- Tổng quan
- Nội dung
- Tiêu chuẩn liên quan
- Lược đồ
- Tải về
Tiêu chuẩn Quốc gia TCVN 7815:2007 ISO 5416:2006 Sắt hoàn nguyên trực tiếp - Xác định sắt kim loại
| Số hiệu: | TCVN 7815:2007 | Loại văn bản: | Tiêu chuẩn Việt Nam |
| Cơ quan ban hành: | Bộ Khoa học và Công nghệ | Lĩnh vực: | Công nghiệp |
|
Ngày ban hành:
Ngày ban hành là ngày, tháng, năm văn bản được thông qua hoặc ký ban hành.
|
2007 |
Hiệu lực:
|
Đã biết
|
| Người ký: | Đang cập nhật |
Tình trạng hiệu lực:
Cho biết trạng thái hiệu lực của văn bản đang tra cứu: Chưa áp dụng, Còn hiệu lực, Hết hiệu lực, Hết hiệu lực 1 phần; Đã sửa đổi, Đính chính hay Không còn phù hợp,...
|
Đã biết
|
TÓM TẮT TIÊU CHUẨN VIỆT NAM TCVN 7815:2007
Nội dung tóm tắt đang được cập nhật, Quý khách vui lòng quay lại sau!
Tải tiêu chuẩn Việt Nam TCVN 7815:2007
TIÊU CHUẨN QUỐC GIA
TCVN 7815 : 2007
ISO 5416 : 2006
SẮT HOÀN NGUYÊN TRỰC TIẾP - XÁC ĐỊNH SẮT KIM LOẠI - PHƯƠNG PHÁP CHUẨN ĐỘ BROM-METANOL
Direct reduced iron- Determination of metallic iron - Bromine-methanol titrimetric method
Lời nói đầu
TCVN 7815 : 2007 hoàn toàn tương đương với ISO 5416 : 2006.
TCVN 7815 : 2007 do Tiểu ban Kỹ thuật Tiêu chuẩn TCVN/TC102/SC2 Quặng sắt - Phân tích hóa học biên soạn, Tổng cục Tiêu chuẩn Đo lường Chất lượng đề nghị, Bộ Khoa học và Công nghệ công bố.
SẮT HOÀN NGUYÊN TRỰC TIẾP - XÁC ĐỊNH SẮT KIM LOẠI - PHƯƠNG PHÁP CHUẨN ĐỘ BROM-METANOL
Direct reduced iron- Determination of metallic iron - Bromine-methanol titrimetric method
CẢNH BÁO Tiêu chuẩn này có thể liên quan đến các vật liệu, thao tác và thiết bị nguy hại. Tiêu chuẩn này không đề cập đến những vấn đề về an toàn liên quan đến việc sử dụng chúng. Trách nhiệm của người sử dụng tiêu chuẩn này là phải thiết lập các quy tắc phù hợp về sức khoẻ, an toàn và xác định các giới hạn cho phép trước khi sử dụng.
1. Phạm vi áp dụng
Tiêu chuẩn này quy định phương pháp chuẩn độ để xác định hàm lượng sắt kim loại trong quặng sắt hoàn nguyên (sắt hoàn nguyên trực tiếp: DRI).
Phương pháp này có thể áp dụng cho hàm lượng sắt kim loại từ 15 % đến 95 % khối lượng trong DRI.
CHÚ THÍCH Thuật ngữ “sắt kim loại” có nghĩa là các hình thái của sắt không liên kết với oxy hoặc không tồn tại dưới dạng pyrit.
2. Tài liệu viện dẫn
Các tài liệu viện dẫn sau là cần thiết cho việc áp dụng tiêu chuẩn này. Đối với các tài liệu viện dẫn ghi năm công bố thì áp dụng bản được nêu. Đối với các tài liệu viện dẫn không ghi năm công bố thì áp dụng phiên bản mới nhất, bao gồm cả các sửa đổi (nếu có).
TCVN 4851 (ISO 3696) Nước dùng để phân tích trong phòng thí nghiệm - Yêu cầu kỹ thuật và phương pháp thử.
TCVN 7149 (ISO 385) Dụng cụ thí nghiệm bằng thủy tinh - Buret.
TCVN 7151 (ISO 648) Dụng cụ thí nghiệm bằng thủy tinh - Pipet một mức.
TCVN 7153 (ISO 1042) Dụng cụ thí nghiệm bằng thủy tinh - Bình định mức.
ISO 2596 Iron ores - Determination of hygroscopic moisture in analytical sample - Gravimetric, Karl Fischer and mass-loss methods (Quặng sắt - Xác định độ ẩm trong mẫu phân tích - Phương pháp phân tích khối lượng, phương pháp Karl Fischer và phương pháp hao hụt khối lượng).
ISO 2597-1 Iron ores - Determination of total iron content - Part 1: Titrimetric method after tin (II) chloride reduction (Quặng sắt - Xác định tổng hàm lượng sắt - Phần 1: Phương pháp chuẩn độ sau khi khử thiếc (II) clorua).
ISO 10835 Direct reduced iron and hot briquetted iron - Sampling and sample preparation (Sắt hoàn nguyên trực tiếp và sắt vê viên nóng - Lấy mẫu và chuẩn bị mẫu).
3. Nguyên tắc
Sắt kim loại được hoà tan bằng cách xử lý với dung dịch brom-metanol. Tách cặn không tan bằng cách lọc. Sắt trong nước lọc được khử về sắt (II) rồi được chuẩn độ bằng dung dịch kali dicromat.
CHÚ THÍCH Các nguyên tố kim loại khác như crôm, coban, mangan, niken và vanadi cũng được hoà tan bằng dung dịch brom-metanol, nhưng không ảnh hưởng đến quá trình chuẩn độ, ngoại trừ vanadi.
4. Thuốc thử
Trong quá trình phân tích, chỉ sử dụng thuốc thử tinh khiết phân tích và nước phù hợp với loại 2 của TCVN 4851 (ISO 3696).
4.1. Axit clohydric, r 1,16 g/ml đến 1,19 g/ml.
4.2. Axit sulfuric, r 1,84 g/ml, pha loãng 1 + 1.
4.3. Metanol, tinh khiết phân tích Karl Fischer, không lớn hơn 0,1 % H2O.
4.4. Dung dịch brom-metanol, 50 ml/l.
Hòa tan 5 ml brom trong 95 ml metanol (4.3). Dung dịch này phải sử dụng ngay sau khi mới pha.
CẢNH BÁO Việc chuẩn bị dung dịch brom-metanol và tất cả các giai đoạn của quy trình có brom, phải tiến hành trong tủ hút đủ mạnh.
4.5. Dung dịch hydro peroxit, 30 % (thể tích).
4.6. Dung dịch thiếc (II) clorua, 100 g/l.
Hòa tan 119 g thiếc (II) clorua dihydrat (SnCl2.2H2O) liên tục từng lượng nhỏ với 200 ml axit clohydric (4.1) ấm. Để nguội, pha loãng bằng nước đến 1 lit và lắc đều. Thêm 2 g thiếc hạt thô và bảo quản dung dịch trong chai màu sẫm.
4.7. Dung dịch thủy ngân (II) clorua, 50 g/l.
Hòa tan 50 g thủy ngân (II) clorua (HgCl2) trong 800 ml nước nóng. Để nguội, pha loãng bằng nước đến 1 lít và lắc đều.
4.8. Hỗn hợp axit sulfuric/axit photphoric
Vừa khuấy vừa thêm 150 ml axit sulfuric (r 1,84 g/ml) và 150 ml axit phosphoric (r 1,7 g/ml) vào 600 ml nước. Để nguội, pha loãng bằng nước đến 1 lít và lắc đều.
4.9. Dung dịch sắt tiêu chuẩn
Hòa tan 0,800 g sắt (III) oxit độ tinh khiết cao (Fe2O3 > 99 %) trong 40 ml axit clohydric (4.1). Pha loãng đến 1 000 ml và lắc đều.
1 ml dung dịch chứa 0,558 mg sắt.
Nếu chưa biết độ tinh khiết của sắt (III) oxit, dung dịch phải được chuẩn hóa bằng cách lấy 100 ml dung dịch cô để giảm bớt thể tích dung dịch.
4.10. Kali dicromat, dung dịch chuẩn độ tiêu chuẩn, c(K2Cr2O7) = 0,016 67 mol/l.
Nghiền khoảng 6 g kali dicromat trong cối mã não, sấy ở 140 oC đến 150 oC trong 2 giờ, sau đó để nguội trong bình hút ẩm đến nhiệt độ phòng.
Cân 4,903 g kali dicromat đã sấy, hoà tan trong nước và chuyển vào bình định mức 1 000 ml. Pha loãng bằng nước đến vạch mức và lắc đều.
4.11. Natri diphenylamin sulfonat, dung dịch 2 g/l.
Hoà tan 0,2 g natri diphenylamin sulfonat (C6H5NHC6H4SO3Na) trong100 ml nước. Bảo quản dung dịch trong chai thủy tinh màu sẫm.
5. Thiết bị, dụng cụ
Thiết bị phòng thí nghiệm thông thường, bao gồm pipét một mức, bình định mức phù hợp với các quy định trong TCVN 7151 (ISO 648) và TCVN 7153 (ISO 1042), và
5.1. Buret, phù hợp với quy định trong TCVN 7149 (ISO 385).
5.2. Bình tam giác, dung tích 100 ml, đường kính 50 mm đến 60 mm, đáy bằng, dùng để hoà tan mẫu. Nếu làm việc ở bên ngoài tủ hút cần phải có nắp kính đồng hồ hoặc ống hồi lưu.
5.3. Máy khuấy từ, (tốc độ quay 200/phút đến 400/phút), thanh khuấy từ không có đai chốt, được phủ polytetrafluoretylen (PTFE), đường kính 5 mm, dài 40 mm.
5.4. Dụng cụ lọc, có phễu lọc bằng thủy tinh xốp hoặc bộ vi lọc bằng chất dẻo, trong trường hợp khác có kích thước lỗ nhỏ hơn 1 mm.
6. Lấy mẫu và mẫu thử
6.1. Mẫu phòng thí nghiệm
Để phân tích, sử dụng mẫu phòng thí nghiệm có cỡ hạt nhỏ hơn 160 mm được lấy và chuẩn bị theo ISO 10835.
6.2. Chuẩn bị mẫu thử
Trộn đều mẫu phòng thí nghiệm bằng các vật liệu không từ tính. Lấy các mẫu đơn bằng thìa không từ tính, lấy mẫu thử không nhỏ hơn 25 g sao cho mẫu thử đảm bảo tính đại diện cho toàn bộ mẫu trong thùng. Chuẩn bị mẫu thử cân bằng với khí quyển theo ISO 2596.
7. Cách tiến hành
7.1. Số phép xác định
Tiến hành phân tích độc lập ít nhất hai phép xác định trên một mẫu thử đã cân bằng với khí quyển, theo Phụ lục A.
Chú thích Khái niệm “độc lập” có nghĩa là kết quả thứ hai và bất kỳ kết quả ngoại suy nào không bị ảnh hưởng bởi các kết quả trước. Đối với phương pháp phân tích cụ thể này, điều kiện này hàm ý là việc tái diễn quy trình được thực hiện do cùng người thao tác tại thời điểm khác hoặc do một người thao tác khác, bao gồm việc hiệu chuẩn lại thích hợp trong mỗi trường hợp.
7.2. Phần mẫu thử
Sử dụng thìa không từ tính để lấy một số mẫu đơn, cân khoảng 0,50 g mẫu thử đã cân bằng với khí quyển (6.2), chính xác đến 0,000 2 g.
7.3. Phép thử trắng và phép thử kiểm tra
Trong mỗi loạt phép thử, tiến hành song song một phép thử trắng và một phép phân tích của chất chuẩn được chứng nhận cùng loại với DRI trong cùng một điều kiện với phân tích của mẫu. Mẫu thử của chất chuẩn được chứng nhận phải chuẩn bị như quy định trong 6.2.
Chất chuẩn được chứng nhận phải cùng loại với mẫu phân tích và tính chất của hai chất phải gần giống nhau để đảm bảo, trong cả hai trường hợp, không cần thiết có sự thay đổi đáng kể trong quy trình phân tích.
Khi thực hiện phân tích vài mẫu cùng lúc, có thể sử dụng giá trị phép thử trắng cho một lần thử, với điều kiện sử dụng cùng quy trình và sử dụng cùng chai thuốc thử.
Khi thực hiện phân tích cùng lúc vài mẫu của cùng loại DRI, có thể dùng chung kết quả phân tích của một chất chuẩn được chứng nhận.
7.4. Xác định hàm lượng ẩm
Xác định hàm lượng ẩm theo ISO 2596 đồng thời với việc lấy phần mẫu thử (7.2) để xác định hàm lượng sắt kim loại.
7.5. Phép xác định
7.5.1. Hoà tan sắt kim loại
Đưa phần mẫu thử (7.2) vào trong bình tam giác 100 ml (5.2) khô hoàn toàn, thêm 50 ml dung dịch brom-metanol (4.4), đậy bằng nắp kính đồng hồ hoặc lắp vào ống hồi lưu rồi khuấy liên tục bằng máy khuấy từ trong 30 phút (xem đoạn tiếp theo) ở nhiệt độ 20 oC. Lọc ngay qua bộ lọc bằng thủy tinh xốp hoặc bộ vi lọc chất dẻo (5.4) trong điều kiện bơm, hút và gom nước lọc trong bình lọc hút. Tia rửa bộ lọc bằng metanol (4.3) (thí dụ sáu lần với 5 ml mỗi phần) cho đến khi nước rửa không màu (không còn brom), sau đó rửa tiếp ba lần bằng nước để loại bỏ metanol. Chuyển dung dịch vào cốc 600 ml, rửa bằng nước.
Thời gian hoà tan thường 30 phút là đủ. Để đảm bảo hoà tan hoàn toàn, phải sử dụng hai thời gian hoà tan khác nhau. Nếu 30 phút đã hoà tan xong phần mẫu thứ nhất thì với phần mẫu thử lặp lại phải cần gấp hai lần, tức là 60 phút. Quy trình này được lặp lại, tăng thời gian hoà tan cho đến khi đạt được sự thống nhất giữa các lần xác định lặp lại.
7.5.2. Xác định sắt kim loại
Thêm 20 ml axit sulfuric (4.2) vào dung dịch chung, đun nóng dung dịch tới khi xuất hiện khói axit sulfuric, sau đó tiếp tục đun tới khi bốc khói mạnh. Lấy ra khỏi bếp điện, để nguội và thêm 10 ml dung dịch hydro peroxit (4.5). Cô đến khi axit sulfuric lại bốc khói. Để nguội và lặp lại sự oxy hóa bằng hydro peroxit (brom và metanol đã được loại bỏ hoàn toàn). Thêm một ít nước, tia rửa thành cốc. Đun nóng trở lại cho đến khi bốc khói. Để nguội, cẩn thận thêm khoảng 140 ml nước và 25 ml axit clohydric (4.1) và đun sôi cho đến khi tất cả các muối được hòa tan.
Đối với hàm lượng sắt kim loại lớn hơn 50 %, để nguội dung dịch, chuyển định lượng vào bình tam giác 200 ml, pha loãng và lắc đều. Lấy 100,0 ml dung dịch vào cốc 600 ml, thêm 10 ml axit clohydric (4.1) và tiếp tục quy trình từ việc thêm thiếc (II) clorua.
Vừa khuấy vừa thêm từng giọt dung dịch thiếc (II) clorua (4.6) vào dung dịch đang sôi, đến khi dung dịch vừa mất màu, sau đó thêm dư 2 giọt. Tia rửa thành cốc và làm nguội nhanh, pha loãng bằng nước đến 300 ml và thêm 15 ml dung dịch thủy ngân (II) clorua (4.7). Chờ khoảng 5 phút đến khi xuất hiện chất đục nhẹ, thêm 25 ml hỗn hợp axit sulfuric/axit phosphoric (4.8) và 1,0 ml dung dịch natri diphenylamin sulfonat (4.11), và chuẩn độ bằng dung dịch kali dicromat (4.10) cho đến khi dung dịch chuyển từ màu xanh sang đỏ tía.
7.5.3. Phép thử trắng
Xác định giá trị phép thử trắng theo cùng biện pháp, sử dụng các loại thuốc nhưng thêm 10 ml dung dịch sắt tiêu chuẩn (4.9) thay cho phần mẫu thử. Thêm dung dịch sắt tiêu chuẩn sau khi thêm 25 ml axit clohydric (cuối của đoạn 1 tại 7.5.2). Sau đó tiếp tục như mô tả trong đoạn thứ ba tại 7.5.2.
Trừ 1,00 ml từ thể tích của dung dịch kali dicromat cần để chuẩn độ dung dịch thử trắng (0,50 ml trong trường hợp không sử dụng phần dung dịch thử). Kết quả là giá trị phép thử trắng được trừ từ giá trị chuẩn độ thu được tại 7.5.2 (xem 8.1) của phần mẫu thử.
8. Biểu thị kết quả
8.1. Tính hàm lượng sắt
Hàm lượng sắt kim loại wMfe, tính bằng phần trăm khối lượng, lấy đến ba số thập phân theo công thức sau
(1)
trong đó
V là thể tích dung dịch kali dicromat cần để phân tích mẫu, tính bằng mililit;
Vo là thể tích đã hiệu chỉnh của dung dịch kali dicromat cần để xác định mẫu thử trắng, tính bằng mililit;
m là khối lượng phần mẫu thử đã cân bằng với khí quyển, tính bằng gam;
F là hệ số pha loãng, nếu có pha loãng (xem đoạn thứ hai của 7.2.5);
A là hàm lượng ẩm của mẫu thử đã cân bằng với khí quyển, xác định theo ISO 2596, tính bằng phần trăm khối lượng;
0,558 5 là hệ số nhân của nguyên tử gam sắt.
8.2. Xử lý chung các kết quả
8.2.1. Độ lặp lại và sai số cho phép
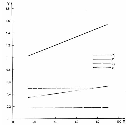
Độ chụm của phương pháp phân tích biểu thị bằng các phương trình hồi quy sau:
Rd = 0,495 (2)
P = 0,006 7X + 0,952 1 (3)
sd = 0,175 (4)
sL = 0,002 4X + 0,3080 (5)
trong đó
X là hàm lượng sắt kim loại của mẫu thử, biểu thị bằng phần trăm khối lượng được tính như sau:
- trong phòng thí nghiệm, dùng công thức (2 và 4), trung bình số học của kết quả song song;
- giữa các phòng thí nghiệm, dùng công thức (3 và 5), trung bình số học kết quả cuối cùng (8.2.5) của hai phòng thí nghiệm.
Rd là giới hạn kết quả song song độc lập;
P là sai số cho phép giữa các phòng thí nghiệm;
sd là độ lệch chuẩn của kết quả song song độc lập;
sL là độ lệch chuẩn giữa các phòng thí nghiệm;
8.2.2. Xác định kết quả phân tích
Sau khi tính được các kết quả song song độc lập theo công thức (1), so sánh với kết quả giới hạn song song độc lập (Rd), sử dụng quy trình nêu trong Phụ lục A.
8.2.3. Độ chụm giữa các phòng thí nghiệm
Độ chụm giữa các phòng thí nghiệm được sử dụng để xác định sự tương đồng của kết quả cuối cùng do hai phòng thí nghiệm báo cáo. Giả thiết rằng hai phòng thí nghiệm thực hiện quy trình mô tả trong 8.2.2.
Tính chỉ số sau
(6)
trong đó
m1 là kết quả cuối cùng của phòng thí nghiệm 1;
m2 là kết quả cuối cùng của phòng thí nghiệm 2;
m1,2 là giá trị trung bình của các kết quả cuối cùng.
Nếu |m1 - m2| ≤ P, (xem 8.2.1), kết quả cuối cùng được chấp nhận.
8.2.4. Kiểm tra độ đúng
Đô đúng của phương pháp phân tích phải được kiểm tra bằng cách sử dụng chất chuẩn được chứng nhận (CRM) hoặc chất chuẩn (RM). Tiến hành giống như đã mô tả ở trên. Sau khi khẳng định độ chụm, kết quả phòng thí nghiệm cuối cùng được so sánh với giá trị chuẩn hoặc giá trị được chứng nhận Ac. Có hai khả năng:
a) |mc - Ac| ≤ C trong trường hợp này sự chênh lệch giữa kết quả phân tích và giá trị chuẩn/chứng nhận không đáng kể về mặt thống kê;
b |mc - Ac| > C trong trường hợp này sự chênh lệch giữa kết quả phân tích và giá trị chuẩn/chứng nhận là đáng kể về mặt thống kê;
trong đó
mc là kết quả cuối cùng của chất chuẩn đã được chứng nhận;
Ac là giá trị chuẩn chứng nhận/chuẩn đối với CRM/RM;
C là giá trị phụ thuộc vào loại CRM/RM đã sử dụng.
Các chất chuẩn đã được chứng nhận sử dụng cho mục đích này phải được chuẩn bị và chứng nhận theo ISO Guide 35 :2006 Chứng nhận chất chuẩn - Nguyên tắc chung và nguyên tắc thống kê.
Đối với CRM đã được chứng nhận bởi chương trình thử nghiệm liên phòng.
trong đó
V(Ac) là phương sai của giá trị đã được/chứng nhận Ac. (= 0 đối với CRM chỉ do một phòng thí nghiệm chứng nhận);
n là số phép thử lặp lại đã tiến hành trên CRM/RM.
Tránh sử dụng CRM do một phòng thí nghiệm chứng nhận, trừ khi biết được giá trị chứng nhận không có độ chệch.
8.2.5. Tính kết quả cuối cùng
Kết quả cuối cùng là trung bình số học của các giá trị phân tích được chấp nhận cho mẫu thử, hoặc được xác định theo quy định trong Phụ lục A, tính đến ba số thập phân và làm tròn đến số thập phân thứ nhất như sau:
a) nếu số thập phân thứ hai nhỏ hơn 5 thì bỏ đi và giữ nguyên số thập phân thứ nhất;
b) nếu số thập phân thứ hai bằng 5 và số thập phân thứ ba khác 0, hoặc số thập phân thứ hai lớn hơn 5 thì tăng số thập phân thứ nhất lên một đơn vị;
c) nếu số thập phân thứ hai bằng 5 và số thập phân thứ ba bằng 0 thì bỏ số 5 và giữ nguyên số thập phân thứ nhất khi nó là 0, 2, 4, 6 hoặc 8 và tăng lên một đơn vị khi nó là 1, 3, 5, 7 hoặc 9.
9. Báo cáo thử nghiệm
Báo cáo thử nghiệm gồm các thông tin sau:
a) tên và địa chỉ phòng thử nghiệm;
b) ngày tháng báo cáo kết quả;
c) viện dẫn tiêu chuẩn này;
d) các chi tiết cần thiết để nhận biết mẫu;
e) kết quả phân tích;
f) số tham chiếu của phiếu kết quả;
g) bất kỳ các đặc điểm đã ghi nhận trong quá trình xác định, các thao tác không quy định trong tiêu chuẩn này có thể ảnh hưởng đến kết quả của mẫu thử hoặc chất chuẩn được chứng nhận.
PHỤ LỤC A
(quy định)
Lưu đồ quy trình chấp nhận giá trị phân tích đối với mẫu thử

Rd như xác định tại 8.2.1
PHỤ LỤC B
(tham khảo)
Nguồn gốc của các phương trình độ lặp lại và sai số cho phép
Các phương trình hồi quy trong 8.2.1 có nguồn gốc từ những kết quả các loạt phân tích quốc tế tiến hành trong năm 1976 và 1977 trên sáu mẫu DRI do 40 phòng thí nghiệm của mười hai quốc gia thực hiện.
Xử lý đồ thị các dữ liệu độ chụm nêu trong Phụ lục C. Các mẫu thử đã sử dụng được liệt kê trong Bảng B.1.
Bảng B.1 - Hàm lượng sắt kim loại trong mẫu thử
| Mẫu | Quốc gia | Hàm lượng sắt kim loại, % khối lượng |
| 76-25 | New Zealand | 15,1 |
| 76-25 | Sweden | 30,3 |
| 76-27 | Brazil | 71,0 |
| 76-28 | Germany | 86,8 |
| 76-29 | U.S.A. | 76,1 |
| 76-30 | Canada | 89,1 |
CHÚ THÍCH
1. Báo cáo về thử nghiệm quốc tế và phân tích thống kê các kết quả (tài liệu ISO/TC102/SC2 N502E, tháng 06/1978) được lưu tại Ban thư ký ISO/TC102/SC2 hoặc ISO/TC102.
2. Phân tích thống kê được trình bày phù hợp với nguyên tắc của TCVN 6910-2 (ISO 5725-2) Độ chính xác (độ đúng và độ chụm) của phương pháp đo và kết quả đo - Phần 2: Phương pháp cơ bản xác định độ lặp lại và độ tái lập của phương pháp đo tiêu chuẩn.
PHỤ LỤC C
(tham khảo)
Dữ liệu độ chụm thu được theo các thử nghiệm phân tích quốc tế

CHÚ THÍCH Hình C.1 là sự biểu thị bằng đồ thị các phương trình trong 8.2.1
Chú giải
X là hàm lượng sắt kim loại, %
Y độ chụm
Hình C.1 - Tương quan bình phương tối thiểu của độ chụm so với hàm lượng sắt kim loại
PHỤ LỤC D
(tham khảo)
Xác định mức độ kim loại hóa
Mức độ kim loại hóa là giá trị tính toán thể hiện đặc tính của sắt hoàn nguyên trực tiếp, biểu thị bằng phần trăm.
Có thể tính toán theo công thức sau:
Mức độ kim loại hóa =
Trong đó
wMFe là hàm lượng sắt kim loại xác định theo 8.2.5, tính bằng phần trăm khối lượng.
wFe là tổng khối lượng sắt xác định theo ISO 2597-1 (hoặc tương tự).
PHỤ LỤC E
(tham khảo)
Xử lý dung dịch thải sau khi phân tích
Để tránh việc thải ra môi trường dung dịch có chứa thủy ngân phải thu gom trong dung dịch thải từ quá trình xác định sắt, phải thu gom và xử lý các dung dịch này để loại bỏ hàm lượng thủy ngân.
Hệ thống xử lý phù hợp có cấu tạo như sau:
Ba chai nhựa 10 lít được nối với nhau như Hình E.1. (Kết hợp các khoang bằng cách nối ống để giảm thiểu nguy hiểm khi áp suất tăng trong trường hợp phản ứng mạnh). Chai thứ nhất và chai thứ hai mỗi chai chứa 3 kg thanh nhôm hoặc thanh sắt để kết tủa thủy ngân bằng điện hóa.
Dung dịch loại bỏ từ chai thứ ba được chuyển vào bình trung hoà trước khi loại bỏ lần cuối. Thỉnh thoảng lấy bùn quánh thủy ngân tích lũy ra và cô đặc bằng cách chắt trước khi chuyển đến xưởng thu hồi. Nếu cần thay thanh nhôm hoặc thanh sắt.
Viện dẫn: ANSMANN, W. Arch. Eisenshuttenw. 53 (10) 1982:390.

Hình E.1 - Thiết bị để loại thủy ngân từ dung dịch thải
Bạn chưa Đăng nhập thành viên.
Đây là tiện ích dành cho tài khoản thành viên. Vui lòng Đăng nhập để xem chi tiết. Nếu chưa có tài khoản, vui lòng Đăng ký tại đây!