- Tổng quan
- Nội dung
- Tiêu chuẩn liên quan
- Lược đồ
- Tải về
Tiêu chuẩn TCVN 6627-2-1:2010 Xác định tổn hao và hiệu suất của máy điện quay
| Số hiệu: | TCVN 6627-2-1:2010 | Loại văn bản: | Tiêu chuẩn Việt Nam |
| Cơ quan ban hành: | Bộ Khoa học và Công nghệ | Lĩnh vực: | Công nghiệp |
|
Ngày ban hành:
Ngày ban hành là ngày, tháng, năm văn bản được thông qua hoặc ký ban hành.
|
2010 |
Hiệu lực:
|
Đã biết
|
| Người ký: | Đang cập nhật |
Tình trạng hiệu lực:
Cho biết trạng thái hiệu lực của văn bản đang tra cứu: Chưa áp dụng, Còn hiệu lực, Hết hiệu lực, Hết hiệu lực 1 phần; Đã sửa đổi, Đính chính hay Không còn phù hợp,...
|
Đã biết
|
TÓM TẮT TIÊU CHUẨN VIỆT NAM TCVN 6627-2-1:2010
Nội dung tóm tắt đang được cập nhật, Quý khách vui lòng quay lại sau!
Tải tiêu chuẩn Việt Nam TCVN 6627-2-1:2010
TIÊU CHUẨN QUỐC GIA
TCVN 6627-2-1:2010
IEC 60034-2-1:2007
MÁY ĐIỆN QUAY – PHẦN 2-1: PHƯƠNG PHÁP TIÊU CHUẨN ĐỂ XÁC ĐỊNH TỔN HAO VÀ HIỆU SUẤT BẰNG THỬ NGHIỆM (KHÔNG KỂ MÁY ĐIỆN DÙNG CHO PHƯƠNG TIỆN KÉO)
Rotating electrical machines – Part 2-1: Standard methods for determining losses and efficiency from tests (excluding machines for traction vehicles)
Lời nói đầu
TCVN 6627-2-1:2010 thay thế TCVN 6627-2:2001;
TCVN 6627-2-1:2010 hoàn toàn tương đương với IEC 60034-2-1:2007; TCVN 6627-2-1:2010 do Ban kỹ thuật tiêu chuẩn quốc gia TCVN/TC/E1
Máy điện và khí cụ điện biên soạn, Tổng cục Tiêu chuẩn Đo lường Chất lượng đề nghị, Bộ Khoa học và Công nghệ công bố.
Lời giới thiệu
Bộ tiêu chuẩn Quốc gia TCVN 6627 (IEC 60034) hiện đã có các tiêu chuẩn sau:
1) TCVN 6627-1:2008 (IEC 60034-1:2004), Máy điện quay – Phần 1: Thông số và tính năng
2) TCVN 6627-2-1:2010 (IEC 60034-2-1:2007), Máy điện quay – Phần 2-1: Phương pháp tiêu chuẩn để xác định tổn hao và hiệu suất bằng thử nghiệm (không kể máy điện dùng cho phương tiện kéo)
3) TCVN 6627-2A:2001 (IEC 60034-2A:1974), Máy điện quay – Phần 2A: Phương pháp thử nghiệm để xác định tổn hao và hiệu suất của máy điện quay (không kể máy điện dùng cho xe kéo) – Đo tổn hao bằng phương pháp nhiệt lượng
4) TCVN 6627-3:2010 (IEC 60034-3:2007), Máy điện quay – Phần 3: Yêu cầu cụ thể đối với máy phát đồng bộ được truyền động bằng tuabin hơi hoặc tuabin khí
5) TCVN 6627-5:2008 (IEC 60034-5:2000 and amendment 1:2006), Máy điện quay – Phần 5: Cấp bảo vệ bằng vỏ ngoài nhờ thiết kế tích hợp (mã IP) – Phân loại
6) TCVN 6627-7:2008 (IEC 60034-7:2004), Máy điện quay – Phần 7: Phân loại và các kiểu kết cấu, bố trí lắp đặt và vị trí hộp đầu nối
7) TCVN 6627-8:2010 (IEC 60034-8:2007), Máy điện quay – Phần 8: Ghi nhãn đầu nối và chiều quay
8) TCVN 6627-9:2000 (IEC 60034-9:1990 and amendment 1:1995), Máy điện quay – Phần 9: Giới hạn mức ồn
9) TCVN 6627-11:2008 (IEC 60034-11:2004), Máy điện quay – Phần 11: Bảo vệ nhiệt
10) TCVN 6627-14:2008 (IEC 60034-14:2003), Máy điện quay – Phần 14: Rung cơ khí của máy điện có chiều cao tâm trục lớn hơn hoặc bằng 56 mm – Đo đánh giá và giới hạn độ khắc nghiệt rung
Bộ tiêu chuẩn IEC 60034 còn có các tiêu chuẩn sau:
IEC 60034-2-2:2010, Rotating electrical machines - Part 2-2: Specific methods for determining separate losses of large machines from tests - Supplement to IEC 60034-2-1
IEC 60034-4:2008, Rotating electrical machines – Part 4: Methods for determining synchronous machine quantities from tests
IEC 60034-6:1991, Rotating electrical machines – Part 6: Methods of cooling(IC Code) IEC 60034-12: 2007, Rotating electrical machines – Part 12: Starting performance of single-speed three-phase cage induction motors
IEC 60034-15:1995, Rotating electrical machines – Part 15: Impulse voltage withstand levels of rotating a.c. machines with form-wound stator coils
IEC 60034-16-1:1991, Rotating electrical machines – Part 16: Excitation systems for synchronous machines – Chapter 1: Definitions
IEC/TR 60034-16-2:1991, Rotating electrical machines – Part 16: Excitation systems for synchronous machines – Chapter 2: Models for power system studies
IEC/TS 60034-16-3:1996, Rotating electrical machines – Part 16: Excitation systems for synchronous machines – Section 3: Dynamic performance
IEC/TS 60034-17:2006, Rotating electrical machines – Part 17: Cage induction motors when fed from converters – Application guide
IEC 60034-18-1:1992, Rotating electrical machines – Part 18: Functional evaluation of insulation systems – Section 1: General guidelines
IEC 60034-18-21:1992, Rotating electrical machines – Part 18: Functional evaluation of insulation systems - Section 21: Test procedures for wire-wound windings – Thermal evaluation and classification IEC 60034-18-22: 2000, Rotating electrical machines – Part 18-22: Functional evaluation of insulation systems – Test procedures for wire-wound windings – Classification of changes and insulation component substitutions
IEC 60034-18-31:1992, Rotating electrical machines – Part 18: Functional evaluation of insulation systems – Section 31: Test procedures for form-wound windings – Thermal evaluation and classification of insulation systems used in machines up to and including 50 MVA and 15 kV
IEC/TS 60034-18-32:1995, Rotating electrical machines – Part 18: Functional evaluation of insulation systems – Section 32: Test procedures for form-wound windings – Electrical evaluation of insulation systems used in machines up to and including 50 MVA and 15 kV
IEC/TS 60034-18-33:1995, Rotating electrical machines – Part 18: Functional evaluation of insulation systems - Section 33: Test procedures for form-wound windings – Multifactor functional evaluation - Endurance under combined thermal and electrical stresses of insulation systems used in machines up to and including 50 MVA and 15 kV
IEC/TS 60034-18-34:2000, Rotating electrical machines – Part 18-34: Functional evaluation of insulation systems – Test procedures for form-wound windings – Evaluation of thermomechanical endurance of insulation systems
IEC/TS 60034-18-41:2006, Rotating electrical machines – Part 18-41: Qualification and type tests for Type I electrical insulation systems used in rotating electrical machines fed from voltage converters
IEC 60034-19:1995, Rotating electrical machines – Part 19: Specific test methods for d.c. machines on conventional and rectifier-fed supplies
IEC/TS 60034-20-1:2002, Rotating electrical machines – Part 20-1: Control motors - Stepping motors IEC 60034-22: 1996, Rotating electrical machines – Part 22: AC generators for reciprocating internal combustion (RIC) engine driven generating sets
IEC 60034-22:2009, Rotating electrical machines - Part 22: AC generators for reciprocating internal combustion (RIC) engine driven generating sets
IEC/TS 60034-23:2003, Rotating electrical machines – Part 23: Specification for the refurbishing of rotating electrical machines
IEC/TS 60034-25:2007, Rotating electrical machines – Part 25: Guidance for the design and performance of a.c. motors specifically designed for converter supply
IEC 60034-26:2006, Rotating electrical machines – Part 26: Effects of unbalanced voltages on the performance of three-phase cage induction motors
IEC/TS60034-27:2006,Rotatingelectricalmachines–Part27:Off-linepartialdischarge measurements on the stator winding insulation of rotating electrical machines
IEC 60034-28:2007, Rotating electrical machines – Part 28: Test methods for determining quantities of equivalent circuit diagrams for three-phase low-voltage cage induction motors
IEC 60034-29:2008, Rotating electrical machines – Part 29: Equivalent loading and superposition techniques - Indirect testing to determine temperature rise
IEC 60034-30:2008, Rotating electrical machines – Part 30: Efficiency classes of single-speed, three- phase, cage-induction motors (IE-code)
MÁY ĐIỆN QUAY – PHẦN 2-1: PHƯƠNG PHÁP TIÊU CHUẨN ĐỂ XÁC ĐỊNH TỔN HAO VÀ HIỆU SUẤT BẰNG THỬ NGHIỆM (KHÔNG KỂ MÁY ĐIỆN DÙNG CHO PHƯƠNG TIỆN KÉO)
Rotating electrical machines – Part 2-1: Standard methods for determining losses and efficiency from tests (excluding machines for traction vehicles)
1. Phạm vi áp dụng
Tiêu chuẩn này nhằm thiết lập các phương pháp xác định hiệu suất bằng thử nghiệm và qui định các phương pháp xác định các tổn hao cụ thể.
Tiêu chuẩn này áp dụng cho máy điện một chiều, máy điện xoay chiều đồng bộ và máy điện xoay chiều cảm ứng với mọi kích cỡ thuộc phạm vi áp dụng của TCVN 6627-1 (IEC 60034-1).
CHÚ THÍCH: Các phương pháp này có thể áp dụng cho các loại máy điện khác như bộ chuyển đổi quay, động cơ xoay chiều cổ góp và động cơ cảm ứng một pha.
2. Tài liệu viện dẫn
Các tài liệu viện dẫn dưới đây là cần thiết để áp dụng tiêu chuẩn này. Đối với các tài liệu có ghi năm công bố, chỉ áp dụng các bản được nêu. Đối với các tài liệu không ghi năm công bố, áp dụng bản mới nhất (kể cả các sửa đổi).
TCVN 6627-1 (IEC 60034-1), Máy điện quay – Phần 1: Thông số đặc trưng và tính năng
TCVN 6627-2A (IEC 60034-2A), Máy điện quay – Phần 2A: Phương pháp thử nghiệm để xác định tổn hao và hiệu suất của máy điện quay (không kể máy điện dùng cho phương tiện kéo) – Đo tổn hao bằng phương pháp nhiệt lượng
TCVN 7697 (IEC 60044) (tất cả các phần), Máy biến đổi đo lường
TCVN 8098-1 (IEC 60051-1), Dụng cụ đo điện chỉ thị trực tiếp kiểu analog và các phụ kiện của dụng cụ đo – Phần 1: Định nghĩa và yêu cầu chung đối với tất cả các phần của bộ tiêu chuẩn này
IEC 60027-1, Letter symbols to be used in electrical technology – Part 1: General (Ký hiệu bằng chữ cái dùng trong công nghệ điện – Phần 1: Qui định chung)
IEC 60034-4, Rotating electrical machines – Part 4: Methods for determining synchronous machine quantities from tests (Máy điện quay – Phần 4: Phương pháp xác định các đại lượng của máy điện đồng bộ từ các thử nghiệm)
IEC 60034-19:1995, Rotating electrical machines – Part 19: Specific test methods for d.c. machines on conventional and rectifier-fed supplies (Máy điện quay – Phần 19: Phương pháp thử nghiệm cụ thể đối với máy điện một chiều nguồn thông thường và nguồn được cấp qua bộ chỉnh lưu)
IEC 60034-29, Rotating electrical machines – Part 29: Equivalent loading and super-position techniques – Indirect testing to determine temperature rise (Máy điện quay – Kỹ thuật mang tải tương đương và kỹ thuật xếp chồng – Thử nghiệm gián tiếp để xác định độ tăng nhiệt)
3. Thuật ngữ và định nghĩa
Tiêu chuẩn này áp dụng các thuật ngữ và định nghĩa nêu trong TCVN 6627-1 (IEC 60034-1), TCVN 8098-1 (IEC 60051-1) và các định nghĩa dưới đây.
3.1
Hiệu suất (efficiency)
Tỷ số giữa công suất ra và công suất vào theo cùng một đơn vị và thường được thể hiện dưới dạng phần trăm.
3.2 Thử nghiệm để xác định trực tiếp hiệu suất
3.2.1
Phương pháp chung (general)
Phương pháp trong đó việc xác định trực tiếp hiệu suất được thực hiện bằng phép đo trực tiếp công suất vào và công suất ra.
3.2.2
Thử nghiệm bằng thiết bị đo mômen (torque meter test)
Thử nghiệm trong đó công suất cơ đầu ra của máy điện ở chế độ động cơ được xác định bằng cách đo mômen trên trục bằng thiết bị đo mômen cùng với đo tốc độ quay. Một cách khác, thử nghiệm được thực hiện trên máy điện làm việc như một máy phát, dùng thiết bị đo mômen để xác định công suất cơ đầu vào.
3.2.3
Thử nghiệm bằng thiết bị đo lực (dynamometer test)
Thử nghiệm theo 3.2.2 nhưng đo mômen trên trục bằng thiết bị đo lực.
3.2.4
Thử nghiệm nối trục sử dụng hai nguồn cung cấp (dual-supply back-to-back test)
Thử nghiệm trong đó hai máy điện giống hệt nhau được nối cơ với nhau và tổng các tổn hao của cả hai máy điện được tính từ chênh lệch giữa công suất điện đầu vào của máy này và công suất điện đầu ra của máy kia.
3.3 Thử nghiệm để xác định gián tiếp hiệu suất
3.3.1
Phương pháp chung (general)
Thử nghiệm trong đó việc xác định gián tiếp hiệu suất được thực hiện bằng cách đo công suất vào hoặc công suất ra và xác định tổn hao tổng. Tổn hao này được cộng vào công suất ra để có công suất vào hoặc lấy công suất vào trừ đi tổn hao tổng này để có công suất ra.
3.3.2
Thử nghiệm nối trục sử dụng một nguồn cung cấp (single-supply back-to-back test)
Thử nghiệm trong đó hai máy điện giống hệt nhau được nối cơ với nhau và cả hai đều được nối với một hệ thống điện. Tổn hao tổng của cả hai máy điện được tính là công suất vào lấy từ hệ thống.
3.3.3
Thử nghiệm không tải (no-load test)
Thử nghiệm trong đó cho máy điện làm việc ở chế độ động cơ nhưng không tạo ra công suất cơ có ích trên trục hoặc cho máy điện làm việc ở chế độ máy phát với các đầu nối của nó để hở mạch.
3.3.4
Thử nghiệm với hệ số công suất bằng không (máy điện đồng bộ) (zero power factor test (synchronous machines))
Thử nghiệm không tải trên máy điện đồng bộ quá kích thích và làm việc với hệ số công suất rất gần “không”.
3.3.5
Phương pháp mạch điện tương đương (máy điện cảm ứng) (equivalent circuit method (induction machines))
Thử nghiệm trong đó tổn hao được xác định nhờ sơ đồ mạch điện tương đương.
3.3.6
Thử nghiệm với rôto được tháo ra và thử nghiệm quay ngược rôto (máy điện cảm ứng) (test with rotor removed and reverse rotation test (induction machines))
Thử nghiệm kết hợp trong đó tổn hao bổ sung khi có tải được xác định bằng thử nghiệm với rôto được tháo ra và thử nghiệm cho rôto quay theo chiều ngược với chiều quay của trường từ.
3.3.7
Thử nghiệm ngắn mạch (máy điện đồng bộ) (short-circuit test (synchronous machines))
Thử nghiệm trong đó máy điện làm việc ở chế độ máy phát với các đầu nối của nó bị ngắn mạch.
3.3.8
Thử nghiệm khóa cứng rôto (locked-rotor test)
Thử nghiệm trong đó rôto được khóa cứng.
3.3.9
Thử nghiệm nối eh-sao (eh-star test)
Thử nghiệm trong đó động cơ nối sao chạy trên điện áp không cân bằng.
3.4 Tổn hao
3.4.1
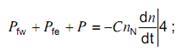
Tổn hao tổng PT (total losses PT)
Hiệu số giữa công suất vào và công suất ra, tương đương với tổng các tổn hao không đổi (xem 3.4.2), tổn hao có tải (xem 3.4.4), tổn hao bổ sung khi có tải (xem 3.4.5) và tổn hao mạch kích thích (xem 3.4.3).
3.4.2 Tổn hao không đổi
3.4.2.1
Tổn hao không đổi Pk (constant losses Pk)
Tổng các tổn hao sắt, tổn hao ma sát và tổn hao quạt gió.
3.4.2.2
Tổn hao sắt Pfe (iron losses Pfe)
Tổn hao trong lõi sắt tác dụng và tổn hao bổ sung khi không tải trên các bộ phận kim loại khác.
3.4.2.3 Tổn hao ma sát và tổn hao quạt gió Pfw
3.4.2.3.1
Tổn hao ma sát (friction losses)
Tổn hao do ma sát (ở ổ trục và chổi than, nếu không bị nâng lên ở các điều kiện danh định) không tính đến tổn hao trong hệ thống bôi trơn riêng rẽ. Tổn hao trong các ổ trục chung phải được chỉ ra riêng rẽ, cho dù ổ trục này có được cung cấp cùng với máy điện hay không. Tổn hao ổ trục phụ thuộc vào nhiệt độ làm việc của ổ trục, loại dầu và nhiệt độ dầu bôi trơn.
CHÚ THÍCH 1: Khi có yêu cầu tính đến tổn hao trong hệ thống bôi trơn riêng rẽ thì tổn hao này phải được liệt kê riêng.
Đối với máy điện trục đứng, tổn hao trong ổ chặn phải được xác định không tính đến bất kỳ lực dọc trục bên ngoài nào.
CHÚ THÍCH 2: Tổn hao bổ sung do lực dọc trục bên ngoài có thể được chỉ ra riêng rẽ theo thoả thuận, khi đó cần tính đến tải trọng dọc trục, nhiệt độ của ổ trục, loại dầu và cả nhiệt độ dầu.
CHÚ THÍCH 3: Tổn hao ma sát do tải trọng dọc trục có thể được tính đến theo thỏa thuận.
Nếu máy điện thử nghiệm sử dụng làm mát chảy trực tiếp vào ổ trục thì các tổn hao này được phân bố giữa máy điện thử nghiệm và máy điện khác bất kỳ nối cơ với nó, như tuabin, tỷ lệ với khối lượng của các phần quay của chúng. Nếu không làm mát chảy trực tiếp thì sự phân bố tổn hao ổ trục phải được xác định bằng các công thức kinh nghiệm theo thỏa thuận.
3.4.2.3.2
Tổn hao quạt gió (windage losses)
Tổn hao tổng do ma sát khí động học trong tất cả các phần của máy điện, kể cả công suất tiêu thụ trên các cánh quạt lắp trên trục và trong máy phụ tạo thành tổ hợp của máy điện.
CHÚ THÍCH 1: Tổn hao trong hệ thống thông gió riêng rẽ cần được liệt kê riêng.
CHÚ THÍCH 2: Đối với máy điện làm mát gián tiếp hoặc trực tiếp bằng hyđrô, xem TCVN 6627-1 (IEC 60034-1).
3.4.3 Tổn hao mạch kích thích
3.4.3.1
Tổn hao mạch kích thích Pe (excitation circuit losses Pe)
Tổng các tổn hao dây quấn kích thích (xem 3.4.3.2), tổn hao máy kích thích (xem 3.4.3.3) và, đối với máy điện đồng bộ, tổn hao trên chổi than (xem 3.4.3.5), nếu có.
3.4.3.2
Tổn hao dây quấn kích thích Pf (excitation winding losses Pf)
Tổn hao dây quấn kích thích (kích từ) bằng tích của dòng điện kích thích Ie và điện áp kích thích Ue.
3.4.3.3
Tổn hao trên máy kích thích PEd (exciter losses PEd)
Tổn hao trên máy kích thích đối với các hệ thống kích thích khác nhau (xem Phụ lục C) được xác định như sau:
a) Máy kích thích gắn trực tiếp với máy điện
Tổn hao trên máy kích thích là công suất tiêu thụ bởi máy kích thích tại trục của nó (trừ đi tổn hao ma sát và tổn hao quạt gió) cộng với công suất P1E lấy từ nguồn độc lập ở các đầu nối dây quấn kích thích của máy kích thích, trừ đi công suất hữu ích mà máy kích thích cung cấp ở đầu nối của nó. Công suất hữu ích ở các đầu nối của máy kích thích chính là tổn hao dây quấn kích thích theo 3.4.3.2 cộng với (trong trường hợp máy điện đồng bộ) tổn hao trên chổi than theo 3.4.3.5.
Nếu máy kích thích có thể tách riêng và được thử nghiệm riêng rẽ thì các tổn hao của nó có thể được xác định theo 5.3.
Nếu máy kích thích có nguồn cung cấp phụ độc lập thì công suất tiêu thụ của các nguồn này được tính vào tổn hao trên máy kích thích trừ khi chúng đã được tính vào công suất tiêu thụ phụ của máy điện.
b) Máy kích thích không chổi than
Tổn hao trên máy kích thích không chổi than là công suất tiêu thụ trên trục của máy kích thích, trừ đi tổn hao ma sát và tổn hao quạt gió (khi thử nghiệm liên quan được thực hiện trên tổ máy điện và máy kích thích), cộng với công suất P1E từ nguồn độc lập (nếu có) do dây quấn kích từ hoặc dây quấn stato của nó tiêu thụ (trong trường hợp máy kích thích cảm ứng), trừ đi công suất hữu ích mà máy kích thích cung cấp ở các đầu nối của bộ chuyển đổi công suất kiểu quay.
Nếu máy kích thích có nguồn cung cấp phụ độc lập thì công suất tiêu thụ của các nguồn này được tính vào tổn hao trên máy kích thích trừ khi chúng đã được tính vào công suất tiêu thụ phụ của máy điện.
Nếu máy kích thích có thể tách riêng và được thử nghiệm riêng rẽ thì các tổn hao của nó có thể được xác định theo 5.3.
c) Máy kích thích kiểu quay độc lập
Tổn hao của máy kích thích bằng công suất tiêu thụ của động cơ truyền động cộng với công suất tiêu thụ của các nguồn cung cấp phụ độc lập của cả máy điện truyền động và máy điện được truyền động, kể cả công suất được cung cấp bởi nguồn độc lập đến các đầu nối dây quấn kích thích của chúng, rồi trừ đi công suất kích thích được cung cấp như ở 3.4.3.2 và 3.4.3.4. Tổn hao trên máy kích thích có thể được xác định theo 5.3.
d) Hệ thống kích thích tĩnh (máy kích thích tĩnh)
Tổn hao của hệ thống kích thích bằng công suất được lấy từ nguồn cung cấp của nó cộng với công suất tiêu thụ của các nguồn cung cấp phụ độc lập trừ đi công suất kích thích được cung cấp như ở 3.4.3.2 và 3.4.3.4.
Trong trường hợp hệ thống được cấp điện từ máy biến áp thì tổn hao máy biến áp phải được tính vào tổn hao trên máy kích thích.
e) Kích thích từ dây quấn phụ (máy kích thích là dây quấn phụ)
Tổn hao trên máy kích thích là tổn hao đồng trong dây quấn phụ (thứ cấp) và tổn hao sắt bổ sung do tăng các hài từ thông tạo ra. Tổn hao sắt bổ sung là hiệu số giữa các tổn hao xuất hiện khi dây quấn phụ mang tải và khi không mang tải.
Vì khó để tách riêng thành phần tổn hao của kích thích, do đó cần coi các tổn hao này là phần không tách rời của tổn hao stato khi xác định tổn hao tổng.
Trong trường hợp c) và d) không tính đến các tổn hao trong nguồn kích thích (nếu có) hoặc trong các mối nối giữa nguồn và chổi than (máy điện đồng bộ) hoặc giữa nguồn và các đầu nối của dây quấn kích thích (máy điện một chiều).
Nếu kích thích được cung cấp bởi hệ thống có các thành phần được mô tả như trong các điểm từ b) đến e) thì tổn hao trên máy kích thích phải gồm có tổn hao liên quan của các thành phần thuộc các loại được liệt kê trong Phụ lục C nếu thuộc đối tượng áp dụng.
3.4.3.4
Công suất kích thích được cung cấp độc lập P1E (separately supplied excitation power P1E) Công suất kích thích P1E được cấp từ nguồn cung cấp độc lập là:
- đối với máy kích thích loại a) và b), là công suất kích thích của máy kích thích (máy kích thích một chiều hoặc đồng bộ) hoặc công suất vào của dây quấn stato (máy kích thích cảm ứng). Công suất này bao trùm một phần tổn hao của máy kích thích PEd (và tổn hao khác trong máy kích thích cảm ứng) trong khi phần lớn Pe được cung cấp qua trục;
- đối với máy kích thích loại c) và d), là tổn hao mạch kích thích, P1E = Pe;
- đối với máy kích thích loại e), P1E = 0 vì công suất kích thích được lấy hoàn toàn trên trục. Cũng như vậy, P1E = 0 đối với máy điện có kích thích bằng nam châm vĩnh cửu.
Các loại máy kích thích phải phù hợp với 3.4.3.3.
3.4.3.5
Tổn hao trên chổi than Pb (mạch kích thích) (brush losses Pb (excitation circuit))
Tổn hao điện trên chổi than (kể cả tổn hao tiếp xúc) của các máy điện đồng bộ có kích thích độc lập.
3.4.4 Tổn hao có tải
3.4.4.1
Tổn hao có tải PL (load losses PL)
Tổng của các tổn hao dây quấn (I2R) (xem 3.4.4.2) và tổn hao trên chổi than (xem 3.4.4.3), nếu có.
3.4.4.2
Tổn hao dây quấn (winding losses)
Tổn hao dây quấn là các tổn hao I2R:
- trong mạch phần ứng của máy điện một chiều;
- trong dây quấn stato và dây quấn rôto của máy điện cảm ứng;
- trong dây quấn phần ứng của máy điện đồng bộ.
3.4.4.3
Tổn hao trên chổi than Pb (mạch điện mang tải) (brush losses Pb (load circuits))
Tổn hao điện trên chổi than (kể cả tổn hao tiếp xúc) trong mạch phần ứng của máy điện một chiều và trong máy điện cảm ứng rôto dây quấn.
3.4.5
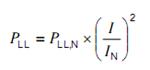
Tổn hao bổ sung khi có tải PLL (tổn hao tải tạp tán) (additional load losses PLL (stray-load losses))
Tổn hao sinh ra bởi dòng điện tải cảm ứng vào lõi sắt tác dụng và các bộ phận kim loại khác không phải vật dẫn; tổn hao dòng điện xoáy trong dây quấn do từ thông đập mạch phụ thuộc vào dòng điện tải gây ra và tổn hao bổ sung trên chổi than gây ra do chuyển mạch.
CHÚ THÍCH: Các tổn hao này không bao gồm tổn hao bổ sung khi không tải ở 3.4.2.2.
3.4.6
Tổn hao ngắn mạch Psc (short-circuit losses Psc)
Tổn hao phụ thuộc dòng điện trong máy điện đồng bộ và máy điện một chiều khi ngắn mạch dây quấn phần ứng.
3.5 Đại lượng thử nghiệm (máy điện xoay chiều nhiều pha)
3.5.1
Điện áp đầu nối (terminal voltage)
Trung bình số học của các điện áp dây, đối với máy điện xoay chiều nhiều pha.
3.5.2
Dòng điện dây (line current)
Trung bình số học của các dòng điện dây, đối với máy điện xoay chiều nhiều pha.
3.5.3
Điện trở pha-pha (line-to-line resistance)
Trung bình số học của điện trở pha-pha qua từng tập hợp các đầu nối, đối với máy điện xoay chiều nhiều pha.
CHÚ THÍCH 1: Đối với máy điện ba pha nối Y, điện trở pha bằng 0,5 điện trở pha-pha. Đối với máy điện nối Δ, điện trở pha bằng 1,5 điện trở pha-pha.
CHÚ THÍCH 2: Điều 7, 8 và 9 đưa ra giải thích và công thức cho máy điện ba pha, trừ khi có qui định khác.
4 Ký hiệu và thuật ngữ viết tắt
4.1 Ký hiệu
cos φ là hệ số công suất[1]
f là tần số nguồn, Hz
I là dòng điện dây trung bình, A
kθ là hệ số hiệu chỉnh nhiệt độ
n là tốc độ làm việc, s–1
p là số đôi cực
P là công suất, W
P0 là công suất vào khi không tải, W
P1 là công suất vào, không kể kích thích[2], W
P2 là công suất ra, W
Pb là tổn hao trên chổi than, W
Pe là tổn hao mạch kích thích, W
P1E là công suất kích thích được cấp từ nguồn độc lập, W
PEd là tổn hao trên máy kích thích, W
Pel là công suất điện, không kể kích thích, W
Pf là tổn hao dây quấn kích thích (kích từ), W
Pfe là tổn hao sắt, W
Pfw là tổn hao ma sát và tổn hao quạt gió, W
PC là tổn hao không đổi, W
PL là tổn hao có tải, W
PLr là tổn hao dư, W
PLL là tổn hao bổ sung khi có tải, W
Pmech là công suất cơ, W
Pk là tổn hao ngắn mạch, W
PT là tổn hao tổng, W
Pw là tổn hao dây quấn, W, trong đó chỉ số dưới w thường được thay bởi a, f, e, s hoặc r
R là điện trở dây quấn, Ω
Reh là giá trị thực của điện trở phụ dùng cho thử nghiệm nối eh-sao (xem 6.4.5.5), Ω
R’eh là giá trị điển hình của điện trở phụ, Ω
Rf là điện trở dây quấn kích từ, Ω
RII là điện trở pha-pha trung bình, Ω
Rph là điện trở pha trung bình, Ω
s là hệ số trượt, tính bằng đơn vị tương đối của tốc độ đồng bộ
T là mômen máy điện, N.m
Td là số đọc của thiết bị đo mômen, N.m
Tc là mômen hiệu chỉnh, N.m
U là điện áp đầu nối trung bình, V
U0 là điện áp đầu nối khi không tải, V
UN là điện áp đầu nối danh định, V
X là điện kháng, Ω
Z = R + j x X là ký hiệu trở kháng phức
Z = là môđun trở kháng phức
Z là trở kháng, Ω
η là hiệu suất
θ0 là nhiệt độ ban đầu của dây quấn, oC
θa là nhiệt độ môi trường xung quanh, oC
θc là nhiệt độ lối vào môi chất làm mát sơ cấp, oC
θw là nhiệt độ dây quấn, oC
t là hằng số thời gian, s
4.2 Các chỉ số bổ sung
Các chỉ số dưới đây có thể được thêm vào ký hiệu để làm rõ chức năng của máy điện và phân biệt các giá trị.
Thành phần máy điện:
a phần ứng
e kích thích
f dây quấn kích từ
r rôto
s stato
w dây quấn
U, V, W ký hiệu pha
Loại máy điện:
B máy tăng thế
D thiết bị đo lực
E máy kích thích
G máy phát
M động cơ
Điều kiện làm việc:
0 không tải
1 đầu vào
2 đầu ra
av trung bình
d tiêu tán
el điện
i bên trong
L tải thử nghiệm
lr khóa cứng rôto
mech cơ
N danh định
red ở điện áp giảm thấp
t thử nghiệm
zpf thử nghiệm hệ số công suất bằng “không”
θ được hiệu chỉnh về nhiệt độ môi chất làm mát chuẩn.
CHÚ THÍCH: Các chỉ số bổ sung khác được giới thiệu trong các điều liên quan.
5 Yêu cầu cơ bản
5.1 Xác định trực tiếp và gián tiếp hiệu suất
Thử nghiệm có thể được chia thành ba loại sau:
a) phép đo đầu vào-đầu ra trên một máy điện duy nhất. Phép đo này bao gồm đo công suất điện hoặc công suất cơ vào máy điện và công suất cơ hoặc công suất điện lấy ra từ máy điện;
b) phép đo đầu vào và đầu ra trên hai máy điện giống hệt nhau nối trục với nhau về cơ. Việc này được thực hiện để loại bỏ phép đo công suất cơ đưa vào hoặc lấy ra từ máy điện;
c) phép đo tổn hao thực trong máy điện trong điều kiện cụ thể. Tổn hao này thường không phải là tổn hao tổng nhưng chứa các thành phần tổn hao nhất định. Tuy nhiên, có thể sử dụng phương pháp này để tính tổn hao tổng hoặc tính tổn hao thành phần.
Việc xác định tổn hao tổng phải được thực hiện theo một trong các phương pháp sau:
- đo tổn hao tổng;
- xác định các tổn hao riêng rẽ rồi tính tổn hao tổng;
CHÚ THÍCH: Các phương pháp xác định hiệu suất của máy điện dựa vào một số giả thiết. Do đó, không thể thực hiện so sánh giữa các giá trị hiệu suất thu được bằng các phương pháp khác nhau.
5.2 Độ không đảm bảo đo
Độ không đảm bảo đo sử dụng trong tiêu chuẩn này là độ không đảm bảo khi xác định hiệu suất thực. Nó phản ánh các biến đổi trong qui trình thử nghiệm và thiết bị thử nghiệm.
Mặc dù độ không đảm bảo đo cần được thể hiện bằng giá trị số nhưng yêu cầu này đòi hỏi thử nghiệm đủ để xác định giá trị đại diện và giá trị so sánh. Tiêu chuẩn này sử dụng các thuật ngữ độ không đảm bảo đo tương đối sau:
- “thấp” áp dụng cho việc xác định hiệu suất chỉ dựa trên các kết quả thử nghiệm;
- “trung bình” áp dụng cho việc xác định hiệu suất dựa trên phép gần đúng có giới hạn;
- “cao” áp dụng cho việc xác định hiệu suất dựa trên các giả thiết.
5.3 Phương pháp ưu tiên
Việc thiết lập các qui tắc cụ thể để xác định hiệu suất là khó. Việc chọn thử nghiệm để thực hiện phụ thuộc vào thông tin yêu cầu, độ chính xác yêu cầu, loại và kích cỡ máy điện liên quan và thiết bị thử nghiệm sẵn có (nguồn, tải hoặc máy điện truyền động).
Phương pháp ưu tiên đối với từng cấu hình máy điện được nêu trong các bảng từ Bảng 1 đến Bảng 3. Phương pháp thử nghiệm cần được chọn từ các qui trình có độ không đảm bảo đo thấp nhất.
Bảng 1 – Máy điện một chiều
| Phương pháp | Điều | Phương pháp ưu tiên | Thiết bị cần thiết | Độ không đảm bảo đo |
| Trực tiếp | ||||
| Thử nghiệm máy điện đã hiệu chuẩn | Phụ lục D |
| Máy điện đã hiệu chuẩn | Xem chú thích 3 |
| Phép đo mômen | 7.1.1 | Kích cỡ máy điện: H £ 180 | Thiết bị đo mômen/ thiết bị đo lực khi đầy tải | Thấp |
| Tổn hao tổng | ||||
| Thử nghiệm nối trục sử dụng một nguồn cung cấp | 7.2.1.1 |
| Hai máy điện giống nhau Máy phát tăng áp | Thấp |
| Tổng các tổn hao, bằng thử nghiệm có tải | ||||
| Thành phần một chiều PLL: thử nghiệm nối trục sử dụng một nguồn cung cấp | 7.2.2.6.1 |
| Hai máy điện giống nhau Máy phát tăng áp | Thấp |
| Thành phần một chiều PLL từ giá trị ấn định | 7.2.2.6.3 |
|
| Trung bình |
| Thành phần xoay chiều PLL từ nguồn chỉnh lưu qui định | 7.2.2.6.2 | Kích cỡ máy điện: H > 180 | Bộ chỉnh lưu qui định | Thấp |
| Tổng các tổn hao, không bằng thử nghiệm có tải | ||||
| Tổn hao kích thích từ tỷ số ấn định giữa dòng điện kích thích có tải và dòng điện kích thích không tải PLL từ giá trị ấn định | 7.2.2.5 |
| Nếu thiết bị thử nghiệm đối với các thử nghiệm khác không sẵn có (không có khả năng tạo tải, không có máy điện giống hệt) | Cao |
| CHÚ THÍCH 1: Do sự không chính xác của dụng cụ đo nên phương pháp thử nghiệm trực tiếp chỉ giới hạn ở các hiệu suất từ 95 % đến 96 %. Với mục đích thực tế, tiêu chuẩn này khuyến cáo các thử nghiệm trực tiếp đối với máy điện có chiều cao tâm trục đến 180 mm vì các máy điện này ít có khả năng hiệu suất vượt quá 95 %. Máy điện kích cỡ lớn hơn và hiệu suất dưới 95 % đến 96 % cũng có thể được thử nghiệm thành công bằng phương pháp thử nghiệm trực tiếp này. CHÚ THÍCH 2: Trong cột “độ không đảm bảo đo”, “Thấp” chỉ ra qui trình xác định tất cả các thành phần tổn hao bằng thử nghiệm; “Trung bình” chỉ ra qui trình dựa vào mô hình vật lý đơn giản của máy điện; “Cao” chỉ ra qui trình xác định tất cả các thành phần tổn hao đều không bằng các thử nghiệm. CHÚ THÍCH 3: Cần xác định độ không đảm bảo đo. | ||||
Bảng 2 – Máy điện cảm ứng
| Phương pháp | Điều | Phương pháp ưu tiên | Thiết bị cần thiết | Độ không đảm bảo đo |
| Trực tiếp | ||||
| Phép đo mômen | 8.1.1 | Tất cả máy điện một pha và nhiều pha £ 1 kW | Thiết bị đo mômen/ thiết bị đo lực khi đầy tải | Thấp |
| Thử nghiệm máy điện đã hiệu chuẩn | Phụ lục D |
| Máy điện đã hiệu chuẩn | Xem chú thích 4 |
| Thử nghiệm nối trục sử dụng hai nguồn cung cấp | 8.1.2 |
| Tổ máy điện khi đầy tải Hai máy điện giống nhau | Thấp |
| Tổn hao tổng | ||||
| Phương pháp nhiệt lượng | Phụ lục D |
| Hộp nhiệt riêng | Xem chú thích 4 |
| Thử nghiệm nối trục sử dụng một nguồn cung cấp | 8.2.1 |
| Hai máy điện giống nhau (rôto dây quấn) | Thấp |
| Tổng các tổn hao, bằng thử nghiệm có tải và không bằng thử nghiệm có tải | ||||
| PLL xác định từ tổn hao dư | 8.2.2.5.1 | Ba pha > 1 kW đến 150 kW | Thiết bị đo mômen/ thiết bị đo lực khi ³ 1,25 x đầy tải | Thấp |
| PLL từ giá trị ấn định | 8.2.2.5.3 |
|
| Trung bình đến cao |
| PLL bằng thử nghiệm với rôto được tháo ra và thử nghiệm quay ngược rôto | 8.2.2.5.2 |
| Động cơ phụ có công suất danh định £ 5 x tổn hao tổng PT | Cao |
| PLL bằng thử nghiệm nối Eh- sao | 8.2.2.5.4 | (xem chú thích 3) | Điện trở dùng cho 150 % dòng điện pha danh định | Trung bình |
| Tổng các tổn hao, không bằng thử nghiệm có tải | ||||
| Dòng điện, công suất và hệ số trượt từ phương pháp sơ đồ mạch điện tương đương PLL từ giá trị ấn định | 8.2.2.4.3 |
| Nếu thiết bị thử nghiệm đối với các thử nghiệm khác không sẵn có (không có khả năng tạotảidanhđịnh, không có máy điện giống hệt) | Trung bình/cao |
| CHÚ THÍCH 1: Do sự không chính xác trong phép đo, việc xác định PLL từ các tổn hao dư chỉ giới hạn ở các hệ số tương quan (xem 8.2.2.5.1.2) lớn hơn 0,95 và có thể có độ không đảm bảo đo của hiệu suất được xác định lớn hơn ± 0,5 %. CHÚ THÍCH 2: Trong cột “Độ không đảm bảo đo”, “Thấp” chỉ ra qui trình xác định tất cả các thành phần tổn hao bằng thử nghiệm; “Trung bình” chỉ ra qui trình dựa vào mô hình vật lý đơn giản của máy điện; “Cao” chỉ ra qui trình xác định tất cả các thành phần tổn hao đều không bằng các thử nghiệm. CHÚ THÍCH 3: Phương pháp đối với PLL bằng thử nghiệm nối Eh-sao thích hợp cho động cơ có công suất từ 1 kW đến 150 kW; các thông số đặc trưng lớn hơn đang được xem xét. Phương pháp này yêu cầu dây quấn có thể nối sao. CHÚ THÍCH 4: Cần xác định độ không đảm bảo đo. | ||||
Bảng 3 – Máy điện đồng bộ
| Phương pháp | Điều | Phương pháp ưu tiên | Thiết bị cần thiết | Độ không đảm bảo đo |
| Trực tiếp | ||||
| Phép đo mômen | 9.1.1 | Kích cỡ máy điện: H £ 180 | Thiết bị đo mômen/ thiết bị đo lực khi đầy tải | Thấp |
| Thử nghiệm máy điện đã hiệu chuẩn | Phụ lục D |
| Máy điện đã hiệu chuẩn | Xem chú thích 3 |
| Thử nghiệm nối trục sử dụng hai nguồn cung cấp | 9.1.2 |
| Hai máy điện giống nhau | Trung bình |
| Tổn hao tổng | ||||
| Hệ số công suất bằng “không” có dòng điện kích thích từ sơ đồ Potier/ASA/Swedish | 9.2.1.2 |
| Nguồn cho điện áp và dòng điện đầy đủ | Trung bình |
| Phương pháp nhiệt lượng | Phụ lục D |
| Hộp nhiệt riêng | Xem chú thích 3 |
| Thử nghiệm nối trục sử dụng một nguồn cung cấp | 9.2.1.1 |
| Hai máy điện giống nhau | Thấp |
| Tổng các tổn hao, bằng thử nghiệm có tải | ||||
| Tổng ngoại trừ PLL | 9.2.1 |
| Tổ máy điện khi đầy tải | Cao |
| PLL bằng thử nghiệm ngắn mạch | 9.2.2.6 | Kích cỡ máy điện: H > 180 |
| Thấp |
| Tổng các tổn hao, không bằng thử nghiệm có tải | ||||
| Dòng điện kích thích từ sơ đồ Potier/ASA/ Swedish PLL bằng thử nghiệm ngắn mạch | 9.2.2.4
9.2.2.6 |
| Nếu thiết bị thử nghiệm đối với các thử nghiệm khác không sẵn có (không có khả năng tạo tảidanh định, không có máy điện giống hệt) | Trung bình |
| CHÚ THÍCH 1: Do sự không chính xác của dụng cụ đo nên phương pháp thử nghiệm trực tiếp chỉ giới hạn ở hiệu suất từ 95 % đến 96 %. Với mục đích thực tế, tiêu chuẩn này khuyến cáo các thử nghiệm trực tiếp đối với máy điện có chiều cao tâm trục đến 180 mm vì các máy điện này ít có khả năng hiệu suất vượt quá 95 %. Máy điện kích cỡ lớn hơn và hiệu suất dưới 95 % đến 96 % cũng có thể được thử nghiệm thành công bằng phương pháp thử nghiệm trực tiếp này. CHÚ THÍCH 2: Trong cột “Độ không đảm bảo đo”, “Thấp” chỉ ra qui trình xác định tất cả các thành phần tổn hao bằng thử nghiệm; “Trung bình” chỉ ra qui trình dựa vào sơ đồ đơn giản mô hình vật lý đơn giản của máy điện; “Cao” chỉ ra qui trình xác định tất cả các thành phần tổn hao đều không bằng các thử nghiệm. CHÚ THÍCH 3: Cần xác định độ không đảm bảo đo. | ||||
CHÚ THÍCH: Trong các bảng này, H là chiều cao tâm trục (khoảng cách từ đường tâm của trục đến đáy của chân đế), tính bằng milimét (xem các số khung trong TCVN 7862-1 (IEC 60072-1)).
5.4 Nguồn cung cấp
5.4.1 Điện áp
Điện áp phải phù hợp với 7.2 (và 8.3.1 đối với thử nghiệm nhiệt) của TCVN 6627-1 (IEC 60034-1).
5.4.2 Tần số
Tần số phải nằm trong phạm vi ±0,3 % so với tần số danh định trong các phép đo.
CHÚ THÍCH: Yêu cầu này không áp dụng cho phương pháp mạch điện tương đương (6.4.4.4).
5.5 Dụng cụ đo
5.5.1 Yêu cầu chung
Vì độ chính xác của dụng cụ đo thường được thể hiện bằng phần trăm của toàn thang đo nên dải đo của các dụng cụ đo được chọn phải càng nhỏ càng tốt.
CHÚ THÍCH: Đối với dụng cụ đo kiểu analog, các giá trị quan sát cần nằm trong một phần ba phía trên của dải đo.
5.5.2 Dụng cụ đo dùng cho các đại lượng điện
Dụng cụ đo phải có cấp chính xác 0,2 phù hợp với TCVN 8098-1 (IEC 60051-1).
CHÚ THÍCH: Đối với thử nghiệm thường xuyên mô tả ở 9.1 của TCVN 6627-1 (IEC 60034-1), cấp chính xác 0,5 là đủ.
Nếu không có qui định khác trong tiêu chuẩn này, phải sử dụng giá trị trung bình số học của ba dòng điện dây và điện áp dây.
5.5.3 Máy biến đổi đo lường
Máy biến đổi đo lường phải có cấp chính xác phù hợp với TCVN 7697-1 (IEC 60044-1) để các sai số của máy biến đổi đo lường không lớn hơn ±0,5 % đối với thử nghiệm chung hoặc không lớn hơn ±0,3 % đối với máy điện cảm ứng, phương pháp tính tổng tổn hao có xác định tổn hao bổ sung khi có tải theo 8.2.2.5.1.
5.5.4 Đo mômen
Dụng cụ đo được sử dụng để đo mômen phải có độ chính xác bằng ±0,2 % của toàn thang đo.
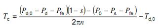
Khi đo mômen trên trục bằng thiết bị đo lực, phải thực hiện thử nghiệm hiệu chỉnh mômen. Điều này cũng áp dụng nếu có ổ trục hoặc bộ phận nối trục bất kỳ chèn giữa thiết bị đo mômen và trục động cơ. Mômen máy điện T được tính bằng công thức:
T = Td + Tc
trong đó
Td là số đọc mômen của thử nghiệm có tải;
Tc là độ hiệu chỉnh mômen theo Phụ lục A.
5.5.5 Đo tốc độ và tần số
Dụng cụ đo được dùng để đo tần số phải có cấp chính xác bằng ± 0,1 % của toàn thang đo. Phép đo tốc độ cần có cấp chính xác trong phạm vi 0,1 % hoặc 1 r/min, chọn giá trị cho sai số ít nhất.
CHÚ THÍCH 1: Tốc độ tính bằng min-1 chính là n tính bằng s-1 x 60.
CHÚ THÍCH 2: Phép đo hệ số trượt bằng phương pháp thích hợp được thay cho phép đo tốc độ.
5.5.6 Đo nhiệt độ
Dụng cụ đo dùng để đo nhiệt độ dây quấn phải có độ chính xác bằng ±1 oC.
5.6 Đơn vị
Nếu không có qui định khác, đơn vị của các giá trị là đơn vị thuộc hệ SI được liệt kê trong IEC 60027-1.
5.7 Điện trở
5.7.1 Điện trở thử nghiệm
Điện trở dây quấn R là giá trị tính bằng ôm, được xác định bằng phương pháp thích hợp.
Đối với máy điện một chiều, R là điện trở tổng của tất cả các dây quấn mang dòng điện phần ứng (dây quấn phần ứng, dây quấn cực từ phụ, dây quấn bù, dây quấn hỗn hợp). Trong trường hợp không thể đo điện trở do điện trở rất thấp thì cho phép sử dụng các giá trị tính được.
Đối với máy điện một chiều và máy điện đồng bộ, Rf là điện trở dây quấn kích từ.
Đối với máy điện xoay chiều nhiều pha, R = Rll là điện trở pha-pha của dây quấn stato hoặc dây quấn phần ứng theo 3.5.3. Trong trường hợp máy điện cảm ứng rôto dây quấn, Rr,ll là điện trở pha-pha của rôto. Điện trở thử nghiệm ở cuối thử nghiệm nhiệt phải được xác định tương tự với qui trình ngoại suy như mô tả ở 8.6.2.3.3 của TCVN 6627-1 (IEC 60034-1), sử dụng thời gian ngắn nhất có thể thay vì khoảng thời gian qui định ở Bảng 5 của TCVN 6627-1 (IEC 60034-1) và ngoại suy về zero.
Nhiệt độ thử nghiệm của dây quấn phải được xác định theo 5.7.2.
Khi không thể đo trực tiếp được điện trở dây quấn (có tải) thì giá trị điện trở thử nghiệm phải được điều chỉnh bởi chênh lệch giữa nhiệt độ của điện trở đo được và nhiệt độ rút ra theo 5.7.2, các phương pháp từ a) đến e).
5.7.2 Nhiệt độ dây quấn
Nhiệt độ thử nghiệm dây quấn phải được xác định bằng một trong các phương pháp sau (được chỉ ra theo thứ tự ưu tiên):
a) nhiệt độ xác định từ điện trở thử nghiệm có tải danh định RN bằng qui trình ngoại suy như mô tả ở 5.7.1;
b) nhiệt độ được đo trực tiếp bằng ETD hoặc nhiệt ngẫu;
c) nhiệt độ được xác định theo a) trên máy điện giống hệt có cùng kết cấu và thiết kế điện.
d) khi không có sẵn khả năng tạo tải, xác định nhiệt độ làm việc theo IEC 60034-29;
e) khi không đo được trực tiếp điện trở thử nghiệm có tải danh định RN, thì nhiệt độ dây quấn được coi là nhiệt độ chuẩn tương ứng với cấp chịu nhiệt danh định như nêu trong Bảng 4.
Bảng 4 – Nhiệt độ chuẩn
| Cấp chịu nhiệt của hệ thống cách điện | Nhiệt độ chuẩn oC |
| 130 (B) | 95 |
| 155 (F) | 115 |
| 180 (H) | 135 |
Nếu độ tăng nhiệt danh định hoặc nhiệt độ danh định được qui định là giá của cấp chịu nhiệt thấp hơn cấp chịu nhiệt sử dụng trong kết cấu thì nhiệt độ chuẩn phải là nhiệt độ của cấp chịu nhiệt thấp hơn này.
5.7.3 Hiệu chỉnh về nhiệt độ môi chất làm mát chuẩn
Giá trị điện trở dây quấn trong khi thử nghiệm phải được qui về nhiệt độ chuẩn tiêu chuẩn bằng 25 oC.
Hệ số hiệu chỉnh để điều chỉnh điện trở dây quấn (và hệ số trượt trong trường hợp máy điện cảm ứng lồng sóc) về nhiệt độ môi chất làm mát chuẩn tiêu chuẩn bằng 25 oC phải được xác định bằng:
trong đó
kθ là hệ số hiệu chỉnh nhiệt độ đối với dây quấn;
θc là nhiệt độ môi chất làm mát ở đầu vào trong khi thử nghiệm;
θw là nhiệt độ dây quấn theo 5.7.2.
Hằng số nhiệt độ là 235 đối với đồng; là 225 đối với dây quấn bằng nhôm.
Đối với máy điện có môi chất làm mát sơ cấp hoặc thứ cấp là nước, nhiệt độ chuẩn của nước phải là 25 oC theo Bảng 4 của TCVN 6627-1 (IEC 60034-1). Giá trị thay thế được qui định theo thỏa thuận.
6 Phương pháp thử nghiệm để xác định hiệu suất
6.1 Tình trạng của máy điện cần thử nghiệm và loại thử nghiệm
Thử nghiệm phải được tiến hành trên máy điện đã lắp ráp các thành phần thiết yếu đúng vị trí, để đạt được các điều kiện thử nghiệm như làm việc bình thường hoặc tương tự như điều kiện làm việc bình thường.
CHÚ THÍCH 1: Tốt nhất là chọn ngẫu nhiên các máy điện từ loạt sản xuất mà không xem xét đặc biệt.
CHÚ THÍCH 2: Các phần tử dùng để bịt kín có thể được tháo ra trong khi thử nghiệm, nếu thử nghiệm bổ sung trên máy điện có thiết kế tương tự chứng tỏ rằng ma sát là không đáng kể sau thời gian làm việc đủ dài.
Các thử nghiệm phụ tạo thành một qui trình thử nghiệm phải được thực hiện theo thứ tự liệt kê. Không nhất thiết thực hiện xong thử nghiệm này thì phải thực hiện ngay thử nghiệm kia. Tuy nhiên, thử nghiệm phụ nào thực hiện chậm lại hoặc riêng rẽ, thì điều kiện nhiệt qui định phải được thiết lập lại trước khi thu nhận các dữ liệu thử nghiệm.
Trên máy điện có chổi than điều chỉnh được, phải đặt chổi than ở vị trí ứng với thông số đặc trưng qui định. Trên động cơ cảm ứng rôto dây quấn có cơ cấu nâng chổi than, chổi than phải được nâng lên trong quá trình thử nghiệm, với dây quấn rôto nối tắt. Trong máy điện một chiều, đối với phép đo khi không tải, chổi than phải được đặt ở trung tính hình học.
6.2 Phép đo trên mạch điện kích thích
Việc xác định điện áp Ue và dòng điện Ie (xem 3.4.3.2) phụ thuộc vào cấu hình của hệ thống kích thích (xem 3.4.3.3). Trong trường hợp thuộc đối tượng áp dụng, dữ liệu thử nghiệm phải được ghi lại như sau:
a) đối với máy điện được kích thích bằng máy kích thích truyền động bằng trục, máy kích thích kiểu quay độc lập, máy kích thích tĩnh và máy kích thích có dây quấn phụ (xem 3.4.3.3 a), c), d) và e)), điện áp Ue và dòng điện Ie được đo:
- tại các đầu nối của dây quấn kích thích của máy điện một chiều;
- tại các vành trượt của dây quấn kích từ của máy điện đồng bộ;
b) đối với máy điện được kích thích bằng máy kích thích không chổi than (xem 3.4.3.3 b)), dữ liệu thử nghiệm phải được ghi lại bằng một trong các phương pháp sau:
- điện áp Ue đo được bằng cách sử dụng vành trượt phụ (tạm thời) nối đến các đầu của dây quấn kích từ. Từ điện áp này và điện trở Re, xác định dòng điện của dây quấn kích thích Điện trở dây quấn kích từ cần được đo sau khi ngắt điện vào máy điện, sử dụng qui trình ngoại suy theo 5.7.1;
- điện áp Ue và dòng điện Ie đo được bằng cách sử dụng các vành trượt cấp nguồn thích hợp đối với phép đo trực tiếp dòng điện dây quấn kích từ.
CHÚ THÍCH: Chênh lệch giữa Ue và Uf (điện áp rơi) trong thực tế gần như không đáng kể.
Điện áp và dòng điện phải được đo ở nhiệt độ ổn định.
Tổn hao mạch kích thích Pe được xác định theo 7.2.2.5 (máy điện một chiều) hoặc 9.2.2.4 (máy điện đồng bộ).
6.3 Phép đo trực tiếp
6.3.1 Thử nghiệm đo mômen
6.3.1.1 Yêu cầu chung
Đây là các phương pháp thử nghiệm trong đó công suất cơ Pmech của máy điện được xác định bằng cách đo mômen trên trục và tốc độ. Công suất điện Pel (của stato trong máy điện xoay chiều, của phần ứng trong máy điện một chiều) cũng được đo ở thử nghiệm này.
Công suất vào và công suất ra là:
| - ở chế độ động cơ: | P1 = Pel; P2 = Pmech (xem Hình 1); |
| - ở chế độ máy phát: | P1 = Pmech; P2 = Pel |
CHÚ THÍCH: Nói chung nên lấy nhiều số đọc của tất cả các dụng cụ đo ở từng điểm tải trong thời gian ngắn và lấy trung bình các kết quả để có được giá trị thử nghiệm chính xác hơn.

Hình 1 – Sơ đồ thử nghiệm đo mômen
6.3.1.2 Thử nghiệm bằng thiết bị đo mômen
Nối động cơ cần thử nghiệm với một máy điện để mang tải hoặc nối máy phát cần thử nghiệm với một động cơ cùng với một thiết bị đo mômen. Cho máy điện cần thử nghiệm làm việc ở tải yêu cầu.
Ghi lại U, I, Pel, n, T, θc.
Khi có yêu cầu kích thích, tiến hành theo 6.2.
6.3.1.3 Thử nghiệm bằng thiết bị đo lực
Nối máy điện thử nghiệm với thiết bị đo lực. Hiệu chuẩn thiết bị đo lực sao cho số đọc trên thiết bị đo lực là 0,0 khi mômen trên trục bằng 0,0 (xem 5.5.3). Cho máy điện cần thử nghiệm làm việc ở tải yêu cầu.
Ghi lại U, I, Pel, n, T, θc.
Khi có yêu cầu kích thích, tiến hành theo 6.2.
6.3.2 Thử nghiệm nối trục sử dụng hai nguồn cung cấp
6.3.2.1 Yêu cầu chung
Nối cơ hai máy điện giống nhau với nhau (xem Hình 2).
Thử nghiệm được thực hiện với các nguồn cung cấp hoán đổi được nhưng phải giữ nguyên thiết bị đo và máy biến đổi đo lường đi cùng máy điện.

Hình 2 – Sơ đồ dùng cho thử nghiệm nối trục sử dụng hai nguồn cung cấp
(đối với máy điện đồng bộ: IM = IG, fM = fG)
6.3.2.2 Máy điện cảm ứng
Nối các đầu nối của máy điện được truyền động (máy phát cảm ứng) với tổ máy điện hoặc bộ biến đổi có méo hài thấp để cung cấp công suất phản kháng nhưng tiêu thụ công suất tác dụng. Cấp điện cho một máy điện (động cơ đối với thông số đặc trưng của động cơ, máy phát đối với thông số đặc trưng của máy phát) ở điện áp và tần số danh định; máy điện thứ hai phải được cấp điện với tần số thấp hơn tần số của máy điện thứ nhất khi làm việc như máy phát hoặc cao hơn khi làm việc như động cơ. Điện áp của máy điện thứ hai phải là điện áp yêu cầu để cho tỷ số điện áp trên tần số danh định.
Đảo các mối nối động cơ và máy phát và lặp lại thử nghiệm.
Đối với mỗi thử nghiệm, ghi lại:
– UM, IM, P1, f, sM đối với động cơ;
– UG, IG, P2, fG, sG đối với máy phát;
– θc.
6.3.2.3 Máy điện đồng bộ
Điện áp và dòng điện của hai máy điện này phải giống hệt nhau, và một máy điện (động cơ đối với thông số đặc trưng của động cơ, máy phát đối với thông số đặc trưng của máy phát) phải có hệ số công suất danh định. Điều này có thể đạt được bằng tổ máy điện đồng bộ và máy điện một chiều trả công suất máy phát về lưới.
CHÚ THÍCH: Hệ số công suất và dòng điện kích thích của máy điện còn lại sẽ khác với các giá trị danh định từ tổn hao tiêu thụ bởi hai máy điện.
Đảo các mối nối động cơ và máy phát và lặp lại thử nghiệm.
Đối với mỗi thử nghiệm, ghi lại: U, I, f, P1, P2, cos φM, cos φG, θc.
Đối với hệ thống kích thích, tiến hành theo 6.2.
6.4 Phép đo gián tiếp
6.4.1 Tổng tổn hao
6.4.1.1 Thử nghiệm nối trục sử dụng một nguồn cung cấp
6.4.1.1.1 Yêu cầu chung
Thử nghiệm này áp dụng cho máy điện cảm ứng một chiều rôto dây quấn và máy điện đồng bộ. Nối cơ hai máy điện giống hệt nhau và nối điện cho cả hai vào cùng nguồn cung cấp để hai máy điện làm việc ở tốc độ danh định và điện áp danh định, một máy điện ở chế độ động cơ còn máy kia ở chế độ máy phát.
CHÚ THÍCH: Một cách khác, tổn hao này có thể được cung cấp bằng động cơ truyền động đã hiệu chuẩn, bằng một máy tăng áp hoặc kết hợp các phương tiện này.
6.4.1.1.2 Máy điện một chiều
Nối máy điện được truyền động với nguồn bằng một máy phát có máy tăng áp nối tiếp (xem Hình 3). Cho cả hai máy điện làm việc ở dòng điện và điện áp nội bộ tương ứng với điểm tải tại đó hiệu suất được yêu cầu. Đối với động cơ, nguồn cung cấp phải cung cấp điện áp danh định và tải yêu cầu cho động cơ. Đối với máy phát, điện áp được điều chỉnh bằng máy tăng áp đến điện áp danh định và tải yêu cầu ở máy phát. Nguồn cung cấp điện áp chịu phần lớn tổn hao không tải, máy tăng áp chịu phần lớn tổn hao có tải.

Hình 3 – Sơ đồ dùng cho thử nghiệm nối trục sử dụng một nguồn cung cấp, máy điện một chiều
Nếu không có sẵn máy tăng áp thì điện áp đầu nối chung cần được điều chỉnh sao cho giá trị trung bình của dòng điện của cả hai máy điện là dòng điện danh định.
Đối với mỗi thử nghiệm, ghi lại:
– UM, I1 của nguồn cung cấp;
– PM tiêu thụ tại đầu nối động cơ;
– UB, IB của máy tăng áp;
– n, θc.
Đối với hệ thống kích thích, tiến hành theo 6.2.
6.4.1.1.3 Máy điện cảm ứng rôto dây quấn
Dây quấn rôto của động cơ phải được nối tắt còn dây quấn rôto của máy phát phải được nối với nguồn nhiều pha thích hợp để phân phối dòng điện rôto danh định ở tần số trượt. Công suất động cơ mong muốn sẽ đạt được bằng cách điều chỉnh tần số và dòng điện của nguồn cung cấp có tần số thấp hơn.
Đối với mỗi thử nghiệm, ghi lại:
– U1, P1, I1 của nguồn cung cấp tần số công nghiệp;
– Ur, Ir, Pr của nguồn cung cấp tần số thấp;
– PM công suất tiêu thụ tại đầu nối động cơ;
– PG công suất phát ra bởi máy phát
– θc.
6.4.1.1.4 Máy điện đồng bộ
Nối cơ các máy điện ở độ dịch chuyển góc của các rôto của chúng để một máy điện làm việc ở các điều kiện tải mà tại đó hiệu suất được yêu cầu, máy điện còn lại làm việc ở cùng giá trị tuyệt đối của dòng điện stato (xem Hình 4).

Hình 4 – Sơ đồ dùng cho thử nghiệm nối trục sử dụng một nguồn cung cấp, máy điện đồng bộ
CHÚ THÍCH: Độ dịch chuyển thể hiện bằng góc độ điện a trong điều kiện này xấp xỉ bằng hai lần góc độ điện nội tải ở điều kiện tải yêu cầu. Nói chung, với điện áp cho trước, công suất tùy thuộc vào góc a và dòng điện kích thích của động cơ và máy phát. Điều chỉnh dòng điện và hệ số công suất đến các giá trị danh định ở một máy điện; sai lệch dòng điện kích thích so với giá trị danh định ở máy điện còn lại có thể được sử dụng để xem xét độ chính xác.
Đối với mỗi thử nghiệm, ghi lại:
– U1, P1, I1 của nguồn cung cấp tần số công nghiệp;
– IM, PM của động cơ;
– IG, PG của máy phát;
– các giá trị của hệ thống kích thích theo 6.2.
– θc.
6.4.1.2 Thử nghiệm hệ số công suất bằng “không” (máy điện đồng bộ)
Trước thử nghiệm này, phải có sẵn các kết quả của thử nghiệm bão hoà không tải, thử nghiệm ngắn mạch nhiều pha kéo dài và thử nghiệm quá kích thích ở hệ số công suất bằng “không” theo Điều 25, 26 và 28 của IEC 60034-4.
Cho máy điện làm việc ở chế độ động cơ không nối trục, ở tốc độ danh định và quá kích thích. Điều chỉnh điện áp cung cấp đến sức điện động E và dòng điện phần ứng I (ở hệ số công suất gần bằng “không”) giống như ở tải mong muốn.
CHÚ THÍCH 1: E là tổng véctơ của điện áp đầu nối và điện áp rơi qua điện kháng Potier theo Điều 30 và 31 của IEC 60034-4.
Thử nghiệm phải được thực hiện càng gần càng tốt với nhiệt độ làm việc ổn định đạt được trong vận hành ở tải danh định và ở cuối thời gian qui định theo thông số đặc trưng. Không phải hiệu chỉnh nhiệt độ dây quấn.
CHÚ THÍCH 2: Với thử nghiệm trên, cần điều chỉnh điện áp cung cấp sao cho tổn hao sắt có giá trị trong quá trình thử nghiệm giống như ở hệ số công suất danh định khi mang tải ở điện áp danh định. Nếu điện áp cung cấp không điều chỉnh được mà chỉ bằng với điện áp danh định, thì có thể cho tổn hao sắt tác dụng khác với tổn hao ở đầy tải. Về nguyên tắc, cần cung cấp công suất phản kháng (tức là máy điện bị quá kích thích) nhưng khi điều này không thực hiện được do điện áp máy kích thích bị hạn chế thì có thể thực hiện thử nghiệm ở chế độ tiêu thụ công suất phản kháng (tức là máy điện dưới kích thích) chừng nào vẫn có thể làm việc ổn định.
Tổn hao dây quấn kích thích ở tải mong muốn thu được từ dòng điện kích thích ước tính theo Điều 31 của IEC 60034-4 (sơ đồ Potier) hoặc Điều 32 (sơ đồ ASA), hoặc Điều 33 (sơ đồ Swedish). Để xác định các tổn hao của máy kích thích, xem 6.4.3.3. Khi E của thử nghiệm hệ số công suất bằng “không” sai khác so với tải mong muốn thì chênh lệch tổn hao sắt phải được lấy từ đường cong tổn hao sắt (xem 6.4.2.3) và hai giá trị điện áp của E.
CHÚ THÍCH 3: Độ chính xác của phương pháp này phụ thuộc vào độ chính xác của oát mét và máy biến đổi đo lường ở hệ số công suất thấp.
Ở hệ số công suất bằng “không”, ghi lại:
– U, f, I, P1;
– các giá trị của hệ thống kích thích theo 6.2;
– θc và θW.
6.4.2 Tổn hao không đổi
6.4.2.1 Yêu cầu chung
Trong trường hợp là máy điện một chiều hoặc máy điện đồng bộ, có thể thử nghiệm máy điện như một động cơ không nối trục hoặc nối trục với máy điện truyền động và làm việc như một máy phát (được cấp năng lượng từ mômen đo theo 6.3.1.2 hoặc 6.3.1.3).
6.4.2.2 Điều kiện đối với thử nghiệm không tải
Tổn hao không tải phải được ổn định theo điều kiện dưới đây:
- tốc độ và điện áp danh định đối với máy điện một chiều (bằng cách điều chỉnh dòng điện kích từ);
- tần số và điện áp danh định đối với máy điện cảm ứng;
- tần số và điện áp danh định đối với máy điện đồng bộ (bằng cách điều chỉnh dòng điện kích thích) và hệ số công suất bằng 1 (dòng điện nhỏ nhất) khi làm việc ở chế độ động cơ không nối trục.
CHÚ THÍCH 1: Trong trường hợp máy điện một chiều hoặc máy điện đồng bộ có máy kích thích được truyền động trên trục (xem 3.4.3.3 a)), máy điện nên được kích thích độc lập và máy kích thích được ngắt khỏi nguồn cung cấp của nó và ngắt khỏi dây quấn kích thích.
Tổn hao không tải được xem là ổn định khi công suất không tải đầu vào biến đổi nhỏ hơn hoặc bằng 3 % khi đo ở hai khoảng thời gian 30 min liên tiếp.
CHÚ THÍCH 2: Tổn hao không tải cũng được xem là ổn định nếu thử nghiệm không tải được thực hiện ngay sau thử nghiệm có tải.
6.4.2.3 Tổn hao ma sát và tổn hao quạt gió, tổn hao sắt
Thử nghiệm ở số lượng tối thiểu là bảy giá trị điện áp, kể cả điện áp danh định, sao cho:
- bốn giá trị trở lên được đọc xấp xỉ cách đều nhau trong phạm vi 125 % đến 60 % điện áp danh định;
- ba giá trị trở lên được đọc xấp xỉ cách đều nhau trong phạm vi 50 % đến xấp xỉ 20 % điện áp danh định, hoặc (đối với máy điện làm việc không nối trục) đến điểm mà dòng điện không giảm hơn nữa.
Đối với máy điện một chiều không nối trục, tốc độ phải được duy trì không đổi bằng cách điều chỉnh dòng điện kích từ.
Thử nghiệm phải được thực hiện càng nhanh càng tốt với các số đọc được lấy theo thứ tự giảm dần điện áp.
Ghi lại từng giá trị điện áp: U0, I0, P0, R0.
trong đó
R0 được xác định bằng cách đo điện trở sau số đọc điện áp thấp nhất.
CHÚ THÍCH 1: Đối với máy điện xoay chiều, R0 là Rll,0 còn đối với máy điện một chiều, R0 là tổng điện trở của tất cả các dây quấn mang dòng điện phần ứng (dây quấn phần ứng, dây quấn cực từ phụ, dây quấn bù). Trong trường hợp không thực hiện được phép đo điện trở do điện trở rất thấp thì chấp nhận các giá trị tính toán.
Đối với máy điện nối trục, P0 được xác định từ T và n.
Ghi lại giá trị hệ thống kích thích theo 6.2.
CHÚ THÍCH 2: Đối với máy điện đồng bộ kích cỡ lớn, cần ghi lại các giá trị khác ảnh hưởng đến hiệu suất, ví dụ nhiệt độ môi chất làm mát, độ tinh khiết của khí, áp suất khí, nhiệt độ dầu của ổ trượt, độ nhớt của dầu ổ trục.
6.4.3 Tổn hao mạch kích thích
6.4.3.1 Xác định bằng thử nghiệm có tải
Cho máy điện làm việc ở tải danh định như qui định ở 6.4.4.1 cho đến khi nhiệt độ ổn định. Ghi lại giá trị hệ thống kích thích theo 6.2.
6.4.3.2 Xác định không bằng thử nghiệm có tải
Trong trường hợp máy điện đồng bộ, dòng điện kích thích Ie phải được xác định theo Điều 31 của IEC 60034-4 (sơ đồ Potier) hoặc Điều 32 (sơ đồ ASA), hoặc Điều 33 (sơ đồ Swedish) bằng thử nghiệm không tải, thử nghiệm ngắn mạch và thử nghiệm hệ số công suất bằng “không” hoặc thử nghiệm điện kháng phần ứng nhưng không có rôto.
Ghi lại Ie đối với từng điểm tải.
CHÚ THÍCH: Đối với máy điện không thể thực hiện các thử nghiệm nói trên thì cần sử dụng giá trị dòng điện kích thích do nhà chế tạo cung cấp để tính tổn hao dây quấn.
6.4.3.3 Tổn hao trên máy kích thích
Tháo rời trục máy kích thích khỏi máy điện (nếu có thể) rồi nối trục máy kích thích với:
a) thiết bị đo mômen để xác định công suất cơ đầu vào theo 6.3.1;
hoặc
b) động cơ truyền động đã hiệu chuẩn để đo công suất điện đầu vào động cơ.
Nối máy kích thích (trong trường hợp máy điện đồng bộ được kích thích qua vành trượt) với tải điện trở thích hợp. Cho máy kích thích làm việc không có kích thích và với điện áp Ue và dòng điện Ie cho từng điểm tải.
Ghi lại:
– Ue, Ie, PEd, n, TE cho từng điểm tải (PEd theo 3.4.3.3);
– TE,0 (mômen với máy kích thích không được kích thích).
CHÚ THÍCH: Một cách khác, máy kích thích có thể được nối trục với động cơ đã hiệu chuẩn, ghi lại công suất điện đầu vào của nó.
Khi máy kích thích không thể tháo rời trục với máy điện, tổn hao trên máy kích thích phải do nhà chế tạo cung cấp.
6.4.4 Tổn hao có tải
6.4.4.1 Thử nghiệm nhiệt độ tải danh định
Máy điện phải được mang tải bằng phương tiện thích hợp, có công suất nguồn theo thông số đặc trưng của máy điện và làm việc cho đến khi đạt cân bằng nhiệt (građien nhiệt độ bằng 2 oC/h).
Kết thúc thử nghiệm mang tải danh định, ghi lại:
- PN, IN, UN, s, f, θc, θN;
- RN = R (điện trở thử nghiệm đối với tải danh định theo 5.7.1);
- θN (nhiệt độ dây quấn tại tải danh định theo 5.7.2).
Trong trường hợp máy điện một chiều chạy bằng nguồn chỉnh lưu, phải đo giá trị trung bình Iav và giá trị hiệu dụng I.
CHÚ THÍCH 1: Đối với máy điện một chiều, R là điện trở tổng của tất cả các dây quấn mang dòng điện phần ứng (dây quấn phần ứng, dây quấn cực từ phụ, dây quấn bù, dây quấn hỗn hợp). Trong trường hợp không thực hiện được phép đo điện trở do điện trở rất thấp thì chấp nhận các giá trị tính toán.
CHÚ THÍCH 2: Đối với máy điện một chiều, f = 0.
Đối với các giá trị cần đo để có tổn hao dây quấn kích thích và tổn hao bổ sung bằng thử nghiệm có tải, xem 6.4.3.1 và 6.4.5.3.
6.4.4.2 Thử nghiệm đường cong tải
CHÚ THÍCH 1: Thử nghiệm này chủ yếu áp dụng để xác định tổn hao bổ sung trong động cơ cảm ứng.
Trước khi bắt đầu ghi dữ liệu cho thử nghiệm này, nhiệt độ dây quấn phải nằm trong phạm vi 5 oC của nhiệt độ θN, thu được bằng thử nghiệm nhiệt độ tải danh định (xem 6.4.4.1).
Máy điện phải mang tải bằng phương tiện thích hợp.
Đặt tải vào máy điện ở sáu điểm tải. Bốn điểm tải cần được chọn xấp xỉ cách đều nhau trong phạm vi không nhỏ hơn 25 % đến và bằng 100 % tải. Hai điểm tải xấp xỉ cách đều nhau còn lại cần được chọn thích hợp ở trên 100 % tải nhưng không vượt quá 150 % tải. Khi mang tải cho máy điện, bắt đầu ở giá trị tải cao nhất và thực hiện theo thứ tự giảm dần đến thấp nhất. Các thử nghiệm này phải được thực hiện càng nhanh càng tốt để giảm thiểu sự thay đổi nhiệt độ trong máy điện trong khi thử nghiệm.
Trong máy điện xoay chiều, sự biến thiên tần số giữa tất cả các điểm phải nhỏ hơn 0,1 %. Đo R trước
khi đọc tải cao nhất và sau khi đọc tải thấp nhất. Điện trở đối với tải 100 % và tải cao hơn phải là giá trị được xác định trước khi đọc tải cao nhất. Điện trở được sử dụng cho các tải nhỏ hơn 100 % phải được xác định là tuyến tính theo tải bằng cách sử dụng số đọc trước khi thử nghiệm đối với tải cao nhất và sau khi đọc tải thấp nhất đối với tải 25 %.
CHÚ THÍCH 2: Trong máy điện xoay chiều, có thể xác định điện trở bằng cách đo nhiệt độ dây quấn stato sử dụng thiết bị nhạy nhiệt độ được lắp đặt trên dây quấn. Điện trở đối với từng điểm tải có thể được xác định từ nhiệt độ của dây quấn tại điểm liên quan đến điện trở và nhiệt độ đo được trước khi bắt đầu thử nghiệm.
Đối với từng điểm tải, ghi lại: U, I, P1, R, n, f, T
trong đó R theo 5.7.1.
6.4.4.3 Thử nghiệm tải ở điện áp giảm thấp (máy điện cảm ứng)
Đây là phương pháp thích hợp đối với máy điện kích cỡ lớn mà không thể thử nghiệm ở đầy tải. Yêu cầu như sau: thử nghiệm có tải với máy điện làm việc ở chế độ động cơ ở tốc độ danh định, thử nghiệm không tải ở điện áp giảm thấp Ured và thử nghiệm không tải ở điện áp danh định và tần số danh định.
Sử dụng phương pháp này, giả thiết là điện áp giảm thấp, trong khi giữ tốc độ không đổi thì dòng điện giảm khi điện áp giảm và công suất giảm theo bình phương điện áp.
Ở điện áp giảm thấp, ghi lại: Ured, Ired, P1red, I0red, cos(φ0red).
Ở điện áp danh định, ghi lại: UN, I0, cos(φ0).
6.4.4.4 Phương pháp mạch điện tương đương (máy điện cảm ứng)
6.4.4.4.1 Yêu cầu chung
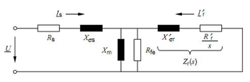
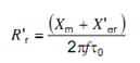
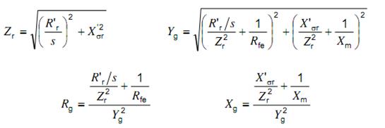
Phương pháp này có thể áp dụng khi không thực hiện được thử nghiệm có tải. Phương pháp này dựa trên sơ đồ mạch điện thay thế hình T qui ước của từng pha của máy điện cảm ứng, bao gồm một điện trở tổn hao sắt tương đương nối song song với điện kháng kích từ chính (xem Hình 5). Các tham số và đại lượng phía rôto được qui về phía stato; điều này được chỉ ra bằng dấu phẩy trên ‘ ở ký hiệu, ví dụ X'σr

Hình 5 – Máy điện cảm ứng, sơ đồ thay thế hình T có điện trở tổn hao sắt tương đương
Việc áp dụng phương pháp này cho máy điện cảm ứng kiểu lồng sóc đòi hỏi có sẵn các giá trị thiết kế dưới đây:
- tỷ số giữa điện kháng rò phía stato và điện kháng rò phía rôto qui đổi sang phía stato.
- ar hệ số nhiệt độ của dây quấn rôto (độ dẫn qui về 0 oC)
- Xσs, Xm điện kháng rò phía stato và điện kháng từ hóa.
CHÚ THÍCH 1: Khi sử dụng phương pháp mạch điện tương đương trong 6.4.4.4 và 8.2.2.4.3, tất cả các điện áp, dòng điện và trở kháng là các giá trị pha đối với máy điện ba pha đấu Y; công suất tác dụng và công suất phản kháng là của máy điện hoàn chỉnh.
CHÚ THÍCH 2: Đối với đồng, ar = 1/235 còn đối với nhôm, ar = 1/225.
CHÚ THÍCH 3: Phương pháp để đạt được các tham số của sơ đồ thay thế này được cung cấp ở 8.2.2.4.3.
6.4.4.4.2 Thử nghiệm ở tần số giảm thấp
Khóa cứng rôto của máy điện, nguồn cung cấp lấy từ bộ biến tần ba pha để cung cấp đến 25 % tần số danh định ở dòng điện danh định. Giá trị trung bình của trở kháng phải đạt được từ vị trí của rôto so với stato.
CHÚ THÍCH 1: Trong khi thử nghiệm, bộ chuyển đổi tần số, tổ máy điện hoặc bộ chuyển đổi tĩnh, cần có dòng điện về cơ bản là hình sin ở đầu ra.
CHÚ THÍCH 2: Dây quấn rôto của máy điện rôto dây quấn cần được ngắn mạch trong thử nghiệm này.
Cung cấp dòng điện danh định và lấy số đọc ở ít nhất ba tần số, trong đó có một tần số ở nhỏ hơn 25 % và các tần số còn lại từ 25 % đến 50 % tần số danh định. Trong quá trình thử nghiệm nhanh này, độ tăng nhiệt của dây quấn stato không được vượt quá 5 oC.
Ở ít nhất ba tần số, ghi lại: U, I, f, P1, Rs, θc, θw.
6.4.4.4.3 Thử nghiệm ở tần số danh định
Giá trị trở kháng cũng có thể xác định từ các thử nghiệm dưới đây.
a) Điện kháng bằng thử nghiệm khóa cứng rôto ở tần số danh định, điện áp giảm thấp, dòng điện danh định: ghi lại điện áp, dòng điện, công suất, tần số và nhiệt độ. b) Điện trở khi rôto quay:
1) bằng thử nghiệm ở tần số danh định ổn định, điện áp danh định, tải giảm thấp. Ghi lại điện áp, công suất, dòng điện, hệ số trượt và nhiệt độ đối với điểm tải; hoặc
2) bằng thử nghiệm mạch hở, sau khi làm việc không tải ở tần số danh định ổn định, điện áp danh định. Ghi lại điện áp mạch hở và nhiệt độ dây quấn là hàm của thời gian sau khi động cơ bị ngắt ra ở thử nghiệm không tải.
CHÚ THÍCH: Thử nghiệm này giả thiết có sự dịch chuyển dòng điện tương đối thấp trong rôto.
6.4.5 Tổn hao bổ sung khi có tải
6.4.5.1 Thử nghiệm nối trục sử dụng một nguồn cung cấp (máy điện một chiều)
Phương pháp này cho phép xác định thành phần một chiều của các tổn hao bổ sung khi sẵn có hai máy điện một chiều giống hệt nhau. Chúng phải được nối trục và nối điện với nhau và được cấp điện từ nguồn một chiều, máy điện làm việc như một máy phát có máy phát tăng áp nối tiếp (xem Hình 6).

Hình 6 – Sơ đồ dùng cho máy điện một chiều nối trục sử dụng một nguồn cung cấp, tổn hao bổ sung
Nếu máy điện được thiết kế để làm việc ở chế độ động cơ thì nguồn phải cấp điện áp danh định và dòng điện danh định cho máy điện làm việc ở chế độ động cơ. Trong trường hợp máy điện được thiết kế để phát điện thì nguồn cung cấp phải được điều chỉnh đến điện áp danh định và dòng điện danh định cho máy điện làm việc như một máy phát. Động cơ và máy phát phải làm việc với từ thông yêu cầu để tạo ra sức điện động e.m.f tương ứng với tải thử nghiệm.
CHÚ THÍCH: Nguồn cung cấp điện áp chịu phần lớn tổn hao không tải, máy tăng áp chịu phần lớn tổn hao có tải.
Trong trường hợp máy điện có máy kích thích truyền động trên trục thì trong thử nghiệm này, dây quấn kích thích phải được kích thích độc lập, với các máy kích thích được ngắt khỏi nguồn và dây quấn kích thích của chúng.
Khi nhiệt độ ổn định, ghi lại: U, I, UB, IB, Ue,M, Ie,M, Ue,G, Ie,G, n, θc.
6.4.5.2 Tổn hao xoay chiều (máy điện một chiều được cấp điện từ bộ biến đổi)
Tổn hao thu được bằng thử nghiệm có tải với máy điện được cấp điện bằng bộ chỉnh lưu thích hợp. Xem thêm IEC 60034-19.
Ghi lại:
- P1 công suất xoay chiều cấp cho máy điện;
- I dòng điện hiệu dụng thành phần xoay chiều; và
- θw nhiệt độ của dây quấn có liên hệ về điện với mạch phần ứng.
CHÚ THÍCH: Đối với động cơ kích thích nối tiếp, một lượng nhỏ công suất đầu vào xoay chiều góp phần vào mômen được tạo ra của động cơ. Lượng này thường rất nhỏ nên có thể bỏ qua.
6.4.5.3 Thử nghiệm có tải với phép đo mômen (máy điện cảm ứng)
Để xác định các tổn hao bổ sung, phải thực hiện thử nghiệm có tải theo 6.4.4.2 bằng cách cung cấp thêm thiết bị đo mômen thỏa mãn các yêu cầu của 5.5.4.
Đối với từng điểm tải, ghi thêm mômen: T.
6.4.5.4 Thử nghiệm với rôto được tháo ra và thử nghiệm quay ngược rôto (máy điện cảm ứng)
6.4.5.4.1 Yêu cầu chung
Đây là thử nghiệm kết hợp yêu cầu hai thử nghiệm riêng rẽ:
a) với rôto được tháo ra (đối với tổn hao bổ sung ở tần số cơ bản);
b) với máy điện quay ở tốc độ đồng bộ ngược với trường từ, được kéo bởi phương tiện bên ngoài (đối với tổn hao ở tần số cao hơn).
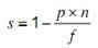
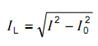
Trong cả hai thử nghiệm, stato phải được cấp điện bằng dòng điện nhiều pha cân bằng có tần số danh định cho bốn giá trị dòng điện nằm trong phạm vi từ 25 % đến 100 % dòng điện danh định, và hai dòng điện lớn hơn nhưng không quá 150 % dòng điện danh định. Tính dòng điện tải (rôto) IL:
trong đó
I là giá trị dòng điện stato trong khi thử nghiệm tạo ra dòng điện tải mong muốn;
I0 là dòng điện không tải ở điện áp danh định.
6.4.5.4.2 Thử nghiệm với rôto được tháo ra
Đối với thử nghiệm này, tất cả các phần trong đó có thể cảm ứng dòng điện xoáy, ví dụ nắp máy và bộ phận đỡ, phải được đặt đúng vị trí. Đặt dòng điện tải.
Đối với từng dòng điện tải, ghi lại (ký hiệu được đánh chỉ số “rm”): P1,rm, IL,rm, Rrm, θw,rm.
6.4.5.4.3 Thử nghiệm quay ngược rôto
Đối với thử nghiệm này, nối máy điện lắp ráp hoàn chỉnh với động cơ truyền động có công suất đầu ra không nhỏ hơn tổn hao tổng danh định và không vượt quá năm lần tổn hao danh định của máy điện cần thử nghiệm. Khi sử dụng thiết bị đo mômen để xác định công suất trên trục, mômen lớn nhất của nó không được vượt quá mười lần mômen ứng với tổn hao tổng danh định của máy điện cần thử nghiệm.
Đối với máy điện rôto dây quấn, các đầu nối của rôto phải được nối tắt.
Cho máy điện cần thử nghiệm quay ở tốc độ đồng bộ theo chiều ngược với chiều quay khi cấp nguồn theo thứ tự pha bình thường khi:
a) không đặt điện áp vào stato cho đến khi tổn hao ma sát được ổn định. Ghi lại: P0,rr được cấp bởi máy điện truyền động ở I = 0;
b) có đặt điện áp vào stato để đạt được các giá trị dòng điện stato bằng các giá trị dòng điện đối với thử nghiệm có rôto được tháo ra. Đối với tất cả các dòng điện thử nghiệm, ghi lại (ký hiệu chỉ số “rr”): IL,rr, Rrr, P1,rr; θw,rr đối với động cơ thử nghiệm; PD,rr của động cơ truyền động.
CHÚ THÍCH: Hệ số công suất thấp của các thử nghiệm có thể đòi hỏi hiệu chỉnh sai số pha cho tất cả các số đọc trên oát mét.
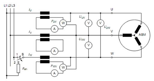
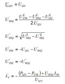
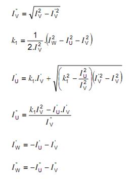
6.4.5.5 Thử nghiệm nối Eh-sao (máy điện cảm ứng)
Thử nghiệm này yêu cầu vận hành động cơ không nối trục bằng cách đặt điện áp không cân bằng. Mạch điện thử nghiệm theo Hình 7.
Động cơ có thông số danh định để đấu nối tam giác phải được đổi về nối sao trong thử nghiệm này.
Điểm nối sao không được nối đến trung tính của hệ thống hoặc đất, để tránh dòng điện thứ tự không.
Pha thứ ba của động cơ được nối vào pha nguồn qua điện trở Reh (xem Hình 7) có giá trị xấp xỉ giá trị điển hình dưới đây:
- đối với động cơ có thông số danh định cho đấu nối sao:
- đối với động cơ có thông số danh định cho đấu nối tam giác:
Điện trở Reh được dùng trong thử nghiệm phải được điều chỉnh sao cho dòng điện thứ tự thuận I(1) giữ thấp hơn 30 % dòng điện thứ tự nghịch I(2) và tốc độ giữ trong dải tốc độ động cơ gần tốc độ danh định (xem dưới đây). Nên bắt đầu thử nghiệm với điện trở Reh thực tế sai khác không quá 20 % so với giá trị điển hình R’eh.

Hình 7 – Mạch điện thử nghiệm nối Eh-sao
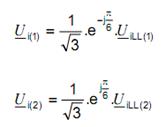
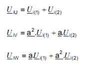
Dòng điện thử nghiệm It được cho bởi:
- đối với động cơ có thông số danh định cho đấu nối sao: It =
- đối với động cơ có thông số danh định cho đấu nối tam giác: It =
Điện áp thử nghiệm Ut được cho bởi:
- đối với động cơ có thông số danh định cho đấu nối sao: Ut = UN
- đối với động cơ có thông số danh định cho đấu nối tam giác: Ut = UN . ![]()
Trước thử nghiệm, các tổn hao không tải phải được ổn định theo 6.4.2.2.
Đo và ghi lại điện trở giữa các đầu nối V và W (RVW) trước và sau khi hoàn thành thử nghiệm.
Để tránh phát nhiệt không đồng đều quá mức của ba pha, phải thực hiện thử nghiệm trên máy điện ở trạng thái nguội và thực hiện càng nhanh càng tốt.
Với các động cơ công suất lớn hơn chỉ có thể được khởi động không có điện trở Reh (chuyển mạch S sang vị trí 1, xem Hình 7) ở điện áp giảm thấp (25 % đến 40 % UN). Khi khởi động xong, nối Reh bằng cách chuyển mạch sang vị trí 2.
Với các động cơ công suất nhỏ hơn có thể khởi động được với điện trở Reh đã được nối. Trong trường hợp này, không cần chuyển mạch.
Thay đổi điện áp cung cấp ở sáu điểm thử nghiệm. Điểm thử nghiệm phải được chọn xấp xỉ cách đều nhau trong khoảng giữa 150 % và 75 % dòng điện pha danh định đo được ở pha V (IV). Khi bắt đầu thử nghiệm, bắt đầu với dòng điện cao nhất và thực hiện theo thứ tự giảm dần đến dòng điện thấp nhất.
Điện trở pha-pha RVW đối với 100 % dòng điện thử nghiệm và dòng điện thấp hơn phải là giá trị được xác định sau số đọc nhỏ nhất (ở cuối thử nghiệm). Điện trở sử dụng cho dòng điện cao hơn 100 % được xác định là hàm tuyến tính của dòng điện, sử dụng số đọc trước và sau khi hoàn thành thử nghiệm. Điện trở thử nghiệm được xác định bằng ngoại suy theo 5.7.1.
Ghi lại đối với từng điểm thử nghiệm: IU, IV, IW, UUV, UVW, UWU, PUV, PWV, n.
CHÚ THÍCH 1: Cần hiểu rằng, trong thử nghiệm này, không cho phép lấy trung bình các điện trở pha.
CHÚ THÍCH 2: Điện trở cũng có thể được xác định bằng cách đo nhiệt độ dây quấn stato sử dụng thiết bị cảm biến nhiệt độ lắp trên dây quấn. Từ đó, điện trở đối với từng điểm tải có thể được xác định từ nhiệt độ dây quấn ở điểm liên quan đến điện trở và nhiệt độ đo được trước khi bắt đầu thử nghiệm.
CHÚ THÍCH 3: Một số oát mét lắp liền thường được sử dụng để làm đối xứng ba pha bằng cách đấu nối sao ảo bên trong. Tuy nhiên, trong thử nghiệm này, nguồn cung cấp là không đối xứng có chủ ý. Do đó, cần đảm bảo rằng cả nối đất của điểm nối sao cũng như điểm sao ảo đều không được thiết lập. Nhất thiết phải sử dụng mạch điện thử nghiệm được cung cấp (xem Hình 7).
Để đạt được kết quả chính xác, hệ số trượt không được lớn hơn hai lần hệ số trượt danh định cho tất cả các dòng điện, nói cách khác: n > nsyn – 2(nsyn – nN). Nếu không đáp ứng điều kiện này thì thử nghiệm phải được lặp lại với giá trị Reh lớn hơn. Nếu động cơ vẫn chạy không ổn định ở dòng điện thấp hơn 100 % dòng điện pha danh định thì nên bỏ qua các điểm thử nghiệm này.
6.4.5.6 Thử nghiệm ngắn mạch và thử nghiệm động cơ không nối trục (máy điện đồng bộ)
6.4.5.6.1 Thử nghiệm ngắn mạch với máy điện có nối trục
Máy điện cần thử nghiệm với dây quấn phần ứng ngắn mạch được nối trục với máy điện truyền động, có các trang bị để ghi lại mômen bằng thiết bị đo mômen (xem 6.3.1.2) hoặc thiết bị đo lực (xem 6.3.1.3). Cho hoạt động ở tốc độ danh định và được kích thích sao cho dòng điện trong dây quấn sơ cấp bị ngắn mạch bằng với dòng điện danh định.
CHÚ THÍCH: Trong trường hợp máy điện có máy kích thích nối đồng trục với máy điện (xem 3.4.3.3 a)), máy điện cần được kích thích độc lập và máy kích thích được ngắt ra khỏi nguồn và ngắt ra khỏi dây quấn kích thích của nó.
Tổng các tổn hao có tải và tổn hao bổ sung được giả thiết là độc lập với nhiệt độ và không phải hiệu chỉnh về nhiệt độ chuẩn. Giả thiết rằng các tổn hao bổ sung thay đổi theo bình phương của dòng điện stato.
Ghi lại: T, n, I.
Các giá trị của hệ thống kích thích theo 6.2.
6.4.5.6.2 Thử nghiệm với máy điện không nối trục
Máy điện làm việc ở chế độ động cơ đồng bộ ở điện áp cố định, tốt nhất là khoảng 1/3 giá trị bình thường hoặc ở giá trị thấp nhất có thể đạt được làm việc ổn định. Dòng điện phần ứng được thay đổi bằng cách điều khiển dòng điện kích từ. Dòng điện phần ứng cần thay đổi trong khoảng sáu nấc từ 125 % đến 25 % dòng điện danh định và gồm một hoặc hai điểm ở dòng điện rất thấp. Giá trị dòng điện thử nghiệm lớn nhất, thường đặt ở 125 %, cần lấy từ nhà chế tạo vì đôi khi việc làm mát stato không cho phép hoạt động quá 100 % dòng điện danh định mà không bị hư hại. Số đọc cao nhất cần được lấy trước để đảm bảo nhiệt độ dây quấn stao đồng nhất hơn trong khi thử nghiệm.
Ghi lại: P1, I, U.
Giá trị hệ thống kích thích theo 6.2.
CHÚ THÍCH: Đối với máy điện kích cỡ lớn, nấc lớn nhất có thể được giới hạn từ 60 % đến 70 % dòng điện phần ứng danh định.
7 Xác định hiệu suất (máy điện một chiều)
7.1 Xác định bằng phép đo trực tiếp
7.1.1 Thử nghiệm đo mômen
Khi thử nghiệm theo 6.3.1, hiệu suất là:
Theo 6.3.1.1, công suất vào P1 và công suất ra P2 như sau:
- ở chế độ động cơ: P1 = Pel; P2 = Pmech;
- ở chế độ máy phát: P1 = Pmech; P2 = Pel
trong đó
Pel; T; và n theo 6.3.1.2, 6.3.1.3;
Pmech = 2pxTxn
P1E theo 6.2, sử dụng 3.4.3.3 và 3.4.3.4.
CHÚ THÍCH: Tổn hao mạch kích thích không được cung cấp bởi P1E nhưng là năng lượng cơ lấy từ trục.
7.1.2 Thử nghiệm nối trục sử dụng hai nguồn cung cấp
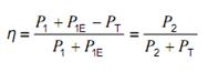
Khi hai máy điện giống hệt nhau chạy ở cùng điều kiện danh định, hiệu suất phải được tính bằng một nửa tổn hao tổng và công suất vào trung bình của động cơ và máy phát như sau:
trong đó
PT =
(P1 - P2) + P1E ; P1E =
(P1E,M + P1E,G)
và
P1 và P2 theo 6.3.2;
P1E theo 6.2, sử dụng 3.4.3.3 và 3.4.3.4.
7.2 Xác định bằng phép đo gián tiếp
7.2.1 Tổn hao tổng
7.2.1.1 Qui trình thử nghiệm nối trục sử dụng một nguồn cung cấp
Khi hai máy điện giống hệt nhau chạy ở cùng điều kiện danh định, hiệu suất được tính bằng một nửa tổn hao tổng cho từng máy điện.
Tính hiệu suất từ công thức:
trong đó
PM là công suất tiêu thụ tại các đầu nối của máy điện ở chế độ động cơ (trừ công suất kích thích), theo 6.4.1.1;
PT là tổn hao tổng, được xác định bằng một nửa tổng lượng tiêu thụ;
P1E là công suất kích thích được cung cấp bằng nguồn độc lập (đối với máy điện có máy phát tăng áp, xem 6.4.1.1.2);
PT =
(UM x I1 + UB x IB) + P1E; P1E =
(P1E,M - P1E,G)
7.2.2 Tổng các tổn hao riêng rẽ
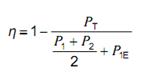
7.2.2.1 Hiệu suất
Hiệu suất được xác định từ:
trong đó
P1 là công suất vào không kể công suất kích thích từ nguồn độc lập;
P2 là công suất ra;
P1E là công suất kích thích được cấp bởi nguồn độc lập;
PT theo 7.2.2.2.
CHÚ THÍCH 1: Thông thường, cách thể hiện thứ nhất được ưu tiên cho động cơ, cách thứ hai ưu tiên dùng cho máy phát.
CHÚ THÍCH 2: PT bao gồm công suất kích thích Pe (xem 6.2) của máy điện trong trường hợp áp dụng.
7.2.2.2 Tổn hao tổng
Tổn hao tổng phải được tính từ tổng của các tổn hao riêng rẽ 7.2.2.3 đến 7.2.2.6 gồm:
PT = Pk + Pa + Pb + PLL + Pe
Pe = Pf + PEd
trong đó
Pa là tổn hao dây quấn phần ứng;
Pb là tổn hao trên chổi than;
Pk là tổn hao không đổi;
PLL là tổn hao bổ sung;
Pf là tổn hao kích thích (dây quấn kích từ).
PEd là tổn hao trên máy kích thích.
7.2.2.3 Tổn hao không đổi
7.2.2.3.1 Xác định tổn hao không đổi
Xác định tổn hao không đổi từ công thức sau:
Pk = P0 – Pa
trong đó
Pa = I02 x R0;
I0 và R0 là cho từng giá trị của điện áp ghi được theo 6.4.2.3.
Khi không thể đo điện trở vì điện trở rất thấp thì cho phép lấy các giá trị tính toán, được hiệu chỉnh về nhiệt độ dây quấn dự kiến.
CHÚ THÍCH: Trong tổn hao phần ứng Pa có các tổn hao sau: dây quấn bù, dây quấn cực từ phụ và điện trở sun (bộ phân áp). Trong trường hợp bộ phân áp song song với dây quấn nối tiếp, tổn hao điện của dây quấn có thể được xác định bằng dòng điện tổng và điện trở tương đương.
7.2.2.3.2 Tổn hao ma sát và tổn hao quạt gió (tùy chọn)
Đối với từng giá trị nhỏ hơn hoặc bằng 50 % điện áp từ 6.4.2.3, xây dựng một đường cong tổn hao không đổi (Pk) từ 7.2.2.3.1 theo điện áp U02. Ngoại suy một đường thẳng đến điện áp “zero”. Giao điểm với trục điện áp “zero” là tổn hao quạt gió và tổn hao ma sát Pfw.
7.2.2.3.3 Tổn hao sắt (tùy chọn)
Đối với từng giá trị điện áp từ 60 % đến 125 % theo 6.4.2.3, xây dựng một đường cong tổn hao không đổi (Pk) từ 7.2.2.3.1 theo điện áp U0. Tổn hao sắt phải được lấy với điện áp bên trong, ở:
U0 = UN – (IR)a – 2Ub trong trường hợp là động cơ
U0 = UN + (IR)a + 2Ub trong trường hợp là máy phát
trong đó
UN là điện áp danh định;
2Ub là điện áp rơi trên chổi than như nêu ở 7.2.2.4.2;
I là dòng điện của điểm tải mong muốn;
R là điện trở của tất cả các dây quấn của mạch phần ứng ở nhiệt độ đầy tải.
Xác định tổn hao sắt:
Pfe = Pk – Pfw
trong đó
Pfw lấy từ 7.2.2.3.2.
7.2.2.4 Tổn hao có tải
7.2.2.4.1 Tổn hao của dây quấn mạch phần ứng
Đối với từng tải được ghi lại, xác định các tổn hao của dây quấn mạch phần ứng:
Pa = I2 x R
trong đó
I và R theo 5.7.2 và 6.4.4.2, với R có tính đến tất cả các dây quấn trong mạch phần ứng.
7.2.2.4.2 Tổn hao trên chổi than
Xác định các tổn hao trên chổi than sử dụng điện áp rơi ấn định trên mỗi chổi:
Pb = 2 x Ub x I
trong đó
I là dòng điện phần ứng ở thông số đặc trưng cần xét;
Ub là điện áp rơi giả thiết trên mỗi chổi tùy thuộc vào loại chổi;
1,0 V đối với chổi than cacbon, chổi than điện graphít hoặc chổi than graphít;
0,3 V đối với chổi than cacbon-kim loại.
7.2.2.5 Tổn hao mạch điện kích thích
Trong trường hợp thử nghiệm có tải theo 6.4.3.1, tổn hao trên dây quấn kích thích thu được từ điện áp và dòng điện đo được như sau:
Pf = Ue x Ie
Nếu không thử nghiệm có tải, tổn hao trên dây quấn kích thích Pe được tính từ Ie2 x Rf, trong đó Rf là điện trở của dây quấn kích thích song song (hoặc dây quấn kích thích độc lập), được hiệu chỉnh về nhiệt độ chuẩn qui định ở 5.7.3 và Ie là dòng điện kích thích theo liệt kê dưới đây.
a) Đối với máy phát kích thích song song hoặc độc lập có hoặc không có các cực đổi chiều, Ie bằng 110 % dòng điện kích thích khi không tải ở điện áp bằng điện áp danh định cộng với điện áp rơi trên điện trở mạch phần ứng (phần ứng, các chổi than và dây quấn cực từ phụ, nếu có, xem thêm 7.2.2.4.1) ở dòng điện của điểm tải qui định.
b) Đối với máy phát kích thích song song có bù hoặc kích thích độc lập, Ie là dòng điện kích thích khi không tải ở điện áp bằng điện áp danh định cộng với điện áp rơi trên điện trở mạch phần ứng ở dòng điện của điểm tải qui định.
c) Đối với máy phát kích thích hỗn hợp đủ kích thích, Ie là dòng điện kích thích ứng với điện áp không tải danh định.
d) Đối với máy phát kích thích hỗn hợp quá kích thích và thiếu kích thích và loại máy phát đặc biệt không thuộc điểm a) đến điểm c), Ie phải theo thỏa thuận.
e) Đối với động cơ kích thích song song, Ie bằng với dòng điện kích thích không tải ứng với điện áp danh định.
Tổn hao trên máy kích thích PEd theo 6.4.3.3, nếu được xác định từ các thử nghiệm, là:
PEd = (TE – TE,0) x 2pn + P1E - Ue x Ie
trong đó
TE,0 là mômen ứng với máy kích thích chưa kích thích.
Trong tất cả các trường hợp khác, phải sử dụng tổn hao tính được.
7.2.2.6 Tổn hao bổ sung khi có tải
7.2.2.6.1 Tổn hao một chiều (thử nghiệm nối trục sử dụng một nguồn cung cấp)
Xác định các tổn hao bổ sung trên mỗi máy điện ở dòng điện danh định từ các giá trị đo được ở 6.4.5.1.
PLL =
(P1 - å Pk - å Pa - Pcon - 2Ub (I + IB) - 2IBUb)
trong đó
P1 = UM x I1 + UB x IB là công suất lấy từ nguồn và máy tăng áp; xem Hình 3,
å Pk là tổng các tổn hao không đổi của cả hai máy điện theo 7.2.2.3;
åPa là tổng các tổn hao trên điện trở của cả hai mạch phần ứng theo 7.2.2.4.1;
Pcon là tổn hao trong mối nối cáp.
Để xác định tổn hao cho các điểm tải khác, áp dụng các hệ số như qui định ở Bảng 5.
7.2.2.6.2 Tổn hao xoay chiều
Tổn hao bổ sung do phần xoay chiều của điện áp nguồn thu được từ:
PLL = P1 – I2xRa
trong đó
Ra là điện trở một chiều của mạch phần ứng ở nhiệt độ tải danh định;
P1 và I theo 6.4.5.2.
7.2.2.6.3 Tổn hao từ mức cho phép được ấn định (tổn hao điện một chiều) và tính toán (tổn hao xoay chiều)
Giả thiết rằng tổn hao một chiều thay đổi theo bình phương của dòng điện, và giá trị tổng của các tổn hao này ở dòng điện danh định lớn nhất là:
a) đối với máy điện không có bù:
- 1 % của công suất vào danh định đối với động cơ;
- 1 % của công suất ra danh định đối với máy phát;
b) đối với máy điện có bù:
- 0,5 % của công suất vào danh định đối với động cơ;
- 0,5 % của công suất ra danh định đối với máy phát;
Đối với máy điện tốc độ không đổi, công suất danh định là công suất ứng với dòng điện danh định lớn nhất và điện áp danh định lớn nhất.
Đối với động cơ tốc độ thay đổi, trong đó tốc độ thay đổi bằng cách đặt điện áp, công suất vào danh định được xác định ở từng tốc độ là công suất vào khi dòng điện danh định lớn nhất kết hợp với điện áp đặt của tốc độ cụ thể cần xét.
Đối với động cơ tốc độ thay đổi trong đó việc tăng tốc độ đạt được bằng cách làm yếu kích từ, công suất vào danh định được xác định là công suất vào khi điện áp danh định kết hợp với dòng điện danh định lớn nhất. Đối với máy phát có tốc độ thay đổi trong đó điện áp được duy trì không đổi bằng cách thay đổi kích thích, công suất ra danh định được xác định là công suất ra nhận được ở các đầu nối ở điện áp danh định và dòng điện danh định lớn nhất. Mức cho phép đối với các tổn hao bổ sung ở tốc độ ứng với kích thích đầy đủ phải như qui định ở điểm a) và b) ở trên. Mức cho phép đối với tổn hao bổ sung ở các tốc độ khác phải được tính bằng cách sử dụng hệ số nhân thích hợp nêu ở Bảng 5.
Bảng 5 – Hệ số nhân dùng cho các tỷ lệ tốc độ khác nhau
| Tỷ lệ tốc độ | Hệ số |
| 1,5:1 | 1,4 |
| 2:1 | 1,7 |
| 3:1 | 2,5 |
| 4:1 | 3,2 |
Tỷ lệ tốc độ trong cột thứ nhất của Bảng 5 phải được lấy làm tỷ lệ giữa tốc độ thực cần xét và tốc độ danh định tối thiểu để quay liên tục.
Đối với tỷ lệ tốc độ khác với các tỷ lệ được nêu ở Bảng 5, có thể đạt được các hệ số nhân thích hợp bằng cách nội suy.
Đối với động cơ được cấp nguồn bằng bộ biến đổi công suất tĩnh, khi hệ số nhấp nhô dòng điện (xem TCVN 6627-1 (IEC 60034-1)) của dòng điện phần ứng vượt quá 0,1 thì tổn hao bổ sung do thành phần xoay chiều của dòng điện phần ứng gây ra (xem 7.2.2.6.2) phải được tính thêm vào tổn hao qui định ở trên.
8 Xác định hiệu suất (máy điện cảm ứng)
8.1 Xác định bằng phép đo trực tiếp
8.1.1 Thử nghiệm đo mômen
Khi thử nghiệm theo 6.3.1, hiệu suất là:
Theo 6.3.1.1, công suất vào P1 và công suất ra P2 như sau:
- ở chế độ động cơ: P1 = Pel; P2 = Pmech;
- ở chế độ máy phát: P1 = Pmech; P2 = Pel
trong đó
Pel, T và n theo 6.3.1.2 và 6.3.1.3;
Pmech = 2pxTxn
8.1.2 Thử nghiệm nối trục sử dụng hai nguồn cung cấp
Khi các máy điện giống nhau được chạy ở cùng điều kiện danh định, hiệu suất phải được tính từ nửa tổn hao tổng và công suất vào trung bình của động cơ và máy phát như sau:
trong đó
PT =
(P1 + P2)
P1 và P2 theo 6.3.2.
8.2 Xác định bằng phép đo gián tiếp
8.2.1 Tổn hao tổng xác định từ thử nghiệm nối trục sử dụng một nguồn cung cấp
Khi các máy điện giống nhau được chạy ở cùng điều kiện danh định, hiệu suất cho từng máy điện được tính bằng nửa tổn hao tổng.
Tính hiệu suất từ:

trong đó
PM là công suất tiêu thụ tại các đầu nối của máy điện ở chế độ động cơ theo 6.4.1.1;
PT là tổn hao tổng, được xác định bằng một nửa tổng lượng tiêu thụ, đối với động cơ cảm ứng rôto dây quấn được đo theo 6.4.1.1.3 như sau: PT =
(P1 + Pr)
8.2.2 Tổng của các tổn hao riêng rẽ
8.2.2.1 Hiệu suất
Hiệu suất được xác định từ:

CHÚ THÍCH: Thông thường, cách thể hiện thứ nhất được ưu tiên cho động cơ, cách thứ hai ưu tiên dùng cho máy phát.
trong đó
P1 là công suất vào có được bằng thử nghiệm tải danh định theo 6.4.4.1;
P2 là công suất ra;
PT theo 8.2.2.2.
8.2.2.2 Tổn hao tổng
Tổn hao tổng phải được tính từ tổng của các tổn hao riêng rẽ 8.2.2.3 (tổn hao không đổi), 8.2.2.4 (tổn hao có tải) và 8.2.2.5 (tổn hao bổ sung khi có tải):
PT = Pk + Ps + Pr + PLL
8.2.2.3 Tổn hao không đổi
8.2.2.3.1 Yêu cầu chung
Lấy công suất vào không tải trừ đi các tổn hao dây quấn khi không tải (ở nhiệt độ khi thử nghiệm không tải) sẽ cho tổn hao không đổi là tổng của tổn hao ma sát, tổn hao quạt gió và tổn hao sắt. Xác định tổn hao không đổi cho từng giá trị điện áp được ghi lại ở 6.4.2.
Pk = P0 – Ps = Pfw + Pfe
trong đó
![]()
8.2.2.3.2 Tổn hao ma sát và tổn hao quạt gió
Từ các điểm tổn hao không tải được xác định ở trên, sử dụng tất cả các điểm cho ảnh hưởng bão hoà không đáng kể để xây dựng một đường cong tổn hao không đổi (Pk) theo điện áp bình phương U02. Ngoại suy một đường thẳng đến điện áp “zero”. Giao điểm với trục điện áp “zero” là tổn hao ma sát và tổn hao quạt gió Pfw.
CHÚ THÍCH: Tổn hao quạt gió và tổn hao ma sát được xem là độc lập với tải và có thể sử dụng cùng giá trị tổn hao quạt gió và ma sát cho từng điểm tải.
8.2.2.3.3 Tổn hao sắt
Từ các giá trị điện áp từ 60 % đến 125 % điện áp danh định, vẽ đường cong Pfe = Pk – Pfw theo điện áp U0. Tổn hao sắt của điểm tải mong muốn được lấy từ đường cong này ở điện áp Ur có tính đến điện áp rơi trên điện trở trong dây quấn sơ cấp:

trong đó

8.2.2.4 Tổn hao có tải
8.2.2.4.1 Từ thử nghiệm có tải
8.2.2.4.1.1 Yêu cầu chung
Tổn hao có tải để xác định hiệu suất danh định phải sử dụng các đầu vào từ 6.4.4.1.
Tổn hao có tải để xác định các tổn hao bổ sung có tải phải sử dụng các đầu vào từ 6.4.4.2.
8.2.2.4.1.2 Tổn hao dây quấn stato và hiệu chỉnh nhiệt độ
Tổn hao dây quấn stato chưa hiệu chỉnh ở từng điểm tải là:
Ps = 1,5 x I2 x R
trong đó I và R được xác định ở 6.4.4.1.
Tổn hao dây quấn stato đã hiệu chỉnh ở điểm tải bất kỳ được xác định bằng cách sử dụng điện trở dây quấn stato RN bằng thử nghiệm tải danh định, được hiệu chỉnh về nhiệt độ làm mát chuẩn bằng 25 oC:
Ps,θ = Ps x kθ
trong đó kθ theo 5.7.3.
8.2.2.4.1.3 Tổn hao dây quấn rôto và hiệu chỉnh nhiệt độ
Tổn hao dây quấn rôto chưa hiệu chỉnh ở từng điểm tải là:
Pr = (P1 – Ps – Pfe) x s
trong đó
![]()
P1, n và f theo 6.4.4.1;
Ps theo 8.2.2.4.1.2;
Pfe theo 8.2.2.3.3.
Tổn hao dây quấn rôto đã hiệu chỉnh ở điểm tải bất kỳ được xác định bằng cách sử dụng giá trị hệ số trượt đối với từng điểm được hiệu chỉnh về nhiệt độ làm mát chuẩn bằng 25 oC và sử dụng giá trị hiệu chỉnh của tổn hao dây quấn stato (xem 8.2.2.4.1.2) đối với từng điểm.
Pr,θ = (P1 – Ps,θ – Pfe) x sθ
trong đó
Ps,θ theo 8.2.2.4.1.2;
Pfe theo 8.2.2.3.3;
sθ = s x kθ là hệ số trượt được hiệu chỉnh về nhiệt độ làm mát chuẩn bằng 25 oC (xem 5.7.3);
kθ theo 5.7.3.
8.2.2.4.1.4 Tổn hao điện trong chổi than (chỉ ở rôto dây quấn)
Các tổn hao này được đề cập ở 8.2.2.4.1.3.
Xác định tổn hao trên chổi than ở mỗi pha bằng điện áp rơi giả định trên mỗi chổi than như sau:
Pb = N x Ub x I2
trong đó
N là tổng số pha mang dòng I;
I2 là dòng điện thứ cấp (không liên quan đến sơ cấp);
Ub là điện áp rơi giả thiết trên mỗi chổi than tùy thuộc vào loại chổi than;
1,0 V đối với chổi than cacbon, chổi than điện graphít hoặc chổi than graphít;
0,3 V đối với chổi than cacbon-kim loại.
CHÚ THÍCH: Đối với I2, có thể sử dụng giá trị thiết kế.
8.2.2.4.2 Tổn hao tính từ thử nghiệm có tải ở điện áp giảm thấp
Từ kết quả của thử nghiệm 6.4.4.3, tính dòng điện có tải và công suất tiêu thụ ở điện áp danh định:
![]()
trong đó

CHÚ THÍCH: Ký hiệu dòng điện có gạch dưới là ký hiệu vectơ (xem Hình 8).
Bằng các giá trị I và P1 xác định như trên và với hệ số trượt đo được ở điện áp giảm thấp, có thể tính tổn hao có tải tương tự như 8.2.2.4.1.

Hình 8 – Sơ đồ vectơ để xác định véctơ dòng điện bằng thử nghiệm điện áp giảm thấp
8.2.2.4.3 Tổn hao tính từ phương pháp mạch điện tương đương
8.2.2.4.3.1 Giá trị từ phép đo
Phương pháp này dựa vào sơ đồ mạch điện thay thế hình T (xem 6.4.4.4 và Hình 5).
CHÚ THÍCH: Khi sử dụng phương pháp mạch điện tương đương, tất cả các điện áp, dòng điện và trở kháng là giá trị từng pha đối với máy điện ba pha nối Y; công suất và công suất phản kháng là tính cho cả máy điện.
Qui trình được mô tả trong điều này dựa vào phương pháp ở 6.4.4.4.2. Khi sử dụng phương pháp ở 6.4.4.4.3, lưu ý đến các sai khác sau:
a) điện kháng được tính theo cách giống như ở 8.2.2.4.3.2;
b) điện trở khi rôto quay được xác định:
- sử dụng thử nghiệm mô tả ở 6.4.4.4.3 a)
bằng cách tính toán ngược sử dụng mạch tương đương trong Hình 5, giả thiết một giá trị đối với R’r.
Điều chỉnh giá trị R’r cho đến khi công suất cần tính nằm trong phạm vi 0,1 % công suất đo được, hoặc dòng điện cần tính nằm trong phạm vi 0,1 % dòng điện đo được;
- sử dụng thử nghiệm mô tả ở 6.4.4.4.3 b)
bằng cách xác định hằng số thời gian từ sườn của đồ thị điện áp giảm thấp và thời gian thử nghiệm mạch hở. Xác định R’r từ công thức:

trong đó
Xm là điện kháng từ hóa;
Xσr là điện kháng rò của rôto;
f là tần số đường dây;
t0 là hằng số thời gian mạch hở.
Hiệu chỉnh giá trị của R’r về nhiệt độ làm việc từ nhiệt độ thử nghiệm.
Xác định công suất phản kháng
bằng thử nghiệm không tải ở điện áp danh định U0 = UN và tần số danh định (6.4.2.2)

- bằng thử nghiệm khóa cứng rôto ở tần số giảm thấp (6.4.4.4.2)
![]()
trong đó
U0, I0 và P0 là điện áp pha, dòng điện pha và công suất nguồn bằng thử nghiệm không tải ở điện áp đầu nối danh định;
U, I và P1 là điện áp pha, dòng điện pha và công suất nguồn bằng thử nghiệm trở kháng khóa cứng rôto (xem 6.4.4.4.3) ở các tần số f của thử nghiệm này.
8.2.2.4.3.2 Tham số của mạch điện tương đương
Tham số của mạch điện tương đương được xác định theo các bước dưới đây.
● Điện kháng
Tính điện kháng Xm bằng thử nghiệm không tải và Xσs,lr bằng thử nghiệm khóa cứng rôto ở 25 % tần số danh định:

Tính toán bằng cách sử dụng các giá trị thiết kế làm giá trị bắt đầu (xem 6.4.4.4.1):

Tính lại cho đến khi Xm và Xσs sai khác nhỏ hơn 0,1 % so với các giá trị của bước trước đó.
● Điện trở tổn hao sắt
Xác định điện trở mỗi pha tương đương với tổn hao sắt ở điện áp danh định từ:

trong đó
Pfe là tổn hao sắt theo 8.2.2.3.3 từ P0 ở điện áp danh định.
● Điện trở rôto
Xác định điện trở rôto chưa hiệu chỉnh cho từng điểm thử nghiệm trở kháng rôto khóa cứng:

trong đó
Rs là điện trở dây quấn stato mỗi pha ở nhiệt độ tương ứng θw.
CHÚ THÍCH: Nếu nhiệt độ dây quấn rôto sai khác nhiều so với nhiệt độ dây quấn stato thì phương pháp này sẽ không chính xác.
Điện trở rôto được hiệu chỉnh về nhiệt độ chuẩn (xem 5.7.2 và Bảng 4) đối với từng tần số thử nghiệm trở kháng rôto khóa cứng, được cho bởi:

Vẽ đường cong của các giá trị R”r,lr theo tần số flr. Giao điểm với flr = 0 cho giá trị điện trở rôto R’r qui về phía stato.

Hình 9 – Máy điện cảm ứng, sơ đồ thay thế đơn giản để tính toán
● Trở kháng phụ thuộc vào tải
Đối với từng điểm tải mong muốn trung gian, tính giá trị trở kháng và tổng dẫn phụ thuộc vào hệ số trượt (xem Hình 9):

Tính trở kháng thu được từ các đầu nối:
![]()
trong đó
s là hệ số trượt ước tính;
Rs là điện trở dây quấn stato mỗi pha ở nhiệt độ chuẩn θref.
8.2.2.4.3.3 Dòng điện và tổn hao
Giá trị đặc trưng được xác định theo các bước dưới đây.
Xác định: dòng điện pha stato ; dòng điện pha rôto
Công suất truyền qua khe hở không khí đến rôto Pd = ; tổn hao sắt
; tổn hao dây quấn stato và rôto Ps = 3
Rs ; Pr = 3
R'r
Tổn hao bổ sung khi có tải
từ giá trị PLL,N ở tải danh định, hoặc ấn định (8.2.2.5.3) hoặc đo (8.2.2.5.2) hoặc xác định theo 8.2.2.5.4.
Tổn hao tổng là:
PT = Ps + Pfe + Pr + PLL + Pfw
Vì công suất vào và công suất trên trục là P1 = 3 R và P2 = P1 – PT , hệ số trượt phải được hiệu chỉnh và phải lặp lại cách tính dòng điện và tổn hao cho đến khi P2 đối với động cơ hoặc P1 đối với máy phát đủ gần giá trị mong muốn.
Hiệu suất (ở chế độ động cơ) thu được từ:
![]()
8.2.2.5 Tổn hao bổ sung khi có tải
8.2.2.5.1 Từ thử nghiệm tải có đo mômen
8.2.2.5.1.1 Tổn hao dư PLr
Tổn hao dư phải được xác định cho từng điểm tải bằng cách lấy công suất vào trừ đi: công suất ra, tổn hao dây quấn stato ở điện trở của thử nghiệm, tổn hao sắt, tổn hao quạt gió, tổn hao ma sát và tổn hao dây quấn rôto ứng với giá trị hệ số trượt đã xác định.
PLr = P1 – P2 – Ps – Pr – Pfe – Pfw; P2 = 2p x T x n
trong đó
P1, T và n theo 6.4.4.2;
Ps theo 8.2.2.4.1.2;
Pfe theo 8.2.2.3.3;
Pfw theo 8.2.2.3.2;
Pr theo 8.2.2.4.1.3.
8.2.2.5.1.2 Tuyến tính hóa dữ liệu tổn hao dư
Sử dụng phân tích hồi quy tuyến tính để tuyến tính hóa dữ liệu tổn hao dư (xem Hình 10) dựa vào thể hiện các tổn hao là hàm số của bình phương mômen tải theo quan hệ:
PLr = A x T2 + B
trong đó
T theo 8.2.2.5.1.1;
A và B là các hằng số được xác định theo 6.4.4.2 và 8.2.2.5.1.1 từ ít nhất sáu điểm tải sử dụng công thức sau:

i là số lượng điểm tải được tính.

Hình 10 – San bằng dữ liệu tổn hao dư

Khi hệ số tương quan g nhỏ hơn 0,95, loại bỏ điểm xấu nhất và phân tích hồi quy tuyến tính lại. Nếu g tăng đến ³0,95, sử dụng lần hồi quy thứ hai này; nếu g vẫn nhỏ hơn 0,95 thì thử nghiệm không đáp ứng và các sai số trong dụng cụ đo hoặc số đọc thử nghiệm hoặc cả hai phải được tìm ra. Nguồn gây sai số cần được kiểm tra và hiệu chỉnh rồi lặp lại thử nghiệm (xem 6.4.4.2).
8.2.2.5.1.3 Tổn hao bổ sung khi có tải PLL
Khi hằng số độ dốc A được thiết lập, giá trị tổn hao bổ sung khi có tải đối với từng điểm tải phải được xác định bằng công thức:
PLL = A x T2
trong đó
A và T theo 8.2.2.5.1.2.
8.2.2.5.2 Từ thử nghiệm với rôto được tháo ra và thử nghiệm quay ngược rôto
San bằng các giá trị thử nghiệm (xem 6.4.5.4) của công suất stato P1,rm và P1,rr và công suất trục (PD,rr – P0,rr) bằng cách áp dụng phân tích hồi quy về loga của công suất và dòng điện, cho mối quan hệ sau:
P1,rm = Arm x IN1 + BL,rm; P1,rr = Arr x IN2 + BL,rr; (PD,rr – P0,rr) = AD,rr x IN3 + BD,rr
Do đó, công suất được san bằng như sau:
P1,rm = Arm x IN1; P1,rr = Arr x IN2; (PD,rr – P0,rr) = AD,rr x IN3
Nếu dữ liệu là chính xác thì từng đường cong sẽ thể hiện mối quan hệ gần theo luật bình phương giữa công suất và dòng điện.
Tổn hao bổ sung khi có tải là: PLL = PLL,rm + PLL,rr trong đó, đối với từng dòng điện thử nghiệm:
PLL,rm = P1,rm – (3 x I2 x Rs,rm) là tổn hao ở tần số cơ bản
trong đó
Rs,rm là điện trở pha stato qui về trung bình của các nhiệt độ θW,rm;
PLL,rr = (PD,rr – P0,rr) – (P1,rr – PLL,rm – (3 x I2 x Rs,rr)) là tổn hao tần số cao hơn
trong đó
Rs,rr là điện trở pha stato qui về trung bình của các nhiệt độ θW,rr.
Tổn hao bổ sung khi có tại ở điểm làm việc cụ thể có thể được xác định theo các bước dưới đây.
a) Tính giá trị xấp xỉ đối với dòng điện tải INL tương ứng với giá trị danh định của dòng điện dây stato:
![]()
trong đó
IN là giá trị danh định của dòng điện dây stato;
I0 là giá trị của dòng điện stato khi không tải.
b) Đối với giá trị của dòng điện tải INL, tính giá trị danh định của tổn hao tải tạp PNLL như sau:
![]()
c) Tính giá trị dòng điện tải IL ở điểm làm việc bất kỳ:
![]()
trong đó
I là dòng điện dây stato ở điểm làm việc.
d) Tính tổn hao tải tạp PLL ở điểm làm việc:

8.2.2.5.3 Từ mức cho phép ấn định
Giá trị của các tổn hao bổ sung khi có tải PLL ở tải danh định có thể được xác định là phần trăm của công suất vào P1 sử dụng đường cong trên Hình 11.

Hình 11 – Mức cho phép ấn định đối với các tổn hao bổ sung khi có tải PLL, máy điện cảm ứng
Giá trị của đường cong có thể được mô tả bằng công thức sau:
đối với P2 £ 1 kW PLL = P1 x 0,025
đối với 1 kW < P2 £ 10 000 kW PLL = P1 x
đối với P2 ³ 10 000 kW PLL = P1 x 0,005
Đối với các tải không phải tải danh định, phải giả thiết rằng tổn hao bổ sung khi có tải thay đổi theo bình phương dòng điện sơ cấp trừ đi bình phương của dòng điện không tải.
CHÚ THÍCH: Đường cong này không thể hiện đương trung bình mà thể hiện đường bao phía trên của số lượng lớn các giá trị đo được và có thể trong hầu hết các trường hợp lớn hơn các tổn hao bổ sung khi có tải ở 8.2.2.5.1 hoặc 8.2.2.5.2.
8.2.2.5.4 Từ thử nghiệm Eh- sao
8.2.2.5.4.1 Xác định giá trị trung gian
Đối với từng điểm thử nghiệm theo 6.4.5.5, tính các giá trị sử dụng công thức trong Phụ lục B.
8.2.2.5.4.2 San bằng dữ liệu tổn hao bổ sung khi có tải
Dữ liệu tổn hao bổ sung khi có tải phải được san bằng bằng cách sử dụng phân tích hồi quy tuyến tính (xem Hình 10).
Tổn hao phải được thể hiện ở dạng hàm số của bình phương tỷ số dòng điện thứ tự nghịch Ii(2) và dòng điện thử nghiệm It theo 6.4.5.5:

A và B phải được tính tương tự qui trình mô tả ở 8.2.2.5.1.2.
Khi hằng số độ dốc A được thiết lập, giá trị của các tổn hao bổ sung khi có tải đối với tải danh định phải được xác định bằng công thức PLL = A x T2.
9 Xác định hiệu suất (máy điện đồng bộ)
9.1 Xác định bằng phép đo trực tiếp
9.1.1 Thử nghiệm đo mômen
Khi thử nghiệm theo 6.3.1, hiệu suất là:

Theo 6.3.1.1, công suất vào P1 và công suất ra P2 như sau:
- ở chế độ động cơ: P1 = Pel; P2 = Pmech;
- ở chế độ máy phát: P1 = Pmech; P2 = Pel
trong đó
Pel; T; và n theo 6.3.1.2, 6.3.1.3;
Pmech = 2pxTxn
P1E theo 6.2, sử dụng 3.4.3.3 và 3.4.3.4.
CHÚ THÍCH: Tổn hao mạch kích thích không được cung cấp bởi P1E là năng lượng cơ lấy từ trục.
9.1.2 Thử nghiệm nối trục sử dụng hai nguồn cung cấp
Khi các máy điện giống nhau được chạy ở cùng điều kiện danh định, hiệu suất phải được tính bằng một nửa tổn hao tổng và công suất vào trung bình của động cơ và máy phát như sau:

trong đó

và
P1 và P2 theo 6.3.2;
P1E theo 6.2, sử dụng 3.4.3.4.
9.2 Xác định bằng phép đo gián tiếp
9.2.1 Tổn hao tổng
9.2.1.1 Qui trình thử nghiệm nối trục sử dụng một nguồn cung cấp
Khi các máy điện giống nhau được chạy ở cùng điều kiện danh định, hiệu suất được tính bằng một nửa tổn hao tổng cho từng máy điện.
Tính hiệu suất từ công thức:

trong đó
PM là công suất tiêu thụ tại các đầu nối của máy điện ở chế độ động cơ (trừ công suất kích thích), theo 6.4.1.1;
PT là tổn hao tổng, được xác định bằng một nửa tổng lượng tiêu thụ;
P1E là công suất kích thích được cung cấp bằng nguồn độc lập, đối với máy điện đồng bộ đo theo 6.4.1.1.4.

9.2.1.2 Qui trình hệ số công suất bằng “không”
Đối với từng điểm tải mong muốn, xác định hiệu suất với các giá trị đo được từ 6.4.1.2 như sau:
![]()
trong đó
P1 =
x UN x I cos φN là công suất tiêu thụ ở các đầu nối dây quấn phần ứng khi làm việc ở chế độ danh định;
PT là tổn hao tổng, kể cả tổn hao kích thích.
Tổn hao tổng là:
a) đối với máy điện có máy kích thích loại c) và d) (xem 3.4.3.3):
PT = P1,zpf + ΔPfe Pe ;
Pe phải được xác định theo 6.2, áp dụng hiệu chỉnh nhiệt độ đối với điện trở dây quấn kích thích dưới đây:

trong đó
Ie là dòng điện trong dây quấn kích thích được xác định như mô tả trong TCVN 6627-4 (IEC 60034-4) (xem thêm 6.4.1.2);
Pi,zpf bằng với P1 theo 6.4.1.2;
Re là điện trở dây quấn kích thích, được hiệu chỉnh nhiệt độ đối với tải mong muốn;
Re,0 là điện trở dây quấn ở trạng thái nguội ở nhiệt độ θ0;
Ie,zpf là dòng điện trong dây quấn kích thích bằng thử nghiệm zpf
θw là nhiệt độ dây quấn kích thích của thử nghiệm zpf;
θc là nhiệt độ môi chất làm mát chuẩn của thử nghiệm zpf;
θe là nhiệt độ dây quấn kích thích được hiệu chỉnh về Ie;
ΔPfe được cho dưới đây.
b) đối với máy điện có máy kích thích loại a) và b) (xem 3.4.3.3):
Pe, PEd và P1E được xác định ở 6.2 bằng thử nghiệm ở 6.4.3.3 đối với dòng điện trong dây quấn kích thích của tải mong muốn, được xác định theo TCVN 6627-4 (IEC 60034-4) (xem thêm 6.4.1.2):

trong đó
P1,zpf, Pf,zpf và P1E,zpf là các giá trị đo được bằng thử nghiệm ở 6.4.1.2;
Pf được xác định như đối với máy điện được kích thích độc lập;
PEd, PEd,zpf được xác định bằng thử nghiệm ở 6.4.3.3 đối với Ie, Re và Ie,zpf, Re,zpf;
ΔPfe được xác định từ đường cong tổn hao sắt-điện áp (xem 6.4.2.3) và là chênh lệch giữa các giá trị ở điện áp bằng với e.m.f đối với tải mong muốn và e.m.f của thử nghiệm hệ số công suất bằng “không”.
CHÚ THÍCH: Các công thức được thể hiện cho máy điện ở chế độ động cơ.
9.2.2 Tổng của các tổn hao riêng rẽ
9.2.2.1 Hiệu suất
Hiệu suất được xác định từ:

trong đó:
P1 là công suất vào trừ công suất kích thích từ nguồn độc lập;
P2 là công suất ra;
P1E là công suất kích thích được cấp bởi nguồn độc lập;
PT theo 9.2.2.2.
CHÚ THÍCH 1: Thông thường, cách thể hiện thứ nhất được ưu tiên cho động cơ, cách thứ hai ưu tiên dùng cho máy phát.
CHÚ THÍCH 2: PT bao gồm công suất kích thích Pe (xem 6.2) của máy điện trong trường hợp áp dụng.
9.2.2.2 Tổn hao tổng
Tổn hao tổng bao gồm cả các tổn hao mạch kích thích là:
PT = Pk + Ps + PLL + Pe
trong đó
Pk theo 9.2.2.3;
Ps theo 9.2.2.5;
PLL theo 9.2.2.6;
Pe theo 9.2.2.4.
9.2.2.3 Tổn hao không đổi
9.2.2.3.1 Yêu cầu chung
Đối với từng giá trị điện áp ghi được ở 6.4.2.3, xác định tổn hao không đổi:
Pk = P0 – Ps
trong đó
Ps = 1,5 x I02 x Rll,0
I0, R0 và Rll,0 theo 6.4.2.3.
Đối với máy điện có máy kích thích không chổi than, p hải trừ thêm tổn hao kích thích như sau:
Pk = P0 – Ps – Pf,0 – PEd + P1E
trong đó
Pf,0 là tổn hao dây quấn kích thích khi không tải;
PEd là tổn hao trên máy kích thích theo 6.4.3.3 ứng với Ue và Ie của điểm thử nghiệm;
P1E là công suất theo 6.2 ứng với Ue và Ie của điểm thử nghiệm.
9.2.2.3.2 Tổn hao ma sát và tổn hao quạt gió
Từ các điểm thử nghiệm không tải (xem 6.4.2.3), sử dụng tất cả các điểm cho ảnh hưởng bão hoà không đáng kể để xây dựng một đường cong tổn hao không đổi (Pk) theo bình phương điện áp (U02). Ngoại suy một đường thẳng đến điện áp “zero”. Giao điểm với trục điện áp “zero” là tổn hao quạt gió và tổn hao ma sát Pfw.
CHÚ THÍCH: Tổn hao quạt gió và tổn hao ma sát được xem là độc lập với tải và có thể sử dụng cùng giá trị tổn hao quạt gió và ma sát cho từng điểm tải.
9.2.2.3.3 Tổn hao sắt
Đối với từng giá trị điện áp (xem 6.4.2.3), xây dựng một đường cong tổn hao không đổi theo điện áp. Lấy giá trị này trừ đi tổn hao quạt gió và tổn hao ma sát để xác định tổn hao sắt.
Pfe = Pk – Pfw
9.2.2.4 Tổn hao mạch kích thích
9.2.2.4.1 Yêu cầu chung
Đối với từng điểm tải, xác định các tổn hao kích thích:
Pe = Pf + PEd + Pb
PEd và Pf tương ứng theo 9.2.2.4.2 và 9.2.2.4.3.
Pb theo 9.2.2.4.4 khi sử dụng chổi than.
9.2.2.4.2 Từ thử nghiệm có tải
Pf là tổn hao dây quấn kích thích theo 6.4.3.1.
PEd là tổn hao trên máy kích thích theo 6.4.3.3:
PEd = 2pn(TE – TE,0) + P1E – Pf
9.2.2.4.3 Không từ thử nghiệm có tải
Pf là tổn hao dây quấn kích thích theo 6.4.3.2.
PEd là tổn hao trên máy kích thích theo 6.4.3.3.
Trong trường hợp máy điện đồng bộ kích thích độc lập thì tổn hao dây quấn kích thích Pf là tích của Ue, Ie, trừ đi tổn hao trên chổi than Pb theo 9.2.2.4.4.
9.2.2.4.4 Tổn hao trên chổi than
Xác định tổn hao trên chổi than từ điện áp rơi ấn định trên chổi than của từng cực tính trong hai cực tính:
Pb = 2 x Ub x Ie
trong đó
Ie theo thử nghiệm có tải ở 6.4.3.1 hoặc xác định bằng cách tính như ở 6.4.3.2;
Ub là điện áp rơi trên từng chổi than ở từng cực tính trong hai cực tính tùy thuộc vào loại chổi than:
1,0 V đối với chổi than cacbon, chổi than điện graphít hoặc chổi than graphít
0,3 V đối với chổi than cacbon-kim loại.
9.2.2.5 Tổn hao có tải
9.2.2.5.1 Xác định bằng thử nghiệm có tải
Tổn hao dây quấn stato ở từng điểm tải là:
Ps = 1,5 x I2 x Rll
trong đó
I được xác định ở 6.4.4.1;
Rll theo 6.4.4.1, được hiệu chỉnh đến nhiệt độ môi chất làm mát chuẩn sơ cấp bằng 25 oC.
9.2.2.5.2 Xác định không bằng thử nghiệm có tải
Xác định tổn hao dây quấn stato:
Ps = 1,5 x I2 x Rll
trong đó
I là dòng điện stato ước tính đối với điểm tải mong muốn;
Rll là điện trở dây quấn đo được qui về nhiệt độ chuẩn ở 5.7.2.
9.2.2.6 Tổn hao bổ sung khi có tải PLL
9.2.2.6.1 Bằng thử nghiệm với máy điện nối trục
Tổn hao bổ sung khi có tải ở dòng điện danh định là kết quả của công suất tiêu thụ của thử nghiệm ngắn mạch ở 6.4.5.6.1 trừ đi tổn hao ma sát và quạt gió Pfw theo 9.2.2.3.2 và tổn hao có tải ở dòng điện danh định theo 9.2.2.5.1 hoặc 9.2.2.5.2.
PLL,N = 2pnT – Pfw – Ps
Trong trường hợp máy điện có kích thích không chổi than, phải trừ thêm tổn hao dây quấn kích thích và tổn hao trên máy kích thích được cấp bởi máy truyền động:
PLL,N = 2pnT + P1E – Pfw – Ps – Pf - PEd
trong đó
Pf theo 6.2;
PEd là tổn hao trên máy kích thích theo 6.4.3.3.
Đối với các điểm tải khác, tổn hao bổ sung được tính từ:

9.2.2.6.2 Bằng thử nghiệm với máy điện không nối trục
Tổn hao bổ sung khi có tải phải được xác định bằng thử nghiệm không nối trục 6.4.5.6.2.
Để xác định tổn hao bổ sung ở dòng điện phần ứng bất kỳ, lấy công suất vào ở từng dòng điện phần ứng theo thử nghiệm 6.4.5.6.2 trừ đi tổn hao không đổi Pk theo 9.2.2.3 và tổn hao có tải Ps theo 9.2.2.5.1 ở dòng điện phần ứng bất kỳ.
PHỤ LỤC A
(qui định)
Hiệu chỉnh số đọc mômen từ thiết bị đo lực
CHÚ THÍCH: Phương pháp hiệu chỉnh này cũng được áp dụng nếu có ổ trục bất kỳ đặt giữa cơ cấu đo mômen và trục động cơ.
A.1 Hiệu chỉnh bằng thử nghiệm với động cơ chạy không tải
A.1.1 Thiết bị đo lực nối trục
Cho động cơ chạy ở điện áp và tần số danh định, nối trục với thiết bị đo lực nhưng không đóng điện cho thiết bị đo lực.
Đo và ghi lại Pd,0, Id,0, n, Td,0 và Rd,0 hoặc nhiệt độ θ (với R được rút ra từ các phép đo thử nghiệm).
Xác định hệ số trượt (s) và
Pd = (I2R)d,0 = 1,5 x x Rd,0
A.1.2 Động cơ không nối trục
Cho động cơ chạy ở điện áp và tần số danh định, không nối trục với thiết bị đo lực.
Đo và ghi lại P0, I0 và R0 hoặc nhiệt độ θ (với R được suy ra từ các phép đo thử nghiệm).
Xác định:
Ps = (I2R)0 = 1,5 x x R0
A.1.3 Hiệu chỉnh thiết bị đo lực
Xác định độ hiệu chỉnh mômen thiết bị đo lực Tc, tính bằng N.m như sau:

trong đó
n, Pd,0, Pd, s và Td,0 theo A.1.1;
P0 và Ps theo A.1.2;
Pfe theo 8.2.2.3.3.
CHÚ THÍCH: Trong thực tế, Td hầu như được bù bằng việc hiệu chuẩn thiết bị đo lực sao cho số đọc thiết bị đo lực là 0,0 khi mômen trục là 0,0.
A.2 Hiệu chỉnh bằng thử nghiệm với động cơ không nối trục
Không nối trục động cơ cần thử nghiệm; thiết bị dùng để nối trục phải được nối với trục của thiết bị đo lực. Cho thiết bị đo lực chạy như động cơ, làm mát bên ngoài, nếu có. Độ hiệu chỉnh mômen thiết bị đo lực Tc bằng với mômen đo được, với tốc độ n giống như khi có tải ở từng điểm tải.
CHÚ THÍCH: Thử nghiệm này không thực hiện được với thiết bị tải chỉ đóng vai trò là tải cơ khí, ví dụ thiết bị đo lực dòng điện xoáy.
PHỤ LỤC B
(qui định)
Tính giá trị từ phương pháp Eh-sao
Xác định điện áp và dòng điện phức dưới đây từ các kết quả thử nghiệm:

CHÚ THÍCH: Trong các công thức ở trên, giả thiết rằng dòng điện IW là đồng pha với điện áp UWU. Trong trường hợp trở kháng của điện trở có chứa thành phần phản kháng đáng kể thì sử dụng công thức sau:

trong đó Reh là giá trị đo được của thành phần điện trở.

Xác định điện áp pha-pha bên trong từ điện áp pha-pha và dòng điện phức:

Tách riêng các thành phần pha-pha thứ tự thuận và thứ tự nghịch ( a ej2p/3):

Xác định thành phần thứ tự thuận và thứ tự nghịch của điện áp pha bên trong Ui:

Xác định điện áp pha bên trong không đối xứng:

Xác định điện trở tổn hao sắt:

trong đó
Ut theo 6.4.5.5
Pfe theo 8.2.2.3.3


Xác định dòng điện pha bên trong

Xác định thành phần thứ tự thuận và thứ tự nghịch của dòng điện pha bên trong:

Giá trị tuyệt đối của dòng điện thứ tự thuận Ii(1) phải nhỏ hơn 30 % giá trị tuyệt đối của dòng điện thứ tự nghịch Ii(2) để đạt được các kết quả đúng. Nếu điều kiện này không thỏa mãn thì phải lặp lại thử nghiệm bằng giá trị khác của Reh.
Xác định công suất trong khe hở không khí:

Xác định các tổn hao bổ sung khi có tải:

PHỤ LỤC C
(tham khảo)
Các loại hệ thống kích thích
Các loại hệ thống kích thích được xem xét để xác định tổn hao trên máy kích thích là:
a) máy kích thích gắn trực tiếp với máy chính
Máy điện có máy kích thích một chiều hoặc xoay chiều được truyền động bởi trục của máy điện, trực tiếp hoặc qua ổ trục. Khi máy điện là máy điện đồng bộ thì công suất kích thích được cấp cho dây quấn kích thích qua vành trượt và chổi than.
b) máy kích thích không có chổi than
Máy kích thích xoay chiều nối trục với máy điện đồng bộ cấp điện cho dây quấn kích từ trực tiếp qua bộ chỉnh lưu quay, bỏ qua vành trượt và chổi than. Máy kích thích có thể là máy phát đồng bộ hoặc máy điện cảm ứng.
Công suất kích thích của máy kích thích đồng bộ được rút ra từ máy kích thích điều khiển xoay chiều nối trục trực tiếp có kích thích bằng nam châm vĩnh cửu hoặc từ dây quấn phụ (thứ cấp) trong các rãnh stato của máy điện (giống như trong e)) hoặc từ nguồn tĩnh điện.
Máy kích thích cảm ứng được nối với nguồn điện áp xoay chiều biến đổi.
c) máy kích thích kiểu quay độc lập
Máy phát một chiều hoặc xoay chiều là phần của tổ máy phát động cơ độc lập cung cấp dòng điện kích thích cho dây quấn kích thích của máy điện.
d) hệ thống kích thích tĩnh (máy kích thích tĩnh)
Công suất kích thích được cấp cho dây quấn kích từ của máy điện bằng nguồn cung cấp tĩnh như acqui hoặc bộ biến đổi tĩnh điện được cấp điện từ nguồn độc lập.
e) kích thích từ dây quấn phụ (máy kích thích là dây quấn phụ)
Công suất kích thích dùng cho máy phát xoay chiều được cấp bởi dây quấn phụ (thứ cấp) trong các rãnh stato của máy điện, sử dụng từ thông cơ bản hoặc từ thông hài, và cung cấp cho dây quấn kích từ thông qua bộ chỉnh lưu, vành trượt và chổi than.
PHỤ LỤC D
(qui định)
Các phương pháp thử nghiệm khác
D.1 Mục đích
Qui trình thử nghiệm dưới đây được lấy từ TCVN 6627-2:2001 (IEC 60034-2:1972 và sửa đổi 1:1995) (xác định trong IEC 60034-2A:1974 là Điều 17) và sửa đổi 2:1996, không nằm trong tiêu chuẩn này:
Thử nghiệm với máy điện đã hiệu chuẩn
Thử nghiệm quay chậm
Phương pháp nhiệt lượng
Các phương pháp này chủ yếu áp dụng cho máy điện kích cỡ lớn trong đó chi phí về phương tiện thử nghiệm đối với các phương pháp khác không được kinh tế. Các phương pháp này sẽ được đưa vào IEC 60034-2-2 mà đang được xem xét. Phụ lục này đưa ra các điều khoản để duy trì các phương pháp thử nghiệm này như một phụ lục qui định trong thời gian này. Sau khi xuất bản tiêu chuẩn IEC 60034-2-2 đề cập đến việc xem xét lại các phương pháp này thì phụ lục này sẽ được bỏ đi.
D.2 Thử nghiệm với máy điện đã hiệu chuẩn
D.2.1 Định nghĩa
Thử nghiệm trong đó công suất cơ đầu vào hoặc đầu ra của máy điện được tính từ công suất điện ra hoặc công suất điện vào của máy điện đã hiệu chuẩn được nối cơ với máy điện cần thử nghiệm.
D.2.2 Phương pháp
Máy điện cần đo tổn hao được tách khỏi lưới, không ghép với động cơ sơ cấp của nó nếu cần, và được truyền động ở tốc dộ danh định bằng động cơ đã hiệu chuẩn, tức là động cơ điện có tổn hao đã được xác định trước với độ chính xác cao để có thể xác định được công suất cơ mà động cơ cung cấp trên trục khi biết công suất điện tiêu thụ và tốc độ quay. Công suất cơ truyền từ động cơ hiệu chuẩn đến trục máy điện thử nghiệm là thước đo tổn hao của máy điện thử nghiệm ở điều kiện làm việc mà ở đó phép thử được tiến hành. Trong phương pháp này, máy điện có thể được thử nghiệm ở chế độ không tải, được kích thích hoặc không, có hoặc không có chổi than hoặc được ngắn mạch nhờ đó cho phép xác định riêng rẽ các loại tổn hao.
Một cách khác, động cơ đã hiệu chuẩn có thể được thay bằng thiết bị đo lực hoặc bằng động cơ khác bất kỳ kéo máy điện thử nghiệm thông qua thiết bị đo mômen quay thích hợp, mà nhờ thiết bị này có thể biết mômen quay truyền đến máy điện cần thử nghiệm, và do đó biết được công suất cơ tiêu thụ của máy điện thử nghiệm.
D.2.3 Xác định hiệu suất
Khi máy điện đạng chạy theo D.2.2 ở điều kiện tốc độ, điện áp và dòng điện danh định, hiệu suất được tính là tỷ số của đầu ra trên đầu vào.
Thử nghiệm phải được thực hiện càng gần càng tốt với nhiệt độ đạt được khi làm việc ở cuối thời gian được qui định trong thông số đặc trưng. Không phải thực hiện hiệu chỉnh nhiệt độ dây quấn.
CHÚ THÍCH: Điều D.2 lặp lại, không thay đổi về kỹ thuật, 4.4 và Điều 13 của TCVN 6627-2 (IEC 60034-2:1972) cũng như 7.3.2, 9.3.2 và 11.3.2 của TCVN 6627-2 (IEC 60034-2:1972, sửa đổi 1:1995).
D.3 Thử nghiệm quay chậm
D.3.1 Định nghĩa
Phương pháp thử nghiệm trong đó tổn hao trong máy điện được suy ra từ tốc độ giảm tốc máy điện khi chỉ có các tổn hao này.
Phương pháp quay chậm có thể được sử dụng để xác định các tổn hao riêng rẽ của máy điện quay.
Phương pháp xác định tổn hao được đề cập trong điều này thích hợp dùng cho máy điện đồng bộ kích cỡ lớn nhưng các nguyên tắc, cũng có thể áp dụng cho các máy điện khác (máy điện một chiều và máy điện cảm ứng xoay chiều có quán tính quay đáng kể) sử dụng các tổn hao thích hợp cho các máy điện này.
Phương pháp quay chậm được sử dụng để xác định:
- tổng tổn hao ma sát và tổn hao quạt gió (“tổn hao cơ”) trong các loại máy điện;
- tổng tổn hao trong phần sắt hữu ích và tổn hao mạch hở bổ sung trong máy điện một chiều và máy điện đồng bộ;
- tổng tổn hao I2R trong dây quấn làm việc và tổn hao bổ sung khi có tải (“tổn hao ngắn mạch”) trong máy điện đồng bộ.
D.3.2 Yêu cầu chung
D.3.2.1 Yêu cầu cơ bản
Tổng tổn hao Pt làm chậm máy điện tỷ lệ với tích của tốc độ tương ứng với tổn hao này và độ giảm tốc ở tốc độ đó:

trong đó
Pt là tổng tổn hao trong thử nghiệm quay chậm.
Khi n tính bằng r/min và Pt tính bằng kW thì hằng số chậm C là:

trong đó J là mômen quán tính, tính bằng kg.m2.
Độ giảm tốc dn/dt có thể tìm được trực tiếp, bằng cách sử dụng gia tốc kế, hoặc gián tiếp, bằng một trong các phương pháp cho trong D.3.2.2, D.3.2.3 và D.3.2.4 dưới đây.
D.3.2.2 Phương pháp dây cung
Phương pháp này yêu cầu đo khoảng thời gian (t2 – t1) trong đó tốc độ máy điện thử nghiệm thay đổi từ nN(1+d) đến nN(1 - d), xem Điều D.1. Tỷ số giữa khoảng tốc độ 2d nN và khoảng thời gian t2 – t1 xấp xỉ bằng độ giảm tốc tại tốc độ danh định:

d sai lệch của tốc độ quay tính bằng đơn vị tương đối so với tốc độ danh định.
Giá trị d không được lớn hơn 0,1 và có thể phải nhỏ hơn tùy thuộc vào đặc tính của máy điện.

Hình D.1 – Phương pháp dây cung
D.3.2.3 Phương pháp cát tuyến giới hạn
Phương pháp này là một biến thể của phương pháp dây cung và áp dụng thích hợp trong trường hợp tốc độ quay không thể tăng quá giá trị danh định. Gọi thời điểm tốc độ quay bằng giá trị danh định nN là t1, và thời điểm mà tại đó tốc độ quay đạt đến giá trị nN (1-d) là t2. Độ lệch d được giảm liên tục và đạo hàm theo thời gian của tốc độ quay là giới hạn của tang góc được tạo bởi đường thẳng qua hai điểm t1, t2 và trục thời gian, khi d tiến tới “0”, xem Hình D.2.

Hình D.2 – Phương pháp cát tuyến giới hạn
D.3.2.4 Phương pháp tốc độ quay trung bình
Nếu t1, t2 và t3 là các thời điểm được ghi liên tiếp, trục quay quay được N vòng nguyên trong khoảng thời gian giữa hai lần đọc liên tiếp thì giá trị trung bình của tốc độ trong khoảng thời gian phải là:

và độ giảm tốc của trục ở thời điểm trung gian t2 là:

Giá trị độ giảm tốc tính toán được vẽ theo giá trị trung bình của tốc độ quay. Giá trị độ giảm tốc tại tốc độ quay danh định được xác định từ đường cong.
D.3.3 Kết cấu các thử nghiệm quay chậm
D.3.3.1 Kết cấu các thử nghiệm khi đã biết mômen quán tính
Khi đã biết mômen quán tính của một bộ phận quay của máy điện từ phép đo hoặc từ thiết kế thì đối với máy điện một chiều, hai thử nghiệm quay chậm cơ bản là đủ: máy điện làm việc không có kích thích và máy điện làm việc ở chế độ hở mạch, kích thích đến điện áp danh định ở tốc độ danh định. Đối với máy điện đồng bộ, phải tiến hành thử nghiệm quay chậm thứ ba với dây quấn phần ứng bị ngắn mạch và kích thích tổ máy đến dòng điện phần ứng danh định.
Thử nghiệm đầu tiên cho tổn hao cơ (ma sát và quạt gió) Pfw của máy điện thử nghiệm từ công thức:

Thử nghiệm thứ hai cho tổng tổn hao cơ Pfw và tổn hao sắt Pfe từ công thức:

Thử nghiệm thứ ba cho tổng tổn hao cơ Pfw và tổn hao ngắn mạch Pk từ công thức:

Trong các công thức trên:
![]()
là các giá trị của đạo hàm tốc độ theo thời gian tương ứng trong thử nghiệm thứ nhất, thứ hai và thứ ba.
Tổn hao sắt được xác định là sự chênh lệch của tổn hao đo được trong thử nghiệm thứ nhất và thứ hai.
Tổng tổn hao I2R và tổn hao bổ sung trong mạch phần ứng là chênh lệch tổn hao đo được trong thử nghiệm thứ ba và thứ nhất. Nếu yêu cầu, có thể tách tổng này thành các thành phần bằng cách lấy nó trừ đi tổn hao I2R trong mạch phần ứng được tính từ điện trở mạch phần ứng tương ứng ở nhiệt độ thử nghiệm. Do đó, nhiệt độ dây quấn phải được suy ra từ phương pháp đo nhiệt độ thích hợp ngay sau mỗi thử nghiệm quay chậm với mạch phần ứng bị ngắn mạch.
D.3.3.2 Kết cấu thử nghiệm khi chưa biết mômen quán tính
Khi chưa biết mômen quán tính của phần quay của máy điện quay, hoặc máy điện được nối cơ khí với các phần quay khác, ví dụ như tuabin, quán tính của nó chưa biết, phải tiến hành thêm một số thử nghiệm để xác định hằng số chậm C.
Trong trường hợp có khả năng cho chạy máy điện thử nghiệm ở chế độ động cơ không tải từ nguồn cung cấp có điện áp, số pha và tần số thích hợp (trong trường hợp máy điện xoay chiều), và công suất cung cấp cho máy điện thử nghiệm có thể đo được, (bằng tổng tổn hao cơ Pfw và tổn hao sắt Pfe vì tổn hao I2R trong mạch phần ứng thường được bỏ qua), khi đó hằng số chậm C được xác định từ công thức:

Nếu phép đo công suất khó thực hiện do dao động tần số của nguồn thì đo năng lượng cung cấp cho máy điện thử nghiệm bằng công tơ. Khi đó, cần vận hành máy điện ở chế độ động cơ trong khoảng thời gian nào đó ở các điều kiện cung cấp ổn định.
Trong trường hợp không thể vận hành máy điện thử nghiệm ở chế độ động cơ không tải thì phải thêm một thử nghiệm làm chậm khác ngoài ba thử nghiệm trong D.3.3.1. Trong trường hợp này, máy điện thử nghiệm được làm chậm bằng tổn hao P nào đó có thể đo được và có cùng độ lớn với các tổn hao sắt Pfe và tổn hao ngắn mạch Pk dự kiến. Với mục đích đó, có thể sử dụng tổn hao hở mạch hoặc ngắn mạch của biến áp được nối, và tổn hao này được đo riêng. Ngược lại, nếu có sẵn máy kích thích hoặc máy phát phụ trợ lắp với trục của máy điện thử nghiệm thì có thể sử dụng tải của máy này cùng với điện trở đệm.
Nếu máy điện thử nghiệm bị làm chậm dần do tổn hao mạch hở của biến áp và bỏ qua tổn hao ngắn mạch tương ứng với dòng điện hở mạch của biến áp thì:

do đó:

Khi máy điện thử nghiệm bị làm chậm dần do tổn hao ngắn mạch máy biến áp, thông thường bỏ qua tổn hao sắt tương ứng với từ thông trong máy biến áp bị ngắn mạch. Do đó:

và

Khi máy điện thử nghiệm bị làm chậm dần do máy kích thích hoặc máy phát phụ trợ có tải là điện trở “đệm” thì tổn hao chậm chỉ bao gồm tổn hao cơ Pfw của máy thử nghiệm và tải đo được P (có kể đến hiệu suất của máy điện có tải mà có thể được xác định bằng tính toán). Do đó:

vậy:

D.3.4 Qui trình thử nghiệm quay chậm
D.3.4.1 Tình trạng máy điện thử nghiệm trong quá trình thử nghiệm quay chậm
Máy điện thử nghiệm phải được lắp ráp hoàn chỉnh như khi hoạt động bình thường. ổ đỡ phải được chạy thử trước khi thử nghiệm. Nhiệt độ không khí phải được điều chỉnh về nhiệt độ bình thường mà tại đó yêu cầu đo tổn hao thông gió bằng cách chặn dòng không khí làm mát. Nhiệt độ ổ đỡ phải được điều chỉnh về nhiệt độ bình thường như khi ổ đỡ hoạt động với tải danh định bằng cách điều chỉnh dòng làm mát.
D.3.4.2 Máy điện thử nghiệm nối trục với các cơ cấu khác
Khi có thể, máy điện thử nghiệm phải được tách ra khỏi các phần quay khác. Nếu không thể tháo được thì phải tiến hành các bước có thể để giảm tổn hao cơ khí trong các phần quay khác, ví dụ tháo một phần hoặc trong trường hợp tuabin nước tháo nước khỏi buồng bánh công tác. Phải thực hiện các biện pháp để loại bỏ khả năng nước chảy từ phía thượng lưu và việc bánh công tác hút nước lên từ phía hạ lưu. Bánh công tác quay trong không khí sẽ tạo ra tổn hao quạt gió mà tổn hao này có thể được định ra bằng thực nghiệm hoặc từ tính toán được thỏa thuận giữa người mua và nhà chế tạo.
D.3.4.3 Quay máy điện thử nghiệm
Trong một số trường hợp, máy điện thử nghiệm có thể được kéo bằng động cơ sơ cấp bình thường của nó, ví dụ bằng tuabin Pelton khi đó nước cung cấp cho bánh công tác có thể cắt ngay lập tức. Tuy nhiên, máy điện thử nghiệm thường ở chế độ động cơ không tải, được cấp từ nguồn độc lập có dải thay
đổi tốc độ rộng. Trong mọi trường hợp, kích thích phải từ nguồn độc lập có điện áp được điều khiển nhanh và chính xác. Kích thích từ máy kích thích được nối cơ khí từ trước về nguyên tắc không nên sử dụng, nhưng có thể cho phép sử dụng trong các trường hợp khi sai lệch tốc độ tương đối nhỏ, ví dụ không vượt quá 0,05. Trong các trường hợp này, tổn hao trong máy kích thích được nối với trục quay của máy thử nghiệm, phải được tính đến.
D.3.4.4 Qui trình cần thực hiện trước khi bắt đầu các thử nghiệm
Bắt đầu mỗi thử nghiệm máy điện được tăng tốc nhanh đến tốc độ lớn hơn nN (1+) sao cho khi giảm tốc về tốc độ này thì máy điện ở trạng thái yêu cầu, cụ thể là:
- ngắt khỏi nguồn cung cấp;
- nếu giảm tốc chỉ do tổn hao cơ học, từ trường của máy điện bị triệt tiêu;
- trong trường hợp giảm tốc do tổng tổn hao cơ và tổn hao ngắn mạch, từ trường máy điện bị triệt tiêu, đầu ra của phần ứng được ngắn mạch và máy điện được kích thích lại đến dòng điện ngắn mạch đặt trước;
- trong trường hợp giảm tốc do tổn hao máy biến áp sau khi triệt tiêu từ trường, máy điện thử nghiệm được nối vào máy biến áp được đặt trước ở trạng thái xác định (không tải hoặc ngắn mạch) và được kích thích tới giá trị dòng điện hoặc điện áp hở mạch đặt trước;
- trong trường hợp giảm tốc do tổn hao tải của máy kích thích hoặc của máy phát phụ trợ nối trên trục máy điện, từ trường của máy điện thử nghiệm bị triệt tiêu và đồng thời đặt vào một tải qui định.
Trong các trường hợp trên, phải có khoảng thời gian đủ lớn từ khi tắt nguồn đến thời điểm bắt đầu đo để cho phép quá độ điện từ triệt tiêu.
Trong trường hợp giảm tốc do tổng tổn hao cơ và tổn hao sắt hoặc do tổn hao mạch hở của biến áp nguồn, không yêu cầu bất kỳ thủ tục nào sau khi máy điện được cắt khỏi nguồn nếu kích thích của máy điện thử nghiệm tương ứng với giá trị điện áp hở mạch đặt trước, trong trường hợp máy điện đồng bộ, ở tốc độ danh định và hệ số công suất bằng 1.
D.3.4.5 Qui trình trong thời gian giảm tốc
Việc đọc chỉ số của tất cả các thiết bị đo sử dụng cho mỗi thử nghiệm (ampemét đo dòng kích thích, vônmét đo điện áp hở mạch, ampemét đo dòng ngắn mạch) và của tất cả các thiết bị đo công suất trong các thử nghiệm giảm tốc bổ sung khi mômen quán tính J chưa biết phải thực hiện tại thời điểm máy điện thử nghiệm đi qua tốc độ danh định; trong trường hợp thử nghiệm giảm tốc không có kích thích, không yêu cầu đọc các chỉ số đo tại thời điểm này.
Giá trị đo được của điện áp hở mạch hoặc dòng điện ngắn mạch không được sai lệch quá ±2 % so với giá trị đặt trước. Giá trị tính toán được cuối cùng của đạo hàm tốc độ theo thời gian đối với từng thử nghiệm phải được điều chỉnh tỷ lệ với tỷ số giữa bình phương giá trị đặt trước và giá trị đo được.
D.3.4.6 Chương trình thử nghiệm giảm tốc
Các thử nghiệm giảm tốc phải tiến hành thành chuỗi liên tiếp, không gián đoạn, khi có thể. Nên bố trí để chuỗi này bắt đầu và kết thúc bằng một số thử nghiệm giảm tốc của máy điện không được kích thích. Nếu vì lý do nào đó, chuỗi thử nghiệm này không được thực hiện liên tiếp thì bố trí để mỗi chuỗi thử nghiệm tiếp theo sau được bắt đầu và kết thúc bằng một số thử nghiệm giảm tốc không kích thích.
Các thử nghiệm có thể được lặp lại vài lần tại cùng các giá trị đặt trước của điện áp hở mạch hoặc dòng điện ngắn mạch, ví dụ ở giá trị danh định, hoặc tại các giá trị khác nhau trong giới hạn 95 % đến 105 % của giá trị danh định. Trong trường hợp thứ nhất, giá trị trung bình số học nhận được từ các phép đo được coi là giá trị đo thực của mỗi loại tổn hao. Trong trường hợp thứ hai, các giá trị được vẽ thành một đường cong là hàm của điện áp hoặc dòng điện. Giá trị đo thực được coi là giá trị tại điểm giao nhau của giá trị đặt trước của điện áp hoặc dòng điện và đường cong vẽ được.
Các thử nghiệm giảm tốc bổ sung, khi chưa biết mômen quán tính của máy điện thử nghiệm, phải được thực hiện ở cùng một giá trị điện áp hoặc dòng điện nhận được khi dây quấn hở mạch hoặc ngắn mạch.
Nếu điều này không thực hiện được thì các giá trị tương ứng phải được xác định từ đường cong như cách trên.
D.3.5 Tiến hành đo
D.3.5.1 Phương pháp đo
Các phép đo trong thử nghiệm giảm tốc nhằm có được giá trị yêu cầu của đạo hàm tốc độ theo thời gian và có thể được thực hiện theo một trong ba phương pháp sau:
a) phương pháp đo gia tốc – đo trực tiếp sự giảm tốc theo thời gian:

b) phương pháp tốc độ kế – bằng cách xác định sự phụ thuộc của tốc độ vào thời gian:
n =f (t);
c) phương pháp bấm giờ – xác định sự phụ thuộc của dịch chuyển góc của trục máy điện thử nghiệm theo thời gian:
g =f (t);
Đối với các trường hợp trên, thiết bị đo tự ghi có thể sử dụng tự ghi liên tục hoặc rời rạc các giá trị đo và thời gian.
D.3.5.2 Phương pháp đo gia tốc
Sự phụ thuộc của tốc độ vào thời gian đối với các máy điện lớn có hệ thống thông gió phức tạp, có thể không theo qui tắc. Vì vậy, giá trị tức thời giảm tốc, trong quá trình thử nghiệm giảm tốc, tại thời điểm đi qua tốc độ danh định có thể là ngẫu nhiên. Do đó, giá trị đúng của đạo hàm tốc độ có thể được xác định bằng cách vẽ độ giảm tốc đo được theo thời gian hoặc tốc độ và sử dụng đường cong hiệu chỉnh thích hợp hoặc kỹ thuật tương quan.
D.3.5.3 Phương pháp tốc độ kế
Đồ thị tốc độ theo thời gian nhận được từ kết quả các phép đo. Trên đồ thị này, xác định được thời điểm tốc độ đạt giá trị được chỉ ra theo phương pháp dây cung hoặc phương pháp cát tuyến giới hạn. Chênh lệch thời gian giữa giới hạn tốc độ thấp và giới hạn tốc độ cao được sử dụng để tính toán giảm tốc.
Nếu có máy kích thích hoặc máy điện khác lắp trên trục máy điện thử nghiệm, thì có thể sử dụng như một máy phát tốc, miễn là tín hiệu điện áp không đập mạch theo tốc độ quay của máy điện thử nghiệm. Kích thích phải được cung cấp từ nguồn một chiều ổn định, ví dụ như acqui riêng.
Nếu tín hiệu điện áp đập mạch theo tốc độ quay hoặc khi không có máy phát tốc lắp với máy điện thử nghiệm, có thể sử dụng máy điện một chiều ghép nối. Máy điện một chiều này có thể được kéo từ trục của máy điện thử nghiệm bằng dây đai không có mối nối hoặc bằng cách khác để quay êm.
Tiến hành đọc tốc độ cách nhau một khoảng thời gian chính xác, được qui định bởi phương pháp tương ứng, trong trường hợp này không cần ghi riêng thời điểm hoặc thực hiện theo tín hiệu từ trục của máy điện thử nghiệm; trong trường hợp này các số đọc thời gian phải đồng thời với số đọc tốc độ. Không cần đọc giá trị sau mỗi vòng quay của trục; thường 30 đến 40 lần đọc trong toàn bộ thử nghiệm là đủ.
Khi có sẵn các thiết bị đo có độ chính xác cao, phép đo tốc độ quay có thể được thay thế bằng các phép đo tốc độ tức thời hoặc phép đo chu kỳ điện áp của máy điện thử nghiệm hoặc của bất kỳ máy điện xoay chiều nào khác nối trên trục của máy điện thử nghiệm; số đôi cực của cả hai máy điện không nhất thiết phải bằng nhau.
D.3.5.4 Phương pháp bấm giờ
Các bộ đếm thời gian được sử dụng có thể là bộ chỉ thị nhìn thấy với sự dịch chuyển liên tục của con trỏ (không theo bước), hoặc chỉ thị số cùng với máy in (điện hoặc cơ).
Số đọc thời gian phải lấy theo tín hiệu nhận được từ trục máy điện thử nghiệm ở mỗi vòng quay hoàn chỉnh của trục hoặc sau một số vòng đã biết.
CHÚ THÍCH: Nếu sử dụng phương pháp tốc độ kế, tốc độ quay được xác định bởi tín hiệu từ trục của máy điện thử nghiệm thì khi đó các số đọc thời gian có thể được sử dụng cho cả phương pháp đo tốc độ và phương pháp bấm giờ, do đó có thể kiểm tra chéo.
Trong một số trường hợp, khi tổ máy có đặc tính giảm tốc đều đặn, độ chính xác đủ có thể đạt được bằng cách đo thời gian giảm tốc giữa hai tốc độ có cùng sự khác nhau so với tốc độ danh định:
![]()
Tần số điện áp stato cung cấp cách tốt nhất để xác định tốc độ của máy điện đồng bộ.
D.3.5.5 Phép đo tổn hao ổ đỡ
Tổn hao trong ổ đỡ và ổ chặn có thể được tách riêng từ tổng tổn hao cơ khí, nếu có yêu cầu. Tổn hao này có thể được xác định bằng phương pháp nhiệt lượng theo TCVN 6627-2A (IEC 60034-2A). Nếu máy điện thử nghiệm sử dụng làm mát trực tiếp cho ổ đỡ thì các tổn hao này được phân bổ giữa máy điện thử nghiệm và các bộ phận khác được ghép cơ với nó, ví dụ như tuabin, tổn hao tỷ lệ với khối lượng của các phần quay. Nếu không làm mát bằng dòng trực tiếp, sự phân bố tổn hao ổ đỡ phải được xác định từ công thức kinh nghiệm theo thỏa thuận giữa người mua và nhà chế tạo.
CHÚ THÍCH: Điều D.3 lặp lại 4.7 của TCVN 6627-2:2001 (IEC 60034-2:1972) và Điều 15 của TCVN 6627-2:2001 (IEC 60034-2:1972 và sửa đổi 1:1995), không thay đổi về kỹ thuật.
D.4 Phương pháp nhiệt lượng
D.4.1 Định nghĩa
Phương pháp thử nghiệm trong đó các tổn hao trong máy điện được suy ra từ nhiệt được tạo ra bởi các tổn hao này. Tổn hao được tính từ tích của lượng môi chất làm mát và độ tăng nhiệt của nó và nhiệt tiêu tán ra môi trường xung quanh.
CHÚ THÍCH: Điều D.4.1 lặp lại 4.8 của TCVN 6627-2:2001 (IEC 60034-2:1972).
D.4.2 Phương pháp
Đo tổn hao bằng phương pháp nhiệt lượng phải phù hợp với TCVN 6627-2A (IEC 60034-2A).
MỤC LỤC
Lời nói đầu .....................................................................................................................................
Lời giới thiệu ...................................................................................................................................
1. Phạm vi áp dụng .....................................................................................................................
2. Tài liệu viện dẫn ......................................................................................................................
3. Thuật ngữ và định nghĩa ...........................................................................................................
4. Ký hiệu và thuật ngữ viết tắt .....................................................................................................
5. Yêu cầu cơ bản ........................................................................................................................
6. Phương pháp thử nghiệm để xác định hiệu suất ........................................................................
7. Xác định hiệu suất (máy điện một chiều) ..................................................................................
8. Xác định hiệu suất (máy điện cảm ứng) ....................................................................................
9. Xác định hiệu suất (máy điện đồng bộ) ....................................................................................
Phụ lục A (qui định) – Hiệu chỉnh số đọc mômen từ thiết bị đo lực .................................................
Phụ lục B (qui định) – Tính giá trị từ phương pháp Eh-sao ..............................................................
Phụ lục C (tham khảo) – Các loại hệ thống kích thích ....................................................................
Phụ lục D (qui định) – Các phương pháp thử nghiệm khác .............................................................
[1] 1 Định nghĩa này giả thiết điện áp và dòng điện hình sin.
[2] Nếu không có qui định khác, các thử nghiệm trong tiêu chuẩn này được mô tả cho hoạt động của động cơ, trong đó P1 và P2 là công suất điện vào và công suất cơ ra tương ứng.
Bạn chưa Đăng nhập thành viên.
Đây là tiện ích dành cho tài khoản thành viên. Vui lòng Đăng nhập để xem chi tiết. Nếu chưa có tài khoản, vui lòng Đăng ký tại đây!