- Tổng quan
- Nội dung
- Tiêu chuẩn liên quan
- Lược đồ
- Tải về
Tiêu chuẩn quốc gia TCVN 13959-5:2024 Kính xây dựng - Xác định độ bền uốn - Phần 5: Thử nghiệm bằng vòng kép đồng trục
| Số hiệu: | TCVN 13959-5:2024 | Loại văn bản: | Tiêu chuẩn Việt Nam |
| Cơ quan ban hành: | Bộ Khoa học và Công nghệ | Lĩnh vực: | Xây dựng |
| Trích yếu: | BS EN 1288-5:2000 Kính xây dựng - Xác định độ bền uốn - Phần 5: Thử nghiệm bằng vòng kép đồng trục đối với các mẫu kính phẳng có diện tích bề mặt thử nhỏ | ||
|
Ngày ban hành:
Ngày ban hành là ngày, tháng, năm văn bản được thông qua hoặc ký ban hành.
|
2024 |
Hiệu lực:
|
Đã biết
|
| Người ký: | Đang cập nhật |
Tình trạng hiệu lực:
Cho biết trạng thái hiệu lực của văn bản đang tra cứu: Chưa áp dụng, Còn hiệu lực, Hết hiệu lực, Hết hiệu lực 1 phần; Đã sửa đổi, Đính chính hay Không còn phù hợp,...
|
Đã biết
|
TÓM TẮT TIÊU CHUẨN VIỆT NAM TCVN 13959-5:2024
Nội dung tóm tắt đang được cập nhật, Quý khách vui lòng quay lại sau!
Tải tiêu chuẩn Việt Nam TCVN 13959-5:2024
TIÊU CHUẨN QUỐC GIA
TCVN 13959-5:2024
BS EN 1288-5:2000
KÍNH XÂY DỰNG - XÁC ĐỊNH ĐỘ BỀN UỐN. PHẦN 5: THỬ NGHIỆM BẰNG VÒNG KÉP ĐỒNG TRỤC ĐỐI VỚI CÁC MẪU KÍNH PHẲNG CÓ DIỆN TÍCH BỀ MẶT THỬ NHỎ
Glass in building - Determination of the bending strength. Part 5: Coaxial double ring test on flat specimens with small test surface areas
Lời nói đầu
TCVN 13959-5:2024 được xây dựng trên cơ sở tham khảo BS EN 1288-5:2000.
TCVN 13959-5:2024 do Hiệp hội Kính và Thủy tinh Việt Nam biên soạn. Bộ Xây dựng đề nghị. Tổng cục Tiêu chuẩn Đo lường Chất lượng thẩm định. Bộ Khoa học và Công nghệ công bố.
Bộ Tiêu chuẩn TCVN 13959:2024 Kính xây dựng - Xác định độ bền uốn bao gồm năm phần:
- Phần 1: Nguyên lý thử nghiệm kính
- Phần 2: Thử nghiệm bằng vòng kép đồng trục đối với các mẫu kính phẳng có diện tích bề mặt thử lớn
- Phần 3: Thử nghiệm mẫu được đỡ trên hai điểm (uốn bốn điểm)
- Phần 4: Thử nghiệm kính hình lòng máng
- Phần 5: Thử nghiệm bằng vòng kép đồng trục đối với các mẫu kính phẳng có diện tích bề mặt thử nhỏ
KÍNH XÂY DỰNG - XÁC ĐỊNH ĐỘ BỀN UỐN. PHẦN 5: THỬ NGHIỆM BẰNG VÒNG KÉP ĐỒNG TRỤC ĐỐI VỚI CÁC MẪU KÍNH PHẲNG CÓ DIỆN TÍCH BỀ MẶT THỬ NHỎ
Glass in building - Determination of the bending strength. Part 5: Coaxial double ring test on flat specimens with small test surface areas
1 Phạm vi áp dụng
Tiêu chuẩn này quy định phương pháp xác định độ bền uốn tương đối của kính xây dựng, không tính đến ảnh hưởng của các cạnh.
CHÚ THÍCH: Xem 5.1.4 trong TCVN 13959-1, giải thích lý do phương pháp thử này chỉ dùng để so sánh độ bền của các loại kính, không dùng cho đánh giá độ bền với mục đích thiết kế.
Giới hạn của tiêu chuẩn này được nêu trong TCVN 13959-1.
Tiêu chuẩn này cần phải được đọc kèm theo với TCVN 13959-1.
Phương pháp này không áp dụng cho kính cán.
2 Tài liệu viện dẫn
Các tài liệu viện dẫn sau rất cần thiết cho việc áp dụng tiêu chuẩn này. Đối với các tài liệu viện dẫn ghi năm công bố thì áp dụng phiên bản được nêu. Đối với tài liệu viện dẫn không ghi năm công bố thì áp dụng phiên bản mới nhất, bao gồm cả các sửa đổi, bổ sung (nếu có).
TCVN 9810 (ISO 48) Cao su lưu hóa hoặc nhiệt dẻo - Xác định độ cứng (Độ cứng từ 10 IRHD đến 100 IRHD)
TCVN 13959-1 Kính xây dựng - Xác định độ bền uốn - Phần 1: Quy định chung
EN 572-1 Glass in building - Basic soda lime silicate glass products - Part 1: Definitions and general physical and mechanical properties (Kính xây dựng - Sản phẩm kính soda-đá vôi-silicat cơ bản - Phần 1: Định nghĩa và tính chất cơ lý chung)
3 Thuật ngữ và định nghĩa
Trong tiêu chuẩn này sử dụng các thuật ngữ và định nghĩa sau:
3.1
Ứng suất uốn (bending stress)
Ứng suất uốn kéo sinh ra trong bề mặt mẫu thử
CHÚ THÍCH: Để thử nghiệm, ứng suất uốn phải đồng đều trên phần bề mặt được xác định.
4 Các ký hiệu
| F | Lực |
| Fmax | Lực lúc vỡ, "lực vỡ" |
| h | Chiều dày của mẫu |
| L | Chiều dài cạnh của mẫu vuông |
| K1, K2 | Hệ số để tính ứng suất uốn |
| r1 | Bán kính vòng tải trọng |
| r2 | Bán kính vòng đỡ |
| r3 | Bán kính của mẫu tròn |
| r3m | Bán kính mẫu trung bình (để đánh giá) |
| t | Thời gian |
| σ | Ứng suất |
| σbB | Độ bền uốn |
| μ | Hệ số Poisson của mẫu |
| CHÚ THÍCH: Đối với kính soda-đá vôi-silicat (xem EN 572-1) hệ số Poisson bằng 0,23. | |
| ΔF/Δt | Tốc độ tăng tải trọng |
| Δσ/Δt | Tốc độ tăng ứng suất |
5 Nguyên tắc của phương pháp thử
Mẫu hình tròn bán kính r3 hoặc hình vuông song phẳng chiều dài cạnh L, được đặt trên vòng đỡ bán kính r2 và được gia tải bởi vòng tải trọng bán kính r1, được lắp đồng trục với vòng đỡ (xem Hình 1).

CHÚ DẪN :
1) Vòng tải trọng
2) Mẫu
3) Vòng đỡ
Hình 1 - Cách lắp đặt đối với mẫu hình tròn
Phía ngoài vòng tải trọng, các ứng suất hướng tâm và tiếp tuyến trong mẫu giảm về phía các cạnh nên khó vỡ.
Khi tải trọng F nhỏ (tùy thuộc vào các giá trị của r1( r2, r3 và h) ở phần giữa của bề mặt bị uốn lồi của mẫu xuất hiện một trường ứng suất kéo đồng đều theo mọi hướng trong phạm vi vòng tải trọng.
Khi tăng tải trọng F, ứng suất kẻo tăng ở giữa mẫu với tốc độ không đổi cho đến khi mẫu vỡ.
Độ bền uốn σbB được tính toán từ Fmax đo được khi mẫu vỡ và chiều dày mẫu h, có tính đến kích thước mẫu và hệ số Poisson μ của mẫu.
6 Thiết bị
6.1 Máy thử
Thử nghiệm uốn được tiến hành trên máy với các đặc tính sau :
a) Việc gia tải được tiến hành từ 0 đến giá trị cực đại một cách đều liên tục.
b) Thiết bị gia tải phải đáp ứng với tốc độ gia tải đã định.
c) Máy thử phải kèm theo thiết bị đo tải trọng với sai số ± 2,0 % trong phạm vi đo.
6.2 Thiết bị gia tải
Thiết bị gia tải được lắp như Hình 2, với các kích thước phù hợp với Bảng 1 đối với hai bộ vòng tải trọng và vòng đỡ được quy định cho phương pháp thử này. Tỷ lệ bán kính r1:r2 là 1:5.
Bảng 1 - Các kích thước vòng tải trọng và vòng đỡ
| Thiết bị gia tải | Bán kính vòng tải trọng r1 mm | Bán kính vòng đỡ r2 mm | Bán kính r3 hoặc L/2 của mẫu mm |
| R45 | 9 | 45 | 50 |
| R30 | 6 | 30 | 33 |
Bán kính cong của bề mặt đỡ của vòng đỡ là 2,5 mm.
Băng cao su Silicon dày 3 mm hoặc băng cao su dày 3mm khớp với vòng đỡ, với độ cứng 40 ± 10 IRHD (theo ISO 48)
Bán kính cong của bề mặt ép của vòng tải trọng là 2,5 mm.

Tiết diện ngang

CHÚ DẪN:
1) Mẫu
2) Tấm thép đỡ có lắp vòng đỡ
3) Cao su silicon
4) Vòng tải trọng bằng thép
5) Bộ phận truyền lực có thể chỉnh tâm cho vòng tải trọng
6) Giấy hoặc vải tổng hợp dày 0,1 mm
7) Kẹp chỉnh tâm cho mẫu
8) Đường tròn tiếp xúc của vòng tải trọng
Hình 2 - Thiết bị tải trọng
6.3 Dụng cụ đo
Cần các dụng cụ đo :
• Dụng cụ đo đường kính hoặc chiều dài cạnh của mẫu, độ chính xác milimet.
• Dụng cụ đo chiều dày mẫu, độ chính xác 0,01 mm.
7 Mẫu thử
7.1 Hình dáng và kích thước mẫu
Xem Bảng 2 và Bảng 3.
Bảng 2 - Kích thước mẫu
| Thiết bị gia tải | Đường kính (= 2 r3) hoặc chiều dài L mm | Chiều dày h | |
| Tối thiểu mm | Tối đa mm | ||
| R 45 | 100 ± 2 | Xem Bảng 3 | 9 |
| R 30 | 66 ± 2 | Xem Bảng 3 | 6 |
| CHÚ THÍCH: Trong phạm vi các giới hạn của Bảng 2 và Bảng 3, thường lựa chọn thiết bị R45 | |||
Bảng 3 - Chiều dày tối thiểu của mâu theo độ bền uốn
| Độ bền uốn σbB MPa | Chiều dày tối thiểu của mâu đối với thiết bị tải trọng mm | |
| R45 | R30 | |
| σbB ≤ 100 | 2,0 | 1,0 |
| 100 < σbB ≤ 200 | 2,5 | 1,5 |
| 200 < σbB ≤ 300 | 3,0 | 2,0 |
| 300 < σbB ≤ 400 | 3,5 | 2,5 |
| 400 < σbB ≤ 500 | 3,5 | 2,5 |
| 500 < σbB ≤ 600 | 4,0 | 3,0 |
| CHÚ THÍCH: Trong phạm vi các giới hạn của Bảng 2 và Bảng 3, thường lựa chọn thiết bị R45 | ||
Trong trường hợp không thể ước tính được giá trị của độ bền uốn, sẽ lấy các giá trị ở dòng cuối của Bảng 3 (σbB ≤ 600 MPa) cho chiều dày tối thiểu của mẫu. Sau khi đánh giá những lần thử đầu tiên sẽ tính toán chiều dày tối thiểu thích hợp của mẫu từ Bảng 3.
Dung sai quy định cho phần mẫu nằm trong đường tròn của vòng đỡ là :
• Dung sai độ phẳng là 0,1 mm;
• Dung sai độ song song là 2 % chiều dày mẫu.
7.2 Lấy mẫu và chuẩn bị mẫu
7.2.1 Cắt và xử lý mẫu
Cần lưu ý bề mặt thử nghiệm, là bề mặt chịu ứng suất kéo, một cách tốt nhất. Bề mặt thử nghiệm của mẫu phải được tránh tiếp xúc với các dụng cụ, hạt mài, vụn kính ... và không hư hại trong quá trình lưu kho.
CHÚ THÍCH 1: Bề mặt mẫu được dán lớp bảo vệ trong quá trình gia công.
CHÚ THÍCH 2: Không quy định phương pháp cắt và không cần gia công cạnh.
7.2.2 Ổn định mẫu
Lớp bảo vệ được bóc ra trước khi thử 24 h (xem TCVN 13959-1). Mẫu được giữ trong môi trường thử ít nhất 4 h trước khi thử (xem 8.1 và 8.2).
7.2.3 Kiểm tra
Bề mặt mẫu phải được kiểm tra xem có các khuyết tật không đại diện cho chất lượng của sản phẩm.
7.2.4 Phim dán
Phim được dán trên bề mặt tiếp xúc với vòng tải trọng để tránh văng mảnh vỡ, đồng thời giúp định vị điểm gốc của vết nứt và đo độ dày mẫu.
7.3 Số lượng mẫu
Số lượng mẫu được xác định tùy thuộc vào mức độ tin cậy yêu cầu, đặc biệt khi cần xác định các điểm cực biên của phân bố độ bền (xem TCVN 13959-1 để bàn bạc về số lượng mẫu).
8 Cách tiến hành
8.1 Nhiệt độ
Thử nghiệm được tiến hành ở nhiệt độ (23 ± 5) °C. Trong quá trình thử nhiệt độ của mẫu giữ không đối với sai số 1°C để tránh xuất hiện ứng suất nhiệt.
8.2 Độ ẩm
Thử nghiệm được tiến hành ở độ ẩm tương đối từ 40% đến 70%.
8.3 Đo chiều dày
Để tránh làm hư hại bề mặt do dụng cụ đo, chiều dày mẫu được đo ở 4 điểm trên cạnh của mẫu, sau đó lấy trung bình cộng.
8.4 Tấm đế
Tấm đế được chỉnh tâm bằng cách di chuyển côn truyền lực (khi chưa có vòng tải trọng và mẫu) xuống côn điều chỉnh (xem Hình 2). Tấm để được cố định ở vị trí này. Tiến hành làm sạch vòng đỡ.
8.5 Định vị mẫu
Tấm đệm cao su Silicon được đặt giữa mẫu và tấm đế sao cho tại mỗi điểm phải chờm ra ngoài ít nhất 5 mm. Mẫu được đặt với bề mặt thử hướng xuống dưới. Vòng tải trọng đã được lau sạch được hạ xuống mặt trên của mẫu và được chỉnh tâm. Đặt một tấm giấy hoặc vải sợi tổng hợp giữa vòng tải và mẫu (xem Hình 2).
8.6 Tải trọng tác dụng
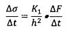
Tải trọng F tăng sao cho ứng suất uốn ở giữa mẫu tăng với tốc độ (2 ± 0,4) MPa.s cho đến khi mẫu vỡ.
Để tính toán tốc độ tăng ứng suất uốn dùng phương trình (1) đối với mẫu tròn và phương trình (2) đối với mẫu vuông:
|
| (1) |
|
| (2) |
CHÚ THÍCH: Các giá trị K1 và K2 phụ thuộc vào hệ số Poisson của mẫu. Đối với kính soda-đá vôi-silicat, K1 = 1,09 và K2 = 1,04 (xem TCVN 13959-1).
Tải trọng tối đa Fmax được thể hiện trên thiết bị đo tải trọng của máy thử.
8.7 Vị trí điểm gốc của nứt vỡ
Vị trí điểm nứt vỡ được xác định qua các mảnh vỡ. Vị trí này được xác định nằm trong hay nằm ngoài đường tròn tiếp xúc của vòng tải trọng đối với từng mẫu.
CHÚ THÍCH: Sau khi mẫu vỡ tiếp tục đo chiều dày các mành vỡ ở trung tâm mẫu, trong đường tròn tiếp xúc của vòng tải trọng, gần điểm gốc nứt vỡ.
8.8 Đánh giá về ứng suất dư
Nếu các mẫu được coi là không có các ứng suất dư (kính đã qua quá trình ủ), thì phải kiểm tra điều kiện này bằng phép quang - đàn hồi đối với kính trong, trên mẫu thử hoặc mảnh. Các mẫu không có ứng suất dư được đặt giữa các bộ lọc phân cực đối cực không được xuất hiện sự thay đổi độ sáng khi nhìn qua mặt cắt ngang trên một độ dài quang trình (OPL) là 5 mm.
9 Đánh giá kết quả
9.1 Phạm vi đánh giá
Chỉ đánh giá các mẫu có điểm gốc nứt vỡ nằm trong phạm vi bề mặt giới hạn bởi vòng tải trọng.
9.2 Tính độ bền uốn
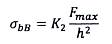
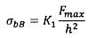
Độ bền uốn liên quan đến tải trọng tối đa Fmax được tính theo phương trình (3) đối với mẫu hình tròn và phương trình (4) đối với mẫu hình vuông:
|
| (3) |
|
| (4) |
CHÚ THÍCH: Các hằng số K1 và K2 được áp dụng cho cả thiết bị gia tải R45 và R30
10 Báo cáo thử nghiệm
Báo cáo thử nghiệm bao gồm các thông tin sau đây:
a) Loại và tên sản phẩm kính;
b) Điều kiện bề mặt và quá trình tiền xử lý của bề mặt mẫu thử, bao gồm cả các bước xử lý;
c) Ứng suất dư của mẫu, bản chất và mức dư ứng suất nếu có thể;
d) Hình dạng mẫu (tròn hay vuông);
e) Loại thiết bị gia tải (R45 hay R30);
f) Số lượng mẫu ;
g) Các thông tin của từng mẫu:
1) Chiều dày h (mm), làm tròn đến 0,05 mm;
2) Độ bền uốn σbB (MPa), chính xác đến 0,1 MPa của từng mẫu vỡ theo 9.1;
3) Thời gian đến thời điểm vỡ, độ chính xác 1 s;
Không cần tính giá trị trung bình của các kết quả đo;
h) Số mẫu không bị vỡ theo 9.1;
i) Các sai lệch so với tiêu chuẩn này có thể ảnh hưởng đến kết quả thí nghiệm.
Mục lục
Lời nói đầu
1 Phạm vi ứng dụng
2 Tài liệu viện dẫn
3 Thuật ngữ và định nghĩa
4 Các ký hiệu
5 Nguyên lý của phương pháp thử
6 Thiết bị
7 Mẫu thử
8 Quy trình thử
9 Đánh giá kết quả
10 Báo cáo kết quả
Bạn chưa Đăng nhập thành viên.
Đây là tiện ích dành cho tài khoản thành viên. Vui lòng Đăng nhập để xem chi tiết. Nếu chưa có tài khoản, vui lòng Đăng ký tại đây!