- Tổng quan
- Nội dung
- Tiêu chuẩn liên quan
- Lược đồ
- Tải về
Tiêu chuẩn quốc gia TCVN 14118:2024 Gỗ sấy - Xác định ứng suất dư, mức độ nứt vỡ, biến dạng và biến màu
| Số hiệu: | TCVN 14118:2024 | Loại văn bản: | Tiêu chuẩn Việt Nam |
| Cơ quan ban hành: | Bộ Khoa học và Công nghệ | Lĩnh vực: | Công nghiệp , Nông nghiệp-Lâm nghiệp |
| Trích yếu: | Gỗ sấy - Xác định ứng suất dư, mức độ nứt vỡ, biến dạng và biến màu | ||
|
Ngày ban hành:
Ngày ban hành là ngày, tháng, năm văn bản được thông qua hoặc ký ban hành.
|
29/05/2024 |
Hiệu lực:
|
Đã biết
|
| Người ký: | Đang cập nhật |
Tình trạng hiệu lực:
Cho biết trạng thái hiệu lực của văn bản đang tra cứu: Chưa áp dụng, Còn hiệu lực, Hết hiệu lực, Hết hiệu lực 1 phần; Đã sửa đổi, Đính chính hay Không còn phù hợp,...
|
Đã biết
|
TÓM TẮT TIÊU CHUẨN VIỆT NAM TCVN 14118:2024
Tiêu chuẩn quốc gia TCVN 14118:2024: Các chỉ tiêu chất lượng gỗ sấy cần chú ý
Tiêu chuẩn quốc gia TCVN 14118:2024 về gỗ sấy - xác định ứng suất dư, mức độ nứt vỡ, biến dạng và biến màu được ban hành nhằm hướng dẫn các quy trình xác định các chỉ tiêu chất lượng cho gỗ sấy, một lĩnh vực rất quan trọng trong ngành công nghiệp chế biến gỗ tại Việt Nam. Tiêu chuẩn này được Viện Khoa học Lâm nghiệp Việt Nam biên soạn, được Bộ Nông nghiệp và Phát triển nông thôn đề nghị và Bộ Khoa học và Công nghệ công bố. Tiêu chuẩn có hiệu lực từ năm 2024 và thay thế cho những văn bản trước đó liên quan đến phương pháp xác định chất lượng gỗ.
Tiêu chuẩn này không áp dụng cho gỗ tròn sấy. Nội dung tiêu chuẩn quy định rõ các chỉ tiêu chất lượng cần được kiểm tra, bao gồm ứng suất dư, mức độ nứt vỡ, mức độ biến dạng và biến màu. Các ứng suất dư và nứt vỡ là những yếu tố quan trọng, ảnh hưởng trực tiếp đến độ bền, tính năng và thẩm mỹ của gỗ sau khi được gia công.
Về ứng suất dư, tiêu chuẩn định nghĩa đây là ứng suất phát sinh trong quá trình sấy do sự chênh lệch độ ẩm giữa các lớp gỗ. Nếu không được xử lý đúng cách, ứng suất này có thể dẫn đến biến dạng vật phẩm khi diễn ra công việc gia công. Tiêu chuẩn buộc phải thực hiện các phép đo và xác định sự phát triển của ứng suất dư để giảm thiểu những ảnh hưởng tiêu cực trong giai đoạn sau sấy.
Đối với nứt vỡ, tiêu chuẩn phân chia thành các loại khác nhau như nứt mặt, nứt đầu và nứt ngầm. Qua đó, nó quy định chi tiết phương pháp đo lường cũng như tính toán tỷ lệ phần trăm của các loại nứt này trên mẫu gỗ, từ giúp vào việc kiểm tra chất lượng gỗ.
Về biến dạng, tiêu chuẩn cung cấp các tiêu chí đánh giá mức độ móp, cong và vặn vỏ đỗ. Điều này giúp người sản xuất biết rõ các loại biến dạng có thể xảy ra để có biện pháp khắc phục kịp thời trong quá trình sản xuất.
Cuối cùng, biến màu là yếu tố quan trọng không thể bỏ qua. Tiêu chuẩn yêu cầu việc so sánh màu sắc giữa mẫu gỗ sấy và mẫu đối chứng để đánh giá chất lượng. Đây là vấn đề thường gặp trong sản phẩm gỗ, ảnh hưởng đến khía cạnh thẩm mỹ khi gỗ được sử dụng trong nội thất hoặc xây dựng.
TCVN 14118:2024 không chỉ diễn giải rõ ràng các phương pháp thử nghiệm mà còn đưa ra hướng dẫn cụ thể việc báo cáo kết quả để đảm bảo sự minh bạch và chính xác trong quy trình đánh giá chất lượng gỗ sấy. Việc thực thi áp dụng những tiêu chuẩn này sẽ góp phần nâng cao chất lượng sản phẩm gỗ trong ngành chế biến gỗ, từ đó đáp ứng tốt hơn nhu cầu của thị trường.
Tải tiêu chuẩn Việt Nam TCVN 14118:2024
TIÊU CHUẨN QUỐC GIA
TCVN 14118:2024
GỖ SẤY - XÁC ĐỊNH ỨNG SUẤT DƯ, MỨC ĐỘ NỨT VỠ, BIẾN DẠNG VÀ BIẾN MÀU
Dried wood - Determination of residual drying stress, checks, distortions and discolouration
Lời nói đầu
TCVN 14118: 2024 do Viện Khoa học Lâm nghiệp Việt Nam biên soạn, Bộ Nông nghiệp và Phát triển nông thôn đề nghị, Tổng cục Tiêu chuẩn Đo lường Chất lượng thẩm định, Bộ Khoa học và Công nghệ công bố.
GỖ SẤY - XÁC ĐỊNH ỨNG SUẤT DƯ, MỨC ĐỘ NỨT VỠ, BIẾN DẠNG VÀ BIẾN MÀU
Dried wood - Determination of residual drying stress, checks, distortions and discolouration
1 Phạm vi áp dụng
Tiêu chuẩn này quy định phương pháp xác định các chỉ tiêu chất lượng gỗ sấy bao gồm ứng suất dư, mức độ nứt vỡ, mức độ biến dạng và mức độ biến màu.
Tiêu chuẩn này không áp dụng cho gỗ tròn sấy.
2 Tài liệu viện dẫn
Các tài liệu viện dẫn sau rất cần thiết cho việc áp dụng tiêu chuẩn này. Đối với các tài liệu viện dẫn ghi năm công bố thì áp dụng phiên bản được nêu. Đối với các tài liệu viện dẫn không ghi năm công bố thì áp dụng phiên bản mới nhất, bao gồm cả các sửa đổi, bổ sung (nếu có).
TCVN 13706:2023, Gỗ sấy - Phân hạng theo mức chênh lệch độ ẩm.
3 Thuật ngữ và định nghĩa
Trong tiêu chuẩn này sử dụng các thuật ngữ và định nghĩa sau:
3.1
Ứng suất dư (residual drying stress)
Ứng suất xuất hiện trong gỗ khi đã được sấy khô đồng đều.
CHÚ THÍCH:
1) Ứng suất kéo và ứng suất nén, luôn phát triển trong gỗ suốt quá trình sấy, là kết quả của sự chênh lệch độ ẩm giữa các lớp gỗ liên quan đến sự co rút không đều. Ứng suất kéo phát triển ở lớp bề mặt, và ứng suất nén phát triển dần vào lớp giữa trong giai đoạn đầu của quá trình sấy khi bề mặt khô hơn so với tâm. Trong giai đoạn sấy đầu, trạng thái biến dạng dẻo giúp lớp bề mặt của gỗ chịu được ứng suất kéo này;
2) Trong giai đoạn sau của quá trình sấy, sự phát triển của ứng suất có xu hướng ngược lại, lớp trong tâm khô hơn và bắt đầu co rút để chịu ứng suất kéo. Những ứng suất này không thể tránh trong suốt quá trình sấy. Trạng thái chịu đựng ứng suất của gỗ dẫn đến sự phát triển ứng suất dư khi quá trình sấy hoàn tất và sự chênh lệch độ ẩm không còn. Đặc điểm này thường được gọi là "chai cứng bề mặt".
3) Ứng suất dư có thể dẫn tới sự biến dạng gỗ sấy khi gia công. Nếu không có bước xử lý phun ẩm giai đoạn sấy cuối để triệt tiêu ứng suất thì ứng suất dư sẽ là nguyên nhân gây cong vênh sản phẩm khi xẻ lại sau sấy.
3.2
Nứt (check)
Sự phân tách xuyên tâm của các sợi gỗ cắt qua các vòng năm và hướng dọc theo thớ gỗ tạo thành một vết, nhưng không mở rộng từ bề mặt này sang bề mặt khác của tấm gỗ.
CHÚ THÍCH: Các vết nứt phổ biến trong gỗ khi sấy gồm nứt mặt, nứt đầu và nứt ngầm. Xem Hình 1.
3.2.1
Nứt mặt (surface check)
Vết nứt có giới hạn chủ yếu trên bề mặt tấm gỗ, độ sâu không vượt quá 10 % độ dày.
3.2.2
Nứt đầu (end check)
Vết nứt xuất hiện ở đầu của tấm gỗ.
3.2.3
Nứt ngầm (internal check)
Vết nứt có giới hạn ở bên trong tấm gỗ.

Hình 1 - Các vết nứt phổ biến trong gỗ khi sấy
3.3
Tách (split)
Sự phân tách của các sợi gỗ hướng theo chiều dọc thớ và mở rộng từ bề mặt này sang bề mặt khác của tấm gỗ.
3.3.1
Tách đầu (end split)
Vết tách xuất hiện ở đầu của tấm gỗ.
3.4
Biến dạng (distortion)
Sự biến đổi hình dạng do gỗ bị co lại khi sấy khô, được gây ra bởi bản chất dị hướng của sự co rút (lượng co rút khác nhau giữa các hướng xuyên tâm, tiếp tuyến và dọc thớ), sự không thẳng thớ và sự khác nhau của vị trí xẻ tấm gỗ trong thân cây (ví dụ ván xẻ xuyên tâm hay ván xẻ tiếp tuyến, ván xẻ gần tủy hay gần vỏ).
3.5
Cong (warp)
Sự biến dạng phổ biến đặc trưng bởi một hoặc nhiều bề mặt tấm gỗ bị cong, có thể tồn tại ở một hoặc nhiều dạng gồm cong lòng máng, cong mặt, cong cạnh và vặn vỏ đỗ.
3.5.1
Cong lòng máng (cup)
Biến dạng cong theo chiều rộng trên bề mặt tấm gỗ.
3.5.2
Cong mặt (bow)
Biến dạng cong theo chiều dài trên bề mặt tấm gỗ.
3.5.3
Cong cạnh (spring/crook)
Biến dạng cong theo chiều dài trên mặt bên (mặt cạnh) tấm gỗ.
3.5.4
Vặn vỏ đỗ (twist)
Vênh
Biến dạng vặn xoắn dọc theo chiều dài khiến một góc của tấm gỗ không nằm trên cùng một mặt phẳng với ba góc còn lại.
3.6
Móp (Collapse)
Tế bào gỗ bị dẹt hoặc móp lại trong quá trình sấy, được nhìn thấy trên bề mặt tấm gỗ là sự co ngót lớn hơn bình thường hoặc không đồng đều. Hiện tượng phổ biến là gỗ bị xù xì trên bề mặt xuyên tâm và thường thấy ở một số loài gỗ. Sự móp xảy ra trong tâm gỗ được đặc trưng bởi sự tách rời của các sợi xuất hiện như dạng nứt ngầm.
CHÚ THÍCH: Tránh nhầm lẫn móp với cong lòng máng. Cong lòng máng xuất hiện với một bề mặt bị lồi trong khi bề mặt đối diện bị lõm. Móp xuất hiện với cả hai bề mặt bị lõm.
3.7
Biến màu (Discoloration)
Sự thay đổi màu sắc gỗ sấy trong giai đoạn từ trạng thái sấy sơ bộ đến trạng thái sấy hoàn tất do phần ứng hóa học của các thành phần của gỗ như đường, nhựa gỗ, chất màu (tanin) hoặc chất chiết xuất trong khi sấy hoặc khi hong phơi tự nhiên.
4 Thiết bị và dụng cụ
Cưa, có thể sử dụng cưa vòng lượn (cưa vanh), cưa đĩa hoặc các loại cưa xẻ bất kỳ có thể cắt được mẫu có kích thước tương ứng.
Thước kẹp, có vạch chia đến 0,5 mm.
Thước cuộn, có vạch chia đến 1 mm.
Thước phẳng hoặc vật có mặt phẳng, có chiều dài đủ lớn để bao phủ chiều dài tấm gỗ.
Máy bào hoặc máy phay, có thể sử dụng máy bào/phay một hoặc nhiều mặt.
Để so sánh sự biến đổi màu sắc của gỗ sấy so với mẫu đối chứng có thể quan sát bằng mắt thường hoặc sử dụng các máy so màu hoặc các công cụ hỗ trợ khác tùy thuộc vào sự thỏa thuận của các bên.
5 Lấy mẫu
Lấy mẫu gỗ sấy để xác định các chỉ tiêu chất lượng được thực hiện theo phương pháp rút mẫu ngẫu nhiên và tuân thủ 4.3.1 trong TCVN 13706:2023 với hạng chất lượng E. Mẫu gỗ sấy đã lấy để đo độ ẩm cũng được sử dụng lại để xác định các chỉ tiêu chất lượng.
6 Phương pháp xác định các chỉ tiêu chất lượng
6.1 Xác định ứng suất dư
6.1.1 Cách tiến hành
Từ mỗi mẫu gỗ sấy, cắt mẫu kiểm tra có chiều dài 50 mm tại vị trí cách đầu tấm gỗ ít nhất 400 mm. Mẫu kiểm tra không có khuyết tật mắt, xoắn và chéo thớ.
Mẫu kiểm tra được xẻ thành 2 phần bằng nhau tại bề mặt đi qua tâm, song song với bề mặt rộng nhất. Trong vòng 5 min sau khi xẻ, hai phần này được áp mặt lõm vào nhau (Hình 2) để đo khe hở lớn nhất giữa 2 bề mặt (Dgap) bằng thước kẹp.

Hình 2 - Mô tả phép đo ứng suất dư
6.1.2 Tính toán và biểu thị kết quả
Ứng suất dư (Dstress) được tính bằng phần trăm của khe hở so với chiều rộng của mẫu kiểm tra, sử dụng công thức:
| Dstress = (Dgap / W) x 100 | (1) |
trong đó:
Dstress là ứng suất dư, tính bằng phần trăm (%);
Dgap là khe hở của 2 bề mặt lõm, tính bằng milimét (mm);
W là chiều rộng của mẫu kiểm tra, tính bằng milimét (mm).
6.2 Xác định mức độ nứt vỡ
6.2.1 Mức độ nứt mặt
6.2.1.1 Cách tiến hành
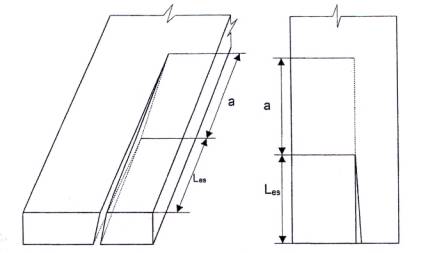
Từ mỗi mẫu gỗ sấy, sử dụng thước kẹp để đo khoảng cách (a) giữa hai đường giới hạn của mỗi phần mẫu gỗ sấy bị nứt mặt (Hình 3) và phần mở rộng của vết tách đầu (đoạn a - Hình 6).

Hình 3 - Mô tả phép đo chiều dài phần gỗ bị nứt mặt
6.2.1.2 Tính toán và biểu thị kết quả
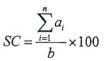
Tính toán tỷ lệ phần trăm của chiều dài phần mẫu gỗ sấy bị nứt mặt trên toàn bộ chiều dài, sử dụng công thức:
|
| (2) |
trong đó:
SC là mức độ nứt mặt, tính bằng phần trăm (%);
ai là chiều dài phần gỗ thứ i trong n phần gỗ bị nứt mặt, tính bằng milimét (mm);
b là chiều dài mẫu, tính bằng milimét (mm).
6.2.2 Mức độ nứt đầu
6.2.2.1 Cách tiến hành
Từ mỗi mẫu gỗ sấy, đo chiều dài vết nứt đầu (Lec) dài nhất (Hình 4) bằng thước kẹp.

Hình 4 - Mô tả phép đo chiều dài vết nứt đầu
6.2.2.2 Tính toán và biểu thị kết quả
Lấy chiều dài một vết nứt đầu (Lec) dài nhất từ 2 đầu tấm gỗ, tính bằng milimét.
6.2.3 Mức độ nứt ngầm
6.2.3.1 Cách tiến hành
Từ mỗi mẫu gỗ sấy, cắt một mẫu kiểm tra có chiều dài 300 mm tính từ đầu tấm gỗ. Các mẫu kiểm tra này có thể xuất hiện hoặc không xuất hiện các vết nứt ngầm trên mặt cắt ngang. Sử dụng thước kẹp để đo chiều rộng (a) và chiều dài (b) (Hình 5), từ đó tính diện tích hình chữ nhật bao quanh mỗi vết nứt ngầm (Sic).

Hình 5 - Mô tả phép đo diện tích bao quanh vết nứt ngầm
6.2.3.2 Tính toán và biểu thị kết quả
Tính toán tỷ lệ phần trăm của tổng diện tích các hình chữ nhật bao quanh các vết nứt ngầm trên diện tích mặt cắt ngang nơi cắt mẫu kiểm tra, sử dụng công thức:
|
| (3) |
trong đó:
IC là mức độ nứt ngầm, tính bằng phần trăm (%);
là diện tích hình chữ nhật thứ i trong n hình chữ nhật bao quanh mỗi vết nứt ngầm, tính bằng milimét vuông (mm2);
Sc là diện tích mặt cắt ngang nơi cắt mẫu kiểm tra, tính bằng milimét vuông (mm2).
6.2.4 Mức độ tách đầu
6.2.4.1 Cách tiến hành
Từ mỗi mẫu gỗ sấy, đo chiều dài vết tách đầu (Les) dài nhất (Hình 6) bằng thước kẹp.

Hình 6 - Mô tả phép đo chiều dài vết tách đầu
6.2.4.2 Tính toán và biểu thị kết quả
Lấy chiều dài một vết tách đầu (Les) dài nhất trong tất cả các vết tách từ 2 đầu tấm gỗ, tính bằng milimét.
6.3 Xác định mức độ biến dạng
6.3.1 Mức độ móp
6.3.1.1 Cách tiến hành
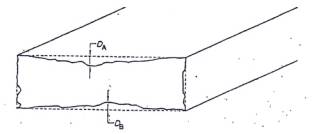
Từ mỗi mẫu gỗ sấy, sử dụng thước kẹp và thước phẳng hoặc vật có mặt phẳng (xem Điều 4) để đo chiều sâu chỗ sâu nhất của vết móp (Hình 7) trên mỗi bề mặt rộng (DA và DB).

Hình 7 - Mô tả phép đo mức độ móp
6.3.1.2 Tính toán và biểu thị kết quả
Tính toán mức độ móp và biểu thị kết quả, sử dụng công thức:
| Dcol = DA + DB | (4) |
trong đó:
Dcol là mức độ móp của mẫu gỗ sấy, tính bằng milimét (mm);
DA là mức độ móp của bề mặt A của mẫu gỗ sấy, tính bằng milimét (mm);
DB là mức độ móp của bề mặt B của mẫu gỗ sấy, tính bằng milimét (mm).
6.3.2 Mức độ cong mặt
6.3.2.1 Cách tiến hành

Hình 8 - Mô tả phép đo mức độ cong mặt
Từ mỗi mẫu gỗ sấy, sử dụng thước kẹp và thước phẳng hoặc vật có mặt phẳng (xem Điều 4) đo chiều cao đường cong mặt (h) tại vị trí có giá trị lớn nhất (Hình 8).
6.3.2.2 Tính toán và biểu thị kết quả
Tính toán mức độ cong mặt và biểu thị kết quả, sử dụng công thức:
| Db = (h/L) x 100 | (5) |
trong đó:
Db là mức độ cong mặt, tính bằng phần trăm (%);
h là chiều cao của đường cong mặt tại vị trí có giá trị lớn nhất, tính bằng milimét (mm);
L là chiều dài của mẫu gỗ sấy, tính bằng milimét (mm).
6.3.3 Mức độ cong cạnh
6.3.3.1 Cách tiến hành
Từ mỗi mẫu gỗ sấy, sử dụng thước kẹp và thước phẳng hoặc vật có mặt phẳng (xem Điều 4) đo chiều cao đường cong cạnh (h) tại vị trí có giá trị lớn nhất (Hình 9).

Hình 9 - Mô tả phép đo mức độ cong cạnh
6.3.3.2 Tính toán và biểu thị kết quả
Tính toán mức độ cong cạnh và biểu thị kết quả, sử dụng công thức:
| Ds = (h/L) x 100 | (6) |
trong đó:
Ds là mức độ cong cạnh, tính bằng phần trăm (%);
h là chiều cao của đường cong cạnh tại vị trí có giá trị lớn nhất, tính bằng milimét (mm);
L là chiều dài của mẫu gỗ sấy, tính bằng milimét (mm).
6.3.4 Mức độ cong lòng máng
6.3.4.1 Cách tiến hành
Từ mỗi mẫu gỗ sấy, sử dụng thước kẹp và thước phẳng hoặc vật có mặt phẳng (xem Điều 4) đo chiều cao đường cong lòng máng (h) tại vị trí có giá trị lớn nhất (Hình 10).

Hình 10 - Mô tả phép đo mức độ cong lòng máng
6.3.4.2 Tính toán và biểu thị kết quả
Tính toán mức độ cong lòng máng và biểu thị kết quả, sử dụng công thức:
| Dc = (h/W) x 100 | (7) |
trong đó:
Dc là mức độ cong lòng máng, tính bằng phần trăm (%);
h là chiều cao của đường cong lòng máng tại vị trí có giá trị lớn nhất, tính bằng milimét (mm);
W là chiều rộng của mẫu gỗ sấy, tính bằng milimét (mm).
6.3.5 Mức độ vặn vỏ đỗ
6.3.5.1 Cách tiến hành
Từ mỗi mẫu gỗ sấy, sử dụng thước kẹp và thước phẳng hoặc vật có mặt phẳng (xem Điều 4) đo chiều cao (h) của một trong bốn góc bị vặn nhiều nhất (Hình 11).

Hình 11- Mô tả phép đo mức độ vặn vỏ đỗ
6.3.5.2 Tính toán và biểu thị kết quả
Tính toán mức độ vặn vỏ đỗ và biểu thị kết quả sử dụng công thức:
| Dt = (h/L) x 100 | (8) |
trong đó:
Dt là mức độ vặn vỏ đỗ, tính bằng phần trăm (%);
h là chiều cao tại góc bị vặn nhiều nhất, tính bằng milimét (mm);
L là chiều dài của mẫu gỗ sấy, tính bằng milimét (mm).
6.4 Xác định mức độ biến màu
Để đánh giá mức độ biến màu của mẫu gỗ sấy, một lượng mẫu đối chứng có đặc trưng tương tự mẫu gỗ sấy về loại gỗ và loại ván xẻ được sử dụng với kích thước dài, rộng và dày lần lượt là 300 mm, 100 mm và 15 mm. Những mẫu đối chứng này được sấy ở nhiệt độ thấp (dưới 40 °C) để tránh khuyết tật biến màu và được bào nhẵn một mặt để dễ so sánh. Những mẫu này được lưu giữ tránh ánh nắng để bảo vệ bề mặt đã bào sạch.
Mẫu gỗ sấy để xác định mức độ biến màu được bào sâu 2 mm và được so sánh sự biến đổi màu sắc so với mẫu đối chứng.
7 Báo cáo thử nghiệm
Báo cáo kết quả thử nghiệm phải bao gồm những thông tin sau:
a) Viện dẫn tiêu chuẩn này;
b) Các chi tiết liên quan đến lấy mẫu;
c) Phương pháp thử đã sử dụng;
d) Các kết quả thử và các giá trị thống kê;
e) Ngày thử nghiệm;
f) Tên tổ chức tiến hành thử nghiệm.
Thư mục tài liệu tham khảo
[1] AS 2082:2007, Timber - Hardwood - Visually stressgraded for structural purposes, (Gỗ xẻ - Gỗ lá rộng - Đánh giá mức độ giảm cấp gỗ kết cấu do ứng suất).
[2] AS/NZS 4491:1997 (reconfirmed 2016), Timber - Glossary of terms in timber - related Standards, (Gỗ xẻ - Thuật ngữ và định nghĩa - liên quan đến các tiêu chuẩn).
[3] AS/NZS 4787:2001 (reconfirmed 2016), Timber - Assessment of drying quality, (Gỗ xẻ - Đánh giá chất lượng sấy).
MỤC LỤC
1 Phạm vi áp dụng
2 Tài liệu viện dẫn
3 Thuật ngữ và định nghĩa
4 Thiết bị và dụng cụ
5 Lấy mẫu
6 Phương pháp xác định các chỉ tiêu chất lượng
6.1 Xác định ứng suất dư
6.2 Xác định mức độ nứt vỡ
6.3 Xác định mức độ biến dạng
6.4 Xác định mức độ biến màu
7 Báo cáo thử nghiệm
Thư mục tài liệu tham khảo
Bạn chưa Đăng nhập thành viên.
Đây là tiện ích dành cho tài khoản thành viên. Vui lòng Đăng nhập để xem chi tiết. Nếu chưa có tài khoản, vui lòng Đăng ký tại đây!

