• Tổng quan
  • Nội dung
  • VB gốc
  • Tiếng Anh
  • Hiệu lực
  • VB liên quan
  • Lược đồ
  • Nội dung hợp nhất 

    Tính năng này chỉ có tại LuatVietnam.vn. Nội dung hợp nhất tổng hợp lại tất cả các quy định còn hiệu lực của văn bản gốc và các văn bản sửa đổi, bổ sung, đính chính... trên một trang. Việc hợp nhất văn bản gốc và những văn bản, Thông tư, Nghị định hướng dẫn khác không làm thay đổi thứ tự điều khoản, nội dung.

    Khách hàng chỉ cần xem Nội dung hợp nhất là có thể nắm bắt toàn bộ quy định hiện hành đang áp dụng, cho dù văn bản gốc đã qua nhiều lần chỉnh sửa, bổ sung.

    =>> Xem hướng dẫn chi tiết cách sử dụng Nội dung hợp nhất

  • Tải về
Lưu
Đây là tiện ích dành cho tài khoản Tiêu chuẩn hoặc Nâng cao . Vui lòng Đăng nhập tài khoản để xem chi tiết.
Theo dõi VB
Đây là tiện ích dành cho tài khoản Tiêu chuẩn hoặc Nâng cao . Vui lòng Đăng nhập tài khoản để xem chi tiết.
Ghi chú
Báo lỗi
In

Công văn 4640/BVHTTDL-TCCB 2025 hướng dẫn bộ tiêu chí và đánh giá, xếp loại chất lượng công chức, viên chức

Ngày cập nhật: Thứ Năm, 09/10/2025 21:03 (GMT+7)
Cơ quan ban hành: Bộ Văn hóa, Thể thao và Du lịch
Số công báo:
Số công báo là mã số ấn phẩm được đăng chính thức trên ấn phẩm thông tin của Nhà nước. Mã số này do Chính phủ thống nhất quản lý.
Đang cập nhật
Số hiệu: 4640/BVHTTDL-TCCB Ngày đăng công báo: Đang cập nhật
Loại văn bản: Công văn Người ký: Lê Hải Bình
Trích yếu: Về việc hướng dẫn Bộ tiêu chí và đánh giá, xếp loại chất lượng công chức, viên chức trong các cơ quan, tổ chức hành chính, đơn vị sự nghiệp công lập thuộc Bộ Văn hóa, Thể thao và Du lịch
Ngày ban hành:
Ngày ban hành là ngày, tháng, năm văn bản được thông qua hoặc ký ban hành.
10/09/2025
Ngày hết hiệu lực:
Ngày hết hiệu lực là ngày, tháng, năm văn bản chính thức không còn hiệu lực (áp dụng).
Đang cập nhật
Áp dụng:
Ngày áp dụng là ngày, tháng, năm văn bản chính thức có hiệu lực (áp dụng).
Đã biết
Tiện ích dành cho tài khoản Tiêu chuẩn hoặc Nâng cao. Vui lòng Đăng nhập tài khoản để xem chi tiết.
Tình trạng hiệu lực:
Cho biết trạng thái hiệu lực của văn bản đang tra cứu: Chưa áp dụng, Còn hiệu lực, Hết hiệu lực, Hết hiệu lực 1 phần; Đã sửa đổi, Đính chính hay Không còn phù hợp,...
Đã biết
Tiện ích dành cho tài khoản Tiêu chuẩn hoặc Nâng cao. Vui lòng Đăng nhập tài khoản để xem chi tiết.
Lĩnh vực: Cán bộ-Công chức-Viên chức Hành chính

TÓM TẮT CÔNG VĂN 4640/BVHTTDL-TCCB

Nội dung tóm tắt đang được cập nhật, Quý khách vui lòng quay lại sau!

Tải Công văn 4640/BVHTTDL-TCCB

Tải văn bản tiếng Việt (.pdf) Công văn 4640/BVHTTDL-TCCB PDF (Bản có dấu đỏ)

Đây là tiện ích dành cho tài khoản thành viên. Vui lòng Đăng nhập để xem chi tiết. Nếu chưa có tài khoản, Đăng ký tại đây!

Tải văn bản tiếng Việt (.doc) Công văn 4640/BVHTTDL-TCCB DOC (Bản Word)

Đây là tiện ích dành cho tài khoản thành viên. Vui lòng Đăng nhập để xem chi tiết. Nếu chưa có tài khoản, Đăng ký tại đây!

Tình trạng hiệu lực: Đã biết
Hiệu lực: Đã biết
Tình trạng hiệu lực: Đã biết

BỘ VĂN HÓA, THỂ THAO VÀ DU LỊCH
____________

CỘNG HÒA XÃ HỘI CHỦ NGHĨA VIỆT NAM
Độc lập - Tự do - Hạnh phúc
_____________

Số: 4640/BVHTTDL-TCCB
V/v hướng dẫn Bộ tiêu chí và đánh giá, xếp loại chất lượng CCVC trong các cơ quan, tổ chức hành chính, đơn vị sự nghiệp công lập thuộc Bộ Văn hóa, Thể thao và Du lịch

Hà Nội, ngày 10 tháng 9 năm 2025

 

Kính gửi: Các cơ quan, tổ chức hành chính, đơn vị sự nghiệp công lập thuộc Bộ

 

Thực hiện Nghị quyết số 03-NQ/BTV ngày 05/8/2025 của Ban Thường vụ Đảng ủy Bộ Văn hóa, Thể thao và Du lịch, các quy định của Đảng, chính sách, pháp luật của Nhà nước, để đảm bảo việc đánh giá công chức, viên chức năm 2025 sát thực, công bằng, minh bạch, gắn kết quả đánh giá với công tác sử dụng, quy hoạch, bổ nhiệm, khen thưởng và kỷ luật, Bộ Văn hóa, Thể thao và Du lịch đề nghị các cơ quan, tổ chức hành chính, đơn vị sự nghiệp công lập thuộc Bộ thực hiện việc đánh giá, xếp loại chất lượng công chức, viên chức, cụ thể như sau:

I. MỤC ĐÍCH, NGUYÊN TẮC, CĂN CỨ ĐÁNH GIÁ, XẾP LOẠI CHẤT LƯỢNG CÔNG CHỨC, VIÊN CHỨC

1. Mục đích đánh giá

Trên cơ sở tiêu chí kết quả thực hiện nhiệm vụ (KPI[1]), đánh giá, xếp loại chất lượng công chức, viên chức nhằm xác định mức độ hoàn thành nhiệm vụ, làm căn cứ bố trí, sử dụng, đãi ngộ, sàng lọc đội ngũ công chức, viên chức góp phần cơ cấu lại và nâng cao chất lượng, xây dựng đội ngũ công chức, viên chức chuyên nghiệp, trách nhiệm, năng động, sáng tạo; phục vụ người dân và doanh nghiệp, phát triển đất nước.

2. Nguyên tắc thực hiện

2.1. Bảo đảm dân chủ, công khai, công bằng, chính xác, minh bạch, khách quan, xuyên suốt, liên tục, đa chiều; không nể nang, trù dập, thiên vị.

2.2. Kết hợp giữa tiêu chí định tính với tiêu chí định lượng. Ưu tiên đo lường kết quả đầu ra và hiệu quả thực hiện nhiệm vụ.

2.3. Ứng dụng khoa học công nghệ, chuyển đổi số trong theo dõi, đánh giá, xếp loại chất lượng công chức, viên chức.

2.4. Công chức, viên chức nghỉ ốm với tổng thời gian trong năm từ 03 tháng trở lên hoặc nghỉ thai sản thì kết quả xếp loại chất lượng trong năm được căn cứ vào kết quả làm việc thực tế của năm đó.

2.5. Kết quả đánh giá, xếp loại chất lượng công chức, viên chức được sử dụng làm cơ sở liên thông trong đánh giá, xếp loại chất lượng đảng viên.

2.6. Công chức, viên chức giữ nhiều chức vụ lãnh đạo, quản lý thì đánh giá, xếp loại chất lượng công chức, viên chức ở nơi giữ chức vụ cao nhất. Trường hợp công chức, viên chức kiêm nhiệm nhiều chức danh, chức vụ tương đương thì đánh giá, xếp loại chất lượng hằng năm ở nơi có thời gian công tác nhiều hơn.

2.7. Mức xếp loại của người đứng đầu không được cao hơn mức xếp loại của tập thể lãnh đạo, quản lý, tổ chức, cơ quan, đơn vị do mình đứng đầu, trừ trường hợp người đứng đầu mới chuyển đến không liên quan mức xếp loại của tổ chức, cơ quan, đơn vị mới.

2.8. Công chức, viên chức bị xử lý kỷ luật đảng hoặc kỷ luật hành chính thì đánh giá, xếp loại chất lượng như sau:

a) Công chức, viên chức bị xử lý kỷ luật đảng hoặc kỷ luật hành chính trong năm đánh giá thì xếp loại chất lượng ở mức không hoàn thành nhiệm vụ, trừ trường hợp quy định tại điểm b khoản này;

b) Trường hợp hành vi vi phạm chưa có quyết định xử lý kỷ luật của cấp có thẩm quyền nhưng đã được dùng làm căn cứ để đánh giá, xếp loại chất lượng ở mức không hoàn thành nhiệm vụ trong năm đánh giá thì quyết định xử lý kỷ luật ban hành sau năm đánh giá đối với hành vi vi phạm đó (nếu có) không được tính để đánh giá, xếp loại chất lượng ở năm có quyết định xử lý kỷ luật;

c) Trường hợp công chức, viên chức là đảng viên, đã bị xử lý kỷ luật đảng và kỷ luật hành chính về cùng một hành vi vi phạm nhưng quyết định kỷ luật đảng và quyết định kỷ luật hành chính không có hiệu lực trong cùng năm đánh giá thì chỉ tính là căn cứ xếp loại chất lượng ở một năm đánh giá.

2.9. Tỷ lệ công chức, viên chức xếp loại “Hoàn thành xuất sắc nhiệm vụ” trong tổng số công chức, viên chức tại cùng cơ quan, tổ chức, đơn vị và đối với từng nhóm đối tượng có nhiệm vụ tương đồng[2] không vượt quá tỷ lệ đảng viên được xếp loại “Hoàn thành xuất sắc nhiệm vụ” theo quy định của Đảng. Trường hợp cơ quan, tổ chức, đơn vị có thành tích xuất sắc, nổi trội, hoàn thành vượt kế hoạch các công việc được giao, hoàn thành tốt các công việc đột xuất, có đề xuất hoặc tổ chức thực hiện đổi mới, sáng tạo tạo sự chuyển biến tích cực, mang lại giá trị, hiệu quả thiết thực thì cấp có thẩm quyền quyết định tỷ lệ hoàn thành xuất sắc nhiệm vụ phù hợp với thực tế, bảo đảm quyền, lợi ích hợp pháp của công chức, viên chức.

3. Căn cứ đánh giá

3.1. Nghĩa vụ, đạo đức, văn hóa giao tiếp, những điều công chức, viên chức không được làm theo quy định.

3.2. Chức trách, nhiệm vụ của công chức, viên chức theo vị trí việc làm; kế hoạch công tác đã đăng ký thực hiện trong năm và các nhiệm vụ phát sinh (nếu có).

3.3. Các nhiệm vụ trong Chương trình công tác, Chương trình xây dựng, ban hành văn bản pháp luật của Bộ thuộc trách nhiệm thực hiện của cơ quan, đơn vị; Chương trình, kế hoạch công tác của cơ quan, đơn vị, tổ chức thuộc thẩm quyền quản lý trực tiếp của mình hoặc được cấp có thẩm quyền phân công, giao lãnh đạo, chỉ đạo tổ chức thực hiện.

3.4. Tiêu chuẩn chức danh, chức vụ lãnh đạo, quản lý hoặc tiêu chuẩn ngạch công chức, hạng chức danh nghề nghiệp viên chức (trong trường hợp không giữ chức vụ lãnh đạo, quản lý).

3.5. Đối với người đứng đầu cơ quan, đơn vị trực thuộc Bộ, ngoài các căn cứ quy định tại điểm 3.1, điểm 3.2, điểm 3.3 và điểm 3.4 khoản này, còn phải căn cứ vào kết quả thực hiện Bản cam kết trách nhiệm của người đứng đầu cơ quan, đơn vị với Lãnh đạo Bộ trong thực hiện chức trách, nhiệm vụ được giao của năm đánh giá.

3.6. Đối với viên chức, ngoài các căn cứ quy định tại điểm 3.1, điểm 3.2, điểm 3.3 và điểm 3.4 khoản này, còn phải căn cứ vào việc thực hiện các cam kết trong hợp đồng làm việc đã ký và quy định về đạo đức nghề nghiệp, quy tắc ứng xử của viên chức.

II. BỘ TIÊU CHÍ ĐÁNH GIÁ, XẾP LOẠI CHẤT LƯỢNG CÔNG CHỨC, VIÊN CHỨC

1. Tiêu chí đánh giá chung

- Phẩm chất chính trị, phẩm chất đạo đức, văn hóa thực thi công vụ và ý thức kỷ luật, kỷ cương trong thực thi công vụ.

- Năng lực chuyên môn, nghiệp vụ theo yêu cầu của vị trí việc làm; khả năng đáp ứng yêu cầu thực thi nhiệm vụ được giao; tinh thần trách nhiệm trong thực thi công vụ; thái độ phục vụ người dân, doanh nghiệp và khả năng phối hợp với đồng nghiệp.

- Năng lực đổi mới, sáng tạo, dám nghĩ, dám làm, dám chịu trách nhiệm vì lợi ích chung trong thực thi công vụ.

2. Tiêu chí đánh giá kết quả thực hiện nhiệm vụ

2.1. Đánh giá kết quả thực hiện nhiệm vụ (KPI) đối với công chức, viên chức không giữ chức vụ lãnh đạo, quản lý

a) Việc đánh giá kết quả thực hiện nhiệm vụ (KPI) của công chức, viên chức đảm nhiệm vị trí việc làm chuyên môn, nghiệp vụ được thực hiện trên cơ sở so sánh giữa kết quả số lượng sản phẩm hoàn thành so với số lượng được giao trong kỳ theo dõi, đánh giá hằng tháng, hằng quý.

b) Kết quả thực hiện nhiệm vụ thông qua số lượng, chất lượng và tiến độ của sản phẩm theo vị trí việc làm chuyên môn, nghiệp vụ:

- Số lượng: Xác định bằng điểm tỷ lệ phần trăm (%) giữa số lượng sản phẩm hoàn thành với số lượng sản phẩm được giao trong kỳ theo dõi, đánh giá hằng tháng, hằng quý.

- Chất lượng: Xác định trên cơ sở mức độ phức tạp công việc (tính theo Mức độ từ 1 - 5, trong đó Mức 5 là cao nhất), khối lượng công việc (tính theo Mức độ từ 1 - 5, trong đó Mức 5 là khối lượng cao nhất) giữa số lượng sản phẩm hoàn thành với số lượng sản phẩm được giao trong kỳ theo dõi, đánh giá hằng tháng, hằng quý.

Việc xác định mức độ phức tạp và mức độ khối lượng công việc của từng nhiệm vụ do tập thể Lãnh đạo cơ quan, đơn vị thống nhất, quyết định khi xây dựng Kế hoạch công tác năm của cơ quan, đơn vị hoặc khi được cấp có thẩm quyền giao triển khai nhiệm vụ (đối với nhiệm vụ đột xuất).

- Tiến độ: Xác định bằng điểm tỷ lệ phần trăm (%) giữa số lượng sản phẩm hoàn thành đạt tiến độ trở lên so với số lượng sản phẩm được giao trong kỳ theo dõi, đánh giá.

(Công chức, viên chức chấm điểm KPI hằng tháng theo Mẫu số 05, 06 tại Phụ lục kèm theo Công văn này)

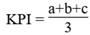
c) Cách xác định điểm tiêu chí kết quả thực hiện nhiệm vụ (KPI)

Điểm tiêu chí kết quả thực hiện nhiệm vụ của công chức, viên chức không giữ chức vụ lãnh đạo, quản lý được tính theo công thức sau:

Trong đó:

a là KPI số lượng theo quy định tại điểm b khoản này.

b là KPI chất lượng theo quy định tại điểm b khoản này.

c là KPI tiến độ theo quy định tại điểm b khoản này.

2.2. Đánh giá kết quả thực hiện nhiệm vụ (KPI) đối với công chức, viên chức giữ chức vụ lãnh đạo, quản lý

a) Nhiệm vụ của công chức, viên chức giữ chức vụ lãnh đạo, quản lý tùy theo vị trí đảm nhận, bao gồm:

- Nhiệm vụ được giao trực tiếp thực hiện.

- Nhiệm vụ chỉ đạo, điều hành, tổ chức thực hiện nhiệm vụ, hướng dẫn, kiểm tra, giám sát, giải quyết vướng mắc trong phạm vi chức năng, nhiệm vụ liên quan đến sản phẩm/công việc và công chức, viên chức trong đơn vị được giao phụ trách.

b) Kết quả thực hiện nhiệm vụ thông qua số lượng, chất lượng và tiến độ được xác định theo quy định tại điểm b khoản 2.1, trong đó:

- Số lượng sản phẩm/công việc được giao là tổng nhiệm vụ quy định tại điểm a khoản này, mỗi nhiệm vụ được xác định là một sản phẩm/công việc được giao (giải quyết sản phẩm/công việc nào thì quy đổi theo sản phẩm/công việc ấy).

- Số lượng sản phẩm/công việc hoàn thành là số lượng sản phẩm/công việc được giao quy định ở trên đã hoàn thành có chất lượng, tiến độ căn cứ vào kết quả cụ thể đạt được.

c) Ngoài các tiêu chí về kết quả thực hiện nhiệm vụ tại điểm b khoản này, công chức, viên chức giữ chức vụ lãnh đạo, quản lý còn được đánh giá theo các tiêu chí sau:

- Kết quả hoạt động của cơ quan, tổ chức, đơn vị hoặc lĩnh vực được giao lãnh đạo, quản lý, phụ trách:

+ Trường hợp 100% công chức, viên chức thuộc thẩm quyền quản lý, phụ trách xếp loại chất lượng ở mức hoàn thành nhiệm vụ trở lên thì được tính đạt điểm tỷ lệ bằng 100%.

+ Trường hợp có công chức, viên chức thuộc quyền quản lý, phụ trách bị xếp loại chất lượng ở mức không hoàn thành nhiệm vụ thì được tính đạt điểm tỷ lệ bằng 50%.

- Khả năng tổ chức triển khai thực hiện nhiệm vụ:

+ Trường hợp đơn vị hoàn thành đầy đủ các nhiệm vụ theo kế hoạch đúng thời hạn, bảo đảm chất lượng, có sáng kiến hoặc giải pháp tổ chức thực hiện hiệu quả thì được tính đạt điểm tỷ lệ bằng 100%.

+ Trường hợp trong kỳ đánh giá có tồn tại, hạn chế, chậm trễ kéo dài trong việc thực hiện chương trình, kế hoạch công tác được giao thì được tính đạt điểm tỷ lệ bằng 50%.

- Năng lực tập hợp, đoàn kết công chức, viên chức thuộc phạm vi quản lý:

+ Trường hợp cơ quan, đơn vị duy trì được môi trường làm việc đoàn kết, phối hợp hiệu quả giữa các cá nhân, bộ phận thì được tính đạt điểm tỷ lệ bằng 100%.

+ Trường hợp trong kỳ đánh giá không phát sinh phản ánh, khiếu nại, kiến nghị về mâu thuẫn, mất đoàn kết nội bộ kéo dài thì được tính đạt điểm tỷ lệ bằng 50%.

d) Cách xác định điểm tiêu chí kết quả thực hiện nhiệm vụ (KPI)

Điểm tiêu chí kết quả thực hiện nhiệm vụ của công chức, viên chức giữ chức vụ lãnh đạo, quản lý được tính theo công thức sau:

Trong đó:

a là KPI số lượng theo quy định tại điểm b khoản 2.1.

b là KPI chất lượng theo quy định tại điểm b khoản 2.1.

c là KPI tiến độ theo quy định tại điểm b khoản 2.1.

d là điểm tỷ lệ phần trăm (%) về kết quả hoạt động của cơ quan, tổ chức, đơn vị hoặc lĩnh vực được giao lãnh đạo, quản lý, phụ trách quy định tại điểm c khoản này.

đ là điểm tỷ lệ phần trăm (%) về khả năng tổ chức triển khai thực hiện nhiệm vụ quy định tại điểm c khoản này.

e là điểm tỷ lệ phần trăm (%) về năng lực tập hợp, đoàn kết công chức thuộc phạm vi quản lý quy định tại điểm c khoản này.

3. Bộ tiêu chí đánh giá, xếp loại công chức, viên chức

Trên cơ sở căn cứ đánh giá, Bộ tiêu chí khung về đánh giá, xếp loại chất lượng công chức, viên chức ban hành kèm theo Công văn này (Phụ lục 1A, Phụ lục 1B) và các tiêu chí đánh giá nêu tại mục 1, mục 2 khoản II nêu trên, các cơ quan, đơn vị cụ thể hóa Bộ tiêu chí đánh giá, xếp loại chất lượng công chức, viên chức của cơ quan, đơn vị mình để triển khai, thực hiện.

III. QUY TRÌNH, THỦ TỤC ĐÁNH GIÁ, XẾP LOẠI CHẤT LƯỢNG CÔNG CHỨC, VIÊN CHỨC (Phụ lục 2 kèm theo)

IV. THẨM QUYỀN, TRÁCH NHIỆM TRONG CÔNG TÁC ĐÁNH GIÁ, XẾP LOẠI CHẤT LƯỢNG CÔNG CHỨC, VIÊN CHỨC

1. Trách nhiệm của công chức, viên chức

- Đề xuất sản phẩm/công việc tương ứng với vị trí việc làm và chức năng, nhiệm vụ của cơ quan, đơn vị để đưa vào kế hoạch công tác năm.

- Xây dựng kế hoạch công tác cá nhân; cập nhật đầy đủ, kịp thời, trung thực việc thực hiện nhiệm vụ được giao, ghi nhật ký công việc theo từng kỳ theo dõi, đánh giá.

- Chịu trách nhiệm về tính trung thực, khách quan trong việc tự đánh giá, thống kê sản phẩm/công việc và ghi chép nhật ký thực hiện nhiệm vụ được giao.

2. Trách nhiệm, thẩm quyền của người đứng đầu cơ quan, tổ chức, đơn vị sử dụng công chức, viên chức và người đứng đầu tổ chức cấp phòng và tương đương

2.1. Người đứng đầu cơ quan, tổ chức, đơn vị sử dụng công chức, viên chức có thẩm quyền theo dõi, đánh giá, xếp loại chất lượng công chức và cấp phó người đứng đầu cơ quan, tổ chức, đơn vị mình và người đứng đầu, cấp phó người đứng đầu của tổ chức cấp phòng và tương đương (nếu cơ quan, tổ chức, đơn vị có đơn vị cấu thành).

Người đứng đầu tổ chức cấp phòng và tương đương (nếu cơ quan, tổ chức, đơn vị có đơn vị cấu thành) có thẩm quyền theo dõi, đánh giá, xếp loại chất lượng công chức, viên chức và cấp phó của người đứng đầu đơn vị mình.

2.2. Người đứng đầu cơ quan, tổ chức, đơn vị sử dụng công chức, viên chức hoặc người đứng đầu tổ chức cấp phòng và tương đương trong phạm vi thẩm quyền của mình có trách nhiệm:

a) Phân công công việc rõ ràng, cụ thể, phù hợp với năng lực, vị trí việc làm của công chức, viên chức thuộc thẩm quyền quản lý để làm cơ sở theo dõi, đánh giá và xếp loại chất lượng công chức, viên chức.

b) Chỉ đạo xây dựng danh mục sản phẩm/công việc chung của cơ quan, tổ chức, đơn vị làm cơ sở cho việc theo dõi, đánh giá.

c) Tổ chức rà soát, xác định sản phẩm/công việc theo từng nhóm vị trí việc làm theo quy định; Xác nhận kết quả theo dõi, đánh giá của công chức, viên chức theo thẩm quyền.

d) Kịp thời xử lý hoặc kiến nghị xử lý các hành vi vi phạm trong quá trình đánh giá, chấm điểm, xếp loại công chức, viên chức thuộc phạm vi quản lý.

3. Thẩm quyền, trách nhiệm của người đứng đầu cơ quan quản lý công chức, viên chức

3.1. Người đứng đầu cơ quan quản lý công chức, viên chức có thẩm quyền theo dõi, đánh giá, xếp loại chất lượng người đứng đầu cơ quan, tổ chức, đơn vị sử dụng công chức, viên chức.

3.2. Người đứng đầu cơ quan quản lý công chức, viên chức có trách nhiệm:

a) Hướng dẫn, đôn đốc, kiểm tra việc triển khai thực hiện theo dõi, đánh giá, chấm điểm công chức, viên chức thuộc phạm vi quản lý.

b) Giải quyết vướng mắc, khiếu nại, phản ánh liên quan đến việc theo dõi, đánh giá, xếp loại chất lượng công chức, viên chức thuộc phạm vi quản lý.

c) Xây dựng phần mềm theo dõi, đánh giá công chức, viên chức tích hợp, đồng bộ với phần mềm quản lý văn bản của cơ quan, tổ chức, đơn vị; bảo đảm lưu trữ đầy đủ, đồng bộ dữ liệu phục vụ công tác đánh giá, xếp loại chất lượng công chức, viên chức.

V. TỔ CHỨC THỰC HIỆN

1. Trách nhiệm của Vụ Tổ chức cán bộ

a) Hướng dẫn các cơ quan, tổ chức, đơn vị triển khai việc theo dõi, đánh giá, xếp loại chất lượng công chức, viên chức trong phạm vi quản lý, bảo đảm đúng nguyên tắc, trình tự, thủ tục, phương pháp theo quy định tại Công văn này; kịp thời xây dựng Quy chế đánh giá, xếp loại chất lượng công chức, viên chức sau khi các quy định của pháp luật về đánh giá công chức, viên chức ban hành.

b) Tổng hợp kết quả theo dõi, đánh giá hằng tháng của người đứng đầu cơ quan, tổ chức, đơn vị để xác định điểm trung bình theo dõi, đánh giá theo quý, theo 06 tháng và theo năm, trình Lãnh đạo Bộ quyết định việc xếp loại chất lượng người đứng đầu cơ quan, tổ chức đơn vị.

2. Trách nhiệm của các cơ quan, tổ chức, đơn vị thuộc Bộ

a) Xây dựng Tiêu chí đánh giá kết quả thực hiện nhiệm vụ (KPI) của cơ quan, tổ chức, đơn vị đảm bảo phù hợp với chức năng, nhiệm vụ của cơ quan, tổ chức, đơn vị và Công văn này.

b) Triển khai việc theo dõi, đánh giá, xếp loại chất lượng công chức, viên chức trong phạm vi quản lý, bảo đảm đúng nguyên tắc, trình tự, thủ tục, phương pháp theo Công văn này.

c) Kịp thời rà soát, điều chỉnh, cập nhật danh mục sản phẩm/công việc hoặc sản phẩm/công việc chuẩn trong trường hợp có thay đổi về chức năng, nhiệm vụ, khối lượng công việc, vị trí việc làm.

Bộ Văn hóa, Thể thao và Du lịch đề nghị các cơ quan, tổ chức, đơn vị nghiêm túc thực hiện. Trong quá trình triển khai việc đánh giá công chức, viên chức theo KPI, nếu có khó khăn, vướng mắc đề nghị phản ánh về Bộ Văn hóa, Thể thao và Du lịch (qua Vụ Tổ chức cán bộ) để tổng hợp, báo cáo Lãnh đạo Bộ./.

 

Nơi nhận:
- Như trên;
- Bộ trưởng (để báo cáo);
- Các Thứ trưởng;
- Lưu: VT, Vụ TCCB.

KT. BỘ TRƯỞNG
THỨ TRƯỞNG THƯỜNG TRỰC




Lê Hải Bình

 

PHỤ LỤC 1B

TIÊU CHÍ KHUNG ĐÁNH GIÁ, XẾP LOẠI CHẤT LƯỢNG VIÊN CHỨC
(Kèm theo Công văn số 4640/BVHTTDL-TCCB ngày 10 tháng 9 năm 2025 của Bộ Văn hóa, Thể thao và Du lịch)

TT

TIÊU CHÍ

ĐIỂM TỐI ĐA

GHI CHÚ

A

TIÊU CHÍ CHUNG

 

 

I

Phẩm chất chính trị, phẩm chất đạo đức, văn hóa thực thi công vụ và ý thức kỷ luật, kỷ cương trong thực thi công vụ

30

 

1

Chính trị tư tưởng

10

 

a

Chấp hành chủ trương, đường lối, quy định của Đảng, chính sách, pháp luật của Nhà nước và các nguyên tắc tổ chức, kỷ luật của Đảng, nhất là nguyên tắc tập trung dân chủ, tự phê bình và phê bình

 

 

b

Có quan điểm, bản lĩnh chính trị vững vàng; kiên định lập trường; không dao động trước mọi khó khăn, thách thức

 

 

c

Đặt lợi ích của Đảng, quốc gia - dân tộc, nhân dân, tập thể lên trên lợi ích cá nhân

 

 

d

Có ý thức nghiên cứu, học tập, vận dụng chủ nghĩa Mác - Lênin, tư tưởng Hồ Chí Minh, nghị quyết, chỉ thị, quyết định và các văn bản của Đảng

 

 

2

Đạo đức, lối sống

10

 

a

Không tham ô, tham nhũng, tiêu cực, lãng phí, quan liêu, cơ hội, vụ lợi, hách dịch, cửa quyền; không có biểu hiện suy thoái về đạo đức, lối sống, tự diễn biến, tự chuyển hóa

 

 

b

Có lối sống trung thực, khiêm tốn, chân thành, trong sáng, giản dị

 

 

c

Có tinh thần đoàn kết, xây dựng cơ quan, tổ chức, đơn vị trong sạch, vững mạnh

 

 

d

Không để người thân, người quen lợi dụng chức vụ, quyền hạn của mình để trục lợi

 

 

3

Tác phong, lề lối làm việc

5

 

a

Có trách nhiệm với công việc; năng động, sáng tạo, dám nghĩ, dám làm, linh hoạt trong thực hiện nhiệm vụ

 

 

b

Phương pháp làm việc khoa học, dân chủ, đúng nguyên tắc

 

 

c

Có tinh thần trách nhiệm và phối hợp trong thực hiện nhiệm vụ

 

 

d

Có thái độ đúng mực và phong cách ứng xử, lề lối làm việc chuẩn mực, đáp ứng yêu cầu của văn hóa công vụ

 

 

4

Ý thức tổ chức kỷ luật

5

 

a

Chấp hành sự phân công của tổ chức

 

 

b

Thực hiện các quy định, quy chế, nội quy của cơ quan, tổ chức, đơn vị nơi công tác

 

 

c

Thực hiện việc kê khai và công khai tài sản, thu nhập theo quy định

 

 

d

Báo cáo đầy đủ, trung thực, cung cấp thông tin chính xác, khách quan về những nội dung liên quan đến việc thực hiện chức trách, nhiệm vụ được giao và hoạt động của cơ quan, tổ chức, đơn vị với cấp trên khi được yêu cầu

 

 

II

Năng lực chuyên môn, nghiệp vụ theo yêu cầu của vị trí việc làm; khả năng đáp ứng yêu cầu thực thi nhiệm vụ được giao; tinh thần trách nhiệm trong thực thi nhiệm vụ; thái độ phục vụ người dân, doanh nghiệp và khả năng phối hợp với đồng nghiệp

30

 

1

Năng lực chuyên môn, nghiệp vụ theo yêu cầu của vị trí việc làm

10

 

2

Khả năng đáp ứng yêu cầu thực thi nhiệm vụ được giao thường xuyên, đột xuất

10

 

3

Tinh thần trách nhiệm trong thực thi nhiệm vụ

5

 

4

Thái độ phục vụ người dân, doanh nghiệp và khả năng phối hợp với đồng nghiệp

5

 

III

Năng lực đổi mới, sáng tạo, dám nghĩ, dám làm, dám chịu trách nhiệm vì lợi ích chung trong thực thi công vụ

40

 

1

Có sản phẩm, giải pháp đột phá, sáng tạo đem lại giá trị, hiệu quả thiết thực, tác động tích cực đến kết quả thực hiện nhiệm vụ của cơ quan, tổ chức, đơn vị

10

 

2

Sẵn sàng tham gia thực hiện nhiệm vụ chính trị đặc biệt quan trọng, nhiệm vụ có tính chất đột xuất, phức tạp hoặc trong điều kiện khó khăn

10

 

3

Có tinh thần chịu trách nhiệm trước kết quả công việc; chủ động nhận trách nhiệm khi có sai sót và có biện pháp khắc phục rõ ràng, cụ thể

10

 

4

Chủ động đưa ra quyết định trong phạm vi thẩm quyền, không né tránh; có tinh thần tiên phong trong thực hiện những nhiệm vụ mới

10

 

 

Tổng cộng

100

 

B

TIÊU CHÍ ĐÁNH GIÁ KẾT QUẢ THỰC HIỆN NHIỆM VỤ

 

 

I

Đối với viên chức không giữ chức vụ lãnh đạo, quản lý

300

 

1

Tiêu chí đánh giá về số lượng: Xác định bằng điểm tỷ lệ phần trăm (%) giữa số lượng sản phẩm hoàn thành với số lượng sản phẩm được giao trong kỳ theo dõi, đánh giá hằng tháng, hằng quý

100

 

2

Tiêu chí đánh giá về chất lượng: Xác định trên cơ sở mức độ phức tạp công việc (tính theo Mức độ từ 1 - 5, trong đó Mức 5 là cao nhất), khối lượng công việc (tính theo Mức độ từ 1 - 5, trong đó Mức 5 là khối lượng cao nhất) giữa số lượng sản phẩm hoàn thành với số lượng sản phẩm được giao trong kỳ theo dõi, đánh giá hằng tháng, hằng quý.

100

 

3

Tiêu chí đánh giá về tiến độ: Xác định bằng điểm tỷ lệ phần trăm (%) giữa số lượng sản phẩm hoàn thành đạt tiến độ trở lên so với số lượng sản phẩm được giao trong kỳ theo dõi, đánh giá

100

 

II

Đối với viên chức giữ chức vụ lãnh đạo, quản lý

600

 

1

Nhiệm vụ được giao trực tiếp thực hiện

300

 

a

Tiêu chí đánh giá về số lượng: Xác định bằng điểm tỷ lệ phần trăm (%) giữa số lượng sản phẩm hoàn thành với số lượng sản phẩm được giao trong kỳ theo dõi, đánh giá hằng tháng, hằng quý

100

 

b

Tiêu chí đánh giá về chất lượng: Xác định trên cơ sở mức độ phức tạp công việc (tính theo Mức độ từ 1 - 5, trong đó Mức 5 là cao nhất), khối lượng công việc (tính theo Mức độ từ 1 - 5, trong đó Mức 5 là khối lượng cao nhất) giữa số lượng sản phẩm hoàn thành với số lượng sản phẩm được giao trong kỳ theo dõi, đánh giá hằng tháng, hằng quý.

100

 

c

Tiêu chí đánh giá về tiến độ: Xác định bằng điểm tỷ lệ phần trăm (%) giữa số lượng sản phẩm hoàn thành đạt tiến độ trở lên so với số lượng sản phẩm được giao trong kỳ theo dõi, đánh giá

100

 

2

Nhiệm vụ chỉ đạo, điều hành, tổ chức thực hiện nhiệm vụ, hướng dẫn, kiểm tra, giám sát, giải quyết vướng mắc trong phạm vi chức năng, nhiệm vụ liên quan đến sản phẩm/công việc và viên chức trong đơn vị được giao phụ trách

300

 

2.1

Kết quả hoạt động của cơ quan, tổ chức, đơn vị hoặc lĩnh vực được giao lãnh đạo, quản lý, phụ trách:

100

 

a

Trường hợp 100% viên chức thuộc thẩm quyền quản lý, phụ trách xếp loại chất lượng ở mức hoàn thành nhiệm vụ trở lên thì được tính đạt điểm tỷ lệ bằng 100%.

 

 

b

Trường hợp có viên chức thuộc quyền quản lý, phụ trách bị xếp loại chất lượng ở mức không hoàn thành nhiệm vụ thì được tính đạt điểm tỷ lệ bằng 50%.

 

 

2.2

Khả năng tổ chức triển khai thực hiện nhiệm vụ:

100

 

a

Trường hợp đơn vị hoàn thành đầy đủ các nhiệm vụ theo kế hoạch đúng thời hạn, bảo đảm chất lượng, có sáng kiến hoặc giải pháp tổ chức thực hiện hiệu quả thì được tính đạt điểm tỷ lệ bằng 100%.

 

 

b

Trường hợp trong kỳ đánh giá có tồn tại, hạn chế, chậm trễ kéo dài trong việc thực hiện chương trình, kế hoạch công tác được giao thì được tính đạt điểm tỷ lệ bằng 50%.

 

 

2.3

Năng lực tập hợp, đoàn kết công chức, viên chức thuộc phạm vi quản lý:

100

 

a

Trường hợp cơ quan, đơn vị duy trì được môi trường làm việc đoàn kết, phối hợp hiệu quả giữa các cá nhân, bộ phận thì được tính đạt điểm tỷ lệ bằng 100%.

 

 

b

Trường hợp trong kỳ đánh giá không phát sinh phản ánh, khiếu nại, kiến nghị về mâu thuẫn, mất đoàn kết nội bộ kéo dài thì được tính đạt điểm tỷ lệ bằng 50%.

 

 

 

PHỤ LỤC 2

HƯỚNG DẪN QUY TRÌNH, THỦ TỤC ĐÁNH GIÁ, XẾP LOẠI CHẤT LƯỢNG CÔNG CHỨC, VIÊN CHỨC TRONG CÁC CƠ QUAN, TỔ CHỨC HÀNH CHÍNH, ĐƠN VỊ SỰ NGHIỆP CÔNG LẬP THUỘC BỘ VĂN HÓA, THỂ THAO VÀ DU LỊCH
(Kèm theo Công văn số 4640/BVHTTDL-TCCB ngày 10 tháng 9 năm 2025 của Bộ Văn hóa, Thể thao và Du lịch)

1. Quy trình thực hiện theo dõi, đánh giá công chức, viên chức

1.1. Tổ chức đăng ký và phân công thực hiện nhiệm vụ

a) Bước 1: Lập kế hoạch công tác

Việc lập và giao kế hoạch công tác (tháng, quý, năm) của cơ quan, tổ chức, đơn vị căn cứ vào chức năng, nhiệm vụ và theo kế hoạch công tác năm của Bộ. Kế hoạch được giao của cơ quan, tổ chức, đơn vị là cơ sở để phân công nhiệm vụ cho tổ chức cấp phòng và tương đương (nếu có), công chức, viên chức thuộc phạm vi quản lý.

b) Bước 2: Giao nhiệm vụ

- Căn cứ kế hoạch công tác (tháng, quý, năm) và nhiệm vụ cụ thể được Lãnh đạo Bộ giao, người đứng đầu cơ quan, đơn vị sử dụng công chức, viên chức có trách nhiệm phân công, giao nhiệm vụ cho tổ chức cấp phòng và tương đương (nếu có), công chức, viên chức theo vị trí việc làm và danh mục sản phẩm/công việc của cơ quan, đơn vị (theo Mẫu số 01, 02 ban hành kèm theo Phụ lục số 2 này).

- Nhiệm vụ được giao phải cụ thể, có yêu cầu rõ ràng về kết quả sản phẩm/công việc, thời hạn hoàn thành làm cơ sở để công chức, viên chức theo dõi, đánh giá.

- Đối với những sản phẩm/công việc có mức độ phức tạp lớn, khối lượng công việc nhiều, thực hiện trong thời gian dài hoặc phải phối hợp làm việc theo nhóm thì người đứng đầu cơ quan, đơn vị sử dụng công chức, viên chức có trách nhiệm phân giao để công chức có cơ sở thực hiện và đánh giá. Việc phân giao phải cụ thể, rõ ràng để công chức, viên chức có cơ sở theo dõi, đánh giá.

- Việc giao nhiệm vụ tháng, quý, năm cho công chức, viên chức phải đảm bảo các nguyên tắc sau:

+ Từng công chức, viên chức trong cơ quan, tổ chức, đơn vị phải được giao nhiệm vụ có số lượng, chất lượng, tiến độ thực hiện cụ thể tương xứng với ngạch công chức, hạng chức danh nghề nghiệp viên chức, vị trí việc làm đảm nhận; công chức có ngạch cao hơn hoặc viên chức giữ hạng chức danh nghề nghiệp cao hơn phải được giao số lượng nhiệm vụ có độ phức tạp cao hơn.

+ Đối với những công chức, viên chức không đảm bảo được yêu cầu hoàn thành nhiệm vụ về số lượng, chất lượng, tiến độ có quyền đề nghị giao công chức, viên chức khác thực hiện nhưng vẫn tính trong tổng số nhiệm vụ được giao, do không thực hiện nhiệm vụ này nên không được tính vào kết quả hoàn thành.

+ Đối với những công chức, viên chức được giao đảm nhận thêm nhiệm vụ từ công chức khác thì nhiệm vụ này được tính ngoài số nhiệm vụ được giao. Nhiệm vụ này được tính thêm KPI tương xứng theo kết quả đạt được.

+ Đối với những công chức, viên chức được giao nhiệm vụ đột xuất, nhiệm vụ phát sinh mới ngoài kế hoạch (tháng, quý, năm) thì nhiệm vụ này được tính ngoài số nhiệm vụ được giao ban đầu. Nhiệm vụ này được tính thêm KPI tương xứng theo kết quả đạt được.

c) Bước 3: Xây dựng kế hoạch công tác cá nhân

Trên cơ sở nhiệm vụ được Lãnh đạo cơ quan, đơn vị phân công, công chức, viên chức xây dựng kế hoạch công tác cá nhân (theo Mẫu số 03, ban hành kèm theo Phụ lục số 2 này), có xác nhận của cấp có thẩm quyền theo dõi, đánh giá công chức, viên chức.

1.2. Theo dõi, đánh giá công chức, viên chức[1] theo tháng

a) Công chức, viên chức có trách nhiệm thực hiện đầy đủ nhiệm vụ được giao theo tiến độ quy định, đồng thời thực hiện tự chấm điểm KPI (theo Mẫu số 05, 06 ban hành kèm theo Phụ lục số 2 này) và tự đánh giá vào Phiếu theo dõi, đánh giá công chức, viên chức hằng tháng (theo Mẫu số 07, ban hành kèm theo Phụ lục số 2 này) hoặc hệ thống theo dõi điện tử định kỳ hằng tháng (nếu có).

Kết quả các tiêu chí theo dõi, đánh giá công chức, viên chức hằng tháng được xác định bằng tổng điểm tiêu chí chung và điểm kết quả thực hiện nhiệm vụ của công chức, viên chức. Trong đó, điểm theo tiêu chí chung chiếm 30% tổng số điểm, điểm kết quả thực hiện nhiệm vụ chiếm 70% tổng số điểm.

Điểm theo dõi, đánh giá theo tháng = (Điểm theo tiêu chí chung x 0,3)+(KPI x 0,7)

b) Người đứng đầu cơ quan, tổ chức, đơn vị sử dụng công chức, viên chức hoặc tổ chức cấp phòng và tương đương có trách nhiệm hướng dẫn chỉ đạo, giải quyết khó khăn, vướng mắc, tạo điều kiện để công chức, viên chức đạt điểm theo dõi, đánh giá tốt nhất.

c) Công chức, viên chức có trách nhiệm cập nhật kết quả thực hiện nhiệm vụ được giao theo từng sản phẩm/công việc, tự xác định điểm theo dõi, đánh giá đạt được của tháng.

Kết quả tự đánh giá của công chức, viên chức được người đứng đầu cơ quan, tổ chức, đơn vị sử dụng công chức, viên chức hoặc người đứng đầu tổ chức cấp phòng và tương đương (nếu cơ quan, tổ chức, đơn vị có đơn vị cấu thành) rà soát, xác nhận.

Kết quả tự đánh giá của người đứng đầu cơ quan, tổ chức, đơn vị sử dụng công chức, viên chức được bộ phận tham mưu về tổ chức, cán bộ của cơ quan, đơn vị quản lý công chức, viên chức rà soát, tổng hợp, báo cáo người đứng đầu cơ quan có thẩm quyền quản lý công chức, viên chức xác nhận.

Kết quả theo dõi, đánh giá hằng tháng được thông báo tới công chức, viên chức và gửi về bộ phận tham mưu về tổ chức, cán bộ của cơ quan, tổ chức, đơn vị để tổng hợp, phục vụ kỳ đánh giá, xếp loại chất lượng hằng năm.

d) Người đứng đầu cơ quan, tổ chức, đơn vị sử dụng công chức, viên chức hoặc người đứng đầu tổ chức cấp phòng và tương đương có trách nhiệm rà soát, kiểm tra kết quả tự chấm điểm của công chức, viên chức, trên cơ sở đó xác nhận kết quả đánh giá cụ thể theo Mẫu số 07, 08 tại Phụ lục kèm theo Công văn này.

1.3. Bộ phận tham mưu về tổ chức, cán bộ của cơ quan, tổ chức, đơn vị có trách nhiệm tổng hợp kết quả theo dõi, đánh giá hằng tháng của công chức, viên chức để xác định điểm trung bình theo dõi, đánh giá theo quý (bằng điểm trung bình cộng của ba tháng), theo 06 tháng (bằng điểm trung bình cộng của 06 tháng) và theo năm (bằng điểm trung bình cộng của 12 tháng).

Trường hợp kết quả theo dõi, đánh giá hằng tháng của công chức, viên chức đã được điều chỉnh sau rà soát, kiểm tra thì sử dụng kết quả sau điều chỉnh để tính trung bình cộng.

Căn cứ điểm trung bình theo dõi, đánh giá cả năm (12 tháng), cấp có thẩm quyền quyết định việc xếp loại chất lượng công chức, viên chức.

2. Xếp loại chất lượng công chức, viên chức

2.1. Thời điểm xếp loại chất lượng công chức, viên chức

a) Việc xếp loại chất lượng công chức, viên chức được thực hiện theo năm công tác. Đối với công chức, viên chức chuyển công tác thì cơ quan, tổ chức, đơn vị mới có trách nhiệm xếp loại chất lượng. Trường hợp có thời gian công tác ở cơ quan, tổ chức, đơn vị cũ từ 06 tháng trở lên thì cơ quan, tổ chức, đơn vị cũ có trách nhiệm gửi kết quả theo dõi, đánh giá hằng tháng, hằng quý của công chức, viên chức tới cơ quan, tổ chức, đơn vị mới để làm căn cứ tính điểm trung bình, xếp loại chất lượng cuối năm.

b) Thời điểm xếp loại chất lượng công chức, viên chức được tiến hành trước ngày 15 tháng 12 hằng năm, trước khi thực hiện việc đánh giá, xếp loại chất lượng đảng viên và tổng kết công tác bình xét thi đua, khen thưởng hằng năm của cơ quan, tổ chức, đơn vị. Đối với các cơ quan, tổ chức, đơn vị có tính chất đặc thù theo chức năng, nhiệm vụ quy định chưa tổng kết vào dịp cuối năm thì cấp trên trực tiếp có thẩm quyền quy định, hướng dẫn thực hiện hoàn thành trước ngày 15 tháng 01 năm sau.

c) Trường hợp tại thời điểm xếp loại chất lượng, công chức, viên chức vắng mặt có lý do chính đáng hoặc đang nghỉ nghỉ ốm, nghỉ chế độ thai sản theo quy định của pháp luật thì việc xếp loại được thực hiện căn cứ trên tổng điểm theo dõi, đánh giá đối với khoảng thời gian thực tế công chức, viên chức công tác trong năm.

Công chức, viên chức có trách nhiệm hoàn thành báo cáo tự đánh giá theo mẫu đối với thời gian công tác tại cơ quan, tổ chức, đơn vị cũ, gửi cơ quan, tổ chức, đơn vị công tác mới để tổng hợp điểm và thực hiện việc xếp loại theo quy định.

2.2. Mức xếp loại chất lượng công chức, viên chức

Công chức, viên chức được xếp loại chất lượng căn cứ vào kết quả theo dõi, đánh giá hằng tháng, hằng quý theo 04 mức sau:

a) Hoàn thành xuất sắc nhiệm vụ: Công chức, viên chức có kết quả theo dõi, đánh giá từ 90 điểm trở lên.

Trong trường hợp số lượng công chức, viên chức có kết quả theo dõi, đánh giá trên 90 điểm vượt quá tỷ lệ quy định tại khoản 9 Điều 4 Quy chế này thì thực hiện lấy theo thứ tự từ trên xuống dưới.

b) Hoàn thành tốt nhiệm vụ: Công chức, viên chức có kết quả theo dõi, đánh giá từ 70 điểm trở lên đến dưới 90 điểm.

c) Hoàn thành nhiệm vụ: Công chức, viên chức có kết quả theo dõi, đánh giá từ 50 điểm đến dưới 70 điểm.

d) Không hoàn thành nhiệm vụ thuộc một trong các trường hợp sau:

- Công chức, viên chức có kết quả theo dõi, đánh giá dưới 50 điểm.

- Bị cấp có thẩm quyền kết luận có biểu hiện suy thoái về tư tưởng chính trị, đạo đức, lối sống, "tự diễn biến", "tự chuyển hoá"; vi phạm những điều đảng viên không được làm; vi phạm trách nhiệm nêu gương, ảnh hưởng xấu đến uy tín của bản thân và cơ quan, đơn vị nơi công tác.

- Có hành vi vi phạm liên quan đến hoạt động công vụ bị xử lý kỷ luật bằng hình thức từ khiển trách trở lên trong năm đánh giá.

- Cơ quan, tổ chức, đơn vị thuộc thẩm quyền phụ trách, quản lý trực tiếp liên quan đến tham ô, tham nhũng, lãng phí và bị xử lý theo quy định của pháp luật (đối với công chức, viên chức giữ chức vụ lãnh đạo, quản lý).

3. Trình tự, thủ tục xếp loại chất lượng công chức, viên chức

3.1. Công chức, viên chức lập báo cáo xếp loại chất lượng của năm theo Mẫu số 09, 10 ban hành kèm theo Phụ lục số 2 này.

3.2. Tổ chức cuộc họp tại cơ quan, tổ chức, đơn vị nơi công chức, viên chức công tác để nhận xét, đánh giá đối với công chức, viên chức.

a) Đối với công chức, viên chức là người đứng đầu cơ quan, tổ chức, đơn vị thì thành phần tham dự cuộc họp bao gồm toàn thể công chức của cơ quan, tổ chức, đơn vị.

Trường hợp cơ quan, tổ chức, đơn vị có đơn vị cấu thành thì thành phần bao gồm tập thể lãnh đạo cơ quan, tổ chức, đơn vị, đại diện cấp ủy đảng, tổ chức chính trị - xã hội (nếu có) cùng cấp và người đứng đầu các đơn vị cấu thành; đối với cơ quan, tổ chức, đơn vị có quy mô lớn thì người đứng đầu các đơn vị cấu thành có thể tham gia ý kiến bằng văn bản.

b) Đối với cấp phó của người đứng đầu và công chức, viên chức thuộc quyền quản lý của người đứng đầu thì thành phần tham dự cuộc họp bao gồm toàn thể công chức, viên chức của cơ quan, tổ chức, đơn vị hoặc toàn thể công chức, viên chức của đơn vị cấu thành nơi công chức, viên chức công tác.

Trường hợp công chức, viên chức là cấp phó của người đứng đầu cơ quan, tổ chức, đơn vị có đơn vị cấu thành thì thành phần bao gồm: Tập thể lãnh đạo cơ quan, tổ chức, đơn vị, đại diện cấp ủy đảng, tổ chức chính trị - xã hội (nếu có) cùng cấp và người đứng đầu các đơn vị cấu thành; đối với cơ quan, tổ chức, đơn vị có quy mô lớn thì người đứng đầu các đơn vị cấu thành có thể tham gia ý kiến bằng văn bản.

c) Công chức, viên chức trình bày báo cáo tự đánh giá kết quả công tác tại cuộc họp, các thành viên tham dự cuộc họp đóng góp ý kiến, các ý kiến phải được ghi vào biên bản và thông qua tại cuộc họp.

3.3. Lấy ý kiến nhận xét, đánh giá của cấp ủy đảng cơ quan, tổ chức, đơn vị nơi công chức, viên chức công tác.

3.4. Cơ quan tham mưu về tổ chức, cán bộ có trách nhiệm tổng hợp tài liệu, kiểm tra xác minh số điểm theo thang điểm quy định và lập phiếu điểm đánh giá (đối với công chức, viên chức giữ chức vụ lãnh đạo, quản lý)

3.5. Cấp có thẩm quyền quyết định xếp loại chất lượng đối với công chức, viên chức.

3.6. Cấp có thẩm quyền đánh giá công chức, viên chức thông báo bằng văn bản cho công chức, viên chức và thông báo công khai về kết quả xếp loại chất lượng; quyết định hình thức công khai trong cơ quan, tổ chức, đơn vị nơi công chức, viên chức công tác, trong đó ưu tiên áp dụng hình thức công khai trên môi trường điện tử.

4. Giải quyết kiến nghị

Sau khi nhận được thông báo kết quả đánh giá, xếp loại chất lượng, trường hợp công chức, viên chức không nhất trí với kết luận đánh giá, xếp loại chất lượng thì có quyền kiến nghị. Việc giải quyết kiến nghị do người có thẩm quyền đánh giá, xếp loại giải quyết.

5. Sử dụng kết quả theo dõi, đánh giá, xếp loại chất lượng công chức, viên chức

Cơ quan quản lý và cơ quan sử dụng công chức, viên chức trong phạm vi thẩm quyền, sử dụng kết quả theo dõi, đánh giá, xếp loại công chức, viên chức như sau:

5.1. Kết quả theo dõi, đánh giá công chức, viên chức hằng tháng, hằng quý được sử dụng để:

a) Xử lý theo thẩm quyền hoặc báo cáo cấp có thẩm quyền xem xét, xử lý những vướng mắc, bất cập trong tổ chức, hoạt động của cơ quan, tổ chức, đơn vị.

b) Phát hiện, khắc phục kịp thời những tồn tại, hạn chế trong quá trình thực hiện nhiệm vụ của công chức, viên chức.

c) Đề xuất biện pháp nâng cao chất lượng thực thi công vụ của công chức, viên chức.

5.2. Kết quả theo dõi, đánh giá công chức, viên chức 06 tháng được sử dụng để:

a) Đánh giá mức độ chấp hành, thực hiện nhiệm vụ, công vụ; việc khắc phục những vấn đề phát sinh trong tháng, quý.

b) Rà soát việc phân công, giao việc và việc tổ chức thực hiện nhiệm vụ trong đơn vị.

c) Xem xét bố trí, thay đổi vị trí việc làm phù hợp với năng lực của công chức, viên chức.

d) Được dùng làm căn cứ xác định tiền thu nhập tăng thêm, tiền thưởng từ quỹ tiền thưởng hằng năm (10% quỹ tiền lương của cơ quan, tổ chức, đơn vị).

5.3. Kết quả xếp loại chất lượng công chức, viên chức hằng năm được sử dụng để:

a) Đề ra các nhiệm vụ, giải pháp phát huy ưu điểm, khắc phục hạn chế, khuyết điểm để củng cố, nâng cao năng lực lãnh đạo, chỉ đạo của tập thể lãnh đạo, quản lý của các cơ quan, tổ chức, đơn vị.

b) Bố trí, sử dụng, đào tạo, bồi dưỡng, quy hoạch, bổ nhiệm, miễn nhiệm, điều động, luân chuyển, biệt phái, thi đua, khen thưởng, kỷ luật, đánh giá và xếp loại chất lượng đảng viên, thực hiện các chính sách khác đối với công chức, viên chức.

c) Xem xét bố trí vào vị trí việc làm cao hơn nếu có vị trí phù hợp với chuyên môn, nghiệp vụ và đáp ứng được yêu cầu của vị trí việc làm đó.

d) Xem xét bố trí vào vị trí việc làm thấp hơn hoặc cho thôi việc đối với trường hợp được xếp loại chất lượng ở mức không hoàn thành nhiệm vụ hoặc không đáp ứng yêu cầu nhiệm vụ.

đ) Được dùng làm căn cứ xác định tiền thu nhập tăng thêm, tiền thưởng từ quỹ tiền thưởng hằng năm (10% quỹ tiền lương của cơ quan, tổ chức, đơn vị).

6. Lưu giữ tài liệu xếp loại chất lượng công chức, viên chức

Tài liệu kết quả đánh giá, xếp loại chất lượng được được lưu giữ bằng hình thức điện tử, bao gồm:

6.1. Phiếu theo dõi, đánh giá công chức, viên chức theo tháng;

6.2. Phiếu xếp loại chất lượng công chức, viên chức hằng năm;

6.3. Nhận xét của cấp ủy nơi công tác (nếu có);

6.4. Hồ sơ giải quyết kiến nghị về kết quả theo dõi, đánh giá, xếp loại chất lượng công chức, viên chức (nếu có);

6.5. Các văn bản khác liên quan (nếu có).

Ngoài việc lưu giữ bằng hình thức điện tử, tài liệu quy định tại khoản 6.2 còn được lưu bằng văn bản trong hồ sơ công chức, viên chức./.

 

Mẫu số 10

TÊN ĐƠN VỊ
PHÒNG/BAN...

 

 

PHIẾU XẾP LOẠI CHẤT LƯỢNG VIÊN CHỨC

Năm ...

Họ và tên: ...................

Chức vụ, chức danh: ..................

Đơn vị công tác: ...................

I. TỔNG HỢP KẾT QUẢ THEO DÕI, ĐÁNH GIÁ

Tháng

Tổng điểm theo dõi, đánh giá

Ghi chú

1

 

 

2

 

 

3

 

 

4

 

 

5

 

 

6

 

 

7

 

 

8

 

 

9

 

 

10

 

 

11

 

 

12

 

 

Tổng điểm

trung bình cả năm

 

 

II. VIÊN CHỨC TỰ ĐÁNH GIÁ, XẾP LOẠI CHẤT LƯỢNG

□ Hoàn thành xuất sắc nhiệm vụ

□ Hoàn thành tốt nhiệm vụ

□ Hoàn thành nhiệm vụ

□ Không hoàn thành nhiệm vụ

III. KẾT QUẢ XẾP LOẠI CHẤT LƯỢNG CỦA CẤP CÓ THẨM QUYỀN

□ Hoàn thành xuất sắc nhiệm vụ

□ Hoàn thành tốt nhiệm vụ

□ Hoàn thành nhiệm vụ

□ Không hoàn thành nhiệm vụ

IV. ĐỀ XUẤT PHƯƠNG ÁN XỬ LÝ:

.....................................................................................................................................

.....................................................................................................................................

 

......., ngày ... tháng ... năm ...
 
VIÊN CHỨC TỰ ĐÁNH GIÁ

......., ngày ... tháng ... năm ...
CẤP CÓ THẨM QUYỀN
THEO DÕI, ĐÁNH GIÁ

 

 

 

 

 

 

 

[1] KPI (Key Performance Indicator) là chỉ số đánh giá mức độ hoàn thành nhiệm vụ của công chức, viên chức được xác định dựa trên sản phẩm/công việc hoặc định mức sản phẩm/công việc gắn với vị trí việc làm, phản ánh hiệu quả thực hiện nhiệm vụ theo số lượng, chất lượng và tiến độ.

[2] Chia theo từng nhóm đối tượng: Thủ trưởng cơ quan, đơn vị; Cấp phó của người đứng đầu cơ quan, đơn vị; Trưởng phòng và tương đương; Phó Trưởng phòng và tương đương; Công chức, viên chức không giữ chức vụ lãnh đạo, quản lý.

[1] Theo dõi, đánh giá công chức, viên chức là việc cấp có thẩm quyền ghi nhận, xác nhận và chấm điểm kết quả thực hiện nhiệm vụ và tiêu chí chung của công chức, viên chức một cách thường xuyên, liên tục theo từng tháng.

Bạn chưa Đăng nhập thành viên.

Đây là tiện ích dành cho tài khoản thành viên. Vui lòng Đăng nhập để xem chi tiết. Nếu chưa có tài khoản, vui lòng Đăng ký tại đây!

Công văn 4640/BVHTTDL-TCCB của Bộ Văn hóa, Thể thao và Du lịch về việc hướng dẫn Bộ tiêu chí và đánh giá, xếp loại chất lượng công chức, viên chức trong các cơ quan, tổ chức hành chính, đơn vị sự nghiệp công lập thuộc Bộ Văn hóa, Thể thao và Du lịch

Bạn chưa Đăng nhập thành viên.

Đây là tiện ích dành cho tài khoản thành viên. Vui lòng Đăng nhập để xem chi tiết. Nếu chưa có tài khoản, vui lòng Đăng ký tại đây!

* Lưu ý: Để đọc được văn bản tải trên Luatvietnam.vn, bạn cần cài phần mềm đọc file DOC, DOCX và phần mềm đọc file PDF.

văn bản cùng lĩnh vực

văn bản mới nhất

CHÍNH SÁCH BẢO VỆ DỮ LIỆU CÁ NHÂN
Yêu cầu hỗ trợYêu cầu hỗ trợ
Chú thích màu chỉ dẫn
Chú thích màu chỉ dẫn:
Các nội dung của VB này được VB khác thay đổi, hướng dẫn sẽ được làm nổi bật bằng các màu sắc:
Sửa đổi, bổ sung, đính chính
Thay thế
Hướng dẫn
Bãi bỏ
Bãi bỏ cụm từ
Bình luận
Click vào nội dung được bôi màu để xem chi tiết.
×