- Tổng quan
- Nội dung
- VB gốc
- Tiếng Anh
- Hiệu lực
- VB liên quan
- Lược đồ
-
Nội dung hợp nhất
Tính năng này chỉ có tại LuatVietnam.vn. Nội dung hợp nhất tổng hợp lại tất cả các quy định còn hiệu lực của văn bản gốc và các văn bản sửa đổi, bổ sung, đính chính... trên một trang. Việc hợp nhất văn bản gốc và những văn bản, Thông tư, Nghị định hướng dẫn khác không làm thay đổi thứ tự điều khoản, nội dung.
Khách hàng chỉ cần xem Nội dung hợp nhất là có thể nắm bắt toàn bộ quy định hiện hành đang áp dụng, cho dù văn bản gốc đã qua nhiều lần chỉnh sửa, bổ sung.
- Tải về
Thông tư 14/2019/TT-BXD hướng dẫn xác định và quản lý chỉ số giá xây dựng
| Cơ quan ban hành: | Bộ Xây dựng |
Số công báo:
Số công báo là mã số ấn phẩm được đăng chính thức trên ấn phẩm thông tin của Nhà nước. Mã số này do Chính phủ thống nhất quản lý.
|
Đã biết
|
| Số hiệu: | 14/2019/TT-BXD | Ngày đăng công báo: |
Đã biết
|
| Loại văn bản: | Thông tư | Người ký: | Bùi Phạm Khánh |
|
Ngày ban hành:
Ngày ban hành là ngày, tháng, năm văn bản được thông qua hoặc ký ban hành.
|
26/12/2019 |
Ngày hết hiệu lực:
Ngày hết hiệu lực là ngày, tháng, năm văn bản chính thức không còn hiệu lực (áp dụng).
|
Đã biết
|
|
Áp dụng:
Ngày áp dụng là ngày, tháng, năm văn bản chính thức có hiệu lực (áp dụng).
|
Đã biết
|
Tình trạng hiệu lực:
Cho biết trạng thái hiệu lực của văn bản đang tra cứu: Chưa áp dụng, Còn hiệu lực, Hết hiệu lực, Hết hiệu lực 1 phần; Đã sửa đổi, Đính chính hay Không còn phù hợp,...
|
Đã biết
|
| Lĩnh vực: | Xây dựng |
TÓM TẮT THÔNG TƯ 14/2019/TT-BXD
Ngày 26/12/2019, Bộ Xây dựng ban hành Thông tư 14/2019/TT-BXD về việc hướng dẫn xác định và quản lý chỉ số giá xây dựng.
Theo đó, chỉ số giá xây dựng được xác định và quản lý dựa trên các nguyên tắc: Chỉ số giá xây dựng phải phản ánh khách quan và phù hợp với sự biến động về giá cả trên thị trường xây dựng tại các địa phương; Việc xác định và công bố chỉ số giá xây dựng phải kịp thời, phù hợp với sự biến động về giá cả trên thị trường xây dựng tại các địa phương… Ngoài ra, khi xác định chỉ số giá xây dựng để công bố thì phải lựa chọn được danh mục và số lượng công trình đại diện nhất định để tính toán.
Đối với chỉ số giá xây dựng xác định cho loại công trình thì phải lựa chọn các công trình đại diện cho loại công trình đó. Số lượng công trình đại diện được xác định tùy theo điều kiện của từng địa phương nhưng tối thiểu là 03 công trình. Trường hợp xây dựng chỉ số giá cho một công trình cụ thể thì công trình đó được coi là công trình đại diện.
Thông tư có hiệu lực từ ngày 15/02/2020.
Xem chi tiết Thông tư 14/2019/TT-BXD có hiệu lực kể từ ngày 15/02/2020
Tải Thông tư 14/2019/TT-BXD
|
BỘ XÂY DỰNG -------- Số: 14/2019/TT-BXD
|
CỘNG HOÀ XÃ HỘI CHỦ NGHĨA VIỆT NAM ----------- Hà Nội, ngày 26 tháng 12 năm 2019 |
THÔNG TƯ
Hướng dẫn xác định và quản lý chỉ số giá xây dựng
------------------
Căn cứ Nghị định số 81/2017/NĐ-CP ngày 17 tháng 7 năm 2017 của Chính phủ quy định chức năng, nhiệm vụ, quyền hạn và cơ cấu tổ chức của Bộ Xây dựng;
Căn cứ Nghị định số 68/2019/NĐ-CP ngày 14 tháng 8 năm 2019 của Chính phủ về quản lý chi phí đầu tư xây dựng;
Theo đề nghị của Viện trưởng Viện Kinh tế xây dựng và Cục trưởng Cục Kinh tế xây dựng;
Bộ trưởng Bộ Xây dựng ban hành Thông tư hướng dẫn việc xác định và quản lý chỉ số giá xây dựng.
Chương I
QUY ĐỊNH CHUNG
Điều 1. Phạm vi điều chỉnh và đối tượng áp dụng
1. Phạm vi điều chỉnh: Thông tư này hướng dẫn việc xác định và quản lý chỉ số giá xây dựng để xác định, điều chỉnh tổng mức đầu tư, dự toán xây dựng công trình, giá gói thầu xây dựng, giá hợp đồng xây dựng, quy đổi vốn đầu tư xây dựng và quản lý chi phí đầu tư xây dựng.
2. Đối tượng áp dụng:
a) Các cơ quan, tổ chức, cá nhân có liên quan đến xác định và quản lý chỉ số giá xây dựng của các dự án đầu tư xây dựng sử dụng vốn ngân sách nhà nước, vốn nhà nước ngoài ngân sách và dự án đầu tư xây dựng theo hình thức đối tác công tư (PPP).
b) Các tổ chức, cá nhân có thể áp dụng các quy định của Thông tư này để xác định và quản lý chỉ số giá xây dựng của các dự án sử dụng vốn khác.
Điều 2. Phân loại chỉ số giá xây dựng
1. Chỉ số giá xây dựng gồm:
a) Chỉ số giá xây dựng theo loại công trình là chỉ tiêu phản ánh mức độ biến động giá xây dựng của loại công trình theo thời gian.
b) Chỉ số giá xây dựng theo cơ cấu chi phí gồm: chỉ số giá phần xây dựng là chỉ tiêu phản ánh mức độ biến động của phần chi phí xây dựng của công trình theo thời gian; chỉ số giá phần thiết bị là chỉ tiêu phản ánh mức độ biến động của phần chi phí thiết bị của công trình theo thời gian; chỉ số giá phần chi phí khác là chỉ tiêu phản ánh mức độ biến động của một số loại chi phí như quản lý dự án, tư vấn đầu tư xây dựng công trình và chi phí khác của công trình theo thời gian.
c) Chỉ số giá xây dựng theo yếu tố chi phí gồm: chỉ số giá vật liệu xây dựng công trình là chỉ tiêu phản ánh mức độ biến động chi phí phần vật liệu xây dựng của công trình theo thời gian; chỉ số giá nhân công xây dựng công trình là chỉ tiêu phản ánh mức độ biến động chi phí phân nhân công xây dựng của công trình theo thời gian; chỉ số giá máy và thiết bị thi công xây dựng công trình là chỉ tiêu phản ánh mức độ biến động chi phí máy và thiết bị thi công xây dựng của công trình theo thời gian.
d) Chỉ số giá xây dựng theo loại vật liệu xây dựng chủ yếu là chỉ tiêu phản ánh biến động giá của loại vật liệu xây dựng chủ yếu theo thời gian.
2. Đối với công trình xây dựng cụ thể, việc tính toán toàn bộ hay một số các chỉ số giá nêu tại khoản 1 Điều này tùy thuộc mục đích, yếu cầu của công tác quản lý chi phí đầu tư xây dựng công trình.
Điều 3. Nguyên tắc xác định và quản lý chỉ số giá xây dựng
1. Chỉ số giá xây dựng được xác định phải phản ánh khách quan và phù hợp với sự biến động về giá cả trên thị trường xây dựng tại các địa phương.
2. Việc xác định và công bố chỉ số giá xây dựng phải kịp thời, phù hợp với quy định về quản lý chi phí đầu tư xây dựng công trình.
3. Khi xác định chỉ số giá xây dựng để công bố thì phải lựa chọn được danh mục và số lượng công trình đại diện nhất định để tính toán.
4. Chỉ số giá xây dựng được tính bình quân trong khoảng thời gian được lựa chọn, không tính đến một số khoản chi phí về bồi thường, hỗ trợ và tái định cư, lãi vay trong thời gian xây dựng, vốn lưu động ban đầu cho sản xuất kinh doanh. Đơn vị tính chỉ số giá xây dựng là phần trăm (%).
5. Cơ cấu chi phí sử dụng để tính toán chỉ số giá xây dựng phải phù hợp với cơ cấu chi phí theo quy định về quản lý chi phí đầu tư xây dựng, được tổng hợp từ các số liệu thống kê và được sử dụng cố định đến khi có sự thay đổi thời điểm gốc.
6. Việc quản lý, sử dụng chỉ số giá xây dựng phải tuân thủ các quy định có liên quan đến quản lý chi phí đầu tư xây dựng.
7. Trong quá trình xác định chỉ số giá, cơ quan chuyên môn về xây dựng cần rà soát, đánh giá các chỉ số giá tính toán với thông tin về chỉ số giá của khu vực, địa phương lân cận đảm bảo các chỉ số phù hợp với xu hướng biến động của thị trường khu vực và không có sự khác biệt quá lớn giữa các địa phương.
Chương II
XÁC ĐỊNH CHỈ SỐ GIÁ XÂY DỰNG
Điều 4. Trình tự xác định chỉ số giá xây dựng
1. Xác định thời điểm tính toán gồm thời điểm gốc và thời điểm so sánh.
2. Lập danh mục chỉ số giá xây dựng cần xác định và lựa chọn các yếu tố đầu vào.
3. Thu thập, xử lý số liệu, dữ liệu tính toán.
4. Xác định chỉ số giá xây dựng.
Điều 5. Thời điểm xác định chỉ số giá xây dựng
1. Thời điểm xác định chỉ số giá xây dựng dựng để UBND cấp tỉnh công bố gồm:
a) Thời điểm gốc là năm 2020. Bộ Xây dựng quy định về thời điểm khi thay đổi thời điểm gốc để các địa phương điều chỉnh cho phù hợp.
b) Thời điểm so sánh là các tháng, quý và năm công bố chỉ số giá xây dựng so với thời điểm gốc.
2. Trường hợp xác định chỉ số giá xây dựng cho công trình cụ thể thì chủ đầu tư phải căn cứ vào tiến độ và các điều kiện thực hiện công việc để lựa chọn thời điểm gốc, thời điểm so sánh cho phù hợp.
Điều 6. Xác định danh mục các loại công trình, lựa chọn các yếu tố chi phí đầu vào
1. Việc lựa chọn số lượng và danh mục loại công trình theo loại hình công trình để công bố được căn cứ vào yếu cầu quản lý, các quy định về quản lý dự án, quản lý chi phí đầu tư xây dựng công trình, đặc điểm loại hình công trình trên địa bàn. UBND cấp tỉnh căn cứ Danh mục các loại công trình tại Phụ lục số 3 kèm theo Thông tư này để lựa chọn và xác định danh mục các loại công trình tính chỉ số giá xây dựng công bố cho địa phương.
2. Khi xác định chỉ số giá xây dựng cho loại công trình thì phải lựa chọn các công trình đại diện cho loại công trình đó, số lượng công trình đại diện cho loại công trình được xác định tùy thuộc điều kiện cụ thể của từng địa phương nhưng không ít hơn 3 công trình. Công trình đại diện là công trình được đầu tư phổ biến trong loại hình công trình được xây dựng tại địa phương.
3. Trường hợp xác định chỉ số giá xây dựng cho một công trình cụ thể thì công trình đó là công trình đại diện.
4. Các yếu tố chi phí đầu vào đại diện là các chi phí về loại vật liệu, nhân công, máy thi công xây dựng chủ yếu cho công trình hoặc loại công trình. Việc lựa chọn loại vật liệu, nhân công, máy thi công xây dựng chủ yếu để tính toán chỉ số giá xây dựng được xác định theo nguyên tắc chi phí cho loại vật liệu, nhân công, máy thi công xây dựng chủ yếu đó phải chiếm tỷ trọng lớn (tổng tỷ trọng trên 80%) trong chi phí về vật liệu, nhân công, máy thi công xây dựng tương ứng của công trình.
Điều 7. Thu thập và Xử lý số liệu, dữ liệu tính toán
1. Yếu cầu về thu thập số liệu, dữ liệu để xác định cơ cấu chi phí:
a) Số liệu về chi phí đầu tư xây dựng công trình như tổng mức đầu tư, dự toán xây dựng, quyết toán vốn đầu tư công trình hoàn thành (nếu có) đã được phê duyệt bao gồm chi tiết các khoản mục chi phí.
b) Các chế độ, chính sách, quy định về quản lý chi phí đầu tư xây dựng công trình, sử dụng lao động, vật tư, máy và thiết bị thi công và các chi phí khác có liên quan ở thời điểm tính toán.
2. Yếu cầu về thông tin giá thị trường của các yếu tố đầu vào:
a) Giá vật liệu xây dựng: Giá vật liệu xây dựng được xác định theo Thông tư hướng dẫn xác định và quản lý chi phí đầu tư xây dựng của Bộ Xây dựng. Danh mục vật liệu đưa vào tính chỉ số giá xây dựng phải được thống nhất về chủng loại, quy cách, nhãn mác. Đối với chỉ số giá xây dựng xác định cho công trình, giá vật liệu xây dựng được căn cứ theo công bố giá của địa phương. Trường hợp địa phương chưa công bố thì giá vật liệu xây dựng được thu thập trên thị trường nhưng phải đảm bảo phù hợp với khu vực xây dựng công trình, chủng loại, quy cách, nhãn mác vật liệu sử dụng cho công trình đó và các yếu cầu xác định giá vật liệu xây dựng theo Thông tư hướng dẫn xác định và quản lý chi phí đầu tư xây dựng của Bộ Xây dựng.
b) Giá nhân công xây dựng được xác định theo đơn giá nhân công xây dựng do UBND cấp tỉnh công bố. Trường hợp UBND cấp tỉnh chưa công bố thì căn cứ theo phương pháp xác định giá nhân công xây dựng do Bộ Xây dựng hướng dẫn để xác định.
c) Giá ca máy và thiết bị thi công xây dựng được xác định theo giá ca máy, giá thuê máy và thiết bị thi công do UBND cấp tỉnh công bố. Trường hợp UBND cấp tỉnh chưa công bố thì căn cứ theo phương pháp xác định giá ca máy và thiết bị thi công do Bộ Xây dựng hướng dẫn để xác định. Danh mục máy và thiết bị thi công đưa vào tính chỉ số giá xây dựng phải được thống nhất về chủng loại, công suất và xuất xứ.
3. Xử lý số liệu tính toán chỉ số giá xây dựng:
a) Đối với các số liệu, dữ liệu để xác định cơ cấu chi phí: Việc xử lý số liệu, dữ liệu thu thập được bao gồm các công việc rà soát, kiểm tra, hiệu chỉnh lại số liệu, dữ liệu và cơ cấu dự toán chi phí, số liệu về cơ cấu dự toán chi phí cần phải được quy đổi theo cơ cấu dự toán quy định tại thời điểm gốc. Các số liệu về tổng mức đầu tư, dự toán xây dựng công trình, quyết toán vốn đầu tư công trình hoàn thành (nếu có) phải được quy đổi về mặt bằng giá ở thời điểm gốc.
b) Đối với các thông tin về giá cả các yếu tố đầu vào: các số liệu, dữ liệu thu thập về giá cá các yếu tố đầu vào cần phải được kiểm tra, rà soát, hiệu chỉnh, cụ thể: Giá các loại vật liệu xây dựng đầu vào được kiểm tra về sự phù hợp của chủng loại, quy cách, nhãn mác. Giá các loại nhân công xây dựng đầu vào được kiểm tra về sự phù hợp với loại thợ, cấp bậc thợ thực hiện công việc. Giá ca máy của các loại máy và thiết bị thi công đầu vào được kiểm tra sự phù hợp về chủng loại, công suất, xuất xứ máy.
Điều 8. Phương pháp xác định chỉ số giá xây dựng
1. Chỉ số giá xây dựng được tính bằng phương pháp bình quân nhân gia quyền giữa mức độ biến động giá (chỉ số giá xây dựng) của các yếu tố đầu vào đại diện được chọn với quyền số tương ứng. Việc tính toán các chỉ số giá xây dựng được thực hiện theo hướng dẫn nêu tại Phụ lục số 1 kèm theo Thông tư này.
2. Căn cứ đặc điểm thị trường xây dựng của địa phương, UBND cấp tỉnh quyết định việc tính toán chỉ số giá xây dựng chung toàn tỉnh, thành phố hoặc tính toán chỉ số giá xây dựng cho từng khu vực thuộc địa bàn tỉnh, thành phố và tổng hợp lại để có chỉ số giá xây dựng chung. Việc phân chia khu vực để tính chỉ số giá xây dựng do các tỉnh, thành phố quyết định theo đặc điểm về địa giới hành chính và đặc điểm thị trường xây dựng tại địa phương hoặc theo quy định phân vùng mức lương tối thiểu vùng do Chính phủ quy định.
3. Chỉ số giá xây dựng vùng được tính bằng phương pháp bình quân nhân gia quyền giữa chỉ số giá xây dựng của từng tỉnh, thành phố trực thuộc trung ương trong vùng với quyền số tương ứng.
4. Chỉ số giá xây dựng quốc gia được tính bằng phương pháp bình quân nhân gia quyền giữa chỉ số giá xây dựng của từng vùng với quyền số tương ứng.
5. Chỉ số giá xây dựng cho công trình cụ thể được xác định trên cơ sở cơ cấu chi phí của công trình đó, giá cả (hoặc chỉ số giá) các yếu tố đầu vào phù hợp với điều kiện thực hiện công việc và khu vực xây dựng công trình.
6. Cơ cấu chi phí để xác định chỉ số giá làm cơ sở điều chỉnh giá hợp đồng được căn cứ theo cơ cấu giá trong hợp đồng. Trường hợp chưa đủ chi tiết để xác định cơ cấu chi phí theo giá trong hợp đồng thì xác định theo dự toán gói thầu hoặc dự toán công trình được duyệt.
Chương III
QUẢN LÝ CHỈ SỐ GIÁ XÂY DỰNG
Điều 9. Quản lý việc xác định chỉ số giá xây dựng
1. Bộ Xây dựng xác định chỉ số giá vùng (liên tỉnh), chỉ số giá quốc gia.
2. Ủy ban nhân dân cấp tỉnh giao cơ quan chuyên môn về xây dựng tổ chức xác định các loại chỉ số giá xây dựng quy định tại khoản 1 Điều 2 tại Thông tư này.
3. Việc xác định, thỏa thuận chỉ số giá xây dựng công trình chưa có trong danh mục do Bộ Xây dựng hoặc Ủy ban nhân dân cấp tỉnh công bố thực hiện theo quy định tại khoản 4 Điều 18 của Nghị định số 68/2019/NĐ-CP ngày 14/8/2019 của Chính phủ.
Điều 10. Ban hành, công bố chỉ số giá xây dựng
1. Thẩm quyền và tần suất ban hành, công bố chỉ số giá xây dựng:
a) Chỉ số giá xây dựng vùng, chỉ số giá xây dựng quốc gia do Bộ Xây dựng ban hành theo quý và năm theo bảng 1.1 của Phụ lục số 4 Thông tư này.
b) Các loại chỉ số giá xây dựng theo quy định tại khoản 1 Điều 2 Thông tư này do UBND cấp tỉnh công bố theo tháng, quý và năm theo các bảng 1.2, 1.3, 1.4 và 1.5 của Phụ lục 4 Thông tư này.
2. Thời điểm ban hành, công bố:
a) Đối với các chỉ số giá xây dựng được công bố theo tháng: việc công bố được thực hiện vào tuần thứ ba của tháng sau.
b) Đối với các chỉ số giá xây dựng được ban hành, công bố theo quý: việc công bố được thực hiện vào tuần thứ ba của tháng đầu quý sau.
c) Đối với các chỉ số giá xây dựng được ban hành, công bố theo năm: việc công bố được thực hiện vào tuần thứ ba của tháng đầu năm sau.
3. Ban hành, công bố chỉ số giá xây dựng:
a) Các chỉ số giá xây dựng do Bộ Xây dựng ban hành phải được công bố trên trang điện tử của Bộ Xây dựng trong thời hạn chậm nhất 02 ngày kể từ ngày có quyết định ban hành:
b) Các chỉ số giá xây dựng do UBND cấp tỉnh công bố phải được công bố trên trang điện tử của cơ quan quản lý xây dựng của địa phương trong thời hạn chậm nhất 02 ngày kể từ ngày có quyết định công bố.
Chương IV
TỔ CHỨC THỰC HIỆN
Điều 11. Trách nhiệm của Bộ Xây dựng
1. Hướng dẫn, kiểm tra, đôn đốc các địa phương tổ chức việc xác định và công bố các chỉ số giá xây dựng theo quy định tại Thông tư này.
2. Tổ chức tập huấn, hướng dẫn nghiệp vụ về xác định và quản lý chỉ số giá xây dựng.
3. Tổ chức lưu trữ thông tin chỉ số giá xây dựng của các tỉnh, thành phố trực thuộc trung ương phục vụ quản lý, kiểm soát, tạo thị trường minh bạch.
4. Ban hành chỉ số giá xây dựng vùng (liên tỉnh), chỉ số giá xây dựng quốc gia.
Điều 12. Trách nhiệm của Ủy ban nhân dân cấp tỉnh
1. Chỉ đạo việc tổ chức thực hiện các quy định tại Thông tư này và bố trí nguồn kinh phí thường xuyên từ ngân sách để tổ chức xác định và công bố các chỉ số giá xây dựng trên địa bàn tỉnh, thành phố.
2. Giao cho cơ quan chuyên môn về xây dựng tổ chức thực hiện một số công việc sau:
a) Chủ trì, phối hợp với các đơn vị có liên quan căn cứ hướng dẫn của Thông tư này và tình hình biến động giá xây dựng của địa phương tổ chức xác định các chỉ số giá xây dựng làm cơ sở để UBND cấp tỉnh công bố. Trường hợp cần thiết có thể thuê tổ chức tư vấn quản lý chi phí đủ điều kiện năng lực theo quy định để xác định chỉ số giá xây dựng. Tổ chức tư vấn phải chịu trách nhiệm trước pháp luật về chất lượng sản phẩm cung cấp.
b) Tổ chức việc theo dõi thường xuyên các thông tin về giá cả thị trường xây dựng tại địa phương: cập nhật, lưu trữ và gửi về Bộ Xây dựng các thông tin về giá cả thị trường xây dựng tại địa phương định kỳ hàng tháng.
3. Công bố các chỉ số giá xây dựng theo định kỳ tháng, quý, năm, đồng thời gửi về Bộ Xây dựng để theo dõi, quản lý. Thời điểm công bố các chỉ số giá xây dựng theo quy định tại Thông tư này kể từ tháng 1/2021. Để thực hiện chuyển đổi giá trị chỉ số giá xây dựng khi thay đổi thời điểm gốc, trong năm 2021 thực hiện công bố chỉ số giá xây dựng theo loại hình công trình, cơ cấu chi phí, yếu tố chi phí với năm gốc 2020 theo quy định tại Thông tư này và năm gốc đã lựa chọn công bố theo quy định tại Thông tư 06/2016/TT-BXD ngày 10/3/2016 của Bộ Xây dựng. Phương pháp chuyển đổi giá trị chỉ số giá xây dựng khi thay đổi thời điểm gốc quy định tại Phụ lục số 2 của Thông tư này.
Điều 13. Trách nhiệm của chủ đầu tư
Tổ chức xác định chỉ số giá xây dựng theo quy định tại khoản 3 Điều 9 của Thông tư này đảm bảo tính khách quan, chính xác, phù hợp với yếu cầu quản lý và tự chịu trách nhiệm về việc áp dụng. Trường hợp cần thiết có thể thuê tổ chức tư vấn quản lý chi phí đủ điều kiện năng lực theo quy định để xác định chỉ số giá xây dựng. Tổ chức tư vấn xác định chỉ số giá xây dựng chịu trách nhiệm trước chủ đầu tư và pháp luật trong việc đảm bảo tính chính xác, hợp lý của các chỉ số giá xây dựng do mình xác định.
Điều 14. Xử lý chuyển tiếp
1. Việc chuyển tiếp xác định, sử dụng chỉ số giá xây dựng thực hiện theo quy định tại Điều 36 của Nghị định số 68/2019/NĐ-CP ngày 14/8/2019 của Chính phủ về quản lý chi phí đầu tư xây dựng.
2. Trong thời gian chưa xác định được cơ cấu chi phí theo thời điểm lựa chọn làm gốc quy định tại Thông tư này, cơ quan chuyên môn về xây dựng tiếp tục tính toán, xác định công bố các chỉ số giá xây dựng theo phương pháp quy định tại Thông tư 06/2016/TT-BXD ngày 10/3/2016 của Bộ Xây dựng trình UBND cấp tỉnh ban hành đến hết năm 2020.
Điều 15. Điều khoản thi hành
1. Thông tư này có hiệu lực thi hành từ ngày 15 tháng 2 năm 2020.
2. Các nội dung quy định liên quan đến chỉ số giá xây dựng tại các Điều 20, 21, 22, 23, 24 của Thông tư 06/2016/TT-BXD ngày 10/3/2016 của Bộ Xây dựng về Hướng dẫn xác định và quản lý chi phí đầu tư xây dựng hết hiệu lực kể từ khi Thông tư này có hiệu lực thi hành./.
|
Nơi nhận: - Thủ tướng, các Phó Thủ tướng Chính phủ; - Các Bộ, cơ quan ngang Bộ, cơ quan thuộc Chính phủ; - HĐND, UBND các tỉnh, thành phố trực thuộc TW; - Văn phòng Trung ương và các Ban của Đảng; - Văn phòng Quốc hội; - Văn phòng Chủ tịch nước; - Viện Kiểm sát nhân dân tối cao; - Tòa án nhân dân tối cao; - Kiểm toán nhà nước; - Hội đồng dân tộc của Quốc hội; - Cơ quan Trung ương của các đoàn thể; - Cục Kiểm tra văn bản QPPL (Bộ Tư pháp); - Ủy ban Dân tộc; - Sở Xây dựng các tỉnh, thành phố trực thuộc TW; - Công báo, Website Chính phủ; Website Bộ Xây dựng; - Bộ Xây dựng: Bộ trưởng, Thứ trưởng - Các đơn vị thuộc và trực thuộc Bộ; - Lưu: VP, PC, KTXD(100b). |
KT. BỘ TRƯỞNG THỨ TRƯỞNG
Bùi Phạm Khánh |
Phụ lục số 1
PHƯƠNG PHÁP XÁC ĐỊNH CHỈ SỐ GIÁ XÂY DỰNG
(ban hành kèm theo Thông tư số 14/2019/TT-BXD ngày 26/12/2019 của Bộ Xây dựng)
1. Xác định các chỉ số giá xây dựng theo yếu tố chi phí
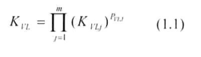
1.1 Chỉ số giá vật liệu xây dựng công trình (KVL) được xác định theo công thức Laspeyres bình quân nhân gia quyền theo công thức sau:

Trong đó:
- PVLj: tỷ trọng chi phí bình quân của loại vật liệu xây dựng chủ yếu thứ j trong tổng chi phí các loại vật liệu xây dựng chủ yếu của các công trình đại diện;
- KVLj: chỉ số giá loại vật liệu xây dựng thứ j;
- m: số loại vật liệu xây dựng chủ yếu.
Tỷ trọng chi phí bình quân (PVLj) của loại vật liệu xây dựng chủ yếu thứ j trong tổng chi phí các loại vật liệu chủ yếu bằng bình quân các tỷ trọng chi phí loại vật liệu xây dựng chủ yếu thứ j của các công trình đại diện.
Tổng các tỷ trọng chi phí loại vật liệu xây dựng chủ yếu bằng 1.
Tỷ trọng chi phí của từng loại vật liệu xây dựng chủ yếu thứ j của từng công trình đại diện được tính bằng tỷ số giữa chi phí loại vật liệu chủ yếu thứ j so với tổng chi phí các loại vật liệu chủ yếu trong chi phí trực tiếp của công trình đại diện đó, được xác định như sau:

Trong đó:
- Pivlj: tỷ trọng chi phí loại vật liệu xây dựng chủ yếu thứ i của công trình đại diện i;
- Givlj: chi phí loại vật liệu xây dựng chủ yếu thứ j của công trình đại diện thứ i.
Các loại vật liệu xây dựng chủ yếu có thể bao gồm những loại sau: Xi măng, cát xây dựng, đá xây dựng, gỗ xây dựng, gạch xây dựng, gạch ốp lát, thép xây dựng, vật liệu bao che, vật tư điện, vật tư nước, nhựa đường, cửa khung nhựa/nhôm, kính, sơn.
Tùy theo đặc điểm, tính chất cụ thể của từng công trình xây dựng lựa chọn loại vật liệu chủ yếu để tính toán cho phù hợp.
Chỉ số giá loại vật liệu xây dựng (KVLj) được tính bằng bình quân các chỉ số giá của các loại vật liệu xây dựng có trong nhóm vật liệu đó.
Chỉ số giá của từng loại vật liệu trong nhóm được xác định bằng tỷ số giữa giá bình quân đến hiện trường của loại vật liệu xây dựng đó tại thời điểm so sánh so với thời điểm gốc.
1.2 Chỉ số giá nhân công xây dựng công trình (KNC) xác định bằng bình quân các chỉ số giá nhân công xây dựng của các loại bậc thợ chủ yếu của công trình hoặc loại công trình.
Tùy theo đặc điểm, tính chất cụ thể của từng công trình, loại công trình xây dựng để lựa chọn loại bậc thợ nhân công chủ yếu phục vụ tính toán chỉ số giá nhân công xây dựng công trình cho phù hợp.
Chỉ số giá nhân công xây dựng của từng loại bậc thợ chủ yếu xác định bằng tỷ số giữa đơn giá ngày công của nhân công xây dựng tại thời điểm so sánh với thời điểm gốc.
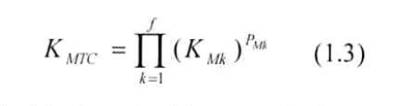
1.3 Chỉ số giá máy thi công xây dựng công trình (KMTC) được xác định theo công thức Laspeyres bình quân nhân gia quyền, cụ thể như sau:

- PMK: tỷ trọng chi phí của máy thi công xây dựng chủ yếu thứ k trong tổng chi phí các máy thi công xây dựng chủ yếu của các công trình đại diện;
- KMK: chỉ số giá của máy thi công xây dựng chủ yếu thứ k
- f: số máy thi công xây dựng chủ yếu.
Tổng các tỷ trọng chi phí máy thi công xây dựng chủ yếu bằng 1.
Tỷ trọng chi phí của từng máy thi công xây dựng chủ yếu của từng công trình đại diện được tính bằng tỷ số giữa chi phí máy thi công xây dựng chủ yếu đó so với tổng chi phí các máy thi công xây dựng chủ yếu trong chi phí trực tiếp của công trình đại diện. Công thức xác định như sau:

Trong đó:
- PiMK: tỷ trọng chi phí máy thi công xây dựng chủ yếu thứ k của công trình đại diện thứ i;
- GiMK: chi phí máy thi công xây dựng chủ yếu thứ k của công trình đại diện thứ i.
Các máy thi công xây dựng chủ yếu được quy định bao gồm: máy làm đất, máy vận chuyển, máy nâng hạ, máy phục vụ công tác bê tông, máy gia công kim loại, máy phục vụ công tác cọc, máy đào hầm, máy làm đường.
Tùy theo đặc điểm, tính chất cụ thể của từng công trình xây dựng, các máy thi công xây dựng chủ yếu có thể bổ sung để tính toán cho phù hợp.
Chỉ số giá ca máy và thiết bị thi công xây dựng chủ yếu được xác định bằng tỷ số giữa giá ca máy và thiết bị thi công xây dựng của loại máy và thiết bị thi công đó tại thời điểm so sánh so với thời điểm gốc.
2. Xác định các chỉ số giá xây dựng theo cơ cấu chi phí
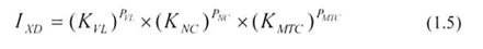
2.1. Chỉ số giá phần xây dựng (IXD) xác định theo công thức:

Trong đó: PVL, PNC, PMTC - Tỷ trọng bình quân của chi phí vật liệu, chi phí nhân công, chi phí máy thi công xây dựng trong chi phí trực tiếp của các công trình đại diện;
Tổng các tỷ trọng bình quân nói trên bằng 1.
KVL , KNC , KMTC chỉ số giá vật liệu xây dựng công trình, nhân công xây dựng công trình, máy thi công xây dựng công trình trong chi phí trực tiếp của các công trình đại diện.
Cách xác định các thành phần của công thức (1.5) như sau:
- Chỉ số giá vật liệu xây dựng công trình, nhân công xây dựng công trình, máy thi công xây dựng công trình (KVL, KNC, KMTC) xác định theo hướng dẫn tại Mục 1 nêu trên.
- Tỷ trọng bình quân của chi phí vật liệu, chi phí nhân công, chi phí máy thi công xây dựng trong chi phí trực tiếp (PVL, PNC, PMTC) được xác định như sau:
Tỷ trọng bình quân của chi phí vật liệu (PVL), nhân công (PNC), máy thi công xây dựng (PMTC) được xác định bằng bình quân của các tỷ trọng chi phí vật liệu, chi phí nhân công, chi phí máy thi công xây dựng của các công trình đại diện lựa chọn.
Tỷ trọng chi phí vật liệu, nhân công, máy thi công xây dựng của từng công trình đại diện bằng tỷ số giữa chi phí vật liệu, chi phí nhân công, chi phí máy thi công xây dựng so với tổng các chi phí này của công trình đại diện đó. Công thức xác định như sau:

Trong đó:
- PVLi, PNCi, PMTCi: tỷ trọng chi phí vật liệu, nhân công, máy thi công xây dựng của công trình đại diện thứ i;
- GVLi, GNCi, GMTCi: chi phí vật liệu, nhân công, máy thi công xây dựng trong chi phí trực tiếp của công trình đại diện thứ i;
- GTTi: tổng của chi phí vật liệu, nhân công và máy thi công xây dựng của công trình đại diện thứ i.
Chi phí vật liệu, chi phí nhân công, chi phí máy thi công xây dựng được xác định căn cứ vào khối lượng công tác xây dựng thực hiện, các định mức, đơn giá xây dựng công trình, công bố giá vật liệu, giá nhân công, giá ca máy và thiết bị thi công.
2.2 Chỉ số giá phần thiết bị công trình (ITB) được xác định theo công thức

Trong đó:
- PSTB, PLĐ: tỷ trọng bình quân chi phí mua sắm thiết bị chủ yếu, chi phí lắp đặt và thí nghiệm, hiệu chỉnh thiết bị chủ yếu đó (nếu có) của các công trình đại diện lựa chọn;
- KSTB, KLĐ: hệ số biến động chi phí mua sắm thiết bị chủ yếu, hệ số biến động chi phí lắp đặt và thí nghiệm, hiệu chỉnh thiết bị chủ yếu đó (nếu có) của các công trình đại diện lựa chọn.
Hệ số biến động chi phí mua sắm thiết bị chủ yếu được xác định bằng tỷ số giữa chi phí mua sắm thiết bị bình quân tại thời điểm so sánh với thời điểm gốc.
Giá thiết bị xác định theo phương pháp điều tra, thống kê số liệu giá ca của nhưng loại thiết bị chủ yếu có số lượng lớn, giá cá cao và biến động nhiều trên thị trường, hoặc có thể xác định trên cơ sở tham khảo mức độ trượt giá thiết bị, hoặc tính theo yếu tố trượt giá của cơ cấu sản xuất thiết bị.
Các loại thiết bị chủ yếu là những loại thiết bị có tỷ trọng chi phí lớn trong chi phí mua sắm thiết bị. Ví dụ đối với các công trình xây dựng dân dụng: hệ thống thang máy, hệ thống điều hòa V.V.; đối với các công trình xây dựng công nghiệp: dây chuyền công nghệ sản xuất chính v.v.
Hệ số biến động chi phí lắp đặt thiết bị và thí nghiệm, hiệu chỉnh thiết bị (nêu có) xác định như đối với chỉ số giá phần xây dựng.
2.3 Chỉ số giá phần chi phí khác (ICPK) được xác định theo công thức sau:

Trong đó:
- PKMKs: tỷ trọng bình quân của khoản mục chi phí chủ yếu thứ s trong tổng chi phí các khoản mục chủ yếu thuộc phần chi phí khác của các công trình đại diện:
- KKMKs: hệ số biến động chi phí của khoản mục chi phí chủ yếu thứ s trong chi phí khác của các công trình đại diện;
- e: số khoản mục chi phí chủ yếu thuộc chi phí khác của các công trình đại diện.
Các khoản mục chi phí chủ yếu trong chi phí khác của công trình đại diện là những khoản mục chi phí chiếm tỷ trọng lớn trong chi phí khác của công trình đại diện, ví dụ đối với công trình xây dựng dân dụng, những khoản mục chi phí chủ yếu trong chi phí khác như chi phí khảo sát xây dựng, chi phí thiết kế xây dựng, chi phí lập dự án đầu tư xây dựng công trình, chi phí quản lý dự án, chi phí giám sát thi công.
Đối với những khoản mục chi phí chiếm tỷ trọng < 2% trong tổng chi phí khác của công trình đại diện thì có thể không sử dụng để tính.
Đối với một số khoản mục chi phí khác tính trên chi phí xây dựng hoặc chi phí thiết bị thì các hệ số biến động của chúng được lấy bằng chỉ số giá phần xây dựng hoặc chỉ số giá phần thiết bị tương ứng.
Đối với một số khoản mục chi phí khác tính trên tổng chi phí xây dựng và chi phí thiết bị thì các hệ số biến động của chúng được lấy bằng bình quân của chỉ số giá phần xây dựng và chỉ số giá phần thiết bị.
3. Xác định chỉ số giá xây dựng công trình
Chỉ số giá xây dựng công trình (I) được tính theo công thức sau:

Trong đó:
- PXD, PTB, PCPK: tỷ trọng bình quân của chi phí xây dựng, thiết bị, chi phí khác của các công trình đại diện lựa chọn; Tổng các tỷ trọng bình quân nói trên bằng 1.
- IXD, ITB, ICPK: chỉ số giá phần xây dựng, phần thiết bị, phần chi phí khác của công trình đại diện lựa chọn.
Cách xác định các thành phần của công thức (1.11) như sau:
- Chỉ số giá phần xây dựng, phần thiết bị, phần chi phí khác (IXD, ITB, ICPK) xác định theo hướng dẫn tại điểm 2 Phụ lục này.
- Tỷ trọng bình quân của chi phí xây dựng, thiết bị, chi phí khác (PXD, PTB, PCPK) được xác định như sau:
Tỷ trọng bình quân của chi phí xây dựng (PXD), chi phí thiết bị (PTB), chi phí khác (PCPK) được xác định bằng bình quân của các tỷ trọng chi phí xây dựng, tỷ trọng chi phí thiết bị, tỷ trọng chi phí khác tương ứng của các công trình đại diện trong loại công trình.
Tỷ trọng chi phí xây dựng, chi phí thiết bị, chi phí khác của từng công trình đại diện bằng tỷ số giữa chi phí xây dựng, thiết bị, chi phí khác của công trình đại diện đó so với tổng các chi phí này của công trình. Công thức xác định như sau:

Trong đó:
- PXDi, PTBi PCPki: tỷ trọng chi phí xây dựng, thiết bị, chi phí khác so với tổng các chi phí này của công trình đại diện thứ i;
- GXDi, GTBi, GCPKi: chi phí xây dựng, thiết bị, chi phí khác của công trình đại diện thứ i;
- GXDCTi: tổng các chi phí xây dựng, thiết bị và chi phí khác của công trình đại diện thứ i.
Các số liệu về chi phí xây dựng, chi phí thiết bị và chi phí khác của các công trình đại diện lựa chọn được xác định từ các số liệu thống kê thu thập.
4. Tổng hợp xác định chỉ số giá cho địa phương (trường hợp có phân chia khu vực tính toán)
Trong trường hợp địa phương có phân chia nhiều khu vực để xác định chỉ số giá xây dựng, việc tổng hợp các chỉ số giá xây dựng các khu vực thành chỉ số giá xây dựng chung cho địa phương thực hiện theo công thức sau:

Trong đó: KVTt - Tỷ trọng giá trị vốn đầu tư xây dựng của khu vực t trong tổng giá trị vốn đầu tư xây dựng của địa phương trong năm trước năm tính toán;
IKVt - Chỉ số giá xây dựng của khu vực t;
n – Số khu vực thuộc địa phương;
Việc tính toán chỉ số giá xây dựng khu vực được thực hiện như ở phần trên.
Phụ lục số 2
PHƯƠNG PHÁP CHUYỂN ĐỔI GIÁ TRỊ CHỈ SỐ GIÁ XÂY DỰNG
KHI THAY ĐỔI THỜI ĐIỂM GỐC
(ban hành kèm theo Thông tư số 14/2019/TT-BXD ngày 26/12/2019 của Bộ Xây dựng)
1. Chuyển đổi giá trị chỉ số giá xây dựng đã công bố theo quy định tại Thông tư 06/2016/TT-BXD ngày 10/3/2016 của Bộ Xây dựng về gốc 2020 như sau:

2. Chuyển đổi giá trị chỉ số giá xây dựng kỳ công bố năm gốc 2020 về năm gốc đã lựa chọn theo quy định tại Thông tư 06/2016/TT-BXD ngày 10/3/2016 của Bộ Xây dựng như sau:

Phụ lục số 3
DANH MỤC LOẠI CÔNG TRÌNH CÔNG BỐ CHỈ SỐ GIÁ XÂY DỰNG
(ban hành kèm theo thông tư số 14/2019/TT-BXD ngày 26/12/2019 của Bộ Xây dựng)
|
STT |
DANH MỤC CÔNG TRÌNH |
|
I |
Công trình dân dụng |
|
1 |
Công trình nhà ở |
|
2 |
Công trình giáo dục |
|
3 |
Công trình văn hóa
|
|
4 |
Công trình trụ sở cơ quan nhà nước và tổ chức chính trị, tổ chức chính trị - xã hội
|
|
5 |
Công trình y tế
|
|
6 |
Công trình thể thao
|
|
7 |
Nhà ga
|
|
II |
Công trình công nghiệp
|
|
1 |
Công trình sản xuất vật liệu xây dựng |
|
2 |
Công trình luyện kim và cơ khí chế tạo |
|
3 |
Công trình khai thác mỏ và chế biến khoáng sản |
|
4 |
Công trình dầu khí
|
|
5 |
Công trình năng lượng |
|
6 |
Công trình hóa chất |
|
7 |
Công trình công nghiệp nhẹ |
|
III |
Công trình hạ tầng kỹ thuật |
|
1 |
Công trình cấp nước |
|
2 |
Công trình thoát nước
|
|
3 |
Công trình xử lý chất thải rắn
|
|
4 |
Tuyến cống thoát nước mưa, nước thải |
|
5 |
Công trình chiếu sáng công cộng |
|
6 |
Đường cáp truyền tín hiệu viễn thông
|
|
IV |
Công trình giao thông |
|
1 |
Công trình đường bộ |
|
2 |
Công trình đường sắt |
|
3 |
Công trình cầu |
|
4 |
Công trình hầm |
|
5 |
Công trình đường thủy nội địa |
|
6 |
Công trình hàng hải |
|
7 |
Công trình hàng không |
|
V |
Công trình nông nghiệp và phát triển nông thôn |
|
1 |
Công trình thủy lợi |
|
2 |
Công trình đê điều |
Ghi chú:
- Căn cứ vào những công trình được xây dựng phổ biến trên địa bàn địa phương để lựa chọn danh mục công trình để công bố chỉ số giá xây dựng cho phù hợp.
- Trong danh mục loại công trình cần thể hiện chi tiết về đặc điểm chung để phân biệt về mặt kỹ thuật của loại công trình (ví dụ loại công trình cầu (cầu bê tông, cầu thép); loại công trình đường (đường bê tông tông xi măng, đường bê tông nhựa)).
Phụ lục số 4
MẪU CÔNG BỐ CHỈ SỐ GIÁ XÂY DỰNG
(ban hành kèm theo thông tư số 14/2019/TT-BXD ngày 26/12/2019 của Bộ Xây dựng)
Bảng 1.1: CHỈ SỐ GIÁ XÂY DỰNG VÙNG, QUỐC GIA
|
STT |
Loại công trình |
Chỉ số giá vùng/quốc gia quý ... năm ... so với: |
||
|
Năm gốc 20... |
Cùng kỳ năm trước |
Quý trước |
||
|
|
A |
1 |
2 |
3 |
|
1 |
Công trình dân dụng |
|
|
|
|
1 |
Công trình nhà ở |
|
|
|
|
2 |
Công trình giáo dục |
|
|
|
|
... |
… |
|
|
|
|
2 |
Công trình công nghiệp |
|
|
|
|
1 |
Công trình sản xuất vật liệu xây dựng |
|
|
|
|
2 |
Công trình luyện kim và cơ khí chế tạo |
|
|
|
|
… |
… |
|
|
|
|
3 |
Công trình hạ tầng kỹ thuật |
|
|
|
|
1 |
Công trình cấp nước |
|
|
|
|
2 |
Công trình thoát nước |
|
|
|
|
… |
… |
|
|
|
|
4 |
Công trình giao thông |
|
|
|
|
1 |
Công trình đường bộ |
|
|
|
|
2 |
Công trình cầu |
|
|
|
|
… |
… |
|
|
|
|
5 |
Công trình nông nghiệp và phát triển nông thôn |
|
|
|
|
1 |
Công trình thủy lợi |
|
|
|
|
2 |
Công trình đê điều |
|
|
|
|
... |
… |
|
|
|
Bảng 1.2 CHỈ SỐ GIÁ XÂY DỰNG CÔNG TRÌNH
Đơn vị tính: %
|
STT |
Loại công trình |
Chỉ số giá tháng (quý, năm) so với |
|
|
Năm gốc 20… |
Tháng (quý, năm) trước |
||
|
1 |
Công trình dân dụng |
|
|
|
1 |
Công trình nhà ở |
|
|
|
2 |
Công trình giáo dục |
|
|
|
... |
… |
|
|
|
2 |
Công trình công nghiệp |
|
|
|
1 |
Công trình sản xuất vật liệu xây dựng |
|
|
|
2 |
Công trình luyện kim và cơ khí chế tạo |
|
|
|
… |
… |
|
|
|
3 |
Công trình hạ tầng kỹ thuật |
|
|
|
1 |
Công trình cấp nước |
|
|
|
2 |
Công trình thoát nước |
|
|
|
… |
… |
|
|
|
4 |
Công trình giao thông |
|
|
|
1 |
Công trình đường bộ |
|
|
|
2 |
Công trình cầu |
|
|
|
… |
… |
|
|
|
5 |
Công trình nông nghiệp và phát triển nông thôn |
|
|
|
1 |
Công trình thủy lợi |
|
|
|
2 |
Công trình đê điều |
|
|
|
... |
… |
|
|
Bảng 1.3 CHỈ SỐ GIÁ PHẦN XÂY DỰNG
Đơn vị tính: %
|
STT |
Loại công trình |
Chỉ số giá tháng (quý, năm) so với |
|
|
Năm gốc 20… |
Tháng (quý, năm) trước |
||
|
1 |
Công trình dân dụng |
|
|
|
1 |
Công trình nhà ở |
|
|
|
2 |
Công trình giáo dục |
|
|
|
... |
… |
|
|
|
2 |
Công trình công nghiệp |
|
|
|
1 |
Công trình sản xuất vật liệu xây dựng |
|
|
|
2 |
Công trình luyện kim và cơ khí chế tạo |
|
|
|
… |
… |
|
|
|
3 |
Công trình hạ tầng kỹ thuật |
|
|
|
1 |
Công trình cấp nước |
|
|
|
2 |
Công trình thoát nước |
|
|
|
… |
… |
|
|
|
4 |
Công trình giao thông |
|
|
|
1 |
Công trình đường bộ |
|
|
|
2 |
Công trình cầu |
|
|
|
… |
… |
|
|
|
5 |
Công trình nông nghiệp và phát triển nông thôn |
|
|
|
1 |
Công trình thủy lợi |
|
|
|
2 |
Công trình đê điều |
|
|
|
... |
… |
|
|
Bảng 1.4 CHỈ SỐ GIÁ VẬT LIỆU, NHÂN CÔNG, MÁY THI CÔNG
Đơn vị tính: %
|
STT |
Loại công trình |
Chỉ số giá tháng (quý, năm) so với |
|||||
|
Năm gốc 20.... |
Tháng (quý, năm) trước |
||||||
|
Vật liệu |
Nhân công |
Máy TC |
Vật Liệu |
Nhân công |
Máy TC |
||
|
1 |
Công trình dân dụng |
|
|
|
|
|
|
|
1 |
Công trình nhà ở |
|
|
|
|
|
|
|
2 |
Công trình giáo dục |
|
|
|
|
|
|
|
... |
… |
|
|
|
|
|
|
|
2 |
Công trình công nghiệp |
|
|
|
|
|
|
|
1 |
Công trình sản xuất vật liệu xây dựng |
|
|
|
|
|
|
|
2 |
Công trình luyện kim và cơ khí chế tạo |
|
|
|
|
|
|
|
… |
... |
|
|
|
|
|
|
|
3 |
Công trình hạ tầng kỹ thuật |
|
|
|
|
|
|
|
1 |
Công trình cấp nước |
|
|
|
|
|
|
|
2 |
Công trình thoát nước |
|
|
|
|
|
|
|
… |
... |
|
|
|
|
|
|
|
4 |
Công trình giao thông |
|
|
|
|
|
|
|
1 |
Công trình đường bộ |
|
|
|
|
|
|
|
2 |
Công trình cầu |
|
|
|
|
|
|
|
... |
… |
|
|
|
|
|
|
|
5 |
Công trình nông nghiệp và phát triển nông thôn |
|
|
|
|
|
|
|
1 |
Công trình thủy lợi |
|
|
|
|
|
|
|
2 |
Công trình đê điều |
|
|
|
|
|
|
|
... |
... |
|
|
|
|
|
|
Bảng 1.5 CHỈ SỐ GIÁ VẬT LIỆU XÂY DỰNG
Đơn vị tính: %
|
STT |
Loại vật liệu |
Chỉ số giá tháng (quý, năm) so với |
|
|
Năm gốc 20.... |
Tháng (quý, năm) trước |
||
|
1 |
Xi măng |
|
|
|
2 |
Cát xây dựng |
|
|
|
3 |
Đá xây dựng |
|
|
|
4 |
Gạch xây |
|
|
|
5 |
Gạch lát |
|
|
|
6 |
Gỗ xây dựng |
|
|
|
7 |
Thép xây dựng |
|
|
|
8 |
Nhựa đường |
|
|
|
9 |
Vật liệu tấm lợp, bao che |
|
|
|
10 |
Cửa khung nhựa /nhôm |
|
|
|
11 |
Kính |
|
|
|
12 |
Sơn |
|
|
|
13 |
Vật tư ngành điện |
|
|
|
14 |
Vật tư, đường ống nước |
|
|
Bạn chưa Đăng nhập thành viên.
Đây là tiện ích dành cho tài khoản thành viên. Vui lòng Đăng nhập để xem chi tiết. Nếu chưa có tài khoản, vui lòng Đăng ký tại đây!
Bạn chưa Đăng nhập thành viên.
Đây là tiện ích dành cho tài khoản thành viên. Vui lòng Đăng nhập để xem chi tiết. Nếu chưa có tài khoản, vui lòng Đăng ký tại đây!