- Tổng quan
- Nội dung
- VB gốc
- Tiếng Anh
- Hiệu lực
- VB liên quan
- Lược đồ
-
Nội dung hợp nhất
Tính năng này chỉ có tại LuatVietnam.vn. Nội dung hợp nhất tổng hợp lại tất cả các quy định còn hiệu lực của văn bản gốc và các văn bản sửa đổi, bổ sung, đính chính... trên một trang. Việc hợp nhất văn bản gốc và những văn bản, Thông tư, Nghị định hướng dẫn khác không làm thay đổi thứ tự điều khoản, nội dung.
Khách hàng chỉ cần xem Nội dung hợp nhất là có thể nắm bắt toàn bộ quy định hiện hành đang áp dụng, cho dù văn bản gốc đã qua nhiều lần chỉnh sửa, bổ sung.
- Tải về
Thông tư 33/2022/TT-BCT Hệ thống chỉ tiêu thống kê ngành Công Thương
| Cơ quan ban hành: | Bộ Công Thương |
Số công báo:
Số công báo là mã số ấn phẩm được đăng chính thức trên ấn phẩm thông tin của Nhà nước. Mã số này do Chính phủ thống nhất quản lý.
|
Đã biết
|
| Số hiệu: | 33/2022/TT-BCT | Ngày đăng công báo: |
Đã biết
|
| Loại văn bản: | Thông tư | Người ký: | Nguyễn Hồng Diên |
|
Ngày ban hành:
Ngày ban hành là ngày, tháng, năm văn bản được thông qua hoặc ký ban hành.
|
20/12/2022 |
Ngày hết hiệu lực:
Ngày hết hiệu lực là ngày, tháng, năm văn bản chính thức không còn hiệu lực (áp dụng).
|
Đang cập nhật |
|
Áp dụng:
Ngày áp dụng là ngày, tháng, năm văn bản chính thức có hiệu lực (áp dụng).
|
Đã biết
|
Tình trạng hiệu lực:
Cho biết trạng thái hiệu lực của văn bản đang tra cứu: Chưa áp dụng, Còn hiệu lực, Hết hiệu lực, Hết hiệu lực 1 phần; Đã sửa đổi, Đính chính hay Không còn phù hợp,...
|
Đã biết
|
| Lĩnh vực: | Công nghiệp |
TÓM TẮT THÔNG TƯ 33/2022/TT-BCT
Ngày 20/12/2022, Bộ Công Thương đã ra Thông tư 33/2022/TT-BCT ban hành Hệ thống chỉ tiêu thống kê ngành Công Thương.
Theo đó, Hệ thống chỉ tiêu thống kê ngành Công Thương là tập hợp các chỉ tiêu thống kê ngành, lĩnh vực công nghiệp và thương mại, là công cụ để thu thập và tổng hợp thông tin thống kê ngành Công Thương phục vụ công tác chỉ đạo, điều hành của Bộ Công Thương và các cơ quan quản lý Nhà nước trong việc đánh giá, dự báo tình hình, xây dựng và hoạch định các chiến lược, quy hoạch, kế hoạch phát triển ngành Công Thương.
Bên cạnh đó, nội dung chỉ tiêu thống kê ngành Công Thương bao gồm: Nhóm chỉ tiêu quản lý Nhà nước đối với ngành, lĩnh vực Công Thương; Nhóm chỉ tiêu quản lý doanh nghiệp thuộc Bộ và đơn vị hành chính, sự nghiệp thuộc Bộ. Ngoài ra, mỗi chỉ tiêu sẽ có: tên gọi; khái niệm, phương pháp tính, phân tổ chủ yếu, kỳ công bố, nguồn số liệu, cơ quan chịu trách nhiệm thu nhập, tổng hợp thông tin theo quy định của Luật Thống kê.
Thông tư có hiệu lực từ ngày 04/02/2023.
Xem chi tiết Thông tư 33/2022/TT-BCT có hiệu lực kể từ ngày 04/02/2023
Tải Thông tư 33/2022/TT-BCT
|
BỘ CÔNG THƯƠNG Số: 33/2022/TT-BCT |
CỘNG HÒA XÃ HỘI CHỦ NGHĨA VIỆT NAM Hà Nội, ngày 20 tháng 12 năm 2022 |
THÔNG TƯ
BAN HÀNH HỆ THỐNG CHỈ TIÊU THỐNG KÊ NGÀNH CÔNG THƯƠNG
_____________
Căn cứ Luật Thống kê ngày 23 tháng 11 năm 2015; Luật sửa đổi, bổ sung một số điều và Phụ lục Danh mục chỉ tiêu thống kê quốc gia của Luật Thống kê số ngày 12 tháng 11 năm 2021;
Căn cứ Nghị định số 96/2022/NĐ-CP ngày 29 tháng 11 năm 2022 của Chính phủ quy định chức năng, nhiệm vụ, quyền hạn và cơ cấu tổ chức của Bộ Công Thương;
Căn cứ Nghị định số 85/2017/NĐ-CP ngày 19 tháng 7 năm 2017 của Chính phủ quy định cơ cấu, nhiệm vụ, quyền hạn của hệ thống tổ chức thống kê tập trung và thống kê bộ, cơ quan ngang bộ;
Căn cứ Nghị định số 94/2016/NĐ-CP ngày 01 tháng 7 năm 2016 của Chính phủ quy định chi tiết và hướng dẫn thi hành một số điều của Luật Thống kê;
Căn cứ Nghị định số 94/2022/NĐ-CP ngày 07 tháng 11 năm 2022 của Chính phủ quy định nội dung chỉ tiêu thống kê thuộc Hệ thống chỉ tiêu thống kê quốc gia và quy trình biên soạn chỉ tiêu tổng sản phẩm trong nước, chỉ tiêu tổng sản phẩm trên địa bàn tỉnh, thành phố trực thuộc trung ương;
Theo đề nghị của Vụ trưởng Vụ Kế hoạch - Tài chính,
Bộ trưởng Bộ Công Thương ban hành Thông tư quy định Hệ thống chỉ tiêu thống kê ngành Công Thương.
Điều 1. Phạm vi điều chỉnh, đối tượng áp dụng
1. Thông tư này quy định Hệ thống chỉ tiêu thống kê ngành Công Thương gồm: Danh mục chỉ tiêu thống kê ngành Công Thương và Nội dung chỉ tiêu thống kê ngành Công Thương thuộc thẩm quyền quản lý nhà nước của Bộ Công Thương theo quy định của pháp luật.
2. Thông tư này áp dụng đối với cơ quan, tổ chức, cá nhân thực hiện công tác thống kê ngành Công Thương.
Điều 2. Hệ thống chỉ tiêu thống kê ngành Công Thương
1. Hệ thống chỉ tiêu thống kê ngành Công Thương là tập hợp các chỉ tiêu thống kê ngành, lĩnh vực công nghiệp và thương mại, là công cụ để thu thập và tổng hợp thông tin thống kê ngành Công Thương phục vụ công tác chỉ đạo, điều hành của Bộ Công Thương và các cơ quan quản lý nhà nước trong việc đánh giá, dự báo tình hình, xây dựng và hoạch định các chiến lược, quy hoạch, kế hoạch phát triển ngành Công Thương, góp phần thực hiện kế hoạch phát triển kinh tế - xã hội của đất nước và đáp ứng nhu cầu thông tin thống kê về ngành Công Thương của các tổ chức, cá nhân.
2. Hệ thống chỉ tiêu thống kê ngành Công Thương là cơ sở để phân công, phối hợp giữa các cơ quan quản lý nhà nước, các tổ chức, cá nhân thực hiện Chương trình điều tra thống kê, Chế độ báo cáo thống kê, sử dụng dữ liệu hành chính cho hoạt động thống kê ngành Công Thương.
3. Danh mục chỉ tiêu thống kê ngành Công Thương được quy định tại Phụ lục 1 ban hành kèm theo Thông tư này, gồm: Số thứ tự; Mã số; Nhóm, tên chỉ tiêu thống kê.
4. Nội dung chỉ tiêu thống kê ngành Công Thương được quy định tại Phụ lục 2 ban hành kèm theo Thông tư này, gồm: Nhóm chỉ tiêu quản lý nhà nước đối với ngành, lĩnh vực Công Thương; Nhóm chỉ tiêu quản lý doanh nghiệp thuộc Bộ và đơn vị hành chính, sự nghiệp thuộc Bộ. Mỗi chỉ tiêu gồm: Tên gọi, khái niệm, phương pháp tính, phân tổ chủ yếu, kỳ công bố, nguồn số liệu, cơ quan chịu trách nhiệm thu thập, tổng hợp thông tin theo quy định của Luật Thống kê.
Điều 3. Nội dung xây dựng Hệ thống chỉ tiêu thống kê ngành Công Thương
1. Xây dựng, sửa đổi, bổ sung chỉ tiêu thống kê ngành Công Thương đồng bộ với chỉ tiêu thống kê quốc gia và phù hợp với thông lệ quốc tế.
2. Chuẩn hóa chỉ tiêu thống kê ngành Công Thương.
a) Tên gọi chỉ tiêu thống kê;
b) Mục đích, ý nghĩa;
c) Khái niệm, nội dung, phương pháp tính;
d) Phân tổ chủ yếu;
đ) Kỳ công bố;
e) Nguồn số liệu;
g) Cơ quan chịu trách nhiệm thu thập, tổng hợp.
3. Thu thập, tổng hợp, biên soạn, công bố thông tin các chỉ tiêu thống kê ngành Công Thương.
4. Xây dựng phương án điều tra và tổ chức thực hiện các cuộc điều tra trong Chương trình điều tra thống kê quốc gia thuộc trách nhiệm của Bộ Công Thương; xây dựng Chương trình điều tra thống kê ngành Công Thương; xây dựng phương án điều tra, tổ chức thực hiện các cuộc điều tra trong Chương trình điều tra thống kê ngành Công Thương.
5. Xây dựng Chế độ báo cáo thống kê áp dụng đối với Sở Công Thương các tỉnh, thành phố trực thuộc Trung ương, Chế độ báo cáo thống kê áp dụng đối với đơn vị hành chính sự nghiệp thuộc Bộ Công Thương và Chế độ báo cáo thống kê áp dụng đối với doanh nghiệp thuộc Bộ Công Thương.
6. Thẩm định, trình thẩm định phương án điều tra, kết quả điều tra, kiểm tra, giám sát việc thực hiện các cuộc điều tra trong Chương trình điều tra thống kê quốc gia thuộc trách nhiệm của Bộ Công Thương, các cuộc điều tra trong Chương trình điều tra thống kê ngành Công Thương, các Chế độ báo cáo thống kê áp dụng đối với Sở Công Thương các tỉnh, thành phố trực thuộc Trung ương, Chế độ báo cáo thống kê áp dụng đối với đơn vị hành chính sự nghiệp thuộc Bộ Công Thương và Chế độ báo cáo thống kê áp dụng đối với doanh nghiệp thuộc Bộ Công Thương,
7. Xây dựng Phân loại thống kê ngành Công Thương; Tiêu chuẩn, định mức kinh tế - kỹ thuật và quản lý chất lượng thống kê trong ngành Công Thương; Niên giám Thống kê ngành Công Thương và các ấn phẩm thống kê ngành Công Thương.
8. Xây dựng, quản lý, vận hành, duy trì, kết nối, chia sẻ dữ liệu thống kê trong Hệ thống thông tin, Cơ sở dữ liệu các chỉ tiêu thống kê ngành Công Thương.
9. Xây dựng Lịch phổ biến thông tin thống kê của Bộ Công Thương; Quy chế phổ biến thông tin thống kê nhà nước thuộc trách nhiệm của Bộ Công Thương; Quy chế phối hợp với cơ quan thống kê Trung ương, với các Bộ, ngành trong việc sử dụng dữ liệu từ cơ sở dữ liệu hành chính cho hoạt động thống kê nhà nước.
10. Xây dựng, tổ chức thực hiện kế hoạch kiểm tra việc chấp hành pháp luật về thống kê của Sở Công Thương các tỉnh, thành phố trực thuộc Trung ương, các đơn vị hành chính sự nghiệp thuộc Bộ Công Thương, các doanh nghiệp thuộc Bộ Công Thương.
11. Phối hợp với cơ quan thống kê Trung ương xây dựng kế hoạch thanh tra và phối hợp thanh tra việc chấp hành pháp luật về thống kê của cơ quan, tổ chức thuộc ngành Công Thương.
Điều 4. Trách nhiệm thi hành
1. Vụ Kế hoạch - Tài chính
Vụ Kế hoạch - Tài chính có trách nhiệm chủ trì, phối hợp thực hiện các nhiệm vụ từ Khoản 1 đến Khoản 11 của Điều 3.
2. Các đơn vị thuộc Bộ
Các đơn vị thuộc Bộ chủ trì, phối hợp thực hiện từ Khoản 1 đến Khoản 5; phối hợp thực hiện Khoản 10, Khoản 11 của Điều 3.
3. Sở Công Thương các tỉnh, thành phố trực thuộc Trung ương, các đơn vị hành chính sự nghiệp và doanh nghiệp thuộc Bộ Công Thương; các tổ chức, cá nhân có liên quan có trách nhiệm phối hợp cung cấp thông tin các chỉ tiêu thống kê thuộc Hệ thống chỉ tiêu thống kê ngành Công Thương theo quy định của pháp luật.
Điều 5. Điều khoản thi hành
1. Thông tư này có hiệu lực thi hành kể từ ngày 04 tháng 02 năm 2023.
2. Thông tư này thay thế Thông tư số 40/2016/TT-BCT ngày 30 tháng 12 năm 2016 của Bộ trưởng Bộ Công Thương ban hành Hệ thống chỉ tiêu thống kê ngành Công Thương.
3. Trường hợp các văn bản quy phạm pháp luật được viện dẫn tại Thông tư này được thay đổi, bổ sung hoặc thay thế sẽ thực hiện theo văn bản mới ban hành.
4. Trong quá trình thực hiện Thông tư này, nếu có khó khăn, vướng mắc, đề nghị kịp thời phản ánh về Bộ Công Thương để nghiên cứu, giải quyết./.
|
Nơi nhận: |
BỘ TRƯỞNG |
PHỤ LỤC 1
DANH MỤC CHỈ TIÊU THỐNG KÊ NGÀNH CÔNG THƯƠNG
(Ban hành kèm theo Thông tư số 33/2022/TT-BCT ngày 20 tháng 12 năm 2022 của Bộ trưởng Bộ Công Thương)
|
TT |
Mã số |
Nhóm, tên chỉ tiêu thống kê |
|
I |
NHÓM CHỈ TIÊU QUẢN LÝ NHÀ NƯỚC |
|
|
1 |
NGÀNH, LĨNH VỰC CÔNG NGHIỆP |
|
1 |
0101 |
Giá trị sản xuất ngành công nghiệp khai khoáng |
|
2 |
0102 |
Giá trị sản xuất ngành công nghiệp chế biến, chế tạo |
|
3 |
0103 |
Giá trị sản xuất ngành sản xuất và phân phối điện, khí đốt, nước nóng, hơi nước, điều hòa không khí |
|
4 |
0104 |
Sản lượng sản xuất sản phẩm công nghiệp |
|
5 |
0105 |
Số lượng tiêu thụ sản phẩm công nghiệp |
|
6 |
0106 |
Số lượng tồn kho sản phẩm công nghiệp |
|
7 |
0107 |
Năng lực sản xuất của sản phẩm công nghiệp |
|
8 |
0108 |
Công suất lắp đặt và sản lượng điện từ năng lượng mặt trời |
|
9 |
0109 |
Công suất lắp đặt và sản lượng điện từ năng lượng gió |
|
10 |
0110 |
Công suất lắp đặt và sản lượng điện từ năng lượng thủy triều |
|
11 |
0111 |
Công suất của các trạm biến áp, chiều dài đường dây của lưới điện |
|
12 |
0112 |
Tiêu thụ năng lượng |
|
13 |
0113 |
Suất tiêu hao năng lượng theo sản phẩm |
|
14 |
0114 |
Mức tiêu hao và tăng/giảm mức tiêu hao năng lượng cho sản xuất so với tổng sản phẩm trong nước |
|
15 |
0115 |
Cường độ năng lượng sơ cấp trên tổng sản phẩm trong nước |
|
16 |
0116 |
Cân đối một số sản phẩm công nghiệp chủ yếu |
|
17 |
0117 |
Tỷ trọng giá trị xuất khẩu ngành công nghiệp công nghệ cao trong tổng giá trị ngành công nghiệp công nghệ cao |
|
18 |
0118 |
Số lượng cụm công nghiệp (quy hoạch, thành lập, hoạt động) |
|
19 |
0119 |
Tổng diện tích đất các cụm công nghiệp (quy hoạch, thành lập, hoạt động) |
|
20 |
0120 |
Số dự án đầu tư trong cụm công nghiệp |
|
21 |
0121 |
Tỷ lệ lấp đầy bình quân của các cụm công nghiệp |
|
22 |
0122 |
Số cụm công nghiệp được hỗ trợ lập quy hoạch chi tiết; hỗ trợ sửa chữa, nâng cấp hệ thống xử lý ô nhiễm môi trường tại các cụm công nghiệp từ nguồn kinh phí khuyến công |
|
23 |
0123 |
Số người được đào tạo từ nguồn kinh phí khuyến công |
|
24 |
0124 |
Số cuộc hội thảo, tập huấn chuyên đề từ nguồn kinh phí khuyến công |
|
25 |
0125 |
Số cơ sở công nghiệp nông thôn được hỗ trợ xây dựng mô hình trình diễn kỹ thuật; mô hình thí điểm sản xuất sạch hơn; chuyển giao công nghệ; ứng dụng máy móc tiên tiến từ nguồn kinh phí khuyến công |
|
26 |
0126 |
Số cơ sở công nghiệp nông thôn tham gia hội chợ được hỗ trợ từ nguồn kinh phí khuyến công |
|
27 |
0127 |
Số cơ sở công nghiệp nông thôn có sản phẩm đạt giải sản phẩm công nghiệp nông thôn tiêu biểu các cấp được hỗ trợ đầu tư phòng trưng bày sản phẩm |
|
28 |
0128 |
Số cơ sở công nghiệp nông thôn được hỗ trợ các hoạt động tư vấn, đánh giá từ nguồn kinh phí khuyến công |
|
29 |
0129 |
Số sản phẩm công nghiệp nông thôn tiêu biểu được bình chọn có hỗ trợ từ nguồn kinh phí khuyến công |
|
30 |
0130 |
Số lao động làm việc tại các Trung tâm khuyến công và Tư vấn phát triển công nghiệp |
|
31 |
0131 |
Số vụ tai nạn lao động trong ngành công nghiệp |
|
32 |
0132 |
Số người bị tai nạn lao động trong ngành công nghiệp |
|
33 |
0133 |
Số ngày công nghỉ vì tai nạn lao động trong ngành công nghiệp |
|
34 |
0134 |
Tổng số người mắc bệnh nghề nghiệp trong ngành công nghiệp |
|
35 |
0135 |
Tổng lượng nước thải công nghiệp |
|
36 |
0136 |
Số cụm công nghiệp có hệ thống xử lý nước thải tập trung |
|
37 |
0137 |
Tỷ lệ cụm công nghiệp đang hoạt động có hệ thống xử lý nước thải tập trung đạt tiêu chuẩn môi trường |
|
38 |
0138 |
Tổng lượng khí thải công nghiệp |
|
39 |
0139 |
Lượng phát thải khí nhà kính bình quân đầu người |
|
40 |
0140 |
Tổng lượng chất thải rắn công nghiệp thông thường |
|
41 |
0141 |
Tổng lượng chất thải rắn công nghiệp nguy hại |
|
42 |
0142 |
Tỷ lệ chất thải nguy hại được thu gom, xử lý |
|
43 |
0143 |
Số quy chuẩn kỹ thuật quốc gia do Bộ Công Thương ban hành |
|
44 |
0144 |
Số lượng cơ sở sử dụng năng lượng trọng điểm quốc gia |
|
45 |
0145 |
Số lượng chủng loại thiết bị dán nhãn năng lượng trên thị trường |
|
|
2 |
NGÀNH, LĨNH VỰC THƯƠNG MẠI |
|
46 |
0201 |
Số lượng chợ, siêu thị, trung tâm thương mại |
|
47 |
0202 |
Số lượng chợ xây dựng mới; số lượng siêu thị, trung tâm thương mại thành lập mới |
|
48 |
0203 |
Số lượng chợ, siêu thị, trung tâm thương mại ngừng hoạt động |
|
49 |
0204 |
Tổng vốn đầu tư xây dựng chợ, siêu thị, trung tâm thương mại |
|
50 |
0205 |
Số chợ cải tạo và nâng cấp |
|
51 |
0206 |
Số chợ chuyển đổi chức năng hoạt động |
|
52 |
0207 |
Số tổ chức kinh doanh, quản lý chợ |
|
53 |
0208 |
Số lượng cửa hàng tiện lợi |
|
54 |
0209 |
Số lượng cửa hàng xăng dầu trên địa bàn |
|
55 |
0210 |
Trị giá hàng hóa xuất khẩu, nhập khẩu |
|
56 |
0211 |
Số vụ kiểm tra/Số vụ khám trong lĩnh vực quản lý thị trường |
|
57 |
0212 |
Số vụ vi phạm xử lý trong lĩnh vực quản lý thị trường |
|
58 |
0213 |
Số tiền xử phạt vi phạm trong lĩnh vực quản lý thị trường |
|
59 |
0214 |
Trị giá tang vật, phương tiện vi phạm hành chính bị tịch thu hoặc áp dụng các biện pháp khắc phục hậu quả trong lĩnh vực quản lý thị trường |
|
60 |
0215 |
Số thương nhân có giao dịch thương mại điện tử |
|
61 |
0216 |
Số thương nhân triển khai ứng dụng phần mềm tác nghiệp phục vụ hoạt động thương mại điện tử |
|
62 |
0217 |
Số thương nhân áp dụng các biện pháp bảo mật công nghệ thông tin và thương mại điện tử |
|
63 |
0218 |
Số thương nhân cung cấp dịch vụ thương mại điện tử |
|
64 |
0219 |
Tỷ lệ chi phí đầu tư cho ứng dụng công nghệ thông tin và thương mại điện tử trên tổng chi phí của thương nhân |
|
65 |
0220 |
Số thương nhân có website thương mại điện tử |
|
66 |
0221 |
Số thương nhân tham gia giao dịch trên website cung cấp dịch vụ thương mại điện tử |
|
67 |
0222 |
Số thương nhân đặt hàng trực tuyến |
|
69 |
0223 |
Số thương nhân nhận đơn đặt hàng trực tuyến |
|
70 |
0224 |
Tỷ lệ giá trị mua hàng trực tuyến trên tổng giá trị mua hàng hóa của thương nhân |
|
71 |
0225 |
Tỷ lệ giá trị bán hàng trực tuyến trên tổng giá trị bán hàng hóa của thương nhân |
|
72 |
0226 |
Số thương nhân có ứng dụng bán hàng trên thiết bị di động |
|
73 |
0227 |
Số thương nhân sử dụng dịch vụ công trực tuyến |
|
74 |
0228 |
Số thương nhân sử dụng hợp đồng điện tử |
|
75 |
0229 |
Doanh thu thương mại điện tử |
|
76 |
0230 |
Tỷ trọng giá trị tăng thêm của dịch vụ logistics trong tổng sản phẩm trong nước |
|
77 |
0231 |
Chi phí logistics so với tổng sản phẩm trong nước |
|
II |
NHÓM CHỈ TIÊU QUẢN LÝ DOANH NGHIỆP VÀ ĐƠN VỊ HÀNH CHÍNH SỰ NGHIỆP THUỘC BỘ |
|
|
|
3 |
TÀI CHÍNH |
|
78 |
0301 |
Vốn chủ sở hữu |
|
79 |
0302 |
Vốn điều lệ |
|
80 |
0303 |
Doanh thu thuần |
|
81 |
0304 |
Nộp ngân sách Nhà nước |
|
|
4 |
LAO ĐỘNG VÀ THU NHẬP |
|
82 |
0401 |
Tổng số lao động bình quân trong năm |
|
83 |
0402 |
Thu nhập bình quân một lao động đang làm việc |
|
|
5 |
ĐẦU TƯ VÀ XÂY DỰNG |
|
84 |
0501 |
Vốn đầu tư thực hiện |
|
85 |
0502 |
Tổng nhu cầu vốn cho các dự án chuẩn bị đầu tư |
|
86 |
0503 |
Số lượng dự án đầu tư xây dựng chuẩn bị đầu tư |
|
87 |
0504 |
Giá trị sản lượng đầu tư xây dựng cơ bản và mua sắm tài sản, trang thiết bị |
|
88 |
0505 |
Giá trị thực hiện giải ngân vốn đầu tư xây dựng cơ bản và mua sắm tài sản, trang thiết bị |
|
89 |
0506 |
Số lượng các công trình hoàn thành và đưa vào sử dụng |
|
90 |
0507 |
Giá trị thực hiện vốn đầu tư tài chính |
|
|
6 |
ĐÀO TẠO |
|
91 |
0601 |
Số lượng sinh viên tuyển mới, theo học, tốt nghiệp |
|
92 |
0602 |
Số lượng cán bộ, giảng viên, giáo viên |
|
93 |
0603 |
Thu học phí, lệ phí |
|
94 |
0604 |
Chi cho hoạt động đào tạo |
|
95 |
0605 |
Số lượng cơ sở đào tạo |
PHỤ LỤC 2
NỘI DUNG CHỈ TIÊU THỐNG KÊ NGÀNH CÔNG THƯƠNG
(Ban hành kèm theo Thông tư số 33/2022/TT-BCT ngày 20 tháng 12 năm 2022 của Bộ trưởng Bộ Công Thương)
I. NHÓM CHỈ TIÊU QUẢN LÝ NHÀ NƯỚC
01. NGÀNH, LĨNH VỰC CÔNG NGHIỆP
0101. Giá trị sản xuất ngành công nghiệp khai khoáng
1. Mục đích, ý nghĩa
Là chỉ tiêu tổng hợp, phản ánh kết quả sản xuất kinh doanh của ngành công nghiệp khai khoáng trong một thời kỳ nhất định. Giá trị sản xuất công nghiệp ngành khai khoáng là cơ sở để đánh giá tình hình phát triển ngành công nghiệp khai khoáng; đánh giá xu hướng chuyển dịch cơ cấu trong nội bộ ngành công nghiệp; đề ra các chiến lược, quy hoạch, kế hoạch phát triển ngành công nghiệp khai khoáng.
2. Khái niệm, phương pháp tính
Giá trị sản xuất ngành công nghiệp khai khoáng là toàn bộ giá trị sản phẩm vật chất và sản phẩm dịch vụ của ngành khai khoáng tạo ra trong một thời kỳ nhất định.
Giá trị sản xuất ngành công nghiệp khai khoáng gồm:
- Giá trị nguyên vật liệu, năng lượng, phụ tùng thay thế.
- Chi phí dịch vụ sản xuất và khấu hao tài sản cố định.
- Chi phí tiền lương, tiền công cho lao động.
- Thuế sản xuất, giá trị thặng dư tạo ra trong cấu thành giá trị sản phẩm.
Giá trị sản xuất ngành công nghiệp khai khoáng được tính theo hai loại giá: Giá thực tế và giá so sánh.
Phương pháp tính:
a) Giá trị sản xuất ngành công nghiệp khai khoáng theo giá thực tế
Giá trị sản xuất ngành công nghiệp khai khoáng theo giá thực tế là toàn bộ giá trị sản phẩm do hoạt động sản xuất ngành công nghiệp khai khoáng tạo ra tính theo giá tại thời kỳ tính giá trị sản xuất.
|
Giá trị sản xuất công nghiệp ngành khai khoáng theo giá thực tế |
= |
Doanh thu thuần công nghiệp (yếu tố 1) |
+ |
Các khoản trợ cấp của Nhà nước (nếu có) (yếu tố 2) |
+ |
Chênh lệch cuối kỳ và đầu kỳ hàng tồn kho (yếu tố 3) |
+ |
Thuế tiêu thụ phát sinh nộp ngân sách Nhà nước (yếu tố 4) |
Trong đó:
Yếu tố 1: Doanh thu thuần công nghiệp
Là doanh thu tiêu thụ sản phẩm và dịch vụ ngành công nghiệp khai khoáng sau khi giảm trừ một số khoản như: Chiết khấu thương mại, giảm giá, giá trị hàng bán bị trả lại và thuế xuất khẩu, thuế giá trị gia tăng của doanh nghiệp công nghiệp (tính theo phương pháp trực tiếp) phải nộp tương ứng với doanh thu được xác định trong kỳ (kể cả tiêu thụ trong nước và xuất khẩu) được sản xuất tại doanh nghiệp và các loại doanh thu khác được quy định tính cho sản xuất công nghiệp.
Yếu tố 2: Các khoản trợ cấp của Nhà nước (nếu có)
Khoản được Nhà nước trợ cấp từ ngân sách nhà nước cho doanh nghiệp với mục đích trợ giá do Nhà nước quy định giá bán thấp (đối với hàng hóa, dịch vụ mang tính phục vụ công ích ở trong nước hoặc bù lỗ cho các mặt hàng Nhà nước khuyến khích sản xuất để xuất khẩu). Thu về khoản này được tính bằng số thực tế phát sinh trong kỳ mà Nhà nước phải trợ cấp cho doanh nghiệp dù số tiền đó doanh nghiệp chưa nhận đủ.
Yếu tố 3: Chênh lệch cuối kỳ và đầu kỳ hàng tồn kho
Các yếu tố tham gia vào tính chênh lệch tồn kho ngành công nghiệp khai khoáng bao gồm: Chi phí sản xuất kinh doanh dở dang, thành phẩm, hàng gửi bán của hoạt động công nghiệp. Cụ thể:
- Sản phẩm dở dang bằng ( =) giá trị chênh lệch cộng (+) hoặc trừ (-) cuối kỳ và đầu kỳ sản phẩm dở dang gồm: Chênh lệch sản phẩm dở dang đang trên dây chuyền sản xuất và bán thành phẩm của sản xuất công nghiệp. Không tính chênh lệch sản phẩm dở dang của các hoạt động khác không phải là công nghiệp (như xây dựng cơ bản dở dang).
- Thành phẩm bằng (=) giá trị chênh lệch cộng (+) hoặc trừ (-) cuối kỳ và đầu kỳ thành phẩm tồn kho. Chênh lệch thành phẩm tồn kho không bao gồm tồn kho hàng hóa mua vào rồi bán ra không qua chế biến tại doanh nghiệp và tồn kho nguyên, nhiên, vật liệu, công cụ, phụ tùng thay thế.
- Hàng hóa gửi bán bằng (=) giá trị chênh lệch cộng (+) hoặc trừ (-) cuối kỳ và đầu kỳ hàng gửi bán. Khoản này bao gồm giá trị những hàng hóa do doanh nghiệp sản xuất ra bằng nguyên vật liệu của doanh nghiệp hoặc sản phẩm mà doanh nghiệp gia công ở đơn vị khác, đã xuất kho thành phẩm nhưng đang trên đường đi tiêu thụ, chưa thu được tiền hoặc chưa được chấp nhận thanh toán, hoặc đang nằm tại kho đại lý tại thời điểm đầu và cuối kỳ. Nó được tính theo giá bán chưa có thuế tiêu thụ trong hóa đơn bán hàng.
Yếu tố 4: Thuế tiêu thụ phát sinh phải nộp ngân sách Nhà nước
Thuế tiêu thụ phát sinh phải nộp gồm các khoản thuế đánh vào sản phẩm và dịch vụ tiêu thụ, chỉ phát sinh khi có tiêu thụ sản phẩm và dịch vụ công nghiệp gồm: Thuế giá trị gia tăng hàng bán nội địa theo phương pháp trực tiếp, thuế giá trị gia tăng hàng bán nội địa theo phương pháp khấu trừ và thuế xuất khẩu.
- Đối với thuế giá trị gia tăng bán hàng nội địa theo phương pháp trực tiếp (không khấu trừ), thuế xuất khẩu là số thuế thực tế phát sinh phải nộp trong kỳ tương ứng với doanh thu được tính trong yếu tố “Doanh thu thuần công nghiệp”.
- Đối với thuế giá trị gia tăng hàng bán nội địa tính theo phương pháp khấu trừ thì thuế giá trị gia tăng phát sinh phải nộp là số thuế giá trị gia tăng đầu ra trừ (-) thuế giá trị gia tăng đầu vào đã được khấu trừ trong kỳ.
Lưu ý: Để đơn giản khi tính toán, giá trị sản xuất theo giá thực tế của các cơ sở sản xuất công nghiệp cá thể cũng không tính chênh lệch cuối kỳ và đầu kỳ hàng tồn kho (yếu tố 3).
b) Giá trị sản xuất ngành công nghiệp khai khoáng theo giá so sánh
Giá trị sản xuất ngành công nghiệp khai khoáng theo giá so sánh có nội dung tương tự như giá trị sản xuất theo giá thực tế nhưng được tính trên cơ sở cố định giá của người sản xuất để làm gốc so sánh.
Phương pháp tính:
|
Giá trị sản xuất ngành công nghiệp khai khoáng theo giá so sánh |
= |
Giá trị sản xuất ngành công nghiệp khai khoáng theo giá thực tế |
|
Chỉ số giá sản xuất công nghiệp khai khoáng |
3. Phân tổ chủ yếu
- Phân theo doanh nghiệp thuộc Bộ.
- Phân theo ngành kinh tế (cấp 2).
4. Kỳ công bố
Năm
5. Nguồn số liệu
- Chế độ báo cáo thống kê áp dụng đối với Tập đoàn, Tổng công ty, Công ty thuộc Bộ.
- Điều tra thống kê doanh nghiệp đối với ngành, lĩnh vực công nghiệp.
6. Cơ quan chịu trách nhiệm thu thập, tổng hợp
- Chủ trì: Vụ Kế hoạch.
- Phối hợp: Vụ Dầu khí và Than, Cục Công nghiệp.
0102. Giá trị sản xuất ngành công nghiệp chế biến, chế tạo
1. Mục đích, ý nghĩa
Là chỉ tiêu tổng hợp, phản ánh kết quả sản xuất kinh doanh của ngành công nghiệp chế biến, chế tạo trong một thời kỳ nhất định. Giá trị sản xuất công nghiệp ngành chế biến, chế tạo là cơ sở để đánh giá tình hình phát triển ngành công nghiệp chế biến, chế tạo; đánh giá xu hướng chuyển dịch cơ cấu trong nội bộ ngành công nghiệp; đề ra các chiến lược, quy hoạch, kế hoạch phát triển ngành công nghiệp chế biến, chế tạo.
2. Khái niệm, nội dung, phương pháp tính
Là toàn bộ giá trị sản phẩm vật chất và sản phẩm dịch vụ của ngành công nghiệp chế biến, chế tạo thực hiện trong một thời kỳ nhất định.
Giá trị sản xuất ngành công nghiệp chế biến, chế tạo gồm:
- Giá trị nguyên vật liệu, năng lượng, phụ tùng thay thế.
- Chi phí dịch vụ sản xuất và khấu hao tài sản cố định.
- Chi phí tiền lương, tiền công cho lao động.
- Thuế sản xuất, giá trị thặng dư tạo ra trong cấu thành giá trị sản phẩm.
Giá trị sản xuất công nghiệp ngành chế biến, chế tạo được tính theo hai loại giá: Giá thực tế và giá so sánh.
a) Giá trị sản xuất ngành công nghiệp chế biến, chế tạo theo giá thực tế
Giá trị sản xuất công nghiệp ngành chế biến, chế tạo theo giá thực tế là toàn bộ giá trị sản phẩm do hoạt động sản xuất công nghiệp chế biến, chế tạo tạo ra tính theo giá tại thời kỳ tính giá trị sản xuất.
Phương pháp tính:
|
Giá trị sản xuất ngành công nghiệp chế biến, chế tạo theo giá thực tế |
= |
Doanh thu thuần công nghiệp |
+ |
Các khoản trợ cấp của Nhà nước (nếu có) |
+ |
Chênh lệch cuối kỳ và đầu kỳ hàng tồn kho |
+ |
Thuế tiêu thụ phát sinh nộp ngân sách Nhà nước |
Trong đó:
Yếu tố 1: Doanh thu thuần công nghiệp
Là doanh thu tiêu thụ sản phẩm và dịch vụ công nghiệp của ngành công nghiệp chế biến, chế tạo sau khi giảm trừ một số khoản như: Chiết khấu thương mại, giảm giá, giá trị hàng bán bị trả lại, thuế xuất khẩu, thuế giá trị gia tăng của doanh nghiệp công nghiệp nộp tính theo phương pháp trực tiếp phải nộp tương ứng với doanh thu được xác định trong kỳ (kể cả tiêu thụ trong nước và xuất khẩu) được sản xuất tại doanh nghiệp và các loại doanh thu khác được quy định tính cho sản xuất công nghiệp.
Yếu tố 2: Các khoản trợ cấp của Nhà nước (nếu có)
Khoản được Nhà nước trợ cấp từ ngân sách Nhà nước cho doanh nghiệp với mục đích trợ giá do Nhà nước quy định giá bán thấp (đối với hàng hóa, dịch vụ mang tính phục vụ công ích ở trong nước, hoặc bù lỗ cho các mặt hàng Nhà nước khuyến khích sản xuất để xuất khẩu). Thu về khoản này được tính bằng số thực tế phát sinh trong kỳ mà Nhà nước phải trợ cấp cho doanh nghiệp dù số tiền đó doanh nghiệp chưa nhận đủ.
Yếu tố 3: Chênh lệch cuối kỳ và đầu kỳ hàng tồn kho
Các yếu tố tham gia vào tính chênh lệch tồn kho ngành công nghiệp chế biến, chế tạo bao gồm: Chi phí sản xuất kinh doanh dở dang, thành phẩm, hàng gửi bán của hoạt động công nghiệp, cụ thể:
+ Sản phẩm dở dang bằng ( = ) giá trị chênh lệch cộng (+) hoặc trừ (-) cuối kỳ và đầu kỳ sản phẩm dở dang, gồm chênh lệch sản phẩm dở dang đang trên dây chuyền sản xuất và bán thành phẩm của sản xuất công nghiệp. Không tính chênh lệch sản phẩm dở dang của các hoạt động khác không phải là công nghiệp (như xây dựng cơ bản dở dang).
+ Thành phẩm bằng ( = ) giá trị chênh lệch cộng (+) hoặc trừ (-) cuối kỳ và đầu kỳ thành phẩm tồn kho. Chênh lệch thành phẩm tồn kho không bao gồm tồn kho hàng hóa mua vào rồi bán ra không qua chế biến tại doanh nghiệp và tồn kho nguyên, nhiên, vật liệu, công cụ, phụ tùng thay thế.
+ Hàng hóa gửi bán bằng ( = ) giá trị chênh lệch cộng (+) hoặc trừ (-) cuối kỳ và đầu kỳ hàng gửi bán. Khoản này bao gồm giá trị những hàng hóa do doanh nghiệp sản xuất ra bằng nguyên vật liệu của doanh nghiệp hoặc sản phẩm mà doanh nghiệp gia công ở đơn vị khác, đã xuất kho thành phẩm nhưng đang trên đường đi tiêu thụ, chưa thu được tiền hoặc chưa được chấp nhận thanh toán, hoặc đang nằm tại kho đại lý tại thời điểm đầu và cuối kỳ. Nó được tính theo giá bán chưa có thuế tiêu thụ trong hóa đơn bán hàng.
Yếu tố 4: Thuế tiêu thụ phát sinh phải nộp ngân sách Nhà nước
Thuế tiêu thụ phát sinh phải nộp gồm các khoản thuế đánh vào sản phẩm và dịch vụ tiêu thụ, chỉ phát sinh khi có tiêu thụ sản phẩm và dịch vụ công nghiệp gồm: Thuế giá trị gia tăng hàng bán nội địa theo phương pháp trực tiếp và thuế giá trị gia tăng hàng bán nội địa theo phương pháp khấu trừ và thuế xuất khẩu. Cụ thể:
+ Đối với thuế giá trị gia tăng bán hàng nội địa theo phương pháp trực tiếp (không khấu trừ), thuế xuất khẩu là số thuế thực tế phát sinh phải nộp trong kỳ tương ứng với doanh thu được tính trong yếu tố “Doanh thu thuần công nghiệp”.
+ Đối với thuế giá trị gia tăng hàng bán nội địa tính theo phương pháp khấu trừ thì thuế giá trị gia tăng phát sinh phải nộp là số thuế giá trị gia tăng đầu ra trừ (-) thuế giá trị gia tăng đầu vào đã được khấu trừ trong kỳ.
- Lưu ý:
+ Để đơn giản khi tính toán, giá trị sản xuất theo giá thực tế của các cơ sở sản xuất công nghiệp cá thể cũng không tính chênh lệch cuối kỳ và đầu kỳ hàng tồn kho (yếu tố 3).
+ Những ngành có chu kỳ sản xuất dài như đóng tàu, sản xuất toa xe vẫn áp dụng công thức chung để tính giá trị sản xuất theo giá thực tế nhưng trường hợp trong kỳ báo cáo chưa có sản phẩm tiêu thụ thì giá trị sản xuất theo giá thực tế chỉ là chênh lệch sản phẩm dở dang cuối kỳ và đầu kỳ.
b) Giá trị sản xuất ngành công nghiệp chế biến, chế tạo theo giá so sánh
Giá trị sản xuất ngành công nghiệp chế biến, chế tạo theo giá so sánh có nội dung tương tự như giá trị sản xuất theo giá thực tế nhưng được tính trên cơ sở cố định giá của người sản xuất để làm gốc so sánh.
|
Giá trị sản xuất ngành công nghiệp chế biến, chế tạo theo giá so sánh |
= |
Giá trị sản xuất ngành công nghiệp chế biến, chế tạo theo giá thực tế |
|
Chỉ số giá sản xuất công nghiệp chế biến, chế tạo |
3. Phân tổ chủ yếu
- Phân theo doanh nghiệp thuộc Bộ.
- Phân theo ngành kinh tế (cấp 2).
4. Kỳ công bố
Năm
5. Nguồn số liệu
- Chế độ báo cáo thống kê áp dụng đối với Tập đoàn, Tổng công ty, Công ty thuộc Bộ.
- Điều tra thống kê doanh nghiệp đối với ngành, lĩnh vực công nghiệp.
6. Cơ quan chịu trách nhiệm thu thập, tổng hợp
- Chủ trì: Vụ Kế hoạch.
- Phối hợp: Vụ Dầu khí và Than, Cục Công nghiệp, Cục Hóa chất.
0103. Giá trị sản xuất ngành sản xuất và phân phối điện, khí đốt, nước nóng, hơi nước, điều hòa không khí
1. Mục đích, ý nghĩa
Là chỉ tiêu tổng hợp, phản ánh kết quả sản xuất kinh doanh của công nghiệp sản xuất và phân phối điện, khí đốt, nước nóng, hơi nước, điều hòa không khí trong một thời kỳ nhất định. Giá trị sản xuất ngành sản xuất và phân phối điện, khí đốt, nước nóng, hơi nước, điều hòa không khí là cơ sở để đánh giá tình hình phát triển ngành công nghiệp sản xuất và phân phối điện, khí đốt, nước nóng, hơi nước, điều hòa không khí; đánh giá xu hướng chuyển dịch cơ cấu trong nội bộ ngành công nghiệp; đề ra các chiến lược, quy hoạch, kế hoạch phát triển ngành sản xuất và phân phối điện, khí đốt, nước nóng, hơi nước, điều hòa không khí.
2. Khái niệm, nội dung, phương pháp tính
Là toàn bộ giá trị sản phẩm vật chất và sản phẩm dịch vụ của ngành sản xuất và phân phối điện, khí đốt, nước nóng, hơi nước, điều hòa không khí thực hiện trong một thời kỳ nhất định.
Giá trị sản xuất ngành sản xuất và phân phối điện, khí đốt, nước nóng, hơi nước, điều hòa không khí gồm:
- Giá trị nguyên vật liệu, năng lượng, phụ tùng thay thế.
- Chi phí dịch vụ sản xuất và khấu hao tài sản cố định.
- Chi phí tiền lương, tiền công cho lao động.
- Thuế sản xuất, giá trị thặng dư tạo ra trong cấu thành giá trị sản phẩm.
Giá trị sản xuất ngành sản xuất và phân phối điện, khí đốt, nước nóng, hơi nước và điều hòa không khí được tính theo hai loại giá: Giá thực tế và giá so sánh.
a) Giá trị sản xuất ngành sản xuất và phân phối điện, khí đốt, nước nóng, hơi nước, điều hòa không khí theo giá thực tế
Giá trị sản xuất ngành sản xuất và phân phối điện, khí đốt, nước nóng, hơi nước, điều hòa không khí theo giá thực tế là toàn bộ giá trị sản phẩm do hoạt động sản xuất ngành sản xuất và phân phối điện, khí đốt, nước nóng, hơi nước, điều hòa không khí tạo ra tính theo giá tại thời kỳ tính giá trị sản xuất.
Phương pháp tính:
|
Giá trị sản xuất công nghiệp ngành sản xuất và phân phối điện, khí đốt, nước nóng, hơi nước, điều hòa không khí theo giá thực tế |
= |
Doanh thu thuần công nghiệp |
+ |
Các khoản trợ cấp của Nhà nước (nếu có) |
+ |
Thuế tiêu thụ phát sinh nộp ngân sách Nhà nước |
Trong đó:
Yếu tố 1: Doanh thu thuần công nghiệp
Là doanh thu tiêu thụ sản phẩm và dịch vụ công nghiệp của ngành sản xuất và phân phối điện, khí đốt, nước nóng, hơi nước, điều hòa không khí theo giá thực tế sau khi giảm trừ một số khoản như: Chiết khấu thương mại, giảm giá, giá trị hàng bán bị trả lại, thuế xuất khẩu, thuế giá trị gia tăng của doanh nghiệp công nghiệp nộp tính theo phương pháp trực tiếp phải nộp tương ứng với doanh thu được xác định trong kỳ (kể cả tiêu thụ trong nước và xuất khẩu) được sản xuất tại doanh nghiệp và các loại doanh thu khác được quy định tính cho sản xuất công nghiệp.
Yếu tố 2: Các khoản trợ cấp của Nhà nước (nếu có)
Khoản được Nhà nước trợ cấp từ ngân sách Nhà nước cho doanh nghiệp với mục đích trợ giá do Nhà nước quy định giá bán thấp (đối với hàng hóa, dịch vụ mang tính phục vụ công ích ở trong nước, hoặc bù lỗ cho các mặt hàng Nhà nước khuyến khích sản xuất để xuất khẩu). Thu về khoản này được tính bằng số thực tế phát sinh trong kỳ mà Nhà nước phải trợ cấp cho doanh nghiệp dù số tiền đó doanh nghiệp chưa nhận đủ.
Yếu tố 3: Thuế tiêu thụ phát sinh phải nộp ngân sách Nhà nước
Thuế tiêu thụ phát sinh phải nộp gồm các khoản thuế đánh vào sản phẩm và dịch vụ tiêu thụ, chỉ phát sinh khi có tiêu thụ sản phẩm và dịch vụ công nghiệp gồm: Thuế giá trị gia tăng hàng bán nội địa theo phương pháp trực tiếp và thuế giá trị gia tăng hàng bán nội địa theo phương pháp khấu trừ, thuế xuất khẩu. Cụ thể:
+ Đối với thuế giá trị gia tăng bán hàng nội địa theo phương pháp trực tiếp (không khấu trừ), thuế xuất khẩu là số thuế thực tế phát sinh phải nộp trong kỳ tương ứng với doanh thu được tính trong yếu tố “Doanh thu thuần công nghiệp”.
+ Đối với thuế giá trị gia tăng hàng bán nội địa tính theo phương pháp khấu trừ thì thuế giá trị gia tăng phát sinh phải nộp là số thuế giá trị gia tăng đầu ra trừ (-) thuế giá trị gia tăng đầu vào đã được khấu trừ trong kỳ.
b) Giá trị sản xuất ngành sản xuất và phân phối điện, khí đốt, nước nóng, hơi nước và điều hòa không khí theo giá so sánh
Giá trị sản xuất ngành sản xuất và phân phối điện, khí đốt, nước nóng, hơi nước và điều hòa không khí theo giá so sánh có nội dung tương tự như giá trị sản xuất theo giá thực tế, nhưng được tính trên cơ sở cố định giá của người sản xuất để làm gốc so sánh. Giá trị sản xuất công nghiệp ngành sản xuất và phân phối điện, khí đốt, nước nóng, hơi nước và điều hòa không khí theo giá so sánh được tính từ giá trị sản xuất theo giá thực tế và chỉ số giá sản xuất công nghiệp với công thức tính như sau:
|
Giá trị sản xuất ngành sản xuất và phân phối điện, khí đốt, nước nóng, hơi nước và điều hòa không khí |
= |
Giá trị sản xuất ngành sản xuất và phân phối điện, khí đốt, nước nóng, hơi nước và điều hòa không khí theo giá thực tế |
|
Chỉ số giá sản xuất ngành sản xuất và phân phối điện, khí đốt, nước nóng, hơi nước và điều hòa không khí |
3. Phân tổ chủ yếu
- Phân theo doanh nghiệp thuộc Bộ.
- Phân theo ngành kinh tế (cấp 2).
4. Kỳ công bố
Năm.
5. Nguồn số liệu
- Chế độ báo cáo thống kê áp dụng đối với Tập đoàn, Tổng công ty, Công ty thuộc Bộ.
- Điều tra thống kê doanh nghiệp đối với ngành, lĩnh vực công nghiệp.
6. Cơ quan chịu trách nhiệm thu thập, tổng hợp
- Chủ trì: Vụ Kế hoạch.
- Phối hợp: Vụ Tiết kiệm năng lượng và Phát triển bền vững, Cục Điều tiết Điện lực, Cục Điện lực và Năng lượng tái tạo.
0104. Sản lượng sản xuất sản phẩm công nghiệp
1. Mục đích, ý nghĩa
Chỉ tiêu phản ánh năng lực sản xuất thực tế và khả năng cung cấp cho thị trường những sản phẩm theo quy cách, đặc tính và chất lượng cụ thể. Nghiên cứu số liệu thống kê về sản lượng sản phẩm thời kỳ dài nhiều năm có thể đánh giá thế mạnh, ngành trọng tâm, trọng điểm của một quốc gia; đồng thời phục vụ việc xây dựng quy hoạch, kế hoạch phát triển công nghiệp hàng năm và nhiều năm. Đây cũng là chỉ tiêu quan trọng dùng để tính toán chỉ tiêu giá trị sản xuất, giá trị tăng thêm, sản lượng sản phẩm công nghiệp bình quân đầu người...
2. Khái niệm, nội dung, phương pháp tính
Sản lượng sản xuất sản phẩm công nghiệp là số lượng sản phẩm được ngành công nghiệp sản xuất ra trong một thời kỳ nhất định (tháng, quý, năm).
Chỉ tiêu này chủ yếu được tính cho sản phẩm là thành phẩm và theo đơn vị hiện vật hoặc hiện vật quy ước. Sản phẩm công nghiệp được ghi theo Danh mục Hệ thống ngành sản phẩm Việt Nam.
Danh mục sản phẩm công nghiệp chủ yếu được quy định căn cứ vào vị trí, vai trò của sản phẩm đối với tiêu dùng trong nước, xuất khẩu, nhu cầu dự trữ và đóng góp cho ngân sách. Danh mục này thay đổi theo từng thời kỳ phát triển kinh tế xã hội. Sản lượng của mỗi sản phẩm bao gồm thành phẩm (chính phẩm, thứ phẩm, phụ phẩm) và bán thành phẩm bán ra ngoài, trong đó:
- Thành phẩm: Là sản phẩm do hoạt động sản xuất công nghiệp của cơ sở tạo ra; không phân biệt sản phẩm đó được sản xuất từ nguyên vật liệu của cơ sở hay nguyên vật liệu của khách hàng đưa đến gia công. Những sản phẩm này đã làm xong thủ tục nhập kho thành phẩm trong kỳ, bao gồm:
+ Chính phẩm là những sản phẩm vật chất công nghiệp sản xuất ra đạt quy cách và phẩm chất đúng tiêu chuẩn kỹ thuật quy định.
+ Thứ phẩm là những sản phẩm vật chất công nghiệp sản xuất ra chưa đạt tiêu chuẩn quy cách và phẩm chất theo quy định nhưng vẫn có giá trị sử dụng và được tiêu thụ (thị trường chấp nhận).
+ Phụ phẩm (còn gọi là sản phẩm song song) là những sản phẩm vật chất được tạo ra trong quá trình sản xuất công nghiệp cùng với sản phẩm chính.
- Bán thành phẩm là sản phẩm do hoạt động sản xuất công nghiệp của cơ sở tạo ra, đã kết thúc giai đoạn sản xuất nhất định trong phạm vi một phân xưởng sản xuất (kết thúc một công đoạn trong toàn bộ công đoạn sản xuất sản phẩm), phù hợp với quy cách, đạt tiêu chuẩn kỹ thuật quy định của một giai đoạn sản xuất và còn được tiếp tục sản xuất chế biến trong phân xưởng sản xuất khác của cơ sở (một công đoạn tiếp tục của sản xuất sản phẩm). Bán thành phẩm của các cơ sở sản xuất được bán ra ngoài cũng được coi là thành phẩm công nghiệp.
Phương pháp tính:
Chỉ tiêu này bao gồm các sản phẩm được sản xuất trực tiếp bởi doanh nghiệp bằng nguyên vật liệu của doanh nghiệp và các sản phẩm nhận gia công cho các cơ sở kinh tế khác bằng nguyên vật liệu của các cơ sở kinh tế khác.
Chỉ tiêu thống kê sản lượng một số sản phẩm công nghiệp chỉ tính những sản phẩm là thành phẩm (gồm cả chính phẩm, thứ phẩm, phụ phẩm) và những bán thành phẩm bán ra ngoài, không gồm sản phẩm dở dang trừ một số sản phẩm có chu kỳ sản xuất kéo dài được quy định riêng.
3. Phân tổ chủ yếu
- Phân theo loại sản phẩm.
- Phân theo doanh nghiệp thuộc Bộ.
4. Kỳ công bố
- Tháng.
- Năm.
5. Nguồn số liệu
- Chế độ báo cáo thống kê áp dụng đối với Tập đoàn, Tổng công ty, Công ty thuộc Bộ.
- Chế độ báo cáo thống kê áp dụng đối với Sở Công Thương các tỉnh, thành phố trực thuộc Trung ương.
- Điều tra thống kê doanh nghiệp đối với ngành, lĩnh vực công nghiệp.
6. Cơ quan chịu trách nhiệm thu thập, tổng hợp
- Chủ trì: Vụ Kế hoạch.
- Phối hợp: Vụ Dầu khí và Than, Vụ Tiết kiệm năng lượng và Phát triển bền vững, Cục Điều tiết Điện lực, Cục Điện lực và Năng lượng tái tạo, Cục Công nghiệp, Cục Hóa chất.
0105. Số lượng tiêu thụ sản phẩm công nghiệp
1. Mục đích, ý nghĩa
Số lượng tiêu thụ sản phẩm công nghiệp phản ánh thực trạng và tình hình biến động của sản phẩm trong ngành công nghiệp. Thống kê số lượng tiêu thụ sản phẩm công nghiệp giúp cho việc nghiên cứu, phân tích chu kỳ tiêu thụ, tác động của các yếu tố tới tiêu thụ sản phẩm (theo thời vụ, theo nhu cầu, sở thích...). Xác định số lượng sản phẩm công nghiệp tiêu thụ trong kỳ giúp cho việc lập kế hoạch và lập biện pháp điều chỉnh sản xuất và tiêu thụ nhằm đảm bảo ổn định quan hệ cung cầu, nâng cao hiệu quả hoạt động sản xuất kinh doanh của các doanh nghiệp ngành công nghiệp.
2. Khái niệm, nội dung, phương pháp tính
Số lượng tiêu thụ sản phẩm công nghiệp là số lượng sản phẩm được xuất kho để tiêu thụ ra bên ngoài doanh nghiệp trong một thời kỳ nhất định.
Số lượng tiêu thụ sản phẩm công nghiệp trong ngành công nghiệp là chỉ tiêu thống kê thời điểm, phản ánh số lượng sản phẩm sản xuất ra đã được tiêu thụ tới người tiêu dùng cuối cùng hoặc các nhà sản xuất (đối với sản phẩm là nguyên nhiên vật liệu đầu vào cho các ngành công nghiệp khác, đặc biệt là trong ngành công nghiệp chế biến, chế tạo ví dụ như sản phẩm than, dầu, khí... là thành phẩm của ngành công nghiệp khai khoáng nhưng lại là nguyên, nhiên, vật liệu của ngành công nghiệp chế biến, chế tạo và ngành năng lượng). Số lượng tiêu thụ sản phẩm công nghiệp trong ngành công nghiệp khai khoáng và ngành công nghiệp chế biến, chế tạo được xác định là sản phẩm (thành phẩm) đã tới người tiêu dùng cuối cùng và tới nhà sản xuất sử dụng sản phẩm đó làm tư liệu sản xuất hoặc là sản phẩm đang trên đường tới người tiêu dùng, cơ sở doanh nghiệp sản xuất.
Sản phẩm công nghiệp được ghi theo Danh mục Hệ thống ngành sản phẩm Việt Nam.
Phương pháp tính:
Số lượng tiêu thụ sản phẩm công nghiệp là những sản phẩm là thành phẩm tiêu thụ (gồm cả chính phẩm, thứ phẩm, phụ phẩm) và không gồm sản phẩm dở dang trừ một số sản phẩm có chu kỳ sản xuất kéo dài được qui định riêng.
Việc xác định tiêu thụ sản phẩm công nghiệp dựa vào sổ ghi chép xuất kho của cơ sở/doanh nghiệp sản xuất ra sản phẩm đó. Tuy nhiên, trong thống kê, để tính đúng, tính đủ sản phẩm tiêu thụ không nhất thiết phải theo chuẩn mực kế toán là sản phẩm đã xuất kho và có hóa đơn bán hàng.
Xuất kho tiêu thụ ra bên ngoài doanh nghiệp bao gồm: Xuất bán cho các cơ sở kinh tế khác ngoài doanh nghiệp, xuất làm quà biếu, quà tặng, xuất kho gửi đi tham gia hội chợ triển lãm, xuất cho các bộ phận khác ngoài hoạt động sản xuất công nghiệp của doanh nghiệp nhưng có hạch toán riêng (như cửa hàng giới thiệu sản phẩm, nhà trẻ, mẫu giáo...).
Chỉ tiêu này chỉ tính khối lượng sản phẩm xuất kho từ sản phẩm do cơ sở trực tiếp sản xuất (không gồm xuất kho của những sản phẩm do cơ sở đem nguyên vật liệu đi gia công ở các cơ sở kinh tế khác).
Lưu ý: Khối lượng sản phẩm xuất kho không bao gồm khối lượng sản phẩm được xuất kho để tiếp tục chế biến trong dây chuyền sản xuất của doanh nghiệp.
3. Phân tổ chủ yếu
- Phân theo loại sản phẩm.
- Phân theo doanh nghiệp thuộc Bộ.
4. Kỳ công bố
- Tháng.
- Năm.
5. Nguồn số liệu
- Chế độ báo cáo thống kê áp dụng đối với Tập đoàn, Tổng công ty, Công ty thuộc Bộ.
- Điều tra thống kê doanh nghiệp đối với ngành, lĩnh vực công nghiệp.
6. Cơ quan chịu trách nhiệm thu thập, tổng hợp
- Chủ trì: Vụ Kế hoạch.
- Phối hợp: Vụ Dầu khí và Than, Vụ Tiết kiệm năng lượng và Phát triển bền vững, Cục Điều tiết Điện lực, Cục Điện lực và Năng lượng tái tạo, Cục Công nghiệp, Cục Hóa chất.
0106. Số lượng tồn kho sản phẩm công nghiệp
1. Mục đích, ý nghĩa
Số lượng tồn kho sản phẩm công nghiệp phản ánh thực trạng và tình hình biến động sản phẩm của ngành công nghiệp còn lại trong kho/cơ sở/doanh nghiệp (riêng ngành sản xuất, phân phối điện, nước gần như không có tồn kho). Thống kê số lượng tồn kho sản phẩm công nghiệp giúp cho việc nghiên cứu phân tích chu kỳ tồn kho, tác động của tồn kho đến sản xuất sản phẩm của ngành này, từ đó có kế hoạch và biện pháp điều chỉnh sản xuất và tiêu thụ nhằm đảm bảo ổn định quan hệ cung cầu, nâng cao hiệu quả hoạt động sản xuất kinh doanh của các doanh nghiệp ngành công nghiệp.
2. Khái niệm, nội dung, phương pháp tính
Số lượng tồn kho sản phẩm công nghiệp là khối lượng những sản phẩm tồn kho và những sản phẩm gửi bán nhưng chưa bán được tại thời điểm đầu tháng báo cáo.
Số lượng tồn kho sản phẩm công nghiệp là chỉ tiêu thống kê thời điểm, phản ánh số lượng sản phẩm sản xuất ra chưa đưa đi tiêu thụ. Số lượng tồn kho sản phẩm công nghiệp được xác định dưới 2 dạng chủ yếu là tồn kho trong sản xuất và tồn kho trong lưu thông.
Sản phẩm công nghiệp chủ yếu được ghi theo Danh mục Hệ thống ngành sản phẩm Việt Nam.
Phương pháp tính:
Số lượng tồn kho sản phẩm công nghiệp chỉ tính những sản phẩm là thành phẩm tồn kho (gồm cả chính phẩm, thứ phẩm, phụ phẩm) và không gồm sản phẩm dở dang trừ một số sản phẩm có chu kỳ sản xuất kéo dài được quy định riêng.
|
Tồn kho sản phẩm |
= |
Tồn kho sản phẩm trong sản xuất |
+ |
Tồn kho sản phẩm trong lưu thông |
Trong đó:
- Tồn kho sản phẩm công nghiệp trong sản xuất được xác định là số sản phẩm (thành phẩm) tồn kho thực tế ở thời điểm báo cáo tại các kho bãi (ở cùng địa bàn với cơ sở, doanh nghiệp sản xuất sản phẩm) của các cơ sở, doanh nghiệp sản xuất ra sản phẩm đó.
- Tồn kho sản phẩm công nghiệp trong lưu thông là số sản phẩm (thành phẩm) tồn kho thực tế ở thời điểm báo cáo tại các chi nhánh, đại lý, cửa hàng phân phối sản phẩm, kho bãi của doanh nghiệp (các chi nhánh, đại lý, cửa hàng phân phối sản phẩm, kho bãi này thuộc cơ sở, doanh nghiệp quản lý sản xuất ra sản phẩm theo dõi nhưng ở khác địa bàn cùng với cơ sở doanh nghiệp trực tiếp sản xuất ra sản phẩm).
3. Phân tổ chủ yếu
- Phân theo loại sản phẩm.
- Phân theo doanh nghiệp thuộc Bộ.
4. Kỳ công bố
- Tháng.
- Năm.
5. Nguồn số liệu
- Chế độ báo cáo thống kê áp dụng đối với Tập đoàn, Tổng công ty, Công ty thuộc Bộ.
- Chế độ báo cáo thống kê áp dụng đối với Sở Công Thương các tỉnh, thành phố trực thuộc Trung ương.
- Điều tra thống kê doanh nghiệp đối với ngành, lĩnh vực công nghiệp.
6. Cơ quan chịu trách nhiệm thu thập, tổng hợp
- Chủ trì: Vụ Kế hoạch.
- Phối hợp: Vụ Dầu khí và Than, Cục Công nghiệp, Cục Hóa chất.
0107. Năng lực sản xuất của sản phẩm công nghiệp
1. Mục đích, ý nghĩa
Chỉ tiêu năng lực sản xuất của sản phẩm công nghiệp phản ánh khả năng sản xuất và thực tế sản xuất của sản phẩm công nghiệp làm căn cứ để xây dựng quy hoạch, kế hoạch, chính sách phát triển sản xuất ngắn hạn, dài hạn của sản phẩm nhằm bảo đảm cân đối giữa sản xuất, tiêu dùng và xuất nhập khẩu.
Năng lực sản xuất của sản phẩm công nghiệp là cơ sở quan trọng để tổng hợp, đánh giá năng lực sản xuất của toàn bộ nền kinh tế.
2. Khái niệm, nội dung, phương pháp tính
Năng lực sản xuất của sản phẩm công nghiệp là khối lượng sản phẩm công nghiệp có thể sản xuất ra trong một thời kỳ nhất định.
Năng lực sản xuất của sản phẩm thường được thể hiện ở sản phẩm cuối cùng của thiết bị máy móc, dây chuyền sản xuất và biểu hiện bằng khối lượng thành phẩm được sản xuất ra theo thiết kế hoặc theo thực tế.
Phương pháp tính: Thống kê cộng dồn.
a) Năng lực sản xuất theo thiết kế
Năng lực sản xuất theo thiết kế là khả năng sản xuất cao nhất của thiết bị máy móc hoặc dây chuyền sản xuất hiện có trong điều kiện sử dụng đầy đủ và hợp lý nhất các tư liệu sản xuất, áp dụng các quy trình công nghệ tiên tiến với việc tổ chức sản xuất và lao động theo hình thức tiến bộ trên cơ sở công suất thiết kế của máy móc thiết bị hiện có của doanh nghiệp.
Khi tính năng lực sản xuất theo thiết kế phải căn cứ vào hồ sơ hoặc lý lịch của thiết bị máy móc và dây chuyền sản xuất khi mua hoặc xây dựng, trong đó có ghi công suất sản xuất theo thiết kế. Trường hợp thiết bị máy móc và dây chuyền sản xuất được nâng cấp mở rộng làm tăng thêm năng lực sản xuất, thì năng lực sản xuất theo thiết kế là năng lực sản xuất sau khi đã được mở rộng (gồm năng lực sản xuất theo thiết kế ban đầu cộng (+) năng lực sản xuất theo thiết kế tăng thêm do đầu tư nâng cấp mở rộng).
b) Sản lượng sản xuất thực tế
Sản lượng sản xuất thực tế là khối lượng sản phẩm thực tế đã sản xuất trong kỳ trên cơ sở điều kiện thực tế hiện có về máy móc, thiết bị; nguồn nhân lực; nguồn tài chính và nguồn lực khác.
Khi tính chỉ tiêu này phải căn cứ vào số lượng sản phẩm hiện vật thực tế đã sản xuất ra của thiết bị máy móc hoặc dây chuyền sản xuất ở các cơ sở trong một thời gian nhất định (cùng thời gian của năng lực sản xuất theo thiết kế quy định).
3. Phân tổ chủ yếu
- Phân theo vùng kinh tế - xã hội.
- Phân theo tỉnh/thành phố.
- Phân theo ngành kinh tế.
- Phân theo loại hình kinh tế.
- Phân theo sản phẩm.
- Phân theo doanh nghiệp.
4. Kỳ công bố
Hai (02) năm.
5. Nguồn số liệu
- Chế độ báo cáo thống kê áp dụng đối với Tập đoàn, Tổng công ty, Công ty thuộc Bộ.
- Chương trình điều tra thống kê quốc gia.
6. Cơ quan chịu trách nhiệm thu thập, tổng hợp
- Chủ trì: Vụ Kế hoạch.
- Phối hợp: Vụ Dầu khí và Than, Vụ Tiết kiệm năng lượng và Phát triển bền vững, Cục Điều tiết Điện lực, Cục Điện lực và Năng lượng tái tạo, Cục Công nghiệp, Cục Hóa chất; Sở Công Thương các tỉnh, thành phố trực thuộc Trung ương; doanh nghiệp ngành Công Thương.
0108. Công suất lắp đặt và sản lượng điện từ năng lượng mặt trời
1. Mục đích, ý nghĩa
Năng lượng mặt trời là nguồn năng lượng có vai trò quan trọng trong các nguồn năng lượng tái tạo hiện nay. Vì vậy, việc tính toán công suất năng lượng mặt trời nhằm mục đích đánh giá tỷ lệ các nguồn năng lượng mới và tái tạo trong tổng nguồn cung cấp và sử dụng năng lượng của quốc gia để có chiến lược phát triển các nguồn năng lượng của quốc gia cho phù hợp với xu thế chung của thế giới đảm bảo phát triển các nguồn năng lượng gắn với giữ gìn môi trường sinh thái, bảo đảm thực hiện phát triển năng lượng bền vững.
2. Khái niệm, nội dung, phương pháp tính
Sản lượng điện từ năng lượng mặt trời là sản lượng điện sản xuất ra từ nguồn năng lượng mặt trời được tính trên đồng hồ đo sản lượng tại nơi sản xuất chuyển qua cho bên tiêu thụ trong một thời kỳ nhất định.
Năng lượng mặt trời là ánh sáng và bức xạ nhiệt từ mặt trời, đã được con người khai thác từ xưa bằng cách sử dụng một loạt các công nghệ và ngày càng phát triển cao hơn.
Các ứng dụng năng lượng mặt trời gồm: Nước nóng năng lượng mặt trời, chiếu sáng, năng lượng mặt trời nấu ăn, nước sạch thông qua chưng cất và tẩy uế, điện năng lượng mặt trời, không gian sưởi ấm và làm mát thông qua kiến trúc năng lượng mặt trời, quá trình tích nhiệt độ cao cho mục đích công nghiệp, điện năng lượng mặt trời dựa trên các động cơ nhiệt và tế bào quang điện.
Phương pháp tính:
Thu năng lượng mặt trời, cách phổ biến nhất là sử dụng tấm panel. Công nghệ năng lượng mặt trời được phổ biến một trong hai cách thụ động và chủ động tùy thuộc vào cách thu, chuyển đổi và phân phối năng lượng mặt trời.
Kỹ thuật năng lượng mặt trời chủ động bao gồm việc sử dụng các tấm panel thu quang điện và thu nhiệt năng lượng mặt trời. Hoạt động công nghệ làm tăng nguồn cung cấp năng lượng gọi là công nghệ nguồn cung. Kỹ thuật năng lượng mặt trời thụ động bao gồm định hướng một tòa nhà với Mặt Trời, lựa chọn vật liệu với khối lượng nhiệt thuận lợi, hiệu ứng phân tán ánh sáng và thiết kế không gian tự nhiên lưu thông không khí. Công nghệ thụ động làm giảm nhu cầu năng lượng gọi là công nghệ phía cầu.
Trong phạm vi chỉ tiêu này chỉ tính đến nguồn năng lượng mặt trời đã được dùng để sản xuất ra điện hay chỉ tính sản lượng điện sản xuất được từ nguồn năng lượng mặt trời.
Trong sản xuất điện, có thể khai thác điện mặt trời cho các khu vực sau:
- Khu vực ngoài lưới tại những nơi sử dụng năng lượng mặt trời có hiệu quả hơn (vùng sâu, vùng xa, hải đảo) so với các phương án cấp điện khác (diezel hoặc kéo lưới).
- Trình diễn cho hệ thống đèn giao thông, khuyến khích các hộ gia đình, công sở tự nguyện lắp đặt và sử dụng theo cơ chế trao đổi điện năng.
Công suất điện năng lượng mặt trời là khả năng sản xuất điện của nhà máy trên cơ sở công suất lắp đặt của nhà máy. Vì vậy, đơn vị tính cũng được sử dụng đơn vị như các nguồn điện khác là: W hoặc bội số của W là kW và MW.
Sản lượng điện là lượng điện được sản xuất trong thời gian nhất định được tính theo kWh. Sản lượng điện được tính trên đồng hồ đo sản lượng tại nơi sản xuất chuyển qua cho tiêu thụ.
Điện sản xuất được đo đếm ở đầu máy phát của từng tổ máy qua đồng hồ tổng của nhà máy đã tách riêng phần điện tự dùng và tổn thất trên máy biến áp số còn lại chính là điện tiêu thụ.
3. Phân tổ chủ yếu
- Phân theo công suất
- Phân theo doanh nghiệp thuộc Bộ.
4. Kỳ công bố
Năm.
5. Nguồn số liệu
Điều tra thống kê đối với doanh nghiệp, cơ sở cá thể, hộ gia đình có sản xuất điện từ nguồn năng lượng mặt trời.
6. Cơ quan chịu trách nhiệm thu thập, tổng hợp
- Chủ trì: Cục Điều tiết Điện lực.
- Phối hợp: Cục Điện lực và Năng lượng tái tạo; Vụ Kế hoạch.
0109. Công suất lắp đặt và sản lượng điện từ năng lượng gió
1. Mục đích, ý nghĩa
Việt Nam được đánh giá là quốc gia có tiềm năng năng lượng gió khá tốt. Vì vậy, việc tính toán công suất năng lượng gió có ý nghĩa quan trọng nhằm mục đích đánh giá tỷ lệ các nguồn năng lượng mới và tái tạo trong tổng nguồn cung cấp và sử dụng năng lượng của quốc gia để có chiến lược phát triển các nguồn năng lượng của quốc gia cho phù hợp với xu thế chung của thế giới, đảm bảo phát triển các nguồn năng lượng gắn với gìn giữ môi trường sinh thái, bảo đảm thực hiện phát triển năng lượng bền vững.
2. Khái niệm, nội dung, phương pháp tính
Công suất lắp đặt và sản lượng điện từ năng lượng gió là sản lượng điện sản xuất ra từ nguồn năng lượng gió được tính trên đồng hồ đo sản lượng tại nơi sản xuất chuyển qua cho bên tiêu thụ trong một thời kỳ nhất định.
Năng lượng gió là động năng của không khí di chuyển trong bầu khí quyển Trái Đất. Năng lượng gió là một hình thức gián tiếp của năng lượng mặt trời. Sử dụng năng lượng gió là một trong các cách lấy năng lượng xa xưa nhất từ môi trường tự nhiên và đã được biết đến từ thời kỳ cổ đại.
Năng lượng gió mô tả quá trình mà gió đã được sử dụng để tạo ra năng lượng cơ học hoặc điện. Tua bin gió chuyển đổi năng lượng động lực trong gió thành Năng lượng cơ học. Năng lượng cơ học này có thể được sử dụng cho các nhiệm vụ cụ thể (chẳng hạn như xay ngũ cốc hoặc bơm nước) hoặc một máy phát điện có thể chuyển đổi năng lượng cơ học thành điện, nhà máy điện.
Gió là một dạng của năng lượng mặt trời, do sưởi ấm không đồng đều của bầu khí quyển của mặt trời, các bất thường của bề mặt trái đất, và vòng quay của trái đất. Mô hình dòng chảy gió được sửa đổi bởi địa hình của trái đất, sông nước, và độ che phủ thực vật. Năng lượng gió dòng chảy này, hoặc chuyển động có thể được sử dụng khi qua tua-bin gió hiện đại, để tạo ra điện.
Phương pháp tính
Trong phạm vi chỉ tiêu này chỉ tính đến nguồn năng lượng gió được dùng cho phát điện hay chỉ tính sản lượng điện được sản xuất được từ nguồn năng gió mà thôi.
Công suất điện năng lượng gió là khả năng sản xuất điện của nhà máy nên đơn vị tính cũng được sử dụng như các nguồn điện khác là: W hoặc bội số của W là KW và MW.
Sản lượng điện là lượng điện được sản xuất trong thời gian nhất định được tính theo kWh. Sản lượng điện được tính trên đồng hồ đo sản lượng tại nơi sản xuất chuyển qua cho tiêu thụ.
Điện sản xuất được đo đếm ở đầu máy phát của từng tổ máy qua đồng hồ tổng của nhà máy đã tách riêng phần điện tự dùng và tổn thất trên máy biến áp số còn lại chính là điện tiêu thụ.
3. Phân tổ chủ yếu
- Phân theo công suất.
- Phân theo doanh nghiệp thuộc Bộ.
4. Kỳ công bố
Năm.
5. Nguồn số liệu
- Điều tra thống kê đối với doanh nghiệp, cơ sở cá thể có sản xuất điện từ nguồn năng lượng gió.
6. Cơ quan chịu trách nhiệm thu thập, tổng hợp
- Chủ trì: Cục Điều tiết Điện lực.
- Phối hợp: Cục Điện lực và Năng lượng tái tạo; Vụ Kế hoạch.
0110. Công suất lắp đặt và sản lượng điện từ năng lượng thủy triều
1. Mục đích, ý nghĩa
Năng lượng thủy triều là nguồn năng lượng sạch trong số nguồn năng tái tạo hiện nay. Vì vậy việc tính toán công suất năng lượng thủy triều có ý nghĩa quan trọng nhằm mục đích đánh giá tỷ lệ các nguồn năng lượng mới và tái tạo trong tổng nguồn cung cấp và sử dụng năng lượng của quốc gia để có chiến lược phát triển các nguồn năng lượng của quốc gia cho phù hợp với xu thế chung của thế giới đảm bảo phát triển các nguồn năng lượng gắn với giữ gìn môi trường sinh thái, bảo đảm thực hiện phát triển năng lượng bền vững.
2. Khái niệm, nội dung, phương pháp tính
Công suất lắp đặt và sản lượng điện từ năng lượng thủy triều là sản lượng điện sản xuất ra từ nguồn năng lượng thủy triều được tính trên đồng hồ đo sản lượng tại nơi sản xuất chuyển qua cho bên tiêu thụ trong một thời kỳ nhất định.
Điện thủy triều được khai thác từ sự thay đổi của thủy triều lên xuống hàng ngày. Lợi dụng dòng thủy triều người ta sẽ lắp đặt hệ thống thiết bị sản xuất điện.
Hiện nay có 2 loại công nghệ khai thác được áp dụng tại các nước trên thế giới để khai thác hiệu quả nguồn năng lượng này là khai thác dựa vào động năng dòng chảy thủy triều và khai thác dựa vào thế năng của thủy triều.
Với công nghệ khai thác dựa vào thế năng của thủy triều, người ta phải xây dựng hồ chứa và lợi dụng quy luật triều lên xuống để tạo ra sự chênh lệch cột nước tĩnh của khối lượng nước trong hồ và ngoài biển hoặc ngược lại. Khi đó sử dụng các tuabin nước để phát điện. Công nghệ này có ưu điểm là làm giảm được tính không ổn định của năng lượng thủy triều, tuy nhiên lại gặp khó khăn khi phải xây đập để tạo nên các hồ chứa tại các vùng biển thường có điều kiện địa hình phức tạp.
Hiện nay một số nơi trên thế giới đã triển khai hệ thống máy phát điện sử dụng năng lượng thủy triều.
Phương pháp tính:
Công suất điện năng lượng thủy triều là khả năng sản xuất điện của nhà máy vì vậy đơn vị tính cũng được sử dụng đơn vị như các nguồn điện khác là: W hoặc bội số của W là KW và MW.
Sản lượng điện là lượng điện được sản xuất trong thời gian nhất định được tính theo kWh. Sản lượng điện được tính trên đồng hồ đo sản lượng tại nơi sản xuất chuyển qua cho tiêu thụ.
Điện sản xuất được đo đếm ở đầu máy phát của từng tổ máy qua đồng hồ tổng của nhà máy đã tách riêng phần điện tự dùng và tổn thất trên máy biến áp số còn lại chính là điện tiêu thụ.
3. Phân tổ chủ yếu
- Phân theo công suất.
- Phân theo doanh nghiệp thuộc Bộ.
4. Kỳ công bố
Năm.
5. Nguồn số liệu
Điều tra thống kê đối với doanh nghiệp, cơ sở cá thể có sản xuất điện từ nguồn năng lượng thủy triều/sóng biển.
6. Cơ quan chịu trách nhiệm thu thập, tổng hợp
- Chủ trì: Cục Điều tiết Điện lực.
- Phối hợp: Cục Điện lực và Năng lượng tái tạo; Vụ Kế hoạch.
0111. Công suất của các trạm biến áp, chiều dài đường dây của lưới điện
1. Mục đích, ý nghĩa
Quy mô lưới điện Việt Nam đã và đang ngày càng được phát triển về quy mô và phạm vi cấp điện. Việc thống kê công suất của các trạm biến áp, chiều dài đường dây của lưới điện 500kV, 220kV, 110kV, 35kV, 22kV, 10kV, 6kV, 0,4kV có thể cho thấy năng lực cấp điện của hạ tầng lưới điện hiện hữu.
2. Khái niệm, nội dung, phương pháp tính
Công suất của các trạm biến áp là công suất định mức của từng máy biến áp (công suất biểu kiến thứ cấp ở chế độ làm việc định mức).
Phương pháp tính:
Công suất định mức kí hiệu là SđM, Đơn vị là kVA.
Chiều dài đường dây của lưới điện được xác định theo từng cấp điện áp 500kV, 220kV, 110kV, 35kV, 22kV, 10kV, 6kV, 0,4kV.
Đơn vị tính: kWh.
3. Phân tổ chủ yếu
- Phân theo công suất.
- Phân theo chiều dài đường dây.
4. Kỳ công bố
Năm
5. Nguồn số liệu
Điều tra thống kê đối với doanh nghiệp truyền tải, phân phối và bán lẻ điện.
6. Cơ quan chịu trách nhiệm thu thập, tổng hợp
- Chủ trì: Cục Điều tiết Điện lực.
- Phối hợp: Vụ Kế hoạch.
0112. Tiêu thụ năng lượng
1. Mục đích, ý nghĩa
Là chỉ tiêu phản ánh mức độ sử dụng năng lượng cho ngành, lĩnh vực và cho tiêu dùng cuối cùng của hộ gia đình.
2. Khái niệm, nội dung, phương pháp tính
Tiêu thụ năng lượng là lượng năng lượng được sử dụng trong ngành, lĩnh vực hoặc lượng năng lượng tiêu dùng của hộ gia đình trong một thời kỳ nhất định.
Riêng ngành Giao thông vận tải (mã ngành H): Không bao gồm tiêu dùng năng lượng cho ngành hàng hải quốc tế (mã ngành 501); không bao gồm tiêu dùng năng lượng cho ngành hàng không quốc tế (mã ngành 511 và 512 - có phân tổ quốc tế).
Phương pháp tính:
Tổng tiêu thụ năng lượng = Lượng tiêu thụ năng lượng của ngành, lĩnh vực + Lượng tiêu dùng năng lượng của hộ gia đình.
Đơn vị tính: KTOE
3. Phân tổ chủ yếu
- Theo ngành kinh tế, lĩnh vực.
- Theo đối tượng sử dụng.
- Theo loại năng lượng.
4. Kỳ công bố
Năm kế tiếp (năm sau năm báo cáo).
5. Nguồn số liệu
- Bảng cân bằng năng lượng hàng năm do Vụ Tiết kiệm năng lượng và Phát triển bền vững kết hợp với các đơn vị khác lập.
- Các cuộc điều tra thống kê ngành, lĩnh vực Công Thương; Điều tra doanh nghiệp; Điều tra cơ sở sản xuất kinh doanh; các cuộc điều tra hộ gia đình.
6. Cơ quan chịu trách nhiệm thu thập, tổng hợp
- Chủ trì: Vụ Tiết kiệm năng lượng và Phát triển bền vững
- Phối hợp: Cục Điện lực và Năng lượng tái tạo, Viện Năng lượng.
0113. Suất tiêu hao năng lượng theo sản phẩm
1. Mục đích, ý nghĩa
Suất tiêu hao năng lượng phản ánh lượng điện tiêu thụ tại khu vực sản xuất trong thời gian xác định suất tiêu hao năng lượng.
2. Khái niệm, nội dung, phương pháp tính
Suất tiêu hao năng lượng (SEC) là tổng mức năng lượng tiêu hao để sản xuất ra một đơn vị khối lượng sản phẩm hoặc thể tích sản phẩm.
Suất tiêu hao năng lượng được xác định cụ thể theo ngành. Hiện nay đã có quy định về định mức tiêu hao năng lượng ngành thép, bia nước giải khát, nhựa, giấy, chế biến thủy sản, đường mía.
Phương pháp tính:
Xác định suất tiêu hao năng lượng thực tế của cơ sở theo phương pháp tính được quy định về định mức tiêu hao năng lượng tại các văn bản sau:
- Thông tư số 20/2016/TT-BCT quy định định mức tiêu hao năng lượng trong ngành công nghiệp thép.
- Thông tư số 38/2016/TT-BCT quy định định mức tiêu hao năng lượng trong ngành nhựa.
- Thông tư số 19/2016/TT-BCT quy định định mức tiêu hao năng lượng trong ngành công nghiệp sản xuất bia và nước giải khát.
- Thông tư số 14/2017/TT-BCT quy định định mức tiêu hao năng lượng trong ngành sản xuất giấy.
- Thông tư 52/2018/TT-BCT quy định Quy định định mức tiêu hao năng lượng trong ngành công nghiệp chế biến thủy sản, áp dụng cho quá trình chế biến công nghiệp của các nhóm sản phẩm cá da trơn và tôm.
- Thông tư số 39/2019/TT-BCT quy định định mức tiêu hao năng lượng trong ngành công nghiệp sản xuất đường mía.
Đơn vị tính: Đơn vị tính được quy định cụ thể theo ngành tại các văn bản trên.
3. Phân tổ chủ yếu
- Theo tỉnh, thành phố.
- Theo ngành, lĩnh vực.
4. Kỳ công bố
Ngày 30 tháng 9 năm sau.
5. Nguồn số liệu
- Báo cáo của Sở Công Thương các tỉnh, thành phố trực thuộc Trung ương.
- Báo cáo của doanh nghiệp.
6. Cơ quan chịu trách nhiệm thu thập, tổng hợp
Chủ trì: Vụ Tiết kiệm năng lượng và phát triển bền vững.
0114. Mức tiêu hao và tăng/giảm mức tiêu hao năng lượng cho sản xuất so với tổng sản phẩm trong nước
1. Khái niệm, phương pháp tính
Mức tiêu hao năng lượng là chỉ tiêu tổng hợp cho biết để tạo ra một đồng tổng sản phẩm trong nước (GDP) thì cần sử dụng bao nhiêu năng lượng cho sản xuất.
Tăng/giảm mức tiêu hao năng lượng cho sản xuất so với tổng sản phẩm trong nước phản ánh kết quả của việc đổi mới công nghệ, đổi mới quy trình sản xuất và áp dụng các sáng kiến cải tiến kỹ thuật để giảm mức tiêu hao năng lượng trong sản xuất kinh doanh. Tăng/giảm mức tiêu hao năng lượng còn do sự thay đổi cấu trúc nền kinh tế, có thể giảm mức tiêu hao năng lượng so với GDP bằng cách hạn chế các ngành, hoạt động tiêu tốn nhiều năng lượng và phát triển các ngành, hoạt động ít tiêu hao năng lượng hơn.
Năng lượng dùng cho sản xuất gồm: Xăng, dầu, khí, than, điện,...
Năng lượng được tính theo đơn vị quy đổi ra đầu tương đương (KTOE)
Phương pháp tính:
|
Mức tiêu hao năng lượng cho sản xuất so với GDP |
= |
Năng lượng sử dụng cho sản xuất (KTOE) |
|
GDP (tỷ đồng) |
|
Tăng/giảm mức tiêu hao năng lượng cho sản xuất so với GDP |
= |
Mức tiêu hao năng lượng cho sản xuất so với GDP năm báo cáo |
- |
Mức tiêu hao năng lượng cho sản xuất so với GDP năm trước năm báo cáo |
- Đối với từng ngành hoặc nhóm ngành, chỉ tiêu GDP được thay thế bằng chỉ tiêu giá trị tăng thêm của ngành đó.
2. Phân tổ chủ yếu
Ngành kinh tế.
3. Kỳ công bố
Năm.
4. Nguồn số liệu
- Kết quả các cuộc điều tra trong Chương trình điều tra thống kê quốc gia.
- Dữ liệu hành chính.
- Chế độ báo cáo thống kê cấp quốc gia.
5. Cơ quan chịu trách nhiệm thu thập, tổng hợp:
- Chủ trì: Vụ Kế hoạch.
- Phối hợp: Vụ Tiết kiệm Năng lượng và Phát triển bền vững.
0115. Cường độ năng lượng sơ cấp trên tổng sản phẩm trong nước
1. Mục đích, ý nghĩa
Là chỉ tiêu tổng thể phản ánh quy mô của hệ thống năng lượng trên một đơn vị của tổng sản phẩm trong nước, có ý nghĩa so sánh với các quốc gia khác.
Cường độ năng lượng càng thấp chứng tỏ việc tiêu thụ năng lượng để sản xuất ra một đơn vị giá trị gia tăng giảm, nghĩa là hiệu quả sử dụng năng lượng đã tăng lên.
2. Khái niệm, nội dung, phương pháp tính
Cường độ năng lượng sơ cấp là mức tiêu hao năng lượng để làm ra một đơn vị giá trị gia tăng tính bằng tiền. Cường độ năng lượng sơ cấp trên tổng sản phẩm trong nước bằng tổng nguồn cung năng lượng sơ cấp chia cho tổng sản phẩm trong nước.
Năng lượng sơ cấp là một dạng năng lượng được tìm thấy trong tự nhiên (như dầu mỏ, khí thiên nhiên, than,...) hoặc chứa trong nhiên liệu thô và các dạng năng lượng khác, bao gồm cả chất thải.
Chỉ tiêu này phản ánh quy mô của hệ thống năng lượng quốc gia.
Phương pháp tính:
|
Cường độ năng lượng sơ cấp trên tổng sản phẩm trong nước |
= |
Tổng cung năng lượng sơ cấp |
|
Tổng sản phẩm trong nước (theo giá so sánh) |
- Đơn vị tính: kgOE/1,000USD
3. Phân tổ chủ yếu
- Nguồn năng lượng.
- Loại năng lượng.
4. Kỳ công bố
Năm kế tiếp (năm sau năm báo cáo).
5. Nguồn số liệu
- Bảng cân bằng năng lượng hàng năm do Vụ Tiết kiệm năng lượng và Phát triển bền vững kết hợp với các đơn vị khác lập.
- Tổng sản phẩm trong nước do Tổng cục Thống kê công bố hàng năm.
6. Cơ quan chịu trách nhiệm thu thập, tổng hợp
- Chủ trì: Vụ Tiết kiệm năng lượng và Phát triển bền vững
- Phối hợp: Vụ Kế hoạch.
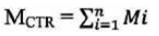
0116. Cân đối một số sản phẩm công nghiệp chủ yếu
1. Mục đích, ý nghĩa
Cân đối một số sản phẩm công nghiệp chủ yếu là cơ sở để đánh giá quá trình chu chuyển sản phẩm công nghiệp ở phạm vi quốc gia, phản ánh các yếu tố tạo ra nguồn cung và các yếu tố tiêu dùng sản phẩm công nghiệp; Trên cơ sở đó giúp cho việc xây dựng kế hoạch sản xuất, dự trữ, xuất nhập khẩu và đề ra các chính sách đảm bảo cân đối hợp lý giữa sản xuất và tiêu dùng các sản phẩm công nghiệp.
2. Khái niệm, nội dung, phương pháp tính
Cân đối một số sản phẩm công nghiệp là hệ thống chỉ tiêu biểu hiện mối quan hệ giữa nguồn cung và tiêu dùng của từng loại sản phẩm công nghiệp của quốc gia trong một thời kỳ nhất định (thường là 1 năm).
Để lập bảng cân đối cho một loại sản phẩm công nghiệp thường phải xác định tổng nguồn cung và tổng cầu trong một thời kỳ nhất định.
Phương pháp tính:
2.1. Tổng nguồn cung
|
Tổng nguồn cung sản phẩm |
= |
Chênh lệch tồn kho sản phẩm |
+ |
Sản lượng sản xuất sản phẩm (yếu tố 2) |
+ |
Số lượng nhập khẩu sản phẩm (yếu tố 3) |
(1) Chênh lệch tồn kho
Chênh lệch tồn kho là khả năng sẵn sàng huy động ngay cho nhu cầu nên được tính vào nguồn cung để cân đối với cầu. Tồn kho được tính đầy đủ ở tất cả các khâu của quá trình sản xuất và cung ứng sản phẩm, gồm tồn kho ở khâu sản xuất, khâu cung ứng và cả khâu sử dụng. Đối với những loại sản phẩm sản xuất gắn liền với tiêu thụ, không xác định được lượng tồn kho, thì tồn kho bằng 0.
Tồn kho chỉ được tính vào nguồn phần chênh lệch giữa tồn kho đầu kỳ với tồn kho cuối kỳ. Yếu tố chênh lệch tồn kho được tính bằng cách lấy mức tồn kho đầu kỳ trừ (-) mức tồn kho cuối kỳ, nếu kết quả là dương (+) được cộng vào tổng nguồn cung, nếu âm (-) thì phải trừ bớt trong tổng nguồn cung sản phẩm trong kỳ.
(2) Sản lượng sản xuất
Sản lượng sản xuất là sản lượng sản phẩm được ngành công nghiệp sản xuất ra trong một thời kỳ nhất định. Sản lượng sản xuất được tính vào tổng sản lượng phải là sản phẩm đảm bảo đạt quy cách và phẩm chất đúng tiêu chuẩn kỹ thuật quy định và xong thủ tục nhập kho để tiêu thụ hoặc sẵn sàng cung cấp cho các nhu cầu sử dụng.
Đối với trường hợp đơn vị sản xuất sản phẩm công nghiệp vừa bán ra ngoài, vừa sử dụng sản phẩm như bán thành phẩm cho hoạt động sản xuất khác, cách tính sản lượng sản xuất được quy định như sau:
- Nếu đơn vị sản xuất thực hiện hoạch toán nhập kho toàn bộ sản phẩm sản xuất được, sau đó mới làm thủ tục xuất kho tiêu thụ cho bên ngoài hoặc sử dụng nội bộ thì lấy theo số liệu nhập kho trong kỳ.
- Nếu đơn vị chỉ nhập kho sản phẩm bán ra ngoài và không nhập kho lượng sản phẩm sử dụng nội bộ mà cung ứng trực tiếp ở nơi sản xuất thì sản lượng sản xuất bằng số nhập kho trong kỳ cộng với sản lượng thực tế đã tiêu dùng cho nội bộ đơn vị.
(3) Số lượng nhập khẩu
Số lượng nhập khẩu là toàn bộ lượng sản phẩm được đưa vào một quốc gia trong một thời kỳ nhất định. Để cân đối giữa cung và cầu các sản phẩm công nghiệp, nhiều quốc gia sản xuất trong nước không đủ đáp ứng nhu cầu, cần phải nhập khẩu. Số lượng sản phẩm nhập khẩu phải căn cứ vào hải quan, đó là sản lượng đã hoàn thành thủ tục nhập khẩu tại hải quan cửa khẩu và được đưa về nhập kho trong nước của các đơn vị nhập khẩu hoặc bán thẳng cho đơn vị sử dụng trong nước (Không bao gồm sản phẩm tạm nhập tái xuất).
2.2. Tổng cầu
|
Tổng cầu sản phẩm |
= |
Tiêu dùng cho hoạt động sản xuất |
+ |
Tiêu dùng cho hoạt động dịch vụ |
Tiêu dùng cho dân cư |
+ |
Tiêu dùng cho hoạt động khác |
+ |
Số lượng sản phẩm xuất khẩu |
+ |
Hao hụt, tổn thất (nếu có) |
|
|
|
(1) |
|
(2) |
(3) |
|
(4) |
|
(5) |
|
(6) |
(1) Tiêu dùng cho hoạt động sản xuất là khối lượng sản phẩm tiêu dùng trực tiếp cho hoạt động sản xuất vật chất như nguyên, nhiên vật liệu đầu vào của hoạt động sản xuất vật chất.
Đối với trường hợp đơn vị sử dụng sản phẩm tự sản xuất được để sản xuất loại sản phẩm khác hoặc chế biến thành sản phẩm khác, cách tính lượng sản phẩm sử dụng được quy định như sau:
+ Nếu đơn vị sản xuất thực hiện hoạch toán nhập kho toàn bộ sản phẩm sản xuất được, sau đó mới làm thủ tục xuất kho để tiếp tục sản xuất thì tính theo số liệu xuất kho đưa vào sản xuất trong kỳ.
+ Nếu đơn vị không nhập kho lượng sản phẩm sử dụng nội bộ mà cung ứng trực tiếp ở nơi sản xuất thì tính theo sản lượng thực tế đã tiêu dùng cho hoạt động sản xuất của nội bộ đơn vị.
(2) Tiêu dùng cho hoạt động dịch vụ là khối lượng sản phẩm tiêu dùng trực tiếp cho các hoạt động dịch vụ kinh doanh vì lợi nhuận, dịch vụ có thu và dịch vụ công của các đơn vị kinh doanh dịch vụ và đơn vị sự nghiệp. Đối với các đơn vị kinh doanh dịch vụ thì phương pháp tính như tiêu dùng cho hoạt động sản xuất; đối với tiêu dùng của các đơn vị sự nghiệp thì khi tính chỉ tiêu này phải căn cứ vào đơn vị sự nghiệp có đủ tư cách pháp nhân như: Bệnh viện, trạm điều dưỡng, trường học, viện nghiên cứu,.... Trong trường hợp một đơn vị sự nghiệp có nhiều hoạt động khác nhau, nếu tính riêng được thì tách cho từng hoạt động, không tách riêng được thì quy ước tính vào hoạt động chính.
(3) Tiêu dùng cho dân cư là khối lượng sản phẩm tiêu dùng trực tiếp phục vụ đời sống của các cá nhân, hộ dân cư.
(4) Sử dụng cho các hoạt động khác là khối lượng tiêu dùng trực tiếp cho các hoạt động khác ngoài 3 nhóm đối tượng trên. Việc tính toán chỉ tiêu này phải căn cứ vào cơ quan, tổ chức có đầy đủ tư cách pháp nhân về sử dụng sản phẩm theo các hợp đồng và khối lượng sản phẩm thực tế tiêu dùng đã thanh toán với đơn vị cung cấp.
(5) Sản phẩm xuất khẩu là toàn bộ khối lượng sản phẩm đã hoàn thành thủ tục hải quan cửa khẩu và được đưa lên phương tiện vận chuyển ra khỏi biên giới quốc gia trong kỳ tính toán. Trường hợp xuất khẩu không qua thủ tục hải quan thì tính theo sản lượng thực tế của các đơn vị trực tiếp bán cho nước ngoài.
(6) Hao hụt, tổn thất tự nhiên là lượng sản phẩm đó bị hao hụt trong quá trình lưu kho, vận chuyển và tiêu dùng theo định mức kỹ thuật. Những hao hụt này được xác định trước theo các định mức cho phép.
3. Phân tổ chủ yếu
- Phân theo loại sản phẩm.
- Phân theo doanh nghiệp thuộc Bộ.
4. Kỳ công bố
Năm.
5. Nguồn số liệu
- Chế độ báo cáo thống kê áp dụng đối với Tập đoàn, Tổng Công ty, Công ty thuộc Bộ.
- Điều tra thống kê doanh nghiệp đối với ngành, lĩnh vực công nghiệp.
6. Cơ quan chịu trách nhiệm thu thập, tổng hợp
- Chủ trì: Vụ Dầu khí và Than, Vụ Tiết kiệm năng lượng và Phát triển bền vững, Vụ Thị trường trong nước, Cục Điện lực và Năng lượng tái tạo, Cục Điều tiết Điện lực, Cục Công nghiệp, Cục Hóa chất.
- Phối hợp: Vụ Kế hoạch.
7. Cân đối một số sản phẩm cụ thể
7.7. Điện
Điện là một dạng năng lượng đặc biệt tồn tại dưới hình thái phi vật thể, không thể dự trữ và tồn kho bằng chính nó mà chỉ có thể tồn tại ở một dạng khác. Chỉ tiêu năng lượng điện được phản ánh dưới dạng điện sản xuất tức là phản ánh nguồn cung của điện còn phản ánh dưới dạng điện tiêu dùng (hay điện tiêu thụ) là phản ánh nhu cầu tiêu thụ điện. Vì vậy, về chỉ tiêu điện có chỉ tiêu điện sản xuất và điện tiêu thụ (hay còn gọi là điện thương phẩm).
7.1.1. Điện sản xuất
7.1.1.1. Mục đích, ý nghĩa
Điện sản xuất là sản phẩm quan trọng trong bảng cân đối cung cầu năng lượng, phản ánh lượng điện sản xuất ra của toàn hệ thống để đáp ứng mức độ tiêu dùng điện cuối cùng trực tiếp cho toàn xã hội. Chỉ tiêu này là căn cứ để lập bảng cân đối giữa sản xuất, tiêu dùng và dự trữ cho từng nguồn năng lượng khác nhau, đồng thời, giúp cho quản lý, sử dụng tiết kiệm, hợp lý từng nguồn năng lượng quốc gia. Chỉ tiêu này cũng là cơ sở để xây dựng quy hoạch, chiến lược phát triển năng lượng quốc gia, chiến lược cụ thể cho từng ngành, cho từng thời kỳ và các chính sách phát triển cho từng nguồn năng lượng quốc gia theo hướng bền vững; đảm bảo cân đối hợp lý giữa sản xuất - tiêu dùng cũng như xuất, nhập khẩu điện nói riêng và xuất nhập khẩu năng lượng nói chung; là căn cứ để xây dựng đề án quy hoạch phát triển điện lực quốc gia trong từng giai đoạn quy hoạch.
7.1.1.2. Khái niệm, nội dung, phương pháp tính
Điện sản xuất là sản lượng điện được sản xuất ra và được đo trên đầu máy phát qua đồng hồ đo đếm của từng tổ máy và tổng hợp lại cho từng nhà máy đã được tách phần điện tự dùng và điện tổn thất trên máy biến áp của nhà máy (ở đây được gọi là điện xuất tuyến).
Điện sản xuất phản ánh khả năng cung cấp điện của hệ thống; điện thương phẩm phản ánh nhu cầu tiêu dùng điện của xã hội. Vì vậy, hai chỉ tiêu này phản ánh về hai mặt cung - cầu điện của toàn xã hội.
Điện sản xuất từ nhiều nguồn khác nhau như: Nhiệt điện (Than, dầu, khí, LNG); thủy điện; điện từ các nguồn năng lượng tái tạo (Năng lượng mặt trời, năng lượng gió, năng lượng thủy triều/sóng biển, năng lượng sinh khối); điện hạt nhân;....
* Một số khái niệm về các nguồn điện chính như sau:
- Năng lượng nước (Thủy năng) là nguồn năng lượng từ các dòng nước lưu động là một giải pháp sản sinh điện năng sạch và hiệu quả. Nước tràn xuống từ đập nhà máy thủy điện làm quay tuốc bin nối với máy phát điện. Năng lượng sản sinh ra sau đó được phân bổ tới những mạng lưới điện lớn, phục vụ đời sống con người.
- Năng lượng gió (Phong năng) là động năng của không khí di chuyển trong bầu khí quyển Trái Đất. Năng lượng gió là một hình thức gián tiếp của năng lượng mặt trời. Năng lượng gió mô tả quá trình mà gió đã được sử dụng để tạo ra năng lượng cơ học hoặc điện. Tua bin gió chuyển đổi năng lượng động lực trong gió thành năng lượng cơ học. Năng lượng cơ học này có thể được sử dụng cho nhiệm vụ cụ thể (chẳng hạn như xay ngũ cốc hoặc bơm nước) hoặc cho một máy phát điện (có thể chuyển đổi năng lượng cơ học thành điện, nhà máy điện).
- Năng lượng mặt trời (Quang năng) là ánh sáng và bức xạ nhiệt từ mặt trời, đã được con người khai thác từ xưa bằng cách sử dụng một loạt các công nghệ và ngày càng phát triển cao hơn. Có thể khai thác năng lượng mặt trời để sử dụng cho các mục đích như: Đun nước nóng, phát điện, các dạng ứng dụng cho sấy, đun nấu... Các ứng dụng năng lượng mặt trời gồm: Nước nóng năng lượng mặt trời, chiếu sáng, năng lượng mặt trời nấu ăn, nước sạch thông qua chưng cất và tẩy uế, điện năng lượng mặt trời, không gian sưởi ấm và làm mát thông qua kiến trúc năng lượng mặt trời, quá trình tích nhiệt độ cao cho mục đích công nghiệp, điện năng lượng mặt trời dựa trên các động cơ nhiệt và tế bào quang điện.
- Năng lượng hạt nhân là nguồn năng lượng thay thế có được bằng một trong hai cách: Phân rã hạt nhân các nguyên tử (Nuclear fission: Sự phân hạch) hoặc kết hợp hạt nhân các nguyên tử (Nuclear fusion: Sự tổng hợp hạt nhân). Nhà máy điện hạt nhân sử dụng lò phản ứng hạt nhân, trong đó xảy ra sự phân tách các nguyên tử uranium hoặc plutonium, nhằm điều khiển phản ứng phân hạch. Nhiệt năng giải phóng từ phản ứng phân hạch được thu lại và được sử dụng để sản sinh ra điện năng.
- Năng lượng địa nhiệt là dạng năng lượng tự nhiên sản sinh ra từ lòng đất và giải phóng ra ngoài nhờ hoạt động của các núi lửa, suối nước nóng hay giếng phun ở khắp nơi trên thế giới. Các nguồn nước nóng hoặc hơi ngầm dưới lòng đất có thể được tiếp cận nhờ việc khoan sâu qua tầng đá. Nước được hâm nóng tự nhiên có thể được sử dụng để làm nóng các tòa nhà, trong khi hơi làm quay tuốc bin trong nhà máy nhiệt điện.
- Năng lượng thủy triều và nhiệt năng biển được khai thác từ sự thay đổi của thủy triều lên xuống hàng ngày. Lợi dụng dòng thủy triều người ta sẽ lắp đặt hệ thống thiết bị sản xuất điện. Hiện nay, có 2 loại công nghệ khai thác đang được áp dụng tại các nước trên thế giới để khai thác hiệu quả nguồn năng lượng này là khai thác dựa vào động năng dòng chảy thủy triều và công nghệ khai thác dựa vào thế năng của thủy triều. Với công nghệ khai thác dựa vào thế năng của thủy triều, người ta phải xây dựng hồ chứa và lợi dụng quy luật triều lên xuống để tạo ra sự chênh lệch cột nước tĩnh của khối lượng nước trong hồ và ngoài biển hoặc ngược lại. Khi đó sử dụng các tuabin nước để phát điện. Đến nay, một số nơi trên thế giới đã triển khai hệ thống máy phát điện sử dụng năng lượng thủy triều.
- Năng lượng sinh khối: Một phần sinh khối (Tổng lượng động thực vật và vi sinh vật trên một đơn vị diện tích) có thể được sử dụng như nhiên liệu sản sinh ra nhiệt năng. Gỗ, cây trồng, phế phẩm nông nghiệp, khoáng vật hay vật phẩm từ động vật là những bộ phận của sinh khối. Sinh khối trong rác thải có thể được đốt cháy để tạo ra nhiệt năng hoặc phân hủy thành mêtan (một loại khí tự nhiên). Mêtan có thể chuyển thành nhiên liệu lỏng là Methanol, còn Ethanol được lên men từ những cây trồng như mía hay cây lúa miến (Sorghum).
- Những nguồn năng lượng thay thế khác bao gồm khí hydro và pin nhiên liệu (Fuel cell).
Khí hydro là nguồn nhiên liệu tiềm năng cho ô tô cũng như trong lĩnh vực sưởi ấm các tòa nhà và sản sinh điện năng. Mặc dù hydro không có sẵn dưới dạng đơn chất trong tự nhiên nhưng con người vẫn có thể tạo ra nó nhờ phản ứng điện phân nước. Điều bất cập trong sử dụng hydro làm nhiên liệu ô tô là khả năng dễ bắt lửa của nó.
Pin nhiên liệu là bộ máy sản sinh ra điện nhờ phản ứng giữa khí oxi và hydro. Loại pin này được sử dụng trong tàu vũ trụ, và là nguồn năng lượng thay thế tiềm năng cho việc chạy ô tô cũng như sưởi ấm các tòa nhà.
* Đơn vị tính khối lượng điện hay tính lượng điện sản xuất:
Điện sản xuất được tính theo đơn vị tự nhiên của năng lượng điện cụ thể được tính bằng W/h.
* Phương pháp tính điện sản xuất:
Sản lượng điện sản xuất = Tổng sản lượng điện xuất tuyến của các nhà máy sản xuất điện từ các nguồn khác nhau.
Sản lượng điện xuất tuyến của các nhà máy được tính trên đồng hồ đo sản lượng tại nơi sản xuất chuyển qua cho tiêu thụ.
7.1.1.3. Phân tổ chủ yếu
- Phân theo nguồn điện sản xuất.
- Phân theo đơn vị sản xuất điện.
7.1.2. Điện thương phẩm
7.1.2.1. Mục đích, ý nghĩa
Điện thương phẩm là sản phẩm phản ánh mức độ tiêu dùng điện cuối cùng trực tiếp của toàn xã hội. Chỉ tiêu này là căn cứ để lập bảng cân đối giữa sản xuất, tiêu dùng và dự trữ cho từng nguồn năng lượng khác nhau, đồng thời, giúp cho quản lý, sử dụng tiết kiệm, hợp lý từng nguồn năng lượng quốc gia. Chỉ tiêu này cũng là cơ sở để xây dựng quy hoạch, chiến lược phát triển năng lượng quốc gia, chiến lược cụ thể cho từng ngành, cho từng thời kỳ và các chính sách phát triển cho từng nguồn năng lượng quốc gia theo hướng bền vững; đảm bảo cân đối hợp lý giữa sản xuất - tiêu dùng cũng như xuất, nhập khẩu điện nói riêng và xuất nhập khẩu năng lượng nói chung; là căn cứ để xây dựng đề án quy hoạch phát triển điện lực quốc gia trong từng giai đoạn quy hoạch.
7.1.2.2. Khái niệm, nội dung, phương pháp tính
Điện thương phẩm là lượng điện đã tiêu dùng của toàn xã hội được tính cho một thời kỳ nhất định.
Điện thương phẩm được tính trên cơ sở điện suất trừ đo tổn thất trong quá trình truyền tải điện và phân phối do tổn thất trong hệ thống điện gồm tổn thất lưới truyền tải, lưới phân phối (gồm đường dây và trạm biến áp).
Điện thương phẩm khác với điện sản xuất. Từ điện xuất tuyến phải trừ đi phần hao hụt, tổn thất trong quá trình truyền tải điện trên đường dây mới ra được điện thương phẩm.
* Phương pháp tính
Điện thương phẩm = Tổng lượng điện tiêu thụ trên công tơ của tất cả các khách hàng trong từng thời kỳ.
Điện thương phẩm thường được thu thập hàng tháng. Từ công tơ của các khách hàng, các Công ty điện lực quản lý trực tiếp các khách hàng tổng hợp lại sẽ ra điện thương phẩm của các công ty điện lực; sau đó các Tổng công ty điện lực trên cơ sở báo cáo của các Công ty điện lực trực thuộc sẽ tổng hợp thành số liệu điện thương phẩm của các Tổng công ty điện lực. Cuối cùng các Tổng công ty điện lực báo cáo lên cho Tập đoàn Điện lực Việt Nam để tổng hợp thành sản lượng điện thương phẩm của toàn quốc.
7.1.2.3. Phân tổ chủ yếu
- Phân theo hộ sử dụng điện.
- Phân theo đơn vị tiêu thụ điện.
7.2. Than sạch
7.2.1. Mục đích, ý nghĩa
Là sản phẩm phản ánh khả năng cung cấp than phục vụ cho nhu cầu của nền kinh tế cũng như xã hội từ nguồn khai thác trong nước. Chỉ tiêu này là căn cứ để lập bảng cân đối giữa sản xuất, tiêu dùng và dự trữ cho từng nguồn năng lượng khác nhau, đồng thời, giúp cho quản lý; sử dụng tiết kiệm, hợp lý từng nguồn năng lượng quốc gia. Chỉ tiêu này cũng là cơ sở để xây dựng quy hoạch, chiến lược phát triển năng lượng quốc gia, chiến lược cụ thể cho từng ngành, cho từng thời kỳ và các chính sách phát triển cho từng nguồn năng lượng quốc gia theo hướng bền vững; đảm bảo cân đối hợp lý giữa sản xuất - tiêu dùng cũng như xuất, nhập khẩu than nói riêng và xuất nhập khẩu năng lượng nói chung; là căn cứ để xây dựng đề án quy hoạch phát triển ngành than trong từng giai đoạn quy hoạch.
7.2.2. Khái niệm, nội dung, phương pháp tính
Than sạch là các loại than sau quá trình khai thác sàng tuyển hoặc chế biến tại tất cả các cơ sở khai thác, chế biến trong nước đạt các chỉ tiêu chất lượng yêu cầu về kỹ thuật đã quy định và được sử dụng trong các ngành kinh tế được tính cho một thời kỳ nhất định.
Than sạch (than cứng) được hiểu là than thương phẩm bao gồm các loại than cục, than cám, than không phân cấp đạt các yêu cầu về kỹ thuật theo tiêu chuẩn Việt Nam 8910:2011 được sản xuất trong năm.
- Than cục là các loại than có kích thước lớn hơn kích thước giới hạn dưới và nhỏ hơn kích thước giới hạn trên.
- Than không phân cấp là các loại than có kích thước giới hạn trên lớn (100mm đến 200mm) và không có giới hạn dưới.
- Than cám là các loại than có kích thước nhỏ hơn giới hạn trên (nhỏ hơn 25mm) và không có giới hạn dưới.
- Than bùn tuyển là các loại than cấp hạt mịn phát sinh trong quá trình tuyển ướt được cô đặc, lọc tách bớt nước.
* Phương pháp tính
Than sạch = Tổng sản lượng than đã khai thác được sàng tuyển, phân loại của tất cả các mỏ khai thác than.
7.2.3. Phân tổ chủ yếu
- Phân theo loại than.
- Phân theo khu vực tiêu dùng than.
7.3. Dầu thô
7.3.1. Mục đích, ý nghĩa
Là sản phẩm phản ánh khả năng cung cấp dầu thô cho nhu cầu của nền kinh tế cũng như xã hội. Chỉ tiêu này là căn cứ để lập bảng cân đối giữa sản xuất, tiêu dùng và dự trữ cho từng nguồn năng lượng khác nhau, đồng thời, giúp cho quản lý, sử dụng tiết kiệm, hợp lý từng nguồn năng lượng quốc gia. Chỉ tiêu này cũng là cơ sở để xây dựng quy hoạch, chiến lược phát triển năng lượng quốc gia, chiến lược cụ thể cho từng ngành, cho từng thời kỳ và các chính sách phát triển cho từng nguồn năng lượng quốc gia theo hướng bền vững; đảm bảo cân đối hợp lý giữa sản xuất - tiêu dùng cũng như xuất, nhập khẩu dầu thô nói riêng và xuất nhập khẩu năng lượng nói chung; là căn cứ để xây dựng các đề án quy hoạch phát triển trong lĩnh vực thăm dò, khai thác và chế biến dầu khí của ngành dầu khí trong từng giai đoạn quy hoạch.
7.3.2. Khái niệm, nội dung, phương pháp tính
Là sản lượng của hydrocarbon ở thể lỏng trong trạng thái tự nhiên, asphalt, ozokerite và hydrocarbon lỏng thu được từ khí thiên nhiên bằng phương pháp ngưng tụ hoặc chiết xuất từ các nguồn trong nước được tính cho một thời kỳ nhất định.
Chỉ tiêu dầu thô bao gồm toàn bộ hydrocarbon ở thể lỏng trong trạng thái tự nhiên, asphalt, ozokerite và hydrocarbon lỏng thu được từ khí thiên nhiên bằng phương pháp ngưng tụ hoặc chiết xuất trong quá trình khai thác ở các mỏ của Việt Nam; không bao gồm các loại dầu thô nhập khẩu về các nhà máy lọc hóa dầu để chế biến và sản lượng dầu thô khai thác được từ các mỏ ở nước ngoài.
Sản lượng dầu thô = Tổng sản lượng dầu thô khai thác được từ tất cả các mỏ trong nước.
7.3.3. Phân tổ chủ yếu
- Phân theo loại dầu thô.
- Phân theo mỏ khai thác.
7.4. Khí hóa lỏng
7.4.1. Mục đích, ý nghĩa
Là sản phẩm phản ánh khả năng cung cấp khí cho nhu cầu của nền kinh tế cũng như xã hội. Chỉ tiêu này là căn cứ để lập bảng cân đối giữa sản xuất, tiêu dùng và dự trữ cho từng nguồn năng lượng khác nhau, đồng thời, giúp cho quản lý, sử dụng tiết kiệm, hợp lý từng nguồn năng lượng quốc gia. Chỉ tiêu này cũng là cơ sở để xây dựng quy hoạch, chiến lược phát triển năng lượng quốc gia, chiến lược cụ thể cho từng ngành, cho từng thời kỳ và các chính sách phát triển cho từng nguồn năng lượng quốc gia theo hướng bền vững; đảm bảo cân đối hợp lý giữa sản xuất - tiêu dùng cũng như xuất, nhập khẩu khí nói riêng và xuất nhập khẩu năng lượng nói chung; là căn cứ để xây dựng các đề án quy hoạch phát triển ngành khai thác và chế biến dầu khí trong từng giai đoạn quy hoạch.
7.4.2. Khái niệm, nội dung, phương pháp tính
Khí hóa lỏng là sản lượng hỗn hợp chủ yếu của Propane (công thức hóa học: C3H8) và Butane (công thức hóa học: C4H10) có nguồn gốc từ dầu mô, tên tiếng Anh: Liquefied Petroleum gas (viết tắt là LPG). Tại nhiệt độ, áp suất bình thường, LPG ở thể khí; khi được nén đến một áp suất, nhiệt độ nhất định thì LPG chuyển sang thể lỏng. LPG được tồn chứa tại các bồn bể cố định, xe bồn hoặc tàu thủy chuyên dụng hoặc đường ống. LPG được sản xuất trong nước, dùng làm chất đốt, nhiên liệu động cơ, nguyên liệu phục vụ sản xuất, dân sinh được tính trong một thời kỳ nhất định.
Trong chỉ tiêu này, sản lượng LPG bao gồm toàn bộ sản phẩm được sản xuất trong nước; không bao gồm các nguồn nhập khẩu và các loại khí sinh học được sản xuất từ khí Biogas.
7.4.3. Phân tổ chủ yếu
- Phân theo loại khí.
- Phân theo khu vực tiêu dùng khí.
7.5. Xăng
7.5.1. Mục đích, ý nghĩa
Là sản phẩm phản ánh khả năng cung cấp xăng cho nhu cầu phát triển kinh tế và tiêu dùng của xã hội. Chỉ tiêu này là căn cứ để lập bảng cân đối giữa sản xuất, tiêu dùng và dự trữ cho từng nguồn năng lượng khác nhau, đồng thời, giúp cho quản lý, sử dụng tiết kiệm, hợp lý từng nguồn năng lượng quốc gia. Chỉ tiêu này cũng là cơ sở để xây dựng quy hoạch, chiến lược phát triển năng lượng quốc gia, chiến lược cụ thể cho từng ngành, cho từng thời kỳ và các chính sách phát triển cho từng nguồn năng lượng quốc gia theo hướng bền vững; đảm bảo cân đối hợp lý giữa sản xuất - tiêu dùng cũng như xuất, nhập khẩu xăng dầu nói riêng và xuất nhập khẩu năng lượng nói chung; là căn cứ để xây dựng các đề án quy hoạch phát triển lĩnh vực chế biến của ngành dầu khí trong từng giai đoạn quy hoạch.
7.5.2. Khái niệm, nội dung, phương pháp tính
Là sản lượng sản phẩm của quá trình lọc dầu thô và sản phẩm Bio - Ethanol được trộn vào xăng thành phẩm thành xăng sinh học sản xuất trong nước. Xăng dầu được dùng làm nhiên liệu gồm: Xăng động cơ, nhiên liệu bay và các sản phẩm khác dùng làm nhiên liệu động cơ (không bao gồm các loại khí hóa lỏng, dầu điezen, dầu hỏa, dầu madút) được tính trong một thời kỳ nhất định.
Xăng trong nước sản xuất có 2 loại là xăng không chì và xăng E5. Ngoài ra còn có các loại xăng nhẹ phục vụ cho các nhu cầu khác nhau (Xăng máy bay...).
- Xăng không chì là hỗn hợp bay hơi của các hydrocacbon lỏng có nguồn gốc từ dầu mỏ với khoảng nhiệt độ sôi thông thường từ 15 0 c đến 215 0 c, thường có chứa lượng nhỏ phụ gia phù hợp, nhưng không pha chì, sử dụng làm nhiên liệu cho động cơ đốt trong.
- Xăng E5 là hỗn hợp của xăng không chì và etanol nhiên liệu biến tính với hàm lượng etanol từ 4% đến 5% theo thể tích, ký hiệu là E5.
- Etanol nhiên liệu biến tính là etanol có công thức C2H5OH được pha thêm các chất biến tính để sử dụng pha chế trong nhiên liệu cho động cơ xăng và không được sử dụng cho mục đích chế biến đồ uống.
- Chất biến tính sử dụng cho etanol nhiên liệu: Xăng không chì hoặc naphta, không chứa các hợp chất keton, được dùng để pha thêm vào etanol, làm cho etanol trở thành etanol biến tính để sử dụng làm nhiên liệu và không sử dụng cho mục đích chế biến đồ uống.
Chỉ tiêu này được tính bởi tất cả các loại xăng được sản xuất từ các nhà máy lọc dầu và các nhà máy sản xuất xăng sinh học Bio - Ethanol trong nước; không bao gồm các sản phẩm được nhập khẩu từ các nguồn khác.
Xăng sinh học Bio - Ethanol được trộn vào xăng thành phẩm sử dụng làm nhiên liệu cho động cơ nhằm tăng thêm số octane và giảm thiểu ô nhiễm môi trường.
Sản lượng xăng = Tổng sản lượng xăng chế biến từ các nhà máy lọc hóa dầu trong nước + Phần Bio - Ethanol được pha chế vào xăng thành phẩm để làm xăng sinh học.
Hiện nay, xăng sinh học đang được pha trộn với tỷ lệ 3% và 5% (hay còn gọi là xăng E3, E5).
7.5.3. Phân tổ chủ yếu
- Phân theo loại xăng.
- Phân theo khu vực tiêu dùng xăng.
7.6. Dầu
7.6.1. Mục đích, ý nghĩa
Là sản phẩm phản ánh khả năng cung cấp dầu cho nhu cầu phát triển kinh tế và tiêu dùng của xã hội. Chỉ tiêu này là căn cứ để lập bảng cân đối giữa sản xuất, tiêu dùng và dự trữ cho từng nguồn năng lượng khác nhau, đồng thời, giúp cho quản lý, sử dụng tiết kiệm, hợp lý từng nguồn năng lượng quốc gia. Chỉ tiêu này cũng là cơ sở để xây dựng quy hoạch, chiến lược phát triển năng lượng quốc gia, chiến lược cụ thể cho từng ngành, cho từng thời kỳ và các chính sách phát triển cho từng nguồn năng lượng quốc gia theo hướng bền vững; đảm bảo cân đối hợp lý giữa sản xuất - tiêu dùng cũng như xuất, nhập khẩu dầu nói riêng và xuất nhập khẩu năng lượng nói chung; là căn cứ để xây dựng các đề án quy hoạch phát triển lĩnh vực chế biến xăng dầu của ngành dầu khí trong từng giai đoạn quy hoạch.
7.6.2. Khái niệm, nội dung, phương pháp tính
Là sản lượng sản phẩm của quá trình lọc dầu thô trong nước được dùng làm nhiên liệu gồm: Dầu điezen, dầu hỏa, dầu madút, các sản phẩm khác dùng làm nhiên liệu động cơ (không bao gồm các loại xăng và khí hóa lỏng) được tính trong một thời kỳ nhất định.
- Dầu điezen là phần cất giữa của dầu mỏ, phù hợp để sử dụng làm nhiên liệu cho động cơ điezen, làm việc theo nguyên lý cháy do nén dưới áp suất cao trong xilanh, ký hiệu là dầu DO.
- Dầu điezen B5 là hỗn hợp của nhiên liệu điezen và nhiên liệu điezen sinh học gốc với hàm lượng este metyl axit béo (FAME) từ 4% đến 5% theo thể tích, ký hiệu là B5.
- Nhiên liệu điezen sinh học gốc là nhiên liệu được chuyển hóa từ nguyên liệu sinh học (dầu thực vật hoặc mỡ động vật) có thành phần chính là các mono-alkyl este của axit béo mạch dài, chưa pha trộn với các loại nhiên liệu khác, để sử dụng làm nhiên liệu cho động cơ điezen, ký hiệu là B100.
Chỉ tiêu này được tính chung cho tất cả các loại dầu gồm: Dầu điezen, dầu hỏa, dầu madút, các sản phẩm khác dùng làm nhiên liệu động cơ (không bao gồm các loại xăng và khí hóa lỏng) và chỉ tính cho sản lượng dầu được sản xuất trong nước; không tính các loại dầu nhập khẩu từ các nguồn nước ngoài.
Sản lượng dầu = Tổng sản lượng dầu các loại được chế biến từ các nhà máy lọc hóa dầu trong nước.
7.6.3. Phân tổ chủ yếu
- Phân theo loại dầu.
- Phân theo khu vực tiêu dùng dầu.
7.7. Thép các loại
7.7.1. Mục đích, ý nghĩa
Sản phẩm thép là vật tư, nguyên liệu chủ yếu của nhiều ngành kinh tế quan trọng như ngành cơ khí, ngành xây dựng... Cân đối một số sản phẩm thép là cơ sở để xây dựng kế hoạch sản xuất, dự trữ, xuất nhập khẩu nhằm đảm bảo đáp ứng đủ nhu cầu về sắt, thép trong nước trong một thời kỳ nhất định, đồng thời, góp phần bình ổn giá thép trong nước.
7.7.2. Khái niệm, nội dung, phương pháp tính
Cân đối một số sản phẩm sắt thép chủ yếu là hệ thống chỉ tiêu biểu hiện mối quan hệ nguồn cung (bao gồm cả sản xuất và nhập khẩu) một số loại sản phẩm thép của quốc gia trong một thời kỳ nhất định. Việc cân đối có thể dựa trên nhu cầu từng năm để phục vụ cho doanh nghiệp lập kế hoạch sản xuất, cung ứng.
Hiện nay Việt Nam đang sản xuất và tiêu thụ nhiều loại sản phẩm thép khác nhau. Tuy nhiên, ở đây chỉ giới hạn phạm vi cân đối hai loại thép sau:
* Sản phẩm thép dài: Chủ yếu là các sản phẩm thép sử dụng trong ngành xây dựng như thép thanh, thép cây và thép hình.
- Thép thanh, thép cây xây dựng là các loại thép các bon thông thường, dạng thanh hoặc dây, có đường kính từ 6 mm trở lên và được dùng để thi công các công trình xây dựng, gồm:
+ Thép cuộn (wire rod): Thép cuộn dạng dây, cuộn tròn, bề mặt trơn nhẵn, có đường kính thông thường từ 6 mm, 8 mm, 10 mm, 12 mm, 14 mm và được cung cấp ở dạng cuộn.
+ Thép thanh/thép cây vằn, thép gân (deform bar): Thép thanh vằn hay còn gọi là thép cốt bê tông, mặt ngoài có gân, đường kính từ 10 mm trở lên, có dạng thanh, thường được sản xuất có chiều dài 11,7m hoặc được cắt theo yêu cầu của khách hàng và được cung cấp ở dạng bó.
+ Thép thanh tròn trơn là thép có dạng thanh, bề mặt tròn, trơn, có đường kính phổ biến từ 14 mm trở lên và thường được sản xuất có chiều dài dưới 11,7m hoặc được cắt theo yêu cầu của khách hàng và được cung cấp ở dạng bó.
- Thép hình là các loại thép dài nhưng không thuộc các loại thép xây dựng trên, có mặt cắt ngang là các dạng chữ I, U, H, thép góc...
* Sản phẩm thép dẹt (thép tấm cán phẳng): Là các sản phẩm cán có mặt cắt ngang đông đặc hình chữ nhật (trừ hình vuông) ở dạng sau:
+ Cuộn từ các lớp được chồng lên nhau liên tiếp.
+ Đoạn thẳng. Nếu chiều dày dưới 4,75 mm thì chiều rộng tối thiểu phải gấp 10 lần chiều dày hoặc nếu chiều dày từ 4,75 mm trở lên thì chiều rộng phải trên 150 mm và tối thiểu phải gấp 2 lần chiều dày.
Thép dẹt được sử dụng trong ngành công nghiệp nặng như: Đóng tàu, chế tạo ô tô, sản xuất các thiết bị máy móc công nghiệp. Thép dẹt bao gồm các loại thép tấm, lá, cán nóng và cán nguội.
Ngoài ra còn có tôn phủ màu, tôn mạ kẽm, thép ống,.... Tuy nhiên, đây là các sản phẩm sau cán.
* Một số lưu ý khi cân đối sản phẩm:
- Đối với trường hợp doanh nghiệp sản xuất thép vừa bán ra ngoài, vừa sử dụng sắt thép như bán thành phẩm cho hoạt động sản xuất khác thì cách tính sản lượng sản xuất được quy định như sau:
+ Nếu doanh nghiệp sản xuất thực hiện hoạch toán nhập kho toàn bộ sản phẩm thép sản xuất được, sau đó mới làm thủ tục xuất kho tiêu thụ cho bên ngoài hoặc sử dụng nội bộ thì lấy theo số liệu nhập kho trong kỳ.
+ Nếu doanh nghiệp chỉ nhập kho sản phẩm bán ra ngoài và không nhập kho lượng sản phẩm thép sử dụng nội bộ mà cung ứng trực tiếp ở nơi sản xuất thì sản lượng sản xuất bằng số nhập kho trong kỳ cộng với sản lượng thực tế đã tiêu dùng cho nội bộ doanh nghiệp.
- Lượng thép sử dụng để sản xuất các loại thép khác là lượng thép được dùng làm nguyên liệu đầu vào để tiếp tục sản xuất các loại sản phẩm thép khác như cán xuống chiều dày mỏng hơn, kéo ra các loại dây thép có đường kính thấp hơn, thép ống, thép hộp...
- Lượng thép sử dụng để sản xuất các sản phẩm khác là lượng thép được sử dụng làm nguyên liệu để chế tạo các sản phẩm bê tông cốt thép, chế tạo cơ khí, kết cấu,...
- Đối với trường hợp doanh nghiệp sử dụng sản phẩm thép tự sản xuất được để sản xuất loại sản phẩm thép khác hoặc chế biến thành sản phẩm khác, cách tính được quy định như sau:
+ Nếu doanh nghiệp sản xuất thực hiện hạch toán nhập kho toàn bộ sản phẩm thép sản xuất được, sau đó mới làm thủ tục xuất kho để tiếp tục sản xuất thì tính theo số liệu xuất kho đưa vào sản xuất trong kỳ.
+ Nếu doanh nghiệp không nhập kho lượng sản phẩm thép sử dụng nội bộ mà cung ứng trực tiếp ở nơi sản xuất thì tính theo sản lượng thực tế đã tiêu dùng cho hoạt động sản xuất của nội bộ doanh nghiệp.
- Lượng sản phẩm thép sử dụng cho các hoạt động khác là lượng sản phẩm thép được sử dụng cho các hoạt động khác ngoài 02 nhóm hoạt động trên như nghiên cứu, khảo nghiệm....
7.7.3. Phân tổ chủ yếu
- Phân theo loại thép.
- Phân theo khu vực sử dụng các loại thép.
7.8. Giấy các loại
7.8.1. Mục đích, ý nghĩa
Cân đối sản phẩm giấy các loại là cơ sở để xây dựng kế hoạch sản xuất, dự trữ, xuất nhập khẩu nhằm đảm bảo đáp ứng đủ nhu cầu về giấy các loại trong nước. Trên cơ sở đó đề ra các chính sách hợp lý phát triển sản xuất sản phẩm giấy theo hướng bền vững, đảm bảo cân đối hợp lý giữa sản xuất và tiêu dùng. Việc cân đối một số sản phẩm giấy góp phần bình ổn giá, đồng thời là cơ sở để doanh nghiệp sản xuất tham khảo, nghiên cứu lập kế hoạch sản xuất theo từng thời gian.
7.8.2. Khái niệm, nội dung, phương pháp tính
Sản phẩm giấy là sản phẩm quan trọng đối với nền kinh tế. Sản lượng của mỗi sản phẩm chủ yếu bao gồm thành phẩm và bán thành phẩm bán ra ngoài, trong đó:
- Thành phẩm: Là sản phẩm do hoạt động sản xuất công nghiệp của cơ sở tạo ra; không phân biệt sản phẩm đó được sản xuất từ nguyên vật liệu của cơ sở hay nguyên vật liệu của khách hàng đưa đến gia công. Những sản phẩm này đã làm xong thủ tục nhập kho thành phẩm trong kỳ, bao gồm:
+ Chính phẩm là những sản phẩm vật chất công nghiệp sản xuất ra đạt quy cách và phẩm chất đúng tiêu chuẩn kỹ thuật quy định gồm: Giấy in, viết, giấy báo, giấy vàng mã,...
+ Thứ phẩm là những sản phẩm vật chất công nghiệp sản xuất ra chưa đạt tiêu chuẩn quy cách và phẩm chất theo quy định nhưng vẫn có giá trị sử dụng và được tiêu thụ (thị trường chấp nhận).
+ Phụ phẩm (còn gọi là sản phẩm song song) là những sản phẩm vật chất được tạo ra trong quá trình sản xuất công nghiệp cùng với sản phẩm chính.
- Bán thành phẩm: Là sản phẩm do hoạt động sản xuất công nghiệp của cơ sở tạo ra, đã kết thúc giai đoạn sản xuất nhất định trong phạm vi một phân xưởng sản xuất (kết thúc một công đoạn trong toàn bộ công đoạn sản xuất sản phẩm), phù hợp với quy cách, đạt tiêu chuẩn kỹ thuật quy định của một giai đoạn sản xuất và còn được tiếp tục sản xuất chế biến trong phân xưởng sản xuất khác của cơ sở (một công đoạn tiếp tục của sản xuất sản phẩm). Bán thành phẩm của các cơ sở sản xuất được bán ra ngoài cũng được coi là thành phẩm công nghiệp.
7.8.3. Phân tổ chủ yếu
Phân theo loại sản phẩm.
7.9. Phân bón
7.1. Mục đích, ý nghĩa
Cân đối một số sản phẩm phân bón chủ yếu là cơ sở xây dựng kế hoạch sản xuất, dự trữ, sử dụng và xuất nhập khẩu phân bón, đảm bảo đáp ứng đủ nhu cầu về phân bón cho ngành trồng trọt, góp phần đảm bảo an ninh lương thực. Việc cân đối nhằm chống sốt giá và cũng là cơ sở để các doanh nghiệp sản xuất tham khảo, nghiên cứu lập kế hoạch sản xuất theo từng thời gian.
7.9.2. Khái niệm, nội dung, phương pháp tính
Phân bón là sản phẩm có chức năng cung cấp chất dinh dưỡng cho cây trồng hoặc có tác dụng cải tạo đất. Cân đối một số sản phẩm phân bón chủ yếu là hệ thống chỉ tiêu biểu hiện mối quan hệ giữa nguồn cung bao gồm cả sản xuất và nhập khẩu một số loại phân bón của quốc gia trong một thời kỳ nhất định. Việc cân đối có thể dựa trên nhu cầu của mùa vụ (đối với các loại phân bón lúa) và cũng cần theo từng năm nhằm phục vụ cho các doanh nghiệp lập kế hoạch sản xuất, cung ứng các loại phân bón.
Hiện nay nền nông nghiệp nước ta sử dụng phân vô cơ (hay còn gọi là phân hóa học) và phân hữu cơ. Với chỉ tiêu cân đối một số sản phẩm phân bón, phạm vi tính toán như sau:
- Phân urê là một loại phân khoáng thiên nhiên hoặc phân hóa học, cung cấp cho cây trồng yếu tố dinh dưỡng đa lượng là nitơ hóa hợp (còn gọi là đạm, ký hiệu là N, tính bằng N tổng số), thành phần chính là urê có công thức hóa học là CO(NH2)2.
- Phân lân là một loại phân khoáng thiên nhiên hoặc phân hóa học, cung cấp cho cây trồng yếu tố dinh dưỡng đa lượng là photpho hóa hợp dưới dạng ion photphat (còn gọi là lân, ký hiệu là P, tính bằng P2O5 hữu hiệu), sản phẩm phân lân ở nước ta hiện nay có hai loại:
+ Phân supephotphat hay còn gọi là supe lân có thành phần chính là canxi dihydrophotphat có công thức hóa học là Ca(H2PO4)2.
+ Phân lân nung chảy hay còn gọi là phân photphat canxi magie, tecmophotphat có thành phần chính là hỗn hợp photphat và silicat của canxi và magie.
- Phân DAP là loại phân hỗn hợp của hai yếu tố khoáng đa lượng là đạm và lân với thành phần chính là diamoni photphat, có công thức hóa học là (NH4)2HPO4.
- Phân NPK là loại phân chứa ba yếu tố khoáng đa lượng là đạm, lân, kali.
Ngoài ra còn phân SA và phân kali. Tuy nhiên hiện nay nước ta vẫn phải nhập khẩu toàn bộ 2 loại phân này.
7.9.3. Phân tổ chủ yếu
- Phân theo loại phân bón.
- Phân theo khu vực sử dụng phân bón.
0117. Tỷ trọng giá trị xuất khẩu ngành công nghiệp công nghệ cao trong tổng giá trị ngành công nghiệp công nghệ cao
1. Khái niệm, phương pháp tính
Tỷ trọng giá trị xuất khẩu ngành công nghiệp công nghệ cao trong tổng giá trị ngành công nghiệp công nghệ cao là chỉ tiêu tương đối, thể hiện bằng tỷ lệ phần trăm (%) giữa giá trị xuất khẩu khẩu ngành công nghiệp công nghệ cao trong tổng giá trị ngành công nghiệp công nghệ cao.
Phương pháp tính:
|
Tỷ trọng giá trị xuất khẩu ngành công nghiệp công nghệ cao trong tổng giá trị ngành công nghiệp công nghệ cao (%) |
= |
Giá trị xuất khẩu ngành công nghiệp công nghệ cao |
x |
100 |
|
Tổng giá trị ngành công nghiệp công nghệ cao |
2. Phân tổ chủ yếu: Ngành kinh tế.
3. Kỳ công bố: Năm.
4. Nguồn số liệu
- Kết quả điều tra thống kê trong Chương trình điều tra thống kê quốc gia.
- Dữ liệu hành chính.
5. Cơ quan chịu trách nhiệm thu thập, tổng hợp
- Chủ trì: Vụ Kế hoạch.
- Phối hợp: Vụ Dầu khí và Than, Cục Hóa chất, Cục Công nghiệp.
0118. Số lượng cụm công nghiệp (quy hoạch, thành lập, hoạt động)
1. Mục đích, ý nghĩa
Phản ánh được số lượng các cụm công nghiệp đã được quy hoạch, thành lập và đang hoạt động trên địa bàn từng tỉnh, thành phố.
2. Khái niệm, nội dung, phương pháp tính
- Cụm công nghiệp theo quy hoạch là các cụm công nghiệp có trong phương án phát triển cụm công nghiệp được tích hợp vào Quy hoạch tỉnh được lập và phê duyệt theo pháp luật quy hoạch.
- Cụm công nghiệp được thành lập là cụm công nghiệp có quyết định thành lập của Ủy ban nhân dân cấp tỉnh theo quy định của pháp luật về quản lý, phát triển cụm công nghiệp.
- Cụm công nghiệp hoạt động là cụm công nghiệp đã có tổ chức, cá nhân thuê đất để tổ chức hoạt động đầu tư trong cụm công nghiệp.
Phương pháp tính: Thống kê cộng dồn.
3. Phân tổ chủ yếu
Phân theo tỉnh/thành phố.
4. Kỳ công bố
Năm.
5. Nguồn số liệu
Báo cáo của Sở Công Thương các tỉnh, thành phố trực thuộc Trung ương.
6. Cơ quan chịu trách nhiệm thu thập, tổng hợp
- Chủ trì: Cục Công Thương địa phương.
- Phối hợp: Vụ Kế hoạch.
0119. Tổng diện tích đất các cụm công nghiệp (quy hoạch, thành lập, hoạt động)
1. Mục đích, ý nghĩa
Phản ảnh tổng diện tích đất của các cụm công nghiệp đã được quy hoạch, thành lập và đang hoạt động trên địa bàn tỉnh, thành phố.
2. Khái niệm, nội dung, phương pháp tính
- Tổng diện tích đất các cụm công nghiệp theo quy hoạch là tổng diện tích đất của các cụm công nghiệp có trong phương án phát triển cụm công nghiệp thuộc Quy hoạch tỉnh đã được phê duyệt.
- Tổng diện tích đất các cụm công nghiệp thành lập là tổng diện tích đất của các cụm công nghiệp đã có quyết định thành lập cụm công nghiệp.
- Tổng diện tích đất các cụm công nghiệp hoạt động là tổng diện tích đất của các cụm công nghiệp đã có tổ chức, cá nhân thuê đất hoặc đăng ký thuê đất để tổ chức hoạt động đầu tư trong cụm công nghiệp.
Phương pháp tính: Thống kê cộng dồn.
3. Phân tổ chủ yếu
Phân theo tỉnh/thành phố.
4. Kỳ công bố
Năm.
5. Nguồn số liệu
Báo cáo của Sở Công Thương các tỉnh, thành phố trực thuộc Trung ương.
6. Cơ quan chịu trách nhiệm thu thập, tổng hợp
- Chủ trì: Cục Công Thương địa phương.
- Phối hợp: Vụ Kế hoạch.
0120. Số dự án đầu tư trong cụm công nghiệp
1. Mục đích, ý nghĩa
Phản ánh được số lượng các dự án đầu tư đã thu hút vào trong các cụm công nghiệp trên địa bàn tỉnh, thành phố.
2. Khái niệm, nội dung, phương pháp tính
Dự án đầu tư trong cụm công nghiệp là dự án đầu tư được cấp có thẩm quyền cấp phép đầu tư, đang sản xuất kinh doanh hoặc đang tiến hành đầu tư xây dựng trong cụm công nghiệp.
Phương pháp tính: Thống kê cộng dồn.
3. Phân tổ chủ yếu
Phân theo tỉnh/thành phố.
4. Kỳ công bố
Năm.
5. Nguồn số liệu
Báo cáo của Sở Công Thương các tỉnh, thành phố trực thuộc Trung ương.
6. Cơ quan chịu trách nhiệm thu thập, tổng hợp
- Chủ trì: Cục Công Thương địa phương.
- Phối hợp: Vụ Kế hoạch.
0121. Tỷ lệ lấp đầy bình quân của các cụm công nghiệp
1. Mục đích, ý nghĩa
Phản ánh được tỷ lệ lấp đầy bình quân diện tích đất công nghiệp của các cụm công nghiệp đang hoạt động trên địa bàn tỉnh, thành phố.
2. Khái niệm, nội dung, phương pháp tính
Tỷ lệ lấp đầy bình quân của các cụm công nghiệp là tỷ lệ phần trăm (%) giữa tổng diện tích đất công nghiệp đã cho tổ chức, cá nhân thuê, thuê lại để sản xuất, kinh doanh trên tổng diện tích đất công nghiệp của các cụm công nghiệp. Phương pháp tính:
|
Tỷ lệ lấp đầy bình quân của các cụm công nghiệp |
= |
Tổng diện tích đất công nghiệp đã cho tổ chức, cá nhân thuê, thuê lại để sản xuất, kinh doanh |
x 100 |
|
Tổng diện tích đất công nghiệp của các cụm công nghiệp |
3. Phân tổ chủ yếu
Phân theo tỉnh/thành phố.
4. Kỳ công bố
Năm.
5. Nguồn số liệu
Báo cáo của Sở Công Thương các tỉnh, thành phố trực thuộc Trung ương.
6. Cơ quan chịu trách nhiệm thu thập, tổng hợp
- Chủ trì: Cục Công Thương địa phương.
- Phối hợp: Vụ Kế hoạch.
0122. Số cụm công nghiệp được hỗ trợ lập quy hoạch chi tiết; hỗ trợ sửa chữa, nâng cấp hệ thống xử lý ô nhiễm môi trường tại các cụm công nghiệp từ nguồn kinh phí khuyến công
1. Mục đích, ý nghĩa
Phản ánh số lượng các cụm công nghiệp được hỗ trợ lập quy hoạch chi tiết; hỗ trợ sửa chữa, nâng cấp hệ thống xử lý ô nhiễm môi trường từ nguồn kinh phí khuyến công (quốc gia, địa phương) trên địa bàn tỉnh, thành phố.
2. Khái niệm, nội dung, phương pháp tính
Số cụm công nghiệp được hỗ trợ lập quy hoạch chi tiết; hỗ trợ sửa chữa, nâng cấp hệ thống xử lý ô nhiễm môi trường từ nguồn kinh phí khuyến công là số cụm công nghiệp được hỗ trợ theo nguồn kinh phí khuyến công (quốc gia, địa phương).
Phương pháp tính: Thống kê cộng dồn.
3. Phân tổ chủ yếu
- Phân theo tỉnh/thành phố.
- Phân theo nguồn kinh phí khuyến công (quốc gia, địa phương).
4. Kỳ công bố
Năm.
5. Nguồn số liệu
Chế độ báo cáo thống kê áp dụng đối với Sở Công Thương các tỉnh, thành phố trực thuộc Trung ương.
6. Cơ quan chịu trách nhiệm thu thập, tổng hợp
- Chủ trì: Cục Công Thương địa phương.
- Phối hợp: Vụ Kế hoạch.
0123. Số người được đào tạo từ nguồn kinh phí khuyến công
1. Mục đích, ý nghĩa
Số người được đào tạo từ nguồn kinh phí khuyến công là chỉ tiêu phản ánh kết quả của chương trình khuyến công quốc gia thực hiện nội dung hoạt động khuyến công trong công tác đào tạo, là cơ sở để đánh giá hiệu quả sử dụng kinh phí khuyến công trên địa bàn tỉnh, thành phố.
2. Khái niệm, nội dung, phương pháp tính
Số người được đào tạo từ nguồn kinh phí khuyến công bao gồm: Số lao động được đào tạo nghề, truyền nghề, nâng cao tay nghề; đào tạo, nâng cao năng lực quản lý doanh nghiệp, khởi sự doanh nghiệp; đào tạo nhận thức và năng lực áp dụng sản xuất sạch hơn trong sản xuất công nghiệp; đào tạo bồi dưỡng chuyên môn nghiệp vụ cho cán bộ làm công tác khuyến công.
Phương pháp tính: Thống kê cộng dồn.
3. Phân tổ chủ yếu
- Phân theo tỉnh/thành phố.
- Phân theo loại hình đào tạo.
- Phân theo nguồn kinh phí khuyến công (quốc gia, địa phương).
4. Kỳ công bố
Năm.
5. Nguồn số liệu
Chế độ báo cáo thống kê áp dụng đối với Sở Công Thương các tỉnh, thành phố trực thuộc Trung ương.
6. Cơ quan chịu trách nhiệm thu thập, tổng hợp
- Chủ trì: Cục Công Thương địa phương.
- Phối hợp: Vụ Kế hoạch.
0124. Số cuộc hội thảo, tập huấn chuyên đề từ nguồn kinh phí khuyến công
1. Mục đích, ý nghĩa
Số cuộc hội thảo, tập huấn chuyên đề từ nguồn kinh phí khuyến công là chỉ tiêu phản ánh kết quả của chương trình khuyến công quốc gia thực hiện các nội dung hoạt động khuyến công, là cơ sở để đánh giá hiệu quả sử dụng kinh phí khuyến công trên địa bàn tỉnh, thành phố.
2. Khái niệm, nội dung, phương pháp tính
- Số cuộc hội thảo, tập huấn chuyên đề từ nguồn kinh phí khuyến công bao gồm các cuộc hội thảo, tập huấn, diễn đàn theo chuyên đề: Phổ biến chính sách, kinh nghiệm; Nâng cao năng lực chuyên môn; Giới thiệu, tiếp cận và mở rộng thị trường trong sản xuất, tiêu thụ, xuất khẩu sản phẩm công nghiệp nông thôn.
Phương pháp tính: Thống kê cộng dồn
3. Phân tổ chủ yếu
- Phân theo tỉnh/thành phố
- Phân theo nguồn kinh phí khuyên công (quốc gia, địa phương).
4. Kỳ công bố
Năm.
5. Nguồn số liệu
Chế độ báo cáo thống kê áp dụng đối với Sở Công Thương các tỉnh, thành phố trực thuộc Trung ương.
6. Cơ quan chịu trách nhiệm thu thập, tổng hợp
- Chủ trì: Cục Công Thương địa phương.
- Phối hợp: Vụ Kế hoạch.
0125. Số cơ sở công nghiệp nông thôn được hỗ trợ xây dựng mô hình trình diễn kỹ thuật; mô hình thí điểm sản xuất sạch hơn; chuyển giao công nghệ; ứng dụng máy móc tiên tiến từ nguồn kinh phí khuyến công
1. Mục đích, ý nghĩa
Số cơ sở công nghiệp nông thôn được hỗ trợ xây dựng mô hình trình diễn kỹ thuật; mô trình thí điểm sản xuất sạch hơn; chuyển giao công nghệ; ứng dụng máy móc tiên tiến là chỉ tiêu phản ánh kết quả của chương trình khuyến công quốc gia thực hiện các nội dung hoạt động khuyến công, là cơ sở để đánh giá hiệu quả sử dụng kinh phí khuyến công trên địa bàn tỉnh/thành phố.
2. Khái niệm, nội dung, phương pháp tính
Số cơ sở công nghiệp nông thôn được hỗ trợ xây dựng mô hình trình diễn kỹ thuật; mô trình thí điểm sản xuất sạch hơn; chuyển giao công nghệ; ứng dụng máy móc tiên tiến là tổng số các cơ sở công nghiệp nông thôn đã được kinh phí khuyến công quốc gia hoặc kinh phí khuyến công địa phương hỗ trợ để xây dựng mô hình trình diễn kỹ thuật; mô trình thí điểm sản xuất sạch hơn; chuyển giao công nghệ; ứng dụng máy móc tiên tiến đến thời điểm báo cáo.
Phương pháp tính: Thống kê cộng dồn
3. Phân tổ chủ yếu
- Phân theo tỉnh/thành phố.
- Phân theo nguồn kinh phí khuyến công (quốc gia, địa phương).
4. Kỳ công bố
Năm.
5. Nguồn số liệu
Chế độ báo cáo thống kê áp dụng đối với Sở Công Thương các tỉnh, thành phố trực thuộc Trung ương.
6. Cơ quan chịu trách nhiệm thu thập, tổng hợp
- Chủ trì: Cục Công Thương địa phương.
- Phối hợp: Vụ Kế hoạch.
0126. Số cơ sở công nghiệp nông thôn tham gia hội chợ được hỗ trợ từ nguồn kinh phí khuyến công
1. Mục đích, ý nghĩa
Số cơ sở công nghiệp nông thôn tham gia hội chợ được hỗ trợ từ nguồn kinh phí khuyến công là chỉ tiêu phản ánh kết quả của Chương trình khuyến công quốc gia khi thực hiện nội dung hoạt động khuyến công, là cơ sở để đánh giá hiệu quả sử dụng kinh phí khuyến công trên địa bàn tỉnh, thành phố.
2. Khái niệm, nội dung, phương pháp tính
- Số các cơ sở công nghiệp nông thôn tham gia hội chợ được hỗ trợ từ nguồn kinh phí khuyến công là số lượng các cơ sở công nghiệp nông thôn được kinh phí khuyến công hỗ trợ một phần kinh phí khi tham gia các hội chợ triển lãm trong và ngoài nước.
Phương pháp tính: Thống kê cộng dồn.
3. Phân tổ chủ yếu
- Phân theo tỉnh/thành phố.
- Phân theo nguồn kinh phí khuyến công (quốc gia, địa phương).
4. Kỳ công bố
Năm.
5. Nguồn số liệu
Chế độ báo cáo thống kê áp dụng đối với Sở Công Thương các tỉnh, thành phố trực thuộc Trung ương.
6. Cơ quan chịu trách nhiệm thu thập, tổng hợp
- Chủ trì: Cục Công Thương địa phương.
- Phối hợp: Vụ Kế hoạch.
0127. Số cơ sở công nghiệp nông thôn có sản phẩm đạt giải sản phẩm công nghiệp nông thôn tiêu biểu các cấp được hỗ trợ đầu tư phòng trưng bày sản phẩm
1. Mục đích, ý nghĩa
Số cơ sở công nghiệp nông thôn có sản phẩm đạt giải sản phẩm công nghiệp nông thôn tiêu biểu các cấp được hỗ trợ đầu tư phòng trưng bày sản phẩm là chỉ tiêu phản ánh kết quả của Chương trình khuyến công quốc gia khi thực hiện nội dung hoạt động khuyến công, là cơ sở để đánh giá hiệu quả sử dụng kinh phí khuyến công trên địa bàn tỉnh, thành phố.
2. Khái niệm, nội dung, phương pháp tính
Số các cơ sở công nghiệp nông thôn tham có sản phẩm đạt giải sản phẩm công nghiệp nông thôn tiêu biểu các cấp được hỗ trợ đầu tư phòng trưng bày sản phẩm là số lượng các cơ sở công nghiệp nông thôn được kinh phí khuyến công hỗ trợ một phần kinh phí để đầu tư phòng trưng bày sản phẩm.
Phương pháp tính: Thống kê cộng dồn.
3. Phân tổ chủ yếu
- Phân theo tỉnh/thành phố.
- Phân theo nguồn kinh phí khuyến công (quốc gia, địa phương).
4. Kỳ công bố
Năm.
5. Nguồn số liệu
Chế độ báo cáo thống kê áp dụng đối với Sở Công Thương các tỉnh, thành phố trực thuộc Trung ương.
6. Cơ quan chịu trách nhiệm thu thập, tổng hợp
- Chủ trì: Cục Công Thương địa phương.
- Phối hợp: Vụ Kế hoạch.
0128. Số cơ sở công nghiệp nông thôn được hỗ trợ các hoạt động tư vấn, đánh giá từ nguồn kinh phí khuyến công
1. Mục đích, ý nghĩa
Số cơ sở công nghiệp nông thôn hỗ trợ các hoạt động tư vấn, đánh giá từ nguồn kinh phí khuyến công là chỉ tiêu phản ánh kết quả của Chương trình khuyến công quốc gia khi thực hiện nội dung hoạt động khuyến công, là cơ sở để đánh giá hiệu quả sử dụng kinh phí khuyến công trên địa bàn tỉnh, thành phố.
2. Khái niệm, nội dung, phương pháp tính
Số các cơ sở công nghiệp nông thôn được hỗ trợ các hoạt động tư vấn, đánh giá từ nguồn kinh phí khuyến công là số lượng các cơ sở công nghiệp nông thôn được kinh phí khuyến công hỗ trợ trợ giúp tư vấn về các nội dung như thành lập doanh nghiệp, nâng cao năng suất, hiệu quả quản lý nhân sự, quản lý sản xuất, quản lý tài chính, phát triển mở rộng thị trường, ….
Phương pháp tính: Thống kê cộng dồn.
3. Phân tổ chủ yếu
- Phân theo tỉnh/thành phố.
- Phân theo nguồn kinh phí khuyến công (quốc gia, địa phương).
4. Kỳ công bố
Năm.
5. Nguồn số liệu
Chế độ báo cáo thống kê áp dụng đối với Sở Công Thương các tỉnh, thành phố trực thuộc Trung ương.
6. Cơ quan chịu trách nhiệm thu thập, tổng hợp
- Chủ trì: Cục Công Thương địa phương.
- Phối hợp: Vụ Kế hoạch.
0129. Số sản phẩm công nghiệp nông thôn tiêu biểu được bình chọn có hỗ trợ từ nguồn kinh phí khuyến công
1. Mục đích, ý nghĩa
Số sản phẩm công nghiệp nông thôn tiêu biểu có hỗ trợ từ nguồn kinh phí khuyến công là chỉ tiêu phản ánh kết quả của Chương trình khuyến công quốc gia khi thực hiện nội dung hoạt động khuyến công, là cơ sở để đánh giá hiệu quả sử dụng kinh phí khuyến công trên địa bàn tỉnh, thành phố.
2. Khái niệm, nội dung, phương pháp tính
Số sản phẩm công nghiệp nông thôn tiêu biểu có hỗ trợ từ nguồn kinh phí khuyến công là số lượng sản phẩm của các cơ sở công nghiệp nông thôn có chất lượng, giá trị sử dụng cao; có tiềm năng phát triển sản xuất, mở rộng thị trường; đáp ứng được một số tiêu chí cơ bản về kinh tế, kỹ thuật, xã hội, về sử dụng nguồn nguyên liệu, giải quyết việc làm cho người lao động và thỏa mãn các yêu cầu về bảo vệ môi trường.
Phương pháp tính: Thống kê cộng dồn.
3. Phân tổ chủ yếu.
- Phân theo tỉnh/thành phố
- Phân theo nguồn kinh phí khuyến công (quốc gia, địa phương).
4. Kỳ công bố
Năm.
5. Nguồn số liệu
Chế độ báo cáo thống kê áp dụng đối với Sở Công Thương các tỉnh, thành phố trực thuộc Trung ương.
6. Cơ quan chịu trách nhiệm thu thập, tổng hợp
- Chủ trì: Cục Công Thương địa phương.
- Phối hợp: Vụ Kế hoạch.
0130. Số lao động làm việc tại các Trung tâm khuyến công và Tư vấn phát triển công nghiệp
1. Mục đích, ý nghĩa
Số lao động làm việc tại các Trung tâm khuyến công và Tư vấn phát triển công nghiệp (Trung tâm khuyến công cấp tỉnh) là chỉ tiêu phản ánh thực trạng công tác quản lý nhà nước về khuyến công tại các tỉnh/thành phố, làm cơ sở để đánh giá sự phát triển của hoạt động khuyến công thực hiện trên địa bàn tỉnh, thành phố.
2. Khái niệm, nội dung, phương pháp tính
Số lao động làm việc tại các Trung tâm khuyến công và Tư vấn phát triển công nghiệp là số lượng người đang trực tiếp làm việc tại các Trung tâm khuyến công và Tư vấn phát triển công nghiệp trực thuộc tỉnh bao gồm cả biên chế và lao động hợp đồng.
Phương pháp tính: Thống kê cộng dồn.
3. Phân tổ chủ yếu
Phân theo tỉnh/thành phố.
4. Kỳ công bố
Năm.
5. Nguồn số liệu
Báo cáo của Sở Công Thương các tỉnh, thành phố trực thuộc Trung ương.
6. Cơ quan chịu trách nhiệm thu thập, tổng hợp
- Chủ trì: Cục Công Thương địa phương.
- Phối hợp: Vụ Kế hoạch.
0131. Số vụ tai nạn lao động trong ngành công nghiệp
1. Mục đích, ý nghĩa
Là chỉ tiêu phản ánh quy mô, mức độ tai nạn lao động, làm cơ sở đề ra các kế hoạch, chính sách nhằm ngăn ngừa, hạn chế tai nạn lao động và bảo vệ, chăm sóc cho người lao động.
2. Khái niệm, nội dung, phương pháp tính
Số vụ tai nạn lao động trong ngành công nghiệp là những vụ tai nạn, sự cố gây tổn hại về người, thiết bị, vật tư trong quá trình vận hành, sản xuất, làm việc tại cơ sở.
- Một lần tai nạn lao động xảy ra tại một địa điểm nhất định thì được gọi là một vụ tai nạn lao động.
- Số người bị tai nạn lao động gồm những người bị thương và chết do tai nạn lao động gây ra.
- Số người bị thương do tai nạn lao động gồm toàn bộ số người bị thương phải điều trị trong các vụ tai nạn lao động xảy ra trên địa bàn trong kỳ báo cáo.
- Số người chết do tai nạn lao động gồm toàn bộ số người bị chết trong các vụ tai nạn lao động xảy ra trên địa bàn trong kỳ báo cáo.
- Số vụ tai nạn lao động được xác định theo báo cáo trực tiếp của cơ sở sử dụng lao động.
3. Phân tổ chủ yếu
- Phân theo doanh nghiệp.
- Phân theo tỉnh/thành phố.
4. Kỳ công bố
Năm.
5. Nguồn số liệu
- Điều tra lao động - việc làm hàng năm.
- Báo cáo hàng năm về công tác An toàn vệ sinh lao động và phòng chống cháy nổ của doanh nghiệp.
6. Cơ quan chịu trách nhiệm thu thập, tổng hợp
- Chủ trì: Cục Kỹ thuật an toàn và Môi trường công nghiệp.
- Phối hợp: Vụ Kế hoạch.
0132. Số người bị tai nạn lao động trong ngành công nghiệp
1. Mục đích, ý nghĩa
Là chỉ tiêu phản ánh quy mô, mức độ tai nạn lao động, làm cơ sở đề ra các kế hoạch, chính sách nhằm bảo vệ và chăm sóc cho người lao động.
2. Khái niệm, nội dung, phương pháp tính
Người bị tai nạn lao động trong ngành công nghiệp là người bị tổn thương một hoặc nhiều bộ phận cơ thể hoặc chức năng làm suy giảm về thể chất, thần kinh, trí tuệ hoặc tử vong trong quá trình tham gia làm việc tại cơ sở.
Người bị tai nạn lao động được xác định theo báo cáo trực tiếp của cơ sở sử dụng lao động hoặc theo số liệu thống kê của bảo hiểm xã hội và được phân loại dựa vào khung phân loại. Theo đó đánh giá, phân loại mức độ tai nạn lao động (nặng, nhẹ, tử vong).
3. Phân tổ chủ yếu
- Phân theo doanh nghiệp thuộc Bộ.
- Phân theo tỉnh/thành phố.
4. Kỳ công bố
Năm.
5. Nguồn số liệu
- Điều tra lao động - việc làm hàng năm.
- Báo cáo hàng năm về công tác An toàn vệ sinh lao động và phòng chống cháy nổ của doanh nghiệp.
6. Cơ quan chịu trách nhiệm thu thập, tổng hợp
- Chủ trì: Cục Kỹ thuật an toàn và Môi trường công nghiệp.
- Phối hợp: Vụ Kế hoạch.
0133. Số ngày công nghỉ vì tai nạn lao động trong ngành công nghiệp
1. Mục đích, ý nghĩa
Là chỉ tiêu phản ánh tổng số ngày nghỉ không làm việc của người lao động do bị tai nạn lao động, là cơ sở để nghiên cứu xây dựng kế hoạch bảo hộ lao động trong doanh nghiệp.
2. Khái niệm, nội dung, phương pháp tính
Số ngày công nghỉ về tai nạn lao động của người lao động bằng tổng số ngày nghỉ không làm việc theo quy định của người lao động do bị tai nạn lao động.
Phương pháp tính:
Số ngày công nghỉ vì tai nạn lao động = Tổng số ngày nghỉ của một người lao động sau tai nạn lao động x Tổng số người lao động nghỉ không làm việc vì tai nạn lao động.
3. Phân tổ chủ yếu
- Phân theo doanh nghiệp thuộc Bộ.
- Phân theo tỉnh/thành phố.
4. Kỳ công bố
Năm.
5. Nguồn số liệu
- Điều tra lao động - việc làm hàng năm.
- Báo cáo hàng năm về công tác An toàn vệ sinh, lao động và phòng chống cháy nổ của doanh nghiệp.
6. Cơ quan chịu trách nhiệm thu thập, tổng hợp
- Chủ trì: Cục Kỹ thuật an toàn và Môi trường công nghiệp.
- Phối hợp: Vụ Kế hoạch.
0134. Tổng số người mắc bệnh nghề nghiệp trong ngành công nghiệp
1. Mục đích, ý nghĩa
Là chỉ tiêu phản ánh tình hình người lao động bị mắc/chết do các bệnh nghề nghiệp trong ngành công nghiệp, là căn cứ đề ra các biện pháp để hạn chế hoặc ngăn ngừa tác hại của bệnh nghề nghiệp trong công tác an toàn vệ sinh lao động.
2. Khái niệm, nội dung, phương pháp tính
Người mắc bệnh nghề nghề nghiệp trong ngành công nghiệp là những người bị mắc các bệnh trong quá trình làm việc theo nghề nghiệp (bụi phổi, điếc nghề nghiệp,...).
Các bệnh nghề nghiệp gồm: Bệnh bụi phổi-Silic nghề nghiệp; bệnh bụi phổi Atbet (Amiăng); bệnh bụi phổi bông; bệnh viêm phế quản mãn tính nghề nghiệp; bệnh nhiễm độc chì và các hợp chất chì; bệnh nhiễm độc benzen và các hợp chất đồng đẳng của benzen; bệnh nhiễm độc thủy ngân và các hợp chất của thủy ngân; bệnh nhiễm độc mangan và các hợp chất của mangan; bệnh nhiễm độc TNT (trinitro toluen); bệnh nhiễm độc asen và các chất asen nghề nghiệp; bệnh nhiễm độc chất Nicotin nghề nghiệp; bệnh nhiễm độc hoá chất trừ sâu nghề nghiệp; bệnh do quang tuyến X và các chất phóng xạ; bệnh điếc do tiếng ồn; bệnh rung chuyển nghề nghiệp; bệnh giảm áp mãn tính nghề nghiệp; bệnh sạm da nghề nghiệp; bệnh loét da, loét vách ngăn mũi, viêm da, chàm tiếp xúc; bệnh lao nghề nghiệp; bệnh viêm gan virut nghề nghiệp; bệnh do xoắn khuẩn Leptospira nghề nghiệp; bệnh hen phế quản nghề nghiệp; bệnh nhiễm độc cacbonmonoxit nghề nghiệp; bệnh nốt dầu nghề nghiệp; bệnh viêm loét da, viêm móng và xung quanh móng nghề nghiệp; bệnh bụi phổi than.
Phạm vi thống kê số người mắc, số người chết do các bệnh nghề nghiệp trong kỳ báo cáo gồm số người mắc, số người chết do mắc bệnh nghề nghiệp.
3. Phân tổ chủ yếu
- Phân theo doanh nghiệp thuộc Bộ.
- Phân theo tỉnh/thành phố.
4. Kỳ công bố
Năm.
5. Nguồn số liệu
- Điều tra lao động - việc làm hàng năm.
- Báo cáo hàng năm về công tác An toàn vệ sinh lao động và phòng chống cháy nổ của doanh nghiệp.
6. Cơ quan chịu trách nhiệm thu thập, tổng hợp
- Chủ trì: Cục Kỹ thuật an toàn và Môi trường công nghiệp.
- Phối hợp: Vụ Kế hoạch.
0135. Tổng lượng nước thải công nghiệp
1. Mục đích, ý nghĩa
Phản ánh lượng nước thải phát sinh của các ngành công nghiệp thải vào môi trường xung quanh, đánh giá mức độ thay đổi về lượng nước thải các ngành công nghiệp qua từng năm hoặc từng giai đoạn phục vụ cho việc đánh giá khả năng gây tác động từ hoạt động sản xuất công nghiệp đến môi trường nước mặt và nước ngầm để có những biện pháp quản lý phù hợp.
2 Khái niệm, nội dung, phương pháp tính
Nước thải công nghiệp là nước thải được thải ra từ hoạt động sản xuất, kinh doanh, dịch vụ công nghiệp thải ra môi trường từ các cơ sở sản xuất, chế biến, kinh doanh công nghiệp, gồm các ngành: Cơ khí, luyện kim, điện, dầu khí, hóa chất, công nghiệp khai thác mỏ và chế biến khoáng sản, công nghiệp tiêu dùng, công nghiệp thực phẩm và công nghiệp chế biến khác...
Phương pháp tính:
Tổng lượng nước thải công nghiệp cả nước bằng (=) tổng số lưu lượng nước thải của các cơ sở sản xuất, chế biến, kinh doanh công nghiệp trong cả nước.
Việc xác định lưu lượng nước thải công nghiệp của các cơ sở sản xuất, chế biến, kinh doanh công nghiệp căn cứ vào Báo cáo Kết quả giám sát môi trường định kỳ và Báo cáo Kết quả điều tra, khảo sát của cơ quan quản lý theo quy định.
- Đơn vị tính: m3
3. Phân tổ chủ yếu
Phân theo doanh nghiệp.
- Phân theo ngành công nghiệp.
- Phân theo tỉnh/thành phố.
4. Kỳ công bố
Năm.
5. Nguồn số liệu
- Báo cáo về môi trường của doanh nghiệp.
- Chế độ báo cáo thống kê áp dụng đối với các doanh nghiệp thuộc Bộ.
- Điều tra thống kê chỉ tiêu về môi trường ngành, lĩnh vực công nghiệp.
6. Cơ quan chịu trách nhiệm thu thập, tổng hợp
- Chủ trì: Cục Kỹ thuật an toàn và Môi trường công nghiệp.
- Phối hợp: Vụ Kế hoạch.
0136. Số cụm công nghiệp có hệ thống xử lý nước thải tập trung đạt tiêu chuẩn môi trường
1. Mục đích, ý nghĩa
Phản ánh mức độ tuân thủ các quy định của pháp luật về bảo vệ môi trường của các tổ chức quản lý, kinh doanh kết cấu hạ tầng cụm công nghiệp và các doanh nghiệp sản xuất, kinh doanh trong cụm công nghiệp.
Thống kê chỉ tiêu này giúp cơ quan quản lý tình hình về bảo vệ môi trường cụm công nghiệp tại các địa phương để có biện pháp kiểm tra, giám sát, đôn đốc kịp thời.
2. Khái niệm, nội dung, phương pháp tính
Hệ thống xử lý nước thải tập trung là hệ thống xử lý nước thải mà ở đó các nguồn phát sinh nước thải được thu gom vào hệ thống chung.
Cụm công nghiệp có hệ thống xử lý nước thải tập trung là cụm công nghiệp mà nước thải từ các cơ sở sản xuất, kinh doanh, dịch vụ trong cụm công nghiệp được thu gom vào hệ thống xử lý nước thải chung hoặc đấu nối với hệ thống xử lý nước thải chung khác để tiến hành xử lý
Số cụm công nghiệp có hệ thống xử lý nước thải tập trung đạt tiêu chuẩn môi trường là tổng số các cụm công nghiệp có hệ thống xử lý nước thải mà nước thải sau xử lý đạt tiêu chuẩn môi trường về nước thải công nghiệp.
Phương pháp tính:
Số cụm công nghiệp có hệ thống xử lý nước thải tập trung đạt tiêu chuẩn môi trường cả nước bằng (=) tổng số cụm công nghiệp có hệ thống xử lý nước thải tập trung đạt tiêu chuẩn môi trường của các tỉnh, thành phố.
- Đơn vị tính: Cụm công nghiệp
Việc đánh giá cụm công nghiệp có hệ thống xử lý nước thải tập trung đạt tiêu chuẩn môi trường sẽ căn cứ vào báo cáo của các cơ sở kinh doanh hạ tầng cụm công nghiệp, báo cáo của cơ quan quản lý cụm công nghiệp của địa phương và kết quả kiểm tra, thanh tra môi trường của các cơ quan chức năng.
3. Phân tổ chủ yếu
- Phân theo ngành công nghiệp.
- Phân theo tỉnh/thành phố.
4. Kỳ công bố
Năm.
5. Nguồn số liệu
- Báo cáo thống kê áp dụng đối với Sở Công Thương các tỉnh, thành phố trực thuộc Trung ương.
- Điều tra thống kê các chỉ tiêu về môi trường ngành, lĩnh vực công nghiệp.
6. Cơ quan chịu trách nhiệm thu thập, tổng hợp
- Chủ trì: Cục Kỹ thuật an toàn và Môi trường công nghiệp.
- Phối hợp: Vụ Kế hoạch.
0137. Tỷ lệ cụm công nghiệp đang hoạt động có hệ thống xử lý nước thải tập trung đạt tiêu chuẩn môi trường
1. Mục đích, ý nghĩa
Phản ánh được tỷ lệ cụm công nghiệp đang hoạt động có hệ thống nước thải tập trung đạt tiêu chuẩn môi trường trên địa bàn tỉnh, thành phố.
2. Khái niệm, phương pháp tính
Tỷ lệ cụm công nghiệp đang hoạt động có hệ thống xử lý nước thải tập trung đạt tiêu chuẩn môi trường là tỷ lệ phần trăm (%) giữa số cụm công nghiệp đang hoạt động có hệ thống xử lý nước thải tập trung đạt tiêu chuẩn môi trường trong tổng số các cụm công nghiệp đang hoạt động.
Phương pháp tính:
|
Tỷ lệ cụm công nghiệp đang hoạt động có hệ thống xử lý nước thải tập trung đạt tiêu chuẩn môi trường (%) |
= |
Số cụm công nghiệp đang hoạt động có hệ thống xử lý nước thải tập trung đạt tiêu chuẩn môi trường |
x 100 |
|
Tổng số cụm công nghiệp đang hoạt động |
3. Phân tổ chủ yếu
- Tỉnh, thành phố trực thuộc Trung ương.
- Vùng kinh tế - xã hội.
4. Kỳ công bố
Năm.
5. Nguồn số liệu
- Chế độ báo cáo thống kê cấp quốc gia.
- Chế độ báo cáo thống kê áp dụng đối với Sở Công Thương các tỉnh, thành phố trực thuộc Trung ương.
6. Đơn vị chịu trách nhiệm thu thập, tổng hợp
- Chủ trì: Cục Công Thương địa phương.
- Phối hợp: Vụ Kế hoạch.
0138. Tổng lượng khí thải công nghiệp
1. Mục đích, ý nghĩa
Phản ánh khối lượng khí thải từ hoạt động sản xuất của các doanh nghiệp công nghiệp phát thải vào khí quyển góp phần làm gia tăng hiệu ứng nhà kính.
2. Khái niệm, nội dung, phương pháp tính
Khí thải công nghiệp là chất thải tồn tại ở trạng thái khí hoặc hơi phát sinh từ hoạt động sản xuất, kinh doanh, dịch vụ công nghiệp thải ra môi trường không khí gồm các thành phần chủ yếu như: CO2, CO, SO2, NO2.
Phương pháp tính:

Trong đó: MKT: tổng lượng khí thải công nghiệp của các doanh nghiệp sản xuất, kinh doanh, dịch vụ công nghiệp.
Mi: Lượng khí thải công nghiệp của một doanh nghiệp.
i: Doanh nghiệp
Việc thống kê lượng khí thải công nghiệp tiến hành theo phương pháp tổng hợp lượng khí thải hàng năm theo các Báo cáo kết quả quan trắc/Báo cáo môi trường của các doanh nghiệp thuộc ngành Công Thương.
- Đơn vị tính: m3
3. Phân tổ chủ yếu
- Phân theo doanh nghiệp.
- Phân theo ngành công nghiệp.
- Phân theo tỉnh/thành phố.
4. Kỳ công bố
Năm.
5. Nguồn số liệu
- Báo cáo về môi trường của doanh nghiệp.
- Điều tra thống kê các chỉ tiêu về môi trường trong ngành, lĩnh vực công nghiệp.
6. Cơ quan chịu trách nhiệm thu thập, tổng hợp
- Chủ trì: Cục Kỹ thuật an toàn và Môi trường công nghiệp.
- Phối hợp: Vụ Kế hoạch.
0139. Lượng phát thải khí nhà kính bình quân đầu người
1. Khái niệm, phương pháp tính
Khí nhà kính là loại khí trong khí quyển gây hiệu ứng nhà kính. Khí nhà kính gồm các khí trong tự nhiên và các khí sinh ra do hoạt động của con người, hấp thụ và phát xạ bức xạ ở các bước sóng cụ thể trong khoảng phổ của bức xạ hồng ngoại nhiệt phát ra từ bề mặt trái đất, khí quyển và bởi mây. Các đặc tính này gây ra hiệu ứng nhà kính, chỉ hiệu ứng giữ nhiệt ở tầng thấp của khí quyển bởi các khí nhà kính hấp thụ bức xạ từ mặt đất phát ra và phát xạ trở lại mặt đất làm cho lớp khí quyển tầng thấp và bề mặt trái đất ấm lên. Theo Nghị định thư Kyoto, các khí thải gây hiệu ứng nhà kính chủ yếu gồm CO2, CH4, N2O, HFCs, PFCs, SF6.
Lượng các khí thải hiệu ứng nhà kính được tính quy đổi ra lượng khí thải CO2, được thu thập số liệu trên phạm vi cả nước.
Phương pháp tính:
|
Lượng khí thải hiệu ứng nhà kính bình quân đầu người |
= |
Tổng lượng khí thải hiệu ứng nhà kính quy đổi ra CO2 trong năm |
|
Dân số trung bình |
Lượng khí thải hiệu ứng nhà kính của từng loại khí tính theo công thức tương tự.
2. Phân tổ chủ yếu
- Loại khí thải.
- Nguồn phát thải.
3. Kỳ công bố
2 năm.
4. Nguồn số liệu
- Dữ liệu hành chính.
- Chế độ báo cáo thống kê cấp quốc gia.
5. Cơ quan chịu trách nhiệm thu thập, tổng hợp
- Chủ trì: Cục Kỹ thuật an toàn và Môi trường công nghiệp.
- Phối hợp: Vụ Kế hoạch.
140. Tổng lượng chất thải rắn công nghiệp thông thường
1. Mục đích, ý nghĩa
Phản ánh khối lượng chất thải rắn thông thường phát sinh ra môi trường từ hoạt động sản xuất của các doanh nghiệp công nghiệp. Đánh giá mức độ gia tăng chất thải rắn thông thường phát sinh từ các ngành công nghiệp qua từng thời kỳ, giúp cho công tác quy hoạch hệ thống xử lý chất thải rắn phù hợp với nhu cầu thực tiễn.
2. Khái niệm, nội dung, phương pháp tính
Chất thải rắn công nghiệp thông thường là chất thải rắn phát sinh từ hoạt động hoạt động sản xuất, kinh doanh, dịch vụ công nghiệp không thuộc danh mục chất thải nguy hại hoặc thuộc danh mục chất thải nguy hại nhưng có yếu tố nguy hại dưới ngưỡng chất thải nguy hại.
Lượng chất thải rắn công nghiệp thông thường là tổng khối lượng chất thải rắn thông thường của các doanh nghiệp sản xuất, chế biến, kinh doanh thuộc ngành Công Thương.
Phương pháp tính:

Trong đó: MCTR: Tổng lượng chất thải rắn công nghiệp thông thường
Mi: Lượng chất thải rắn thông thường của 1 doanh nghiệp sản xuất chế biến kinh doanh công nghiệp.
i: Doanh nghiệp
- Đơn vị tính: Tấn
Việc thống kê lượng chất thải rắn công nghiệp thông thường tiến hành theo phương pháp tổng hợp lượng chất thải rắn thông thường phát sinh hàng năm của các doanh nghiệp sản xuất, chế biến, kinh doanh thuộc ngành Công Thương.
3. Phân tổ chủ yếu
- Phân theo doanh nghiệp.
- Phân theo ngành công nghiệp.
- Phân theo tỉnh/thành phố.
4. Kỳ công bố
Năm.
5. Nguồn số liệu
- Báo cáo về môi trường của doanh nghiệp.
- Điều tra thống kê các chỉ tiêu về môi trường ngành, lĩnh vực công nghiệp.
6. Cơ quan chịu trách nhiệm thu thập, tổng hợp
- Chủ trì: Cục Kỹ thuật an toàn và Môi trường công nghiệp.
- Phối hợp: Vụ Kế hoạch.
0141. Tổng lượng chất thải rắn công nghiệp nguy hại
1. Mục đích, ý nghĩa
Phản ánh khối lượng chất thải rắn nguy hại phát sinh ra môi trường từ hoạt động sản xuất của các doanh nghiệp công nghiệp, đánh giá nhu cầu xử lý chất thải nguy hại của ngành công nghiệp, giúp công tác quy hoạch hệ thống xử lý chất thải nguy hại phù hợp với điều kiện thực tiễn.
2. Khái niệm, nội dung, phương pháp tính
Chất thải rắn công nghiệp nguy hại là chất thải rắn phát sinh từ hoạt động sản xuất, kinh doanh, dịch vụ công nghiệp có chứa yếu tố độc hại, phóng xạ, lây nhiễm, dễ cháy, dễ nổ, gây ăn mòn, gây ngộ độc hoặc có đặc tính nguy hại khác
Tổng lượng chất thải công nghiệp nguy hại là tổng khối lượng chất thải nguy hại của doanh nghiệp sản xuất, chế biến, kinh doanh công nghiệp căn cứ báo cáo định kỳ công tác quản lý chất thải nguy hại thực tế của doanh nghiệp.
Phương pháp tính:

Trong đó: MCTNH: Tổng lượng chất thải công nghiệp nguy hại
Mi: Lượng chất thải nguy hại của 1 doanh nghiệp sản xuất, chế biến, kinh doanh công nghiệp.
i: Doanh nghiệp
- Đơn vị tính: Kg
Việc thống kê lượng chất thải công nghiệp nguy hại tiến hành theo phương pháp tổng hợp lượng chất thải nguy hại phát sinh hàng năm của các doanh nghiệp sản xuất, chế biến, kinh doanh thuộc ngành Công Thương.
3. Phân tổ chủ yếu
- Phân theo doanh nghiệp.
- Phân theo ngành công nghiệp.
- Phân theo tỉnh/thành phố.
4. Kỳ công bố
Năm.
5. Nguồn số liệu
- Báo cáo về môi trường của doanh nghiệp.
- Điều tra thống kê các chỉ tiêu về môi trường ngành, lĩnh vực công nghiệp.
6. Cơ quan chịu trách nhiệm thu thập, tổng hợp
- Chủ trì: Cục Kỹ thuật an toàn và Môi trường công nghiệp.
- Phối hợp: Vụ Kế hoạch.
0142. Tỷ lệ chất thải nguy hại được thu gom, xử lý
1. Khái niệm, phương pháp tính
Chất thải là vật chất ở thể rắn, lỏng, khí hoặc ở dạng khác được thải ra từ hoạt động sản xuất, kinh doanh, dịch vụ, sinh hoạt hoặc hoạt động khác.
Chất thải nguy hại là chất thải chứa yếu tố độc hại, phóng xạ, lây nhiễm, dễ cháy, dễ nổ, gây ăn mòn, gây ngộ độc hoặc có đặc tính nguy hại khác.
Tỷ lệ chất thải nguy hại được thu gom, xử lý là tỷ lệ phần trăm các chất thải nguy hại được thu gom, xử lý (kể cả tái chế, đồng xử lý, thu hồi năng lượng từ chất thải nguy hại) trên tổng khối lượng chất thải nguy hại phát sinh.
Tỷ lệ này càng cao phản ánh mức độ bảo vệ môi trường càng tốt và ngược lại.
Phương pháp tính:
|
Tỷ lệ chất thải nguy hại được thu gom, xử lý (%) |
= |
Khối lượng chất thải nguy hại được thu gom, xử lý (tấn) |
x 100 |
|
Tổng khối lượng chất thải nguy hại phát sinh (tấn) |
2. Phân tổ chủ yếu
- Thu gom/xử lý;
- Tỉnh, thành phố trực thuộc Trung ương;
- Vùng kinh tế - xã hội,
3. Kỳ công bố: Năm.
4. Nguồn số liệu
- Điều tra các chỉ tiêu về bảo vệ môi trường;
- Chế độ báo cáo thống kê cấp quốc gia.
5. Cơ quan chịu trách nhiệm thu thập, tổng hợp
- Chủ trì: Cục Kỹ thuật an toàn và Môi trường công nghiệp.
- Phối hợp: Vụ Kế hoạch.
0143. Số quy chuẩn kỹ thuật quốc gia do Bộ Công Thương ban hành
1. Mục đích, ý nghĩa
Là chỉ tiêu phản ánh số tượng quy chuẩn Việt Nam do Bộ Công Thương ban hành nhằm đáp ứng các yêu cầu quản lý nhà nước về an toàn, vệ sinh, sức khỏe con người, bảo vệ môi trường, bảo vệ lợi ích và an ninh quốc gia, quyền lợi người tiêu dùng và các yêu cầu thiết yếu khác.
2. Khái niệm, nội dung, phương pháp tính
Quy chuẩn kỹ thuật là quy định về mức giới hạn của đặc tính kỹ thuật và yêu cầu quản lý mà sản phẩm, hàng hóa, dịch vụ, quá trình, môi trường và các đối tượng khác trong hoạt động kinh tế - xã hội phải tuân thủ để bảo đảm an toàn, vệ sinh, sức khoẻ con người; bảo vệ động vật, thực vật, môi trường; bảo vệ lợi ích và an ninh quốc gia, quyền lợi của người tiêu dùng và các yêu cầu thiết yếu khác.
Quy chuẩn kỹ thuật do cơ quan nhà nước có thẩm quyền ban hành dưới dạng văn bản để bắt buộc áp dụng.
Hệ thống quy chuẩn kỹ thuật của Việt Nam bao gồm:
- Quy chuẩn kỹ thuật quốc gia, ký hiệu là QCVN. Quy chuẩn kỹ thuật quốc gia do các cơ quan Chính phủ, cơ quan cấp Bộ, ngang Bộ, ban hành cho các đối tượng trong phạm vi cả nước, phạm vi ngành và liên ngành.
- Quy chuẩn kỹ thuật địa phương, ký hiệu là QCĐP. Quy chuẩn kỹ thuật địa phương do các Ủy ban Nhân dân cấp tỉnh, thành phố trực thuộc Trung ương ban hành để áp dụng trong phạm vi quản lý của địa phương đối với sản phẩm, hàng hóa, dịch vụ, quá trình đặc thù của địa phương và yêu cầu cụ thể về môi trường cho phù hợp với đặc điểm về địa lý, khí hậu, thủy văn, trình độ phát triển kinh tế - xã hội của địa phương.
Quy chuẩn kỹ thuật gồm 05 loại:
- Quy chuẩn kỹ thuật chung bao gồm: Các quy định về kỹ thuật và quản lý áp dụng cho một lĩnh vực quản lý hoặc một nhóm sản phẩm, hàng hóa, dịch vụ, quá trình.
- Quy chuẩn kỹ thuật an toàn bao gồm: Các quy định về mức, chỉ tiêu, yêu cầu liên quan đến an toàn sinh học, an toàn cháy nổ, an toàn cơ học, an toàn công nghiệp, an toàn xây dựng, an toàn nhiệt, an toàn hóa học, an toàn điện, an toàn thiết bị y tế, tương thích điện từ trường, an toàn bức xạ và hạt nhân; an toàn vệ sinh thực phẩm, an toàn dược phẩm, mỹ phẩm đối với sức khoẻ con người; vệ sinh, an toàn thức ăn chăn nuôi, phân bón, thuốc bảo vệ thực vật, thuốc thú y, chế phẩm sinh học và hoá chất dùng cho động vật, thực vật.
- Quy chuẩn kỹ thuật môi trường quy định về mức, chỉ tiêu, yêu cầu về chất lượng môi trường xung quanh, về chất thải.
- Quy chuẩn kỹ thuật quá trình quy định yêu cầu về vệ sinh, an toàn trong quá trình sản xuất, khai thác, chế biến, bảo quản, vận hành, vận chuyển, sử dụng, bảo trì sản phẩm, hàng hóa.
- Quy chuẩn kỹ thuật dịch vụ quy định yêu cầu về an toàn, vệ sinh trong dịch vụ kinh doanh, thương mại, bưu chính, viễn thông, xây dựng, giáo dục, tài chính, khoa học và công nghệ, chăm sóc sức khoẻ, du lịch, giải trí, văn hoá, thể thao, vận tải, môi trường và dịch vụ trong các lĩnh vực khác.
Bộ Công Thương ban hành các loại quy chuẩn kỹ thuật trong các lĩnh vực sau:
- An toàn kỹ thuật công nghiệp (an toàn các thiết bị chịu áp lực, thiết bị nâng, an toàn đối với thiết bị có yêu cầu an toàn đặc thù chuyên ngành công nghiệp); an toàn điện trong quản lý, vận hành trang thiết bị điện; khai thác mỏ và dầu khí (trừ các thiết bị, phương tiện thăm dò, khai thác dầu khí trên biển).
- An toàn hóa chất, vật liệu nổ công nghiệp và môi trường công nghiệp.
- An toàn trong sản xuất cơ khí, luyện kim, điện, năng lượng, khai thác dầu khí, khai thác khoáng sản, hóa chất (bao gồm cả hóa dược).
- An toàn công nghiệp tiêu dùng.
- An toàn công nghiệp thực phẩm và công nghiệp chế biến khác.
- An toàn, vệ sinh lao động (trừ máy, thiết bị, vật tư có yêu cầu nghiêm ngặt về an toàn lao động) đối với: Công nghiệp cơ khí, luyện kim; sản xuất, truyền tải, phân phối điện; năng lượng mới, năng lượng tái tạo; khai thác than; khai thác, chế biến, vận chuyển, phân phối, tồn chứa dầu khí và sản phẩm dầu khí, trừ phương tiện, thiết bị thăm dò, khai thác trên biển.
- An toàn lao động đối với các máy, thiết bị, vật tư có yêu cầu nghiêm ngặt về an toàn lao động trong nhóm máy, thiết bị, vật tư sau: vật liệu nổ công nghiệp; thiết bị áp lực, thiết bị nâng đặc thù chuyên ngành công nghiệp; trang thiết bị khai thác mỏ, dầu khí, trừ thiết bị, phương tiện thăm dò, khai thác trên biển.
- An toàn, vệ sinh lao động đối với hóa chất (bao gồm cả hóa dược), trừ hóa chất trong các cơ sở dạy nghề và các yếu tố vệ sinh lao động về hóa chất trong môi trường lao động.
- Thương mại điện tử.
- Dịch vụ trong lĩnh vực công nghiệp và thương mại.
3. Phân tổ chủ yếu
- Phân theo loại quy chuẩn kỹ thuật.
- Phân theo lĩnh vực quy chuẩn kỹ thuật.
Phương pháp tính: Thống kê cộng dồn.
4. Kỳ công bố
Năm.
5. Nguồn số liệu
Báo cáo của các đơn vị quản lý Nhà nước của Bộ Công Thương.
6. Cơ quan chịu trách nhiệm thu thập, tổng hợp
- Chủ trì: Vụ Khoa học và Công nghệ.
- Phối hợp: Vụ Kế hoạch.
0144. Số lượng cơ sở sử dụng năng lượng trọng điểm quốc gia
1. Mục đích, ý nghĩa
Chỉ tiêu số lượng cơ sở sử dụng năng lượng trọng điểm quốc gia hàng năm được quy định trong Luật sử dụng năng lượng tiết kiệm và hiệu quả. Chỉ tiêu này phản ánh số cơ sở áp dụng các biện pháp quản lý và kỹ thuật nhằm giảm tổn thất, giảm mức tiêu thụ năng lượng của phương tiện, thiết bị mà vẫn bảo đảm nhu cầu, mục tiêu đặt ra đối với quá trình sản xuất và đời sống.
2. Khái niệm, nội dung, phương pháp tính
Cơ sở sử dụng năng lượng trọng điểm là cơ sở sử dụng năng lượng hằng năm với khối lượng lớn theo quy định của Chính phủ.
Cơ sở sử dụng năng lượng trọng điểm là các cơ sở sản xuất công nghiệp, nông nghiệp, đơn vị vận tải có tiêu thụ năng lượng tổng cộng trong một năm quy đổi ra một nghìn tấn dầu tương đương (1000 TOE) trở lên; các công trình xây dựng được dùng làm trụ sở, văn phòng làm việc, nhà ở; cơ sở giáo dục, y tế, vui chơi giải trí, thể dục, thể thao; khách sạn, siêu thị, nhà hàng, cửa hàng có tiêu thụ năng lượng tổng cộng trong một năm quy đổi ra năm trăm tấn dầu tương đương (500 TOE) trở lên.
Phương pháp tính: Thống kê cộng dồn.
3. Phân tổ chủ yếu
- Theo tỉnh, thành phố.
- Theo ngành, lĩnh vực.
- Theo đối tượng sử dụng.
4. Kỳ công bố
Ngày 30 tháng 9 năm sau.
5. Nguồn số liệu
- Điều tra thống kê ngành Công Thương.
6. Cơ quan chịu trách nhiệm thu thập, tổng hợp
- Chủ trì: Vụ Tiết kiệm năng lượng và phát triển bền vững.
- Phối hợp: Viện Năng lượng.
0145. Số lượng chủng loại thiết bị dán nhãn năng lượng trên thị trường thuộc phạm vi quản lý của Bộ Công Thương
1. Mục đích, ý nghĩa
Chỉ tiêu số lượng chủng loại thiết bị thực hiện công bố dán nhãn năng lượng phản ánh được số lượng chủng loại thiết bị đã thực hiện công bố dán nhãn năng lượng đăng ký tới Bộ Công Thương.
2. Khái niệm, nội dung, phương pháp tính
Thiết bị dán nhãn năng lượng trên thị trường thuộc phạm vi quản lý của Bộ Công Thương là các loại thiết bị được quy định tại Quyết định số 04/2017/QĐ-TTg ngày 09 tháng 3 năm 2017 của Thủ tướng Chính phủ quy định danh mục phương tiện, thiết bị phải dán nhãn năng lượng, áp dụng mức hiệu suất năng lượng tối thiểu và lộ trình thực hiện và Thông tư 36/2016/TT-BCT quy định dán nhãn năng lượng cho các phương tiện, thiết bị sử dụng năng lượng thuộc phạm vi quản lý của Bộ Công Thương các đơn vị là cơ sở sản xuất, đơn vị sản xuất nhập khẩu kinh doanh phương tiện thiết bị thực hiện đăng ký công bố dán nhãn năng lượng tới Bộ Công Thương.
Phương pháp tính: Thống kê cộng dồn.
3. Phân tổ chủ yếu
Theo chủng loại phương tiện, thiết bị.
4. Kỳ công bố
Ngày 30 tháng 9 năm sau.
5. Nguồn số liệu
Hồ sơ đăng ký doanh nghiệp gửi Bộ Công Thương.
6. Cơ quan chịu trách nhiệm thu thập, tổng hợp
- Chủ trì: Vụ Tiết kiệm năng lượng và phát triển bền vững.
- Phối hợp: Vụ Kế hoạch.
02. NGÀNH, LĨNH VỰC THƯƠNG MẠI
0201. Số lượng chợ, siêu thị, trung tâm thương mại
A. Số lượng chợ
1. Mục đích, ý nghĩa
Chỉ tiêu này phản ánh một trong các loại hình kết cấu hạ tầng thương mại truyền thống chủ yếu ở nước ta hiện nay. Việc xác định số lượng chợ là cơ sở cho công tác quy hoạch và định hướng đầu tư phát triển mạng lưới chợ nhằm đáp ứng nhu cầu mua bán của các đối tượng kinh doanh và đời sống dân cư trên địa bàn.
2. Khái niệm, nội dung, phương pháp tính
Số lượng chợ là toàn bộ số chợ mang tính truyền thống, được tổ chức tại một địa điểm theo quy hoạch để đáp ứng nhu cầu mua bán, trao đổi hàng hóa, dịch vụ phục vụ nhu cầu tiêu dùng của dân cư trên địa bàn.
Các loại siêu thị, trung tâm thương mại, trung tâm giao dịch mua bán hàng hóa bao gồm cả siêu thị không phải là chợ.
Phương pháp tính:
* Phân hạng chợ
Chợ được chia thành 03 hạng như sau:
- Chợ hạng 1:
+ Là chợ có trên 400 điểm kinh doanh, được đầu tư xây dựng kiên cố, hiện đại theo quy hoạch.
+ Được đặt ở các vị trí trung tâm kinh tế thương mại quan trọng của tỉnh, thành phố hoặc là chợ đầu mối của ngành hàng, của khu vực kinh tế và được tổ chức họp thường xuyên;
+ Có mặt bằng phạm vi chợ phù hợp với quy mô hoạt động của chợ và tổ chức đầy đủ các dịch vụ tại chợ (trông giữ xe; bốc xếp hàng hóa; kho bảo quản hàng hóa; dịch vụ đo lường, kiểm tra chất lượng hàng hóa, an toàn thực phẩm, vệ sinh công cộng; và các dịch vụ khác).
- Chợ hạng 2:
+ Là chợ có từ 200 đến 400 điểm kinh doanh, được đầu tư xây dựng kiên cố hoặc bán kiên cố theo quy hoạch;
+ Được đặt ở trung tâm giao lưu kinh tế của khu vực và được tổ chức họp thường xuyên hay không thường xuyên;
+ Có mặt bằng phạm vi chợ phù hợp với quy mô hoạt động chợ và tổ chức các dịch vụ tối thiểu tại chợ: Trông giữ xe, bốc xếp hàng hóa, kho bảo quản hàng hóa, dịch vụ đo lường, vệ sinh công cộng.
- Chợ hạng 3:
+ Là chợ có dưới 200 điểm kinh doanh, hoặc các chợ chưa được đầu tư xây dựng kiên cố hoặc bán kiên cố.
+ Chủ yếu phục vụ nhu cầu mua bán hàng hóa của nhân dân trong xã, phường và địa bàn phụ cận.
* Phân loại chợ
- Chợ đầu mối là chợ có vai trò chủ yếu thu hút, tập trung lượng hàng hóa lớn từ các nguồn sản xuất, kinh doanh của khu vực kinh tế hoặc cửa ngành hàng để tiếp tục phân phối tới các chợ và các kênh lưu thông hàng hóa khác.
- Chợ có quy hoạch là chợ nằm trong quy hoạch được cấp có thẩm quyền phê duyệt hoặc được thành lập theo quyết định của cơ quan có thẩm quyền.
- Chợ không có quy hoạch (chợ tự phát) là chợ không nằm trong quy hoạch được cấp có thẩm quyền phê duyệt hoặc không phải do cơ quan có thẩm quyền quyết định thành lập (hoặc chợ được hình thành một cách tự phát).
- Chợ kiên cố là chợ được xây dựng bảo đảm có thời gian sử dụng trên 10 năm.
- Chợ bán kiên cố là chợ được xây dựng bảo đảm có thời gian sử dụng từ 5 đến 10 năm.
3. Phân tổ chủ yếu
- Phân theo tỉnh/thành phố.
- Phân theo hạng chợ.
- Vùng kinh tế - xã hội.
4. Kỳ công bố
Năm.
5. Nguồn số liệu
- Chương trình điều tra thống kê quốc gia.
- Chế độ báo cáo thống kê áp dụng đối với Sở Công Thương các tỉnh, thành phố trực thuộc Trung ương.
6. Cơ quan chịu trách nhiệm thu thập, tổng hợp
- Chủ trì: Vụ Thị trường trong nước.
- Phối hợp: Vụ Kế hoạch.
B. Số lượng siêu thị, trung tâm thương mại
1. Mục đích, ý nghĩa
Chỉ tiêu này phản ánh một trong các loại hình kết cấu hạ tầng bán lẻ hiện đại chủ yếu ở nước ta hiện nay. Việc xác định số lượng siêu thị, trung tâm thương mại là cơ sở cho công tác quy hoạch và định hướng phát triển loại hình cơ sở bán lẻ này nhằm đáp ứng nhu cầu ngày càng cao và đa dạng của các tầng lớp dân cư trên địa bàn.
2. Khái niệm, nội dung, phương pháp tính
Siêu thị là loại hình cửa hàng hiện đại, kinh doanh tổng hợp hoặc chuyên doanh; có cơ cấu chủng loại hàng hóa phong phú, đa dạng, bảo đảm chất lượng; đáp ứng các tiêu chuẩn về diện tích kinh doanh, trang bị kỹ thuật và trình độ quản lý, tổ chức kinh doanh; có các phương thức phục vụ văn minh, thuận tiện nhằm thỏa mãn nhu cầu mua sắm hàng hóa của khách hàng.
Trung tâm thương mại là loại hình tổ chức kinh doanh thương mại hiện đại, đa chức năng, bao gồm nhiều cơ sở bán lẻ và cung cấp dịch vụ được bố trí tập trung, liên hoàn trong một hoặc một số công trình kiến trúc liền kề; đáp ứng các tiêu chuẩn về diện tích kinh doanh, trang bị kỹ thuật và trình độ quản lý, tổ chức kinh doanh; có các phương thức phục vụ văn minh, thuận tiện, đáp ứng nhu cầu phát triển hoạt động kinh doanh của thương nhân và thỏa mãn nhu cầu về hàng hóa, dịch vụ của khách hàng.
Phương pháp tính:
* Phân hạng siêu thị
- Siêu thị hạng 1:
+ Siêu thị hạng 1 kinh doanh tổng hợp:
++ Có diện tích kinh doanh từ 5.000m2 trở lên;
++ Công trình kiến trúc được xây dựng vững chắc, có tính thẩm mỹ cao, có thiết kế và trang thiết bị kỹ thuật tiên tiến, hiện đại, đảm bảo các yêu cầu phòng cháy chữa cháy, vệ sinh môi trường, an toàn và thuận tiện cho mọi đối tượng khách hàng; có bố trí nơi trông giữ xe và khu vệ sinh cho khách hàng phù hợp với quy mô kinh doanh của siêu thị;
++ Có hệ thống kho và các thiết bị kỹ thuật bảo quản, sơ chế, đóng gói, bán hàng, thanh toán và quản lý kinh doanh tiên tiến, hiện đại;
++ Tổ chức, bố trí hàng hóa theo ngành hàng, nhóm hàng một cách văn minh, khoa học để phục vụ khách hàng lựa chọn, mua sắm, thanh toán thuận tiện, nhanh chóng, có nơi bảo quản hành lý cá nhân, có các dịch vụ ăn uống, giải trí, phục vụ người khuyết tật, phục vụ trẻ em, giao hàng tận nhà, bán hàng qua mạng, qua bưu điện, điện thoại.
+ Siêu thị hạng 1 chuyên doanh:
++ Có diện tích kinh doanh từ 1.000m2 trở lên;
++ Có công trình kiến trúc được xây dựng vững chắc, có tính thẩm mỹ cao, có thiết kế và trang thiết bị kỹ thuật tiên tiến, hiện đại, đảm bảo các yêu cầu phòng cháy chữa cháy, vệ sinh môi trường, an toàn và thuận tiện cho mọi đối tượng khách hàng; có bố trí nơi trông giữ xe và khu vệ sinh cho khách hàng phù hợp với quy mô kinh doanh của siêu thị;
++ Có hệ thống kho và các thiết bị kỹ thuật bảo quản, sơ chế, đóng gói, bán hàng, thanh toán và quản lý kinh doanh tiên tiến, hiện đại;
++ Tổ chức, bố trí hàng hoá theo ngành hàng, nhóm hàng một cách văn minh, khoa học để phục vụ khách hàng lựa chọn, mua sắm, thanh toán thuận tiện, nhanh chóng, có nơi bảo quản hành lý cá nhân, có các dịch vụ ăn uống, giải trí, phục vụ người khuyết tật, phục vụ trẻ em, giao hàng tận nhà, bán hàng qua mạng, qua bưu điện, điện thoại.
- Siêu thị hạng 2:
+ Siêu thị hạng 2 kinh doanh tổng hợp:
++ Có diện tích kinh doanh từ 2.000m2 trở lên;
++ Công trình kiến trúc được xây dựng vững chắc, có tính thẩm mỹ, có thiết kế và trang thiết bị kỹ thuật hiện đại, đảm bảo các yêu cầu phòng cháy chữa cháy, vệ sinh môi trường, an toàn và thuận tiện cho khách hàng; có bố trí nơi trông giữ xe và khu vệ sinh cho khách hàng phù hợp với quy mô kinh doanh của siêu thị;
++ Có kho và các thiết bị kỹ thuật bảo quản, đóng gói, bán hàng, thanh toán và quản lý kinh doanh hiện đại;
+ Tổ chức, bố trí hàng hóa theo ngành hàng, nhóm hàng một cách văn minh, khoa học để phục vụ khách hàng lựa chọn, mua sắm, thanh toán thuận tiện, nhanh chóng, có nơi bảo quản hành lý cá nhân, có các dịch vụ ăn uống, giải trí, phục vụ người khuyết tật, phục vụ trẻ em, giao hàng tận nhà, bán hàng qua bưu điện, điện thoại.
+ Siêu thị hạng 2 chuyên doanh:
++ Có diện tích kinh doanh từ 500m2 trở lên;
++ Công trình kiến trúc được xây dựng vững chắc, có tính thẩm mỹ, có thiết kế và trang thiết bị kỹ thuật hiện đại, đảm bảo các yêu cầu phòng cháy chữa cháy, vệ sinh môi trường, an toàn và thuận tiện cho khách hàng; có bố trí nơi trông giữ xe và khu vệ sinh cho khách hàng phù hợp với quy mô kinh doanh của siêu thị;
++ Có kho và các thiết bị kỹ thuật bảo quản, đóng gói, bán hàng, thanh toán và quản lý kinh doanh hiện đại;
++ Tổ chức, bố trí hàng hóa theo ngành hàng, nhóm hàng một cách văn minh, khoa học để phục vụ khách hàng lựa chọn, mua sắm, thanh toán thuận tiện, nhanh chóng, có nơi bảo quản hành lý cá nhân, có các dịch vụ ăn uống, giải trí, phục vụ người khuyết tật, phục vụ trẻ em, giao hàng tận nhà, bán hàng qua bưu điện, điện thoại.
- Siêu thị hạng 3:
+ Siêu thị hạng 3 kinh doanh tổng hợp:
++ Có diện tích kinh doanh từ 500m2 trở lên;
++ Công trình kiến trúc được xây dựng vững chắc, có thiết kế và trang thiết bị kỹ thuật đảm bảo các yêu cầu phòng cháy chữa cháy, vệ sinh môi trường, an toàn và thuận tiện cho khách hàng; có bố trí nơi trông giữ xe và khu vệ sinh cho khách hàng phù hợp với quy mô kinh doanh của siêu thị;
++ Có kho và các thiết bị kỹ thuật bảo quản, đóng gói, bán hàng, thanh toán và quản lý kinh doanh hiện đại;
++ Tổ chức, bố trí hàng hóa theo ngành hàng, nhóm hàng một cách văn minh, khoa học để phục vụ khách hàng lựa chọn, mua sắm, thanh toán thuận tiện, nhanh chóng, có nơi bảo quản hành lý cá nhân, có các dịch vụ phục vụ người khuyết tật, giao hàng tận nhà.
+ Siêu thị hạng 3 chuyên doanh:
++ Có diện tích kinh doanh từ 250m2 trở lên;
++ Công trình kiến trúc được xây dựng vững chắc, có thiết kế và trang thiết bị kỹ thuật đảm bảo các yêu cầu phòng cháy chữa cháy, vệ sinh môi trường, an toàn và thuận tiện cho khách hàng; có bố trí nơi trông giữ xe và khu vệ sinh cho khách hàng phù hợp với quy mô kinh doanh của siêu thị;
++ Có kho và các thiết bị kỹ thuật bảo quản, đóng gói, bán hàng, thanh toán và quản lý kinh doanh hiện đại;
++ Tổ chức, bố trí hàng hóa theo ngành hàng, nhóm hàng một cách văn minh, khoa học để phục vụ khách hàng lựa chọn, mua sắm, thanh toán thuận tiện, nhanh chóng, có nơi bảo quản hành lý cá nhân, có các dịch vụ phục vụ người khuyết tật, giao hàng tận nhà.
* Phân loại siêu thị
Siêu thị được chia thành 2 loại sau:
- Siêu thị kinh doanh tổng hợp là loại hình siêu thị kinh doanh nhiều loại hàng tiêu dùng, cả hàng thực phẩm và phi thực phẩm.
- Siêu thị chuyên doanh là loại hình siêu thị kinh doanh hay tập trung kinh doanh một mặt hàng hoặc một loại (nhóm) hàng hóa nào đó.
* Phân hạng trung tâm thương mại
- Trung tâm thương mại hạng 1:
+ Có diện tích kinh doanh từ 50.000 m2 trở lên và có nơi trông giữ xe phù hợp với quy mô kinh doanh của trung tâm thương mại;
+ Có các công trình kiến trúc được xây dựng vững chắc, có tính thẩm mỹ cao, có thiết kế và trang thiết bị kỹ thuật tiên tiến, hiện đại đảm bảo các yêu cầu phòng cháy chữa cháy, vệ sinh môi trường, an ninh, an toàn, thuận tiện cho mọi đối tượng tham gia hoạt động kinh doanh trong khu vực;
+ Hoạt động đa chức năng cả về kinh doanh hàng hóa và kinh doanh các loại hình dịch vụ, bao gồm: khu vực để bố trí các cửa hàng bán buôn, bán lẻ hàng hóa; nhà hàng, khách sạn; khu vực để tổ chức hội chợ triển lãm, trưng bày giới thiệu hàng hóa; khu vực dành cho hoạt động vui chơi giải trí, cho thuê văn phòng làm việc, hội trường, phòng họp để tổ chức các hội nghị, hội thảo, giao dịch và ký kết các hợp đồng thương mại trong, ngoài nước; khu vực dành cho các hoạt động tài chính, ngân hàng, bảo hiểm, bưu chính viễn thông, tin học, tư vấn, môi giới đầu tư, du lịch.
- Trung tâm thương mại hạng 2:
+ Có diện tích kinh doanh từ 30.000 m2 trở lên và có nơi trông giữ xe phù hợp với quy mô kinh doanh của trung tâm thương mại.
+ Có các công trình kiến trúc được xây dựng vững chắc, có tính thẩm mỹ, có thiết kế và trang thiết bị kỹ thuật tiên tiến, hiện đại đảm bảo các yêu cầu phòng cháy chữa cháy, vệ sinh môi trường, an ninh, an toàn, thuận tiện cho mọi đối tượng tham gia hoạt động kinh doanh trong khu vực.
+ Hoạt động đa chức năng cả về kinh doanh hàng hóa và kinh doanh các loại hình dịch vụ, bao gồm: khu vực để bố trí các cửa hàng bán buôn, bán lẻ hàng hóa; nhà hàng, khách sạn; khu vực để trưng bày giới thiệu hàng hóa; khu vực dành cho hoạt động vui chơi giải trí, cho thuê văn phòng làm việc, hội trường, phòng họp để tổ chức các hội nghị, hội thảo, giao dịch và ký kết các hợp đồng thương mại trong, ngoài nước; khu vực dành cho các hoạt động tài chính, ngân hàng, bảo hiểm, bưu chính viễn thông, tư vấn, môi giới đầu tư, du lịch.
- Trung tâm thương mại hạng 3:
+ Có diện tích kinh doanh từ 10.000 m2 trở lên và có nơi trông giữ xe phù hợp với quy mô kinh doanh của trung tâm thương mại.
+ Các công trình kiến trúc được xây dựng vững chắc, có thiết kế và trang thiết bị kỹ thuật hiện đại đảm bảo các yêu cầu phòng cháy chữa cháy, vệ sinh môi trường, an ninh, an toàn, thuận tiện cho mọi đối tượng tham gia hoạt động kinh doanh trong khu vực.
+ Hoạt động đa chức năng cả về kinh doanh hàng hóa và kinh doanh các loại hình dịch vụ, bao gồm; khu vực để bố trí các cửa hàng bán buôn, bán lẻ hàng hóa; khu vực để trưng bày giới thiệu hàng hóa; khu vực dành cho hoạt động ăn uống, vui chơi giải trí, cho thuê văn phòng làm việc, phòng họp để tổ chức các hội nghị, hội thảo, giao dịch và ký kết các hợp đồng thương mại trong, ngoài nước; khu vực dành cho hoạt động tư vấn, môi giới đầu tư, du lịch.
3. Phân tổ chủ yếu
- Phân theo loại hình kinh tế.
- Phân theo tỉnh/thành phố.
- Phân theo hạng siêu thị, trung tâm thương mại.
- Vùng kinh tế - xã hội.
4. Kỳ công bố
Năm.
5. Nguồn số liệu
- Chương trình điều tra thống kê quốc gia.
- Chế độ báo cáo thống kê áp dụng đối với Sở Công Thương các tỉnh, thành phố trực thuộc Trung ương.
6. Cơ quan chịu trách nhiệm thu thập, tổng hợp
- Chủ trì: Vụ Thị trường trong nước.
- Phối hợp: Vụ Kế hoạch.
0202. Số lượng chợ xây dựng mới; số lượng siêu thị, trung tâm thương mại thành lập mới
A. Số lượng chợ xây dựng mới
1. Mục đích, ý nghĩa
Là chỉ tiêu phản ánh công tác đầu tư phát triển mạng lưới chợ theo hướng văn minh, hiện đại nhằm đáp ứng nhu cầu mua bán của các đối tượng kinh doanh và đời sống dân cư trên địa bàn.
2. Khái niệm, nội dung, phạm vi, phương pháp tính
Số chợ xây dựng mới là số chợ được xây dựng mới từ diện tích cũ của chợ hoặc từ địa điểm mới trong quy hoạch, tính trong năm báo cáo.
Phương pháp tính: Thống kê cộng dồn.
3. Phân tổ chủ yếu
- Phân theo tỉnh/thành phố.
- Phân theo hạng chợ.
4. Kỳ công bố
Năm.
5. Nguồn số liệu
- Chương trình điều tra thống kê quốc gia.
- Chế độ báo cáo thống kê áp dụng đối với Sở Công Thương các tỉnh, thành phố trực thuộc Trung ương.
6. Cơ quan chịu trách nhiệm thu thập, tổng hợp
- Chủ trì: Vụ Thị trường trong nước.
- Phối hợp: Vụ Kế hoạch.
B. Số lượng siêu thị, trung tâm thương mại thành lập mới
1. Mục đích, ý nghĩa
Chỉ tiêu này phản ánh một trong các loại hình kết cấu hạ tầng bán lẻ hiện đại chủ yếu ở nước ta hiện nay. Việc xác định số lượng siêu thị, trung tâm thương mại thành lập mới là cơ sở cho công tác quy hoạch và định hướng phát triển loại hình cơ sở bán lẻ hiện đại tập trung này nhằm đáp ứng nhu cầu ngày càng cao và đa dạng của các tầng lớp dân cư trên địa bàn.
2. Khái niệm, nội dung, phương pháp tính
Siêu thị, trung tâm thương mại thành lập mới là siêu thị, trung tâm thương mại được xây dựng từ diện tích cũ hoặc từ địa điểm mới trong quy hoạch trong năm báo cáo.
Phương pháp tính: Thống kê cộng dồn.
3. Phân tổ chủ yếu
- Phân theo tỉnh/thành phố.
- Phân theo loại hình kinh tế.
- Hạng siêu thị, trung tâm thương mại.
4. Kỳ công bố
Năm.
5. Nguồn số liệu
- Chương trình điều tra thống kê quốc gia.
- Chế độ báo cáo thống kê áp dụng đối với Sở Công Thương các tỉnh, thành phố trực thuộc Trung ương.
6. Cơ quan chịu trách nhiệm thu thập, tổng hợp
- Chủ trì: Vụ Thị trường trong nước.
* Phối hợp: Vụ Kế hoạch.
0203. Số lượng chợ, siêu thị, trung tâm thương mại ngừng hoạt động
A. Số chợ ngừng hoạt động
1. Mục đích, ý nghĩa
Chỉ tiêu này phản ánh một trong các loại hình kết cấu hạ tầng thương mại truyền thống cơ bản ở nước ta hiện nay. Việc xác định số lượng chợ ngừng hoạt động là cơ sở cho công tác quy hoạch và định hướng đầu tư phát triển mạng lưới chợ nhằm đáp ứng nhu cầu mua bán của các đối tượng kinh doanh và đời sống dân cư trên địa bàn.
2. Khái niệm, nội dung, phạm vi, phương pháp tính
Số chợ ngừng hoạt động là số chợ được đầu tư xây dựng kiên cố hoặc bán kiên cố nhưng không hoạt động (bỏ hoang).
Phương pháp tính: Thống kê cộng dồn.
3. Phân tổ chủ yếu
- Phân theo tỉnh/thành phố.
- Phân theo hạng chợ.
4. Kỳ công bố
Năm.
5. Nguồn số liệu
- Chương trình điều tra thống kê quốc gia.
- Chế độ báo cáo thống kê áp dụng đối với Sở Công Thương các tỉnh, thành phố trực thuộc Trung ương.
6. Cơ quan chịu trách nhiệm thu thập, tổng hợp
- Chủ trì: Vụ Thị trường trong nước.
- Phối hợp: Vụ Kế hoạch.
B. Số lượng siêu thị, trung tâm thương mại ngừng hoạt động
1. Mục đích, ý nghĩa
Chỉ tiêu này phản ánh một trong các loại hình kết cấu hạ tầng bán lẻ hiện đại chủ yếu ở nước ta hiện nay. Việc xác định số lượng siêu thị, trung tâm thương mại ngừng hoạt động là cơ sở cho công tác quy hoạch và định hướng phát triển loại hình cơ sở bán lẻ này nhằm đáp ứng nhu cầu ngày càng cao và đa dạng của các tầng lớp dân cư trên địa bàn.
2. Khái niệm, nội dung, phương pháp tính
Siêu thị, trung tâm thương mại ngừng hoạt động là số siêu thị, trung tâm thương mại được đầu tư xây dựng nhưng không hoạt động (bỏ hoang).
Phương pháp tính: Thống kê cộng dồn.
3. Phân tổ chủ yếu
- Phân theo tỉnh/thành phố.
- Phân theo loại hình kinh tế.
- Hạng siêu thị, trung tâm thương mại.
4. Kỳ công bố
Năm.
5. Nguồn số liệu
- Chương trình điều tra thống kê quốc gia.
- Chế độ báo cáo thống kê áp dụng đối với Sở Công Thương các tỉnh, thành phố trực thuộc Trung ương.
6. Cơ quan chịu trách nhiệm thu thập, tổng hợp
- Chủ trì: Vụ Thị trường trong nước.
- Phối hợp: Vụ Kế hoạch.
0204. Tổng vốn đầu tư xây dựng chợ, siêu thị, trung tâm thương mại
1. Mục đích, ý nghĩa
Là chỉ tiêu phản ánh mức vốn đầu tư thực hiện trong năm nhằm đánh giá tình hình và định hướng đầu tư phát triển cơ sở hạ tầng thương mại.
2. Khái niệm, nội dung, phương pháp tính
Tổng vốn đầu tư xây dựng chợ, siêu thị, trung tâm thương mại là tổng vốn đầu tư để xây mới và/hoặc cải tạo, nâng cấp chợ, siêu thị, trung tâm thương mại.
Có các nguồn vốn sau: Ngân sách trung ương; ngân sách địa phương; vốn của doanh nghiệp, tổ chức kinh tế; vốn khác; vốn đầu tư trong nước; vốn đầu tư nước ngoài.
- Vốn ngân sách trung ương là các nguồn vốn từ ngân sách trung ương chi đầu tư xây mới và/hoặc cải tạo, nâng cấp chợ, siêu thị, trung tâm thương mại.
- Vốn ngân sách địa phương là nguồn vốn từ ngân sách địa phương chi đầu tư xây mới và/hoặc cải tạo, nâng cấp chợ, siêu thị, trung tâm thương mại.
- Vốn của doanh nghiệp và tổ chức kinh tế là nguồn vốn của doanh nghiệp, hợp tác xã, tổ hợp tác xã, hộ kinh doanh và các tổ chức khác chi ra để đầu tư xây mới và cải tạo, nâng cấp chợ, siêu thị, trung tâm thương mại.
- Vốn khác là nguồn vốn ngoài 3 nguồn vốn trên để đầu tư xây mới và/hoặc cải tạo, nâng cấp chợ, siêu thị, trung tâm thương mại.
3. Phân tổ chủ yếu
- Phân theo tỉnh, thành phố.
- Phân theo nguồn vốn.
4. Kỳ công bố
Năm.
5. Nguồn số liệu
- Chương trình điều tra thống kê quốc gia.
- Chế độ báo cáo thống kê áp dụng đối với Sở Công Thương các tỉnh, thành phố trực thuộc Trung ương.
6. Cơ quan chịu trách nhiệm thu thập, tổng hợp
- Chủ trì: Vụ Thị trường trong nước.
- Phối hợp: Vụ Kế hoạch.
0205. Số chợ cải tạo và nâng cấp
1. Mục đích, ý nghĩa
Việc xác định số lượng chợ cải tạo và nâng cấp là cơ sở cho công tác đầu tư phát triển mạng lưới chợ theo hướng văn minh, hiện đại nhằm đáp ứng nhu cầu mua bán của các đối tượng kinh doanh và đời sống dân cư trên địa bàn.
2. Khái niệm, nội dung, phạm vi, phương pháp tính
Chỉ tiêu này phản ánh một trong các loại hình kết cấu hạ tầng thương mại truyền thống chủ yếu ở nước ta hiện nay. Số chợ cải tạo và nâng cấp là số chợ được đầu tư cải tạo, nâng cấp trong năm báo cáo.
Phương pháp tính: Thống kê cộng dồn.
3. Phân tổ chủ yếu
- Phân theo tỉnh/thành phố.
- Phân theo hạng chợ.
4. Kỳ công bố
Năm.
5. Nguồn số liệu
- Chương trình điều tra thống kê quốc gia.
- Chế độ báo cáo Thống kê áp dụng đối với Sở Công Thương các tỉnh, thành phố trực thuộc Trung ương.
6. Cơ quan chịu trách nhiệm thu thập, tổng hợp
- Chủ trì: Vụ Thị trường trong nước.
- Phối hợp: Vụ Kế hoạch.
0206. Số chợ chuyển đổi chức năng hoạt động
1. Mục đích, ý nghĩa
Việc xác định số lượng chợ chuyển đổi chức năng hoạt động là cơ sở cho công tác quy hoạch và định hướng đầu tư phát triển mạng lưới chợ theo hướng văn minh, hiện đại nhằm đáp ứng nhu cầu mua bán của các đối tượng kinh doanh và đời sống dân cư trên địa bàn.
2. Khái niệm, nội dung, phạm vi, phương pháp tính
- Số chợ chuyển đổi chức năng hoạt động là số chợ đang hoạt động hoặc chợ được đầu tư xây dựng nhưng không hoạt động mà chuyển sang một hình thức kinh doanh, dịch vụ khác.
Phương pháp tính: Thống kê cộng dồn.
3. Phân tổ chủ yếu
- Phân theo tỉnh/thành phố.
- Phân theo hạng chợ.
4. Kỳ công bố
Năm.
5. Nguồn số liệu
- Chương trình điều tra thống kê quốc gia.
- Chế độ báo cáo thống kê áp dụng đối với Sở Công Thương các tỉnh, thành phố trực thuộc Trung ương.
6. Cơ quan chịu trách nhiệm thu thập, tổng hợp
- Chủ trì: Vụ Thị trường trong nước.
- Phối hợp: Vụ Kế hoạch.
0207. Số tổ chức kinh doanh, quản lý chợ
1. Mục đích, ý nghĩa
Chỉ tiêu phản ánh mô hình tổ chức kinh doanh, quản lý của một trong các loại hình kết cấu hạ tầng thương mại truyền thống chủ yếu ở nước ta hiện nay. Việc xác định số lượng từng loại hình tổ chức kinh doanh, quản lý chợ là cơ sở cho công tác đánh giá và định hướng phát triển mô hình tổ chức kinh doanh và quản lý chợ.
2. Khái niệm, nội dung, phương pháp tính
Loại hình tổ chức kinh doanh, quản lý chợ là loại hình tổ chức vừa kinh doanh, vừa quản lý chợ hoặc là loại hình tổ chức chỉ thực hiện quản lý chợ.
Loại hình tổ chức kinh doanh, quản lý chợ gồm: Thương nhân kinh doanh, quản lý chợ và loại hình tổ chức quản lý chợ.
- Loại hình thương nhân kinh doanh, quản lý chợ, gồm: Doanh nghiệp kinh doanh, quản lý chợ; hợp tác xã kinh doanh, quản lý chợ và hộ kinh doanh, quản lý chợ.
+ Doanh nghiệp kinh doanh, quản lý chợ: là doanh nghiệp được thành lập, đăng ký kinh doanh và hoạt động theo quy định của pháp luật được cơ quan có thẩm quyền giao hoặc trúng thầu kinh doanh, khai thác và quản lý chợ.
+ Hợp tác xã (tổ hợp tác xã) kinh doanh, quản lý chợ là hợp tác xã (tổ hợp tác xã) được thành lập, đăng ký kinh doanh và hoạt động theo quy định của pháp luật được cơ quan có thẩm quyền giao hoặc trúng thầu kinh doanh, khai thác và quản lý chợ.
+ Hộ kinh doanh, quản lý chợ là hộ kinh doanh được thành lập, đăng ký kinh doanh và hoạt động theo quy định của pháp luật được cơ quan có thẩm quyền giao hoặc trúng thầu kinh doanh, khai thác và quản lý chợ.
- Loại hình tổ chức quản lý chợ, gồm: Ban quản lý chợ, tổ quản lý chợ.
+ Ban quản lý chợ là đơn vị sự nghiệp có thu, tự trang trải các chi phí, có tư cách pháp nhân, có con dấu và tài khoản riêng tại Kho bạc Nhà nước.
+ Tổ quản lý chợ là đơn vị được thành lập theo Quyết định của Ủy ban nhân dân xã, phường, thị trấn.
Phương pháp tính: Thống kê cộng dồn.
3. Phân tổ chủ yếu
- Phân theo tỉnh/thành phố.
- Phân theo loại hình tổ chức, kinh doanh/quản lý.
4. Kỳ công bố
Năm.
5. Nguồn số liệu
- Chương trình điều tra thống kê quốc gia.
- Chế độ báo cáo thống kê áp dụng đối với Sở Công Thương các tỉnh, thành phố trực thuộc Trung ương.
6. Cơ quan chịu trách nhiệm thu thập, tổng hợp
- Chủ trì: Vụ Thị trường trong nước.
- Phối hợp: Vụ Kế hoạch.
0208. Số lượng cửa hàng tiện lợi
1. Mục đích, ý nghĩa
Chỉ tiêu phản ánh một trong các loại hình kết cấu hạ tầng bán lẻ hiện đại ở nước ta hiện nay, Việc xác định số lượng, phân tổ theo tỉnh, thành phố và theo loại hình kinh tế là cơ sở cho công tác quy hoạch và định hướng phát triển mạng lưới cửa hàng tiện lợi nhằm đáp ứng nhu cầu ngày càng cao và đa dạng của các tầng lớp dân cư trên địa bàn.
2. Khái niệm, nội dung, phương pháp tính
Cửa hàng tiện lợi là cơ sở bán lẻ các mặt hàng tiêu dùng nhanh, bao gồm: Thực phẩm, đồ uống, dược phẩm không kê đơn, thực phẩm chức năng và các sản phẩm bổ dưỡng sức khỏe, hóa mỹ phẩm và các sản phẩm khác phục vụ tiêu dùng hàng ngày.
Phương pháp tính: Thống kê cộng dồn.
3. Phân tổ chủ yếu
- Phân theo tỉnh/thành phố.
- Phân theo loại hình kinh tế.
4. Kỳ công bố
Năm.
5. Nguồn số liệu
Điều tra thống kê ngành Công Thương.
6. Cơ quan chịu trách nhiệm thu thập, tổng hợp
- Chủ trì: Vụ Thị trường trong nước.
- Phối hợp: Vụ Kế hoạch.
0209. Số lượng cửa hàng xăng dầu trên địa bàn
1. Mục đích, ý nghĩa
Thống kê số lượng cửa hàng xăng dầu trên địa bàn để đáp ứng yêu cầu quản lý nhà nước trong việc lập quy hoạch hệ thống cửa hàng xăng dầu hợp lý, đồng thời, đảm bảo đáp ứng kịp thời xăng dầu cho giao thông trên địa bàn và tăng tính tiện ích trong hoạt động kinh doanh bán lẻ xăng dầu.
2. Khái niệm, nội dung, phương pháp tính
Cửa hàng xăng dầu là nơi có hoạt động bán lẻ xăng dầu qua cột bơm cho các phương tiện giao thông đường bộ, đường thủy. Cửa hàng xăng dầu có thể kết hợp kinh doanh khí dầu mỏ hóa lỏng đóng trong chai, các loại dầu mỡ nhờn, cung cấp dịch vụ tiện ích cho người và phương tiện tham gia giao thông.
- Phân theo loại cửa hàng: Cửa hàng xăng dầu trên mặt đất và cửa hàng xăng dầu trên mặt nước.
Cửa hàng xăng dầu trên mặt đất là cửa hàng xăng dầu được xây dựng cố định trên mặt đất hoặc một phần trên mặt đất.
Cửa hàng xăng dầu trên mặt nước là cửa hàng xăng dầu xây cố định trên mặt nước hoặc tàu vỏ thép, xà lan đã được cải hoán hoặc các phương tiện nổi khác.
- Phân theo cấp cửa hàng: Cửa hàng xăng dầu được phân cấp theo tổng dung tích chứa xăng dầu.
+ Cấp 1: Cửa hàng xăng dầu trên mặt đất và cửa hàng xăng dầu xây dựng cố định trên mặt nước có tổng dung tích từ 150 đến 210m3; Cửa hàng xăng dầu trên mặt nước (xà lan, tàu vỏ thép và phương tiện nổi khác) có tổng dung tích từ 100 đến 200m3.
+ Cấp 2: Cửa hàng xăng dầu trên mặt đất và cửa hàng xăng dầu xây dựng cố định trên mặt nước có tổng dung tích trên 100 đến dưới 150m3; Cửa hàng xăng dầu trên mặt nước (xà lan, tàu vỏ thép và phương tiện nổi khác) có tổng dung tích từ 16 đến dưới 100m3.
+ Cấp 3: Cửa hàng xăng dầu trên mặt đất và cửa hàng xăng dầu xây dựng cố định trên mặt nước có tổng dung tích nhỏ hơn hoặc bằng 100m3; Cửa hàng xăng dầu trên mặt nước (xà lan, tàu vỏ thép và phương tiện nối khác) có tổng dung tích nhỏ hơn 16m3.
Phương pháp tính: Thống kê cộng dồn.
3. Phân tổ chủ yếu
- Theo loại hình cửa hàng xăng dầu;
- Theo phân cấp cửa hàng xăng dầu.
4. Kỳ báo cáo
Năm
5. Nguồn số liệu
Chế độ báo cáo thống kê đối với áp dụng đối với Sở Công Thương các tỉnh, thành phố trực thuộc Trung ương.
6. Cơ quan chịu trách nhiệm thu thập, tổng hợp
- Chủ trì: Vụ Thị trường trong nước.
- Phối hợp: Vụ Kế hoạch.
0210. Trị giá hàng hóa xuất khẩu, nhập khẩu
1. Khái niệm, phương pháp tính
a) Khái niệm
a.1) Hàng hóa xuất khẩu gồm toàn bộ hàng hóa có xuất xứ trong nước và hàng hóa nước ngoài tái xuất khẩu, được đưa ra nước ngoài, làm giảm nguồn của cải, vật chất của đất nước. Trị giá xuất khẩu hàng hóa được tính theo điều kiện giao hàng FOB hoặc tương đương, là giá của hàng hóa tính đến cửa khẩu xuất (không gồm phí bảo hiểm quốc tế và phí vận tải quốc tế), được tính cho một thời kỳ nhất định và tính theo một loại tiền thống nhất là đô la Mỹ, trong đó:
- Hàng hóa có xuất xứ trong nước là hàng hóa được khai thác, sản xuất, chế biến trong nước theo các quy định về xuất xứ hàng hóa của Việt Nam;
- Hàng hóa tái xuất khẩu là hàng hóa có xuất xứ nước ngoài mà trước đó đã được nhập khẩu và được thống kê là hàng nhập khẩu, sau đó lại xuất khẩu nguyên trạng hoặc chỉ chế biến giản đơn, bảo quản, đóng gói lại, không làm thay đổi tính chất cơ bản của hàng hóa.
a.2) Hàng hóa nhập khẩu gồm toàn bộ hàng hóa đưa từ nước ngoài vào Việt Nam, làm tăng nguồn của cải, vật chất của đất nước. Trị giá nhập khẩu được tính theo điều kiện giao hàng CIF hoặc tương đương, là giá thực tế phải trả tính đến cửa khẩu nhập đầu tiên, được tính cho một thời kỳ nhất định, tính theo một loại tiền thống nhất là Đô la Mỹ.
Hàng hóa nhập khẩu gồm toàn bộ hàng hóa có xuất xứ nước ngoài và hàng Việt Nam tái nhập khẩu, được đưa từ nước ngoài vào Việt Nam, trong đó:
- Hàng hóa có xuất xứ nước ngoài là hàng hóa được khai thác, sản xuất, chế biến ở nước ngoài theo các quy định về xuất xứ hàng hóa của Việt Nam;
- Hàng hóa tái nhập khẩu là hàng hóa của Việt Nam đã xuất khẩu và được thống kê vào hàng xuất khẩu trước đó, sau đó lại nhập khẩu nguyên trạng hoặc chỉ chế biến giản đơn, bảo quản, đóng gói lại, không làm thay đổi tính chất cơ bản của hàng hóa.
b) Phạm vi thống kê
b.1) Hàng hóa được tính trong thống kê xuất khẩu, nhập khẩu gồm:
(1) Hàng hóa mua/bán theo các hợp đồng thương mại thông thường ký với nước ngoài;
(2) Hàng hóa thuộc loại hình hàng đổi hàng với nước ngoài, không sử dụng các hình thức thanh toán;
(3) Hàng hóa thuộc các hợp đồng gia công, lắp ráp ký với nước ngoài, có hoặc không thay đổi quyền sở hữu, bao gồm: Thành phẩm hoàn trả sau gia công, lắp ráp; nguyên liệu/vật tư xuất khẩu, nhập khẩu để gia công, lắp ráp; hàng hóa làm mẫu phục vụ cho gia công, lắp ráp; máy móc, thiết bị trực tiếp phục vụ gia công, lắp ráp, được thoả thuận trong hợp đồng gia công, lắp ráp.
(4) Hàng hóa thuộc các giao dịch giữa doanh nghiệp mẹ với doanh nghiệp con, chi nhánh đầu tư trực tiếp ở nước ngoài, hàng hóa giao dịch giữa người mua và người bán có mối quan hệ đặc biệt;
(5) Hàng hóa tái xuất/tái nhập; Hàng hóa nước ngoài/hàng hóa trong nước đã nhập khẩu/xuất khẩu và được thống kê vào nhập khẩu/xuất khẩu trước đó, sau đó lại xuất khẩu/nhập khẩu nguyên dạng hoặc chỉ sơ chế, bảo quản, đóng gói lại, không làm thay đổi tính chất cơ bản của hàng hóa, trừ hàng hóa tạm nhập khẩu/tạm xuất khẩu phải chịu sự kiểm tra, giám sát của cơ quan Hải quan và phải tái xuất/tái nhập theo quy định của pháp luật;
(6) Hàng hóa xuất khẩu, nhập khẩu thuộc loại hình vay nợ, viện trợ chính phủ, phi chính phủ, các tổ chức quốc tế và các hình thức viện trợ nhân đạo khác;
(7) Hàng hóa thuộc hợp đồng thuê/cho thuê tài chính (máy móc, thiết bị, phương tiện vận tải), theo đó người thuê có quyền lợi, trách nhiệm, chịu rủi ro,... liên quan đến hàng hóa. Nếu trong hợp đồng không xác định rõ các nội dung trên thì căn cứ vào thời hạn thuê là 12 tháng trở lên;
(8) Hàng hóa trả lại trong kinh doanh xuất khẩu, nhập khẩu (hàng hóa mà trước đó đã được thống kê vào hàng xuất khẩu hoặc nhập khẩu, sau đó được tái nhập hoặc tái xuất);
(9) Hàng hóa tạm nhập, tạm xuất có thời hạn để sử dụng tạm thời cho mục đích cụ thể nhưng sau đó được chuyển đổi loại hình hải quan để không thực hiện tái xuất, tái nhập. Những hàng hóa đó bao gồm: Hàng hóa hội chợ, triển lãm, giới thiệu sản phẩm; tài liệu hội nghị, hội thảo, nghiên cứu khoa học, giáo dục, thi đấu thể thao, biểu diễn văn hóa, biểu diễn nghệ thuật, khám chữa bệnh, nghiên cứu và phát triển sản phẩm; phương tiện vận tải, công ten nơ và các thiết bị liên quan đến vận tải; các động sản khác;
(10) Hàng hóa mua/bán, trao đổi qua biên giới, không có hợp đồng thương mại;
(11) Các hàng hóa đặc thù:
- Vàng phi tiền tệ: Là vàng ở các dạng bột, thanh, thỏi, miếng, xu, vàng trang sức,... dưới dạng tinh chế, thô hoặc dạng bán sơ chế do các doanh nghiệp, ngân hàng thương mại (trừ ngân hàng, tổ chức khác nhận ủy quyền thực hiện giao dịch của Ngân hàng Nhà nước Việt Nam) xuất khẩu, nhập khẩu cho mục đích kinh doanh, sản xuất, gia công, chế tác,… theo quy định của pháp luật;
- Tiền giấy, chứng khoán chưa phát hành, tiền xu không hoặc chưa đưa vào lưu thông; các bộ sưu tập tiền xu hoặc tiền giấy;
- Phương tiện lưu giữ thông tin, hình ảnh: Băng từ, đĩa từ, CD-ROM, thẻ thông minh,… đã hoặc chưa ghi âm, hình, dữ liệu, trò chơi điện tử, phần mềm,..., được sản xuất để dùng chung cho mọi khách hàng hoặc để mua/bán thông thường mà không được đặt hàng theo yêu cầu riêng (trừ các loại được sản xuất theo yêu cầu riêng của khách hàng hoặc bản gốc phim ảnh, tác phẩm nghệ thuật, chương trình truyền hình, chương trình biểu diễn nghệ thuật,...);
- Hàng hóa gửi hoặc nhận qua đường bưu điện hoặc dịch vụ chuyển phát nhanh;
- Điện năng xuất khẩu, nhập khẩu;
- Hàng hóa xuất khẩu, nhập khẩu sử dụng phương thức thương mại điện tử: Việc trao đổi thông tin, đặt hàng, ký kết hợp đồng thương mại và thanh toán với nước ngoài được thực hiện qua mạng Internet nhưng hàng hóa được đưa ra khỏi/đưa vào lãnh thổ Việt Nam, thực hiện các thủ tục hải quan thông thường, được tính đến trong thống kê nếu hàng hóa thuộc phạm vi thống kê;
- Hàng hóa, nhiên liệu bán cho các phương tiện vận tải nước ngoài sử dụng trong hành trình giao thông quốc tế; hàng hóa, nhiên liệu mua để sử dụng trong hành trình giao thông quốc tế;
- Dầu thô và khoáng sản được khai thác trong khu vực thềm lục địa, vùng đặc quyền kinh tế của Việt Nam, hải phận quốc tế, vùng chồng lấn được mua, bán với nước ngoài;
- Thiết bị giàn khoan do doanh nghiệp mua/bán ngoài khơi, không thực hiện tờ khai hải quan;
- Máy bay, tàu thuyền và phương tiện vận tải khác thuộc các giao dịch không thực hiện tờ khai hải quan;
- Hàng hóa nhận được từ các tổ chức quốc tế ở nước ngoài hoặc gửi đi cho các tổ chức quốc tế (trừ hàng hóa gửi hoặc nhận giữa các tổ chức quốc tế);
- Hàng hóa là tài sản di chuyển, hàng hóa là hành lý của người xuất cảnh, nhập cảnh phải khai theo quy định;
- Chất thải và phế liệu có giá trị thương mại;
- Vệ tinh trong trường hợp có thay đổi quyền sở hữu giữa các tổ chức, cá nhân trong nước với nước ngoài.
b.2) Hàng hóa không tính trong thống kê gồm:
(1) Hàng hóa xuất khẩu, nhập khẩu tại chỗ: Hàng hóa do thương nhân Việt Nam ký hợp đồng mua/bán với thương nhân nước ngoài nhưng được giao/nhận tại Việt Nam theo chỉ định của thương nhân nước ngoài.
(2) Hàng hóa do thương nhân Việt Nam mua của nước ngoài và bán thẳng cho nước thứ ba, hàng hóa không về Việt Nam hoặc có về Việt Nam nhưng không làm thủ tục xuất khẩu, nhập khẩu thông thường tại Hải quan Việt Nam.
(3) Hàng hóa mua/bán tại các cửa hàng miễn thuế (Duty Free Shop).
(4) Hàng hóa tạm nhập, tạm xuất có thời hạn sau đó được tái xuất, tái nhập như: Hàng tham dự triển lãm, hội chợ, giới thiệu sản phẩm; tài liệu hội nghị, hội thảo, nghiên cứu khoa học, giáo dục, thi đấu thể thao, biểu diễn văn hóa, biểu diễn nghệ thuật, khám chữa bệnh, nghiên cứu và phát triển sản phẩm; phương tiện vận tải, công ten nơ và các thiết bị liên quan đến vận tải.
(5) Hàng hóa chỉ đơn thuần đi qua lãnh thổ Việt Nam với mục đích chuyển tải, quá cảnh.
(6) Các loại hàng hóa đặc thù gồm:
- Hàng hóa thuộc hợp đồng cho thuê hoặc đi thuê hoạt động (máy bay, tàu thuyền, máy móc thiết bị): Không có sự chuyển quyền sở hữu đối với hàng hóa sau thời gian thuê/cho thuê;
- Hàng hóa của Chính phủ Việt Nam gửi hoặc nhận với cơ quan đại diện ngoại giao, cơ quan đại diện lãnh sự, cơ quan đại diện tại tổ chức quốc tế của Việt Nam ở nước ngoài;
- Hàng hóa gửi và nhận của các cơ quan đại diện ngoại giao, cơ quan đại diện lãnh sự của nước ngoài, cơ quan đại diện của các tổ chức quốc tế đặt tại Việt Nam;
- Vàng tiền tệ: Vàng thuộc giao dịch của Ngân hàng Nhà nước Việt Nam hoặc các tổ chức được Ngân hàng Nhà nước Việt Nam ủy quyền xuất khẩu, nhập khẩu cho mục đích dự trữ, cân đối tiền tệ theo quy định của pháp luật;
- Tiền xu đang lưu hành, tiền giấy, tiền séc và chứng khoán đã phát hành trong khâu lưu thông;
- Hàng hóa với chức năng là phương tiện rỗng dùng để chứa hàng hóa: Công-ten-nơ, các thùng, chai, lọ và các loại khác theo phương thức quay vòng chỉ nhằm mục đích vận chuyển hàng hóa;
- Các sản phẩm, nội dung truyền nhận theo phương thức điện tử (phần mềm, các sản phẩm âm thanh, hình ảnh, phim, sách điện tử và loại khác);
- Phương tiện trung gian dùng để chứa thông tin, hình ảnh, chứa phần mềm được sản xuất theo yêu cầu hoặc đơn đặt hàng riêng;
- Hàng hóa đưa ra hoặc đưa vào lãnh thổ Việt Nam bất hợp pháp;
- Hàng hóa đưa vào hoặc đưa ra khỏi lãnh thổ hải quan của Việt Nam với mục đích sửa chữa hoặc bảo trì nếu hoạt động đó không làm thay đổi xuất xứ của hàng hóa;
- Hàng hóa xuất khẩu, nhập khẩu là vũ khí, khí tài nhằm bảo vệ lợi ích, chủ quyền và an ninh quốc gia thuộc các danh mục bí mật của nhà nước;
- Chất thải, phế liệu không có trị giá thương mại.
c) Phương pháp tính
Thời điểm thống kê: Là thời điểm cơ quan Hải quan chấp nhận đăng ký tờ khai hải quan.
Những thay đổi trên tờ khai hải quan trong quá trình thực hiện thủ tục hải quan sẽ được cập nhật vào hệ thống thông tin hải quan và được điều chỉnh trong các báo cáo thống kê.
Trị giá thống kê hàng hóa xuất khẩu, nhập khẩu: Là trị giá do cơ quan hải quan xây dựng phục vụ cho mục đích thống kê trên cơ sở trị giá khai báo và tuân theo các nguyên tắc sau:
- Đối với hàng hóa xuất khẩu là giá của hàng hóa tính đến cửa khẩu xuất, không bao gồm phí bảo hiểm quốc tế và phí vận tải quốc tế (trị giá tính theo điều kiện giao hàng FOB hoặc tương đương);
- Đối với hàng hóa nhập khẩu là giá thực tế phải trả tính đến cửa khẩu nhập đầu tiên (trị giá tính theo điều kiện giao hàng CIF hoặc tương đương);
- Trong trường hợp trị giá thống kê của hàng hóa không xác định được theo điều kiện giao hàng FOB hoặc tương đương (đối với hàng xuất khẩu) và điều kiện giao hàng CIF hoặc tương đương (đối với hàng nhập khẩu) thì căn cứ vào hồ sơ hải quan và các nguồn thông tin khác để quy đổi.
Xác định trị giá thống kê trong những trường hợp đặc thù
- Trường hợp tờ khai hải quan đăng ký một lần nhưng xuất khẩu hoặc nhập khẩu nhiều lần thì trị giá thống kê là trị giá thực tế của hàng hóa khi xuất khẩu, nhập khẩu;
- Tiền giấy, tiền kim loại và các giấy tờ có giá chưa phát hành, chưa đưa vào lưu thông: Trị giá thống kê là chi phí để sản xuất ra tiền giấy, tiền kim loại và các giấy tờ có giá (không phải là mệnh giá của tiền giấy, tiền kim loại hay các giấy tờ có giá này);
- Phương tiện trung gian dùng để chứa thông tin bao gồm: Băng từ, đĩa từ, CD-ROM, thẻ thông minh và các phương tiện trung gian khác đã hoặc chưa chứa thông tin, trừ loại được sản xuất theo yêu cầu hoặc đơn đặt hàng riêng: Thống kê theo trị giá hải quan toàn bộ của các hàng hóa này (không phải chỉ là trị giá của các phương tiện trung gian chưa có thông tin);
- Hàng hóa được phép ghi giá tạm tính khi đăng ký tờ khai hải quan thì trị giá thống kê phải được điều chỉnh khi có giá chính thức trên tờ khai sửa đổi, bổ sung;
- Hàng gia công, chế biến, lắp ráp: Tính trị giá toàn bộ hàng hóa nguyên liệu trước khi gia công, chế biến, lắp ráp và toàn bộ giá trị thành phẩm hoàn trả sau gia công, chế biến, lắp ráp;
- Các giao dịch không khai trị giá (ví dụ: hàng đổi hàng, hàng viện trợ nhân đạo,...) thì trị giá của hàng hóa trong thống kê được tính theo nguyên tắc xác định trị giá hải quan;
- Hàng trả lại: Trị giá thống kê là trị giá hàng hóa được định giá theo trị giá của giao dịch xuất khẩu hoặc nhập khẩu ban đầu;
- Điện năng xuất khẩu, nhập khẩu: Trị giá thống kê là trị giá khai trên tờ khai hải quan;
- Hàng hóa theo hợp đồng thuê tài chính: Tính trị giá của hàng hóa trên cơ sở giá bán của hàng hóa tương tự (loại trừ các dịch vụ cung cấp kèm theo hợp đồng cho thuê như chi phí đào tạo, bảo trì, phí tài chính);
- Hàng hóa kèm dịch vụ: Trị giá thống kê xác định theo giá FOB hoặc tương đương (đối với hàng xuất khẩu), giá CIF hoặc tương đương (đối với hàng nhập khẩu) của hàng hóa và loại trừ các phí dịch vụ.
Loại tiền và tỷ giá: Trị giá thống kê hàng hóa xuất khẩu, nhập khẩu tính bằng đô la Mỹ (USD). Cơ quan hải quan căn cứ vào quy định hiện hành về tỷ giá tính thuế đối với hàng hóa xuất khẩu, nhập khẩu để quy đổi các ngoại tệ sử dụng trong thống kê.
Đơn vị tính lượng: Sử dụng đơn vị tính quy định trong Danh mục hàng hóa xuất khẩu, nhập khẩu của Việt Nam.
Đối với đơn vị tính lượng quy đổi sử dụng trong các mẫu biểu thống kê: các đơn vị tính lượng khác nhau được quy đổi về đơn vị tính thống nhất trong mẫu biểu căn cứ vào các dữ liệu từ hồ sơ hải quan.
Nước đối tác thương mại:
Xuất khẩu: Thống kê theo “nước, vùng lãnh thổ cuối cùng hàng đến”: Là nước hoặc vùng lãnh thổ mà tại thời điểm xuất khẩu, người khai hải quan biết được hàng hóa của Việt Nam sẽ được chuyển đến để bốc dỡ, không tính nước mà hàng hóa trung chuyển, quá cảnh.
Nhập khẩu: Thống kê theo “nước, vùng lãnh thổ xuất xứ” là nước hoặc vùng lãnh thổ mà tại đó hàng hóa được nuôi trồng, khai thác, sản xuất hoặc chế biến, theo các quy định về xuất xứ hàng hóa của Việt Nam.
2. Phân tổ chủ yếu
a) Kỳ tháng
- Theo loại hình kinh tế.
- Nước/vùng lãnh thổ cuối cùng hàng đến (đối với xuất khẩu); Nước/vùng lãnh thổ xuất xứ (đối với nhập khẩu).
- Theo tỉnh/thành phố trực thuộc Trung ương.
b) Kỳ quý, năm
- Theo loại hình kinh tế.
- Theo ngành kinh tế.
- Danh mục hàng hóa xuất khẩu, nhập khẩu Việt Nam.
- Nước/vùng lãnh thổ cuối cùng hàng đến (đối với xuất khẩu); Nước/vùng lãnh thổ xuất xứ (đối với nhập khẩu).
- Hàng tái xuất.
- Phương thức vận tải.
- Tỉnh/thành phố trực thuộc Trung ương.
3. Kỳ công bố
Tháng, quý, năm.
4. Nguồn số liệu
Dữ liệu hành chính.
5. Cơ quan chịu trách nhiệm thu thập, tổng hợp
- Chủ trì: Cục Xuất nhập khẩu
- Phối hợp: Vụ Kế hoạch.
0211. Số vụ kiểm tra/số vụ khám trong lĩnh vực quản lý thị trường
1. Mục đích, ý nghĩa
Số vụ kiểm tra/số vụ khám {(Khám người, khám phương tiện vận tải, đồ vật hoặc khám nơi cất giấu tang vật, phương tiện vi phạm hành chính theo quy định (không bao gồm trường hợp khám trong quá trình kiểm tra)} của lực lượng Quản lý thị trường thể hiện sự bám sát chỉ đạo của Chính phủ, Ủy ban nhân dân tỉnh/thành phố trực thuộc Trung ương, Bộ Công Thương, Tổng cục Quản lý thị trường... cũng như bám sát tình hình thị trường để đảm bảo việc thi hành phát luật nghiêm chỉnh trong hoạt động thương mại. Số vụ kiểm tra/số vụ khám trong kỳ của lực lượng Quản lý thị trường là tiêu chí đánh giá kết quả kiểm tra, kiểm soát so với kế hoạch đã đề ra, hoặc so sánh với kết quả kỳ trước hoặc cùng kỳ các năm trước.
2. Khái niệm, nội dung, phương pháp tính
Số vụ kiểm tra/số vụ khám {(Khám người, khám phương tiện vận tải, đồ vật hoặc khám nơi cất giấu tang vật, phương tiện vi phạm hành chính theo quy định (không bao gồm trường hợp khám trong quá trình kiểm tra)} của lực lượng Quản lý thị trường là số lượt/trường hợp các hoạt động kiểm tra, kiểm soát thị trường, đấu tranh chống các vi phạm pháp luật trong hoạt động thương mại ở thị trường trong nước. Hoạt động kiểm tra/khám của lực lượng Quản lý thị trường là hoạt động kiểm tra hành chính với những đặc điểm cơ bản:
+ Chủ thể thực hiện: Cơ quan Quản lý thị trường và công chức Quản lý thị trường có thẩm quyền.
+ Căn cứ kiểm tra: Các trường hợp kiểm tra phải có căn cứ. Căn cứ bao gồm căn cứ pháp lý quy định thẩm quyền kiểm tra, việc kiểm tra/khám và căn cứ thực tiễn đặt ra mà dựa vào đó để tiến hành kiểm tra.
+ Đối tượng được kiểm tra/khám: Tổ chức, cá nhân hoạt động kinh doanh, thương mại (kể cả các cơ sở kinh doanh trực thuộc thương nhân như chi nhánh, văn phòng đại diện, cửa hàng...; các cá nhân hoạt động thương mại không phải đăng ký kinh doanh) và các tổ chức, cá nhân khác có liên quan đến hoạt động thương mại.
+ Mục đích kiểm tra/khám: Bảo đảm việc tuân thủ pháp luật kinh doanh, thương mại; góp phần hoàn thiện cơ chế quản lý; bảo vệ lợi ích nhà nước, quyền và lợi ích hợp pháp của các chủ thể kinh doanh, thương mại.
+ Phạm vi kiểm tra/khám: Các hoạt động thương mại trên thị trường trong nước; các vụ việc có dấu hiệu vi phạm pháp luật trong các lĩnh vực quản lý nhà nước được pháp luật quy định thẩm quyền kiểm tra, xử phạt hành chính của cơ quan Quản lý thị trường.
+ Thủ tục, trình tự thực hiện: thực hiện theo quy định của Luật xử lý vi phạm hành chính năm 2012, Pháp lệnh quản lý thị trường, Thông tư số 09/2013/TT-BCT quy định về hoạt động kiểm tra và xử phạt vi phạm hành chính của Quản lý thị trường.
Nội dung kiểm tra/khám: Việc tuân theo pháp luật trong hoạt động thương mại của các đối tượng được kiểm tra.
Phương pháp tiến hành: Kiểm tra theo chương trình kế hoạch được phê duyệt hoặc ban hành; kiểm tra/khám đột xuất khi phát hiện có vi phạm hành chính hoặc dấu hiệu vi phạm hành chính.
Phương pháp tính: Thống kê cộng dồn
3. Phân tổ chủ yếu
Phân theo tỉnh, thành phố.
4. Kỳ công bố
- Tháng.
- Năm.
5. Nguồn số liệu
Báo cáo thống kê do Tổng Cục Quản lý thị trường và Cục Quản lý thị trường tỉnh, thành phố trực thuộc Trung ương.
6. Cơ quan chịu trách nhiệm thu thập, tổng hợp
- Chủ trì: Tổng cục Quản lý thị trường.
- Phối hợp: Vụ Kế hoạch.
0212. Số vụ vi phạm xử lý trong lĩnh vực quản lý thị trường
1. Mục đích, ý nghĩa
Xử lý vi phạm của lực lượng Quản lý thị trường nhằm ngăn chặn các hành vi vi phạm do cá nhân, tổ chức thực hiện, vi phạm quy định của pháp luật về quản lý nhà nước mà không phải là tội phạm và theo quy định của pháp luật phải bị xử phạt vi phạm. Chỉ tiêu số vụ vi phạm đã xử lý phản ánh tình hình ngăn chặn các hành vi vi phạm do cá nhân, tổ chức vi phạm quy định của pháp luật.
2. Khái niệm, nội dung, phương pháp tính
Số vụ vi phạm xử lý trong lĩnh vực quản lý thị trường là số vụ lực lượng Quản lý thị trường xử phạt các cá nhân, tổ chức có hành vi vi phạm trong hoạt động thương mại thuộc thẩm quyền xử phạt của Quản lý thị trường (được xác định cụ thể căn cứ vào các Nghị định của Chính phủ quy định về xử phạt vi phạm trong từng lĩnh vực quản lý nhà nước).
Số vụ vi phạm xử lý trong lĩnh vực quản lý thị trường bao gồm: Số lượng quyết định xử phạt vi phạm; số lượng quyết định tịch thu tang vật, phương tiện vi phạm; số lượng quyết định buộc áp dụng các biện pháp khắc phục hậu quả (trường hợp ban hành độc lập) trong kỳ báo cáo.
Số vụ đã xử lý là số vụ đã hoàn tất hồ sơ vụ việc bao gồm các thủ tục: Xác định hành vi vi phạm và lập biên bản vi phạm; ra quyết định xử phạt vi phạm; thi hành Quyết định xử phạt vi phạm.
Phương pháp tính:
|
Số vụ vi phạm đã xử lý |
= |
Số vụ xử lý trong kỳ báo cáo |
+ |
Số vụ xử lý tồn từ kỳ trước chuyển sang |
3. Phân tổ chủ yếu
Phân theo tỉnh, thành phố.
4. Kỳ công bố
- Tháng.
- Năm.
5. Nguồn số liệu
Báo cáo thống kê do Tổng cục Quản lý thị trường và Cục Quản lý thị trường tỉnh, thành phố trực thuộc Trung ương.
6. Cơ quan chịu trách nhiệm thu thập, tổng hợp
- Chủ trì: Tổng cục Quản lý thị trường.
- Phối hợp: Vụ Kế hoạch.
0213. Số tiền xử phạt vi phạm trong lĩnh vực quản lý thị trường
1. Mục đích, ý nghĩa
Chỉ tiêu số tiền phạt từ các vụ vi phạm phản ánh tình hình xử phạt hành vi vi phạm của các tổ chức, cá nhân... Hình thức phạt tiền áp dụng phổ biến đối với nhiều loại vi phạm nhằm thể hiện sự nghiêm minh của pháp luật và bảo vệ quyền lợi chính đảng của người tiêu dùng, quyền lợi hợp pháp của các cá nhân/tổ chức kinh doanh chân chính. Từ đó giúp cho công tác ngăn ngừa hành vi vi phạm pháp luật.
2. Khái niệm, nội dung, phương pháp tính
Là số tiền xử phạt vi phạm đối với các hành vi vi phạm. Thể hiện thẩm quyền xử phạt vi phạm, áp dụng các biện pháp ngăn chặn và bảo đảm việc xử lý vi phạm của Quản lý thị trường.
Áp dụng biện pháp khắc phục hậu quả gồm: Buộc nộp lại số lợi bất hợp pháp có được do thực hiện vi phạm hành chính hoặc buộc nộp lại số tiền bằng trị giá tang vật, phương tiện vi phạm hành chính đã bị tiêu thụ, tẩu tán, tiêu hủy trái quy định của pháp luật.
Phương pháp tính:
Tổng số tiền phạt từ các vụ vi phạm = Tổng số tiền phạt do vi phạm hành chính + Số tiền thu được từ việc áp dụng biện pháp khắc phục hậu quả trong kỳ báo cáo.
3. Phân tổ chủ yếu
Phân theo tỉnh, thành phố.
4. Kỳ công bố
- Tháng.
- Năm.
5. Nguồn số liệu
Báo cáo thống kê do Tổng cục Quản lý thị trường và Cục Quản lý thị trường tỉnh, thành phố trực thuộc Trung ương.
6. Cơ quan chịu trách nhiệm thu thập, tổng hợp
- Chủ trì: Tổng cục Quản lý thị trường.
- Phối hợp: Vụ Kế hoạch.
0214. Trị giá tang vật, phương tiện vi phạm hành chính bị tịch thu hoặc áp dụng các biện pháp khắc phục hậu quả trong lĩnh vực quản lý thị trường
1. Mục đích, ý nghĩa
Là chỉ tiêu phản ánh kết quả thực hiện công tác kiểm tra, kiểm soát của lực lượng Quản lý thị trường.
2. Khái niệm, nội dung, phương pháp tính
Trị giá tang vật, phương tiện vi phạm hành chính bị tịch thu hoặc áp dụng các biện pháp khắc phục hậu quả trong lĩnh vực quản lý thị trường là số tiền thu được từ hàng hóa bị thu giữ, xử lý mà lực lượng Quản lý thị trường kiểm tra, phát hiện và lập biên bản xử lý.
Phương pháp tính:
Trị giá hàng hóa bị thu giữ, xử lý = Tổng số tiền các mặt hàng vi phạm trên từng lĩnh vực (gồm: Vi phạm về hàng cấm, hàng nhập lậu, hàng giả, hàng kém chất lượng; vi phạm sở hữu trí tuệ; vi phạm vệ sinh an toàn thực phẩm; vi phạm trong lĩnh vực giá; vi phạm trong lĩnh vực kinh doanh và các hành vi vi phạm khác) căn cứ hóa đơn, chứng từ hoặc thẩm định giá của cơ quan có thẩm quyền.
3. Phân tổ chủ yếu
Phân theo tỉnh, thành phố.
4. Kỳ công bố
- Tháng.
- Năm.
5. Nguồn số liệu
Báo cáo thống kê do Tổng cục Quản lý thị trường và Cục Quản lý thị trường các tỉnh, thành phố trực thuộc Trung ương.
6. Cơ quan chịu trách nhiệm thu thập, tổng hợp
- Chủ trì: Tổng cục Quản lý thị trường.
- Phối hợp: Vụ Kế hoạch.
0215. Số thương nhân có giao dịch thương mại điện tử
1. Mục đích, ý nghĩa
Là chỉ tiêu phản ánh mức độ ứng dụng thương mại điện tử của các thương nhân với đối tác trong và ngoài nước, đồng thời cung cấp thông tin phục vụ công tác quản lý, quy hoạch và xây dựng giải pháp phát triển thương mại điện tử.
2. Khái niệm, nội dung, phương pháp tính
Số thương nhân có giao dịch thương mại điện tử là toàn bộ số lượng thương nhân tiến hành một phần hay toàn bộ quy trình của hoạt động giao dịch thương mại thông qua các website thương mại điện tử hoặc qua các ứng dụng thương mại điện tử trên thiết bị di động có kết nối mạng internet, mạng viễn thông di động hoặc các mạng mở khác.
Thương nhân bao gồm tổ chức kinh tế được thành lập hợp pháp, cá nhân hoạt động thương mại một cách độc lập, thường xuyên và có đăng ký kinh doanh.
- Website thương mại điện tử là trang thông tin điện tử được thiết lập để phục vụ một phần hoặc toàn bộ quy trình của hoạt động mua, bán hàng hóa hay cung ứng dịch vụ, từ trưng bày giới thiệu hàng hóa, dịch vụ đến giao kết hợp đồng, cung ứng dịch vụ, thanh toán và dịch vụ sau bán hàng. Có hai loại hình website thương mại điện tử: Website thương mại điện tử bán hàng và website cung cấp dịch vụ thương mại điện tử.
+ Website thương mại điện tử bán hàng là website thương mại điện tử do các thương nhân tự thiết lập để phục vụ hoạt động xúc tiến thương mại, bán hàng hóa hoặc cung ứng dịch vụ của mình.
+ Website cung cấp dịch vụ thương mại điện tử là website thương mại điện tử do thương nhân thiết lập để cung cấp môi trường cho các thương nhân, tổ chức, cá nhân khác tiến hành hoạt động thương mại, bao gồm: Sàn giao dịch thương mại điện tử, website đấu giá trực tuyến, website khuyến mại trực tuyến, các loại website khác do Bộ Công Thương quy định.
- Ứng dụng thương mại điện tử trên thiết bị di động có nối mạng là ứng dụng được cài đặt trên thiết bị di động cho phép người dùng truy cập vào cơ sở dữ liệu của thương nhân, tổ chức, cá nhân khác để mua bán hàng hóa, cung ứng hoặc sử dụng dịch vụ, bao gồm ứng dụng bán hàng và ứng dụng cung cấp dịch vụ thương mại điện tử (ứng dụng sàn giao dịch thương mại điện tử, ứng dụng khuyến mại trực tuyến và ứng dụng đấu giá trực tuyến).
Phương pháp tính:

Trong đó:
- Xi: Số thương nhân có giao dịch thương mại điện tử tại tỉnh, thành phố thứ i
- Yi: Số thương nhân được khảo sát tại tỉnh, thành phố thứ i
- Zi: Số thương nhân tại tỉnh, thành phố thứ i
- X: Số thương nhân có giao dịch thương mại điện tử trên cả nước
- Đơn vị tính: Thương nhân.
3. Phân tổ chủ yếu
- Phân theo ngành kinh tế
- Phân theo khu vực kinh tế.
- Phân theo tỉnh, thành phố.
- Vùng kinh tế - xã hội.
4. Kỳ công bố
Hai (02) năm.
5. Nguồn số liệu
- Chế độ báo cáo thống kê áp dụng đối với Sở Công Thương các tỉnh, thành phố trực thuộc Trung ương.
- Điều tra thống kê quốc gia về thương mại điện tử.
6. Cơ quan chịu trách nhiệm thu thập, tổng hợp
- Chủ trì: Cục Thương mại điện tử và Kinh tế số.
- Phối hợp: Vụ Kế hoạch.
0216. Số thương nhân triển khai ứng dụng phần mềm tác nghiệp phục vụ hoạt động thương mại điện tử
1. Mục đích, ý nghĩa
Phần mềm tác nghiệp là giải pháp công nghệ thông tin có ý nghĩa quyết định trong sự phát triển, quản lý và điều hành của thương nhân. Đây là cơ sở để đánh giá mức độ ứng dụng giải pháp công nghệ thông tin của thương nhân trong việc triển khai thương mại điện tử.
2. Khái niệm, nội dung, phương pháp tính
Thương nhân triển khai ứng dụng phần mềm tác nghiệp phục vụ hoạt động thương mại điện tử là các thương nhân đã cài đặt và ứng dụng ít nhất một trong các phần mềm tác nghiệp phục vụ hoạt động thương mại điện tử sau:
- Phần mềm quản lý bán hàng trực tuyến (POS)
- Các công cụ phân tích thương mại điện tử (Google Analytics,...)
- Kế toán, tài chính
- Quan hệ khách hàng (CRM)
- Quản lý hệ thống cung ứng (SCM)
- Lập kế hoạch nguồn lực (ERP)
- Digital marketing
Phương pháp tính: Thống kê cộng dồn.
- Đơn vị tính: Thương nhân.
3. Phân tổ chủ yếu
- Phân theo tỉnh, thành phố.
- Phân theo ngành kinh tế.
- Phân theo loại hình phần mềm.
4. Kỳ công bố
Năm.
5. Nguồn số liệu
Điều tra thống kê quốc gia về thương mại điện tử.
6. Cơ quan chịu trách nhiệm thu thập, tổng hợp
- Chủ trì: Cục Thương mại điện tử và Kinh tế số.
- Phối hợp: Vụ Kế hoạch.
0217. Số thương nhân áp dụng các biện pháp bảo mật công nghệ thông tin và thương mại điện tử
1. Mục đích, ý nghĩa
Biện pháp bảo mật công nghệ thông tin và thương mại điện tử là một trong những giải pháp công nghệ quan trọng quyết định sự tồn tại của thương nhân. Đây là cơ sở để đánh giá mức độ quan tâm, đầu tư của thương nhân trong việc sử dụng các biện pháp an ninh, an toàn nhằm bảo mật hệ thống thông tin của thương nhân cũng như bảo vệ quyền lợi của người tiêu dùng.
2. Khái niệm, nội dung, phương pháp tính
Thương nhân áp dụng các biện pháp bảo mật công nghệ thông tin và thương mại điện tử là các thương nhân áp dụng ít nhất một trong các biện pháp bảo mật nhằm đảm bảo an toàn cho thông tin, dữ liệu, máy móc của thương nhân và khách hàng như:
- Tường lửa.
- Phần mềm diệt virus.
- Khóa bằng các loại mật mã.
- Chữ ký điện tử.
Phương pháp tính: Thống kê cộng dồn.
- Đơn vị tính: Thương nhân.
3. Phân tổ chủ yếu
- Phân theo tỉnh, thành phố.
- Phân theo ngành kinh tế.
- Phân theo các biện pháp bảo mật công nghệ thông tin và thương mại điện tử.
4. Kỳ công bố
Năm.
5. Nguồn số liệu
Điều tra thống kê quốc gia về thương mại điện tử.
6. Cơ quan chịu trách nhiệm thu thập, tổng hợp
- Chủ trì: Cục Thương mại điện tử và Kinh tế số.
- Phối hợp: Vụ Kế hoạch.
0218. Số thương nhân cung cấp dịch vụ hỗ trợ thương mại điện tử
1. Mục đích, ý nghĩa
Các dịch vụ hỗ trợ thương mại điện tử phát triển nhanh, đa dạng về mô hình hoạt động cũng như cách thức cung cấp dịch vụ. Việc thống kê số lượng thương nhân cung cấp dịch vụ hỗ trợ thương mại điện tử sẽ đưa ra cái nhìn tổng thể về thị trường thương mại điện tử cũng như loại hình dịch vụ cung cấp thương mại điện tử được thương nhân đang quan tâm đầu tư.
2. Khái niệm, nội dung, phương pháp tính
Thương nhân cung cấp dịch vụ hỗ trợ thương mại điện tử là các thương nhân cung cấp dịch vụ ứng dụng thương mại điện tử của người dân, doanh nghiệp và các tổ chức khác trong xã hội, bao gồm:
- Dịch vụ sàn giao dịch thương mại điện tử, dịch vụ khuyến mại trực tuyến, dịch vụ đấu giá trực tuyến.
- Xây dựng và thiết kế website.
- Cung cấp các phần mềm tác nghiệp phục vụ thương mại điện tử.
- Cung cấp giải pháp thanh toán.
- Chứng thực chữ ký điện tử.
- Tư vấn ứng dụng thương mại điện tử.
- Các dịch vụ giá trị gia tăng khác về thương mại điện tử.
Phương pháp tính: Thống kê cộng dồn
- Đơn vị tính: Thương nhân
3. Phân tổ chủ yếu
- Phân theo tỉnh, thành phố.
- Phân theo ngành kinh tế.
- Phân theo loại hình dịch vụ thương mại điện tử.
4. Kỳ công bố
Năm.
5. Nguồn số liệu
Điều tra thống kê quốc gia về thương mại điện tử.
6. Cơ quan chịu trách nhiệm thu thập, tổng hợp
- Chủ trì: Cục Thương mại điện tử và Kinh tế số.
- Phối hợp: Vụ Kế hoạch.
0219. Tỷ lệ chi phí đầu tư cho ứng dụng công nghệ thông tin và thương mại điện tử trên tổng chi phí của thương nhân
1. Mục đích, ý nghĩa
Ứng dụng công nghệ thông tin vào hoạt động kinh doanh thương mại là yếu tố không thể thiếu trong việc triển khai thương mại điện tử. Đây là cơ sở đánh giá khả năng tiếp cận, mức độ đầu tư, xử lý và ứng dụng phương tiện công nghệ trong thương mại điện tử của thương nhân.
2. Khái niệm, nội dung, phương pháp tính
Chi phí đầu tư ứng dụng công nghệ thông tin và thương mại điện tử bao gồm toàn bộ chi phí được thương nhân đầu tư cho các hạng mục:
- Mua, nâng cấp, bảo trì, bảo dưỡng, sửa chữa hệ thống cơ sở hạ tầng và phần cứng công nghệ thông tin và thương mại điện tử.
- Chi phí mua, thuê các phần mềm máy tính, các ứng dụng công nghệ thông tin và thương mại điện tử.
- Chi phí đào tạo, tập huấn, hướng dẫn nhân viên sử dụng các phần cứng và phần mềm công nghệ thông tin và thương mại điện tử.
- Chi phí tiền lương trả cho nhân viên chuyên trách về công nghệ thông tin và thương mại điện tử.
- Các chi phí khác liên quan như tiền thuê bao internet hàng tháng, tiền duy trì và vận hành website, phí tham gia các sàn giao dịch thương mại điện tử,...
Phương pháp tính:
Đối với tỉnh, thành phố thứ i:

Đối với toàn quốc:

Trong đó:
- i: Số thứ tự của tỉnh, thành phố được khảo sát (i = 1->63)
- j: Số thứ tự của thương nhân được khảo sát trong từng tỉnh, thành phố
- ki: Số thương nhân được khảo sát tại tỉnh, thành phố thứ i
- Xij: Tỷ lệ chi phí đầu tư cho công nghệ thông tin và thương mại điện tử trên tổng chi phí của thương nhân được khảo sát thứ j tại tỉnh, thành phố thứ i
- Xi: Tỷ lệ chi phí đầu tư cho công nghệ thông tin và thương mại điện tử trên tổng chi phí trung bình của tỉnh, thành phố thứ i
- X: Tỷ lệ chi phí đầu tư cho công nghệ thông tin và thương mại điện tử trên tổng chi phí trung bình của toàn quốc
Đơn vị tính: %
3. Phân tổ chủ yếu
- Phân theo tỉnh, thành phố.
- Phân theo quy mô doanh nghiệp.
- Phân theo cơ cấu chi phí (Phần cứng, phần mềm, đào tạo, khác).
4. Kỳ công bố
Năm.
5. Nguồn số liệu
Điều tra thống kê quốc gia về thương mại điện tử.
6. Cơ quan chịu trách nhiệm thu thập, tổng hợp
- Chủ trì: Cục Thương mại điện tử và Kinh tế số.
- Phối hợp: Vụ Kế hoạch.
0220. Số thương nhân có website thương mại điện tử
1. Mục đích, ý nghĩa
Website được coi là phương tiện hữu hiệu đối với thương nhân trong môi trường internet, mang lại hiệu quả cao trong việc giới thiệu thông tin về thương nhân, sản phẩm, hàng hóa, dịch vụ; tối giảm chi phí; tiện lợi trong việc kết nối doanh nghiệp. Việc thống kê số lượng thương nhân có website sẽ là cơ sở để đánh giá tình hình phát triển thương mại điện tử nói chung và mức độ quan tâm, ứng dụng thương mại điện tử của thương nhân nói riêng.
2. Khái niệm, nội dung, phương pháp tính
Thương nhân có website thương mại điện tử là các thương nhân đã xây dựng và vận hành website riêng.
Phương pháp tính: Thống kê cộng dồn.
- Đơn vị tính: Thương nhân.
3. Phân tổ chủ yếu
- Phân theo tỉnh, thành phố.
- Phân theo ngành kinh tế.
- Tên miền [Quốc tế và Việt Nam (.vn)]
- Phân theo loại hình website thương mại điện tử (website thương mại điện tử bán hàng, sàn giao dịch thương mại điện tử, website khuyến mại trực tuyến, website đấu giá trực tuyến).
4. Kỳ công bố
Năm.
5. Nguồn số liệu
Điều tra thống kê quốc gia về thương mại điện tử.
6. Đơn vị chịu trách nhiệm thu thập, tổng hợp
- Chủ trì: Cục Thương mại điện tử và Kinh tế số.
- Phối hợp: Vụ Kế hoạch.
0221. Số thương nhân tham gia giao dịch trên website cung cấp dịch vụ thương mại điện tử
1. Mục đích, ý nghĩa
Website giao dịch thương mại điện tử là nơi kết nối các tổ chức, cá nhân, doanh nghiệp với nhau trên môi trường internet, tạo cơ hội thuận lợi cho việc giao kết, buôn bán và giới thiệu sản phẩm, hàng hóa, dịch vụ. Việc thống kê số lượng thương nhân có tham gia giao dịch thương mại điện tử thể hiện mức độ quan tâm của thương nhân đối với loại hình kinh doanh trên môi trường điện tử.
2. Khái niệm, nội dung, phương pháp tính
Thương nhân tham gia giao dịch trên website cung cấp dịch vụ thương mại điện tử là các thương nhân đã đăng ký tham gia ít nhất một sàn giao dịch thương mại điện tử của Việt Nam hoặc nước ngoài.
Phương pháp tính: Thống kê cộng dồn
- Đơn vị tính: Thương nhân
3. Phân tổ chủ yếu
- Phân theo tỉnh, thành phố.
- Phân theo ngành kinh tế.
- Phân theo địa điểm website cung cấp dịch vụ thương mại điện tử (trong nước, nước ngoài).
- Phân theo loại hình website cung cấp dịch vụ thương mại điện tử (Sàn giao dịch thương mại điện tử, website khuyến mại trực tuyến, website đấu giá trực tuyến).
4. Kỳ công bố
Năm.
5. Nguồn số liệu
Điều tra thống kê quốc gia về thương mại điện tử.
6. Đơn vị chịu trách nhiệm thu thập, tổng hợp
- Chủ trì: Cục Thương mại điện tử và Kinh tế số.
- Phối hợp: Vụ Kế hoạch.
0222. Số thương nhân đặt hàng trực tuyến
1. Mục đích, ý nghĩa
Đặt hàng trực tuyến là phương thức đặt hàng trên môi trường internet bằng email, hay qua các sàn giao dịch thương mại điện tử, hay tại website của đối tác. Việc thống kê số thương nhân đặt hàng trực tuyến là cơ sở đánh giá mức độ ứng dụng giải pháp công nghệ của thương nhân trong phạm vi cả nước khi tham gia thương mại điện tử.
2. Khái niệm, nội dung, phương pháp tính
Thương nhân đặt hàng trực tuyến là các thương nhân đã thực hiện việc đặt hàng qua mạng internet (bằng email, qua các sàn giao dịch thương mại điện tử, tại website của đối tác) ít nhất một lần/tháng.
Phương pháp tính: Thống kê cộng dồn.
- Đơn vị tính: Thương nhân
3. Phân tổ chủ yếu
- Phân theo tỉnh, thành phố.
- Phân theo ngành kinh tế.
- Phân theo các phương thức đặt hàng (e-mail, website thương mại điện tử).
- Thị trường (trong nước, ngoài nước).
4. Kỳ công bố
Năm.
5. Nguồn số liệu
Điều tra thống kê quốc gia về thương mại điện tử.
6. Đơn vị chịu trách nhiệm thu thập, tổng hợp
- Chủ trì: Cục Thương mại điện tử và Kinh tế số.
- Phối hợp: Vụ Kế hoạch.
0223. Số thương nhân nhận đơn đặt hàng trực tuyến
1. Mục đích, ý nghĩa
Hình thức nhận đơn đặt hàng trực tuyến là hình thức nhận đơn đặt hàng trên môi trường internet bằng email, hay qua các sàn giao dịch thương mại điện tử, hay tại website của thương nhân đó. Thống kê số thương nhân đặt hàng trực tuyến là cơ sở đánh giá được mức độ ứng dụng giải pháp công nghệ của thương nhân cũng như người tiêu dùng khi tham gia thương mại điện tử trong cả nước.
2. Khái niệm, nội dung, phương pháp tính
Thương nhân nhận đơn đặt hàng trực tuyến là các thương nhân đã nhận được đơn đặt hàng qua mạng Internet (bằng email, qua sàn giao dịch thương mại điện tử, tại website của thương nhân) ít nhất một lần/tháng.
Phương pháp tính: Thống kê cộng dồn.
- Đơn vị tính: Thương nhân
3. Phân tổ chủ yếu
- Phân theo tỉnh, thành phố.
- Phân theo ngành kinh tế.
- Phân theo các phương thức đặt hàng (e-mail, website thương mại điện tử).
- Thị trường (trong nước, ngoài nước).
4. Kỳ công bố
Năm.
5. Nguồn số liệu
Điều tra thống kê quốc gia về thương mại điện tử.
6. Đơn vị chịu trách nhiệm thu thập, tổng hợp
- Chủ trì: Cục Thương mại điện tử và Kinh tế số.
- Phối hợp: Vụ Kế hoạch.
0224. Tỷ lệ giá trị mua hàng trực tuyến trên tổng giá trị mua hàng hóa của thương nhân
1. Mục đích, ý nghĩa
Số liệu thống kê giá trị mua hàng trực tuyến là cơ sở đánh giá chung tình hình lưu thông hàng hóa, dịch vụ của thương nhân qua việc đặt hàng trực tuyến của đối tác qua mạng internet. Qua đó có thể thấy mức độ quan tâm của thương nhân, người tiêu dùng đối với thương mại điện tử cũng như tình hình kinh doanh thương mại điện tử của thương nhân trong cả nước.
2. Khái niệm, nội dung, phương pháp tính
Giá trị mua hàng trực tuyền là tổng giá trị các sản phẩm (hàng hóa và dịch vụ) thương nhân đã đặt mua, trong đó đơn hàng được gửi đi thông qua mạng Internet (email, website). Giá trị mua hàng trực tuyến được tính tỷ lệ đối với tổng giá trị hàng hóa mua vào của thương nhân.
Phương pháp tính
Đối với tỉnh, thành phố thứ i:

Đối với toàn quốc:

Trong đó:
- i: Số thứ tự của tỉnh, thành phố được khảo sát (i = 1->63)
- j: Số thứ tự của thương nhân được khảo sát trong từng tỉnh, thành phố
- ki: Số thương nhân được khảo sát tại tỉnh, thành phố thứ i
- Xij: Tỷ lệ giá trị hàng hóa đặt mua qua phương tiện điện tử trên tổng giá trị mua hàng hóa của thương nhân được khảo sát thứ j tại tỉnh, thành phố thứ i
- Xi: Tỷ lệ giá trị hàng hóa đặt mua qua phương tiện điện tử trên tổng giá trị mua hàng hóa trung bình của thương nhân tại tỉnh, thành phố thứ i
- X: Tỷ lệ giá trị hàng hóa đặt mua qua phương tiện điện tử trên tổng giá trị mua hàng hóa trung bình của thương nhân toàn quốc
Đơn vị tính: %
3. Phân tổ chủ yếu
- Phân theo tỉnh, thành phố.
- Phân theo ngành kinh tế.
4. Kỳ công bố
Năm.
5. Nguồn số liệu
Điều tra thống kê quốc gia về thương mại điện tử.
6. Đơn vị chịu trách nhiệm thu thập, tổng hợp
- Chủ trì: Cục Thương mại điện tử và Kinh tế số.
- Phối hợp: Vụ Kế hoạch.
0225. Tỷ lệ giá trị bán hàng trực tuyến trên tổng giá trị bán hàng hóa của thương nhân
1. Mục đích, ý nghĩa
Số liệu thống kê giá trị bán hàng trực tuyến là cơ sở đánh giá chung tình hình lưu thông hàng hóa, dịch vụ của thương nhân từ việc nhận các đơn đặt hàng trực tuyến của đối tác qua mạng internet. Từ đó, có thể thấy mức độ quan tâm của thương nhân, người tiêu dùng đối với thương mại điện tử cũng như tình hình kinh doanh thương mại điện tử của thương nhân trong cả nước.
2. Khái niệm, nội dung, phương pháp tính
Giá trị bán hàng trực tuyến của thương nhân là tổng giá trị các sản phẩm (hàng hóa và dịch vụ) thương nhân bán cho các đối tác, trong đó đơn đặt hàng của đối tác được gửi tới thương nhân thông qua mạng internet (email, website). Giá trị bán hàng trực tuyến được tính tỷ lệ đối với tổng giá trị hàng hóa bán ra của thương nhân.
Phương pháp tính:
Đối với tỉnh, thành phố thứ i:

Đối với toàn quốc:

Trong đó:
- i: Số thứ tự của tỉnh, thành phố được khảo sát (i = 1 à 63).
- j: Số thứ tự của thương nhân được khảo sát trong từng tỉnh, thành phố.
- ki: Số thương nhân được khảo sát tại tỉnh, thành phố thứ i.
- Xij: Tỷ lệ giá trị bán hàng hóa qua phương tiện điện tử trên tổng giá trị bán hàng hóa của thương nhân được khảo sát thứ j tại tỉnh, thành phố thứ i.
- Xi: Tỷ lệ giá trị bán hàng hóa qua phương tiện điện tử trên tổng giá trị bán hàng hóa trung bình của thương nhân tại tỉnh, thành phố thứ i.
- X: Tỷ lệ giá trị bán hàng hóa qua phương tiện điện tử trên tổng giá trị bán hàng hóa trung bình của thương nhân toàn quốc.
Đơn vị tính: %
3. Phân tổ chủ yếu
- Phân theo tỉnh, thành phố.
- Phân theo ngành kinh tế.
4. Kỳ công bố
Năm.
5. Nguồn số liệu
Điều tra thống kê quốc gia về thương mại điện tử.
6. Đơn vị chịu trách nhiệm thu thập, tổng hợp
- Chủ trì: Cục Thương mại điện tử và Kinh tế số.
- Phối hợp: Vụ Kế hoạch.
0226. Số thương nhân có ứng dụng bán hàng trên thiết bị di động
1. Mục đích, ý nghĩa
Ứng dụng bán hàng trên thiết bị di động là ứng dụng cài đặt trên thiết bị di động có nối mạng cho phép người dùng truy cập vào cơ sở dữ liệu của thương nhân, tổ chức, cá nhân khác để mua bán hàng hóa, cung ứng hoặc sử dụng dịch vụ, bao gồm ứng dụng bán hàng và ứng dụng cung cấp dịch vụ thương mại điện tử. Số thương nhân có ứng dụng bán hàng trên thiết bị di động phản ánh xu hướng phát triển các mô hình bán hàng mới dựa trên sự phổ biến của thiết bị di động (Điện thoại di động, máy tính bảng,...).
2. Khái niệm, nội dung, phương pháp tính
Số thương nhân có ứng dụng bán hàng trên thiết bị di động là số lượng thương nhân sở hữu ít nhất một (01) ứng dụng bán hàng trên thiết bị di động.
Phương pháp tính:

Trong đó:
- Xi: Số thương nhân được khảo sát có ứng dụng bán hàng trên thiết bị di động tại tỉnh thứ i
- Yi: Số thương nhân được khảo sát tại tỉnh, thành phố thứ i
- Zi: Tổng số thương nhân tại tỉnh, thành phố thứ i
- X: Số thương nhân có ứng dụng bán hàng trên thiết bị di động trên cả nước
Đơn vị tính: Thương nhân
3. Phân tổ chủ yếu
- Phân theo tỉnh, thành phố.
- Phân theo ngành kinh tế.
- Loại hình ứng dụng trên thiết bị di động (ứng dụng bán hàng, ứng dụng sàn giao dịch thương mại điện tử, ứng dụng khuyến mại trực tuyến, ứng dụng đấu giá trực tuyến).
4. Kỳ công bố
Năm.
5. Nguồn số liệu
Điều tra thống kê quốc gia về thương mại điện tử.
6. Đơn vị chịu trách nhiệm thu thập, tổng hợp
- Chủ trì: Cục Thương mại điện tử và Kinh tế số.
- Phối hợp: Vụ Kế hoạch.
0227. Số thương nhân sử dụng dịch vụ công trực tuyến
1. Mục đích, ý nghĩa
Dịch vụ công trực tuyến là dịch vụ hành chính công và các dịch vụ khác của cơ quan nhà nước được cung cấp cho các tổ chức, cá nhân trên môi trường mạng (Ví dụ như khai báo thuế điện tử, đăng ký kinh doanh, khai báo hải quan,...). Số thương nhân sử dụng dịch vụ công trực tuyến phản ánh mức độ ứng dụng công nghệ thông tin trong hoạt động thương mại của thương nhân cũng như phản ánh chất lượng dịch vụ công trực tuyến của cơ quan quản lý nhà nước Trung ương và địa phương.
2. Khái niệm, nội dung, phương pháp tính
Thương nhân sử dụng dịch vụ công trực tuyến là thương nhân có sử dụng dịch vụ công trực tuyến của cơ quan nhà nước Trung ương hoặc địa phương phục vụ cho hoạt động thương mại của mình ít nhất 1 lần trong năm.
Phương pháp tính:

Trong đó:
- Xi: Số thương nhân đã từng sử dụng dịch vụ công trực tuyến tại tỉnh, thành phố thứ i
- Yi: Số thương nhân được khảo sát tại tỉnh, thành phố thứ i
- Zi: Tổng số thương nhân tại tỉnh, thành phố thứ i
- X: Số thương nhân sử dụng dịch vụ công trực tuyến trên cả nước.
- Đơn vị tính: Thương nhân
3. Phân tổ chủ yếu
- Phân theo tỉnh, thành phố.
- Phân theo ngành kinh tế.
- Loại hình dịch vụ công trực tuyến.
4. Kỳ công bố
Năm.
5. Nguồn số liệu
Điều tra thống kê quốc gia về thương mại điện tử.
6. Đơn vị chịu trách nhiệm thu thập, tổng hợp
- Chủ trì: Cục Thương mại điện tử và Kinh tế số.
- Phối hợp: Vụ Kế hoạch.
0228. Số thương nhân sử dụng hợp đồng điện tử
1. Mục đích, ý nghĩa
Là chỉ tiêu phản ánh mức độ chuyển đổi số trong hoạt động của thương nhân. Từ khi giá trị pháp lý của hợp đồng điện tử được công nhận theo Luật Giao dịch điện tử, việc sử dụng hợp đồng điện tử mang lại sự tiện lợi, nhanh chóng, dễ dàng trong tra cứu, tìm kiếm, giúp tiết kiệm thời gian và chi phí trong các giao dịch thương mại, đặc biệt là với những giao dịch được tiến hành trên môi trường thương mại điện tử.
2. Khái niệm, nội dung và phương pháp tính
Hợp đồng điện tử là loại hợp đồng mà các bên thỏa thuận về việc xác lập, thay đổi hay là chấm dứt quyền nghĩa vụ được gửi đi, nhận lại và được lưu trữ trên các phương tiện điện tử như công nghệ điện, điện tử, kỹ thuật số, quang học và các phương tiện điện tử khác.
Số thương nhân sử dụng hợp đồng điện tử là số lượng thương nhân đã từng sử dụng hợp đồng điện tử trong các giao dịch thương mại của mình trong năm.
Tỷ lệ thương nhân sử dụng hợp đồng điện tử là tỷ lệ thương nhân đã từng sử dụng hợp đồng điện tử trong các giao dịch thương mại của mình trong tổng số thương nhân trên cả nước trong năm.
Phương pháp tính: Thống kê cộng dồn.
- Đơn vị tính: Thương nhân.
3. Phân tổ chủ yếu
- Phân theo tỉnh, thành phố.
- Phân theo ngành kinh tế.
4. Kỳ công bố
Năm.
5. Nguồn số liệu
Điều tra thống kê quốc gia về thương mại điện tử.
6. Cơ quan chịu trách nhiệm thu thập, tổng hợp
- Chủ trì: Cục Thương mại điện tử và Kinh tế số.
- Phối hợp: Vụ Kế hoạch.
0229. Doanh thu thương mại điện tử
1. Mục đích, ý nghĩa
Là chỉ tiêu phản ánh quy mô thị trường thương mại điện tử, qua đó xác định được mức độ thâm nhập của thương mại điện tử trong hoạt động mua bán hàng hóa, dịch vụ tiêu dùng trên cả nước.
2. Khái niệm, phương pháp tính
Doanh thu thương mại điện tử là số tiền thu được của thương nhân từ hoạt động giao dịch thương mại điện tử.
3. Phân tổ chủ yếu
- Theo ngành kinh tế.
- Theo khu vực kinh tế.
- Theo tỉnh, thành phố.
4. Kỳ công bố
Năm.
5. Nguồn số liệu
- Tổng điều tra kinh tế.
- Điều tra thống kê quốc gia về thương mại điện tử.
- Điều tra doanh nghiệp.
- Dữ liệu hành chính.
6. Cơ quan chịu trách nhiệm thu thập, tổng hợp
- Chủ trì: Cục Thương mại điện tử và Kinh tế số.
- Phối hợp: Vụ Kế hoạch.
0230. Tỷ trọng giá trị tăng thêm của dịch vụ logistics trong tổng sản phẩm trong nước
1. Khái niệm, phương pháp tính
Tỷ trọng giá trị tăng thêm của dịch vụ logistics trong tổng sản phẩm trong nước là tỷ lệ phần trăm giá trị tăng thêm được tạo ra của dịch vụ logistics so với tổng sản phẩm trong nước trong thời kỳ nhất định.
Phương pháp tính:

Trong đó:
Ilogistics: Tỷ trọng giá trị tăng thêm của dịch vụ logistic trong tổng sản phẩm trong nước.
VAlogistics: Giá trị tăng thêm của dịch vụ logistic.
GDP: Tổng sản phẩm trong nước.
2. Phân tổ chủ yếu
- Tỉnh, thành phố trực thuộc Trung ương.
- Vùng kinh tế - xã hội.
3. Kỳ công bố
Năm.
4. Nguồn số liệu
- Tổng điều tra kinh tế;
- Điều tra doanh nghiệp;
- Điều tra cơ sở sản xuất, kinh doanh cá thể;
- Kết quả các cuộc điều tra trong Chương trình thống kê quốc gia.
5. Cơ quan chịu trách nhiệm thu thập, tổng hợp
- Chủ trì: Vụ Thị trường trong nước, Cục Xuất nhập khẩu.
- Phối hợp: Vụ Kế hoạch.
0231. Chi phí logistics so với tổng sản phẩm trong nước
1. Mục đích, ý nghĩa
Chi phí logistics so với tổng sản phẩm trong nước cho biết để tạo ra một đồng tổng sản phẩm trong nước cần sử dụng bao nhiêu đồng chi phí logistics.
2. Khái niệm, phương pháp tính
Chi phí logistics so với tổng sản phẩm trong nước là tỷ lệ phần trăm giữa chi phí logistics so với tổng sản phẩm trong nước trong kỳ báo cáo.
Chi phí logistics bao gồm chi phí vận chuyển hàng hóa, bốc xếp, làm thủ tục thông quan, đóng gói, quét mã vạch, quản lý kho hàng, phân phối sản phẩm, quản lý tồn kho, xúc tiến bán hàng,…
Phương pháp tính:
|
Chi phí logistics so với tổng sản phẩm trong nước |
= |
Chi phí logistics |
x 100 |
|
Tổng sản phẩm trong nước |
2. Phân tổ chủ yếu
- Tỉnh, thành phố trực thuộc Trung ương.
- Vùng kinh tế - xã hội.
3. Kỳ công bố
Năm.
4. Nguồn số liệu
- Tổng điều tra kinh tế;
- Điều tra doanh nghiệp;
- Điều tra cơ sở sản xuất, kinh doanh cá thể;
- Kết quả các cuộc điều tra trong Chương trình thống kê quốc gia.
5. Cơ quan chịu trách nhiệm thu thập, tổng hợp
- Chủ trì: Vụ Thị trường trong nước, Cục Xuất nhập khẩu.
- Phối hợp: Vụ Kế hoạch.
II. NHÓM CHỈ TIÊU QUẢN LÝ DOANH NGHIỆP VÀ ĐƠN VỊ HÀNH CHÍNH SỰ NGHIỆP THUỘC BỘ
03. TÀI CHÍNH
0301. Vốn chủ sở hữu
1. Mục đích, ý nghĩa
Việc thống kê vốn chủ sở hữu của doanh nghiệp và đơn vị hành chính sự nghiệp thuộc Bộ nhằm đáp ứng yêu cầu cung cấp thông tin phục vụ công tác quản lý kinh tế, tài chính của doanh nghiệp và của cơ quan quản lý nhà nước, là cơ sở để hoạch định chính sách, xây dựng chiến lược, kế hoạch phát triển kinh tế trong lĩnh vực công nghiệp và thương mại.
Nguồn vốn chủ sở hữu là một trong những chỉ tiêu quan trọng trong việc đánh giá, phân tích tình hình hoạt động sản xuất kinh doanh, tình hình tài chính của một đơn vị.
2. Khái niệm, nội dung, phương pháp tính
Vốn chủ sở hữu là số vốn do chủ doanh nghiệp và các nhà đầu tư góp vốn hoặc được hình thành từ kết quả hoạt động sản xuất kinh doanh của doanh nghiệp trong một thời kỳ nhất định. Nguồn vốn chủ sở hữu không phải là một khoản nợ.
Một doanh nghiệp có thể có một hoặc nhiều chủ sở hữu vốn.
Vốn chủ sở hữu bao gồm:
- Vốn đóng góp của nhà đầu tư để thành lập hoặc mở rộng doanh nghiệp. Chủ sở hữu vốn của doanh nghiệp có thể là Nhà nước, cá nhân hoặc các tổ chức tham gia liên doanh, các cổ đông mua và nắm giữ cổ phiếu.
- Vốn được bổ sung từ kết quả hoạt động sản xuất, kinh doanh của doanh nghiệp theo quy định của chính sách tài chính hoặc quyết nghị của các chủ sở hữu vốn, của hội đồng thành viên, của hội đồng quản trị...
- Các khoản chênh lệch do đánh giá lại tài sản, chênh lệch tỷ giá chưa xử lý và các quỹ hình thành trong hoạt động sản xuất kinh doanh như: Quỹ đầu tư phát triển, quỹ dự phòng tài chính, lợi nhuận chưa phân phối, nguồn vốn đầu tư xây dựng cơ bản....
Vốn chủ sở hữu là số vốn tính bình quân cho cả một thời kỳ.
Phương pháp tính:
|
Tổng nguồn vốn bình quân năm |
= |
Tổng nguồn vốn đầu năm + Tổng nguồn vốn cuối năm |
|
2 |
3. Phân tổ chủ yếu
- Phân theo đơn vị thuộc Bộ.
4. Kỳ công bố
Năm.
5. Nguồn số liệu
Báo cáo tài chính của doanh nghiệp và đơn vị hành chính sự nghiệp thuộc Bộ.
6. Đơn vị chịu trách nhiệm thu thập, tổng hợp
- Chủ trì: Vụ Tài chính.
- Phối hợp: Vụ Kế hoạch.
0302. Vốn điều lệ
1. Mục đích, ý nghĩa
Việc thống kê chỉ tiêu vốn điều lệ của doanh nghiệp và đơn vị hành chính sự nghiệp thuộc Bộ phục vụ yêu cầu đánh giá quy mô hoạt động sản xuất kinh doanh của các đơn vị trong một thời kỳ nhất định, đồng thời, đáp ứng yêu cầu cung cấp thông tin phục vụ công tác quản lý kinh tế, tài chính của doanh nghiệp và cơ quan quản lý nhà nước cũng như phục vụ công tác hoạch định chính sách, xây dựng chiến lược, kế hoạch phát triển kinh tế trong lĩnh vực công nghiệp và thương mại trong tương lai.
2. Khái niệm, nội dung, phương pháp tính
Vốn điều lệ là tổng giá trị tài sản do các thành viên đã góp hoặc cam kết góp khi thành lập công ty trách nhiệm hữu hạn, công ty hợp danh, là tổng giá trị mệnh giá cổ phiếu đã bán hoặc đã được đăng ký mua khi thành lập doanh nghiệp đối với công ty cổ phần.
Vốn điều lệ trong các ngành kinh doanh có điều kiện: Với một số ngành mà luật quy định phải cấp phép (ngành kinh doanh có điều kiện), vốn điều lệ ít nhất phải bằng vốn pháp định để được phép thành lập công ty nếu có quy định (vốn điều lệ tối thiểu). Vốn điều lệ phải được quy ra tiền Việt Nam.
Vốn điều lệ được hình thành dựa trên phương án sản xuất kinh doanh của một doanh nghiệp trong một giai đoạn nhất định. Tổng vốn từ các nguồn đảm bảo cho công ty thực hiện được phương án đó và có thể có vốn dự phòng. Nếu một công ty thay đổi phương án kinh doanh có thể thay đổi số vốn điều lệ. Vốn điều lệ có thể thay đổi nhiều lần dựa trên nghị quyết của các cổ đông. Khi có nghị quyết tăng vốn, công ty sẽ tiến hành huy động vốn từ các nguồn rồi đăng ký lại vốn tại nơi đăng ký kinh doanh.
Ngoài ra, vốn điều lệ còn là cơ sở để xác định tỷ lệ phần vốn góp hay sở hữu cổ phần trong công ty; là cơ sở cho việc phân chia quyền, lợi ích và nghĩa vụ giữa các nhà đầu tư trong công ty. Vốn điều lệ không có ý nghĩa nhiều trong việc đảm bảo tài chính đối với chủ nợ.
3. Phân tổ chủ yếu
- Phân theo đơn vị thuộc Bộ.
- Phân theo thời điểm thay đổi vốn.
4. Kỳ công bố
Năm.
5. Nguồn số liệu
- Báo cáo tài chính của doanh nghiệp và đơn vị hành chính sự nghiệp thuộc Bộ.
6. Đơn vị chịu trách nhiệm thu thập, tổng hợp
- Chủ trì: Vụ Tài chính.
- Phối hợp: Vụ Kế hoạch.
0303. Doanh thu thuần
1. Mục đích, ý nghĩa
Doanh thu thuần là chỉ tiêu thống kê tổng hợp phản ánh kết quả hoạt động sản xuất kinh doanh của các doanh nghiệp thuộc Bộ trong một thời kỳ nhất định, đồng thời, phản ánh mức độ tăng trưởng của ngành công nghiệp và thương mại trong thời kỳ nhất định.
Chỉ tiêu doanh thu thuần giúp cho doanh nghiệp và các cơ quan quản lý nhà nước nhìn nhận tổng quát đối với tình hình biến động doanh thu, đồng thời, giúp doanh nghiệp phát hiện trọng tâm kinh doanh để từ đó khai thác tốt tiềm năng của doanh nghiệp.
2. Khái niệm, nội dung, phương pháp tính
Doanh thu thuần là tổng thu nhập của doanh nghiệp do tiêu thụ sản phẩm, hàng hóa, cung cấp các dịch vụ cho bên ngoài sau khi trừ các khoản thuế (thuế tiêu thụ đặc biệt, thuế xuất khẩu, thuế giá trị gia tăng theo phương pháp trực tiếp phải nộp) và trừ các khoản giảm trừ (chiết khấu, giảm giá hàng bán, hàng bán bị trả lại) trong một khoảng thời gian nhất định.
Doanh thu thuần không bao gồm:
+ Doanh thu hoạt động tài chính (trừ cho thuê thiết bị, máy móc có người điều khiển kèm theo).
+ Doanh thu các hoạt động bất thường: Thanh lý, nhượng bán tài sản, thu tiền phạt vi phạm hợp đồng, thu các khoản nợ khó đòi đã xử lý...
Phương pháp tính
Doanh thu thuần = Doanh thu bán hàng - các khoản giảm trừ
Việc xác định doanh thu thuần theo hướng dẫn tại Thông tư số 200/2014/TT-BTC ngày 22 tháng 12 năm 2014 của Bộ trưởng Bộ Tài chính về hướng dẫn chế độ kế toán Doanh nghiệp, Thông tư số 75/2015/TT-BTC ngày 18 tháng 5 năm 2015 của Bộ trưởng Bộ Tài chính về việc sửa đổi, bổ sung Điều 128 của Thông tư 200/2014/TT-BTC ngày 22 tháng 12 năm 2014 của Bộ trưởng Bộ Tài chính về hướng dẫn chế độ kế toán Doanh nghiệp, Thông tư số 53/2016/TT-BTC ngày 21 tháng 3 năm 2016 của Bộ trưởng Bộ Tài chính về việc sửa đổi, bổ sung một số Điều của Thông tư số 200/2014/TT-BTC ngày 22 tháng 12 năm 2014 hướng dẫn Chế độ kế toán doanh nghiệp và các văn bản sửa đổi, bổ sung, thay thế sau này.
3. Phân tổ chủ yếu
- Phân theo doanh nghiệp, đơn vị hành chính sự nghiệp thuộc Bộ.
- Phân theo lĩnh vực sản xuất, kinh doanh, dịch vụ.
4. Kỳ công bố
- Tháng.
- Năm.
5. Nguồn số liệu
- Chế độ báo cáo thống kê áp dụng đối với Tập đoàn, Tổng Công ty, Công ty thuộc Bộ.
- Chế độ báo cáo thống kê áp dụng đối với các đơn vị hành chính sự nghiệp thuộc Bộ.
6. Cơ quan chịu trách nhiệm thu thập, tổng hợp
- Chủ trì: Vụ Tài chính.
- Phối hợp: Vụ Kế hoạch.
0304. Nộp ngân sách Nhà nước
1. Mục đích, ý nghĩa
Nộp ngân sách của doanh nghiệp và đơn vị hành chính sự nghiệp thuộc Bộ là chỉ tiêu thống kê tổng hợp để phản ánh quan hệ giữa doanh nghiệp với Nhà nước về các khoản thuế, phí, lệ phí và các khoản phải nộp. Nộp ngân sách phản ánh nghĩa vụ thanh toán của doanh nghiệp trong kỳ kế toán.
2. Khái niệm, nội dung, phương pháp tính
Nộp ngân sách là các khoản thuế, phí, lệ phí và các khoản nộp khác mà doanh nghiệp đã nộp vào ngân sách Nhà nước trong năm. Cụ thể gồm:
+ Các khoản thuế: Thuế giá trị gia tăng (GTGT) bán hàng nội địa, thuế GTGT hàng nhập khẩu, thuế tiêu thụ đặc biệt, thuế xuất khẩu, thuế hàng hóa nhập khẩu, thuế môn bài, thuế tài nguyên, thuế thu nhập doanh nghiệp...
+ Các khoản phí: Chỉ tính những khoản phí phải nộp cho ngân sách nhà nước như: Phí giám định hàng hóa xuất nhập khẩu, phí kiểm dịch...
+ Các khoản lệ phí: Chỉ tính những khoản lệ phí phải nộp vào ngân sách nhà nước, như: Lệ phí trước bạ, lệ phí cấp giấy chứng nhận đăng ký kinh doanh, lệ phí địa chính, lệ phí bảo hộ quyền sở hữu công nghiệp, lệ phí cấp giấy phép xây dựng, lệ phí quản lý phương tiện giao thông, lệ phí cấp hạn ngạch, giấy phép xuất nhập khẩu...
+ Các khoản phụ thu và phải nộp khác.
Nộp ngân sách không bao gồm các khoản: Đóng góp từ thiện, ủng hộ các phong trào đoàn thể, ủng hộ xây dựng địa phương nơi doanh nghiệp đặt địa điểm sản xuất kinh doanh...
Phương pháp tính:
Việc xác định các khoản nộp ngân sách theo hướng dẫn tại Thông tư số 200/2014/TT-BTC ngày 22 tháng 12 năm 2014 của Bộ trưởng Bộ Tài chính về hướng dẫn chế độ kế toán Doanh nghiệp, Thông tư số 75/2015/TT-BTC ngày 18 tháng 5 năm 2015 của Bộ trưởng Bộ Tài chính về việc sửa đổi, bổ sung Điều 128 của Thông tư 200/2014/TT-BTC ngày 22 tháng 12 năm 2014 của Bộ trưởng Bộ Tài chính về hướng dẫn chế độ kế toán Doanh nghiệp, Thông tư số 53/2016/TT-BTC ngày 21 tháng 3 năm 2016 của Bộ trưởng Bộ Tài chính về việc sửa đổi, bổ sung một số Điều của Thông tư số 200/2014/TT-BTC ngày 22 tháng 12 năm 2014 hướng dẫn Chế độ kế toán doanh nghiệp và các văn bản sửa đổi, bổ sung, thay thế sau này.
3. Phân tổ chủ yếu
- Phân theo doanh nghiệp và đơn vị hành chính sự nghiệp thuộc Bộ.
- Phân theo loại thuế và phí.
4. Kỳ công bố
- Tháng.
- Năm.
5. Nguồn số liệu
- Chế độ báo cáo thống kê áp dụng đối với Tập đoàn, Tổng Công ty, Công ty thuộc Bộ.
- Chế độ báo cáo thống kê áp dụng đối với các đơn vị hành chính sự nghiệp thuộc Bộ.
6. Cơ quan chịu trách nhiệm thu thập, tổng hợp
- Chủ trì: Vụ Tài chính.
- Phối hợp: Vụ Kế hoạch.
04. LAO ĐỘNG VÀ THU NHẬP
0401. Tổng số lao động bình quân trong năm
1. Mục đích, ý nghĩa
Chỉ tiêu này có ý nghĩa quan trọng cho việc phân tích sự biến động về số lượng lao động, sự thay đổi về cơ cấu lao động bình quân trong một thời kỳ (năm) thông qua các chỉ tiêu thống kê. Qua đó phân tích đánh giá tình hình sử dụng lao động của doanh nghiệp về mặt số lượng và chất lượng lao động, đánh giá hiệu quả sử dụng lao động của đơn vị.
2. Khái niệm, nội dung, phương pháp tính
Là chỉ tiêu phản ánh số lượng lao động mà đơn vị sử dụng bình quân trong một thời kỳ nhất định (năm).
Phương pháp tính:

|
Trong đó: |
T là số lượng lao động bình quân. |
|
|
TĐK là số lượng lao động hiện có đầu kỳ. |
|
|
TCK là số lượng lao động hiện có cuối kỳ. |
3. Phân tổ chủ yếu
Phân theo đơn vị thuộc Bộ.
4. Kỳ công bố
- Sáu (06) tháng.
- Năm.
5. Nguồn số liệu
- Chế độ báo cáo thống kê áp dụng đối với Tập đoàn, Tổng Công ty, Công ty thuộc Bộ.
- Chế độ báo cáo thống kê áp dụng đối với các đơn vị hành chính sự nghiệp thuộc Bộ.
6. Cơ quan chịu trách nhiệm thu thập, tổng hợp
- Chủ trì: Vụ Tổ chức cán bộ
- Phối hợp: Vụ Kế hoạch.
0402. Thu nhập bình quân một lao động đang làm việc
1 Mục đích, ý nghĩa
Thu nhập từ việc làm vừa là mục đích, vừa là động lực của người lao động. Chỉ tiêu này có ý nghĩa quan trọng, phản ánh thông tin thị trường lao động, thông tin về mức thu nhập từ việc làm. Qua đó, đánh giá mức sống và các điều kiện làm việc của người lao động, đồng thời, là cơ sở lập kế hoạch phát triển kinh tế xã hội, xây dựng các chính sách về thu nhập và tài chính, điều chỉnh lương tối thiểu và thương lượng trả công lao động, ấn định nghĩa vụ đóng bảo hiểm xã hội và các phúc lợi khác.
2. Khái niệm, nội dung, phương pháp tính
- Lương là khoản tiền được trả cho thời gian làm việc bình thường, bao gồm lương cơ bản, tiền trợ cấp sinh hoạt và các khoản trợ cấp thường xuyên khác. Không tính vào lương các khoản sau: tiền thanh toán làm ngoài giờ, tiền thưởng, tiền trợ cấp gia đình, tiền bảo hiểm xã hội do người chủ đã trả trực tiếp cho người làm công ăn lương và các khoản chi trả có tính cách ân huệ để bổ sung cho tiền lương bình thường.
- Thu nhập từ việc làm là khoản tiền công dưới dạng tiền mặt hoặc hiện vật trả cho người làm công ăn lương đối với thời gian hoặc công việc đã làm, cùng với khoản tiền trả cho thời gian không làm việc như nghỉ phép hoặc nghỉ hè hàng năm, nghỉ lễ hoặc các thời gian nghỉ khác được trả lương, bao gồm cả những khoản tiền công khác được nhận thường xuyên có tính chất như lương trước khi người chủ khấu trừ (các khoản mà người chủ đã đóng cho người làm công ăn lương như: thuế, đóng bảo hiểm xã hội, tiền đóng cho chế độ hưu trí, phí bảo hiểm y tế, bảo hiểm xã hội trả thay lương (trả cho người lao động trong thời gian nghỉ việc vì ốm đau, thai sản, tai nạn lao động), phí đoàn thể và các khoản nghĩa vụ khác của người làm công ăn lương). Không tính vào thu nhập từ việc làm các khoản sau: Tiền bảo hiểm xã hội và tiền cho chế độ hưu trí mà người chủ đã đóng cho người làm công ăn lương và những phúc lợi mà người làm công ăn lương đã nhận được từ các khoản này, tiền chi trả cho kết thúc hợp đồng, các khoản phúc lợi không thường xuyên (như tiền thưởng cuối năm, tiền biểu,...).
Lưu ý:
+ Bảo hiểm xã hội trả thay lương không bao gồm số tiền 15% mà cơ quan, đơn vị nộp cho cơ quan bảo hiểm.
+ Các khoản thu nhập có tính chất như lương là các khoản mà cơ quan, đơn vị chi trực tiếp cho người lao động như: các khoản từ nguồn hoạt động dịch vụ của cơ quan, công đoàn; thưởng liên doanh, liên kết,...
+ Không tính số tiền kiếm được sau đây: Thu về lợi tức cổ phần, tiền tiết kiệm gửi ngân hàng, thu nhập về quà biếu, quà tặng, chơi xổ số/lô đề,...
- Thu nhập bình quân một lao động đang làm việc là tổng số tiền thu nhập thực tế tính bình quân một lao động đang làm việc.
Phương pháp tính:
Thu nhập bình quân 1 lao động đang làm việc = ∑ LiWi / ∑ Li
|
Trong đó: |
i là thời gian tham chiếu. |
|
|
Li là số lao động bình quân trong kỳ. |
|
|
Wi là số tiền kiếm được trong kỳ. |
3. Phân tổ chủ yếu
Phân theo doanh nghiệp và đơn vị hành chính sự nghiệp thuộc Bộ.
4. Kỳ công bố
- Sáu (06) tháng.
- Năm.
5. Nguồn số liệu
- Chế độ báo cáo thống kê áp dụng đối với Tập đoàn, Tổng Công ty, Công ty thuộc Bộ.
- Chế độ báo cáo thống kê áp dụng đối với các đơn vị hành chính sự nghiệp thuộc Bộ.
6. Cơ quan chịu trách nhiệm thu thập, tổng hợp
- Chủ trì: Vụ Tổ chức cán bộ.
- Phối hợp: Vụ Kế hoạch.
05. ĐẦU TƯ VÀ XÂY DỰNG
0501. Vốn đầu tư thực hiện
1. Khái niệm, nội dung, phương pháp tính
Vốn đầu tư thực hiện là toàn bộ tiền vốn bỏ ra (chi tiêu) để làm tăng hoặc duy trì năng lực sản xuất và nguồn lực để nâng cao mức sống vật chất và tinh thần trong một thời kỳ nhất định (tháng, quý, năm).
Nội hàm của vốn đầu tư thực hiện gồm các nội dung sau:
a) Vốn đầu tư tạo ra tài sản cố định là chi phí làm tăng thêm giá trị tài sản cố định, gồm vốn đầu tư xây dựng mới nhà cửa, vật kiến trúc, mua sắm tài sản cố định không qua xây dựng cơ bản và chi phí cho sửa chữa lớn tài sản cố định (tức là những chi phí bằng tiền để tạo mới, mở rộng, xây dựng lại, khôi phục hoặc nâng cấp năng lực sản xuất của tài sản cố định của nền kinh tế). Toàn bộ chi phí cho việc thăm dò, khảo sát thiết kế và quy hoạch xây dựng chuẩn bị cho việc đầu tư cũng như chi phí lắp đặt máy móc thiết bị cũng được tính vào khoản mục này.
b) Vốn đầu tư làm tăng tài sản lưu động là chi phí duy trì và phát triển sản xuất gồm vốn đầu tư mua nguyên liệu, vật liệu chính, vật liệu phụ, nhiên liệu, phụ tùng thay thế, vật liệu thiết bị xây dựng cơ bản. Đây là khoản vốn lưu động được bổ sung trong kỳ nghiên cứu.
c) Vốn đầu tư thực hiện khác gồm tất cả các khoản đầu tư của xã hội nhằm tăng năng lực phát triển của xã hội.
Vốn đầu tư thực hiện được phân tổ như sau:
- Chia theo nguồn vốn đầu tư:
+ Vốn ngân sách Nhà nước là khoản chi của ngân sách nhà nước để chuẩn bị đầu tư, thực hiện và kết thúc đầu tư, hoàn thành đưa vào khai thác, sử dụng các chương trình, dự án đầu tư kết cấu hạ tầng kinh tế - xã hội và các chương trình, dự án phục vụ phát triển kinh tế - xã hội và một số nhiệm vụ chi đầu tư khác theo quy định của pháp luật.
Vốn đầu tư từ ngân sách nhà nước để bố trí cho các dự án hạ tầng kinh tế - xã hội không có khả năng hoàn vốn trực tiếp hoặc không xã hội hóa được thuộc các ngành, lĩnh vực theo quy định của pháp luật.
Vốn đầu tư từ ngân sách nhà nước gồm vốn đầu tư từ ngân sách Trung ương và vốn đầu tư từ ngân sách địa phương.
Các nguồn vốn đầu tư có tính chất ngân sách nhà nước lấy từ các khoản phí, lệ phí, quảng cáo, xổ số kiến thiết, quỹ đất, vốn từ nguồn thu hợp pháp của các cơ quan Nhà nước, đơn vị sự nghiệp công lập dành để đầu tư theo quy định của pháp luật,... để đầu tư cũng được tính là nguồn vốn đầu tư từ ngân sách nhà nước (đầu tư công).
+ Vốn hỗ trợ phát triển chính thức (ODA) và vốn vay ưu đãi của các nhà tài trợ là nguồn vốn đầu tư được hình thành từ hoạt động hợp tác phát triển giữa Chính phủ nước Cộng hòa xã hội Chủ nghĩa Việt Nam với các nhà tài trợ là Chính phủ nước ngoài, các tổ chức quốc tế, các tổ chức liên Chính phủ hoặc liên quốc gia.
Vốn ODA gồm ODA viện trợ không hoàn lại và ODA vốn vay.
Vốn vay ưu đãi là hình thức cung cấp vốn vay có điều kiện ưu đãi hơn so với vay thương mại nhưng yếu tố không hoàn lại chưa đạt tiêu chuẩn của ODA vốn vay.
Nguồn vốn ODA và vốn vay ưu đãi do Chính phủ Việt Nam vay để thực hiện các chương trình, dự án đầu tư của nhà nước do ngân sách nhà nước cấp phát được tính là nguồn vốn đầu tư từ ngân sách nhà nước phần vốn nước ngoài. Còn vốn ODA và vốn vay ưu đãi của các nhà tài trợ do Chính phủ vay về cho doanh nghiệp vay lại thì không được tổng hợp vào nguồn vốn ngân sách nhà nước.
+ Vốn tín dụng đầu tư phát triển của nhà nước là vốn đầu tư cho những dự án đầu tư mà chủ đầu tư có thể vay vốn hưởng lãi suất ưu đãi để đầu tư trong những ngành, lĩnh vực quan trọng, chương trình kinh tế lớn của nhà nước, các vùng khó khăn nhà nước khuyến khích đầu tư bảo đảm có hiệu quả kinh tế - xã hội, có khả năng hoàn trả vốn vay.
Các dự án đầu tư được vay vốn tín dụng đầu tư phát triển của nhà nước là các dự án thuộc danh mục các dự án vay vốn tín dụng đầu tư ban hành kèm theo Nghị định hiện hành quy định về tín dụng đầu tư và tín dụng xuất khẩu của nhà nước.
+ Vốn vay gồm vay ngân hàng thương mại và vốn vay từ các nguồn khác. Đây là khoản tiền mà chủ đầu tư đi vay từ các tổ chức tín dụng trong nước (không kể tín dụng đầu tư của Nhà nước đã nêu ở trên), vay các ngân hàng nước ngoài, vay các tổ chức quốc tế và vay các tổ chức, cá nhân khác để đầu tư sản xuất kinh doanh.
+ Vốn tự có là nguồn vốn thuộc sở hữu của chủ đầu tư được hình thành từ lợi nhuận, trích ra để đầu tư; từ tiền thanh lý tài sản, từ khấu hao tài sản cố định, từ các quỹ, huy động cổ phần, góp vốn liên doanh của các bên đối tác liên doanh,...
+ Vốn khác là nguồn vốn đóng góp tự nguyện, cho, biếu, tặng của các tổ chức, cá nhân trong và ngoài nước, là nguồn vốn huy động ngoài các nguồn vốn trên.
- Chia theo khoản mục đầu tư:
+ Vốn đầu tư xây dựng cơ bản là chỉ tiêu phản ánh toàn bộ những chi phí được biểu hiện thành tiền dùng cho việc xây mới, mở rộng, xây dựng lại và khôi phục tài sản cố định trong một thời kỳ nhất định, bao gồm: Chi phí khảo sát, quy hoạch; chi phí chuẩn bị đầu tư và thiết kế; chi phí xây dựng; chi phí mua sắm, lắp đặt thiết bị và các khoản chi phí khác ghi trong tổng dự toán.
Tùy theo mục đích nghiên cứu, vốn đầu tư xây dựng cơ bản có thể được phân tổ theo các tiêu thức khác nhau. Cùng với những phân tổ theo ngành kinh tế, theo tỉnh, thành phố (theo địa bàn), thì vốn đầu tư xây dựng cơ bản còn được phân theo yếu tố cấu thành với 3 nhóm chính:
++ Vốn đầu tư xây dựng và lắp đặt thiết bị (vốn xây lắp) là phần vốn đầu tư xây dựng cơ bản chi cho việc xây dựng và lắp đặt máy móc, thiết bị của công trình gồm chi phí xây dựng công trình, chi phí lắp đặt máy móc, thiết bị vào vị trí công trình, chi phí hoàn thiện công trình.
++ Vốn đầu tư mua sắm máy móc, thiết bị (vốn thiết bị) là phần vốn đầu tư xây dựng cơ bản chi cho việc mua sắm máy móc, thiết bị và các dụng cụ, khí cụ, gia súc đủ tiêu chuẩn là tài sản cố định theo quy định hiện hành, gồm: giá trị thiết bị, máy móc, dụng cụ, khí cụ, gia súc được coi là tài sản cố định; chi phí vận chuyển, bảo quản, gia công, kiểm tra máy móc, thiết bị và các dụng cụ, khí cụ trước khi đưa vào lắp đặt. Vốn thiết bị gồm cả giá trị mua sắm thiết bị máy móc cần lắp đặt và thiết bị máy móc không cần lắp đặt.
++ Vốn đầu tư xây dựng cơ bản khác là phần vốn đầu tư xây dựng cơ bản không thuộc vốn xây lắp và vốn thiết bị, gồm: Chi phí tư vấn, đầu tư khảo sát, thiết kế, chi quản lý, chi giải phóng mặt bằng, chi đào tạo lao động tiếp nhận và vận hành công trình, các khoản chi khác.
- Chia theo loại hình kinh tế, vốn đầu tư chia thành 3 loại hình kinh tế:
+ Vốn đầu tư cho khu vực kinh tế nhà nước;
+ Vốn đầu tư cho khu vực kinh tế ngoài nhà nước;
+ Vốn đầu tư cho khu vực có vốn đầu tư trực tiếp nước ngoài.
- Chia theo ngành kinh tế: Vốn đầu tư được chia theo các ngành kinh tế trong hệ thống ngành kinh tế Việt Nam (VSIC).
- Chia theo địa bàn tỉnh, thành phố trực thuộc Trung ương.
2. Phân tổ chủ yếu
- Nguồn vốn đầu tư.
- Khoản mục đầu tư.
- Ngành kinh tế.
- Loại hình kinh tế.
- Tỉnh, thành phố trực thuộc Trung ương.
3. Kỳ công bố
- Tháng.
- Sáu (06) tháng.
- Năm.
- Trung hạn.
4. Nguồn số liệu
- Chế độ báo cáo thống kê áp dụng đối với Tập đoàn, Tổng công ty, Công ty thuộc Bộ.
- Chế độ báo cáo thống kê áp dụng đối với đơn vị hành chính sự nghiệp thuộc Bộ.
5. Cơ quan chịu trách nhiệm thu thập, tổng hợp
- Chủ trì: Vụ Kế hoạch, Vụ Dầu khí và Than, Tổng cục Quản lý thị trường, Cục Công nghiệp.
- Phối hợp: Các đơn vị hành chính sự nghiệp thuộc Bộ, các Tổng công ty thuộc Bộ.
0502. Tổng nhu cầu vốn cho các dự án chuẩn bị đầu tư
1. Mục đích, ý nghĩa
Tổng nhu cầu vốn cho các dự án chuẩn bị đầu tư là chỉ tiêu phản ánh toàn bộ nhu cầu vốn cho các dự án, công trình phù hợp với quy hoạch phát triển ngành và lãnh thổ được duyệt theo thẩm quyền.
2. Khái niệm, nội dung, phương pháp tính
Tổng nhu cầu vốn cho các dự án chuẩn bị đầu tư là toàn bộ chi phí cho việc chuẩn bị đầu tư, chuẩn bị thực hiện đầu tư, thực hiện đầu tư và xây dựng, chuẩn bị sản xuất, lãi vay ngân hàng của chủ đầu tư trong thời gian thực hiện đầu tư, vốn lưu động ban đầu cho sản xuất (đối với dự án sản xuất), chi phí bảo hiểm, chi phí dự phòng của các dự án, công trình phù hợp với quy hoạch phát triển ngành và lãnh thổ được duyệt theo thẩm quyền. Đối với các dự án nhóm A và một số dự án có yêu cầu đặc biệt được Thủ tướng Chính phủ cho phép, tổng nhu cầu vốn còn bao gồm các chi phí nghiên cứu khoa học, công nghệ có liên quan đến dự án.
a) Tổng nhu cầu vốn đầu tư cho các dự án chuẩn bị đầu tư
- Các khoản chi phí:
+ Chi phí chuẩn bị đầu tư;
+ Chi phí chuẩn bị thực hiện dự án đầu tư;
+ Chi phí thực hiện đầu tư;
+ Chuẩn bị sản xuất - sản xuất thử - vốn lưu động để đảm bảo huy động dự án vào hoạt động đạt công suất theo mục tiêu dự án đề ra.
- Vốn cho chuẩn bị đầu tư bao gồm các khoản chi phí:
+ Điều tra, khảo sát, nghiên cứu phục vụ cho lập báo cáo trong các giai đoạn nghiên cứu tiền khả thi, báo cáo nghiên cứu khả thi.
+ Lập báo cáo đề xuất chủ trương đầu tư, lập dự án đầu tư, thẩm định dự án đầu tư.
- Vốn chuẩn bị thực hiện dự án đầu tư gồm các khoản chi phí:
+ Dàn xếp về vốn (trong trường hợp vay vốn ngoài nước được Ngân hàng Nhà nước chấp nhận).
+ Đấu thầu thực hiện dự án bao gồm:
++ Chi phí chuẩn bị đấu thầu: Chi phí lập hồ sơ mời tuyển, tổ chức sơ tuyển và đánh giá hồ sơ dự tuyển; Chi phí lập hồ sơ mời thầu; Chi phí thông báo mời thầu theo quy định của pháp luật.
++ Tổ chức đấu thầu: Phát hành hồ sơ mời thầu (in ấn hồ sơ tài liệu, gửi hồ sơ mời thầu); Tổ chức hội nghị tiền đấu thầu (nếu có); Bảo quản hồ sơ dự thầu (nếu có); Tổ chức mở thầu
++ Xét thầu và thẩm định kết quả đấu thầu: Đánh giá hồ sơ dự thầu; Thẩm định kết quả đấu thầu.
+ Các dịch vụ tư vấn kỹ thuật, tư vấn hỗ trợ quản lý, giám sát, tư vấn xây dựng;
+ Chuyển giao công nghệ, hỗ trợ kỹ thuật ban đầu;
+ Khảo sát thiết kế xây dựng; Thiết kế, thẩm định thiết kế;
+ Lập tổng dự toán, thẩm định tổng dự toán;
+ Đền bù giải phóng mặt bằng;
+ Thực hiện tái định cư có liên quan đến đền bù giải phóng mặt bằng của dự án (nếu có);
+ Chuẩn bị mặt bằng;
+ Chi phí lập, thẩm định báo cáo đánh giá tác động môi trường.
- Vốn thực hiện đầu tư gồm:
+ Chi phí thiết bị;
+ Chi phí xây dựng và lắp đặt thiết bị;
+ Các chi phí khác trong giai đoạn thực hiện đầu tư.
- Chi phí chuẩn bị sản xuất - sản xuất thử
Chi phí nguyên, nhiên vật liệu, nhân công để chạy thử không tải và có tải (trừ đi giá trị sản phẩm thu hồi được);
- Nghiệm thu
- Lãi vay của chủ đầu tư trong thời gian thực hiện đầu tư được xác định thông qua hợp đồng tín dụng;
- Vốn lưu động ban đầu cho sản xuất (đối với dự án sản xuất) do Bộ Tài chính quy định
- Chi phí bảo hiểm công trình theo quy định của Bộ Tài chính
- Dự phòng
- Chi phí quản lý dự án
- Các khoản thuế theo quy định
- Chi phí giám sát, đánh giá dự án
- Chi phí thẩm định phê duyệt quyết toán
b) Thành phần vốn
- Vốn cố định (đầu tư cơ bản): Nhằm tạo ra năng lực mới tăng thêm để đạt mục tiêu dự án.
Chi phí vốn cố định bao gồm:
+ Vốn chuẩn bị đầu tư: Điều tra khảo sát, lập, thẩm định dự án đầu tư.
+ Vốn chuẩn bị xây dựng: Chi phí ban đầu về đất đai (đền bù, giải phóng mặt bằng, chuyển quyền sử dụng đất), chi phí khảo sát thiết kế, lập và thẩm định thiết kế, tổng dự toán, chi phí đấu thầu, hoàn tất thủ tục đầu tư (cấp giấy phép xây dựng, giám định, kiểm định thiết bị...). Chi phí xây dựng đường, điện, nước, thi công - lán trại thi công (nếu có).
+ Chi phí thực hiện đầu tư:
++ Chi phí xây dựng mới hoặc cải tạo các hạng mục công trình xây dựng. Các công trình kiến trúc, vật kiến trúc và xây dựng hạ tầng (cấp điện, cấp thoát nước, đường giao thông, tường rào, xử lý chất thải...), lắp đặt thiết bị.
++ Chi phí thiết bị: Chi phí mua sắm thiết bị, vận chuyển về chân công trình, bảo quản thiết bị.
++ Chi phí quản lý giám sát thực hiện đầu tư.
++ Chi phí sản xuất thử và nghiệm thu bàn giao.
++ Chi phí huy động vốn: Các khoản lãi vay vốn đầu tư đối với dự án sử dụng vốn vay và các chi phí phải trả trong thời gian thực hiện đầu tư (không tính khoản lãi vay do bên B huy động).
- Vốn hoạt động (lưu động): Là khoản vốn đáp ứng nhu cầu chi thường xuyên sau khi kết thúc giai đoạn thực hiện đầu tư, huy động vào sản xuất đạt công suất thiết kế...
Vốn hoạt động (lưu động) gồm:
+ Vốn sản xuất (tiền nguyên vật liệu điện nước hơi, nhiên liệu, phụ tùng, bao bì, tiền lương).
+ Vốn lưu thông (sản phẩm dở dang tồn kho, thành phẩm tồn kho, hàng hóa bán chịu, vốn bằng tiền, chi phí tiếp thị…).
- Vốn dự phòng.
c) Nguồn vốn, phương án vốn
- Vốn riêng của công ty.
- Vốn góp (công ty cổ phần, công ty liên doanh...).
- Vốn Nhà nước (nếu có).
- Vốn vay thời hạn (ngắn hạn, trung hạn, dài hạn - vốn vay trong nước, ngoài nước) và điều kiện vay trả lãi, các căn cứ, cơ sở, biện pháp đảm bảo nguồn vốn.
d) Hình thức vốn
- Bằng tiền Việt Nam, ngoại tệ.
- Bằng hiện vật.
- Bằng tài sản (vay trả chậm, thiết bị, nguyên liệu).
- Bằng các dạng khác.
Phương pháp tính
Phương pháp tính chi phí cho việc chuẩn bị đầu tư, chuẩn bị thực hiện đầu tư, thực hiện đầu tư và xây dựng, chuẩn bị sản xuất, lãi vay ngân hàng của chủ đầu tư trong thời gian thực hiện đầu tư, vốn lưu động ban đầu cho sản xuất (đối với dự án sản xuất), chi phí bảo hiểm, chi phí dự phòng ... cho các dự án chuẩn bị đầu tư bao gồm:
- Tính theo định mức, đơn giá do nhà nước ban hành.
- Đối với công việc chưa có định mức công bố thì chi phí để thực hiện tính bằng cách lập dự toán theo quy định hiện hành.
3. Phân tổ chủ yếu
- Phân theo đơn vị.
- Phân theo nguồn vốn:
+ Ngân sách nhà nước cho đầu tư phát triển.
+ Vốn vay (gồm: Tín dụng ưu đãi của Nhà nước, vốn tín dụng thương mại và vốn vay hợp pháp từ các nguồn khác ...).
+ Từ nguồn thu để lại cho đầu tư nhưng chưa đưa vào cân đối ngân sách.
+ Vốn khác
- Phân theo lĩnh vực:
+ Khoa học và công nghệ.
+ Giáo dục đào tạo.
+ Thông tin và truyền thông.
+ Y tế, dân số và vệ sinh an toàn thực phẩm.
+ Giao thông, vận tải.
+ Cấp nước và xử lý rác thải, nước thải.
+ Quản lý nhà nước.
+ Chương trình mục tiêu.
+ Khác.
- Phân theo nhóm dự án đầu tư: Nhóm dự án, công trình (trọng điểm quốc gia, A, B, C).
4. Kỳ công bố
- Sáu (06) tháng.
- Năm.
5. Nguồn số liệu
- Chế độ báo cáo thống kê áp dụng đối với Tập đoàn, Tổng công ty, Công ty thuộc Bộ.
- Chế độ báo cáo thống kê áp dụng đối với đơn vị hành chính sự nghiệp thuộc Bộ.
6. Cơ quan chịu trách nhiệm thu thập, tổng hợp
- Chủ trì: Vụ Kế hoạch, Vụ Dầu khí và Than, Tổng cục Quản lý thị trường, Cục Công nghiệp, Cục Hóa chất.
- Phối hợp: Các doanh nghiệp thuộc Bộ, các đơn vị hành chính sự nghiệp thuộc Bộ.
0503. Số lượng dự án đầu tư xây dựng chuẩn bị đầu tư
1. Mục đích, ý nghĩa
Chỉ tiêu thống kê giúp cho các nhà quản lý và lập chính sách có thông tin kịp thời về số lượng các dự án đầu tư xây dựng chuẩn bị đầu tư.
2. Khái niệm, nội dung, phương pháp tính
Dự án đầu tư là một tập hợp những đề xuất có liên quan đến việc bỏ vốn để tạo mới, mở rộng hoặc cải tạo những cơ sở vật chất, nhằm đạt được sự tăng trưởng về số lượng, hoặc duy trì, cải tiến nâng cao chất lượng của sản phẩm, dịch vụ trong khoảng thời gian xác định (chỉ bao gồm hoạt động đầu tư trực tiếp).
Số lượng dự án đầu tư xây dựng chuẩn bị đầu tư là số lượng dự án phù hợp với quy hoạch ngành và lãnh thổ được duyệt theo thẩm quyền và dự toán chuẩn bị đầu tư đã được cấp có thẩm quyền phê duyệt trong năm kế hoạch.
Các dự án đầu tư (không kể dự án đầu tư trực tiếp của nước ngoài) được phân loại thành 3 nhóm A, B, C (Theo Phụ lục I ban hành kèm theo Luật Đầu tư công năm 2019).
Phương pháp tính:
|
Số dự án đầu tư xây dựng chuẩn bị đầu tư |
= |
Số dự án đầu tư xây dựng quan trọng quốc gia chuẩn bị đầu tư |
+ |
Số dự án đầu tư xây dựng nhóm A chuẩn bị đầu tư |
+ |
Số dự án đầu tư xây dựng nhóm B chuẩn bị đầu tư |
+ |
Số dự án đầu tư xây dựng nhóm C chuẩn bị đầu tư |
3. Phân tổ chủ yếu
- Phân theo đơn vị.
- Phân theo dự án đầu tư.
- Phân theo nhóm dự án A, B, C.
4. Kỳ công bố
- Sáu (06) tháng.
- Năm.
5. Nguồn số liệu
- Chế độ báo cáo thống kê áp dụng đối với Tập đoàn, Tổng công ty, Công ty thuộc Bộ.
- Chế độ báo cáo thống kê áp dụng đối với đơn vị hành chính sự nghiệp thuộc Bộ.
6. Cơ quan chịu trách nhiệm thu thập, tổng hợp
- Chủ trì: Vụ Kế hoạch, Vụ Dầu khí và Than, Tổng cục Quản lý thị trường, Cục Công nghiệp, Cục Hóa chất.
- Phối hợp: Các doanh nghiệp thuộc Bộ, các đơn vị hành chính sự nghiệp thuộc Bộ.
0504. Giá trị sản lượng đầu tư xây dựng cơ bản và mua sắm tài sản, trang thiết bị
1. Mục đích, ý nghĩa
Giá trị sản lượng đầu tư xây dựng cơ bản và mua sắm tài sản trang thiết bị là chỉ tiêu tổng hợp đánh giá kết quả của hoạt động sản xuất xây dựng trong một thời kỳ nhất định; là tiền đề để tính chỉ tiêu giá trị tăng thêm của ngành xây dựng theo giá thực tế và giá so sánh cũng như xác định cơ cấu ngành kinh tế (theo giá thực tế) và tốc độ tăng, giảm (theo giá so sánh).
2. Khái niệm, nội dung, phương pháp tính
Giá trị sản lượng đầu tư xây dựng cơ bản và mua sắm tài sản trang thiết bị là kết quả của hoạt động sản xuất xây dựng, bao gồm giá trị của các công việc: chuẩn bị mặt bằng, xây dựng công trình mới, mua sắm tài sản trang thiết bị, hoàn thiện công trình, sửa chữa, mở rộng, cải tạo nâng cấp, lắp ghép các cấu trúc, cấu kiện đúc sẵn, lắp đặt máy móc thiết bị, xây dựng các công trình tạm và những hoạt động khác được quy định tính cho ngành xây dựng như khảo sát, thiết kế qui hoạch phát sinh trong quá trình thi công xây dựng, giá trị cho thuê máy móc, thiết bị kèm người điều khiển...
Nguyên tắc cơ bản tính giá trị sản lượng đầu tư xây dựng cơ bản và mua sắm tài sản trang thiết bị
- Chỉ tính những kết quả trực tiếp có ích của công tác sản xuất, xây lắp, kết quả lao động có ích của đơn vị xây lắp bao gồm những công trình, hạng mục công trình, bộ phận công trình hoặc công việc xây lắp hoàn thành theo đúng tiêu chuẩn kỹ thuật ghi trong bản thiết kế đã được đơn vị giao thầu (bên A) xác nhận. Không tính những khối lượng phá đi do không đảm bảo chất lượng yêu cầu của thiết kế do đơn vị thi công gây ra.
- Các cấu kiện, nguyên vật liệu dùng cho xây dựng công trình thì chỉ được tính những cấu kiện, nguyên vật liệu được sử dụng và đã kết cấu nên thực thể công trình. Không tính số cấu kiện nguyên vật liệu chưa đưa vào xây dựng công trình.
- Những đơn vị làm nhiệm vụ lắp đặt thiết bị máy móc, chỉ tính giá trị công lắp đặt, không tính giá trị thiết bị máy móc đưa vào công trình.
- Đối với xây dựng cơ bản tự làm của xã phường và các hộ dân cư, phải tính cả nguyên vật liệu mua ngoài, tự làm, đóng góp, ủng hộ theo giá thị trường ở thời điểm xây dựng và tính cả giá trị công lao động đóng góp, ủng hộ của nhân dân, các thành viên, người thân trong gia đình thực hiện và công lao động thuê mướn tạm thời dùng vào hoạt động xây dựng.
- Tính vào giá trị sản xuất cả những công trình xây dựng bỏ dở.
- Đối với sản phẩm dở dang, chỉ tính trong kỳ phần chênh lệch giá trị giữa cuối kỳ và đầu kỳ.
- Trường hợp đơn vị xây lắp nhận thầu thi công mà nguyên vật liệu do bên A cung cấp thì đơn vị xây lắp tính toàn bộ giá trị nguyên vật liệu của cả bên A.
- Giá trị sản xuất kinh doanh của các ngành khác trong cùng một doanh nghiệp xây dựng, nếu có hạch toán riêng thì được bóc tách và tính kết quả vào các ngành tương ứng, không tính vào kết quả vào ngành xây dựng. Trường hợp không tổ chức hạch toán riêng, thì qui ước được tính vào giá trị sản lượng đầu tư xây dựng. Cụ thể:
+ Tiền cho thuê xe máy thi công có người điều khiển kèm theo.
+ Tiền thu chênh lệch với bên A do đơn vị làm nhiệm vụ tổng thầu xây dựng xẻ thầu với các đơn vị khác.
+ Tiền bán phế liệu, phế phẩm do quá trình thi công tạo ra.
Phương pháp tính:
Cách 1: Tính giá trị sản lượng đầu tư xây dựng cơ bản và mua sắm tài sản trang thiết bị theo kết quả cuối cùng.
Giá trị sản lượng đầu tư xây dựng cơ bản và mua sắm tài sản trang thiết bị bao gồm:
(1) Giá trị sản xuất xây lắp
- Giá trị công tác xây dựng;
- Giá trị của hoạt động thi công xây dựng cơ bản như: Giá trị hoạt động san lấp mặt bằng chuẩn bị cho thi công xây dựng (dựng lán trại, lắp đặt máy móc thi công...) và giá trị sản phẩm do hoạt động xây dựng tạo ra;
- Giá trị lắp đặt thiết bị, máy móc trong công trình xây dựng;
- Giá trị sửa chữa lớn các công trình xây dựng, nhà cửa, vật kiến trúc;
- Giá trị thu được từ cho thuê máy móc thiết bị xây dựng có kèm người điều khiển;
- Giá trị thu được từ bán phế liệu xây dựng thu hồi được;
- Các khoản thu từ trợ cấp, trợ giá của nhà nước.
(2) Giá trị khảo sát thiết kế - quy hoạch xây dựng
Chỉ tính giá trị các hoạt động khảo sát thiết kế - quy hoạch xây dựng phát sinh trong quá trình thi công xây dựng và gắn liền với công trình xây dựng được quy định tính vào ngành xây dựng. Giá trị khảo sát thiết kế - quy hoạch xây dựng phục vụ trực tiếp công trình xây dựng bao gồm:
- Giá trị khảo sát, đo đạc địa hình phục vụ công trình xây dựng.
- Giá trị quy hoạch chi tiết các công trình xây dựng.
- Giá trị tư vấn đầu tư xây dựng.
- Giá trị hoạt động khác có liên quan đến phục vụ trực tiếp công trình xây dựng.
Đối với các doanh nghiệp hoạt động chuyên về khảo sát thiết kế-quy hoạch xây dựng thì tính giá trị khảo sát thiết kế-quy hoạch xây dựng vào ngành dịch vụ, không tính vào kết quả của ngành xây dựng.
Cách 2: Tính giá trị sản lượng đầu tư xây dựng cơ bản và mua sắm tài sản trang thiết bị theo phương pháp chi phí:
Giá trị sản lượng đầu tư xây dựng cơ bản và mua sắm tài sản trang thiết bị tính theo phương pháp chi phí bao gồm: Giá trị sản xuất xây lắp bao gồm: Tổng chi phí hoạt động xây dựng; Giá trị vật liệu xây dựng, nhiên liệu, vật tư do chủ đầu tư cung cấp (nếu có); Lợi nhuận phát sinh từ các hoạt động xây lắp, hoạt động khác liên quan đến hoạt động xây lắp mang lại và chi phí lãi vay; Thuế giá trị gia tăng khấu trừ phát sinh phải nộp trong kỳ.
(1) Tổng chi phí cho hoạt động xây dựng
Tổng chi phí cho hoạt động xây dựng: Là tổng các chi phí phát sinh thực tế cho hoạt động xây dựng trong kỳ báo cáo của doanh nghiệp, gồm cả chi phí của hoạt động xây lắp và các chi phí của hoạt động khác ngoài xây lắp được quy ước tính vào xây dựng như: Chi phí cho thuê máy móc, thiết bị có kèm theo người điều khiển, chi phí thu hồi và tiêu thụ phế liệu xây dựng... Cụ thể bao gồm các khoản sau:
- Chi phí vật liệu trực tiếp: Là toàn bộ giá trị vật liệu, cấu kiện xây dựng thực tế kết cấu vào thực thể công trình.
Chỉ tính vào mục này giá trị vật liệu xây dựng, nhiên liệu trực tiếp sử dụng vào công trình xây dựng, loại trừ giá trị vật liệu, nhiên liệu đã xuất kho nhưng sử dụng không hết phải nhập lại kho.
- Chi phí nhân công trực tiếp: Là toàn bộ chi phí phải trả cho người lao động trực tiếp tham gia vào quá trình hoạt động sản xuất kinh doanh trong hoạt động xây dựng (không bao gồm tiền lương và bảo hiểm xã hội của những lao động thuộc bộ phận quản lý và tiền lương của những công nhân trực tiếp điều khiển máy móc thi công), gồm: Lương, các khoản phụ cấp, bảo hiểm xã hội, bảo hiểm y tế, bảo hiểm thất nghiệp, kinh phí công đoàn trích theo lương, tiền ăn giữa ca và các khoản chi phí khác cho người lao động được hạch toán vào chi phí sản xuất.
Số liệu để ghi vào chỉ tiêu này lấy từ số phát sinh bên Có của tài khoản: “Chi phí nhân công trực tiếp” và các sổ kế toán lương và bảo hiểm.
- Chi phí sử dụng máy móc thi công: Là các chi phí phục vụ cho hoạt động của các loại máy móc thi công. Chi phí này bao gồm: Chi phí nhân công của công nhân trực tiếp điều khiển máy móc thi công, chi phí nhiên liệu, điện năng cho máy hoạt động, chi phí về các thiết bị phụ tùng thay thế trong quá trình sửa chữa, chi phí duy tu, bảo dưỡng thường xuyên và định kỳ, chi phí khấu hao máy móc thiết bị, chi phí dịch vụ mua ngoài và các chi phí khác phục vụ trực tiếp cho hoạt động của máy móc thi công.
- Chi phí sản xuất chung: Là các chi phí phục vụ cho hoạt động của các tổ, đội hoạt động sản xuất tại hiện trường; Bao gồm: Chi phí bộ phận kỹ thuật, gián tiếp quản lý tổ, đội, các chi phí về tổ chức sản xuất, các chi phí dịch vụ mua ngoài phục vụ cho hoạt động sản xuất tổ, đội, chi phí khấu hao thiết bị, máy móc sử dụng trong quản lý và các chi phí khác của hoạt động quản lý tổ, đội.
Số liệu lấy từ số phát sinh bên Có của tài khoản “Chi phí sản xuất chung”
- Chi phí quản lý doanh nghiệp: Gồm chi phí nhân viên quản lý (lương, phụ cấp lương, bảo hiểm xã hội, bảo hiểm y tế, kinh phí công đoàn của lao động trong bộ máy quản lý doanh nghiệp), chi phí vật liệu phục vụ trực tiếp cho quản lý doanh nghiệp, chi phí đồ dùng văn phòng, khấu hao tài sản cố định phục vụ trực tiếp cho quản lý của doanh nghiệp (nhà văn phòng, thiết bị máy móc của văn phòng), chi phí về các khoản thuế, phí và lệ phí (không gồm thuế giá trị gia tăng), chi dự phòng, chi phí cho các dịch vụ mua ngoài phục vụ cho quản lý doanh nghiệp và các chi phí khác (tiền công tác phí, hội nghị, tiếp khách,...).
Số liệu lấy từ số phát sinh bên Có tài khoản “Chi phí quản lý doanh nghiệp”.
- Chi phí thực hiện hạng mục công trình do nhà thầu phụ thi công: Là tổng chi phí thực tế trong kỳ báo cáo của nhà thầu phụ đã thực hiện cho các hạng mục công trình mà doanh nghiệp là nhà thầu chính đã thuê nhà thầu phụ.
Trong thực tế, nhiều doanh nghiệp hạch toán khoản này vào bên có của tài khoản chi phí sản xuất chung. Nếu doanh nghiệp chưa hạch toán khoản này thì lấy số liệu từ báo cáo hàng quí của nhà thầu phụ cho nhà thầu chính.
- Chi phí khác là các khoản chi phí chưa được liệt kê ở trên như: Chi phí thanh lý, nhượng bán tài sản cố định; Tiền phạt do vi phạm hợp đồng xây dựng; các khoản chi khác liên quan đến hoạt động xây dựng.
(2) Giá trị vật liệu xây dựng, nhiên liệu, vật tư do chủ đầu tư cung cấp
Gồm giá trị vật liệu xây dựng, nhiên liệu, vật tư phụ tùng khác do bên A cấp được sử dụng trong kỳ, nhưng chưa được tính vào tổng chi phí ở mục 2 “Tổng chi phí cho hoạt động xây dựng”. Trường hợp doanh nghiệp đã xuất hóa đơn khi bên A mua vật liệu và hạch toán chung vào vào tài khoản chi phí vật liệu trực tiếp thì không cần tách riêng khoản chi phí này.
(3) Lợi nhuận trước thuế
Là lợi nhuận kế toán thực hiện trong quý của doanh nghiệp trước khi trừ chi phí thuế thu nhập doanh nghiệp bao gồm: Lợi nhuận gộp từ hoạt động xây dựng; lợi nhuận khác phát sinh có liên quan đến hoạt động xây dựng và chi phí lãi vay. Không tính lợi nhuận từ các hoạt động tài chính. Nếu doanh nghiệp không tính được đầy đủ lợi nhuận trong quý thì có thể căn cứ vào khối lượng công trình hoàn thành để tính lợi nhuận theo định mức.
(4) Thuế giá trị gia tăng khấu trừ phát sinh phải nộp
Ghi tổng số thuế giá trị gia tăng khấu trừ và các khoản phải nộp khác phát sinh phải nộp ngân sách Nhà nước trong quý từ các nghiệp vụ phát sinh do hoạt động xây dựng và liên quan đến xây dựng mang lại (Không tính các khoản thuế kỳ trước chuyển sang). Trường hợp doanh nghiệp không tính được đầy đủ thuế giá trị gia tăng khấu trừ trong quý thì có thể căn cứ vào khối lượng công trình hoàn thành để tính thuế giá trị gia tăng khấu trừ phát sinh phải nộp theo định mức.
* Giá trị sản lượng đầu tư xây dựng cơ bản và mua sắm tài sản trang thiết bị theo giá so sánh
Giá trị sản lượng theo giá so sánh về khái niệm và nội dung cũng giống như giá trị sản lượng theo giá thực tế, nhưng được tính toán trên cơ sở cố định giá của người sản xuất để bảo đảm sự so sánh giữa các thời kỳ khi tính tốc độ tăng.
Giá trị sản lượng đầu tư xây dựng cơ bản và mua sắm tài sản trang thiết bị theo giá so sánh được tính từ giá trị lượng theo giá thực tế và chỉ số giá của người sản xuất.
Phương pháp tính:
|
Giá trị sản lượng đầu tư xây dựng cơ bản và mua sắm tài sản, trang thiết bị theo giá so sánh |
= |
Giá trị sản xuất đầu tư xây dựng cơ bản và mua sắm tài sản trang thiết bị theo giá thực tế |
|
Chỉ số giá xây dựng |
3. Phân tổ chủ yếu
- Phân theo đơn vị.
- Phân theo nguồn vốn.
+ Ngân sách nhà nước cho đầu tư phát triển.
+ Vốn vay (gồm: tín dụng ưu đãi của Nhà nước, vốn tín dụng thương mại và vốn vay hợp pháp từ các nguồn khác ...).
+ Từ nguồn thu để lại cho đầu tư nhưng chưa đưa vào cân đối ngân sách.
+ Vốn khác
- Phân theo dự án.
- Phân theo nhóm dự án A, B, C.
4. Kỳ công bố
- Sáu (06) tháng.
- Năm.
5. Nguồn số liệu
- Chế độ báo cáo thống kê áp dụng đối với Tập đoàn, Tổng công ty, Công ty thuộc Bộ.
- Chế độ báo cáo thống kê áp dụng đối với đơn vị hành chính sự nghiệp thuộc Bộ.
6. Cơ quan chịu trách nhiệm thu thập, tổng hợp
- Chủ trì: Vụ Kế hoạch, Vụ Dầu khí và Than, Tổng cục Quản lý thị trường, Cục Công nghiệp.
- Phối hợp: Các doanh nghiệp thuộc Bộ, các đơn vị hành chính sự nghiệp thuộc Bộ.
0505. Giá trị thực hiện giải ngân vốn đầu tư xây dựng cơ bản và mua sắm tài sản, trang thiết bị
1. Mục đích, ý nghĩa
Hoạt động giải ngân vốn đầu tư nhằm thực hiện nhiệm vụ quản lý nguồn tiền đầu tư xây dựng cơ bản để vừa phải đảm bảo nguồn tiền chi trả, vừa thực hiện kiểm soát chặt chẽ nguồn tiền, hạn chế thất thoát, lãng phí, đầu tư dàn trải, không hiệu quả.
2. Khái niệm, nội dung, phương pháp tính
Giá trị thực hiện giải ngân vốn đầu tư xây dựng cơ bản là toàn bộ chi phí theo đúng hợp đồng đã ký kết và thiết kế dự toán được phê duyệt, bảo đảm đúng quy chuẩn, định mức, đơn giá, chế độ tài chính kế toán và những quy định hiện hành của Nhà nước có liên quan.
Vốn đầu tư được giải ngân trong giới hạn tổng mức đầu tư đã duyệt hoặc đã được điều chỉnh (nếu có).
Chủ đầu tư, cơ quan tài chính, ngân hàng (tùy theo nguồn vốn đầu tư của dự án) có trách nhiệm thanh toán cho nhà thầu theo quy định tại khoản này.
+ Đối với các dự án hoặc gói thầu xây lắp tổ chức đấu thầu được thực hiện tạm ứng và thanh toán khối lượng hoàn thành theo quy định sau đây:
Tạm ứng vốn: Tối thiểu 10% giá hợp đồng đối với hợp đồng có giá trị trên 50 tỷ đồng; 15% giá hợp đồng đối với hợp đồng có giá trị từ 10 tỷ đồng đến 50 tỷ đồng; 20% giá hợp đồng đối với các hợp đồng có giá trị dưới 10 tỷ đồng. Tối đa không vượt quá 30% dự toán chi phí cho khối lượng công việc thực hiện được duyệt. Việc tạm ứng vốn được thực hiện ngay khi hợp đồng có hiệu lực thi hành và bên nhận tạm ứng thực hiện đầy đủ nghĩa vụ bảo lãnh tiền tạm ứng.
Thu hồi vốn tạm ứng: Tiền tạm ứng được thu hồi dần qua các lần thanh toán, mức thu hồi của từng lần do hai bên thống nhất ghi trong hợp đồng nhưng phải bảo đảm tiền tạm ứng được thu hồi hết khi giá trị thanh toán đạt 80% giá hợp đồng đã ký kết.
+ Đối với việc mua sắm thiết bị, vốn tạm ứng được cấp theo tiến độ thanh toán của chủ đầu tư với đơn vị cung ứng, gia công chế tạo thiết bị đã được quy định trong hợp đồng kinh tế và được thực hiện cho đến khi thiết bị đã nhập kho của chủ đầu tư (đối với thiết bị không cần lắp) hoặc đã được lắp đặt xong và nghiệm thu (đối với thiết bị công nghệ phải lắp đặt).
+ Đối với các hợp đồng tư vấn, mức vốn tạm ứng tối thiểu là 15% giá hợp đồng đối với hợp đồng có giá trị trên 10 tỷ đồng và 20% giá hợp đồng đối với các hợp đồng có giá trị đến 10 tỷ đồng nhưng không vượt kế hoạch vốn cả năm đã bố trí cho công việc phải thuê tư vấn.
+ Vốn tạm ứng cho công việc giải phóng mặt bằng nhiều nhất không vượt kế hoạch vốn hàng năm và được thu hồi khi đã thực hiện công việc đền bù giải phóng mặt bằng.
+ Trong năm kết thúc xây dựng hoặc đưa hạng mục công trình hoặc công trình vào khai thác sử dụng, khối lượng xây lắp hạng mục công trình hoặc công trình của năm đó chỉ được thanh toán hết khi có đủ quyết toán công trình với chủ đầu tư; đối với nhà thầu nước ngoài việc tạm giữ và thanh toán theo thông lệ quốc tế.
+ Việc thanh toán vốn đầu tư được thực hiện theo tiến độ và theo giá trúng thầu (đối với hợp đồng trọn gói) hoặc thanh toán theo đơn giá trúng thầu và các điều kiện cụ thể ghi trong hợp đồng (đối với hợp đồng có điều chỉnh giá) trên cơ sở nghiệm thu khối lượng và chất lượng từng kỳ thanh toán.
Sau khi kết thúc dự án, việc thanh quyết toán các gói thầu không được vượt tổng dự toán và tổng mức đầu tư đã được người có thẩm quyền quyết định đầu tư phê duyệt.
+ Trong quá trình thực hiện dự án, nếu chủ đầu tư chậm thanh toán khối lượng công việc đã hoàn thành thì chủ đầu tư phải trả tiền lãi vay ngân hàng cho nhà thầu đối với khối lượng chậm thanh toán đó kể cả trường hợp đấu thầu và chỉ định thầu hoặc các hình thức giao thầu khác. Ngược lại, nhà thầu không thực hiện đầy đủ các cam kết trong hợp đồng, gây thiệt hại kinh tế cho dự án thì chủ đầu tư thực hiện chế độ phạt theo quy định của pháp luật.
+ Các quy định trên đây được áp dụng cho cả hợp đồng giữa nhà thầu chính và nhà thầu phụ; nhà thầu chính, nhà thầu phụ và chủ đầu tư có trách nhiệm thực hiện đầy đủ các quy định nêu trên.
+ Đối với vốn sự nghiệp dùng cho xây dựng, vốn quy hoạch phát triển ngành, lãnh thổ, quy hoạch xây dựng đô thị và nông thôn, việc thanh toán vốn đầu tư theo hướng dẫn của Bộ Tài chính, Bộ Kế hoạch và Đầu tư và Bộ Xây dựng.
3. Phân tổ chủ yếu
- Phân theo đơn vị.
- Phân theo nguồn vốn.
+ Ngân sách nhà nước cho đầu tư phát triển.
+ Vốn vay (gồm: tín dụng ưu đãi của Nhà nước, vốn tín dụng thương mại và vốn vay hợp pháp từ các nguồn khác ...).
+ Từ nguồn thu để lại cho đầu tư nhưng chưa đưa vào cân đối ngân sách.
+ Vốn khác
- Phân theo dự án.
- Phân theo nhóm dự án A, B, C.
4. Kỳ công bố
- Hàng tháng.
- Năm.
5. Nguồn số liệu
- Chế độ báo cáo thống kê áp dụng đối với Tập đoàn, Tổng công ty, Công ty thuộc Bộ.
- Chế độ báo cáo thống kê áp dụng đối với đơn vị hành chính sự nghiệp thuộc Bộ.
6. Cơ quan chịu trách nhiệm thu thập, tổng hợp
- Chủ trì: Vụ Kế hoạch, Vụ Dầu khí và Than, Tổng cục Quản lý thị trường, Cục Công nghiệp.
- Phối hợp: Các doanh nghiệp thuộc Bộ, các đơn vị hành chính sự nghiệp thuộc Bộ.
0506. Số lượng các công trình hoàn thành và đưa vào sử dụng
1. Mục đích, ý nghĩa
Thông qua chỉ tiêu này đánh giá được tình hình sử dụng nguồn vốn có hiệu quả và đúng tiến độ hay không.
2. Khái niệm, nội dung, phương pháp tính
Công trình xây dựng là sản phẩm của công nghệ xây lắp gắn liền với đất (bao gồm cả khoảng không, mặt nước, mặt biển và thềm lục địa) được tạo thành bằng vật liệu xây dựng, thiết bị và lao động.
Công trình xây dựng bao gồm một hạng mục hoặc nhiều hạng mục công trình nằm trong dây chuyền công nghệ đồng bộ, hoàn chỉnh (có tính đến việc hợp tác sản xuất để sản xuất ra sản phẩm nêu trong dự án).
Nội dung công việc phải thực hiện khi kết thúc xây dựng bao gồm:
- Nghiệm thu, bàn giao đưa công trình vào sử dụng.
- Thực hiện việc kết thúc xây dựng công trình.
- Vận hành công trình và hướng dẫn sử dụng công trình.
- Bảo hành công trình.
- Quyết toán vốn đầu tư.
- Phê duyệt quyết toán.
* Nghiệm thu, bàn giao công trình
- Công trình xây dựng chỉ được bàn giao toàn bộ cho chủ đầu tư khi đã xây lắp hoàn chỉnh theo thiết kế được duyệt, vận hành đúng yêu cầu kỹ thuật, nghiệm thu đạt yêu cầu chất lượng (kể cả việc hoàn thiện nội, ngoại thất công trình và thu dọn vệ sinh mặt bằng) và kiểm tra công tác nghiệm thu hoàn thành công trình.
Tùy theo điều kiện cụ thể của từng công trình, trong quá trình xây dựng có thể tiến hành bàn giao tạm thời từng phần việc, hạng mục công trình thuộc dự án hoặc dự án thành phần để khai thác tạo nguồn vốn thúc đẩy việc hoàn thành toàn bộ dự án.
- Khi bàn giao toàn bộ công trình, phải giao cả hồ sơ hoàn thành công trình, những tài liệu về các vấn đề có liên quan đến công trình được bàn giao, tài liệu hướng dẫn sử dụng, quản lý, chế độ duy tu bảo dưỡng công trình.
Các hồ sơ xây dựng công trình phải được nộp lưu trữ theo quy định của pháp luật về lưu trữ nhà nước.
Biên bản tổng nghiệm thu bàn giao công trình là văn bản pháp lý để chủ đầu tư đưa công trình vào khai thác sử dụng và quyết toán vốn đầu tư.
- Đối với dự án khu đô thị mới, khi hoàn thành dự án phát triển kết cấu hạ tầng, dự án phát triển khu đô thị mới, chủ đầu tư phải lập hồ sơ hoàn công và chuyển giao việc quản lý khai thác sử dụng toàn bộ các công trình kết cấu hạ tầng trên khu đất thuộc dự án cho ủy ban nhân dân cấp tỉnh để quản lý khai thác sử dụng.
Một tháng trước khi tổ chức bàn giao công trình, chủ đầu tư và Ủy ban nhân dân cấp tỉnh phải hoàn tất việc kiểm kê tài sản công cộng, đánh giá lại giá trị tài sản cố định, bảo dưỡng, sửa chữa kết cấu hạ tầng, tài liệu hướng dẫn sử dụng, quản lý, duy tu bảo dưỡng công trình trước khi chuyển giao.
Ủy ban nhân dân cấp tỉnh chịu trách nhiệm tổ chức tiếp nhận và giao lại cho tổ chức chuyên trách quản lý, khai thác sử dụng các công trình kết cấu hạ tầng, đồng thời làm thủ tục thành lập đơn vị hành chính mới theo quy định của pháp luật.
- Đối với dự án phát triển kết cấu hạ tầng, dự án phát triển khu đô thị mới phải xây dựng trong nhiều năm thì việc tổ chức chuyển giao có thể tiến hành thành nhiều đợt theo kế hoạch phân kỳ đầu tư trong dự án đã được cơ quan nhà nước có thẩm quyền phê duyệt.
* Kết thúc xây dựng công trình
- Hoạt động xây dựng được kết thúc khi công trình đã được bàn giao toàn bộ cho chủ đầu tư.
- Sau khi bàn giao công trình, nhà thầu xây dựng phải thanh lý hoặc di chuyển hết tài sản của mình ra khỏi khu vực xây dựng công trình và trả lại đất mượn hoặc thuê tạm để phục vụ thi công theo quy định của hợp đồng, chịu trách nhiệm theo dõi, sửa chữa các hư hỏng của công trình cho đến khi hết thời hạn bảo hành công trình.
- Hiệu lực hợp đồng xây lắp chỉ được chấm dứt hoàn toàn và thanh quyết toán toàn bộ khi hết thời hạn bảo hành công trình.
- Công trình xây dựng sau khi nghiệm thu bàn giao chủ đầu tư phải đăng ký tài sản theo quy định của pháp luật. Hồ sơ đăng ký tài sản là biên bản tổng nghiệm thu bàn giao công trình. Chủ đầu tư lập báo cáo giám sát đánh giá kết thúc đầu tư.
* Vận hành công trình
- Sau khi nhận bàn giao công trình, chủ đầu tư có trách nhiệm khai thác, sử dụng năng lực công trình, đồng bộ hóa tổ chức sản xuất, kinh doanh dịch vụ, hoàn thiện tổ chức và phương pháp quản lý nhằm phát huy đầy đủ các chỉ tiêu kinh tế kỹ thuật đã được đề ra trong dự án.
- Chủ đầu tư lập báo cáo đánh giá tác động vào thời điểm thích hợp sau năm thứ 3 kể từ khi đưa chương trình, dự án vào vận hành, nhằm làm rõ hiệu quả, tính bền vững và tác động kinh tế - xã hội so với mục tiêu đặt ra ban đầu.
- Chủ đầu tư hoặc tổ chức được giao quản lý sử dụng công trình có trách nhiệm thực hiện bảo trì công trình.
- Chế độ bảo trì công trình theo hướng dẫn của Bộ Xây dựng.
* Bảo hành công trình xây dựng
- Thời hạn tối thiểu bảo hành công trình.
Thời hạn tối thiểu bảo hành công trình được tính từ ngày nhà thầu bàn giao công trình hoặc hạng mục công trình phải bảo hành cho chủ đầu tư và được quy định như sau:
- Không ít hơn 24 tháng đối với công trình, hạng mục công trình cấp đặc biệt và cấp I.
- Không ít hơn 12 tháng đối với các công trình, hạng mục công trình cấp còn lại.
- Mức tiền tối thiểu để bảo hành công trình:
Mức tiền tối thiểu bảo hành xây lắp công trình được tính bằng tỷ lệ phần trăm (%) của giá trị khối lượng xây lắp hạng mục công trình trong thời gian phải bảo hành được quy định như sau:
- 3,0% giá trị hợp đồng đối với công trình xây dựng cấp đặc biệt và cấp I.
- 5,0% giá trị hợp đồng đối với công trình xây dựng cấp còn lại.
Tiền bảo hành công trình được tính lãi suất như tiền gửi ngân hàng do hai bên thỏa thuận.
Những công trình hoặc hợp đồng do nhà thầu nước ngoài thực hiện được tính theo thông lệ quốc tế.
* Bảo hiểm công trình xây dựng
- Khi tiến hành đầu tư và xây dựng, chủ đầu tư phải mua bảo hiểm công trình tại một công ty bảo hiểm hoạt động hợp pháp ở Việt Nam.
- Chi phí bảo hiểm công trình là một bộ phận vốn đầu tư của dự án, được tính trong tổng dự toán (dự toán) công trình được duyệt. Chi phí bảo hiểm tính theo tỷ lệ % so với giá trị công trình.
- Các tổ chức tư vấn, nhà thầu xây lắp phải mua bảo hiểm cho vật tư, thiết bị, nhà xưởng phục vụ thi công, bảo hiểm tai nạn đối với người lao động, bảo hiểm trách nhiệm dân sự đối với người thứ 3, bảo hiểm sản phẩm khảo sát thiết kế trong quá trình thực hiện dự án. Phí bảo hiểm được tính vào chi phí sản xuất.
- Điều kiện bảo hiểm, quyền và nghĩa vụ của các bên tham gia, bảo hiểm do các bên thỏa thuận nhưng không được trái với quy định của pháp luật Việt Nam hoặc thông lệ quốc tế.
- Khi xảy ra sự cố, công ty bảo hiểm phải giải quyết kịp thời việc bồi thường thiệt hại theo quy định của pháp luật về bảo hiểm.
- Chế độ bảo hiểm công trình xây dựng theo hướng dẫn của Bộ Tài chính.
* Quyết toán vốn đầu tư
- Tất cả các dự án đầu tư của các cơ quan nhà nước và các doanh nghiệp nhà nước sau khi hoàn thành đưa dự án vào khai thác sử dụng đều phải quyết toán vốn đầu tư. Chủ đầu tư chịu trách nhiệm lập báo cáo quyết toán vốn đầu tư.
- Thời hạn nộp hồ sơ quyết toán dự án hoàn thành để trình người có thẩm quyền phê duyệt quyết toán được tính từ ngày ký biên bản bàn giao đưa công trình của dự án vào sử dụng. Thời hạn nộp Hồ sơ quyết toán trình phê duyệt quyết toán là: 04 tháng đối với dự án nhóm C; 06 tháng đối với dự án nhóm B; 09 tháng đối với dự án nhóm A và dự án quan trọng quốc gia.
- Dự án đầu tư bằng nhiều nguồn vốn khác nhau, trong báo cáo quyết toán phải phân tích rõ từng nguồn vốn.
- Báo cáo quyết toán vốn đầu tư phải xác định đầy đủ, chính xác số vốn đầu tư thực hiện hàng năm, tổng mức vốn đã đầu tư thực hiện dự án; giá trị tài sản bàn giao cho sản xuất sử dụng. Đối với các dự án đầu tư kéo dài nhiều năm, khi quyết toán chủ đầu tư phải quy đổi vốn đầu tư đã thực hiện về mặt bằng giá trị tại thời điểm bàn giao đưa vào vận hành để xác định giá trị tài sản cố định mới tăng và giá trị tài sản bàn giao.
- Phương pháp quy đổi vốn thống nhất trong từng thời kỳ theo hướng dẫn của Bộ Xây dựng, Bộ Tài chính và Bộ Kế hoạch và Đầu tư.
- Nội dung báo cáo quyết toán, nội dung thẩm tra, phê duyệt quyết toán vốn đầu tư các dự án sử dụng vốn ngân sách nhà nước, vốn tín dụng đầu tư của nhà nước, vốn tín dụng do Nhà nước bảo lãnh, vốn do doanh nghiệp nhà nước huy động để đầu tư phát triển theo hướng dẫn của Bộ Tài chính.
* Thẩm tra và phê duyệt quyết toán:
Tất cả các dự án đầu tư dùng vốn ngân sách nhà nước, vốn tín dụng do Nhà nước bảo lãnh, vốn tín dụng đầu tư phát triển của nhà nước phải được thẩm tra và phê duyệt quyết toán theo quy định tại Nghị định số 99/2021/NĐ-CP và Thông tư số 96/2021/TT-BTC ngày 11 tháng 11 năm 2021 của Bộ Tài chính quy định về việc quyết toán dự án hoàn thành thuộc nguồn vốn Nhà nước.
- Thẩm tra quyết toán:
+ Thẩm tra hồ sơ pháp lý của dự án.
+ Thẩm tra nguồn vốn đầu tư thực hiện.
+ Thẩm tra chi phí đầu tư thực hiện chi tiết từng khoản chi phí phát sinh so với dự toán được duyệt, chế độ, tiêu chuẩn, định mức của nhà nước.
+ Thẩm tra chi phí đầu tư không tính vào giá trị tài sản.
+ Thẩm tra giá trị tài sản hình thành qua đầu tư.
+ Thẩm tra tình hình công nợ, vật tư, thiết bị tồn đọng.
- Phê duyệt quyết toán vốn đầu tư:
Sau khi thẩm tra quyết toán, cơ quan thẩm tra quyết toán lập hồ sơ trình duyệt quyết toán dự án hoàn thành để trình người có thẩm quyền phê duyệt. Hồ sơ trình phê duyệt quyết toán gồm có:
+ Báo cáo kết quả thẩm tra quyết toán.
+ Dự thảo quyết định phê duyệt quyết toán dự án hoàn thành và các tài liệu do chủ đầu tư trình (kèm theo).
+ Trường hợp thành lập Tổ công tác thẩm tra quyết toán, người thẩm tra báo cáo Tổ thẩm tra quyết toán kết quả thẩm tra; Tổ thẩm tra quyết toán tham gia hoàn chỉnh, thông qua báo cáo thẩm tra quyết toán của người thẩm tra để trình cấp có thẩm quyền phê duyệt.
+ Các tài liệu do chủ đầu tư trình (kèm theo):
+ Tờ trình đề nghị phê duyệt quyết toán của chủ đầu tư;
+ Báo cáo quyết toán dự án hoàn thành của dự án;
+ Báo cáo kiểm toán (nếu có);
+ Kết luận thanh tra, biên bản kiểm tra, báo cáo kiểm toán của các cơ quan thanh tra, kiểm tra, Kiểm toán Nhà nước trong trường hợp các cơ quan thanh tra, kiểm tra, Kiểm toán Nhà nước thực hiện thanh tra, kiểm tra, kiểm toán dự án; kết quả điều tra của các cơ quan pháp luật trong trường hợp chủ đầu tư vi phạm pháp luật bị cơ quan pháp luật điều tra; văn bản báo cáo tình hình chấp hành của chủ đầu tư, các tổ chức, cá nhân có liên quan đối với các kết luận trên.
* Hoàn trả vốn đầu tư
- Thu hồi vốn đầu tư là nguyên tắc bắt buộc đối với tất cả các dự án đầu tư có quy định thu hồi vốn.
- Đối với các dự án đầu tư bằng vốn ngân sách nhà nước, vốn tín dụng do Nhà nước bảo lãnh, tín dụng đầu tư phát triển của Nhà nước, vốn đầu tư của các doanh nghiệp mà chủ đầu tư có trách nhiệm hoàn trả vốn hoặc trả nợ vay thì nguồn vốn để thu hồi và trả nợ vay bao gồm toàn bộ khấu hao cơ bản, một phần lợi nhuận và các nguồn vốn khác (nếu có).
Trường hợp không thu hồi được vốn và hoàn trả hết nợ vay, chủ đầu tư phải chịu trách nhiệm theo quy định của pháp luật.
- Đối với các dự án đầu tư sử dụng vốn vay do chủ đầu tư trực tiếp vay của nước ngoài có bảo lãnh của Nhà nước hoặc vốn vay thương mại có bảo lãnh của Nhà nước thì chủ đầu tư có trách nhiệm thống nhất với cơ quan bảo lãnh về kế hoạch trả nợ vốn vay theo hợp đồng vay vốn và quy định của pháp luật.
Phương pháp tính: Thống kê cộng dồn.
3. Phân tổ chủ yếu
- Phân theo đơn vị.
- Phân theo dự án.
- Phân theo nhóm dự án A, B, C.
4. Kỳ công bố
- Sáu (06) tháng.
- Năm.
5. Nguồn số liệu
- Chế độ báo cáo thống kê áp dụng đối với Tập đoàn, Tổng công ty, Công ty thuộc Bộ.
- Chế độ báo cáo thống kê áp dụng đối với đơn vị hành chính sự nghiệp thuộc Bộ.
6. Cơ quan chịu trách nhiệm thu thập, tổng hợp
- Chủ trì: Vụ Kế hoạch, Vụ Dầu khí và Than, Tổng cục Quản lý thị trường, Cục Công nghiệp, Cục Hóa chất.
- Phối hợp: Các doanh nghiệp thuộc Bộ, các đơn vị hành chính sự nghiệp thuộc Bộ.
0507. Giá trị thực hiện vốn đầu tư tài chính
1. Mục đích, ý nghĩa
Đầu tư tài chính là một hoạt động có ý nghĩa lớn trong việc tận dụng nguồn vốn nhàn rỗi, sử dụng chưa hiệu quả đầu tư vào các cơ hội kinh doanh trên thị trường để mở rộng cơ hội thu lợi nhuận và hạn chế rủi ro trong kinh doanh. Chỉ tiêu thống kê về giá trị thực hiện vốn đầu tư tài chính được tính toán sẽ đóng góp vào việc đánh giá hiệu quả của công tác đầu tư trong kỳ và lên kế hoạch thực hiện đầu tư trong những giai đoạn tiếp theo.
2. Khái niệm, nội dung, phương pháp tính
Hoạt động đầu tư tài chính là hoạt động khai thác, sử dụng nguồn lực, tiền nhàn rỗi của doanh nghiệp để đầu tư ra ngoài doanh nghiệp nhằm tăng thu nhập và nâng cao hiệu quả hoạt động kinh doanh của doanh nghiệp trong một thời kỳ nhất định (tháng, quý, năm).
Vốn đầu tư tài chính là toàn bộ tiền vốn doanh nghiệp bỏ ra (chi tiêu) chủ yếu thông qua hình thức mua chứng khoán, trái phiếu hoặc các công cụ tài chính khác.
Các công cụ tài chính bao gồm:
* Những công cụ trên thị trường tiền tệ:
- Tín phiếu kho bạc
- Chứng khoán
- Trái phiếu đô thị
- Chứng chỉ tiền gửi
- Thương phiếu
- Hợp đồng mua lại
- Chấp phiếu ngân hàng
- Các quỹ dự phòng
* Những công cụ trên thị trường vốn:
- Cổ phiếu
- Trái phiếu
- Chứng chỉ quỹ
- Các khoản vay thế chấp
* Những loại công cụ tài chính phát sinh:
- Hợp đồng kỳ hạn
- Hợp đồng giao sau
- Hợp đồng quyền chọn
- Hợp đồng hoán đổi
Khối lượng vốn đầu tư tài chính thực hiện là tổng số tiền đã chi để tiến hành các hoạt động đầu tư tài chính.
Nội dung hoạt động đầu tư tài chính bao gồm:
* Phân loại theo thời hạn đầu tư:
- Đầu tư ngắn hạn là những khoản đầu tư có thời hạn trong vòng 12 tháng.
- Đầu tư dài hạn là những khoản đầu tư có thời hạn thu hồi vốn sau 12 tháng.
* Phân loại theo lĩnh vực đầu tư: Tùy thuộc vào hoạt động đầu tư, có thể liệt kê một số lĩnh vực hoạt động đầu tư tài chính chủ yếu sau:
- Hoạt động đầu tư vào công ty con
- Hoạt động góp vốn liên doanh
- Hoạt động đầu tư vào công ty liên kết
- Hoạt động đầu tư chứng khoán
- Hoạt động cho vay vốn
- Hoạt động đầu tư tài chính khác
* Hoạt động đầu tư vào công ty con:
Công ty con là doanh nghiệp chịu sự kiểm soát của một doanh nghiệp khác (gọi là công ty mẹ). Khoản đầu tư vào công ty con bao gồm:
- Đầu tư cổ phiếu: Cổ phiếu là chứng chỉ hoặc bút toán ghi sổ hoặc dữ liệu điện tử xác nhận các quyền và lợi ích hợp pháp của công ty mẹ trong công ty con. Cổ phiếu có gồm cổ phiếu phổ thông, cổ phiếu ưu đãi.
Công ty mẹ là chủ sở hữu cổ phiếu phổ thông tại Công ty con có quyền tham gia Đại hội cổ đông, có thể ứng cử và bầu cử vào Hội đồng quản trị, có quyền biểu quyết các vấn đề quan trọng về sửa đổi, bổ sung điều lệ, phương án kinh doanh, phân chia lợi nhuận theo quy định trong điều lệ hoạt động của doanh nghiệp. Công ty mẹ là chủ sở hữu cổ phiếu được hưởng cổ tức trên kết quả hoạt động kinh doanh của công ty con, nhưng đồng thời chủ sở hữu cổ phiếu cũng phải chịu rủi ro khi công ty con thua lỗ, giải thể (hoặc phá sản) theo điều lệ của doanh nghiệp và Luật phá sản doanh nghiệp.
- Khoản đầu tư vốn dưới hình thức góp vốn bằng tiền, tài sản khác vào công ty con hoạt động theo loại hình công ty Nhà nước, công ty trách nhiệm hữu hạn một thành viên, công ty cổ phần Nhà nước và các loại hình doanh nghiệp khác.
* Hoạt động góp vốn liên doanh
Liên doanh là thỏa thuận bằng hợp đồng của hai hoặc nhiều bên để cùng thực hiện hoạt động kinh tế, mà hoạt động này được đồng kiểm soát bởi các bên góp vốn liên doanh. Có 3 hình thức liên doanh chủ yếu sau:
- Hợp đồng hợp tác kinh doanh dưới hình thức liên doanh hoạt động kinh doanh được đồng kiểm soát (còn gọi là hoạt động kinh doanh đồng kiểm soát).
- Hợp đồng hợp tác kinh doanh dưới hình thức liên doanh tài sản được đồng kiểm soát (hay còn gọi là tài sản đồng kiểm soát).
- Hợp đồng liên doanh dưới hình thức thành lập cơ sở kinh doanh được đồng kiểm soát (hay còn gọi là cơ sở kinh doanh đồng kiểm soát).
Vốn góp vào cơ sở kinh doanh đồng kiểm soát bao gồm tất cả các loại tài sản, vật tư, tiền vốn thuộc quyền sở hữu của doanh nghiệp kể cả tiền vay dài hạn dùng vào việc góp vốn.
* Hoạt động đầu tư vào công ty liên kết
Khoản đầu tư được xác định là đầu tư vào công ty liên kết khi nhà đầu tư nắm giữ trực tiếp từ 20% đến dưới 50% vốn chủ sở hữu (từ 20% đến dưới 50% quyền biểu quyết) của bên nhận đầu tư mà không có thoả thuận khác.
- Trường hợp tỷ lệ quyền biểu quyết của nhà đầu tư trong công ty liên kết đúng bằng tỷ lệ vốn góp của nhà đầu tư trong công ty liên kết:
|
Tỷ lệ quyền biểu quyết của nhà đầu tư trực tiếp trong công ty liên kết |
= |
Tổng số vốn góp của nhà đầu tư trong công ty liên kết |
x 100% |
|
Tổng số vốn chủ sở hữu của công ty liên kết |
- Trường hợp tỷ lệ quyền biểu quyết khác với tỷ lệ vốn góp do có thoả thuận khác giữa nhà đầu tư và công ty liên kết, quyền biểu quyết của nhà đầu tư được xác định căn cứ vào biên bản thoả thuận giữa nhà đầu tư và công ty liên kết.
- Giá gốc của khoản đầu tư vào công ty liên kết bao gồm: Phần vốn góp hoặc giá thực tế mua khoản đầu tư cộng với các chi phí mua (nếu có) như chi phí môi giới, giao dịch...
- Trường hợp góp vốn vào công ty liên kết bằng tài sản cố định, vật tư, hàng hóa thì giá gốc khoản đầu tư được ghi nhận theo giá trị được các bên góp vốn thống nhất đánh giá.
* Hoạt động đầu tư chứng khoán
Đầu tư chứng khoán là hoạt động đầu tư tài chính dùng vốn nhàn rỗi để mua các loại chứng khoán nhằm mục đích hưởng lãi hoặc chia sẻ lợi ích và cả trách nhiệm với doanh nghiệp khác cũng như sử dụng chứng khoán làm đối tượng kinh doanh.
Chứng khoán bao gồm: Cổ phiếu và trái phiếu
- Cổ phiếu: Là chứng chỉ pháp lý xác nhận phần vốn góp của chủ sở hữu vào các công ty cổ phần, các chủ sở hữu này được gọi là cổ đông.
Cổ đông được hưởng cổ tức cổ phần - gọi là cổ tức, căn cứ vào kết quả hoạt động kinh doanh của công ty cổ phần, nhưng đồng thời phải chịu rủi ro khi công ty bị thua lỗ, giải thể hoặc phá sản theo điều lệ công ty cổ phần hoặc Luật Phá sản doanh nghiệp.
- Trái phiếu: Là chứng chỉ vay nợ có kỳ hạn và có lãi do Nhà nước hoặc doanh nghiệp phát hành nhằm huy động vốn cho đầu tư phát triển. Trái phiếu gồm:
+ Trái phiếu Chính phủ: Là chứng chỉ vay nợ của Chính phủ do Bộ Tài Chính phát hành dưới các hình thức: Tín phiếu kho bạc, trái phiếu kho bạc, trái phiếu công trình. Trái phiếu có nhiều mệnh giá khác nhau được in sẵn hoặc không in trên tờ trái phiếu. Trái phiếu được tự do chuyển nhượng, cầm cố, thế chấp trong quan hệ tín dụng, hoặc được thừa kế. Thông thường khoản tiền lãi của trái phiếu có thể nhận trước, nhận sau hoặc định kỳ nhận lãi, còn tiền gốc được thanh toán một lần khi trái phiếu đáo hạn.
Tín phiếu kho bạc nhà nước: Là một loại trái phiếu ngắn hạn (dưới 1 năm) được phát hành thông qua đấu thầu do Bộ Tài chính và Ngân hàng Nhà Nước tổ chức. Loại trái phiếu này không phải chỉ nhằm mục đích vay vốn cho Ngân sách quốc gia mà mục đích cao hơn của nó là thực hiện chính sách tiền tệ, khắc phục tình trạng lạm phát, nhằm đảm bảo hợp lý khối lượng tiền tệ trong lưu thông.
Trái phiếu kho bạc nhà nước: Là loại trái phiếu trung hạn và dài hạn phát hành cho ngân sách nhà nước.
Trái phiếu công trình: Là một loại trái phiếu Chính phủ được phát hành để xây dựng các công trình, dự án do Chính Phủ và địa phương thực hiện. Vốn hoàn trả trái phiếu (gốc và lãi) được lấy từ nguồn thu của công trình khi đưa vào sử dụng.
+ Trái phiếu công ty: Là chứng chỉ nợ do công ty cổ phần phát hành để vay vốn của quần chúng trong thời gian dài. Trái phiếu được phát hành khi Công ty cổ phần cần thêm vốn hoạt động (sau khi đã góp đủ vốn cổ phần) nhưng không chọn giải pháp tăng vốn vì thủ tục phức tạp và không muốn nhận thêm cổ đông.
Chủ sở hữu trái phiếu được gọi là trái chủ - được hưởng một khoản tiền lời nhất định bất kể kết quả hoạt động của công ty lời hay lỗ.
+ Trái phiếu Ngân hàng: Là trái phiếu do ngân hàng thương mại phát hành để huy động vốn qua sự cho phép của Ngân hàng Nhà nước.
3. Phân tổ chủ yếu
- Phân theo đơn vị.
- Phân theo lĩnh vực đầu tư.
4. Kỳ công bố
Năm.
5. Nguồn số liệu
- Chế độ báo cáo thống kê áp dụng đối với Tập đoàn, Tổng công ty, Công ty thuộc Bộ.
- Chế độ báo cáo thống kê áp dụng đối với đơn vị hành chính sự nghiệp thuộc Bộ.
6. Cơ quan chịu trách nhiệm thu thập, tổng hợp
- Chủ trì: Vụ Kế hoạch, Vụ Dầu khí và Than, Vụ Tài chính và Đổi mới doanh nghiệp, Tổng cục Quản lý thị trường, Cục Công nghiệp.
- Phối hợp: Các doanh nghiệp thuộc Bộ, các đơn vị hành chính sự nghiệp thuộc Bộ.
06. ĐÀO TẠO
0601. Số lượng sinh viên tuyển mới, theo học, tốt nghiệp
1. Mục đích, ý nghĩa
Là chỉ tiêu phản ánh quy mô, cơ cấu sinh viên ở các bậc đào tạo. Đây là cơ sở để xác định đầu vào của lực lượng lao động qua đào tạo, làm căn cứ cho việc lập kế hoạch sử dụng nguồn nhân lực phù hợp với xu hướng phát triển kinh tế - xã hội của ngành, tỉnh, vùng và quốc gia.
2. Khái niệm, nội dung, phương pháp tính
Số lượng sinh viên tuyển mới là số sinh viên được tuyển vào năm đầu tiên của khoá học theo từng cấp trình độ và hình thức đào tạo khác nhau. Chỉ tính số lượng thực tế nhập học, không tính theo số có giấy báo gọi nhập học.
Số lượng sinh viên theo học là số người học có tên trong danh sách, đang theo học tất cả các khoá học theo từng cấp trình độ và hình thức đào tạo khác nhau tại thời điểm đầu năm học của mỗi trường.
Số lượng sinh viên tốt nghiệp là số sinh viên đã học hết chương trình đào tạo, đã dự thi tốt nghiệp hoặc bảo vệ tốt nghiệp và đã được cấp bằng hoặc chứng chỉ theo từng cấp trình độ và các loại hình đào tạo khác nhau.
Phương pháp tính:
- Số học sinh viên tuyển mới = Tổng số sinh viên tuyển mới và thực tế nhập học trong năm báo cáo.
- Số sinh viên theo học = Tổng số sinh viên thực tế đang theo học tất cả các khoá học tại thời điểm báo cáo.
- Số sinh viên tốt nghiệp = Tổng số sinh viên đã tốt nghiệp và được cấp bằng hoặc chứng chỉ trong năm báo cáo.
3. Phân tổ chủ yếu
- Phân theo đơn vị thuộc Bộ.
- Phân theo trình độ, hình thức đào tạo (Sau đại học, đại học, cao đẳng, trung cấp, sơ cấp).
- Phân theo nhóm đào tạo (trong nước, ngoài nước).
4. Kỳ công bố
Năm.
5. Nguồn số liệu
Chế độ báo cáo thống kê áp dụng đối với các đơn vị hành chính sự nghiệp thuộc Bộ Công Thương.
6. Cơ quan chịu trách nhiệm thu thập, tổng hợp
- Chủ trì: Vụ Tổ chức cán bộ.
- Phối hợp: Vụ Kế hoạch.
0602. Số lượng cán bộ, giảng viên, giáo viên
1. Mục đích, ý nghĩa
Là chỉ tiêu phản ánh quy mô, cơ cấu và trình độ của giảng viên, giáo viên đang làm việc tại các trường đại học, cao đẳng thuộc Bộ. Đây là cơ sở để lập kế hoạch tuyển sinh đào tạo.
2. Khái niệm, nội dung, phương pháp tính
Cán bộ quản lý (gọi tắt là cán bộ) là người được bổ nhiệm giữ chức vụ quản lý có thời hạn, chịu trách nhiệm điều hành, tổ chức thực hiện một hoặc một số công việc trong Nhà trường. Những người có chức vụ quản lý như: Hiệu trưởng, phó hiệu trưởng, các trưởng, phó phòng, các cán bộ làm việc ở các phòng ban như phòng giáo vụ, kế hoạch tài vụ, các phòng ban liên quan khác.
Viên chức phục vụ đào tạo (gọi tắt là viên chức) là những người được tuyển dụng vào các vị trí công tác chuyên môn tại các phòng chức năng, Khoa, Bộ môn, ..., không trực tiếp giảng dạy hoặc có thời gian giảng dạy dưới 50% thời gian làm việc tại trường.
Cán bộ quản lý, viên chức phục vụ đào tạo được tính tại thời điểm báo cáo và được phân tổ theo chức danh đảm nhận.
Giảng viên, giáo viên là người làm nhiệm vụ giảng dạy, giáo dục trong nhà trường, bao gồm những người trực tiếp giảng dạy, các tổ trưởng, tổ phó bộ môn; các chủ nhiệm, phó chủ nhiệm khoa... kể cả những người đang trong thời kỳ tập sự hay thỉnh giảng có thời gian giảng dạy tại trường trên 50% thời gian làm việc. Không kể những cán bộ ngạch quản lý.
Những người có chức vụ quản lý như: Hiệu trưởng, phó hiệu trưởng, các trưởng, phó phòng, các cán bộ làm việc ở các phòng ban như phòng giáo vụ, kế hoạch tài vụ, các phòng ban liên quan khác, có tham gia giảng dạy dưới 50% thời gian không tính là giảng viên, giáo viên giảng dạy.
Cơ cấu giảng viên, giáo viên gồm 2 loại:
- Cơ hữu là những giảng viên, giáo viên thuộc biên chế nhà nước, tham gia giảng dạy lâu dài tại nhà trường và được hưởng lương từ ngân sách sự nghiệp, giảng viên được ký hợp đồng dài hạn (lớn hơn 3 năm).
- Hợp đồng là những giảng viên, giáo viên không thuộc biên chế nhà nước của trường, chỉ giảng dạy tại trường theo hợp đồng ngắn hạn (nhỏ hơn 3 năm). Các giảng viên, giáo viên này sẽ chỉ được tiếp tục tham gia giảng dạy trên cơ sở một hợp đồng (gia hạn) khác. Giảng viên, giáo viên hợp đồng không hưởng lương từ ngân sách sự nghiệp.
Phương pháp tính: Thống kê cộng dồn.
3. Phân tổ chủ yếu
- Phân theo đơn vị thuộc Bộ.
- Phân theo học hàm, học vị.
- Phân theo chuyên ngành đào tạo.
4. Kỳ công bố
Năm.
5. Nguồn số liệu
Chế độ báo cáo thống kê áp dụng đối với các đơn vị hành chính sự nghiệp thuộc Bộ Công Thương.
6. Cơ quan chịu trách nhiệm thu thập, tổng hợp
- Chủ trì: Vụ Tổ chức cán bộ.
- Phối hợp: Vụ Kế hoạch.
0603. Thu học phí, lệ phí
1. Mục đích, ý nghĩa
Là chỉ tiêu phản ánh tổng số tiền thu được từ các khoản phí, lệ phí của nhà trường trong năm tài khoá.
2. Khái niệm, nội dung, phương pháp tính
Thu học phí, lệ phí là tổng giá trị các khoản thu từ học phí, lệ phí làm tăng lợi ích kinh tế dưới hình thức các khoản tiền thu về từ các nguồn thu học phí, lệ phí trong kỳ kế toán.
Tổng thu học phí là tổng tiền thu được từ các loại hình đào tạo trong năm tài khóa.
Tổng thu lệ phí là tổng tiền thu được từ các hoạt động đào tạo và hỗ trợ đào tạo, các hoạt động khác (nếu có)...
3. Phân tổ chủ yếu
- Phân theo đơn vị thuộc Bộ.
- Phân theo nguồn thu.
4. Kỳ công bố
Năm.
5. Nguồn số liệu
Chế độ báo cáo thống kê áp dụng đối với các đơn vị hành chính sự nghiệp thuộc Bộ Công Thương.
6. Cơ quan chịu trách nhiệm thu thập, tổng hợp
- Chủ trì: Vụ Tài chính và Đổi mới doanh nghiệp.
- Phối hợp: Vụ Kế hoạch.
0604. Chi cho hoạt động đào tạo
1. Mục đích, ý nghĩa
Là chỉ tiêu phản ánh số tiền chi cho các hoạt động giáo dục đào tạo của nhà trường.
2. Khái niệm, nội dung, phương pháp tính
Tổng chi là tổng giá trị các khoản làm giảm lợi ích kinh tế dưới hình thức các khoản tiền chi ra trong kỳ kế toán.
Tổng chi được tính bằng tổng số tiền nhà trường chi cho các nội dung theo phạm vi tính trong năm báo cáo
3. Phân tổ chủ yếu
- Phân theo đơn vị thuộc Bộ.
- Phân theo chương trình.
- Phân theo mục đích.
4. Kỳ công bố
Năm.
5. Nguồn số liệu
Chế độ báo cáo thống kê áp dụng đối với các đơn vị hành chính sự nghiệp thuộc Bộ Công Thương.
6. Cơ quan chịu trách nhiệm thu thập, tổng hợp
- Chủ trì: Vụ Tài chính và Đổi mới doanh nghiệp.
- Phối hợp: Vụ Kế hoạch.
0605. Số lượng cơ sở đào tạo
1. Mục đích, ý nghĩa
Là chỉ tiêu phản ánh cơ cấu, số lượng các cơ sở đào tạo của nhà trường.
2. Khái niệm, nội dung, phương pháp tính
Số lượng cơ sở đào tạo là số địa điểm của một trường sở hữu dùng cho công tác giáo dục, đào tạo (Không bao gồm cơ sở thực hiện các chương trình liên kết trong nước và nước ngoài đặt tại địa điểm của đơn vị khác).
3. Phân tổ chủ yếu
Phân theo đơn vị thuộc Bộ.
4. Kỳ công bố
Năm.
5. Nguồn số liệu
Chế độ báo cáo thống kê áp dụng đối với các đơn vị hành chính sự nghiệp thuộc Bộ Công Thương.
6. Cơ quan chịu trách nhiệm thu thập, tổng hợp
- Chủ trì: Vụ Tổ chức cán bộ.
- Phối hợp: Vụ Kế hoạch.
Bạn chưa Đăng nhập thành viên.
Đây là tiện ích dành cho tài khoản thành viên. Vui lòng Đăng nhập để xem chi tiết. Nếu chưa có tài khoản, vui lòng Đăng ký tại đây!
Bạn chưa Đăng nhập thành viên.
Đây là tiện ích dành cho tài khoản thành viên. Vui lòng Đăng nhập để xem chi tiết. Nếu chưa có tài khoản, vui lòng Đăng ký tại đây!