- Tổng quan
- Nội dung
- Tiêu chuẩn liên quan
- Lược đồ
- Tải về
Tiêu chuẩn TCVN 13262-5:2021 Thuốc bảo vệ thực vật - Xác định hàm lượng hoạt chất fenthion bằng phương pháp sắc ký khí
| Số hiệu: | TCVN 13262-5:2021 | Loại văn bản: | Tiêu chuẩn Việt Nam |
| Cơ quan ban hành: | Bộ Khoa học và Công nghệ | Lĩnh vực: | Công nghiệp , Nông nghiệp-Lâm nghiệp |
| Trích yếu: | Thuốc bảo vệ thực vật - Phần 5: Xác định hàm lượng hoạt chất fenthion bằng phương pháp sắc ký khí | ||
|
Ngày ban hành:
Ngày ban hành là ngày, tháng, năm văn bản được thông qua hoặc ký ban hành.
|
31/12/2021 |
Hiệu lực:
|
Đã biết
|
| Người ký: | Đang cập nhật |
Tình trạng hiệu lực:
Cho biết trạng thái hiệu lực của văn bản đang tra cứu: Chưa áp dụng, Còn hiệu lực, Hết hiệu lực, Hết hiệu lực 1 phần; Đã sửa đổi, Đính chính hay Không còn phù hợp,...
|
Đã biết
|
TÓM TẮT TIÊU CHUẨN VIỆT NAM TCVN 13262-5:2021
Nội dung tóm tắt đang được cập nhật, Quý khách vui lòng quay lại sau!
Tải tiêu chuẩn Việt Nam TCVN 13262-5:2021
TIÊU CHUẨN QUỐC GIA
TCVN 13262-5:2021
THUỐC BẢO VỆ THỰC VẬT - PHẦN 5: XÁC ĐỊNH HÀM LƯỢNG HOẠT CHẤT FENTHION BẰNG PHƯƠNG PHÁP SẮC KÝ KHÍ
Pesticides - Part 5: Determination of fenthion content by gas chromatographic method
Lời nói đầu
TCVN 13262-5:2021 do Cục Bảo vệ thực vật biên soạn, Bộ Nông nghiệp và Phát triển nông thôn đề nghị, Tổng cục Tiêu chuẩn Đo lường Chất lượng thẩm định, Bộ Khoa học và Công nghệ công bố.
Bộ TCVN 13262 Thuốc Bảo vệ thực vật - xác định hàm lượng hoạt chất gồm các tiêu chuẩn sau:
TCVN 13262-1:2020 Thuốc bảo vệ thực vật- Phần 1: Xác định hàm lượng hoạt chất thiram bằng phương pháp chuẩn độ.
TCVN 13262-2:2020 Thuốc bảo vệ thực vật- Phần 2: Xác định hàm lượng hoạt chất indanofan bằng phương pháp sắc ký lỏng hiệu năng cao.
TCVN 13262-3:2020 Thuốc bảo vệ thực vật- Phần 3: Xác định hàm lượng hoạt chất nhóm auxins bằng phương pháp sắc ký lỏng hiệu năng cao.
TCVN 13262-4:2020 Thuốc bảo vệ thực vật- Phần 4: Xác định hàm lượng hoạt chất nhóm cytokinins bằng phương pháp sắc ký lỏng hiệu năng cao.
THUỐC BẢO VỆ THỰC VẬT - PHẦN 5: XÁC ĐỊNH HÀM LƯỢNG HOẠT CHẤT FENTHION BẰNG PHƯƠNG PHÁP SẮC KÝ KHÍ
Pesticides - Part 5: Determination of fenthion content by gas chromatographic method
1 Phạm vi áp dụng
Tiêu chuẩn này quy định phương pháp xác định hàm lượng hoạt chất fenthion trong thuốc bảo vệ thực vật bằng phương pháp sắc ký khí.
Thông tin giới thiệu hoạt chất fenthion xem phụ lục A.
2 Tài liệu viện dẫn
Các tài liệu viện dẫn sau là rất cần thiết cho việc áp dụng tiêu chuẩn này. Đối với các tài liệu viện dẫn ghi năm công bố thì áp dụng phiên bản được nêu. Đối với tài liệu viện dẫn không ghi năm công bố thì áp dụng phiên bản mới nhất, bao gồm cả các sửa đổi (nếu có).
TCVN 4851 (ISO 3696), Nước dùng để phân tích trong phòng thí nghiệm - Yêu cầu kỹ thuật và phương pháp thử
3 Nguyên tắc
Hàm lượng fenthion được xác định bằng phương pháp sắc ký khí, với detector ion hoá ngọn lửa (FID). Dùng dibutylphtalate (DBP) làm chất nội chuẩn. Kết quả được tính dựa trên sự so sánh giữa tỷ số số đo diện tích, thời gian lưu pic mẫu thử với pic nội chuẩn và tỷ số số đo diện tích, thời gian lưu pic chuẩn với pic nội chuẩn.
4 Thuốc thử và vật liệu thử
Chỉ sử dụng các thuốc thử tinh khiết phân tích, nước dùng trong quá trình phân tích đạt loại 3 của TCVN 4851 (ISO 3696) hoặc có độ tinh khiết tương đương.
4.1 Chất chuẩn fenthion, đã biết hàm lượng, có giấy chứng nhận.
4.2 Chất nội chuẩn dibutylphtalate (DBP), có độ tinh khiết không nhỏ hơn 99 %.
4.3 Dung dịch nội chuẩn, nồng độ khoảng 8,8 mg/ml.
Dùng cân phân tích (5.4) cân khoảng 0,88 g chất nội chuẩn DBP (4.2) chính xác đến 0,0001 g vào bình định mức 100 ml (5.1), hoà tan và định mức tới vạch bằng axeton (4.5). Đặt vào bể siêu âm (5.6), siêu âm trong 5 min, để nguội đến nhiệt độ phòng.
4.4 Dung dịch chuẩn làm việc
Dùng cân phân tích (5.4) cân khoảng 0,01 g chất chuẩn fenthion (4.1) chính xác đến 0,00001 g vào bình định mức 10 ml (5.1), dùng pipet (5.2) thêm chính xác 1 ml dung dịch nội chuẩn (4.3), hoà tan và định mức đến vạch bằng axeton (4.5). Đặt vào bể siêu âm (5.6), siêu âm trong 5 min, để nguội đến nhiệt độ phòng.
CHÚ THÍCH: - Chất chuẩn bảo quản trong tủ mát ở (4 ± 2) °C;
- Nếu sử dụng cân có độ chính xác 0,0001 g thì lượng mẫu và chuẩn tăng lên 10 lần;
- Dung dịch chuẩn nên bảo quản ở (4 ± 2) °C, nên sử dụng trong vòng 1 tháng kể từ ngày pha;
- Dung dịch chuẩn phải kiểm tra chất lượng trước khi sử dụng.
4.5 Axeton, dùng cho sắc ký khí.
4.6 Khí nitơ, có độ tinh khiết không nhỏ hơn 99,999 %.
4.7 Khí hydro, có độ tinh khiết không nhỏ hơn 99,999 %.
4.8 Không khí nén, dùng cho máy sắc ký khí.
5 Thiết bị, dụng cụ
Sử dụng các thiết bị, dụng cụ thông thường của phòng thử nghiệm cụ thể như sau:
5.1 Bình định mức, dung tích 10 ml; 100 ml.
5.2 Pipet một vạch, dung tích 1 ml; 10 ml
5.3 Xyranh bơm mẫu, dung tích 10 ml, chia vạch đến 1 μl. hoặc bơm mẫu tự động
5.4 Cân phân tích, có độ chính xác đến 0,00001 g hoặc 0,0001 g.
5.5 Màng lọc xyranh PTFE, có kích thước lỗ 0,45 μm, đường kính 25 mm.
5.6 Bể siêu âm, tần số siêu âm từ 40 kHz đến 100 kHz
5.7 Thiết bị sắc ký khí (GC-FID), được trang bị như sau:
- Detector ion hoá ngọn lửa (FID);
- Injector chia dòng và không chia dòng;
- Cột mao quản HP-5MS, có chiều dài 30 m, đường kính trong 0,32 mm, chiều dày pha tĩnh 0,25 μm hoặc loại tương đương;
- Bộ bơm mẫu tự động hoặc bơm mẫu thủ công;
- Bộ xử lý số liệu (tích phân kế hoặc máy vi tính).
5.8 Rây, đường kính lỗ 0,2 mm.
5.9 Máy nén khí.
6 Lấy mẫu và chuẩn bị mẫu
6.1 Lấy mẫu
Tiêu chuẩn này không quy định việc lấy mẫu, nên lấy mẫu theo TCVN 12017: 2017
6.2 Chuẩn bị mẫu
Mẫu cần được làm đồng nhất trước khi cân;
- Đối với mẫu dạng lỏng phải lắc đều, nếu bị đông đặc do nhiệt độ thấp cần được làm tan chảy ở nhiệt độ (30 ± 2) °C;
- Đối với mẫu dạng bột phải được trộn đều;
- Đối với mẫu dạng hạt thì phải nghiền mịn và rây qua rây có đường kính lỗ 0,2 mm (5.8), trộn đều làm mẫu phân tích.
7 Cách tiến hành
7.1 Chuẩn bị dung dịch mẫu thử
Dùng cân phân tích (5.4) cân lượng cân mẫu thử có chứa khoảng 0,01 g hoạt chất fenthion chính xác đến 0,00001 g vào bình định mức 10 ml (5.1), dùng pipet (5.2) thêm chính xác 1 ml dung dịch nội chuẩn (4.3), hoà tan và định mức đến vạch bằng axeton (4.5). Đặt vào bể siêu âm (5.6), siêu âm trong 5 min, để nguội đến nhiệt độ phòng. Lọc dung dịch qua màng lọc xyranh PTFE 0,45 μm (5.5) trước khi bơm vào thiết bị. Mẫu thử thực hiện 2 lần.
7.2 Điều kiện phân tích
Các điều kiện vận hành sắc ký sau đây được cho là thích hợp:
- Nhiệt độ buồng bơm mẫu: 220 °C
- Nhiệt độ detector: 240 °C
- Nhiệt độ cột: 200 °C
- Tốc độ khí mang nitơ: 2 ml/min
- Tốc độ khí hydro: 35 ml/min
- Tốc độ khí nén: 280 ml/min
- Tốc độ khí bổ trợ cho detector 30 ml/min
- Thể tích bơm mẫu: 1 μl
- Tỷ lệ chia dòng: 50 : 1.
7.3 Xác định
Dùng xyranh bơm mẫu (5.3) bơm dung dịch chuẩn làm việc (4.4) cho đến khi tỉ số của số đo diện tích, thời gian lưu của pic chuẩn và píc nội chuẩn thay đổi không lớn hơn 1 %. Sau đó, bơm lần lượt dung dịch mẫu thử (7.1), lặp lại 2 lần. Tỷ lệ diện tích pic của mẫu thử so với diện tích pic mẫu chuẩn nằm trong khoảng từ 70 % đến 130 %.
8 Tính kết quả
Hàm lượng hoạt chất fenthion trong mẫu, X, biểu thị bằng phần trăm khối lượng (%) được tính theo công thức (1):

Kết quả thử nghiệm thu được, lấy hai chữ số sau dấu phẩy.
Hàm lượng hoạt chất fenthion trong mẫu, X, biểu thị bằng g/l được tính theo công thức (2) và kết quả thu được, lấy một chữ số sau dấu phẩy:
X' = X × 10 × d (2)
trong đó:
Fm là giá trị trung bình của tỉ số số đo diện tích của pic mẫu thử với pic nội chuẩn;
Fc là giá trị trung bình của tỉ số số đo diện tích của pic chuẩn với pic nội chuẩn;
mc là khối lượng chất chuẩn, tính bằng gam (g);
mm là khối lượng mẫu thử, tính bằng gam (g).
P là độ tinh khiết của chất chuẩn, tính bằng phần trăm (%).
d là khối lượng riêng của mẫu (g/ml) ở (20 ± 2) °C.
9 Báo cáo thử nghiệm
Báo cáo thử nghiệm phải ghi rõ:
a) mọi thông tin cần thiết về việc nhận biết đầy đủ mẫu thử;
b) phương pháp lấy mẫu đã sử dụng;
c) phương pháp thử đã sử dụng và viện dẫn tiêu chuẩn này;
d) mọi thao tác không được quy định trong tiêu chuẩn này, hoặc những điều được coi là tự chọn, và bất kỳ chi tiết nào có ảnh hưởng tới kết quả;
e) kết quả thử nghiệm.
Phụ lục A
(Tham khảo)
Giới thiệu hoạt chất fenthion
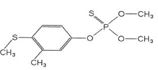
- Công thức cấu tạo:

| - Tên hoạt chất: | fenthion | |
| - Tên hoá học (IUPAC): | O,O-dimethyl O-4-methylthio-m-tolyl phosphorothioate | |
| - Công thức phân tử: | C10H15O3PS2 | |
| - Khối lượng phân tử: | 278,3 | |
| - Nhiệt độ sôi: | 90 °C | |
| - Độ hòa tan trong: |
| |
|
| Nước (mg/l, ở 20 °C) | 4,2 mg/l |
|
| Dung môi hữu cơ (g/l, ở 20 °C) |
|
|
| Diclorometan | > 250 |
|
| Toluen | > 250 |
|
| Isopropanol | > 250 |
|
| Hexan | 100 |
| - Dạng bên ngoài: | Dầu lỏng, không mầu | |
| - Độ bền: | Bền trong môi trường ánh sáng và nhiệt độ trên 210 °C | |
|
| Tương đối bền trong môi trường axít và kiềm | |
Thư mục tài liệu tham khảo
[1] TCVN 12017: 2017, Thuốc bảo vệ thực vật - Lấy mẫu.
[2] Danh mục thuốc bảo vệ thực vật được phép sử dụng ở Việt Nam, 2020
[3] CDS Tomlin, The Pesticide Manual, Thirteeth Edition, 2003
[4] FAO specifications and evaluations for agricultural pesticides, fenthion, 2006
[5] Manual on the development and use of FAO and WHO specification for pesticide, First Edition, 2006
Bạn chưa Đăng nhập thành viên.
Đây là tiện ích dành cho tài khoản thành viên. Vui lòng Đăng nhập để xem chi tiết. Nếu chưa có tài khoản, vui lòng Đăng ký tại đây!