặc giảm mức giá đối với một số trường hợp sau:
a) Đất thương mại, dịch vụ, đất sản xuất, kinh doanh phi nông nghiệp không phải là đất thương mại, dịch vụ có khả năng sinh lợi cao, có lợi thế trong việc sử dụng đất làm mặt bằng sản xuất, kinh doanh, thương mại và dịch vụ; đất nông nghiệp trong khu dân cư, trong địa giới hành chính phường; đất nông nghiệp trong cùng thửa đất có nhà ở;
b) Thửa đất ở có các yếu tố thuận lợi hơn hoặc kém thuận lợi hơn về các yếu tố ảnh hưởng đến giá đất so với các thửa đất ở có cùng vị trí đất trong bảng giá đất.
Điều 21. Tổng hợp, hoàn thiện hồ sơ kết quả điều tra, khảo sát, thu thập thông tin tại xã, phường[44]
1. Kiểm tra, rà soát toàn bộ phiếu điều tra và xác định mức giá của các vị trí đất sau khi thu thập thông tin giá đất quy định tại Điều 19 của Nghị định này. Mức giá của vị trí đất được xác định bằng bình quân số học mức giá của các thửa đất đã điều tra, khảo sát tại từng vị trí đất.
Đối với loại đất mà tại một hay một số vị trí đất không có thông tin về giá đất quy định tại khoản 2 Điều 19 của Nghị định này thì căn cứ vào giá đất trong bảng giá đất hiện hành, mức giá của các vị trí đất khác đã được xác định của loại đất đó, áp dụng phương pháp so sánh để xác định mức giá của các vị trí đất còn lại.
Đối với loại đất mà không có thông tin về giá đất quy định tại khoản 2 Điều 19 Nghị định này thì giá đất được xác định bằng phương pháp thu nhập dựa trên thông tin quy định tại khoản 3 Điều 19 của Nghị định này.
2. Thống kê giá đất đầu vào tại xã, phường thực hiện theo Mẫu số 32 Phụ lục II ban hành kèm theo Nghị định số 151/2025/NĐ-CP[45] và xây dựng báo cáo về tình hình và kết quả điều tra giá đất tại xã, phường. Báo cáo gồm các nội dung chủ yếu sau:
a) Đánh giá tổng quan về xã, phường;
b) Đánh giá tình hình và kết quả điều tra giá đất tại xã, phường; tình hình biến động và mức biến động (tăng hoặc giảm) giữa giá đất điều tra với giá đất cùng loại trong bảng giá đất hiện hành;
c) Đề xuất mức giá của các vị trí đất tại xã, phường.
3. Hoàn thiện hồ sơ kết quả điều tra khảo sát, thu thập thông tin giá đất tại xã, phường. Hồ sơ gồm có:
a) Phiếu thu thập thông tin về xã, phường;
b) Phiếu thu thập thông tin về thửa đất;
c) Bảng thống kê giá đất tại xã, phường;
d) Báo cáo về tình hình và kết quả điều tra giá đất tại xã, phường.
Điều 22. Tổng hợp, hoàn thiện hồ sơ kết quả điều tra, khảo sát, thu thập thông tin tại cấp tỉnh; phân tích, đánh giá kết quả thực hiện bảng giá đất hiện hành[46]
1.[47] Tổng hợp kết quả điều tra, thu thập thông tin giá đất tại cấp huyện thực hiện theo mẫu biểu từ Mẫu số 05 đến Mẫu số 08 Phụ lục I ban hành kèm theo Nghị định này và xây dựng báo cáo về tình hình và kết quả điều tra giá đất tại cấp huyện. Báo cáo gồm các nội dung chủ yếu sau:
a) Đánh giá về các yếu tố tự nhiên, kinh tế - xã hội, quản lý và sử dụng đất đai ảnh hưởng đến giá đất trên địa bàn cấp huyện;
b) Đánh giá tình hình và kết quả điều tra, thu thập thông tin giá đất; tình hình biến động và mức biến động (tăng hoặc giảm) giữa giá đất điều tra với giá đất cùng loại trong bảng giá đất hiện hành tại cấp huyện;
c) Đề xuất mức giá của các vị trí đất trên địa bàn cấp huyện.
2.[48] Hoàn thiện hồ sơ kết quả điều tra khảo sát, thu thập thông tin giá đất tại cấp huyện. Hồ sơ gồm có:
a) Bảng tổng hợp giá đất trên địa bàn cấp huyện;
b) Báo cáo về tình hình và kết quả điều tra giá đất thị trường tại cấp huyện.
3. Tổng hợp kết quả điều tra, thu thập thông tin giá đất tại cấp tỉnh thực hiện theo mẫu biểu từ Mẫu số 33 đến Mẫu số 36 Phụ lục II ban hành kèm theo Nghị định số 151/2025/NĐ-CP[49].
4. Phân tích, đánh giá kết quả thực hiện bảng giá đất hiện hành
a) Đánh giá tình hình biến động và mức biến động (tăng hoặc giảm) giữa giá đất điều tra với giá đất cùng loại trong bảng giá đất hiện hành;
b) Đánh giá các quy định trong bảng giá đất hiện hành.
Điều 23. Xây dựng dự thảo bảng giá đất, dự thảo Báo cáo thuyết minh xây dựng bảng giá đất theo khu vực, vị trí đất
1. Bảng giá đất được xây dựng theo khu vực, vị trí đất thực hiện theo mẫu biểu từ Mẫu số 37 đến Mẫu số 40 Phụ lục II ban hành kèm theo Nghị định số 151/2025/NĐ-CP[50].
2. Báo cáo thuyết minh xây dựng bảng giá đất theo khu vực, vị trí gồm các nội dung chủ yếu sau:
a) Đánh giá về điều kiện tự nhiên, kinh tế - xã hội, tình hình quản lý và sử dụng đất đai ảnh hưởng đến giá đất trên địa bàn cấp tỉnh;
b) Đánh giá tình hình và kết quả điều tra, thu thập thông tin giá đất trên địa bàn cấp tỉnh; kết quả thực hiện bảng giá đất hiện hành;
c) Đánh giá sự phù hợp hoặc chưa phù hợp của giá đất trong dự thảo bảng giá đất so với kết quả điều tra giá đất điều tra;
d) Việc quy định khu vực, vị trí đất; áp dụng các phương pháp định giá đất và mức giá các loại đất trong dự thảo bảng giá đất; các phương án giá các loại đất (nếu có);
đ) Đánh giá tác động của dự thảo bảng giá đất đến tình hình kinh tế - xã hội, môi trường đầu tư, việc thực hiện chính sách tài chính về đất đai và thu nhập, đời sống của hộ gia đình, cá nhân, tổ chức sử dụng đất.
Mục 3. BẢNG GIÁ ĐẤT ĐẾN TỪNG THỬA ĐẤT TRÊN CƠ SỞ VÙNG GIÁ TRỊ, THỬA ĐẤT CHUẨN
Điều 24. Điều kiện khu vực xây dựng bảng giá đất đến từng thửa đất trên cơ sở vùng giá trị, thửa đất chuẩn
Khu vực xây dựng bảng giá đất đến từng thửa đất trên cơ sở vùng giá trị, thửa đất chuẩn phải đảm bảo các điều kiện sau:
1. Có bản đồ địa chính số được chỉnh lý, cập nhật khi có sự thay đổi về hình dạng, kích thước, diện tích thửa đất và các yếu tố khác có liên quan đến nội dung bản đồ địa chính và đồng thời được cập nhật vào cơ sở dữ liệu quốc gia về đất đai theo quy định của pháp luật về bản đồ địa chính.
2.[51] Có cơ sở dữ liệu giá đất gồm: giá đất được ghi trong hợp đồng chuyển nhượng quyền sử dụng đất; giá trúng đấu giá quyền sử dụng đất sau khi hoàn thành nghĩa vụ tài chính; thông tin giá đất thu thập qua điều tra, khảo sát trong thời gian 24 tháng tính từ thời điểm phê duyệt dự án xây dựng bảng giá đất về trước.
Điều 25. Điều tra, khảo sát, thu thập và tổng hợp thông tin
1. Thu thập thông tin về các yếu tố tự nhiên, kinh tế - xã hội, quản lý và sử dụng đất đai ảnh hưởng đến giá đất tại khu vực xây dựng bảng giá đất đến từng thửa đất trên cơ sở vùng giá trị, thửa đất chuẩn.
2. Thu thập thông tin về đặc tính của tất cả các thửa đất tại khu vực xây dựng bảng giá đất đến từng thửa đất trên cơ sở vùng giá trị, thửa đất chuẩn theo các tiêu chí về đặc tính thửa đất.
3. Thu thập thông tin đầu vào để định giá đất theo quy định tại khoản 3 và khoản 4 Điều 158 Luật Đất đai theo Mẫu số 30 và Mẫu số 31 Phụ lục II ban hành kèm theo Nghị định số 151/2025/NĐ-CP[52].
4. Tổng hợp kết quả điều tra, khảo sát, thu thập thông tin phục vụ việc xây dựng bảng giá đất đến từng thửa đất trên cơ sở vùng giá trị, thửa đất chuẩn.
a) Tổng hợp thông tin về đặc tính của tất cả các thửa đất;
b) Tổng hợp thông tin giá đất đầu vào để định giá đất.
Điều 26. Thiết lập vùng giá trị
1. Căn cứ các yếu tố ảnh hưởng đến giá đất quy định tại Điều 8 của Nghị định này, tổ chức thực hiện định giá đất lựa chọn yếu tố ảnh hưởng đến giá đất để thiết lập vùng giá trị quy định tại khoản 48 Điều 3 Luật Đất đai nhằm phù hợp với tình hình thực tế tại địa phương.
Trường hợp sau khi thiết lập các vùng giá trị mà có các thửa đất không liền kề nhau nhưng có cùng mục đích sử dụng và có các yếu tố tương đồng về vị trí, khả năng sinh lợi, điều kiện kết cấu hạ tầng và các yếu tố ảnh hưởng đến giá đất so với các thửa đất thuộc vùng giá trị khác thì căn cứ tình hình cụ thể tại địa phương để thiết lập các vùng giá trị phù hợp với các thửa đất này.
2. Vùng giá trị được xác định ranh giới, đánh số thứ tự và biểu thị trên bản
đồ địa chính số.
Điều 27. Lựa chọn thửa đất chuẩn và xác định giá cho thửa đất chuẩn
1. Lựa chọn thửa đất chuẩn
Thửa đất có các đặc tính về diện tích, hình thể, kích thước mang tính đại diện cho các thửa đất trong vùng giá trị; có tính ổn định về vị trí, mục đích, hình dáng, quy hoạch sẽ được chọn làm thửa đất chuẩn để định giá cho các thửa đất khác trong vùng giá trị.
2. Xác định giá cho thửa đất chuẩn
a) Trường hợp thửa đất chuẩn có thông tin đầu vào theo quy định tại điểm a và b khoản 2 Điều 4 của Nghị định này và sử dụng thông tin theo quy định tại khoản 4 Điều 158 Luật Đất đai thì giá của thửa đất chuẩn là thông tin đầu vào;
b) Trường hợp thửa đất chuẩn không có thông tin về giá đất quy định tại điểm a khoản này, giá của thửa đất chuẩn được xác định thông qua các phương pháp định giá đất quy định tại điểm a, b, c khoản 5 Điều 158 Luật Đất đai và các điều 4, 5, 6 của Nghị định này.
Điều 28. Lập bảng tỷ lệ so sánh
1. Bảng tỷ lệ so sánh quy định cách thức điều chỉnh để xác định giá của thửa đất cụ thể trên cơ sở khác biệt các yếu tố ảnh hưởng đến giá đất của thửa đất chuẩn và thửa đất cụ thể.
2. Căn cứ các yếu tố ảnh hưởng đến giá đất, thông tin giá đất trên thị trường và tình hình cụ thể tại địa phương, tổ chức thực hiện định giá đất lập bảng tỷ lệ so sánh để đề xuất trong Báo cáo thuyết minh xây dựng bảng giá đất làm cơ sở để cơ quan có chức năng quản lý đất đai trình Hội đồng thẩm định bảng giá đất xem xét, quyết định.
Điều 29. Xây dựng dự thảo bảng giá đất, dự thảo Báo cáo thuyết minh xây dựng bảng giá đất đến từng thửa đất theo vùng giá trị, thửa đất chuẩn
1. Định giá các thửa đất cụ thể trong từng vùng giá trị
a) Căn cứ đặc tính của thửa đất và giá của thửa đất chuẩn, áp dụng cách thức điều chỉnh trong bảng tỷ lệ so sánh giá đất để tính giá của từng thửa đất cụ thể trong từng vùng giá trị;
b) Rà soát, kiểm tra, hiệu chỉnh kết quả xác định giá của thửa đất cụ thể: kiểm chứng mức chênh lệch giá đất giữa các thửa đất liền kề có cùng mục đích sử dụng trong từng vùng giá trị; kiểm chứng mức chênh lệch giá đất các thửa đất liền kề có cùng mục đích sử dụng giữa các vùng giá trị; hiệu chỉnh giá của thửa đất cụ thể.
2. Xây dựng dự thảo bảng giá đất đến từng thửa đất trên cơ sở vùng giá trị, thửa đất chuẩn.
3. Xây dựng dự thảo Báo cáo thuyết minh xây dựng bảng giá đất đến từng thửa đất trên cơ sở vùng giá trị, thửa đất chuẩn. Nội dung chi tiết của báo cáo như sau:
a) Đánh giá về điều kiện tự nhiên, kinh tế - xã hội, tình hình quản lý và sử dụng đất đai ảnh hưởng đến giá đất trên địa bàn cấp tỉnh;
b) Đánh giá điều kiện khu vực xây dựng bảng giá đất đến từng thửa đất trên cơ sở vùng giá trị, thửa đất chuẩn;
c) Đánh giá kết quả điều tra, khảo sát, thu thập thông tin phục vụ việc xây dựng bảng giá đất đến từng thửa đất trên cơ sở vùng giá trị, thửa đất chuẩn;
d) Kết quả thiết lập vùng giá trị, lựa chọn thửa đất chuẩn và xác định giá cho thửa đất chuẩn, lập bảng tỷ lệ so sánh và mức giá các loại đất trong dự thảo bảng giá đất; các phương án giá các loại đất (nếu có);
đ) Đánh giá tác động của dự thảo bảng giá đất đến tình hình kinh tế - xã hội, môi trường đầu tư, việc thực hiện chính sách tài chính về đất đai và thu nhập, đời sống của hộ gia đình, cá nhân, tổ chức sử dụng đất.
Chương IV. ĐỊNH GIÁ ĐẤT CỤ THỂ
Điều 30. Căn cứ định giá đất cụ thể
1. Việc định giá đất cụ thể phải thực hiện theo quy định tại Điều 158 Luật Đất đai và các điều 4, 5, 6, 7 của Nghị định này; kết quả tổng hợp, phân tích thông tin về giá đất thị trường; các yếu tố ảnh hưởng đến giá đất.
2. Giá đất cụ thể được xác định theo từng mục đích sử dụng đất, diện tích đất được xác định trong hồ sơ giao đất, cho thuê đất, công nhận quyền sử dụng đất, cho phép chuyển mục đích sử dụng đất, gia hạn sử dụng đất, điều chỉnh thời hạn sử dụng đất, điều chỉnh quy hoạch chi tiết, cho phép chuyển hình thức sử dụng đất, cổ phần hóa doanh nghiệp nhà nước, phương án đấu giá quyền sử dụng đất, thông báo thu hồi đất, kết quả điều tra, khảo sát, đo đạc, kiểm đếm.
Điều 31. Chuẩn bị hồ sơ định giá đất cụ thể và lựa chọn tổ chức thực hiện định giá đất
1. Cơ quan có chức năng quản lý đất đai có trách nhiệm chuẩn bị hồ sơ định giá đất cụ thể. Hồ sơ định giá đất cụ thể gồm:
a) Mục đích định giá đất, thời gian thực hiện và dự toán kinh phí;
b) Quyết định giao đất, cho thuê đất, cho phép chuyển mục đích sử dụng đất, công nhận quyền sử dụng đất, cho phép chuyển hình thức thuê đất trả tiền hàng năm sang thuê đất trả tiền một lần cho cả thời gian thuê, gia hạn sử dụng đất, điều chỉnh thời hạn sử dụng đất, điều chỉnh quy hoạch chi tiết xây dựng, thu hồi đất;
c) Các văn bản pháp lý khác liên quan đến thửa đất cần định giá.
2.[53] Căn cứ hồ sơ định giá đất cụ thể và điều kiện thực tế tại địa phương, cơ quan có chức năng quản lý đất đai cấp tỉnh, cơ quan có chức năng quản lý đất đai cấp xã quyết định đặt hàng, giao nhiệm vụ cho đơn vị sự nghiệp công lập đủ điều kiện hoạt động tư vấn xác định giá đất hoặc lựa chọn tổ chức tư vấn xác định giá đất theo quy định của pháp luật về đấu thầu để xác định giá đất cụ thể.
Điều 32. Thành lập Hội đồng thẩm định giá đất cụ thể
1. Cơ quan tài chính cùng cấp trình Chủ tịch[54] Ủy ban nhân dân cấp có thẩm quyền quyết định thành lập Hội đồng thẩm định giá đất cụ thể theo quy định tại khoản 2 và khoản 3 Điều 161 Luật Đất đai để thẩm định phương án giá đất theo hình thức Hội đồng hoạt động thường xuyên hoặc Hội đồng hoạt động theo vụ việc, trong đó:
a) Đại diện tổ chức tư vấn xác định giá đất tham gia Hội đồng là người đủ điều kiện hành nghề tư vấn xác định giá đất theo quy định và không thuộc tổ chức tư vấn xác định giá đất được thuê để xác định giá đất cụ thể;
b) Chuyên gia về giá đất tham gia Hội đồng là người có tối thiểu 05 năm kinh nghiệm làm việc một trong các lĩnh vực tài chính đất đai, quản lý giá, quản lý đất đai, thẩm định giá.
2. Cơ quan tài chính cùng cấp trình Chủ tịch Hội đồng thẩm định giá đất cụ thể có thẩm quyền quyết định thành lập Tổ giúp việc của Hội đồng, bao gồm: đại diện lãnh đạo cơ quan tài chính cùng cấp làm Tổ trưởng và đại diện các cơ quan có chức năng quản lý đất đai, xây dựng, kế hoạch và đầu tư, thuế cùng cấp và các thành viên khác do Chủ tịch Hội đồng quyết định. Tổ giúp việc có trách nhiệm chuẩn bị các nội dung theo phân công để đề xuất, báo cáo Hội đồng thẩm định giá đất cụ thể xem xét tại phiên họp thẩm định.
Điều 33. Trình tự, thủ tục xác định giá đất cụ thể
Tổ chức thực hiện định giá đất tiến hành xác định giá đất cụ thể gồm các nội dung sau:
1. Thu thập, tổng hợp, phân tích thông tin
a) Các thông tin cần thu thập gồm thông tin về thửa đất định giá, thông tin đầu vào để áp dụng các phương pháp định giá đất.
Việc thu thập, tổng hợp thông tin về thửa đất, thông tin đầu vào để áp dụng các phương pháp định giá đất thực hiện theo mẫu biểu từ Mẫu số 30 đến Mẫu số 31 Phụ lục II ban hành kèm theo Nghị định số 151/2025/NĐ-CP[55];
b) Tổ chức thực hiện định giá đất chịu trách nhiệm về tính chính xác, đầy đủ của các thông tin để áp dụng phương pháp định giá đất và cung cấp thông tin về kết quả điều tra, thu thập thông tin đầu vào cho cơ quan có chức năng quản lý đất đai để cập nhật cơ sở dữ liệu về giá đất.
2. Lựa chọn phương pháp định giá đất
Căn cứ vào mục đích sử dụng đất được đưa ra định giá, đặc điểm của thửa đất, khu đất cần định giá, các thông tin đã thu thập được, điều kiện áp dụng các phương pháp định giá đất quy định tại khoản 6 Điều 158 Luật Đất đai, tổ chức thực hiện định giá đất có trách nhiệm phân tích, lựa chọn phương pháp định giá đất phù hợp đề xuất Hội đồng thẩm định giá đất cụ thể quyết định.
3. Xây dựng Báo cáo thuyết minh xây dựng phương án giá đất, dự thảo Chứng thư định giá đất
a) Tổ chức thực hiện định giá đất xây dựng Báo cáo thuyết minh xây dựng phương án giá đất, dự thảo Chứng thư định giá đất và gửi đến cơ quan có chức năng quản lý đất đai;
b) Báo cáo thuyết minh xây dựng phương án giá đất thực hiện theo Mẫu số 41 Phụ lục II ban hành kèm theo Nghị định số 151/2025/NĐ-CP[56]. Chứng thư định giá đất thực hiện theo Mẫu số 42 Phụ lục II ban hành kèm theo Nghị định số 151/2025/NĐ-CP[57].
Điều 34. Thẩm định giá đất cụ thể
1.[58] Cơ quan có chức năng quản lý đất đai kiểm tra tính đầy đủ về nội dung của Báo cáo thuyết minh xây dựng phương án giá đất; xây dựng Tờ trình về phương án giá đất, văn bản đề nghị thẩm định phương án giá đất; trình Hội đồng thẩm định giá đất cụ thể thẩm định phương án giá đất, trừ trường hợp quy định tại khoản 3 Điều này. Hồ sơ trình Hội đồng thẩm định giá đất cụ thể gồm:
a) Văn bản đề nghị thẩm định phương án giá đất;
b) Tờ trình về phương án giá đất;
c) Báo cáo thuyết minh xây dựng phương án giá đất, dự thảo Chứng thư định giá đất;
d) Hồ sơ định giá đất cụ thể.
2. Hội đồng thẩm định giá đất cụ thể thẩm định phương án giá đất và gửi văn bản thẩm định phương án giá đất đến cơ quan có chức năng quản lý đất đai.
3.[59] Trường hợp xác định giá đất cụ thể để tính tiền bồi thường khi Nhà nước thu hồi đất được thực hiện như sau:
a) Cơ quan có chức năng quản lý đất đai cấp xã cung cấp phương án giá đất cho đơn vị, tổ chức thực hiện nhiệm vụ bồi thường, hỗ trợ, tái định cư để lập phương án bồi thường, hỗ trợ, tái định cư;
b) Cơ quan có chức năng quản lý đất đai cấp xã tổ chức việc tiếp thu, hoàn thiện hồ sơ theo quy định tại khoản 1 Điều này;
c) Cơ quan có chức năng quản lý đất đai cấp xã chủ trì, phối hợp với Hội đồng thẩm định giá đất cụ thể, các cơ quan có liên quan để tổ chức thẩm định phương án bồi thường, hỗ trợ, tái định cư đồng thời với việc thẩm định phương án giá đất.
Điều 35. Quyết định giá đất cụ thể
1. Cơ quan có chức năng quản lý đất đai tổ chức thực hiện tiếp thu, giải trình, chỉnh sửa, hoàn thiện phương án giá đất.
2. Cơ quan có chức năng quản lý đất đai trình Chủ tịch Ủy ban nhân dân cấp có thẩm quyền quyết định giá đất cụ thể. Hồ sơ phương án giá đất trình Chủ tịch Ủy ban nhân dân cấp có thẩm quyền quyết định giá đất cụ thể gồm:
a) Tờ trình về phương án giá đất của cơ quan có chức năng quản lý đất đai;
b) Báo cáo thuyết minh xây dựng phương án giá đất, Chứng thư định giá đất;
c) Văn bản thẩm định phương án giá đất của Hội đồng thẩm định giá đất cụ thể;
d) Biên bản cuộc họp Hội đồng thẩm định giá đất cụ thể;
đ) Báo cáo tiếp thu, chỉnh sửa, hoàn thiện phương án giá đất theo văn bản thẩm định phương án giá đất của Hội đồng thẩm định giá đất cụ thể.
3.[60] Trường hợp giá đất cụ thể được áp dụng để tính tiền bồi thường khi Nhà nước thu hồi đất theo quy định tại điểm e khoản 1 Điều 160 Luật Đất đai thì cơ quan có chức năng quản lý đất đai cấp xã hoàn thiện hồ sơ giá đất cụ thể quy định tại các điểm b, c, d và đ khoản 2 Điều này, hồ sơ phương án bồi thường, hỗ trợ, tái định cư, trình Chủ tịch Ủy ban nhân dân cấp xã phê duyệt trong cùng một quyết định.
4.[61] Cơ quan có chức năng quản lý đất đai có trách nhiệm lưu trữ và cập nhật vào cơ sở dữ liệu quốc gia về đất đai và công khai báo cáo thuyết minh phương án giá đất, quyết định giá đất trên Cổng thông tin điện tử. Hồ sơ định giá đất cụ thể được lưu giữ ít nhất là mười năm, kể từ ngày có quyết định phê duyệt giá đất cụ thể của cơ quan nhà nước có thẩm quyền, trừ trường hợp pháp luật có quy định khác. Trong thời gian không quá 15 ngày kể từ ngày Chủ tịch Ủy ban nhân dân cấp có thẩm quyền quyết định giá đất cụ thể, cơ quan có chức năng quản lý đất đai gửi kết quả xác định giá đất cụ thể về Bộ Nông nghiệp và Môi trường theo Mẫu số 43 của Phụ lục II ban hành kèm theo Nghị định số 151/2025/NĐ-CP.
5. Cơ quan, tổ chức, người có thẩm quyền xác định, thẩm định, quyết định giá đất cụ thể chịu trách nhiệm về áp dụng nguyên tắc, phương pháp định giá đất, trình tự, thủ tục xác định giá đất cụ thể, thẩm định, quyết định giá đất cụ thể đã được quy định tại Nghị định này; không chịu trách nhiệm về các nội dung khác đã được cơ quan, người có thẩm quyền thẩm định, chấp thuận, quyết định, phê duyệt hoặc giải quyết trước đó.
Điều 36. Điều kiện của cá nhân hành nghề tư vấn xác định giá đất
1. Cá nhân được hành nghề tư vấn xác định giá đất trong tổ chức tư vấn xác định giá đất khi có đủ các điều kiện sau đây:
a) Có bằng tốt nghiệp đại học trở lên thuộc các ngành hoặc chuyên ngành về quản lý đất đai, địa chính, bất động sản, thẩm định giá, kinh tế, tài chính, kế toán, kiểm toán, ngân hàng;
b)[62] Có thời gian công tác thực tế theo ngành hoặc chuyên ngành đào tạo từ 24 tháng trở lên sau khi có bằng tốt nghiệp ngành hoặc chuyên ngành quy định tại điểm a khoản này tính đến ngày đăng ký danh sách định giá viên, thay đổi, bổ sung danh sách định giá viên;
c) Có Giấy chứng nhận đã hoàn thành khóa đào tạo, bồi dưỡng nghiệp vụ về giá đất do các cơ sở đào tạo, bồi dưỡng nghiệp vụ về giá đất quy định tại khoản 3 Điều này.
2. Trường hợp cá nhân đã được cấp Thẻ thẩm định viên về giá theo quy định của pháp luật về giá thì không cần đáp ứng các điều kiện quy định tại các khoản 1 Điều này.
3.[63] Cơ sở đào tạo, bồi dưỡng nghiệp vụ về giá đất xây dựng kế hoạch đào tạo, bồi dưỡng nghiệp vụ về giá đất, phải đảm bảo đội ngũ giảng viên, giáo trình và tài liệu dự kiến giảng dạy, bộ câu hỏi thi sát hạch hoàn thành khóa đào tạo, bồi dưỡng nghiệp vụ về giá đất, tiến hành đánh giá quá trình tham gia đào tạo của người học, tổ chức sát hạch hoàn thành khóa đào tạo, bồi dưỡng nghiệp vụ về giá đất, cấp Giấy chứng nhận hoàn thành khóa đào tạo, bồi dưỡng nghiệp vụ về giá đất và thực hiện lưu trữ thông tin theo quy định.
4.[64] Trong thời gian không quá 10 ngày làm việc kể từ ngày nhận đủ hồ sơ hợp lệ quy định tại khoản 3 Điều này, Bộ Tài nguyên và Môi trường có trách nhiệm công khai các cơ sở đào tạo, bồi dưỡng nghiệp vụ về giá đất đáp ứng điều kiện quy định tại điểm c khoản 3 Điều này trên Cổng thông tin điện tử của Bộ Tài nguyên và Môi trường hoặc thông báo bằng văn bản cho các trường hợp không đáp ứng điều kiện; thanh tra, kiểm tra việc tuân thủ các quy định tại khoản 3 Điều này đối với các cơ sở đào tạo, bồi dưỡng nghiệp vụ về giá đất.
5.[65] Cơ quan có chức năng quản lý đất đai cấp tỉnh có trách nhiệm lập danh sách tổ chức tư vấn xác định giá đất, định giá viên báo cáo Bộ Tài nguyên và Môi trường có ý kiến trước khi công khai danh sách đủ điều kiện hành nghề tư vấn xác định giá đất, cập nhật vào Cổng thông tin điện tử của Bộ Tài nguyên và Môi trường; kiểm tra, theo dõi việc chấp hành pháp luật về tư vấn xác định giá đất của tổ chức tư vấn xác định giá đất, định giá viên.
Chương V. ĐIỀU KHOẢN THI HÀNH
Điều 37. Căn cứ khoản 2 Điều 112 Luật Đất đai ngày 29 tháng 11 năm 2013 sửa đổi, bổ sung Nghị định số 44/2014/NĐ-CP ngày 15 tháng 5 năm 2014 của Chính phủ quy định về giá đất (được sửa đổi, bổ sung tại Nghị định số 12/2024/NĐ-CP ngày 05 tháng 2 năm 2024 sửa đổi, bổ sung một số điều của Nghị định số 44/2014/NĐ-CP ngày 15 tháng 5 năm 2014 của Chính phủ quy định về giá đất và Nghị định số 10/2023/NĐ-CP ngày 03 tháng 4 năm 2023 của Chính phủ sửa đổi, bổ sung một số điều của các nghị định hướng dẫn thi hành Luật Đất đai)
1. Sửa đổi, bổ sung Điều 5đ như sau:
“Điều 5đ. Trình tự, nội dung xác định giá đất theo phương pháp thặng dư
1. Khảo sát, thu thập các thông tin về thửa đất, khu đất cần định giá; các thông tin về quy hoạch sử dụng đất, quy hoạch chi tiết xây dựng hoặc quy hoạch tổng mặt bằng, các hồ sơ, tài liệu theo quy định của pháp luật về xây dựng đã được cơ quan nhà nước có thẩm quyền thẩm định, phê duyệt để xác định hiệu quả sử dụng đất cao nhất và các thông tin cần thiết khác phục vụ định giá đất.
2. Ước tính tổng doanh thu phát triển của thửa đất, khu đất
a) Tổng doanh thu phát triển của thửa đất, khu đất được xác định trên cơ sở ước tính giá chuyển nhượng, giá thuê đất, giá thuê mặt bằng, giá kinh doanh sản phẩm, dịch vụ, mức biến động của giá chuyển nhượng, giá thuê đất, giá thuê mặt bằng, giá kinh doanh sản phẩm, dịch vụ trong thời gian thực hiện dự án và các yếu tố khác hình thành doanh thu bao gồm: thời gian bán hàng; thời điểm bắt đầu bán hàng, kinh doanh sản phẩm, dịch vụ; tỷ lệ bán hàng; tỷ lệ lấp đầy.
Giá kinh doanh sản phẩm, dịch vụ được áp dụng trong trường hợp không thu thập được giá chuyển nhượng, giá thuê đất, giá thuê mặt bằng;
b) Khảo sát, thu thập thông tin về giá chuyển nhượng, giá thuê đất, giá thuê mặt bằng; giá kinh doanh sản phẩm, dịch vụ thực hiện theo quy định tại khoản 1 và khoản 2 Điều 5b của Nghị định này;
c) Việc ước tính giá chuyển nhượng, giá thuê đất, giá thuê mặt bằng, giá kinh doanh sản phẩm, dịch vụ để xác định tổng doanh thu phát triển của thửa đất, khu đất được thực hiện bằng phương pháp so sánh như đối với thửa đất, khu đất cần định giá đã được đầu tư xây dựng theo quy hoạch chi tiết xây dựng hoặc quy hoạch tổng mặt bằng đã được phê duyệt;
d) Việc xác định mức biến động của giá chuyển nhượng, giá thuê đất, giá thuê mặt bằng, giá kinh doanh sản phẩm, dịch vụ căn cứ vào số liệu của cơ quan thống kê hoặc cơ quan quản lý thị trường bất động sản. Trường hợp không có số liệu của cơ quan thống kê hoặc cơ quan quản lý thị trường bất động sản thì thực hiện như sau:
Đối với trường hợp xác định mức biến động của giá chuyển nhượng thì căn cứ theo chỉ số giá tiêu dùng nhóm nhà ở và vật liệu xây dựng bình quân 03 năm liền kề trước thời điểm định giá đất do cơ quan nhà nước có thẩm quyền công bố áp dụng trên địa bàn hành chính cấp tỉnh, trường hợp địa phương không công bố chỉ số giá tiêu dùng nhóm nhà ở và vật liệu xây dựng thì lấy theo chỉ số giá tiêu dùng nhóm nhà ở và vật liệu xây dựng của cả nước;
Đối với trường hợp xác định mức biến động của giá thuê đất, giá thuê mặt bằng thì căn cứ theo mức biến động thể hiện trong các hợp đồng cho thuê đất, cho thuê mặt bằng; đối với trường hợp xác định mức biến động của giá kinh doanh sản phẩm, dịch vụ thì căn cứ số liệu thực tế trên thị trường do tổ chức thực hiện định giá đất điều tra, khảo sát và đề xuất để Hội đồng thẩm định giá đất quyết định;
đ) Căn cứ tình hình thực tế tại địa phương, cơ quan có chức năng quản lý đất đai cấp tỉnh chủ trì, phối hợp với các sở, ngành có liên quan tham mưu, trình Ủy ban nhân dân cấp tỉnh quy định cụ thể tỷ lệ bán hàng, tỷ lệ lấp đầy.
Trường hợp Ủy ban nhân dân cấp tỉnh chưa quy định tỷ lệ bán hàng, tỷ lệ lấp đầy thì tổ chức thực hiện định giá đất căn cứ số liệu thực tế của 03 dự án đầu tư cùng mục đích sử dụng đất chính có khoảng cách gần nhất đến thửa đất, khu đất cần định giá để đề xuất trong Báo cáo thuyết minh xây dựng phương án giá đất đối với từng dự án để Hội đồng thẩm định giá đất xem xét, quyết định.
Đối với thời gian bán hàng, thời điểm bắt đầu bán hàng, kinh doanh sản phẩm, dịch vụ thì căn cứ vào tiến độ đã được xác định trong chủ trương đầu tư hoặc hồ sơ mời thầu thực hiện dự án đầu tư hoặc quyết định phê duyệt, chấp thuận dự án đầu tư để ước tính doanh thu phát triển của dự án. Trường hợp trong các văn bản về chủ trương đầu tư hoặc hồ sơ mời thầu thực hiện dự án đầu tư hoặc quyết định phê duyệt, chấp thuận dự án đầu tư chưa xác định thời gian bán hàng, thời điểm bắt đầu bán hàng thì Ủy ban nhân dân cấp tỉnh quy định phù hợp với tình hình thực tế tại địa phương cho các nhóm dự án cùng mục đích sử dụng đất chính hoặc từng dự án cụ thể để áp dụng hoặc tổ chức thực hiện định giá đất căn cứ số liệu thực tế của 03 dự án đầu tư cùng mục đích sử dụng đất chính có khoảng cách gần nhất đến thửa đất, khu đất cần định giá đề xuất để Hội đồng thẩm định giá đất xem xét, quyết định.
3. Ước tính tổng chi phí phát triển của thửa đất, khu đất
a) Các chi phí đầu tư xây dựng để xác định giá đất trong Nghị định này bao gồm:
- Chi phí xây dựng các công trình, hạng mục công trình của dự án (có tính đến chi phí dự phòng cho yếu tố trượt giá);
- Chi phí xây dựng các công trình, hạng mục công trình xây dựng tạm, phụ trợ phục vụ thi công; chi phí phá dỡ các công trình xây dựng không thuộc phạm vi của công tác phá dỡ giải phóng mặt bằng đã được xác định trong chi phí bồi thường, hỗ trợ, tái định cư;
- Chi phí thiết bị;
- Chi phí quản lý dự án;
- Chi phí tư vấn đầu tư xây dựng;
- Chi phí khác theo quy định của pháp luật về xây dựng mà góp phần trực tiếp thành doanh thu phát triển của dự án, do tổ chức thực hiện định giá đất lựa chọn đối với từng dự án cụ thể, đề xuất Hội đồng thẩm định giá đất quyết định.
Trường hợp áp dụng suất vốn đầu tư thì thực hiện theo quy định của pháp luật xây dựng về suất vốn đầu tư xây dựng công trình.
Trường hợp xác định giá đất đối với dự án lấn biển hoặc hạng mục lấn biển trong dự án đầu tư thì ngoài chi phí lấn biển đã được cơ quan nhà nước có thẩm quyền phê duyệt còn bao gồm các chi phí đầu tư xây dựng tại điểm này mà chưa được xác định trong dự án lấn biển hoặc hạng mục lấn biển trong dự án đầu tư đã được phê duyệt.
Trường hợp thửa đất, khu đất cần định giá thực hiện dự án đầu tư xây dựng kinh doanh nhà ở để bán hoặc để bán kết hợp cho thuê được chuyển nhượng quyền sử dụng đất dưới hình thức phân lô, bán nền thì không tính chi phí xây dựng nhà ở trong chi phí đầu tư xây dựng;
b) Chi phí kinh doanh bao gồm: chi phí tiếp thị, quảng cáo, bán hàng, chi phí quản lý vận hành được tính bằng tỷ lệ % trên doanh thu phù hợp với tính chất, quy mô dự án và tình hình thực tế tại địa phương;
c) Chi phí lãi vay, lợi nhuận của nhà đầu tư có tính đến vốn chủ sở hữu, rủi ro trong kinh doanh được tính bằng tỷ lệ % nhân với tổng của chi phí quy định tại điểm a, điểm b khoản này và giá trị quyền sử dụng đất của thửa đất, khu đất cần định giá theo quy định tại khoản 6 Điều này;
d) Tổng chi phí phát triển của thửa đất, khu đất quy định tại khoản này không bao gồm kinh phí bồi thường, hỗ trợ, tái định cư theo phương án đã được cấp có thẩm quyền phê duyệt. Việc hoàn trả kinh phí bồi thường, hỗ trợ, tái định cư mà nhà đầu tư đã tự nguyện ứng trước thực hiện theo quy định tại điểm a khoản 1 Điều 21 Nghị định số 45/2014/NĐ-CP ngày 15 tháng 5 năm 2014 của Chính phủ quy định về thu tiền sử dụng đất, điểm c khoản 1 Điều 23 Nghị định số 46/2014/NĐ-CP ngày 15 tháng 5 năm 2014 của Chính phủ quy định về thu tiền thuê đất, thuê mặt nước;
đ) Căn cứ thông tin về các dự án tương tự trong khu vực định giá hoặc khu vực lân cận gần nhất, cơ quan có chức năng quản lý đất đai cấp tỉnh chủ trì, phối hợp với các sở, ngành có liên quan tham mưu, trình Ủy ban nhân dân cấp tỉnh quy định cụ thể các tỷ lệ % để xác định chi phí kinh doanh; chi phí lãi vay, lợi nhuận của nhà đầu tư có tính đến vốn chủ sở hữu, rủi ro trong kinh doanh cho các nhóm dự án cùng mục đích sử dụng đất chính hoặc từng dự án cụ thể.
Trường hợp Ủy ban nhân dân cấp tỉnh chưa quy định chi phí kinh doanh thì chi phí kinh doanh được xác định bằng mức bình quân của 03 dự án đầu tư cùng mục đích sử dụng đất chính có khoảng cách gần nhất đến thửa đất, khu đất cần định giá.
Trường hợp Ủy ban nhân dân cấp tỉnh chưa quy định tỷ lệ % để tính chi phí lãi vay, lợi nhuận của nhà đầu tư có tính đến vốn chủ sở hũu, rủi ro trong kinh doanh thì tổ chức thực hiện định giá đất đề xuất trong Báo cáo thuyết minh xây dựng phương án giá đất đối với từng dự án để Hội đồng thẩm định giá đất xem xét, quyết định.
Đối với thời gian xây dựng, tiến độ xây dựng thì căn cứ vào tiến độ đã được xác định trong chủ trương đầu tư hoặc hồ sơ mời thầu thực hiện dự án đầu tư hoặc quyết định phê duyệt, chấp thuận dự án đầu tư để ước tính chi phí phát triển của dự án. Trường hợp trong các văn bản về chủ trương đầu tư hoặc hồ sơ mời thầu thực hiện dự án đầu tư hoặc quyết định phê duyệt, chấp thuận dự án đầu tư chưa xác định thời gian xây dựng, tiến độ xây dựng thì Ủy ban nhân dân cấp tỉnh quy định phù hợp với tình hình thực tế tại địa phương cho các nhóm dự án cùng mục đích sử dụng đất chính hoặc từng dự án cụ thể để áp dụng hoặc tổ chức thực hiện định giá đất căn cứ số liệu thực tế của 03 dự án đầu tư cùng mục đích sử dụng đất chính có khoảng cách gần nhất đến thửa đất, khu đất cần định giá đề xuất để Hội đồng thẩm định giá đất xem xét, quyết định.
4. Việc ước tính tổng chi phí đầu tư xây dựng được thực hiện như sau:
a) Chi phí đầu tư xây dựng được ước tính theo quy hoạch chi tiết xây dựng hoặc quy hoạch tổng mặt bằng hoặc hồ sơ thiết kế cơ sở hoặc hồ sơ thiết kế thi công được cơ quan có thẩm quyền thẩm định, phê duyệt. Việc ước tính chi phí đầu tư xây dựng quy định tại điểm này thực hiện theo quy định của pháp luật về xây dựng;
b) Việc ước tính tổng chi phí đầu tư xây dựng căn cứ theo thứ tự ưu tiên như sau:
- Dự toán xây dựng đã được cơ quan chuyên môn về xây dựng thẩm định theo quy định của pháp luật về xây dựng;
- Dự toán xây dựng dựa trên định mức, đơn giá do cơ quan nhà nước có thẩm quyền ban hành, công bố và đã được cơ quan, tổ chức tư vấn thẩm định hoặc thẩm tra độc lập. Cơ quan, tổ chức tư vấn thẩm định hoặc thẩm tra độc lập chịu trách nhiệm trước pháp luật về kết quả thẩm định hoặc thẩm tra đối với dự toán xây dựng mà mình đã thực hiện;
- Suất vốn đầu tư xây dựng do Bộ Xây dựng công bố;
c) Trường hợp chưa có các căn cứ quy định tại điểm b khoản này thì tổ chức thực hiện định giá đất thu thập thông tin về chi phí thực tế phổ biến của 03 dự án đầu tư cùng mục đích sử dụng đất chính có khoảng cách gần nhất đến thửa đất, khu đất cần định giá để đề xuất trong Báo cáo thuyết minh xây dựng phương án giá đất làm cơ sở để Hội đồng thẩm định giá đất xem xét, quyết định.
5. Việc ước tính các khoản doanh thu, chi phí thực hiện theo từng năm thực hiện dự án và phải chiết khấu về giá trị hiện tại tại thời điểm định giá đất. Việc ước tính tổng doanh thu phát triển, tổng chi phí phát triển của thửa đất, khu đất thực hiện theo công thức sau:
Tổng doanh thu phát triển =
Tổng chi phí phát triển = 
Trong đó:
- TRi là doanh thu năm thứ i của dự án;
- Ci là chi phí năm thứ i của dự án;
- r là tỷ lệ chiết khấu tính theo lãi suất cho vay trung hạn (từ 01 năm đến 03 năm) bình quân của loại tiền vay bằng tiền Việt Nam đối với dự án đầu tư, kinh doanh bất động sản của các ngân hàng thương mại nhà nước của năm liền kề tính đến hết quý gần nhất có số liệu trước thời điểm định giá;
- n là số năm bán hàng của dự án (tính tròn năm);
- m là số năm xây dựng và phát sinh chi phí của dự án (tính tròn năm).
6. Xác định giá đất của thửa đất, khu đất cần định giá
Giá trị quyền sử dụng đất của thửa đất, khu đất cần định giá được xác định theo công thức sau:
| Giá trị quyền sử dụng đất của thửa đất, khu đất cần định giá | = | Tổng doanh thu phát triển | - | Tổng chi phí phát triển |
Giá đất của thửa đất, khu đất cần định giá được xác định theo công thức sau:
| Giá đất của thửa đất, khu đất cần định giá | = | Giá trị quyền sử dụng đất của thửa đất, khu đất cần định giá |
| Diện tích thửa đất, khu đất cần định giá |
7. Trường hợp khu đất có diện tích giao đất có thu tiền sử dụng đất (sau đây gọi là giao đất), có diện tích cho thuê đất trả tiền thuê đất một lần cho cả thời gian thuê (sau đây gọi là cho thuê đất) thì giá đất của thửa đất cần định giá được xác định theo tổng doanh thu phát triển và tổng chi phí phát triển của từng phần diện tích giao đất, cho thuê đất.
Việc phân bổ chi phí xây dựng kết cấu hạ tầng kỹ thuật theo từng phần diện tích giao đất, cho thuê đất được thực hiện theo công thức sau:
| Chi phí xây dựng kết cấu hạ tầng kỹ thuật đối với phần diện tích giao đất | = | Tổng chi phí xây dựng kết cấu hạ tầng kỹ thuật của dự án | x | Diện tích giao đất |
| Tổng diện tích giao đất và cho thuê đất |
| Chi phí xây dựng kết cấu hạ tầng kỹ thuật đối với phần diện tích cho thuê đất | = | Tổng chi phí xây dựng kết cấu hạ tầng kỹ thuật của dự án | x | Diện tích cho thuê đất |
| Tổng diện tích giao đất và cho thuê đất |
Trong đó: Tổng chi phí xây dựng kết cấu hạ tầng kỹ thuật của dự án được xác định trong chi phí đầu tư xây dựng quy định tại khoản 3 Điều này được thực hiện theo quy định của pháp luật về xây dựng.
8. Trường hợp thửa đất, khu đất cần định giá được cơ quan nhà nước có thẩm quyền giao đất, cho thuê đất để thực hiện dự án đầu tư theo nhiều quyết định thì thực hiện như sau:
a) Trường hợp có đầy đủ điều kiện để tính được doanh thu phát triển, chi phí phát triển của thửa đất, khu đất thì xác định doanh thu phát triển ước tính, chi phí phát triển ước tính được thực hiện theo diện tích giao đất, cho thuê đất của quyết định đó;
b) Trường hợp không ước tính được đầy đủ doanh thu phát triển của thửa đất, khu đất hoặc chi phí phát triển ước tính lớn hơn doanh thu phát triển ước tính đối với diện tích cần định giá đất thì việc xác định doanh thu phát triển ước tính, chi phí phát triển ước tính được thực hiện cho toàn bộ dự án theo quy hoạch chi tiết xây dựng hoặc quy hoạch tổng mặt bằng được cơ quan có thẩm quyền phê duyệt.
9. Trong thời hạn 05 ngày làm việc kể từ ngày nhận được văn bản yêu cầu của cơ quan có chức năng quản lý đất đai, các ngân hàng thương mại nhà nước có trách nhiệm cung cấp thông tin bằng văn bản về lãi suất cho vay trung hạn quy định tại khoản 5 Điều này.”
2. Việc xác định giá đất bằng phương pháp thặng dư được minh họa chi tiết tại Ví dụ số 03 Phụ lục II ban hành kèm theo Nghị định này.
Điều 38. Trách nhiệm của các bộ, ngành và Ủy ban nhân dân cấp tỉnh, người có thẩm quyền quyết định giá đất
1. Bộ Nông nghiệp và Môi trường:
a) Quy định chi tiết về xây dựng, điều chỉnh, sửa đổi, bổ sung bảng giá đất đến từng thửa đất trên cơ sở vùng giá trị, thửa đất chuẩn;
b)[66] Kiểm tra, xử lý vi phạm trong việc áp dụng phương pháp định giá đất; xây dựng, điều chỉnh, sửa đổi, bổ sung bảng giá đất; giá đất cụ thể, hoạt động tư vấn xác định giá đất và cơ sở đào tạo, bồi dưỡng nghiệp vụ về giá đất theo quy định của pháp luật;
c)[67] Quy định chi tiết về đào tạo, bồi dưỡng, cập nhật kiến thức cho cá nhân hành nghề tư vấn định giá đất; khung chương trình đào tạo, bồi dưỡng nghiệp vụ về giá đất.
2. Ủy ban nhân dân cấp tỉnh:
a) Tổ chức xây dựng, điều chỉnh, sửa đổi, bổ sung trình Hội đồng nhân dân ban hành bảng giá đất;
b) Hướng dẫn, kiểm tra việc thực hiện các quy định của pháp luật về giá đất tại địa phương; giải quyết các vướng mắc phát sinh về giá đất theo thẩm quyền;
c) Thanh tra, kiểm tra và xử lý vi phạm về giá đất và hoạt động tư vấn xác định giá đất tại địa phương;
d) Tổ chức xây dựng, cập nhật, quản lý và khai thác cơ sở dữ liệu về giá đất tại địa phương theo quy định của Bộ Nông nghiệp và Môi trường;
đ) Tổ chức quy định cụ thể các nội dung được giao tại Nghị định này;
e) Hàng năm, báo cáo Bộ Nông nghiệp và Môi trường về tình hình thực hiện các quy định của pháp luật về giá đất tại địa phương.
3. Chủ tịch Ủy ban nhân dân cấp tỉnh, Chủ tịch Ủy ban nhân dân cấp xã tổ chức thực hiện việc quyết định giá đất cụ thể theo quy định tại Nghị định này.
4. Kinh phí để tổ chức xây dựng, điều chỉnh, sửa đổi, bổ sung bảng giá đất, xác định giá đất cụ thể, thẩm định, theo dõi, cập nhật giá đất được bố trí từ nguồn chi thường xuyên theo quy định của Luật Ngân sách nhà nước.
Điều 39. Hiệu lực thi hành[68]
1. Nghị định này có hiệu lực thi hành kể từ ngày Luật Đất đai số 31/2024/QH15 có hiệu lực thi hành, trừ trường hợp quy định tại khoản 2 Điều này.
2. Điều 37 của Nghị định này có hiệu lực kể từ ngày Nghị định này được ký ban hành.
3. Các nghị định sau đây hết hiệu lực kể từ ngày Nghị định này có hiệu lực thi hành
a) Nghị định số 44/2014/NĐ-CP ngày 15 tháng 5 năm 2014 của Chính phủ quy định về giá đất;
b) Điều 2 Nghị định số 136/2018/NĐ-CP ngày 05 tháng 10 năm 2018 của Chính phủ sửa đổi một số điều của các Nghị định liên quan đến điều kiện đầu tư kinh doanh thuộc lĩnh vực tài nguyên và môi trường;
c) Điều 2 Nghị định số 10/2023/NĐ-CP ngày 03 tháng 4 năm 2023 của Chính phủ sửa đổi, bổ sung một số điều của các nghị định hướng dẫn thi hành Luật Đất đai;
d) Nghị định số 12/2024/NĐ-CP ngày 05 tháng 02 năm 2024 của Chính phủ sửa đổi, bổ sung một số điều của Nghị định số 44/2014/NĐ-CP ngày 15 tháng 5 năm 2014 của Chính phủ quy định về giá đất và Nghị định số 10/2023/NĐ-CP ngày 03 tháng 4 năm 2023 của Chính phủ sửa đổi, bổ sung một số điều của các nghị định hướng dẫn thi hành Luật Đất đai. Ví dụ về việc áp dụng phương pháp thặng dư tại Phụ lục III ban hành kèm theo Nghị định số 12/2024/NĐ-CP hết hiệu lực kể từ ngày ký Nghị định này;
đ) Điều 37 của Nghị định này.
4. Điều khoản chuyển tiếp
a)[69] Cá nhân được cấp Chứng chỉ định giá đất mà trước hoặc sau ngày 31 tháng 12 năm 2026 vẫn còn thời hạn và không thuộc trường hợp thu hồi theo quy định của pháp luật thì tiếp tục được hành nghề định giá đất trong thời hạn còn lại của Chứng chỉ định giá đất; trường hợp hết thời hạn từ ngày 01 tháng 8 năm 2024 đến ngày 31 tháng 12 năm 2026 thì tiếp tục được hành nghề định giá đất đến hết ngày 31 tháng 12 năm 2026;
b) Cá nhân được cấp Giấy chứng nhận đã hoàn thành khóa học bồi dưỡng về định giá đất theo chương trình bồi dưỡng về định giá đất do Bộ Tài nguyên và Môi trường ban hành mà đến trước ngày Nghị định này có hiệu lực thi hành chưa được cấp Chứng chỉ định giá đất và đủ điều kiện hành nghề tư vấn xác định giá đất theo quy định tại điểm a và b khoản 1 Điều 36 của Nghị định này thì được hành nghề tư vấn định giá đất theo quy định của Nghị định này.
5. Các bộ, cơ quan ngang bộ, cơ quan thuộc Chính phủ, Ủy ban nhân dân cấp tỉnh có trách nhiệm rà soát các văn bản quy phạm pháp luật do mình ban hành trái với quy định của Luật Đất đai, của Nghị định này để sửa đổi, bổ sung hoặc bãi bỏ.
Điều 40. Trách nhiệm thi hành
Các Bộ trưởng, Thủ trưởng cơ quan ngang bộ, Thủ trưởng cơ quan thuộc Chính phủ, Chủ tịch Ủy ban nhân dân các cấp, tổ chức và cá nhân có liên quan chịu trách nhiệm thi hành Nghị định này./.
| BỘ NÔNG NGHIỆP VÀ Số: 82/VBHN-BNNMT
| XÁC THỰC VĂN BẢN HỢP NHẤT
Hà Nội, ngày 28 tháng 11 năm 2025
KT. BỘ TRƯỞNG |
PHỤ LỤC I[70]
| STT | Mẫu số | Tên mẫu |
| 1 | Mẫu số 29[71] | Phiếu thu thập thông tin về các yếu tố tự nhiên, kinh tế - xã hội, quản lý và sử dụng đất đai ảnh hưởng đến giá đất tại xã/ phường/… |
| 2 | Mẫu số 30[72] | Phiếu thu thập thông tin về thửa đất (Áp dụng đối với đất nông nghiệp) |
| 3 | Mẫu số 31[73] | Phiếu thu thập thông tin về thửa đất (Áp dụng đối với đất phi nông nghiệp) |
| 4 | Mẫu số 32[74] | Bảng thống kê giá đất tại xã/ phường |
| 5 | Mẫu số 33[75] | Bảng tổng hợp giá đất trong khu công nghệ cao (Áp dụng đối với các loại đất trong khu công nghệ cao) |
| 6 | Mẫu số 34[76] | Bảng tổng hợp giá đất cấp tỉnh (Áp dụng đối với đất nông nghiệp) |
| 7 | Mẫu số 35[77] | Bảng tổng hợp giá đất cấp tỉnh (Áp dụng đối với đất phi nông nghiệp tại nông thôn) |
| 8 | Mẫu số 36[78] | Bảng tổng hợp giá đất cấp tỉnh (Áp dụng đối với đất phi nông nghiệp tại đô thị) |
| 9 | Mẫu số 37[79] | Bảng giá đất nông nghiệp |
| 10 | Mẫu số 38[80] | Bảng giá đất phi nông nghiệp tại nông thôn |
| 11 | Mẫu số 39[81] | Bảng giá đất phi nông nghiệp tại đô thị |
| 12 | Mẫu số 40[82] | Bảng giá các loại đất trong khu công nghệ cao |
| 13 | Mẫu số 41[83] | Báo cáo thuyết minh xây dựng phương án giá đất |
| 14 | Mẫu số 42[84] | Chứng thư định giá đất |
Mẫu số 28. Báo cáo kết quả ban hành bảng giá đất
BÁO CÁO KẾT QUẢ BAN HÀNH BẢNG GIÁ ĐẤT
TỈNH (THÀNH PHỐ) ……………….
1. Kết quả ban hành bảng giá đất
- Bảng giá đất trước khi điều chỉnh, sửa đổi, bổ sung: Quyết định/Nghị quyết số ... ngày... tháng ... năm...
- Bảng giá đất sau khi xây dựng, điều chỉnh, sửa đổi, bổ sung: Quyết định/Nghị quyết số ... ngày... tháng ... năm...
- Tổng số lần điều chỉnh bảng giá đất trong năm: ...
| STT | Giá đất | Giá thấp nhất tại vị trí 1 | Giá cao nhất tại vị trí 1 | Mức độ biến động cao nhất của giá trong BGĐ sau điều chỉnh so với giá trong BGĐ trước khi điều chỉnh | Mức độ biến động trung bình của giá trong BGĐ sau điều chỉnh so với giá trong BGĐ trước khi điều chỉnh | Mức độ biến động của giá trong BGĐ sau điều chỉnh so với giá đất thị trường | Ghi chú | ||||||||
| Giá trong BGĐ sau điều chỉnh | Khu vực/ Tên đường, tuyến đường | Mức độ biến động của giá trong BGĐ sau điều chỉnh so với giá trong BGĐ trước khi điều chỉnh | Mức độ biến động của giá trong BGĐ sau điều chỉnh so với giá đất thị trường | Mức giá trong BGĐ sau điều chỉnh | Khu vực/ Tên đường, tuyến đường | Mức độ biến động của giá trong BGĐ sau điều chỉnh so với giá trong BGĐ trước khi điều chỉnh | Mức độ biến động của giá trong BGĐ sau điều chỉnh so với giá đất thị trường | Giá trong bảng giá đất | Khu vực/ Tên đường, tuyến đường | Mức độ biến động của giá trong BGĐ sau điều chỉnh so với giá trong BGĐ trước khi điều chỉnh | |||||
| 1 | Giá đất trồng cây hằng năm |
|
|
|
|
|
|
|
|
|
|
|
|
|
|
| 2 | Giá đất trồng cây lâu năm |
|
|
|
|
|
|
|
|
|
|
|
|
|
|
| 3 | Giá đất rừng sản xuất |
|
|
|
|
|
|
|
|
|
|
|
|
|
|
| 4 | Giá đất nuôi trồng thủy sản |
|
|
|
|
|
|
|
|
|
|
|
|
|
|
| 5 | Giá đất làm muối |
|
|
|
|
|
|
|
|
|
|
|
|
|
|
| 6 | Giá đất ở tại nông thôn |
|
|
|
|
|
|
|
|
|
|
|
|
|
|
| 7 | Giá đất ở tại đô thị |
|
|
|
|
|
|
|
|
|
|
|
|
|
|
| 8 | Giá đất khu công nghiệp, cụm công nghiệp |
|
|
|
|
|
|
|
|
|
|
|
|
|
|
| 9 | Giá đất thương mại, dịch vụ |
|
|
|
|
|
|
|
|
|
|
|
|
|
|
| 10 | Giá đất cơ sở sản xuất phi nông nghiệp |
|
|
|
|
|
|
|
|
|
|
|
|
|
|
| 11 | Giá đất sử dụng cho hoạt động khoáng sản |
|
|
|
|
|
|
|
|
|
|
|
|
|
|
| 12 | Giá các loại đất trong khu công nghệ cao |
|
|
|
|
|
|
|
|
|
|
|
|
|
|
| 13 | Giá các loại đất khác |
|
|
|
|
|
|
|
|
|
|
|
|
|
|
2. Một số nội dung khác (nếu có)
|
| …, ngày… tháng… năm… |
Mẫu số 29. Phiếu thu thập thông tin về các yếu tố tự nhiên, kinh tế - xã hội, quản lý và sử dụng đất đai ảnh hưởng đến giá đất tại xã/phường/...
Phiếu số...
PHIẾU THU THẬP THÔNG TIN VỀ CÁC YẾU TỐ TỰ NHIÊN, KINH TẾ - XÃ HỘI, QUẢN LÝ VÀ SỬ DỤNG ĐẤT ĐAI ẢNH HƯỞNG ĐẾN GIÁ ĐẤT TẠI XÃ/PHƯỜNG/...
Tên xã (phường): ………………………………………………………………………
1. Thuộc vùng: đồng bằng □ trung du □ miền núi □
2. Các thông tin về kinh tế - xã hội
- Giá trị tổng sản phẩm bình quân: …………đồng/ha, so với mức bình quân chung của tỉnh: cao □, trung bình □, thấp □.
- Thu nhập bình quân năm: …………đồng/người, so với mức bình quân chung của tỉnh: cao □, trung bình □, thấp □.
- Dân số: …………người, mật độ dân số: ………………người/km2, so với mật độ dân số của tỉnh: cao □, trung bình □, thấp □.
3. Các thông tin về kết cấu hạ tầng (so với điều kiện chung của tỉnh)
- Giao thông: Tốt □, trung bình □, kém □
- Cấp, thoát nước: Tốt □, trung bình □, kém □
- Thủy lợi: Tốt □, trung bình □, kém □
- Điện: Tốt □, trung bình □, kém □
- Cơ sở giáo dục: Tốt □, trung bình □, kém □
- Cơ sở y tế: Tốt □, trung bình □, kém □.
4. Các thông tin về cung cấp dịch vụ (so với điều kiện chung của tỉnh)
- Dịch vụ vật tư, kỹ thuật nông nghiệp: Thuận lợi □, trung bình □, kém □.
- Dịch vụ tài chính, tín dụng: Thuận lợi □, trung bình □, kém □.
- Dịch vụ thông tin liên lạc: Tốt □, trung bình □, kém □.
- Thương mại: Thuận lợi □, trung bình □, kém □.
5. Các thông tin khác
- Quy hoạch xây dựng chi tiết: đã được phê duyệt □, chưa được phê duyệt □.
- Số thửa đất đã được xác định lại giá đất, đã trúng đấu giá trong năm điều tra: ……thửa.
|
| ……, ngày…… tháng…… năm…… |
Mẫu số 30. Phiếu thu thập thông tin về thửa đất
(Áp dụng đối với đất nông nghiệp)
Phiếu số...
PHIẾU THU THẬP THÔNG TIN VỀ THỬA ĐẤT
(Áp dụng đối với đất nông nghiệp)
Tên xã (phường): ..........................................................................................
Tên người được điều tra: ...........................................................................................
Địa chỉ (1) …………………..; thời điểm chuyển nhượng/trúng đấu giá: .............................
Giá bất động sản chuyển nhượng/trúng đấu giá: …………………… triệu đồng/bất động sản
Giá đất chuyển nhượng/trúng đấu giá: ……. triệu đồng/thửa hoặc ………………… đồng/m2
Nguồn thông tin: .........................................................................................................
1. Các thông tin về thửa đất
- Tờ bản đồ số: ……………..; thửa đất số: ……………….., diện tích: ……………………. m2
- Địa chỉ thửa đất (2): ....................................................................................................
- Khoảng cách gần nhất đến nơi sản xuất, tiêu thụ sản phẩm: ........................................
Chi tiết: Tiếp giáp quốc lộ □, tiếp giáp tỉnh lộ □, tiếp giáp xã lộ □, không tiếp giáp lộ □.
- Mục đích sử dụng (3): .................................................................................................
- Đặc điểm về năng suất cây trồng, vật nuôi (hệ thống tưới tiêu, độ phì của đất...): ........
……………………………………………………………………………………………………..
- Địa hình: ...................................................................................................................
- Điều kiện giao thông phục vụ sản xuất, tiêu thụ sản phẩm: ..........................................
...................................................................................................................................
- Thông tin khác (nếu có): ............................................................................................
2. Các thông tin về tài sản gắn liền với đất
- Loại cây trồng (thủy sản nuôi trồng): …………………; Năm trồng (nuôi trồng): ..............
- Công trình xây dựng phục vụ sản xuất nông nghiệp: ………….. Loại công trình: …………; năm xây dựng: ……………….; giá trị của công trình xây dựng: ……………………..triệu đồng.
- Tài sản khác (nếu có): ................................................................................................
3. Các thông tin về thu nhập, chi phí từ việc sử dụng đất
| Thời gian Nội dung | Năm 1/Vụ 1 | Năm 2/Vụ 2 | Năm 3/Vụ 3 | Vụ ... | 01 Chu kỳ khai thác |
| Thu nhập |
|
|
|
|
|
| Chi phí |
|
|
|
|
|
|
| ……, ngày …. tháng …. năm …. |
Ghi chú:
- (1) Ghi rõ tên thôn, ấp, bản, buôn, phum, sóc.
- (2) Ghi rõ tên xứ đồng.
- (3) Ghi rõ loại đất.
Mẫu số 31. Phiếu thu thập thông tin về thửa đất
(Áp dụng đối với đất phi nông nghiệp)
Phiếu số...
PHIẾU THU THẬP THÔNG TIN VỀ THỬA ĐẤT
(Áp dụng đối với đất phi nông nghiệp)
Tên xã, phường: ........................................................................................................
Tên người được điều tra: ...........................................................................................
- Địa chỉ(1): ……………………..; thời điểm chuyển nhượng/trúng đấu giá: ........................
- Giá bất động sản chuyển nhượng/trúng đấu giá: ………………… triệu đồng/bất động sản
- Giá đất chuyển nhượng/trúng đấu giá: ………… triệu đồng/thửa hoặc …………. đồng/m2
- Giá thuê đất, giá thuê mặt bằng: ……………………………………………………… đồng/m2
- Giá kinh doanh sản phẩm, dịch vụ: .............................................................................
- Nguồn thông tin: .......................................................................................................
1. Các thông tin về thửa đất
- Tờ bản đồ số: ………………; thửa đất số: ……………….; diện tích: …………………. m2.
- Địa chỉ thửa đất (2): ....................................................................................................
- Kích thước mặt tiền: ………………. m; kích thước chiều sâu thửa đất: ………………..m
- Hình thể thửa đất: hình chữ nhật □, hình bình hành □, hình vuông □, hình thang xuôi □, hình thang ngược □, hình đa giác □, hình chữ L □, hình khác □.
- Mục đích sử dụng đất: ..............................................................................................
- Khoảng cách đến thửa đất chuẩn: ..............................................................................
- Khoảng cách gần nhất từ thửa đất đến:
+ Trung tâm hành chính: …………….m; + Trung tâm thương mại, chợ: ……………….m;
+ Cơ sở giáo dục: …………………….m; + Cơ sở thể dục, thể thao: ……………………m;
+ Cơ sở y tế: …………………………..m; + Công viên, khu vui chơi giải trí: ……………m.
- Các yếu tố liên quan đến hạ tầng kỹ thuật:
+ Điều kiện về giao thông: Độ rộng: ……….…..m; cấp đường: ……………..; kết cấu mặt đường: ………………; tiếp giáp với mặt đường: ………………….;
+ Điều kiện về cấp thoát nước: .................................................................................... ;
+ Điều kiện về cấp điện: .............................................................................................. ;
- Các yếu tố liên quan đến hạ tầng xã hội:
+ Hạ tầng giao thông công cộng: ................................................................................. ;
+ Hạ tầng không gian: ................................................................................................. ;
+ Hạ tầng cung cấp dịch vụ: ........................................................................................ ;
+ Hạ tầng văn hóa, thể thao: ........................................................................................ ;
+ Hạ tầng môi trường: ................................................................................................. ;
- Các yếu tố khác ảnh hưởng đến giá đất phù hợp với thực tế, truyền thống văn hóa, phong tục tập quán của địa phương: ...................................................................................................................................
- Thời hạn sử dụng đất: ...............................................................................................
2. Các thông tin về tài sản gắn liền với đất
a) Tài sản gắn liền với đất là nhà ở
- Nhà ở: Loại nhà: ……………....; cấp nhà: …………………..; năm xây dựng: .................
- Diện tích xây dựng: ……….m2; số tầng: …………..; diện tích sàn sử dụng: …………….m2
- Tài sản khác (nếu có): ................................................................................................
b) Tài sản gắn liền với đất là công trình xây dựng khác
- Loại tài sản: ..............................................................................................................
- Năm xây dựng: ……………………; Diện tích xây dựng: ...............................................
- Tài sản khác (nếu có): ................................................................................................
- Thu nhập bình quân năm: ...........................................................................................
- Chi phí bình quân năm: ..............................................................................................
c) Tài sản gắn liền với đất là cây lâu năm, rừng trồng
- Loại cây trồng: Cây lâu năm □, Rừng trồng □
- Diện tích: ………..……….; Mật độ trồng: …………..…..; Năm trồng: …………….……;
- Giá trị khai thác tính theo thu nhập từ việc thu hoạch sản phẩm tương ứng với số năm còn lại trong chu kỳ thu hoạch của cây lâu năm: ............................................................................................................... ;
- Tổng chi phí đã đầu tư để trồng, chăm sóc rừng trồng đến thời điểm chuyển nhượng, trúng đấu giá quyền sử dụng đất: ...................................................................................................................................
|
| ……, ngày …. tháng …. năm …. |
Ghi chú:
- (1) Ghi rõ tên thôn, ấp, bản, buôn, phum, sóc.
- (2) Ghi rõ tên đường, tên thôn, ấp, bản, buôn, phum, sóc.
Mẫu số 32. Bảng thống kê giá đất tại xã/phường/...
Xã/Phường/...:……….
Tỉnh (TP)
BẢNG THỐNG KÊ GIÁ ĐẤT TẠI XÃ/PHƯỜNG/..........
(Áp dụng đối với đất: ………………………..…..) (1)
| Phiếu số | Tên người sử dụng đất | Thửa đất số | Tờ BĐ số | Diện tích (m2) | Tên đường, đoạn đường, phố, đoạn phố | Khu vực | Vị trí đất | Thời điểm chuyển nhượng/ trúng đấu giá | Giá bán bất động sản (1.000đ/ bất động sản) | Giá đất chuyển nhượng/ trúng đấu giá (1.000đ/m2) | Giá đất trong bảng giá đất hiện hành (1.000đ/m2) | So sánh (11)/(12) (%) |
| (1) | (2) | (3) | (4) | (5) | (6) | (7) | (8) | (9) | (10) | (11) | (12) | (13) |
| 1 |
|
|
|
|
|
|
|
|
|
|
|
|
| 2 |
|
|
|
|
|
|
|
|
|
|
|
|
| 3 |
|
|
|
|
|
|
|
|
|
|
|
|
| 4 |
|
|
|
|
|
|
|
|
|
|
|
|
| 5 |
|
|
|
|
|
|
|
|
|
|
|
|
| 6 |
|
|
|
|
|
|
|
|
|
|
|
|
| ….. |
|
|
|
|
|
|
|
|
|
|
|
|
|
| …….., ngày ….. tháng …. năm …. |
Ghi chú: (1) Áp dụng để thống kê phiếu điều tra đối với tất cả các loại đất.
Khu CNC: ……………………..
Mẫu số 33. BẢNG TỔNG HỢP GIÁ ĐẤT TRONG KHU CÔNG NGHỆ CAO
(Áp dụng đối với các loại đất trong khu công nghệ cao)
ĐVT: 1.000 đồng/m2
| Nội dung | Giá đất điều tra | Giá đất trong bảng giá đất hiện hành | Giá đất đề xuất | So sánh % | ||||
| Tổng số phiếu | Cao nhất | Bình quân | Thấp nhất | (5)/(7) | (8)/(7) | |||
| (1) | (3) | (4) | (5) | (6) | (7) | (8) | (9) | (10) |
| 1. Đất ... |
|
|
|
|
|
|
|
|
| - Tên đường, phố, đoạn đường, đoạn phố |
|
|
|
|
|
|
|
|
| + Vị trí 1 |
|
|
|
|
|
|
|
|
| … |
|
|
|
|
|
|
|
|
| 2. Đất... |
|
|
|
|
|
|
|
|
| - Tên đường, phố, đoạn đường, đoạn phố |
|
|
|
|
|
|
|
|
| + Vị trí 1 |
|
|
|
|
|
|
|
|
| ….. |
|
|
|
|
|
|
|
|
| 3. Đất... |
|
|
|
|
|
|
|
|
| - Tên đường, phố, đoạn đường, đoạn phố |
|
|
|
|
|
|
|
|
| + Vị trí 1 |
|
|
|
|
|
|
|
|
| … |
|
|
|
|
|
|
|
|
|
|
| ..., ngày….. tháng…. năm …. |
Tỉnh (TP):………………
Mẫu số 34. BẢNG TỔNG HỢP GIÁ ĐẤT CẤP TỈNH
(Áp dụng đối với đất nông nghiệp)
ĐVT: 1.000 đồng/m2
| Nội dung | Giá đất điều tra | Giá đất trong bảng giá đất hiện hành | Giá đất đề xuất | So sánh % | ||||
| Tổng số phiếu | Cao nhất | Bình quân(1) | Thấp nhất | (5)/(7) | (8)/(7) | |||
| (1) | (3) | (4) | (5) | (6) | (7) | (8) | (9) | (10) |
| 1. Xã/Phường/...: |
|
|
|
|
|
|
|
|
| - Vị trí 1 |
|
|
|
|
|
|
|
|
| …… |
|
|
|
|
|
|
|
|
| 2. Xã/Phường/...: |
|
|
|
|
|
|
|
|
| - Vị trí 1 |
|
|
|
|
|
|
|
|
| …… |
|
|
|
|
|
|
|
|
|
|
| ..., ngày….. tháng…. năm …. |
Tỉnh (TP):………………
Mẫu số 35. BẢNG TỔNG HỢP GIÁ ĐẤT CẤP TỈNH
(Áp dụng đối với đất phi nông nghiệp tại nông thôn)
ĐVT: 1.000 đồng/m2
| Nội dung | Giá đất điều tra | Giá đất trong bảng giá đất hiện hành | Giá đất đề xuất | So sánh % | ||||
| Tổng số phiếu | Cao nhất | Bình quân | Thấp nhất | (5)/(7) | (8)/(7) | |||
| (1) | (3) | (4) | (5) | (6) | (7) | (8) | (9) | (10) |
| 1. Xã/Phường/...: |
|
|
|
|
|
|
|
|
| - Khu vực 1 hoặc tên đường, đoạn đường |
|
|
|
|
|
|
|
|
| + Vị trí 1 |
|
|
|
|
|
|
|
|
| …… |
|
|
|
|
|
|
|
|
| - Khu vực 2 hoặc tên đường, đoạn đường |
|
|
|
|
|
|
|
|
| + Vị trí 1 |
|
|
|
|
|
|
|
|
| …….. |
|
|
|
|
|
|
|
|
| 2. Xã/Phường/...: ………… |
|
|
|
|
|
|
|
|
| …………. |
|
|
|
|
|
|
|
|
|
|
| ..., ngày….. tháng…. năm …. |
Tỉnh (TP):……………..
Mẫu số 36. BẢNG TỔNG HỢP GIÁ ĐẤT CẤP TỈNH
(Áp dụng đối với đất phi nông nghiệp tại đô thị)
ĐVT: 1.000 đồng/m2
| Nội dung | Giá đất điều tra | Giá đất trong bảng giá đất hiện hành | Giá đất đề xuất | So sánh % | ||||
| Tổng số phiếu | Cao nhất | Bình quân | Thấp nhất | (5)/(7) | (8)/(7) | |||
| (1) | (3) | (4) | (5) | (6) | (7) | (8) | (9) | (10) |
| - Tên đường, phố, đoạn đường, đoạn phố |
|
|
|
|
|
|
|
|
| + Vị trí 1 |
|
|
|
|
|
|
|
|
| + …………… |
|
|
|
|
|
|
|
|
| - Tên đường, phố, đoạn đường, đoạn phố |
|
|
|
|
|
|
|
|
| + Vị trí 1 |
|
|
|
|
|
|
|
|
| + …………… |
|
|
|
|
|
|
|
|
| - Tên đường, phố, đoạn đường, đoạn phố |
|
|
|
|
|
|
|
|
| ……………… |
|
|
|
|
|
|
|
|
|
|
| ..., ngày….. tháng…. năm …. |
Tỉnh (TP):……………..
Mẫu số 37. BẢNG GIÁ ĐẤT NÔNG NGHIỆP
(Ban hành kèm theo Quyết định số... ngày... tháng... năm ... của UBND………………)
ĐVT: 1.000 đồng/m2
| Số TT | Tên đơn vị hành chính | Giá đất | |||
| VT1 | VT2 | VT3 | … | ||
| 1 | Xã/Phường/…… |
|
|
|
|
| 2 | Xã/Phường/…… |
|
|
|
|
| ... | Xã/Phường/…… |
|
|
|
|
Tỉnh (TP): ………….
Mẫu số 38. Bảng giá đất phi nông nghiệp tại nông thôn
BẢNG GIÁ ĐẤT PHI NÔNG NGHIỆP TẠI NÔNG THÔN
(Kèm theo Quyết định số ... ngày... tháng... năm ... của UBND………)
ĐVT: 1.000 đồng/m2
| Số TT | Tên đơn vị hành chính | Giá đất | |||
| VT1 | VT2 | VT3 | … | ||
| 1 | Xã…… |
|
|
|
|
|
| Khu vực 1 hoặc tên đường, đoạn đường |
|
|
|
|
|
| …… |
|
|
|
|
| 2 | Xã…… |
|
|
|
|
|
| …… |
|
|
|
|
|
|
|
|
|
|
|
Tỉnh (TP):……………..
Mẫu số 39. BẢNG GIÁ ĐẤT PHI NÔNG NGHIỆP TẠI ĐÔ THỊ
(Kèm theo Quyết định số ... ngày... tháng ... năm ... của UBND……)
ĐVT: 1.000 đồng/m2
| Số TT | Tên đơn vị hành chính | Đoạn đường | Giá đất | ||||
| Từ | Đến | VT1 | VT2 | VT3 | … | ||
| 1 | Tên đường, phố, đoạn đường, đoạn phố |
|
|
|
|
|
|
| 2 | Tên đường, phố, đoạn đường, đoạn phố |
|
|
|
|
|
|
| … | ……………………… |
|
|
|
|
|
|
|
|
|
|
|
|
|
|
|
Tỉnh (TP):…………………..
Mẫu số 40. BẢNG GIÁ CÁC LOẠI ĐẤT TRONG KHU CÔNG NGHỆ CAO
(Kèm theo Quyết định số ... ngày... tháng... năm ... của UBND.........)
ĐVT: 1.000 đồng/m2
| Số TT | Tên khu công nghệ cao | Đoạn đường | Giá đất | ||||
| Từ | Đến | VT1 | VT2 | VT3 | … | ||
| (1) | (2) | (4) | (5) | (6) | (7) | (8) | (9) |
| 1 | Đất... |
|
|
|
|
|
|
| 1.1 | Tên đường, phố, đoạn đường, đoạn phố |
|
|
|
|
|
|
| 1.2 | Tên đường, phố, đoạn đường, đoạn phố |
|
|
|
|
|
|
|
| .... |
|
|
|
|
|
|
| 2 | Đất... |
|
|
|
|
|
|
| 2.1 | Tên đường, phố, đoạn đường, đoạn phố |
|
|
|
|
|
|
| 2.2 | Tên đường, phố, đoạn đường, đoạn phố |
|
|
|
|
|
|
|
| .... |
|
|
|
|
|
|
| 3 | Đất... |
|
|
|
|
|
|
| 3.1 | Tên đường, phố, đoạn đường, đoạn phố |
|
|
|
|
|
|
| 3.2 | Tên đường, phố, đoạn đường, đoạn phố |
|
|
|
|
|
|
|
| … |
|
|
|
|
|
|
Mẫu số 41. Báo cáo thuyết minh xây dựng phương án giá đất
| TÊN TỔ CHỨC | CỘNG HÒA XÃ HỘI CHỦ NGHĨA VIỆT NAM |
|
| ……, ngày … tháng … năm … |
BÁO CÁO THUYẾT MINH XÂY DỰNG PHƯƠNG ÁN GIÁ ĐẤT
(Kèm theo Chứng thư định giá đất số /CT-ĐGĐ ngày ...tháng ...năm )
1. Thửa đất, khu đất cần định giá
2. Mục đích định giá đất: Xác định giá đất cụ thể khi Nhà nước quyết định giao đất, cho thửa đất, cho phép chuyển mục đích sử dụng đất, công nhận quyền sử dụng đất, cho phép chuyển hình thức thuê đất trả tiền hàng năm sang thuê đất trả tiền một lần cho cả thời gian thuê, gia hạn sử dụng đất, điều chỉnh thời hạn sử dụng đất, điều chỉnh quy hoạch chi tiết xây dựng, tính tiền bồi thường khi nhà nước thu hồi đất.
3. Thời điểm định giá đất.
4. Căn cứ định giá đất
a) Căn cứ pháp lý để định giá đất;
b) Căn cứ pháp lý của thửa đất, khu đất cần định giá.
5. Các thông tin về thửa đất, khu đất cần định giá bao gồm: vị trí, địa điểm, diện tích, kích thước, hình thể, mục đích sử dụng đất, mật độ xây dựng, chiều cao công trình; loại đất và thời hạn sử dụng; giá đất trong bảng giá đất.
6. Các thông tin về các yếu tố ảnh hưởng đến giá của thửa đất, khu đất cần định giá.
7. Đánh giá tình hình và kết quả điều tra, tổng hợp thông tin để áp dụng phương pháp định giá đất.
8. Lựa chọn, áp dụng phương pháp định giá đất.
9. Trình tự, nội dung, kết quả xác định giá đất theo phương pháp định giá đất được áp dụng.
| ĐỊNH GIÁ VIÊN/THẨM ĐỊNH VIÊN VỀ GIÁ | ĐẠI DIỆN PHÁP NHÂN |
Mẫu số 42. Chứng thư định giá đất
| TÊN TỔ CHỨC | CỘNG HÒA XÃ HỘI CHỦ NGHĨA VIỆT NAM |
| Số: /CT-ĐGĐ | …., ngày ...tháng ...năm… |
CHỨNG THƯ ĐỊNH GIÁ ĐẤT
Kính gửi: ………………………..
Căn cứ Luật Đất đai ngày 18 tháng 01 năm 2024;
Căn cứ Nghị định số .../2024/NĐ-CP ngày .... tháng ... năm 2024 của Chính phủ quy định về giá đất;
Căn cứ Hợp đồng số ……………
1. Mục đích định giá đất
Xác định giá đất phục vụ mục đích ....
2. Thời điểm định giá đất
Tại thời điểm định giá đất (ngày ... tháng .... năm....).
3. Cơ sở định giá đất
- Hồ sơ, giấy tờ pháp lý của thửa đất cần định giá.
- Giấy phép xây dựng, bản vẽ hoàn công, hồ sơ quyết toán công trình (nếu có).
- Các căn cứ pháp lý khác.
4. Thông tin của thửa đất, khu đất cần định giá và tài sản gắn liền với đất
a) Thửa đất, khu đất cần định giá
- Vị trí: mô tả cụ thể vị trí địa lý; địa chỉ thửa đất; số tờ bản đồ; số thửa đất.
- Diện tích (tổng diện tích, diện tích từng phần); hình thể; kích thước.
- Mục đích và thời hạn sử dụng đất.
- Các thông tin khác (nếu có).
b) Nhà:
- Mô tả chung: loại nhà, cấp nhà, diện tích xây dựng, diện tích sử dụng, số tầng, số phòng.
- Kết cấu: kết cấu tổng thể toàn bộ nhà và từng bộ phận (móng, tường, mái...).
- Thực trạng: mô tả loại vật liệu, thiết bị được sử dụng, tình trạng thực tế từng bộ phận.
- Các thông tin khác (nếu có).
c) Tài sản khác gắn liền với đất:
- Các thông số kỹ thuật, thực trạng của tài sản.
- Tình trạng pháp lý của tài sản.
- Các thông tin khác (nếu có).
5. Phương pháp định giá đất
Áp dụng phương pháp định giá đất……….
6. Kết quả xác định giá đất
- Giá trị quyền sử dụng đất của thửa đất, khu đất cần định giá: …………. (đồng)
- Giá đất: ……………….. (đồng/m2)
(Viết bằng chữ: …………………………………………..……….đồng/m2)
| ĐỊNH GIÁ VIÊN/THẨM ĐỊNH VIÊN VỀ GIÁ | ĐẠI DIỆN PHÁP NHÂN |
Mẫu số 43. Báo cáo kết quả xác định giá đất cụ thể
| ỦY BAN NHÂN DÂN TỈNH/ THÀNH PHỐ... | CỘNG HÒA XÃ HỘI CHỦ NGHĨA VIỆT NAM |
| Số:... | ……, ngày ...tháng ...năm… |
Kính gửi: Bộ Nông nghiệp và Môi trường
1. Thửa đất, khu đất cần định giá
2. Mục đích định giá đất: xác định giá đất cụ thể khi Nhà nước quyết định giao đất, cho thuê đất, cho phép chuyển mục đích sử dụng đất, công nhận quyền sử dụng đất, cho phép chuyển hình thức thuê đất trả tiền hàng năm sang thuê đất trả tiền một lần cho cả thời gian thuê, gia hạn sử dụng đất, điều chỉnh thời hạn sử dụng đất, điều chỉnh quy hoạch chi tiết xây dựng, tính tiền bồi thường khi nhà nước thu hồi đất.
3. Thời điểm định giá đất
4. Thời điểm quyết định giá đất cụ thể
5. Các thông tin về thửa đất, khu đất cần định giá: vị trí, địa điểm, diện tích, kích thước, hình thể, mục đích sử dụng đất, mật độ xây dựng, chiều cao công trình; loại đất và thời hạn sử dụng; giá đất trong bảng giá đất.
6. Kết quả xác định giá đất
- Phương pháp định giá đất
- Thông tin đầu vào để xác định giá đất, nguồn thu thập của từng thông tin
- Các số liệu đưa vào tính toán theo phương pháp định giá đất (yếu tố so sánh, thu nhập, chi phí, các yếu tố khác hình thành doanh thu,...)
- Giá trị quyền sử dụng đất của thửa đất, khu đất cần định giá: ……..(đồng)
- Giá đất: ………………………. (đồng/m2)
7. Nội dung khác (nếu có)
|
| Ngày ... tháng ... năm ... |
PHỤ LỤC II[85]
| STT | Ví dụ | Tên ví dụ |
| 1 | Ví dụ số 01 | Về phương pháp so sánh |
| 2 | Ví dụ số 02 | Về phương pháp thu nhập |
| 3 | Ví dụ số 03 | Về phương pháp thặng dư |
| 4 | Ví dụ số 04 | Về phương pháp thặng dư đối với trường hợp giao đất, cho thuê đất theo tiến độ bồi thường, hỗ trợ, tái định cư quy định tại điểm c khoản 2 Điều 257 |
VÍ DỤ SỐ 01: VỀ PHƯƠNG PHÁP SO SÁNH
1. Thông tin của thửa đất cần định giá
Thửa đất cần định giá X là thửa đất ở tại đô thị, thời hạn sử dụng lâu dài nằm trên địa bàn một phường thuộc tỉnh A, giáp mặt đường Nguyễn Văn A, có diện tích 100 mét vuông (m2), mặt tiền 5 mét (m), chiều sâu 20 m, hình thể vuông vắn; có chỉ tiêu quy hoạch xây dựng được cơ quan có thẩm quyền phê duyệt với mật độ xây dựng là 90%. Đường Nguyễn Văn A là đường bê tông nhựa, có độ rộng đường (bao gồm cả vỉa hè) là 15 m. Thửa đất cần định giá X có khoảng cách đến trung tâm hành chính phường là 600 m; gần chợ, trường học, bệnh viện; nằm trong khu vực cấp thoát nước tốt; cấp điện ổn định; hiện trạng môi trường, an ninh tốt.
Thời điểm định giá đất là ngày 01 tháng 6 năm 2024.
2. Xác định giá đất của thửa đất cần định giá
2.1. Khảo sát, thu thập thông tin của thửa đất so sánh
Trên cơ sở thông tin đầu vào thu thập được, xác định giá mặt bằng chung là 5.1.1 đồng/m2; lựa chọn thông tin giá đất theo thứ tự ưu tiên đối với thông tin gần với mức giá 5.000.000 đồng/m2.
Khảo sát, thu thập được thông tin về giá đất của 03 thửa đất ở tại đô thị đã chuyển nhượng trên thị trường trong khoảng thời gian không quá 24 tháng tính từ thời điểm định giá đất trở về trước, có khoảng cách gần nhất với thửa đất cần định giá, tương đồng nhất định về các yếu tố ảnh hưởng đến giá đất so với thửa đất cần định giá.
Giả sử thông tin đầu vào đã loại trừ chi phí phát triển thương hiệu, chi phí thúc đẩy kinh doanh, hỗ trợ khách hàng, quà tặng, khuyến mại mà chủ đầu tư đã cộng vào giá bán và các chi phí hợp lý khác ảnh hưởng đến giá đất.
Thông tin của thửa đất cần định giá và các thửa đất so sánh thu thập được cụ thể như sau:
| TT | Yếu tố so sánh | Thửa đất cần định giá X | Thửa đất so sánh số 1 | Thửa đất so sánh số 2 | Thửa đất so sánh số 3 |
| 1 | Mục đích sử dụng | Đất ở tại đô thị | Đất ở tại đô thị | Đất ở tại đô thị | Đất ở tại đô thị |
| 2 | Thời hạn sử dụng đất | Lâu dài | Lâu dài | Lâu dài | Lâu dài |
| 3 | Vị trí, địa điểm | Tiếp giáp mặt đường Nguyễn Văn A cách trung tâm hành chính, chợ, trường học, bệnh viện 600 m | Tiếp giáp mặt đường Nguyễn Văn A cách thửa đất định giá khoảng 100 m; cách trung tâm hành chính, chợ, trường học, bệnh viện 500m | Tiếp giáp mặt đường Nguyễn Văn B, cách thửa đất định giá khoảng 300 m; cách trung tâm hành chính, chợ, trường học, bệnh viện 700m | Tiếp giáp mặt đường Nguyễn Văn C, cách thửa đất định giá khoảng 500 m; cách trung tâm hành chính, chợ, trường học, bệnh viện 800 m |
| 4 | Thời điểm chuyển nhượng/trúng đấu giá | Thời điểm định giá đất ngày 01 tháng 6 năm 2024 | Ngày 10 tháng 10 năm 2023 | Ngày 05 tháng 10 năm 2023 | Ngày 19 tháng 8 năm 2022 |
| 5 | Giao thông | Đường bê tông nhựa, độ rộng đường (bao gồm cả vỉa hè) là 15 m | Tiếp giáp 2 đường; đường bê tông nhựa, độ rộng đường (bao gồm cả vỉa hè) là 15 m và 6 m | Đường bê tông nhựa, độ rộng đường (bao gồm cả vỉa hè) là 12 m | Đường bê tông nhựa, độ rộng đường (bao gồm cả vỉa hè) là 15 m |
| 6 | Diện tích, kích thước, hình thể |
|
|
|
|
|
| - Diện tích | 100 m2 | 120 m2 | 110 m2 | 100 m2 |
|
| - Mặt tiền | 5 m | 6 m | 5 m | 5 m |
|
| - Chiều sâu | 20 m | 20 m | 22 m | 20 m |
|
| - Hình thể | Vuông vắn | Không vuông vắn | Vuông vắn | Vuông vắn |
| 7 | Tài sản gắn liền với đất | Không có tài sản gắn liền với đất | Không có tài sản gắn liền với đất | Không có tài sản gắn liền với đất | Công trình xây dựng cao 2 tầng; diện tích xây dựng 90 m2; tổng diện tích sàn xây dựng 180 m2; giá trị hao mòn của công trình khoảng 20%. |
| 8 | Tính pháp lý về quyền sử dụng đất | Có GCNQSDĐ, quyền sở hữu nhà ở và tài sản khác gắn liền với đất | Có GCNQSDĐ, quyền sở hữu nhà ở và tài sản khác gắn liền với đất | Có GCNQSDĐ, quyền sở hữu nhà ở và tài sản khác gắn liền với đất | Có GCNQSDĐ, quyền sở hữu nhà ở và tài sản khác gắn liền với đất |
| 9 | Chỉ tiêu quy hoạch xây dựng được duyệt | - Mật độ xây dựng: 90%; - …. | - Mật độ xây dựng: 90%; - …. | - Mật độ xây dựng: 90%; - …. | - Mật độ xây dựng: 90%; - …. |
| 10 | Hiện trạng các yếu tố hạ tầng | - Khu vực cấp thoát nước tốt; - Cấp điện ổn định; - … | - Khu vực cấp thoát nước tốt; - Cấp điện ổn định; - … | - Khu vực cấp thoát nước tốt; - Cấp điện ổn định; - … | - Khu vực cấp thoát nước tốt; - Cấp điện ổn định; - … |
| 11 | Hiện trạng môi trường, an ninh | Tốt | Tốt | Tốt | Tốt |
| 12 | Giá trị thửa đất, thửa đất có tài sản gắn liền với đất chuyển nhượng, trúng đấu giá (đồng) |
| 5.160.000.000 | 4.180.000.000 | 5.000.000.000 |
2.2. Xác định giá trị của tài sản gắn liền với đất tại thời điểm chuyển nhượng, trúng đấu giá quyền sử dụng đất của thửa đất so sánh số 3:
Căn cứ vào suất vốn đầu tư xây dựng công trình nhà 2 tầng mái bằng có tiêu chuẩn kỹ thuật tương đương với tài sản gắn liền với đất của thửa đất so sánh số 3 tại thời điểm chuyển nhượng/trúng đấu giá là 7.500.000 đồng/m2, giá trị xây dựng mới của công trình xây dựng gắn liền với thửa đất so sánh số 3 tại thời điểm chuyển nhượng/trúng đấu giá là:
180 m2 x 7.500.000 đồng/m2 = 1.350.000.000 đồng.
Giá trị hao mòn đến thời điểm chuyển nhượng, trúng đấu giá quyền sử dụng đất = 1.350.000.000 đồng x 20% = 270.000.000 đồng.
Giá trị của tài sản gắn liền với đất tại thời điểm chuyển nhượng, trúng đấu giá quyền sử dụng đất của thửa đất so sánh số 3 là:
1.350.000.000 đồng - 270.000.000 đồng = 1.080.000.000 đồng.
2.3. Xác định giá đất của thửa đất so sánh số 3
Giá đất của thửa đất so sánh số 3 là:
| 5.000.000.000 đồng - 1.080.000.000 đồng | = | = 39.200.000 đồng/m2 |
| 100 m2 |
2.4. Điều chỉnh giá của các thửa đất so sánh, xác định giá đất ước tính của thửa đất cần định giá, giá đất của thửa đất cần định giá
a) Căn cứ cách thức điều chỉnh đối với từng mức độ chênh lệch của từng yếu tố ảnh hưởng đến giá đất do Ủy ban nhân dân tỉnh A quy định
- Vị trí, địa điểm của thửa đất cần định giá: thửa đất cần định giá kém thuận lợi hơn thửa đất so sánh số 01 là 1%, thuận lợi hơn thửa đất so sánh số 2 là 3% và thửa đất so sánh số 03 là 5%.
- Thửa đất có độ rộng đường (bao gồm cả vỉa hè) là 15 m thuận lợi hơn thửa đất có độ rộng đường (bao gồm cả vỉa hè) là 12 m là 5%.
- Thửa đất tiếp giáp một đường kém thuận lợi hơn thửa đất tiếp giáp hai đường là 10%.
- Thửa đất có diện tích 100 m2 thuận lợi hơn thửa đất có diện tích 110 m2 là 1%, thuận lợi hơn thửa đất có diện tích 120 m2 là 2%.
- Thửa đất có mặt tiền 5 m thuận lợi hơn thửa đất có mặt tiền 6 m là 5%.
- Thửa đất có chiều sâu 20 m thuận lợi hơn thửa đất có chiều sâu 22 m là 2%.
- Thửa đất vuông vắn thuận lợi hơn thửa đất không vuông vắn là 5%.
- Thửa đất ở khu vực cấp thoát nước tốt thuận lợi hơn thửa đất ở khu vực cấp thoát nước trung bình là 2%.
b) Việc điều chỉnh giá của các thửa đất so sánh, xác định giá đất ước tính của thửa đất cần định giá, giá đất của thửa đất cần định giá được thực hiện theo bảng sau:
| TT | Yếu tố so sánh | Thửa đất cần định giá X | Thửa đất so sánh số 1 | Thửa đất so sánh số 2 | Thửa đất so sánh số 3 |
| 1 | Diện tích | 100 m2 | 120 m2 | 110 m2 | 100 m2 |
| 2 | Giá trị thửa đất, thửa đất có tài sản gắn liền với đất chuyển nhượng, trúng đấu giá (đồng) |
| 5.160.000.000 | 4.180.000.000 | 5.000.000.000 |
| 3 | Xác định giá trị hiện tại tài sản gắn liền với đất (đồng) |
|
|
| 1.080.000.000 |
| 4 | Giá trị quyền sử dụng đất chuyển nhượng/ trúng đấu giá (đồng) |
| 5.160.000.000 | 4.180.000.000 | 3.920.000.000 |
| 5 | Giá đất chuyển nhượng/trúng đấu giá (đồng/m2) |
| 43.000.000 | 38.000.000 | 39.200.000 |
| 6 | Điều chỉnh giá của thửa đất so sánh |
|
|
|
|
| 6.1 | Vị trí | Tiếp giáp mặt đường Nguyễn Văn A cách trung tâm hành chính, chợ, trường học, bệnh viện 600 m | Tiếp giáp mặt đường Nguyễn Văn A cách thửa đất định giá khoảng 100 m; cách trung tâm hành chính, chợ, trường học, bệnh viện 500 m | Tiếp giáp mặt đường Nguyễn Văn B, cách thửa đất định giá khoảng 300 m; cách trung tâm hành chính, chợ, trường học, bệnh viện 700 m | Tiếp giáp mặt đường Nguyễn Văn C, cách thửa đất định giá khoảng 500 m; cách trung tâm hành chính, chợ, trường học, bệnh viện 800 m |
| Tỷ lệ | 100% | 101% | 97% | 95% | |
| Tỷ lệ điều chỉnh |
| -0,99% | 3,09% | 5,26% | |
| Mức điều chỉnh (đồng/m2) |
| -425.743 | 1.175.258 | 2.063.158 | |
| 6.2 | Giao thông |
|
|
|
|
| 6.2.1 | Độ rộng đường | Độ rộng đường (bao gồm cả vỉa hè) là 15 m | Độ rộng đường (bao gồm cả vỉa hè) là 15 m | Độ rộng đường (bao gồm cả vỉa hè) là 12 m | Độ rộng đường (bao gồm cả vỉa hè) là 15 m |
| Tỷ lệ | 100% | 100% | 95% | 100% | |
| Tỷ lệ điều chỉnh |
| 0,00% | 5,26% | 0,00% | |
| Mứcđiềuchỉnh(đồng/m2) |
| 0 | 1.998.800 | 0 | |
| 6.2.2 | Loại đường | Đường bê tông nhựa | Đường bê tông nhựa | Đường bê tông nhựa | Đường bê tông nhựa |
| Tỷ lệ | 100% | 100% | 100% | 100% | |
| Tỷ lệ điều chỉnh |
| 0,00% | 0,00% | 0,00% | |
| Mức điều chỉnh (đồng/m2) |
| 0 | 0 | 0 | |
| 6.2.3 | Số mặt đường tiếp giáp | Tiếp giáp một mặt đường | Tiếp giáp hai mặt đường | Tiếp giáp một mặt đường | Tiếp giáp một mặt đường |
| Tỷ lệ | 100% | 110% | 100% | 100% | |
| Tỷ lệ điều chỉnh |
| -9,09% | 0,00% | 0,00% | |
| Mức điều chỉnh (đồng/m2) |
| -3.909.091 | 0 | 0 | |
| 6.3 | Diện tích | 100 m2 | 120 m2 | 110 m2 | 100 m2 |
| Tỷ lệ | 100% | 98% | 99% | 100% | |
| Tỷ lệ điều chỉnh |
| 2,04% | 1,01% | 0,00% | |
| Mức điều chỉnh (đồng/m2) |
| 877.551 | 383.838 | 0 | |
| 6.4 | Mặt tiền | 5 m | 6 m | 5 m | 5 m |
| Tỷ lệ | 100% | 105% | 100% | 100% | |
| Tỷ lệ điều chỉnh |
| -4,76% | 0,00% | 0,00% | |
| Mức điều chỉnh (đồng/m2) |
| -2.047.619 | 0 | 0 | |
| 6.5 | Chiều sâu | 20 m | 20 m | 22 m | 20 m |
| Tỷ lệ | 100% | 100% | 98% | 100% | |
| Tỷ lệ điều chỉnh |
| 0,00% | 2,04% | 0,00% | |
| Mức điều chỉnh (đồng/m2) |
| 0 | 775.510 | 0 | |
| 6.6 | Hình thể | Vuông vắn | Không vuông vắn | Vuông vắn | Vuông vắn |
| Tỷ lệ | 100% | 95% | 100% | 100% | |
| Tỷ lệ điều chỉnh |
| 5,26% | 0,00% | 0,00% | |
| Mức điều chỉnh (đồng/m2) |
| 2.263.158 | 0 | 0 | |
| 6.7 | Chỉ tiêu quy hoạch xây dựng được duyệt | Mật độ xây dựng 90% | Mật độ xây dựng 90% | Mật độ xây dựng 90% | Mật độ xây dựng 90% |
| Tỷ lệ | 100% | 100% | 100% | 100% | |
| Tỷ lệ điều chỉnh |
| 0,00% | 0,00% | 0,00% | |
| Mức điều chỉnh (đồng/m2) |
| 0 | 0 | 0 | |
| 6.8 | Hiện trạng các yếu tố hạ tầng | Khu vực cấp thoát nước tốt; cấp điện ổn định | Khu vực cấp thoát nước tốt; cấp điện ổn định | Khu vực cấp thoát nước trung bình; cấp điện ổn định | Khu vực cấp thoát nước tốt; cấp điện ổn định |
| Tỷ lệ | 100% | 100% | 98% | 100% | |
| Tỷ lệ điều chỉnh |
| 0,00% | 2,04% | 0,00% | |
| Mức điều chỉnh (đồng/m2) |
| 0 | 775.510 | 0 | |
| 6.9 | Hiện trạng môi trường, an ninh | Tốt | Tốt | Tốt | Tốt |
| Tỷ lệ | 100% | 100% | 100% | 100% | |
| Tỷ lệ điều chỉnh |
| 0,00% | 0,00% | 0,00% | |
| Mức điều chỉnh (đồng/m2) |
| 0 | 0 | 0 | |
| 7 | Giá đất ước tính của thửa đất cần định giá theo từng thửa đất so sánh (đồng/m2) |
| 39.758.256 | 43.108.916 | 41.263.158 |
| 8 | Giá đất của thửa đất cần định giá (đồng/m2) | 41.376.777 |
|
|
|
| 9 | Tỷ lệ chênh lệch giữa giá đất của thửa đất cần định giá với giá đất ước tính theo thửa đất so sánh |
| 4,07% | -4,02% | 0,28% |
Kết luận: Giá đất của thửa đất cần định giá (làm tròn) là 41.377.000 đồng/m2.
(Các số liệu được nêu trong ví dụ có tính chất minh họa, chỉ để tham khảo, không dùng làm căn cứ quy định hoặc áp dụng khi xác định giá đất cụ thể tại địa phương. Số liệu do các cơ quan, tổ chức quyết định theo quy định và chịu trách nhiệm trước pháp luật).
VÍ DỤ SỐ 02: VỀ PHƯƠNG PHÁP THU NHẬP
1. Trường hợp 1:
THỬA ĐẤT ĐỊNH GIÁ LÀ ĐẤT TRỒNG CÂY HÀNG NĂM
Thửa đất cần định giá là thửa đất trồng cây hàng năm tại xã A, tỉnh C thuộc vùng đồng bằng sông Cửu Long. Thửa đất cần định giá có diện tích 4.000 m2, một năm thu hoạch 03 vụ lúa tẻ thường, sản lượng thu hoạch lúa và giá bán bình quân năm thu thập được tại cơ quan thống kê.
Thời điểm định giá đất: tháng 6 năm 2024
Kết quả thu thập thông tin về thu nhập từ việc sử dụng đất của thửa đất cần định giá trong khoảng thời gian 03 năm (được tính từ ngày 01 tháng 01 đến hết ngày 31 tháng 12) liên tục liền kề trước thời điểm định giá như sau:
| STT | Nội dung | Đơn vị tính | 2021 | 2022 | 2023 |
| 1 | Sản lượng lúa thu hoạch cả năm | Kg | 7.200 | 7.000 | 6.800 |
| 2 | Giá bán bình quân năm | đồng/kg | 4.300 | 4.700 | 4.600 |
| 3 | Tổng thu nhập | đồng | 30.960.000 | 32.900.000 | 31.280.000 |
| 4 | Chi phí sản xuất | đồng | 21.000.000 | 20.000.000 | 18.500.000 |
| 5 | Lãi suất tiền gửi tiết kiệm bình quân (r) của loại tiền gửi bằng tiền Việt Nam kỳ hạn 12 tháng tại các ngân hàng thương mại do Nhà nước nắm giữ trên 50% vốn điều lệ hoặc tổng số cổ phần có quyền biểu quyết trên địa bàn cấp tỉnh của 03 năm liền kề tính đến hết quý gần nhất có số liệu trước thời điểm định giá. | %/năm | 12 | 9 | 8,5 |
Việc xác định giá đất theo phương pháp thu nhập thực hiện như sau:
- Thu nhập bình quân một năm:
![]()
- Chi phí bình quân một năm:
![]()
- Thu nhập ròng bình quân một năm:
31.713.333 đồng - 19.833.333 đồng = 11.880.000 đồng
- Lãi suất tiền gửi tiết kiệm bình quân năm (r) là:
![]()
- Giá trị quyền sử dụng đất của thửa đất cần định giá là:
![]()
- Giá đất của thửa đất cần định giá là:
![]()
Kết luận: Giá đất của thửa đất cần định giá (làm tròn) là 30.000 đồng/m2.
(Các số liệu được nêu trong ví dụ có tính chất minh họa, chỉ để tham khảo, không dùng làm căn cứ quy định hoặc áp dụng khi xác định giá đất cụ thể tại địa phương. Số liệu do các cơ quan, tổ chức quyết định theo quy định và chịu trách nhiệm trước pháp luật).
2. Trường hợp 2:
THỬA ĐẤT ĐỊNH GIÁ LÀ ĐẤT TRỒNG CÂY LÂU NĂM
Thửa đất cần định giá là đất trồng cây lâu năm tại xã B, tỉnh D thuộc khu vực Tây Nguyên. Thời điểm định giá đất tháng 01/2024.
Thông tin về thửa đất cần định giá như sau:
Thửa đất cần định giá trồng cây cà phê có diện tích 10 ha, đất đỏ bazan, mật độ trồng 1.110 cây/ha. Đến thời điểm xác định giá đã hoàn thành 03 năm kiến thiết cơ bản (trồng mới và chăm sóc), bắt đầu đưa vào khai thác, thời gian khai thác bắt đầu từ năm thứ tư, mỗi năm thu hoạch được 2 vụ.
Sản lượng hạt cà phê nhân xô thu hoạch 4 vụ trong 02 năm là 7 tấn/ha. Giá bán trên thị trường là: 40.000.000 đồng/tấn.
Chi phí để tạo ra thu nhập từ việc sử dụng đất trồng cây cà phê như sau:
| STT | Khoản mục chi phí | Đơn vị | Kiến thiết cơ bản (trồng mới và chăm sóc) | Chăm sóc, thu hoạch trong 04 vụ, tương ứng 02 năm (thời kỳ khai thác) |
| 1 | Vật tư, dụng cụ Bao gồm: Cây giống, phân bón, thuốc bảo vệ thực vật, vật tư, dụng cụ khác | đồng/ha | 47.500.000 | 45.000.000 |
| 2 | Nhân công Bình quân nhân công bậc 3 | đồng/ha | 90.000.000 | 120.000.000 |
| 3 | Máy Bao gồm: máy cày, máy bừa, máy khoan, phương tiện vận chuyển... | đồng/ha | 8.500.000 | 7.000.000 |
| 4 | Chi phí khác (quản lý, thuế sử dụng đất…) | đồng/ha | 7.300.000 | 8.600.000 |
|
| Cộng | đồng/ha | 153.300.000 | 180.600.000 |
Lãi suất tiền gửi tiết kiệm bình quân (r) của loại tiền gửi bằng tiền Việt Nam kỳ hạn 12 tháng tại các ngân hàng thương mại do Nhà nước nắm giữ trên 50% vốn điều lệ hoặc tổng số cổ phần có quyền biểu quyết trên địa bàn cấp tỉnh của 03 năm liền kề tính đến hết quý gần nhất có số liệu trước thời điểm định giá là: r = 9,83%/năm (năm 2021 là: 12%; năm 2022 là 9%; năm 2023 là 8,5%).
Việc xác định giá đất theo phương pháp thu nhập thực hiện như sau:
- Thu nhập bình quân một năm từ bán hạt cà phê nhân xô là:
40.000.000 đồng/tấn x 7 tấn/ha : 2 x 10 ha = 1.400.000.000 đồng/năm
- Chi phí bình quân một năm:
180.600.000 đồng/ha: 2 x 10 ha = 903.000.000 đồng/năm
- Thu nhập ròng một năm từ bán hạt cà phê nhân xô:
1.400.000.000 đồng/năm - 903.000.000 đồng/năm = 497.000.000 đồng/năm
- Giá trị thửa đất và vườn cây cần định giá:
![]()
- Giá trị thửa đất cần định giá:
5.055.951.170 đồng - (153.300.000 đồng/ha x 10ha) = 3.522.951.170 đồng
- Giá đất của thửa đất cần định giá:
![]()
Kết luận: Giá đất của thửa đất cần định giá (làm tròn) là 35.000 đồng/m2.
(Các số liệu được nêu trong ví dụ có tính chất minh họa, chỉ để tham khảo, không dùng làm căn cứ quy định hoặc áp dụng khi xác định giá đất cụ thể tại địa phương. Số liệu do các cơ quan, tổ chức quyết định theo quy định và chịu trách nhiệm trước pháp luật).
3. Trường hợp 3:
THỬA ĐẤT ĐỊNH GIÁ LÀ ĐẤT SẢN XUẤT, KINH DOANH PHI NÔNG NGHIỆP
(1) Thửa đất cần định giá là thửa đất sản xuất, kinh doanh phi nông nghiệp tại đường A, phường B, thành phố C, được Nhà nước cho thuê đất trả tiền thuê đất một lần cho cả thời gian thuê. Trên thửa đất có công trình xây dựng, bao gồm 01 tòa nhà văn phòng cho thuê và các hạng mục phụ trợ với các thông tin như sau:
- Diện tích thửa đất cần định giá: 6.000 m2, thời hạn sử dụng đất còn lại là 40 năm.
- Tòa nhà văn phòng: diện tích xây dựng 3.000 m2, cao 10 tầng, tổng diện tích sàn xây dựng 30.000 m2; diện tích sử dụng cho thuê làm văn phòng 22.000 m2.
- Tổng giá trị công trình trên đất (tòa nhà chính và các hạng mục phụ trợ) tại thời điểm định giá đất là: 315.000 triệu đồng.
- Giá trị thu hồi của công trình sau khi hết thời hạn sử dụng đất là không đáng kể.
- Thu thập thông tin về thu nhập của giá thuê văn phòng trong 01 năm liền kề trước thời điểm định giá của 03 thửa đất có khoảng cách gần nhất đến thửa đất cần định giá (giả sử giá thuê văn phòng không bao gồm chi phí đầu tư phát triển thương hiệu, đầu tư công trình hạ tầng, thúc đẩy việc kinh doanh, hỗ trợ khách hàng, đảm bảo an ninh). Sau khi điều chỉnh các yếu tố khác biệt, mức giá bình quân cho thuê trên thị trường tại thời điểm xác định giá là: 0,23 triệu đồng/m2/tháng (chưa gồm thuế giá trị gia tăng); tỷ lệ cho thuê được (tỷ lệ lấp đầy) là 80%. Tiền thuê được thanh toán hàng năm, lần thanh toán đầu tiên sau thời điểm định giá đất là một năm.
- Giả sử chi phí vận hành, duy tu, bảo dưỡng công trình xây dựng gắn liền với đất bằng 15% doanh thu.
- Tiền thuế sử dụng đất hàng năm là 30 triệu đồng.
- Lãi suất tiền gửi tiết kiệm bình quân (r) của loại tiền gửi bằng tiền Việt Nam kỳ hạn 12 tháng tại các ngân hàng thương mại do Nhà nước nắm giữ trên 50% vốn điều lệ hoặc tổng số cổ phần có quyền biểu quyết trên địa bàn cấp tỉnh của 03 năm liền kề tính đến hết quý gần nhất có số liệu trước thời điểm định giá là 9,83%/năm.
(2) Việc xác định giá đất theo phương pháp thu nhập thực hiện như sau:
- Thu nhập một năm từ cho thuê văn phòng là:
0,23 triệu đồng/m2/tháng x 22.000 m2 x 80% x 12 tháng = 48.576 triệu đồng.
- Chi phí vận hành, duy tu, bảo dưỡng công trình xây dựng gắn liền với đất một năm là:
48.576 triệu đồng x 15% = 7.286 triệu đồng.
- Tiền thuế sử dụng đất hàng năm là: 30 triệu đồng.
- Thu nhập ròng một năm từ cho thuê văn phòng là:
48.576 triệu đồng - 7.286 triệu đồng - 30 triệu đồng = 41.260 triệu đồng.
- Do khu đất có thời hạn sử dụng còn lại là 40 năm, nên lãi suất được điều chỉnh như sau:

- Giá trị của bất động sản là:

- Giá trị quyền sử dụng đất của thửa đất cần định giá là:
409.731 triệu đồng - 315.000 triệu đồng = 94.731 triệu đồng.
- Giá đất của thửa đất cần định giá:

Kết luận: Giá đất của thửa đất cần định giá làm tròn là 15,8 triệu đồng/m2.
(Các số liệu được nêu trong ví dụ có tính chất minh họa, chỉ để tham khảo, không dùng làm căn cứ quy định hoặc áp dụng khi xác định giá đất cụ thể tại địa phương. Số liệu do các cơ quan, tổ chức quyết định theo quy định và chịu trách nhiệm trước pháp luật).
VÍ DỤ SỐ 03: VỀ PHƯƠNG PHÁP THẶNG DƯ
1. Năm 2024, Ủy ban nhân dân Thành phố A giao khu đất có diện tích 20.000 m2 cho Công ty B để thực hiện dự án đầu tư xây dựng nhà chung cư và tòa nhà văn phòng cho thuê. Hiện tại khu đất đã hoàn thành việc bồi thường, giải phóng mặt bằng. Trong đó phương án sử dụng đất có hiệu quả cao nhất theo quy hoạch sử dụng đất, quy hoạch chi tiết xây dựng đã được cơ quan nhà nước có thẩm quyền phê duyệt:
- 7.000 m2 đất để xây dựng nhà chung cư, diện tích xây dựng 4.000 m2, cao 20 tầng; hình thức sử dụng đất: giao đất ở có thu tiền sử dụng đất.
- 9.000 m2 đất để xây dựng tòa nhà văn phòng cho thuê, diện tích xây dựng 4.000 m2, cao 15 tầng; hình thức sử dụng đất: thuê đất trả tiền thuê đất 01 lần cho cả thời gian thuê, thời hạn thuê đất là 50 năm.
- 4.000 m2 đất đường giao thông nội bộ sử dụng chung; hình thức sử dụng đất: giao đất không thu tiền sử dụng đất.
- Dự án này sẽ hoàn thành xây dựng trong vòng 02 năm và quyết toán làm 02 lần vào cuối năm thứ nhất và cuối năm thứ hai.
2. Các khoản chi phí để thực hiện dự án (chưa gồm thuế giá trị gia tăng):
- Chi phí xây dựng công trình hạ tầng, chi phí thiết bị (bao gồm cả các khoản thuế có liên quan): 0,9 triệu đồng/m2.
- Chi phí xây dựng nhà chung cư 20 tầng bao gồm chi phí thiết bị: 12 triệu đồng/m2.
- Chi phí xây dựng tòa nhà văn phòng 15 tầng bao gồm chi phí thiết bị: 12,5 triệu đồng/m2.
- Chi phí xây dựng các công trình, hạng mục công trình xây dựng tạm, phụ trợ phục vụ thi công: 450 triệu đồng; trong đó chi phí này được phân bổ trong chi phí xây dựng nhà chung cư là 197 triệu đồng, phân bổ trong chi phí xây dựng tòa nhà văn phòng là 253 triệu đồng.
- Chi phí phá dỡ các công trình xây dựng không thuộc phạm vi của công tác phá dỡ giải phóng mặt bằng đã được xác định trong chi phí bồi thường, hỗ trợ, tái định cư: 200 triệu đồng; trong đó chi phí này được phân bổ trong chi phí xây dựng nhà chung cư là 87,5 triệu đồng, phân bổ trong chi phí xây dựng tòa nhà văn phòng là 112,5 triệu đồng.
- Chi phí quản lý dự án bằng 2% tổng của chi phí xây dựng công trình hạ tầng bao gồm chi phí thiết bị và chi phí xây dựng nhà chung cư bao gồm chi phí thiết bị của dự án.
- Chi phí tư vấn đầu tư xây dựng: 15.000 triệu đồng (trong đó chi phí tư vấn nhà chung cư là 8.000 triệu đồng).
- Chi phí san lấp mặt bằng, chi phí rà phá bom mìn, chi phí khảo sát địa chất, chi phí, lệ phí thực hiện các thủ tục về xây dựng công trình, chi phí bảo hiểm công trình trong thời gian xây dựng và các chi phí hợp lý, hợp lệ khác theo quy định của pháp luật về xây dựng mà góp phần trực tiếp hình thành doanh thu phát triển của dự án đối với nhà chung cư là 5.000 triệu đồng, đối với tòa nhà văn phòng là 4.000 triệu đồng.
- Chi phí tiếp thị, quảng cáo, bán hàng bằng 1% tổng doanh thu (giả sử thông tin giá đất đầu vào khi lựa chọn thửa đất so sánh đã loại trừ các chi phí phát triển thương hiệu, hỗ trợ chiết khấu bán hàng).
- Chi phí lãi vay, lợi nhuận của nhà đầu tư có tính đến vốn chủ sở hữu, rủi ro trong kinh doanh được tính bằng 15% nhân với tổng của chi phí đầu tư xây dựng, chi phí kinh doanh và giá trị quyền sử dụng đất của thửa đất, khu đất cần định giá.
- Biết tỷ lệ chiết khấu tính theo lãi suất cho vay trung hạn (từ 01 năm đến 03 năm) bình quân bằng tiền Việt Nam đối với dự án đầu tư, kinh doanh bất động sản của các ngân hàng thương mại do Nhà nước nắm giữ trên 50% vốn điều lệ hoặc tổng số cổ phần có quyền biểu quyết trên địa bàn Thành phố A của năm liền kề tính đến hết quý gần nhất có số liệu trước thời điểm định giá là 12%/năm.
- Chi phí phá dỡ các công trình xây dựng không thuộc phạm vi của công tác phá dỡ giải phóng mặt bằng đã được xác định trong chi phí bồi thường, hỗ trợ, tái định cư; chi phí xây dựng các công trình, hạng mục công trình xây dựng tạm, phụ trợ phục vụ thi công; chi phí san lấp mặt bằng, chi phí rà phá bom mìn, chi phí khảo sát địa chất, chi phí, lệ phí thực hiện các thủ tục về xây dựng công trình, chi phí bảo hiểm công trình trong thời gian xây dựng và các chi phí hợp lý, hợp lệ khác theo quy định của pháp luật về xây dựng mà góp phần trực tiếp hình thành doanh thu phát triển của dự án hoàn thiện trong năm đầu. Các khoản chi phí xây dựng hạ tầng, tư vấn đầu tư xây dựng và chi phí xây dựng các tòa nhà, năm đầu thực hiện 50% khối lượng; chi phí quản lý dự án thực hiện theo chi phí xây dựng của từng năm.
- Chi phí dự phòng cho yếu tố trượt giá trong thời gian thực hiện xây dựng nhà chung cư là 56.742,24 triệu đồng (trong đó năm thứ 1 là 18.660,3 triệu đồng, năm thứ 2 là 38.081,94 triệu đồng). Chi phí dự phòng cho yếu tố trượt giá trong thời gian thực hiện xây dựng tòa nhà văn phòng là 40.238,47 triệu đồng (trong đó năm thứ 1 là 13.232,86 triệu đồng, năm thứ 2 là 27.005,61 triệu đồng).
3. Giá bán căn hộ và cho thuê văn phòng (chưa gồm thuế giá trị gia tăng):
- Giá bán căn hộ chung cư bình quân tại thời điểm định giá 25 triệu đồng/m2, tổng diện tích sàn thương phẩm căn hộ chiếm 80% tổng diện tích sàn xây dựng nhà chung cư. Năm đầu tiên xây dựng, chưa thực hiện bán hàng nên chưa phát sinh doanh thu, năm thứ 2 xây dựng bắt đầu thực hiện bán hàng và bán được 50% trong tổng diện tích sàn thương phẩm, năm tiếp theo bán được 50% trong tổng diện tích sàn thương phẩm.
- Tổng diện tích sàn thương phẩm khu văn phòng bằng 75% tổng diện tích sàn xây dựng tòa nhà văn phòng; giá cho thuê bình quân các văn phòng tương tự trong cùng khu vực là 0,35 triệu đồng/m2/tháng; tỷ lệ cho thuê được (tỷ lệ lấp đầy) là 80%. Chi phí quản lý, vận hành tòa nhà văn phòng (chi phí điện, nước, bảo vệ, vệ sinh, nhân công quản lý...) hằng năm bằng 15% doanh thu hằng năm. Công trình khai thác vận hành sau 02 năm xây dựng.
Trong thời gian thực hiện dự án, giá bán căn hộ biến động là 2%/năm và giá cho thuê văn phòng biến động là 5% sau 3 năm.
Giả sử các thông tin về giá bán, giá cho thuê đã loại trừ các chi phí phát triển thương hiệu, hỗ trợ chiết khấu bán hàng.
4. Việc áp dụng phương pháp thặng dư để định giá khu đất thực hiện như sau:
4.1. Xác định giá đất của khu đất xây dựng nhà chung cư
4.1.1. Ước tính doanh thu phát triển nhà chung cư
- Doanh thu năm đầu bằng 0 do chưa thực hiện bán hàng, chưa phát sinh doanh thu.
- Doanh thu năm thứ hai (sau 01 năm đầu tư xây dựng):
(4.000 m2/tầng x 20 tầng x 80%) x [25 triệu đồng/m2 x (1+2%)] x 50% = 816.000 triệu đồng
- Doanh thu năm thứ ba:
(4.000 m2/tầng x 20 tầng x 80%) x [25 triệu đồng/m2 x (1+2%)2] x 50% = 832.320 triệu đồng
- Doanh thu phát triển nhà tòa chung cư chiết khấu về giá trị hiện tại tại thời điểm định giá đất:

4.1.2. Ước tính chi phí phát triển nhà chung cư
a) Chi phí đầu tư xây dựng
- Chi phí xây dựng hạ tầng bao gồm chi phí thiết bị (cả các khoản thuế có liên quan):
20.000 m2 x 0,9 triệu đồng/m2 x 7.000 m2/(7.000 m2 + 9.000 m2) = 7.875 triệu đồng.
- Chi phí xây dựng nhà chung cư bao gồm chi phí thiết bị (cả các khoản thuế có liên quan):
4.000 m2/tầng x 20 tầng x 12 triệu đồng/m2 = 960.000 triệu đồng
- Chi phí tư vấn đầu tư xây dựng nhà chung cư: 8.000 triệu đồng
- Chi phí quản lý dự án:
(7.875 triệu đồng + 960.000 triệu đồng) x 2% = 19.357,50 triệu đồng
- Tổng chi phí đầu tư xây dựng:
87,5 + 197 + 7.875 + 960.000 + 8.000 + 19.357,50 + 5.000 + 56.742,24 = 1.57.259 ,24 triệu đồng.
- Chi phí đầu tư xây dựng năm thứ 1 là:
87,5 + 197 + (7.875 + 960.000 + 8.000 + 19.357,50) x 50% + 5.000 + 18.660,3 = 521.561,05 triệu đồng.
- Chi phí đầu tư xây dựng năm thứ 2 là:
(7.875 + 960.000 + 8.000 + 19.357,50) x 50% + 38.081,94 = 535.698,19 triệu đồng.
Tổng chi phí đầu tư xây dựng nhà chung cư chiết khấu về giá trị hiện tại tại thời điểm định giá đất:

b) Chi phí tiếp thị, quảng cáo, bán hàng
1% x 1.242.939,14 triệu đồng = 12.429,39 triệu đồng
c) Chi phí lãi vay, lợi nhuận của nhà đầu tư có tính đến vốn chủ sở hữu, rủi ro trong kinh doanh = 15% x (892.734,83 triệu đồng + 12.429,39 triệu đồng + Vcc) = 135.774,63 triệu đồng + 15% x Vcc
Trong đó: Vcc là giá trị quyền sử dụng đất của phần diện tích đất xây dựng nhà chung cư
d) Tổng chi phí phát triển của nhà chung cư
892.734,83 triệu đồng + 12.429,39 triệu đồng + 135.774,63 triệu đồng +15% x Vcc = 1.040.938,85 triệu đồng +15% x Vcc
4.1.3. Xác định giá trị quyền sử dụng đất của khu đất nhà chung cư:
Vcc = 1.242.939,14 triệu đồng - (1.040.938,85 triệu đồng +15% x Vcc)
Vcc = 175.652,42 triệu đồng
4.1.4. Xác định giá đất của khu đất nhà chung cư:
175.652,42 triệu đồng /7.000 m2 = 25,09 triệu đồng/m2.
4.2. Xác định giá đất của tòa nhà văn phòng cho thuê
4.2.1. Ước tính tổng doanh thu phát triển tòa nhà văn phòng cho thuê:
- Thu nhập từ cho thuê văn phòng một năm là:
0,35 triệu đồng/tháng x (4.000 m2/tầng x 15 tầng x 75%) x 80% x 12 tháng = 151.200 triệu đồng.
- Chi phí quản lý, vận hành một năm (bằng 15% doanh thu hằng năm) là:
151.200 triệu đồng x 15% = 22.680 triệu đồng
- Thu nhập ròng một năm từ cho thuê văn phòng là:
151.200 triệu đồng - 22.680 triệu đồng = 128.520 triệu đồng
- Doanh thu từ tòa nhà văn phòng quy về thời điểm hiện tại (2 năm đầu xây dựng không phát sinh doanh thu, giá cho thuê văn phòng biến động là 5% sau 3 năm): 995.151 triệu đồng.
- Chi phí quản lý, vận hành quy về thời điểm hiện tại: 175.615 triệu đồng
4.2.2. Ước tính chi phí phát triển tòa nhà văn phòng cho thuê.
a) Chi phí đầu tư xây dựng
- Chi phí xây dựng hạ tầng bao gồm chi phí thiết bị:
20.000 m2 x 0,9 triệu đồng/m2 x 9.000 m2 /(7.000 m2 + 9.000 m2) = 10.125 triệu đồng.
- Chi phí xây dựng tòa nhà văn phòng bao gồm cả chi phí thiết bị:
4.000 m2/tầng x 15 tầng x 12,5 triệu đồng/m2 = 750.000 triệu đồng
- Chi phí tư vấn đầu tư xây dựng tòa văn phòng:
15.000 triệu đồng - 8.000 triệu đồng = 7.000 triệu đồng
- Chi phí quản lý dự án:
(10.125 triệu đồng + 750.000 triệu đồng) x 2% = 15.202,50 triệu đồng.
- Tổng chi phí đầu tư xây dựng:
112,5 + 253 + 10.125 + 750.000 + 7.000 + 15.202,50 + 4.000 + 40.238,47 = 826.931,47 triệu đồng.
- Chi phí đầu tư xây dựng năm thứ 1:
112,5 + 253 + (10.125 + 750.000 + 7.000 + 15.202,50) x 50% + 4.000 + 13.232,86 = 408.762,11 triệu đồng
- Chi phí đầu tư xây dựng năm thứ 2:
(10.125 + 750.000 + 7.000 + 15.202,50) x 50% + 27.005,61 = 418.169,36 triệu đồng
- Tổng chi phí đầu tư xây dựng chiết khấu về giá trị hiện tại:

b) Chi phí tiếp thị, quảng cáo, bán hàng
1% x 995.151 triệu đồng = 9.951,51 triệu đồng.
c) Chi phí lãi vay, lợi nhuận của nhà đầu tư có tính đến vốn chủ sở hữu, rủi ro trong kinh doanh = 15% x (698.328,22 triệu đồng + 9.951,51 triệu đồng + 175.615 triệu đồng + Vvp) = 132.584,21 triệu đồng + 15% x Vvp
Trong đó: Vvp là giá trị quyền sử dụng đất của phần diện tích đất xây tòa văn phòng cho thuê
d) Tổng chi phí phát triển tòa văn phòng cho thuê
698.328,22 triệu đồng + 9.951,51 triệu đồng + 132.584,21 triệu đồng + 15% x Vvp = 840.863,94 triệu đồng + 15% x Vvp
4.2.3. Xác định giá trị của khu đất tòa văn phòng cho thuê
Vvp = 995.151 triệu đồng - (840.863,94 triệu đồng + 15% x Vvp)
Vvp = 134.163,01 triệu đồng
4.2.4. Xác định giá đất của khu đất tòa văn phòng cho thuê
134.163,01 triệu đồng/ 9.000 m2 = 14,91 triệu đồng/m2.
III. Tổng giá trị quyền sử dụng đất của khu đất có diện tích 20.000 m2 cần định giá
175.652,42 triệu đồng + 134.163,01 triệu đồng = 309.815,43 triệu đồng
- Giá trị quyền sử dụng đất của khu đất xây nhà chung cư là 175.652,42 triệu đồng; giá đất của khu đất xây nhà chung cư là 25,09 triệu đồng/m2.
- Giá trị quyền sử dụng đất của khu đất xây tòa văn phòng cho thuê là 134.163,01 triệu đồng; giá đất của khu đất xây tòa văn phòng cho thuê là 14,91 triệu đồng/m2.
(Các số liệu được nêu trong ví dụ có tính chất minh họa, chỉ để tham khảo, không dùng làm căn cứ quy định hoặc áp dụng khi xác định giá đất cụ thể tại địa phương. Số liệu do các cơ quan, tổ chức quyết định theo quy định và chịu trách nhiệm trước pháp luật).
VÍ DỤ SỐ 04: VỀ PHƯƠNG PHÁP THẶNG DƯ ĐỐI VỚI TRƯỜNG HỢP GIAO ĐẤT, CHO THUÊ ĐẤT THEO TIẾN ĐỘ BỒI THƯỜNG, HỖ TRỢ, TÁI ĐỊNH CƯ QUY ĐỊNH TẠI ĐIỂM C KHOẢN 2 ĐIỀU 257
1. Ủy ban nhân dân Thành phố A phê duyệt quy hoạch chi tiết dự án đầu tư xây dựng kinh doanh nhà ở để bán dưới hình thức phân lô, bán nền như sau:
- 32.000 m2 đất xây dựng nhà liền kề;
- 18.000 m2 đất đường giao thông, nội bộ sử dụng chung;
2. Công ty B được Ủy ban nhân dân Thành phố A giao 50.000 m2 để thực hiện dự án đầu tư xây dựng kinh doanh nhà ở để bán dưới hình thức phân lô, bán nền theo tiến độ bồi thường, hỗ trợ, tái định cư tại 03 Quyết định giao đất năm 2017, 2018 và 2019. Cụ thể:
- Tại quyết định giao đất năm 2017 giao 20.000 m2 đất; trong đó:
+ 14.000 m2 đất xây dựng nhà liền kề hình thức sử dụng đất: giao đất ở có thu tiền sử dụng đất;
+ 6.000 m2 đất đường giao thông nội bộ sử dụng chung; hình thức sử dụng đất: giao đất không thu tiền sử dụng đất.
Giai đoạn này sẽ hoàn thành xây dựng trong vòng 02 năm và quyết toán làm 02 lần vào cuối năm thứ nhất và cuối năm thứ hai.
- Tại quyết định giao đất năm 2018 giao 20.000 m2 đất; trong đó:
+ 16.000 đất xây dựng nhà liền kề; hình thức sử dụng đất: giao đất ở có thu tiền sử dụng đất;
+ 4.000 m2 đất đường giao thông nội bộ sử dụng chung; hình thức sử dụng đất: giao đất không thu tiền sử dụng đất.
- Tại quyết định giao đất năm 2019 giao 10.000 m2 đất; trong đó:
+ 2.000 m2 đất xây dựng nhà liền kề;
+ 8.000 m2 đất đường giao thông nội bộ sử dụng chung; hình thức sử dụng đất: giao đất không thu tiền sử dụng đất.
Trong 03 quyết định giao đất thì quyết định giao đất năm 2017 đủ điều kiện để tính được doanh thu phát triển, chi phí phát triển của thửa đất, khu đất; quyết định giao đất năm 2018, quyết định giao đất năm 2019 không ước tính được đầy đủ doanh thu phát triển của thửa đất, khu đất đối với từng quyết định. Do đó, năm 2017 xác định doanh thu phát triển ước tính, chi phí phát triển ước tính được thực hiện theo diện tích của quyết định năm 2017; năm 2018, 2019 xác định doanh thu phát triển ước tính, chi phí phát triển ước tính được thực hiện cho toàn bộ dự án.
Mỗi quyết định giao đất được hoàn thành xây dựng trong vòng 02 năm và quyết toán làm 02 lần vào cuối năm thứ nhất và cuối năm thứ hai kể từ năm giao đất của từng quyết định.
3. Các khoản chi phí để tính toán chi phí phát triển của dự án (không bao gồm thuế giá trị gia tăng):
| Năm | 2017 | 2018 | 2019 |
| Quy mô diện tích để tính toán | 20.000 m2 | 50.000 m2 | 50.000 m2 |
| Chi phí xây dựng hạ tầng, chi phí thiết bị (bao gồm cả các khoản thuế có liên quan) | 0,75 triệu đồng/m2 | 0,8 triệu đồng/m2 | 0,9 triệu đồng/m2 |
| Chi phí xây dựng các công trình, hạng mục công trình xây dựng tạm, phụ trợ phục vụ thi công | 135 triệu đồng | Tiếp tục sử dụng công trình tạm, phụ trợ phục vụ thi công | Tiếp tục sử dụng công trình tạm, phụ trợ phục vụ thi công |
| Chi phí phá dỡ các công trình xây dựng không thuộc phạm vi của công tác phá dỡ giải phóng mặt bằng đã được xác định trong chi phí bồi thường, hỗ trợ và tái định cư | 200 triệu đồng | Không phát sinh | Không phát sinh |
| Chi phí quản lý dự án | 2% tổng của chi phí xây dựng hạ tầng và chi phí thiết bị của dự án | 2% tổng của chi phí xây dựng hạ tầng và chi phí thiết bị của dự án | 2% tổng của chi phí xây dựng hạ tầng và chi phí thiết bị của dự án |
| Chi phí tư vấn đầu tư xây dựng, chi phí bảo hiểm công trình, chi phí quan trắc biến dạng công trình | 5.000 triệu đồng | 8.000 triệu đồng | 8.000 triệu đồng |
| Chi phí san lấp mặt bằng, chi phí rà phá bom mìn, chi phí khảo sát địa chất, chi phí, lệ phí thực hiện các thủ tục về xây dựng công trình, chi phí bảo hiểm công trình trong thời gian xây dựng và các chi phí hợp lý, hợp lệ khác theo quy định của pháp luật về xây dựng mà góp phần trực tiếp thành doanh thu phát triển của dự án | 105 triệu đồng | 200 triệu đồng | 200 triệu đồng |
| Chi phí dự phòng cho yếu tố trượt giá | 888,6 triệu đồng (năm 1: 292,22 triệu đồng; năm 2: 596, 38 triệu đồng) | 2.369,6 triệu đồng (năm 1: 779,28 triệu đồng; năm 2: 1.590,35 triệu đồng) | 2.665,8 triệu đồng (năm 1: 876,69 triệu đồng; năm 2: 1.789,15 triệu đồng) |
| Chi phí tiếp thị, quảng cáo, bán hàng (giả sử thông tin giá đất đầu vào khi lựa chọn thửa đất so sánh đã loại trừ các chi phí phát triển thương hiệu, hỗ trợ chiết khấu bán hàng) | 1% tổng doanh thu | 1% tổng doanh thu | 1% tổng doanh thu |
| Chi phí lãi vay, lợi nhuận của nhà đầu tư có tính đến vốn chủ sở hữu, rủi ro trong kinh doanh | 15% nhân với tổng của chi phí đầu tư xây dựng, chi phí kinh doanh và giá trị quyền sử dụng đất của thửa đất, khu đất cần định giá | 15% nhân với tổng của chi phí đầu tư xây dựng, chi phí kinh doanh và giá trị quyền sử dụng đất của thửa đất, khu đất cần định giá | 15% nhân với tổng của chi phí đầu tư xây dựng, chi phí kinh doanh và giá trị quyền sử dụng đất của thửa đất, khu đất cần định giá |
| Tỷ lệ chiết khấu tính theo lãi suất cho vay trung hạn (từ 01 năm đến 03 năm) bình quân bằng tiền Việt Nam đối với dự án đầu tư, kinh doanh bất động sản của các ngân hàng thương mại do Nhà nước nắm giữ trên 50% vốn điều lệ hoặc tổng số cổ phần có quyền biểu quyết trên địa bàn Thành phố A của năm liền kề tính đến hết quý gần nhất có số liệu trước thời điểm định giá | 11% | 11,5% | 11,5% |
Chi phí phá dỡ các công trình xây dựng không thuộc phạm vi của công tác phá dỡ giải phóng mặt bằng đã được xác định trong chi phí bồi thường, hỗ trợ và tái định cư, chi phí xây dựng công trình tạm, phụ trợ phục vụ thi công hoàn thiện trong năm 2017; các năm 2018 và 2019 tiếp tục sử dụng công trình tạm, phụ trợ phục vụ thi công và không phát sinh chi phí phá dỡ. Chi phí san lấp mặt bằng, chi phí rà phá bom mìn, chi phí khảo sát địa chất, chi phí, lệ phí thực hiện các thủ tục về xây dựng công trình, chi phí bảo hiểm công trình trong thời gian xây dựng và các chi phí hợp lý, hợp lệ khác theo quy định của pháp luật về xây dựng mà góp phần trực tiếp hình thành doanh thu phát triển của dự án hoàn thiện trong năm đầu của năm giao đất. Các khoản chi phí xây dựng hạ tầng, tư vấn đầu tư xây dựng năm đầu giao đất của từng quyết định thực hiện 50% khối lượng; chi phí quản lý dự án thực hiện theo chi phí xây dựng của từng năm xây dựng đối với từng đợt giao đất.
4. Giá chuyển nhượng đất xây dựng nhà liền kề khảo sát năm 2017, năm 2018, năm 2019 (chưa gồm thuế giá trị gia tăng) bình quân lần lượt là 18 triệu đồng/m2, 19 triệu đồng/m2, 21 triệu đồng/m2.
Thời gian bán hàng để ước tính doanh thu phát triển nhằm xác định giá đất cho quyết định giao đất năm 2017: năm đầu tiên xây dựng chưa thực hiện bán hàng nên chưa phát sinh doanh thu, năm thứ 2 xây dựng bắt đầu thực hiện bán hàng và bán được 50% trong tổng diện tích sàn thương phẩm, năm tiếp theo bán được 50% trong tổng diện tích sàn thương phẩm.
Thời gian bán hàng để ước tính doanh thu phát triển nhằm xác định giá đất cho từng quyết định giao đất năm 2018, 2019: năm đầu tiên xây dựng chưa thực hiện bán hàng nên chưa phát sinh doanh thu, năm thứ 2 xây dựng bắt đầu thực hiện bán hàng và bán được tỷ lệ 1/3 trong tổng diện tích sàn thương phẩm, hai năm tiếp theo mỗi năm bán được tỷ lệ 1/3 trong tổng diện tích sàn thương phẩm.
Giả sử cơ quan thống kê, cơ quan quản lý thị trường bất động sản không có số liệu về mức biến động của giá chuyển nhượng đất xây dựng nhà liền kề. Chỉ số giá tiêu dùng nhóm nhà ở, điện, nước và vật liệu xây dựng bình quân 03 năm liền kề gần nhất của tỉnh đối với thời điểm định giá năm 2017 là 3,5%/năm; thời điểm định giá năm 2018 là 3,6%/năm; thời điểm định giá năm 2019 là 3,8%/năm.
Giả sử các thông tin về giá bán, giá cho thuê đã loại trừ các chi phí phát triển thương hiệu, hỗ trợ chiết khấu bán hàng.
5. Việc áp dụng phương pháp thặng dư để định giá khu đất thực hiện như sau:
5.1. Đối với thời điểm có quyết định giao đất năm 2017
5.1.1. Ước tính tổng doanh thu phát triển
- Doanh thu năm đầu bằng 0 do chưa thực hiện bán hàng, chưa phát sinh doanh thu.
- Doanh thu năm thứ hai (sau 01 năm đầu tư xây dựng):
14.000 m2 x 18 triệu đồng/m2 x (1+3,5%) x 50% = 130.410,00 triệu đồng
- Doanh thu năm thứ ba:
14.000 m2 x 18 triệu đồng/m2 x (1+3,5%)2 x 50% = 134.974,35 triệu đồng
- Doanh thu phát triển chiết khấu về giá trị hiện tại tại thời điểm định giá đất:

5.1.2. Ước tính tổng chi phí phát triển
a) Chi phí đầu tư xây dựng
- Chi phí xây dựng hạ tầng bao gồm chi phí thiết bị (cả các khoản thuế có liên quan):
20.000 m2 x 0,75 triệu đồng/m2 = 15.000 triệu đồng.
- Chi phí quản lý dự án:
15.000 triệu đồng x 2% = 300 triệu đồng
- Tổng chi phí đầu tư xây dựng:
105 + 200 + 135 + 15.000 + 5.000 + 300 + 888,61 = 21.628,61 triệu đồng.
- Chi phí đầu tư xây dựng năm thứ 1 là:
105 + 200 + 135 + (15.000 + 5.000 + 300) x 50% + 292,22 = 10.882,22 triệu đồng.
- Chi phí đầu tư xây dựng năm thứ 2 là:
(15.000 + 5.000 + 300) x 50% + 596,38 = 10.746,38 triệu đồng.
Tổng chi phí đầu tư xây dựng nhà chung cư chiết khấu về giá trị hiện tại tại thời điểm định giá đất:

b) Chi phí quảng cáo, bán hàng
1% x 204.535,76 triệu đồng = 2.045,36 triệu đồng
c) Chi phí lãi vay, lợi nhuận của nhà đầu tư có tính đến vốn chủ sở hữu, rủi ro trong kinh doanh = 15% x (18.525,82 triệu đồng + 2.045,36 triệu đồng + V1) = 3.085,68 + 15% x V1
Trong đó: V1 là giá trị của khu đất theo diện tích giao đất có thu tiền sử dụng đất tại quyết định giao đất năm 2017.
d) Tổng chi phí phát triển
18.525,82 triệu đồng + 2.045,36 triệu đồng + 3.085,68 triệu đồng +15% x V1 = 23.656,86 triệu đồng +15% x V1
5.1.3. Xác định giá trị quyền sử dụng đất của khu đất theo diện tích giao đất có thu tiền sử dụng đất tại quyết định giao đất năm 2017:
V1 = 204.535,76 triệu đồng - (23.656,86 triệu đồng +15% x V1)
V1 = 157.286,01 triệu đồng
5.1.4. Xác định giá đất của khu đất:
157.286,01 triệu đồng /14.000 m2 = 11,23 triệu đồng/m2.
5.2. Đối với thời điểm có quyết định giao đất năm 2018
5.2.1. Ước tính tổng doanh thu phát triển
- Doanh thu năm đầu bằng 0 do chưa thực hiện bán hàng, chưa phát sinh doanh thu.
- Doanh thu năm thứ hai (sau 01 năm đầu tư xây dựng):
32.000 m2 x 19 triệu đồng/m2 x (1+3,6%) : 3 = 209.962,67 triệu đồng
- Doanh thu năm thứ ba:
32.000 m2 x 19 triệu đồng/m2 x (1+3,6%)2 : 3 = 217.521,32 triệu đồng
- Doanh thu năm thứ tư:
32.000 m2 x 19 triệu đồng/m2 x (1+3,6%)3 : 3 = 225.352,09 triệu đồng
- Doanh thu phát triển chiết khấu về giá trị hiện tại tại thời điểm định giá đất:

= 471.606,65 triệu đồng
5.2.2. Ước tính tổng chi phí phát triển
a) Chi phí đầu tư xây dựng
Chi phí xây dựng hạ tầng bao gồm chi phí thiết bị (cả các khoản thuế có liên quan):
50.000 m2 x 0,8 triệu đồng/m2 = 40.000 triệu đồng.
- Chi phí quản lý dự án:
40.000 triệu đồng x 2% = 800 triệu đồng
- Tổng chi phí đầu tư xây dựng:
200 + 40.000 + 8.000 + 2.369,63 + 800 = 51.369,63 triệu đồng.
- Chi phí đầu tư xây dựng năm thứ 1 là:
200 + (40.000 + 8.000 + 800) x 50% + 779,28 = 25.379,28 triệu đồng.
- Chi phí đầu tư xây dựng năm thứ 2 là:
(40.000 + 8.000 + 800) x 50% + 1.590,35 = 25.990,35 triệu đồng.
Tổng chi phí đầu tư xây dựng chiết khấu về giá trị hiện tại tại thời điểm định giá đất:

b) Chi phí tiếp thị, quảng cáo, bán hàng
1% x 471.606,65 triệu đồng = 4.716,07 triệu đồng.
c) Chi phí lãi vay, lợi nhuận của nhà đầu tư có tính đến vốn chủ sở hữu, rủi ro trong kinh doanh = 15% x (43.667,28 triệu đồng + 4.716,07 triệu đồng + V2) = 7.257,50 triệu đồng + 15% x V2
Trong đó: V2 là giá trị của khu đất tại thời điểm năm 2018 theo diện tích giao đất có thu tiền sử dụng đất của cả dự án.
d) Tổng chi phí phát triển
43.667,28 triệu đồng + 4.716,07 triệu đồng + 7.257,50 triệu đồng +15% x V2 = 55.640,85 triệu đồng +15% x V2
5.2.3. Xác định giá trị quyền sử dụng đất của khu đất tại thời điểm năm 2018 theo diện tích giao đất có thu tiền sử dụng đất của cả dự án.
V2 = 471.606,65 triệu đồng - (55.640,85 triệu đồng +15% x V2)
V2 = 361.709,40 triệu đồng
5.2.4. Xác định giá đất của khu đất
361.709,40 triệu đồng /32.000 m2 = 11,30 triệu đồng/m2.
5.3. Đối với thời điểm có quyết định giao đất năm 2019
Thực hiện xác định tương tự như thời điểm có quyết định giao đất năm 2018, xác định được giá đất của khu đất tại thời điểm năm 2019 là 12,55 triệu đồng/m2.
(Các số liệu được nêu trong ví dụ có tính chất minh họa, chỉ để tham khảo, không dùng làm căn cứ quy định hoặc áp dụng khi xác định giá đất cụ thể tại địa phương. Số liệu do các cơ quan, tổ chức quyết định theo quy định và chịu trách nhiệm trước pháp luật).
[1] Văn bản này được hợp nhất từ 03 Nghị định và 01 Quyết định sau:
- Nghị định số 71/2024/NĐ-CP ngày 27 tháng 6 năm 2024 của Chính phủ quy định về giá đất.
- Nghị định số 151/2025/NĐ-CP ngày 12 tháng 6 năm 2025 của Chính phủ quy định về phân định thẩm quyền của chính quyền địa phương 2 cấp, phân quyền, phân cấp trong lĩnh vực đất đai.
- Nghị định số 226/2025/NĐ-CP ngày 15 tháng 8 năm 2025 của Chính phủ quy định sửa đổi, bổ sung một số điều của các nghị định quy định chi tiết thi hành Luật Đất đai.
- Quyết định số 2418/QĐ-BNNMT ngày 28 tháng 6 năm 2025 của Bộ trưởng Bộ Nông nghiệp và Môi trường về việc đính chính Nghị định số 151/2025/NĐ-CP ngày 12 tháng 6 năm 2025 của Chính phủ quy định về phân định thẩm quyền của chính quyền địa phương 02 cấp, phân quyền, phân cấp trong lĩnh vực đất đai.
Văn bản hợp nhất này không thay thế 03 Nghị định và 01 Quyết định nêu trên.
[2] Luật sửa đổi, bổ sung một số điều của Luật Tổ chức Chính phủ và Luật Tổ chức chính quyền địa phương ngày 22 tháng 11 năm 2019 hết hiệu lực kể từ ngày 01 tháng 3 năm 2025 theo quy định tại khoản 2 Điều 31 Luật Tổ chức Chính phủ số 63/2025/QH15 và khoản 2 Điều 51 Luật Tổ chức chính quyền địa phương số 72/2025/QH15.
[3] Nghị định số 71/2024/NĐ-CP có căn cứ ban hành như sau:
“Căn cứ Luật Tổ chức Chính phủ ngày 19 tháng 6 năm 2015; Luật sửa đổi, bổ sung một số điều của Luật Tổ chức Chính phủ và Luật Tổ chức chính quyền địa phương ngày 22 tháng 11 năm 2019;
Căn cứ Luật Đất đai ngày 18 tháng 01 năm 2024;
Theo đề nghị của Bộ trưởng Bộ Tài nguyên và Môi trường;
Chính phủ ban hành Nghị định quy định về giá đất.”
Nghị định số 151/2025/NĐ-CP có căn cứ ban hành như sau:
“Căn cứ Luật Tổ chức Chính phủ năm 2025;
Căn cứ Luật Tổ chức chính quyền địa phương năm 2025;
Căn cứ Nghị quyết số 190/2025/QH15 ngày 19 tháng 02 năm 2025 của Quốc hội quy định về xử lý một số vấn đề liên quan đến sắp xếp tổ chức bộ máy nhà nước;
Theo đề nghị của Bộ trưởng Bộ Nông nghiệp và Môi trường;
Chính phủ ban hành Nghị định quy định về phân định thẩm quyền của chính quyền địa phương 02 cấp, phân quyền, phân cấp trong lĩnh vực đất đai.”
Nghị định số 226/2025/NĐ-CP có căn cứ ban hành như sau:
“Căn cứ Luật Tổ chức Chính phủ số 63/2025/QH15;
Căn cứ Luật Tổ chức chính quyền địa phương số 72/2025/QH15;
Căn cứ Luật Đất đai số 31/2024/QH15 được sửa đổi, bổ sung một số điều bởi các Luật số 43/2024/QH15, số 47/2024/QH15, số 58/2024/QH15, Luật số 71/2025/QH15, số 84/2025/QH15, số 93/2025/QH15 và số 95/2025/QH15;
Căn cứ Nghị quyết số 190/2025/QH15 của Quốc hội quy định về xử lý một số vấn đề liên quan đến sắp xếp tổ chức bộ máy nhà nước;
Căn cứ Nghị quyết số 198/2025/QH15 của Quốc hội quy định về một số cơ chế, chính sách đặc biệt phát triển kinh tế tư nhân;
Căn cứ Nghị quyết số 206/2025/QH15 của Quốc hội về cơ chế đặc biệt xử lý khó khăn, vướng mắc do quy định của pháp luật;
Theo đề nghị của Bộ trưởng Bộ Nông nghiệp và Môi trường;
Chính phủ ban hành Nghị định sửa đổi, bổ sung một số điều của các nghị định quy định chi tiết thi hành Luật Đất đai.”
Quyết định số 2418/QĐ-BNNMT có căn cứ ban hành như sau:
“Căn cứ Luật Ban hành văn bản quy phạm pháp luật năm 2025;
Căn cứ Nghị định số 78/2025/NĐ-CP ngày 01 tháng 4 năm 2025 của Chính phủ quy định chi tiết một số điều và biện pháp để tổ chức, hướng dẫn thi hành Luật Ban hành văn bản quy phạm pháp luật;
Căn cứ Nghị định số 35/2025/NĐ-CP ngày 25 tháng 02 năm 2025 của Chính phủ quy định chức năng, nhiệm vụ, quyền hạn và cơ cấu tổ chức của Bộ Nông nghiệp và Môi trường;
Căn cứ Công văn số 5934/VPCP-NN ngày 27 tháng 6 năm 2025 của Văn phòng Chính phủ về đính chính Nghị định số 151/2025/NĐ-CP;
Theo đề nghị của Cục trưởng Cục Quản lý đất đai.”
[4] Khoản này được sửa đổi, bổ sung theo quy định tại khoản 1 Điều 1 Nghị định số 226/2025/NĐ-CP, có hiệu lực thi hành kể từ ngày 15 tháng 8 năm 2025.
[5] Thay thế cụm từ “thuê hoặc giao nhiệm vụ” bằng cụm từ “thuê, đặt hàng hoặc giao nhiệm vụ” theo quy định tại điểm a khoản 1 Điều 7 Nghị định số 226/2025/NĐ-CP, có hiệu lực thi hành kể từ ngày 15 tháng 8 năm 2025.
[6] Điểm này được sửa đổi, bổ sung theo quy định tại điểm a khoản 2 Điều 1 Nghị định số 226/2025/NĐ-CP, có hiệu lực thi hành kể từ ngày 15 tháng 8 năm 2025.
[7] Điểm này được sửa đổi, bổ sung theo quy định tại điểm a khoản 2 Điều 1 Nghị định số 226/2025/NĐ-CP, có hiệu lực thi hành kể từ ngày 15 tháng 8 năm 2025.
[8] Khoản này được sửa đổi, bổ sung theo quy định tại điểm b khoản 2 Điều 1 Nghị định số 226/2025/NĐ-CP, có hiệu lực thi hành kể từ ngày 15 tháng 8 năm 2025.
[9] Điểm này được sửa đổi, bổ sung theo quy định tại điểm c khoản 2 Điều 1 Nghị định số 226/2025/NĐ-CP, có hiệu lực thi hành kể từ ngày 15 tháng 8 năm 2025.
[10] Khoản này được sửa đổi, bổ sung theo quy định tại điểm d khoản 2 Điều 1 Nghị định số 226/2025/NĐ-CP, có hiệu lực thi hành kể từ ngày 15 tháng 8 năm 2025.
[11] Tên của khoản 6 được sửa đổi, bổ sung theo quy định tại điểm đ khoản 2 Điều 1 Nghị định số 226/2025/NĐ-CP, có hiệu lực thi hành kể từ ngày 15 tháng 8 năm 2025.
[12] Điểm này được sửa đổi, bổ sung theo quy định tại điểm đ khoản 2 Điều 1 Nghị định số 226/2025/NĐ-CP, có hiệu lực thi hành kể từ ngày 15 tháng 8 năm 2025.
[13] Thay thế Phụ lục II ban hành kèm theo Nghị định số 71/2024/NĐ-CP bằng Phụ lục I ban hành kèm theo Nghị định số 226/2025/NĐ-CP theo quy định tại khoản 19 Điều 1 Nghị định số 226/2025/NĐ-CP, có hiệu lực thi hành kể từ ngày 15 tháng 8 năm 2025.
[14] Điểm này được sửa đổi, bổ sung theo quy định tại điểm a khoản 3 Điều 1 Nghị định số 226/2025/NĐ-CP, có hiệu lực thi hành kể từ ngày 15 tháng 8 năm 2025.
[15] Khoản này được sửa đổi, bổ sung theo quy định tại điểm b khoản 3 Điều 1 Nghị định số 226/2025/NĐ-CP, có hiệu lực thi hành kể từ ngày 15 tháng 8 năm 2025.
[16] Thay thế Phụ lục II ban hành kèm theo Nghị định số 71/2024/NĐ-CP bằng Phụ lục I ban hành kèm theo Nghị định số 226/2025/NĐ-CP theo quy định tại khoản 19 Điều 1 Nghị định số 226/2025/NĐ-CP, có hiệu lực thi hành kể từ ngày 15 tháng 8 năm 2025.
[17] Điểm này được sửa đổi, bổ sung theo quy định tại điểm a khoản 4 Điều 1 Nghị định số 226/2025/NĐ-CP, có hiệu lực thi hành kể từ ngày 15 tháng 8 năm 2025.
[18] Điểm này được sửa đổi, bổ sung theo quy định tại điểm a khoản 4 Điều 1 Nghị định số 226/2025/NĐ-CP, có hiệu lực thi hành kể từ ngày 15 tháng 8 năm 2025.
[19] Điểm này được sửa đổi, bổ sung theo quy định tại điểm a khoản 4 Điều 1 Nghị định số 226/2025/NĐ-CP, có hiệu lực thi hành kể từ ngày 15 tháng 8 năm 2025
[20] Điểm này được sửa đổi, bổ sung theo quy định tại điểm b khoản 4 Điều 1 Nghị định số 226/2025/NĐ-CP, có hiệu lực thi hành kể từ ngày 15 tháng 8 năm 2025.
[21] Điểm này được sửa đổi, bổ sung theo quy định tại điểm b khoản 4 Điều 1 Nghị định số 226/2025/NĐ-CP, có hiệu lực thi hành kể từ ngày 15 tháng 8 năm 2025.
[22] Điểm này được sửa đổi, bổ sung theo quy định tại điểm c khoản 4 Điều 1 Nghị định số 226/2025/NĐ-CP, có hiệu lực thi hành kể từ ngày 15 tháng 8 năm 2025.
[23] Điểm này được sửa đổi, bổ sung theo quy định tại điểm c khoản 4 Điều 1 Nghị định số 226/2025/NĐ-CP, có hiệu lực thi hành kể từ ngày 15 tháng 8 năm 2025.
[24] Khoản này được sửa đổi, bổ sung theo quy định tại điểm d khoản 4 Điều 1 Nghị định số 226/2025/NĐ-CP, có hiệu lực thi hành kể từ ngày 15 tháng 8 năm 2025.
[25] Khoản này được sửa đổi, bổ sung theo quy định tại điểm đ khoản 4 Điều 1 Nghị định số 226/2025/NĐ-CP, có hiệu lực thi hành kể từ ngày 15 tháng 8 năm 2025.
[26] Thay thế Phụ lục II ban hành kèm theo Nghị định số 71/2024/NĐ-CP bằng Phụ lục I ban hành kèm theo Nghị định số 226/2025/NĐ-CP theo quy định tại khoản 19 Điều 1 Nghị định số 226/2025/NĐ-CP, có hiệu lực thi hành kể từ ngày 15 tháng 8 năm 2025.
[27] Điểm này được sửa đổi, bổ sung theo quy định tại khoản 5 Điều 1 Nghị định số 226/2025/NĐ-CP, có hiệu lực thi hành kể từ ngày 15 tháng 8 năm 2025.
[28] Điều này được sửa đổi, bổ sung theo quy định tại khoản 6 Điều 1 Nghị định số 226/2025/NĐ-CP, có hiệu lực thi hành kể từ ngày 15 tháng 8 năm 2025.
[29] Khoản này được sửa đổi, bổ sung theo quy định tại khoản 7 Điều 1 Nghị định số 226/2025/NĐ-CP, có hiệu lực thi hành kể từ ngày 15 tháng 8 năm 2025.
[30] Thay thế cụm từ “cấp huyện” bằng cụm từ “cấp xã” theo quy định tại điểm a khoản 1 Điều 7 Nghị định số 226/2025/NĐ-CP, có hiệu lực thi hành kể từ ngày 15 tháng 8 năm 2025 và điểm a khoản 2 Điều 14 Nghị định số 151, có hiệu lực thi hành kể từ ngày 01 thánh 7 năm 2025.
[31] Khoản này được sửa đổi, bổ sung theo quy định tại khoản 8 Điều 1 Nghị định số 226/2025/NĐ-CP, có hiệu lực thi hành kể từ ngày 15 tháng 8 năm 2025.
[32] Bổ sung cụm từ “Chủ tịch” trước cụm từ “Ủy ban nhân dân cấp tỉnh” theo quy định tại điểm i khoản 1 Điều 9 Nghị định số 151/2025/NĐ-CP và khoản 3 Điều 1 Quyết định số 2418/QĐ-BNNMT ngày 26 tháng 8 năm 2025 của Bộ trưởng Bộ Nông nghiệp và Môi trường
[33] Bãi bỏ cụm từ “thị trấn” theo quy định tại điểm c khoản 1 Điều 7 Nghị định số 226/2025/NĐ-CP, có hiệu lực thi hành kể từ ngày 15 tháng 8 năm 2025.
[34] Bãi bỏ cụm từ “cấp huyện” theo điểm c khoản 1 Điều 7 Nghị định số 226/2025/NĐ-CP, có hiệu lực thi hành kể từ ngày 15 tháng 8 năm 2025.
[35] Khoản này được sửa đổi, bổ sung theo quy định tại điểm b khoản 1 Điều 16 Nghị định số 151/2025/NĐ-CP có hiệu lực thi hành kể từ ngày 01 tháng 7 năm 2025 và điểm a khoản 6 Điều 7 Nghị định số 226/2025/NĐ-CP, có hiệu lực thi hành kể từ ngày 15 tháng 8 năm 2025.
[36] Khoản này được bổ sung theo quy định tại khoản 9 Điều 1 Nghị định số 226/2025/NĐ-CP, có hiệu lực thi hành kể từ ngày 15 tháng 8 năm 2025.
[37] Khoản này được sửa đổi, bổ sung theo quy định tại điểm b khoản 1 Điều 16 Nghị định số 151/2025/NĐ-CP có hiệu lực thi hành kể từ ngày 01 tháng 7 năm 2025 và điểm a khoản 6 Điều 7 Nghị định số 226/2025/NĐ-CP có hiệu lực thi hành kể từ ngày 15 tháng 8 năm 2025.
[38] Khoản này được sửa đổi, bổ sung theo quy định tại khoản 10 Điều 1 Nghị định số 226/2025/NĐ-CP, có hiệu lực thi hành kể từ ngày 15 tháng 8 năm 2025.
[39] Bãi bỏ cụm từ “thị trấn” theo quy định tại điểm c khoản 1 Điều 7 Nghị định số 226/2025/NĐ-CP, có hiệu lực thi hành kể từ ngày 15 tháng 8 năm 2025.
[40] Thay thế cụm từ “Mẫu số 01 Phụ lục I ban hành kèm theo Nghị định này” bằng cụm từ “Mẫu số 29 Phụ lục II ban hành kèm theo Nghị định số 151/2025/NĐ-CP” theo quy định tại điểm a khoản 1 Điều 7 Nghị định số 226/2025/NĐ-CP, có hiệu lực thi hành kể từ ngày 15 tháng 8 năm 2025.
[41] Thay thế cụm từ “Văn phòng Đăng ký đất đai; đơn vị tổ chức thực hiện việc đấu giá quyền sử dụng đất, đơn vị, tổ chức đấu giá tài sản;” bằng cụm từ “Văn phòng đăng ký đất đai; cơ quan thuế; đơn vị, tổ chức thực hiện việc đấu giá quyền sử dụng đất, đấu giá tài sản;” theo quy định tại điểm a khoản 1 Điều 7 Nghị định số 226/2025/NĐ-CP, có hiệu lực thi hành kể từ ngày 15 tháng 8 năm 2025.
[42] Thay thế cụm từ “từ Mẫu số 02 đến Mẫu số 03 của Phụ lục I ban hành kèm theo Nghị định này” bằng cụm từ “từ Mẫu số 30 đến Mẫu số 31 Phụ lục II ban hành kèm theo Nghị định số 151/2025/NĐ-CP” theo quy định tại điểm a khoản 1 Điều 7 Nghị định số 226/2025/NĐ-CP, có hiệu lực thi hành kể từ ngày 15 tháng 8 năm 2025.
[43] Khoản này được sửa đổi, bổ sung theo quy định tại khoản 11 Điều 1 Nghị định số 226/2025/NĐ-CP, có hiệu lực thi hành kể từ ngày 15 tháng 8 năm 2025.
[44] Bãi bỏ cụm từ “thị trấn” theo quy định tại điểm c khoản 1 Điều 7 Nghị định số 226/2025/NĐ-CP, có hiệu lực thi hành kể từ ngày 15 tháng 8 năm 2025.
[45] Thay thế cụm từ “Mẫu số 04 của Phụ lục I ban hành kèm theo Nghị định này” bằng cụm từ “Mẫu số 32 Phụ lục II ban hành kèm theo Nghị định số 151/2025/NĐ-CP” theo quy định tại điểm a khoản 1 Điều 7 Nghị định số 226/2025/NĐ-CP, có hiệu lực thi hành kể từ ngày 15 tháng 8 năm 2025.
[46] Bãi bỏ cụm từ “cấp huyện” theo quy định tại điểm c khoản 1 Điều 7 Nghị định số 226/2025/NĐ-CP có hiệu lực thi hành kể từ ngày 15 tháng 8 năm 2025.
[47] Khoản này được bãi bỏ theo quy định tại điểm a khoản 4 Điều 21 Nghị định số 151/2025/NĐ-CP có hiệu lực thi hành kể từ ngày 01 tháng 7 năm 2025.
[48] Khoản này được bãi bỏ theo quy định tại điểm a khoản 4 Điều 21 Nghị định số 151/2025/NĐ-CP có hiệu lực thi hành kể từ ngày 01 tháng 7 năm 2025.
[49] Thay thế cụm từ “từ Mẫu số 09 đến Mẫu số 11 Phụ lục I ban hành kèm theo Nghị định này” bằng cụm từ “từ Mẫu số 33 đến Mẫu số 36 Phụ lục II ban hành kèm theo Nghị định số 151/2025/NĐ-CP” theo quy định tại điểm a Khoản 1 Điều 7 Nghị định số 226/2025/NĐ-CP, có hiệu lực thi hành kể từ ngày 15 tháng 8 năm 2025.
[50] Thay thế cụm từ “từ Mẫu số 12 đến Mẫu số 15 Phụ lục I ban hành kèm theo Nghị định này” bằng cụm từ “từ Mẫu số 37 đến Mẫu số 40 Phụ lục II ban hành kèm theo Nghị định số 151/2025/NĐ-CP” theo quy định tại điểm a khoản 1 Điều 7 Nghị định số 226/2025/NĐ-CP, có hiệu lực thi hành kể từ ngày 15 tháng 8 năm 2025.
[51] Khoản này được sửa đổi, bổ sung theo quy định tại khoản 12 Điều 1 Nghị định số 226/2025/NĐ-CP, có hiệu lực thi hành kể từ ngày 15 tháng 8 năm 2025.
[52] Thay thế cụm từ “theo Mẫu số 02 và Mẫu số 03 Phụ lục I kèm theo Nghị định này” bằng cụm từ “theo Mẫu số 30 và Mẫu số 31 Phụ lục II ban hành kèm theo Nghị định số 151/2025/NĐ-CP theo quy định tại điểm a khoản 1 Điều 7 Nghị định số 226/2025/NĐ-CP, có hiệu lực thi hành kể từ ngày 15 tháng 8 năm 2025.
[53] Khoản này được sửa đổi, bổ sung theo quy định tại khoản 13 Điều 1 Nghị định số 226/2025/NĐ-CP, có hiệu lực thi hành kể từ ngày 15 tháng 8 năm 2025.
[54] Bổ sung cụm từ “Chủ tịch” trước cụm từ “Ủy ban nhân dân cấp tỉnh” theo quy định tại điểm i khoản 1 Điều 9 Nghị định số 151/2025/NĐ-CP và khoản 3 Điều 1 Quyết định số 2418/QĐ-BNNMT ngày 26 tháng 8 năm 2025 của Bộ trưởng Bộ Nông nghiệp và Môi trường.
[55] Thay thế cụm từ “từ Mẫu số 02 đến Mẫu số 03 Phụ lục I ban hành kèm theo Nghị định này” bằng cụm từ “từ Mẫu số 30 đến Mẫu số 31 Phụ lục II ban hành kèm theo Nghị định số 151/2025/NĐ-CP” theo quy định tại điểm a khoản 1 Điều 7 Nghị định số 226/2025/NĐ-CP, có hiệu lực thi hành kể từ ngày 15 tháng 8 năm 2025.
[56] Thay thế cụm từ “Mẫu số 16 Phụ lục I ban hành kèm theo Nghị định này” bằng cụm từ “Mẫu số 41 Phụ lục II ban hành kèm theo Nghị định số 151/2025/NĐ-CP” theo quy định tại điểm a khoản 1 Điều 7 Nghị định số 226/2025/NĐ-CP, có hiệu lực thi hành kể từ ngày 15 tháng 8 năm 2025.
[57] Thay thế cụm từ “Mẫu số 17 Phụ lục I ban hành kèm theo Nghị định này” bằng cụm từ “Mẫu số 42 Phụ lục II ban hành kèm theo Nghị định số 151/2025/NĐ-CP” theo quy định tại điểm a khoản 1 Điều 7 Nghị định số 226/2025/NĐ-CP, có hiệu lực thi hành kể từ ngày 15 tháng 8 năm 2025.
[58] Khoản này được sửa đổi, bổ sung theo quy định tại điểm a khoản 14 Điều 1 Nghị định số 226/2025/NĐ-CP, có hiệu lực thi hành kể từ ngày 15 tháng 8 năm 2025.
[59] Khoản này được bổ sung theo quy định tại điểm b khoản 14 Điều 1 Nghị định số 226/2025/NĐ-CP, có hiệu lực thi hành kể từ ngày 15 tháng 8 năm 2025.
[60] Khoản này được sửa đổi, bổ sung theo quy định tại khoản 15 Điều 1 Nghị định số 226/2025/NĐ-CP, có hiệu lực thi hành kể từ ngày 15 tháng 8 năm 2025.
[61] Khoản này được sửa đổi, bổ sung theo quy định tại khoản 15 Điều 1 Nghị định số 226/2025/NĐ-CP, có hiệu lực thi hành kể từ ngày 15 tháng 8 năm 2025.
[62] Điểm này được sửa đổi, bổ sung theo quy định tại điểm a khoản 16 Điều 1 Nghị định số 226/2025/NĐ-CP, có hiệu lực thi hành kể từ ngày 15 tháng 8 năm 2025.
[63] Khoản này được sửa đổi, bổ sung theo quy định tại điểm b khoản 16 Điều 1 Nghị định số 226/2025/NĐ-CP, có hiệu lực thi hành kể từ ngày 15 tháng 8 năm 2025.
[64] Khoản này được bãi bỏ theo quy định tại điểm c khoản 1 Điều 7 Nghị định số 226/2025/NĐ-CP, có hiệu lực thi hành kể từ ngày 15 tháng 8 năm 2025.
[65] Khoản này được bãi bỏ theo quy định tại điểm c khoản 1 Điều 7 Nghị định số 226/2025/NĐ-CP, có hiệu lực thi hành kể từ ngày 15 tháng 8 năm 2025.
[66] Điểm này được sửa đổi, bổ sung theo quy định tại khoản 17 Điều 1 Nghị định số 226/2025/NĐ-CP, có hiệu lực thi hành kể từ ngày 15 tháng 8 năm 2025.
[67] Khoản này được bãi bỏ theo quy định tại đểm c khoản 1 Điều 7 Nghị định số 226/2025/NĐ-CP, có hiệu lực thi hành kể từ ngày 15 tháng 8 năm 2025.
[68] Tại khoản 1, 2, 3 và điểm a khoản 4 Điều 21 Nghị định số 151, có hiệu lực thi hành kể từ ngày 01 thánh 7 năm 2025 quy định như sau:
“Điều 21. Hiệu lực thi hành
1. Nghị định này có hiệu lực thi hành từ ngày 01 tháng 7 năm 2025.
2. Nghị định này được thực hiện đến trước ngày 01 tháng 3 năm 2027. Trường hợp các văn bản quy phạm pháp luật có liên quan đã được sửa đổi, bổ sung, ban hành mới để phù hợp với việc tổ chức chính quyền 02 cấp thì thực hiện theo các văn bản quy phạm pháp luật mới được ban hành.
3. Ban hành kèm theo Nghị định này Phụ lục trình tự, thủ tục trong lĩnh vực đất đai đã được sửa đổi, bổ sung theo thẩm quyền được phân quyền, phân cấp, phân định tại Chương II của Nghị định này.
4. Các quy định sau đây hết hiệu lực kể từ ngày Nghị định này có hiệu lực thi hành
a) Khoản 1 và khoản 2 Điều 22 Nghị định số 71/2024/NĐ-CP;”
Tại khoản 1 Điều 9 Nghị định số 226/2025/NĐ-CP, có hiệu lực thi hành kể từ ngày 15 tháng 8 năm 2025 quy định như sau:
“Điều 9. Hiệu lực thi hành
1. Nghị định này có hiệu lực thi hành từ ngày 15 tháng 8 năm 2025.”
Tại Điều 2 Quyết định số 2418/QĐ-BNNMT quy định như sau:
“Điều 2. Quyết định này có hiệu lực kể từ ngày ký, nội dung đính chính tại Quyết định này là một phần không tách rời của Nghị định số 151/2025/NĐ-CP.”
[69] Điểm này được sửa đổi, bổ sung theo quy định tại khoản 18 Điều 1 Nghị định số 226/2025/NĐ-CP, có hiệu lực thi hành kể từ ngày 15 tháng 8 năm 2025.
[70] Bãi bỏ Mẫu số 05, 06, 07 của Phụ lục I theo quy định tại điểm c khoản 1 Điều 7 Nghị định số 226/2025/NĐ-CP, có hiệu lực thi hành kể từ ngày 15 tháng 8 năm 2025.
[71] Thay Mẫu số 01 Phụ lục I ban hành kèm theo Nghị định số 71/2024/NĐ-CP bằng Mẫu số 29 Phụ lục II ban hành kèm theo Nghị định số 151/2025/NĐ-CP theo quy định tại điểm b khoản 1 Điều 7 Nghị định số 226/2025/NĐ-CP, có hiệu lực thi hành kể từ ngày 15 tháng 8 năm 2025.
[72] Thay Mẫu số 02 Phụ lục I ban hành kèm theo Nghị định số 71/2024/NĐ-CP bằng Mẫu số 30 Phụ lục II ban hành kèm theo Nghị định số 151/2025/NĐ-CP theo quy định tại điểm b khoản 1 Điều 7 Nghị định số 226/2025/NĐ-CP, có hiệu lực thi hành kể từ ngày 15 tháng 8 năm 2025.
[73] Thay Mẫu số 03 Phụ lục I ban hành kèm theo Nghị định số 71/2024/NĐ-CP bằng Mẫu số 31 Phụ lục II ban hành kèm theo Nghị định số 151/2025/NĐ-CP theo quy định tại điểm b khoản 1 Điều 7 Nghị định số 226/2025/NĐ-CP, có hiệu lực thi hành kể từ ngày 15 tháng 8 năm 2025.
[74] Thay Mẫu số 04 Phụ lục I ban hành kèm theo Nghị định số 71/2024/NĐ-CP bằng Mẫu số 32 Phụ lục II ban hành kèm theo Nghị định số 151/2025/NĐ-CP theo quy định tại điểm b khoản 1 Điều 7 Nghị định số 226/2025/NĐ-CP, có hiệu lực thi hành kể từ ngày 15 tháng 8 năm 2025.
[75] Thay Mẫu số 08 Phụ lục I ban hành kèm theo Nghị định số 71/2024/NĐ-CP bằng Mẫu số 33 Phụ lục II ban hành kèm theo Nghị định số 151/2025/NĐ-CP theo quy định tại điểm b khoản 1 Điều 7 Nghị định số 226/2025/NĐ-CP, có hiệu lực thi hành kể từ ngày 15 tháng 8 năm 2025.
[76] Thay Mẫu số 09 Phụ lục I ban hành kèm theo Nghị định số 71/2024/NĐ-CP bằng Mẫu số 34 Phụ lục II ban hành kèm theo Nghị định số 151/2025/NĐ-CP theo quy định tại điểm b khoản 1 Điều 7 Nghị định số 226/2025/NĐ-CP, có hiệu lực thi hành kể từ ngày 15 tháng 8 năm 2025.
[77] Thay Mẫu số 10 Phụ lục I ban hành kèm theo Nghị định số 71/2024/NĐ-CP bằng Mẫu số 35 Phụ lục II ban hành kèm theo Nghị định số 151/2025/NĐ-CP theo quy định tại điểm b khoản 1 Điều 7 Nghị định số 226/2025/NĐ-CP, có hiệu lực thi hành kể từ ngày 15 tháng 8 năm 2025.
[78] Thay Mẫu số 11 Phụ lục I ban hành kèm theo Nghị định số 71/2024/NĐ-CP bằng Mẫu số 36 Phụ lục II ban hành kèm theo Nghị định số 151/2025/NĐ-CP theo quy định tại điểm b khoản 1 Điều 7 Nghị định số 226/2025/NĐ-CP, có hiệu lực thi hành kể từ ngày 15 tháng 8 năm 2025.
[79] Thay Mẫu số 12 Phụ lục I ban hành kèm theo Nghị định số 71/2024/NĐ-CP bằng Mẫu số 37 Phụ lục II ban hành kèm theo Nghị định số 151/2025/NĐ-CP theo quy định tại điểm b khoản 1 Điều 7 Nghị định số 226/2025/NĐ-CP, có hiệu lực thi hành kể từ ngày 15 tháng 8 năm 2025.
[80] Thay Mẫu số 13 Phụ lục I ban hành kèm theo Nghị định số 71/2024/NĐ-CP bằng Mẫu số 38 Phụ lục II ban hành kèm theo Nghị định số 151/2025/NĐ-CP theo quy định tại điểm b khoản 1 Điều 7 Nghị định số 226/2025/NĐ-CP, có hiệu lực thi hành kể từ ngày 15 tháng 8 năm 2025.
[81] Thay Mẫu số 14 Phụ lục I ban hành kèm theo Nghị định số 71/2024/NĐ-CP bằng Mẫu số 39 Phụ lục II ban hành kèm theo Nghị định số 151/2025/NĐ-CP theo quy định tại điểm b khoản 1 Điều 7 Nghị định số 226/2025/NĐ-CP, có hiệu lực thi hành kể từ ngày 15 tháng 8 năm 2025.
[82] Thay Mẫu số 15 Phụ lục I ban hành kèm theo Nghị định số 71/2024/NĐ-CP bằng Mẫu số 40 Phụ lục II ban hành kèm theo Nghị định số 151/2025/NĐ-CP theo quy định tại điểm b khoản 1 Điều 7 Nghị định số 226/2025/NĐ-CP, có hiệu lực thi hành kể từ ngày 15 tháng 8 năm 2025.
[83] Thay Mẫu số 16 Phụ lục I ban hành kèm theo Nghị định số 71/2024/NĐ-CP bằng Mẫu số 41 Phụ lục II ban hành kèm theo Nghị định số 151/2025/NĐ-CP theo quy định tại điểm b khoản 1 Điều 7 Nghị định số 226/2025/NĐ-CP, có hiệu lực thi hành kể từ ngày 15 tháng 8 năm 2025.
[84] Thay Mẫu số 17 Phụ lục I ban hành kèm theo Nghị định số 71/2024/NĐ-CP bằng Mẫu số 42 Phụ lục II ban hành kèm theo Nghị định số 151/2025/NĐ-CP theo quy định tại điểm b khoản 1 Điều 7 Nghị định số 226/2025/NĐ-CP, có hiệu lực thi hành kể từ ngày 15 tháng 8 năm 2025.
[85] Phụ lục II ban hành kèm theo Nghị định số 71/2024/NĐ-CP được thay thế bằng Phụ lục I ban hành kèm theo Nghị định 226/2025/NĐ-CP, có hiệu lực thi hành kể từ ngày 15 tháng 8 năm 2025.
Bạn chưa Đăng nhập thành viên.
Đây là tiện ích dành cho tài khoản thành viên. Vui lòng Đăng nhập để xem chi tiết. Nếu chưa có tài khoản, vui lòng Đăng ký tại đây!
Bạn chưa Đăng nhập thành viên.
Đây là tiện ích dành cho tài khoản thành viên. Vui lòng Đăng nhập để xem chi tiết. Nếu chưa có tài khoản, vui lòng Đăng ký tại đây!