- Tổng quan
- Nội dung
- Tiêu chuẩn liên quan
- Lược đồ
- Tải về
Tiêu chuẩn TCVN 12009:2017 Xác định độ thấm chất lỏng của ống cao su, chất dẻo
| Số hiệu: | TCVN 12009:2017 | Loại văn bản: | Tiêu chuẩn Việt Nam |
| Cơ quan ban hành: | Bộ Khoa học và Công nghệ | Lĩnh vực: | Công nghiệp |
|
Ngày ban hành:
Ngày ban hành là ngày, tháng, năm văn bản được thông qua hoặc ký ban hành.
|
2017 |
Hiệu lực:
|
Đã biết
|
| Người ký: | Đang cập nhật |
Tình trạng hiệu lực:
Cho biết trạng thái hiệu lực của văn bản đang tra cứu: Chưa áp dụng, Còn hiệu lực, Hết hiệu lực, Hết hiệu lực 1 phần; Đã sửa đổi, Đính chính hay Không còn phù hợp,...
|
Đã biết
|
TÓM TẮT TIÊU CHUẨN VIỆT NAM TCVN 12009:2017
Nội dung tóm tắt đang được cập nhật, Quý khách vui lòng quay lại sau!
Tải tiêu chuẩn Việt Nam TCVN 12009:2017
TIÊU CHUẨN QUỐC GIA
TCVN 12009:2017
ISO 8308:2015
ỐNG MỀM VÀ ỐNG CỨNG CAO SU VÀ CHẤT DẺO - XÁC ĐỊNH ĐỘ THẤM CHẤT LỎNG QUA THÀNH ỐNG
Rubber and plastics hoses and tubing - Determination of transmission of liquids through hose and tubing walls
Lời nói đầu
TCVN 12009:2017 hoàn toàn tương đương ISO 8308:2015.
TCVN 12009:2017 do Ban kỹ thuật tiêu chuẩn quốc gia TCVN/TC45 Cao su và sản phẩm cao su biên soạn, Tổng cục Tiêu chuẩn Đo lường Chất lượng đề nghị, Bộ Khoa học và Công nghệ công bố.
ỐNG MỀM VÀ ỐNG CỨNG CAO SU VÀ CHẤT DẺO - XÁC ĐỊNH ĐỘ THẤM CHẤT LỎNG QUA THÀNH ỐNG
Rubber and plastics hoses and tubing - Determination of transmission of liquids through hose and tubing walls
1 Phạm vi áp dụng
Tiêu chuẩn này quy định hai phương pháp xác định độ thấm chất lỏng qua thành ống mềm và ống cứng. Cả hai phương pháp này đều có thể áp dụng đối với ống mềm và ống cứng bằng cao su và chất dẻo, bao gồm:
- phương pháp A, cho tất cả các kích cỡ và cấu trúc của ống mềm và ống cứng: thử nghiệm so sánh thực tế, mô phỏng các điều kiện làm việc;
- Phương pháp B, cho ống mềm và ống cứng có đường kính trong đến 16 mm.
2 Tài liệu viện dẫn
Các tài liệu viện dẫn sau đây là cần thiết để áp dụng tiêu chuẩn này. Đối với các tài liệu viện dẫn ghi năm công bố thì áp dụng bản được nêu. Đối với các tài liệu viện dẫn không ghi năm công bố thì áp dụng phiên bản mới nhất, bao gồm cả các sửa đổi, bổ sung (nếu có).
TCVN 1592 (ISO 23529), Cao su - Qui trình chung để chuẩn bị và ổn định mẫu thử cho các phương pháp thử vật lý
TCVN 8488 (ISO 4788), Dụng cụ thí nghiệm bằng thủy tinh - Ống đong chia độ
ISO 4671, Rubber and plastics hoses and hose assemblies - Methods of measurement of dimensions (Ống và các phụ kiện ống cao su và chất dẻo - Phương pháp đo kích thước)
3 Nguyên tắc
3.1 Phương pháp A
Phương pháp này được thực hiện trên hệ ống lắp vào thiết bị thử nghiệm có trang bị dụng cụ để rót và đo thể tích chất lỏng dễ bay hơi đã được nạp. Hệ thống được đặt dưới áp suất và sự thay đổi về thể tích được đo tại các khoảng thời gian 24 h cho đến khi mức thay đổi trở nên ổn định theo thời gian, nghĩa là đạt được trạng thái cân bằng. Kết quả thử nghiệm là tốc độ bay hơi ở trạng thái ổn định này, được biểu thị là thể tích chất lỏng bị hao hụt mỗi giờ trên một đơn vị diện tích bề mặt bên trong của ống mềm hoặc ống cứng.
3.2 Phương pháp B
Phương pháp này sử dụng bể chứa không có áp suất. Chiều dài của ống mềm hoặc ống cứng được gắn vào bể chứa, đầu kia của ống mềm hoặc ống cứng được bịt kín. Chất lỏng thử nghiệm được rót từng phần vào bể chứa và đậy kín. Cân hệ ống tại lúc bắt đầu thử nghiệm và cứ mỗi 24 h một lần trong tám ngày. Kết quả thử nghiệm là khối lượng chất lỏng tối đa bị hao hụt trong khoảng thời gian 24 h bất kỳ trên đơn vị diện tích bề mặt trong của ống mềm hoặc ống cứng.
CHÚ THÍCH: Phương pháp này đánh giá sự hao hụt do thẩm thấu và bay hơi và giúp giảm thiểu sự thẩm thấu chọn lọc của các thành phần trong hỗn hợp nhiên liệu do chất lỏng được khuấy trộn hàng ngày.
4 Chất lỏng thử nghiệm
Chất lỏng thử nghiệm phải được quy định trong tiêu chuẩn sản phẩm phù hợp.
5 Phương pháp A
CẢNH BÁO: Do sự có mặt của hơi nguy hại tiềm ẩn, phải đảm bảo rằng thử nghiệm này được thực hiện ở nơi thông thoáng.
5.1 Thiết bị, dụng cụ
Thiết bị bao gồm một nguồn khí nitơ được kết nối với hệ thống ống dẫn. Áp lực khí được kiểm soát bởi bộ điều áp và áp kế.
Hệ thống phải được trang bị van an toàn.
Mẫu thử được gắn theo chiều dọc và được nối với thiết bị tại đầu trên qua một ống đong phù hợp với ISO 4788 và đầu dưới cùng qua một van nạp (xem Hình 1).

CHÚ DẪN:
| 1 | nguồn nitơ nén | 6 | van thông hơi |
| 2 | bộ điều áp | 7 | ống đong |
| 3 | van chính | 8 | mẫu thử |
| 4 | van an toàn | 9 | van nạp |
| 5 | áp kế | 10 | tấm chắn an toàn |
Hình 1 - Thiết bị cho phương pháp A
5.2 Mẫu thử
Mỗi mẫu thử hoặc là một hệ ống với độ dài tự do 250 mm hoặc là một mẫu ống dẫn, theo Hình 2, được gắn với các khớp nối và đầu nối thích hợp.
Phải thử nghiệm ba mẫu thử.
Kích thước tính bằng milimet

Hình 2 - Độ dài tự do bên trong của mẫu thử, có dung sai
5.3 Nhiệt độ thử nghiệm
Nhiệt độ thử nghiệm phải là một trong những nhiệt độ tiêu chuẩn quy định trong TCVN 1592 (ISO 23529), nghĩa là hoặc (23 ± 2) °C hoặc (27 ± 2) °C.
5.4 Áp suất thử
Áp suất thử phải là áp lực đo 50 kPa ± 5 kPa (0,5 bar ± 0,05 bar).
5.5 Cách tiến hành
5.5.1 Xác định độ dài tự do bên trong, l, như được thể hiện trong Hình 2 và đường kính trong, d, theo quy định trong ISO 4671.
5.5.2 Lắp mẫu thử vào thiết bị thử nghiệm (xem Hình 1).
5.5.3 Đổ mẫu thử và ống đong có chất lỏng thử nghiệm lên đến vạch chia trên cùng của ống đong.
5.5.4 Duy trì mẫu thử tại áp suất thử trong 5 min, bù thêm (chất lỏng) cho sự giãn nở của ống hoặc ống dẫn ở áp suất thử. Nhả áp suất và để nitơ hòa tan thoát ra trong khoảng thời gian 5 min, sau đó ghi lại số đo ban đầu, V1, hiển thị bởi các ống đong.
5.5.5 Áp dụng áp suất thử.
5.5.6 Thực hiện đo sau 24 h, 48 h, 72 h và 96 h, theo quy trình sau đây:
Đóng van chính, sau đó nhả áp suất thử và chờ 5 min trước khi ghi lại số đo mới V1. Đóng van thông hơi và sau đó mở van chính để áp lại áp suất thử.
Nếu sau 96 h, hao hụt thể tích sau khoảng thời gian 24 h chưa ổn định, thực hiện phép đo khác sau 120 h (và phép đo khác sau 144 h, nếu cần).
5.6 Biểu thị kết quả
5.6.1 Tính hao hụt thể tích cho mỗi khoảng thời gian 24 h giữa các phép đo và xác định thời điểm mà tại đó mức hao hụt trở nên không đổi. Từ thời điểm này, sự khuếch tán của các chất lỏng vào thành ống mềm hoặc ống cứng không còn đóng góp vào sự hao hụt về thể tích và sự hao hụt quan sát được như vậy chỉ đại diện cho sự bay hơi.
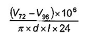
5.6.2 Nếu trạng thái ổn định đạt được trước 72 h, tính tốc độ bay hơi, theo đơn vị mililit trên mét vuông trên giờ, bằng cách sử dụng công thức (1):

trong đó:
V72 là thể tích sau 72 h, tính bằng mililit;
V96 là thể tích sau 96 h, tính bằng mililit;
d là đường kính trong của ống mềm hoặc ống cứng, tính bằng millmet;
l là độ dài tự do bên trong của ống mềm hoặc ống cứng, tính bằng milimet.
Trong trường hợp các phép đo tiếp theo vẫn được thực hiện sau thời gian dài hơn 96 h, thay thế V72 và V96 trong công thức trên bằng các phép đo thể tích áp chót và cuối cùng tương ứng.
5.7 Báo cáo thử nghiệm
Báo cáo thử nghiệm phải bao gồm các thông tin sau:
a) mô tả đầy đủ về ống mềm hoặc ống cứng được thử nghiệm:
b) viện dẫn tiêu chuẩn này, nghĩa là TCVN 12009:2017 (ISO 8308:2015);
c) phương pháp thử nghiệm (phương pháp A);
d) chất lỏng thử nghiệm được sử dụng;
e) tốc độ bay hơi ở trạng thái ổn định, tính bằng mililít trên mét vuông trên giờ;
f) nhiệt độ thử nghiệm được sử dụng;
g) ngày thử nghiệm
6 Phương pháp B
6.1 Thiết bị, dụng cụ
6.1.1 Bộ chứa, bao gồm một bình dung tích nửa lít, có nắp vặn được lót bằng lá kim loại hoặc lót cao su flo và có một đầu nối tiêu chuẩn được hàn vào đáy của bình tại góc đối diện với miệng bình (xem Hình 3)

CHÚ DÀN:
1 ống nối tiêu chuẩn
2 nút ống
3 nắp có lót
4 ống mềm hoặc ống cứng
Hình 3 - Thiết bị cho phương pháp B
6.1.2 Cân, có khả năng cân tối thiểu 400 g và chính xác đến 0,01 g.
6.1.3 Nút ống không thấm, có kích cỡ vừa đủ để bịt một đầu của ống mềm hoặc ống cứng đến độ sâu 12,5 mm.
6.1.4 Đai xiết ống tiêu chuẩn, kích thước đúng với các ống mềm hoặc ống cứng cần thử nghiệm.
6.2 Mẫu thử
Cắt ống mềm hoặc ống cứng đến độ dài 300 mm.
6.3 Nhiệt độ thử nghiệm
Nhiệt độ thử nghiệm phải là một trong những nhiệt độ tiêu chuẩn quy định trong TCVN 1592 (ISO 23529), nghĩa là hoặc (23 ± 2) °C hoặc (27 ± 2) °C.
6.4 Cách tiến hành
6.4.1 Đo đường kính miệng ống mềm hoặc ống cứng và ghi lại kết quả theo milimet.
6.4.2 Bịt một đầu của mẫu thử đến độ sâu 12,5 mm bằng nút ống không thấm (6.1.3), cũng như đai xiết (6.1.4), nếu cần.
6.4.3 Lắp đầu còn lại của mẫu thử vào ống nối trên bình (6.1.1) đến độ sâu 12,5 mm, sử dụng đai xiết (6.1.4), nếu cần.
6.4.4 Đổ 300 ml chất lỏng thử nghiệm quy định vào bình chứa.
Điều quan trọng là mẫu thử luôn luôn đầy chất lỏng thử nghiệm trong suốt quá trình thử nghiệm, sao cho toàn bộ bề mặt trong luôn luôn tiếp xúc với chất lỏng thử nghiệm. Do vậy, nếu cần, phải bổ sung thêm chất lỏng trong quá trình thử nghiệm.
6.4.5 Đậy kín bình chứa bằng nắp vặn (xem 6.1.1).
6.4.6 Cân hệ thống bình chứa/mẫu thử chính xác đến 0,01 g và ghi lại kết quả
6.4.7 Để đảm bảo các ống được đổ đầy, đặt hệ thống theo chiều thẳng đứng và vỗ nhẹ vào ống để loại bỏ mọi không khí bị kẹt trong ống (xem Hình 4).

Hình 4 - Vị trí loại bỏ bong bóng khí
6.4.8 Đặt hệ thống theo chiều ngang ở vị trí lưu giữ của nó, với bình được nằm trên bề hẹp sát với ống nối và với các vòi theo vị trí nằm ngang (xem Hình 5). Nhiệt độ nơi lưu giữ phải được kiểm soát ở nhiệt độ tiêu chuẩn (xem 6.3), với không khí thông thoáng để ngăn ngừa sự tích tụ hơi.

Hình 5 - Vị trí lưu giữ hệ thử nghiệm
6.4.9 Cân hệ thống mỗi 24 h ± 0,5 h một lần trong tám ngày, ghi lại từng kết quả. Nếu không thực hiện cân vào những ngày nghỉ cuối tuần và các kết quả cho những ngày nghỉ cuối tuần được lấy trung bình, thử nghiệm phải được bắt đầu vào ngày Thứ Hai.
6.4.10 Sau mỗi lần cân, đong, lộn ngược hệ thống để tháo chất lỏng khỏi ống, nhẹ nhàng khuấy chất lỏng và làm đầy ống như trong 6.4.7 và đặt lại vào vị trí lưu giữ.
Nếu sau tám ngày mức hao hụt theo khối lượng trên mỗi khoảng thời gian 24 không ổn định, thực hiện thêm một lần đo nữa đo sau chín ngày (và một lần đo nữa sau 10 ngày nếu cần).
Nếu dự kiến có các yếu tố khác làm ảnh hưởng đến sự hao hụt khối lượng ngoài việc thấm chất lỏng, thực hiện một thử nghiệm với mẫu trắng và kết quả là kết quả thu được trong mỗi thử nghiệm thực tế trừ đi kết quả thu được trong thử nghiệm trắng.
6.5 Biểu thị kết quả
6.5.1 Tính hao hụt khối lượng cho mỗi khoảng thời gian 24 h giữa các phép đo và xác định hao hụt khối lượng cao nhất cho mỗi khoảng thời gian 24 h ∆m24, tính bằng gam, trong giai đoạn thử nghiệm.
6.5.2 Tính diện tích ống tiếp xúc, A, theo mét vuông, từ Công thức (2):
| A = π x d x l x 106 | (2) |
trong đó:
d và l được định nghĩa trong 5.6.2.
6.5.3 Tính tốc độ bay hơi của chất lỏng, tính bằng gam trên mét vuông trên 24 h, từ Công thức (3):
|
| (3) |
trong đó
∆m24 được định nghĩa trong 6.5.1;
A được định nghĩa trong 6.5.2.
6.6 Báo cáo thử nghiệm
Báo cáo thử nghiệm phải bao gồm các thông tin sau:
a) mô tả đầy đủ về ống mềm hoặc ống cứng thử nghiệm;
b) viện dẫn tiêu chuẩn này, nghĩa là TCVN 12009:2017 (ISO 8308:2015);
c) phương pháp thử nghiệm (phương pháp B);
d) chất lỏng thử nghiệm;
e) tốc độ bay hơi, biểu thị bằng hao hụt gam trên mét vuông trong 24 h;
f) nhiệt độ thử nghiệm được sử dụng;
g) ngày thử nghiệm.
MỤC LỤC
Lời nói đầu
1 Phạm vi áp dụng
2 Tài liệu viện dẫn
3 Nguyên tắc
4 Chất lỏng thử nghiệm
5 Phương pháp A
6 Phương pháp B
Bạn chưa Đăng nhập thành viên.
Đây là tiện ích dành cho tài khoản thành viên. Vui lòng Đăng nhập để xem chi tiết. Nếu chưa có tài khoản, vui lòng Đăng ký tại đây!