- Tổng quan
- Nội dung
- VB gốc
- Tiếng Anh
- Hiệu lực
- VB liên quan
- Lược đồ
-
Nội dung hợp nhất
Tính năng này chỉ có tại LuatVietnam.vn. Nội dung hợp nhất tổng hợp lại tất cả các quy định còn hiệu lực của văn bản gốc và các văn bản sửa đổi, bổ sung, đính chính... trên một trang. Việc hợp nhất văn bản gốc và những văn bản, Thông tư, Nghị định hướng dẫn khác không làm thay đổi thứ tự điều khoản, nội dung.
Khách hàng chỉ cần xem Nội dung hợp nhất là có thể nắm bắt toàn bộ quy định hiện hành đang áp dụng, cho dù văn bản gốc đã qua nhiều lần chỉnh sửa, bổ sung.
- Tải về
Thông tư 08/2014/TT-BXD hướng dẫn Nghị định 188/2013/NĐ-CP về nhà ở xã hội
| Cơ quan ban hành: | Bộ Xây dựng |
Số công báo:
Số công báo là mã số ấn phẩm được đăng chính thức trên ấn phẩm thông tin của Nhà nước. Mã số này do Chính phủ thống nhất quản lý.
|
Đã biết
|
| Số hiệu: | 08/2014/TT-BXD | Ngày đăng công báo: |
Đã biết
|
| Loại văn bản: | Thông tư | Người ký: | Nguyễn Trần Nam |
|
Ngày ban hành:
Ngày ban hành là ngày, tháng, năm văn bản được thông qua hoặc ký ban hành.
|
23/05/2014 |
Ngày hết hiệu lực:
Ngày hết hiệu lực là ngày, tháng, năm văn bản chính thức không còn hiệu lực (áp dụng).
|
Đã biết
|
|
Áp dụng:
Ngày áp dụng là ngày, tháng, năm văn bản chính thức có hiệu lực (áp dụng).
|
Đã biết
|
Tình trạng hiệu lực:
Cho biết trạng thái hiệu lực của văn bản đang tra cứu: Chưa áp dụng, Còn hiệu lực, Hết hiệu lực, Hết hiệu lực 1 phần; Đã sửa đổi, Đính chính hay Không còn phù hợp,...
|
Đã biết
|
| Lĩnh vực: | Đất đai-Nhà ở |
TÓM TẮT THÔNG TƯ 08/2014/TT-BXD
Điều kiện được mua, thuê mua nhà ở xã hội
Ngày 23/05/2014, Bộ Xây dựng đã ban hành Thông tư số 08/2014/TT-BXD hướng dẫn thực hiện một số nội dung của Nghị định số 188/2013/NĐ-CP ngày 20/11/2013 của Chính phủ về phát triển và quản lý nhà ở xã hội, quy định, người có công với cách mạng, cán bộ, công chức, viên chức trong cơ quan hành chính, sự nghiệp, cơ quan Đảng và đoàn thể hưởng lương từ ngân sách Nhà nước, sĩ quan, quân nhân chuyên nghiệp; người thuộc diện hộ gia đình nghèo tại khu vực đô thị nằm trong chuẩn nghèo do Thủ tướng Chính phủ quy định và người cao tuổi độc thân, cô đơn không nơi nương tựa tại các khu vực đô thị... muốn mua, thuê, thuê mua nhà ở xã hội do các thành phần kinh tế đầu tư xây dựng bằng nguồn vốn ngoài ngân sách phải thuộc diện có khó khăn về nhà ở và đáp ứng những điều kiện nhất định về cư trú.
Trong đó, đối tượng có khó khăn về nhà ở phải chưa có nhà ở và đang phải ở nhờ, thuê, mượn nhà ở của người khác hoặc có nhà ở nhưng đã bị Nhà nước thu hồi đất để phục vụ công tác giải phóng mặt bằng và không được bồi thường bằng nhà ở, đất khác; chưa được Nhà nước giao đất ở; chưa được thuê, mua, thuê mua nhà ở thuộc sở hữu Nhà nước hay nhà ở xã hội tại các dự án khác hoặc chưa được tặng nhà tình thương, nhà tình nghĩa. Trường hợp người nộp đơn đề nghị mua, thuê, thuê mua nhà ở đã có nhà ở thuộc sở hữu của mình, thì nhà ở (nhà ở riêng lẻ hay căn hộ chung cư) phải có diện tích bình quân của hộ gia đình dưới 08 m2 sàn/người hoặc nhà bị hư hỏng khung - tường, mái và diện tích khuôn viên đất của nhà ở đó thấp hơn tiêu chuẩn diện tích đất tối thiểu thuộc diện được phép cải tạo, xây dựng (đối với nhà ở riêng lẻ).
Về điều kiện cư trú, đối tượng mua, thuê, thuê mua nhà ở xã hội phải có hộ khẩu thường trú tại tỉnh, thành phố trực thuộc Trung ương nơi có nhà ở xã hội do các thành phần kinh tế đầu tư xây dựng. Trường hợp không có hộ khẩu thường trú, người có nhu cầu mua nhà ở phải có đăng ký tạm trú, có hợp đồng lao động có thời hạn từ 01 năm trở lên và giấy xác nhận (hoặc giấy tờ chứng minh) về việc có đóng bảo hiểm xã hội của cơ quan bảo hiểm tại tỉnh, thành phố trực thuộc Trung ương nơi có nhà ở xã hội.
Riêng đối với trường hợp thuê mua nhà ở xã hội, ngoài các điều kiện nêu trên, còn phải nộp lần đầu số tiền bằng 20% giá trị của nhà ở thuê mua, số tiền còn lại được thanh toán theo thỏa thuận với bên cho thuê mua với thời hạn tối thiểu là 05 năm kể từ thời điểm bên cho thuê mua bàn giao nhà ở cho bên thuê mua.
Cũng theo Thông tư này, giá bán, giá cho thuê mua nhà ở xã hội do chủ đầu tư dự án xác định trên cơ sở đảm bảo nguyên tắc tắc tính đủ các chi phí để thu hồi vốn, kể cả lãi vay (nếu có) và lợi nhuận định mức của toàn bộ dự án không vượt quá 10% hoặc 15% tổng chi phí đầu tư (đối với trường hợp cho thuê, cho thuê mua)... Giá bán, cho thuê, cho thuê mua căn hộ chung cư được xác định theo diện tích sử dụng căn hộ (diện tích thông thủy). Trường hợp các bên đã ký hợp đồng trước ngày 08/07/2014, việc xác định diện tích căn hộ thực hiện theo thỏa thuận trong hợp đồng mà các bên đã ký kết.
Thông tư này có hiệu lực thi hành kể từ ngày 08/07/2014.
Xem chi tiết Thông tư 08/2014/TT-BXD có hiệu lực kể từ ngày 08/07/2014
Tải Thông tư 08/2014/TT-BXD
|
BỘ XÂY DỰNG Số: 08/2014/TT-BXD |
CỘNG HÒA XÃ HỘI CHỦ NGHĨA VIỆT NAM Hà Nội, ngày 23 tháng 5 năm 2014 |
THÔNG TƯ
HƯỚNG DẪN THỰC HIỆN MỘT SỐ NỘI DUNG CỦA NGHỊ ĐỊNH SỐ 188/2013/NĐ-CP NGÀY 20 THÁNG 11 NĂM 2013 CỦA CHÍNH PHỦ VỀ PHÁT TRIỂN VÀ QUẢN LÝ NHÀ Ở XÃ HỘI
Căn cứ Nghị định số 62/20013/NĐ ngày 25 tháng 6 năm 2013 của Chính phủ quy định chức năng, nhiệm vụ, quyền hạn và cơ cấu tổ chức của Bộ Xây dựng;
Căn cứ Nghị định số 188/2013/NĐ-CP ngày 20 tháng 11 năm 2013 của Chính phủ về phát triển và quản lý nhà ở xã hội;
Theo đề nghị của Cục trưởng Cục quản lý nhà và thị trường bất động sản;
Bộ trưởng Bộ Xây dựng ban hành Thông tư hướng dẫn thực hiện một số nội dung Nghị định số 188/2013/NĐ-CP ngày 20 tháng 11 năm 2013 của Chính phủ về phát triển và quản lý nhà ở xã hội.
Chương I
QUY ĐỊNH CHUNG
Điều 1. Phạm vi điều chỉnh
1. Thông tư này hướng dẫn thực hiện một số nội dung của Nghị định số 188/2013/NĐ-CP ngày 20 tháng 11 năm 2013 của Chính phủ về phát triển và quản lý nhà ở xã hội (sau đây gọi tắt là Nghị định 188/2013/NĐ-CP) về: Tiêu chuẩn thiết kế nhà ở xã hội; trình tự, thủ tục và hồ sơ xin chấp thuận đầu tư dự án nhà ở xã hội; chủ đầu tư dự án nhà ở xã hội; trình tự, thủ tục thực hiện việc bán, cho thuê, thuê mua nhà ở xã hội; hợp đồng mua bán, cho thuê, thuê mua nhà ở xã hội; quản lý việc sử dụng, vận hành và khai thác nhà ở quỹ xã hội được đầu tư xây dựng theo dự án; quản lý chất lượng, khai thác và quản lý sử dụng nhà ở xã hội do các hộ gia đình, cá nhân xây dựng.
2. Quy định cụ thể về các cơ chế ưu đãi liên quan đến chính sách tài chính, thuế (miễn, giảm tiền sử dụng đất, thuế giá trị gia tăng, thuế thu nhập doanh nghiệp và các loại thuế khác theo quy định của pháp luật) áp dụng đối với các dự án phát triển nhà ở xã hội và nhà ở xã hội do hộ gia đình, cá nhân đầu tư xây dựng; việc cho vay vốn ưu đãi đối với các chủ đầu tư dự án phát triển nhà ở xã hội và hộ gia đình, cá nhân tham gia đầu tư xây dựng nhà ở xã hội thực hiện theo quy định của cơ quan nhà nước có thẩm quyền ban hành.
3. Việc quản lý sử dụng và bán, cho thuê, thuê mua nhà ở xã hội thuộc sở hữu nhà nước không thuộc phạm vi điều chỉnh của Thông tư này.
Điều 2. Đối tượng áp dụng
Thông tư này áp dụng đối với tất cả các tổ chức, hộ gia đình, cá nhân và các cơ quan quản lý nhà nước có liên quan đến lĩnh vực nhà ở xã hội theo quy định tại Điều 2 Nghị định 188/2013/NĐ-CP.
Điều 3. Nguyên tắc phát triển và quản lý, khai thác, vận hành nhà ở xã hội
1. Việc phát triển nhà ở xã hội phải tuân thủ theo quy hoạch xây dựng được cơ quan có thẩm quyền phê duyệt và tiêu chuẩn, quy chuẩn do cơ quan có thẩm quyền ban hành; bảo đảm đồng bộ về hệ thống hạ tầng kỹ thuật và hạ tầng xã hội; nhà ở xã hội phải được quản lý chặt chẽ trong quá trình sử dụng, khai thác vận hành, bảo đảm an toàn, an ninh, vệ sinh và môi trường.
2. Trường hợp chủ đầu tư dự án nhà ở thương mại, khu đô thị mới phải dành quỹ đất 20% để xây dựng nhà ở xã hội, nhưng chủ đầu tư không có nhu cầu sử dụng quỹ đất này để đầu tư xây dựng nhà ở xã hội mà chuyển giao quỹ đất này cho Ủy ban nhân dân cấp tỉnh nơi có dự án thì việc lựa chọn chủ đầu tư dự án (mới) thực hiện theo nguyên tắc quy định tại Khoản 2, Khoản 3 Điều 9 Nghị định 188/2013/NĐ-CP, bảo đảm không thay đổi mục đích sử dụng đất dành để xây dựng nhà ở xã hội theo quy hoạch đã được cơ quan có thẩm quyền phê duyệt.
3. Việc quản lý vận hành nhà ở xã hội do chủ đầu tư trực tiếp thực hiện hoặc giao cho đơn vị có chức năng về quản lý vận hành nhà ở thực hiện theo quy định của pháp luật về nhà ở hiện hành và quy định của Thông tư này.
4. Người mua, thuê, thuê mua nhà ở ngoài trách nhiệm trả tiền mua, thuê, thuê mua nhà ở xã hội còn phải nộp chi phí quản lý vận hành nhà ở theo quy định tại Điều 27 của Thông tư này.
5. Đối với phần kinh doanh thương mại quy định tại Điểm l Khoản 1 Điều 12 Nghị định 188/2013/NĐ-CP (được xác định cụ thể trong dự án phát triển nhà ở xã hội được cấp có thẩm quyền phê duyệt) thì chủ đầu tư hoặc đơn vị quản lý vận hành được bán, cho thuê, cho thuê mua theo giá thị trường để bù đắp chi phí đầu tư của dự án.
Trường hợp chủ đầu tư dự án dành 20% tổng quỹ đất được giao trong phạm vi dự án phát triển nhà ở xã hội để đầu tư xây dựng công trình kinh doanh thương mại là nhà ở thương mại thì được phép áp dụng tiêu chuẩn thiết kế nhà ở thương mại theo quy định của pháp luật về nhà ở hiện hành.
Việc khai thác kinh doanh phải bảo đảm công khai, minh bạch trên cơ sở hoạch toán trong quá trình xác định giá bán, cho thuê, cho thuê mua nhà ở xã hội (nêu rõ phần nào bù đắp chi phí để giảm giá bán, cho thuê, cho thuê mua, phần nào bù đắp chi phí quản lý vận hành, phần nào bù đắp chi phí bảo trì nhà ở). Cơ quan quản lý nhà nước có thẩm quyền tại địa phương có trách nhiệm kiểm tra việc hạch toán này của chủ đầu tư dự án.
Việc hạch toán các chi phí bán, cho thuê công trình thương mại trong dự án nhà ở xã hội được thực hiện trong phương án cân đối tài chính của toàn bộ dự án theo quy định cụ thể tại Điểm c Khoản 1 Điều 18 của Thông tư này.
Chương II
QUY ĐỊNH VỀ PHÁT TRIỂN NHÀ Ở XÃ HỘI
Mục I. PHÁT TRIỂN NHÀ Ở XÃ HỘI THEO DỰ ÁN
Điều 4. Tiêu chuẩn thiết kế
1. Trường hợp dự án được đầu tư xây dựng bằng một phần hoặc toàn bộ vốn ngân sách nhà nước tại khu vực đô thị (có vốn ngân sách chiếm từ 30% tổng mức đầu tư của dự án trở lên, trong đó không bao gồm tiền sử dụng đất và các khoản chi phí hỗ trợ hạ tầng) thì tiêu chuẩn thiết kế được thực hiện theo quy định tại Khoản 1, Khoản 2 và Khoản 4 Điều 47 của Luật Nhà ở. Tại các khu vực khác không phải là đô thị thì có thể xây dựng nhà ở riêng lẻ, với diện tích đất xây dựng mỗi căn nhà không vượt quá 70m2, hệ số sử dụng đất không vượt quá 2, 0 lần và bảo đảm phù hợp với quy hoạch do cơ quan nhà nước có thẩm quyền phê duyệt.
2. Trường hợp dự án được đầu tư xây dựng bằng nguồn vốn ngoài ngân sách nhà nước thì phải thực hiện theo quy định sau đây:
a) Tiêu chuẩn thiết kế phải đáp ứng theo quy định tại Điểm b, Khoản 1 Điều 7 Nghị định 188/2013/NĐ-CP;
b) Trường hợp nhà ở xã hội là nhà chung cư thì tiêu chuẩn thiết kế căn hộ được xác định theo diện tích sử dụng (diện tích thông thủy);
c) Trường hợp đầu tư xây dựng nhà ở xã hội liền kề thấp tầng thì phải được Chủ tịch Ủy ban nhân dân cấp tỉnh chấp thuận. Đối với dự án phát triển nhà ở xã hội tại các đô thị loại đặc biệt, loại 1 và loại 2 thì Ủy ban nhân dân cấp tỉnh có trách nhiệm lấy ý kiến thống nhất của Bộ Xây dựng trước khi chấp thuận cho phép chủ đầu tư dự án xây dựng nhà ở xã hội liền kề thấp tầng. Trong thời hạn tối đa là 15 ngày làm việc, kể từ ngày nhận được văn bản xin ý kiến, Bộ Xây dựng có trách nhiệm trả lời bằng văn bản.
Nhà ở xã hội liền kề thấp tầng phải bảo đảm quy định diện tích đất xây dựng mỗi căn nhà không vượt quá 70m2, hệ số sử dụng đất không vượt quá 2, 0 lần và phù hợp với quy hoạch do cơ quan nhà nước có thẩm quyền phê duyệt.
3. Chủ đầu tư dự án nhà ở xã hội xây dựng bằng nguồn vốn ngoài ngân sách nhà nước được dành tỷ lệ diện tích đất trong phạm vi dự án hoặc tỷ lệ diện tích sàn nhà ở của dự án để bố trí công trình kinh doanh thương mại (kể cả nhà ở thương mại) theo quy định sau đây:
a) Được dành 20% tổng diện tích đất ở trong phạm vi dự án phát triển nhà ở xã hội (bao gồm cả dự án sử dụng quỹ đất 20%) để đầu tư xây dựng công trình kinh doanh thương mại (kể cả nhà ở thương mại cao tầng hoặc thấp tầng) nhằm bù đắp chi phí đầu tư, góp phần giảm giá bán, giá cho thuê, thuê mua nhà ở xã hội và giảm chi phí dịch vụ quản lý, vận hành nhà ở xã hội sau khi đầu tư.
b) Đối với trường hợp dự án phát triển nhà ở xã hội mà phương án quy hoạch chi tiết do cơ quan nhà nước có thẩm quyền phê duyệt không bố trí quỹ đất riêng để xây dựng công trình kinh doanh thương mại trong phạm vi dự án thì chủ đầu tư được phép dành 20% tổng diện tích sàn nhà ở của dự án đó để bán, cho thuê, thuê mua theo giá kinh doanh thương mại.
c) Phần diện tích dành để kinh doanh thương mại của dự án phải được hạch toán chung vào toàn bộ dự án phát triển nhà ở xã hội và bảo đảm nguyên tắc lợi nhuận định mức tối đa theo quy định. Nguyên tắc hạch toán để xác định giá bán, cho thuê, cho thuê mua thực hiện theo quy định tại Điều 18 của Thông tư này.
d) Ngoài phần diện tích kinh doanh thương mại nêu tại Điểm c Khoản này, chủ đầu tư dự án có trách nhiệm bố trí phần diện tích để phục vụ nhu cầu sinh hoạt chung của các hộ dân cư trong phạm vi dự án (khu vực sinh hoạt cộng đồng, để xe và các công trình hạ tầng thiết yếu khác). Phần diện tích này được xác định trên cơ sở quy chuẩn, tiêu chuẩn hiện hành và phương án quy hoạch - kiến trúc do cơ quan có thẩm quyền phê duyệt.
Điều 5. Trình tự, thủ tục lựa chọn chủ đầu tư dự án
1. Việc lựa chọn chủ đầu tư dự án nhà ở xã hội phải bảo đảm nguyên tắc quy định tại Điều 9 Nghị định 188/2013/NĐ-CP.
2. Trường hợp dự án được đầu tư xây dựng toàn bộ bằng nguồn vốn ngân sách nhà nước và các dự án có từ 30% vốn ngân sách nhà nước trở lên, trong đó không bao gồm tiền sử dụng đất và các khoản chi phí hỗ trợ hạ tầng (nếu có) thì việc lựa chọn chủ đầu tư thực hiện theo quy định tại Khoản 2 Điều 9 của Nghị định 188/2013/NĐ-CP.
3. Chủ đầu tư dự án được đầu tư bằng nguồn vốn ngoài ngân sách nhà nước:
a) Chủ đầu tư dự án phát triển nhà ở thương mại, khu đô thị mới đồng thời đảm nhận trách nhiệm là chủ đầu tư dự án phát triển nhà ở xã hội trên quỹ đất 20% dành để xây dựng nhà ở xã hội của dự án đó.
b) Trường hợp bố trí quỹ đất mới theo quy hoạch để đầu tư xây dựng nhà ở xã hội và trường hợp chủ đầu tư dự án nhà ở thương mại, khu đô thị mới không có nhu cầu đầu tư xây dựng nhà ở xã hội trên quỹ đất 20% mà quỹ đất này được chuyển giao cho Ủy ban nhân dân cấp tỉnh thì việc lựa chọn chủ đầu tư dự án thuộc thẩm quyền của Ủy ban nhân dân cấp tỉnh theo hình thức đấu thầu. Việc đấu thầu lựa chọn chủ đầu tư được thực hiện theo nguyên tắc sau đây:
- Nếu chỉ có một nhà đầu tư tham gia đăng ký thì nhà đầu tư đó được xem xét, lựa chọn làm chủ đầu tư dự án nhà ở xã hội. Nhà đầu tư được lựa chọn làm chủ đầu tư dự án phải bảo đảm đáp ứng các điều kiện về kinh nghiệm và vốn sở hữu của chủ đầu tư dự án theo quy định của pháp luật về đầu tư và pháp luật về kinh doanh bất động sản.
- Nếu có từ 02 nhà đầu tư trở lên có nhu cầu đăng ký tham gia đầu tư dự án nhà ở xã hội thì việc đấu thầu lựa chọn chủ đầu tư được thực hiện trên cơ sở các tiêu chí ưu tiên như sau:
+ Kinh nghiệm, năng lực tài chính (có tỷ lệ vốn chủ sở hữu cao hơn);
+ Giá bán, cho thuê, thuê mua thấp hơn;
+ Bảo đảm về chất lượng và tiến độ thực hiện dự án tốt hơn.
- Ủy ban nhân dân cấp tỉnh có trách nhiệm ban hành quy định cụ thể việc đấu thầu lựa chọn chủ đầu tư dự án nhà ở xã hội trên phạm vi địa bàn bảo đảm phù hợp với điều kiện cụ thể của từng địa phương.
- Trường hợp Tổng công ty nhà nước có chức năng và kinh nghiệm về kinh doanh nhà ở được giao làm chủ đầu tư dự án phát triển nhà ở xã hội có quy mô lớn theo quy định tại Khoản 4 Điều 23 Nghị định 188/2013/NĐ-CP (là dự án có quy mô diện tích đất từ 50 ha hoặc 2. 500 căn hộ trở lên) thì Bộ Xây dựng trao đổi, thống nhất với Ủy ban nhân dân cấp tỉnh nơi có dự án trước khi chỉ định giao nhiệm vụ cho chủ đầu tư.
c) Trường hợp nhà đầu tư đã có quỹ đất thuộc quyền sử dụng hợp pháp của mình mà có nhu cầu đăng ký đầu tư xây dựng nhà ở xã hội theo quy hoạch do cơ quan nhà nước có thẩm quyền phê duyệt thì nhà đầu tư đó được làm chủ đầu tư dự án nhà ở xã hội, nhưng phải bảo đảm đáp ứng các điều kiện về kinh nghiệm và vốn sở hữu của chủ đầu tư dự án theo quy định của pháp luật về đầu tư và pháp luật về kinh doanh bất động sản.
d) Trường hợp đất sử dụng vào mục đích quốc phòng, an ninh được phép chuyển mục đích sang xây dựng nhà ở xã hội thì việc lựa chọn chủ đầu tư dự án thuộc thẩm quyền của Bộ Quốc phòng hoặc Bộ Công an.
4. Kể từ thời điểm Nghị định 188/2013/NĐ-CP của Chính phủ có hiệu lực thi hành, nhà đầu tư được lựa chọn làm chủ đầu tư dự án phát triển nhà ở thương mại, khu đô thị mới có trách nhiệm bố trí quỹ đất 20% dành để phát triển nhà ở xã hội theo quy định tại Khoản 2 Điều 6 của Nghị định 188/2013/NĐ-CP khi được lựa chọn làm chủ đầu tư dự án nhà ở thương mại, khu đô thị mới đó.
Trường hợp dự án phát triển nhà ở thương mại, khu đô thị mới đã lựa chọn chủ đầu tư trước thời điểm Nghị định 188/2013/NĐ-CP của Chính phủ có hiệu lực thi hành, nhưng chưa bố trí quỹ đất 20% dành để phát triển nhà ở xã hội mà sau thời điểm Nghị định 188/2013/NĐ-CP có hiệu lực thi hành dự án đó bị thu hồi theo quy định của pháp luật để giao cho chủ đầu tư khác thì chủ đầu tư dự án đó (chủ đầu tư mới) có trách nhiệm tổ chức lập, điều chỉnh quy hoạch để bố trí bổ sung quỹ đất 20% trình cơ quan nhà nước có thẩm quyền phê duyệt hoặc chuyển giao quỹ nhà ở tương đương hoặc nộp bằng tiền tương đương theo quy định tại Khoản 2 Điều 6 của Nghị định 188/2013/NĐ-CP.
Điều 6. Trình tự, thủ tục thẩm định và phê duyệt dự án nhà ở xã hội được đầu tư xây dựng bằng nguồn vốn ngân sách nhà nước
1. Đối với dự án được đầu tư bằng nguồn vốn ngân sách địa phương, việc thẩm định và phê duyệt dự án thực hiện theo quy định cụ thể như sau:
a) Đối với dự án có quy mô sử dụng đất dưới 20 ha và dưới 2. 500 căn thì chủ đầu tư phải nộp trực tiếp tại Sở Xây dựng nơi có dự án 02 bộ hồ sơ đề nghị thẩm định và phê duyệt dự án phát triển nhà ở theo quy định tại Khoản 2 Điều này; trường hợp Chủ tịch Ủy ban nhân dân cấp tỉnh ủy quyền cho Chủ tịch Ủy ban nhân dân cấp huyện phê duyệt dự án thì chủ đầu tư nộp trực tiếp hồ sơ tại Phòng có chức năng quản lý nhà ở cấp huyện nơi có dự án.
b) Hồ sơ đề nghị thẩm định và phê duyệt dự án bao gồm:
- Tờ trình của chủ đầu tư trình Chủ tịch Ủy ban nhân dân cấp tỉnh (đối với dự án thuộc thẩm quyền phê duyệt của Ủy ban nhân dân cấp tỉnh) hoặc trình Chủ tịch Ủy ban nhân dân cấp huyện (đối với dự án thuộc thẩm quyền phê duyệt của Ủy ban nhân dân cấp huyện) đề nghị thẩm định và phê duyệt dự án theo mẫu quy định tại Phụ lục số 01 ban hành kèm theo Thông tư này;
- Hồ sơ dự án phát triển nhà ở xã hội được lập theo quy định của pháp luật về nhà ở và pháp luật về xây dựng hiện hành, trong đó phải nêu rõ các nội dung quy định tại Khoản 4 Điều 11 của Nghị định 188/2013/NĐ-CP;
- Bản sao văn bản giao chủ đầu tư dự án của cơ quan có thẩm quyền;
- Bản sao quyết định phê duyệt quy hoạch chi tiết tỷ lệ 1/500 và các bản vẽ quy hoạch chi tiết tỷ lệ 1/500 đã được cơ quan có thẩm quyền phê duyệt (trường hợp không phải lập quy hoạch chi tiết tỷ lệ 1/500 thì phải có bản sao bản vẽ tổng mặt bằng được cơ quan có thẩm quyền về quy hoạch chấp thuận theo quy định của pháp luật về quy hoạch).
c) Sở Xây dựng hoặc Phòng có chức năng quản lý nhà ở cấp huyện có trách nhiệm kiểm tra, nếu đủ điều kiện thì tiếp nhận hồ sơ và viết giấy biên nhận hồ sơ, hẹn ngày trả kết quả, nếu hồ sơ chưa đủ điều kiện thì hướng dẫn để chủ đầu tư bổ sung giấy tờ, hoàn thiện hồ sơ một lần.
Sau khi tiếp nhận hồ sơ, Sở Xây dựng hoặc Phòng có chức năng quản lý nhà ở cấp huyện chủ trì thẩm định và lấy ý kiến góp ý của các cơ quan: Tài nguyên và Môi trường, Tài chính, Kế hoạch và Đầu tư và các cơ quan có liên quan khác (nếu thấy cần thiết); đối với cấp tỉnh thì Sở Xây dựng lấy thêm ý kiến của Sở Kiến trúc - Quy hoạch (tại các tỉnh, thành phố có Sở Kiến trúc - Quy hoạch) và Ủy ban nhân dân cấp huyện nơi có dự án. Thời gian các cơ quan có liên quan trả lời ý kiến tối đa là 10 ngày, kể từ ngày nhận được văn bản của Sở Xây dựng hoặc Phòng có chức năng quản lý nhà ở cấp huyện. Sau khi có ý kiến của các cơ quan có liên quan, cơ quan chủ trì thẩm định lập Tờ trình theo mẫu quy định tại Phụ lục số 02 ban hành kèm theo Thông tư này báo cáo Chủ tịch Ủy ban nhân dân cùng cấp phê duyệt dự án.
Trong trường hợp Sở Xây dựng được giao làm chủ đầu tư dự án thì Sở Xây dựng có trách nhiệm tổ chức lập dự án (hoặc giao cho đơn vị trực thuộc tổ chức lập dự án), lấy ý kiến của các cơ quan liên quan theo quy định tại Khoản này và có Tờ trình đề nghị Chủ tịch Ủy ban nhân dân cấp tỉnh phê duyệt dự án theo nội dung quy định tại Phụ lục số 03 ban hành kèm theo Thông tư này.
d) Căn cứ vào Tờ trình của Sở Xây dựng (đối với cấp tỉnh) hoặc Phòng có chức năng quản lý nhà ở cấp huyện (đối với cấp huyện) và ý kiến góp ý của các cơ quan có liên quan, Chủ tịch Ủy ban nhân dân cấp tỉnh hoặc Chủ tịch Ủy ban nhân dân cấp huyện ban hành quyết định phê duyệt dự án theo mẫu quy định tại Phụ lục số 04 ban hành kèm theo Thông tư này. Chủ đầu tư trực tiếp đến nhận Quyết định phê duyệt dự án phát triển nhà ở xã hội tại địa điểm tiếp nhận hồ sơ ghi trong giấy biên nhận nộp hồ sơ.
đ) Đối với dự án có quy mô sử dụng đất dưới 20 ha, quy mô số căn hộ trên 2. 500 căn và dự án có quy mô sử dụng đất từ 20 ha đến dưới 100 ha thì ngoài các quy định nêu tại các Điểm a, b, c và d của Khoản này, Sở Xây dựng có trách nhiệm lấy ý kiến thống nhất của Bộ Xây dựng trước khi trình Ủy ban nhân dân cấp tỉnh xem xét, phê duyệt dự án.
e) Thời gian thẩm định và phê duyệt dự án nhà ở xã hội được đầu tư xây dựng bằng nguồn vốn ngân sách nhà nước thực hiện theo quy định của pháp luật về đầu tư xây dựng công trình hiện hành.
2. Trường hợp dự án được đầu tư xây dựng bằng nguồn ngân sách Trung ương thì trước khi trình người quyết định đầu tư tổ chức thẩm định và phê duyệt dự án, chủ đầu tư nộp trực tiếp 02 bộ hồ sơ gửi trực tiếp về Bộ Xây dựng thẩm định trước khi trình Thủ tướng Chính phủ chấp thuận đầu tư.
Hồ sơ đề nghị chấp thuận đầu tư bao gồm:
- Tờ trình của chủ đầu tư theo mẫu quy định tại Phụ lục số 05 ban hành kèm theo Thông tư này;
- Bản sao văn bản giao chủ đầu tư dự án của cơ quan có thẩm quyền;
- Bản sao quyết định phê duyệt quy hoạch chi tiết tỷ lệ 1/500 và các bản vẽ quy hoạch chi tiết tỷ lệ 1/500 đã được cơ quan có thẩm quyền phê duyệt: trong trường hợp không phải lập quy hoạch chi tiết tỷ lệ 1/500 thì phải có bản sao bản vẽ tổng mặt bằng được cơ quan có thẩm quyền về quy hoạch chấp thuận theo quy định của pháp luật về quy hoạch.
Trong thời hạn tối đa là 7 (bảy) ngày làm việc, kể từ ngày nhận được hồ sơ hợp lệ của chủ đầu tư, Bộ Xây dựng gửi văn bản kèm theo bản sao hồ sơ đề nghị các Bộ, ngành liên quan (Bộ Tài nguyên và Môi trường, Bộ Kế hoạch và Đầu tư, Bộ Tài chính) tham gia ý kiến góp ý (thời gian xem xét, tham gia góp ý của các Bộ, ngành liên quan tối đa là 15 ngày làm việc, kể từ ngày nhận được văn bản kèm theo bản sao hồ sơ do Bộ Xây dựng gửi). Trong thời hạn tối đa là 10 (mười) ngày làm việc, kể từ ngày nhận được văn bản góp ý của các Bộ, ngành có liên quan, Bộ Xây dựng có trách nhiệm thực hiện việc thẩm định và có Tờ trình đề nghị Thủ tướng Chính phủ chấp thuận đầu tư.
Sau khi Thủ tướng Chính phủ có văn bản chấp thuận đầu tư, chủ đầu tư tổ chức lập dự án để trình người có thẩm quyền quyết định đầu tư thẩm định, phê duyệt dự án nhà ở xã hội theo quy định của pháp luật về nhà ở và pháp luật về đầu tư xây dựng đối với dự án đầu tư xây dựng công trình bằng nguồn vốn ngân sách nhà nước.
3. Trường hợp sau khi dự án đã được phê duyệt mà chủ đầu tư có đề xuất thay đổi một trong các nội dung về mục tiêu đầu tư, quy mô dự án, diện tích sử dụng đất, số lượng nhà ở, tiến độ thực hiện dự án thì chủ đầu tư phải có Tờ trình đề nghị chấp thuận bổ sung nội dung dự án kèm theo hồ sơ dự án đã được phê duyệt điều chỉnh, bổ sung nội dung dự án nhà ở xã hội.
Điều 7. Trình tự, thủ tục chấp thuận dự án đầu tư xây dựng nhà ở xã hội bằng nguồn vốn ngoài ngân sách nhà nước
1. Trình tự, thủ tục đề nghị chấp thuận đầu tư dự án phát triển nhà ở xã hội có quy mô sử dụng đất dưới 100 ha
a) Đối với trường hợp không phải đấu thầu lựa chọn chủ đầu tư:
- Chủ đầu tư có trách nhiệm nộp trực tiếp 02 bộ hồ sơ đề nghị chấp thuận đầu tư tại Sở Xây dựng. Hồ sơ đề nghị chấp thuận đầu tư bao gồm:
+ Tờ trình của chủ đầu tư theo mẫu quy định tại Phụ lục số 06 ban hành kèm theo Thông tư này;
+ Văn bản công nhận chủ đầu tư dự án của Ủy ban nhân dân cấp tỉnh theo mẫu quy định tại Phụ lục số 07 ban hành kèm theo Thông tư này;
+ Giấy tờ chứng nhận đăng ký kinh doanh bất động sản hoặc chứng nhận đầu tư và giấy tờ chứng minh về kinh nghiệm và vốn sở hữu của chủ đầu tư dự án theo quy định của pháp luật về đầu tư và pháp luật về kinh doanh bất động sản;
+ Quyết định phê duyệt quy hoạch tỷ lệ 1/2000 và các bản vẽ quy hoạch tỷ lệ 1/2000 đã được cơ quan có thẩm quyền phê duyệt tại khu vực có dự án. Trường hợp chưa có quy hoạch tỷ lệ 1/2000 nhưng có quyết định của cơ quan có thẩm quyền phê duyệt quy hoạch chi tiết tỷ lệ 1/500 thì nộp quyết định phê duyệt quy hoạch và các bản vẽ quy hoạch chi tiết tỷ lệ 1/500 đã được cơ quan có thẩm quyền phê duyệt;
- Nếu hồ sơ đủ điều kiện thì Sở Xây dựng tiếp nhận và ghi giấy biên nhận, hẹn ngày trả kết quả, nếu chưa đủ điều kiện thì hướng dẫn để chủ đầu tư bổ sung, hoàn thiện hồ sơ một lần.
Sau khi tiếp nhận hồ sơ, Sở Xây dựng có trách nhiệm chủ trì thẩm tra, lấy ý kiến góp ý của các cơ quan có liên quan: Tài nguyên và Môi trường, Tài chính, Kế hoạch và Đầu tư, đồng thời gửi lấy ý kiến của Bộ Xây dựng (đối với trường hợp dự án có quy mô sử dụng đất từ 20 ha đến dưới 100 ha và dự án có quy mô sử dụng đất dưới 20 ha nhưng có tổng số căn hộ từ 2. 500 căn trở lên) và cơ quan có liên quan khác (nếu thấy cần thiết) theo thời hạn quy định tại Khoản 4 Điều này. Sau khi có ý kiến của các cơ quan có liên quan, cơ quan chủ trì thẩm định lập Tờ trình theo mẫu quy định tại Phụ lục số 08 ban hành kèm theo Thông tư này đề nghị Ủy ban nhân dân cùng cấp có văn bản chấp thuận đầu tư;
- Trên cơ sở Tờ trình của Sở Xây dựng kèm theo hồ sơ đề nghị chấp thuận đầu tư của chủ đầu tư, ý kiến góp ý của Bộ Xây dựng và các cơ quan liên quan; căn cứ vào nội dung quy định tại Khoản 4 Điều 11 của Nghị định 188/2013/NĐ-CP, Ủy ban nhân dân cấp tỉnh có văn bản chấp thuận đầu tư theo mẫu quy định tại Phụ lục số 09 ban hành kèm theo Thông tư này. Chủ đầu tư trực tiếp đến nhận văn bản chấp thuận đầu tư tại địa điểm tiếp nhận hồ sơ ghi trong giấy biên nhận nộp hồ sơ.
- Sau khi được cơ quan nhà nước có thẩm quyền chấp thuận đầu tư, chủ đầu tư có trách nhiệm tổ chức lập và trình cơ quan có thẩm quyền thẩm định, phê duyệt quy hoạch chi tiết tỷ lệ 1/500 (đối với khu vực dự án mới chỉ có quy hoạch tỷ lệ 1/2000), sau đó tổ chức lập, thẩm định và phê duyệt dự án phát triển nhà ở theo quy định. Trong trường hợp khu vực dự án đã có quy hoạch chi tiết tỷ lệ 1/500 được phê duyệt hoặc đã có bản vẽ tổng mặt bằng được cơ quan có thẩm quyền về quy hoạch chấp thuận (đối với trường hợp không phải lập quy hoạch chi tiết tỷ lệ 1/500) thì chủ đầu tư tổ chức lập, thẩm định và phê duyệt dự án phát triển nhà ở theo quy định;
b) Đối với trường hợp phải đấu thầu lựa chọn chủ đầu tư dự án phát triển nhà ở xã hội:
- Trường hợp dự án có quy mô sử dụng đất dưới 20 ha và có số lượng căn hộ dưới 2. 500 căn hộ:
Ủy ban nhân dân cấp tỉnh tổ chức lựa chọn theo nguyên tắc quy định tại Điểm b Khoản 3 Điều 5 của Thông tư này và trong quyết định công nhận việc lựa chọn chủ đầu tư, Ủy ban nhân dân cấp tỉnh cần nêu rõ các nội dung chấp thuận đầu tư dự án nhà ở xã hội quy định tại Khoản 4 Điều 11 Nghị định 188/2013/NĐ-CP và quyết định này thay thế cho văn bản chấp thuận đầu tư.
- Trường hợp dự án có quy mô sử dụng đất từ 20 ha đến dưới 100 ha và trường hợp dự án có quy mô sử dụng đất dưới 20 ha nhưng có số lượng từ 2. 500 căn hộ trở lên:
Trước khi phát hành hồ sơ mời thầu, Ủy ban nhân dân cấp tỉnh chỉ đạo Sở Xây dựng có văn bản gửi lấy ý kiến thống nhất của Bộ Xây dựng theo quy định tại Điểm b Khoản 1 Điều 11 Nghị định 188/2013/NĐ-CP. Hồ sơ gửi lấy ý kiến của Bộ Xây dựng, gồm:
+ Văn bản của Ủy ban nhân dân cấp tỉnh gửi lấy ý kiến Bộ Xây dựng;
+ Bản sao quyết định phê duyệt quy hoạch tỷ lệ 1/2000 và các bản vẽ quy hoạch tỷ lệ 1/2000 đã được cơ quan có thẩm quyền phê duyệt.
Sau khi có ý kiến thống nhất của Bộ Xây dựng, Sở Xây dựng phát hành hồ sơ mời thầu và báo cáo Ủy ban nhân dân cấp tỉnh tổ chức đấu thầu lựa chọn chủ đầu tư theo quy định.
Đơn vị được lựa chọn làm chủ đầu tư dự án nhà ở xã hội có trách nhiệm tổ chức lập và trình cơ quan có thẩm quyền thẩm định, phê duyệt quy hoạch chi tiết tỷ lệ 1/500, sau đó tổ chức lập, thẩm định và phê duyệt dự án nhà ở xã hội theo quy định. Trong trường hợp không phải lập quy hoạch chi tiết tỷ lệ 1/500 thì phải có bản vẽ tổng mặt bằng được cơ quan có thẩm quyền về quy hoạch chấp thuận theo quy định của pháp luật về quy hoạch.
2. Trình tự, thủ tục đề nghị chấp thuận đầu tư dự án phát triển nhà ở xã hội được đầu tư xây dựng bằng nguồn vốn ngoài ngân sách nhà nước mà có quy mô sử dụng đất trên 100 ha thực hiện quy định sau đây:
a) Đối với trường hợp không phải đấu thầu lựa chọn chủ đầu tư:
- Chủ đầu tư gửi 02 bộ hồ sơ về Bộ Xây dựng để xem xét, trình Thủ tướng Chính phủ chấp thuận đầu tư.
Hồ sơ bao gồm: Tờ trình Thủ tướng Chính phủ của chủ đầu tư theo mẫu quy định tại Phụ lục số 10 ban hành kèm theo Thông tư này; bản sao các giấy tờ (văn bản công nhận chủ đầu tư của cơ quan có thẩm quyền; giấy tờ về đăng ký kinh doanh bất động sản hoặc giấy chứng nhận đầu tư, vốn pháp định, vốn chủ sở hữu theo quy định; quyết định phê duyệt quy hoạch tỷ lệ 1/2000 và các bản vẽ quy hoạch tỷ lệ 1/2000 đã được cơ quan có thẩm quyền phê duyệt);
- Căn cứ vào hồ sơ đề nghị của chủ đầu tư, Bộ Xây dựng kiểm tra và có văn bản (kèm theo hồ sơ) gửi lấy ý kiến Bộ, ngành: Bộ Tài nguyên và Môi trường, Bộ Tài chính, Bộ Kế hoạch và Đầu tư, Ngân hàng Nhà nước Việt Nam và Ủy ban nhân dân cấp tỉnh nơi có dự án về một số nội dung liên quan đến quy hoạch, kế hoạch sử dụng đất, năng lực của chủ đầu tư, nguồn vốn đầu tư và các vấn đề liên quan đến trách nhiệm quản lý nhà nước của các Bộ, ngành trước khi trình Thủ tướng Chính phủ. Thời gian lấy ý kiến của các Bộ, ngành quy định tại Điểm này tối đa là 20 ngày làm việc, kể từ ngày nhận được văn bản đề nghị (kèm theo hồ sơ).
- Trên cơ sở ý kiến trả lời của các Bộ, ngành và địa phương có liên quan, Bộ Xây dựng có trách nhiệm gửi 02 bộ hồ sơ báo cáo Thủ tướng Chính phủ. Hồ sơ trình Thủ tướng Chính phủ gồm: Tờ trình của Bộ Xây dựng trình Thủ tướng Chính phủ xin chấp thuận đầu tư dự án nhà ở xã hội thể hiện các nội dung quy định tại Khoản 4 Điều 11 Nghị định 188/2013/NĐ-CP; hồ sơ do chủ đầu tư trình và bản sao văn bản góp ý của các Bộ, ngành có liên quan để Thủ tướng Chính phủ xem xét, quyết định.
- Sau khi có ý kiến chấp thuận đầu tư của Thủ tướng Chính phủ, Bộ Xây dựng có văn bản thông báo (gửi kèm theo văn bản chấp thuận đầu tư của Thủ tướng Chính phủ) để chủ đầu tư tổ chức lập và trình cơ quan có thẩm quyền thẩm định và phê duyệt quy hoạch chi tiết tỷ lệ 1/500, sau đó tổ chức lập, thẩm định và phê duyệt dự án theo thẩm quyền quy định.
b) Đối với trường hợp phải đấu thầu lựa chọn chủ đầu tư:
- Trước khi phát hành hồ sơ mời thầu, Ủy ban nhân dân cấp tỉnh phải gửi hồ sơ lấy ý kiến thẩm định của Bộ Xây dựng. Trước khi thực hiện việc thẩm định, Bộ Xây dựng có trách nhiệm gửi văn bản lấy ý kiến của các Bộ, ngành có liên quan (gồm: Bộ Tài nguyên và Môi trường, Bộ Kế hoạch và Đầu tư, Bộ Tài chính, Ngân hàng Nhà nước Việt Nam). Sau khi có ý kiến thẩm định của Bộ Xây dựng, Ủy ban nhân dân cấp tỉnh có Tờ trình đề nghị Thủ tướng Chính phủ chấp thuận đầu tư dự án nhà ở xã hội (theo mẫu quy định tại Phụ lục số 11 của Thông tư này), kèm theo văn bản thẩm định của Bộ Xây dựng;
- Sau khi Thủ tướng Chính phủ chấp thuận đầu tư, Ủy ban nhân dân cấp tỉnh chỉ đạo Sở Xây dựng phát hành hồ sơ mời thầu và tổ chức đấu thầu theo nguyên tắc quy định tại Điểm b, Khoản 3 Điều 5 của Thông tư này. Quy trình và phương thức đấu thầu lựa chọn chủ đầu tư dự án nhà ở xã hội được áp dụng như đối với trường hợp đấu thầu lựa chọn nhà đầu tư thực hiện dự án có sử dụng đất khác;
- Đơn vị được lựa chọn làm chủ đầu tư dự án nhà ở xã hội có trách nhiệm lập và trình cơ quan có thẩm quyền thẩm định và phê duyệt quy hoạch chi tiết tỷ lệ 1/500, sau đó tổ chức lập, thẩm định và phê duyệt dự án theo thẩm quyền quy định.
3. Trường hợp dự án nhà ở xã hội đã được phê duyệt mà có đề xuất thay đổi một trong các nội dung của dự án so với nội dung chấp thuận đầu tư của cơ quan có thẩm quyền đã ban hành thì chủ đầu tư phải có Tờ trình kèm theo hồ sơ dự án đã được phê duyệt đề nghị cơ quan có thẩm quyền chấp thuận đầu tư chấp thuận bổ sung nội dung của dự án. Đối với dự án có quy mô diện tích sử dụng đất từ 100 ha trở lên thì chủ đầu tư phải có Tờ trình kèm theo hồ sơ dự án đã phê duyệt gửi Bộ Xây dựng thẩm định trước khi trình Thủ tướng Chính phủ xem xét, chấp thuận việc sửa đổi, bổ sung.
4. Thời hạn cơ quan có thẩm quyền thực hiện thủ tục chấp thuận đầu tư hoặc chấp thuận bổ sung nội dung dự án nhà ở xã hội tối đa là 45 ngày làm việc, kể từ ngày nhận hồ sơ đề nghị của chủ đầu tư.
5. Số lượng bộ hồ sơ mà chủ đầu tư dự án nhà ở xã hội phải nộp cho cơ quan có thẩm quyền để thẩm định và trình phê duyệt dự án hoặc chấp thuận đầu tư là 02 bộ; trường hợp cơ quan thẩm định phải gửi lấy ý kiến của các cơ quan có liên quan thì khi tiếp nhận hồ sơ, cơ quan tiếp nhận hồ sơ yêu cầu chủ đầu tư sao thêm (bản photo) và chỉ sao những giấy tờ có trong hồ sơ cần gửi lấy ý kiến.
6. Ủy ban nhân dân cấp tỉnh và cơ quan chức năng của địa phương khi thực hiện chấp thuận đầu tư dự án nhà ở xã hội phải căn cứ vào quy định tại Nghị định 188/2013/NĐ-CP và quy định tại Thông tư này. Đối với dự án phát triển nhà ở xã hội do các nhà đầu tư trong nước thực hiện thì không bắt buộc chủ đầu tư phải có Giấy chứng nhận đầu tư.
7. Sở Xây dựng có trách nhiệm lập cơ sở dữ liệu để tổng hợp, thống kê và theo dõi số lượng dự án nhà ở xã hội; số lượng, loại nhà ở xã hội được xây dựng trong các dự án; số lượng, loại nhà ở và số lượng người được mua, thuê, thuê mua nhà ở xã hội trên phạm vi địa bàn để tổng hợp, báo cáo đột xuất và định kỳ theo yêu cầu của Ủy ban nhân dân cấp tỉnh và Bộ Xây dựng.
Mục II. PHÁT TRIỂN NHÀ Ở XÃ HỘI DO HỘ GIA ĐÌNH, CÁ NHÂN ĐẦU TƯ XÂY DỰNG
Điều 8. Điều kiện tối thiểu đối với một phòng ở
Mỗi phòng ở của nhà ở xã hội do hộ gia đình, cá nhân xây dựng để bán, cho thuê, cho thuê mua phải đáp ứng điều kiện tối thiểu sau đây:
1. Diện tích sử dụng phòng ở (gian nhà) không được nhỏ hơn 9m2; chiều rộng thông thủy của phòng tối thiểu không dưới 2, 40m; chiều cao thông thủy của phòng ở chỗ thấp nhất không dưới 2, 70 m.
2. Phòng ở phải có cửa đi, cửa sổ đảm bảo yêu cầu thông gió và chiếu sáng tự nhiên. Tỷ lệ diện tích cửa lấy ánh sáng không nhỏ hơn 1/10 diện tích phòng. Cửa đi phải có chiều rộng lớn hơn hoặc bằng 0, 75m. Cửa đi phải có chốt khóa, cửa sổ phải có chấn song đảm bảo an toàn, an ninh trong sử dụng; phải đảm bảo không gian thuận tiện để bố trí giường ngủ.
3. Phải có đèn đủ ánh sáng chung (đảm bảo độ rọi tối thiểu 100 lux); phải đảm bảo cho mỗi người tối thiểu 01 ổ cắm điện; mỗi phòng ở phải có riêng 01 aptomat.
4. Nếu một phòng ở được xây dựng khép kín thì xí, tiểu, tắm phải có tường ngăn cách với chỗ ngủ và phải đảm bảo hợp vệ sinh.
5. Diện tích sử dụng bình quân cho mỗi người để ở không nhỏ hơn 4, 5 m2 (không tính diện tích khu phụ).
Điều 9. Điều kiện tối thiểu đối với một căn nhà (căn hộ) để bán, cho thuê mua
Nhà ở xã hội do hộ gia đình, cá nhân xây dựng để bán, cho thuê, cho thuê mua ngoài việc phải tuân thủ các quy định về phòng ở nêu tại Điều 8 của Thông tư này, còn phải đảm bảo các quy định sau đây:
1. Trường hợp hộ gia đình, cá nhân xây dựng nhà ở xã hội tại khu vực đô thị từ 02 (hai) tầng trở lên mà tại mỗi tầng có từ 02 (hai) căn hộ được thiết kế xây dựng theo kiểu khép kín (có phòng ở riêng, khu bếp riêng, nhà vệ sinh, nhà tắm riêng) thì diện tích sử dụng mỗi căn hộ tối thiểu là 30 m2 và phải đáp ứng các quy định theo quy chuẩn, tiêu chuẩn xây dựng hiện hành;
2. Nhà phải có kết cấu vững chắc, chống được gió bão; mỗi phòng ở phải có lối ra vào và cửa sổ riêng biệt;
3. Nền nhà phải được lát gạch hoặc láng vữa xi măng. Độ cao của nền nhà phải cao hơn mặt đường vào nhà tối thiểu là 0, 3m và cao hơn mặt sân, hè tối thiểu 0, 15m;
4. Tường bao che và tường ngăn các phòng phải được làm bằng vật liệu bền chắc, bảo đảm yêu cầu phòng cháy, cách âm, cách nhiệt và chống thấm; mặt tường trong phòng nếu xây bằng gạch thì phải trát phẳng và quét vôi hoặc sơn;
5. Mái nhà không được lợp bằng vật liệu dễ cháy và phải đảm bảo không bị thấm dột. Trường hợp lợp bằng tôn hoặc fibrô xi măng phải có trần chống nóng, chống ồn;
6. Về cấp điện: Đường dây cấp điện phải đảm bảo an toàn theo quy chuẩn, tiêu chuẩn quy định của cơ quan chuyên ngành ban hành; phải có đèn chiếu sáng ngoài nhà đảm bảo đủ ánh sáng khi đi lại;
7. Về cấp nước sinh hoạt: Bảo đảm cung cấp nước sạch tối thiểu 75 l/ng/ngày đêm. Trường hợp dùng nước giếng khoan phải có bể lọc bảo đảm tiêu chuẩn nước sạch hợp vệ sinh do cơ quan chuyên ngành ban hành;
8. Về nước thoát: Phải có đường ống thoát nước kết nối với hệ thống thoát nước chung của khu vực; mương, rãnh thoát nước phải có nắp đậy;
9. Về phòng chống cháy nổ: Phải có bể chứa nước phục vụ cứu hỏa và các thiết bị phòng chống cháy nổ theo quy định;
10. Về vệ sinh môi trường: Mỗi nhà ở (căn hộ) phải có chỗ nấu ăn, chỗ giặt và chỗ phơi quần áo.
Trường hợp xây dựng nhà ở xã hội liền kề thấp tầng để bán hoặc cho thuê mua thì bắt buộc phải có khu vệ sinh riêng.
Đối với trường hợp cho thuê thì có thể sử dụng khu vệ sinh chung, nhưng phải có khu vệ sinh riêng (bao gồm xí, tắm) cho nam và nữ. Mỗi khu vệ sinh tối đa phục vụ cho 8 người. Chất thải từ xí, tiểu phải qua bể tự hoại được xây dựng theo đúng quy cách.
Điều 10. Điều kiện tối thiểu đối với khu vực xây dựng nhà ở
1. Khu đất xây dựng nhà ở xã hội do hộ gia đình, cá nhân xây dựng để bán, cho thuê, cho thuê mua phải đảm bảo không thuộc khu vực cấm xây dựng; không vi phạm hành lang bảo vệ công trình giao thông, thủy lợi, đê điều, năng lượng, khu di tích lịch sử - văn hóa và khu vực bảo vệ các công trình khác theo quy định của pháp luật; không thuộc khu vực có nguy cơ lở đất, lũ quét, ngập úng, bị ô nhiễm bởi chất thải công nghiệp, bãi rác, nghĩa trang; không lấn chiếm đất công và không có tranh chấp về đất đai.
2. Bố trí mặt bằng xây dựng nhà ở và các hạng mục công trình xây dựng khác trong khu đất phải bảo đảm điều kiện giao thông thuận lợi, vệ sinh môi trường và điều kiện khắc phục sự cố (cháy, nổ, sập đổ công trình... ).
3. Mật độ xây dựng, chiều rộng của đường giao thông và khoảng cách tối thiểu giữa 2 dãy nhà bảo đảm tuân thủ theo quy định của Quy chuẩn Xây dựng hiện hành.
4. Phải bảo đảm có diện tích cây xanh hoặc khoảng trống tối thiểu 1, 0 m2/người; mỗi khu nhà ở phải có bản nội quy sử dụng treo ở nơi dễ quan sát.
Điều 11. Trách nhiệm của hộ gia đình, cá nhân đầu tư xây dựng nhà ở xã hội
1. Trường hợp các hộ gia đình, cá nhân tham gia đầu tư xây dựng mới nhà ở xã hội để bán, cho thuê, cho thuê mua tại khu vực yêu cầu phải có giấy phép xây dựng thì việc xây dựng nhà ở chỉ được phép triển khai thực hiện sau khi cơ quan nhà nước có thẩm quyền cấp giấy phép xây dựng;
2. Đối với trường hợp hộ gia đình, cá nhân xây dựng nhà ở mới thuộc khu vực được miễn giấy phép xây dựng, có từ 10 phòng (hoặc 10 căn hộ) trở lên hoặc bố trí chỗ ở cho 50 người trở lên, hoặc có trên 200m2 diện tích sàn xây dựng thì trước khi xây dựng, hộ gia đình, cá nhân đó phải có bản vẽ sơ đồ thể hiện tổng mặt bằng xây dựng, bảo đảm các điều kiện theo quy định tại các Điều 9, 10 và Khoản 1 Điều 11 của Thông tư này, đồng thời phải được sự chấp thuận bằng văn bản của Ủy ban nhân dân xã, phường sở tại;
3. Tuân thủ các quy định về khảo sát, thiết kế, thi công xây dựng và quản lý chất lượng nhà ở riêng lẻ theo quy định của pháp luật về nhà ở và pháp luật về xây dựng hiện hành;
4. Trong quá trình khai thác, sử dụng nhà ở, chủ sở hữu (hoặc người được giao quản lý sử dụng) có trách nhiệm thực hiện bảo trì, sửa chữa nhà ở theo quy định của pháp luật về nhà ở để bảo đảm điều kiện an toàn.
Chương III
QUẢN LÝ VIỆC MUA BÁN, CHO THUÊ, CHO THUÊ MUA VÀ SỬ DỤNG NHÀ Ở XÃ HỘI
Điều 12. Đối tượng được mua, thuê, thuê mua nhà ở xã hội
1. Đối tượng được mua, thuê, thuê mua nhà ở xã hội do các thành phần kinh tế đầu tư xây dựng bao gồm:
a) Người có công với cách mạng quy định tại các Điểm a, b, c, d, đ, e, g, h, i, k, l và Điểm m Khoản 2 Điều 16 của Nghị định số 34/2013/NĐ-CP ngày 22/4/2013 của Chính phủ về quản lý sử dụng nhà ở thuộc sở hữu nhà nước;
b) Cán bộ, công chức, viên chức trong cơ quan hành chính, sự nghiệp, cơ quan Đảng và đoàn thể hưởng lương từ ngân sách nhà nước (là những người trong biên chế nhà nước) và các đối tượng đang làm việc theo diện hợp đồng trong chỉ tiêu biên chế của các cơ quan này;
c) Sỹ quan, quân nhân chuyên nghiệp (bao gồm sỹ quan, hạ sỹ quan, chiến sỹ là quân nhân chuyên nghiệp) thuộc lực lượng vũ trang nhân dân hưởng lương từ ngân sách nhà nước; người làm công tác cơ yếu không phải là quân nhân được hưởng các chế độ, chính sách như đối với quân nhân theo quy định của pháp luật về cơ yếu;
d) Công nhân, người lao động thuộc các thành phần kinh tế làm việc tại khu công nghiệp, cụm khu công nghiệp vừa và nhỏ, khu kinh tế, khu chế xuất, khu công nghệ cao, các cơ sở sản xuất, dịch vụ công nghiệp, thủ công nghiệp (kể cả các cơ sở khai thác, chế biến) của tất cả các ngành, nghề;
đ) Người thuộc diện hộ gia đình nghèo tại khu vực đô thị nằm trong chuẩn nghèo do Thủ tướng Chính phủ quy định.
e) Đối tượng bảo trợ xã hội theo quy định của pháp luật về chính sách trợ giúp các đối tượng bảo trợ xã hội; người cao tuổi độc thân, cô đơn không nơi nương tựa tại khu vực đô thị;
g) Các đối tượng đã trả lại nhà ở công vụ khi hết tiêu chuẩn được thuê nhà ở công vụ;
h) Hộ gia đình, cá nhân thuộc diện tái định cư mà chưa được bố trí đất ở hoặc nhà ở tái định cư;
i) Người thu nhập thấp là những người đang làm việc tại các tổ chức: Các cơ quan hành chính, sự nghiệp, cơ quan Đảng, đoàn thể hoặc đơn vị sự nghiệp công lập nhưng không thuộc đối tượng quy định tại Điểm b và Điểm c Khoản này; đơn vị sự nghiệp ngoài công lập; doanh nghiệp thuộc các thành phần kinh tế; hợp tác xã được thành lập và hoạt động theo quy định của pháp luật (là các đối tượng không thuộc diện quy định tại các Điểm a, d và Điểm g Khoản này) hoặc là người đang nghỉ chế độ có hưởng lương hưu theo quy định, người lao động tự do, kinh doanh cá thể (là đối tượng không thuộc diện quy định tại các Điểm a, đ, e và h Khoản này) mà không thuộc diện phải nộp thuế thu nhập thường xuyên theo quy định của pháp luật về thuế thu nhập cá nhân.
Trường hợp là hộ gia đình thì mức thu nhập chịu thuế được tính cho tất cả các thành viên trong hộ gia đình và cách tính thuế thu nhập này được thực hiện theo hướng dẫn của Bộ Tài chính;
k) Học sinh, sinh viên các trường đại học, cao đẳng, trung học chuyên nghiệp, cao đẳng nghề, trung cấp nghề và trường dạy nghề cho công nhân không phân biệt công lập và ngoài công lập (đối tượng quy định tại Điểm này chỉ được phép thuê nhà ở xã hội).
2. Trường hợp hộ gia đình đăng ký mua, thuê, thuê mua nhà ở xã hội thì chỉ cần một thành viên trong gia đình đó thuộc một trong các đối tượng quy định tại Khoản 1 Điều này là thuộc diện được xét mua, thuê, thuê mua nhà ở xã hội do các thành phần kinh tế đầu tư xây dựng.
Điều 13, Điều kiện được mua, thuê, thuê mua nhà ở xã hội
1. Đối tượng được xét duyệt mua, thuê, thuê mua nhà ở xã hội do các thành phần kinh tế đầu tư xây dựng bằng nguồn vốn ngoài ngân sách phải thuộc diện có khó khăn về nhà ở quy định tại Khoản 2 và có điều kiện về cư trú quy định tại Khoản 3 Điều này. Trường hợp là đối tượng thu nhập thấp thì ngoài điều kiện quy định tại Khoản 2 và Khoản 3 Điều này còn phải có thêm điều kiện quy định tại Khoản 4; nếu là đối tượng thuê mua nhà ở xã hội thì phải có thêm điều kiện quy định tại Khoản 5 Điều này.
2. Điều kiện khó khăn về nhà ở quy định tại Điểm a Khoản 3 Điều 14 của Nghị định 188/2013/NĐ-CP được quy định cụ thể như sau:
a) Đối với trường hợp người nộp đơn đề nghị mua, thuê, thuê mua nhà ở chưa có nhà ở thuộc sở hữu của mình và chưa được thuê, mua hoặc thuê mua nhà ở xã hội, chưa được Nhà nước hỗ trợ nhà ở, đất ở dưới mọi hình thức (bao gồm cả vợ và chồng nếu đã đăng ký kết hôn) là các trường hợp:
- Chưa có nhà ở và đang phải ở nhờ, thuê, mượn nhà ở của người khác hoặc có nhà ở nhưng đã bị Nhà nước thu hồi đất để phục vụ công tác giải phóng mặt bằng theo quyết định của cơ quan có thẩm quyền hoặc đã bị giải tỏa để cải tạo chung cư cũ bị hư hỏng, xuống cấp và không được bồi thường bằng nhà ở, đất ở khác;
- Chưa được Nhà nước giao đất ở theo quy định của pháp luật về đất đai;
- Chưa được mua, thuê, thuê mua nhà ở thuộc sở hữu nhà nước hoặc chưa được mua, thuê, thuê mua nhà ở xã hội tại các dự án khác;
- Chưa được tặng nhà tình thương, nhà tình nghĩa;
b) Trường hợp người nộp đơn đề nghị mua, thuê, thuê mua nhà ở (bao gồm cả vợ và chồng nếu đã đăng ký kết hôn) đã có nhà ở thuộc sở hữu của mình nhưng nhà ở chật chội hoặc bị hư hỏng, dột nát (nhà ở đã được cơ quan có thẩm quyền cấp Giấy chứng nhận hoặc nhà ở có đủ giấy tờ hợp lệ để được cấp Giấy chứng nhận theo quy định pháp luật về đất đai) là các trường hợp:
- Có nhà ở là căn hộ chung cư nhưng diện tích bình quân của hộ gia đình dưới 8 m2 sàn/người;
- Có nhà ở riêng lẻ nhưng diện tích nhà ở bình quân của hộ gia đình dưới 8m2 sàn/người và diện tích khuôn viên đất của nhà ở đó thấp hơn tiêu chuẩn diện tích đất tối thiểu thuộc diện được phép cải tạo, xây dựng theo quy định của Ủy ban nhân dân cấp tỉnh nơi có nhà ở;
- Có nhà ở riêng lẻ nhưng bị hư hỏng khung - tường và mái và diện tích khuôn viên đất của nhà ở đó thấp hơn tiêu chuẩn diện tích đất tối thiểu thuộc diện được phép cải tạo, xây dựng theo quy định của Ủy ban nhân dân cấp tỉnh nơi có nhà ở.
3. Điều kiện về cư trú quy định tại Điểm b Khoản 3 Điều 14 Nghị định 188/2013/NĐ-CP được quy định cụ thể như sau:
a) Trường hợp các đối tượng quy định tại Điều 12 của Thông tư này có nhu cầu mua nhà ở xã hội thì phải có hộ khẩu thường trú tại tỉnh, thành phố trực thuộc Trung ương nơi có nhà ở xã hội do các thành phần kinh tế đầu tư xây dựng;
b) Trường hợp không có hộ khẩu thường trú theo quy định tại Điểm a Khoản này thì người có nhu cầu mua nhà ở xã hội phải có đăng ký tạm trú, có hợp đồng lao động có thời hạn từ một năm trở lên và giấy xác nhận (hoặc giấy tờ chứng minh) về việc có đóng bảo hiểm xã hội của cơ quan bảo hiểm tại tỉnh, thành phố trực thuộc Trung ương nơi có nhà ở xã hội;
c) Trường hợp hộ gia đình, cá nhân thuộc diện tái định cư quy định tại Điểm h Khoản 1 Điều 12 của Thông tư này còn phải bảo đảm điều kiện về cư trú do Ủy ban nhân dân cấp tỉnh quy định (nếu có).
4. Điều kiện về thu nhập thấp: Chỉ áp dụng điều kiện này để xác định đối với đối tượng thu nhập thấp quy định tại Điểm i Khoản 1 Điều 12 của Thông tư này; không áp dụng đối với các đối tượng quy định tại các Điểm a, b, c, d, đ, e, g, h và Điểm k Khoản 1 Điều 12 của Thông tư này.
5. Đối với trường hợp thuê mua nhà ở xã hội thì còn phải nộp lần đầu số tiền bằng 20% giá trị của nhà ở thuê mua, số tiền còn lại được thanh toán theo thỏa thuận với bên cho thuê mua nhưng với thời hạn tối thiểu là 05 (năm) năm, kể từ thời điểm bên cho thuê mua bàn giao nhà ở cho bên thuê mua.
Điều 14. Trình tự, thủ tục mua, thuê, thuê mua nhà ở xã hội
1. Đối với dự án nhà ở xã hội được đầu tư xây dựng bằng nguồn vốn ngoài ngân sách
a) Sau khi khởi công dự án, chủ đầu tư dự án nhà ở xã hội có trách nhiệm cung cấp các thông tin liên quan đến dự án (tên dự án; chủ đầu tư dự án; địa điểm xây dựng dự án; địa chỉ liên lạc, địa chỉ nộp đơn đăng ký; tiến độ thực hiện dự án; quy mô dự án; số lượng căn hộ (trong đó bao gồm: Số căn hộ để bán, số căn hộ cho thuê, số căn hộ cho thuê mua); diện tích căn hộ; giá bán, giá cho thuê, giá cho thuê mua (tạm tính) đối với từng loại căn hộ; thời gian bắt đầu và kết thúc nhận đơn đăng ký và các nội dung khác có liên quan) để công bố công khai tại trụ sở của Sở Xây dựng, trang web của Sở Xây dựng địa phương nơi có dự án; đăng tải ít nhất 01 lần tại báo là cơ quan ngôn luận của chính quyền địa phương và công bố tại Sàn giao dịch bất động sản của chủ đầu tư (nếu có) để người dân biết, đăng ký và thực hiện việc theo dõi, giám sát.
b) Chủ đầu tư dự án nhà ở xã hội có trách nhiệm báo cáo bằng văn bản về tổng số căn hộ sẽ bán, cho thuê, cho thuê mua và thời điểm bắt đầu bán, cho thuê, cho thuê mua để Sở Xây dựng biết và kiểm tra.
c) Trên cơ sở các thông tin về các dự án nhà ở xã hội trên địa bàn đã được công bố theo quy định tại Điểm a của Khoản này; hộ gia đình, cá nhân có nhu cầu đăng ký mua, thuê, thuê mua nhà ở xã hội nộp Hồ sơ đăng ký cho chủ đầu tư dự án theo quy định tại Điều 15 của Thông tư này.
d) Sau khi tập hợp đầy đủ Hồ sơ đăng ký của các đối tượng có nhu cầu, chủ đầu tư dự án nhà ở xã hội có trách nhiệm xem xét từng Hồ sơ đăng ký, đối chiếu với các quy định về đối tượng, điều kiện theo quy định tại Điều 12 và Điều 13 của Thông tư này để lập danh sách đối tượng được mua, thuê, thuê mua nhà ở xã hội thuộc dự án do mình làm chủ đầu tư.
Trường hợp người có nhu cầu đăng ký mua, thuê, thuê mua nhà ở xã hội đã nộp Hồ sơ hợp lệ theo quy định tại Điều 15 của Thông tư này cho chủ đầu tư, nhưng trong dự án không còn quỹ nhà để giải quyết thì chủ đầu tư dự án có trách nhiệm ghi rõ lý do và gửi trả lại Hồ sơ (bao gồm cả Bản xác nhận về đối tượng và điều kiện để được mua, thuê, thuê mua nhà ở xã hội mà người đăng ký đã nộp) để người đó biết và nộp Hồ sơ tại dự án khác.
Khi người có nhu cầu nộp Hồ sơ, người nhận Hồ sơ phải ghi giấy biên nhận. Nếu Hồ sơ chưa hợp lệ (chưa đúng theo quy định tại Điều 15 của Thông tư này) thì người nhận Hồ sơ có trách nhiệm ghi rõ lý do chưa giải quyết và trả lại cho người nộp Hồ sơ để thực hiện việc bổ sung, hoàn thiện.
đ) Chủ đầu tư dự án nhà ở xã hội có trách nhiệm gửi Danh sách các đối tượng dự kiến được giải quyết mua, thuê, thuê mua nhà ở xã hội theo thứ tự ưu tiên (trên cơ sở chấm điểm theo nguyên tắc quy định tại Điều 16 của Thông tư này) về Sở Xây dựng địa phương nơi có dự án để kiểm tra nhằm tránh tình trạng người được mua, thuê, thuê mua nhà ở xã hội được hỗ trợ nhiều lần.
Trường hợp đối tượng dự kiến được mua, thuê, thuê mua nhà ở xã hội theo Danh sách do chủ đầu tư lập mà đã được Nhà nước hỗ trợ về nhà ở, đất ở theo quy định hoặc đã được mua, thuê, thuê mua nhà ở xã hội (nhà ở thu nhập thấp) tại dự án khác thì Sở Xây dựng có trách nhiệm gửi văn bản thông báo cho chủ đầu tư biết để xóa tên trong Danh sách được mua, thuê, thuê mua nhà ở xã hội. Sau 15 (mười lăm) ngày làm việc kể từ khi nhận được Danh sách, nếu Sở Xây dựng không có ý kiến phản hồi thì chủ đầu tư thông báo cho các đối tượng được mua, thuê, thuê mua nhà ở xã hội trong dự án của mình đến để thỏa thuận, thống nhất và ký hợp đồng.
Trường hợp người có nhu cầu nhà ở xã hội đáp ứng đủ điều kiện và đã được chủ đầu tư dự án xem xét, đưa vào Danh sách mua, thuê, thuê mua nhà ở xã hội của dự án đó, nhưng người đó không còn có nhu cầu mua, thuê, thuê mua nhà ở xã hội thì chủ đầu tư dự án gửi trả lại Hồ sơ (bao gồm cả Bản xác nhận về đối tượng và điều kiện để được mua, thuê, thuê mua nhà ở xã hội) cho người đã nộp Hồ sơ.
e) Mỗi hộ gia đình, cá nhân có nhu cầu mua, thuê, thuê mua nhà ở xã hội chỉ được nộp Đơn đăng ký tại một dự án. Trong trường hợp dự án không còn quỹ nhà để bán, cho thuê, cho thuê mua thì chủ đầu tư nêu rõ lý do và trả lại hồ sơ để người có nhu cầu nộp tại dự án khác.
Bên mua, thuê, thuê mua nhà ở xã hội thanh toán trực tiếp với chủ đầu tư hoặc thực hiện thông qua ngân hàng do chủ đầu tư và người mua, thuê, thuê mua thống nhất theo thỏa thuận.
g) Sau khi ký Hợp đồng mua bán, cho thuê, cho thuê mua nhà ở xã hội (theo nội dung quy định tại Điều 17 của Thông tư này), chủ đầu tư dự án có trách nhiệm lập đầy đủ Danh sách các đối tượng (bao gồm cả các thành viên trong hộ) đã được mua, thuê, thuê mua nhà ở xã hội (đã được ký Hợp đồng) gửi về Sở Xây dựng địa phương nơi có dự án để công bố công khai trong thời hạn 30 ngày làm việc (kể từ ngày nhận được Danh sách này) và lưu trữ để phục vụ cho công tác quản lý, kiểm tra (hậu kiểm). Đồng thời, chủ đầu tư có trách nhiệm công bố công khai danh sách này tại trụ sở làm việc của chủ đầu tư và tại Sàn giao dịch bất động sản hoặc trang web về nhà ở xã hội của chủ đầu tư (nếu có).
2. Đối với nhà ở xã hội do hộ gia đình, cá nhân đầu tư xây dựng
a) Hộ gia đình, cá nhân đầu tư nhà ở xã hội có trách nhiệm báo cáo bằng văn bản về địa điểm xây dựng; tiến độ thực hiện; quy mô, số lượng căn hộ, trong đó bao gồm: Số căn hộ để bán, số căn hộ cho thuê, số căn hộ cho thuê mua; giá bán, cho thuê, cho thuê mua; thời gian bắt đầu bán, cho thuê, cho thuê mua nhà ở với Ủy ban nhân dân xã, phường, thị trấn (sau đây gọi chung là Ủy ban nhân dân cấp xã) nơi xây dựng nhà ở để công bố công khai tại trụ sở của xã, phường để chính quyền địa phương và người dân biết để thực hiện theo dõi, giám sát.
b) Trên cơ sở các thông tin về nhà ở xã hội trên địa bàn đã được công bố theo quy định; người có nhu cầu đăng ký mua, thuê, thuê mua nhà ở xã hội nộp Hồ sơ đăng ký cho chủ hộ đầu tư xây dựng nhà ở xã hội theo quy định tại Điều 15 của Thông tư này.
c) Sau khi tập hợp đầy đủ Hồ sơ đăng ký của các đối tượng có nhu cầu, hộ gia đình, cá nhân đầu tư xây dựng nhà ở xã hội có trách nhiệm gửi Ủy ban nhân dân cấp xã để xem xét, xác nhận Danh sách đối tượng được mua, thuê mua nhà ở xã hội (lãnh đạo cấp xã ký tên, đóng dấu chức danh) trước khi chủ hộ và người mua, thuê, thuê mua nhà ở thực hiện việc ký Hợp đồng theo mẫu quy định tại Phụ lục số 17, số 18 và số 19 của Thông tư này.
d) Ủy ban nhân dân cấp xã có trách nhiệm sao Hồ sơ đăng ký và Danh sách đối tượng được mua, thuê mua nhà ở xã hội gửi Sở Xây dựng để kiểm tra, tránh tình trạng đối tượng mua, thuê, thuê mua nhà ở xã hội được hỗ trợ nhiều lần.
Điều 15. Hồ sơ đề nghị mua, thuê, thuê mua nhà ở xã hội
Hồ sơ đề nghị mua, thuê, thuê mua nhà ở xã hội gồm:
1. Đơn đăng ký mua, thuê, thuê mua nhà ở theo mẫu quy định tại Phụ lục số 12 ban hành kèm theo Thông tư này;
2. Một trong các giấy tờ xác nhận về đối tượng và thực trạng nhà ở theo quy định sau đây:
a) Trường hợp là các đối tượng quy định tại các Điểm b, c và đối tượng đã trả lại nhà ở công vụ mà vẫn đang công tác nêu tại Điểm g Khoản 1 Điều 12 của Thông tư này thì phải có giấy xác nhận của cơ quan, tổ chức nơi đang làm việc về đối tượng và thực trạng nhà ở theo mẫu quy định tại Phụ lục số 13 ban hành kèm theo Thông tư này;
b) Trường hợp là các đối tượng quy định tại các Điểm a, d, đ, e và i Khoản 1 Điều 12 của Thông tư này thì phải có giấy xác nhận về đối tượng và thực trạng nhà ở của Ủy ban nhân dân cấp xã nơi người có đơn đăng ký hộ khẩu thường trú theo mẫu quy định tại Phụ lục số 14 ban hành kèm theo Thông tư này; trường hợp không có đăng ký hộ khẩu thường trú thì phải có giấy xác nhận của Ủy ban nhân dân cấp xã nơi người có đơn đăng ký tạm trú; trường hợp là đối tượng quy định tại Điểm k Khoản 1 Điều 12 của Thông tư này thì phải có xác nhận của cơ sở đào tạo nơi đối tượng xin thuê nhà đang học tập.
Trường hợp người thuê nhà ở công vụ của Chính phủ trả lại nhà ở công vụ do hết tiêu chuẩn thuê nhà hoặc nghỉ hưu mà có nhu cầu mua, thuê, thuê mua nhà ở xã hội thì giấy xác nhận về đối tượng và thực trạng nhà ở do Bộ Xây dựng hoặc Ủy ban nhân dân cấp tỉnh cấp (Phụ lục số 15).
c) Đối với đối tượng thuộc diện tái định cư quy định tại Điểm h Khoản 1 Điều 12 của Thông tư này thì chỉ cần có bản sao (có chứng thực) chứng minh người đó có tên trong Danh sách thu hồi đất ở của cơ quan có thẩm quyền, kèm theo giấy xác nhận của Ủy ban nhân dân cấp huyện nơi người có nhà, đất bị thu hồi về việc chưa được Nhà nước bồi thường bằng nhà ở, đất ở tái định cư.
3. Giấy tờ chứng minh về điều kiện cư trú như sau:
a) Trường hợp có đăng ký hộ khẩu thường trú tại tỉnh, thành phố trực thuộc Trung ương nơi có nhà ở xã hội do các thành phần kinh tế đầu tư thì phải có bản sao có chứng thực hộ khẩu thường trú hoặc giấy đăng ký hộ khẩu tập thể tại địa phương;
b) Trường hợp không có hộ khẩu thường trú theo quy định tại Điểm a Khoản này thì phải có bản sao có chứng thực giấy đăng ký tạm trú; bản sao có chứng thực hợp đồng lao động có thời hạn từ một năm trở lên tính đến thời điểm nộp đơn hoặc hợp đồng không xác định thời hạn và giấy xác nhận (hoặc giấy tờ chứng minh) về việc có đóng bảo hiểm xã hội của cơ quan bảo hiểm tại tỉnh, thành phố trực thuộc Trung ương nơi có nhà ở xã hội do các thành phần kinh tế đầu tư để bán, cho thuê, cho thuê mua. Trường hợp đối tượng làm việc cho chi nhánh hoặc văn phòng đại diện tại tỉnh, thành phố nơi có nhà ở xã hội mà việc đóng bảo hiểm thực hiện tại địa phương nơi đặt trụ sở chính thì phải có giấy xác nhận của công ty về việc đóng bảo hiểm.
4. Giấy tờ chứng minh về điều kiện thu nhập:
Các đối tượng thuộc diện thu nhập thấp quy định tại Điểm i, người đã trả lại nhà ở công vụ do nghỉ hưu quy định tại Điểm g Khoản 1 Điều 12 của Thông tư này tự khai về mức thu nhập của bản thân (theo mục khai về mức thu nhập quy định tại mẫu Phụ lục số 16 ban hành kèm theo Thông tư này) và tự chịu trách nhiệm về mức thu nhập tự khai. Trong trường hợp cần thiết thì Sở Xây dựng có thể liên hệ với Cục thuế địa phương để xác minh thuế thu nhập của người làm đơn đề nghị mua, thuê, thuê mua nhà ở xã hội quy định tại Khoản này.
Điều 16. Nguyên tắc, tiêu chí xét duyệt đối tượng được mua, thuê, thuê mua nhà ở xã hội
1. Nguyên tắc xét duyệt đối tượng được mua, thuê, thuê mua nhà ở xã hội được đầu tư xây dựng theo dự án:
a) Trường hợp tổng số Hồ sơ đăng ký mua, thuê, thuê mua (hợp lệ) bằng hoặc ít hơn tổng số căn hộ do chủ đầu tư công bố thì việc lựa chọn căn hộ thực hiện theo hình thức thỏa thuận giữa chủ đầu tư và khách hàng;
b) Trường hợp tổng số Hồ sơ đăng ký mua, thuê, thuê mua (hợp lệ) nhiều hơn tổng số căn hộ do chủ đầu tư công bố thì việc xét duyệt, lựa chọn đối tượng thực hiện theo hình thức chấm điểm theo tiêu chí quy định tại Khoản 2 Điều này.
Sau khi xét duyệt, lựa chọn đủ Hồ sơ hợp lệ tương ứng với tổng số căn hộ do chủ đầu tư công bố thì việc xác định cụ thể từng căn hộ trước khi ký hợp đồng thực hiện theo nguyên tắc thỏa thuận giữa chủ đầu tư và khách hàng;
c) Trường hợp người mua, thuê, thuê mua nhà ở xã hội không đạt được nhu cầu, nguyện vọng của mình tại dự án đã đăng ký thì được trả Hồ sơ để đăng ký tại các dự án khác nếu không muốn lựa chọn căn hộ khác còn lại trong dự án đó.
| STT | Tiêu chí chấm điểm | Số điểm |
| 1 | Tiêu chí khó khăn về nhà ở: - Chưa có nhà ở (thuộc một trong các trường hợp quy định tại Điểm a Khoản 2 Điều 13 của Thông tư này). - Có nhà ở (thuộc một trong các trường hợp quy định tại Điểm b Khoản 2 Điều 13 của Thông tư này). |
40
|
| 2 | Tiêu chí về đối tượng: - Đối tượng 1 (quy định tại các Điểm a, b, c, d Khoản 1 Điều 14 của Nghị định 188/2013/NĐ-CP). - Đối tượng 2 (quy định tại các Điểm đ, e, h Khoản 1 Điều 12 của Nghị định 188/2013/NĐ-CP). - Đối tượng quy định tại Điểm g và Điểm i Khoản 1 Điều 14 của Nghị định 188/2013/NĐ-CP). |
30
|
| 3 | Tiêu chí ưu tiên khác: - Hộ gia đình có từ 02 người trở lên thuộc đối tượng 1 - Hộ gia đình có 01 người thuộc đối tượng 1 và có ít nhất 01 người thuộc đối tượng 2 - Hộ gia đình có từ 02 người trở lên thuộc đối tượng 2 Ghi chú: Trường hợp hộ gia đình, cá nhân được hưởng các tiêu chí ưu tiên khác nhau thì chỉ tính theo tiêu chí ưu tiên có thang điểm cao nhất. |
10 7
|
| 4 | Tiêu chí ưu tiên do UBND cấp tỉnh quy định: | 20 |
3. Căn cứ theo nguyên tắc, tiêu chí chấm điểm quy định tại Khoản 1 và Khoản 2 Điều này, Ủy ban nhân dân cấp tỉnh quy định cụ thể tiêu chí lựa chọn các đối tượng được mua, thuê, thuê mua nhà ở xã hội trên địa bàn phù hợp với đặc thù của địa phương để hướng dẫn các chủ đầu tư dự án và các hộ gia đình, cá nhân thực hiện việc bán, cho thuê, cho thuê mua nhà ở xã hội đúng đối tượng theo quy định.
4. Chủ đầu tư các dự án và hộ gia đình, cá nhân đầu tư xây dựng nhà ở xã hội căn cứ theo nguyên tắc, tiêu chí chấm điểm quy định tại Khoản 1 và Khoản 2 Điều này và quy định cụ thể của Ủy ban nhân dân cấp tỉnh ban hành (nếu có) để thực hiện việc bán, cho thuê, cho thuê mua nhà ở xã hội do mình đầu tư xây dựng.
5. Đối với trường hợp là sỹ quan và hạ sỹ quan, chiến sỹ (là quân nhân chuyên nghiệp) thuộc lực lượng vũ trang nhân dân hưởng lương từ ngân sách nhà nước; người làm công tác cơ yếu không phải là quân nhân được hưởng các chế độ, chính sách như đối với quân nhân theo quy định của pháp luật về cơ yếu thì có thể đăng ký mua, thuê, thuê mua nhà ở xã hội tại dự án do các thành phần kinh tế đầu tư hoặc dự án do Bộ Quốc phòng, Bộ Công an triển khai thực hiện nhưng phải bảo đảm nguyên tắc mỗi đối tượng mua, thuê, thuê mua nhà ở chỉ được hỗ trợ giải quyết một lần.
Bộ Quốc phòng và Bộ Công an quy định cụ thể tiêu chí, điều kiện đối với các trường hợp được mua, thuê, thuê mua nhà ở xã hội tại các dự án phát triển nhà ở xã hội do mình triển khai thực hiện phù hợp với đặc thù của lực lượng vũ trang gửi Bộ Xây dựng để có ý kiến thống nhất bằng văn bản trước khi ban hành. Đối với các trường hợp đăng ký mua, thuê, thuê mua nhà ở tại các dự án do các thành phần kinh tế đầu tư thì nguyên tắc và tiêu chí xét duyệt đối tượng thực hiện theo quy định tại Khoản 1 Điều này.
6. Đối với trường hợp đối tượng quy định tại Điểm g và Điểm h Khoản 1 Điều 12 của Thông tư này thì thuộc diện được ưu tiên với thang điểm tối đa là 100 điểm.
Điều 17. Hợp đồng mua bán, cho thuê, thuê mua nhà ở xã hội
1. Hợp đồng mua bán, cho thuê, thuê mua nhà ở xã hội do các thành phần kinh tế đầu tư xây dựng phải bảo đảm tuân thủ các quy định tại Điều 16 của nghị định 188/2013/NĐ-CP.
2. Hợp đồng mua bán, cho thuê, cho thuê mua nhà ở xã hội được lập theo mẫu quy định tại Phụ lục số 17, số 18 và số 19 của Thông tư này.
Hợp đồng mua bán, thuê mua nhà ở xã hội là căn hộ chung cư phải ghi rõ phần diện tích thuộc sở hữu, sử dụng chung, phần diện tích thuộc sở hữu riêng của chủ sở hữu; diện tích sàn xây dựng căn hộ; diện tích sàn sử dụng căn hộ (diện tích thông thủy) để tính tiền mua bán, thuê mua căn hộ; khoản kinh phí bảo trì 2% tiền mua bán căn hộ; mức phí và nguyên tắc điều chỉnh mức phí quản lý vận hành nhà chung cư trong thời gian chưa thành lập Ban quản trị nhà chung cư.
Việc cấp Giấy chứng nhận quyền sử dụng đất, quyền sở hữu nhà ở và tài sản khác gắn liền với đất đối với các trường hợp mua bán, thuê mua nhà ở xã hội thực hiện theo quy định của pháp luật về đất đai và pháp luật về nhà ở có liên quan.
3. Thời hạn cho thuê, thuê mua nhà ở xã hội thực hiện theo quy định sau đây:
a) Đối với trường hợp cho thuê thì hợp đồng cho thuê nhà ở xã hội tối đa là 05 (năm) năm. Trước khi hết hạn hợp đồng, bên thuê phải làm thủ tục xin xác nhận vẫn đủ điều kiện theo quy định tại Điều 13 của Thông tư này gửi bên cho thuê để được tiếp tục thuê nhà ở xã hội với thời hạn nêu trên;
b) Đối với trường hợp thuê mua thì hợp đồng thuê mua có thời hạn tối thiểu là 05 (năm) năm. Khi hết hạn thời hạn thuê mua và bên thuê mua đã thanh toán đầy đủ tiền thuê mua theo thỏa thuận thì bên cho thuê mua có trách nhiệm đề nghị cơ quan làm thủ tục đề nghị cơ quan có thẩm quyền cấp Giấy chứng nhận quyền sử dụng đất, quyền sở hữu nhà ở và tài sản khác gắn liền với đất (sau đây gọi chung là Giấy chứng nhận) cho bên thuê mua. Trình tự, thủ tục cấp Giấy chứng nhận được thực hiện theo quy định của pháp luật về cấp Giấy chứng nhận.
3. Giá bán, cho thuê, thuê mua nhà ở xã hội ghi trong hợp đồng do chủ đầu tư dự án hoặc do chủ hộ gia đình, cá nhân đầu tư đề xuất theo nguyên tắc quy định tại Điều 18 của Thông tư này.
4. Phương thức thanh toán tiền mua, thuê, thuê mua nhà ở xã hội được đầu tư xây dựng theo dự án bằng nguồn vốn ngoài ngân sách do bên bán, cho thuê, cho thuê mua và bên mua, thuê, thuê mua thỏa thuận trong hợp đồng theo nguyên tắc:
a) Đối với trường hợp mua nhà ở xã hội:
- Hình thức thanh toán có thể trả tiền một lần hoặc trả dần do hai bên thống nhất trong hợp đồng mua bán.
- Trường hợp chủ đầu tư dự án thỏa thuận huy động tiền ứng trước của khách hàng thì công trình nhà ở đó phải có thiết kế đã được phê duyệt và nhà ở đó đã xây dựng xong phần móng; số tiền ứng trước lần 1 không vượt quá 20% giá bán nhà ở đó ghi trong hợp đồng; trước thời điểm bàn giao nhà ở cho bên mua, Chủ đầu tư dự án không được huy động vượt quá 70% giá bán nhà ở; tại thời điểm bàn giao nhà ở chỉ được thu 95% giá bán nhà ở; 5% giá bán nhà ở còn lại, chủ đầu tư được người mua thanh toán sau khi dự án đã được phê duyệt quyết toán, kiểm toán và bên mua được cơ quan nhà nước có thẩm quyền cấp Giấy chứng nhận.
b) Đối với trường hợp cho thuê nhà ở xã hội thì người thuê nhà có trách nhiệm nộp trước cho bên cho thuê nhà một khoản tiền đặt cọc theo quy định tại Khoản 4 Điều 15 của Nghị định 188/2013/NĐ-CP.
c) Đối với trường hợp thuê mua nhà ở xã hội thì bên thuê mua nhà nộp lần đầu 20% giá trị nhà ở và nộp phần còn lại theo tiến độ thỏa thuận ghi trong hợp đồng. Thời gian thanh toán số tiền còn lại (ngoài số tiền đã trả lần đầu) do bên cho thuê mua và bên thuê mua tự thỏa thuận, nhưng tối thiểu là 05 năm. Phương thức thanh toán do hai bên tự thỏa thuận (có thể trả hàng tháng, hàng quý hoặc theo định kỳ).
Khuyến khích bên thuê mua nộp thêm tiền thuê mua nhà ở lần đầu, nhưng tổng số tiền nộp lần đầu tối đa không vượt quá 50% giá trị nhà ở.
5. Trường hợp bán, cho thuê, cho thuê mua nhà ở xã hội do hộ gia đình, cá nhân đầu tư xây dựng thì hợp đồng mua bán, cho thuê, cho thuê mua chỉ được ký kết sau khi hộ gia đình, cá nhân hoàn thành việc đầu tư xây dựng nhà ở đó. Phương thức thanh toán do bên bán, cho thuê, cho thuê mua và bên mua, thuê, thuê mua tự thỏa thuận.
Điều 18. Nguyên tắc xác định giá bán, cho thuê, thuê mua nhà ở xã hội
1. Đối với nhà ở xã hội được đầu tư xây dựng theo dự án:
a) Giá bán, cho thuê, cho thuê mua nhà ở xã hội do chủ đầu tư dự án xác định trên cơ sở bảo đảm nguyên tắc quy định tại Khoản 2 và Khoản 3 Điều 15 của Nghị định 188/2013/NĐ-CP.
b) Giá bán, cho thuê, cho thuê mua nhà ở xã hội là căn hộ chung cư được xác định theo diện tích sử dụng căn hộ (diện tích thông thủy). Trường hợp các bên đã ký hợp đồng trước thời điểm Thông tư này có hiệu lực thi hành thì việc xác định diện tích căn hộ để tính tiền mua bán, cho thuê, cho thuê mua thực hiện theo thỏa thuận trong hợp đồng mà các bên đã ký kết;
c) Kinh phí thu được từ việc bán, cho thuê các công trình kinh doanh thương mại trong dự án nhà ở xã hội quy định tại Điểm l Khoản 1 Điều 12 của Nghị định 188/2013/NĐ-CP được hạch toán cụ thể như sau:
- Trường hợp chủ đầu tư thực hiện việc bán công trình kinh doanh thương mại (kể cả nhà ở) thì phần lợi nhuận thu được phải hạch toán trong phương án cân đối tài chính của toàn bộ dự án phát triển nhà ở xã hội để làm cơ sở tính toán, xác định giá bán, cho thuê, cho thuê mua nhà ở xã hội trong phạm vi dự án.
- Trường hợp chủ đầu tư chỉ cho thuê công trình kinh doanh thương mại thì thời gian tính toán để thu hồi vốn tối thiểu là 15 năm. Phần lợi nhuận dự kiến thu được (trong thời gian tối thiểu là 15 năm) phải được hạch toán trong bảng cân đối tài chính của toàn bộ dự án phát triển nhà ở xã hội để làm cơ sở tính toán, xác định giá bán, cho thuê, cho thuê mua nhà ở xã hội trong phạm vi dự án;
d) Căn cứ vào nguyên tắc, phương pháp xác định giá quy định tại các Khoản a, b, c Điều này, chủ đầu tư xây dựng giá bán, giá cho thuê, giá cho thuê mua nhà ở xã hội để trình Ủy ban nhân dân cấp tỉnh nơi có dự án tổ chức thẩm định. Trong thời hạn 30 ngày, kể từ ngày nhận được Tờ trình đề nghị thẩm định giá bán, giá cho thuê, giá cho thuê mua nhà ở xã hội của chủ đầu tư, Ủy ban nhân dân cấp tỉnh có trách nhiệm tổ chức thẩm định và có văn bản thẩm định gửi chủ đầu tư, trong đó nêu rõ các nội dung đồng ý và nội dung cần chỉnh sửa (nếu có).
Sở Xây dựng hoặc cơ quan chuyên môn có chức năng thẩm định giá nhà ở xã hội của địa phương có trách nhiệm tham mưu giúp Ủy ban nhân dân cấp tỉnh thẩm định giá bán, giá cho thuê, giá cho thuê mua nhà ở xã hội do chủ đầu tư xây dựng.
Căn cứ vào văn bản thẩm định của Ủy ban nhân dân cấp tỉnh, chủ đầu tư ban hành giá bán, giá cho thuê, giá cho thuê mua nhà ở xã hội để áp dụng đối với dự án nhà ở xã hội do mình đầu tư xây dựng.
Trong thời hạn vượt quá 30 ngày làm việc, kể từ ngày nhận được đề nghị thẩm định giá của chủ đầu tư dự án mà Ủy ban nhân dân cấp tỉnh không có văn bản thẩm định thì chủ đầu tư được quyền ban hành giá bán, giá cho thuê, giá cho thuê mua nhà ở xã hội theo phương án đã trình. Chủ đầu tư có trách nhiệm gửi bảng giá bán, cho thuê, cho thuê mua nhà ở xã hội cho Ủy ban nhân dân cấp tỉnh và cơ quan chức năng thẩm định giá để kiểm tra và theo dõi.
2. Đối với nhà ở xã hội do hộ gia đình, cá nhân đầu tư xây dựng để cho thuê, cho thuê mua hoặc bán do chủ đầu tư tự xác định giá nhưng không được cao hơn khung giá do Ủy ban nhân dân cấp tỉnh ban hành.
Ủy ban nhân dân cấp tỉnh có trách nhiệm chỉ đạo cơ quan chức năng nghiên cứu xây dựng để ban hành theo thẩm quyền khung giá bán, cho thuê, cho thuê mua nhà ở xã hội do các hộ gia đình, cá nhân đầu tư xây dựng phù hợp với điều kiện cụ thể của từng địa phương.
Điều 19. Nội dung chi phí cấu thành giá bán, cho thuê, thuê mua nhà ở xã hội được đầu tư xây dựng theo dự án
1. Chi phí đầu tư xây dựng nhà ở xã hội: Là toàn bộ chi phí hợp lý và hợp pháp thực hiện dự án đầu tư xây dựng công trình và đưa dự án nhà ở xã hội vào khai thác sử dụng theo quy định hiện hành về quản lý dự án đầu tư xây dựng công trình trừ đi phần lợi nhuận thu được từ việc bán, cho thuê công trình kinh doanh thương mại trong dự án (theo nguyên tắc quy định tại Điểm c Khoản 1 Điều 18 Thông tư này).
2. Chi phí bảo trì:
a) Trường hợp nhà ở xã hội là căn hộ chung cư để bán thì ngoài việc nộp tiền mua nhà theo quy định thì bên mua nhà còn phải nộp kinh phí bảo trì là 2% giá trị mua bán căn hộ ghi trong Hợp đồng để thực hiện việc bảo trì phần diện tích thuộc sở hữu chung. Việc quản lý, sử dụng kinh phí bảo trì phần diện tích sở hữu chung thực hiện theo quy định của pháp luật về quản lý sử dụng nhà chung cư hiện hành;
b) Trường hợp cho thuê thì kinh phí bảo trì được trích từ tiền thuê nhà (theo cơ cấu giá thuê nhà quy định tại Điều 20 của Thông tư này). Chủ đầu tư dự án (chủ sở hữu) có trách nhiệm bảo trì toàn bộ nhà ở cho thuê;
c) Trường hợp cho thuê mua thì ngoài việc nộp tiền thuê mua nhà ở theo quy định, bên thuê mua nhà còn phải nộp kinh phí bảo trì là 2% giá trị căn hộ ghi trong Hợp đồng để thực hiện việc bảo trì phần diện tích thuộc sở hữu chung. Việc quản lý, sử dụng kinh phí bảo trì phần diện tích sở hữu chung thực hiện như trường hợp mua bán căn hộ theo quy định của pháp luật về quản lý sử dụng nhà chung cư hiện hành; bên thuê mua chịu trách nhiệm đảm nhận kinh phí để bảo trì phần diện tích căn hộ thuộc sở hữu riêng.
3. Lợi nhuận định mức:
a) Đối với trường hợp bán nhà ở: Lợi nhuận định mức được xác định theo nguyên tắc quy định tại Điểm a Khoản 2 Điều 15 của Nghị định 188/2013/NĐ-CP;
b) Đối với trường hợp cho thuê, cho thuê mua nhà ở: Lợi nhuận định mức được xác định theo nguyên tắc quy định tại Điểm b Khoản 2 Điều 15 của Nghị định 188/2013/NĐ-CP.
Điều 20. Phương thức xác định giá thuê nhà ở xã hội
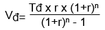
1. Công thức xác định:
Trong đó:

- GiT: là giá cho thuê 1m2 sử dụng căn hộ (chưa bao gồm thuế VAT) tại vị trí thứ i trong 01 tháng (đồng/m2/tháng)
- Vđ: là chi phí đầu tư xây dựng tính cho phần diện tích sử dụng để cho thuê được phân bổ hàng năm theo nguyên tắc bảo toàn vốn (đồng/năm), xác định theo công thức sau:

+ Tđ: là chi phí đầu tư xây dựng phần diện tích sử dụng để cho thuê tại thời điểm bàn giao đưa vào khai thác sử dụng (đồng).
+ r: là lãi suất bảo toàn vốn đầu tư (tính theo năm) phụ thuộc vào người có thẩm quyền quyết định đầu tư (%/năm).
+ n: là số năm thu hồi vốn phụ thuộc điều kiện cụ thể của từng dự án và người có thẩm quyền quyết định đầu tư nhưng tối thiểu là 15 năm.
- L: là lợi nhuận của dự án, tối đa là 15% giá trị đầu tư xây dựng phần diện tích cho thuê (đồng/năm).
- Bt: là chi phí bảo trì công trình bình quân năm được phân bổ đối với phần diện tích cho thuê (đồng/năm).
- Tdv: là phần lợi nhuận thu được từ các công trình kinh doanh thương mại trong dự án được phân bổ đối với phần diện tích sử dụng nhà ở cho thuê (đồng/năm).
- Si: là diện tích sử dụng cho thuê căn hộ tại vị trí thứ i (m2).
- Ki: là hệ số điều chỉnh giá cho thuê đối với phần diện tích sử dụng cho thuê tại vị trí thứ i (được xác định theo nguyên tắc bình quân gia quyền hệ số K của 1 Block nhà= 1).
Chú thích:”12”: là số tháng thuê nhà ở trong 1 năm
2. Trường hợp mức giá cho thuê được xác định theo công thức quy định tại Khoản 1 Điều này cao hơn mức giá có thể cho thuê trên thị trường thì chủ đầu tư xác định lại giá cho thuê phù hợp với tình hình thực tế. Sau khi bảo đảm thời gian cho thuê tối thiểu theo quy định là 05 năm, chủ đầu tư được phép hạch toán phần chênh lệch giữa khoản thu tính theo công thức với khoản thu trong thực tế vào giá bán nhà ở xã hội tại thời điểm bán.
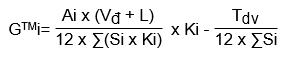
Điều 21. Phương thức xác định giá thuê mua nhà ở xã hội
Công thức xác định:
Trong đó:
- GTMi: là giá thuê mua 1m2 sử dụng căn hộ (chưa bao gồm thuế VAT) tại vị trí thứ i trong 01 tháng (đồng/ m2/tháng);
- Ai: là hệ số biểu thị tỉ lệ giữa giá trị còn lại của căn hộ tại vị trí thứ i (sau khi đã trừ đi tiền thanh toán lần đầu) so với giá trị ban đầu của căn hộ thuê mua thứ i (A <1).
- Vđ: là chi phí đầu tư xây dựng tính cho phần diện tích sử dụng để cho thuê mua được phân bổ hàng năm theo nguyên tắc bảo toàn vốn (đồng/năm), xác định theo công thức sau:
+ Tđ: là chi phí đầu tư xây dựng phần diện tích sử dụng để cho thuê mua tại thời điểm bàn giao đưa vào khai thác sử dụng (đồng).
+ r: là lãi suất bảo toàn vốn đầu tư (tính theo năm) phụ thuộc vào người có thẩm quyền quyết định đầu tư (%/năm)
+ n: thời gian thuê mua phụ thuộc vào thỏa thuận giữa người bán và người thuê mua nhưng tối thiểu là 5 năm.
- L: là lợi nhuận của dự án được tính theo năm, tối đa là 15% giá trị đầu tư xây dựng phần cho thuê mua (đồng/năm).
- Tdv: là phần lợi nhuận thu được từ các công trình kinh doanh thương mại trong dự án được phân bổ đối với phần diện tích sử dụng nhà ở để cho thuê mua (đồng/năm).
- Si: là diện tích sử dụng cho thuê mua tại vị trí thứ i (m2).
- Ki: là hệ số điều chỉnh giá cho thuê mua đối với phần diện tích sử dụng cho thuê mua căn hộ tại vị trí thứ i (được xác định theo nguyên tắc bình quân gia quyền hệ số K của 1 Block nhà= 1).
Điều 22. Phương thức xác định giá bán nhà ở xã hội
Công thức xác định:
Trong đó:

- GiB: là giá bán 1 m2 sử dụng căn hộ (chưa bao gồm thuế VAT) tại vị trí thứ i (đồng/m2);
- Tđ: là tổng chi phí đầu tư xây dựng tính cho phần diện tích sử dụng để bán trừ đi phần lợi nhuận từ công trình kinh doanh thương mại được phân bổ đối với phần diện tích sử dụng nhà ở để bán tại thời điểm bàn giao đưa vào khai thác sử dụng.
- L: là lợi nhuận của dự án, tối đa là 15% giá trị đầu tư xây dựng công trình (đồng).
- S: là tổng diện tích sử dụng các căn hộ của dự án: bao gồm diện tích các căn hộ bán và diện tích nhà mà chủ đầu tư giữ lại không bán thuộc sở hữu của chủ đầu tư (diện tích dùng để cho thuê kinh doanh dịch vụ, làm văn phòng…) (m2)
- Ki: là hệ số tầng, được xác định theo nguyên tắc bình quân gia quyền hệ số K của 1 Block nhà= 1.
Trường hợp xác định giá bán nhà ở xã hội (sau khi sau khi bảo đảm thời gian cho thuê tối thiểu theo quy định là 05 năm) thì giá bán phải giảm trừ phần chi phí khấu hao nhà ở tương ứng với thời gian đã cho thuê.
Điều 23. Quyền và trách nhiệm của chủ đầu tư dự án phát triển nhà ở xã hội
1. Quyền lợi:
a) Được hưởng các cơ chế hỗ trợ, ưu đãi theo quy định tại Điều 12 của Nghị định 188/2013/NĐ-CP;
b) Sau thời gian cho thuê tối thiểu là 05 (năm) năm, chủ đầu tư dự án phát triển nhà ở xã hội bằng nguồn vốn ngoài ngân sách được phép bán quỹ nhà ở cho thuê (tối thiểu 20% tổng diện tích sàn nhà ở trong phạm vi dự án) cho người đang thuê thuộc đối tượng quy định tại Điều 14 của Nghị định 188/2013/NĐ-CP. Trường hợp người đang thuê không có nhu cầu thuê căn hộ đó thì chủ đầu tư dự án được phép bán căn hộ đó cho người khác thuộc đối tượng quy định tại Điều 14 của Nghị định 188/2013/NĐ-CP theo giá bán quy định tại Điểm a Khoản 2 Điều 15 của Nghị định 188/2013/NĐ-CP;
c) Được ký kết Hợp đồng bán, cho thuê, thuê mua nhà ở đảm bảo đúng đối tượng quy định; thu tiền bán, cho thuê, thuê mua nhà ở theo Hợp đồng đã ký; thanh lý Hợp đồng bán, cho thuê, thuê mua nhà ở; chấm dứt Hợp đồng bán, cho thuê, thuê mua nhà ở đối với các trường hợp vi phạm quy định đã thỏa thuận trong Hợp đồng hoặc những trường hợp người thuê nhà ở không còn là đối tượng được quy định tại Điều 12 Thông tư này;
d) Được trực tiếp thực hiện hoặc ký kết với tổ chức, cá nhân để cung cấp các dịch vụ nhà ở xã hội là nhà chung cư do mình làm chủ đầu tư khi chưa tổ chức Hội nghị nhà chung cư để thành lập Ban quản trị nhà chung cư theo quy định của pháp luật về nhà ở;
đ) Được khai thác, kinh doanh các dịch vụ khác theo quy định của Nghị định 188/2013/NĐ-CP và Thông tư này để tạo nguồn thu bù đắp chi phí quản lý vận hành và bảo trì nhà ở;
e) Được hưởng các quyền lợi khác của chủ đầu tư theo quy định của Nghị định 188/2013/NĐ-CP và của các văn bản quy phạm pháp luật khác có liên quan hiện hành.
2. Trách nhiệm:
a) Phải thực hiện đầy đủ nghĩa vụ và trách nhiệm của bên bán, cho thuê, cho thuê mua theo quy định tại Nghị định 188/2013/NĐ-CP và Thông tư này; không được tự ý chuyển nhượng dự án hoặc tự chuyển đổi mục đích sử dụng nhà ở xã hội;
b) Phải thực hiện việc quản lý vận hành hoặc lựa chọn doanh nghiệp có chức năng và chuyên môn để quản lý, vận hành nhà ở xã hội là nhà chung cư do mình làm chủ đầu tư khi chưa tổ chức Hội nghị nhà chung cư để thành lập Ban quản trị nhà chung cư theo quy định của pháp luật về nhà ở;
c) Phải thực hiện các thủ tục với các cơ quan nhà nước có thẩm quyền liên quan đến việc cấp Giấy chứng nhận cho người mua, thuê mua nhà ở xã hội (trừ trường hợp các bên có thỏa thuận khác);
d) Phải xây dựng và ban hành (hoặc ủy quyền cho đơn vị quản lý vận hành) Bản nội quy sử dụng nhà ở xã hội, thông báo công khai để bên mua, thuê, thuê mua nhà ở và các tổ chức, cá nhân có liên quan biết để thực hiện. Bản nội quy sử dụng nhà ở xã hội phải bao gồm các nội dung chính như sau: Trách nhiệm của các tổ chức có liên quan trong quản lý sử dụng nhà ở xã hội; quyền, nghĩa vụ của chủ sở hữu hoặc người sử dụng hợp pháp; các hành vi bị nghiêm cấm trong quản lý sử dụng nhà ở xã hội; các khoản kinh phí phải đóng góp dùng cho công tác quản lý vận hành, bảo trì nhà ở xã hội và các khoản chi phí hợp lý khác; xác định danh mục, vị trí, diện tích và quy mô các phần sở hữu riêng, phần sở hữu và sử dụng chung. Bản nội quy này được đính kèm theo và là một phần không thể tách rời của Hợp đồng mua bán, cho thuê, cho thuê mua nhà ở xã hội;
đ) Phải xây dựng kế hoạch và tổ chức (hoặc ủy quyền cho đơn vị quản lý vận hành) thực hiện việc bảo trì nhà ở xã hội; phối hợp với cơ quan y tế, cơ quan phòng, chống cháy nổ, chính quyền địa phương, công an khu vực để thực hiện các công tác về phòng chống dịch bệnh, phòng cháy, chữa cháy và đảm bảo an ninh, trật tự, an toàn cho khu nhà ở xã hội;
e) Phải thực hiện các nhiệm vụ khác liên quan đến trách nhiệm và quyền hạn của chủ đầu tư theo quy định của pháp luật về nhà ở và các văn bản quy phạm pháp luật khác có liên quan hiện hành.
Điều 24. Quyền của người mua, thuê, thuê mua nhà ở xã hội
1. Đối với người mua (chủ sở hữu) nhà ở xã hội:
a) Được hưởng các quyền lợi cơ bản của người mua nhà ở xã hội theo quy định tại Nghị định 188/2013/NĐ-CP và các quyền lợi hợp pháp khác theo quy định của pháp luật hiện hành;
b) Được nhận bàn giao nhà ở kèm theo bản vẽ, hồ sơ nhà ở và sử dụng nhà ở đã mua theo đúng Hợp đồng đã ký với chủ đầu tư dự án;
c) Được quyền yêu cầu chủ đầu tư dự án làm thủ tục với cơ quan có thẩm quyền để được cấp Giấy chứng nhận theo quy định của pháp luật sau khi đã thanh toán 95% giá mua nhà ở ghi trong Hợp đồng đã ký; được yêu cầu chủ đầu tư dự án tạo điều kiện và cung cấp các giấy tờ có liên quan để được cơ quan có thẩm quyền cấp Giấy chứng nhận (trong trường hợp người mua nhà tự thỏa thuận đảm nhận thực hiện các thủ tục để được cấp Giấy chứng nhận);
d) Được quyền yêu cầu chủ đầu tư dự án (hoặc đơn vị quản lý vận hành) sửa chữa các hư hỏng của nhà ở trong thời gian bảo hành, nếu hư hỏng đó không phải do người mua gây ra;
đ) Sau thời gian tối thiểu là 05 năm kể từ thời điểm trả hết tiền mua nhà ở xã hội theo Hợp đồng đã ký thì người mua nhà ở xã hội được phép thực hiện đầy đủ các quyền của chủ sở hữu nhà ở theo quy định của pháp luật về nhà ở và pháp luật về dân sự.
2. Đối với người thuê nhà ở xã hội:
a) Được hưởng các quyền lợi cơ bản của người thuê nhà ở xã hội theo quy định tại Nghị định 188/2013/NĐ-CP và các quyền lợi hợp pháp khác theo quy định của pháp luật hiện hành;
b) Được nhận bàn giao, sử dụng nhà và các trang thiết bị kèm theo nhà ở theo đúng Hợp đồng thuê nhà đã ký với chủ đầu tư dự án;
c) Được quyền yêu cầu chủ đầu tư (hoặc đơn vị quản lý vận hành) sửa chữa kịp thời những hư hỏng của nhà ở đang thuê, nếu hư hỏng đó không phải do người thuê gây ra; được gia hạn hợp đồng hoặc ký tiếp hợp đồng thuê, nếu vẫn thuộc đối tượng và có đủ điều kiện được thuê nhà ở xã hội.
3. Đối với người thuê mua nhà ở xã hội:
a) Được hưởng các quyền lợi cơ bản của người thuê mua nhà ở xã hội theo quy định tại Nghị định 188/2013/NĐ-CP và các quyền lợi hợp pháp khác theo quy định của pháp luật hiện hành;
b) Được nhận bàn giao, sử dụng nhà và các trang thiết bị kèm theo nhà ở theo đúng Hợp đồng thuê mua nhà đã ký với chủ đầu tư dự án;
c) Khi thanh toán hết tiền thuê mua nhà ở, người thuê mua được quyền yêu cầu chủ đầu tư dự án thay mặt mình làm thủ tục với cơ quan có thẩm quyền để được cấp Giấy chứng nhận theo quy định của pháp luật; yêu cầu chủ đầu tư tạo điều kiện và cung cấp các giấy tờ có liên quan để được cơ quan có thẩm quyền cấp Giấy chứng nhận (trong trường hợp bên thuê mua nhà ở tự thỏa thuận đảm nhận thực hiện các thủ tục để được cấp Giấy chứng nhận); được chủ đầu tư bàn giao bản vẽ, hồ sơ nhà ở có liên quan.
d) Sau thời gian tối thiểu là 05 năm kể từ thời điểm trả hết tiền thuê mua nhà ở, người thuê mua nhà ở xã hội được phép thực hiện đầy đủ các quyền của chủ sở hữu nhà ở theo quy định của pháp luật về nhà ở và pháp luật về dân sự.
Điều 25. Nghĩa vụ của người mua, thuê, thuê mua nhà ở xã hội
1. Đối với người mua nhà ở xã hội:
a) Phải thực hiện đầy đủ nghĩa vụ cơ bản của bên mua nhà ở quy định tại Nghị định 188/2013/NĐ-CP và những cam kết trong Hợp đồng mua bán nhà ở xã hội đã ký;
b) Trong thời gian chưa đủ 05 năm kể từ thời điểm trả hết tiền mua nhà ở xã hội theo Hợp đồng đã ký thì người mua nhà ở xã hội chỉ được bán lại nhà ở đó (nếu có nhu cầu) cho chủ đầu tư dự án hoặc cho đối tượng khác thuộc diện được mua, thuê mua nhà ở xã hội (theo giá bán không được vượt quá mức giá nhà ở xã hội cùng loại tại thời điểm bán).
Người có nhu cầu bán lại nhà ở xã hội phải liên hệ trực tiếp với chủ đầu tư dự án để thực hiện thủ tục chuyển hợp đồng mua bán nhà ở xã hội cho người mua lại thuộc diện được mua nhà ở xã hội.
Người mua lại nhà ở xã hội phải có các giấy tờ xác nhận về đối tượng và điều kiện theo quy định tại Nghị định 188/2013/NĐ-CP và Thông tư này.
Người mua lại nhà ở xã hội liên hệ trực tiếp với chủ đầu tư dự án để nộp hồ sơ đề nghị mua nhà theo quy định tại Điều 15 và phải đảm bảo nguyên tắc, tiêu chí xét duyệt đối tượng quy định tại Điều 16, thực hiện hợp đồng mua bán nhà ở xã hội theo quy định tại Điều 17 của Thông tư này;
c) Trong thời gian tối thiểu là 05 năm kể từ thời điểm trả hết tiền mua nhà ở xã hội theo Hợp đồng đã ký, người mua nhà ở xã hội phải trực tiếp sử dụng nhà ở, không được phép cho người khác (ngoài hộ khẩu) sử dụng nhà dưới mọi hình thức, như: Cho ở chung, cho ở nhờ, cho mượn, giao giữ hộ nhà ở; không được phép cho thuê lại, thế chấp (trừ trường hợp thế chấp với ngân hàng để vay tiền mua, thuê mua chính căn hộ đó) và không được chuyển nhượng nhà ở xã hội dưới mọi hình thức;
d) Sau thời gian tối thiểu là 05 năm kể từ thời điểm trả hết tiền mua nhà ở xã hội theo Hợp đồng đã ký và đã được cấp Giấy chứng nhận, nếu người mua nhà ở xã hội bán lại nhà ở cho người khác thì phải nộp các khoản thuế, tiền sử dụng đất và các khoản chi phí khác theo quy định tại Khoản 5 Điều 13 của Nghị định 188/2013/NĐ-CP và quy định của pháp luật có liên quan hiện hành;
đ) Chấp hành đầy đủ các nghĩa vụ khác của người mua nhà ở (chủ sở hữu) theo quy định của pháp luật về nhà ở và pháp luật dân sự.
2. Đối với người thuê nhà ở xã hội:
a) Phải thực hiện đầy đủ nghĩa vụ cơ bản của bên thuê nhà ở quy định tại Nghị định 188/2013/NĐ-CP và những cam kết trong Hợp đồng thuê nhà ở xã hội đã ký;
b) Phải giữ gìn nhà ở và có trách nhiệm tự sửa chữa hoặc trả tiền để sửa chữa những hư hỏng, bồi thường thiệt hại do mình gây ra; trả đủ tiền thuê nhà theo đúng thời hạn; thanh toán đầy đủ, đúng thời hạn các chi phí sử dụng điện, nước và các dịch vụ khác ngoài các khoản chi phí đã được tính trong giá thuê nhà ở (nếu có);
c) Phải trực tiếp sử dụng nhà ở xã hội đúng mục đích; không được phép cho người khác (ngoài hộ khẩu) sử dụng nhà ở dưới mọi hình thức, như: Cho ở chung, cho ở nhờ, cho mượn, giao giữ hộ nhà ở; không được phép cho thuê lại, thế chấp và không được chuyển nhượng nhà ở xã hội dưới mọi hình thức;
d) Phải trả lại nhà ở xã hội cho chủ đầu tư dự án khi Hợp đồng thuê nhà hết hiệu lực theo quy định;
đ) Phải chấp hành đầy đủ các nghĩa vụ khác của người thuê nhà ở theo quy định của pháp luật về nhà ở và pháp luật dân sự.
3. Đối với người thuê mua nhà ở xã hội:
a) Phải thực hiện đầy đủ nghĩa vụ cơ bản của bên thuê mua nhà ở quy định tại Nghị định 188/2013/NĐ-CP và những cam kết trong Hợp đồng thuê mua nhà ở xã hội đã ký;
b) Trong thời gian chưa đủ 05 năm kể từ thời điểm trả hết tiền thuê mua nhà ở, người thuê mua nhà ở xã hội chỉ được bán nhà ở đó (nếu có nhu cầu) cho chủ đầu tư dự án hoặc cho đối tượng khác thuộc diện được mua nhà ở xã hội (theo giá bán không được vượt quá mức giá nhà ở xã hội cùng loại tại thời điểm bán);
Bên thuê mua nhà ở xã hội phải liên hệ trực tiếp với chủ đầu tư dự án để thực hiện thủ tục chuyển hợp đồng mua bán nhà ở xã hội cho người mua lại thuộc diện được mua nhà ở xã hội.
Người mua lại nhà ở xã hội phải có các giấy tờ xác nhận về đối tượng và điều kiện theo quy định tại Nghị định 188/2013/NĐ-CP và Thông tư này.
Người mua lại nhà ở xã hội liên hệ trực tiếp với chủ đầu tư dự án để nộp hồ sơ đề nghị mua nhà theo quy định tại Điều 15 và phải đảm bảo nguyên tắc, tiêu chí xét duyệt đối tượng quy định tại Điều 16, thực hiện hợp đồng mua bán nhà ở xã hội theo quy định tại Điều 17 của Thông tư này;
c) Phải sử dụng nhà ở đúng mục đích; giữ gìn nhà ở và có trách nhiệm tự sửa chữa hoặc trả tiền để sửa chữa những hư hỏng, bồi thường thiệt hại do mình gây ra; trả đủ tiền thuê mua nhà theo đúng thời hạn; thanh toán đầy đủ, đúng thời hạn các chi phí sử dụng điện, nước và các dịch vụ khác ngoài các khoản đã được tính trong giá thuê mua nhà ở (nếu có);
d) Sau thời gian tối thiểu là 05 năm kể từ thời điểm trả hết tiền thuê mua nhà ở xã hội theo Hợp đồng đã ký, nếu người thuê mua bán nhà ở cho người khác thì phải nộp các khoản thuế, tiền sử dụng đất và các khoản chi phí khác theo quy định tại Khoản 5 Điều 13 của Nghị định 188/2013/NĐ-CP và quy định của pháp luật có liên quan hiện hành;
đ) Chấp hành đầy đủ các nghĩa vụ khác của người thuê mua nhà ở theo quy định của pháp luật về nhà ở và pháp luật dân sự.
Điều 26. Tổ chức quản lý vận hành nhà ở xã hội
1. Việc quản lý sử dụng, vận hành nhà ở xã hội là nhà chung cư được thực hiện theo quy định của pháp luật hiện hành về nhà chung cư.
2. Đơn vị quản lý vận hành nhà ở xã hội
a) Sau khi kết thúc giai đoạn đầu tư xây dựng nhà ở xã hội, Chủ đầu tư dự án có trách nhiệm thành lập đơn vị trực thuộc hoặc thuê hoặc ủy thác cho một doanh nghiệp có năng lực chuyên môn về quản lý vận hành nhà chung cư để thực hiện việc quản lý vận hành nhà ở xã hội;
b) Hoạt động dịch vụ quản lý vận hành nhà ở xã hội được hưởng các chế độ như đối với các hoạt động dịch vụ công ích theo quy định của pháp luật.
3. Ban quản trị nhà ở xã hội
a) Ban quản trị nhà ở xã hội do Hội nghị các chủ sở hữu, chủ sử dụng nhà ở xã hội (gồm: người mua, người thuê và người thuê mua) bầu ra. Hội nghị các chủ sở hữu, chủ sử dụng nhà ở xã hội có thể tổ chức cho một nhà hoặc một cụm nhà (sau đây gọi chung là khu nhà ở xã hội) và được tổ chức mỗi năm 01 lần; trong trường hợp cần thiết có thể tổ chức Hội nghị bất thường khi có trên 50% tổng số các chủ sở hữu, chủ sử dụng đề nghị bằng văn bản hoặc khi có đề nghị của Ban quản trị khu nhà ở xã hội, đồng thời có văn bản đề nghị của trên 30% chủ sở hữu, chủ sử dụng khu nhà ở đó;
b) Trong thời hạn 12 tháng kể từ ngày khu nhà ở xã hội được bàn giao đưa vào sử dụng và khu nhà ở đó đã có trên 50% số căn hộ có chủ sở hữu, chủ sử dụng đến ở thì Chủ đầu tư có trách nhiệm tổ chức Hội nghị các chủ sở hữu, chủ sử dụng nhà ở xã hội lần đầu;
c) Ban quản trị khu nhà ở xã hội gồm từ 05 đến 07 thành viên, tùy theo điều kiện cụ thể của khu nhà đó. Thành phần Ban quản trị bao gồm đại diện chủ đầu tư, chủ sở hữu, chủ sử dụng và đại diện đơn vị quản lý vận hành nhà ở xã hội. Cơ cấu Ban quản trị gồm 01 Trưởng ban và 01 hoặc 02 Phó trưởng ban.
4. Quyền và trách nhiệm của đơn vị quản lý vận hành, Ban quản trị khu nhà ở xã hội được quy định tại Điều 29 của Thông tư này.
5. Bảo hành nhà ở xã hội
Việc bảo hành nhà ở xã hội được thực hiện theo cam kết trong hợp đồng giữa chủ đầu tư và đơn vị thi công xây dựng, đơn vị cung ứng thiết bị và đảm bảo theo quy định tại Điều 74 của Luật Nhà ở.
6. Lập và lưu trữ hồ sơ
a) Chủ đầu tư nhà ở xã hội có trách nhiệm lập, lưu trữ hồ sơ nhà ở theo đúng quy định tại Khoản 3 Điều 66 của Luật Nhà ở và văn bản hướng dẫn do cơ quan nhà nước có thẩm quyền ban hành; giao bản sao hồ sơ hoàn công cho đơn vị quản lý vận hành nhà ở xã hội;
b) Đơn vị quản lý vận hành, Ban quản trị khu nhà ở xã hội có trách nhiệm lưu trữ bản sao bản vẽ hoàn công và các hồ sơ có liên quan đến quá trình quản lý vận hành, bảo hành và bảo trì nhà ở xã hội;
c) Cơ quan quản lý nhà ở các cấp của các tỉnh, thành phố trực thuộc trung ương có trách nhiệm quản lý hồ sơ nhà ở thu nhập thấp theo quy định của pháp luật về nhà ở;
d) Cơ quan quản lý có trách nhiệm lập, lưu trữ hồ sơ về các đối tượng đã được mua, thuê, thuê mua nhà ở thu nhập thấp trên địa bàn, bao gồm: danh sách (kể cả các thành viên trong hộ); diện tích căn hộ, địa chỉ căn hộ được mua, thuê, thuê mua và các thông tin về thu nhập, điều kiện về nhà ở của các đối tượng để theo dõi và quản lý;
đ) Cơ quan quản lý hồ sơ nhà ở xã hội có trách nhiệm cung cấp các thông tin về hồ sơ nhà ở khi tổ chức, cá nhân có yêu cầu.
Điều 27. Nội dung và chi phí quản lý vận hành nhà ở xã hội
1. Công tác quản lý vận hành nhà ở xã hội bao gồm: quản lý, vận hành và duy trì hoạt động của hệ thống trang thiết bị (gồm thang máy, máy bơm nước, máy phát điện dự phòng, hệ thống hạ tầng kỹ thuật và các trang thiết bị khác) thuộc phần sở hữu chung hoặc phần sử dụng chung của nhà ở xã hội; cung cấp các dịch vụ (bảo vệ, vệ sinh, thu gom rác thải, chăm sóc vườn hoa, cây cảnh, diệt côn trùng và các dịch vụ khác) đảm bảo cho khu nhà ở xã hội hoạt động bình thường.
2. Chủ đầu tư dự án nhà ở xã hội là căn hộ chung cư có trách nhiệm xác định mức phí và nguyên tắc điều chỉnh mức phí quản lý vận hành nhà ở xã hội trong thời gian chưa thành lập Ban quản trị nhà chung cư và quy định rõ trong hợp đồng mua bán, cho thuê, cho thuê mua nhà ở xã hội.
3. Trường hợp mua bán và thuê mua nhà ở xã hội là căn hộ chung cư thì mức phí quản lý vận hành được tính theo tháng, phân bổ theo diện tích phần sở hữu hoặc sử dụng riêng (diện tích thông thủy) của từng chủ sở hữu, chủ sử dụng và nộp mỗi tháng một lần cho đơn vị quản lý vận hành.
4. Các chi phí dịch vụ về sử dụng nhiên liệu, năng lượng, nước và các chi phí dịch vụ khác mà có hợp đồng riêng đối với từng chủ sở hữu, chủ sử dụng thì do người sử dụng trực tiếp chi trả cho đơn vị cung cấp dịch vụ đó. Trường hợp các chi phí dịch vụ mà không có hợp đồng riêng thì người sử dụng chi trả theo khối lượng tiêu thụ, trong đó có cộng thêm phần hao hụt.
5. Chi phí trông giữ xe đạp, xe máy được thực hiện theo quy định của Ủy ban nhân dân cấp tỉnh áp dụng chung trên phạm vi địa bàn.
6. Trong quá trình lập dự án phát triển nhà ở xã hội, chủ đầu tư dự án có thể tính toán, bố trí một phần diện tích phù hợp (sau khi đã đáp ứng đủ nhu cầu diện tích sử dụng chung trong phạm vi dự án theo quy chuẩn, tiêu chuẩn xây dựng hiện hành) để đơn vị quản lý vận hành thực hiện kinh doanh, tạo kinh phí bù đắp cho chi phí quản lý vận hành, đảm bảo người mua, thuê và thuê mua nhà ở xã hội chỉ phải đóng góp chi phí quản lý vận hành nhà ở đảm bảo phù hợp với quy định tại Khoản 2 Điều này.
Điều 28. Nội dung và chi phí bảo trì nhà ở xã hội
1. Bảo trì nhà ở xã hội bao gồm việc duy tu bảo dưỡng, sửa chữa nhỏ, sửa chữa vừa, sửa chữa lớn và sửa chữa đột xuất nhà ở nhằm duy trì chất lượng của nhà ở. Việc bảo trì được thực hiện theo quy định của pháp luật hiện hành về công tác bảo trì công trình xây dựng và pháp luật về nhà ở.
2. Việc bảo trì đối với phần sở hữu chung, hệ thống công trình hạ tầng kỹ thuật và trang thiết bị sử dụng chung trong nhà chung cư và các căn hộ để cho thuê do chủ đầu tư hoặc doanh nghiệp quản lý vận hành nhà ở xã hội hoặc tổ chức có tư cách pháp nhân, có năng lực về hoạt động xây dựng thực hiện và phải tuân thủ các chỉ dẫn của nhà thiết kế, chế tạo, quy trình, quy phạm do cơ quan nhà nước có thẩm quyền ban hành.
3. Việc bảo trì phần sở hữu riêng trong nhà ở xã hội dành để bán và cho thuê mua do người mua, thuê mua nhà ở xã hội tự đảm nhận kinh phí và thực hiện việc bảo trì.
4. Mức kinh phí đóng góp để bảo trì phần sở hữu chung đối với nhà ở xã hội là căn hộ chung cư thực hiện theo quy định tại Khoản 2 Điều 19 của Thông tư này.
5. Trong vòng 30 ngày kể từ khi khu nhà ở xã hội được đưa vào sử dụng, chủ đầu tư dự án (hoặc đơn vị quản lý vận hành) có trách nhiệm lập tài khoản tiền gửi tại ngân hàng thương mại với lãi suất không thấp hơn lãi suất tiền gửi tiết kiệm không kỳ hạn để gửi khoản tiền đóng góp kinh phí bảo trì theo quy định. Số tiền lãi phát sinh trong mỗi kỳ gửi tiền tại ngân hàng phải được bổ sung vào kinh phí bảo trì nhà ở xã hội.
6. Công tác bảo trì nhà ở xã hội phải được thực hiện thông qua hợp đồng. Việc nghiệm thu, thanh toán, quyết toán và thanh lý hợp đồng bảo trì được thực hiện theo các quy định của pháp luật về xây dựng.
7. Chủ đầu tư (hoặc đơn vị quản lý vận hành) phải lập sổ theo dõi thu chi đối với kinh phí bảo trì và phối hợp thực hiện kiểm tra việc quyết toán và quản lý thu chi theo quy định pháp luật về tài chính; công khai các khoản thu, chi kinh phí thực hiện việc bảo trì nhà ở xã hội tại Hội nghị nhà chung cư theo quy định.
Điều 29. Quyền và trách nhiệm của đơn vị quản lý vận hành, Ban quản trị khu nhà ở xã hội
1. Quyền và trách nhiệm của đơn vị quản lý vận hành:
a) Thực hiện cung cấp dịch vụ quản lý vận hành nhà ở theo hợp đồng đã ký hoặc được ủy thác của chủ đầu tư, đảm bảo an toàn, đúng quy chuẩn, tiêu chuẩn do cơ quan có thẩm quyền ban hành;
b) Ký kết hợp đồng phụ với các doanh nghiệp khác để cung cấp dịch vụ (nếu có); giám sát việc cung cấp các dịch vụ quản lý vận hành nhà chung cư đối với các doanh nghiệp nêu trên để đảm bảo thực hiện theo hợp đồng đã ký;
c) Thông báo bằng văn bản về những yêu cầu, những điều cần chú ý cho chủ sở hữu, chủ sử dụng khi bắt đầu sử dụng nhà ở xã hội; hướng dẫn chủ sở hữu, chủ sử dụng việc lắp đặt các trang thiết bị thuộc phần sở hữu riêng vào hệ thống trang thiết bị sử dụng chung trong khu nhà ở xã hội; xây dựng và ban hành Bản nội quy sử dụng nhà ở xã hội (trong trường hợp được chủ đầu tư ủy quyền), thông báo công khai để chủ sở hữu, chủ sử dụng và các tổ chức, cá nhân có liên quan biết để thực hiện;
d) Định kỳ kiểm tra cụ thể theo thời hạn quy định của pháp luật về xây dựng đối với chất lượng nhà ở xã hội để thực hiện việc quản lý vận hành, sửa chữa, duy tu bảo dưỡng theo quy định;
đ) Thực hiện kịp thời việc ngăn ngừa nguy cơ gây thiệt hại đối với chủ sở hữu, chủ sử dụng nhà ở xã hội và có trách nhiệm khắc phục, sửa chữa mọi hư hỏng của phần sở hữu chung hoặc trang thiết bị dùng chung trong khu nhà ở xã hội, đảm bảo cho khu nhà hoạt động bình thường;
e) Thu mức phí dịch vụ quản lý vận hành nhà ở xã hội theo quy định tại Điều 27 của Thông tư này;
g) Khai thác, kinh doanh các dịch vụ khác theo quy định của pháp luật để tạo nguồn thu bù đắp chi phí quản lý vận hành; bảo trì nhà ở xã hội theo quy định tại Khoản 2 Điều 19 Thông tư này.
h) Thu chi phí bảo trì, quản lý chi phí bảo trì và thực hiện công tác bảo trì phần sở hữu chung của nhà ở xã hội theo quy định tại Khoản 2 Điều 19 Thông tư này.
i) Định kỳ 6 tháng một lần, báo cáo công khai về công tác quản lý vận hành nhà ở xã hội với Ban quản trị và phối hợp với Ban quản trị lấy ý kiến của chủ sở hữu, chủ sử dụng nhà ở xã hội về việc cung cấp dịch vụ quản lý vận hành;
k) Phối hợp với Ban quản trị, tổ dân phố trong việc bảo vệ an ninh, trật tự và các vấn đề khác có liên quan trong quá trình quản lý vận hành nhà ở xã hội.
2. Quyền và trách nhiệm của Ban quản trị khu nhà ở xã hội:
a) Bảo vệ quyền lợi hợp pháp của các chủ sở hữu, chủ sử dụng nhà ở xã hội theo quy định của pháp luật; kiểm tra, đôn đốc chủ sở hữu, chủ sử dụng nhà ở thực hiện đúng Bản nội quy quản lý sử dụng nhà ở xã hội và các quy định của pháp luật về quản lý, sử dụng nhà ở xã hội; tạo điều kiện để doanh nghiệp quản lý vận hành hoàn thành tốt nhiệm vụ theo nội dung hợp đồng đã ký kết;
b) Thu thập, tổng hợp ý kiến, kiến nghị của chủ sở hữu, chủ sử dụng nhà ở về các vấn đề liên quan tới việc quản lý sử dụng và cung cấp dịch vụ nhà ở xã hội để phản ánh với doanh nghiệp quản lý vận hành, các cơ quan chức năng và các tổ chức, cá nhân có liên quan xem xét, giải quyết;
c) Phối hợp với chính quyền địa phương, tổ dân phố trong việc xây dựng nếp sống văn minh, giữ gìn trật tự an toàn xã hội trong nhà chung cư được giao quản lý;
d) Định kỳ 6 tháng một lần, Ban quản trị lấy ý kiến của chủ sở hữu, chủ sử dụng nhà ở xã hội để làm cơ sở để đánh giá chất lượng dịch vụ quản lý vận hành của đơn vị quản lý vận hành nhà ở;
đ) Kiến nghị với chủ đầu tư thay đơn vị quản lý vận hành nếu chất lượng dịch vụ không đảm bảo theo quy định.
Điều 30. Những hành vi bị nghiêm cấm trong quản lý sử dụng nhà ở xã hội
1. Tự ý chuyển đổi mục đích sử dụng nhà ở;
2. Cơi nới, chiếm dụng diện tích, không gian hoặc làm hư hỏng tài sản thuộc phần sở hữu chung hoặc phần sử dụng chung dưới mọi hình thức; đục phá, cải tạo, tháo dỡ hoặc làm thay đổi phần kết cấu chịu lực, hệ thống hạ tầng kỹ thuật, trang thiết bị sử dụng chung, kiến trúc bên ngoài nhà ở.
3. Phân chia, chuyển đổi phần sở hữu chung hoặc phần sử dụng chung trái quy định.
4. Gây tiếng ồn quá mức quy định; làm ảnh hưởng đến trật tự, trị an trong khu nhà ở xã hội.
5. Xả rác thải, nước thải, khí thải, chất độc hại bừa bãi; gây thấm, dột, ô nhiễm môi trường; chăn nuôi gia súc, gia cầm trong khu vực thuộc phần sở hữu chung hoặc phần sử dụng chung trong khu nhà ở xã hội.
6. Quảng cáo, viết, vẽ trái quy định hoặc có những hành vi khác mà pháp luật không cho phép; sử dụng vật liệu hoặc màu sắc mặt ngoài căn hộ, nhà ở thu nhập thấp trái với quy định; thay đổi kết cấu, thiết kế của phần sở hữu riêng hoặc phần sử dụng riêng (xây tường ngăn lên mặt sàn, di chuyển các trang thiết bị và hệ thống kỹ thuật gắn với phần sở hữu chung, đục phá căn hộ, cơi nới diện tích dưới mọi hình thức).
7. Sử dụng hoặc cho người khác sử dụng phần sở hữu riêng hoặc phần sử dụng riêng nhà ở xã hội trái với mục đích quy định.
8. Nuôi gia súc, gia cầm trong khu vực thuộc sở hữu riêng hoặc phần sử dụng riêng làm ảnh hưởng tới trật tự, mỹ quan và môi trường sống của các hộ khác và khu vực công cộng trong khu nhà ở xã hội (nếu nuôi vật cảnh thì phải đảm bảo tuân thủ đúng quy định của pháp luật).
9. Sử dụng không đúng mục đích kinh phí quản lý vận hành và kinh phí bảo trì nhà ở xã hội.
10. Các hành vi bị cấm khác theo quy định của pháp luật.
Chương IV
GIẢI QUYẾT TRANH CHẤP VÀ XỬ LÝ VI PHẠM
Điều 31. Giải quyết tranh chấp
1. Các tranh chấp liên quan đến quyền sở hữu nhà ở xã hội do Tòa án giải quyết.
2. Các tranh chấp về quyền sử dụng nhà ở xã hội được giải quyết trên cơ sở Hòa giải, nhưng phải bảo đảm các quy định của Thông tư này. Nếu không Hòa giải được thì do tòa án giải quyết.
3. Các tranh chấp về hợp đồng mua, thuê, thuê mua nhà ở xã hội trong quá trình thực hiện theo Thông tư này thì xử lý theo quy định của pháp luật về nhà ở và pháp luật dân sự.
Điều 32. Xử lý vi phạm
1. Các hành vi vi phạm hành chính theo quy định của Thông tư này được xử lý theo quy định của pháp luật về xử phạt vi phạm hành chính, pháp luật về xây dựng, pháp luật về nhà ở.
2. Các tổ chức, cá nhân có hành vi gian dối về đối tượng, điều kiện để được mua, thuê, thuê mua nhà ở xã hội thì ngoài việc bị xử phạt theo quy định về xử phạt vi phạm hành chính trong quản lý và phát triển nhà ở, còn bị buộc phải trả lại nhà đã mua, thuê, thuê mua.
3. Người lợi dụng chức vụ, quyền hạn làm trái các quy định liên quan đến xác nhận đối tượng, cũng như việc bán, cho thuê, thuê mua và quản lý sử dụng nhà ở xã hội thì tùy theo mức độ vi phạm sẽ bị xử lý hành chính hoặc truy cứu trách nhiệm hình sự. Người có hành vi vi phạm nếu gây thiệt hại về vật chất thì phải bồi thường.
4. Các chủ đầu tư dự án nhà ở xã hội thực hiện việc bán, cho thuê, thuê mua nhà ở xã hội không đúng theo quy định tại Thông tư này thì ngoài việc bị xử phạt theo quy định về xử phạt vi phạm hành chính trong quản lý và phát triển nhà còn bị buộc phải hoàn trả các khoản chi phí được ưu đãi; bị thu hồi dự án; không được thực hiện các dự án kinh doanh bất động sản trong thời gian 02 năm kể từ ngày dự án bị thu hồi hoặc bị thu hồi đăng ký kinh doanh.
Chương V
TỔ CHỨC THỰC HIỆN
Điều 33. Trách nhiệm của Ủy ban nhân dân cấp tỉnh
1. Chỉ đạo Sở Xây dựng chủ trì, phối hợp với các cơ quan chức năng tổ chức điều tra, thống kê và tổng hợp nhu cầu mua, thuê, thuê mua nhà ở xã hội trên phạm vi địa bàn để xây dựng chương trình, kế hoạch phát triển nhà ở xã hội hàng năm và từng thời kỳ bảo đảm phù hợp với điều kiện cụ thể của từng địa phương;
2. Ban hành quy định cụ thể việc đấu thầu lựa chọn chủ đầu tư; chỉ đạo các cơ quan chức năng thuộc thẩm quyền tổ chức thực hiện đấu thầu, lựa chọn chủ đầu tư dự án phát triển nhà ở xã hội trên phạm vi địa bàn theo quy định tại Điểm b Khoản 3 Điều 5 của Thông tư này;
3. Tổ chức chỉ đạo thực hiện việc lập, thẩm định, phê duyệt dự án phát triển nhà ở xã hội đầu tư bằng ngân sách địa phương; thẩm định, chấp thuận đầu tư dự án phát triển nhà ở xã hội bằng nguồn vốn ngoài ngân sách theo thẩm quyền; quy định cụ thể các khu vực mà chủ đầu tư dự án phát triển nhà ở xã hội được phép bố trí xây dựng nhà ở xã hội liền kề thấp tầng trong phạm vi dự án phù hợp với quy hoạch đô thị của từng địa phương đã được cơ quan có thẩm quyền phê duyệt.
4. Tổ chức chỉ đạo các cơ quan chức năng thực hiện việc quản lý xây dựng nhà ở xã hội do các hộ gia đình, cá nhân tham gia đầu tư trên phạm vi địa bàn;
5. Ban hành quy định cụ thể tiêu chí lựa chọn các đối tượng được mua, thuê, thuê mua nhà ở xã hội trên phạm vi địa bàn theo thẩm quyền quy định tại Khoản 3 Điều 16 của Thông tư này;
6. Chỉ đạo cơ quan chức năng thuộc thẩm quyền thực hiện việc thẩm định giá bán, cho thuê, cho thuê mua nhà ở xã hội đối với các dự án phát triển nhà ở xã hội trên phạm vi địa bàn; ban hành khung giá bán, cho thuê, cho thuê mua nhà ở xã hội do các hộ gia đình, cá nhân đầu tư xây dựng theo quy định tại Điều 18 Thông tư này; Ban hành giá dịch vụ quản lý vận hành nhà ở tại các dự án phát triển xã hội để áp dụng thống nhất trên địa bàn;
7. Căn cứ vào quy định tại Thông tư này để ban hành quy định cụ thể về bán, cho thuê, cho thuê mua, bán nhà ở xã hội tại các dự án do các thành phần kinh tế tham gia đầu tư và nhà ở xã hội do hộ gia đình, cá nhân đầu tư xây dựng;
8. Chỉ đạo Ủy ban nhân dân cấp huyện và cấp xã thực hiện việc điều tra, thống kê, báo cáo nhu cầu về nhà ở xã hội trên phạm vi địa bàn gửi Sở Xây dựng địa phương để tổng hợp, phục vụ xây dựng, điều chỉnh Chương trình, kế hoạch phát triển nhà ở xã hội hàng năm, trung hạn và dài hạn trình cơ quan có thẩm quyền phê duyệt.
9. Tổ chức chỉ đạo thanh tra, kiểm tra, theo dõi, xử lý theo thẩm quyền hoặc chỉ đạo cơ quan có thẩm quyền xử lý các hành vi vi phạm liên quan đến phát triển và quản lý nhà ở xã hội trên phạm vi địa bàn.
10. Tổ chức chỉ đạo các cơ quan chức năng tổng hợp tình hình, báo cáo Thủ tướng Chính phủ, Bộ Xây dựng theo định kỳ hoặc theo yêu cầu đột xuất về công tác phát triển và quản lý sử dụng nhà ở xã hội trên địa bàn.
11. Thực hiện các nhiệm vụ được giao tại Điều 25 Nghị định 188/2013/NĐ-CP.
Điều 34. Trách nhiệm của Sở Xây dựng
1. Tiếp nhận, kiểm tra hồ sơ, chủ trì thực hiện việc đề xuất lựa chọn chủ đầu tư dự án phát triển nhà ở xã hội để trình Ủy ban nhân dân cấp tỉnh xem xét, quyết định lựa chọn chủ đầu tư dự án theo thẩm quyền quy định tại Nghị định 188/2013/NĐ-CP và quy định tại Thông tư này;
2. Tiếp nhận, kiểm tra hồ sơ, chủ trì thực hiện việc thẩm định dự án phát triển nhà ở xã hội để trình Ủy ban nhân dân cấp tỉnh xem xét, quyết định chấp thuận chủ trương đầu tư hoặc phê duyệt dự án phát triển nhà ở xã hội theo thẩm quyền quy định tại Nghị định 188/2013/NĐ-CP và quy định tại Thông tư này;
3. Chủ trì, phối hợp với các cơ quan chức năng của địa phương nghiên cứu, soạn thảo quy định cụ thể tiêu chí lựa chọn các đối tượng được mua, thuê, thuê mua nhà ở xã hội; quy định cụ thể về bán, cho thuê, cho thuê mua, bán nhà ở xã hội tại các dự án do các thành phần kinh tế tham gia đầu tư và nhà ở xã hội do hộ gia đình, cá nhân đầu tư xây dựng phù hợp với điều kiện cụ thể của địa phương để trình Ủy ban nhân dân cấp tỉnh xem xét, ban hành;
4. Thanh tra, kiểm tra, và xử lý các hành vi vi phạm về phát triển và quản lý sử dụng nhà ở xã hội trên địa bàn theo thẩm quyền hoặc báo cáo cơ quan có thẩm quyền xử lý theo quy định.
5. Định kỳ hoặc đột xuất báo cáo Ủy ban nhân dân cấp tỉnh và Bộ Xây dựng tình hình phát triển và quản lý sử dụng nhà ở xã hội trên địa bàn.
6. Thực hiện các nhiệm vụ khác do cơ quan có thẩm quyền giao.
Điều 35. Trách nhiệm của Cục Quản lý nhà và thị trường bất động sản
1. Giúp Bộ trưởng Bộ Xây dựng hướng dẫn, đôn đốc các địa phương trong cả nước triển khai thực hiện Nghị định 188/2013/NĐ-CP và Thông tư này.
2. Theo dõi và tổ chức kiểm tra tình hình thực hiện việc phát triển và quản lý sử dụng nhà ở xã hội trong phạm vi cả nước.
3. Tổng hợp báo cáo tình hình triển khai thực hiện theo định kỳ và báo cáo Bộ trưởng Bộ Xây dựng sửa đổi, bổ sung Thông tư này hoặc đề nghị Chính phủ xem xét sửa đổi, bổ sung chính sách về phát triển và quản lý sử dụng nhà ở xã hội.
Điều 36. Hiệu lực thi hành
1. Thông tư này có hiệu lực kể từ ngày 08 tháng 7 năm 2014.
2. Thông tư số 10/2009/TT-BXD ngày 15 tháng 6 năm 2009 của Bộ Xây dựng hướng dẫn quản lý dự án đầu tư xây dựng nhà ở sinh viên, nhà ở công nhân khu công nghiệp và nhà ở thu nhập thấp; Thông tư số 13/2009/TT-BXD ngày 30 tháng 6 năm 2009 của Bộ Xây dựng hướng dẫn việc cho thuê, quản lý vận hành nhà ở sinh viên và nhà ở công nhân khu công nghiệp; Thông tư số 15/2009/TT-BXD ngày 30 tháng 6 năm 2009 của Bộ Xây dựng hướng dẫn phương pháp xác định giá cho thuê nhà ở sinh viên, nhà ở công nhân, nhà ở thu nhập thấp và giá bán, giá thuê mua nhà ở cho người có thu nhập thấp thuộc các dự án do các thành phần kinh tế tham gia đầu tư; Thông tư số 36/2009/TT-BXD ngày 16 tháng 11 năm 2009 của Bộ Xây dựng hướng dẫn việc bán, cho thuê, cho thuê mua và quản lý sử dụng nhà ở cho người có thu nhập thấp tại khu vực đô thị; Điều 11 của Thông tư số 16/2010/TT-BXD ngày 01 tháng 9 năm 2010 của Bộ Xây dựng quy định cụ thể và hướng dẫn một số nội dung của Nghị định số 71/2010/NĐ-CP ngày 23 tháng 6 năm 2010 của Chính phủ quy định chi tiết và hướng dẫn thi hành Luật Nhà ở hết hiệu lực kể từ ngày Thông tư này có hiệu lực thi hành.
3. Các quy định về phát triển và quản lý sử dụng nhà ở xã hội do các thành phần kinh tế tham gia đầu tư xây dựng trong các văn bản của Ủy ban nhân dân cấp tỉnh mà khác với quy định của Thông tư này thì thực hiện theo quy định tại Thông tư này.
4. Trong quá trình thực hiện nếu gặp khó khăn, vướng mắc, đề nghị gửi ý kiến về Bộ Xây dựng để sửa đổi, bổ sung theo thẩm quyền hoặc trình Thủ tướng Chính phủ, Chính phủ xem xét, quyết định. /.
|
Nơi nhận: |
KT. BỘ TRƯỞNG |
Văn bản này có phụ lục. Vui lòng đăng nhập để xem chi tiết.
Bạn chưa Đăng nhập thành viên.
Đây là tiện ích dành cho tài khoản thành viên. Vui lòng Đăng nhập để xem chi tiết. Nếu chưa có tài khoản, vui lòng Đăng ký tại đây!
Bạn chưa Đăng nhập thành viên.
Đây là tiện ích dành cho tài khoản thành viên. Vui lòng Đăng nhập để xem chi tiết. Nếu chưa có tài khoản, vui lòng Đăng ký tại đây!