- Tổng quan
- Nội dung
- VB gốc
- Tiếng Anh
- Hiệu lực
- VB liên quan
- Lược đồ
-
Nội dung hợp nhất
Tính năng này chỉ có tại LuatVietnam.vn. Nội dung hợp nhất tổng hợp lại tất cả các quy định còn hiệu lực của văn bản gốc và các văn bản sửa đổi, bổ sung, đính chính... trên một trang. Việc hợp nhất văn bản gốc và những văn bản, Thông tư, Nghị định hướng dẫn khác không làm thay đổi thứ tự điều khoản, nội dung.
Khách hàng chỉ cần xem Nội dung hợp nhất là có thể nắm bắt toàn bộ quy định hiện hành đang áp dụng, cho dù văn bản gốc đã qua nhiều lần chỉnh sửa, bổ sung.
- Tải về
Văn bản hợp nhất 19/VBHN-BXD 2025 quy định chi tiết một số điều của Luật Nhà ở về phát triển và quản lý nhà ở xã hội
| Số hiệu: | 19/VBHN-BXD | Ngày ký xác thực: | 16/10/2025 |
| Loại văn bản: | Văn bản hợp nhất | Cơ quan hợp nhất: | Bộ Xây dựng |
|
Ngày đăng công báo:
|
Đã biết
|
Người ký:
|
Nguyễn Văn Sinh |
| Trích yếu: | Nghị định quy định chi tiết một số điều của Luật Nhà ở về phát triển và quản lý nhà ở xã hội | ||
|
Số công báo:
Số công báo là mã số ấn phẩm được đăng chính thức trên ấn phẩm thông tin của Nhà nước. Mã số này do Chính phủ thống nhất quản lý.
|
Đã biết
|
Ngày hết hiệu lực:
Ngày hết hiệu lực là ngày, tháng, năm văn bản chính thức không còn hiệu lực (áp dụng).
|
Đang cập nhật |
TÓM TẮT VĂN BẢN HỢP NHẤT 19/VBHN-BXD
Nghị định quy định chi tiết về phát triển và quản lý nhà ở xã hội
Ngày 26/07/2024, Chính phủ đã ban hành Nghị định số 100/2024/NĐ-CP quy định chi tiết một số điều của Luật Nhà ở về phát triển và quản lý nhà ở xã hội, có hiệu lực từ ngày 01/08/2024. Nghị định này đã được sửa đổi, bổ sung bởi Nghị định số 261/2025/NĐ-CP và Nghị định số 192/2025/NĐ-CP.
Nghị định này điều chỉnh các quy định liên quan đến việc phát triển nhà ở xã hội, quy định trách nhiệm của chủ đầu tư và các ưu đãi dành cho họ, cũng như điều kiện áp dụng với các tổ chức và cá nhân tham gia vào lĩnh vực này.
Phạm vi điều chỉnh và đối tượng áp dụng
Nghị định quy định chi tiết các vấn đề như tỷ lệ diện tích đất phải dành cho xây dựng nhà ở xã hội trong các dự án nhà ở thương mại, các giai đoạn của dự án xây dựng, lựa chọn chủ đầu tư, và ưu đãi cho các dự án nhà ở xã hội. Đối tượng áp dụng bao gồm tổ chức, hộ gia đình, cá nhân tham gia đầu tư phát triển nhà ở xã hội và các cơ quan quản lý liên quan.
Quy định về diện tích đất dành cho nhà ở xã hội
Nghị định chỉ rõ rằng tại các đô thị hạng I, II, III, các chủ đầu tư dự án đầu tư xây dựng nhà ở thương mại phải dành ít nhất 20% diện tích đất sử dụng để xây dựng nhà ở xã hội. Ngoài ra, nếu chủ đầu tư không thể thực hiện, họ có thể đóng tiền tương đương giá trị quỹ đất đó.
Các giai đoạn của dự án đầu tư
Các giai đoạn đầu tư bao gồm chuẩn bị, thực hiện và kết thúc dự án. Chủ đầu tư phải tuân thủ đầy đủ các quy trình từ lập dự án, thẩm định thiết kế xây dựng, đến cấp phép và thi công. Việc bàn giao nhà ở cũng phải tuân theo quy định trong Luật Nhà ở.
Ưu đãi cho các dự án nhà ở xã hội
Chủ đầu tư dự án nhà ở xã hội có thể được hưởng nhiều ưu đãi, như lợi nhuận định mức, vay vốn ưu đãi từ ngân hàng, và giảm hoặc miễn tiền sử dụng đất. Nhà nước cũng hỗ trợ cho các nhóm thu nhập thấp để họ có thể tiếp cận nhà ở xã hội.
Nội dung Nghị định không chỉ xác định trách nhiệm của các chủ đầu tư mà còn quy định những quyền lợi họ có thể có nhằm khuyến khích phát triển nhà ở xã hội, đáp ứng nhu cầu của người dân.
Tải văn bản hợp nhất 19/VBHN-BXD
|
| CỘNG HÒA XÃ HỘI CHỦ NGHĨA VIỆT NAM
|
NGHỊ ĐỊNH
Quy định chi tiết một số điều của luật nhà ở về phát triển và quản lý nhà ở xã hội
Nghị định số 100/2024/NĐ-CP ngày 26 tháng 7 năm 2024 của Chính phủ quy định chi tiết một số điều của Luật Nhà ở về phát triển và quản lý nhà ở xã hội, có hiệu lực kể từ ngày 01 tháng 8 năm 2024 được sửa đổi bởi:
Nghị định số 261/2025/NĐ-CP ngày 10/10/2025 của Chính phủ sửa đổi, bổ sung một số điều của Nghị định số 100/2024/NĐ-CP ngày 26 tháng 7 năm 2024 của Chính phủ quy định chi tiết một số điều của Luật Nhà ở về phát triển và quản lý nhà ở xã hội và Nghị định số 192/2025/NĐ-CP ngày 01 tháng 7 năm 2025 của Chính phủ quy định chi tiết một số điều và biện pháp thi hành Nghị quyết số 201/2025/QH15 ngày 29 tháng 5 năm 2025 của Quốc hội thí điểm về một số cơ chế, chính sách đặc thù phát triển nhà ở xã hội, có hiệu lực kể từ ngày 10 tháng 10 năm 2025.
Căn cứ Luật Tổ chức Chính phủ ngày 19 tháng 6 năm 2015; Luật sửa đổi, bổ sung một số điều của Luật Tổ chức Chính phủ và Luật Tổ chức chính quyền địa phương ngày 22 tháng 11 năm 2019;
Căn cứ Luật Đầu tư ngày 17 tháng 6 năm 2020;
Căn cứ Luật Xây dựng ngày 18 tháng 6 năm 2014; Luật sửa đổi, bổ sung một số điều của Luật Xây dựng ngày 17 tháng 6 năm 2020;
Căn cứ Luật Đấu thầu ngày 23 tháng 6 năm 2023; Căn cứ Luật Nhà ở ngày 27 tháng 11 năm 2023; Căn cứ Luật Đất đai ngày 18 tháng 01 năm 2024;
Căn cứ Luật sửa đổi, bổ sung một số điều của Luật Đất đai số 31/2024/QH15, Luật Nhà ở số 27/2023/QH15, Luật Kinh doanh bất động sản số 29/2023/QH15, Luật Các tổ chức tín dụng số 32/2024/QH15 ngày 29 tháng 6 năm 2024;
Theo đề nghị của Bộ trưởng Bộ Xây dựng;
Chính phủ ban hành Nghị định quy định chi tiết một số điều của Luật Nhà ở về phát triển và quản lý nhà ở xã hội[1].
Chương I
NHỮNG QUY ĐỊNH CHUNG
Điều 1. Phạm vi điều chỉnh
Nghị định này quy định chi tiết một số điều, khoản, điểm quy định tại Luật Nhà ở số 27/2023/QH15 (sau đây gọi là Luật Nhà ở) về:
1. Khoản 2 Điều 83 về quy định việc chủ đầu tư dự án đầu tư xây dựng nhà ở thương mại phải dành một phần diện tích đất ở trong dự án đã đầu tư xây dựng hệ thống hạ tầng kỹ thuật để xây dựng nhà ở xã hội hoặc bố trí quỹ đất nhà ở xã hội đã đầu tư xây dựng hệ thống hạ tầng kỹ thuật ở vị trí khác ngoài phạm vi dự án đầu tư xây dựng nhà ở thương mại tại đô thị đó hoặc đóng tiền tương đương giá trị quỹ đất đã đầu tư xây dựng hệ thống hạ tầng kỹ thuật để xây dựng nhà ở xã hội.
2. Khoản 2 Điều 34 về các giai đoạn của dự án đầu tư xây dựng nhà ở xã hội, nhà ở cho lực lượng vũ trang nhân dân.
3. Điểm a, điểm b khoản 4 Điều 84 về lựa chọn chủ đầu tư dự án đầu tư xây dựng nhà ở xã hội.
4. Điểm c, điểm d, điểm đ khoản 2 Điều 85 và khoản 3 Điều 85 về ưu đãi chủ đầu tư dự án đầu tư xây dựng nhà ở xã hội (lợi nhuận định mức; diện tích kinh doanh dịch vụ, thương mại, nhà ở thương mại; vay vốn với lãi suất ưu đãi), chủ đầu tư dự án đầu tư xây dựng nhà ở thương mại trực tiếp đầu tư xây dựng nhà ở xã hội trong dự án đầu tư xây dựng nhà ở thương mại đó.
5. Điều 82 về loại nhà và tiêu chuẩn diện tích nhà ở xã hội.
6. Điểm a, điểm b khoản 1, khoản 6 và khoản 8 Điều 78 về điều kiện được hưởng chính sách hỗ trợ về nhà ở xã hội.
7. Khoản 6 Điều 87 về xác định giá bán, giá thuê mua, giá thuê nhà ở xã hội được đầu tư xây dựng không bằng vốn đầu tư công, nguồn tài chính công đoàn.
8. Khoản 4 Điều 126 về xác định giá nhà ở xã hội, nhà ở cho lực lượng vũ trang nhân dân thuộc tài sản công; việc miễn, giảm tiền cho thuê nhà ở xã hội, nhà ở cho lực lượng vũ trang nhân dân; việc quản lý, sử dụng, vận hành nhà ở xã hội, nhà ở cho lực lượng vũ trang nhân dân thuộc tài sản công.
9. Khoản 9 Điều 88 và điểm e khoản 1 Điều 89 về việc nộp tiền sử dụng đất khi bán lại nhà ở xã hội.
10. Khoản 4 Điều 89 về trình tự, thủ tục bán, cho thuê mua, cho thuê nhà ở xã hội.
11. Khoản 2 Điều 94 về điều kiện đảm bảo an toàn về môi trường, quy mô, tỷ lệ diện tích đất phát triển nhà lưu trú công nhân trong khu công nghiệp.
12. Khoản 4 Điều 100 về việc cho thuê và quản lý, sử dụng nhà lưu trú công nhân trong khu công nghiệp.
13. Khoản 3 Điều 109 về trình tự, thủ tục bán, cho thuê mua, cho thuê nhà ở cho lực lượng vũ trang nhân dân.
14. Khoản 5 Điều 77 về hỗ trợ cho vay vốn ưu đãi của Nhà nước thông qua Ngân hàng Chính sách xã hội, tổ chức tín dụng do Nhà nước chỉ định để mua, thuê mua nhà ở xã hội, nhà ở cho lực lượng vũ trang nhân dân hoặc tự xây dựng hoặc cải tạo, sửa chữa nhà ở.
15. Khoản 4 Điều 117 về vay vốn ưu đãi thông qua Ngân hàng Chính sách xã hội, Ngân hàng Phát triển Việt Nam để phát triển nhà ở xã hội.
16. Khoản 2 Điều 125 về thẩm định Đề án bán nhà ở xã hội, nhà ở cho lực lượng vũ trang nhân dân thuộc tài sản công đang cho thuê.
17. Khoản 10 Điều 88 về cưỡng chế thu hồi nhà ở xã hội.
18. Khoản 2 Điều 191 về quy định chuyển tiếp về nhà ở xã hội.
Điều 2. Đối tượng áp dụng
Nghị định này được áp dụng đối với các đối tượng sau đây:
1. Tổ chức, hộ gia đình, cá nhân thuộc các thành phần kinh tế trong nước, nước ngoài và người Việt Nam định cư ở nước ngoài tham gia đầu tư phát triển nhà ở xã hội, nhà lưu trú công nhân trong khu công nghiệp, nhà ở cho lực lượng vũ trang nhân dân theo quy định của Luật Nhà ở.
2. Các đối tượng được mua, thuê mua, thuê nhà ở xã hội; được thuê nhà lưu trú công nhân; được mua, thuê mua, thuê nhà ở cho lực lượng vũ trang nhân dân theo quy định của Luật Nhà ở.
3. Các cơ quan quản lý nhà nước và các tổ chức khác có liên quan đến lĩnh vực phát triển và quản lý nhà ở xã hội, nhà lưu trú công nhân trong khu công nghiệp, nhà ở cho lực lượng vũ trang nhân dân.
Điều 3. Giải thích từ ngữ
Trong Nghị định này, những từ ngữ sau đây được hiểu như sau:
1. Hộ gia đình được hưởng chính sách hỗ trợ về nhà ở xã hội theo quy định của Nghị định này là những người bao gồm vợ, chồng, cha, mẹ, con theo pháp luật về cư trú của người được hưởng chính sách hỗ trợ về nhà ở xã hội quy định tại Điều 77 của Luật Nhà ở.
2. Dự án nhà ở xã hội để cho thuê là dự án nhà ở xã hội được đầu tư xây dựng chỉ để cho thuê.
3. Dự án đầu tư xây dựng nhà xã hội, nhà ở cho lực lượng vũ trang nhân dân bao gồm dự án đầu tư xây dựng nhà ở theo quy định tại các điểm a, b, c, đ và e khoản 1 Điều 30 của Luật Nhà ở.
4. Đối tượng thu nhập thấp quy định tại khoản 5 Điều 76 của Luật Nhà ở là người có mức thu nhập theo quy định tại Điều 30 của Nghị định này.
Chương II
CÁC GIAI ĐOẠN CỦA DỰ ÁN ĐẦU TƯ XÂY DỰNG NHÀ Ở XÃ HỘI, NHÀ Ở CHO LỰC LƯỢNG VŨ TRANG NHÂN DÂN
Mục 1. GIAI ĐOẠN CHUẨN BỊ DỰ ÁN ĐẦU TƯ XÂY DỰNG NHÀ Ở XÃ HỘI, NHÀ Ở CHO LỰC LƯỢNG VŨ TRANG NHÂN DÂN
Điều 4. Đề xuất đầu tư dự án đầu tư xây dựng nhà ở khi làm thủ tục đề nghị quyết định hoặc chấp thuận chủ trương đầu tư
1. Việc lập đề xuất đầu tư dự án đầu tư xây dựng nhà ở xã hội, nhà ở cho lực lượng vũ trang nhân dân khi làm thủ tục đề nghị quyết định hoặc chấp thuận chủ trương đầu tư được áp dụng thực hiện như quy định tại Điều 13 Nghị định số 95/2024/NĐ-CP ngày 24 tháng 7 năm 2024 của Chính phủ quy định chi tiết một số điều của Luật Nhà ở.
2. Đối với dự án đầu tư xây dựng nhà ở xã hội sử dụng nguồn tài chính công đoàn thì Tổng Liên đoàn Lao động Việt Nam giao đơn vị trực thuộc hoặc đơn vị sự nghiệp công lập thuộc thẩm quyền quản lý lập đề xuất đầu tư dự án.
Điều 5. Quy hoạch xây dựng để thực hiện dự án đầu tư xây dựng nhà ở
1. Việc quy hoạch xây dựng để thực hiện dự án đầu tư xây dựng nhà ở xã hội, nhà ở cho lực lượng vũ trang nhân dân được áp dụng thực hiện như quy định tại khoản 1, điểm c khoản 2, khoản 3 Điều 14 Nghị định số 95/2024/NĐ-CP ngày 24 tháng 7 năm 2024 của Chính phủ quy định chi tiết một số điều của Luật Nhà ở và quy định tại Điều này.
2. Yêu cầu về cấp độ quy hoạch để thực hiện lựa chọn chủ đầu tư dự án được thực hiện như sau:
a) Trường hợp đấu thầu lựa chọn chủ đầu tư dự án thì áp dụng yêu cầu về quy hoạch theo quy định tại điểm d khoản 1 Điều 21 của Nghị định này;
b) Trường hợp Nhà nước sử dụng quỹ đất trong dự án đầu tư xây dựng nhà ở thương mại để đầu tư xây dựng nhà ở xã hội để giao cho tổ chức khác thực hiện đầu tư xây dựng nhà ở xã hội, nhà ở cho lực lượng vũ trang nhân dân theo quy định tại khoản 3 Điều 84 của Luật Nhà ở thì Nhà nước tổ chức lựa chọn chủ đầu tư theo quy định của Nghị định này nếu các chỉ tiêu về nhà ở xã hội đã được xác định trong quy hoạch chi tiết tỷ lệ 1/500 của dự án đầu tư xây dựng nhà ở thương mại đã được cơ quan nhà nước có thẩm quyền phê duyệt.
Trường hợp quy hoạch chi tiết tỷ lệ 1/500 của dự án đầu tư xây dựng nhà ở thương mại đã được cơ quan nhà nước có thẩm quyền phê duyệt chưa xác định các chỉ tiêu về nhà ở xã hội trong dự án thì việc đấu thầu lựa chọn chủ đầu tư mới cho dự án đầu tư xây dựng nhà ở xã hội được áp dụng thực hiện theo quy định tại điểm a khoản này.
3. Trường hợp phải dành quỹ đất ở đã đầu tư xây dựng hệ thống hạ tầng kỹ thuật trong dự án đầu tư xây dựng nhà ở thương mại để xây dựng nhà ở xã hội theo quy định tại khoản 1 Điều 17 của Nghị định này thì quỹ đất này được xác định theo quy hoạch chi tiết tỷ lệ 1/500 của dự án đầu tư xây dựng nhà ở thương mại được cơ quan có thẩm quyền phê duyệt.
Điều 6. Quyết định, chấp thuận, điều chỉnh chủ trương đầu tư dự án đầu tư xây dựng nhà ở
1. Việc quyết định, chấp thuận, điều chỉnh chủ trương đầu tư dự án đầu tư xây dựng nhà ở xã hội, nhà ở cho lực lượng vũ trang nhân dân được áp dụng thực hiện như quy định tại khoản 1, khoản 2, khoản 3, khoản 4, khoản 6 Điều 15 Nghị định số 95/2024/NĐ-CP ngày 24 tháng 7 năm 2024 của Chính phủ quy định chi tiết một số điều của Luật Nhà ở và quy định tại Điều này.
Việc quyết định, điều chỉnh chủ trương đầu tư dự án đầu tư xây dựng nhà ở xã hội bằng nguồn tài chính công đoàn được thực hiện theo quy định áp dụng với dự án đầu tư công theo quy định của pháp luật về đầu tư công.
2. Trường hợp Nhà nước sử dụng quỹ đất trong dự án đầu tư xây dựng nhà ở thương mại để đầu tư xây dựng nhà ở xã hội để giao cho tổ chức khác thực hiện đầu tư xây dựng nhà ở xã hội theo quy định tại khoản 3 Điều 84 của Luật Nhà ở thì trước khi tổ chức lựa chọn chủ đầu tư mới, cơ quan có thẩm quyền phải thực hiện chấp thuận chủ trương đầu tư theo quy định của pháp luật về đầu tư.
3. Đối với dự án đầu tư xây dựng nhà ở xã hội thuộc diện chấp thuận chủ trương đầu tư theo quy định của pháp luật về đầu tư, cơ quan chủ trì thẩm định chủ trương đầu tư có trách nhiệm lấy ý kiến thẩm định của cơ quan quản lý về nhà ở cùng cấp về các nội dung theo quy định của pháp luật về đầu tư và quy định tại khoản 4, khoản 5 Điều này.
Đối với dự án đầu tư xây dựng nhà ở cho lực lượng vũ trang nhân dân thì phải lấy ý kiến của Bộ Quốc phòng, Bộ Công an đối với nội dung về các yêu cầu của dự án và các nội dung khác (nếu có).
4. Nội dung lấy ý kiến thẩm định về nhà ở xã hội, nhà ở cho lực lượng vũ trang nhân dân trong hồ sơ đề nghị chấp thuận chủ trương đầu tư, bao gồm các nội dung quy định tại khoản 5 Điều 15 Nghị định số 95/2024/NĐ-CP ngày 24 tháng 7 năm 2024 của Chính phủ quy định chi tiết một số điều của Luật Nhà ở và các nội dung sau đây:
a) Sơ bộ tổng mức đầu tư của dự án;
b) Loại nhà và tiêu chuẩn diện tích nhà ở;
c) Các cơ chế, chính sách hỗ trợ chủ đầu tư dự án (nếu có).
5. Nội dung thẩm định về nhà ở trong hồ sơ đề nghị chấp thuận chủ trương đầu tư đồng thời chấp thuận nhà đầu tư làm chủ đầu tư dự án xây dựng nhà ở xã hội, nhà ở cho lực lượng vũ trang nhân dân, bao gồm:
a) Việc đáp ứng các điều kiện làm chủ đầu tư dự án theo quy định của pháp luật về nhà ở, pháp luật về đầu tư, pháp luật về đất đai và pháp luật có liên quan (trừ trường hợp đã lựa chọn chủ đầu tư theo quy định của pháp luật về nhà ở, pháp luật về đất đai và pháp luật có liên quan);
b) Các nội dung quy định tại khoản 4 Điều này.
6. Cơ quan, người có thẩm quyền chỉ chịu trách nhiệm về những nội dung được giao có ý kiến thẩm định về nhà ở trong hồ sơ đề nghị chấp thuận chủ trương đầu tư tại khoản 4, khoản 5 Điều này; không chịu trách nhiệm về những nội dung trong các văn bản, giấy tờ có trong hồ sơ đã được cơ quan, người có thẩm quyền khác chấp thuận, thẩm định, phê duyệt hoặc giải quyết trước đó.
Điều 7. Chủ đầu tư dự án đầu tư xây dựng nhà ở
1. Đối với dự án sử dụng vốn đầu tư công, nguồn tài chính công đoàn thì việc xác định chủ đầu tư dự án được áp dụng theo quy định tại khoản 3 Điều 7 Luật Xây dựng và pháp luật về đầu tư công.
2. Đối với dự án sử dụng nguồn vốn quy định tại điểm b khoản 1 Điều 113 của Luật Nhà ở thì việc xác định chủ đầu tư dự án được áp dụng theo quy định tại khoản 2 Điều 7 của Luật Xây dựng.
3. Đối với dự án không sử dụng vốn quy định tại khoản 1 và khoản 2 Điều này và không thuộc trường hợp chủ đầu tư dự án đầu tư xây dựng nhà ở thương mại trực tiếp đầu tư xây dựng nhà ở xã hội thì việc lựa chọn chủ đầu tư thực hiện thông qua một trong các hình thức dưới đây:
a) Chấp thuận nhà đầu tư theo quy định tại điểm a khoản 4 Điều 84 của Luật Nhà ở;
b) Đấu thầu lựa chọn chủ đầu tư theo quy định tại điểm b khoản 4 Điều 84 của Luật Nhà ở;
c) Chấp thuận chủ trương đầu tư đồng thời chấp thuận nhà đầu tư làm chủ đầu tư dự án theo quy định tại điểm c khoản 4 Điều 84 của Luật Nhà ở.
4. Trình tự, thủ tục lựa chọn chủ đầu tư dự án quy định tại điểm a và điểm b khoản 3 Điều này thực hiện theo quy định tại Điều 20 và Điều 21 của Nghị định này.
5. Đối với trường hợp quy định tại điểm c khoản 3 Điều này thì văn bản chấp thuận chủ trương đầu tư đồng thời chấp thuận nhà đầu tư theo pháp luật về đầu tư là văn bản xác định chủ đầu tư dự án.
6. Trường hợp phải dành quỹ đất trong dự án đầu tư xây dựng nhà ở thương mại để xây dựng nhà ở xã hội theo quy định tại Điều 17 của Nghị định này thì chủ đầu tư dự án đầu tư xây dựng nhà ở thương mại đó trực tiếp thực hiện đầu tư xây dựng nhà ở xã hội trên diện tích quỹ đất này.
Trường hợp Nhà nước sử dụng quỹ đất này để giao cho tổ chức khác thực hiện dự án đầu tư xây dựng nhà ở xã hội, nhà ở cho lực lượng vũ trang nhân dân theo quy định thì thực hiện lựa chọn chủ đầu tư theo quy định tại Điều 20, Điều 21 của Nghị định này.
7. Trường hợp có nhiều nhà đầu tư xây dựng nhà ở xã hội, nhà ở cho lực lượng vũ trang nhân dân được chấp thuận chủ trương đầu tư theo pháp luật về đầu tư thì các nhà đầu tư này có thể ủy quyền cho một nhà đầu tư có đủ điều kiện hoặc thành lập doanh nghiệp, hợp tác xã có đủ điều kiện làm chủ đầu tư xây dựng nhà ở theo quy định của pháp luật về nhà ở. Việc ủy quyền làm chủ đầu tư dự án xây dựng nhà ở xã hội, nhà ở cho lực lượng vũ trang nhân dân quy định tại khoản này được thực hiện thông qua Hợp đồng ủy quyền, trong đó quy định rõ quyền và trách nhiệm các bên.
Điều 8. Giao đất, cho thuê đất, chuyển mục đích sử dụng đất để thực hiện dự án đầu tư xây dựng nhà ở
1. Việc giao đất, cho thuê đất, chuyển mục đích sử dụng đất để thực hiện dự án đầu tư xây dựng nhà ở xã hội, nhà ở cho lực lượng vũ trang nhân dân, để đầu tư xây dựng nhà ở thương mại trong phạm vi dự án đầu tư xây dựng nhà ở xã hội, nhà ở cho lực lượng vũ trang nhân dân (nếu có) thực hiện theo quy định của pháp luật về đất đai. Việc bồi thường, hỗ trợ, tái định cư (nếu có) của dự án thực hiện theo quy định của pháp luật về đất đai.
2. Chủ đầu tư dự án đầu tư xây dựng nhà ở xã hội, nhà ở cho lực lượng vũ trang nhân dân được miễn tiền sử dụng đất, tiền thuê đất đối với toàn bộ diện tích đất của dự án; chủ đầu tư không phải thực hiện thủ tục xác định giá đất, tính tiền sử dụng đất, tiền thuê đất được miễn và không phải thực hiện thủ tục đề nghị miễn tiền sử dụng đất, tiền thuê đất.
Trường hợp chủ đầu tư thực hiện đầu tư xây dựng nhà ở thương mại trong phạm vi dự án theo quy định tại điểm d khoản 2 Điều 85 của Luật Nhà ở thì việc xác định giá đất, tính tiền sử dụng đất phải nộp thực hiện theo quy định của pháp luật về đất đai.
3. Quyết định giao đất, cho thuê đất phải ghi rõ phần diện tích đất để đầu tư xây dựng nhà ở thương mại phải nộp tiền sử dụng đất trong trường hợp chủ đầu tư dự án thực hiện đầu tư xây dựng nhà ở thương mại trong phạm vi dự án.
4. Trường hợp chủ đầu tư dự án đầu tư xây dựng nhà ở xã hội đã nộp tiền sử dụng đất khi nhà đầu tư có quyền sử dụng đất thông qua thỏa thuận về nhận quyền sử dụng đất đối với loại đất được thực hiện dự án đầu tư xây dựng nhà ở xã hội hoặc đang có quyền sử dụng đất đối với loại đất được thực hiện dự án đầu tư xây dựng nhà ở xã hội theo quy định của Luật Đất đai thì Ủy ban nhân dân cấp tỉnh xem xét, quyết định việc hoàn trả lại hoặc khấu trừ tiền sử dụng đất mà chủ đầu tư đã nộp cho Nhà nước theo quy định của pháp luật về tiền sử dụng đất, tiền thuê đất, tính tại thời điểm Nhà nước ban hành quyết định cho phép chuyển mục đích sử dụng đất.
Điều 9. Thực hiện các thủ tục liên quan khác trong giai đoạn chuẩn bị đầu tư dự án
1. Sau khi lựa chọn chủ đầu tư theo quy định tại Điều 7 của Nghị định này, chủ đầu tư dự án phải thực hiện các thủ tục liên quan như thỏa thuận đấu nối hạ tầng, cam kết bảo vệ môi trường trong trường hợp phải có cam kết, thực hiện giải pháp phòng cháy, chữa cháy theo quy định của pháp luật về phòng cháy, chữa cháy và thực hiện các thủ tục khác có liên quan theo quy định của pháp luật.
Trường hợp dự án chưa có quy hoạch chi tiết được phê duyệt thì chủ đầu tư lập, trình thẩm định, phê duyệt quy hoạch chi tiết của dự án được thực hiện theo quy định của pháp luật về quy hoạch, pháp luật về xây dựng.
2. Tùy theo tính chất của dự án và điều kiện cụ thể, chủ đầu tư có thể thực hiện theo từng bước khác nhau hoặc thực hiện đồng thời các thủ tục quy định tại Điều này bảo đảm phù hợp với trình tự, thủ tục theo quy định của pháp luật về xây dựng, pháp luật về đất đai và pháp luật có liên quan.
Điều 10. Lập, thẩm định, phê duyệt dự án đầu tư xây dựng nhà ở
Việc lập, thẩm định, phê duyệt dự án đầu tư nhà ở xã hội, nhà ở cho lực lượng vũ trang nhân dân được áp dụng thực hiện như quy định tại Điều 19 Nghị định số 95/2024/NĐ-CP ngày 24 tháng 7 năm 2024 của Chính phủ quy định chi tiết một số điều của Luật Nhà ở.
Mục 2. GIAI ĐOẠN THỰC HIỆN DỰ ÁN ĐẦU TƯ XÂY DỰNG NHÀ Ở XÃ HỘI, NHÀ Ở CHO LỰC LƯỢNG VŨ TRANG NHÂN DÂN
Điều 11. Lập, thẩm định và phê duyệt thiết kế xây dựng
Việc lập, thẩm định và phê duyệt thiết kế xây dựng dự án đầu tư xây dựng nhà ở xã hội, nhà ở cho lực lượng vũ trang nhân dân được áp dụng thực hiện như quy định tại Điều 20 Nghị định số 95/2024/NĐ-CP ngày 24 tháng 7 năm 2024 của Chính phủ quy định chi tiết một số điều của Luật Nhà ở.
Điều 12. Cấp phép xây dựng
Việc cấp phép xây dựng dự án đầu tư xây dựng nhà ở xã hội, nhà ở cho lực lượng vũ trang nhân dân được áp dụng thực hiện như quy định tại Điều 21 Nghị định số 95/2024/NĐ-CP ngày 24 tháng 7 năm 2024 của Chính phủ quy định chi tiết một số điều của Luật Nhà ở.
Điều 13. Thi công xây dựng và kinh doanh mua bán, thuê mua nhà ở hình thành trong tương lai
1. Sau khi được cấp Giấy phép xây dựng, chủ đầu tư phải gửi thông báo khởi công xây dựng đến cơ quan quản lý về xây dựng tại địa phương theo quy định của pháp luật về xây dựng.
Sau khi khởi công, chủ đầu tư dự án có trách nhiệm cung cấp thông tin liên quan đến dự án theo quy định tại điểm a khoản 1 Điều 38 của Nghị định này. Đối với dự án đầu tư xây dựng nhà ở cho lực lượng vũ trang nhân dân thực hiện theo quy định tại điểm a khoản 1 Điều 68 của Nghị định này.
2. Việc thi công đầu tư xây dựng dự án được thực hiện theo quy định của pháp luật về xây dựng và pháp luật có liên quan.
3. Việc kinh doanh mua bán, cho thuê mua nhà ở xã hội, nhà ở cho lực lượng vũ trang nhân dân hình thành trong tương lai của dự án được thực hiện theo Điều 88 của Luật Nhà ở. Việc kinh doanh mua bán, cho thuê nhà ở thương mại hình thành trong tương lai (nếu có) trong phạm vi dự án thực hiện theo quy định của pháp luật về nhà ở, pháp luật về kinh doanh bất động sản.
Sau khi nhà ở, công trình xây dựng khác của dự án đầu tư xây dựng nhà ở đủ điều kiện được đưa vào kinh doanh theo quy định của pháp luật về nhà ở, pháp luật về kinh doanh bất động sản thì chủ đầu tư được thực hiện việc kinh doanh sản phẩm nhà ở và công trình xây dựng khác theo quy định.
Chủ đầu tư lập, trình cơ quan chuyên môn của Ủy ban nhân dân cấp tỉnh thẩm định giá bán, giá thuê mua nhà ở xã hội, nhà ở cho lực lượng vũ trang nhân dân theo quy định.
Chủ đầu tư dự án phải hoàn thành nghĩa vụ tài chính về đất đai theo quy định tại khoản 2 Điều 23 của Nghị định này trước khi đưa sản phẩm nhà ở thương mại vào kinh doanh (nếu có).
Điều 14. Nghiệm thu hoàn thành công trình xây dựng
Việc nghiệm thu hoàn thành công trình xây dựng của dự án đầu tư xây dựng nhà ở xã hội, nhà ở cho lực lượng vũ trang nhân dân được áp dụng thực hiện như quy định tại Điều 23 Nghị định số 95/2024/NĐ-CP ngày 24 tháng 7 năm 2024 của Chính phủ quy định chi tiết một số điều của Luật Nhà ở.
Mục 3. GIAI ĐOẠN KẾT THÚC DỰ ÁN ĐẦU TƯ XÂY DỰNG NHÀ Ở XÃ HỘI, NHÀ Ở CHO LỰC LƯỢNG VŨ TRANG NHÂN DÂN
Điều 15. Giai đoạn kết thúc dự án đầu tư xây dựng nhà ở
Giai đoạn kết thúc dự án đầu tư xây dựng nhà ở xã hội, nhà ở cho lực lượng vũ trang nhân dân được áp dụng thực hiện như quy định tại Điều 24 Nghị định số 95/2024/NĐ-CP ngày 24 tháng 7 năm 2024 của Chính phủ quy định chi tiết một số điều của Luật Nhà ở.
Điều 16. Bàn giao nhà ở
Việc bàn giao nhà ở xã hội, nhà ở cho lực lượng vũ trang nhân dân được thực hiện theo quy định tại khoản 3 và khoản 4 Điều 37 của Luật Nhà ở và Điều 25 Nghị định số 95/2024/NĐ-CP ngày 24 tháng 7 năm 2024 của Chính phủ quy định chi tiết một số điều của Luật Nhà ở.
Chương III
VỀ NHÀ Ở XÃ HỘI
Mục 1. VIỆC DÀNH DIỆN TÍCH ĐẤT NHÀ Ở XÃ HỘI TRONG PHẠM VI DỰ ÁN ĐẦU TƯ XÂY DỰNG NHÀ Ở THƯƠNG MẠI HOẶC BỐ TRÍ TẠI VỊ TRÍ KHÁC NGOÀI PHẠM VI DỰ ÁN HOẶC ĐÓNG TIỀN TƯƠNG ĐƯƠNG GIÁ TRỊ QUỸ ĐẤT ĐÃ ĐẦU TƯ XÂY DỰNG HỆ THỐNG HẠ TẦNG KỸ THUẬT ĐỂ XÂY DỰNG NHÀ Ở XÃ HỘI
Điều 17. Trường hợp dành một phần diện tích đất ở đã đầu tư xây dựng hệ thống hạ tầng kỹ thuật trong dự án đầu tư xây dựng nhà ở thương mại để xây dựng nhà ở xã hội
1. Tại các đô thị loại đặc biệt, loại I, loại II và loại III, Ủy ban nhân dân cấp tỉnh nơi có dự án đầu tư xây dựng nhà ở thương mại khi chấp thuận chủ trương đầu tư dự án theo thẩm quyền phải quyết định việc chủ đầu tư dự án đó dành 20% tổng diện tích đất ở (trừ đất ở hiện hữu, đất tái định cư) trong phạm vi dự án, đã đầu tư xây dựng hệ thống hạ tầng kỹ thuật để xây dựng nhà ở xã hội (sau đây gọi là quỹ đất nhà ở xã hội).
Trường hợp dự án đầu tư xây dựng nhà ở thương mại tại các đô thị loại đặc biệt, loại I, loại II và loại III, thuộc thẩm quyền chấp thuận chủ trương đầu tư của Thủ tướng Chính phủ thì Ủy ban nhân dân cấp tỉnh nơi có dự án quyết định dành 20% tổng diện tích đất ở (trừ đất ở hiện hữu, đất tái định cư) trong phạm vi dự án, đã đầu tư xây dựng hệ thống hạ tầng kỹ thuật để xây dựng nhà ở xã hội khi được cơ quan chủ trì lấy ý kiến thẩm định đề nghị chấp thuận chủ trương đầu tư để Thủ tướng Chính phủ chấp thuận.
2. Trường hợp dự án đầu tư xây dựng nhà ở thương mại có ranh giới dự án nằm trên phạm vi ranh giới của nhiều đơn vị hành chính, trong đó có ít nhất 01 đô thị loại III trở lên thì chủ đầu tư dự án dành 20% tổng diện tích đất ở của dự án, đã đầu tư xây dựng hệ thống hạ tầng kỹ thuật để xây dựng nhà ở xã hội theo quy định tại khoản 1 Điều này.
Điều 18. Trường hợp bố trí quỹ đất nhà ở xã hội đã đầu tư xây dựng hệ thống hạ tầng kỹ thuật ở vị trí khác ngoài phạm vi dự án đầu tư xây dựng nhà ở thương mại
1. Tại các đô thị loại đặc biệt, loại I, loại II và loại III, đối với những dự án thuộc thẩm quyền chấp thuận chủ trương đầu tư, Ủy ban nhân dân cấp tỉnh xem xét, quyết định việc bố trí quỹ đất nhà ở xã hội đã đầu tư xây dựng hệ thống hạ tầng kỹ thuật ở vị trí khác ngoài phạm vi dự án đầu tư xây dựng nhà ở thương mại khi chấp thuận chủ trương đầu tư đồng thời chấp thuận nhà đầu tư theo quy định sau:
a) Dự án thuộc trường hợp phải dành quỹ đất nhà ở xã hội theo quy định tại Điều 17 của Nghị định này;
b) Chủ đầu tư có quỹ đất phù hợp với quy hoạch, kế hoạch sử dụng đất và có vị trí trong cùng đô thị nơi có dự án đầu tư xây dựng nhà ở thương mại đó, có diện tích đất ở có giá trị tương đương với giá trị quỹ đất nhà ở xã hội đã đầu tư xây dựng hệ thống hạ tầng kỹ thuật quy định tại Điều 17 của Nghị định này hoặc có diện tích đất ở tương đương diện tích đất ở đã đầu tư xây dựng hệ thống hạ tầng kỹ thuật phải dành để xây dựng nhà ở xã hội của dự án đầu tư xây dựng nhà ở thương mại đó;
c) Chủ đầu tư có văn bản đề xuất được bố trí quỹ đất quy định tại điểm b khoản này để thay thế quỹ đất nhà ở xã hội quy định tại Điều 17 của Nghị định này.
2. Trường hợp dự án đầu tư xây dựng nhà ở thương mại tại các đô thị loại đặc biệt, loại I, loại II và loại III, thuộc thẩm quyền chấp thuận chủ trương đầu tư đồng thời chấp thuận nhà đầu tư của Thủ tướng Chính phủ thì Ủy ban nhân dân cấp tỉnh nơi có dự án quyết định việc bố trí quỹ đất nhà ở xã hội đã đầu tư xây dựng hệ thống hạ tầng kỹ thuật ở vị trí khác ngoài phạm vi dự án đầu tư xây dựng nhà ở thương mại khi được cơ quan chủ trì lấy ý kiến thẩm định đề nghị chấp thuận chủ trương đầu tư đồng thời chấp thuận nhà đầu tư để Thủ tướng Chính phủ xem xét, chấp thuận nếu dự án đáp ứng các quy định tại điểm a, điểm b và điểm c khoản 1 Điều này.
3. Trường hợp được cơ quan có thẩm quyền chấp thuận việc bố trí quỹ đất nhà ở xã hội đã đầu tư xây dựng hệ thống hạ tầng kỹ thuật ở vị trí khác ngoài phạm vi dự án theo quy định tại khoản 1, khoản 2 Điều này thì Ủy ban nhân dân cấp tỉnh có trách nhiệm điều chỉnh kế hoạch sử dụng đất theo quy định của pháp luật về đất đai; chấp thuận hoặc báo cáo cơ quan có thẩm quyền chấp thuận chủ trương đầu tư đồng thời chấp thuận nhà đầu tư làm cơ sở để chủ đầu tư thực hiện việc đầu tư xây dựng nhà ở xã hội trên phần diện tích đất thay thế quy định tại khoản 1, khoản 2 Điều này; đầu tư xây dựng hệ thống hạ tầng kỹ thuật ngoài phạm vi diện tích đất thay thế quy định tại khoản 1, khoản 2 Điều này.
Điều 19. Trường hợp đóng tiền tương đương giá trị quỹ đất đã đầu tư xây dựng hệ thống hạ tầng kỹ thuật để xây dựng nhà ở xã hội
1. Tại các đô thị loại đặc biệt, loại I, loại II và loại III, Ủy ban nhân dân cấp tỉnh khi chấp thuận chủ trương đầu tư dự án đầu tư xây dựng nhà ở thương mại, chấp thuận nhà đầu tư thực hiện dự án đầu tư xây dựng nhà ở thương mại theo thẩm quyền xem xét, quyết định việc không dành quỹ đất ở đã đầu tư xây dựng hệ thống hạ tầng kỹ thuật trong dự án theo quy định tại Điều 17, Điều 18 của Nghị định này và chấp thuận chủ đầu tư dự án đó thực hiện đóng tiền tương đương giá trị quỹ đất ở đã đầu tư xây dựng hệ thống hạ tầng kỹ thuật phải dành để xây dựng nhà ở xã hội.
Trường hợp dự án đầu tư xây dựng nhà ở thương mại tại các đô thị loại đặc biệt, loại I, loại II và loại III, thuộc thẩm quyền chấp thuận chủ trương đầu tư của Thủ tướng Chính phủ thì Ủy ban nhân dân cấp tỉnh nơi có dự án quyết định việc không dành diện tích đất ở để xây dựng nhà ở xã hội theo quy định tại Điều 17, Điều 18 của Nghị định này và chấp thuận chủ đầu tư dự án đó thực hiện đóng tiền tương đương giá trị quỹ đất ở đã đầu tư xây dựng hệ thống hạ tầng kỹ thuật phải dành để xây dựng nhà ở xã hội khi được cơ quan chủ trì lấy ý kiến thẩm định đề nghị chấp thuận chủ trương đầu tư để Thủ tướng Chính phủ chấp thuận.
2.[2] Số tiền mà chủ đầu tư phải nộp tương đương giá trị quỹ đất ở đã đầu tư xây dựng hệ thống hạ tầng kỹ thuật phải dành để xây dựng nhà ở xã hội bao gồm:
a) Tiền sử dụng đất của 20% diện tích đất ở của dự án được xác định theo quy định của pháp luật về đất đai;
b) Số tiền tương đương chi phí đầu tư xây dựng hệ thống hạ tầng kỹ thuật được xác định bằng tỷ lệ của 20% diện tích đất ở trên tổng diện tích đất của dự án nhân với tổng chi phí đầu tư xây dựng hệ thống hạ tầng kỹ thuật của dự án tính theo suất vốn đầu tư xây dựng hạ tầng kỹ thuật do Bộ trưởng Bộ Xây dựng công bố tại thời điểm tính tiền sử dụng đất theo quy định tại điểm a khoản này, không bao gồm chi phí san lấp, chi phí lấn biển trong trường hợp dự án có hạng mục lấn biển.
2a.[3] Trường hợp chủ đầu tư chậm nộp tiền theo quy định tại khoản 2 Điều này thì phải nộp tiền chậm nộp (hoặc khoản tiền tương đương với tiền chậm nộp) đối với số tiền quy định tại khoản 2 Điều này theo quy định của pháp luật về quản lý thuế.
3.[4] Số tiền chủ đầu tư nộp theo quy định tại khoản 2, khoản 2a (nếu có) Điều này phải được nộp vào ngân sách địa phương và quản lý, sử dụng theo quy định của pháp luật về ngân sách nhà nước và pháp luật về Quỹ nhà ở quốc gia.
4.[5] Trường hợp chủ đầu tư dự án đầu tư xây dựng nhà ở thương mại đã nộp tiền tương đương giá trị quỹ đất nhà ở xã hội đã đầu tư hệ thống hạ tầng kỹ thuật theo quy định tại khoản 2, khoản 2a (nếu có) Điều này là đã hoàn tất nghĩa vụ về nhà ở xã hội.
5. Hồ sơ mà chủ đầu tư dự án đầu tư xây dựng nhà ở thương mại phải nộp khi đóng tiền tương đương giá trị quỹ đất theo quy định tại khoản 2 Điều này như sau:
a) Đối với dự án thuộc thẩm quyền chấp thuận chủ trương đầu tư của Ủy ban nhân dân cấp tỉnh là văn bản chấp thuận chủ trương đầu tư hoặc văn bản chấp thuận nhà đầu tư theo pháp luật về đầu tư;
b) Đối với dự án thuộc thẩm quyền chấp thuận chủ trương đầu tư của Thủ tướng Chính phủ là văn bản chấp thuận chủ trương đầu tư theo pháp luật về đầu tư; văn bản của Ủy ban nhân dân cấp tỉnh trả lời cơ quan chủ trì lấy ý kiến thẩm định đề nghị chấp thuận chủ trương đầu tư để Thủ tướng Chính phủ quyết định chấp thuận chủ trương đầu tư dự án.
Mục 2. CHỦ ĐẦU TƯ DỰ ÁN ĐẦU TƯ XÂY DỰNG NHÀ Ở XÃ HỘI
Điều 20. Lựa chọn chủ đầu tư dự án đầu tư xây dựng nhà ở xã hội trong trường hợp chỉ có 01 nhà đầu tư quan tâm
1. Trường hợp chỉ có 01 nhà đầu tư đáp ứng yêu cầu hồ sơ mời quan tâm theo quy định của pháp luật về đấu thầu thì Ủy ban nhân dân cấp tỉnh nơi có dự án thực hiện chấp thuận nhà đầu tư để làm chủ đầu tư dự án đầu tư xây dựng nhà ở xã hội khi đáp ứng các điều kiện về chấp thuận nhà đầu tư theo pháp luật về đầu tư và điều kiện về vốn chủ sở hữu và khả năng huy động vốn theo pháp luật về kinh doanh bất động sản, đất đai và pháp luật khác có liên quan.
2. Trình tự, thủ tục chấp thuận nhà đầu tư thực hiện theo quy định của pháp luật về đầu tư.
3. Văn bản chấp thuận nhà đầu tư theo pháp luật về đầu tư là văn bản xác định chủ đầu tư dự án đầu tư xây dựng nhà ở xã hội quy định tại Điều này.
Điều 21. Lựa chọn chủ đầu tư dự án đầu tư xây dựng nhà ở xã hội thông qua hình thức đấu thầu
1. Điều kiện đối với dự án đầu tư xây dựng nhà ở xã hội để thực hiện đấu thầu lựa chọn chủ đầu tư bao gồm:
a) Đáp ứng các điều kiện, tiêu chí theo quy định của dự án thuộc trường hợp phải tổ chức đấu thầu theo quy định của pháp luật về đấu thầu;
b) Không thuộc các trường hợp quy định tại điểm a và c khoản 4 Điều 84 của Luật Nhà ở;
c) Đã có Quyết định chấp thuận chủ trương đầu tư theo quy định của pháp luật về đầu tư;
d) Có quy hoạch phân khu tỷ lệ 1/2000 hoặc quy hoạch chi tiết tỷ lệ 1/500.
2. Tổ chức tham gia đấu thầu lựa chọn chủ đầu tư dự án đầu tư xây dựng nhà ở xã hội thì phải đảm bảo các điều kiện theo quy định tại khoản 5, khoản 6 Điều 126 Luật Đất đai số 31/2024/QH15 ngày 18 tháng 01 năm 2024 và các văn bản hướng dẫn thi hành Luật Đất đai, Luật Đấu thầu số 22/2023/QH15 ngày 23 tháng 6 năm 2023 và văn bản hướng dẫn thi hành.
3. Việc công bố dự án đầu tư xây dựng nhà ở xã hội phải lựa chọn chủ đầu tư theo hình thức đấu thầu thực hiện theo quy định của Luật Đấu thầu số 22/2023/QH15 ngày 23 tháng 6 năm 2023 và văn bản hướng dẫn thi hành.
4. Hồ sơ mời quan tâm và hồ sơ mời thầu lựa chọn nhà đầu tư thực hiện dự án đầu tư xây dựng nhà ở xã hội được lập theo các mẫu tài liệu đấu thầu theo quy định của pháp luật về đấu thầu nhưng hồ sơ mời thầu bảo đảm tuân thủ quy định về tiêu chuẩn đánh giá quy định tại khoản 5 Điều này.
5. Việc đánh giá hồ sơ dự thầu lựa chọn nhà đầu tư thực hiện dự án đầu tư xây dựng nhà ở xã hội thực hiện theo quy định của pháp luật về đấu thầu.
Hồ sơ dự thầu được đánh giá theo thang điểm 100, trong đó tổng số điểm đánh giá là tổng điểm của tiêu chuẩn đánh giá về năng lực, kinh nghiệm, điểm tiêu chuẩn đánh giá phương án đầu tư kinh doanh và điểm tiêu chuẩn đánh giá hiệu quả đầu tư phát triển ngành, lĩnh vực, địa phương, bảo đảm tổng tỷ trọng là 100%.
a) Tiêu chuẩn đánh giá về năng lực, kinh nghiệm:
Tiêu chí về năng lực tài chính để thực hiện dự án (lựa chọn nhà đầu tư có tỷ lệ vốn chủ sở hữu theo quy định của pháp luật về kinh doanh bất động sản cao hơn): từ 5% đến 10% tổng số điểm.
Tiêu chí về kinh nghiệm thực hiện dự án đầu tư xây dựng nhà ở (lựa chọn nhà đầu tư có kinh nghiệm đã thực hiện nhiều dự án đầu tư xây dựng nhà ở hơn): từ 5% đến 10% tổng số điểm.
b) Tiêu chuẩn đánh giá về phương án đầu tư kinh doanh:
Tiêu chí về sự phù hợp của phương án đầu tư kinh doanh dự án với Chương trình, kế hoạch phát triển nhà ở của địa phương và các yêu cầu của hồ sơ mời thầu: từ 7% đến 10% tổng số điểm.
Tiêu chí về tính khả thi của giải pháp ứng dụng công nghệ xây dựng do nhà đầu tư đề xuất: từ 1% đến 2% tổng số điểm.
Tiêu chí về đầu tư xây dựng hạ tầng kỹ thuật, hạ tầng xã hội: từ 5% đến 7% tổng số điểm; đối với trường hợp dự án đã có hạ tầng kỹ thuật, hạ tầng xã hội thì các nhà đầu tư đều được điểm tối đa.
Tiêu chí về tiến độ thực hiện dự án, đưa công trình vào sử dụng (lựa chọn nhà đầu tư có đề xuất thời gian thực hiện ngắn nhất): từ 2% đến 3% tổng số điểm.
Tiêu chí về phương án, chi phí bồi thường, hỗ trợ, tái định cư (nếu có): từ 2% đến 3% tổng số điểm; đối với trường hợp dự án ứng trước bồi thường, hỗ trợ, tái định cư với mức tối thiểu 10% tổng mức đầu tư thì các nhà đầu tư đều được điểm tối đa.
Tiêu chí về đóng góp phúc lợi xã hội cho người lao động tại địa phương: từ 2% đến 3% tổng số điểm.
Tiêu chí về bảo vệ môi trường, tiết kiệm năng lượng, tỷ lệ sử dụng đất, tài nguyên tại khu vực thực hiện dự án: từ 1% đến 2% tổng số điểm.
c) Tiêu chuẩn đánh giá về hiệu quả đầu tư phát triển ngành, lĩnh vực, địa phương: Tiêu chí về giá bán, giá thuê mua, giá thuê (lựa chọn nhà đầu tư có đề xuất mức giá thấp hơn): từ 40% đến 50% tổng số điểm (trường hợp xác định tiêu chí giá bán trong đấu thầu thì không thực hiện thẩm định giá, áp dụng trong trường hợp có quy hoạch chi tiết tỷ lệ 1/500).
Nhà đầu tư trúng thầu làm chủ đầu tư dự án đầu tư xây dựng nhà ở xã hội thông qua hình thức đấu thầu khi đáp ứng đủ các điều kiện quy định của pháp luật về đấu thầu và đáp ứng điểm tối thiểu của từng tiêu chuẩn quy định tại điểm a, điểm b, điểm c khoản này và có tổng số điểm các tiêu chí cao nhất và không thấp hơn 70% tổng số điểm.
Trường hợp tổng điểm các tiêu chí bằng nhau thì lựa chọn nhà đầu tư có các tiêu chí cao hơn theo thứ tự quy định tại khoản này đảm bảo nguyên tắc nội dung trước đã có nhà đầu tư đáp ứng thì không xem xét đến nội dung sau.
6. Quyết định phê duyệt kết quả lựa chọn nhà đầu tư trúng thầu theo quy định tại Điều này là văn bản xác định chủ đầu tư dự án.
Mục 3. ƯU ĐÃI CHỦ ĐẦU TƯ DỰ ÁN ĐẦU TƯ XÂY DỰNG NHÀ Ở XÃ HỘI
Điều 22. Lợi nhuận định mức
1. Lợi nhuận định mức của chủ đầu tư dự án đầu tư xây dựng nhà ở xã hội quy định tại điểm c khoản 2 Điều 85 của Luật Nhà ở được xác định tối đa bằng 10% tổng chi phí đầu tư xây dựng phần diện tích nhà ở xã hội được xác định theo quy định tại khoản 2 Điều này.
2. Tổng chi phí đầu tư xây dựng phần diện tích nhà ở xã hội bao gồm các chi phí đầu tư xây dựng của dự án đầu tư xây dựng nhà ở xã hội (gồm: công trình nhà ở xã hội, công trình hoặc hạng mục công trình hạ tầng kỹ thuật, hạ tầng xã hội (nếu có) trong dự án), lãi vay (nếu có) và các chi phí hợp lý, hợp lệ của doanh nghiệp được phân bổ cho phần nhà ở xã hội, được xác định như sau:
a) Chi phí đầu tư xây dựng của dự án được xác định theo quy định của pháp luật về quản lý chi phí đầu tư xây dựng tại thời điểm trình thẩm định, bao gồm: chi phí bồi thường, hỗ trợ, tái định cư (nếu có), chi phí xây dựng, chi phí thiết bị, chi phí quản lý dự án, chi phí tư vấn đầu tư xây dựng, chi phí khác, chi phí dự phòng;
b) Lãi vay (nếu có) không bao gồm lãi vay trong thời gian xây dựng đã được xác định trong chi phí đầu tư xây dựng của dự án;
c) Các chi phí hợp lý, hợp lệ của doanh nghiệp bao gồm chi phí tổ chức bán hàng, chi phí quản lý doanh nghiệp, các khoản chi liên quan trực tiếp đến dự án được phân bổ cho phần diện tích nhà ở xã hội để bán và được xác định phù hợp với thời điểm trình thẩm định. Tổng các chi phí hợp lý, hợp lệ được xác định bằng 2% chi phí đầu tư xây dựng phần nhà ở xã hội để bán, cho thuê mua, cho thuê quy định tại điểm a khoản này; trường hợp không đủ thì chủ đầu tư lập dự toán đối với khoản mục chi phí này.
3. Chi phí đầu tư xây dựng công trình hoặc hạng mục công trình hạ tầng kỹ thuật, hạ tầng xã hội (sở hữu chung nếu có) cho cả dự án và chi phí bồi thường, hỗ trợ, tái định cư tại khoản 2 Điều này được phân bổ đều cho tổng diện tích đất ở và đất thương mại dịch vụ (nếu có) trong dự án đầu tư xây dựng nhà ở xã hội.
4. Chi phí đầu tư xây dựng đối với công trình, hạng mục công trình hạ tầng kỹ thuật sử dụng chung cho cả dự án theo quy định tại khoản 2 Điều này bao gồm: chi phí đầu tư hệ thống giao thông, hệ thống cung cấp năng lượng, hệ thống chiếu sáng công cộng, hệ thống thông tin liên lạc, hệ thống cấp nước, hệ thống thoát nước và xử lý nước thải, hệ thống quản lý chất thải rắn, hệ thống vệ sinh công cộng, các hệ thống hạ tầng kỹ thuật khác thuộc phạm vi dự án đầu tư xây dựng nhà ở xã hội theo quy định của pháp luật về xây dựng.
Điều 23. Diện tích kinh doanh dịch vụ, thương mại, nhà ở thương mại
1. Chủ đầu tư dự án đầu tư xây dựng nhà ở xã hội được hưởng cơ chế ưu đãi về diện tích kinh doanh dịch vụ, thương mại, nhà ở thương mại quy định tại điểm d khoản 2 Điều 85 của Luật Nhà ở.
2. Trường hợp chủ đầu tư dự án đầu tư xây dựng nhà ở xã hội đầu tư xây dựng nhà ở thương mại trên phần diện tích đất quy định tại khoản 1 Điều này thì nộp tiền sử dụng đất đối với phần diện tích xây dựng nhà ở thương mại tính theo quy định của pháp luật về đất đai.
3. Diện tích đất để xây dựng công trình kinh doanh dịch vụ, thương mại được xác định trong tổng diện tích phần đất thương mại, dịch vụ của dự án. Diện tích đất để xây dựng nhà ở thương mại được xác định trong tổng diện tích đất ở của dự án. Việc xác định cụ thể diện tích đất để xây dựng công trình kinh doanh dịch vụ, thương mại, nhà ở thương mại được thực hiện khi lập, phê duyệt quy hoạch chi tiết của dự án nhưng trong mọi trường hợp không vượt quá 20% tổng diện tích đất ở của dự án.
4. Trường hợp phương án quy hoạch chi tiết của dự án đầu tư xây dựng nhà ở xã hội do cơ quan nhà nước có thẩm quyền phê duyệt không bố trí quỹ đất riêng để xây dựng công trình kinh doanh dịch vụ, thương mại, nhà ở thương mại trong phạm vi dự án thì chủ đầu tư dự án được dành phần diện tích sàn với tỷ lệ kinh doanh dịch vụ, thương mại không vượt quá 20% tổng diện tích sàn nhà ở của dự án, không bao gồm phần diện tích bố trí để phục vụ nhu cầu sinh hoạt chung của các hộ dân cư trong phạm vi dự án (khu vực sinh hoạt cộng đồng, trạm y tế, nhà trẻ mẫu giáo và các công trình hạ tầng thiết yếu khác phục vụ cho đời sống của cư dân tòa nhà) và diện tích làm chỗ để xe theo quy định của Quy chuẩn kỹ thuật quốc gia về nhà chung cư.
Trường hợp dự án đầu tư xây dựng nhà ở xã hội có nhiều khối nhà thì chủ đầu tư được lựa chọn bố trí trong từng khối nhà hoặc gộp chung toàn bộ phần diện tích sàn để kinh doanh dịch vụ, thương mại của từng khối nhà vào phần diện tích sàn để kinh doanh dịch vụ, thương mại của một hoặc vài khối nhà.
5. Trường hợp chủ đầu tư dự án đầu tư xây dựng nhà ở xã hội đầu tư xây dựng công trình kinh doanh dịch vụ, thương mại trên phần diện tích đất hoặc dành phần diện tích sàn của dự án để kinh doanh dịch vụ, thương mại thì không phải nộp tiền sử dụng đất, tiền thuê đất đối với phần diện tích đất hoặc phần diện tích sàn này, trừ trường hợp chủ đầu tư chuyển nhượng hoặc góp vốn phần diện tích đất hoặc phần diện tích sàn này.
Điều 24. Ưu đãi chủ đầu tư dự án đầu tư xây dựng nhà ở thương mại trực tiếp đầu tư xây dựng nhà ở xã hội trong dự án đầu tư xây dựng nhà ở thương mại đó
1. Trường hợp chủ đầu tư dự án đầu tư xây dựng nhà ở thương mại trực tiếp đầu tư xây dựng nhà ở xã hội theo quy định tại khoản 2 Điều 83 của Luật Nhà ở thì chủ đầu tư được hưởng các ưu đãi quy định tại khoản 2 Điều 85 của Luật Nhà ở, Điều 22 và Điều 23 của Nghị định này.
2. Trường hợp chủ đầu tư dự án đầu tư xây dựng nhà ở thương mại trực tiếp đầu tư xây dựng nhà ở xã hội theo quy định tại khoản 3 Điều 83 của Luật Nhà ở thì chủ đầu tư được hưởng ưu đãi quy định tại khoản 2 Điều 85 của Luật Nhà ở, Điều 22 và Điều 23 của Nghị định này.
Điều 25. Vay vốn ưu đãi của chủ đầu tư dự án đầu tư xây dựng nhà ở xã hội không bằng vốn đầu tư công, nguồn tài chính công đoàn
Ngân hàng Chính sách xã hội, Ngân hàng Phát triển Việt Nam, tổ chức tín dụng thực hiện cho vay ưu đãi tuân thủ quy định pháp luật về hoạt động cho vay của Ngân hàng Chính sách xã hội, Ngân hàng Phát triển Việt Nam và pháp luật hiện hành về hoạt động cho vay của tổ chức tín dụng đối với khách hàng là chủ đầu tư dự án đầu tư xây dựng nhà ở xã hội không bằng vốn đầu tư công, nguồn tài chính công đoàn quy định tại khoản 2 Điều 85 của Luật Nhà ở theo quy định sau:
1. Điều kiện được vay vốn:
a) Có dự án đầu tư phát triển nhà ở xã hội đã được cấp có thẩm quyền chấp thuận chủ trương đầu tư theo quy định của pháp luật về đầu tư;
b) Đã được lựa chọn chủ đầu tư dự án theo quy định của pháp luật về đất đai, pháp luật về đầu tư, pháp luật về nhà ở và pháp luật có liên quan;
c) Đủ điều kiện vay vốn theo quy định của pháp luật về hoạt động cho vay của tổ chức tín dụng đối với khách hàng;
d) Áp dụng biện pháp bảo đảm trong hoạt động cho vay theo quy định của pháp luật và quy định của Ngân hàng Chính sách xã hội, tổ chức tín dụng.
2. Mức vốn vay:
a) Đối với việc đầu tư xây dựng nhà ở xã hội để bán, cho thuê mua: Mức cho vay tối đa bằng 70% tổng mức đầu tư của dự án hoặc phương án sử dụng vốn và không vượt quá 70% giá trị tài sản bảo đảm tiền vay;
b) Đối với việc đầu tư xây dựng nhà ở xã hội chỉ để cho thuê: Mức cho vay tối đa bằng 80% tổng mức đầu tư dự án hoặc phương án sử dụng vốn và không vượt quá 80% giá trị tài sản bảo đảm tiền vay.
3. Thời hạn vay:
a) Đối với việc đầu tư xây dựng nhà ở xã hội để bán thì thời hạn cho vay tối đa không quá 10 năm kể từ ngày giải ngân khoản vay đầu tiên;
b) Đối với việc đầu tư xây dựng nhà ở xã hội để cho thuê mua thì thời hạn cho vay tối đa không quá 15 năm kể từ ngày giải ngân khoản vay đầu tiên;
c) Đối với việc đầu tư xây dựng nhà ở xã hội chỉ để cho thuê thì thời hạn cho vay tối đa không quá 20 năm kể từ ngày giải ngân khoản vay đầu tiên.
4. Lãi suất vay:
a) Đối với dự án đầu tư xây dựng nhà ở xã hội để bán, để cho thuê mua thì lãi suất cho vay ưu đãi tại Ngân hàng Chính sách xã hội bằng 120% lãi suất cho vay đối với đối tượng vay vốn tại Ngân hàng Chính sách xã hội để mua, thuê mua nhà ở xã hội quy định trong từng thời kỳ. Lãi suất nợ quá hạn bằng 130% lãi suất cho vay;
b) Đối với dự án đầu tư xây dựng nhà ở xã hội để cho thuê thì lãi suất cho vay ưu đãi tại Ngân hàng Chính sách xã hội bằng lãi suất cho vay đối với đối tượng vay vốn tại Ngân hàng Chính sách xã hội để mua, thuê mua nhà ở xã hội quy định trong từng thời kỳ. Lãi suất nợ quá hạn bằng 130% lãi suất cho vay;
c) Lãi suất cho vay ưu đãi của các tổ chức tín dụng do tổ chức tín dụng và khách hàng thỏa thuận.
5. Giải ngân vốn vay: Vốn vay được giải ngân theo tiến độ thực hiện và đề nghị của chủ đầu tư. Số tiền giải ngân từng đợt căn cứ vào khối lượng hoàn thành công trình theo điểm dừng kỹ thuật.
6. Điều kiện vay vốn, mức vốn vay, thời hạn vay, lãi suất vay, bảo đảm tiền vay và các nội dung khác có liên quan đối với khoản vay tại Ngân hàng Phát triển Việt Nam theo quy định hiện hành của pháp luật về tín dụng đầu tư của Nhà nước.
7. Ngoài các nội dung đã quy định tại khoản 1, khoản 2, khoản 3, khoản 4 và khoản 5 Điều này, các nội dung khác liên quan đến hoạt động cho vay, tổ chức tín dụng thực hiện cho vay theo quy định pháp luật hiện hành về hoạt động cho vay của tổ chức tín dụng đối với khách hàng.
Điều 26. Ưu đãi cá nhân vay vốn để tự xây dựng hoặc cải tạo, sửa chữa nhà ở để cho thuê
Cá nhân tự xây dựng hoặc cải tạo, sửa chữa nhà ở để đối tượng được hưởng chính sách hỗ trợ về nhà ở xã hội thuê theo quy định tại khoản 4 Điều 85 của Luật Nhà ở thì được vay vốn ưu đãi theo quy định sau:
1. Điều kiện được vay vốn
a) Có khả năng trả nợ theo cam kết với tổ chức tín dụng cho vay vốn;
b) Có Giấy chứng nhận quyền sử dụng đất, quyền sở hữu tài sản gắn liền với đất đối với công trình nhà ở cần xây dựng hoặc cải tạo, sửa chữa;
c) Có phương án sử dụng vốn, có giấy phép xây dựng đối với trường hợp yêu cầu phải có giấy phép xây dựng theo quy định của pháp luật về xây dựng. Trường hợp có giấy phép xây dựng có thời hạn theo quy định của pháp luật thì được xem xét cho vay vốn phù hợp với thời hạn được tồn tại của công trình;
d) Thực hiện bảo đảm tiền vay bằng giá trị quyền sử dụng đất ở và tài sản gắn liền với đất ở hoặc tài sản khác theo quy định của pháp luật.
2. Mức vốn vay: Mức cho vay tối đa bằng 70% tổng mức đầu tư dự án hoặc phương án sử dụng vốn và không vượt quá 70% giá trị tài sản bảo đảm tiền vay.
3. Thời hạn vay: Thời hạn cho vay tối đa không quá 20 năm kể từ ngày giải ngân khoản vay đầu tiên.
4. Lãi suất vay:
a) Lãi suất cho vay ưu đãi tại Ngân hàng Chính sách xã hội bằng lãi suất cho vay đối với đối tượng vay vốn tại Ngân hàng Chính sách xã hội để mua, thuê mua nhà ở xã hội quy định trong từng thời kỳ. Lãi suất nợ quá hạn bằng 130% lãi suất cho vay;
b) Lãi suất cho vay ưu đãi của các tổ chức tín dụng do tổ chức tín dụng và khách hàng thỏa thuận.
5. Cá nhân tự xây dựng hoặc cải tạo, sửa chữa nhà ở để đối tượng được hưởng chính sách hỗ trợ về nhà ở xã hội thuê theo quy định tại khoản 4 Điều 85 của Luật Nhà ở thì được vay vốn ưu đãi đáp ứng các quy định tại khoản 1 Điều này và phải lập dự án đầu tư. Không được kinh doanh sản phẩm nhà ở xã hội dưới hình thức mua bán. Trong quá trình triển khai, phải báo cáo về cơ quan quản lý nhà ở cấp tỉnh theo định kỳ 03 tháng.
Mục 4. LOẠI NHÀ VÀ TIÊU CHUẨN DIỆN TÍCH NHÀ Ở XÃ HỘI
Điều 27. Loại nhà và tiêu chuẩn diện tích nhà ở xã hội được đầu tư xây dựng theo dự án
1. Trường hợp nhà ở xã hội là nhà chung cư được đầu tư xây dựng theo dự án thì phải đảm bảo các yêu cầu sau:
a) Phải được thiết kế, xây dựng khép kín, tuân thủ quy chuẩn kỹ thuật quốc gia, phù hợp tiêu chuẩn áp dụng theo quy định của pháp luật;
b) Tiêu chuẩn diện tích sử dụng mỗi căn hộ tối thiểu là 25 m2, tối đa là 70 m2;
c) Được điều chỉnh tăng tiêu chuẩn diện tích sử dụng căn hộ tối đa, nhưng mức tăng không quá 10% so với diện tích sử dụng căn hộ tối đa là 70 m2 và bảo đảm tỷ lệ số căn hộ trong dự án đầu tư xây dựng nhà ở xã hội có diện tích sử dụng trên 70 m2 không quá 10% tổng số căn hộ nhà ở xã hội trong dự án.
2. Trường hợp nhà ở xã hội là nhà ở riêng lẻ được đầu tư xây dựng theo dự án thì chỉ được đầu tư xây dựng tại xã thuộc vùng đồng bào dân tộc thiểu số và miền núi theo quy định của Thủ tướng Chính phủ, phải đảm bảo các quy định sau:
a) Phải được thiết kế, xây dựng theo tiêu chuẩn, quy chuẩn kỹ thuật quốc gia về quy hoạch xây dựng;
b) Mật độ xây dựng, hệ số sử dụng đất, chiều cao nhà ở riêng lẻ tuân thủ quy hoạch nông thôn hoặc quy chế quản lý kiến trúc điểm dân cư nông thôn được cấp có thẩm quyền phê duyệt;
c) Tiêu chuẩn diện tích lô đất nhà ở xã hội là nhà ở riêng lẻ không vượt quá 70 m2, hệ số sử dụng đất không vượt quá 2,0 lần.
Điều 28. Loại nhà và tiêu chuẩn diện tích nhà ở xã hội do cá nhân đầu tư xây dựng để cho thuê
1. Trường hợp xây dựng nhà ở nhiều tầng nhiều căn hộ của cá nhân thì phải đảm bảo các quy định sau:
a) Trường hợp nhà ở có từ 02 tầng trở lên và có quy mô từ 20 căn hộ trở lên thì phải đáp ứng các quy định tại khoản 1 Điều 57 của Luật Nhà ở;
b) Trường hợp nhà ở có từ 02 tầng trở lên và có quy mô dưới 20 căn hộ thì phải đáp ứng các quy định tại khoản 3 Điều 57 của Luật Nhà ở.
2. Trường hợp xây dựng dãy nhà ở 01 tầng để cho thuê thì phải đảm bảo các quy định sau:
a) Phải được xây dựng khép kín (có phòng ở riêng, khu vệ sinh riêng) theo tiêu chuẩn xây dựng;
b) Diện tích sử dụng bình quân cho mỗi người để ở không nhỏ hơn 8 m2 (không tính diện tích khu phụ);
c) Phải đáp ứng các quy định về chất lượng công trình xây dựng từ cấp IV trở lên theo pháp luật về xây dựng;
d) Bố trí mặt bằng xây dựng nhà ở và các hạng mục công trình xây dựng khác trong dãy nhà ở 01 tầng trên khu đất đảm bảo điều kiện giao thông thuận lợi, vệ sinh môi trường và điều kiện khắc phục sự cố (cháy, nổ, sập đổ công trình...).
Mục 5. ĐIỀU KIỆN ĐƯỢC HƯỞNG CHÍNH SÁCH HỖ TRỢ VỀ NHÀ Ở XÃ HỘI
Điều 29. Điều kiện về nhà ở
1. Trường hợp chưa có nhà ở thuộc sở hữu của mình được xác định khi đối tượng quy định tại khoản 1 Điều 77 của Luật Nhà ở và vợ hoặc chồng của đối tượng đó (nếu có) không có tên trong Giấy chứng nhận quyền sử dụng đất, quyền sở hữu tài sản gắn liền với đất tại tỉnh, thành phố trực thuộc Trung ương nơi có dự án nhà ở xã hội đó tại thời điểm nộp hồ sơ đăng ký mua, thuê mua nhà ở xã hội.
Trong thời hạn 07 ngày, kể từ ngày nhận được đơn đề nghị xác nhận có tên trong Giấy chứng nhận quyền sử dụng đất, quyền sở hữu tài sản gắn liền với đất, Văn phòng/Chi nhánh văn phòng đăng ký đất đai cấp huyện thuộc tỉnh, thành phố trực thuộc Trung ương nơi có dự án nhà ở xã hội đó thực hiện việc xác nhận đối với trường hợp quy định tại khoản này.
2. Trường hợp đối tượng quy định tại khoản 1 Điều 77 của Luật Nhà ở có nhà ở thuộc sở hữu của mình nhưng diện tích nhà ở bình quân đầu người thấp hơn 15 m2 sàn/người. Diện tích nhà ở bình quân đầu người quy định tại khoản này được xác định trên cơ sở bao gồm: người đứng đơn, vợ (chồng) của người đó, cha, mẹ (nếu có) và các con của người đó (nếu có) đăng ký thường trú tại căn nhà đó.
Trong thời hạn 07 ngày, kể từ ngày nhận được đơn đề nghị xác nhận diện tích nhà ở bình quân đầu người, Ủy ban nhân dân cấp xã thực hiện việc xác nhận đối với trường hợp quy định tại khoản này.
Điều 30. Điều kiện về thu nhập
1.[6] Đối với các đối tượng quy định tại các khoản 5, 6 và 8 Điều 76 của Luật Nhà ở thì phải đảm bảo điều kiện về thu nhập như sau:
a) Trường hợp người đứng đơn là người chưa kết hôn hoặc được xác nhận là độc thân thì có thu nhập bình quân hàng tháng thực nhận không quá 20 triệu đồng tính theo Bảng tiền công, tiền lương do cơ quan, đơn vị, doanh nghiệp nơi đối tượng làm việc xác nhận.
Trường hợp người đứng đơn là người chưa kết hôn hoặc được xác nhận là độc thân đang nuôi con dưới tuổi thành niên thì thu nhập bình quân hàng tháng thực nhận không quá 30 triệu đồng tính theo Bảng tiền công, tiền lương do cơ quan, đơn vị, doanh nghiệp nơi đối tượng làm việc xác nhận.
b) Trường hợp người đứng đơn đã kết hôn theo quy định của pháp luật thì người đứng đơn và vợ (chồng) của người đó có tổng thu nhập bình quân hàng tháng thực nhận không quá 40 triệu đồng tính theo Bảng tiền công, tiền lương do cơ quan, đơn vị, doanh nghiệp nơi đối tượng làm việc xác nhận.
c) Thời gian xác định điều kiện về thu nhập theo quy định tại điểm a, điểm b khoản này là trong 12 tháng liền kề, tính từ thời điểm cơ quan có thẩm quyền thực hiện xác nhận.
d) Căn cứ điều kiện, mức thu nhập của từng khu vực trên địa bàn, chính sách ưu đãi về nhà ở cho cán bộ, công chức, viên chức, số lượng người phụ thuộc theo quy định của pháp luật, Ủy ban nhân dân cấp tỉnh được quyết định hệ số điều chỉnh mức thu nhập quy định tại điểm a, điểm b khoản này nhưng không vượt quá tỷ lệ giữa thu nhập bình quân đầu người tại địa phương so với thu nhập bình quân đầu người của cả nước; quyết định chính sách khuyến khích tiếp cận nhà ở xã hội đối với đối tượng được hưởng chính sách hỗ trợ về nhà ở xã hội có từ ba (03) người phụ thuộc trở lên trong cùng một hộ gia đình.
2.[7] Trường hợp đối tượng quy định tại khoản 5 Điều 76 của Luật Nhà ở trong trường hợp không có Hợp đồng lao động thì phải đảm bảo điều kiện về thu nhập theo quy định tại khoản 1 Điều này và được cơ quan Công an cấp xã nơi thường trú hoặc tạm trú hoặc nơi ở hiện tại xác nhận.
Trong thời hạn 07 ngày, kể từ ngày nhận được đơn đề nghị xác nhận, cơ quan Công an cấp xã nơi thường trú hoặc tạm trú hoặc nơi ở tại thời điểm đối tượng đề nghị xác nhận căn cứ thông tin cơ sở dữ liệu về dân cư để thực hiện việc xác nhận điều kiện về thu nhập.
3. Đối với đối tượng quy định tại khoản 2, khoản 3 và khoản 4 Điều 76 của Luật Nhà ở thì phải thuộc trường hợp hộ gia đình nghèo, cận nghèo theo chuẩn nghèo của Chính phủ.
4. Đối với đối tượng quy định tại khoản 7 Điều 76 của Luật Nhà ở thì áp dụng điều kiện thu nhập theo quy định tại Điều 67 của Nghị định này.
Mục 6. GIÁ BÁN, GIÁ CHO THUÊ MUA, GIÁ CHO THUÊ NHÀ Ở XÃ HỘI
Điều 31. Xác định giá thuê, giá thuê mua nhà ở xã hội do Nhà nước đầu tư xây dựng bằng vốn đầu tư công, nguồn tài chính công đoàn
1. Giá thuê nhà ở xã hội do Nhà nước đầu tư xây dựng bằng vốn đầu tư công hoặc bằng nguồn tài chính công đoàn thực hiện theo quy định sau:
a) Giá thuê nhà ở xã hội được xác định trên cơ sở tính đủ chi phí quy định tại khoản 1 Điều 86 của Luật Nhà ở và không tính các ưu đãi quy định tại khoản 1 Điều 85 của Luật Nhà ở;
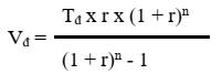
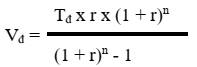
b) Phương pháp xác định giá thuê nhà ở xã hội được xác định theo công thức sau:

Trong đó:
Gt: là giá thuê 01 m2 sử dụng nhà ở trong 01 tháng (đồng/m2/tháng).
Vđ: là tổng chi phí đầu tư xây dựng không bao gồm thuế giá trị gia tăng để thực hiện dự án đầu tư xây dựng nhà ở xã hội (bao gồm cả các chi phí được phân bổ cho công trình nhà ở xã hội) theo quy định của pháp luật về quản lý đầu tư xây dựng công trình, được phân bổ hàng năm cho diện tích sử dụng nhà ở cho thuê theo nguyên tắc bảo toàn vốn.

Tđ (đồng): là tổng chi phí đầu tư xây dựng phần diện tích nhà ở xã hội theo quy định tại khoản 2 Điều 22 của Nghị định này, được căn cứ theo giá trị quyết toán vốn đầu tư được cơ quan nhà nước có thẩm quyền phê duyệt; trường hợp chưa phê duyệt quyết toán thì xác định căn cứ theo chi phí đầu tư xây dựng công trình được cơ quan nhà nước có thẩm quyền phê duyệt hoặc chi phí đầu tư xây dựng theo kết quả đấu thầu thực tế (nếu có).
r (%/năm): là lãi suất bảo toàn vốn đầu tư (tính theo năm) do người quyết định đầu tư quyết định.
n: là số năm thu hồi vốn đầu tư của dự án do người quyết định đầu tư quyết định nhưng tối thiểu 20 năm.
Bt: là chi phí bảo trì bình quân hàng năm phân bổ cho diện tích sử dụng nhà ở cho thuê theo quy định của pháp luật về quản lý chất lượng, thi công xây dựng và bảo trì công trình xây dựng.
St : là diện tích sử dụng nhà ở cho thuê.
K: là hệ số tầng điều chỉnh giá thuê đối với căn hộ được xác định theo nguyên tắc bình quân gia quyền và bảo đảm bình quân gia quyền theo diện tích nhà ở các tầng của một khối nhà bằng 1.
GTGT: thuế giá trị gia tăng xác định theo quy định của pháp luật về thuế.
Số 12: Là số tháng tính trong 01 năm.
c) Việc xác định giá thuê được thực hiện cho toàn bộ dự án hoặc cho từng giai đoạn phân kỳ đầu tư (nếu có) phù hợp với chủ trương đầu tư của dự án.
2. Giá thuê mua nhà ở xã hội do Nhà nước đầu tư xây dựng bằng vốn đầu tư công thực hiện theo quy định sau:
a) Giá thuê mua nhà ở xã hội được xác định trên cơ sở tính đủ chi phí quy định tại khoản 2 Điều 86 của Luật Nhà ở và không tính các ưu đãi quy định tại khoản 1 Điều 85 của Luật Nhà ở;
b) Phương pháp xác định giá thuê mua nhà ở xã hội được xác định theo công thức sau:

Trong đó:
Gt: là giá thuê mua 01 m2 sử dụng nhà ở trong 01 tháng (đồng/m2/tháng).
Vđ: là tổng chi phí đầu tư xây dựng không bao gồm thuế giá trị gia tăng để thực hiện đầu tư xây dựng công trình nhà ở xã hội (bao gồm cả các chi phí được phân bổ cho công trình nhà ở xã hội) theo quy định của pháp luật về quản lý đầu tư xây dựng công trình, được phân bổ hàng năm cho diện tích sử dụng nhà ở cho thuê mua theo nguyên tắc bảo toàn vốn. Khi xác định Vđ thì phải giảm trừ chi phí đã thanh toán lần đầu theo thỏa thuận trong Hợp đồng.

Tđ (đồng): là tổng chi phí đầu tư xây dựng phần diện tích nhà ở xã hội theo quy định tại khoản 2 Điều 22 của Nghị định này, được xác định căn cứ theo giá trị quyết toán vốn đầu tư được cơ quan nhà nước có thẩm quyền phê duyệt; trường hợp chưa phê duyệt quyết toán thì xác định căn cứ theo chi phí đầu tư xây dựng công trình được cơ quan nhà nước có thẩm quyền phê duyệt hoặc chi phí đầu tư xây dựng theo kết quả đấu thầu thực tế (nếu có).
r (%/năm): là lãi suất bảo toàn vốn đầu tư (tính theo năm) do người quyết định đầu tư quyết định.
n: là số năm thu hồi vốn đầu tư của dự án do người quyết định đầu tư quyết định nhưng tối thiểu 05 năm.
Stm: là diện tích sử dụng nhà ở cho thuê mua.
K: là hệ số tầng điều chỉnh giá thuê mua đối với căn hộ được xác định theo nguyên tắc bình quân gia quyền và bảo đảm bình quân gia quyền theo diện tích nhà ở các tầng của một khối nhà bằng 1.
GTGT: thuế giá trị gia tăng xác định theo quy định của pháp luật về thuế.
Số 12: là số tháng tính trong 01 năm.
c) Việc xác định giá thuê mua được thực hiện cho toàn bộ dự án hoặc cho từng giai đoạn phân kỳ đầu tư (nếu có) phù hợp với chủ trương đầu tư của dự án.
3. Căn cứ quy định khoản 1, khoản 2 Điều này, cơ quan quản lý nhà ở có trách nhiệm chủ trì, phối hợp với cơ quan quản lý tài chính cùng cấp tổ chức lập và trình cơ quan đại diện chủ sở hữu ban hành giá thuê, giá thuê mua nhà ở xã hội thuộc tài sản công để áp dụng đối với nhà ở đang được giao quản lý.
4. Đối với dự án được đầu tư xây dựng bằng nguồn tài chính công đoàn thì chủ đầu tư dự án xây dựng phương án giá thuê để trình Tổng Liên đoàn Lao động Việt Nam ban hành.
Điều 32. Xác định giá bán nhà ở xã hội được đầu tư xây dựng không bằng vốn đầu tư công, nguồn tài chính công đoàn
1. Giá bán nhà ở xã hội được xác định trên cơ sở tính đủ chi phí quy định tại điểm a khoản 1 Điều 87 của Luật Nhà ở và không tính các ưu đãi, kinh phí bảo trì quy định tại điểm b khoản 1 Điều 87 của Luật Nhà ở.
Việc xác định giá bán được thực hiện cho toàn bộ dự án hoặc cho từng giai đoạn phân kỳ đầu tư (nếu có) phù hợp với chủ trương đầu tư của dự án.
2. Phương pháp xác định giá bán nhà ở xã hội được xác định theo công thức sau:

Trong đó:
GiB (đồng/m2): là giá bán 01 m2 sử dụng căn hộ (hoặc căn nhà) nhà ở xã hội đã hoàn thiện việc xây dựng tại vị trí thứ i.
Tđ (đồng): là tổng chi phí đầu tư xây dựng (đã bao gồm thuế giá trị gia tăng) phần diện tích nhà ở xã hội theo quy định tại khoản 2 Điều 22 của Nghị định này, được xác định căn cứ theo giá trị quyết toán vốn đầu tư; trường hợp chưa phê duyệt quyết toán thì xác định căn cứ theo chi phí đầu tư xây dựng công trình được duyệt hoặc chi phí đầu tư xây dựng theo kết quả đấu thầu thực tế (nếu có).
L (đồng): là lợi nhuận định mức được xác định bằng tỷ lệ định mức nhân với Tđ.
SB (m2): là tổng diện tích sử dụng các căn hộ (hoặc căn nhà) để bán của công trình nhà ở hoặc của dự án, bao gồm cả diện tích các căn hộ hoặc căn nhà mà chủ đầu tư giữ lại không bán.
Ki: là hệ số điều chỉnh giá bán đối với phần diện tích tại vị trí thứ i theo nguyên tắc bình quân gia quyền và bảo đảm bình quân gia quyền theo diện tích nhà ở của một khối nhà bằng 1.
3. Trình tự, thủ tục thẩm định giá bán nhà ở xã hội được đầu tư xây dựng không bằng vốn đầu tư công, nguồn tài chính công đoàn thực hiện theo quy định tại Điều 35 của Nghị định này.
Điều 33. Xác định giá thuê mua nhà ở xã hội được đầu tư xây dựng không bằng vốn đầu tư công, nguồn tài chính công đoàn
1. Giá thuê mua nhà ở xã hội thực hiện theo quy định tại khoản 2 Điều 87 của Luật Nhà ở và không tính các ưu đãi, kinh phí bảo trì quy định tại điểm b khoản 1 Điều 87 của Luật Nhà ở.
Việc xác định giá thuê mua được thực hiện cho toàn bộ dự án hoặc cho từng giai đoạn phân kỳ đầu tư (nếu có) phù hợp với chủ trương đầu tư của dự án.
2. Phương pháp xác định giá thuê mua nhà ở xã hội được xác định theo công thức sau:
![]()
Trong đó:
Gi™ (đồng/m2/tháng): là giá thuê mua 01 m2 sử dụng căn hộ (hoặc căn nhà) nhà ở xã hội đã hoàn thiện việc xây dựng tại vị trí thứ i trong 01 tháng. Giá thuê mua chưa bao gồm kinh phí bảo trì nhà chung cư.
Ai: là tỷ lệ giữa giá trị còn lại của căn hộ (hoặc căn nhà) nhà ở xã hội tại vị trí thứ i (sau khi đã trừ đi tiền thanh toán lần đầu) so với giá trị ban đầu của căn hộ hoặc căn nhà thuê mua thứ i (A < 1) tính theo Hợp đồng thuê mua.
Vđ (đồng/năm): là tổng chi phí đầu tư xây dựng nhà ở xã hội của dự án phân bổ cho phần diện tích sử dụng nhà ở xã hội để cho thuê mua được phân bổ hàng năm theo nguyên tắc bảo toàn vốn, xác định theo công thức sau:

Tđ (đồng): là tổng chi phí đầu tư xây dựng (đã bao gồm thuế giá trị gia tăng) phần diện tích nhà ở xã hội theo quy định tại khoản 2 Điều 22 của Nghị định này, được xác định căn cứ theo giá trị quyết toán vốn đầu tư; trường hợp chưa phê duyệt quyết toán thì xác định căn cứ theo chi phí đầu tư xây dựng công trình được duyệt hoặc chi phí đầu tư xây dựng theo kết quả đấu thầu thực tế (nếu có).
r (%/năm): là lãi suất bảo toàn vốn đầu tư (tính theo năm) do người có thẩm quyền quyết định đầu tư quyết định.
n: thời gian thuê mua theo thỏa thuận giữa bên cho thuê mua và bên thuê mua nhưng tối thiểu là 05 năm.
L (đồng/năm): là lợi nhuận định mức được tính theo năm và được xác định bằng tỷ lệ định mức nhân với Tđ.
Si™ (m2): là diện tích sử dụng căn hộ (hoặc căn nhà) nhà ở xã hội để cho thuê mua tại vị trí thứ i của công trình nhà ở hoặc của dự án.
Ki: là hệ số điều chỉnh giá thuê mua đối với phần diện tích tại vị trí thứ i theo nguyên tắc bình quân gia quyền và bảo đảm bình quân gia quyền theo diện tích nhà ở của một khối nhà bằng 1.
3. Trình tự, thủ tục thẩm định giá thuê mua nhà ở xã hội được đầu tư xây dựng không bằng vốn đầu tư công, nguồn tài chính công đoàn thực hiện theo quy định tại Điều 35 của Nghị định này.
Điều 34. Xác định giá thuê nhà ở xã hội được đầu tư xây dựng không bằng vốn đầu tư công, nguồn tài chính công đoàn
1. Phương pháp xác định giá thuê nhà ở xã hội được đầu tư xây dựng không bằng vốn đầu tư công, nguồn tài chính công đoàn được áp dụng theo phương pháp xác định giá thuê nhà ở xã hội bằng vốn đầu tư công quy định tại khoản 1 Điều 31 của Nghị định này. Giá thuê nhà ở xã hội bao gồm kinh phí bảo trì và lợi nhuận định mức theo quy định và không bao gồm các ưu đãi của Nhà nước.
2. Cơ quan quản lý nhà ở cấp tỉnh có trách nhiệm chủ trì, phối hợp với cơ quan quản lý tài chính cùng cấp tổ chức lập và trình Ủy ban nhân dân cấp tỉnh ban hành khung giá cho thuê nhà ở xã hội. Trong quá trình tổ chức lập khung giá cho thuê nhà ở xã hội trên địa bàn cấp tỉnh, cơ quan quản lý nhà ở cấp tỉnh được thuê đơn vị tư vấn lập và xác định khung giá cho thuê nhà ở xã hội.
3. Đối với nhà ở xã hội do cá nhân xây dựng hoặc cải tạo, sửa chữa để đối tượng được hưởng chính sách hỗ trợ về nhà ở xã hội thuê thì cá nhân tự xác định giá bảo đảm phù hợp với khung giá do Ủy ban nhân dân cấp tỉnh nơi có nhà ở xã hội cho thuê ban hành.
Trước khi ký Hợp đồng thuê nhà ở xã hội với khách hàng thì cá nhân phải gửi bảng giá cho thuê đến Ủy ban nhân dân cấp xã nơi có nhà ở xã hội để theo dõi.
Điều 35. Trình tự, thủ tục thẩm định giá bán, giá thuê mua nhà ở xã hội được đầu tư xây dựng không bằng vốn đầu tư công, nguồn tài chính công đoàn
1. Chủ đầu tư trực tiếp nộp 01 bộ hồ sơ (bản sao có chứng thực) đến cơ quan chuyên môn của Ủy ban nhân dân cấp tỉnh nơi có dự án hoặc nộp hồ sơ trực tuyến qua cổng dịch vụ công cấp tỉnh nơi có dự án để đề nghị tổ chức thẩm định giá bán, giá thuê mua nhà ở xã hội do mình đầu tư xây dựng theo quy định tại khoản 2 Điều này.
2. Hồ sơ của chủ đầu tư đề nghị thẩm định giá bao gồm:
a) Đơn đề nghị thẩm định giá theo mẫu tại Phụ lục I của Nghị định này;
b)[8] Hồ sơ pháp lý của dự án (gồm có: Chấp thuận chủ trương đầu tư; Quyết định giao đất hoặc Giấy chứng nhận quyền sử dụng đất hoặc Giấy tờ chứng minh quyền sử dụng đất khác; phê duyệt quy hoạch chi tiết tỷ lệ 1/500; Giấy phép xây dựng và các giấy tờ khác có liên quan).
Trường hợp cơ sở dữ liệu quốc gia, cơ sở dữ liệu chuyên ngành về đất đai, đầu tư, hoạt động xây dựng đã được khai thác vận hành thì thay thế bằng mã số thông tin gửi kèm theo đơn đề nghị tại điểm a khoản này.
c) Phương án xác định giá bán, giá thuê mua nhà ở xã hội do chủ đầu tư xây dựng.
3. Cơ quan chuyên môn của Ủy ban nhân dân cấp tỉnh nơi có dự án thực hiện việc thẩm định giá bán, giá thuê mua nhà ở xã hội do chủ đầu tư đề nghị theo quy định sau:
a) Cơ quan chuyên môn của Ủy ban nhân dân cấp tỉnh nơi có dự án tổ chức thẩm định và chịu trách nhiệm trước Ủy ban nhân dân cấp tỉnh về kết quả và thời hạn thực hiện thẩm định.
Trường hợp chủ đầu tư đã hoàn thành xong việc xây dựng nhà ở xã hội và đã được kiểm toán hoặc quyết toán về chi phí của dự án theo quy định thì Cơ quan chuyên môn của Ủy ban nhân dân cấp tỉnh nơi có dự án có thể căn cứ vào báo cáo kiểm toán, quyết định phê duyệt quyết toán để thẩm định giá bán, giá cho thuê mua nhà ở xã hội của dự án.
b) Trong thời hạn 30 ngày, kể từ ngày nhận được Hồ sơ hợp lệ đề nghị thẩm định giá của chủ đầu tư, Cơ quan chuyên môn của Ủy ban nhân dân cấp tỉnh nơi có dự án có trách nhiệm tổ chức thẩm định và có văn bản thông báo kết quả thẩm định cho chủ đầu tư, trong đó nêu rõ các nội dung đồng ý và nội dung cần chỉnh sửa (nếu có).
Căn cứ văn bản thông báo kết quả thẩm định, chủ đầu tư ban hành giá bán, giá cho thuê mua nhà ở xã hội của dự án trên nguyên tắc không được cao hơn giá đã được thẩm định.
c) Nếu quá thời hạn quy định tại điểm b khoản này mà Cơ quan chuyên môn của Ủy ban nhân dân cấp tỉnh nơi có dự án không có văn bản thông báo kết quả thẩm định thì chủ đầu tư được quyền ban hành giá theo phương án giá đã trình thẩm định hoặc giá đề nghị trong hồ sơ dự thầu và ký Hợp đồng mua bán, thuê mua nhà ở xã hội với khách hàng, nhưng trước khi ký Hợp đồng chủ đầu tư phải có trách nhiệm gửi bảng giá bán, giá cho thuê mua nhà ở xã hội do chủ đầu tư ban hành đến Sở Xây dựng địa phương để theo dõi.
d) Trong thời hạn 60 ngày kể từ ngày quá thời hạn quy định tại điểm b khoản này thì Cơ quan chuyên môn của Ủy ban nhân dân cấp tỉnh nơi có dự án phải hoàn thành việc thẩm định giá bán, giá thuê mua nhà ở xã hội và có văn bản thông báo kết quả thẩm định tới chủ đầu tư.
Khi có văn bản thông báo kết quả thẩm định mà giá thẩm định cao hơn giá do chủ đầu tư đã ký Hợp đồng thì chủ đầu tư không được thu thêm; trường hợp thấp hơn thì chủ đầu tư phải ký lại Hợp đồng hoặc điều chỉnh bổ sung Phụ lục Hợp đồng và phải hoàn trả lại phần chênh lệch cho người mua, thuê mua nhà ở.
đ) Cơ quan chuyên môn của Ủy ban nhân dân cấp tỉnh có trách nhiệm công bố công khai giá thẩm định tại Trang Thông tin điện tử của cơ quan quản lý nhà ở cấp tỉnh (sau 15 ngày kể từ ngày có kết quả thẩm định); chủ đầu tư dự án công bố công khai giá thẩm định, giá bán, giá thuê mua nhà ở xã hội tại dự án, trên Trang thông tin điện tử của chủ đầu tư, của dự án (nếu có).
e) Sau khi dự án đầu tư xây dựng nhà ở xã hội hoàn thành đưa vào sử dụng, chủ đầu tư thực hiện kiểm toán, phê duyệt quyết toán về chi phí của dự án theo quy định và gửi 01 bộ hồ sơ (bản sao có chứng thực) đến cơ quan chuyên môn của Ủy ban nhân dân cấp tỉnh nơi có dự án để kiểm tra giá bán, giá thuê mua nhà ở xã hội.
Trường hợp giá bán, giá thuê mua nhà ở xã hội theo kết quả kiểm toán, phê duyệt quyết toán cao hơn giá do chủ đầu tư đã ký Hợp đồng thì chủ đầu tư không được thu thêm; trường hợp thấp hơn thì chủ đầu tư phải ký lại Hợp đồng hoặc điều chỉnh bổ sung Phụ lục Hợp đồng và phải hoàn trả lại phần chênh lệch cho người mua, thuê mua nhà ở.
4. Trường hợp chủ đầu tư sử dụng giá trúng đấu thầu thì không phải thực hiện thẩm định lại giá bán, giá thuê mua nhà ở xã hội theo quy định tại Điều này.
Điều 36. Việc miễn, giảm tiền thuê nhà ở xã hội thuộc tài sản công
1. Việc miễn, giảm tiền thuê nhà ở xã hội thuộc tài sản công thực hiện theo nguyên tắc sau đây:
a) Người được miễn, giảm tiền thuê nhà ở phải là người có tên trong Hợp đồng thuê nhà ở (bao gồm người đại diện đứng tên trong Hợp đồng và các thành viên khác có tên trong Hợp đồng thuê nhà);
b) Việc miễn, giảm tiền thuê nhà ở chỉ xét một lần cho người thuê;
c) Trường hợp một người thuộc đối tượng được hưởng nhiều chế độ miễn, giảm tiền thuê nhà ở thì chỉ được hưởng mức cao nhất;
d) Trường hợp trong một hộ gia đình có từ hai người trở lên đang thuê nhà ở thuộc diện được giảm tiền thuê thì được miễn tiền thuê nhà ở.
2. Đối tượng được miễn, giảm tiền thuê nhà ở xã hội thuộc tài sản công bao gồm:
a) Người có công với cách mạng, thân nhân liệt sĩ thuộc trường hợp được hỗ trợ cải thiện nhà ở theo quy định của Pháp lệnh Ưu đãi người có công với cách mạng;
b) Hộ gia đình nghèo, cận nghèo theo quy định về chuẩn nghèo, cận nghèo theo quy định của pháp luật;
c) Đối tượng bảo trợ xã hội hưởng trợ cấp xã hội hàng tháng theo quy định của pháp luật thuộc diện được hưởng chính sách hỗ trợ về nhà ở xã hội.
3. Mức miễn, giảm tiền thuê nhà ở
a) Đối tượng quy định tại điểm a khoản 2 Điều này được giảm tiền thuê nhà theo tỷ lệ quy định tại các văn bản hướng dẫn biện pháp thi hành Pháp lệnh Ưu đãi người có công với cách mạng;
b) Đối tượng quy định tại điểm b, điểm c khoản 2 Điều này được giảm 60% tiền thuê nhà ở phải nộp; riêng đối với hộ gia đình nghèo, cận nghèo thì mức giảm này được tính cho cả hộ gia đình (không tính cho từng thành viên trong hộ gia đình).
Mục 7. TRÌNH TỰ, THỦ TỤC BÁN, CHO THUÊ MUA, CHO THUÊ NHÀ Ở XÃ HỘI
Điều 37. Trình tự, thủ tục cho thuê, cho thuê mua nhà ở xã hội do Nhà nước đầu tư xây dựng bằng vốn đầu tư công, nguồn tài chính công đoàn
1. Trình tự, thủ tục cho thuê nhà ở xã hội do Nhà nước đầu tư xây dựng bằng vốn đầu tư công thực hiện theo quy định sau:
a) Người có nhu cầu thuê nhà ở xã hội do Nhà nước đầu tư xây dựng bằng vốn đầu tư công nộp 01 bộ hồ sơ trực tiếp cho cơ quan quản lý nhà ở cấp tỉnh hoặc đơn vị quản lý vận hành nhà ở theo phân cấp của địa phương. Hồ sơ bao gồm đơn đăng ký thuê nhà ở xã hội theo Mẫu số 01 tại Phụ lục II của Nghị định này, giấy tờ chứng minh đối tượng theo hướng dẫn của Bộ trưởng Bộ Xây dựng, Bộ trưởng Bộ Quốc phòng, Bộ trưởng Bộ Công an và giấy tờ chứng minh thuộc đối tượng được miễn, giảm tiền thuê nhà ở xã hội (nếu có).
Đối tượng quy định tại khoản 5 Điều 76 của Luật Nhà ở trong trường hợp không có Hợp đồng lao động thì phải có xác nhận về đối tượng của Ủy ban nhân dân cấp xã theo mẫu hướng dẫn của Bộ trưởng Bộ Xây dựng. Đối tượng quy định tại khoản 10 Điều 76 của Luật Nhà ở phải có xác nhận về đối tượng của Ủy ban nhân dân cấp huyện nơi bị thu hồi đất và phải giải tỏa, phá dỡ nhà ở theo mẫu hướng dẫn của Bộ trưởng Bộ Xây dựng.
b) Cơ quan tiếp nhận hồ sơ có trách nhiệm kiểm tra và phân loại hồ sơ; nếu hồ sơ không có đủ các giấy tờ theo quy định thì phải trả lời ngay để người nộp đơn bổ sung giấy tờ. Trường hợp đơn vị quản lý vận hành nhà ở tiếp nhận hồ sơ thì sau khi kiểm tra và phân loại hồ sơ, đơn vị này phải có báo cáo Danh sách người đủ điều kiện thuê nhà ở kèm theo hồ sơ hợp lệ gửi cơ quan quản lý nhà ở xem xét, kiểm tra;
c) Trên cơ sở Danh sách người đủ điều kiện thuê nhà ở kèm theo hồ sơ hợp lệ, thì cơ quan quản lý nhà ở tổ chức lập Danh sách người được thuê nhà ở xã hội và có tờ trình kèm theo Danh sách báo cáo cơ quan đại diện chủ sở hữu quyết định.
Trường hợp tổng số hồ sơ đăng ký thuê (hợp lệ) bằng hoặc ít hơn tổng số căn nhà ở xã hội để cho thuê thì Danh sách người được thuê là Danh sách người đủ điều kiện thuê đã đăng ký.
Trường hợp tổng số hồ sơ đăng ký thuê (hợp lệ) nhiều hơn tổng số căn nhà ở xã hội để cho thuê thì việc xét duyệt, lựa chọn đối tượng được thuê thực hiện theo hình thức bốc thăm (trực tiếp hoặc trực tuyến) do cơ quan quản lý nhà ở cấp tỉnh hoặc đơn vị quản lý vận hành nhà ở theo phân cấp của địa phương tổ chức việc bốc thăm, trường hợp đơn vị quản lý vận hành nhà ở thực hiện thì cơ quan quản lý nhà ở cấp tỉnh giám sát bốc thăm. Việc bốc thăm phải có biên bản kết quả bốc thăm.
Trường hợp dự án có đối tượng ưu tiên theo quy định tại điểm đ khoản 1 Điều 79 của Luật Nhà ở thì được thuê nhà ở xã hội mà không phải bốc thăm với tỷ lệ nhất định. Số lượng căn nhà ở xã hội để cho thuê dành cho các đối tượng ưu tiên này (không thông qua bốc thăm) được xác định bằng tỷ lệ giữa tổng số hồ sơ của 05 nhóm đối tượng ưu tiên này trên tổng số hồ sơ đăng ký nhân với tổng số căn nhà ở xã hội để cho thuê. Danh sách của nhóm đối tượng ưu tiên được sắp xếp theo thứ tự theo thời điểm nộp hồ sơ. Các căn nhà ở xã hội để cho thuê dành cho các đối tượng ưu tiên được bố trí theo thứ tự của Danh sách ưu tiên cho đến khi hết, các đối tượng còn lại được tiếp tục tham gia bốc thăm;
d) Trên cơ sở báo cáo của cơ quan quản lý nhà ở, cơ quan đại diện chủ sở hữu nhà ở xem xét, ban hành quyết định phê duyệt Danh sách người được thuê nhà ở và gửi cho đơn vị quản lý vận hành nhà ở để ký Hợp đồng thuê nhà với người được thuê nhà ở;
đ) Thời gian giải quyết việc cho thuê nhà ở xã hội là không quá 30 ngày, kể từ ngày đơn vị tiếp nhận hồ sơ nhận đủ hồ sơ hợp lệ;
e) Căn cứ điều kiện của địa phương, Ủy ban nhân dân cấp tỉnh có thể quy định việc ưu tiên các đối tượng được thuê nhà ở xã hội do Nhà nước đầu tư xây dựng bằng vốn đầu tư công trên địa bàn.
2. Trình tự, thủ tục cho thuê nhà ở xã hội được đầu tư xây dựng bằng nguồn tài chính công đoàn thực hiện theo quy định sau đây:
a) Công nhân, người lao động thuộc đối tượng được hưởng chính sách hỗ trợ về nhà ở xã hội có nhu cầu thuê nhà ở xã hội do Tổng Liên đoàn Lao động Việt Nam đầu tư xây dựng bằng nguồn tài chính công đoàn nộp 01 bộ hồ sơ trực tiếp cho tổ chức được giao quản lý, vận hành nhà ở của Tổng Liên đoàn Lao động Việt Nam hoặc Liên đoàn Lao động tỉnh tại địa phương. Hồ sơ bao gồm đơn đăng ký thuê nhà ở xã hội theo Mẫu số 01 tại Phụ lục II của Nghị định này, giấy tờ chứng minh đối tượng theo quy định;
b) Cơ quan tiếp nhận hồ sơ có trách nhiệm kiểm tra và phân loại hồ sơ; nếu hồ sơ không có đủ các giấy tờ theo quy định thì phải trả lời ngay để người nộp đơn bổ sung giấy tờ. Trường hợp Liên đoàn Lao động tỉnh tại địa phương tiếp nhận hồ sơ thì sau khi kiểm tra và phân loại hồ sơ, đơn vị này lập Danh sách người đủ điều kiện thuê nhà ở kèm theo hồ sơ hợp lệ gửi tổ chức được giao quản lý, vận hành nhà ở của Tổng Liên đoàn Lao động Việt Nam xem xét, kiểm tra.
Trường hợp tổng số hồ sơ đăng ký thuê (hợp lệ) bằng hoặc ít hơn tổng số căn nhà ở xã hội để cho thuê thì Danh sách người được thuê là Danh sách người đủ điều kiện thuê đã đăng ký.
Trường hợp tổng số hồ sơ đăng ký thuê (hợp lệ) nhiều hơn tổng số căn nhà ở xã hội để cho thuê thì việc xét duyệt, lựa chọn đối tượng được thuê thực hiện theo hình thức bốc thăm trực tiếp do cơ quan quản lý nhà ở của Tổng Liên đoàn Lao động Việt Nam thực hiện. Việc bốc thăm phải có biên bản kết quả bốc thăm. Trường hợp dự án có đối tượng ưu tiên theo quy định tại điểm đ khoản 1 Điều 79 của Luật Nhà ở và đoàn viên công đoàn thì được thuê nhà ở xã hội mà không phải bốc thăm.
c) Trên cơ sở Danh sách người đủ điều kiện thuê nhà ở kèm theo hồ sơ hợp lệ, thì tổ chức được giao quản lý, vận hành nhà ở của Tổng Liên đoàn Lao động Việt Nam xét duyệt và ký Hợp đồng thuê nhà với người được thuê nhà ở;
d) Thời gian giải quyết việc cho thuê nhà ở xã hội là không quá 10 ngày, kể từ ngày tổ chức được giao quản lý, vận hành nhà ở của Tổng Liên đoàn Lao động Việt Nam nhận đủ hồ sơ hợp lệ.
3. Trình tự, thủ tục cho thuê mua nhà ở xã hội do Nhà nước đầu tư xây dựng bằng vốn đầu tư công được thực hiện theo quy định sau:
a) Người có nhu cầu thuê mua nhà ở xã hội nộp 01 bộ hồ sơ trực tiếp cho Sở Xây dựng địa phương hoặc đơn vị quản lý vận hành nhà ở theo phân cấp của địa phương. Hồ sơ bao gồm đơn đăng ký thuê mua nhà ở xã hội theo Mẫu số 01 tại Phụ lục II của Nghị định này, các giấy tờ chứng minh đối tượng và điều kiện được hưởng chính sách hỗ trợ về nhà ở xã hội theo quy định.
Đối tượng quy định tại khoản 5 Điều 76 của Luật Nhà ở trong trường hợp không có Hợp đồng lao động thì phải có xác nhận về đối tượng của Ủy ban nhân dân cấp xã theo mẫu hướng dẫn của Bộ trưởng Bộ Xây dựng. Đối tượng quy định tại khoản 10 Điều 76 của Luật Nhà ở phải có xác nhận về đối tượng của Ủy ban nhân dân cấp huyện nơi bị thu hồi đất và phải giải tỏa, phá dỡ nhà ở theo mẫu hướng dẫn của Bộ trưởng Bộ Xây dựng.
b) Trình tự thuê mua thực hiện theo quy định tại các điểm b, c, d và đ khoản 1 Điều này.
Điều 38. Trình tự, thủ tục bán, cho thuê mua, cho thuê nhà ở xã hội được đầu tư xây dựng theo dự án và không sử dụng vốn đầu tư công, nguồn tài chính công đoàn
1. Trình tự, thủ tục bán nhà ở xã hội thực hiện như sau:
a) Sau 30 ngày, kể từ khi khởi công dự án, chủ đầu tư dự án đầu tư xây dựng nhà ở xã hội có trách nhiệm cung cấp các thông tin liên quan đến dự án (tên dự án; chủ đầu tư dự án; địa điểm xây dựng dự án; địa chỉ liên lạc, địa chỉ nộp đơn đăng ký; tiến độ thực hiện dự án; quy mô dự án; số lượng căn hộ (trong đó bao gồm: Số căn hộ để bán; diện tích căn hộ; giá bán (tạm tính) đối với từng loại căn hộ; thời gian bắt đầu và kết thúc nhận đơn đăng ký và các nội dung khác có liên quan) để công bố công khai tại Trang Thông tin điện tử của Sở Xây dựng, Ủy ban nhân dân cấp huyện tại địa phương nơi có dự án; đăng tải ít nhất 01 lần tại báo là cơ quan ngôn luận của chính quyền địa phương và công bố tại Sàn giao dịch bất động sản của chủ đầu tư (nếu có) để người dân biết, chuẩn bị hồ sơ đăng ký mua nhà ở xã hội và thực hiện việc theo dõi, giám sát;
b) Trước khi thực hiện việc bán, chủ đầu tư dự án đầu tư xây dựng nhà ở xã hội có trách nhiệm báo cáo bằng văn bản về tổng số căn hộ dự kiến bán và thời điểm dự kiến bắt đầu nhận hồ sơ, bắt đầu bán để Sở Xây dựng biết, kiểm tra và công bố công khai tại Trang Thông tin điện tử của Sở Xây dựng tại địa phương nơi có dự án trong thời gian tối thiểu là 30 ngày kể từ thời điểm bắt đầu nhận hồ sơ đăng ký mua nhà ở tại dự án;
c) Trên cơ sở các thông tin về các dự án nhà ở xã hội trên địa bàn đã được công bố theo quy định tại khoản 1 Điều này; hộ gia đình, cá nhân có nhu cầu nộp hồ sơ mua nhà ở xã hội trực tiếp cho chủ đầu tư dự án. Hồ sơ bao gồm đơn mua nhà ở xã hội theo Mẫu số 01 quy định tại Phụ lục II của Nghị định này và giấy tờ chứng minh đối tượng và điều kiện được hưởng chính sách hỗ trợ về nhà ở xã hội. Đối tượng quy định tại khoản 5 Điều 76 của Luật Nhà ở trong trường hợp không có Hợp đồng lao động thì phải có xác nhận về đối tượng của Ủy ban nhân dân cấp xã theo mẫu hướng dẫn của Bộ trưởng Bộ Xây dựng. Đối tượng quy định tại khoản 10 Điều 76 của Luật Nhà ở phải có xác nhận về đối tượng của Ủy ban nhân dân cấp huyện nơi bị thu hồi đất và phải giải tỏa, phá dỡ nhà ở theo mẫu hướng dẫn của Bộ trưởng Bộ Xây dựng.
d) Sau khi tập hợp đầy đủ giấy tờ đăng ký của các đối tượng có nhu cầu, chủ đầu tư dự án đầu tư xây dựng nhà ở xã hội có trách nhiệm xem xét từng hồ sơ đăng ký, đối chiếu với các quy định về đối tượng, điều kiện theo quy định tại Điều 76 và Điều 78 của Luật Nhà ở, mẫu giấy tờ theo hướng dẫn của Bộ trưởng Bộ Xây dựng, Bộ trưởng Bộ Quốc phòng và Bộ trưởng Bộ Công an để lập Danh sách đối tượng được mua nhà ở xã hội thuộc dự án do mình làm chủ đầu tư.
Trường hợp người có nhu cầu đăng ký mua nhà ở xã hội đã nộp hồ sơ hợp lệ theo quy định cho chủ đầu tư, nhưng trong dự án không còn quỹ nhà để giải quyết thì chủ đầu tư dự án có trách nhiệm ghi rõ lý do và gửi trả lại hồ sơ (bao gồm cả Giấy tờ chứng minh đối tượng và điều kiện để được mua nhà ở xã hội mà người đăng ký đã nộp) để người đó biết và nộp hồ sơ tại dự án khác.
Khi người có nhu cầu nộp hồ sơ, người nhận hồ sơ phải ghi Giấy biên nhận. Nếu hồ sơ chưa hợp lệ (chưa đúng theo quy định) thì người nhận hồ sơ có trách nhiệm ghi rõ lý do chưa giải quyết và trả lại cho người nộp hồ sơ để thực hiện việc bổ sung, hoàn thiện.
Trong quá trình nhận hồ sơ đăng ký mua nhà ở xã hội, chủ đầu tư dự án đầu tư xây dựng nhà ở xã hội có trách nhiệm niêm yết công khai Danh sách căn hộ đã bán (đã ký Hợp đồng), Danh sách căn hộ còn lại tại nơi tiếp nhận hồ sơ đăng ký mua nhà ở xã hội, trụ sở làm việc của chủ đầu tư và tại Sàn giao dịch bất động sản của chủ đầu tư (nếu có) để người dân có nhu cầu biết và đăng ký mua nhà ở xã hội tại dự án.
đ) Chủ đầu tư dự án đầu tư xây dựng nhà ở xã hội có trách nhiệm gửi Danh sách các đối tượng dự kiến được giải quyết mua nhà ở xã hội theo thứ tự ưu tiên theo nguyên tắc quy định tại khoản 2 Điều này về Sở Xây dựng địa phương nơi có dự án để tổ chức kiểm tra nhằm xác định đúng đối tượng được mua nhà ở xã hội và loại trừ việc người đăng ký mua nhà ở xã hội tại dự án này đã mua hoặc thuê mua nhà ở xã hội, đã được Nhà nước hỗ trợ nhà ở dưới mọi hình thức tại tỉnh, thành phố trực thuộc Trung ương nơi có dự án nhà ở xã hội đó. Cơ quan có thẩm quyền cấp Giấy chứng nhận quyền sử dụng đất, quyền sở hữu tài sản gắn liền với đất tại địa phương nơi có dự án đầu tư xây dựng nhà ở xã hội có trách nhiệm phối hợp với Sở Xây dựng địa phương nơi có dự án để kiểm tra thông tin theo thẩm quyền và chịu trách nhiệm về kết quả xác minh. Tại thời điểm tiếp nhận hồ sơ, kiểm tra đối tượng, chưa yêu cầu chủ đầu tư phải có kết quả thẩm định giá bán của cơ quan có thẩm quyền.
Trường hợp đối tượng dự kiến được mua nhà ở xã hội theo Danh sách do chủ đầu tư lập đã mua hoặc thuê mua nhà ở xã hội, đã được Nhà nước hỗ trợ nhà ở dưới mọi hình thức tại tỉnh, thành phố trực thuộc Trung ương nơi có dự án nhà ở xã hội đó hoặc đã có nhà ở thuộc sở hữu của mình nhưng không đảm bảo điều kiện quy định tại khoản 2 Điều 29 của Nghị định này thì Sở Xây dựng có trách nhiệm gửi văn bản thông báo cho chủ đầu tư biết để xóa tên trong Danh sách được mua nhà ở xã hội.
Sau 20 ngày kể từ khi nhận được Danh sách, nếu Sở Xây dựng không có ý kiến phản hồi thì chủ đầu tư thông báo cho các đối tượng được mua nhà ở xã hội trong dự án của mình đến để thỏa thuận, thống nhất và ký Hợp đồng.
Trường hợp người có nhu cầu mua nhà ở xã hội đáp ứng đủ điều kiện và đã được chủ đầu tư dự án xem xét, đưa vào Danh sách mua nhà ở xã hội của dự án đó, nhưng người đó không còn có nhu cầu mua nhà ở xã hội thì chủ đầu tư dự án gửi trả lại hồ sơ (bao gồm cả giấy tờ chứng minh đối tượng và điều kiện để được mua nhà ở xã hội) cho người đã nộp hồ sơ.
e) Mỗi hộ gia đình, cá nhân có nhu cầu mua nhà ở xã hội chỉ được nộp giấy tờ đăng ký tại một dự án. Trong trường hợp dự án không còn quỹ nhà để bán thì chủ đầu tư nêu rõ lý do và trả lại hồ sơ để người có nhu cầu nộp tại dự án khác.
Bên mua nhà ở xã hội thanh toán trực tiếp với chủ đầu tư hoặc thực hiện thông qua ngân hàng do chủ đầu tư và người mua thống nhất theo thỏa thuận.
g) Chủ đầu tư chỉ được ký Hợp đồng mua bán nhà ở xã hội với khách hàng khi đủ điều kiện được bán theo quy định của pháp luật về nhà ở và giá bán đã được cơ quan có thẩm quyền thẩm định, phê duyệt theo quy định.
Sau khi ký Hợp đồng mua bán nhà ở xã hội, chủ đầu tư dự án có trách nhiệm lập đầy đủ Danh sách các đối tượng (bao gồm cả các thành viên trong hộ) đã được mua nhà ở xã hội gửi về Sở Xây dựng địa phương nơi có dự án để công bố công khai trong thời hạn 30 ngày kể từ ngày nhận được Danh sách này và lưu trữ để phục vụ cho công tác quản lý, kiểm tra (hậu kiểm). Sở Xây dựng có trách nhiệm cập nhật Danh sách các đối tượng được mua nhà ở xã hội lên Trang Thông tin điện tử của Sở Xây dựng theo quy định tại Điều 44 của Nghị định này và gửi Danh sách này (bản cứng và file điện tử) về Bộ Xây dựng để theo dõi. Đồng thời, chủ đầu tư dự án có trách nhiệm công bố công khai Danh sách này tại trụ sở làm việc của chủ đầu tư và tại Sàn giao dịch bất động sản hoặc Trang Thông tin điện tử về nhà ở xã hội của chủ đầu tư (nếu có).
2. Trường hợp tổng số hồ sơ đăng ký mua, thuê mua, thuê (hợp lệ) bằng hoặc ít hơn tổng số căn hộ do chủ đầu tư công bố cho từng loại sản phẩm thì việc lựa chọn căn hộ thực hiện theo hình thức thỏa thuận giữa chủ đầu tư và khách hàng.
Trường hợp tổng số hồ sơ đăng ký mua, thuê mua, thuê (hợp lệ) nhiều hơn tổng số căn hộ do chủ đầu tư công bố cho từng loại sản phẩm thì việc xét duyệt, lựa chọn đối tượng thực hiện theo hình thức bốc thăm (trực tiếp hoặc trực tuyến) do chủ đầu tư tổ chức, có đại diện Sở Xây dựng địa phương nơi có dự án được phê duyệt tham gia giám sát. Việc bốc thăm phải có biên bản kết quả bốc thăm.
Trường hợp dự án có đối tượng ưu tiên theo quy định tại điểm đ khoản 1 Điều 79 của Luật Nhà ở thì được ưu tiên mua, thuê mua, thuê nhà ở xã hội mà không phải bốc thăm với tỷ lệ nhất định. Số lượng căn hộ (căn nhà) dành cho các đối tượng ưu tiên này (không thông qua bốc thăm) được xác định bằng tỷ lệ giữa tổng số hồ sơ của 05 nhóm đối tượng ưu tiên này trên tổng số hồ sơ đăng ký nhân với tổng số căn hộ (căn nhà) nhà ở xã hội của dự án. Danh sách của nhóm đối tượng ưu tiên được sắp xếp theo thứ tự theo thời điểm nộp hồ sơ. Các căn hộ dành cho các đối tượng ưu tiên được bố trí theo thứ tự của Danh sách ưu tiên cho đến khi hết, các đối tượng còn lại được tiếp tục tham gia bốc thăm.
3. Trình tự, thủ tục cho thuê mua nhà ở xã hội được thực hiện theo quy định tại khoản 1 và khoản 2 Điều này.
4. Trình tự, thủ tục cho thuê nhà ở xã hội được thực hiện theo quy định tại khoản 1 Điều này và không phải nộp các giấy tờ chứng minh điều kiện về nhà ở và thu nhập. Trường hợp thuê nhà ở xã hội thuộc tài sản công thì người thuê nộp các giấy tờ chứng minh thuộc đối tượng được miễn, giảm tiền thuê nhà ở xã hội (nếu có).
Trường hợp đối tượng dự kiến được thuê đã thuê nhà ở xã hội khác tại cùng thời điểm thì Sở Xây dựng có trách nhiệm gửi văn bản thông báo cho chủ đầu tư biết để xóa tên trong Danh sách được thuê nhà ở xã hội.
Điều 39. Trình tự, thủ tục bán lại nhà ở xã hội trong thời hạn 5 năm
Việc bán lại nhà ở xã hội trong thời hạn 5 năm theo quy định tại điểm đ khoản 1 Điều 89 của Luật Nhà ở thực hiện như sau:
1. Trường hợp bán lại nhà ở xã hội cho chủ đầu tư dự án thì người bán lại phải thực hiện thủ tục thanh lý Hợp đồng với chủ đầu tư. Việc bán lại thực hiện theo quy định tại điểm đ khoản 1 Điều 89 của Luật Nhà ở và quy định của pháp luật về kinh doanh bất động sản và pháp luật về đất đai.
2. Trường hợp bán lại nhà ở xã hội cho đối tượng khác thuộc diện được mua, thuê mua nhà ở xã hội thực hiện theo quy định sau:
a) Người mua lại nhà ở xã hội phải có các giấy tờ xác nhận về đối tượng và điều kiện theo hướng dẫn của Bộ trưởng Bộ Xây dựng, Bộ trưởng Bộ Quốc phòng và Bộ trưởng Bộ Công an và nộp hồ sơ đến Sở Xây dựng địa phương nơi có dự án để xác định đúng đối tượng, điều kiện theo quy định tại điểm đ khoản 1 Điều 38 Nghị định này;
b) Người bán lại phải làm thủ tục thanh lý Hợp đồng với chủ đầu tư dự án (nếu có). Việc bán lại thực hiện theo quy định tại điểm đ khoản 1 Điều 89 của Luật Nhà ở và quy định của pháp luật về kinh doanh bất động sản và pháp luật về đất đai.
Điều 40. Trình tự, thủ tục bán lại nhà ở xã hội sau thời hạn 5 năm
Trình tự, thủ tục bán lại nhà ở xã hội sau thời hạn 5 năm theo quy định tại điểm e khoản 1 Điều 89 của Luật Nhà ở thực hiện theo quy định sau:
1. Bên bán đã có Giấy chứng nhận quyền sử dụng đất, quyền sở hữu tài sản gắn liền với đất.
2. Việc bán lại thực hiện theo quy định của pháp luật về kinh doanh bất động sản và pháp luật về đất đai.
Điều 41. Việc nộp tiền sử dụng đất của chủ đầu tư dự án khi bán lại nhà ở xã hội sau 10 năm cho thuê
Việc nộp tiền sử dụng đất của chủ đầu tư dự án khi bán lại nhà ở xã hội sau 10 năm cho thuê theo quy định tại khoản 9 Điều 88 của Luật Nhà ở thực hiện theo quy định của pháp luật về đất đai.
Điều 42. Việc nộp tiền sử dụng đất khi bán lại nhà ở xã hội sau thời hạn 5 năm
Việc nộp tiền sử dụng đất khi bán lại nhà ở xã hội là nhà ở riêng lẻ sau thời hạn 5 năm quy định tại điểm e khoản 1 Điều 89 của Luật Nhà ở thì ngoài các khoản phải nộp theo quy định của pháp luật, bên bán phải nộp 50% tiền sử dụng đất theo quy định của pháp luật về đất đai. Thời điểm tính tiền sử dụng đất là thời điểm nộp hồ sơ hợp lệ để công nhận quyền sử dụng đất theo quy định của pháp luật về đất đai.
Điều 43. Trình tự, thủ tục cho thuê nhà ở xã hội do cá nhân đầu tư xây dựng
Trình tự, thủ tục cho thuê nhà ở xã hội do cá nhân đầu tư xây dựng nhà ở xã hội thực hiện như sau:
1. Cá nhân đầu tư xây dựng nhà ở xã hội có trách nhiệm báo cáo Ủy ban nhân dân cấp xã nơi xây dựng nhà ở (báo cáo bằng văn bản) về địa điểm xây dựng; tiến độ thực hiện; quy mô, số lượng căn hộ, trong đó bao gồm: Số căn hộ để cho thuê; thời gian bắt đầu cho thuê, để Ủy ban nhân dân cấp xã công bố công khai thông tin tại trụ sở của xã, phường để chính quyền địa phương và người dân biết để thực hiện theo dõi, giám sát.
2. Trên cơ sở các thông tin về nhà ở xã hội trên địa bàn đã được công bố theo quy định; người có nhu cầu đăng ký thuê nhà ở xã hội nộp giấy xác nhận đối tượng được hưởng chính sách hỗ trợ về nhà ở xã hội theo hướng dẫn của Bộ trưởng Bộ Xây dựng, Bộ trưởng Bộ Quốc phòng, Bộ trưởng Bộ Công an cho cá nhân đầu tư xây dựng nhà ở xã hội.
3. Sau khi tập hợp đầy đủ hồ sơ đăng ký của các đối tượng có nhu cầu, cá nhân đầu tư xây dựng nhà ở xã hội ký Hợp đồng thuê nhà ở với người thuê nhà. Đồng thời có trách nhiệm gửi Ủy ban nhân dân cấp xã Danh sách đối tượng thuê nhà ở xã hội để phục vụ cho công tác quản lý, kiểm tra (hậu kiểm).
Điều 44. Việc cập nhật thông tin các đối tượng được mua, thuê mua, thuê nhà ở xã hội
1. Sau 15 ngày kể từ khi nhận được Danh sách đối tượng đã ký Hợp đồng mua, thuê mua, thuê nhà ở xã hội theo quy định tại điểm g khoản 1 Điều 38 của Nghị định này, Sở Xây dựng địa phương nơi có dự án có trách nhiệm kiểm tra, cập nhật Danh sách các đối tượng được mua, thuê mua, thuê nhà ở xã hội lên Trang Thông tin điện tử của Sở Xây dựng theo các nội dung quy định tại khoản 2 Điều này.
2. Nội dung thông tin cập nhật:
a) Họ và tên;
b) Căn cước công dân/số định danh cá nhân;
c) Địa chỉ nơi đăng ký thường trú/đăng ký tạm trú;
d) Những người có tên trong hộ gia đình (nếu đối tượng là hộ gia đình);
đ) Tên dự án đầu tư xây dựng nhà ở xã hội.
3. Trường hợp người có nhu cầu mua, thuê mua, thuê nhà ở xã hội đã được chủ đầu tư dự án ký Hợp đồng, nhưng thuộc trường hợp chấm dứt Hợp đồng thì chủ đầu tư dự án đó có trách nhiệm báo cáo Sở Xây dựng để cập nhật lại Danh sách đối tượng được mua, thuê mua, thuê nhà ở xã hội trên Trang Thông tin điện tử của Sở Xây dựng và Cổng thông tin điện tử của Bộ Xây dựng.
4. Trường hợp chưa có cơ sở dữ liệu thông tin các đối tượng được mua, thuê mua, thuê nhà ở xã hội trên Cổng thông tin điện tử của Bộ Xây dựng, Sở Xây dựng công bố Danh sách này trên Trang Thông tin điện tử của Sở Xây dựng, đồng thời gửi về Bộ Xây dựng (bản cứng và file điện tử) theo các nội dung quy định tại khoản 2 Điều này.
Điều 45. Quyền, nghĩa vụ và trách nhiệm của bên bán, cho thuê mua, cho thuê và bên mua, thuê mua, thuê nhà ở xã hội
Quyền, nghĩa vụ và trách nhiệm của bên bán, cho thuê mua, cho thuê và bên mua, thuê mua, thuê nhà ở xã hội được thực hiện theo pháp luật về dân sự, pháp luật về nhà ở và được ghi rõ trong Hợp đồng mua bán, thuê mua, thuê nhà ở xã hội, bao gồm các nội dung sau:
1. Đối với bên bán, cho thuê mua, cho thuê nhà ở xã hội:
a) Phải thực hiện nghiêm chỉnh các điều khoản đã thỏa thuận trong Hợp đồng mua bán, cho thuê mua, cho thuê nhà ở đã ký kết;
b) Được quyền chấm dứt Hợp đồng mua bán, thuê mua, thuê nhà ở xã hội theo thỏa thuận trong Hợp đồng đã ký;
c) Tổ chức thành lập Ban quản trị và xây dựng Bản nội quy quản lý, sử dụng nhà chung cư theo hướng dẫn của Bộ trưởng Bộ Xây dựng đối với nhà ở xã hội là nhà chung cư;
d) Đối với trường hợp cho thuê nhà ở xã hội, bên cho thuê được quyền thu hồi lại nhà ở cho thuê khi chấm dứt Hợp đồng thuê nhà ở, nhưng phải thông báo cho bên thuê biết trước ít nhất một tháng và phải trả lại cho bên thuê tiền đặt cọc, tiền thuê nhà đã trả trước (nếu có) theo thỏa thuận trong Hợp đồng thuê nhà;
đ) Thu các khoản phí dịch vụ liên quan đến quản lý, sử dụng nhà ở xã hội theo đúng thỏa thuận trong Hợp đồng đã ký và Quy chế quản lý, sử dụng nhà chung cư trong trường hợp nhà ở xã hội là nhà chung cư;
e) Phải chấp hành quyết định của cơ quan có thẩm quyền về việc xử lý các hành vi vi phạm và giải quyết các khiếu nại, tranh chấp liên quan đến việc mua bán, cho thuê mua, cho thuê nhà ở xã hội;
g) Thực hiện các quyền và nghĩa vụ khác theo quy định của pháp luật.
2. Đối với bên mua, thuê mua, thuê nhà ở xã hội:
a) Được quyền chấm dứt Hợp đồng mua bán, thuê mua, thuê nhà ở xã hội theo thỏa thuận trong Hợp đồng đã ký kết;
b) Phải thực hiện các điều khoản đã thỏa thuận trong Hợp đồng mua bán, thuê mua, thuê nhà ở xã hội đã ký kết và Quy chế quản lý, sử dụng nhà chung cư trong trường hợp nhà ở xã hội là nhà chung cư;
c) Bên mua, thuê mua, thuê phải chấp hành quyết định của cơ quan có thẩm quyền về việc xử lý các hành vi vi phạm và giải quyết các khiếu nại, tranh chấp liên quan đến việc mua bán, thuê mua, thuê nhà ở xã hội và thực hiện các quyền và nghĩa vụ khác theo quy định của pháp luật;
d) Đối với nhà ở xã hội để cho thuê, bên thuê có trách nhiệm phải trả lại nhà cho bên cho thuê theo thỏa thuận trong Hợp đồng thuê nhà đã ký kết; trường hợp bên thuê đơn phương chấm dứt Hợp đồng trước thời hạn thì phải thông báo cho bên cho thuê biết trước ít nhất một tháng; nếu bên thuê đã trả trước tiền thuê nhà ở cho cả thời hạn thuê theo Hợp đồng thì được nhận lại số tiền thuê đã thanh toán của thời hạn thuê còn lại và nhận lại khoản tiền đã đặt cọc (nếu có), trừ trường hợp đơn phương chấm dứt Hợp đồng do một bên vi phạm dẫn đến phải xử lý tiền đặt cọc theo Bộ luật Dân sự; bên thuê được quyền mua nhà ở đang thuê nếu chủ sở hữu thực hiện bán nhà ở theo quy định tại Nghị định này và pháp luật về nhà ở có liên quan; không được tự ý bảo trì, cải tạo nhà ở cho thuê, sử dụng nhà ở thuê vào mục đích khác, cho người khác thuê lại hoặc cho mượn nhà ở; không được chuyển nhượng Hợp đồng thuê nhà ở hoặc hoán đổi nhà ở thuê cho người khác nếu không được sự đồng ý của bên cho thuê;
đ) Trường hợp hết hạn Hợp đồng mà bên thuê vẫn thuộc đối tượng và đủ điều kiện được thuê nhà ở xã hội thì các bên thỏa thuận để ký tiếp Hợp đồng thuê nhà ở; trước khi hết hạn Hợp đồng thuê ba tháng, nếu bên thuê vẫn còn nhu cầu thuê nhà ở và không vi phạm các trường hợp thuộc diện phải chấm dứt Hợp đồng thuê nhà ở theo thỏa thuận trong Hợp đồng thuê nhà đã ký thì được quyền ký tiếp Hợp đồng thuê nhà ở mới hoặc được gia hạn Hợp đồng thuê nhà ở xã hội;
e) Người thuê nhà ở xã hội có trách nhiệm nộp trước cho bên cho thuê nhà một khoản tiền đặt cọc theo thỏa thuận của hai bên, nhưng tối đa không vượt quá 3 tháng, tối thiểu không thấp hơn 01 tháng tiền thuê nhà ở để bảo đảm thực hiện các nghĩa vụ của người thuê nhà.
Cho phép bên cho thuê và bên thuê nhà ở xã hội được thỏa thuận khoản tiền đặt cọc cao hơn mức nộp quy định tại khoản này nhưng không vượt quá 50% giá trị của nhà ở cho thuê. Trong trường hợp bên thuê nộp khoản tiền đặt cọc theo quy định tại khoản này thì được giảm giá cho thuê nhà ở hoặc không phải đóng tiền thuê nhà ở trong một thời hạn nhất định do hai bên thỏa thuận.
Trường hợp là các đối tượng quy định tại khoản 1, khoản 4 và khoản 11 Điều 76 của Luật Nhà ở thì không bắt buộc phải nộp tiền đặt cọc khi thuê nhà ở xã hội.
Mục 8. HỖ TRỢ CHO VAY VỐN ƯU ĐÃI CỦA NHÀ NƯỚC ĐỂ MUA, THUÊ MUA NHÀ Ở XÃ HỘI; XÂY DỰNG HOẶC CẢI TẠO, SỬA CHỮA NHÀ Ở ĐỂ THỰC HIỆN CHÍNH SÁCH NHÀ Ở XÃ HỘI
Điều 46. Nguyên tắc thực hiện chính sách vay vốn ưu đãi
1. Trường hợp một đối tượng được hưởng nhiều chính sách vay vốn ưu đãi hỗ trợ nhà ở thì chỉ được áp dụng một chính sách hỗ trợ mức cao nhất.
2. Trường hợp hộ gia đình có nhiều đối tượng được hưởng nhiều chính sách vay vốn ưu đãi thì chỉ áp dụng một chính sách vay vốn cho cả hộ gia đình.
3. Ngân hàng Chính sách xã hội hoặc các tổ chức tín dụng do Nhà nước chỉ định thực hiện việc cho vay ưu đãi hỗ trợ nhà ở xã hội, nhà ở cho lực lượng vũ trang nhân dân bảo đảm phù hợp với quy định của pháp luật về nhà ở, pháp luật về tín dụng và pháp luật có liên quan.
4. Ngân hàng Chính sách xã hội được huy động tiền gửi tiết kiệm của hộ gia đình, cá nhân trong nước có nhu cầu mua, thuê mua nhà ở xã hội, nhà ở cho lực lượng vũ trang nhân dân để cho các đối tượng này vay theo quy định tại khoản 1 Điều 48 và khoản 1 Điều 71 của Nghị định này sau một thời gian gửi tiết kiệm nhất định theo thỏa thuận với Ngân hàng Chính sách xã hội.
Điều 47. Vay vốn ưu đãi để xây dựng hoặc cải tạo, sửa chữa nhà ở theo các chương trình mục tiêu quốc gia hoặc chương trình đầu tư công về nhà ở
1. Các đối tượng quy định tại khoản 1, khoản 2 và khoản 3 Điều 76 của Luật Nhà ở được vay vốn ưu đãi hỗ trợ nhà ở để xây dựng hoặc cải tạo, sửa chữa nhà ở theo quy định cụ thể của từng chương trình mục tiêu quốc gia hoặc chương trình đầu tư công về nhà ở do cơ quan nhà nước có thẩm quyền quyết định.
2. Điều kiện vay, mức vay, thời hạn, lãi suất cho vay, chính sách xử lý nợ và bảo đảm tiền vay, gia hạn nợ được thực hiện theo quy định cụ thể tại Quyết định phê duyệt chương trình mục tiêu quốc gia hoặc chương trình đầu tư công về nhà ở tương ứng của cơ quan nhà nước có thẩm quyền.
Điều 48. Vay vốn ưu đãi để mua, thuê mua nhà ở xã hội; xây dựng hoặc cải tạo, sửa chữa nhà ở tại Ngân hàng Chính sách xã hội
1. Đối tượng quy định tại khoản 1, khoản 4, khoản 5, khoản 6, khoản 7 và khoản 8 Điều 76 của Luật Nhà ở để được vay vốn ưu đãi mua, thuê mua nhà ở xã hội thì phải đáp ứng đủ các điều kiện sau:
a) Có nguồn thu nhập và có khả năng trả nợ theo cam kết với Ngân hàng Chính sách xã hội;
b) Có Giấy đề nghị vay vốn để mua, thuê mua nhà ở xã hội;
c) Có Hợp đồng mua, thuê mua nhà ở xã hội với chủ đầu tư theo quy định của Nghị định này và của pháp luật về nhà ở;
d) Thực hiện bảo đảm tiền vay bằng tài sản hình thành từ vốn vay theo quy định của pháp luật. Ngân hàng Chính sách xã hội, chủ đầu tư và người vay vốn phải quy định rõ phương thức quản lý, xử lý tài sản bảo đảm trong Hợp đồng ba bên.
2. Đối tượng quy định tại khoản 1, khoản 2, khoản 3, khoản 4, khoản 5, khoản 6, khoản 7 và khoản 8 Điều 76 của Luật Nhà ở để được vay vốn ưu đãi để xây dựng hoặc cải tạo, sửa chữa nhà ở thì phải đáp ứng đủ các điều kiện sau:
a) Có đủ hồ sơ chứng minh về đối tượng, điều kiện theo quy định tại Điều 76, Điều 110 của Luật Nhà ở.
Ủy ban nhân dân cấp xã xác nhận điều kiện theo quy định tại điểm a khoản 4 Điều 110 của Luật Nhà ở; mẫu giấy tờ theo hướng dẫn của Bộ trưởng Bộ Xây dựng.
b) Có khả năng trả nợ theo cam kết với tổ chức tín dụng cho vay vốn;
c) Có Giấy đề nghị vay vốn để xây dựng hoặc cải tạo, sửa chữa nhà ở;
d) Có Giấy chứng nhận quyền sử dụng đất, quyền sở hữu tài sản gắn liền với đất đối với công trình nhà ở cần xây dựng hoặc cải tạo, sửa chữa;
đ) Có phương án tính toán giá thành, có giấy phép xây dựng đối với trường hợp yêu cầu phải có giấy phép xây dựng theo quy định của pháp luật về xây dựng. Trường hợp có giấy phép xây dựng có thời hạn theo quy định của pháp luật thì được xem xét cho vay vốn phù hợp với thời hạn được tồn tại của công trình;
e) Thực hiện bảo đảm tiền vay bằng giá trị quyền sử dụng đất ở và tài sản gắn liền với đất ở hoặc tài sản khác theo quy định của pháp luật.
3. Mức vốn vay:
a) Trường hợp mua, thuê mua nhà ở xã hội thì mức vốn cho vay tối đa bằng 80% giá trị Hợp đồng mua, thuê mua nhà;
b) Trường hợp xây dựng mới hoặc cải tạo, sửa chữa nhà ở thì mức vốn cho vay tối đa bằng 70% giá trị dự toán hoặc phương án sử dụng vốn, tối đa không quá 01 tỷ đồng, có căn cứ suất vốn đầu tư xây dựng, đơn giá xây dựng nhà ở của cấp có thẩm quyền và không vượt quá 70% giá trị tài sản bảo đảm tiền vay.
4.[9] Lãi suất cho vay bằng 5,4%/năm. Lãi suất nợ quá hạn bằng 130% lãi suất cho vay. Trường hợp cần thiết phải thay đổi mức lãi suất cho vay, giao Ngân hàng Chính sách xã hội chủ trì, phối hợp với Bộ Xây dựng và các cơ quan có liên quan trình Thủ tướng Chính phủ xem xét, quyết định.
5. Thời hạn vay: Thời hạn vay do ngân hàng và khách hàng thỏa thuận phù hợp với khả năng trả nợ của khách hàng và tối đa không quá 25 năm kể từ ngày giải ngân khoản vay đầu tiên.
6. Đối tượng quy định tại khoản 2, khoản 3 Điều 76 của Luật Nhà ở được mua, thuê mua nhà ở xã hội theo quy định tại khoản 1 Điều 77 của Luật Nhà ở thì được vay vốn ưu đãi theo quy định tại khoản 1, khoản 3, khoản 4 và khoản 5 Điều này.
Điều 49. Vay vốn ưu đãi để mua, thuê mua nhà ở xã hội; xây dựng hoặc cải tạo, sửa chữa nhà ở tại tổ chức tín dụng do Nhà nước chỉ định
1. Đối tượng vay vốn ưu đãi để mua, thuê mua nhà ở xã hội; xây dựng hoặc cải tạo, sửa chữa nhà ở tại các tổ chức tín dụng do Nhà nước chỉ định được quy định tại khoản 1, khoản 4, khoản 5, khoản 6, khoản 7 và khoản 8 Điều 76 và điểm a khoản 3 Điều 78 của Luật Nhà ở.
2. Tổ chức tín dụng do Nhà nước chỉ định thực hiện cho vay đối với các đối tượng quy định tại khoản 1 Điều này theo quy định cụ thể tại các văn bản do Chính phủ, Thủ tướng Chính phủ phê duyệt.
Mục 9. NGUỒN VỐN VÀ QUẢN LÝ, SỬ DỤNG NGUỒN VỐN CHO VAY ƯU ĐÃI ĐỂ THỰC HIỆN CHÍNH SÁCH NHÀ Ở XÃ HỘI
Điều 50. Nguồn vốn nhà nước hỗ trợ cho vay ưu đãi
1. Nguồn vốn cho vay ưu đãi thông qua Ngân hàng Chính sách xã hội:
a) Ngân sách nhà nước bố trí cấp 100% nguồn vốn, cấp bù chênh lệch lãi suất và phí quản lý trong kế hoạch đầu tư công trung hạn và hàng năm cho Ngân hàng Chính sách xã hội theo quy định để cho vay đối với các đối tượng quy định tại Điều 25, Điều 26, khoản 1 Điều 47, khoản 3 Điều 71 của Nghị định này;
b) Ngân sách nhà nước bố trí cấp 50% nguồn vốn trong kế hoạch đầu tư công trung hạn và hàng năm, Ngân hàng Chính sách xã hội đáp ứng 50% nguồn vốn huy động; ngân sách nhà nước cấp bù chênh lệch lãi suất và phí quản lý cho Ngân hàng Chính sách xã hội theo quy định để cho vay đối với các đối tượng quy định tại khoản 5 Điều 77 của Luật Nhà ở;
c) Nguồn vốn ủy thác từ Quỹ phát triển nhà ở địa phương (nếu có), ngân sách địa phương hỗ trợ hàng năm, vốn từ phát hành trái phiếu, công trái nhà ở và từ các nguồn hợp pháp khác theo quy định của pháp luật do Hội đồng nhân dân cấp tỉnh (đối với ngân sách cấp tỉnh), cấp huyện (đối với ngân sách cấp huyện) quyết định để thực hiện mục tiêu, kế hoạch nhà ở xã hội tại địa phương.
2. Nguồn vốn cho vay nhà ở xã hội thông qua Ngân hàng Phát triển Việt Nam:
a) Nguồn vốn cho vay từ phát hành trái phiếu do Chính phủ bảo lãnh và các nguồn vốn hợp pháp khác theo quy định của pháp luật để cho vay nhà ở xã hội theo quy định tại khoản 6 Điều 25 của Nghị định này. Nhà nước không cấp bù chênh lệch lãi suất và phí quản lý.
b) Nguồn vốn từ ngân sách nhà nước để cho vay nhà ở xã hội theo các chương trình cho vay của Chính phủ, Thủ tướng Chính phủ trong từng thời kỳ. Nhà nước cấp bù chênh lệch lãi suất và phí quản lý.
3. Nguồn vốn ưu đãi từ ngân sách nhà nước:
Căn cứ vào chương trình, kế hoạch phát triển nhà ở cấp tỉnh trong từng thời kỳ do cơ quan có thẩm quyền phê duyệt, Ủy ban nhân dân cấp tỉnh xây dựng kế hoạch đầu tư công trung hạn và hàng năm làm cơ sở để ngân sách nhà nước cấp nguồn vốn cho các tỉnh, thành phố trực thuộc Trung ương để cấp bù lãi suất cho đối tượng là chủ đầu tư xây dựng nhà ở xã hội, nhà lưu trú công nhân trong khu công nghiệp, nhà ở cho lực lượng vũ trang nhân dân và cá nhân vay vốn để xây dựng hoặc cải tạo, sửa chữa nhà ở để cho thuê theo quy định của Nghị định này vay vốn ưu đãi tại các tổ chức tín dụng. Mức lãi suất cấp bù do Thủ tướng Chính phủ quyết định theo đề nghị của Bộ Tài chính cho từng thời kỳ.
4. Nguồn vốn cho vay ưu đãi từ các tổ chức tín dụng:
a) Các tổ chức tín dụng do Nhà nước chỉ định cho vay theo quy định tại các Chương trình tín dụng do Chính phủ, Thủ tướng Chính phủ quyết định trong từng thời kỳ;
b) Chính phủ sử dụng nguồn vốn vay hỗ trợ phát triển chính thức (vay ODA), vay ưu đãi nước ngoài để cho vay lại đối với tổ chức tín dụng được chỉ định để cho vay nhà ở xã hội theo quy định của Nghị định này;
c) Trái phiếu Chính phủ, trái phiếu chính quyền địa phương.
Điều 51. Quản lý và sử dụng nguồn vốn cho vay ưu đãi
1. Việc quản lý nguồn vốn và quản lý sử dụng vốn cho vay hỗ trợ nhà ở xã hội do Ngân hàng Chính sách xã hội hoặc các tổ chức tín dụng do Nhà nước chỉ định thực hiện.
2. Việc phân loại nợ và xử lý nợ bị rủi ro tại Ngân hàng Chính sách xã hội thực hiện theo quy định về phân loại nợ và xử lý nợ bị rủi ro tại Ngân hàng Chính sách xã hội.
Mục 10. QUẢN LÝ, SỬ DỤNG, VẬN HÀNH NHÀ Ở XÃ HỘI THUỘC TÀI SẢN CÔNG
Điều 52. Quản lý, sử dụng, vận hành nhà ở xã hội thuộc tài sản công
1. Việc quản lý, sử dụng, vận hành nhà ở xã hội thuộc tài sản công được thực hiện theo quy định của pháp luật về quản lý, sử dụng nhà ở thuộc tài sản công bao gồm:
a) Cơ quan quản lý nhà ở, trách nhiệm của cơ quan quản lý nhà ở;
b) Đơn vị quản lý nhà ở và trách nhiệm của đơn vị quản lý nhà ở;
c) Quản lý tiền thu được từ cho thuê, cho thuê mua, bán nhà ở;
d) Việc quản lý, sử dụng, vận hành nhà ở thuộc tài sản công;
đ) Trình tự, thủ tục thu hồi, cưỡng chế thu hồi nhà ở thuộc tài sản công.
2. Trường hợp cần đầu tư xây dựng nhà ở xã hội, đại diện chủ sở hữu nhà ở thuộc tài sản công có thể lập Đề án bán nhà ở xã hội đang cho thuê với nội dung quy định tại Điều 53 của Nghị định này.
Trình tự, thủ tục lập, thẩm định, phê duyệt Đề án bán nhà ở xã hội thuộc tài sản công đang cho thuê thực hiện theo quy định tại Điều 54 của Nghị định này.
3. Trình tự, thủ tục bán nhà ở xã hội thuộc tài sản công sau khi Đề án được phê duyệt được thực hiện theo quy định tại khoản 3 Điều 37 của Nghị định này.
Điều 53. Nội dung cơ bản của Đề án bán nhà ở xã hội thuộc tài sản công đang cho thuê
Đề án bán nhà ở xã hội thuộc tài sản công đang cho thuê bao gồm các nội dung cơ bản sau:
1. Địa chỉ, số lượng nhà ở.
2. Lý do bán.
3. Phương án giá bán đảm bảo tính đúng, tính đủ, bảo toàn vốn đầu tư, tránh thất thoát tài sản của Nhà nước.
4. Đối tượng, điều kiện mua nhà ở.
5. Trình tự, thủ tục bán.
6. Phương thức thanh toán; thời hạn thực hiện; dự kiến số tiền thu được.
7. Phương án sử dụng tiền thu được để tái đầu tư xây dựng nhà ở xã hội khác.
Điều 54. Trình tự, thủ tục lập, phê duyệt Đề án bán nhà ở xã hội thuộc tài sản công đang cho thuê
Trình tự, thủ tục lập, phê duyệt Đề án bán nhà ở xã hội thuộc tài sản công đang cho thuê theo quy định tại khoản 2 Điều 125 của Luật Nhà ở thực hiện như sau:
1. Cơ quan đại diện chủ sở hữu phải lập Đề án bán nhà ở với các nội dung cơ bản theo quy định tại Điều 53 của Nghị định này.
2. Cơ quan đại diện chủ sở hữu gửi hồ sơ gồm Tờ trình kèm theo Đề án tới Bộ Xây dựng để thẩm định và báo cáo Thủ tướng Chính phủ xem xét, chấp thuận.
3. Trường hợp được Thủ tướng Chính phủ chấp thuận thì cơ quan đại diện chủ sở hữu phê duyệt Đề án và triển khai thực hiện theo đúng nội dung Đề án, văn bản chấp thuận của Thủ tướng Chính phủ.
4. Số tiền thu được từ bán nhà ở phải sử dụng vào đúng mục đích tái đầu tư xây dựng nhà ở xã hội; cơ quan đại diện chủ sở hữu phải báo cáo Bộ Xây dựng về việc sử dụng kinh phí này và Bộ Xây dựng có trách nhiệm kiểm tra việc sử dụng kinh phí để báo cáo Thủ tướng Chính phủ.
5. Đối với nhà ở xã hội thuộc tài sản công do Bộ Xây dựng được giao quản lý mà có nhu cầu chuyển đổi công năng, bán theo quy định tại Điều này thì phải lập Tờ trình và hồ sơ theo quy định tại khoản 1 Điều này trình Thủ tướng Chính phủ xem xét, quyết định.
Mục 11. CƯỠNG CHẾ THU HỒI NHÀ Ở XÃ HỘI KHÔNG THUỘC TÀI SẢN CÔNG
Điều 55. Trình tự, thủ tục thực hiện cưỡng chế thu hồi nhà ở xã hội
1. Việc thực hiện cưỡng chế để thu hồi nhà ở xã hội được thực hiện sau khi Quyết định thu hồi nhà ở xã hội do Ủy ban nhân dân cấp tỉnh ban hành có hiệu lực sau 30 ngày và đã được cơ quan nhà nước có thẩm quyền vận động, thuyết phục trước đó mà người có nhà ở bị thu hồi không thực hiện.
Quyết định cưỡng chế thu hồi nhà ở xã hội do Ủy ban nhân dân cấp tỉnh ban hành và được gửi đến người bị cưỡng chế thu hồi nhà ở, đồng thời niêm yết công khai tại Sở Xây dựng, trụ sở Ủy ban nhân dân cấp xã, địa điểm sinh hoạt chung của khu dân cư nơi có nhà ở bị thu hồi.
2. Trong thời hạn 10 ngày sau khi ban hành Quyết định cưỡng chế thu hồi nhà ở, Chủ tịch Ủy ban nhân dân cấp tỉnh hoặc ủy quyền cho Ủy ban nhân dân cấp huyện quyết định thành lập Ban cưỡng chế thu hồi nhà ở xã hội, bao gồm: Chủ tịch hoặc Phó Chủ tịch Ủy ban nhân dân cấp tỉnh hoặc cấp huyện là trưởng ban; đại diện các cơ quan thanh tra, xây dựng, tư pháp, tài nguyên và môi trường; chủ đầu tư dự án; đại diện Ban quản trị và các thành viên khác do Chủ tịch Ủy ban nhân dân cấp tỉnh hoặc cấp huyện quyết định.
3. Ban cưỡng chế thu hồi nhà ở xã hội vận động, thuyết phục, đối thoại với người bị cưỡng chế trong thời hạn 10 ngày; nếu người bị cưỡng chế chấp hành Quyết định cưỡng chế thì Ban cưỡng chế thu hồi lập biên bản ghi nhận sự chấp hành. Việc bàn giao nhà ở xã hội được thực hiện chậm nhất là 30 ngày kể từ ngày lập biên bản.
Trường hợp người bị cưỡng chế không chấp hành Quyết định cưỡng chế thì Ban cưỡng chế thu hồi tổ chức thực hiện cưỡng chế.
4. Ban cưỡng chế thu hồi nhà ở xã hội có quyền buộc người bị cưỡng chế và những người có liên quan phải ra khỏi nhà ở bị cưỡng chế, tự chuyển tài sản ra khỏi nhà ở bị cưỡng chế; nếu không thực hiện thì Ban cưỡng chế thu hồi có trách nhiệm di chuyển người bị cưỡng chế và người có liên quan cùng tài sản ra khỏi nhà ở bị cưỡng chế.
5. Ban cưỡng chế thu hồi nhà ở xã hội mời đại diện Ủy ban Mặt trận tổ quốc Việt Nam cấp huyện tham gia giám sát việc cưỡng chế thu hồi nhà ở xã hội.
Điều 56. Trách nhiệm của tổ chức, cá nhân trong việc thực hiện quyết định cưỡng chế thu hồi nhà ở xã hội
1. Ủy ban nhân dân cấp tỉnh hoặc cấp huyện chịu trách nhiệm tổ chức thực hiện việc cưỡng chế, giải quyết khiếu nại liên quan đến việc cưỡng chế theo quy định của pháp luật về khiếu nại; bảo đảm điều kiện, phương tiện cần thiết phục vụ cho việc cưỡng chế; bố trí kinh phí cưỡng chế thu hồi nhà ở xã hội.
2. Ban cưỡng chế thu hồi nhà ở xã hội có trách nhiệm chủ trì lập phương án cưỡng chế và dự toán kinh phí cho hoạt động cưỡng chế trình Ủy ban nhân dân cấp tỉnh hoặc cấp huyện phê duyệt; bàn giao nhà ở xã hội cho chủ đầu tư dự án nhà ở xã hội hoặc cơ quan chức năng để bố trí cho đối tượng có nhu cầu khác đủ điều kiện theo quy định.
3. Lực lượng công an có trách nhiệm bảo vệ trật tự, an toàn trong quá trình tổ chức thi hành quyết định cưỡng chế thực hiện quyết định thu hồi.
4. Ủy ban nhân dân cấp xã nơi có nhà ở xã hội bị thu hồi có trách nhiệm phối hợp với cơ quan, đơn vị có liên quan tổ chức thực hiện việc gửi Quyết định cưỡng chế thu hồi đến người bị cưỡng chế thu hồi nhà ở, niêm yết công khai quyết định cưỡng chế; tham gia thực hiện cưỡng chế; phối hợp với Ban cưỡng chế thu hồi nhà ở xã hội thực hiện niêm phong, di chuyển tài sản của người bị cưỡng chế thu hồi.
5. Cơ quan, tổ chức, cá nhân khác có liên quan chịu trách nhiệm phối hợp với Ban cưỡng chế thu hồi nhà ở xã hội thực hiện việc cưỡng chế thu hồi khi Ban cưỡng chế thu hồi nhà ở xã hội có yêu cầu.
Chương IV
VỀ NHÀ LƯU TRÚ CÔNG NHÂN TRONG KHU CÔNG NGHIỆP
Điều 57. Các giai đoạn đầu tư xây dựng dự án đầu tư xây dựng nhà lưu trú công nhân trong khu công nghiệp
1. Giai đoạn chuẩn bị đầu tư:
a) Việc đề xuất; Quyết định, chấp thuận chủ trương đầu tư; quy hoạch nhà lưu trú công nhân được thực hiện đồng bộ với dự án đầu tư hạ tầng khu công nghiệp theo pháp luật về quản lý khu công nghiệp và khu kinh tế, pháp luật về đầu tư và pháp luật khác có liên quan;
b) Việc lựa chọn chủ đầu tư dự án nhà lưu trú công nhân trong khu công nghiệp được thực hiện theo quy định của pháp luật về nhà ở. Trường hợp doanh nghiệp kinh doanh kết cấu hạ tầng khu công nghiệp trực tiếp đầu tư nhà lưu trú công nhân thì doanh nghiệp kinh doanh kết cấu hạ tầng khu công nghiệp là chủ đầu tư dự án nhà lưu trú công nhân. Trường hợp doanh nghiệp, hợp tác xã, liên hiệp hợp tác xã sản xuất trong khu công nghiệp thuê đất, thuê lại đất để đầu tư xây dựng nhà lưu trú công nhân trong khu công nghiệp thì doanh nghiệp, hợp tác xã, liên hiệp hợp tác xã sản xuất trong khu công nghiệp là chủ đầu tư dự án nhà lưu trú công nhân;
c) Việc giao đất, cho thuê đất, chuyển mục đích sử dụng đất được thực hiện theo quy định của pháp luật về đất đai;
d) Các thủ tục lập, thẩm định, phê duyệt dự án thực hiện theo pháp luật về xây dựng.
2. Giai đoạn thực hiện dự án bao gồm khảo sát, lập, thẩm định và phê duyệt thiết kế xây dựng, cấp phép xây dựng, thi công xây dựng, vận hành công trình xây dựng và nghiệm thu hoàn thành công trình xây dựng theo quy định của pháp luật về xây dựng.
3. Giai đoạn kết thúc dự án bao gồm việc bàn giao, quyết toán Hợp đồng xây dựng và các thủ tục khác có liên quan thực hiện theo pháp luật về xây dựng, pháp luật về nhà ở và các pháp luật khác liên quan.
Điều 58. Quy mô, tỷ lệ diện tích đất phát triển nhà lưu trú công nhân trong khu công nghiệp
1. Trong quá trình quy hoạch xây dựng khu công nghiệp, Ủy ban nhân dân cấp tỉnh có trách nhiệm bố trí tối thiểu 20% quỹ đất thương mại, dịch vụ của khu công nghiệp để làm nhà lưu trú công nhân, trừ trường hợp quy hoạch, kế hoạch sử dụng đất cấp tỉnh, chương trình, kế hoạch phát triển nhà ở cấp tỉnh đã bố trí đủ quỹ đất đáp ứng nhu cầu chỗ ở cho công nhân của khu công nghiệp đó.
2. Trường hợp khu công nghiệp đã hình thành mà chưa có hoặc chưa đáp ứng đủ chỗ ở cho công nhân trong khu công nghiệp và còn diện tích đất thương mại, dịch vụ đảm bảo an toàn về môi trường quy định tại Điều 59 của Nghị định này thì doanh nghiệp kinh doanh hạ tầng khu công nghiệp có thể nghiên cứu báo cáo Ủy ban nhân dân cấp tỉnh để điều chỉnh một phần diện tích đất thương mại, dịch vụ để làm nhà lưu trú công nhân.
Điều 59. Đảm bảo an toàn về môi trường
Nhà lưu trú công nhân trong khu công nghiệp phải đảm bảo an toàn về môi trường theo các quy định sau:
1. Khoảng cách an toàn về môi trường của nhà lưu trú phải tuân thủ pháp luật về môi trường, pháp luật về xây dựng bảo đảm an toàn cho công trình và được xác định đồng bộ khi đánh giá tác động môi trường của khu công nghiệp.
2. Phải có lối đi và cổng riêng với lối đi của khu sản xuất công nghiệp, khoảng cách của cổng và lối đi riêng phải đảm bảo an toàn phòng cháy, chữa cháy theo quy định của pháp luật.
3. Phải bố trí tường rào cách ly riêng khu nhà lưu trú công nhân và khu sản xuất công nghiệp.
4. Phải bố trí dải cây xanh cách ly quanh khu nhà lưu trú công nhân với chiều rộng ≥ 10 m.
5. Phải đảm bảo khoảng cách an toàn môi trường của các đối tượng gây ô nhiễm trong khu công nghiệp là các nhà xưởng sản xuất, kho chứa vật liệu, thành phẩm, phế thải có tính chất độc hại và các công trình phụ trợ có phát sinh chất thải ngoài dân dụng khác.
Điều 60. Việc cho thuê nhà lưu trú công nhân trong khu công nghiệp
1. Đối với trường hợp nhà lưu trú công nhân trong khu công nghiệp do doanh nghiệp kinh doanh hạ tầng đầu tư xây dựng thì thực hiện theo quy định sau:
a) Doanh nghiệp kinh doanh hạ tầng đầu tư xây dựng hoặc đơn vị quản lý vận hành nhà lưu trú công nhân được ủy quyền chịu trách nhiệm cho thuê đúng đối tượng là công nhân lao động trong khu công nghiệp;
b) Công nhân có nhu cầu thuê nhà lưu trú phải làm đơn theo Mẫu số 02 tại Phụ lục II của Nghị định này, có xác nhận của doanh nghiệp sản xuất trong khu công nghiệp;
c) Trường hợp số đơn đăng ký thuê nhà lưu trú công nhân nhiều hơn tổng số nhà lưu trú công nhân thì việc xét duyệt, lựa chọn đối tượng thực hiện theo hình thức bốc thăm do chủ đầu tư tổ chức, có đại diện Ban quản lý khu công nghiệp tham gia và tổ chức công đoàn giám sát. Việc bốc thăm phải có biên bản kết quả bốc thăm;
d) Việc thuê nhà lưu trú công nhân phải lập thành Hợp đồng thuê nhà với đơn vị quản lý vận hành nhà lưu trú công nhân;
đ) Công nhân thuê nhà lưu trú phải trả tiền thuê nhà đầy đủ, không được cho thuê lại hoặc chuyển nhượng Hợp đồng thuê, nếu vi phạm sẽ bị hủy Hợp đồng hoặc bị xử lý theo quy định của pháp luật.
2. Đối với trường hợp nhà lưu trú công nhân trong khu công nghiệp do doanh nghiệp sản xuất trong khu công nghiệp đầu tư xây dựng thì công nhân có nhu cầu thuê nộp đơn theo Mẫu số 02 tại Phụ lục II của Nghị định này và thực hiện theo quy định tại điểm a, điểm b và điểm d khoản 1 Điều này.
Điều 61. Việc quản lý, sử dụng nhà lưu trú công nhân trong khu công nghiệp
1. Chủ đầu tư tự tổ chức quản lý vận hành nhà lưu trú công nhân hoặc thuê, ủy thác cho đơn vị có năng lực quản lý vận hành thực hiện quản lý vận hành nhà lưu trú công nhân đó.
2. Nhà lưu trú công nhân phải được cho thuê đúng đối tượng.
3. Không được tự ý chuyển đổi mục đích sử dụng.
4. Việc bảo trì công trình phải tuân theo quy định của pháp luật về xây dựng.
5. Đơn vị quản lý vận hành nhà lưu trú công nhân phải xây dựng nội quy sử dụng nhà lưu trú, công bố công khai để công nhân thuê nhà và các đơn vị, cá nhân có liên quan biết, thực hiện.
6. Đơn vị quản lý vận hành nhà lưu trú công nhân được quyền kinh doanh các dịch vụ khác trong khu nhà lưu trú công nhân mà không bị luật cấm để giảm giá dịch vụ quản lý vận hành nhà ở.
7. Hoạt động quản lý vận hành nhà lưu trú công nhân được hưởng cơ chế ưu đãi như đối với dịch vụ công ích.
Chương V
VỀ NHÀ Ở CHO LỰC LƯỢNG VŨ TRANG NHÂN DÂN
Mục 1. NHÀ Ở CHO LỰC LƯỢNG VŨ TRANG NHÂN DÂN ĐƯỢC ĐẦU TƯ XÂY DỰNG BẰNG VỐN ĐẦU TƯ CÔNG
Điều 62. Xác định giá thuê, giá thuê mua nhà ở cho lực lượng vũ trang nhân dân do Nhà nước đầu tư xây dựng bằng vốn đầu tư công
Việc xác định giá thuê, giá thuê mua nhà ở cho lực lượng vũ trang nhân dân do Nhà nước đầu tư xây dựng bằng vốn đầu tư công thực hiện theo quy định tại Điều 31 của Nghị định này.
Điều 63. Trình tự, thủ tục cho thuê, cho thuê mua nhà ở cho lực lượng vũ trang nhân dân do Nhà nước đầu tư xây dựng bằng vốn đầu tư công
1. Trình tự, thủ tục cho thuê nhà ở cho lực lượng vũ trang nhân dân do Nhà nước đầu tư xây dựng bằng vốn đầu tư công được thực hiện như sau:
a) Người có nhu cầu thuê nhà ở cho lực lượng vũ trang nhân dân nộp 01 bộ hồ sơ trực tiếp cho cơ quan quản lý nhà ở được Bộ Quốc phòng, Bộ Công an giao quản lý nhà ở (sau đây gọi là cơ quan quản lý nhà ở của Bộ Quốc phòng, Bộ Công an) hoặc đơn vị quản lý vận hành nhà ở được Bộ Quốc phòng, Bộ Công an giao quản lý, vận hành nhà ở. Hồ sơ bao gồm đơn đăng ký thuê nhà ở cho lực lượng vũ trang nhân dân theo Mẫu số 03 tại Phụ lục II của Nghị định này, giấy tờ chứng minh đối tượng được thuê nhà ở cho lực lượng vũ trang nhân dân và các giấy tờ chứng minh thuộc đối tượng được miễn, giảm tiền thuê nhà ở cho lực lượng vũ trang nhân dân (nếu có);
b) Cơ quan quản lý nhà ở của Bộ Quốc phòng, Bộ Công an có trách nhiệm kiểm tra và phân loại hồ sơ; nếu hồ sơ không có đủ các giấy tờ theo quy định thì phải trả lời ngay để người nộp đơn bổ sung giấy tờ. Trường hợp đơn vị quản lý vận hành nhà ở tiếp nhận hồ sơ thì sau khi kiểm tra và phân loại hồ sơ, đơn vị này phải có báo cáo Danh sách người đủ điều kiện thuê nhà ở kèm theo hồ sơ hợp lệ gửi cơ quan quản lý nhà ở của Bộ Quốc phòng, Bộ Công an xem xét, kiểm tra;
c) Cơ quan quản lý nhà ở của Bộ Quốc phòng, Bộ Công an tổng hợp Danh sách dự kiến thuê nhà ở gửi Sở Xây dựng địa phương để kiểm tra, loại trừ việc người dự kiến thuê đang được thuê nhà ở xã hội hoặc nhà ở cho lực lượng vũ trang nhân dân;
d) Sau 20 ngày kể từ ngày nhận được Danh sách, nếu Sở Xây dựng không có ý kiến phản hồi, cơ quan quản lý nhà ở của Bộ Quốc phòng, Bộ Công an tổ chức lập Danh sách người được thuê nhà ở cho lực lượng vũ trang nhân dân và có tờ trình kèm theo Danh sách báo cáo cơ quan đại diện chủ sở hữu quyết định, trừ trường hợp được cơ quan đại diện chủ sở hữu giao thực hiện theo quy định tại khoản 3 Điều 15 của Luật Nhà ở;
đ) Cơ quan đại diện chủ sở hữu nhà ở hoặc cơ quan quản lý nhà ở được giao thực hiện theo quy định tại khoản 3 Điều 15 của Luật Nhà ở xem xét, ban hành quyết định phê duyệt Danh sách người được thuê nhà ở và gửi cho đơn vị quản lý vận hành nhà ở để ký Hợp đồng thuê nhà với người được thuê nhà ở.
Trường hợp tổng số hồ sơ đăng ký thuê (hợp lệ) bằng hoặc ít hơn tổng số căn nhà ở cho lực lượng vũ trang nhân dân để cho thuê thì Danh sách người được thuê là Danh sách người đủ điều kiện thuê đã đăng ký.
Trường hợp tổng số hồ sơ đăng ký thuê (hợp lệ) nhiều hơn tổng số căn nhà ở cho lực lượng vũ trang nhân dân để cho thuê thì việc xét duyệt, lựa chọn đối tượng được thuê thực hiện theo quyết định của đại diện chủ sở hữu nhà ở.
e) Thời gian giải quyết việc cho thuê nhà ở cho lực lượng vũ trang nhân dân không quá 30 ngày, kể từ ngày đơn vị tiếp nhận hồ sơ nhận đủ hồ sơ hợp lệ.
2. Trình tự, thủ tục cho thuê mua nhà ở cho lực lượng vũ trang nhân dân do Nhà nước đầu tư xây dựng bằng vốn đầu tư công được thực hiện như sau:
a) Người có nhu cầu thuê mua nhà ở cho lực lượng vũ trang nhân dân nộp 01 bộ hồ sơ trực tiếp cho cơ quan quản lý nhà ở của Bộ Quốc phòng, Bộ Công an hoặc đơn vị quản lý vận hành nhà ở được Bộ Quốc phòng, Bộ Công an giao quản lý, vận hành nhà ở. Hồ sơ bao gồm đơn đăng ký thuê mua nhà ở cho lực lượng vũ trang nhân dân theo Mẫu số 03 tại Phụ lục II của Nghị định này, các giấy tờ chứng minh đối tượng và điều kiện được thuê mua nhà ở cho lực lượng vũ trang nhân dân theo quy định của pháp luật về nhà ở;
b) Cơ quan quản lý nhà ở của Bộ Quốc phòng, Bộ Công an có trách nhiệm kiểm tra và phân loại hồ sơ; nếu hồ sơ không có đủ các giấy tờ theo quy định thì phải trả lời ngay để người nộp đơn bổ sung giấy tờ. Trường hợp đơn vị quản lý vận hành nhà ở tiếp nhận hồ sơ thì sau khi kiểm tra và phân loại hồ sơ, đơn vị này phải có báo cáo Danh sách người đủ điều kiện thuê mua nhà ở kèm theo hồ sơ hợp lệ gửi cơ quan quản lý nhà ở của Bộ Quốc phòng, Bộ Công an xem xét, kiểm tra;
c) Cơ quan quản lý nhà ở được Bộ Quốc phòng, Bộ Công an giao quản lý nhà ở có trách nhiệm tổng hợp Danh sách dự kiến thuê mua nhà ở gửi Sở Xây dựng địa phương để tổ chức, phối hợp với các cơ quan có liên quan kiểm tra nhằm loại trừ việc người dự kiến thuê mua không đáp ứng điều kiện về nhà ở theo quy định tại điểm a khoản 1 Điều 78 của Luật Nhà ở;
d) Việc lập Danh sách dự kiến thuê mua, quyết định phê duyệt Danh sách thuê mua và thời gian giải quyết việc cho thuê mua thực hiện theo quy định tại điểm d, điểm đ và điểm e khoản 1 Điều này.
Mục 2. QUẢN LÝ, SỬ DỤNG, VẬN HÀNH NHÀ Ở CHO LỰC LƯỢNG VŨ TRANG NHÂN DÂN THUỘC TÀI SẢN CÔNG
Điều 64. Quản lý, sử dụng, vận hành nhà ở cho lực lượng vũ trang nhân dân thuộc tài sản công
Việc quản lý, sử dụng, vận hành nhà ở cho lực lượng vũ trang nhân dân thuộc tài sản công thực hiện theo quy định tại khoản 1 Điều 52 của Nghị định này.
Điều 65. Việc miễn, giảm tiền thuê nhà ở cho lực lượng vũ trang nhân dân thuộc tài sản công
1. Việc miễn, giảm tiền thuê nhà ở cho lực lượng vũ trang nhân dân thuộc tài sản công thực hiện theo nguyên tắc quy định tại khoản 1 Điều 36 của Nghị định này.
2. Đối tượng quy định tại khoản 7 Điều 76 của Luật Nhà ở nếu thuộc một trong các trường hợp sau thì được miễn, giảm tiền thuê nhà ở cho lực lượng vũ trang nhân dân thuộc tài sản công:
a) Có tỷ lệ tổn thương cơ thể từ 31% trở lên khi làm nhiệm vụ cấp bách, nguy hiểm;
b) Trong hộ gia đình có thành viên thuộc đối tượng là người có công với cách mạng hoặc người khuyết tật.
3. Đối tượng quy định tại khoản 2 Điều này được giảm 50% tiền thuê nhà ở phải nộp.
Điều 66. Bán nhà ở cho lực lượng vũ trang nhân dân thuộc tài sản công đang cho thuê
1. Trường hợp cần đầu tư xây dựng nhà ở cho lực lượng vũ trang nhân dân, đại diện chủ sở hữu nhà ở thuộc tài sản công có thể lập Đề án bán nhà ở cho lực lượng vũ trang nhân dân đang cho thuê với nội dung quy định tại Điều 53 của Nghị định này.
2. Trình tự, thủ tục lập, thẩm định, phê duyệt Đề án bán nhà ở cho lực lượng vũ trang nhân dân thuộc tài sản công đang cho thuê thực hiện theo quy định tại các khoản 1, 2, 3 và 4 Điều 54 của Nghị định này.
3. Trình tự, thủ tục bán nhà ở cho lực lượng vũ trang nhân dân thuộc tài sản công sau khi Đề án được phê duyệt thực hiện theo quy định tại khoản 2 Điều 63 của Nghị định này.
Mục 3. NHÀ Ở CHO LỰC LƯỢNG VŨ TRANG NHÂN DÂN ĐƯỢC ĐẦU TƯ XÂY DỰNG KHÔNG BẰNG VỐN ĐẦU TƯ CÔNG
Điều 67. Điều kiện về thu nhập để được mua, thuê mua nhà ở cho lực lượng vũ trang nhân dân
1. Trường hợp người đứng đơn là người độc thân thì có thu nhập hàng tháng thực nhận không quá tổng thu nhập của sỹ quan có cấp bậc hàm Đại tá (gồm lương cơ bản và phụ cấp theo quy định) được cơ quan, đơn vị nơi công tác, quản lý xác nhận.
2. Trường hợp người đứng đơn đã kết hôn theo quy định của pháp luật:
a) Người đứng đơn và vợ (chồng) của người đó đều thuộc đối tượng quy định tại khoản 7 Điều 76 của Luật Nhà ở thì có tổng thu nhập hàng tháng thực nhận không quá 2,0 lần tổng thu nhập của sỹ quan có cấp bậc hàm Đại tá (gồm lương cơ bản và phụ cấp theo quy định) được cơ quan, đơn vị nơi công tác, quản lý xác nhận;
b)[10] Vợ (chồng) của người đứng đơn không thuộc đối tượng quy định tại khoản 7 Điều 76 của Luật Nhà ở thì có tổng thu nhập hàng tháng thực nhận không quá 1,5 lần tổng thu nhập của sỹ quan có cấp bậc hàm Đại tá (gồm lương cơ bản và phụ cấp theo quy định) được cơ quan, đơn vị, doanh nghiệp nơi đối tượng làm việc xác nhận.
Trường hợp vợ (chồng) của người đứng đơn thuộc đối tượng quy định tại khoản 5 Điều 76 của Luật Nhà ở trong trường hợp không có Hợp đồng lao động thì thực hiện việc xác nhận điều kiện về thu nhập theo quy định tại khoản 2 Điều 30 của Nghị định này.
3. Thời gian xác nhận điều kiện về thu nhập trong 01 năm liền kề, tính từ thời điểm nộp hồ sơ mua, thuê mua nhà ở cho lực lượng vũ trang nhân dân.
Điều 68. Trình tự, thủ tục bán, cho thuê mua, cho thuê nhà ở cho lực lượng vũ trang nhân dân được đầu tư xây dựng không bằng vốn đầu tư công
1. Trình tự, thủ tục bán nhà ở cho lực lượng vũ trang nhân dân thực hiện như sau:
a) Sau khi khởi công dự án, chủ đầu tư dự án xây dựng nhà ở cho lực lượng vũ trang nhân dân có trách nhiệm cung cấp các thông tin liên quan đến dự án (tên dự án; chủ đầu tư dự án; địa điểm xây dựng dự án; địa chỉ liên lạc; tiến độ thực hiện dự án; quy mô dự án; số lượng căn hộ (trong đó bao gồm: Số căn hộ để bán; diện tích căn hộ; giá bán (tạm tính) đối với từng loại căn hộ; thời gian bắt đầu và kết thúc nhận đơn đăng ký và các nội dung khác có liên quan) đến cơ quan quản lý nhà ở của Bộ Quốc phòng, Bộ Công an; đăng tải ít nhất 01 lần tại báo là cơ quan ngôn luận của chính quyền địa phương và công bố tại Sàn giao dịch bất động sản của chủ đầu tư (nếu có) để đối tượng thuộc lực lượng vũ trang nhân dân biết, đăng ký và thực hiện việc theo dõi, giám sát;
b) Trước khi thực hiện việc bán, chủ đầu tư dự án xây dựng nhà ở cho lực lượng vũ trang nhân dân có trách nhiệm báo cáo bằng văn bản về tổng số căn hộ dự kiến sẽ bán và thời điểm bắt đầu bán đến cơ quan quản lý nhà ở của Bộ Quốc phòng, Bộ Công an và Sở Xây dựng địa phương nơi có dự án biết và kiểm tra. Công bố công khai tại Sàn giao dịch bất động sản của chủ đầu tư (nếu có) và Trang thông tin điện tử của Sở Xây dựng địa phương nơi có dự án trong thời gian tối thiểu là 30 ngày kể từ thời điểm bắt đầu nhận hồ sơ đăng ký mua nhà ở tại dự án;
c) Trên cơ sở các thông tin về các dự án nhà ở cho lực lượng vũ trang nhân dân trên địa bàn đã được công bố theo quy định tại khoản 1 Điều này; cá nhân có nhu cầu đăng ký mua nhà ở cho lực lượng vũ trang nhân dân nộp đơn đề nghị hỗ trợ nhà ở theo Mẫu số 03 tại Phụ lục II của Nghị định này và các giấy tờ chứng minh điều kiện được mua nhà ở cho lực lượng vũ trang nhân dân về cơ quan quản lý nhà ở của Bộ Quốc phòng, Bộ Công an thuộc phạm vi quản lý.
Cơ quan quản lý nhà ở của Bộ Quốc phòng, Bộ Công an tổng hợp Danh sách các đối tượng dự kiến mua nhà ở cho lực lượng vũ trang nhân dân kèm theo hồ sơ chứng minh đối tượng và điều kiện được hưởng theo quy định báo cáo Bộ Quốc phòng, Bộ Công an.
d) Trên cơ sở báo cáo của cơ quan quản lý nhà ở, Bộ Quốc phòng, Bộ Công an phê duyệt Danh sách mua nhà ở cho lực lượng vũ trang nhân dân gửi chủ đầu tư dự án đồng thời gửi Sở Xây dựng địa phương nơi có dự án để tổ chức, phối hợp với các cơ quan có liên quan kiểm tra nhằm loại trừ người dự kiến được mua nhà ở cho lực lượng vũ trang nhân dân không đáp ứng điều kiện về nhà ở theo quy định tại điểm a khoản 1 Điều 78 của Luật Nhà ở.
Trường hợp đối tượng theo Danh sách do Bộ Quốc phòng, Bộ Công an lập không đáp ứng điều kiện về nhà ở theo quy định tại điểm a khoản 1 Điều 78 của Luật Nhà ở thì Sở Xây dựng có trách nhiệm gửi văn bản thông báo cho chủ đầu tư biết để xóa tên trong Danh sách được mua nhà ở cho lực lượng vũ trang nhân dân.
đ) Sau 20 ngày kể từ khi nhận được Danh sách, nếu Sở Xây dựng không có ý kiến phản hồi thì chủ đầu tư lập Danh sách đối tượng được giải quyết mua nhà ở cho lực lượng vũ trang nhân dân theo nguyên tắc quy định tại khoản 2 Điều này và gửi tới Bộ Quốc phòng, Bộ Công an để thông báo cho các đối tượng được mua nhà ở cho lực lượng vũ trang nhân dân trong dự án của mình đến để thỏa thuận, thống nhất và ký Hợp đồng.
Trường hợp người có nhu cầu mua nhà ở cho lực lượng vũ trang nhân dân nếu đáp ứng đúng đối tượng và đủ điều kiện theo quy định và đã được chủ đầu tư dự án xem xét, đưa vào Danh sách mua nhà ở cho lực lượng vũ trang nhân dân của dự án đó, nhưng người đó không còn có nhu cầu mua nhà ở cho lực lượng vũ trang nhân dân thì chủ đầu tư dự án tổng hợp và có văn bản gửi Bộ Quốc phòng, Bộ Công an.
e) Chủ đầu tư chỉ được ký Hợp đồng mua bán nhà ở cho lực lượng vũ trang nhân dân với khách hàng khi đủ điều kiện được bán theo quy định của pháp luật về nhà ở và giá bán đã được cơ quan có thẩm quyền thẩm định, phê duyệt theo quy định tại Điều 35 của Nghị định này.
Sau khi ký Hợp đồng mua nhà ở cho lực lượng vũ trang nhân dân, chủ đầu tư dự án có trách nhiệm lập đầy đủ Danh sách các đối tượng (bao gồm cả các thành viên trong hộ) đã được mua nhà ở cho lực lượng vũ trang nhân dân gửi về cơ quan quản lý nhà ở của Bộ Quốc phòng, Bộ Công an và Sở Xây dựng địa phương nơi có dự án để lưu trữ và phục vụ cho công tác quản lý, kiểm tra (hậu kiểm). Đồng thời, chủ đầu tư dự án có trách nhiệm công bố công khai Danh sách này tại trụ sở của chủ đầu tư và tại Sàn giao dịch bất động sản của chủ đầu tư (nếu có).
2. Nguyên tắc xét duyệt đối tượng mua nhà ở cho lực lượng vũ trang nhân dân
a) Trường hợp tổng số hồ sơ đăng ký (hợp lệ) bằng hoặc ít hơn tổng số căn hộ do chủ đầu tư công bố thì việc lựa chọn căn hộ thực hiện theo hình thức thỏa thuận giữa chủ đầu tư và khách hàng;
b) Trường hợp tổng số hồ sơ đăng ký (hợp lệ) nhiều hơn tổng số căn hộ do chủ đầu tư công bố thì việc xét duyệt, lựa chọn đối tượng thực hiện theo hình thức bốc thăm do chủ đầu tư tổ chức, có đại diện cơ quan quản lý nhà ở của Bộ Quốc phòng, Bộ Công an và Sở Xây dựng địa phương nơi có dự án được phê duyệt tham gia giám sát. Việc bốc thăm phải có biên bản kết quả bốc thăm.
3. Trình tự, thủ tục cho thuê mua nhà ở cho lực lượng vũ trang nhân dân được thực hiện theo quy định tại khoản 1 Điều này.
4. Trình tự, thủ tục cho thuê nhà ở cho lực lượng vũ trang nhân dân được thực hiện theo quy định tại khoản 1 Điều này và không phải nộp các giấy tờ chứng minh điều kiện về nhà ở và thu nhập. Trường hợp thuê nhà ở cho lực lượng vũ trang nhân dân thuộc tài sản công thì người thuê nộp các giấy tờ chứng minh thuộc đối tượng được miễn, giảm tiền thuê nhà ở cho lực lượng vũ trang nhân dân (nếu có).
Điều 69. Trình tự, thủ tục bán lại nhà ở cho lực lượng vũ trang nhân dân
1. Trình tự, thủ tục bán lại nhà ở cho lực lượng vũ trang nhân dân trong thời hạn 05 năm thực hiện như sau:
a) Trường hợp bán lại nhà ở cho lực lượng vũ trang nhân dân cho chủ đầu tư dự án thực hiện theo quy định tại khoản 1 Điều 39 của Nghị định này;
b) Trường hợp bán lại nhà ở cho lực lượng vũ trang nhân dân cho đối tượng khác thuộc diện được mua, thuê mua nhà ở cho lực lượng vũ trang nhân dân, thì người mua lại nhà ở cho lực lượng vũ trang nhân dân phải có đơn và các giấy tờ xác nhận về đối tượng và điều kiện được mua nhà ở cho lực lượng vũ trang nhân dân và nộp hồ sơ về cơ quan quản lý nhà ở của Bộ Quốc phòng, Bộ Công an và Sở Xây dựng địa phương nơi có dự án để xác định đúng đối tượng, điều kiện theo quy định tại điểm c và điểm d khoản 1 Điều 68 của Nghị định này. Người bán lại phải làm thủ tục thanh lý Hợp đồng với chủ đầu tư dự án (nếu có).
Việc bán lại thực hiện theo quy định tại khoản 1 Điều 109 của Luật Nhà ở và quy định của pháp luật về kinh doanh bất động sản, pháp luật về đất đai.
2. Trình tự, thủ tục bán lại nhà ở cho lực lượng vũ trang nhân dân sau thời hạn 05 năm thực hiện theo quy định tại Điều 40 của Nghị định này.
Điều 70. Việc cập nhật thông tin các đối tượng được mua, thuê mua, thuê nhà ở cho lực lượng vũ trang nhân dân
1. Sau 15 ngày kể từ khi nhận được Danh sách các đối tượng đã ký Hợp đồng mua, thuê mua, thuê nhà ở cho lực lượng vũ trang nhân dân theo quy định tại điểm e khoản 1 Điều 68 của Nghị định này, Sở Xây dựng địa phương nơi có dự án nhà ở cho lực lượng vũ trang nhân dân có trách nhiệm cập nhật Danh sách các đối tượng được mua, thuê mua, thuê nhà ở cho lực lượng vũ trang nhân dân lên Trang thông tin điện tử theo các nội dung quy định tại khoản 2 Điều này.
2. Các thông tin cập nhật như sau:
a) Họ và tên;
b) Căn cước công dân/số định danh cá nhân;
c) Địa chỉ thường trú;
d) Những người có tên trong hộ gia đình (nếu đối tượng là hộ gia đình);
đ) Tên dự án đầu tư xây dựng nhà ở cho lượng vũ trang nhân dân.
3. Trường hợp người có nhu cầu mua, thuê mua, thuê nhà ở cho lực lượng vũ trang nhân dân đã được chủ đầu tư dự án ký Hợp đồng nhưng thuộc trường hợp chấm dứt Hợp đồng thì chủ đầu tư dự án đó có trách nhiệm báo cáo cơ quan quản lý nhà ở của Bộ Quốc phòng, Bộ Công an và Sở Xây dựng địa phương nơi có dự án nhà ở cho lực lượng vũ trang nhân dân để cập nhật lại Danh sách đối tượng được mua, thuê mua, thuê nhà ở cho lực lượng vũ trang nhân dân.
Điều 71. Vay vốn ưu đãi để mua, thuê mua nhà ở cho lực lượng vũ trang nhân dân và xây dựng nhà ở cho lực lượng vũ trang nhân dân
1. Việc vay vốn ưu đãi để mua, thuê mua nhà ở cho lực lượng vũ trang nhân dân tại Ngân hàng Chính sách xã hội thực hiện theo quy định tại các khoản 1, 3, 4 và 5 Điều 48 của Nghị định này.
2. Việc vay vốn ưu đãi để mua, thuê mua nhà ở cho lực lượng vũ trang nhân dân tại tổ chức tín dụng do Nhà nước chỉ định thực hiện theo quy định tại Điều 49 của Nghị định này.
3. Việc vay vốn ưu đãi của chủ đầu tư dự án đầu tư xây dựng nhà ở cho lực lượng vũ trang nhân dân không bằng vốn đầu tư công thực hiện theo quy định tại Điều 25 của Nghị định này.
Chương VI
TỔ CHỨC THỰC HIỆN
Điều 72. Trách nhiệm của Bộ Xây dựng
1. Thực hiện các nhiệm vụ được giao theo quy định của Luật Nhà ở và Nghị định này.
2. Ban hành theo thẩm quyền quy chế quản lý vận hành nhà ở xã hội, nhà ở cho lực lượng vũ trang nhân dân loại hình nhà chung cư.
3. Chủ trì, phối hợp với các bộ, ngành, Ủy ban nhân dân cấp tỉnh hướng dẫn việc xây dựng hệ thống cơ sở dữ liệu về nhà ở xã hội, cập nhật trên Cổng thông tin điện tử của Bộ Xây dựng; hướng dẫn, kiểm tra, thanh tra theo thẩm quyền về công tác phát triển và quản lý nhà ở xã hội; tổng hợp, đánh giá tình hình triển khai thực hiện Nghị định này; đề xuất sửa đổi, bổ sung cho phù hợp tình hình thực tế trình Chính phủ xem xét, quyết định.
4. Thực hiện các nhiệm vụ, quyền hạn khác theo quy định của pháp luật.
Điều 73. Trách nhiệm của các bộ, ngành có liên quan
1. Trách nhiệm của Bộ Quốc phòng và Bộ Công an:
a) Chủ trì ban hành, hướng dẫn về mẫu giấy tờ chứng minh đối tượng được hưởng chính sách hỗ trợ về nhà ở cho lực lượng vũ trang nhân dân, chính sách hỗ trợ về nhà ở xã hội thuộc phạm vi quản lý;
b) Chủ trì, phối hợp với Ủy ban nhân dân cấp tỉnh trong việc tổ chức việc xác định nhu cầu nhà ở đối với đối tượng lực lượng vũ trang nhân dân thuộc thẩm quyền quản lý, làm cơ sở tổng hợp nhu cầu này trong kế hoạch phát triển nhà ở của địa phương;
c) Chủ trì ban hành, hướng dẫn yêu cầu đối với dự án đầu tư xây dựng nhà ở cho lực lượng vũ trang nhân dân thuộc phạm vi quản lý, đảm bảo phù hợp với quy định của Luật Nhà ở và Nghị định này;
d) Phối hợp với các bộ, ngành báo cáo cấp có thẩm quyền để xử lý những khó khăn, vướng mắc trong quá trình triển khai thực hiện các dự án đầu tư xây dựng nhà ở cho lực lượng vũ trang nhân dân thuộc phạm vi quản lý;
đ) Tổ chức thanh tra, kiểm tra, giám sát và xử lý các vi phạm liên quan đến việc bán, cho thuê mua, cho thuê nhà ở cho lực lượng vũ trang nhân dân thuộc phạm vi quản lý;
e) Chịu trách nhiệm về việc phê duyệt Danh sách đối tượng đăng ký mua, thuê mua, thuê nhà ở cho lực lượng vũ trang nhân dân gửi chủ đầu tư dự án nhà ở cho lực lượng vũ trang nhân dân đảm bảo đúng đối tượng và đủ điều kiện theo quy định của pháp luật về nhà ở.
2. Bộ Tài chính
Phối hợp với Bộ Kế hoạch và Đầu tư và các bộ, ngành liên quan thực hiện việc bố trí vốn từ ngân sách trung ương theo kế hoạch hàng năm thông qua Ngân hàng Chính sách xã hội, Ngân hàng Phát triển Việt Nam, các tỉnh, thành phố trực thuộc Trung ương để triển khai chính sách hỗ trợ cho vay ưu đãi theo quy định của Nghị định này.
3. Bộ Tài nguyên và Môi trường
Chủ trì hướng dẫn các địa phương trong việc lập quy hoạch, kế hoạch sử dụng đất, bố trí quỹ đất để triển khai thực hiện các dự án xây dựng nhà ở xã hội, dự án xây dựng nhà ở cho lực lượng vũ trang nhân dân.
4. Ngân hàng Nhà nước Việt Nam
Căn cứ các Chương trình tín dụng do Chính phủ, Thủ tướng Chính phủ quyết định trong từng thời kỳ, chỉ định một số tổ chức tín dụng triển khai cho vay hỗ trợ nhà ở xã hội, nhà lưu trú công nhân trong khu công nghiệp, nhà ở cho lực lượng vũ trang nhân dân.
5. Ngân hàng Chính sách xã hội, Ngân hàng Phát triển Việt Nam:
a) Quản lý và sử dụng nguồn vốn, thực hiện cho vay đúng đối tượng theo quy định của Nghị định này;
b) Phối hợp với các bộ, ngành báo cáo cấp có thẩm quyền để xử lý những khó khăn, vướng mắc trong quá trình thực hiện cho vay hỗ trợ nhà ở xã hội.
6. Các bộ, ngành có liên quan có trách nhiệm nghiên cứu ban hành theo thẩm quyền hoặc trình cơ quan có thẩm quyền ban hành sửa đổi, bổ sung các cơ chế, chính sách liên quan đến việc phát triển và quản lý nhà ở xã hội quy định tại Nghị định này.
Điều 74. Trách nhiệm của Tổng Liên đoàn Lao động Việt Nam
1. Quản lý và sử dụng nguồn tài chính công đoàn để thực hiện chính sách phát triển và quản lý nhà ở xã hội cho thuê theo quy định của Luật Nhà ở và Nghị định này.
2. Chủ trì ban hành, hướng dẫn về giá cho thuê nhà ở xã hội tại các dự án đầu tư xây dựng nhà ở xã hội thuộc phạm vi quản lý.
3. Phối hợp với các bộ, ngành báo cáo cấp có thẩm quyền để xử lý những khó khăn, vướng mắc trong quá trình triển khai thực hiện các dự án đầu tư xây dựng nhà ở xã hội thuộc phạm vi quản lý.
4. Tổ chức kiểm tra, giám sát và kiến nghị xử lý các vi phạm liên quan đến việc cho thuê nhà ở xã hội tại các dự án đầu tư xây dựng nhà ở xã hội thuộc phạm vi quản lý.
Điều 75. Trách nhiệm của Ủy ban nhân dân các tỉnh, thành phố trực thuộc Trung ương
1. Tổ chức, chỉ đạo việc điều tra, khảo sát, tổng hợp nhu cầu để xây dựng, điều chỉnh chương trình, kế hoạch, chỉ tiêu đầu tư xây dựng nhà ở xã hội hàng năm, trung hạn và dài hạn trên địa bàn; chỉ đạo và giao nhiệm vụ cho các doanh nghiệp tại địa phương, phối hợp với Bộ Xây dựng, Bộ Quốc phòng, Bộ Công an để chỉ đạo giao nhiệm vụ cho các doanh nghiệp nhà nước giữ quyền chi phối trực thuộc các bộ này để phát triển nhà ở xã hội, nhà ở cho lực lượng vũ trang nhân dân theo quy định của Nghị định này.
2. Rà soát, điều chỉnh, bổ sung quỹ đất dành để phát triển nhà ở xã hội (bao gồm quỹ đất để phát triển nhà ở cho lực lượng vũ trang nhân dân) trong quy hoạch phân khu, quy hoạch chi tiết.
3. Thu hồi quỹ đất 20% dành để xây dựng nhà ở xã hội trong các dự án đầu tư xây dựng nhà ở thương mại, khu đô thị theo quy định của Luật Nhà ở số 65/2014/QH13 đối với các trường hợp chủ đầu tư không đưa quỹ đất này vào sử dụng hoặc chậm tiến độ sử dụng đất so với tiến độ ghi trong dự án đầu tư thuộc trường hợp thu hồi đất theo quy định của pháp luật về đất đai để giao cho các chủ đầu tư có nhu cầu đầu tư xây dựng nhà ở xã hội. Việc thu hồi quỹ đất này thực hiện theo quy định của pháp luật về đất đai.
4. Thu hồi quỹ đất 20% theo quy định của pháp luật về đất đai trong trường hợp chủ đầu tư dự án đầu tư xây dựng nhà ở thương mại phải dành quỹ đất để đầu tư xây dựng nhà ở xã hội theo quy định tại Điều 17 của Nghị định này nhưng không triển khai đầu tư xây dựng hoặc chậm triển khai đầu tư xây dựng so với tiến độ ghi trong dự án đầu tư.
5. Tổ chức chỉ đạo thực hiện việc lập, thẩm định, quyết định chủ trương đầu tư hoặc phê duyệt dự án đầu tư xây dựng nhà ở xã hội đầu tư bằng vốn đầu tư công theo thẩm quyền; thẩm định, chấp thuận chủ trương đầu tư dự án đầu tư xây dựng nhà ở xã hội không bằng vốn đầu tư công theo thẩm quyền.
6. Quy định cụ thể và công bố công khai các tiêu chuẩn, đối tượng và điều kiện được mua, thuê, thuê mua nhà ở xã hội trên phạm vi địa bàn phù hợp với điều kiện của từng địa phương.
7. Tổ chức quản lý và theo dõi chặt chẽ việc bán, thuê, thuê mua nhà ở xã hội.
8. Chỉ đạo cơ quan chức năng tham khảo phương pháp xác định giá cho thuê theo quy định tại Điều 34 của Nghị định này và mặt bằng giá thị trường tại địa phương để xây dựng, ban hành khung giá cho thuê nhà ở xã hội, nhà ở cho lực lượng vũ trang nhân dân được đầu tư xây dựng theo dự án, nhà lưu trú công nhân trong khu công nghiệp đảm bảo phù hợp với điều kiện thực tế của địa phương; ban hành khung giá thuê nhà ở do các cá nhân đầu tư xây dựng hoặc cải tạo, sửa chữa nhà ở để các đối tượng được hưởng chính sách hỗ trợ về nhà ở xã hội thuê trên phạm vi địa bàn theo quy định của Nghị định này.
9. Chỉ đạo cơ quan chức năng thuộc thẩm quyền thực hiện việc thẩm định giá bán, giá thuê mua nhà ở xã hội, nhà ở cho lực lượng vũ trang nhân dân trên phạm vi địa bàn. Tổ chức quản lý và theo dõi chặt chẽ việc bán, cho thuê mua, cho thuê.
10. Ban hành giá dịch vụ quản lý vận hành nhà ở tại các dự án đầu tư xây dựng nhà ở xã hội, nhà ở cho lực lượng vũ trang nhân dân để áp dụng thống nhất trên địa bàn.
11. Phối hợp với Bộ Quốc phòng, Bộ Công an trong việc xác định, tổng hợp nhu cầu nhà ở cho lực lượng vũ trang nhân dân trên phạm vi địa bàn trong quá trình xây dựng kế hoạch phát triển nhà ở của địa phương; bố trí quỹ đất trong quỹ đất phát triển nhà ở xã hội của địa phương để phát triển nhà ở cho lực lượng vũ trang nhân dân.
12. Triển khai thực hiện các cơ chế chính sách về phát triển và quản lý nhà ở xã hội, nhà ở cho lực lượng vũ trang nhân dân, nhà lưu trú công nhân trong khu công nghiệp; ban hành các quy định cụ thể về cơ chế khuyến khích, ưu đãi thêm của địa phương, để kêu gọi các thành phần kinh tế tham gia đầu tư xây dựng nhà ở xã hội, nhà ở cho lực lượng vũ trang nhân dân, nhà lưu trú công nhân trong khu công nghiệp trên phạm vi địa bàn; hỗ trợ chủ đầu tư dự án đầu tư xây dựng nhà ở xã hội, nhà ở cho lực lượng vũ trang nhân dân, nhà lưu trú công nhân trong khu công nghiệp trong việc thực hiện đấu nối hệ thống hạ tầng kỹ thuật trong dự án với hệ thống hạ tầng chung của khu vực.
13. Yêu cầu các chủ đầu tư dự án xây dựng nhà ở xã hội, nhà ở cho lực lượng vũ trang nhân dân, nhà lưu trú công nhân trong khu công nghiệp trên phạm vi địa bàn báo cáo về tình hình triển khai thực hiện dự án cho cơ quan quản lý nhà nước về nhà ở tại địa phương theo định kỳ; tổ chức giao ban, sơ kết đánh giá tình hình, kết quả thực hiện phát triển nhà ở xã hội của địa phương theo định kỳ hàng năm hoặc theo yêu cầu đột xuất, báo cáo Bộ Xây dựng để tổng hợp, báo cáo Thủ tướng Chính phủ.
14. Chỉ đạo Sở Xây dựng, Sở Tài nguyên và Môi trường, chính quyền cấp huyện, cấp xã và các cơ quan chức năng khác thực hiện thẩm định, xác nhận đối tượng, điều kiện về nhà ở, điều kiện về thu nhập, điều kiện được vay vốn ưu đãi theo quy định tại Nghị định này; phối hợp chặt chẽ với Ngân hàng Chính sách xã hội, tổ chức tín dụng trong quá trình xử lý nợ bị rủi ro và tài sản bảo đảm để thu hồi vốn vay.
15. Tổ chức chủ trì hoặc phối hợp với các bộ, ngành cơ quan có liên quan trong việc thanh tra, kiểm tra, giám sát và xử lý các vi phạm liên quan đến việc đầu tư xây dựng, bán, cho thuê, cho thuê mua nhà ở xã hội, nhà ở cho lực lượng vũ trang nhân dân, nhà lưu trú công nhân trong khu công nghiệp trên phạm vi địa bàn.
16. Phối hợp với các bộ, ngành có liên quan tổng hợp, báo cáo cấp có thẩm quyền kế hoạch đầu tư công trung hạn và hàng năm và bố trí nguồn vốn ngân sách nhà nước để cấp bù lãi suất cho các chủ đầu tư xây dựng nhà ở xã hội vay vốn ưu đãi tại các tổ chức tín dụng theo quy định tại khoản 3 Điều 50 của Nghị định này; hướng dẫn cấp bù lãi suất cho đối tượng vay vốn ưu đãi tại các tổ chức tín dụng theo quy định tại khoản 3 Điều 50 của Nghị định này.
Điều 76. Trách nhiệm của các doanh nghiệp có cơ sở sản xuất trong khu công nghiệp
1. Đối với các doanh nghiệp đã và đang sản xuất tại khu công nghiệp, căn cứ nhu cầu thực tế về nhà lưu trú công nhân trong khu công nghiệp và quỹ đất thương mại dịch vụ của khu công nghiệp để xây dựng kế hoạch giải quyết nhà lưu trú công nhân, dành nguồn tài chính để hỗ trợ đầu tư phát triển nhà lưu trú công nhân cho công nhân của đơn vị mình thuê trong thời gian làm việc.
2. Đối với các doanh nghiệp thành lập mới hoặc mở rộng sản xuất có trách nhiệm bảo đảm nhà ở xã hội cho hộ gia đình, cá nhân làm việc tại đơn vị mình.
Chương VII
ĐIỀU KHOẢN THI HÀNH[11]
Điều 77. Điều khoản thi hành và trách nhiệm thi hành
1. Nghị định này có hiệu lực thi hành từ ngày 01 tháng 8 năm 2024.
2. Các quy định về phát triển và quản lý nhà ở xã hội sau đây hết hiệu lực kể từ ngày Nghị định này có hiệu lực thi hành:
a) Nghị định số 100/2015/NĐ-CP ngày 20 tháng 10 năm 2015 của Chính phủ về phát triển và quản lý nhà ở xã hội;
b) Nghị định số 49/2021/NĐ-CP ngày 01 tháng 4 năm 2021 của Chính phủ sửa đổi, bổ sung một số điều của Nghị định số 100/2015/NĐ-CP ngày 20 tháng 10 năm 2015 của Chính phủ về phát triển và quản lý nhà ở xã hội;
c) Điều 6 và khoản 4 Điều 16 Nghị định số 35/2023/NĐ-CP ngày 20 tháng 6 năm 2023 của Chính phủ sửa đổi, bổ sung một số Nghị định thuộc lĩnh vực quản lý nhà nước của Bộ Xây dựng;
d) Điều 7 Nghị định số 104/2022/NĐ-CP ngày 21 tháng 12 năm 2022 của Chính phủ sửa đổi, bổ sung một số điều của các Nghị định liên quan đến việc xuất trình sổ hộ khẩu, sổ tạm trú giấy khi thực hiện thủ tục hành chính, cung cấp dịch vụ công.
3. Trong giai đoạn đến năm 2030, Ngân hàng Chính sách xã hội chưa thực hiện cho vay đối với chủ đầu tư dự án nhà ở xã hội, nhà ở cho lực lượng vũ trang nhân dân, cá nhân xây dựng hoặc cải tạo, sửa chữa nhà ở để cho thuê theo quy định tại Điều 25, Điều 26 và khoản 3 Điều 71 của Nghị định này.
Sau năm 2030, căn cứ chức năng nhiệm vụ được cấp có thẩm quyền giao, Ngân hàng Chính sách xã hội chủ trì, phối hợp với Bộ Xây dựng và các bộ, ngành có liên quan xây dựng Đề án cho vay đối với chủ đầu tư dự án nhà ở xã hội, nhà ở cho lực lượng vũ trang nhân dân, cá nhân xây dựng hoặc cải tạo, sửa chữa nhà ở để cho thuê theo quy định tại Điều 25, Điều 26 và khoản 3 Điều 71 của Nghị định này trình Chính phủ xem xét, phê duyệt trước khi triển khai thực hiện.
4. Các Bộ trưởng, Thủ trưởng cơ quan ngang bộ, Thủ trưởng cơ quan thuộc Chính phủ, Chủ tịch Ủy ban nhân dân các tỉnh, thành phố trực thuộc Trung ương và các cơ quan, tổ chức, cá nhân có liên quan chịu trách nhiệm thi hành Nghị định này.
Điều 78. Quy định chuyển tiếp
1. Đối với dự án đầu tư xây dựng nhà ở xã hội thực hiện theo hình thức xây dựng - chuyển giao (BT) thực hiện theo quy định của Nghị định số 100/2015/NĐ-CP ngày 20 tháng 10 năm 2015 của Chính phủ thì việc xử lý chuyển tiếp được thực hiện theo quy định của pháp luật về đầu tư theo phương thức đối tác công - tư.
2. Đối với các dự án đầu tư xây dựng nhà ở thương mại, khu đô thị đã có quyết định hoặc chấp thuận chủ trương đầu tư tại thời điểm Nghị định số 100/2015/NĐ-CP ngày 20 tháng 10 năm 2015 của Chính phủ, Nghị định số 49/2021/NĐ-CP ngày 01 tháng 4 năm 2021 của Chính phủ, Nghị định số 35/2023/NĐ-CP ngày 20 tháng 6 năm 2023 của Chính phủ thì chủ đầu tư tiếp tục thực hiện nghĩa vụ nhà ở xã hội theo quy định của các Nghị định nêu trên. Trường hợp điều chỉnh tiến độ thực hiện dự án thì thực hiện theo quy định của pháp luật về đầu tư.
3. Trường hợp dự án đầu tư xây dựng nhà ở xã hội đã được cơ quan có thẩm quyền quyết định hoặc chấp thuận chủ trương đầu tư; chấp thuận đầu tư dự án; quyết định phê duyệt dự án trước ngày Luật Nhà ở số 27/2023/QH15 ngày 27 tháng 11 năm 2023 có hiệu lực thi hành thì chủ đầu tư dự án tiếp tục được hưởng cơ chế ưu đãi theo nội dung văn bản đã được quyết định, chấp thuận, phê duyệt, trừ trường hợp Luật Nhà ở số 27/2023/QH15 và Nghị định này quy định ưu đãi đầu tư mới, ưu đãi đầu tư cao hơn thì chủ đầu tư được hưởng ưu đãi đầu tư theo quy định của Luật Nhà ở số 27/2023/QH15 và Nghị định này cho thời gian hưởng ưu đãi còn lại của dự án đầu tư.
4.[12] Đối với trường hợp dự án đầu tư xây dựng nhà ở thương mại có quy mô dưới 10 ha, chủ đầu tư dự án đã được chấp thuận thực hiện nghĩa vụ nhà ở xã hội theo hình thức nộp bằng tiền trước ngày Nghị định này có hiệu lực thi hành nhưng đến thời điểm Nghị định này có hiệu lực thi hành mà chưa tính, chưa nộp số tiền chủ đầu tư phải nộp tương đương giá trị quỹ đất ở đã đầu tư xây dựng hệ thống hạ tầng kỹ thuật phải dành để xây dựng nhà ở xã hội thì thực hiện tính, thu, nộp theo quy định tại Nghị định này; trường hợp đã tính tiền nhưng chưa nộp tiền thì phải nộp số tiền đã tính và số tiền chậm nộp theo quy định tại khoản 2a Điều 19 của Nghị định này.
Trường hợp dự án đầu tư xây dựng nhà ở thương mại có quy mô dưới 10 ha, chủ đầu tư dự án đã được chấp thuận thực hiện nghĩa vụ nhà ở xã hội theo hình thức nộp bằng tiền trước ngày Nghị định này có hiệu lực thi hành đã tính, đã nộp tiền sử dụng đất, tiền thuê đất theo quy định của pháp luật về đất đai trước ngày Nghị định này có hiệu lực thi hành thì không phải nộp số tiền theo quy định tại điểm b khoản 2 Điều 19 của Nghị định này
5. Đối với dự án phát triển nhà ở thương mại, dự án đầu tư phát triển đô thị đã lựa chọn chủ đầu tư trước thời điểm Nghị định này có hiệu lực thi hành, nhưng chưa bố trí quỹ đất dành để xây dựng nhà ở xã hội theo quy định của pháp luật về nhà ở tại thời điểm dự án được quyết định chủ trương đầu tư, chấp thuận chủ trương đầu tư, chấp thuận đầu tư, phê duyệt dự án mà sau thời điểm Nghị định này có hiệu lực thi hành, dự án đó bị thu hồi theo quy định của pháp luật để giao cho chủ đầu tư khác thì chủ đầu tư dự án đó có trách nhiệm tổ chức lập, điều chỉnh quy hoạch để bố trí bổ sung quỹ đất ở trong dự án để xây dựng nhà ở xã hội theo quy định tại Điều 17 của Nghị định này.
6. Trường hợp dự án đầu tư xây dựng nhà ở xã hội được ưu đãi theo quy định tại điểm b, điểm c khoản 1 Điều 9 của Nghị định số 100/2015/NĐ-CP ngày 20 tháng 10 năm 2015 của Chính phủ (được sửa đổi, bổ sung tương ứng tại điểm a khoản 8 Điều 1 Nghị định số 49/2021/NĐ-CP ngày 01 tháng 4 năm 2021 của Chính phủ, khoản 2 và khoản 5 Điều 6 Nghị định số 35/2023/NĐ-CP ngày 20 tháng 6 năm 2023 của Chính phủ) thì khi chuyển nhượng công trình kinh doanh thương mại, nhà ở thương mại trong phần diện tích được ưu đãi này không phải nộp số tiền sử dụng đất đã được miễn, giảm cho Nhà nước.
7. Trường hợp dự án đầu tư xây dựng nhà ở xã hội đã được cơ quan có thẩm quyền quyết định hoặc chấp thuận chủ trương đầu tư; chấp thuận đầu tư dự án; quyết định phê duyệt dự án và đã được cơ quan nhà nước có thẩm quyền quyết định miễn, giảm tiền sử dụng đất, tiền thuê đất nộp tiền một lần cho cả thời gian thuê trước ngày Luật Nhà ở số 27/2023/QH15 ngày 27 tháng 11 năm 2023 có hiệu lực thi hành thì không xác định lại mức ưu đãi đã được hưởng và tiền sử dụng đất, tiền thuê đất đã được xác định đúng chính sách pháp luật.
8. Chủ đầu tư dự án đầu tư xây dựng nhà ở xã hội không sử dụng nguồn vốn hoặc hình thức quy định tại khoản 1 Điều 53 của Luật Nhà ở số 65/2014/QH13 đã được sửa đổi, bổ sung tại điểm b khoản 6 Điều 99 của Luật Đầu tư theo phương thức đối tác công tư (PPP) số 64/2020/QH14 để cho thuê, cho thuê mua, bán thì được miễn tiền sử dụng đất, tiền thuê đất theo quy định tại điểm a khoản 2 Điều 85 của Luật Nhà ở số 27/2023/QH15 ngày 27 tháng 11 năm 2023.
Ủy ban nhân dân cấp tỉnh xem xét, quyết định việc hoàn trả lại hoặc khấu trừ vào nghĩa vụ tài chính của chủ đầu tư dự án phải nộp cho Nhà nước, kể cả chi phí bồi thường, giải phóng mặt bằng (nếu có) đối với trường hợp chủ đầu tư đã nộp tiền sử dụng đất khi được Nhà nước giao đất hoặc đã nhận chuyển nhượng quyền sử dụng đất từ tổ chức, hộ gia đình, cá nhân khác mà diện tích đất đó được sử dụng để xây dựng nhà ở xã hội hoặc chủ đầu tư dự án đã nộp tiền sử dụng đất đối với quỹ đất 20% theo quy định tại Điều 5 của Nghị định số 100/2015/NĐ-CP ngày 20 tháng 10 năm 2015 của Chính phủ (được sửa đổi, bổ sung tại khoản 4 Điều 1 Nghị định số 49/2021/NĐ-CP ngày 01 tháng 4 năm 2021 của Chính phủ).
9. Trường hợp dự án đầu tư xây dựng nhà ở xã hội đang trong giai đoạn lựa chọn chủ đầu tư dự án đầu tư xây dựng nhà ở xã hội theo quy định của Nghị định số 49/2021/NĐ-CP ngày 01 tháng 4 năm 2021 của Chính phủ mà chưa ban hành văn bản lựa chọn chủ đầu tư theo quy định của Nghị định số 49/2021/NĐ- CP trước ngày Nghị định này có hiệu lực thi hành thì tiếp tục áp dụng theo quy định của Nghị định số 49/2021/NĐ-CP.
10. Đối với trường hợp bán nhà ở xã hội phải nộp tiền sử dụng đất theo quy định của Nghị định số 100/2015/NĐ-CP ngày 20 tháng 10 năm 2015 của Chính phủ (được sửa đổi, bổ sung tại Nghị định số 49/2021/NĐ-CP ngày 01 tháng 4 năm 2021 của Chính phủ) trước ngày Nghị định này có hiệu lực thi hành mà đến ngày Nghị định này có hiệu lực thi hành vẫn chưa nộp tiền sử dụng đất thì tiếp tục nộp tiền theo quy định của Nghị định số 49/2021/NĐ-CP.
11. Việc đăng ký hồ sơ, xét duyệt hồ sơ, thẩm định giá, ký Hợp đồng, mua bán, cho thuê mua, cho thuê, bán lại nhà ở xã hội đang thực hiện theo quy định của Nghị định số 100/2015/NĐ-CP ngày 20 tháng 10 năm 2015 của Chính phủ (được sửa đổi, bổ sung tại Nghị định số 49/2021/NĐ-CP ngày 01 tháng 4 năm 2021 của Chính phủ) trước ngày Nghị định này có hiệu lực thi hành mà đến ngày Nghị định này có hiệu lực thi hành chưa thực hiện xong thì tiếp tục áp dụng theo quy định của Nghị định số 49/2021/NĐ-CP.
12. Trường hợp dự án đầu tư xây dựng nhà ở xã hội đã cho thuê 20% tổng diện tích sàn nhà ở xã hội theo quy định tại khoản 2 Điều 26 Nghị định số 100/2015/NĐ-CP ngày 20 tháng 10 năm 2015 của Chính phủ, nếu người thuê nhà ở có nhu cầu mua nhà ở đang thuê trước thời hạn 05 năm thì chủ đầu tư được phép bán nhà ở cho người đang thuê nếu đảm bảo đối tượng, điều kiện theo quy định của Nghị định này.
13. Đối với dự án đang trong quá trình thực hiện chấp thuận chủ trương đầu tư trước thời điểm Nghị định này có hiệu lực mà quy hoạch chi tiết của dự án chưa phù hợp quy hoạch chung và quy hoạch phân khu thì sự phù hợp với quy hoạch được thẩm định theo quy hoạch chung, quy hoạch phân khu và chỉ tiêu về hệ số sử dụng đất hoặc mật độ xây dựng theo quy định của Luật Nhà ở số 65/2014/QH13 và các văn bản hướng dẫn thi hành.
14. Đối với các khoản vay đã ký Hợp đồng tín dụng với Ngân hàng Chính sách xã hội để mua, thuê mua nhà ở xã hội, xây dựng mới hoặc cải tạo, sửa chữa nhà để ở theo quy định tại Điều 16 Nghị định số 100/2015/NĐ-CP ngày 20 tháng 10 năm 2015 của Chính phủ (được sửa đổi, bổ sung tại Nghị định số 49/2021/NĐ- CP ngày 01 tháng 4 năm 2021 của Chính phủ) trước ngày Nghị định này có hiệu lực thi hành thì áp dụng mức lãi suất theo quy định tại khoản 4 Điều 48 của Nghị định này cho dư nợ gốc thực tế, dư nợ gốc bị quá hạn (nếu có)./.
| BỘ XÂY DỰNG Số: 19/VBHN-BXD | XÁC THỰC VĂN BẢN HỢP NHẤT
Hà Nội, ngày 16 tháng 10 năm 2025
|
| Nơi nhận: | KT. BỘ TRƯỞNG |
PHỤ LỤC I
MẪU ĐƠN ĐỀ NGHỊ THẨM ĐỊNH GIÁ BÁN, GIÁ THUÊ MUA NHÀ Ở XÃ HỘI/GIÁ BÁN, GIÁ THUÊ MUA NHÀ Ở CHO LỰC LƯỢNG VŨ TRANG NHÂN DÂN
(Kèm theo Nghị định số 100/2024/NĐ-CP ngày 26 tháng 7 năm 2024 của Chính phủ)
| TÊN BÊN ĐỀ NGHỊ THẨM ĐỊNH GIÁ | CỘNG HÒA XÃ HỘI CHỦ NGHĨA VIỆT NAM |
| Số:.... V/v đề nghị thẩm định giá bán, giá thuê mua nhà ở xã hội/giá bán, giá thuê mua nhà ở cho lực lượng vũ trang nhân dân | 1....., ngày... tháng... năm...
|
Kính gửi 2:....................................
Thực hiện quy định tại Luật Nhà ở số 27/2023/QH15 ngày 27 tháng 11 năm 2023, Nghị định số.../2024/NĐ-CP ngày... tháng... năm 2024 của Chính phủ quy định chi tiết một số điều của Luật Nhà ở về phát triển và quản lý nhà ở xã hội, 3........... đã lập phương án về giá bán, giá thuê mua nhà ở xã hội/giá bán, giá thuê mua nhà ở cho lực lượng vũ trang nhân dân tại dự án (có phương án giá kèm theo).
Kính đề nghị 2........ xem xét, thẩm định giá bán, giá thuê mua nhà ở xã hội/giá bán, giá thuê mua nhà ở cho lực lượng vũ trang nhân dân tại dự án....... theo quy định hiện hành của pháp luật.
| Nơi nhận: - Như trên; | THỦ TRƯỞNG
|
____________________
1 Tên địa phương nơi có dự án.
2 Cơ quan chuyên môn của Ủy ban nhân dân cấp tỉnh nơi có dự án.
3 Tên bên đề nghị thẩm định giá bán, giá thuê mua nhà ở xã hội/giá bán, giá thuê mua nhà ở cho lực lượng vũ trang nhân dân.
PHỤ LỤC II
MẪU ĐƠN ĐĂNG KÝ MUA, THUÊ MUA, THUÊ NHÀ Ở XÃ HỘI/NHÀ LƯU TRÚ CÔNG NHÂN TRONG KHU CÔNG NGHIỆP/NHÀ Ở CHO LỰC LƯỢNG VŨ TRANG NHÂN DÂN
(Kèm theo Nghị định số 100/2024/NĐ-CP ngày 26 tháng 7 năm 2024 của Chính phủ)
| Mẫu số 01[1] | Đơn đăng ký mua, thuê mua, thuê nhà ở xã hội |
| Mẫu số 02 | Đơn đăng ký thuê nhà lưu trú công nhân trong khu công nghiệp |
| Mẫu số 03 | Đơn đăng ký mua, thuê mua, thuê nhà ở cho lực lượng vũ trang nhân dân |
Mẫu số 01. Đơn đăng ký mua, thuê mua, thuê nhà ở xã hội
CỘNG HÒA XÃ HỘI CHỦ NGHĨA VIỆT NAM
Độc lập - Tự do - Hạnh phúc
---------------
ĐƠN ĐĂNG KÝ MUA, THUÊ MUA, THUÊ NHÀ Ở XÃ HỘI
Hình thức đăng ký[2]: Mua □ Thuê mua □ Thuê □
1. Kính gửi[3]: ………………………….…………………………………….
2. Họ và tên người viết đơn: ………………………………………………..
3. Căn cước công dân số …............... cấp ngày ......../........../.......... tại…....
4. Nghề nghiệp[4]…………………………………………………………...
5. Nơi làm việc[5]: …….…………………………………………………....
6. Nơi ở hiện tại: ………………………………………………………….
7. Đăng ký thường trú (hoặc đăng ký tạm trú) tại: …………….…………
8. Thuộc đối tượng[6]: ……………………………………………………
9. Họ và tên của các thành viên trong hộ gia đình[7] ................................
Căn cước công dân số …................... cấp ngày ......../........../.......... tại…….
10. Thực trạng về nhà ở của tôi như sau:
| 10.1. Chưa có nhà ở thuộc sở hữu của mình |
|
| 10.2. Có nhà ở nhưng diện tích nhà ở bình quân đầu người thấp hơn 15 m2 sàn/người[8] |
|
11. Tôi có mức thu nhập hàng tháng là:
11.1. Đối với đối tượng quy định tại khoản 5, khoản 6 và khoản 8 Điều 76 của Luật Nhà ở số 27/2023/QH15 ngày 27 tháng 11 năm 2023[9] thì đánh dấu vào một trong hai ô dưới đây:
- Trường hợp người đứng đơn là người chưa kết hôn hoặc được xác nhận là độc thân thì có thu nhập bình quân hàng tháng thực nhận không quá 20 triệu đồng tính theo Bảng tiền công, tiền lương do cơ quan, đơn vị, doanh nghiệp nơi đối tượng làm việc xác nhận[10].
- Trường hợp đối tượng là người chưa kết hôn hoặc được xác nhận là độc thân đang nuôi con dưới tuổi thành niên thì thu nhập bình quân hàng tháng thực nhận không quá 30 triệu đồng tính theo Bảng tiền công, tiền lương do cơ quan, đơn vị, doanh nghiệp nơi đối tượng làm việc xác nhận[11].
- Trường hợp người đứng đơn đã kết hôn theo quy định của pháp luật thì người đứng đơn và vợ (chồng) của người đó có tổng thu nhập bình quân hàng tháng thực nhận không quá 40 triệu đồng tính theo Bảng tiền công, tiền lương do cơ quan, đơn vị, doanh nghiệp nơi đối tượng làm việc xác nhận[12].
11.2. Đối với đối tượng quy định tại khoản 7 Điều 76 của Luật Nhà ở[13] thì đánh dấu vào một trong hai ô dưới đây:
- Trường hợp là người độc thân thì có thu nhập hàng tháng thực nhận không quá tổng thu nhập của sỹ quan có cấp bậc hàm Đại tá (gồm lương cơ bản và phụ cấp theo quy định) được cơ quan, đơn vị nơi công tác, quản lý xác nhận.
- Trường hợp đã kết hôn theo quy định của pháp luật:
+ Tôi và vợ (chồng) tôi đều thuộc đối tượng quy định tại khoản 7 Điều 76 của Luật Nhà ở thì có tổng thu nhập hàng tháng thực nhận không quá 2,0 lần tổng thu nhập của sĩ quan có cấp bậc hàm Đại tá (gồm lương cơ bản và phụ cấp theo quy định) được cơ quan, đơn vị nơi công tác, quản lý xác nhận.
+ Vợ (chồng) tôi không thuộc đối tượng quy định tại khoản 7 Điều 76 của Luật Nhà ở thì có tổng thu nhập hàng tháng thực nhận không quá 1,5 lần tổng thu nhập của sĩ quan có cấp bậc hàm Đại tá (gồm lương cơ bản và phụ cấp theo quy định) được cơ quan, đơn vị, doanh nghiệp nơi tôi làm việc xác nhận.
12. Tôi chưa được mua hoặc thuê mua nhà ở xã hội, chưa được hưởng chính sách hỗ trợ nhà ở dưới mọi hình thức tại tỉnh, thành phố trực thuộc trung ương nơi có dự án đầu tư xây dựng nhà ở xã hội.
Tôi xin cam đoan những lời khai trong đơn là đúng sự thực và hoàn toàn chịu trách nhiệm trước pháp luật về các nội dung đã kê khai. Khi được giải quyết[14]…….................................. . nhà ở xã hội, tôi cam kết chấp hành đầy đủ các quy định của Nhà nước về quản lý, sử dụng nhà ở xã hội.
|
| ........., ngày ........ tháng ....... năm ....... |
Mẫu số 02. Đơn đăng ký thuê nhà lưu trú công nhân trong khu công nghiệp
CỘNG HÒA XÃ HỘI CHỦ NGHĨA VIỆT NAM
Độc lập - Tự do - Hạnh phúc
---------------
ĐƠN ĐĂNG KÝ THUÊ NHÀ LƯU TRÚ CÔNG NHÂN TRONG KHU CÔNG NGHIỆP
Kính gửi[15]:....................................
Họ và tên người viết đơn:.....................................................................................
Căn cước công dân số.... cấp ngày......../........../.......... tại.....................................
Thuộc đối tượng:...................................................................................................
Nơi làm việc:.........................................................................................................
Nơi ở hiện tại:.......................................................................................................
Đăng ký thường trú (hoặc đăng ký tạm trú) số................... tại:............................
Tôi cam kết hiện tại không đang thuê nhà ở xã hội hoặc nhà lưu trú công nhân trong khu công nghiệp.
Tôi xin cam đoan những lời khai trong đơn là đúng sự thực và hoàn toàn chịu trách nhiệm trước pháp luật về các nội dung đã kê khai. Khi được giải quyết thuê nhà lưu trú công nhân trong khu công nghiệp, tôi cam kết chấp hành đầy đủ các quy định của Nhà nước về quản lý, sử dụng nhà lưu trú công nhân trong khu công nghiệp.
|
| ........., ngày........ tháng....... năm....... |
Mẫu số 03. Đơn đăng ký mua, thuê mua, thuê nhà ở cho lực lượng vũ trang nhân dân
CỘNG HÒA XÃ HỘI CHỦ NGHĨA VIỆT NAM
Độc lập - Tự do - Hạnh phúc
---------------
ĐƠN ĐĂNG KÝ MUA, THUÊ MUA, THUÊ NHÀ Ở CHO LỰC LƯỢNG VŨ TRANG NHÂN DÂN
Hình thức đăng ký[16]: Mua □ Thuê mua □ Thuê □
1. Kính gửi[17]:..........................................................................................................
2. Họ và tên người viết đơn:.................................................................................
3. Căn cước công dân số.... cấp ngày......../........../.......... tại................................
4. Nơi ở hiện tại:...................................................................................................
5. Đăng ký thường trú (hoặc đăng ký tạm trú) tại:...............................................
6. Thuộc đối tượng[18]:.............................................................................................
7. Họ và tên của các thành viên trong hộ gia đình[19]..........................
Căn cước công dân số.... cấp ngày......../........../.......... tại...........................................................
8. Thực trạng về nhà ở của tôi như sau:
| 8.1. Chưa có nhà ở thuộc sở hữu của mình |
|
| 8.2. Có nhà ở nhưng diện tích nhà ở bình quân đầu người thấp hơn 15 m2 sàn/người |
|
9. Tôi có thu nhập hàng tháng thực nhận là:
9.1. Trường hợp độc thân:.....................................................................................
9.2. Trường hợp đã kết hôn với đối tượng thuộc lực lượng vũ trang nhân dân: tổng thu nhập hàng tháng thực nhận của tôi và vợ/chồng tôi không quá....................
9.3. Trường hợp đã kết hôn với đối tượng không thuộc lực lượng vũ trang nhân dân: tổng thu nhập hàng tháng thực nhận của tôi và vợ/chồng tôi không quá..........................................................................................................................
10. Tôi và những người trong hộ gia đình cam kết chưa được mua, thuê mua nhà ở xã hội, nhà ở cho lực lượng vũ trang nhân dân, chưa được thụ hưởng chính sách hỗ trợ về nhà ở dưới bất kỳ hình thức nào.
Tôi xin cam đoan những lời khai trong đơn là đúng sự thực và hoàn toàn chịu trách nhiệm trước pháp luật về các nội dung đã kê khai. Khi được giải quyết[20]...... nhà ở cho lực lượng vũ trang nhân dân. Tôi cam kết chấp hành đầy đủ các quy định của Nhà nước về quản lý, sử dụng nhà ở cho lực lượng vũ trang nhân dân.
| Xác nhận của cơ quan, đơn vị, doanh nghiệp[21] nơi người viết đơn và vợ (chồng) của người đó là Ông/Bà....... có thu nhập hàng tháng thực nhận là.......... đồng
| ........, ngày..... tháng..... năm.....
|
[1] Nghị định số 261/2025/NĐ-CP sửa đổi, bổ sung một số điều của Nghị định số 100/2024/NĐ-CP ngày 26 tháng 7 năm 2024 của Chính phủ quy định chi tiết một số điều của Luật Nhà ở về phát triển và quản lý nhà ở xã hội và Nghị định số 192/2025/NĐ-CP ngày 01 tháng 7 năm 2025 của Chính phủ quy định chi tiết một số điều và biện pháp thi hành Nghị quyết số 201/2025/QH15 ngày 29 tháng 5 năm 2025 của Quốc hội thí điểm về một số cơ chế, chính sách đặc thù phát triển nhà ở xã hội, có căn cứ ban hành như sau:
“Căn cứ Luật Tổ chức Chính phủ số 63/2025/QH15;
Căn cứ Luật Nhà ở số 27/2023/QH15; Luật sửa đổi, bổ sung một số điều của Luật Đất đai số 31/2024/QH15, Luật Nhà ở số 27/2023/QH15, Luật Kinh doanh bất động sản số 29/2023/QH15 và Luật Các tổ chức tín dụng số 32/2024/QH15;
Căn cứ Nghị quyết số 201/2025/QH15 của Quốc hội thí điểm về một số cơ chế, chính sách đặc thù phát triển nhà ở xã hội;
Theo đề nghị của Bộ trưởng Bộ Xây dựng;
Chính phủ ban hành Nghị định sửa đổi, bổ sung một số điều của Nghị định số 100/2024/NĐ-CP ngày 26 tháng 7 năm 2024 của Chính phủ quy định chi tiết một số điều của Luật Nhà ở về phát triển và quản lý nhà ở xã hội và Nghị định số 192/2025/NĐ-CP ngày 01 tháng 7 năm 2025 của Chính phủ quy định chi tiết một số điều và biện pháp thi hành Nghị quyết số 201/2025/QH15 ngày 29 tháng 5 năm 2025 của Quốc hội thí điểm về một số cơ chế, chính sách đặc thù phát triển nhà ở xã hội.”
[2] Khoản này được sửa đổi, bổ sung theo quy định tại khoản 1 Điều 1 của Nghị định số 261/2025/NĐ-CP sửa đổi, bổ sung một số điều của Nghị định số 100/2024/NĐ-CP ngày 26 tháng 7 năm 2024 của Chính phủ quy định chi tiết một số điều của Luật Nhà ở về phát triển và quản lý nhà ở xã hội và Nghị định số 192/2025/NĐ-CP ngày 01 tháng 7 năm 2025 của Chính phủ quy định chi tiết một số điều và biện pháp thi hành Nghị quyết số 201/2025/QH15 ngày 29 tháng 5 năm 2025 của Quốc hội thí điểm về một số cơ chế, chính sách đặc thù phát triển nhà ở xã hội, có hiệu lực thi hành kể từ ngày 10 tháng 10 năm 2025.
[3] Khoản này được bổ sung theo quy định tại khoản 1 Điều 1 của Nghị định số 261/2025/NĐ-CP sửa đổi, bổ sung một số điều của Nghị định số 100/2024/NĐ-CP ngày 26 tháng 7 năm 2024 của Chính phủ quy định chi tiết một số điều của Luật Nhà ở về phát triển và quản lý nhà ở xã hội và Nghị định số 192/2025/NĐ-CP ngày 01 tháng 7 năm 2025 của Chính phủ quy định chi tiết một số điều và biện pháp thi hành Nghị quyết số 201/2025/QH15 ngày 29 tháng 5 năm 2025 của Quốc hội thí điểm về một số cơ chế, chính sách đặc thù phát triển nhà ở xã hội, có hiệu lực thi hành kể từ ngày 10 tháng 10 năm 2025.
[4] Khoản này được sửa đổi, bổ sung theo quy định tại khoản 1 Điều 1 của Nghị định số 261/2025/NĐ-CP sửa đổi, bổ sung một số điều của Nghị định số 100/2024/NĐ-CP ngày 26 tháng 7 năm 2024 của Chính phủ quy định chi tiết một số điều của Luật Nhà ở về phát triển và quản lý nhà ở xã hội và Nghị định số 192/2025/NĐ-CP ngày 01 tháng 7 năm 2025 của Chính phủ quy định chi tiết một số điều và biện pháp thi hành Nghị quyết số 201/2025/QH15 ngày 29 tháng 5 năm 2025 của Quốc hội thí điểm về một số cơ chế, chính sách đặc thù phát triển nhà ở xã hội, có hiệu lực thi hành kể từ ngày 10 tháng 10 năm 2025.
[5] Khoản này được sửa đổi, bổ sung theo quy định tại khoản 1 Điều 1 của Nghị định số 261/2025/NĐ-CP sửa đổi, bổ sung một số điều của Nghị định số 100/2024/NĐ-CP ngày 26 tháng 7 năm 2024 của Chính phủ quy định chi tiết một số điều của Luật Nhà ở về phát triển và quản lý nhà ở xã hội và Nghị định số 192/2025/NĐ-CP ngày 01 tháng 7 năm 2025 của Chính phủ quy định chi tiết một số điều và biện pháp thi hành Nghị quyết số 201/2025/QH15 ngày 29 tháng 5 năm 2025 của Quốc hội thí điểm về một số cơ chế, chính sách đặc thù phát triển nhà ở xã hội, có hiệu lực thi hành kể từ ngày 10 tháng 10 năm 2025.
[6] Khoản này được sửa đổi, bổ sung theo quy định tại khoản 2 Điều 1 của Nghị định số 261/2025/NĐ-CP sửa đổi, bổ sung một số điều của Nghị định số 100/2024/NĐ-CP ngày 26 tháng 7 năm 2024 của Chính phủ quy định chi tiết một số điều của Luật Nhà ở về phát triển và quản lý nhà ở xã hội và Nghị định số 192/2025/NĐ-CP ngày 01 tháng 7 năm 2025 của Chính phủ quy định chi tiết một số điều và biện pháp thi hành Nghị quyết số 201/2025/QH15 ngày 29 tháng 5 năm 2025 của Quốc hội thí điểm về một số cơ chế, chính sách đặc thù phát triển nhà ở xã hội, có hiệu lực thi hành kể từ ngày 10 tháng 10 năm 2025.
[7] Khoản này được sửa đổi, bổ sung theo quy định tại khoản 2 Điều 1 của Nghị định số 261/2025/NĐ-CP sửa đổi, bổ sung một số điều của Nghị định số 100/2024/NĐ-CP ngày 26 tháng 7 năm 2024 của Chính phủ quy định chi tiết một số điều của Luật Nhà ở về phát triển và quản lý nhà ở xã hội và Nghị định số 192/2025/NĐ-CP ngày 01 tháng 7 năm 2025 của Chính phủ quy định chi tiết một số điều và biện pháp thi hành Nghị quyết số 201/2025/QH15 ngày 29 tháng 5 năm 2025 của Quốc hội thí điểm về một số cơ chế, chính sách đặc thù phát triển nhà ở xã hội, có hiệu lực thi hành kể từ ngày 10 tháng 10 năm 2025.
[8] Điểm này được sửa đổi, bổ sung theo quy định tại khoản 3 Điều 1 của Nghị định số 261/2025/NĐ-CP sửa đổi, bổ sung một số điều của Nghị định số 100/2024/NĐ-CP ngày 26 tháng 7 năm 2024 của Chính phủ quy định chi tiết một số điều của Luật Nhà ở về phát triển và quản lý nhà ở xã hội và Nghị định số 192/2025/NĐ-CP ngày 01 tháng 7 năm 2025 của Chính phủ quy định chi tiết một số điều và biện pháp thi hành Nghị quyết số 201/2025/QH15 ngày 29 tháng 5 năm 2025 của Quốc hội thí điểm về một số cơ chế, chính sách đặc thù phát triển nhà ở xã hội, có hiệu lực thi hành kể từ ngày 10 tháng 10 năm 2025.
[9] Khoản này được sửa đổi, bổ sung theo quy định tại khoản 4 Điều 1 Nghị định số 261/2025/NĐ-CP sửa đổi, bổ sung một số điều của Nghị định số 100/2024/NĐ-CP ngày 26 tháng 7 năm 2024 của Chính phủ quy định chi tiết một số điều của Luật Nhà ở về phát triển và quản lý nhà ở xã hội và Nghị định số 192/2025/NĐ-CP ngày 01 tháng 7 năm 2025 của Chính phủ quy định chi tiết một số điều và biện pháp thi hành Nghị quyết số 201/2025/QH15 ngày 29 tháng 5 năm 2025 của Quốc hội thí điểm về một số cơ chế, chính sách đặc thù phát triển nhà ở xã hội, có hiệu lực thi hành kể từ ngày 10 tháng 10 năm 2025.
[10] Điểm này được sửa đổi, bổ sung theo quy định tại khoản 5 Điều 1 của Nghị định số 261/2025/NĐ-CP sửa đổi, bổ sung một số điều của Nghị định số 100/2024/NĐ-CP ngày 26 tháng 7 năm 2024 của Chính phủ quy định chi tiết một số điều của Luật Nhà ở về phát triển và quản lý nhà ở xã hội và Nghị định số 192/2025/NĐ-CP ngày 01 tháng 7 năm 2025 của Chính phủ quy định chi tiết một số điều và biện pháp thi hành Nghị quyết số 201/2025/QH15 ngày 29 tháng 5 năm 2025 của Quốc hội thí điểm về một số cơ chế, chính sách đặc thù phát triển nhà ở xã hội, có hiệu lực thi hành kể từ ngày 10 tháng 10 năm 2025.
[11] Khoản 1, khoản 3 Điều 3, khoản 1, khoản 2 Điều 4, Điều 5 của Nghị định số 261/2025/NĐ-CP sửa đổi, bổ sung một số điều của Nghị định số 100/2024/NĐ-CP ngày 26 tháng 7 năm 2024 của Chính phủ quy định chi tiết một số điều của Luật Nhà ở về phát triển và quản lý nhà ở xã hội và Nghị định số 192/2025/NĐ-CP ngày 01 tháng 7 năm 2025 của Chính phủ quy định chi tiết một số điều và biện pháp thi hành Nghị quyết số 201/2025/QH15 ngày 29 tháng 5 năm 2025 của Quốc hội thí điểm về một số cơ chế, chính sách đặc thù phát triển nhà ở xã hội, có hiệu lực thi hành kể từ ngày 10 tháng 10 năm 2025 quy định như sau:
“Điều 3. Điều khoản chuyển tiếp
1. Đối với các khoản vay đã ký Hợp đồng tín dụng với Ngân hàng Chính sách xã hội để mua, thuê mua nhà ở xã hội, nhà ở cho lực lượng vũ trang nhân dân, xây dựng hoặc cải tạo, sửa chữa nhà ở trước ngày Nghị định này có hiệu lực thi hành thì được điều chỉnh hợp đồng tín dụng để áp dụng mức lãi suất theo quy định tại khoản 4 Điều 1 của Nghị định này cho dư nợ gốc thực tế, dư nợ gốc bị quá hạn (nếu có).
3. Trường hợp đã ký hợp đồng thuê, thuê mua nhà ở xã hội trước thời điểm Nghị định này có hiệu lực thi hành nhưng kể từ ngày Nghị định này có hiệu lực thi hành mà có nhu cầu mua nhà ở xã hội đang thuê, đang thuê mua thì việc xác định điều kiện về thu nhập và điều kiện về nhà ở được thực hiện theo quy định tại Nghị định này và Nghị quyết số 201/2025/QH15, trừ trường hợp mua nhà ở xã hội theo quy định tại khoản 9 Điều 88 của Luật Nhà ở số 27/2023/QH15 đã được sửa đổi, bổ sung một số điều theo Luật số 43/2024/QH15.
Điều 4. Hiệu lực thi hành
1. Nghị định này có hiệu lực thi hành từ ngày 10 tháng 10 năm 2025.
2. Bãi bỏ khoản 5 Điều 6 và khoản 8 Điều 50 Nghị định số 103/2024/NĐ-CP ngày 30 tháng 7 năm 2024 của Chính phủ quy định về tiền sử dụng đất, tiền thuê đất.
Điều 5. Trách nhiệm tổ chức thực hiện
1. Bộ trưởng Bộ Xây dựng có trách nhiệm hướng dẫn và tổ chức thực hiện Nghị định này.
2. Các Bộ trưởng, Thủ trưởng cơ quan ngang bộ, Thủ trưởng cơ quan thuộc Chính phủ, Chủ tịch Ủy ban nhân dân tỉnh, thành phố trực thuộc trung ương và các cơ quan liên quan chịu trách nhiệm tổ chức thực hiện Nghị định này”.
[12] Khoản này được sửa đổi, bổ sung theo quy định tại khoản 6 Điều 1 của Nghị định số 261/2025/NĐ-CP sửa đổi, bổ sung một số điều của Nghị định số 100/2024/NĐ-CP ngày 26 tháng 7 năm 2024 của Chính phủ quy định chi tiết một số điều của Luật Nhà ở về phát triển và quản lý nhà ở xã hội và Nghị định số 192/2025/NĐ-CP ngày 01 tháng 7 năm 2025 của Chính phủ quy định chi tiết một số điều và biện pháp thi hành Nghị quyết số 201/2025/QH15 ngày 29 tháng 5 năm 2025 của Quốc hội thí điểm về một số cơ chế, chính sách đặc thù phát triển nhà ở xã hội, có hiệu lực thi hành kể từ ngày 10 tháng 10 năm 2025.
[1] Mẫu đơn này được sửa đổi, bổ sung theo quy định tại khoản 7 Điều 1 và Phụ lục ban hành kèm theo Nghị định số 261/2025/NĐ-CP sửa đổi, bổ sung một số điều của Nghị định số 100/2024/NĐ-CP ngày 26 tháng 7 năm 2024 của Chính phủ quy định chi tiết một số điều của Luật Nhà ở về phát triển và quản lý nhà ở xã hội và Nghị định số 192/2025/NĐ-CP ngày 01 tháng 7 năm 2025 của Chính phủ quy định chi tiết một số điều và biện pháp thi hành Nghị quyết số 201/2025/QH15 ngày 29 tháng 5 năm 2025 của Quốc hội thí điểm về một số cơ chế, chính sách đặc thù phát triển nhà ở xã hội, có hiệu lực thi hành kể từ ngày 10 tháng 10 năm 2025.
[2] Đánh dấu vào ô mà người viết đơn có nhu cầu đăng ký.
[3] Ghi tên chủ đầu tư xây dựng nhà ở xã hội.
[4] Nếu đang làm việc tại cơ quan, tổ chức thì ghi rõ nghề nghiệp, nếu là lao động tự do thì ghi là lao động tự do, nếu đã nghỉ hưu thì ghi đã nghỉ hưu...
[5] Nếu đang làm việc thì mới ghi vào mục này, trừ đối tượng là sĩ quan, quân nhân chuyên nghiệp, hạ sĩ quan thuộc lực lượng vũ trang nhân dân, công nhân công an, công chức, công nhân và viên chức quốc phòng đang phục vụ tại ngũ; người làm công tác cơ yếu, người làm công tác khác trong tổ chức cơ yếu hưởng lương từ ngân sách nhà nước đang công tác.
[6] Ghi rõ người có đơn thuộc đối tượng theo quy định được hỗ trợ nhà ở xã hội.
[7] Ghi rõ họ tên và mối quan hệ của từng thành viên với người đứng đơn.
[8] Đối với trường hợp độc thân: diện tích nhà ở bình quân đầu người đối với người đó.
Đối với trường hợp hộ gia đình: diện tích nhà ở bình quân đầu người đối với người đề nghị xác nhận, vợ/chồng người đề nghị xác nhận (nếu có), cha, mẹ của người đề nghị xác nhận bao gồm cả cha, mẹ vợ/chồng của người đó (nếu có) và các con của người đề nghị xác nhận (nếu có).
[9] Người thu nhập thấp tại khu vực đô thị (khoản 5 Điều 76); công nhân, người lao động đang làm việc tại doanh nghiệp, hợp tác xã, liên hiệp hợp tác xã trong và ngoài khu công nghiệp (khoản 6 Điều 76); cán bộ, công chức, viên chức theo quy định của pháp luật về cán bộ, công chức, viên chức (khoản 8 Điều 76).
[10] Trường hợp đối tượng là người thu nhập thấp khu vực đô thị không có hợp đồng lao động, nếu là người chưa kết hôn hoặc được xác nhận là độc thân thì có thu nhập bình quân hàng tháng thực nhận không quá 20 triệu đồng. Cơ quan Công an cấp xã nơi thường trú/tạm trú hoặc nơi ở tại thời điểm đối tượng đề nghị xác nhận xác nhận điều kiện về thu nhập.
[11] Trường hợp đối tượng là người thu nhập thấp khu vực đô thị không có hợp đồng lao động, nếu là người chưa kết hôn hoặc được xác nhận là độc thân đang nuôi con dưới tuổi thành niên thì thu nhập bình quân hàng tháng thực nhận không quá 30 triệu đồng. Cơ quan Công an cấp xã nơi thường trú/tạm trú hoặc nơi ở tại thời điểm đối tượng đề nghị xác nhận xác nhận điều kiện về thu nhập.
[12] Trường hợp đối tượng là người thu nhập thấp khu vực đô thị không có hợp đồng lao động, nếu đã kết hôn theo quy định của pháp luật thì tổng thu nhập bình quân hàng tháng thực nhận không quá 40 triệu đồng. Công an cấp xã nơi thường trú/tạm trú hoặc nơi ở tại thời điểm đối tượng đề nghị xác nhận xác nhận điều kiện về thu nhập.
[13] Sỹ quan, quân nhân chuyên nghiệp, hạ sỹ quan thuộc lực lượng vũ trang nhân dân, công nhân công an, công chức, công nhân và viên chức quốc phòng đang phục vụ tại ngũ; người làm công tác cơ yếu, người làm công tác khác trong tổ chức cơ yếu hưởng lương từ ngân sách nhà nước đang công tác (khoản 7 Điều 76).
[14] Ghi rõ hình thức được giải quyết chính sách hỗ trợ về nhà ở xã hội (mua, thuê mua, thuê).
[15] Ghi tên chủ đầu tư dự án đầu tư xây dựng nhà lưu trú công nhân trong khu công nghiệp.
[16] Đánh dấu vào ô mà người viết đơn có nhu cầu đăng ký
[17] Ghi tên Cơ quan quản lý nhà ở của Bộ Quốc phòng, Bộ Công an thuộc phạm vi quản lý.
[18] Ghi rõ người có đơn thuộc đối tượng theo quy định được hỗ trợ nhà ở cho lực lượng vũ trang nhân dân.
[19] Ghi rõ họ tên và mỗi quan hệ của từng thành viên với người đứng đơn.
[20] Ghi rõ hình thức được giải quyết chính sách hỗ trợ về nhà ở cho lực lượng vũ trang nhân dân (mua, thuê mua, thuê).
[21] Thực hiện xác nhận của các cơ quan, đơn vị, doanh nghiệp theo quy định tại Điều 67 của Nghị định này.
Bạn chưa Đăng nhập thành viên.
Đây là tiện ích dành cho tài khoản thành viên. Vui lòng Đăng nhập để xem chi tiết. Nếu chưa có tài khoản, vui lòng Đăng ký tại đây!
Bạn chưa Đăng nhập thành viên.
Đây là tiện ích dành cho tài khoản thành viên. Vui lòng Đăng nhập để xem chi tiết. Nếu chưa có tài khoản, vui lòng Đăng ký tại đây!