- Tổng quan
- Nội dung
- VB gốc
- Tiếng Anh
- Hiệu lực
- VB liên quan
- Lược đồ
-
Nội dung hợp nhất
Tính năng này chỉ có tại LuatVietnam.vn. Nội dung hợp nhất tổng hợp lại tất cả các quy định còn hiệu lực của văn bản gốc và các văn bản sửa đổi, bổ sung, đính chính... trên một trang. Việc hợp nhất văn bản gốc và những văn bản, Thông tư, Nghị định hướng dẫn khác không làm thay đổi thứ tự điều khoản, nội dung.
Khách hàng chỉ cần xem Nội dung hợp nhất là có thể nắm bắt toàn bộ quy định hiện hành đang áp dụng, cho dù văn bản gốc đã qua nhiều lần chỉnh sửa, bổ sung.
- Tải về
Thông tư 07/2014/TT-BXD hướng dẫn Nghị định về nhà ở tái định cư
| Cơ quan ban hành: | Bộ Xây dựng |
Số công báo:
Số công báo là mã số ấn phẩm được đăng chính thức trên ấn phẩm thông tin của Nhà nước. Mã số này do Chính phủ thống nhất quản lý.
|
Đã biết
|
| Số hiệu: | 07/2014/TT-BXD | Ngày đăng công báo: |
Đã biết
|
| Loại văn bản: | Thông tư | Người ký: | Nguyễn Trần Nam |
|
Ngày ban hành:
Ngày ban hành là ngày, tháng, năm văn bản được thông qua hoặc ký ban hành.
|
20/05/2014 |
Ngày hết hiệu lực:
Ngày hết hiệu lực là ngày, tháng, năm văn bản chính thức không còn hiệu lực (áp dụng).
|
Đã biết
|
|
Áp dụng:
Ngày áp dụng là ngày, tháng, năm văn bản chính thức có hiệu lực (áp dụng).
|
Đã biết
|
Tình trạng hiệu lực:
Cho biết trạng thái hiệu lực của văn bản đang tra cứu: Chưa áp dụng, Còn hiệu lực, Hết hiệu lực, Hết hiệu lực 1 phần; Đã sửa đổi, Đính chính hay Không còn phù hợp,...
|
Đã biết
|
| Lĩnh vực: | Đất đai-Nhà ở, Xây dựng |
TÓM TẮT THÔNG TƯ 07/2014/TT-BXD
Trả trước 95% khi mua nhà ở thương mại để bố trí tái định cư
Ngày 20/05/2014, Bộ Xây dựng đã ban hành Thông tư số 07/2014/TT-BXD hướng dẫn một số nội dung của Nghị định số 84/2013/NĐ-CP ngày 25/07/2013 của Chính phủ quy định về phát triển và quản lý nhà ở tái định cư, trong đó nhấn mạnh tới nội dung mua nhà ở thương mại phục vụ tái định cư
Cụ thể, trường hợp Bên mua nhà ở thương mại là Chủ đầu tư dự án khu nhà ở phục vụ tái định cư, công trình nhà ở phục vụ tái định cư hoặc Chủ đầu tư dự án có nhu cầu nhà ở phục vụ tái định cư trực tiếp mua nhà ở thương mại làm nhà tái định cư đều phải có trách nhiệm trả số tiền bằng 95% giá trị hợp đồng cho Bên bán nhà trước khi nhận bàn giao nhà ở; trả cho Bên bán nhà 5% giá trị hợp đồng còn lại sau khi hộ gia đình, cá nhân tái định cư được cấp Giấy chứng nhận quyền sở hữu nhà ở, quyền sử dụng đất ở và tài sản khác gắn liền với đất.
Bên bán nhà có trách nhiệm bảo hành các căn hộ chung cư thương mại, các công trình hạ tầng kỹ thuật trên đất ở tái định cư (nếu có); mở tài khoản riêng tại ngân hàng thương mại để gửi 2% kinh phí bảo trì và bàn giao tài khoản kinh phí bảo trì cho Ban quản trị nhà chung cư khi Ban quản trị được bầu để quản lý kinh phí bảo trì. Đồng thời, bên bán nhà có trách nhiệm làm thủ tục đề nghị cơ quan chức năng của địa phương cấp Giấy chứng nhận quyền sử dụng đất, quyền sở hữu nhà ở và tài sản gắn liền với đất cho từng hộ gia đình, cá nhân tái định cư.
Thông tư này có hiệu lực thi hành kể từ ngày 09/07/2014.
Xem chi tiết Thông tư 07/2014/TT-BXD có hiệu lực kể từ ngày 09/07/2014
Tải Thông tư 07/2014/TT-BXD
|
BỘ XÂY DỰNG Số: 07/2014/TT-BXD |
CỘNG HÒA XÃ HỘI CHỦ NGHĨA VIỆT NAM Hà Nội, ngày 20 tháng 05 năm 2014 |
THÔNG TƯ
HƯỚNG DẪN MỘT SỐ NỘI DUNG CỦA NGHỊ ĐỊNH SỐ 84/2013/NĐ-CP NGÀY 25 THÁNG 7 NĂM 2013 CỦA CHÍNH PHỦ QUY ĐỊNH VỀ PHÁT TRIỂN VÀ QUẢN LÝ NHÀ Ở TÁI ĐỊNH CƯ
Căn cứ Nghị định số 62/2013/NĐ-CP ngày 25 tháng 6 năm 2013 của Chính phủ quy định chức năng, nhiệm vụ, quyền hạn và cơ cấu tổ chức của Bộ Xây dựng;
Căn cứ Nghị định số 84/2013/NĐ-CP ngày 25 tháng 7 năm 2013 của Chính phủ quy định về phát triển và quản lý nhà ở tái định cư;
Căn cứ Nghị định số 34/2013/NĐ-CP ngày 22 tháng 4 năm 2013 của Chính phủ về quản lý sử dụng nhà ở thuộc sở hữu nhà nước;
Căn cứ Nghị định số 188/2013/NĐ-CP ngày 20 tháng 11 năm 2013 của Chính phủ về phát triển và quản lý nhà ở xã hội;
Xét đề nghị của Cục trưởng Cục Quản lý nhà và thị trường bất động sản;
Bộ trưởng Bộ Xây dựng ban hành Thông tư hướng dẫn một số nội dung của Nghị định số 84/2013/NĐ-CP ngày 25 tháng 7 năm 2013 của Chính phủ quy định về phát triển và quản lý nhà ở tái định cư.
Chương I
NHỮNG QUY ĐỊNH CHUNG
Điều 1. Phạm vi điều chỉnh
Thông tư này hướng dẫn một số nội dung của Nghị định số 84/2013/NĐ-CP ngày 25 tháng 7 năm 2013 của Chính phủ quy định về phát triển và quản lý nhà ở tái định cư (sau đây gọi tắt là Nghị định số 84/2013/NĐ-CP), bao gồm: kế hoạch phát triển nhà ở phục vụ tái định cư; quản lý đầu tư xây dựng nhà ở phục vụ tái định cư và mua nhà ở thương mại để bố trí tái định cư; quản lý bán, cho thuê nhà ở phục vụ tái định cư; quản lý vận hành nhà ở phục vụ tái định cư.
Điều 2. Đối tượng áp dụng
1. Hộ gia đình, cá nhân phải di chuyển chỗ ở khi Nhà nước thu hồi đất để thực hiện các dự án xây dựng công trình sử dụng cho mục đích quốc phòng, an ninh, lợi ích quốc gia, lợi ích công cộng theo quy hoạch, kế hoạch được cấp có thẩm quyền phê duyệt.
2. Các tổ chức, cá nhân có liên quan đến phát triển và quản lý nhà ở phục vụ tái định cư.
3. Cơ quan quản lý nhà nước về nhà ở các cấp.
Chương II
KẾ HOẠCH PHÁT TRIỂN NHÀ Ở PHỤC VỤ TÁI ĐỊNH CƯ, QUẢN LÝ ĐẦU TƯ XÂY DỰNG NHÀ Ở PHỤC VỤ TÁI ĐỊNH CƯ VÀ MUA NHÀ Ở THƯƠNG MẠI ĐỂ BỐ TRÍ TÁI ĐỊNH CƯ
Điều 3. Trình tự lập và phê duyệt kế hoạch phát triển nhà ở phục vụ tái định cư trên địa bàn tỉnh, thành phố trực thuộc Trung ương
Kế hoạch phát triển nhà ở phục vụ tái định cư được lập và phê duyệt theo trình tự như sau:
1. Chủ đầu tư các dự án nêu tại Khoản 5, Khoản 6 và Khoản 7 Điều 3 của Nghị định số 84/2013/NĐ-CP chủ trì, phối hợp với Hội đồng bồi thường giải phóng mặt bằng thuộc Ủy ban nhân dân quận, huyện, thị xã, thành phố thuộc tỉnh (sau đây gọi tắt là Ủy ban nhân dân cấp huyện) và Ủy ban nhân dân xã, phường, thị trấn (sau đây gọi tắt là Ủy ban nhân dân cấp xã) nơi có dự án tiến hành điều tra xã hội học, khảo sát nhu cầu của các hộ gia đình, cá nhân trong khu vực giải phóng mặt bằng, trong đó xác định nhu cầu các hộ gia đình, cá nhân thuộc diện phải di dời về việc tái định cư (như vị trí, loại nhà ở phục vụ tái định cư; số lượng, diện tích nhà ở, đất ở có hạ tầng kỹ thuật được đầu tư xây dựng và mua thương mại để bố trí tái định cư; tổng vốn đầu tư; dự kiến tiến độ bố trí nhà ở, đất ở tái định cư) theo mẫu biểu quy định tại Phụ lục số 01 ban hành kèm theo Thông tư này báo cáo Ủy ban nhân dân cấp huyện. Trường hợp dự án liên quan từ 2 đơn vị cấp huyện trở lên thì Chủ đầu tư phải báo cáo từng huyện về nhu cầu về nhà ở phục vụ tái định cư.
2. Ủy ban nhân dân cấp huyện chỉ đạo lập và phê duyệt phương án bồi thường, hỗ trợ và tái định cư và tổng hợp nhu cầu nhà ở phục vụ tái định cư trên địa bàn, báo cáo Sở Xây dựng về nhu cầu nhà ở phục vụ tái định cư được đầu tư bằng mọi nguồn vốn (bao gồm: vị trí, loại nhà ở phục vụ tái định cư; số lượng, diện tích nhà ở, đất ở có hạ tầng kỹ thuật được đầu tư xây dựng và mua thương mại để bố trí tái định cư; tổng vốn đầu tư từ ngân sách Trung ương, ngân sách địa phương và nguồn vốn khác; dự kiến tiến độ bố trí nhà ở, đất ở tái định cư) theo mẫu biểu quy định tại Phụ lục số 02 ban hành kèm theo Thông tư này.
3. Sở Xây dựng chủ trì, phối hợp với các sở, ban, ngành liên quan lập kế hoạch phát triển nhà ở phục vụ tái định cư hàng năm và 5 năm trình Ủy ban nhân dân tỉnh, thành phố trực thuộc Trung ương (sau đây gọi tắt là Ủy ban nhân dân cấp tỉnh), bao gồm những nội dung chính như sau:
a) Dự báo số lượng hộ gia đình, cá nhân có nhu cầu tái định cư hàng năm và 5 năm tiếp theo;
b) Tổng số căn hộ, tổng diện tích sàn và quy mô, cơ cấu diện tích căn hộ nhà chung cư (dự kiến đầu tư xây dựng, mua nhà ở thương mại để bố trí tái định cư), số lượng, diện tích nền đất ở có công trình hạ tầng kỹ thuật dự kiến triển khai hàng năm và 5 năm tiếp theo;
c) Xác định khu vực, vị trí, tổng diện tích đất dành để phát triển nhà ở phục vụ tái định cư, trong đó có bố trí quỹ đất dành để hoán đổi cho nhà đầu tư tham gia thực hiện theo hình thức hợp đồng Xây dựng - Chuyển giao (sau đây gọi là hợp đồng BT) nhà ở phục vụ tái định cư;
d) Danh mục dự án khu nhà ở phục vụ tái định cư, dự án công trình nhà ở phục vụ tái định cư; dự án nhà ở thương mại dự kiến mua căn hộ để bố trí tái định cư hàng năm và 5 năm; tiến độ cung cấp nhà ở phục vụ tái định cư của từng dự án;
đ) Nhu cầu vốn đầu tư, nguồn vốn đầu tư (vốn ngân sách Trung ương, vốn ngân sách địa phương, vốn huy động từ các thành phần kinh tế và các nguồn vốn hợp pháp khác theo quy định của pháp luật);
e) Trách nhiệm của các cơ quan chức năng của địa phương trong việc triển khai thực hiện kế hoạch phát triển nhà ở phục vụ tái định cư;
g) Các nội dung khác có liên quan đến phát triển nhà ở phục vụ tái định cư.
4. Ủy ban nhân dân cấp tỉnh căn cứ kế hoạch phát triển kinh tế - xã hội, quy hoạch, kế hoạch sử dụng đất, quy hoạch xây dựng, chương trình phát triển nhà ở trên địa bàn đã được phê duyệt để xem xét, quyết định phê duyệt kế hoạch phát triển nhà ở phục vụ tái định cư hàng năm và 5 năm, công bố công khai kế hoạch phát triển nhà ở phục vụ tái định cư, đồng thời báo cáo Bộ Xây dựng theo mẫu biểu quy định tại Phụ lục số 03 ban hành kèm theo Thông tư này trước ngày 31 tháng 10 của năm trước năm kế hoạch.
Điều 4. Trình tự lựa chọn Chủ đầu tư dự án khu nhà ở phục vụ tái định cư, công trình nhà ở phục vụ tái định cư
1. Việc lựa chọn Chủ đầu tư dự án khu nhà ở phục vụ tái định cư, công trình nhà ở phục vụ tái định cư được thực hiện theo quy định của Nghị định số 84/2013/NĐ-CP và trên cơ sở như sau:
a) Kế hoạch phát triển nhà ở phục vụ tái định cư đã được Ủy ban nhân dân cấp tỉnh phê duyệt.
b) Quy mô dự án khu nhà ở phục vụ tái định cư, công trình nhà ở phục vụ tái định cư.
c) Đối với Chủ đầu tư được lựa chọn quy định tại Điểm a, Điểm b Khoản 1 Điều 10 của Nghị định số 84/2013/NĐ-CP phải có đủ điều kiện về tư cách pháp nhân và năng lực chuyên môn theo quy định của pháp luật về đầu tư xây dựng, pháp luật về nhà ở và kinh doanh bất động sản.
d) Đối với Chủ đầu tư được lựa chọn quy định tại Điểm c Khoản 1 Điều 10 của Nghị định số 84/2013/NĐ-CP thì ngoài các điều kiện quy định tại Điểm c Khoản này phải đảm bảo năng lực tài chính để thực hiện đầu tư xây dựng, kinh doanh bất động sản.
2. Trình tự, thủ tục lựa chọn Chủ đầu tư dự án khu nhà ở phục vụ tái định cư, công trình tái định cư được đầu tư bằng vốn ngân sách nhà nước theo quy định tại Khoản 4 Điều 10 Nghị định số 84/2013/NĐ-CP.
a) Ủy ban nhân dân cấp tỉnh có trách nhiệm chỉ đạo công bố công khai trên Cổng Thông tin điện tử (Website) của Ủy ban nhân dân cấp tỉnh, Website của Sở Xây dựng và đăng báo Đấu thầu (Bộ Kế hoạch và Đầu tư) tối thiểu 3 kỳ liên tục trước khi Sở Xây dựng là cơ quan đầu mối phát hành hồ sơ mời thầu ít nhất 10 ngày kể từ ngày thông báo lần đầu các nội dung sau đây để các nhà đầu tư có cơ sở đăng ký tham gia làm Chủ đầu tư dự án khu nhà ở phục vụ tái định cư, công trình nhà ở phục vụ tái định cư:
- Quy hoạch xây dựng đô thị, điểm dân cư nông thôn tỷ lệ 1/2000;
- Địa điểm, ranh giới và diện tích khu đất để phát triển khu nhà ở phục vụ tái định cư, công trình nhà ở phục vụ tái định cư;
- Các loại nhà ở, hệ thống hạ tầng kỹ thuật, hạ tầng xã hội và công trình kiến trúc khác trong phạm vi dự án; tiến độ thực hiện dự án;
- Các nguồn vốn thực hiện dự án (vốn ngân sách Trung ương, vốn ngân sách địa phương và các nguồn vốn hợp pháp khác theo quy định của pháp luật);
- Các điều kiện tham gia đấu thầu lựa chọn Chủ đầu tư dự án phát triển khu nhà ở phục vụ tái định cư, công trình nhà ở phục vụ tái định cư theo quy định tại Điểm c, Điểm d Khoản 1 Điều này.
b) Trình tự lựa chọn Chủ đầu tư dự án khu nhà ở phục vụ tái định cư, công trình nhà ở phục vụ tái định cư được đầu tư bằng vốn ngân sách Trung ương và địa phương trên địa bàn quy định tại Điểm b Khoản 4 Điều 10 Nghị định số 84/2013/NĐ-CP.
- Trường hợp trong thời hạn tiếp nhận hồ sơ dự thầu chỉ có một nhà đầu tư đăng ký làm Chủ đầu tư dự án khu nhà ở phục vụ tái định cư, công trình nhà ở phục vụ tái định cư thì thực hiện như sau:
+ Trong thời hạn 10 ngày làm việc kể từ khi nhận đủ hồ sơ hợp lệ của nhà đầu tư đó, Sở Xây dựng có trách nhiệm báo cáo Ủy ban nhân dân cấp tỉnh quyết định thành lập Tổ chuyên gia có sự tham gia của đại diện các Sở: Xây dựng (chủ trì) và Tài nguyên và Môi trường, Kế hoạch và Đầu tư, Tài chính, Kiến trúc - Quy hoạch (đối với các tỉnh, thành phố có Sở Kiến trúc - Quy hoạch) để xem xét, đánh giá hồ sơ năng lực của nhà đầu tư.
+ Trường hợp nhà đầu tư đủ điều kiện để làm Chủ đầu tư theo quy định tại Điểm c, Điểm d Khoản 1 Điều này thì trong thời gian 10 ngày làm việc kể từ khi thành lập Tổ chuyên gia, Sở Xây dựng có Tờ trình kèm theo biên bản làm việc của Tổ chuyên gia báo cáo Ủy ban nhân dân cấp tỉnh quyết định Chủ đầu tư dự án khu nhà ở phục vụ tái định cư, công trình nhà ở phục vụ tái định cư.
+ Trường hợp nhà đầu tư không đủ điều kiện để làm Chủ đầu tư dự án thì Sở Xây dựng có văn bản thông báo để nhà đầu tư đó biết rõ lý do và báo cáo Ủy ban nhân dân cấp tỉnh xem xét, chỉ định nhà đầu tư khác làm Chủ đầu tư dự án khu nhà ở phục vụ tái định cư, công trình nhà ở phục vụ tái định cư.
- Trường hợp trong thời hạn tiếp nhận hồ sơ dự thầu có từ hai nhà đầu tư đăng ký làm Chủ đầu tư dự án khu nhà ở phục vụ tái định cư, công trình nhà ở phục vụ tái định cư thì thực hiện như sau:
+ Sở Xây dựng có trách nhiệm công bố công khai danh sách các nhà đầu tư tham gia trên Website của Sở Xây dựng, thông báo cho nhà đầu tư biết để chuẩn bị hồ sơ dự thầu theo quy định và báo cáo Ủy ban nhân dân cấp tỉnh tổ chức đấu thầu lựa chọn Chủ đầu tư.
+ Trong thời gian 10 ngày làm việc kể từ khi hết thời hạn nhận hồ sơ dự thầu. Sở Xây dựng lập tờ trình gửi Ủy ban nhân dân cấp tỉnh về việc thành lập Tổ chuyên gia lựa chọn Chủ đầu tư, ban hành quy định cụ thể về tổ chức đấu thầu và quy chế làm việc của Tổ chuyên gia.
+ Trong thời gian 10 ngày làm việc, Ủy ban nhân dân cấp tỉnh có quyết định thành lập Tổ chuyên gia lựa chọn Chủ đầu tư, ban hành cụ thể về tổ chức đấu thầu và quy chế làm việc của Tổ chuyên gia. Tổ chuyên gia có sự tham gia của đại diện các Sở: Xây dựng (chủ trì) và Tài nguyên và Môi trường, Kế hoạch và Đầu tư, Tài chính, Kiến trúc - Quy hoạch (đối với các tỉnh, thành phố có Sở Kiến trúc - Quy hoạch) và Sở ban ngành khác có liên quan đến dự án để xem xét đánh giá hồ sơ năng lực của nhà đầu tư. Tổ chuyên gia có trách nhiệm xây dựng tiêu chí đánh giá, các thang điểm cụ thể trên cơ sở nội dung của hồ sơ mời thầu để xem xét, chấm điểm đối với từng hồ sơ dự thầu theo quy định.
+ Trong thời hạn 30 ngày làm việc, Tổ chuyên gia có kết quả đánh giá và kết quả đấu thầu thông báo bằng văn bản cho Sở Xây dựng. Sở Xây dựng có Tờ trình kèm theo kết quả đấu thầu của Tổ chuyên gia báo cáo Chủ tịch Ủy ban nhân dân cấp tỉnh quyết định lựa chọn Chủ đầu tư dự án khu nhà ở phục vụ tái định cư, công trình nhà ở phục vụ tái định cư.
+ Thời hạn từ khi tổ chức đấu thầu đến khi quyết định lựa chọn Chủ đầu tư dự án khu nhà ở phục vụ tái định cư, công trình nhà ở phục vụ tái định cư tối đa là 60 ngày làm việc, kể từ ngày Sở Xây dựng tiếp nhận hồ sơ dự thầu.
+ Trong thời gian 5 ngày làm việc, kể từ ngày có quyết định lựa chọn Chủ đầu tư, Sở Xây dựng có trách nhiệm thông báo quyết định lựa chọn Chủ đầu tư và các nhà thầu đã tham gia nhưng không được lựa chọn làm Chủ đầu tư.
c) Trình tự lựa chọn Chủ đầu tư dự án khu nhà ở phục vụ tái định cư, công trình tái định cư phục vụ dự án, công trình quan trọng quốc gia quy định tại Điểm a Khoản 4 Điều 10 Nghị định số 84/2013/NĐ-CP.
- Chủ đầu tư dự án, công trình quan trọng quốc gia gửi văn bản đề nghị Ủy ban nhân dân cấp tỉnh nơi có dự án trình Thủ tướng Chính phủ quyết định lựa chọn Chủ đầu tư dự án khu nhà ở phục vụ tái định cư, công trình tái định cư.
- Trong thời gian 10 ngày làm việc, kể từ ngày nhận được văn bản đề nghị của Chủ đầu tư dự án, công trình quan trọng quốc gia, Ủy ban nhân dân cấp tỉnh chỉ đạo công bố công khai thông tin dự án tái định cư theo quy định tại Điểm a Khoản này.
- Trong thời gian 10 ngày làm việc, Ủy ban nhân dân cấp tỉnh có quyết định thành lập Tổ chuyên gia lựa chọn Chủ đầu tư, ban hành cụ thể về tổ chức và quy chế làm việc của Tổ chuyên gia. Tổ chuyên gia có sự tham gia của đại diện các Sở: Xây dựng (chủ trì) và Tài nguyên và Môi trường, Kế hoạch và Đầu tư, Tài chính, Kiến trúc - Quy hoạch (đối với các tỉnh, thành phố có Sở Kiến trúc
- Quy hoạch) và Sở ban ngành khác có liên quan đến dự án để đánh giá hồ sơ năng lực của nhà đầu tư đăng ký tham gia theo quy định tại Điểm d Khoản 1 Điều này;
- Trong thời gian 20 ngày làm việc, Tổ chuyên gia có kết quả đánh giá và Sở Xây dựng làm văn bản báo cáo Ủy ban nhân dân cấp tỉnh kết quả đánh giá năng lực nhà đầu tư của Tổ chuyên gia; Ủy ban nhân dân cấp tỉnh lập Tờ trình đề xuất lựa chọn Chủ đầu tư và 02 bộ hồ sơ năng lực của Chủ đầu tư dự án khu nhà ở phục vụ tái định cư, công trình tái định cư kèm theo quy định tại Điểm d Khoản 1 Điều này trình Thủ tướng Chính phủ.
- Trong thời gian 10 ngày làm việc, kể từ ngày nhận được quyết định lựa chọn Chủ đầu tư của Thủ tướng Chính phủ, Ủy ban nhân dân cấp tỉnh có văn bản chỉ đạo Chủ đầu tư dự án khu nhà ở phục vụ tái định cư, công trình nhà ở phục vụ tái định cư lập dự án đầu tư để trình cơ quan có thẩm quyền thẩm định và phê duyệt.
3. Đối với dự án khu nhà ở phục vụ tái định cư thực hiện theo hình thức hợp đồng BT quy định tại Điều 12 của Nghị định số 84/2013/NĐ-CP thì Ủy ban nhân dân cấp tỉnh có thể xem xét, lựa chọn tổ chức, cá nhân có chức năng kinh doanh bất động sản, có đủ năng lực tài chính theo quy định của pháp luật về nhà ở và pháp luật về kinh doanh bất động sản làm Nhà đầu tư thực hiện dự án này.
Điều 5. Trình tự lập, thẩm định và phê duyệt dự án khu nhà ở phục vụ tái định cư, công trình nhà ở phục vụ tái định cư
Trình tự lập, thẩm định và phê duyệt dự án khu nhà ở phục vụ tái định cư, công trình nhà ở phục vụ tái định cư thực hiện theo quy định của pháp luật về nhà ở và pháp luật về xây dựng và các quy định cụ thể như sau:
1. Đối với dự án khu nhà ở phục vụ tái định cư, công trình nhà ở phục vụ tái định cư sử dụng vốn ngân sách nhà nước, trừ trường hợp quy định tại Khoản 2 Điều này, Chủ đầu tư lập Tờ trình xin phê duyệt dự án và 10 bộ hồ sơ kèm theo quy định tại Khoản 4 Điều này để trình cơ quan có thẩm quyền thẩm định và phê duyệt.
Chủ đầu tư có trách nhiệm nộp hồ sơ tại Sở Xây dựng đối với dự án thuộc thẩm quyền phê duyệt của Ủy ban nhân dân cấp tỉnh; nộp hồ sơ tại Phòng có chức năng quản lý nhà ở cấp huyện đối với dự án thuộc thẩm quyền phê duyệt của Ủy ban nhân dân cấp huyện.
Sở Xây dựng hoặc Phòng có chức năng quản lý nhà ở cấp huyện có trách nhiệm kiểm tra, nếu đủ điều kiện thì tiếp nhận hồ sơ và viết giấy biên nhận hồ sơ, hẹn ngày trả kết quả, nếu hồ sơ chưa đủ điều kiện thì hướng dẫn để Chủ đầu tư bổ sung giấy tờ, hoàn thiện hồ sơ một lần.
Sau khi tiếp nhận đủ hồ sơ hợp lệ, Sở Xây dựng hoặc Phòng có chức năng quản lý nhà ở cấp huyện chủ trì thẩm định và lấy ý kiến góp ý của các cơ quan: Tài nguyên và Môi trường, Tài chính, Kế hoạch và Đầu tư và các cơ quan có liên quan khác; đối với cấp tỉnh thì Sở Xây dựng lấy thêm ý kiến của Sở Kiến trúc - Quy hoạch (tại các tỉnh, thành phố có Sở Kiến trúc - Quy hoạch) và Ủy ban nhân dân cấp huyện nơi có dự án. Thời gian các cơ quan có liên quan trả lời ý kiến tối đa là 15 ngày đối với dự án nhóm A, nhóm B và 10 ngày đối với dự án nhóm C kể từ ngày nhận được văn bản của Sở Xây dựng hoặc Phòng có chức năng quản lý nhà ở cấp huyện. Sau khi có ý kiến của các cơ quan có liên quan, cơ quan chủ trì thẩm định lập Tờ trình báo cáo Chủ tịch Ủy ban nhân dân cùng cấp phê duyệt dự án; thời gian thẩm định và phê duyệt dự án khu nhà ở phục vụ tái định cư, công trình nhà ở phục vụ tái định cư tối đa không vượt quá 45 ngày.
2. Đối với dự án khu nhà ở phục vụ tái định cư, công trình nhà ở phục vụ tái định cư phục vụ dự án, công trình quan trọng quốc gia quy định tại Điểm b Khoản 2 Điều 11 của Nghị định số 84/2013/NĐ-CP thì Chủ đầu tư dự án khu nhà ở phục vụ tái định cư, công trình nhà ở phục vụ tái định cư có văn bản và 10 bộ hồ sơ dự án kèm theo quy định tại Khoản 4 Điều này trình Ủy ban nhân dân cấp tỉnh.
Trong thời gian 20 ngày kể từ khi nhận hồ sơ dự án của Chủ đầu tư, Ủy ban nhân dân cấp tỉnh giao Sở Xây dựng: chủ trì lấy ý kiến của các Sở ban ngành, Ủy ban nhân dân cấp huyện liên quan đến dự án, tổng hợp ý kiến góp ý và yêu cầu Chủ đầu tư dự án tiếp thu điều chỉnh nội dung dự án, báo cáo Ủy ban nhân dân cấp tỉnh.
Ủy ban nhân dân cấp tỉnh nơi có dự án khu nhà ở phục vụ tái định cư, công trình nhà ở phục vụ tái định cư có văn bản đề nghị Bộ Xây dựng và các Bộ, ngành liên quan góp ý về nội dung dự án.
Trong thời gian 20 ngày làm việc, kể từ ngày nhận được văn bản đề nghị của Ủy ban nhân dân cấp tỉnh, Bộ Xây dựng và các Bộ, ngành liên quan có văn bản góp ý về nội dung dự án. Ủy ban nhân dân cấp tỉnh giao Sở Xây dựng: tổng hợp, tiếp thu trên cơ sở các ý kiến góp ý của Bộ Xây dựng và các Bộ, ngành liên quan về nội dung dự án, yêu cầu Chủ đầu tư dự án khu nhà ở phục vụ tái định cư, công trình nhà ở phục vụ tái định cư tiếp thu, điều chỉnh hoàn thiện hồ sơ dự án và báo cáo Ủy ban nhân dân cấp tỉnh.
Ủy ban nhân dân cấp tỉnh lập Tờ trình xin phê duyệt dự án và 10 bộ hồ sơ dự án hợp lệ kèm theo quy định tại Khoản 4 Điều này trình Thủ tướng Chính phủ xem xét, quyết định phê duyệt dự án.
3. Đối với dự án khu nhà ở phục vụ tái định cư, công trình nhà ở phục vụ tái định cư sử dụng vốn không phải bằng nguồn vốn từ ngân sách nhà nước, Chủ đầu tư lập và quyết định phê duyệt dự án theo quy định của pháp luật về đầu tư xây dựng và pháp luật về nhà ở và quy định của Thông tư này.
4. Nội dung hồ sơ dự án khu nhà ở phục vụ tái định cư, công trình nhà ở phục vụ tái định cư được lập bao gồm:
a) Phần thuyết minh của dự án:
- Tên dự án;
- Sự cần thiết và cơ sở pháp lý của dự án;
- Mục tiêu, hình thức đầu tư; địa điểm xây dựng; quy mô dự án; nhu cầu sử dụng đất; điều kiện tự nhiên của khu vực có dự án;
- Các giải pháp thực hiện: quy chuẩn, tiêu chuẩn xây dựng áp dụng đối với dự án; phương án phòng cháy, chữa cháy; các giải pháp về hạ tầng kỹ thuật và đấu nối với hạ tầng kỹ thuật chung của khu vực; khả năng sử dụng hạ tầng xã hội đã có trong khu vực dự án;
- Nơi để xe công cộng và nơi để xe cho các hộ gia đình, cá nhân sinh sống trong khu vực dự án (gồm xe đạp, xe cho người tàn tật, xe động cơ hai bánh, xe ô tô);
- Hệ thống hạ tầng xã hội (nhà trẻ, trường học, y tế, dịch vụ, thể thao, vui chơi, giải trí, công viên), trừ trường hợp khu vực của dự án đã có công trình hạ tầng xã hội;
- Số lượng và tỷ lệ các loại nhà ở (bao gồm nhà ở riêng lẻ, căn hộ chung cư), tổng diện tích sàn nhà ở; phương án tiêu thụ sản phẩm (số lượng nhà ở bán, cho thuê); số lượng nền đất ở được đầu tư hạ tầng kỹ thuật;
- Các đề xuất về cơ chế áp dụng đối với dự án (về sử dụng đất, tài chính và các cơ chế khác);
- Thời gian, tiến độ thực hiện dự án (tiến độ theo từng giai đoạn) và hình thức quản lý dự án;
- Tổng mức đầu tư, nguồn vốn, hình thức huy động vốn, khả năng hoàn trả vốn, khả năng thu hồi vốn;
- Về việc Nhà nước đầu tư xây dựng công trình hạ tầng kỹ thuật ngoài phạm vi dự án;
- Phương án tổ chức quản lý vận hành dự án khu nhà ở phục vụ tái định cư, công trình tái định cư (mô hình tổ chức, hình thức quản lý vận hành, các loại phí dịch vụ).
b) Phần thiết kế cơ sở của dự án:
- Phần thuyết minh của thiết kế cơ sở: giới thiệu tóm tắt về địa điểm dự án; hệ thống các công trình hạ tầng kỹ thuật của dự án, việc đấu nối với hệ thống hạ tầng kỹ thuật chung của khu vực; phương án phòng cháy, chữa cháy;
- Phần bản vẽ thiết kế cơ sở: bản vẽ quy hoạch tổng mặt bằng dự án, bản vẽ mặt cắt, bản vẽ mặt bằng và các giải pháp kết cấu chịu lực chính của các công trình; bản vẽ hệ thống hạ tầng kỹ thuật của dự án kết nối với hạ tầng kỹ thuật chung của khu vực. Trong đó, thiết kế kiến trúc nhà ở phục vụ tái định cư phải tuân thủ quy hoạch xây dựng, phù hợp văn hóa, phong tục tập quán theo vùng, miền, điều kiện địa hình tự nhiên, vị trí, quy mô dự án đầu tư xây dựng nhà ở phục vụ tái định cư.
c) Bản sao quyết định phê duyệt và các bản vẽ quy hoạch chi tiết tỷ lệ 1/500 đã được cơ quan có thẩm quyền phê duyệt; trường hợp không phải lập quy hoạch chi tiết tỷ lệ 1/500 thì phải có bản sao bản vẽ tổng mặt bằng đã được cơ quan có thẩm quyền về quy hoạch chấp thuận theo quy định của pháp luật về quy hoạch.
d) Bản sao văn bản giao Chủ đầu tư dự án do cơ quan có thẩm quyền cấp.
Điều 6. Trình tự, thủ tục mua nhà ở thương mại bằng nguồn vốn ngân sách nhà nước để bố trí tái định cư
1. Trình tự mua nhà ở thương mại để bố trí tái định cư
a) Căn cứ kế hoạch phân bổ và tiến độ cung cấp tới từng dự án nhà ở tái định cư đã được phê duyệt, Chủ đầu tư khu nhà ở tái định cư, công trình nhà ở tái định cư (sau đây gọi tắt là Bên mua nhà) lập phương án mua nhà ở thương mại, trong đó nêu rõ: vị trí, địa điểm, số lượng và chủng loại căn hộ, diện tích sàn mỗi căn hộ, kể cả phần diện tích sử dụng chung của nhà chung cư (trong trường hợp mua toàn bộ căn hộ nhà chung cư đó để bố trí tái định cư); số lượng, diện tích từng nền đất ở có công trình hạ tầng kỹ thuật đã nghiệm thu; dự kiến giá mua nhà ở (trường hợp mua căn hộ chung cư thương mại thì trong giá mua phải bao gồm 2% kinh phí bảo trì theo quy định), dự kiến giá trị chuyển nhượng nền đất ở có hạ tầng kỹ thuật và tiến độ bàn giao nhà ở, đất ở tái định cư, báo cáo Sở Xây dựng.
b) Bên mua ra thông báo chào mua căn hộ thương mại, nền đất ở có công trình hạ tầng kỹ thuật (sau đây gọi tắt là nhà ở thương mại) đã nghiệm thu để bố trí tái định cư và thời gian thực hiện việc mua nhà ở, đất ở trên báo ngày của tỉnh, thành phố trong 03 số báo liên tục; chi phí này được tính vào kinh phí phục vụ bồi thường, hỗ trợ và tái định cư.
c) Bên mua nhà thỏa thuận giá mua nhà ở thương mại với các tổ chức có nhà, đất cần bán, chuyển nhượng (sau đây gọi tắt là Bên bán nhà) theo nguyên tắc quy định tại Điểm b Khoản 1 Điều 13 của Nghị định 84/2013/NĐ-CP (trong giá mua nhà ở thương mại, tỷ lệ % lợi nhuận định mức được tính trên giá trị đầu tư xây dựng nhà ở thương mại), gửi văn bản đề nghị Sở Xây dựng tổ chức thẩm định phương án và giá mua nhà ở thương mại để bố trí tái định cư kèm theo hồ sơ trình thẩm định quy định tại Điểm đ khoản này.
d) Trong thời gian 30 ngày làm việc kể từ ngày nhận được văn bản đề nghị của Bên mua nhà, Sở Xây dựng phối hợp với Sở Tài chính và các cơ quan liên quan thẩm định hoặc thuê các tổ chức tư vấn có chức năng thẩm định phương án và xác định giá mua nhà ở thương mại bố trí tái định cư nêu tại Điểm a, Điểm c Khoản này (chi phí này được tính vào kinh phí phục vụ bồi thường, hỗ trợ và tái định cư), trình Ủy ban nhân dân cấp tỉnh phê duyệt.
đ) Hồ sơ trình thẩm định gồm:
- Văn bản của Bên mua nhà đề nghị Sở Xây dựng thẩm định phương án và giá mua nhà ở thương mại;
- Quy hoạch chi tiết được cấp có thẩm quyền phê duyệt, giấy tờ sử dụng đất, dự án đầu tư xây dựng nhà ở thương mại đã được phê duyệt;
- Bản vẽ, thuyết minh thiết kế kỹ thuật thi công; tổng dự toán đã được thẩm tra; các hợp đồng giao nhận thầu xây dựng và lắp đặt thiết bị của nhà ở; quyết toán các hạng mục của nhà ở thương mại và các tài liệu có liên quan(do Bên bán nhà cung cấp);
- Văn bản thỏa thuận bán nhà ở thương mại của Bên bán nhà.
2. Thủ tục mua nhà ở thương mại để bố trí tái định cư
a) Bên bán nhà cấp cho Bên mua nhà các hồ sơ pháp lý liên quan bao gồm: quy hoạch chi tiết xây dựng được phê duyệt, giấy tờ sử dụng đất, dự án đầu tư xây dựng nhà ở thương mại, xây dựng công trình hạ tầng kỹ thuật trên đất ở; các hồ sơ, tài liệu theo quy định của pháp luật về xây dựng, pháp luật về nhà ở và văn bản thỏa thuận bán nhà ở thương mại, chuyển nhượng nền đất có hạ tầng kỹ thuật.
b) Trong thời gian 15 ngày làm việc, kể từ ngày Ủy ban nhân dân cấp tỉnh phê duyệt phương án và giá mua nhà ở thương mại để bố trí tái định cư, Chủ đầu tư khu nhà ở tái định cư, công trình nhà ở tái định cư tiến hành ký kết hợp đồng mua nhà ở thương mại với tổ chức, cá nhân có nhà, đất cần chuyển nhượng. Trường hợp mua căn hộ chung cư thương mại để bố trí tái định cư thì thực hiện ký kết hợp đồng theo mẫu quy định tại Phụ lục số 04 của Thông tư này.
c) Trường hợp mua nhà ở thương mại để bố trí tái định cư thì không bắt buộc phải thông qua sàn giao dịch bất động sản.
3. Trường hợp Chủ đầu tư dự án công trình có nhu cầu tái định cư trực tiếp mua nhà ở thương mại để bố trí tái định cư thì phải thực hiện theo trình tự, thủ tục quy định tại Khoản 1 và Khoản 2 Điều này và thực hiện phương thức thanh toán tiền mua nhà ở thương mại và bàn giao nhà ở theo nguyên tắc quy định tại Điều 7 của Thông tư này.
Điều 7. Phương thức thanh toán tiền mua nhà ở thương mại bằng nguồn vốn ngân sách nhà nước và bàn giao nhà ở để bố trí tái định cư
1. Phương thức thanh toán tiền mua và bàn giao nhà ở thương mại đã hoàn thiện để bố trí tái định cư được thực hiện như sau:
a) Trường hợp Bên mua nhà ở thương mại là Chủ đầu tư dự án khu nhà ở phục vụ tái định cư, công trình nhà ở phục vụ tái định cư
- Căn cứ phương án và giá mua nhà ở thương mại để bố trí tái định cư được phê duyệt, Bên mua nhà ký kết hợp đồng mua nhà ở thương mại với Bên bán nhà;
- Ủy ban nhân dân cấp tỉnh có trách nhiệm chỉ đạo việc ứng vốn ngân sách địa phương mua nhà ở thương mại để bố trí tái định cư theo đề nghị bằng văn bản của Bên mua nhà.
- Bên mua nhà ở thương mại có trách nhiệm trả số tiền bằng 95% giá trị hợp đồng cho Bên bán nhà trước khi nhận bàn giao nhà ở thương mại bố trí tái định cư.
- Bên mua nhà trả cho Bên bán nhà 5% giá trị hợp đồng còn lại sau khi hộ gia đình, cá nhân tái định cư được cấp giấy chứng nhận quyền sở hữu nhà ở, quyền sử dụng đất ở và tài sản khác gắn liền với đất.
- Bên mua nhà có trách nhiệm ký hợp đồng bán nhà ở tái định cư cho từng hộ gia đình, cá nhân, thực hiện việc thanh toán, quyết toán tiền bán nhà với từng hộ gia đình, cá nhân, thu hồi tiền bán nhà ở tái định cư trả lại ngân sách địa phương đã ứng mua nhà ở thương mại.
b) Trường hợp Bên mua nhà là Chủ đầu tư dự án có nhu cầu nhà ở phục vụ tái định cư trực tiếp mua nhà ở thương mại làm nhà tái định cư thì thực hiện như sau:
- Bên mua ký hợp đồng mua nhà ở thương mại với Bên bán nhà và có trách nhiệm chi trả 95% giá trị hợp đồng mua nhà ở thương mại trước khi nhận bàn giao nhà ở để bố trí tái định cư.
- Bên mua nhà trả cho Bên bán nhà 5% giá trị hợp đồng còn lại sau khi hộ gia đình, cá nhân tái định cư được cấp giấy chứng nhận quyền sở hữu nhà ở, quyền sử dụng đất ở và tài sản khác gắn liền với đất.
- Bên mua nhà có trách nhiệm ký hợp đồng bán nhà ở tái định cư cho từng hộ gia đình, cá nhân, thực hiện việc thanh toán, quyết toán tiền bán nhà với từng hộ gia đình, cá nhân.
2. Phương thức thanh toán tiền mua căn hộ chung cư thương mại trong dự án nhà ở mà bên bán nhà mới có thiết kế nhà ở được duyệt và tối thiểu đã xây dựng và nghiệm thu xong phần móng theo quy định của pháp luật về xây dựng, pháp luật về nhà ở được thực hiện như sau:
a) Căn cứ tiến độ giải phóng mặt bằng của dự án có nhu cầu tái định cư, phương án và giá mua nhà ở thương mại để bố trí tái định cư đã được phê duyệt, Bên mua nhà ký hợp đồng mua nhà ở thương mại để bố trí tái định cư;
b) Sau khi ký hợp đồng mua nhà ở thương mại theo phương án và giá mua nhà ở được cấp có thẩm quyền phê duyệt, Bên mua nhà có văn bản đề nghị Ủy ban nhân dân cấp tỉnh cho tạm ứng tối đa 20% giá trị hợp đồng từ nguồn ngân sách địa phương cho Bên bán nhà;
c) Sau khi nhà ở thương mại được xây dựng xong phần thô đến mái nhà, Bên mua nhà thanh toán cho Bên bán nhà đợt 1 là 50% giá trị hợp đồng, đồng thời làm các thủ tục để hoàn ứng 20% giá trị hợp đồng cho Bên bán nhà;
d) Sau khi Bên bán nhà bàn giao cho Bên mua nhà ở thương mại được nghiệm thu theo quy định của pháp luật về xây dựng và pháp luật về nhà ở, chậm nhất là 30 ngày, Bên mua nhà thanh toán tiếp đợt 2 với tổng số tiền thanh toán cả 02 (hai) đợt là 95% giá trị hợp đồng;
đ) Ngay sau khi hộ gia đình, cá nhân tái định cư được cấp giấy chứng nhận quyền sử dụng đất, quyền sở hữu nhà ở và tài sản khác gắn liền với đất thì Bên mua nhà phải thanh toán nốt 5% giá trị hợp đồng còn lại cho Bên bán nhà.
3. Trách nhiệm của Bên bán nhà sau khi bàn giao nhà ở thương mại cho Bên mua nhà để bố trí tái định cư:
a) Bên bán nhà có trách nhiệm bảo hành các căn hộ chung cư thương mại, các công trình hạ tầng kỹ thuật trên đất ở tái định cư (nếu có) theo quy định của pháp luật về xây dựng, pháp luật về nhà ở; mở tài khoản riêng tại ngân hàng thương mại để gửi 2% kinh phí bảo trì và bàn giao tài khoản kinh phí bảo trì cho Ban quản trị nhà chung cư khi Ban quản trị được bầu để quản lý kinh phí bảo trì này.
b) Trường hợp mua toàn bộ các căn hộ trong nhà chung cư thương mại để bố trí tái định cư, Bên bán nhà có trách nhiệm bàn giao phần diện tích sử dụng chung trong nhà chung cư cho đơn vị được Ủy ban nhân dân cấp tỉnh giao quản lý theo quy định của pháp luật về quản lý nhà ở thuộc sở hữu nhà nước.
c) Bên bán nhà có trách nhiệm làm thủ tục đề nghị cơ quan chức năng của địa phương cấp giấy chứng nhận quyền sử dụng đất, quyền sở hữu nhà ở và tài sản khác gắn liền với đất cho từng hộ gia đình, cá nhân tái định cư.
Chương III
QUẢN LÝ BÁN, CHO THUÊ VÀ QUẢN LÝ VẬN HÀNH NHÀ Ở PHỤC VỤ TÁI ĐỊNH CƯ
Điều 8. Đối tượng, giá bán và phương thức bán nhà ở phục vụ tái định cư
1. Đối tượng, giá bán và phương thức bán nhà ở phục vụ tái định cư thực hiện theo quy định tại Điều 15 của Nghị định số 84/2013/NĐ-CP.
2. Việc bán nhà ở phục vụ tái định cư giữa Chủ đầu tư khu nhà ở phục vụ tái định cư, công trình nhà ở phục vụ tái định cư với hộ gia đình, cá nhân tái định cư phải được thực hiện thông qua hợp đồng theo mẫu quy định tại Phụ lục số 05 của Thông tư này.
Điều 9. Hộ gia đình, cá nhân tái định cư mua, thuê, thuê mua nhà ở xã hội
Trường hợp hộ gia đình, cá nhân tái định cư nêu tại Khoản 4 Điều 3 của Nghị định số 84/2013/NĐ-CP không có nhu cầu mua hoặc thuê nhà ở phục vụ tái định cư mà có nhu cầu mua, thuê, thuê mua nhà ở xã hội thì thực hiện theo quy định như sau:
1. Căn cứ phương án tái định cư đã được phê duyệt, các hộ gia đình, cá nhân tái định cư có nhu cầu mua, thuê, thuê mua nhà ở xã hội nộp đơn (trong đó đề xuất lựa chọn vị trí dự án nhà ở xã hội) đề nghị Ủy ban nhân dân cấp huyện nơi cư trú xem xét, giải quyết.
2. Ủy ban nhân dân cấp huyện tập hợp danh sách các hộ gia đình, cá nhân tái định cư có nhu cầu mua, thuê, thuê mua nhà ở xã hội, gửi văn bản và danh sách kèm theo đến Sở Xây dựng.
3. Trong thời gian 10 ngày làm việc kể từ ngày nhận được văn bản của Ủy ban nhân dân cấp huyện, Sở Xây dựng kiểm tra, rà soát, lập Tờ trình đề xuất danh sách các hộ gia đình, cá nhân được mua, thuê, thuê mua nhà ở xã hội trình Ủy ban nhân dân cấp tỉnh.
4. Ủy ban nhân dân cấp tỉnh xem xét, quyết định danh sách các hộ gia đình, cá nhân tái định cư được mua, thuê, thuê mua nhà ở xã hội theo quy định của pháp luật về quản lý nhà ở xã hội.
5. Ủy ban nhân dân cấp tỉnh giao Sở Xây dựng và Ủy ban nhân dân cấp huyện nơi các hộ gia đình, cá nhân cư trú triển khai thực hiện quyết định nêu trên. Sở Xây dựng có văn bản đề nghị các Chủ đầu tư dự án phát triển nhà xã hội trên địa bàn về việc bố trí cho các hộ gia đình, cá nhân trong danh sách được phê duyệt. Đồng thời, Ủy ban nhân dân cấp huyện thông báo cho các hộ gia đình, cá nhân tái định cư trong danh sách được phê duyệt liên hệ với các Chủ đầu tư dự án phát triển nhà xã hội để được giải quyết mua, thuê, thuê mua nhà ở xã hội.
Điều 10. Việc cho thuê và giá cho thuê nhà ở phục vụ tái định cư
1. Việc cho thuê nhà ở phục vụ tái định cư thực hiện theo quy định tại Nghị định số 84/2013/NĐ-CP và phải thông qua Hợp đồng theo mẫu quy định tại Phụ lục số 06 ban hành kèm theo Thông tư này. Bên thuê nhà ở phải sử dụng đúng mục đích, không được chuyển nhượng, chuyển đổi hoặc cho thuê lại.
2. Giá cho thuê nhà ở phục vụ tái định cư phải đảm bảo tính đủ các chi phí để thu hồi vốn đầu tư xây dựng, kể cả lãi vay (nếu có), chi phí bảo trì, quản lý vận hành, lợi nhuận định mức 10%, thuế VAT theo quy định của pháp luật về thuế giá trị gia tăng và được xác định như sau:
a) Trường hợp nhà ở phục vụ tái định cư được đầu tư xây dựng bằng vốn ngân sách nhà nước để cho thuê:
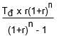
Gt=
x K x (1+ P) x L x (1+VAT)
Trong đó:
- Gt: Là giá cho thuê 1m2 sử dụng căn hộ trong 1 tháng (đồng/m2/tháng).
- Vđ: Là chi phí đầu tư xây dựng được phân bổ hàng năm theo nguyên tắc bảo toàn vốn (đồng/năm).
Công thức xác định Vđ:
Vđ= 
+ Tđ: Là tổng chi phí đầu tư xây dựng dự án tại thời điểm bàn giao đưa vào khai thác sử dụng theo giá trị quyết toán vốn đầu tư được cấp có thẩm quyền phê duyệt (đồng). Trường hợp các công trình nhà ở chưa được quyết toán thì Tđ là tổng chi phí đầu tư xây dựng nhà ở phục vụ tái định cư trong tổng mức đầu tư được duyệt (đồng).
+ r: Là lãi suất bảo toàn vốn đầu tư (tính theo năm) do người có thẩm quyền quyết định đầu tư quyết định (%/năm).
+ n: Là số năm thu hồi vốn phụ thuộc điều kiện cụ thể của từng dự án và người có thẩm quyền quyết định đầu tư, nhưng tối thiểu là 20 năm.
- Ql: Là chi phí quản lý vận hành nhà ở hàng năm (đồng/năm).
- Bt: Là chi phí bảo trì nhà ở phục vụ tái định cư bình quân năm (đồng/năm).
- Tdv: Là các khoản thu từ kinh doanh các dịch vụ trong khu nhà ở trong năm như: dịch vụ trông xe, dịch vụ căng tin, các khoản thu khác (đồng/năm).
- S: Là tổng diện tích sử dụng các căn hộ cho thuê của dự án (m2).
- K: Là hệ số phân bổ theo tầng cao trên nguyên tắc bảo toàn vốn theo công thức sau:

Theo đó:
+ Ki: Là hệ số tầng thứ i;
+ Si: Là diện tích sử dụng của các căn hộ cho thuê tầng thứ i;
+ m: Là số tầng cho thuê.
- L: Là hệ số vị trí của dự án, được xác định căn cứ vào vị trí thuận lợi của dự án do Ủy ban nhân dân cấp tỉnh quyết định cho phù hợp với điều kiện thực tế.
- P: Là lợi nhuận định mức của đơn vị quản lý vận hành nhà ở phục vụ tái định cư.
- VAT: Tính theo quy định của pháp luật về thuế giá trị gia tăng.
- Số 12: Là số tháng tính trong 01 năm.
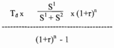
b) Trường hợp nhà ở phục vụ tái định cư được đầu tư xây dựng bằng vốn ngân sách nhà nước để bán một phần căn hộ tái định cư và một phần bố trí cho thuê:

Trong đó:
- Gt: Là giá cho thuê 1m2 sử dụng căn hộ trong 1 tháng (đồng/m2/tháng).
- Vđ: Là tổng chi phí đầu tư xây dựng của công trình nhà ở phục vụ tái định cư được phân bổ hàng năm theo nguyên tắc bảo toàn vốn (đồng/năm).
Công thức xác định Vđ:
Theo đó:
Vđ = 
+ Tđ: Là tổng chi phí đầu tư xây dựng nhà ở phục vụ tái định cư (giá trị trước thuế) theo giá trị quyết toán vốn đầu tư được cấp có thẩm quyền phê duyệt (đồng). Trường hợp các công trình nhà ở chưa được quyết toán thì Tđ là tổng chi phí đầu tư xây dựng nhà ở phục vụ tái định cư trong tổng mức đầu tư được duyệt (đồng).
+ S1: Là tổng diện tích sử dụng các căn hộ tái định cư cho thuê của dự án (m2).
+ S2: Là tổng diện tích các căn hộ bán để bố trí tái định cư của dự án (m2).
+ r: Là lãi suất bảo toàn vốn đầu tư (tính theo năm) do người có thẩm quyền quyết định đầu tư quyết định (%/năm).
+ n: Là số năm thu hồi vốn phụ thuộc điều kiện cụ thể của từng dự án và người có thẩm quyền quyết định đầu tư, nhưng tối thiểu là 20 năm;
- Ql: Là chi phí quản lý vận hành nhà ở hàng năm (đồng/năm).
- GKD: Là giá trị của các căn hộ tái định cư được bán (giá trị trước thuế).
- Bt: Là chi phí bảo trì nhà ở phục vụ tái định cư bình quân năm (đồng/năm).
- Tdv: Là các khoản thu từ kinh doanh các dịch vụ khu nhà ở trong năm như: dịch vụ trông xe, dịch vụ căng tin, các khoản thu khác (đồng/năm).
- L: Là hệ số vị trí của dự án, được xác định căn cứ vào vị trí thuận lợi của dự án do Ủy ban nhân dân cấp tỉnh quyết định cho phù hợp với điều kiện thực tế.
- P: Là lợi nhuận định mức của đơn vị quản lý vận hành nhà ở phục vụ tái định cư.
- VAT: Tính theo quy định của pháp luật về thuế giá trị gia tăng.
- 12: Là số tháng tính trong 01 năm.
c) Trường hợp mua căn hộ chung cư thương mại để bố trí tái định cư:

Trong đó:
- Gt: Là giá cho thuê 1m2 sử dụng căn hộ trong 1 tháng (đồng/m2/tháng).
- Vm: Là chi phí mua căn hộ chung cư thương mại đã có 2% kinh phí bảo trì, được phân bổ hàng năm (đồng/năm).
- Ql: Là chi phí quản lý vận hành hàng năm (đồng/năm).
- Tdv: Là các khoản thu từ kinh doanh các dịch vụ trong khu nhà ở trong năm như: dịch vụ trông xe, dịch vụ căng tin, các khoản thu khác (đồng/năm).
- S: Là tổng diện tích sử dụng các căn hộ cho thuê của dự án (m2).
- L: Là hệ số vị trí của dự án, được xác định căn cứ vào vị trí thuận lợi của dự án do Ủy ban nhân dân cấp tỉnh quyết định phù hợp với điều kiện thực tế.
- P: Là lợi nhuận định mức của đơn vị quản lý vận hành nhà ở phục vụ tái định cư.
- VAT: Tính theo quy định của pháp luật về thuế giá trị gia tăng.
- Số 12: Là số tháng tính trong 01 năm.
Điều 11. Quy định quản lý vận hành nhà ở phục vụ tái định cư là nhà chung cư
1. Nguyên tắc chung
a) Quản lý vận hành nhà ở phục vụ tái định cư là chung cư thực hiện theo quy định của Nghị định số 71/2010/NĐ-CP ngày 23/6/2010 của Chính phủ về quy định chi tiết và hướng dẫn thi hành Luật nhà ở, Nghị định số 34/2013/NĐ-CP ngày 22 tháng 4 năm 2013 của Chính phủ về quản lý sử dụng nhà ở thuộc sở hữu nhà nước, Nghị định số 84/2013/NĐ-CP và các văn bản hướng dẫn liên quan.
b) Quản lý vận hành nhà ở phục vụ tái định cư là nhà chung cư thực hiện theo nguyên tắc lấy thu bù chi, tự trang trải, công khai, minh bạch.
c) Dịch vụ quản lý vận hành nhà chung cư phục vụ tái định cư được hưởng các chế độ như đối với dịch vụ công ích trong hoạt động cung cấp các dịch vụ cho nhà chung cư theo quy định của pháp luật.
2. Đối với nhà ở phục vụ tái định cư là nhà chung cư được đầu tư bằng vốn ngân sách nhà nước mà trong đó có diện tích không phải nhà ở (bao gồm: chỗ để xe ô tô tại tầng hầm hoặc tại phần diện tích khác trong, ngoài nhà ở phục vụ tái định cư; diện tích kinh doanh, dịch vụ được quy định trong dự án nhà ở phục vụ tái định cư đã được phê duyệt) và giá trị phần diện tích này không được phân bổ vào giá mua các căn hộ tái định cư thì Ủy ban nhân dân cấp tỉnh thực hiện quản lý như sau:
a) Quyết định xác lập quyền sở hữu nhà nước đối với phần diện tích không phải nhà ở quy định tại Khoản này và quản lý phần diện tích này theo quy định của pháp luật về quản lý nhà ở thuộc sở hữu nhà nước, đồng thời thực hiện quyền và trách nhiệm như các chủ sở hữu và người sử dụng khác trong nhà chung cư.
b) Giao cơ quan quản lý nhà ở địa phương quyết định lựa chọn doanh nghiệp nhà nước có chức năng và năng lực chuyên môn trên địa bàn (nếu có) hoặc ký hợp đồng thuê đơn vị có năng lực chuyên môn để thực hiện quản lý vận hành nhà ở phục vụ tái định cư trong đó có phần diện tích nhà thuộc sở hữu nhà nước nêu tại Khoản này.
3. Quản lý vận hành nhà ở phục vụ tái định cư là nhà chung cư được đầu tư xây dựng bằng nguồn vốn không phải từ ngân sách nhà nước kể cả trường hợp mua nhà ở thương mại trong nhà chung cư để bố trí tái định cư thì thực hiện theo quy định của pháp luật về nhà ở, pháp luật về quản lý sử dụng nhà chung cư và quy định của Thông tư này. Khuyến khích Chủ đầu tư dự án nhà ở phục vụ tái định cư ưu tiên hộ gia đình, cá nhân tái định cư (nếu có nhu cầu) được khai thác phần diện tích kinh doanh, dịch vụ thông qua đấu giá theo nguyên tắc công khai, minh bạch nhằm tạo công việc cho các hộ gia đình, cá nhân đó.
Chương IV
TỔ CHỨC THỰC HIỆN
Điều 12. Quy định về việc chuyển tiếp
1. Đối với dự án khu nhà ở phục vụ tái định cư, công trình nhà ở phục vụ tái định cư phục vụ dự án quan trọng quốc gia mà Thủ tướng Chính phủ chưa có quyết định phê duyệt dự án kể từ ngày Thông tư này có hiệu lực thi hành thì trình tự lập, thẩm định và phê duyệt dự án khu nhà ở phục vụ tái định cư, công trình nhà ở phục vụ tái định cư phải thực hiện theo quy định của Thông tư này.
2. Đối với trường hợp Ủy ban nhân dân cấp tỉnh chưa có quyết định phê duyệt dự án hoặc trường hợp đã phê duyệt dự án nhưng Chủ đầu tư có đề nghị thay đổi nội dung dự án kể từ ngày Thông tư này có hiệu lực thi hành thì trình tự lập, thẩm định và phê duyệt dự án phải thực hiện theo quy định của Thông tư này.
3. Đối với các dự án khu nhà ở phục vụ tái định cư, công trình nhà ở phục vụ tái định cư đã được nghiệm thu đưa vào sử dụng mà vẫn trong thời gian bảo hành theo quy định của pháp luật về nhà ở kể từ ngày Thông tư này có hiệu lực thi hành thì Chủ đầu tư dự án khu nhà ở phục vụ tái định cư, công trình nhà ở phục vụ tái định cư phải có trách nhiệm bảo hành theo quy định của pháp luật hiện hành.
4. Trường hợp nhà ở phục vụ tái định cư là nhà chung cư đang áp dụng hình thức quản lý vận hành khác với quy định của Thông tư này nhưng vẫn đảm bảo quản lý có hiệu quả thì tiếp tục áp dụng hình thức quản lý đó. Tuy nhiên, phải có kế hoạch chuyển đổi sang mô hình quản lý vận hành theo các nguyên tắc quy định của Thông tư này trong thời gian không quá 18 tháng đối với nhà ở phục vụ tái định cư được đầu tư xây dựng bằng vốn ngân sách nhà nước và không quá 24 tháng đối với nhà ở phục vụ tái định cư được đầu tư xây dựng bằng nguồn vốn không phải từ ngân sách nhà nước, kể từ ngày Thông tư này có hiệu lực thi hành.
5. Quản lý kinh phí bảo trì phần sở hữu chung nhà ở phục vụ tái định cư là nhà chung cư
a) Trường hợp khi mua căn hộ tái định cư mà trong giá bán chưa có 2% kinh phí bảo trì phần sở hữu chung trước khi Thông tư này có hiệu lực thi hành thì chủ sở hữu căn hộ chung cư đó có trách nhiệm đóng góp kinh phí khi phát sinh công tác bảo trì và kinh phí này được phân bổ theo tỷ lệ diện tích căn hộ thuộc sở hữu của mình.
b) Đối với nhà ở phục vụ tái định cư được đầu tư bằng nguồn vốn ngân sách nhà nước mà trong giá bán nhà ở phục vụ tái định cư đã có 2% kinh phí bảo trì phần sở hữu chung thì Chủ đầu tư dự án khu nhà ở phục vụ tái định cư, công trình nhà ở phục vụ tái định cư phải có trách nhiệm trích 2% kinh phí bảo trì trong giá bán, lập tài khoản riêng tại ngân hàng thương mại để gửi kinh phí bảo trì và bàn giao tài khoản kinh phí bảo trì cho Ban quản trị khi Ban quản trị được bầu; phối hợp với Ban quản trị quản lý kinh phí bảo trì theo quy định của pháp luật về nhà ở.
Điều 13. Trách nhiệm của Ủy ban nhân dân tỉnh, thành phố trực thuộc Trung ương
1. Chỉ đạo việc điều tra, khảo sát, tổng hợp nhu cầu về nhà ở phục vụ tái định cư; chỉ đạo việc lập và phê duyệt kế hoạch phát triển nhà ở phục vụ tái định cư hàng năm và 5 năm trên địa bàn, báo cáo Bộ Xây dựng theo quy định tại Thông tư này.
2. Lựa chọn Chủ đầu tư, Nhà đầu tư BT, quyết định phê duyệt các dự án khu nhà ở phục vụ tái định cư, công trình nhà ở phục vụ tái định cư, phê duyệt phương án mua nhà ở thương mại để bố trí tái định cư theo thẩm quyền; quy định về quản lý vận hành nhà ở phục vụ tái định cư là nhà chung cư trên địa bàn theo quy định tại Nghị định số 84/2013/NĐ-CP và quy định của Thông tư này phù hợp với điều kiện thực tế của địa phương.
3. Chỉ đạo việc thanh tra, kiểm tra công tác quản lý quy hoạch, kiến trúc trong quá trình triển khai thực hiện dự án khu nhà ở phục vụ tái định cư, công trình nhà ở phục vụ tái định cư.
4. Giao Sở Xây dựng chủ trì, phối hợp với các đơn vị liên quan:
a) Tiếp nhận hồ sơ đề xuất dự án, chủ trì tổ chức thẩm định kế hoạch và kết quả lựa chọn Nhà đầu tư BT thực hiện dự án nhà ở phục vụ tái định cư theo hình thức hợp đồng BT thuộc thẩm quyền phê duyệt của Ủy ban nhân dân cấp tỉnh;
b) Xây dựng trình tự, thủ tục, mua bán, cho thuê nhà ở phục vụ tái định cư; tổ chức thẩm định dự án khu nhà ở phục vụ tái định cư, công trình nhà ở phục vụ tái định cư, thẩm định phương án và giá mua nhà ở thương mại để bố trí tái định cư trên địa bàn trình Ủy ban nhân dân cấp tỉnh quyết định;
c) Tổ chức kiểm tra, thanh tra việc mua bán, cho thuê nhà ở phục vụ tái định cư, mua nhà ở thương mại để bố trí tái định cư; xử phạt vi phạm hành chính hoặc báo cáo cấp có thẩm quyền xử lý theo quy định của pháp luật về xử phạt vi phạm hành chính trong phát triển và quản lý nhà ở, công sở;
d) Tổ chức sơ kết đánh giá kết quả thực hiện Thông tư này theo định kỳ hàng năm, báo cáo Bộ Xây dựng.
Điều 14. Trách nhiệm của Cục Quản lý nhà và thị trường bất động sản
Cục Quản lý nhà và thị trường bất động sản có trách nhiệm giúp Bộ trưởng Bộ Xây dựng hướng dẫn, đôn đốc, kiểm tra tình hình triển khai thực hiện Thông tư này; tổng hợp báo cáo tình hình triển khai thực hiện theo định kỳ và kiến nghị việc sửa đổi, bổ sung các quy định cho phù hợp với tình hình thực tế.
Điều 15. Hiệu lực thi hành
1. Thông tư này có hiệu lực thi hành kể từ ngày 09 tháng 07 năm 2014
2. Trong quá trình thực hiện, nếu có vướng mắc đề nghị các cơ quan, tổ chức, cá nhân gửi ý kiến về Bộ Xây dựng để được xem xét, giải quyết./.
|
Nơi nhận: |
KT. BỘ TRƯỞNG |
Phụ lục số 04: Mẫu Hợp đồng mua căn hộ thương mại để bố trí tái định cư (ký giữa Chủ đầu tư dự án khu nhà ở phục vụ tái định cư, công trình nhà ở phục vụ tái định cư hoặc Chủ đầu tư dự án đầu tư xây dựng có nhu cầu nhà ở phục vụ tái định cư với Bên bán nhà ở thương mại)
(Ban hành kèm theo Thông tư số 07 /2014/TT-BXD ngày 20 tháng 5 năm 2014
của Bộ trưởng Bộ Xây dựng)
CỘNG HOÀ XÃ HỘI CHỦ NGHĨA VIỆT NAM
Độc lập – Tự do – Hạnh phúc
____________________________________
.............., ngày........ tháng........năm..........
HỢP ĐỒNG MUA CĂN HỘ THƯƠNG MẠI
ĐỂ BỐ TRÍ TÁI ĐỊNH CƯ
_______________________
Số: ......../HĐ/......
Căn cứ Bộ Luật dân sự ngày 14 tháng 6 năm 2005;
Căn cứ Luật Nhà ở ngày 29 tháng 11 năm 2005 và Luật số 34/2009/QH12 ngày 18 tháng 6 năm 2009 của Quốc hội về sửa đổi, bổ sung Điều 126 của Luật Nhà ở và Điều 121 của Luật Đất đai;
Căn cứ Luật Kinh doanh bất động sản ngày 29 tháng 6 năm 2006;
Căn cứ Luật Bảo vệ người tiêu dùng ngày 17 tháng 11 năm 2010;
Căn cứ Nghị định số 71/2010/NĐ-CP ngày 23 tháng 6 năm 2010 của Chính phủ về quy định chi tiết và hướng dẫn thi hành Luật Nhà ở;
Căn cứ Nghị định số 84/2013/NĐ-CP ngày 25 tháng 7 năm 2013 của Chính phủ quy định về phát triển và quản lý nhà ở tái định cư;
Căn cứ Thông tư số 16/2010/TT-BXD ngày 01 tháng 9 năm 2010 của Bộ Xây dựng quy định cụ thể và hướng dẫn thực hiện một số nội dung của Nghị định số 71/2010/NĐ-CP ngày 23 tháng 6 năm 2010 của Chính phủ quy định chi tiết và hướng dẫn thi hành Luật Nhà ở;
Căn cứ Thông tư số 03/2014/TT-BXD ngày 20 tháng 02 năm 2014 của Bộ Xây dựng về sửa đổi, bổ sung Điều 21 của Thông tư số 16/2010/TT-BXD ngày 01 tháng 9 năm 2010 của Bộ Xây dựng quy định cụ thể và hướng dẫn thực hiện một số nội dung của Nghị định số 71/2010/NĐ-CP ngày 23 tháng 6 năm 2010 của Chính phủ quy định chi tiết và hướng dẫn thi hành Luật Nhà ở;
Căn cứ Thông tư số 07/2014/TT-BXD ngày 20 tháng 5 năm 2014 của Bộ trưởng Bộ Xây dựng hướng dẫn một số nội dung của Nghị định số 84/2013/NĐ-CP ngày 25 tháng 7 năm 2013 của Chính phủ quy định về phát triển và quản lý nhà ở tái định cư;
Căn cứ Quyết định số [1].......................................................................;
Căn cứ Quyết định số [2].......................................................................;
Căn cứ khác [3] .....................................................................................;
Hai bên chúng tôi gồm:
BÊN BÁN CĂN HỘ THƯƠNG MẠI (sau đây gọi tắt là Bên bán nhà):
- Tổ chức, doanh nghiệp :...............................………………………..…
- Giấy chứng nhận đầu tư (hoặc giấy chứng nhận đăng ký kinh doanh) số…. hoặc mã số doanh nghiệp số…..…………….
- Đại diện bởi Ông (Bà):...........................Chức vụ:.....................................
Theo giấy ủy quyền (văn bản ủy quyền) số……(nếu có).
- Số CMND (hộ chiếu): ...........................cấp ngày:...../...../......., tại...........
- Địa chỉ:......................................................................................................
- Điện thoại:.............................................Fax:.............................................
- Số tài khoản: ..........................................tại Ngân hàng:............................
- Mã số thuế:................................................................................................
BÊN MUA CĂN HỘ THƯƠNG MẠI (sau đây gọi tắt là Bên mua nhà):
- Tổ chức, doanh nghiệp (Chủ đầu tư dự án khu nhà ở phục vụ tái định cư, công trình nhà ở phục vụ tái định cư hoặc Chủ đầu tư dự án đầu tư xây dựng có nhu cầu nhà ở phục vụ tái định cư thỏa thuận mua nhà ở thương mại để bố trí tái định cư theo quy định tại Điều 10 và Điều 13 của Nghị định số 84/2013/NĐ-CP ngày 25/7/2013 của Chính phủ quy định về phát triển và quản lý nhà tái định cư) :
- Đại diện bởi Ông (Bà):...........................Chức vụ:.....................................
Theo giấy ủy quyền (văn bản ủy quyền) số……(nếu có).
- Số CMND (hộ chiếu): ...........................cấp ngày:...../...../......., tại...........
- Địa chỉ:......................................................................................................
- Điện thoại:.............................................Fax:.............................................
- Số tài khoản: ..........................................tại Ngân hàng:............................
- Mã số thuế:................................................................................................
Hai bên đồng ý ký kết bản hợp đồng mua bán căn hộ thương mại với các điều, khoản sau đây:
Điều 1: Giải thích từ ngữ
Trong hợp đồng này các từ và cụm từ dưới đây được hiểu như sau:
1. “căn hộ” là một căn hộ được xây dựng theo cấu trúc kiểu khép kín theo thiết kế đã được phê duyệt thuộc nhà chung cư do Công ty........ đầu tư xây dựng với các đặc điểm được mô tả tại Điều 2 của hợp đồng này;
2. “nhà chung cư” là toàn bộ nhà chung cư có căn hộ mua bán do Công ty…..làm chủ đầu tư, bao gồm các căn hộ, diện tích kinh doanh, thương mại.... và các công trình tiện ích chung của tòa nhà, kể cả phần khuôn viên (nếu có) được xây dựng tại ô quy hoạch số……..thuộc dự án……., phường…..., quận………, tỉnh/thành phố…….;
3. “hợp đồng” là hợp đồng mua căn hộ thương mại để bố trí tái định cư và toàn bộ các phụ lục đính kèm cũng như mọi sửa đổi, bổ sung bằng văn bản đối với hợp đồng này do các bên lập và ký kết trong quá trình thực hiện hợp đồng này;
4. “giá bán căn hộ” là tổng số tiền bán căn hộ được xác định tại Điều 3 của hợp đồng này;
5. “bảo hành nhà ở” là việc khắc phục, sửa chữa, thay thế các hạng mục được liệt kê cụ thể tại Điều 9 của hợp đồng này khi bị hư hỏng, khiếm khuyết hoặc khi vận hành sử dụng không bình thường mà không phải do lỗi của người sử dụng căn hộ gây ra trong khoảng thời gian theo quy định của pháp luật nhà ở và theo thỏa thuận trong hợp đồng này;
6. “diện tích sử dụng căn hộ” là diện tích sử dụng riêng của căn hộ mua bán được tính theo kích thước thông thủy và được ghi vào Giấy chứng nhận cấp cho người mua, bao gồm cả phần diện tích tường ngăn các phòng bên trong căn hộ và diện tích ban công, lô gia (nếu có) gắn liền với căn hộ đó; không tính tường bao ngôi nhà, tường phân chia các căn hộ và diện tích sàn có cột, hộp kỹ thuật nằm bên trong căn hộ. Khi tính diện tích ban công thì tính toàn bộ diện tích sàn, trường hợp ban công có phần diện tích tường chung thì tính từ mép trong của tường chung được thể hiện rõ trong bản vẽ thiết kế mặt bằng căn hộ đã được phê duyệt;
7. "diện tích sàn xây dựng căn hộ" là diện tích được tính từ tim tường bao, tường ngăn căn hộ, bao gồm cả diện tích sàn có cột, hộp kỹ thuật nằm bên trong căn hộ;
8. “phần sở hữu riêng của Bên mua” là phần diện tích sử dụng căn hộ được quy định tại Khoản 6 Điều này và các trang thiết bị kỹ thuật sử dụng riêng gắn liền với căn hộ này;
9. “phần sở hữu riêng của Bên bán” là phần diện tích trong nhà chung cư nhưng Bên bán không bán mà giữ lại để sử dụng hoặc kinh doanh và Bên Bán cũng không phân bổ giá trị phần diện tích thuộc sở hữu riêng này vào giá bán căn hộ;
10. “phần sở hữu chung trong nhà chung cư” là phần diện tích và các thiết bị thuộc sở hữu, sử dụng chung trong nhà chung cư theo quy định của pháp luật nhà ở và được các bên thỏa thuận cụ thể tại Khoản 3 Điều 11 của hợp đồng này;
11. “Bản nội quy nhà chung cư” là bản nội quy quản lý, sử dụng nhà chung cư được đính kèm theo hợp đồng này và tất cả các sửa đổi, bổ sung được Hội nghị nhà chung cư thông qua trong quá trình quản lý, sử dụng nhà ở;
12. “Kinh phí bảo trì phần sở hữu chung nhà chung cư” là khoản tiền 2% mà các bên có nghĩa vụ phải đóng góp đối với phần sở hữu riêng của mình để phục vụ cho việc bảo trì phần sở hữu chung trong nhà chung cư;
13. “Dịch vụ quản lý vận hành nhà chung cư” là các dịch vụ quản lý vận hành nhà chung cư, bao gồm việc quản lý, vận hành nhằm đảm bảo cho nhà chung cư hoạt động bình thường;
14. “Bảo trì nhà chung cư” là việc duy tu, bảo dưỡng thường xuyên, sửa chữa định kỳ, sửa chữa đột xuất nhà ở và thiết bị xây dựng công nghệ gắn với nhà chung cư đó nhằm duy trì chất lượng nhà chung cư;
15. “Doanh nghiệp quản lý vận hành nhà chung cư” là đơn vị thực hiện việc quản lý, vận hành nhà chung cư sau khi nhà chung cư được xây dựng xong và đưa vào sử dụng;
16. “Sự kiện bất khả kháng” là sự kiện xảy ra một cách khách quan mà mỗi bên hoặc các bên trong hợp đồng này không thể lường trước được và không thể khắc phục được để thực hiện các nghĩa vụ của mình theo hợp đồng này, mặc dù đã áp dụng mọi biện pháp cần thiết và khả năng cho phép. Các trường hợp được coi là sự kiện bất khả kháng được các bên nhất trí thỏa thuận cụ thể tại Điều 14 của hợp đồng này;
17. "Giấy chứng nhận" là Giấy chứng nhận quyền sử dụng đất, quyền sở hữu nhà ở và tài sản khác gắn liền với đất do cơ quan nhà nước có thẩm quyền cấp cho hộ gia đình, cá nhân tái định cư theo danh sách do Bên mua cung cấp theo quy định của pháp luật đất đai;
18. Các từ ngữ khác do các bên thỏa thuận:…………….................….....
Điều 2. Đặc điểm của các căn hộ thương mại:
Bên bán đồng ý bán và Bên mua đồng ý mua căn hộ chung cư như sau:
1. Đặc điểm về các căn hộ (Có Phụ lục chi tiết các căn hộ kèm theo Hợp đồng này):
a) Căn hộ số:....... tại tầng (tầng có căn hộ):........., thuộc nhà chung cư số……..đường/phố (nếu có), thuộc phường/xã………, quận (huyện, thị xã, thị trấn, thành phố thuộc tỉnh)……., tỉnh (thành phố)……….
b) Diện tích sử dụng căn hộ là: ..............m2. Diện tích này được tính theo kích thước thông thủy (gọi chung là diện tích thông thủy) theo quy định tại Khoản 6 Điều 1 của hợp đồng này và là căn cứ để tính tiền mua bán căn hộ quy định tại Điều 3 của hợp đồng này;
Hai bên nhất trí rằng, diện tích thông thủy ghi tại điểm này chỉ là tạm tính và có thể tăng lên hoặc giảm đi theo thực tế đo đạc tại thời điểm bàn giao căn hộ. Bên mua có trách nhiệm thanh toán số tiền mua căn hộ cho Bên bán theo diện tích thực tế khi bàn giao căn hộ; trong trường hợp diện tích thông thủy thực tế chênh lệch cao hơn hoặc thấp hơn ...% (... phần trăm) so với diện tích ghi trong hợp đồng này thì hai bên không phải điều chỉnh lại giá bán căn hộ. Nếu diện tích thông thủy thực tế chênh lệch vượt quá ...% (... phần trăm) so với diện tích ghi trong hợp đồng này thì giá bán căn hộ sẽ được điều chỉnh lại theo diện tích đo đạc thực tế khi bàn giao căn hộ;
Trong biên bản bàn giao căn hộ hoặc trong phụ lục của hợp đồng, hai bên nhất trí sẽ ghi rõ diện tích thông thủy thực tế khi bàn giao căn hộ, diện tích thông thủy chênh lệch so với diện tích ghi trong hợp đồng mua bán đã ký (nếu có). Biên bản bàn giao căn hộ và phụ lục của hợp đồng mua bán căn hộ là một bộ phận không thể tách rời của hợp đồng này. Diện tích căn hộ được ghi vào Giấy chứng nhận cấp cho Bên mua được xác định theo diện tích thông thủy thực tế khi bàn giao căn hộ;
c) Diện tích sàn xây dựng là:....m2, diện tích này được tính theo quy định tại Khoản 7 Điều 1 của hợp đồng này;
d) Mục đích sử dụng căn hộ: dùng để ở; (trường hợp mua căn hộ gắn liền với phần diện tích nhà để kinh doanh theo thiết kế được duyệt tại tầng 1 của nhà chung cư thì các bên ghi rõ mục đích sử dụng là để ở và kinh doanh).
đ) Năm hoàn thành việc xây dựng (ghi năm hoàn thành việc xây dựng toà nhà chung cư):................
2. Đặc điểm về đất xây dựng nhà chung cư có căn hộ nêu tại khoản 1 Điều này:
a) Thửa đất số:................hoặc ô số:..................hoặc lô số:...................
b) Tờ bản đồ số:.......................................do cơ quan......................lập;
c) Diện tích đất sử dụng chung:..................m2 (nếu nhà chung cư có diện tích đất sử dụng chung, bao gồm đất trong khuôn viên thì ghi diện tích đất của toàn bộ khuôn viên nhà chung cư đó, nếu nhà chung cư không có khuôn viên thì ghi diện tích đất xây dựng nhà chung cư đó).
Điều 3. Giá bán căn hộ, kinh phí bảo trì, phương thức và thời hạn thanh toán
1. Giá bán căn hộ:
a) Giá bán căn hộ được tính theo công thức lấy đơn giá 01 m2 sử dụng căn hộ (x) với tổng diện tích sử dụng căn hộ mua bán, cụ thể là:............m2 sử dụng (x)........đồng/1m2 sử dụng =........đồng. (Bằng chữ:............................).
Giá bán căn hộ quy định tại điểm này đã bao gồm giá trị quyền sử dụng đất, thuế giá trị gia tăng và kinh phí bảo trì phần sở hữu chung của nhà chung cư), trong đó:
- Giá bán (đã bao gồm giá trị quyền sử dụng đất) là:.......................đồng. (Bằng chữ.........................................................................................................)
- Thuế giá trị gia tăng:.......................đồng. (Bằng chữ..........................); khoản thuế này không tính trên tiền sử dụng đất nộp cho Nhà nước theo quy định của pháp luật;
- Kinh phí bảo trì phần sở hữu chung của nhà chung cư bằng 2% giá bán căn hộ (kinh phí này được tính trước thuế) là:............đồng. (Bằng chữ......................);. Khoản kinh phí này được Bên bán nhà chuyển vào tài khoản riêng để bảo trì phần sở hữu chung của nhà chung cư theo quy định của pháp luật về nhà ở.
b) Giá bán căn hộ quy định tại Điểm a Khoản này không bao gồm các khoản sau:
- Các khoản lệ phí trước bạ, phí và chi phí theo quy định của pháp luật liên quan đến việc thực hiện các thủ tục xin cấp Giấy chứng nhận cho Bên mua. Các khoản lệ phí và chi phí này do Bên mua chịu trách nhiệm thanh toán;
- Chi phí kết nối, lắp đặt các thiết bị và sử dụng các dịch vụ cho căn hộ gồm: dịch vụ cung cấp gas, dịch vụ bưu chính, viễn thông, truyền hình và các dịch vụ khác mà Bên mua sử dụng cho riêng căn hộ. Các chi phí này Bên mua thanh toán trực tiếp cho đơn vị cung ứng dịch vụ;
- Phí quản lý vận hành nhà chung cư hàng tháng. Kể từ ngày bàn giao căn hộ cho Bên mua theo thỏa thuận tại Điều 8 của hợp đồng này, Bên mua có trách nhiệm thanh toán phí quản lý vận hành nhà chung cư theo thuận tại khoản 5 Điều 11 của hợp đồng này;
- Các chi phí khác do hai bên thỏa thuận....................................................
c) Hai bên thống nhất kể từ ngày bàn giao căn hộ và trong suốt thời hạn sở hữu, sử dụng căn hộ đã mua thì Bên mua phải nộp các nghĩa vụ tài chính theo quy định hiện hành, thanh toán phí quản lý, vận hành nhà chung cư hàng tháng và các loại phí dịch vụ khác do việc sử dụng các tiện ích như: khí đốt, điện, nước, điện thoại, truyền hình cáp... cho nhà cung cấp dịch vụ.
2. Phương thức thanh toán: thanh toán bằng tiền Việt Nam thông qua hình thức (trả bằng tiền mặt hoặc chuyển khoản qua ngân hàng.........................theo tài khoản số..............).
Thời điểm xác định Bên mua đã thanh toán tiền là thời điểm Bên bán xuất phiếu thu về khoản tiền đã nhận thanh toán của Bên mua hoặc số tiền chuyển khoản đã ghi có vào tài khoản của Bên bán.
3. Thời hạn phương thức thanh toán:
Tạm ứng và thanh toán do hai bên thỏa thuận theo quy định tại Điều 7 của Thông tư số 07/2014/T-BXD ngày 20/5/2014 của Bộ trưởng Bộ Xây dựng hướng dẫn một số nội dung của Nghị định số 84/2013/NĐ-CP ngày 25/7/2013.
Tạm ứng mua căn hộ: ……………………….….. (VN đồng)
Tạm ứng mua căn hộ bằng tiền mặt hay chuyển khoản:…………………...
Điều 4. Chất lượng công trình nhà ở
1. Bên bán cam kết bảo đảm chất lượng công trình nhà chung cư, trong đó có căn hộ nêu tại Điều 2 hợp đồng này theo đúng thiết kế đã được phê duyệt và sử dụng đúng (hoặc tương đương) các vật liệu xây dựng căn hộ mà hai bên đã cam kết trong hợp đồng này.
2. Tiến độ xây dựng: Hai bên thống nhất Bên bán có trách nhiệm thực hiện việc xây dựng nhà ở theo đúng tiến độ thỏa thuận dưới đây: (chỉ thỏa thuận trong trường hợp mua bán căn hộ hình thành trong tương lai):
a) Giai đoạn 1:……………………………………………………………
b) Giai đoạn 2: …………………………………………………………
c) Giai đoạn 3: ……………………………………………………………
d) ……………………..………………………………………………..
3. Bên bán phải thực hiện xây dựng các công trình hạ tầng kỹ thuật và hạ tầng xã hội phục vụ nhu cầu ở tại khu nhà chung cư của Bên mua theo đúng quy hoạch, thiết kế, nội dung, tiến độ dự án đã được phê duyệt và bảo đảm chất lượng theo đúng quy chuẩn, tiêu chuẩn xây dựng do Nhà nước quy định.
4. Bên Bán phải hoàn thành việc xây dựng các công trình hạ tầng phục vụ nhu cầu ở thiết yếu của Bên mua tại khu nhà chung cư theo nội dung dự án và tiến độ đã được phê duyệt trước ngày Bên bán bàn giao căn hộ cho Bên mua, bao gồm: hệ thống đường giao thông; hệ thống điện chiếu sáng công cộng, điện sinh hoạt; hệ thống cung cấp nước sinh hoạt, nước thải; hệ thống cung cấp chất đốt; hệ thống thông tin liên lạc (nếu có thỏa thuận Bên Bán phải xây dựng).......; hệ thống công trình hạ tầng xã hội như:..........(Các bên phải thỏa thuận cụ thể các công trình mà Bên bán có trách nhiệm phải xây dựng để phục vụ nhu cầu ở bình thường của Bên mua theo tiến độ của dự án đã được phê duyệt).
Điều 5. Quyền và nghĩa vụ của Bên bán nhà
1. Quyền của Bên bán nhà:
a) Yêu cầu Bên mua trả tiền mua căn hộ theo đúng thỏa thuận tại Điều 3 của hợp đồng và được tính lãi suất trong trường hợp Bên mua chậm thanh toán theo tiến độ thỏa thuận tại Điều 3 của hợp đồng này. Việc tính lãi suất chậm thanh toán được quy định cụ thể tại khoản 1 Điều 12 của hợp đồng này;
b) Yêu cầu Bên mua nhận bàn giao căn hộ theo đúng thời hạn thỏa thuận ghi trong hợp đồng này;
c) Được bảo lưu quyền sở hữu căn hộ và có quyền từ chối bàn giao căn hộ hoặc bàn giao bản chính Giấy chứng nhận quyền sử dụng đất, quyền sở hữu nhà ở và tài sản khác gắn liền với đất của hộ gia đình, cá nhân tái định cư cho đến khi Bên mua hoàn tất các nghĩa vụ thanh toán tiền theo thỏa thuận trong hợp đồng này;
d) Có quyền ngừng hoặc yêu cầu nhà cung cấp ngừng cung cấp điện, nước và các dịch vụ tiện ích khác nếu Bên mua (hoặc Bên mua lại nhà ở hoặc bên nhận chuyển nhượng hợp đồng mua bán căn hộ từ Bên mua) vi phạm Quy chế quản lý sử dụng nhà chung cư do Bộ Xây dựng ban hành và Bản nội quy quản lý sử dụng nhà chung cư đính kèm theo hợp đồng này;
e) Được quyền thay đổi trang thiết bị, vật liệu xây dựng công trình nhà chung cư có giá trị chất lượng tương đương theo quy định của pháp luật về xây dựng; trường hợp thay đổi trang thiết bị, vật liệu hoàn thiện bên trong căn hộ thì phải có sự thỏa thuận của Bên mua;
g) Thực hiện các quyền và trách nhiệm của Ban quản trị nhà chung cư trong thời gian chưa thành lập Ban quản trị nhà chung cư; ban hành Bản nội quy nhà chung cư; thành lập Ban quản trị nhà chung cư; lựa chọn và ký hợp đồng với doanh nghiệp quản lý, vận hành nhà chung cư để quản lý vận hành nhà chung cư kể từ khi đưa nhà chung cư vào sử dụng cho đến khi Ban quản trị nhà chung cư được thành lập;
h) Đơn phương chấm dứt hợp đồng mua bán căn hộ theo thỏa thuận tại Điều 15 của hợp đồng này;
i) Yêu cầu Bên mua nộp phạt vi phạm hợp đồng hoặc bồi thường thiệt hại khi vi phạm các thỏa thuận thuộc diện phải nộp phạt hoặc phải bồi thường trong hợp đồng này hoặc theo quyết định của cơ quan nhà nước có thẩm quyền;
k) Các quyền khác do hai bên thoả thuận:.................................................
2. Nghĩa vụ của Bên bán nhà:
a) Cung cấp cho Bên mua các thông tin chính xác về quy hoạch chi tiết, thiết kế nhà chung cư và thiết kế căn hộ đã được phê duyệt. Cung cấp cho Bên mua kèm theo hợp đồng này 01 (một) bản vẽ thiết kế mặt bằng căn hộ mua bán, 01 (một) bản vẽ thiết kế mặt bằng tầng nhà có căn hộ mua bán, 01 (một) bản vẽ thiết kế mặt bằng tòa nhà chung cư có căn hộ mua bán đã được phê duyệt và các giấy tờ pháp lý có liên quan đến việc mua bán căn hộ;
b) Xây dựng nhà ở và các công trình hạ tầng theo đúng quy hoạch, nội dung hồ sơ dự án và tiến độ đã được phê duyệt, đảm bảo khi bàn giao thì Bên mua có thể sử dụng và sinh hoạt bình thường;
c) Thiết kế diện tích, mặt bằng căn hộ và thiết kế công trình hạ tầng tuân thủ quy hoạch và các quy định của pháp luật về xây dựng. Thiết kế diện tích, mặt bằng căn hộ sẽ không bị thay đổi, trừ trường hợp có yêu cầu của cơ quan nhà nước có thẩm quyền, hoặc theo thỏa thuận giữa Bên mua và Bên bán và được cơ quan nhà nước có thẩm quyền chấp thuận;
d) Đảm bảo chất lượng xây dựng, kiến trúc kỹ thuật và mỹ thuật nhà chung cư theo đúng tiêu chuẩn thiết kế, tiêu chuẩn kỹ thuật hiện hành;
đ) Bảo quản căn hộ trong thời gian chưa giao nhà ở cho Bên mua; thực hiện bảo hành đối với các căn hộ và nhà chung cư theo quy định tại Điều 9 của Hợp đồng này;
e) Bàn giao căn hộ và các giấy tờ pháp lý có liên quan đến căn hộ mua bán cho Bên mua theo đúng thời hạn thỏa thuận trong hợp đồng này;
g) Hướng dẫn và hỗ trợ Bên mua ký kết hợp đồng sử dụng dịch vụ với nhà cung cấp điện nước, viễn thông, truyền hình cáp….;
h) Nộp tiền sử dụng đất và các khoản phí, lệ phí khác liên quan đến việc bán căn hộ theo quy định của pháp luật;
i) Làm thủ tục để cơ quan nhà nước có thẩm quyền cấp Giấy chứng nhận quyền sử dụng đất, quyền sở hữu nhà ở và tài sản khác gắn liền với đất cho hộ gia đình, cá nhân tái định cư theo danh sách do Bên mua cung cấp; trong trường hợp này, Bên bán sẽ có văn bản thông báo cho Bên mua về việc nộp các giấy tờ liên quan để Bên bán làm thủ tục đề nghị cấp Giấy chứng nhận quyền sử dụng đất, quyền sở hữu nhà ở và tài sản khác gắn liền với đất cho hộ gia đình, cá nhân tái định cư.
Trong thời hạn.....ngày, kể từ ngày nhận được thông báo của Bên Bán mà Bên mua không nộp đầy đủ các giấy tờ theo thông báo thì coi như Bên mua tự nguyện đi làm thủ tục cấp Giấy chứng nhận. Khi Bên mua tự nguyện làm thủ tục đề nghị cấp Giấy chứng nhận thì Bên bán phải hỗ trợ và cung cấp đầy đủ hồ sơ pháp lý về căn hộ mua bán cho Bên mua;
k) Tổ chức Hội nghị nhà chung cư lần đầu để thành lập Ban quản trị nhà chung cư nơi có căn hộ bán; thực hiện các nhiệm vụ của Ban quản trị nhà chung cư khi nhà chung cư chưa thành lập được Ban quản trị;
l) Hỗ trợ Bên mua làm các thủ tục thế chấp căn hộ đã mua tại tổ chức tín dụng khi có yêu cầu của Bên mua;
m) Nộp phạt vi phạm hợp đồng và bồi thường thiệt hại cho Bên mua khi vi phạm các thỏa thuận thuộc diện phải nộp phạt hoặc bồi thường trong hợp đồng này hoặc theo quyết định của cơ quan nhà nước có thẩm quyền;
n) Nộp kinh phí bảo trì 2% theo quy định của pháp luật đối với phần diện tích thuộc sở hữu riêng của Bên bán và chuyển toàn bộ kinh phí bảo trì đã thu của Bên mua vào tài khoản tại ngân hàng và giao cho Ban quản trị nhà chung cư theo quy định của pháp luật về nhà ở.
p) Các nghĩa vụ khác do các bên thoả thuận (các thỏa thuận này phải không trái pháp luật và đạo đức xã hội)...........................................
Điều 6. Quyền và nghĩa vụ của Bên mua nhà
1. Quyền của Bên mua nhà:
a) Yêu cầu Bên bán nhà bàn giao đủ số lượng căn hộ thương mại, đảm bảo chất lượng, tiến độ theo Hợp đồng;
b) Nhận bàn giao căn hộ quy định tại Điều 2 của hợp đồng này có chất lượng với các thiết bị, vật liệu nêu tại bảng danh mục vật liệu xây dựng mà các bên đã thỏa thuận kèm theo hợp đồng này và hồ sơ căn hộ theo đúng thỏa thuận trong hợp đồng này.
c) Được sử dụng………chỗ để xe ô tô/xe máy trong bãi đỗ xe của Tòa nhà chung cư tại vị trí số………….(các bên thỏa thuận cụ thể nội dung này);
d) Yêu cầu Bên bán nhà làm thủ tục cấp Giấy chứng nhận quyền sử dụng đất, quyền sở hữu nhà ở và tài sản khác gắn liền với đất cho Bên mua nhà theo quy định của pháp luật (trừ trường hợp Bên mua tự nguyện thực hiện thủ tục này theo thỏa thuận tại điểm i khoản 2 Điều 5 của hợp đồng này);
đ) Được toàn quyền sở hữu, sử dụng và thực hiện các giao dịch đối với căn hộ đã mua theo quy định của pháp luật, đồng thời được sử dụng các dịch vụ hạ tầng do doanh nghiệp dịch vụ cung cấp trực tiếp hoặc thông qua Bên bán sau khi nhận bàn giao căn hộ theo quy định về sử dụng các dịch vụ hạ tầng của doanh nghiệp cung cấp dịch vụ;
e) Nhận Giấy chứng nhận sau khi đã thanh toán đủ 100% tiền mua căn hộ và các loại thuế, phí, lệ phí liên quan đến căn hộ mua bán theo thỏa thuận trong hợp đồng này và theo quy định của pháp luật;
g) Yêu cầu Bên bán hoàn thành việc xây dựng các công trình hạ tầng kỹ thuật và hạ tầng xã hội theo đúng nội dung, tiến độ dự án đã được phê duyệt;
h) Có quyền từ chối nhận bàn giao căn hộ nếu Bên bán không hoàn thành việc xây dựng và đưa vào sử dụng các công trình hạ tầng phục vụ nhu cầu ở thiết yếu, bình thường của Bên mua theo đúng thỏa thuận tại Khoản 4 Điều 4 của hợp đồng này hoặc trong trường hợp diện tích sử dụng căn hộ thực tế nhỏ hơn/lớn hơn....% so với diện tích sử dụng căn hộ ghi trong hợp đồng này. Việc từ chối nhận bàn giao căn hộ trong trường hợp này không bị coi là vi phạm các điều kiện bàn giao căn hộ của Bên mua đối với Bên bán;
i) Yêu cầu Bên bán tổ chức Hội nghị nhà chung cư lần đầu để thành lập Ban quản trị nhà chung cư nơi có căn hộ mua bán khi có đủ điều kiện thành lập Ban quản trị nhà chung cư theo quy định của Bộ Xây dựng;
k) Yêu cầu Bên bán nhà giới thiệu Bên mua nhà làm việc với các đơn vị cung cấp dịch vụ cho các căn hộ;
l) Yêu cầu Bên bán hỗ trợ thủ tục thế chấp căn hộ đã mua tại tổ chức tín dụng trong trường hợp Bên mua có nhu cầu thế chấp căn hộ tại tổ chức tín dụng;
m) Yêu cầu Bên bán nộp kinh phí bảo trì nhà chung cư quy định của pháp luật về nhà ở;
n) Các quyền khác do hai bên thoả thuận:.................................................
2. Nghĩa vụ của Bên mua:
a) Thanh toán đầy đủ và đúng hạn số tiền mua căn hộ và kinh phí bảo trì phần sở hữu chung 2% theo thỏa thuận tại Điều 3 của hợp đồng này không phụ thuộc vào việc có hay không có thông báo thanh toán tiền mua căn hộ của Bên bán;
b) Nhận bàn giao căn hộ theo thỏa thuận trong hợp đồng này;
c) Kể từ ngày bàn giao căn hộ, Bên mua hoàn toàn chịu trách nhiệm đối với căn hộ đã mua (trừ các trường hợp thuộc trách nhiệm bảo đảm tính pháp lý và việc bảo hành căn hộ của Bên bán) và tự chịu trách nhiệm về việc mua, duy trì các hợp đồng bảo hiểm cần thiết đối với mọi rủi ro, thiệt hại liên quan đến căn hộ và bảo hiểm trách nhiệm dân sự phù hợp với quy định của pháp luật;
d) Kể từ ngày bàn giao căn hộ, kể cả trường hợp Bên mua chưa vào sử dụng căn hộ thì căn hộ sẽ được quản lý và bảo trì theo nội quy quản lý sử dụng nhà chung cư và Bên mua phải tuân thủ các quy định được nêu trong Bản nội quy quản lý sử dụng nhà chung cư;
đ) Thanh toán các khoản thuế và lệ phí theo quy định của pháp luật mà Bên mua phải nộp như thỏa thuận tại Điều 7 của hợp đồng này;
e) Thanh toán các khoản chi phí dịch vụ như: điện, nước, truyền hình cáp, truyền hình vệ tinh, thông tin liên lạc... và các khoản thuế, phí khác phát sinh theo quy định do nhu cầu sử dụng của Bên mua;
g) Thanh toán phí quản lý vận hành nhà chung cư và các chi phí khác theo thoả thuận quy định tại Khoản 5 Điều 11 của hợp đồng này, kể cả trường hợp Bên mua không sử dụng căn hộ đã mua;
h) Chấp hành các quy định của Quy chế quản lý sử dụng nhà chung cư do Bộ Xây dựng ban hành và Bản nội quy quản lý sử dụng nhà chung cư đính kèm theo hợp đồng này;
i) Tạo điều kiện thuận lợi cho doanh nghiệp quản lý vận hành trong việc bảo trì, quản lý vận hành nhà chung cư;
k) Sử dụng căn hộ đúng mục đích để ở theo quy định của Luật Nhà ở và theo thỏa thuận trong hợp đồng này;
l) Nộp phạt vi phạm hợp đồng và bồi thường thiệt hại cho Bên bán khi vi phạm các thỏa thuận thuộc diện phải nộp phạt hoặc bồi thường theo quy định trong hợp đồng này hoặc theo quyết định của cơ quan nhà nước có thẩm quyền;
m) Thực hiện các nghĩa vụ khác theo quyết định của cơ quan nhà nước có thẩm quyền khi vi phạm các quy định về quản lý, sử dụng nhà chung cư;
n) Các nghĩa vụ khác theo thoả thuận của các bên (các thỏa thuận này phải không trái pháp luật và đạo đức xã hội)................................
Điều 7. Thuế và các khoản phí, lệ phí liên quan
1. Bên mua phải thanh toán lệ phí trước bạ, các loại thuế, lệ phí và các loại phí có liên quan đến việc cấp Giấy chứng nhận quyền sở hữu nhà ở, quyền sử dụng đất và tài sản khác gắn liền với đất theo quy định của pháp luật khi Bên bán làm thủ tục cấp Giấy chứng nhận cho Bên mua và trong quá trình sở hữu, sử dụng căn hộ kể từ thời điểm nhận bàn giao căn hộ.
2. Bên mua có trách nhiệm nộp thuế và các loại lệ phí, chi phí (nếu có) theo quy định cho Nhà nước khi thực hiện bán căn hộ đã mua cho người khác.
3. Bên bán có trách nhiệm nộp các nghĩa vụ tài chính thuộc trách nhiệm của Bên bán cho Nhà nước theo quy định của pháp luật.
4. Các thỏa thuận khác của hai bên (thỏa thuận theo đúng quy định của pháp luật)…………………………………….
Điều 8. Giao nhận căn hộ
1. Điều kiện giao nhận căn hộ: Các bên đối chiếu với thỏa thuận về quyền và nghĩa vụ của 2 bên trong hợp đồng này để thỏa thuận cụ thể về điều kiện căn hộ được bàn giao cho Bên mua.(như điều kiện Bên bán phải xây dựng xong căn hộ theo thiết kế, Bên mua phải đóng đủ tiền mua căn hộ theo thỏa thuận trong hợp đồng, Bên mua phải nộp khoản kinh phí 2% tiền bảo trì phần sở hữu chung…..)
2. Bên bán bàn giao căn hộ cho Bên mua vào.......... (ghi rõ thời gian bàn giao căn hộ).
Việc bàn giao căn hộ có thể sớm hơn hoặc muộn hơn so với thời gian quy định tại khoản này, nhưng không được chậm quá.......ngày, kể từ thời điểm đến hạn bàn giao căn hộ cho Bên mua; Bên bán phải có văn bản thông báo cho Bên mua biết lý do chậm bàn giao căn hộ.
Trước ngày bàn giao căn hộ là….. ngày, Bên bán phải gửi văn bản thông báo cho Bên mua về thời gian, địa điểm và thủ tục bàn giao căn hộ.
3. Căn hộ được bàn giao cho Bên mua phải theo đúng thiết kế đã được duyệt; phải sử dụng đúng các thiết bị, vật liệu nêu tại bảng danh mục vật liệu, thiết bị xây dựng mà các bên đã thỏa thuận theo hợp đồng, trừ trường hợp thỏa thuận tại Điểm e Khoản 1 Điều 5 của hợp đồng này.
4. Vào ngày bàn giao căn hộ theo thông báo, Bên mua hoặc người được ủy quyền hợp pháp phải đến kiểm tra tình trạng thực tế căn hộ so với thỏa thuận trong hợp đồng này, cùng với đại diện của Bên bán đo đạc lại diện tích sử dụng thực tế căn hộ và ký vào biên bản bàn giao căn hộ.
Trường hợp Bên mua hoặc người được Bên mua ủy quyền hợp pháp không đến nhận bàn giao căn hộ theo thông báo của Bên bán trong thời hạn…… ngày hoặc đến kiểm tra nhưng không nhận bàn giao căn hộ mà không có lý do chính đáng (trừ trường hợp thuộc diện thỏa thuận tại Điểm h Khoản 1 Điều 6 của hợp đồng này) thì kể từ ngày đến hạn bàn giao căn hộ theo thông báo của Bên bán được xem như Bên mua đã đồng ý, chính thức nhận bàn giao căn hộ theo thực tế và Bên bán đã thực hiện xong trách nhiệm bàn giao căn hộ theo hợp đồng, Bên mua không được quyền nêu bất cứ lý do không hợp lý nào để không nhận bàn giao căn hộ; việc từ chối nhận bàn giao căn hộ như vậy sẽ được coi là Bên mua vi phạm hợp đồng và sẽ được xử lý theo quy định tại Điều 12 của hợp đồng này.
5. Kể từ thời điểm hai bên ký biên bản bàn giao căn hộ, Bên mua được toàn quyền sử dụng căn hộ và chịu mọi trách nhiệm có liên quan đến căn hộ mua, kể cả trường hợp Bên mua có sử dụng hay chưa sử dụng căn hộ này.
Điều 9. Bảo hành nhà ở
1. Bên bán có trách nhiệm bảo hành căn hộ đã bán theo đúng quy định tại Điều 46 của Nghị định số 71/2010/NĐ-CP ngày 23 tháng 6 năm 2010 của Chính phủ quy định chi tiết và hướng dẫn thi hành Luật Nhà ở và các quy định sửa đổi, bổ sung của Nhà nước vào từng thời điểm.
2. Khi bàn giao căn hộ cho Bên mua, Bên bán phải thông báo và cung cấp cho Bên mua 01 bản sao biên bản nghiệm thu đưa công trình nhà chung cư vào sử dụng theo quy định của pháp luật xây dựng để các bên xác định thời điểm bảo hành nhà ở.
3. Nội dung bảo hành nhà ở (kể cả căn hộ trong nhà chung cư có mục đích sử dụng hỗn hợp) bao gồm: sửa chữa, khắc phục các hư hỏng về kết cấu chính của nhà ở (dầm, cột, trần sàn, mái, tường, các phần ốp, lát, trát), các thiết bị gắn liền với nhà ở như hệ thống các loại cửa, hệ thống cung cấp chất đốt, đường dây cấp điện sinh hoạt, cấp điện chiếu sáng, hệ thống cấp nước sinh hoạt, thoát nước thải, khắc phục các trường hợp nghiêng, lún, sụt nhà ở. Đối với các thiết bị khác gắn với nhà ở thì Bên bán thực hiện bảo hành theo quy định của nhà sản xuất hoặc nhà phân phối.
Bên bán có trách nhiệm thực hiện bảo hành căn hộ bằng cách thay thế hoặc sửa chữa các điểm bị khuyết tật hoặc thay thế các đồ vật cùng loại có chất lượng tương đương hoặc tốt hơn. Việc bảo hành bằng cách thay thế hoặc sửa chữa chỉ do Bên bán hoặc Bên được Bên bán ủy quyền thực hiện.
4. Bên mua phải kịp thời thông báo bằng văn bản cho Bên bán khi căn hộ có các hư hỏng thuộc diện được bảo hành. Trong thời hạn...........ngày, kể từ ngày nhận được thông báo của Bên mua, Bên bán có trách nhiệm thực hiện bảo hành các hư hỏng theo đúng thỏa thuận và theo quy định của pháp luật; Bên mua phải tạo điều kiện để Bên bán thực hiện bảo hành nhà ở. Nếu Bên bán chậm thực hiện việc bảo hành mà gây thiệt hại cho Bên mua thì phải chịu trách nhiệm bồi thường cho Bên mua theo thiệt hại thực tế xảy ra.
5. Thời gian bảo hành nhà ở được tính từ ngày Bên bán ký biên bản nghiệm thu đưa nhà ở vào sử dụng theo quy định của pháp luật về xây dựng, cụ thể như sau:
a) Không ít hơn 60 tháng đối với căn hộ trong nhà chung cư cao từ 9 tầng trở lên;
b) Không ít hơn 36 tháng đối với căn hộ trong nhà chung cư cao từ 4 đến 8 tầng;
c) Không ít hơn 24 tháng đối với căn hộ trong nhà chung cư không thuộc diện quy định tại điểm a và điểm b khoản này.
6. Bên bán không thực hiện bảo hành căn hộ trong các trường hợp sau đây:
a) Trường hợp hao mòn và khấu hao thông thường;
b) Trường hợp hư hỏng do lỗi của Bên mua hoặc của bất kỳ người sử dụng hoặc của bên thứ ba nào khác gây ra;
c) Trường hợp hư hỏng do sự kiện bất khả kháng;
d) Trường hợp đã hết thời hạn bảo hành theo thỏa thuận tại Khoản 5 Điều này;
đ) Các trường hợp không thuộc nội dung bảo hành theo thỏa thuận tại Khoản 3 Điều này, bao gồm cả những thiết bị, bộ phận gắn liền căn hộ do Bên mua tự lắp đặt hoặc tự sửa chữa mà không được sự đồng ý của Bên Bán;
e) Các trường hợp khác do các bên thỏa thuận.....................................
7. Sau thời hạn bảo hành theo thỏa thuận tại Khoản 5 Điều này, việc sửa chữa các hư hỏng của căn hộ thuộc trách nhiệm của Bên mua. Việc bảo trì phần sở hữu chung trong nhà chung cư được thực hiện theo quy định của pháp luật về nhà ở.
Điều 10. Chuyển giao quyền và nghĩa vụ
1. Trường hợp Bên mua có nhu cầu thế chấp căn hộ đã mua cho tổ chức tín dụng đang hoạt động tại Việt Nam trước khi Bên mua được cấp Giấy chứng nhận thì Bên mua phải thông báo trước bằng văn bản để Bên bán cùng Bên mua làm các thủ tục cần thiết theo quy định của ngân hàng.
2. Trong trường hợp Bên mua chưa nhận bàn giao căn hộ từ Bên bán mà Bên mua có nhu cầu thực hiện chuyển nhượng hợp đồng này cho bên thứ ba thì các bên phải thực hiện đúng thủ tục chuyển nhượng hợp đồng theo quy định của pháp luật về nhà ở. Bên bán không được thu thêm bất kỳ một khoản phí chuyển nhượng hợp đồng nào khi làm thủ tục xác nhận việc chuyển nhượng hợp đồng cho Bên mua.
3. Hai bên thống nhất rằng, Bên mua chỉ được chuyển nhượng hợp đồng mua bán căn hộ cho bên thứ ba khi có đủ các điều kiện sau đây:
a) Căn hộ mua bán không đang trong tình trạng thế chấp tại tổ chức tín dụng hoặc không thuộc diện bị hạn chế chuyển nhượng theo quyết định của cơ quan nhà nước hoặc không có tranh chấp với bên thứ ba, trừ trường hợp được ngân hàng thế chấp đồng ý để Bên mua chuyển nhượng hợp đồng cho bên thứ ba;
b) Bên mua đã hoàn thành việc thanh toán các nghĩa vụ đến hạn liên quan đến căn hộ đã mua cho Bên bán theo thỏa thuận trong hợp đồng này;
c) Bên nhận chuyển nhượng hợp đồng phải đủ điều kiện được mua và sở hữu nhà ở tại Việt Nam theo quy định của pháp luật Việt Nam tại thời điểm nhận chuyển nhượng hợp đồng;
d) Bên nhận chuyển nhượng hợp đồng phải cam kết tuân thủ các thỏa thuận của Bên Bán và Bên mua trong hợp đồng này.
4. Trong cả hai trường hợp nêu tại Khoản 1 và Khoản 2 Điều này, người mua lại nhà ở hoặc bên nhận chuyển nhượng hợp đồng mua bán căn hộ đều được hưởng các quyền và phải thực hiện các nghĩa vụ của Bên mua theo thỏa thuận trong hợp đồng này và trong Bản nội quy quản lý sử dụng nhà chung cư đính kèm theo hợp đồng này.
Điều 11. Phần sở hữu riêng, phần sở hữu chung và việc sử dụng căn hộ trong nhà chung cư
1. Bên mua được quyền sở hữu riêng đối với diện tích căn hộ đã mua theo thỏa thuận của hợp đồng này và các trang thiết bị kỹ thuật sử dụng riêng gắn liền với căn hộ này bao gồm........; có quyền sở hữu, sử dụng đối với phần diện tích, thiết bị thuộc sở hữu chung trong nhà chung cư quy định tại Khoản 3 Điều này.
2. Các diện tích và trang thiết bị kỹ thuật thuộc quyền sở hữu riêng của Bên bán bao gồm: (các bên phải ghi rõ vào mục này)...................................
3. Các phần diện tích và thiết bị thuộc sở hữu chung, sử dụng chung của các chủ sở hữu trong nhà chung cư bao gồm: ......................(các bên phải căn cứ vào pháp luật về nhà ở để ghi rõ những phần diện tích và thiết bị thuộc sở hữu chung, sử dụng chung của các chủ sở hữu trong nhà chung cư).
4. Các phần diện tích thuộc sở hữu riêng của các chủ sở hữu khác (nếu có) trong nhà chung cư (như văn phòng, siêu thị và dịch vụ khác...):...................các bên thỏa thuận cụ thể vào phần này.
5. Hai bên nhất trí thỏa thuận mức phí quản lý vận hành nhà chung cư như sau:
a) Tính từ thời điểm Bên bán bàn giao căn hộ cho Bên mua theo quy định tại Điều 8 của hợp đồng này đến thời điểm Ban quản trị nhà chung cư được thành lập và ký hợp đồng quản lý, vận hành nhà ở với đơn vị quản lý vận hành là:..........đồng/m2/ tháng. Mức phí này có thể được điều chỉnh nhưng phải tính toán hợp lý cho phù hợp với thực tế từng thời điểm. Bên mua có trách nhiệm đóng khoản phí này cho Bên bán vào thời điểm..........(các bên thỏa thuận đóng hàng tháng vào ngày......hoặc đóng trong.......tháng đầu, thời điểm đóng là..........)
(Các bên thỏa thuận đính kèm theo hợp đồng này bảng danh mục các công việc, dịch vụ quản lý vận hành nhà chung cư mà Bên bán cung cấp cho Bên mua trước khi thành lập Ban quản trị nhà chung cư, trong đó có dịch vụ tối thiểu và dịch vụ gia tăng như: dịch vụ bảo vệ, vệ sinh môi trường, quản lý vận hành, thể thao, chăm sóc sức khỏe........).
b) Sau khi Ban quản trị nhà chung cư được thành lập thì danh mục các công việc, dịch vụ, mức phí và việc đóng phí quản lý vận hành nhà chung cư sẽ do Hội nghị nhà chung cư quyết định và do Ban quản trị nhà chung cư thỏa thuận với đơn vị quản lý vận hành nhà chung cư.
c) Trường hợp Uỷ ban nhân dân tỉnh, thành phố trực thuộc trung ương nơi có nhà chung cư có quy định về mức phí quản lý vận hành nhà chung cư thì mức phí này được đóng theo quy định của Nhà nước, trừ trường hợp các bên có thoả thuận khác.
6. Các thoả thuận khác (nếu có):............................................................
Điều 12. Trách nhiệm của hai bên và việc xử lý vi phạm hợp đồng
1. Hai bên thống nhất hình thức xử lý vi phạm khi Bên mua chậm trễ thanh toán tiền mua căn hộ như sau:
a) Nếu quá........ngày, kể từ ngày đến hạn phải thanh toán tiền mua căn hộ theo thỏa thuận tại Khoản 3 Điều 3 của hợp đồng này mà Bên mua không thực hiện thanh toán thì sẽ bị tính lãi suất phạt quá hạn trên tổng số tiền chậm thanh toán là:....% (....phần trăm) theo lãi suất.... (các bên thỏa thuận cụ thể % lãi suất/ngày hoặc theo từng tháng và lãi suất có kỳ hạn...tháng hoặc không kỳ hạn) do Ngân hàng ...........công bố tại thời điểm thanh toán và được tính bắt đầu từ ngày phải thanh toán đến ngày thực trả;
b) Trong quá trình thực hiện hợp đồng này, nếu tổng thời gian Bên mua trễ hạn thanh toán của tất cả các đợt phải thanh toán theo thỏa thuận tại Khoản 3 Điều 3 của hợp đồng này vượt quá ........ngày thì Bên bán có quyền đơn phương chấm dứt hợp đồng theo thỏa thuận tại Điều 15 của hợp đồng này.
Trong trường hợp này Bên bán được quyền bán căn hộ cho khách hàng khác mà không cần có sự đồng ý của Bên mua. Bên bán sẽ hoàn trả lại số tiền mà Bên mua đã thanh toán.......(có hoặc không tính lãi suất do các bên thỏa thuận) sau khi đã khấu trừ tiền bồi thường về việc Bên mua vi phạm hợp đồng này là ......% (...... phần trăm) tổng giá trị hợp đồng này (chưa tính thuế) (do các bên thỏa thuận % này)
2. Hai bên thống nhất hình thức xử lý vi phạm khi Bên bán chậm trễ bàn giao căn hộ cho Bên mua như sau:
a) Nếu Bên mua đã thanh toán tiền mua căn hộ theo tiến độ thỏa thuận trong hợp đồng này nhưng quá thời hạn....... ngày, kể từ ngày Bên bán phải bàn giao căn hộ theo thỏa thuận tại Điều 8 của hợp đồng này mà Bên bán vẫn chưa bàn giao căn hộ cho Bên mua thì Bên bán phải thanh toán cho Bên mua khoản tiền phạt vi phạm với lãi suất là....% (....phần trăm) (các bên thỏa thuận cụ thể % lãi suất/ngày hoặc theo từng tháng và lãi suất có kỳ hạn... tháng hoặc không kỳ hạn) do Ngân hàng ...........công bố tại thời điểm thanh toán trên tổng số tiền mà Bên mua đã thanh toán cho Bên bán và được tính từ ngày phải bàn giao theo thỏa thuận đến ngày Bên bán bàn giao căn hộ thực tế cho Bên mua.
b) Nếu Bên bán chậm bàn giao căn hộ quá .....ngày, kể từ ngày phải bàn giao căn hộ theo thỏa thuận tại Điều 8 của hợp đồng này thì Bên mua có quyền tiếp tục thực hiện hợp đồng này với thỏa thuận bổ sung về thời điểm bàn giao căn hộ mới hoặc đơn phương chấm dứt hợp đồng theo thỏa thuận tại Điều 15 của hợp đồng này.
Trong trường hợp này, Bên bán phải hoàn trả lại toàn bộ số tiền mà Bên mua đã thanh toán (các bên thỏa thuận có hoặc không tính lãi suất) và bồi thường cho Bên mua khoản tiền phạt vi phạm hợp đồng tương đương với .....% (......phần trăm) tổng giá trị hợp đồng này (chưa tính thuế).
3. Trường hợp đến hạn bàn giao căn hộ theo thông báo của Bên bán và căn hộ đã đủ điều kiện bàn giao theo thỏa thuận trong hợp đồng này mà Bên mua không nhận bàn giao thì (các bên thỏa thuận cụ thể)..................
4. Các thỏa thuận khác (do các bên thỏa thuận nhưng không được trái với quy định của pháp luật).......................................
Điều 13. Cam kết của các bên
1. Bên bán cam kết:
a) Căn hộ nêu tại Điều 2 của hợp đồng này thuộc quyền sở hữu của Bên bán và không thuộc diện đã bán cho người khác, không thuộc diện bị cấm giao dịch theo quy định của pháp luật;
b) Căn hộ nêu tại Điều 2 của hợp đồng này được xây dựng theo đúng quy hoạch, đúng thiết kế và các bản vẽ được duyệt đã cung cấp cho Bên mua, bảo đảm chất lượng và đúng các vật liệu xây dựng theo thuận trong hợp đồng này;
c) Các cam kết khác do 2 bên thỏa thuận:……………………………….
2. Bên mua cam kết:
a) Đã tìm hiểu, xem xét kỹ thông tin về căn hộ mua;
b) Đã được Bên bán cung cấp bản sao các giấy tờ, tài liệu và thông tin cần thiết liên quan đến căn hộ, Bên mua đã đọc cẩn thận và hiểu các quy định của hợp đồng này cũng như các phụ lục đính kèm. Bên mua đã tìm hiểu mọi vấn đề mà Bên mua cho là cần thiết để kiểm tra mức độ chính xác của các giấy tờ, tài liệu và thông tin đó;
c) Số tiền mua căn hộ theo hợp đồng này là hợp pháp, không có tranh chấp với bên thứ ba. Bên bán sẽ không chịu trách nhiệm đối với việc tranh chấp khoản tiền mà Bên mua đã thanh toán cho Bên bán theo hợp đồng này. Trong trường hợp có tranh chấp về khoản tiền mua bán căn hộ này thì hợp đồng này vẫn có hiệu lực đối với hai bên;
d) Cung cấp các giấy tờ cần thiết khi Bên bán yêu cầu theo quy định của pháp luật để làm thủ tục cấp Giấy chứng nhận cho Bên mua..
3. Việc ký kết hợp đồng này giữa các bên là hoàn toàn tự nguyện, không bị ép buộc, lừa dối.
4. Trong trường hợp một hoặc nhiều Điều, Khoản, Điểm trong hợp đồng này bị cơ quan nhà nước có thẩm quyền tuyên là vô hiệu, không có giá trị pháp lý hoặc không thể thi hành theo quy định hiện hành của pháp luật thì các Điều, Khoản, Điểm khác của hợp đồng này vẫn có hiệu lực thi hành đối với hai bên. Hai bên sẽ thống nhất sửa đổi các Điều, Khoản, Điểm bị vô hiệu hoặc không có giá trị pháp lý hoặc không thể thi hành theo quy định của pháp luật và phù hợp với ý chí của hai bên.
5. Hai bên cam kết thực hiện đúng các thỏa thuận đã quy định trong hợp đồng này.
Điều 14. Sự kiện bất khả kháng
1. Các bên nhất trí thỏa thuận một trong các trường hợp sau đây được coi là sự kiện bất khả kháng:
a) Do chiến tranh hoặc do thiên tai hoặc do thay đổi chính sách pháp luật của Nhà nước;
b) Do phải thực hiện quyết định của cơ quan nhà nước có thẩm quyền hoặc các trường hợp khác do pháp luật quy định;
c) Do tai nạn, ốm đau thuộc diện phải đi cấp cứu tại cơ sở y tế;
d) Các trường hợp khác do hai bên thỏa thuận.........................................
2. Mọi trường hợp khó khăn về tài chính đơn thuần sẽ không được coi là trường hợp bất khả kháng.
3. Khi xuất hiện một trong các trường hợp bất khả kháng theo thỏa thuận tại khoản 1 Điều này thì bên bị tác động bởi trường hợp bất khả kháng phải thông báo ….(bằng văn bản hoặc thông báo trực tiếp) cho bên còn lại biết trong thời hạn ..…ngày, kể từ ngày xảy ra trường hợp bất khả kháng (nếu có giấy tờ chứng minh về lý do bất khả kháng thì bên bị tác động phải xuất trình giấy tờ này). Việc bên bị tác động bởi trường hợp bất khả kháng không thực hiện được nghĩa vụ của mình sẽ không bị coi là vi phạm nghĩa vụ theo hợp đồng và cũng không phải là cơ sở để bên còn lại có quyền chấm dứt hợp đồng này.
4. Việc thực hiện nghĩa vụ theo hợp đồng của các bên sẽ được tạm dừng trong thời gian xảy ra sự kiện bất khả kháng. Các bên sẽ tiếp tục thực hiện các nghĩa vụ của mình sau khi sự kiện bất khả kháng chấm dứt, trừ trường hợp quy định tại Điểm d Khoản 1 Điều 15 của hợp đồng này.
Điều 15. Chấm dứt Hợp đồng
1. Hợp đồng này được chấm dứt khi xảy ra một trong các trường hợp sau đây:
a) Hai bên đồng ý chấm dứt hợp đồng bằng văn bản. Trong trường hợp này, hai bên lập văn bản thoả thuận cụ thể các điều kiện và thời hạn chấm dứt hợp đồng;
b) Bên mua chậm thanh toán tiền mua căn hộ theo thoả thuận tại Điểm b Khoản 1 Điều 12 của hợp đồng này;
c) Bên bán chậm bàn giao căn hộ theo thỏa thuận tại Điểm b Khoản 2 Điều 12 của hợp đồng này;
d) Trong trường hợp bên bị tác động bởi sự kiện bất khả kháng không thể khắc phục được để tiếp tục thực hiện nghĩa vụ của mình trong thời hạn……..ngày, kể từ ngày xảy ra sự kiện bất khả kháng và hai bên cũng không có thỏa thuận khác thì một trong hai bên có quyền đơn phương chấm dứt hợp đồng này và việc chấm dứt hợp đồng này không được coi là vi phạm hợp đồng.
2. Việc xử lý hậu quả do chấm dứt hợp đồng theo quy định tại Khoản 1 Điều này như: hoàn trả lại tiền mua căn hộ, tính lãi, các khoản phạt và bồi thường....do hai bên thỏa thuận cụ thể.
3. Các thỏa thuận khác (không được trái quy định của pháp luật).................
Điều 16. Thông báo
1. Địa chỉ để các bên nhận thông báo của bên kia (ghi rõ đối với Bên bán, đối với Bên mua) :………………………….
2. Hình thức thông báo giữa các bên (thông qua Fax, thư, điện tín, giao trực tiếp):……………………………………………………………….
3. Bên nhận thông báo (nếu Bên mua có nhiều người thì Bên mua thỏa thuận cử 01 người đại diện để nhận thông báo) là:……….………………….
4. Bất kỳ thông báo, yêu cầu, thông tin, khiếu nại phát sinh liên quan đến hợp đồng này phải được lập thành văn bản. Hai bên thống nhất rằng, các thông báo, yêu cầu, khiếu nại được coi là đã nhận nếu gửi đến đúng địa chỉ, đúng tên người nhận thông báo, đúng hình thức thông báo theo thỏa thuận tại Khoản 1, Khoản 2 và Khoản 3 Điều này và trong thời gian như sau:
a) Vào ngày gửi trong trường hợp thư giao tận tay và có chữ ký của người nhận thông báo;
b) Vào ngày bên gửi nhận được thông báo chuyển fax thành công trong trường hợp gửi thông báo bằng fax;
c) Vào ngày …., kể từ ngày đóng dấu bưu điện trong trường hợp gửi thông báo bằng thư chuyển phát nhanh;
d) Các thỏa thuận khác do các bên thỏa thuận………………
5. Các bên phải thông báo bằng văn bản cho nhau biết nếu có đề nghị thay đổi về địa chỉ, hình thức và tên người nhận thông báo; nếu khi đã có thay đổi về (địa chỉ, hình thức, tên người nhận thông báo do các bên thỏa thuận)……..mà bên có thay đổi không thông báo lại cho bên kia biết thì bên gửi thông báo không chịu trách nhiệm về việc bên có thay đổi không nhận được các văn bản thông báo.
Điều 17. Các thỏa thuận khác
Ngoài các thỏa thuận đã nêu tại các Điều, Khoản trong hợp đồng này thì hai bên có thể thỏa thuận thêm các nội dung khác, nhưng các nội dung do hai bên tự thỏa thuận thêm tại Điều này cũng như tại các Điều, Khoản khác trong toàn bộ hợp đồng này phải không trái với các nội dung đã được quy định tại hợp đồng này, phải phù hợp với quy định của pháp luật và không được trái đạo đức xã hội.
Điều 18. Giải quyết tranh chấp
Trường hợp các Bên có tranh chấp về các nội dung của hợp đồng này thì hai bên cùng bàn bạc giải quyết thông qua thương lượng. Trong thời hạn....ngày, kể từ ngày một trong hai bên thông báo bằng văn bản cho bên kia về tranh chấp phát sinh mà tranh chấp đó không được thương lượng giải quyết thì một trong hai bên có quyền yêu cầu Toà án giải quyết theo quy định của pháp luật Việt Nam.
Điều 19. Hiệu lực của hợp đồng
1. Hợp đồng này có hiệu lực kể từ ngày.....................................................
2. Hợp đồng này có 19 Điều, với.....trang, được lập thành ... bản và có giá trị như nhau, Bên mua giữ ... bản, Bên Bán giữ ... bản để lưu trữ, làm thủ tục nộp thuế, lệ phí và thủ tục cấp Giấy chứng nhận cho Bên mua.
3. Kèm theo hợp đồng này là 01 (một) bản vẽ thiết kế mặt bằng căn hộ mua bán, 01 (một) bản vẽ thiết kế mặt bằng tầng có căn hộ mua bán, 01 (một) bản vẽ thiết kế mặt bằng tòa nhà chung cư có căn hộ mua bán nêu tại Điều 2 của hợp đồng này đã được phê duyệt, 01 (một) bản nội quy quản lý sử dụng nhà chung cư, 01 (một) bản danh mục vật liệu xây dựng căn hộ (nếu mua bán nhà ở hình thành trong tương lai) và các giấy tờ khác như.........
Các phụ lục đính kèm hợp đồng này và các sửa đổi, bổ sung theo thỏa thuận của hai bên là nội dung không tách rời hợp đồng này và có hiệu lực thi hành đối với hai bên.
4. Trong trường hợp các bên thỏa thuận thay đổi nội dung của hợp đồng này thì phải lập bằng văn bản có chữ ký của cả hai bên./.
|
BÊN MUA NHÀ (ký và ghi rõ họ tên, chức vụ và đóng dấu)
|
BÊN BÁN NHÀ (ký và ghi rõ họ tên, chức vụ và đóng dấu)
|
[1]. Ghi các Quyết định liên quan như Quyết định cho thuê đất, giao đất, văn bản phê duyệt dự án đầu tư xây dựng nhà chung cư.
[2]. Ghi quyết định của Ủy ban nhân dân cấp tỉnh phê duyệt phương án và giá mua nhà ở thương mại để bố trí tái định cư.
[3]. Các căn cứ liên quan đến việc đăng ký mua của hộ gia đình, cá nhân tái định cư.
Phụ lục số 05 : Mẫu hợp đồng bán căn hộ tái định cư
(Ban hành kèm theo Thông tư số 07/2014/TT-BXD ngày 20 tháng 5 năm 2014
của Bộ trưởng Bộ Xây dựng)
CỘNG HOÀ XÃ HỘI CHỦ NGHĨA VIỆT NAM
Độc lập – Tự do – Hạnh phúc
_________________
.............., ngày........ tháng........năm..........
HỢP ĐỒNG BÁN CĂN HỘ TÁI ĐỊNH CƯ
Số: ......../HĐ/.....
_____________
Căn cứ Bộ Luật dân sự ngày 14 tháng 6 năm 2005;
Căn cứ Luật Nhà ở ngày 29 tháng 11 năm 2005 và Luật số 34/2009/QH12 ngày 18 tháng 6 năm 2009 của Quốc hội về sửa đổi, bổ sung Điều 126 của Luật Nhà ở và Điều 121 của Luật Đất đai;
Căn cứ Luật Kinh doanh bất động sản ngày 29 tháng 6 năm 2006;
Căn cứ Luật Bảo vệ người tiêu dùng ngày 17 tháng 11 năm 2010;
Căn cứ Nghị định số 71/2010/NĐ-CP ngày 23 tháng 6 năm 2010 của Chính phủ về quy định chi tiết và hướng dẫn thi hành Luật Nhà ở;
Căn cứ Nghị định số 84/2013/NĐ-CP ngày 25 tháng 7 năm 2013 của Chính phủ quy định về phát triển và quản lý nhà ở tái định cư;
Căn cứ Thông tư số 16/2010/TT-BXD ngày 01 tháng 9 năm 2010 của Bộ Xây dựng quy định cụ thể và hướng dẫn thực hiện một số nội dung của Nghị định số 71/2010/NĐ-CP ngày 23 tháng 6 năm 2010 của Chính phủ quy định chi tiết và hướng dẫn thi hành Luật Nhà ở;
Căn cứ Thông tư số 03/2014/TT-BXD ngày 20 tháng 02 năm 2014 của Bộ Xây dựng về sửa đổi, bổ sung Điều 21 của Thông tư số 16/2010/TT-BXD ngày 01 tháng 9 năm 2010 của Bộ Xây dựng quy định cụ thể và hướng dẫn thực hiện một số nội dung của Nghị định số 71/2010/NĐ-CP ngày 23 tháng 6 năm 2010 của Chính phủ quy định chi tiết và hướng dẫn thi hành Luật Nhà ở;
Căn cứ Thông tư số 07/2014/TT-BXD ngày 20 tháng 5 năm 2014 của Bộ trưởng Bộ Xây dựng hướng dẫn một số nội dung của Nghị định số 84/2013/NĐ-CP ngày 25 tháng 7 năm 2013 của Chính phủ quy định về phát triển và quản lý nhà ở tái định cư;
Căn cứ hợp đồng số /HĐ/201.. ngày tháng năm về việc mua căn hộ thương mại để bố trí tái định cư.
Căn cứ Quyết định số [1].......................................................................;
Căn cứ Quyết định số [2].......................................................................;
Căn cứ khác [3] ..................................................................................... .
Hai bên chúng tôi gồm:
BÊN BÁN NHÀ Ở (sau đây gọi tắt là Bên bán):
- Tổ chức, doanh nghiệp (Chủ đầu tư dự án khu nhà ở phục vụ tái định cư, công trình nhà ở phục vụ tái định cư): …………………………..…….
- Đại diện bởi Ông (Bà):...........................Chức vụ:.....................................
Theo giấy ủy quyền (văn bản ủy quyền) số……(nếu có).
- Số CMND (hộ chiếu): ...........................cấp ngày:...../...../......., tại...........
- Địa chỉ:......................................................................................................
- Điện thoại:.............................................Fax:.............................................
- Số tài khoản: ..........................................tại Ngân hàng:............................
- Mã số thuế:................................................................................................
BÊN MUA NHÀ Ở (sau đây gọi tắt là Bên mua):
- Ông (bà):...................................................................................................
Theo giấy ủy quyền (văn bản ủy quyền) số……(nếu có).
- Số CMND (hộ chiếu) số:.........................cấp ngày:..../..../....., tại..............
- Hộ khẩu thường trú:...................................................................................
- Địa chỉ liên hệ:..........................................................................................
- Điện thoại:..............................................Fax (nếu có):..............................
- Số tài khoản (nếu có):............................tại Ngân hàng.............................
- Mã số thuế (nếu có):..................................................................................
Hai bên đồng ý ký kết bản hợp đồng mua bán căn hộ với các điều, khoản sau đây:
Điều 1: Giải thích từ ngữ
Trong hợp đồng này các từ và cụm từ dưới đây được hiểu như sau:
1. “căn hộ” là một căn hộ được xây dựng theo cấu trúc kiểu khép kín theo thiết kế đã được phê duyệt thuộc nhà chung cư do Công ty........ đầu tư xây dựng với các đặc điểm được mô tả tại Điều 2 của hợp đồng này;
2. “nhà chung cư” là toàn bộ nhà chung cư có căn hộ mua bán do Công ty…..làm chủ đầu tư, bao gồm các căn hộ, diện tích kinh doanh, thương mại.... và các công trình tiện ích chung của tòa nhà, kể cả phần khuôn viên (nếu có) được xây dựng tại ô quy hoạch số……..thuộc dự án……., phường…..., quận………, tỉnh/thành phố…….;
3. “hợp đồng” là hợp đồng mua căn hộ thương mại để bố trí tái định cư và toàn bộ các phụ lục đính kèm cũng như mọi sửa đổi, bổ sung bằng văn bản đối với hợp đồng này do các bên lập và ký kết trong quá trình thực hiện hợp đồng này;
4. “giá bán căn hộ” là tổng số tiền bán căn hộ được xác định tại Điều 3 của hợp đồng này;
5. “bảo hành nhà ở” là việc khắc phục, sửa chữa, thay thế các hạng mục được liệt kê cụ thể tại Điều 9 của hợp đồng này khi bị hư hỏng, khiếm khuyết hoặc khi vận hành sử dụng không bình thường mà không phải do lỗi của người sử dụng căn hộ gây ra trong khoảng thời gian theo quy định của pháp luật nhà ở và theo thỏa thuận trong hợp đồng này;
6. “diện tích sử dụng căn hộ” là diện tích sử dụng riêng của căn hộ mua bán được tính theo kích thước thông thủy và được ghi vào Giấy chứng nhận cấp cho người mua, bao gồm cả phần diện tích tường ngăn các phòng bên trong căn hộ và diện tích ban công, lô gia (nếu có) gắn liền với căn hộ đó; không tính tường bao ngôi nhà, tường phân chia các căn hộ và diện tích sàn có cột, hộp kỹ thuật nằm bên trong căn hộ. Khi tính diện tích ban công thì tính toàn bộ diện tích sàn, trường hợp ban công có phần diện tích tường chung thì tính từ mép trong của tường chung được thể hiện rõ trong bản vẽ thiết kế mặt bằng căn hộ đã được phê duyệt;
7. "diện tích sàn xây dựng căn hộ" là diện tích được tính từ tim tường bao, tường ngăn căn hộ, bao gồm cả diện tích sàn có cột, hộp kỹ thuật nằm bên trong căn hộ;
8. “phần sở hữu riêng của Bên mua” là phần diện tích sử dụng căn hộ được quy định tại Khoản 6 Điều này và các trang thiết bị kỹ thuật sử dụng riêng gắn liền với căn hộ này;
9. “phần sở hữu riêng của Bên Bán” là phần diện tích trong nhà chung cư nhưng Bên Bán không bán mà giữ lại để sử dụng hoặc kinh doanh và Bên bán cũng không phân bổ giá trị phần diện tích thuộc sở hữu riêng này vào giá bán căn hộ;
10. “phần sở hữu chung trong nhà chung cư” là phần diện tích và các thiết bị thuộc sở hữu, sử dụng chung trong nhà chung cư theo quy định của pháp luật nhà ở và được các bên thỏa thuận cụ thể tại Khoản 3 Điều 11 của hợp đồng này;
11. “Bản nội quy nhà chung cư” là bản nội quy quản lý, sử dụng nhà chung cư được đính kèm theo hợp đồng này và tất cả các sửa đổi, bổ sung được Hội nghị nhà chung cư thông qua trong quá trình quản lý, sử dụng nhà ở;
12. “Kinh phí bảo trì phần sở hữu chung nhà chung cư” là khoản tiền 2% mà các bên có nghĩa vụ phải đóng góp đối với phần sở hữu riêng của mình để phục vụ cho việc bảo trì phần sở hữu chung trong nhà chung cư;
13. “Dịch vụ quản lý vận hành nhà chung cư” là các dịch vụ quản lý vận hành nhà chung cư, bao gồm việc quản lý, vận hành nhằm đảm bảo cho nhà chung cư hoạt động bình thường;
14. “Bảo trì nhà chung cư” là việc duy tu, bảo dưỡng thường xuyên, sửa chữa định kỳ, sửa chữa đột xuất nhà ở và thiết bị xây dựng công nghệ gắn với nhà chung cư đó nhằm duy trì chất lượng nhà chung cư;
15. “Doanh nghiệp quản lý vận hành nhà chung cư” là đơn vị thực hiện việc quản lý, vận hành nhà chung cư sau khi nhà chung cư được xây dựng xong và đưa vào sử dụng;
16. “Sự kiện bất khả kháng” là sự kiện xảy ra một cách khách quan mà mỗi bên hoặc các bên trong hợp đồng này không thể lường trước được và không thể khắc phục được để thực hiện các nghĩa vụ của mình theo hợp đồng này, mặc dù đã áp dụng mọi biện pháp cần thiết và khả năng cho phép. Các trường hợp được coi là sự kiện bất khả kháng được các bên nhất trí thỏa thuận cụ thể tại Điều 14 của hợp đồng này;
17. "Giấy chứng nhận" là Giấy chứng nhận quyền sử dụng đất, quyền sở hữu nhà ở và tài sản khác gắn liền với đất do cơ quan nhà nước có thẩm quyền cấp cho hộ gia đình, cá nhân tái định cư (do Bên mua căn hộ thương mại để bố trí tái định cư cung cấp hồ sơ) theo quy định của pháp luật đất đai;
18. Các từ ngữ khác do các bên thỏa thuận:…………….................….....
Điều 2. Đặc điểm của các căn hộ thương mại:
Bên Bán đồng ý bán và Bên mua đồng ý mua căn hộ chung cư như sau:
1. Đặc điểm về căn hộ (Có Phụ lục chi tiết căn hộ kèm theo Hợp đồng này):
a) Căn hộ số:....... tại tầng (tầng có căn hộ):........., thuộc nhà chung cư số……..đường/phố (nếu có), thuộc phường/xã………, quận (huyện, thị xã, thị trấn, thành phố thuộc tỉnh)……., tỉnh (thành phố)……….
b) Diện tích sử dụng căn hộ là: ..............m2. Diện tích này được tính theo kích thước thông thủy (gọi chung là diện tích thông thủy) theo quy định tại Khoản 6 Điều 1 của hợp đồng này và là căn cứ để tính tiền mua bán căn hộ quy định tại Điều 3 của hợp đồng này;
Hai bên nhất trí rằng, diện tích thông thủy ghi tại điểm này chỉ là tạm tính và có thể tăng lên hoặc giảm đi theo thực tế đo đạc tại thời điểm bàn giao căn hộ. Bên mua có trách nhiệm thanh toán số tiền mua căn hộ cho Bên Bán theo diện tích thực tế khi bàn giao căn hộ; trong trường hợp diện tích thông thủy thực tế chênh lệch cao hơn hoặc thấp hơn ...% (... phần trăm) so với diện tích ghi trong hợp đồng này thì hai bên không phải điều chỉnh lại giá bán căn hộ. Nếu diện tích thông thủy thực tế chênh lệch vượt quá ...% (... phần trăm) so với diện tích ghi trong hợp đồng này thì giá bán căn hộ sẽ được điều chỉnh lại theo diện tích đo đạc thực tế khi bàn giao căn hộ.
Trong biên bản bàn giao căn hộ hoặc trong phụ lục của hợp đồng, hai bên nhất trí sẽ ghi rõ diện tích thông thủy thực tế khi bàn giao căn hộ, diện tích thông thủy chênh lệch so với diện tích ghi trong hợp đồng mua bán đã ký (nếu có). Biên bản bàn giao căn hộ và phụ lục của hợp đồng mua bán căn hộ là một bộ phận không thể tách rời của hợp đồng này. Diện tích căn hộ được ghi vào Giấy chứng nhận cấp cho Bên mua được xác định theo diện tích thông thủy thực tế khi bàn giao căn hộ;
c) Diện tích sàn xây dựng là:....m2, diện tích này được tính theo quy định tại Khoản 7 Điều 1 của hợp đồng này;
d) Mục đích sử dụng căn hộ: dùng để ở. (trường hợp mua căn hộ gắn liền với phần diện tích nhà để kinh doanh theo thiết kế được duyệt tại tầng 1 của nhà chung cư thì các bên ghi rõ mục đích sử dụng là để ở và kinh doanh).
đ) Năm hoàn thành việc xây dựng (ghi năm hoàn thành việc xây dựng toà nhà chung cư):................
2. Đặc điểm về đất xây dựng nhà chung cư có căn hộ nêu tại Khoản 1 Điều này:
a) Thửa đất số:................hoặc ô số:..................hoặc lô số:...................
b) Tờ bản đồ số:.......................................do cơ quan......................lập;
c) Diện tích đất sử dụng chung:..................m2 (nếu nhà chung cư có diện tích đất sử dụng chung, bao gồm đất trong khuôn viên thì ghi diện tích đất của toàn bộ khuôn viên nhà chung cư đó, nếu nhà chung cư không có khuôn viên thì ghi diện tích đất xây dựng nhà chung cư đó).
Điều 3. Giá bán căn hộ, kinh phí bảo trì, phương thức và thời hạn thanh toán
1. Giá bán căn hộ:
a) Giá bán căn hộ được tính theo công thức lấy đơn giá 01 m2 sử dụng căn hộ (x) với tổng diện tích sử dụng căn hộ mua bán, cụ thể là:............m2 sử dụng (x)........đồng/1m2 sử dụng =........đồng. (Bằng chữ:............................).
Giá bán căn hộ quy định tại điểm này đã bao gồm giá trị quyền sử dụng đất, thuế giá trị gia tăng và kinh phí bảo trì phần sở hữu chung của nhà chung cư), trong đó:
- Giá bán (đã bao gồm giá trị quyền sử dụng đất) là:.......................đồng. (Bằng chữ.........................................................................................................)
- Thuế giá trị gia tăng:.......................đồng. (Bằng chữ..........................); khoản thuế này không tính trên tiền sử dụng đất nộp cho Nhà nước theo quy định của pháp luật;
- Kinh phí bảo trì phần sở hữu chung của nhà chung cư bằng 2% giá bán căn hộ (kinh phí này được tính trước thuế) là:............đồng. (Bằng chữ......................). Khoản kinh phí này được bên bán nhà chuyển vào tài khoản riêng để bảo trì phần sở hữu chung của nhà chung cư theo quy định của pháp luật về nhà ở.
b) Giá bán căn hộ quy định tại Điểm a Khoản này không bao gồm các khoản sau:
- Các khoản lệ phí trước bạ, phí và chi phí theo quy định của pháp luật liên quan đến việc thực hiện các thủ tục xin cấp Giấy chứng nhận cho Bên mua. Các khoản lệ phí và chi phí này do Bên mua chịu trách nhiệm thanh toán;
- Chi phí kết nối, lắp đặt các thiết bị và sử dụng các dịch vụ cho căn hộ gồm: dịch vụ cung cấp gas, dịch vụ bưu chính, viễn thông, truyền hình và các dịch vụ khác mà Bên mua sử dụng cho riêng căn hộ. Các chi phí này Bên mua thanh toán trực tiếp cho đơn vị cung ứng dịch vụ;
- Phí quản lý vận hành nhà chung cư hàng tháng. Kể từ ngày bàn giao căn hộ cho Bên mua theo thỏa thuận tại Điều 8 của hợp đồng này, Bên mua có trách nhiệm thanh toán phí quản lý vận hành nhà chung cư theo thuận tại khoản 5 Điều 11 của hợp đồng này;
- Các chi phí khác do hai bên thỏa thuận....................................................
c) Hai bên thống nhất kể từ ngày bàn giao căn hộ và trong suốt thời hạn sở hữu, sử dụng căn hộ đã mua thì Bên mua phải nộp các nghĩa vụ tài chính theo quy định hiện hành, thanh toán phí quản lý, vận hành nhà chung cư hàng tháng và các loại phí dịch vụ khác do việc sử dụng các tiện ích như: khí đốt, điện, nước, điện thoại, truyền hình cáp... cho nhà cung cấp dịch vụ.
2. Phương thức thanh toán: thanh toán bằng tiền Việt Nam thông qua hình thức (trả bằng tiền mặt hoặc chuyển khoản qua ngân hàng.........................theo tài khoản số..............).
Thời điểm xác định Bên mua đã thanh toán tiền là thời điểm Bên bán xuất phiếu thu về khoản tiền đã nhận thanh toán của Bên mua hoặc số tiền chuyển khoản đã ghi có vào tài khoản của Bên bán.
3. Thời hạn phương thức thanh toán:
Ghi rõ thời hạn thanh toán do hai bên thỏa thuận.
Điều 4. Chất lượng công trình nhà ở
Chất lượng công trình đảm bảo theo quy định của pháp luật về quản lý chất lượng công trình xây dựng, pháp luật về nhà ở tái định cư và một số quy định cụ thể như sau:
1. Bên Bán cam kết bảo đảm chất lượng công trình nhà chung cư kể cả công trình hạ tầng kỹ thuật và hạ tầng xã hội phục vụ nhu cầu ở tại khu nhà chung cư, trong đó có căn hộ nêu tại Điều 2 hợp đồng này theo đúng thiết kế đã được phê duyệt, quy chuẩn, tiêu chuẩn do Nhà nước quy định;
2. Sử dụng đúng (hoặc tương đương) các vật tư, vật liệu xây dựng và hoàn thiện căn hộ theo thiết kế được phê duyệt.
Điều 5. Quyền và nghĩa vụ của Bên bán nhà
1. Quyền của Bên bán nhà:
a) Yêu cầu Bên mua trả tiền mua căn hộ theo đúng thỏa thuận tại Điều 3 của hợp đồng và được tính lãi suất trong trường hợp Bên mua chậm thanh toán theo tiến độ thỏa thuận tại Điều 3 của hợp đồng này. Việc tính lãi suất chậm thanh toán được quy định cụ thể tại khoản 1 Điều 12 của hợp đồng này;
b) Yêu cầu Bên mua nhận bàn giao căn hộ theo đúng thời hạn thỏa thuận ghi trong hợp đồng này;
c) Được bảo lưu quyền sở hữu căn hộ và có quyền từ chối bàn giao căn hộ hoặc bàn giao bản chính Giấy chứng nhận cho đến khi Bên mua hoàn tất các nghĩa vụ thanh toán tiền theo thỏa thuận trong hợp đồng này;
d) Có quyền đề nghị ngừng cung cấp điện, nước và các dịch vụ tiện ích khác nếu Bên mua (hoặc Bên mua lại nhà ở hoặc bên nhận chuyển nhượng hợp đồng mua bán căn hộ từ Bên mua) vi phạm Quy chế quản lý sử dụng nhà chung cư do Bộ Xây dựng ban hành và Bản nội quy quản lý sử dụng nhà chung cư đính kèm theo hợp đồng này;
e) Thực hiện các quyền và trách nhiệm của Ban quản trị nhà chung cư trong thời gian chưa thành lập Ban quản trị nhà chung cư; ban hành Bản nội quy nhà chung cư; thành lập Ban quản trị nhà chung cư; lựa chọn và ký hợp đồng với doanh nghiệp quản lý, vận hành nhà chung cư để quản lý vận hành nhà chung cư kể từ khi đưa nhà chung cư vào sử dụng cho đến khi Ban quản trị nhà chung cư được thành lập;
g) Đơn phương chấm dứt hợp đồng mua bán căn hộ theo thỏa thuận tại Điều 15 của hợp đồng này;
h) Yêu cầu Bên mua nộp phạt vi phạm hợp đồng hoặc bồi thường thiệt hại khi vi phạm các thỏa thuận thuộc diện phải nộp phạt hoặc phải bồi thường trong hợp đồng này hoặc theo quyết định của cơ quan nhà nước có thẩm quyền;
i) Các quyền khác do hai bên thoả thuận:.................................................
2. Nghĩa vụ của Bên bán nhà:
a) Cung cấp cho Bên mua các thông tin về nhà chung cư và thiết kế căn hộ đã được phê duyệt. Cung cấp cho Bên mua kèm theo hợp đồng này 01 (một) bản vẽ thiết kế mặt bằng căn hộ mua bán, 01 (một) bản vẽ thiết kế mặt bằng tầng nhà có căn hộ mua bán, 01 (một) bản vẽ tổng mặt bằng tòa nhà chung cư có căn hộ mua bán đã được phê duyệt và các giấy tờ pháp lý có liên quan đến việc mua bán căn hộ;
b) Đảm bảo khi bàn giao căn hộ thì Bên mua có thể sử dụng và sinh hoạt bình thường;
c) Đảm bảo chất lượng xây dựng, kiến trúc kỹ thuật và mỹ thuật nhà chung cư theo đúng tiêu chuẩn thiết kế, tiêu chuẩn kỹ thuật hiện hành;
d) Bàn giao căn hộ và các giấy tờ pháp lý có liên quan đến căn hộ mua bán cho Bên mua theo đúng thời hạn thỏa thuận trong hợp đồng này;
đ) Hướng dẫn và hỗ trợ Bên mua ký kết hợp đồng sử dụng dịch vụ với nhà cung cấp điện nước, viễn thông, truyền hình cáp….;
e) Phối hợp với Chủ đầu tư chung cư thương mại làm thủ tục để cơ quan nhà nước có thẩm quyền cấp Giấy chứng nhận cho Bên mua; trong trường hợp này, Bên bán sẽ có văn bản thông báo cho Bên mua về việc nộp các giấy tờ liên quan để Bên bán phối hợp với Chủ đầu tư làm thủ tục đề nghị cấp Giấy chứng nhận cho Bên mua.
Trong thời hạn.....ngày, kể từ ngày nhận được thông báo của Bên bán mà Bên mua không nộp đầy đủ các giấy tờ theo thông báo thì coi như Bên mua tự nguyện đi làm thủ tục cấp Giấy chứng nhận. Khi Bên mua tự nguyện làm thủ tục đề nghị cấp Giấy chứng nhận thì Bên Bán phải hỗ trợ và cung cấp đầy đủ hồ sơ pháp lý về căn hộ mua bán cho Bên mua;
g) Hỗ trợ Bên mua làm các thủ tục thế chấp căn hộ đã mua tại tổ chức tín dụng khi có yêu cầu của Bên mua;
h) Nộp phạt vi phạm hợp đồng và bồi thường thiệt hại cho Bên mua khi vi phạm các thỏa thuận thuộc diện phải nộp phạt hoặc bồi thường trong hợp đồng này hoặc theo quyết định của cơ quan nhà nước có thẩm quyền;
i) Chuyển toàn bộ kinh phí bảo trì đã thu của Bên mua cho Chủ đầu tư thương mại để Chủ đầu tư thương mại gửi vào tài khoản tại ngân hàng thương mại và giao cho Ban quản trị nhà chung cư theo quy định của pháp luật về nhà ở;
k) Các nghĩa vụ khác do các bên thoả thuận (các thỏa thuận này phải không trái pháp luật và đạo đức xã hội)...........................................
Điều 6. Quyền và nghĩa vụ của Bên mua nhà
1. Quyền của Bên mua nhà:
a) Yêu cầu Bên bán nhà bàn giao căn hộ thương mại, đảm bảo chất lượng, tiến độ theo hợp đồng;
b) Nhận bàn giao căn hộ quy định tại Điều 2 của hợp đồng này có chất lượng với các thiết bị, vật liệu nêu tại bảng danh mục vật liệu xây dựng mà các bên đã thỏa thuận kèm theo hợp đồng này và hồ sơ căn hộ theo đúng thỏa thuận trong hợp đồng này.
c) Được sử dụng………chỗ để xe ô tô/xe máy trong bãi đỗ xe của Tòa nhà chung cư tại vị trí số………….(các bên thỏa thuận cụ thể nội dung này);
d) Yêu cầu Bên bán nhà hỗ trợ làm thủ tục cấp Giấy chứng nhận quyền sử dụng đất, quyền sở hữu nhà ở và tài sản khác gắn liền với đất cho Bên mua nhà theo quy định của pháp luật (trừ trường hợp Bên mua tự nguyện thực hiện thủ tục này theo thỏa thuận tại Điểm e Khoản 2 Điều 5 của hợp đồng này);
đ) Được toàn quyền sở hữu, sử dụng và thực hiện các giao dịch đối với căn hộ đã mua theo quy định của pháp luật, đồng thời được sử dụng các dịch vụ do doanh nghiệp dịch vụ cung cấp trực tiếp hoặc thông qua Bên Bán sau khi nhận bàn giao căn hộ theo quy định về sử dụng các dịch vụ hạ tầng của doanh nghiệp cung cấp dịch vụ;
e) Yêu cầu cấp Giấy chứng nhận trong thời gian tối đa là 50 ngày sau khi đã thanh toán đủ 100% tiền mua căn hộ và các loại thuế, phí, lệ phí liên quan đến căn hộ mua bán theo thỏa thuận trong hợp đồng này và theo quy định của pháp luật;
g) Có quyền từ chối nhận bàn giao căn hộ nếu diện tích sử dụng căn hộ thực tế nhỏ hơn/lớn hơn....% so với diện tích sử dụng căn hộ ghi trong hợp đồng này. Việc từ chối nhận bàn giao căn hộ trong trường hợp này không bị coi là vi phạm các điều kiện bàn giao căn hộ của Bên mua đối với Bên bán;
h) Yêu cầu Bên Bán hỗ trợ thủ tục thế chấp căn hộ đã mua tại tổ chức tín dụng trong trường hợp Bên mua có nhu cầu thế chấp căn hộ tại tổ chức tín dụng;
i) Yêu cầu Bên Bán nộp kinh phí bảo trì nhà chung cư theo quy định của pháp luật về nhà ở;
k) Các quyền khác do hai bên thoả thuận:.................................................
2. Nghĩa vụ của Bên mua:
a) Thanh toán đầy đủ và đúng hạn số tiền mua căn hộ và kinh phí bảo trì phần sở hữu chung 2% theo thỏa thuận tại Điều 3 của hợp đồng này không phụ thuộc vào việc có hay không có thông báo thanh toán tiền mua căn hộ của Bên Bán;
b) Nhận bàn giao căn hộ theo thỏa thuận trong hợp đồng này;
c) Kể từ ngày bàn giao căn hộ, Bên mua hoàn toàn chịu trách nhiệm đối với căn hộ đã mua (trừ các trường hợp thuộc trách nhiệm bảo đảm tính pháp lý và việc bảo hành căn hộ của Bên Bán) và tự chịu trách nhiệm về việc mua, duy trì các hợp đồng bảo hiểm cần thiết đối với mọi rủi ro, thiệt hại liên quan đến căn hộ và bảo hiểm trách nhiệm dân sự phù hợp với quy định của pháp luật;
d) Kể từ ngày bàn giao căn hộ, kể cả trường hợp Bên mua chưa vào sử dụng căn hộ thì căn hộ sẽ được quản lý và bảo trì theo nội quy quản lý sử dụng nhà chung cư và Bên mua phải tuân thủ các quy định được nêu trong Bản nội quy quản lý sử dụng nhà chung cư;
đ) Thanh toán các khoản thuế và lệ phí theo quy định của pháp luật mà Bên mua phải nộp như thỏa thuận tại Điều 7 của hợp đồng này;
e) Thanh toán các khoản chi phí dịch vụ như: điện, nước, truyền hình cáp, truyền hình vệ tinh, thông tin liên lạc... và các khoản thuế, phí khác phát sinh theo quy định do nhu cầu sử dụng của Bên mua;
g) Thanh toán phí quản lý vận hành nhà chung cư và các chi phí khác theo thoả thuận quy định tại Khoản 5 Điều 11 của hợp đồng này, kể cả trường hợp Bên mua không sử dụng căn hộ đã mua;
h) Chấp hành các quy định của Quy chế quản lý sử dụng nhà chung cư do Bộ Xây dựng ban hành, Bản nội quy quản lý sử dụng nhà chung cư đính kèm theo hợp đồng này;
i) Tạo điều kiện thuận lợi cho doanh nghiệp quản lý vận hành trong việc bảo trì, quản lý vận hành nhà chung cư;
k) Sử dụng căn hộ đúng mục đích để ở theo quy định của Luật Nhà ở và theo thỏa thuận trong hợp đồng này;
l) Nộp phạt vi phạm hợp đồng và bồi thường thiệt hại cho Bên bán khi vi phạm các thỏa thuận thuộc diện phải nộp phạt hoặc bồi thường theo quy định trong hợp đồng này hoặc theo quyết định của cơ quan nhà nước có thẩm quyền;
m) Thực hiện các nghĩa vụ khác theo quyết định của cơ quan nhà nước có thẩm quyền khi vi phạm các quy định về quản lý, sử dụng nhà chung cư;
n) Các nghĩa vụ khác theo thoả thuận của các bên (các thỏa thuận này phải không trái pháp luật và đạo đức xã hội)................................
Điều 7. Thuế và các khoản phí, lệ phí liên quan
1. Bên mua phải thanh toán lệ phí trước bạ, các loại thuế, lệ phí và các loại phí có liên quan đến việc cấp Giấy chứng nhận quyền sở hữu nhà ở, quyền sử dụng đất và tài sản khác gắn liền với đất theo quy định của pháp luật khi Bên Bán làm thủ tục cấp Giấy chứng nhận cho Bên mua và trong quá trình sở hữu, sử dụng căn hộ kể từ thời điểm nhận bàn giao căn hộ.
2. Bên mua có trách nhiệm nộp thuế và các loại lệ phí, chi phí (nếu có) theo quy định cho Nhà nước khi thực hiện bán căn hộ đã mua cho người khác.
3. Bên bán có trách nhiệm nộp các nghĩa vụ tài chính thuộc trách nhiệm của Bên bán cho Nhà nước theo quy định của pháp luật.
4. Các thỏa thuận khác của hai bên (thỏa thuận theo đúng quy định của pháp luật)…………………………………….
Điều 8. Giao nhận căn hộ
1. Điều kiện giao nhận căn hộ: Các bên đối chiếu với thỏa thuận về quyền và nghĩa vụ của 2 bên trong hợp đồng này để thỏa thuận cụ thể về điều kiện căn hộ được bàn giao cho Bên mua.(như điều kiện Bên Bán bàn giao căn hộ đã hoàn thiện theo thiết kế, Bên mua phải đóng đủ tiền mua căn hộ theo thỏa thuận trong hợp đồng, Bên mua phải nộp khoản kinh phí 2% tiền bảo trì phần sở hữu chung…..)
2. Bên Bán bàn giao căn hộ cho Bên mua vào.......... (ghi rõ thời gian bàn giao căn hộ).
Việc bàn giao căn hộ có thể sớm hơn hoặc muộn hơn so với thời gian quy định tại khoản này, nhưng không được chậm quá.......ngày, kể từ thời điểm đến hạn bàn giao căn hộ cho Bên mua; Bên bán phải có văn bản thông báo cho Bên mua biết lý do chậm bàn giao căn hộ.
Trước ngày bàn giao căn hộ là….. ngày, Bên bán phải gửi văn bản thông báo cho Bên mua về thời gian, địa điểm và thủ tục bàn giao căn hộ.
3. Căn hộ được bàn giao cho Bên mua phải theo đúng thiết kế đã được duyệt; các thiết bị, vật liệu nêu tại bảng danh mục vật liệu, thiết bị xây dựng đúng theo thiết kế và các thỏa thuận theo hợp đồng.
4. Vào ngày bàn giao căn hộ theo thông báo, Bên mua hoặc người được ủy quyền hợp pháp phải đến kiểm tra tình trạng thực tế căn hộ so với thỏa thuận trong hợp đồng này, cùng với đại diện của Bên bán đo đạc lại diện tích sử dụng thực tế căn hộ và ký vào biên bản bàn giao căn hộ.
Trường hợp Bên mua hoặc người được Bên mua ủy quyền hợp pháp không đến nhận bàn giao căn hộ theo thông báo của Bên bán trong thời hạn…… ngày hoặc đến kiểm tra nhưng không nhận bàn giao căn hộ mà không có lý do chính đáng (trừ trường hợp thuộc diện thỏa thuận tại Điểm g Khoản 1 Điều 6 của hợp đồng này) thì kể từ ngày đến hạn bàn giao căn hộ theo thông báo của Bên bán được xem như Bên mua đã đồng ý, chính thức nhận bàn giao căn hộ theo thực tế và Bên bán đã thực hiện xong trách nhiệm bàn giao căn hộ theo hợp đồng, Bên mua không được quyền nêu bất cứ lý do không hợp lý nào để không nhận bàn giao căn hộ; việc từ chối nhận bàn giao căn hộ như vậy sẽ được coi là Bên mua vi phạm hợp đồng và sẽ được xử lý theo quy định tại Điều 12 của hợp đồng này.
5. Kể từ thời điểm hai bên ký biên bản bàn giao căn hộ, Bên mua được toàn quyền sử dụng căn hộ và chịu mọi trách nhiệm có liên quan đến căn hộ mua, kể cả trường hợp Bên mua có sử dụng hay chưa sử dụng căn hộ này.
Điều 9. Bảo hành nhà ở
1. Bên Bán có trách nhiệm đề nghị Chủ đầu tư nhà ở thương mại có căn hộ để bố trí tái định cư thực hiện việc bảo hành căn hộ đã bán theo đúng quy định tại Điều 46 của Nghị định số 71/2010/NĐ-CP ngày 23 tháng 6 năm 2010 của Chính phủ quy định chi tiết và hướng dẫn thi hành Luật Nhà ở và các quy định sửa đổi, bổ sung của Nhà nước vào từng thời điểm.
2. Khi bàn giao căn hộ cho Bên mua, Bên bán phải thông báo và cung cấp cho Bên mua 01 bản sao biên bản nghiệm thu đưa công trình nhà chung cư vào sử dụng theo quy định của pháp luật xây dựng để các bên xác định thời điểm bảo hành nhà ở.
3. Nội dung bảo hành nhà ở (kể cả căn hộ trong nhà chung cư có mục đích sử dụng hỗn hợp) bao gồm: sửa chữa, khắc phục các hư hỏng về kết cấu chính của nhà ở (dầm, cột, trần sàn, mái, tường, các phần ốp, lát, trát), các thiết bị gắn liền với nhà ở như hệ thống các loại cửa, hệ thống cung cấp chất đốt, đường dây cấp điện sinh hoạt, cấp điện chiếu sáng, hệ thống cấp nước sinh hoạt, thoát nước thải, khắc phục các trường hợp nghiêng, lún, sụt nhà ở. Đối với các thiết bị khác gắn với nhà ở thì Bên bán thực hiện bảo hành theo quy định của nhà sản xuất hoặc nhà phân phối.
Bên bán có trách nhiệm đề nghị Chủ đầu tư nhà ở thương mại có căn hộ để bố trí tái định cư thực hiện việc bảo hành căn hộ bằng cách thay thế hoặc sửa chữa các điểm bị khuyết tật hoặc thay thế các đồ vật cùng loại có chất lượng tương đương hoặc tốt hơn.
4. Bên mua phải kịp thời thông báo bằng văn bản cho Bên bán khi căn hộ có các hư hỏng thuộc diện được bảo hành. Trong thời hạn...........ngày, kể từ ngày nhận được thông báo của Bên mua, Bên bán có trách nhiệm đề nghị Chủ đầu tư nhà ở thương mại có căn hộ để bố trí tái định cư thực hiện việc bảo hành các hư hỏng theo đúng thỏa thuận và theo quy định của pháp luật; Bên mua phải tạo điều kiện để Chủ đầu tư nhà ở thương mại có căn hộ để bố trí tái định cư thực hiện bảo hành nhà ở.
5. Thời gian bảo hành nhà ở được tính từ ngày Bên bán ký biên bản nghiệm thu đưa nhà ở vào sử dụng theo quy định của pháp luật về xây dựng, cụ thể như sau:
a) Không ít hơn 60 tháng đối với căn hộ trong nhà chung cư cao từ 9 tầng trở lên;
b) Không ít hơn 36 tháng đối với căn hộ trong nhà chung cư cao từ 4 đến 8 tầng;
c) Không ít hơn 24 tháng đối với căn hộ trong nhà chung cư không thuộc diện quy định tại điểm a và điểm b khoản này.
6. Bên bán đề nghị Chủ đầu tư nhà ở thương mại có căn hộ để bố trí tái định cư không thực hiện bảo hành căn hộ trong các trường hợp sau đây:
a) Trường hợp hao mòn và khấu hao thông thường;
b) Trường hợp hư hỏng do lỗi của Bên mua hoặc của bất kỳ người sử dụng hoặc của bên thứ ba nào khác gây ra;
c) Trường hợp hư hỏng do sự kiện bất khả kháng;
d) Trường hợp đã hết thời hạn bảo hành theo thỏa thuận tại Khoản 5 Điều này;
đ) Các trường hợp không thuộc nội dung bảo hành theo thỏa thuận tại Khoản 3 Điều này, bao gồm cả những thiết bị, bộ phận gắn liền căn hộ do Bên mua tự lắp đặt hoặc tự sửa chữa mà không được sự đồng ý của Chủ đầu tư nhà ở thương mại;
e) Các trường hợp khác do các bên thỏa thuận.....................................
7. Sau thời hạn bảo hành theo thỏa thuận tại Khoản 5 Điều này, việc sửa chữa các hư hỏng của căn hộ thuộc trách nhiệm của Bên mua. Việc bảo trì phần sở hữu chung trong nhà chung cư được thực hiện theo quy định của pháp luật về nhà ở.
Điều 10. Chuyển giao quyền và nghĩa vụ
1. Trường hợp Bên mua có nhu cầu thế chấp căn hộ đã mua cho tổ chức tín dụng đang hoạt động tại Việt Nam trước khi Bên mua được cấp Giấy chứng nhận thì Bên mua phải thông báo trước bằng văn bản để Bên bán cùng Bên mua làm các thủ tục cần thiết theo quy định của ngân hàng.
2. Trong trường hợp Bên mua chưa nhận bàn giao căn hộ từ Bên Bán mà Bên mua có nhu cầu thực hiện chuyển nhượng hợp đồng này cho bên thứ ba thì các bên phải thực hiện đúng thủ tục chuyển nhượng hợp đồng theo quy định của pháp luật về nhà ở. Bên bán không được thu thêm bất kỳ một khoản phí chuyển nhượng hợp đồng nào khi làm thủ tục xác nhận việc chuyển nhượng hợp đồng cho Bên mua.
3. Hai bên thống nhất rằng, Bên mua chỉ được chuyển nhượng hợp đồng mua bán căn hộ cho bên thứ ba khi có đủ các điều kiện sau đây:
a) Căn hộ mua bán không đang trong tình trạng thế chấp tại tổ chức tín dụng hoặc không thuộc diện bị hạn chế chuyển nhượng theo quyết định của cơ quan nhà nước hoặc không có tranh chấp với bên thứ ba, trừ trường hợp được ngân hàng thế chấp đồng ý để Bên mua chuyển nhượng hợp đồng cho bên thứ ba;
b) Bên mua đã hoàn thành việc thanh toán các nghĩa vụ đến hạn liên quan đến căn hộ đã mua cho Bên bán theo thỏa thuận trong hợp đồng này;
c) Bên nhận chuyển nhượng hợp đồng phải đủ điều kiện được mua và sở hữu nhà ở tại Việt Nam theo quy định của pháp luật Việt Nam tại thời điểm nhận chuyển nhượng hợp đồng;
d) Bên nhận chuyển nhượng hợp đồng phải cam kết tuân thủ các thỏa thuận của Bên bán và Bên mua trong hợp đồng này.
4. Trong cả hai trường hợp nêu tại Khoản 1 và Khoản 2 Điều này, người mua lại nhà ở hoặc bên nhận chuyển nhượng hợp đồng mua bán căn hộ đều được hưởng các quyền và phải thực hiện các nghĩa vụ của Bên mua theo thỏa thuận trong hợp đồng này và trong Bản nội quy quản lý sử dụng nhà chung cư đính kèm theo hợp đồng này.
Điều 11. Phần sở hữu riêng, phần sở hữu chung và việc sử dụng căn hộ trong nhà chung cư
1. Bên mua được quyền sở hữu riêng đối với diện tích căn hộ đã mua theo thỏa thuận của hợp đồng này và các trang thiết bị kỹ thuật sử dụng riêng gắn liền với căn hộ này bao gồm........; có quyền sở hữu, sử dụng đối với phần diện tích, thiết bị thuộc sở hữu chung trong nhà chung cư quy định tại Khoản 3 Điều này.
2. Các diện tích và trang thiết bị kỹ thuật thuộc quyền sở hữu riêng của Bên bán bao gồm: (các bên phải ghi rõ vào mục này)...................................
3. Các phần diện tích và thiết bị thuộc sở hữu chung, sử dụng chung của các chủ sở hữu trong nhà chung cư bao gồm: ......................(các bên phải căn cứ vào pháp luật về nhà ở để ghi rõ những phần diện tích và thiết bị thuộc sở hữu chung, sử dụng chung của các chủ sở hữu trong nhà chung cư).
4. Các phần diện tích thuộc sở hữu riêng của các chủ sở hữu khác (nếu có) trong nhà chung cư (như văn phòng, siêu thị và dịch vụ khác...):...................các bên thỏa thuận cụ thể vào phần này.
5. Hai bên nhất trí thỏa thuận mức phí quản lý vận hành nhà chung cư như sau:
a) Tính từ thời điểm Bên bán bàn giao căn hộ cho Bên mua theo quy định tại Điều 8 của hợp đồng này đến thời điểm Ban quản trị nhà chung cư được thành lập và ký hợp đồng quản lý, vận hành nhà ở với đơn vị quản lý vận hành là:..........đồng/m2/ tháng. Mức phí này có thể được điều chỉnh nhưng phải tính toán hợp lý cho phù hợp với thực tế từng thời điểm. Bên mua có trách nhiệm đóng khoản phí này cho Bên bán vào thời điểm..........(các bên thỏa thuận đóng hàng tháng vào ngày......hoặc đóng trong.......tháng đầu, thời điểm đóng là..........)
(Các bên thỏa thuận đính kèm theo hợp đồng này bảng danh mục các công việc, dịch vụ quản lý vận hành nhà chung cư mà Bên bán cung cấp cho Bên mua trước khi thành lập Ban quản trị nhà chung cư, trong đó có dịch vụ tối thiểu và dịch vụ gia tăng như: dịch vụ bảo vệ, vệ sinh môi trường, quản lý vận hành, thể thao, chăm sóc sức khỏe........).
b) Sau khi Ban quản trị nhà chung cư được thành lập thì danh mục các công việc, dịch vụ, mức phí và việc đóng phí quản lý vận hành nhà chung cư sẽ do Hội nghị nhà chung cư quyết định và do Ban quản trị nhà chung cư thỏa thuận với đơn vị quản lý vận hành nhà chung cư.
c) Trường hợp Uỷ ban nhân dân tỉnh, thành phố trực thuộc trung ương nơi có nhà chung cư có quy định về mức phí quản lý vận hành nhà chung cư thì mức phí này được đóng theo quy định của Nhà nước, trừ trường hợp các bên có thoả thuận khác.
6. Các thoả thuận khác (nếu có):............................................................
Điều 12. Trách nhiệm của hai bên và việc xử lý vi phạm hợp đồng
1. Hai bên thống nhất hình thức xử lý vi phạm khi Bên mua chậm trễ thanh toán tiền mua căn hộ như sau:
a) Nếu quá........ngày, kể từ ngày đến hạn phải thanh toán tiền mua căn hộ theo thỏa thuận tại khoản 3 Điều 3 của hợp đồng này mà Bên mua không thực hiện thanh toán thì sẽ bị tính lãi suất phạt quá hạn trên tổng số tiền chậm thanh toán là:....% (....phần trăm) theo lãi suất.... (các bên thỏa thuận cụ thể % lãi suất/ngày hoặc theo từng tháng và lãi suất có kỳ hạn...tháng hoặc không kỳ hạn) do Ngân hàng ...........công bố tại thời điểm thanh toán và được tính bắt đầu từ ngày phải thanh toán đến ngày thực trả;
b) Trong quá trình thực hiện hợp đồng này, nếu tổng thời gian Bên mua trễ hạn thanh toán của tất cả các đợt phải thanh toán theo thỏa thuận tại Khoản 3 Điều 3 của hợp đồng này vượt quá ........ngày thì Bên bán có quyền đơn phương chấm dứt hợp đồng theo thỏa thuận tại Điều 15 của hợp đồng này.
Trong trường hợp này Bên bán được quyền bán căn hộ cho khách hàng khác mà không cần có sự đồng ý của Bên mua. Bên bán sẽ hoàn trả lại số tiền mà Bên mua đã thanh toán.......(có hoặc không tính lãi suất do các bên thỏa thuận) sau khi đã khấu trừ tiền bồi thường về việc Bên mua vi phạm hợp đồng này là ......% (...... phần trăm) tổng giá trị hợp đồng này (chưa tính thuế) (do các bên thỏa thuận % này)
2. Hai bên thống nhất hình thức xử lý vi phạm khi Bên bán chậm trễ bàn giao căn hộ cho Bên mua như sau:
a) Nếu Bên mua đã thanh toán tiền mua căn hộ theo tiến độ thỏa thuận trong hợp đồng này nhưng quá thời hạn....... ngày, kể từ ngày Bên bán phải bàn giao căn hộ theo thỏa thuận tại Điều 8 của hợp đồng này mà Bên bán vẫn chưa bàn giao căn hộ cho Bên mua thì Bên bán phải thanh toán cho Bên mua khoản tiền phạt vi phạm với lãi suất là....% (....phần trăm) (các bên thỏa thuận cụ thể % lãi suất/ngày hoặc theo từng tháng và lãi suất có kỳ hạn... tháng hoặc không kỳ hạn) do Ngân hàng ...........công bố tại thời điểm thanh toán trên tổng số tiền mà Bên mua đã thanh toán cho Bên bán và được tính từ ngày phải bàn giao theo thỏa thuận đến ngày Bên bán bàn giao căn hộ thực tế cho Bên mua.
b) Nếu Bên bán chậm bàn giao căn hộ quá .....ngày, kể từ ngày phải bàn giao căn hộ theo thỏa thuận tại Điều 8 của hợp đồng này thì Bên mua có quyền tiếp tục thực hiện hợp đồng này với thỏa thuận bổ sung về thời điểm bàn giao căn hộ mới hoặc đơn phương chấm dứt hợp đồng theo thỏa thuận tại Điều 15 của hợp đồng này.
Trong trường hợp này, Bên bán phải hoàn trả lại toàn bộ số tiền mà Bên mua đã thanh toán (các bên thỏa thuận có hoặc không tính lãi suất) và bồi thường cho Bên mua khoản tiền phạt vi phạm hợp đồng tương đương với .....% (......phần trăm) tổng giá trị hợp đồng này (chưa tính thuế).
3. Trường hợp đến hạn bàn giao căn hộ theo thông báo của Bên bán và căn hộ đã đủ điều kiện bàn giao theo thỏa thuận trong hợp đồng này mà Bên mua không nhận bàn giao thì (các bên thỏa thuận cụ thể)..................
4. Các thỏa thuận khác (do các bên thỏa thuận nhưng không được trái với quy định của pháp luật).......................................
Điều 13. Cam kết của các bên
1. Bên Bán cam kết:
a) Căn hộ nêu tại Điều 2 của hợp đồng này thuộc quyền sở hữu của Bên Bán và không thuộc diện đã bán cho người khác, không thuộc diện bị cấm giao dịch theo quy định của pháp luật;
b) Căn hộ nêu tại Điều 2 của hợp đồng này được xây dựng theo đúng quy hoạch, đúng thiết kế và các bản vẽ được duyệt đã cung cấp cho Bên mua, bảo đảm chất lượng và đúng các vật liệu xây dựng theo thuận trong hợp đồng này;
c) Các cam kết khác do 2 bên thỏa thuận:……………………………….
2. Bên mua cam kết:
a) Đã tìm hiểu, xem xét kỹ thông tin về căn hộ mua bán;
b) Đã được Bên bán cung cấp bản sao các giấy tờ, tài liệu và thông tin cần thiết liên quan đến căn hộ, Bên mua đã đọc cẩn thận và hiểu các quy định của hợp đồng này cũng như các phụ lục đính kèm. Bên mua đã tìm hiểu mọi vấn đề mà Bên mua cho là cần thiết để kiểm tra mức độ chính xác của các giấy tờ, tài liệu và thông tin đó;
c) Số tiền mua căn hộ theo hợp đồng này là hợp pháp, không có tranh chấp với bên thứ ba. Bên bán sẽ không chịu trách nhiệm đối với việc tranh chấp khoản tiền mà Bên mua đã thanh toán cho Bên bán theo hợp đồng này. Trong trường hợp có tranh chấp về khoản tiền mua bán căn hộ này thì hợp đồng này vẫn có hiệu lực đối với hai bên;
d) Cung cấp các giấy tờ cần thiết khi Bên bán yêu cầu theo quy định của pháp luật để làm thủ tục cấp Giấy chứng nhận cho Bên mua..
3. Việc ký kết hợp đồng này giữa các bên là hoàn toàn tự nguyện, không bị ép buộc, lừa dối.
4. Trong trường hợp một hoặc nhiều Điều, khoản, điểm trong hợp đồng này bị cơ quan nhà nước có thẩm quyền tuyên là vô hiệu, không có giá trị pháp lý hoặc không thể thi hành theo quy định hiện hành của pháp luật thì các Điều, khoản, điểm khác của hợp đồng này vẫn có hiệu lực thi hành đối với hai bên. Hai bên sẽ thống nhất sửa đổi các Điều, khoản, điểm bị vô hiệu hoặc không có giá trị pháp lý hoặc không thể thi hành theo quy định của pháp luật và phù hợp với ý chí của hai bên.
5. Hai bên cam kết thực hiện đúng các thỏa thuận đã quy định trong hợp đồng này.
Điều 14. Sự kiện bất khả kháng
1. Các bên nhất trí thỏa thuận một trong các trường hợp sau đây được coi là sự kiện bất khả kháng:
a) Do chiến tranh hoặc do thiên tai hoặc do thay đổi chính sách pháp luật của Nhà nước;
b) Do phải thực hiện quyết định của cơ quan nhà nước có thẩm quyền hoặc các trường hợp khác do pháp luật quy định;
c) Do tai nạn, ốm đau thuộc diện phải đi cấp cứu tại cơ sở y tế;
d) Các trường hợp khác do hai bên thỏa thuận.........................................
2. Mọi trường hợp khó khăn về tài chính đơn thuần sẽ không được coi là trường hợp bất khả kháng.
3. Khi xuất hiện một trong các trường hợp bất khả kháng theo thỏa thuận tại Khoản 1 Điều này thì bên bị tác động bởi trường hợp bất khả kháng phải thông báo ….(bằng văn bản hoặc thông báo trực tiếp) cho bên còn lại biết trong thời hạn ..…ngày, kể từ ngày xảy ra trường hợp bất khả kháng (nếu có giấy tờ chứng minh về lý do bất khả kháng thì bên bị tác động phải xuất trình giấy tờ này). Việc bên bị tác động bởi trường hợp bất khả kháng không thực hiện được nghĩa vụ của mình sẽ không bị coi là vi phạm nghĩa vụ theo hợp đồng và cũng không phải là cơ sở để bên còn lại có quyền chấm dứt hợp đồng này.
4. Việc thực hiện nghĩa vụ theo hợp đồng của các bên sẽ được tạm dừng trong thời gian xảy ra sự kiện bất khả kháng. Các bên sẽ tiếp tục thực hiện các nghĩa vụ của mình sau khi sự kiện bất khả kháng chấm dứt, trừ trường hợp quy định tại Điểm d Khoản 1 Điều 15 của hợp đồng này.
Điều 15. Chấm dứt Hợp đồng
1. Hợp đồng này được chấm dứt khi xảy ra một trong các trường hợp sau đây:
a) Hai bên đồng ý chấm dứt hợp đồng bằng văn bản. Trong trường hợp này, hai bên lập văn bản thoả thuận cụ thể các điều kiện và thời hạn chấm dứt hợp đồng;
b) Bên mua chậm thanh toán tiền mua căn hộ theo thoả thuận tại Điểm b Khoản 1 Điều 12 của hợp đồng này;
c) Bên Bán chậm bàn giao căn hộ theo thỏa thuận tại Điểm b Khoản 2 Điều 12 của hợp đồng này;
d) Trong trường hợp bên bị tác động bởi sự kiện bất khả kháng không thể khắc phục được để tiếp tục thực hiện nghĩa vụ của mình trong thời hạn……..ngày, kể từ ngày xảy ra sự kiện bất khả kháng và hai bên cũng không có thỏa thuận khác thì một trong hai bên có quyền đơn phương chấm dứt hợp đồng này và việc chấm dứt hợp đồng này không được coi là vi phạm hợp đồng.
2. Việc xử lý hậu quả do chấm dứt hợp đồng theo quy định tại khoản 1 Điều này như: hoàn trả lại tiền mua căn hộ, tính lãi, các khoản phạt và bồi thường....do hai bên thỏa thuận cụ thể.
3. Các thỏa thuận khác (không được trái quy định của pháp luật).................
Điều 16. Thông báo
1. Địa chỉ để các bên nhận thông báo của bên kia (ghi rõ đối với Bên Bán, đối với Bên mua) :………………………….
2. Hình thức thông báo giữa các bên (thông qua Fax, thư, điện tín, giao trực tiếp):……………………………………………………………….
3. Bên nhận thông báo (nếu Bên mua có nhiều người thì Bên mua thỏa thuận cử 01 người đại diện để nhận thông báo) là:……….………………….
4. Bất kỳ thông báo, yêu cầu, thông tin, khiếu nại phát sinh liên quan đến hợp đồng này phải được lập thành văn bản. Hai bên thống nhất rằng, các thông báo, yêu cầu, khiếu nại được coi là đã nhận nếu gửi đến đúng địa chỉ, đúng tên người nhận thông báo, đúng hình thức thông báo theo thỏa thuận tại khoản 1, khoản 2 và khoản 3 Điều này và trong thời gian như sau:
a) Vào ngày gửi trong trường hợp thư giao tận tay và có chữ ký của người nhận thông báo;
b) Vào ngày bên gửi nhận được thông báo chuyển fax thành công trong trường hợp gửi thông báo bằng fax;
c) Vào ngày …., kể từ ngày đóng dấu bưu điện trong trường hợp gửi thông báo bằng thư chuyển phát nhanh;
d) Các thỏa thuận khác do các bên thỏa thuân………………
5. Các bên phải thông báo bằng văn bản cho nhau biết nếu có đề nghị thay đổi về địa chỉ, hình thức và tên người nhận thông báo; nếu khi đã có thay đổi về (địa chỉ, hình thức, tên người nhận thông báo do các bên thỏa thuận)……..mà bên có thay đổi không thông báo lại cho bên kia biết thì bên gửi thông báo không chịu trách nhiệm về việc bên có thay đổi không nhận được các văn bản thông báo.
Điều 17. Các thỏa thuận khác
Ngoài các thỏa thuận đã nêu tại các Điều, khoản trong hợp đồng này thì hai bên có thể thỏa thuận thêm các nội dung khác, nhưng các nội dung do hai bên tự thỏa thuận thêm tại Điều này cũng như tại các Điều, khoản khác trong toàn bộ hợp đồng này phải không trái với các nội dung đã được quy định tại hợp đồng này, phải phù hợp với quy định của pháp luật và không được trái đạo đức xã hội.
Điều 18. Giải quyết tranh chấp
Trường hợp các Bên có tranh chấp về các nội dung của hợp đồng này thì hai bên cùng bàn bạc giải quyết thông qua thương lượng. Trong thời hạn....ngày, kể từ ngày một trong hai bên thông báo bằng văn bản cho bên kia về tranh chấp phát sinh mà tranh chấp đó không được thương lượng giải quyết thì một trong hai bên có quyền yêu cầu Toà án giải quyết theo quy định của pháp luật Việt Nam.
Điều 19. Hiệu lực của hợp đồng
1. Hợp đồng này có hiệu lực kể từ ngày.....................................................
2. Hợp đồng này có 19 Điều, với.....trang, được lập thành ... bản và có giá trị như nhau, Bên mua giữ ... bản, Bên bán giữ ... bản để lưu trữ, làm thủ tục nộp thuế, lệ phí và thủ tục cấp Giấy chứng nhận cho Bên mua.
3. Kèm theo hợp đồng này là 01 (một) bản vẽ thiết kế mặt bằng căn hộ mua bán, 01 (một) bản vẽ thiết kế mặt bằng tầng có căn hộ mua bán, 01 (một) bản vẽ thiết kế mặt bằng tòa nhà chung cư có căn hộ mua bán nêu tại Điều 2 của hợp đồng này đã được phê duyệt, 01 (một) bản nội quy quản lý sử dụng nhà chung cư, 01 (một) bản danh mục vật liệu xây dựng căn hộ (nếu mua bán nhà ở hình thành trong tương lai) và các giấy tờ khác như.........
Các phụ lục đính kèm hợp đồng này và các sửa đổi, bổ sung theo thỏa thuận của hai bên là nội dung không tách rời hợp đồng này và có hiệu lực thi hành đối với hai bên.
4. Trong trường hợp các bên thỏa thuận thay đổi nội dung của hợp đồng này thì phải lập bằng văn bản có chữ ký của cả hai bên./.
|
BÊN MUA (ký và ghi rõ họ tên)
|
BÊN BÁN (ký, ghi rõ họ tên, chức vụ và đóng dấu) |
NỘI QUY QUẢN LÝ SỬ DỤNG NHÀ CHUNG CƯ .....[4]
(Kèm theo hợp đồng mua bán căn hộ thương mại để bố trí tái định cư
số......./...... ngày ......tháng ......năm .....)
Điều 1. Phạm vi và đối tượng áp dụng
Bản nội quy này quy định các nội dung về quản lý sử dụng nhà chung cư (ghi rõ tên nhà chung cư)..............được áp dụng đối với các chủ sở hữu, người sử dụng nhà chung cư, chủ đầu tư hoặc các cá nhân, tổ chức khác liên quan đến quản lý sử dụng nhà chung cư này.
Điều 2. Trách nhiệm của Chủ đầu tư
1. Lựa chọn và ký hợp đồng với doanh nghiệp có chức năng và chuyên môn để quản lý vận hành nhà chung cư (kể cả doanh nghiệp trực thuộc Chủ đầu tư) kể từ khi đưa nhà chung cư này vào sử dụng cho đến khi Ban quản trị được thành lập. Đề xuất doanh nghiệp quản lý vận hành nhà chung cư để Hội nghị nhà chung cư lần thứ nhất thông qua;
2. Thu kinh phí bảo trì phần sở hữu chung trong nhà chung cư (ghi rõ tên toà nhà chung cư)....... theo quy định tại Nghị định số 71/2010/NĐ-CP ngày 23 tháng 6 năm 2010 của Chính phủ về quy định chi tiết và hướng dẫn thi hành Luật Nhà ở; thực hiện quản lý kinh phí bảo trì nhà chung cư theo quy định của pháp luật hiện hành;
3. Bàn giao hệ thống kết cấu hạ tầng bên ngoài nhà chung cư cho cơ quan quản lý chuyên ngành ở địa phương theo quy định (trường hợp nhà chung cư có mục đích sử dụng hỗn hợp, Chủ đầu tư có trách nhiệm bàn giao các công trình hạ tầng nêu trên khi đã bán hết phần sở hữu riêng cho các chủ sở hữu khác);
4. Hướng dẫn việc sử dụng hệ thống hạ tầng kỹ thuật và trang thiết bị trong nhà chung cư cho người sử dụng nhà chung cư;
5. Bàn giao 01 bộ bản vẽ hoàn công và hồ sơ có liên quan đến quản lý sử dụng nhà chung cư đối với phần sở hữu chung cho Ban quản trị nhà chung cư lưu giữ;
6. Chủ trì tổ chức Hội nghị nhà chung cư và cử người tham gia Ban quản trị theo quy định tại Quy chế quản lý sử dụng nhà chung cư do Bộ Xây dựng ban hành;
7. Được quyền ngừng cung cấp hoặc yêu cầu các nhà cung cấp ngừng cung cấp điện, nước và các công trình tiện ích khác nếu chủ sở hữu căn hộ hoặc các thành viên của căn hộ vi phạm nghiêm trọng Quy chế quản lý sử dụng nhà chung cư hoặc vi phạm các quy định tại bản nội quy này;
Điều 3. Doanh nghiệp quản lý vận hành nhà chung cư
1. Doanh nghiệp quản lý vận hành nhà chung cư (ghi rõ tên nhà chung cư)........là đơn vị được Chủ đầu tư ký kết hợp đồng thực hiện nhiệm vụ cung cấp dịch vụ quản lý vận hành nhà chung cư này đảm bảo an toàn, tiêu chuẩn, quy phạm quy định;
2. Doanh nghiệp quản lý vận hành nhà chung cư (ghi rõ tên nhà chung cư)........được ký kết hợp đồng phụ với các doanh nghiệp khác cung cấp dịch vụ cho nhà chung cư (nếu có); giám sát việc cung cấp các dịch vụ quản lý vận hành nhà chung cư đối với các doanh nghiệp nêu trên để đảm bảo thực hiện theo hợp đồng đã ký;
3. Trách nhiệm của doanh nghiệp quản lý vận hành chung cư:
a) Thực hiện việc quản lý vận hành nhà chung cư. Quản lý vận hành nhà chung cư bao gồm quản lý việc điều khiển, duy trì hoạt động của hệ thống trang thiết bị (bao gồm thang máy, máy bơm nước, máy phát điện dự phòng, hệ thống hạ tầng kỹ thuật và các trang thiết bị khác) thuộc phần sở hữu chung hoặc phần sử dụng chung của nhà chung cư; cung cấp các dịch vụ (bảo vệ, vệ sinh, thu gom rác thải, chăm sóc vườn hoa, cây cảnh, diệt côn trùng và các dịch vụ khác) đảm bảo cho nhà chung cư hoạt động bình thường;
b) Thông báo bằng văn bản về những yêu cầu, những điều cần chú ý cho người sử dụng khi bắt đầu sử dụng nhà chung cư; hướng dẫn việc lắp đặt các trang thiết bị thuộc phần sở hữu riêng vào hệ thống trang thiết bị dùng chung trong nhà chung cư;
c) Định kỳ kiểm tra cụ thể, chi tiết, bộ phận của nhà chung cư để thực hiện việc quản lý vận hành nhà chung cư;
d) Thực hiện ngay việc ngăn ngừa nguy cơ gây thiệt hại cho người sử dụng nhà chung cư và sửa chữa bất kỳ chi tiết nào của phần sở hữu chung hoặc trang thiết bị dùng chung trong nhà chung cư bị hư hỏng đảm bảo cho nhà chung cư hoạt động được bình thường;
đ) Thu phí dịch vụ quản lý vận hành nhà chung cư hàng tháng theo quy định khi được Ban quản trị nhà chung cư uỷ quyền.
e) Phối hợp với Ban quản trị đề nghị các cơ quan cấp điện, nước ngừng cung cấp, nếu người sử dụng nhà chung cư không thực hiện đóng góp đầy đủ, đúng hạn chi phí quản lý vận hành nhà chung cư và vi phạm các quy định tại Điều 23 của Quy chế này mà không khắc phục;
g) Định kỳ 6 tháng một lần, báo cáo công khai về công tác quản lý vận hành nhà chung cư với Ban quản trị và phối hợp với Ban quản trị lấy ý kiến của người sử dụng nhà chung cư về việc cung cấp dịch vụ cho nhà chung cư;
h) Phối hợp với Ban quản trị, tổ dân phố trong việc bảo vệ an ninh, trật tự và các vấn đề có liên quan khác trong quá trình quản lý vận hành nhà chung cư.
Điều 4. Ban quản trị nhà chung cư
1. Ban quản trị nhà chung cư (ghi rõ tên nhà chung cư)...........do Hội nghị nhà chung cư bầu ra, bao gồm đại diện các chủ sở hữu, người sử dụng nhà chung cư và đại diện Chủ đầu tư hoặc đơn vị quản lý nhà chung cư này.
2. Trách nhiệm và quyền hạn của Ban quản trị nhà chung cư
a) Chủ trì Hội nghị nhà chung cư; báo cáo kết quả công tác quản lý sử dụng nhà chung cư trong thời gian giữa hai kỳ Hội nghị;
b) Bảo vệ quyền lợi hợp pháp của những người sử dụng nhà chung cư trong việc sử dụng nhà chung cư; kiểm tra đôn đốc người sử dụng nhà chung cư thực hiện đúng Bản nội quy này và các quy định của pháp luật về quản lý sử dụng nhà chung cư; tạo điều kiện để doanh nghiệp quản lý vận hành nhà chung cư hoàn thành tốt nhiệm vụ theo nội dung hợp đồng đã ký kết;
c) Thu thập, tổng hợp ý kiến, kiến nghị của người sử dụng liên quan tới việc quản lý sử dụng để phản ánh với doanh nghiệp quản lý vận hành, các cơ quan chức năng, tổ chức, cá nhân có liên quan xem xét giải quyết;
d) Ký kết hợp đồng cung cấp dịch vụ với doanh nghiệp quản lý vận hành nhà chung cư và hợp đồng bảo trì với doanh nghiệp có tư cách pháp nhân về xây dựng (việc lựa chọn các doanh nghiệp này phải được thông qua Hội nghị nhà chung cư); theo dõi, giám sát việc quản lý vận hành và bảo trì nhà chung cư theo nội dung hợp đồng đã ký kết để quản lý vận hành và bảo trì nhà chung cư; nghiệm thu, thanh toán và thanh lý hợp đồng với doanh nghiệp quản lý vận hành, bảo trì nhà chung cư;
đ) Trực tiếp thu hoặc uỷ quyền cho doanh nghiệp quản lý vận hành thu kinh phí quản lý vận hành nhà chung cư;
e) Kiểm tra các báo cáo thu, chi tài chính về quản lý vận hành và bảo trì nhà chung cư do doanh nghiệp quản lý vận hành, doanh nghiệp bảo trì thực hiện theo hợp đồng đã ký kết và báo cáo với Hội nghị nhà chung cư theo quy định tại điểm a khoản này;
g) Phối hợp với chính quyền địa phương, tổ dân phố trong việc xây dựng nếp sống văn minh, giữ gìn trật tự an toàn xã hội trong nhà chung cư được giao quản lý;
h) Định kỳ 6 tháng một lần, Ban quản trị lấy ý kiến của người sử dụng nhà chung cư làm cơ sở để đánh giá chất lượng dịch vụ quản lý vận hành của doanh nghiệp quản lý vận hành nhà chung cư;
i) Thực hiện các công việc khác do Hội nghị nhà chung cư giao;
k) Được hưởng phụ cấp trách nhiệm và các chi phí hợp lý khác phục vụ cho hoạt động của Ban quản trị;
l) Không được tự tổ chức các bộ phận dưới quyền hoặc tự bãi miễn hoặc bổ sung thành viên Ban quản trị.
3. Ban quản trị nhà chung cư hoạt động theo nguyên tắc tập thể, quyết định theo đa số.
4. Nhiệm kỳ hoạt động của Ban quản trị tối đa là 03 năm kể từ ngày Uỷ ban nhân dân cấp quận ký quyết định công nhận.
Điều 5. Quyền và nghĩa vụ của chủ sở hữu và người sử dụng căn hộ nhà chung cư
1. Quyền và nghĩa vụ của chủ sở hữu căn hộ
a) Quyền sở hữu đối với phần diện tích sàn căn hộ đã mua theo hợp đồng;
b) Được quyền sử dụng diện tích thuộc phần sở hữu chung của nhà chung cư này, bao gồm các diện tích quy định tại khoản 2 Điều 8 của Bản nội quy này;
c) Yêu cầu người có trách nhiệm cung cấp thông tin, công khai các nội dung liên quan đến quản lý sử dụng nhà chung cư;
d) Chấp hành đầy đủ những quyết định của Hội nghị nhà chung cư;
đ) Có trách nhiệm thực hiện việc bảo trì đối với phần sở hữu riêng;
e) Đóng góp đầy đủ, đúng thời hạn kinh phí quản lý, vận hành, bảo trì phần sở hữu chung và các khoản kinh phí khác phải nộp theo quy định của nhà chung cư;
g) Tạo điều kiện thuận lợi để người có trách nhiệm thực hiện việc vận hành và bảo trì phần sở hữu chung nhà chung cư;
h) Chấp hành nội quy, quy định về quản lý việc sử dụng nhà chung cư; thực hiện đúng các quy định về phòng chống cháy, nổ, chữa cháy, vệ sinh công cộng, an ninh trật tự; phát hiện và thông báo kịp thời các hành vi vi phạm trong nhà chung cư;
i) Thực hiện việc đăng ký tạm vắng, tạm trú theo đúng quy định của pháp luật;
k) Thông báo các quy định nêu tại Bản nội quy này cho người được uỷ quyền hợp pháp sử dụng căn hộ và các tổ chức, cá nhân khác có liên quan đến sử dụng căn hộ của mình;
l) Khôi phục lại nguyên trạng hoặc bồi thường thiệt hại đối với phần sở hữu chung hoặc phần sở hữu riêng của người sử dụng nhà chung cư khác bị hư hỏng do mình gây ra.
2. Quyền và nghĩa vụ của người sử dụng hợp pháp căn hộ
a) Được sử dụng hợp pháp phần sở hữu riêng căn hộ khi được sự đồng ý của chủ sở hữu căn hộ và được sử dụng các phần diện tích thuộc sở hữu chung của nhà chung cư;
b) Yêu cầu chủ sở hữu cung cấp Bản nội quy quản lý sử dụng nhà chung cư và các thông tin liên quan đến việc quản lý sử dụng nhà chung cư;
c) Tham gia Hội nghị nhà chung cư, đóng góp chi phí vận hành nhà chung cư trong trường hợp có thoả thuận với chủ sở hữu;
d) Chấp hành đầy đủ những quyết định của Hội nghị nhà chung cư;
đ) Thực hiện các nghĩa vụ quy định tại các điểm g, h, i, k, l của khoản 1 Điều này.
Điều 6. Các hành vi nghiêm cấm trong quản lý sử dụng nhà chung cư
1. Cơi nới, chiếm dụng diện tích, không gian hoặc làm hư hỏng tài sản thuộc phần sở hữu chung hoặc phần sử dụng chung dưới mọi hình thức; đục phá, cải tạo, tháo dỡ hoặc làm thay đổi phần kết cấu chịu lực, hệ thống hạ tầng kỹ thuật, trang thiết bị sử dụng chung, kiến trúc bên ngoài của nhà chung cư;
2. Phân chia, chuyển đổi phần sở hữu chung hoặc phần sử dụng chung trái quy định;
3. Gây tiếng ồn quá mức quy định; làm ảnh hưởng đến trật tự, trị an nhà chung cư;
4. Xả rác thải, nước thải, khí thải, chất độc hại bừa bãi; gây thấm, dột, ô nhiễm môi trường; chăn nuôi gia súc, gia cầm trong khu vực thuộc phần sở hữu chung hoặc phần sử dụng chung;
5. Quảng cáo, viết, vẽ trái quy định hoặc có những hành vi khác mà pháp luật không cho phép; sử dụng vật liệu hoặc màu sắc trên mặt ngoài căn hộ, nhà chung cư trái với quy định; thay đổi kết cấu, thiết kế của phần sở hữu riêng hoặc phần sử dụng riêng (xây tường ngăn lên mặt sàn, di chuyển các trang thiết bị và hệ thống kỹ thuật gắn với phần sở hữu chung, đục phá căn hộ, cơi nới diện tích dưới mọi hình thức);
6. Sử dụng hoặc cho người khác sử dụng phần sở hữu riêng hoặc phần sử dụng riêng trái với mục đích quy định;
7. Nuôi gia súc, gia cầm trong khu vực thuộc sở hữu riêng hoặc phần sử dụng riêng làm ảnh hưởng tới trật tự, mỹ quan và môi trường sống của các hộ khác và khu vực công cộng (nếu nuôi vật cảnh thì phải đảm bảo tuân thủ đúng quy định của pháp luật);
8. Kinh doanh các ngành nghề và các loại hàng hoá dễ gây cháy, nổ (kinh doanh hàn, ga, vật liệu nổ và các ngành nghề gây nguy hiểm khác);
9. Kinh doanh dịch vụ mà gây tiếng ồn, ô nhiễm môi trường (nhà hàng karaôkê, vũ trường, sửa chữa xe máy, ô tô; lò mổ gia súc và các hoạt động dịch vụ gây ô nhiễm khác);
10. Sử dụng không đúng mục đích kinh phí quản lý vận hành và kinh phí bảo trì nhà chung cư (áp dụng đối với chủ đầu tư, ban quản trị và doanh nghiệp vận hành nhà chung cư).
Điều 7. Các khoản phí, mức phí phải đóng góp
1. Kinh phí bảo trì phần sở hữu chung: chỉ thu thêm khi khoản kinh phí thu để bảo trì phần sở hữu chung không đủ (từ 2% khi bán căn hộ nhà chung cư). Mức thu cụ thể sẽ được thông qua Hội nghị nhà chung cư đảm bảo nguyên tắc mức đóng góp này tương ứng với phần diện tích sở hữu riêng của từng chủ sở hữu trong nhà chung cư.
2. Kinh phí quản lý vận hành nhà chung cư với mức nộp là ..............đồng/tháng[5];
3. Chi phí trông giữ tài sản (ghi rõ chi phí đối với từng loại tài sản như xe đạp, xe máy, ôtô....) là.....................đồng/tháng;
4. Chi phí sử dụng các dịch vụ gia tăng (như sử dụng bể bơi, tắm hơi...) là....................đồng/ tháng hoặc ...........đồng/lượt;
5. Các chi phí khác (nếu có)............................................................
Tuỳ vào tình hình cụ thể, các mức thu nêu trên có thể thay đổi tăng thêm, việc thay đổi mức thu này phải được tính toán hợp lý và thông qua Hội nghị nhà chung cư.
Điều 8. Phần diện tích thuộc sở hữu riêng, phần diện tích thuộc sở hữu chung và sử dụng chung nhà chung cư
1. Diện tích thuộc sở hữu riêng của chủ sở hữu căn hộ, chủ đầu tư và các chủ sở hữu khác (nếu có) và bao gồm:
a) Phần diện tích thuộc sở hữu riêng của chủ sở hữu căn hộ bao gồm phần diện tích riêng bên trong căn hộ (kể cả diện tích ban công, lôgia gắn liền với căn hộ đó), hệ thống trang thiết bị kỹ thuật sử dụng riêng gắn liền với căn hộ.....;Phần diện tích thuộc sở hữu riêng của các chủ sở hữu khác (nếu có) như các diện tích làm siêu thị, văn phòng, câu lạc bộ thể thao là: .............................
c) Phần diện tích thuộc sở hữu riêng của chủ đầu tư toà nhà chung cư (như các căn hộ chưa bán hết, các căn hộ đang được chủ đầu tư cho thuê, các công trình tiện ích khác) là: ............................................
Phần diện tích thuộc sở hữu riêng của chủ đầu tư nêu tại điểm này không bao gồm các diện tích quy định tại khoản 2 Điều này.
2. Diện tích và hệ thống hạ tầng kỹ thuật thuộc sở hữu chung và thuộc quyền sử dụng chung của các chủ sở hữu trong nhà chung cư (bao gồm chủ sở hữu các căn hộ, chủ sở hữu các diện tích khác, chủ đầu tư tòa nhà chung cư), gồm:
a) Hành lang, cầu thang bộ, cầu thang máy, lối đi chung.................;
b) Nơi để xe của toà nhà chung cư .......................................................;
c) Nhà sinh hoạt chung của nhà chung cư (nếu có)...........................;
d) Hệ thống hạ tầng kỹ thuật bên ngoài nhưng được kết nối với nhà chung cư .........................
đ) Các diện tích sử dụng chung khác của nhà chung cư (theo thoả thuận nếu có)
Các diện tích nêu tại khoản này phải được ghi cụ thể về diện tích, vị trí diện tích mà thành viên nhà chung cư được quyền sử dụng chung theo quy định của Luật Nhà ở và Nghị định 71/2010/NĐ-CP ngày 23/6/2010 của Chính phủ.
Điều 9. Quy định về việc sửa đổi, bổ sung bản nội quy quản lý sử dụng nhà chung cư và một số quy định khác.................[6]
TÊN CHỦ ĐẦU TƯ
(Ký tên đóng dấu)
[1]. Ghi các Quyết định liên quan như Quyết định phê duyệt, phương án bồi thường, hỗ trợ và táí định cư.
[2]. Quyết định của Ủy ban nhân dân cấp tỉnh phê duyệt phương án và giá mua nhà ở thương mại để bố trí tái định cư.
[3]. Các căn cứ liên quan đến việc đăng ký mua nhà ở của hộ gia đình, cá nhân tái định cư
[4]. Tên của nhà chung cư
[5]. Mức thu không vượt quá mức thu tối đa (giá trần) kinh phí vận hành nhà chung cư do UBND tỉnh, thành phố nơi có nhà chung cư đó ban hành. Ghi rõ mức thu này có bao gồm (hay không bao gồm) phần hỗ trợ từ việc kinh doanh các diện tích thuộc sở hữu riêng của Bên bán (chủ đầu tư).
[6]. Điều này quy định những nguyên tắc khi sửa đổi, bổ sung bản nội quy này; đồng thời, có thể đưa ra một số quy định khác cho phù hợp với điều kiện cụ thể của nhà chung cư nhưng phải đảm bảo thống nhất với pháp luật về nhà ở và Quy chế quản lý sử dụng nhà chung cư do Bộ Xây dựng ban hành
Phụ lục số 06: Mẫu hợp đồng thuê nhà ở phục vụ tái định cư
(ban hành kèm theo Thông tư số 07/2014/TT- BXD ngày 20 tháng 5 năm 2014
của Bộ trưởng Bộ Xây dựng)
CỘNG HOÀ XÃ HỘI CHỦ NGHĨA VIỆT NAM
Độc lập - Tự do - Hạnh phúc
_______________________
......., ngày...........tháng..........năm..........
HỢP ĐỒNG THUÊ NHÀ Ở TÁI ĐỊNH CƯ
Số......./HĐ/201…
_________________
Căn cứ Luật Nhà ở ngày 29 tháng 11 năm 2005 và Luật số 34/2009/QH12 ngày 18 tháng 6 năm 2009 của Quốc hội về sửa đổi, bổ sung Điều 126 của Luật Nhà ở và Điều 121 của Luật Đất đai;
Căn cứ Bộ Luật Dân sự ngày 14 tháng 6 năm 2005;
Căn cứ Nghị định số 71/2010/NĐ-CP ngày 23 tháng 6 năm 2010 của Chính phủ quy định chi tiết và hướng dẫn thi hành Luật Nhà ở;
Căn cứ Nghị định số 84/2013/NĐ-CP ngày 25 tháng 7 năm 2013 của Chính phủ quy định về phát triển và quản lý nhà ở tái định cư;
Căn cứ Thông tư số 07/2014/TT-BXD ngày 20 tháng 5 năm 2014 của Bộ trưởng Bộ Xây dựng hướng dẫn một số điều của Nghị định số 84/2013/NĐ-CP ngày 25 tháng 7 năm 2013 của Chính phủ quy định về phát triển và quản lý nhà ở tái định cư,
Hai bên chúng tôi gồm:
BÊN CHO THUÊ NHÀ Ở (sau đây gọi tắt là Bên cho thuê):
- Tổ chức, doanh nghiệp (chủ đầu tư dự án khu nhà ở phục vụ tái định cư, công trình nhà ở phục vụ tái định cư được cấp có thẩm quyền lựa chọn hoặc doanh nghiệp được chủ đầu tư uỷ thác quản lý, vận hành nhà ở theo quy định tại Điều 10 và Điều 18 của Nghị định số 84/2013/NĐ-CP ngày 25/7/2013 của Chính phủ quy định về phát triển và quản lý nhà ở phục vụ tái định cư) :....................................................
- Đại diện bởi Ông (Bà):...............................Chức vụ:.....................................
- Địa chỉ:...........................................................................................................
- Điện thoại: .....................................Fax (nếu có):.........................................
- Số tài khoản:...................................tại Ngân hàng:........................................
- Mã số thuế:.....................................................................................................
BÊN THUÊ NHÀ Ở (sau đây gọi tắt là Bên thuê):
- Ông (bà) :......................................................................................................
- Số CMND (hộ chiếu):...........................cấp ngày....../...../....., tại.................
- Hộ khẩu thường trú:......................................................................................
- Địa chỉ liên hệ:..............................................................................................
- Điện thoại: .........................................Fax (nếu có):....................................
- Số tài khoản:....................................tại Ngân hàng:......................................
- Mã số thuế:....................................................................................................
Hai bên chúng tôi thống nhất ký kết hợp đồng thuê nhà ở với các nội dung sau đây:
Điều 1. Đặc điểm chính của nhà ở cho thuê:
- Loại nhà ở: ghi rõ loại nhà chung cư
- Địa chỉ căn hộ:
- Diện tích sàn căn hộ: .................m2 (ghi rõ diện tích này được tính theo quy định Thông tư số 03/2010/TT-BXD ngày 20 tháng 2 năm 2014 của Bộ trưởng Bộ Xây dựng).
Điều 2. Giá cho thuê nhà ở, phương thức và thời hạn thanh toán
1. Giá cho thuê nhà ở là .......................,,...........đồng Việt Nam/01 tháng (hoặc 01 năm).
(Bằng chữ: ......................................................................................).
Giá cho thuê này đã bao gồm chi phí bảo trì, quản lý, vận hành nhà ở và các khoản thuế mà Bên cho thuê phải nộp cho Nhà nước theo quy định.
2. Các chi phí sử dụng điện, nước, điện thoại và các dịch vụ khác do Bên thuê thanh toán cho bên cung cấp điện, nước, điện thoại và các cơ quan cung cấp dịch vụ khác.
3. Phương thức thanh toán: thanh toán bằng tiền Việt Nam thông qua hình thức (trả bằng tiền mặt hoặc chuyển khoản qua ngân hàng).................................
4. Thời hạn thanh toán: Bên thuê trả tiền thuê nhà vào ngày.......... hàng tháng
(Trường hợp bên cho thuê yêu cầu bên thuê có trách nhiệm nộp trước một khoản tiền đặt cọc theo thoả thuận thì tối đa không vượt quá 6 tháng, tối thiểu không thấp hơn 03 tháng tiền thuê nhà ở).
Điều 3. Thời điểm giao nhận nhà ở và thời hạn cho thuê nhà ở
1. Thời điểm giao nhận nhà ở là ngày...........tháng..........năm.............
2. Thời hạn cho thuê nhà ở là …. năm (…. tháng), kể từ ngày............tháng........... năm ............đến ngày .......tháng...... năm ............
(Thời gian thuê do hai bên thoả thuận nhưng tối thiểu là 3 năm và tối đa là 5 năm).
Điều 4. Quyền và nghĩa vụ của Bên cho thuê
1. Quyền của Bên cho thuê:
a) Yêu cầu Bên thuê trả đủ tiền thuê nhà theo đúng thỏa thuận đã cam kết;
b) Yêu cầu Bên thuê có trách nhiệm sửa chữa các hư hỏng và bồi thường thiệt hại do lỗi của Bên thuê gây ra (nếu có);
c) Yêu cầu Bên thuê thanh toán đủ số tiền thuê nhà (đối với thời gian đã thuê) và giao lại nhà ở trong các trường hợp các bên thỏa thuận chấm dứt hợp đồng thuê nhà ở trước thời hạn;
d) Đơn phương chấm dứt thực hiện hợp đồng thuê theo quy định tại khoản 1 Điều 103 Luật Nhà ở;
đ) Yêu cầu Bên thuê trả lại nhà khi chấm dứt hợp đồng thuê theo quy định tại các khoản 1, 2, 4 và khoản 6 Điều 7 của hợp đồng này;
e) Các quyền khác do hai bên thỏa thuận (nhưng không được trái quy định pháp luật và đạo đức xã hội)........................................................
2. Nghĩa vụ của Bên cho thuê:
a) Giao nhà ở và trang thiết bị gắn liền với nhà ở (nếu có) cho Bên thuê đúng thời gian quy định tại khoản 1 Điều 3 của hợp đồng này;
b) Thông báo cho Bên thuê biết các quy định về quản lý sử dụng nhà ở;
c) Bảo đảm cho Bên thuê sử dụng ổn định nhà ở trong thời hạn thuê nhà;
d) Trả lại số tiền thuê nhà mà Bên thuê đã trả trước trong trường hợp các bên thỏa thuận chấm dứt hợp đồng thuê nhà ở trước thời hạn;
đ) Bảo trì, quản lý nhà ở cho thuê theo quy định của pháp luật về quản lý sử dụng nhà ở;
e) Hướng dẫn, đề nghị Bên thuê thực hiện đúng các quy định về quản lý nhân khẩu;
g) Các nghĩa vụ khác do hai bên thỏa thuận..................................
Điều 5. Quyền và nghĩa vụ của Bên thuê
1. Quyền của Bên thuê:
a) Nhận nhà ở và trang thiết bị gắn liền với nhà ở (nếu có) theo đúng thỏa thuận tại khoản 1 Điều 3 của hợp đồng này;
b) Yêu cầu Bên cho thuê sửa chữa kịp thời các hư hỏng về nhà ở;
c) Yêu cầu Bên cho thuê trả lại số tiền thuê nhà mà Bên thuê đã nộp trước trong trường hợp chấm dứt hợp đồng thuê nhà trước thời hạn;
d) Đơn phương chấm dứt hợp đồng theo quy định tại khoản 2 Điều 103 của Luật Nhà ở;
e) Các quyền khác do hai bên thỏa thuận................................................
2. Nghĩa vụ của Bên thuê:
a) Trả đủ tiền thuê nhà theo đúng thời hạn đã cam kết trong hợp đồng;
b) Sử dụng nhà ở đúng mục đích; có trách nhiệm sửa chữa phần hư hỏng do mình gây ra;
c) Chấp hành đầy đủ các quy định về quản lý sử dụng nhà ở, nội quy Quy chế quản lý nhà ở cho thuê kèm theo Hợp đồng này;
d) Không được cho người khác thuê lại, thế chấp nhà ở, chuyển nhượng nhà ở dưới mọi hình thức trong thời gian thuê nhà theo hợp đồng đã ký với bên cho thuê;
đ) Chấp hành các quy định về giữ gìn vệ sinh môi trường và an ninh trật tự trong khu vực cư trú;
e) Các nghĩa vụ khác theo thỏa thuận của hai bên..............................
Điều 6. Các trường hợp bất khả kháng
Bên thuê hoặc Bên cho thuê không bị coi là vi phạm hợp đồng và không bị phạt hoặc không phải chịu trách nhiệm bồi thường thiệt hại nếu việc chậm thực hiện hoặc không thực hiện các nghĩa vụ được các bên thỏa thuận trong hợp đồng này do có sự kiện bất khả kháng như thiên tai, chiến tranh, hỏa hoạn, sự thay đổi quy định pháp luật và các trường hợp khác mà không phải do lỗi của các Bên gây ra.
Điều 7. Chấm dứt hợp đồng thuê nhà ở
Việc chấm dứt hợp đồng thuê nhà ở được thực hiện khi có một trong các trường hợp sau:
1. Hợp đồng thuê nhà ở hết hạn mà các bên không thỏa thuận ký tiếp;
2. Các bên thỏa thuận chấm dứt hợp đồng trước thời hạn;
3. Nhà ở cho thuê không còn;
4. Nhà ở cho thuê hư hỏng nặng có nguy cơ sập đổ hoặc nằm trong khu vực đã có quyết định thu hồi đất, giải phóng mặt bằng hoặc có quyết định phá dỡ của cơ quan nhà nước có thẩm quyền.
5. Bên thuê nhà ở chết mà không có người đang cùng sinh sống;
6. Khi một trong hai bên đơn phương chấm dứt hợp đồng theo quy định của pháp luật.
Điều 8. Cam kết của các bên
1. Các bên cùng cam kết thực hiện đúng và đầy đủ các nội dung đã thỏa thuận trong hợp đồng.
2. Các cam kết khác (phải phù hợp với quy định của pháp luật và không trái đạo đức xã hội):......
Điều 9. Giải quyết tranh chấp
Trường hợp các bên có tranh chấp về nội dung của hợp đồng này thì hai bên cùng bàn bạc giải quyết thông qua thương lượng. Trong trường hợp các bên không thương lượng được thì có quyền yêu cầu Toà án nhân dân giải quyết theo quy định của pháp luật.
Điều 10. Hiệu lực của hợp đồng
1. Hợp đồng này có hiệu lực kể từ ngày …..........
2. Hợp đồng này được lập thành .....bản và có giá trị như nhau. Mỗi bên giữ .... bản và .... bản lưu tại cơ quan thuế./.
|
BÊN THUÊ (Ký và ghi rõ họ tên) |
BÊN CHO THUÊ (Ký, ghi rõ họ tên và đóng dấu) |
QUY CHẾ QUẢN LÝ CHO THUÊ NHÀ Ở PHỤC VỤ TÁI ĐỊNH CƯ.....[1]
(Kèm theo hợp đồng thuê nhà ở phục vụ tái định cư số......./.... ngày....tháng ......năm .....)
Điều 1. Phạm vi và đối tượng áp dụng
Bản nội quy này quy định các nội dung về quản lý sử dụng nhà ở cho thuê (ghi rõ tên toà nhà chung cư)..............được áp dụng đối với người thuê căn hộ nhà chung cư, chủ đầu tư và các cá nhân, tổ chức khác liên quan đến quản lý sử dụng nhà ở cho thuê này.
Điều 2. Quyền và trách nhiệm của Chủ đầu tư
1. Lựa chọn và ký hợp đồng với doanh nghiệp có chức năng và chuyên môn để quản lý vận hành nhà chung cư (kể cả doanh nghiệp trực thuộc Chủ đầu tư);
2. Hướng dẫn việc sử dụng hệ thống hạ tầng kỹ thuật và trang thiết bị trong nhà chung cư cho người thuê nhà ở trong trường hợp chủ đầu tư trực tiếp tổ chức quản lý vận hành nhà chung cư;
3. Được quyền ngừng cung cấp hoặc yêu cầu các nhà cung cấp ngừng cung cấp điện, nước và các công trình tiện ích khác nếu người thuê căn hộ (hoặc các thành viên sống cùng tại căn hộ) vi phạm nghiêm trọng Quy chế quản lý sử dụng nhà chung cư hoặc vi phạm các quy định tại bản Quy chế này;
4. Yêu cầu Bên thuê trả đủ tiền thuê nhà theo đúng thỏa thuận đã cam kết;
5. Yêu cầu Bên thuê có trách nhiệm sửa chữa các hư hỏng và bồi thường thiệt hại do lỗi của Bên thuê gây ra (nếu có);
6. Yêu cầu Bên thuê thanh toán đủ số tiền thuê nhà (đối với thời gian đã thuê) và giao lại nhà ở trong các trường hợp các bên thỏa thuận chấm dứt hợp đồng thuê nhà ở trước thời hạn;
7. Đơn phương chấm dứt thực hiện hợp đồng thuê theo quy định tại khoản 1 Điều 103 Luật Nhà ở.
Điều 3. Quyền và trách nhiệm của doanh nghiệp quản lý vận hành nhà chung cư
1. Doanh nghiệp quản lý vận hành nhà chung cư là đơn vị được Chủ đầu tư ký kết hợp đồng thực hiện nhiệm vụ cung cấp dịch vụ quản lý vận hành nhà chung cư này đảm bảo an toàn, tiêu chuẩn, quy phạm quy định;
2. Doanh nghiệp quản lý vận hành nhà chung cư được ký kết hợp đồng phụ với các doanh nghiệp khác cung cấp dịch vụ cho nhà chung cư (nếu có); giám sát việc cung cấp các dịch vụ quản lý vận hành nhà chung cư đối với các doanh nghiệp nêu trên để đảm bảo thực hiện theo hợp đồng đã ký;
3. Trách nhiệm của doanh nghiệp quản lý vận hành chung cư:
a) Thực hiện việc quản lý vận hành nhà chung cư. Quản lý vận hành nhà chung cư bao gồm quản lý việc điều khiển, duy trì hoạt động của hệ thống trang thiết bị (bao gồm thang máy, máy bơm nước, máy phát điện dự phòng, hệ thống hạ tầng kỹ thuật và các trang thiết bị khác) thuộc phần sở hữu chung hoặc phần sử dụng chung của nhà chung cư; cung cấp các dịch vụ (bảo vệ, vệ sinh, thu gom rác thải, chăm sóc vườn hoa, cây cảnh, diệt côn trùng và các dịch vụ khác) đảm bảo cho nhà chung cư hoạt động bình thường;
b) Thông báo bằng văn bản về những yêu cầu, những điều cần chú ý cho người sử dụng khi bắt đầu sử dụng nhà chung cư; hướng dẫn việc lắp đặt các trang thiết bị sử dụng trong căn hộ vào hệ thống trang thiết bị dùng chung trong nhà chung cư;
c) Định kỳ kiểm tra cụ thể, chi tiết, bộ phận của nhà chung cư để thực hiện việc quản lý vận hành nhà chung cư;
d) Thực hiện ngay việc ngăn ngừa nguy cơ gây thiệt hại cho người thuê căn hộ nhà chung cư và sửa chữa bất kỳ chi tiết nào của phần sở hữu chung hoặc trang thiết bị dùng chung trong nhà chung cư bị hư hỏng đảm bảo cho nhà chung cư hoạt động được bình thường;
đ) Thu tiền thuê nhà ở hàng tháng hoặc định kỳ của người thuê nếu được chủ đầu tư ủy quyền;
e) Phối hợp với Ban quản trị, tổ dân phố trong việc bảo vệ an ninh, trật tự và các vấn đề có liên quan khác trong quá trình quản lý vận hành nhà chung cư.
Điều 4. Quyền và nghĩa vụ của người thuê
1. Quyền sử dụng diện tích căn hộ đã ký kết trong hợp đồng thuê;
2. Yêu cầu người có trách nhiệm cung cấp thông tin, công khai các nội dung liên quan đến quản lý sử dụng nhà chung cư;
3. Đóng góp đầy đủ, đúng thời hạn các khoản phí dịch vụ đã thỏa thuận với đơn vị quản lý vận hành nhà chung cư (nếu có);
4. Tạo điều kiện thuận lợi để người có trách nhiệm thực hiện việc vận hành và bảo trì phần sở hữu chung nhà chung cư;
5. Chấp hành nội quy, quy định về quản lý việc sử dụng nhà chung cư; thực hiện đúng các quy định về phòng chống cháy, nổ, chữa cháy, vệ sinh công cộng, an ninh trật tự; phát hiện và thông báo kịp thời các hành vi vi phạm trong nhà chung cư;
6. Thực hiện việc đăng ký tạm vắng, tạm trú theo đúng quy định của pháp luật;
7. Thông báo các quy định nêu tại Bản nội quy này cho người cùng sử dụng căn hộ của mình;
8. Khôi phục lại nguyên trạng hoặc bồi thường thiệt hại đối với phần hư hỏng do mình gây ra.
Điều 6. Các hành vi nghiêm cấm trong quản lý sử dụng nhà ở thuê
1. Cơi nới, chiếm dụng diện tích, không gian hoặc làm hư hỏng tài sản thuộc tòa nhà hoặc căn hộ dưới mọi hình thức; đục phá, cải tạo, tháo dỡ hoặc làm thay đổi phần kết cấu chịu lực, hệ thống hạ tầng kỹ thuật, trang thiết bị sử dụng chung, kiến trúc bên ngoài của nhà chung cư;
2. Cho thuê lại phần diện tích đã ký hợp đồng thuê;
3. Gây tiếng ồn quá mức quy định; làm ảnh hưởng đến trật tự, trị an nhà chung cư;
4. Xả rác thải, nước thải, khí thải, chất độc hại bừa bãi; gây thấm, dột, ô nhiễm môi trường; chăn nuôi gia súc, gia cầm trong khu vực căn hộ hoặc phần sử dụng chung;
5. Quảng cáo, viết, vẽ trái quy định hoặc có những hành vi khác mà pháp luật không cho phép; sử dụng vật liệu hoặc màu sắc trên mặt ngoài căn hộ, nhà chung cư trái với quy định; thay đổi kết cấu, thiết kế của căn hộ (xây tường ngăn lên mặt sàn, di chuyển các trang thiết bị và hệ thống kỹ thuật gắn với tòa nhà, đục phá căn hộ, cơi nới diện tích dưới mọi hình thức);
6. Sử dụng hoặc cho người khác sử dụng phần diện tích căn hộ trái với mục đích quy định;
7. Nuôi gia súc, gia cầm trong khu vực căn hộ làm ảnh hưởng tới trật tự, mỹ quan và môi trường sống của các hộ khác và khu vực công cộng (nếu nuôi vật cảnh thì phải đảm bảo tuân thủ đúng quy định của pháp luật);
8. Kinh doanh các ngành nghề và các loại hàng hoá dễ gây cháy, nổ (kinh doanh hàn, ga, vật liệu nổ và các ngành nghề gây nguy hiểm khác);
9. Kinh doanh dịch vụ mà gây tiếng ồn, ô nhiễm môi trường (nhà hàng karaôkê, vũ trường, sửa chữa xe máy, ô tô; lò mổ gia súc và các hoạt động dịch vụ gây ô nhiễm khác);
Điều 7. Các khoản phí
Quy định về giá một số dịch vụ do đơn vị quản lý vận hành cung cấp như phí trông giữ xe đạp, xe máy, xe ô tô…và các dịch vụ khác (nếu có).
Điều 8. Quy định về việc sửa đổi, bổ sung bản nội quy quản lý sử dụng nhà chung cư và một số quy định khác.................[2]
TÊN CHỦ ĐẦU TƯ
(Ký tên đóng dấu)
[1]. Tên của toà nhà chung cư
[2]. Điều này quy định những nguyên tắc khi sửa đổi, bổ sung bản nội quy này; đồng thời, có thể đưa ra một số quy định khác cho phù hợp với điều kiện cụ thể của nhà chung cư nhưng phải đảm bảo thống nhất với pháp luật về nhà ở và Quy chế quản lý sử dụng nhà chung cư do Bộ Xây dựng ban hành
Bạn chưa Đăng nhập thành viên.
Đây là tiện ích dành cho tài khoản thành viên. Vui lòng Đăng nhập để xem chi tiết. Nếu chưa có tài khoản, vui lòng Đăng ký tại đây!
Bạn chưa Đăng nhập thành viên.
Đây là tiện ích dành cho tài khoản thành viên. Vui lòng Đăng nhập để xem chi tiết. Nếu chưa có tài khoản, vui lòng Đăng ký tại đây!