- Tổng quan
- Nội dung
- VB gốc
- Tiếng Anh
- Hiệu lực
- VB liên quan
- Lược đồ
-
Nội dung hợp nhất
Tính năng này chỉ có tại LuatVietnam.vn. Nội dung hợp nhất tổng hợp lại tất cả các quy định còn hiệu lực của văn bản gốc và các văn bản sửa đổi, bổ sung, đính chính... trên một trang. Việc hợp nhất văn bản gốc và những văn bản, Thông tư, Nghị định hướng dẫn khác không làm thay đổi thứ tự điều khoản, nội dung.
Khách hàng chỉ cần xem Nội dung hợp nhất là có thể nắm bắt toàn bộ quy định hiện hành đang áp dụng, cho dù văn bản gốc đã qua nhiều lần chỉnh sửa, bổ sung.
- Tải về
Quyết định 922/QĐ-CTK 2025 của Cục Thống kê về Phương án Điều tra giá tiêu dùng
| Cơ quan ban hành: | Cục Thống kê |
Số công báo:
Số công báo là mã số ấn phẩm được đăng chính thức trên ấn phẩm thông tin của Nhà nước. Mã số này do Chính phủ thống nhất quản lý.
|
Đang cập nhật |
| Số hiệu: | 922/QĐ-CTK | Ngày đăng công báo: | Đang cập nhật |
| Loại văn bản: | Quyết định | Người ký: | Nguyễn Thị Hương |
| Trích yếu: | Ban hành Phương án Điều tra giá tiêu dùng | ||
|
Ngày ban hành:
Ngày ban hành là ngày, tháng, năm văn bản được thông qua hoặc ký ban hành.
|
16/07/2025 |
Ngày hết hiệu lực:
Ngày hết hiệu lực là ngày, tháng, năm văn bản chính thức không còn hiệu lực (áp dụng).
|
Đang cập nhật |
|
Áp dụng:
Ngày áp dụng là ngày, tháng, năm văn bản chính thức có hiệu lực (áp dụng).
|
Đã biết
|
Tình trạng hiệu lực:
Cho biết trạng thái hiệu lực của văn bản đang tra cứu: Chưa áp dụng, Còn hiệu lực, Hết hiệu lực, Hết hiệu lực 1 phần; Đã sửa đổi, Đính chính hay Không còn phù hợp,...
|
Đã biết
|
| Lĩnh vực: | Thương mại-Quảng cáo | ||
TÓM TẮT QUYẾT ĐỊNH 922/QĐ-CTK
Quyết định 922/QĐ-CTK: Ban hành Phương án Điều tra giá tiêu dùng từ 2025 - 2030
Quyết định số 922/QĐ-CTK được Cục Thống kê ban hành ngày 16 tháng 7 năm 2025, có hiệu lực từ cùng ngày với nội dung chính là phương án điều tra giá tiêu dùng giai đoạn 2025 - 2030. Mục đích của cuộc điều tra này nhằm biên soạn chỉ tiêu Chỉ số giá tiêu dùng (CPI) cũng như cung cấp thông tin về biến động giá tiêu dùng phục vụ cho việc quản lý và hoạch định chính sách của Nhà nước.
Phạm vi điều tra sẽ được thực hiện tại 34 tỉnh thành phố trực thuộc trung ương, với đối tượng điều tra bao gồm các sản phẩm hàng hóa và dịch vụ đại diện cho tiêu dùng của hộ dân cư. Đồng thời, đơn vị điều tra sẽ là các cơ sở kinh doanh rao bán hàng hóa và dịch vụ, như siêu thị và cửa hàng tiện ích.
Thời gian điều tra được chia thành nhiều kỳ trong tháng. Cụ thể, đối với các mặt hàng lương thực, thực phẩm sẽ được điều tra từ ngày 01 đến ngày 24, chia thành 3 kỳ khác nhau, còn các mặt hàng khác sẽ được điều tra một lần trong tháng. Đặc biệt, điều tra sẽ áp dụng phương pháp thu thập thông tin trực tiếp qua thiết bị di động (CAPI), giúp tối ưu hóa quy trình và đảm bảo tính chính xác của dữ liệu.
Phương án yêu cầu kiểm tra, quản lý và sử dụng kinh phí điều tra từ ngân sách nhà nước theo quy định hiện hành nhằm đảm bảo hiệu quả và tiết kiệm trong sử dụng tài chính. Quy trình xử lý thông tin từ các cuộc điều tra sẽ được thực hiện đồng nhất, theo dõi kỹ lưỡng để đảm bảo chất lượng thông tin thu thập.
Cục Thống kê có trách nhiệm xây dựng các tài liệu hướng dẫn nghiệp vụ, tổ chức đào tạo cho đội ngũ điều tra viên và giám sát viên nhằm bảo đảm tiến độ và chất lượng thông tin thu thập.
Bên cạnh đó, việc kiểm tra, giám sát để đảm bảo tính chính xác của dữ liệu thu thập cũng sẽ được triển khai ở tất cả các khâu của cuộc điều tra, từ kiểm tra việc tổ chức lớp tập huấn đến thu thập thông tin thực địa.
Với phương pháp và quy trình rõ ràng, cùng các bước chuẩn bị cẩn thận, Quyết định 922/QĐ-CTK sẽ góp phần cung cấp thông tin cần thiết về giá tiêu dùng, phục vụ công tác hoạch định chính sách phát triển kinh tế - xã hội và đánh giá chất lượng sống của người dân trong giai đoạn 2025 – 2030.
Xem chi tiết Quyết định 922/QĐ-CTK có hiệu lực kể từ ngày 16/07/2025
Tải Quyết định 922/QĐ-CTK
| BỘ TÀI CHÍNH | CỘNG HÒA XÃ HỘI CHỦ NGHĨA VIỆT NAM |
| Số: 922/QĐ-CTK | Hà Nội, ngày 16 tháng 7 năm 2025 |
QUYẾT ĐỊNH
Ban hành phương án điều tra giá tiêu dùng
____________
CỤC TRƯỞNG CỤC THỐNG KÊ
Căn cứ Luật Thống kê ngày 23 tháng 11 năm 2015; Luật sửa đổi, bổ sung một số điều và Phụ lục Danh mục chỉ tiêu thống kê quốc gia của Luật Thống kê ngày 12 tháng 11 năm 2021;
Căn cứ Nghị định số 94/2016/NĐ-CP ngày 01 tháng 7 năm 2016 của Chính phủ quy định chi tiết và hướng dẫn thi hành một số điều của Luật Thống kê;
Căn cứ Nghị định số 94/2022/NĐ-CP ngày 07 tháng 11 năm 2022 của Chính phủ quy định nội dung chỉ tiêu thống kê thuộc hệ thống chỉ tiêu thống kê quốc gia và quy trình biên soạn chỉ tiêu tổng sản phẩm trong nước, chỉ tiêu tổng sản phẩm trên địa bàn tỉnh, thành phố trực thuộc trung ương;
Căn cứ Nghị định số 62/2024/NĐ-CP ngày 07 tháng 6 năm 2024 của Chính phủ sửa đổi, bổ sung một số điều, phụ lục của Nghị định số 94/2016/NĐ-CP ngày 01 tháng 7 năm 2016 của Chính phủ quy định chi tiết và hướng dẫn thi hành một số điều của Luật Thống kê và Nghị định số 94/2022/NĐ-CP ngày 07 tháng 11 năm 2022 của Chính phủ quy định nội dung chỉ tiêu thống kê thuộc hệ thống chỉ tiêu thống kê quốc gia và quy trình biên soạn chỉ tiêu tổng sản phẩm trong nước, chỉ tiêu tổng sản phẩm trên địa bàn tỉnh, thành phố trực thuộc trung ương;
Căn cứ Nghị định số 29/2025/NĐ-CP ngày 24 tháng 02 năm 2025 của Chính phủ quy định chức năng, nhiệm vụ, quyền hạn và cơ cấu tổ chức của Bộ Tài chính;
Căn cứ Nghị định số 166/2025/NĐ-CP ngày 30 tháng 6 năm 2025 của Chính phủ sửa đổi, bổ sung một số điều của Nghị định số 29/2025/NĐ-CP ngày 24 tháng 02 năm 2025 của Chính phủ quy định chức năng, nhiệm vụ, quyền hạn và cơ cấu tổ chức của Bộ Tài chính;
Căn cứ Nghị định số 130/2025/NĐ-CP ngày 11 tháng 6 năm 2025 của Chính phủ quy định về phân quyền, phân cấp trong lĩnh vực thống kê;
Căn cứ Quyết định số 03/2023/QĐ-TTg ngày 15 tháng 02 năm 2023 của Thủ tướng Chính phủ về việc ban hành Chương trình điều tra thống kê quốc gia;
Căn cứ Quyết định số 384/QĐ-BTC ngày 26 tháng 02 năm 2025 của Bộ trưởng Bộ Tài chính quy định chức năng, nhiệm vụ, quyền hạn và cơ cấu tổ chức của Cục Thống kê;
Căn cứ Quyết định số 2288/QĐ-BTC ngày 30 tháng 6 năm 2025 của Bộ trưởng Bộ Tài chính sửa đổi, bổ sung Quyết định số 384/QĐ-BTC ngày 26 tháng 02 năm 2025 của Bộ Tài chính quy định chức năng, nhiệm vụ, quyền hạn và cơ cấu tổ chức của Cục Thống kê;
Căn cứ Quyết định số 1892/QĐ-BTC ngày 30 tháng 5 năm 2025 của Bộ trưởng Bộ Tài chính về sửa đổi, bổ sung các Quyết định quy định chức năng, nhiệm vụ, quyền hạn và cơ cấu tổ chức của đơn vị thuộc Bộ Tài chính;
Căn cứ Quyết định số 1933/QĐ-BTC ngày 02 tháng 6 năm 2025 của Bộ trưởng Bộ Tài chính về việc ban hành Kế hoạch điều tra thống kê năm 2026 của Bộ Tài chính do Cục Thống kê chủ trì thực hiện;
Theo đề nghị của Trưởng ban Ban Điều tra thống kê.
QUYẾT ĐỊNH:
Điều 1. Ban hành kèm theo Quyết định này Phương án Điều tra giá tiêu dùng. Phương án này áp dụng đối với thời kỳ 2025 - 2030. Quyết định này có hiệu lực kể từ ngày ký.
Điều 2. Giao Ban Điều tra thống kê chủ trì, phối hợp với Ban Thống kê Dịch vụ và Giá và đơn vị liên quan xây dựng kế hoạch thực hiện chi tiết; thiết kế mẫu và phiếu điều tra; xây dựng các loại danh mục hàng hóa và dịch vụ, phương pháp tổng hợp chỉ số giá và các nội dung liên quan khác trình Lãnh đạo Cục Thống kê ban hành; chỉ đạo tổ chức và hướng dẫn thực hiện cuộc điều tra theo đúng quy định của Phương án điều tra.
Điều 3. Trưởng ban Ban Điều tra thống kê, Trưởng ban Ban Thống kê Dịch vụ và Giá, Trưởng ban Ban Kế hoạch tài chính, Chánh Văn phòng Cục và Thủ trưởng các đơn vị liên quan chịu trách nhiệm thi hành Quyết định này./.
| Nơi nhận: | CỤC TRƯỞNG |
PHƯƠNG ÁN ĐIỀU TRA GIÁ TIÊU DÙNG
(Kèm theo Quyết định số 922/QĐ-CTK ngày 16 tháng 7 năm 2025 của Cục trưởng Cục Thống kê)
I. MỤC ĐÍCH VÀ YÊU CẦU ĐIỀU TRA
1. Mục đích điều tra
Điều tra giá tiêu dùng là cuộc điều tra chọn mẫu thuộc Chương trình điều tra thống kê quốc gia được thực hiện nhằm phục vụ các mục đích được thực hiện nhằm các mục đích chủ yếu sau:
- Biên soạn chỉ tiêu Chỉ số giá tiêu dùng (CPI) thuộc Hệ thống chỉ tiêu thống kê quốc gia; thông tin về chỉ số giá tiêu dùng phục vụ Đảng, Quốc hội, Chính phủ, các Bộ, ngành và địa phương trong công tác quản lý điều hành và hoạch định chính sách tiền lương, lãi suất, quản lý tài chính, tiền tệ và xây dựng kế hoạch phát triển kinh tế - xã hội và tính toán một số chỉ tiêu thống kê tổng hợp theo giá so sánh.
- Đáp ứng nhu cầu thông tin về biến động giá tiêu dùng của người dân, doanh nghiệp, cơ sở sản xuất kinh doanh và các đối tượng dùng tin khác.
- Cung cấp thông tin về giá tiêu dùng làm cơ sở biên soạn chỉ số giá sinh hoạt theo không gian (SCOLI), phục vụ công tác đánh giá chương trình xóa đói giảm nghèo và tính chỉ số phát triển con người (HDI).
- Thu thập thông tin về mức giá hàng hóa và dịch vụ đại diện theo Chương trình so sánh quốc tế (ICP) của Ngân hàng Phát triển châu Á (ADB) phục vụ tính toán sức mua tương đương (PPP), từ đó đánh giá tương quan giàu nghèo giữa các quốc gia trong khu vực.
2. Yêu cầu điều tra
- Thực hiện điều tra theo đúng các nội dung quy định trong Phương án điều tra.
- Bảo mật thông tin thu thập theo quy định của Luật Thống kê;
- Quản lý và sử dụng kinh phí của cuộc điều tra đúng chế độ hiện hành, sử dụng tiết kiệm và hiệu quả;
- Kết quả điều tra phải đáp ứng yêu cầu của mục đích điều tra, bảo đảm tính so sánh quốc tế.
II. PHẠM VI, ĐỐI TƯỢNG, ĐƠN VỊ ĐIỀU TRA
1. Phạm vi điều tra
Điều tra giá tiêu dùng được tiến hành trên phạm vi 34 tỉnh, thành phố trực thuộc trung ương (viết gọn là tỉnh, thành phố).
Riêng Chương trình so sánh quốc tế được tiến hành trên phạm vi tỉnh, thành phố theo chương trình cập nhật của ADB.
2. Đối tượng điều tra
Các sản phẩm hàng hóa và dịch vụ đại diện cho tiêu dùng của hộ dân cư thuộc Danh mục hàng hóa và dịch vụ đại diện tính chỉ số giá tiêu dùng năm gốc 2024.
Các sản phẩm hàng hóa và dịch vụ thuộc Danh mục hàng hóa và dịch vụ theo Chương trình so sánh quốc tế.
3. Đơn vị điều tra
Đơn vị điều tra là các cơ sở kinh doanh chuyên bán lẻ (sạp hàng, quầy hàng, điểm bình ổn giá, siêu thị, cửa hàng tiện ích...); cơ sở kinh doanh dịch vụ; trường học có thu học phí; cơ sở khám chữa bệnh có thu phí;... có địa điểm kinh doanh ổn định thuộc các loại hình kinh tế.
III. LOẠI ĐIỀU TRA
Điều tra giá tiêu dùng là cuộc điều tra chọn mẫu các sản phẩm hàng hóa và dịch vụ tiêu dùng đại diện của hộ dân cư bảo đảm đại diện cho các tỉnh, thành phố, vùng kinh tế - xã hội và cả nước.
IV. THỜI ĐIỂM, THỜI GIAN ĐIỀU TRA VÀ PHƯƠNG PHÁP THU THẬP THÔNG TIN
1. Thời điểm điều tra
Thời điểm điều tra giá tiêu dùng: Là thời điểm điều tra viên (ĐTV) đến thu thập thông tin tại các đơn vị điều tra.
2. Thời gian điều tra
- Đối với các mặt hàng lương thực, thực phẩm tươi sống, vật liệu xây dựng: Thời gian điều tra trong 24 ngày, từ ngày 01-24 hàng tháng được chia làm 3 kỳ theo quy định:
+ Kỳ 1: Từ ngày 01 đến ngày 08;
+ Kỳ 2: Từ ngày 09 đến ngày 16;
+ Kỳ 3: Từ ngày 17 đến ngày 24.
- Đối với các mặt hàng chỉ điều tra 1 kỳ trong tháng được tiến hành thu thập giá vào kỳ 2 (từ ngày 09 đến ngày 16).
- Đối với các mặt hàng đặc biệt (điện sinh hoạt, nước sinh hoạt, xăng, dầu diezen, dầu hỏa, gas đun, vàng, đô la Mỹ): Cục Thống kê hướng dẫn thực hiện.
- Đối với các mặt hàng theo Chương trình so sánh quốc tế: Thực hiện theo quy định của ADB.
3. Phương pháp điều tra
Điều tra giá tiêu dùng áp dụng phương pháp điều tra trực tiếp sử dụng phiếu điều tra điện tử được cài đặt trên thiết bị di động (CAPI). ĐTV đến từng đơn vị điều tra gặp người cung cấp thông tin để phỏng vấn kết hợp quan sát đối tượng điều tra và ghi thông tin vào phiếu CAPI.
Riêng Chương trình so sánh quốc tế: Thực hiện theo kế hoạch và hướng dẫn của ADB.
V. NỘI DUNG, PHIẾU ĐIỀU TRA
1. Nội dung điều tra
Nội dung Điều tra giá tiêu dùng bao gồm :
- Thông tin chung của đơn vị điều tra: Thông tin định danh; tên đơn vị điều tra; tháng điều tra; kỳ điều tra.
- Thông tin về giá của hàng hóa và dịch vụ: Tên mặt hàng; quy cách, phẩm cấp chi tiết của mặt hàng; đơn vị tính; khối lượng mặt hàng và đơn giá mặt hàng quan sát.
Lưu ý:
+ Giá thu thập được là giá bán lẻ cho người tiêu dùng (bao gồm thuế giá trị gia tăng - VAT) tại thời điểm điều tra.
+ Đơn vị tính giá của các loại hàng hóa và dịch vụ phải đúng với quy định theo danh mục hàng hóa và dịch vụ điều tra.
2. Phiếu điều tra
Điều tra giá tiêu dùng sử dụng một loại phiếu điều tra: Phiếu ĐTG-CPI: Phiếu thu thập thông tin giá tiêu dùng.
VI. PHÂN LOẠI THỐNG KÊ SỬ DỤNG TRONG ĐIỀU TRA
1. Danh mục đơn vị hành chính Việt Nam ban hành theo Quyết định số 19/2025/QĐ-TTg ngày 30/6/2025 của Thủ tướng Chính phủ, cập nhật đến thời điểm điều tra;
2. Danh mục bảng phân loại tiêu dùng theo mục đích của hộ gia đình Việt Nam (VCOICOP) ban hành theo Quyết định số 11/2018/QĐ-TTg ngày 01 tháng 3 năm 2018 của Thủ tướng Chính phủ.
VII. QUY TRÌNH XỬ LÝ VÀ BIỂU ĐẦU RA CỦA ĐIỀU TRA
1. Quy trình xử lý thông tin
Dữ liệu điều tra giá tiêu dùng (dữ liệu thu thập từ phiếu CAPI) được xử lý theo một quy trình thống nhất. Sau khi hoàn thành phiếu, dữ liệu được đồng bộ từ thiết bị của ĐTV về máy chủ của hệ thống công nghệ thông tin của cuộc điều tra. Giám sát viên (GSV) các cấp thực hiện nhiệm vụ theo trình tự sau:
- Rà soát thông tin, kiểm tra logic phiếu điều tra và phát hiện lỗi, đưa ra các yêu cầu giải trình số liệu; đặc biệt kiểm tra và yêu cầu ĐTV cập nhật kịp thời sự thay đổi giá của các hàng hóa và dịch vụ như giá dịch vụ y tế, giá xăng dầu,...
- Kiểm tra kỹ số liệu về mức giá của tháng báo cáo so với kỳ trước theo từng mặt hàng, theo từng đơn vị điều tra và kiểm tra tính hợp lý trong ghi chú của ĐTV.
- Kiểm tra số lượng mẫu giá giữa các kỳ điều tra, số lượng mặt hàng gán giá, mặt hàng thay thế trong kỳ.
- Thông báo lỗi và yêu cầu giải trình cho GSV cấp dưới trực tiếp để ĐTV xác minh, giải trình và hoàn thiện thông tin.
- Sau khi thông tin được hoàn thiện, GSV các cấp thực hiện duyệt số liệu trong phạm vi được giao trên hệ thống công nghệ thông tin của cuộc điều tra.
2. Biểu đầu ra của điều tra
Biểu đầu ra của Điều tra giá tiêu dùng được thiết kế phục vụ tổng hợp các chỉ tiêu thống kê theo yêu cầu, mục đích điều tra.
VIII. KẾ HOẠCH TIẾN HÀNH ĐIỀU TRA
Điều tra giá tiêu dùng thực hiện theo kế hoạch sau:
| STT | Nội dung | Thời gian thực hiện |
| 1 | Xây dựng phương án điều tra | Tháng 4 - 7/2025 |
| 2 | Xây dựng phiếu điều tra | Tháng 4 - 7/2025 |
| 3 | Xây dựng quy trình tổng hợp và nối chuỗi chỉ số giá | Tháng 4 - 8/2025 |
| 4 | Xây dựng cấu trúc chỉ số giá tiêu dùng | Tháng 4 - 9/2025 |
| 5 | Xây dựng mẫu biểu tổng hợp kết quả đầu ra | Tháng 6 - 9/2025 |
| 6 | Xây dựng các loại tài liệu hướng dẫn nghiệp vụ điều tra | Tháng 6 - 12/2025 |
| 7 | Tính quyền số | Tháng 07 - 9/2025 |
| 8 | Xây dựng, kiểm thử các phần mềm phục vụ thu thập thông tin, quản lý/cập nhật mạng lưới, kiểm tra, xử lý, tổng hợp kết quả đầu ra | Trước tháng 10/2025 |
| 9 | Cập nhật các loại phần mềm (nếu có) | Trước năm điều tra |
| 10 | Rà soát, kiểm tra, hoàn thiện Danh mục hàng hóa và dịch vụ, mạng lưới điều tra phục vụ điều tra chính thức từ năm 2026 | Tháng 10 - 12/2025 |
| 11 | In tài liệu (nếu có) | Trước tháng 10/2025 |
| 12 | Tập huấn cấp trung ương và cấp tỉnh (nếu có) | Trước tháng 10/2025 |
| 13 | Thu thập thông tin | Hằng tháng |
| 14 | Kiểm tra, duyệt dữ liệu | Hằng tháng |
| 15 | Tổng hợp kết quả đầu ra | Hằng tháng |
| 16 | Chuẩn bị nội dung phục vụ công bố chỉ số giá | Hằng tháng |
| 17 | Xây dựng Danh mục hàng hóa và dịch vụ điều tra giai đoạn mới | Năm 2028-2029 |
| 18 | Điều tra giá gốc tại địa phương để chuẩn bị chuyển đổi năm gốc thời kỳ tiếp theo | Tháng 01-12/2030 |
| 19 | Cập nhật kế hoạch Chương trình so sánh quốc tế ICP | Theo kế hoạch của ADB |
IX. TỔ CHỨC THỰC HIỆN
1. Công tác chuẩn bị
a) Xây dựng và thống nhất Danh mục hàng hóa và dịch vụ, xây dựng mạng lưới điều tra
Cục Thống kê chủ trì thực hiện việc xây dựng và quy định sử dụng thống nhất Danh mục hàng hóa và dịch vụ đại diện cả nước; hướng dẫn xây dựng Danh mục hàng hóa và dịch vụ đại diện cho tỉnh, thành phố; hướng dẫn xác định đơn vị điều tra, rà soát và cập nhật mạng lưới điều tra phục vụ công tác thu thập thông tin.
b) Tuyển chọn lực lượng tham gia điều tra
- ĐTV của cuộc điều tra được tuyển chọn phù hợp với tình hình thực tế tại địa phương, bảo đảm tiến độ và yêu cầu về chất lượng thông tin thu thập.
- GSV là lực lượng thực hiện công việc giám sát; hỗ trợ chuyên môn cho GSV cấp dưới (nếu có) và các ĐTV trong quá trình điều tra thực địa. GSV có 03 cấp: cấp trung ương, cấp tỉnh và cấp cơ sở. Tùy theo tình hình thực tế tại địa phương, Thủ trưởng Thống kê tỉnh, thành phố trực thuộc trung ương (viết gọn là Thống kê tỉnh, thành phố) quyết định việc tuyển chọn giám sát viên phù hợp.
c) Tập huấn
- Cấp trung ương, thành phần tham gia tập huấn bao gồm: GSV cấp trung ương, công chức của các đơn vị thuộc Cục Thống kê; lãnh đạo Thống kê tỉnh, thành phố và giảng viên cấp tỉnh trong năm thay đổi Phương án điều tra và những năm có nội dung nghiệp vụ mới cần quán triệt. Thời gian tổ chức hội nghị là 01 ngày.
- Cấp tỉnh, thành phần tập huấn bao gồm: ĐTV, GSV và công chức Thống kê cấp tỉnh, giám sát viên cấp cơ sở (nếu có). Thời gian tập huấn là 01 ngày.
Hằng năm, khi có sự thay đổi về GSV, ĐTV, hoặc nghiệp vụ bổ sung đơn vị được giao chủ trì thực hiện điều tra căn cứ tình hình thực tế chủ động tổ chức tập huấn cho đội ngũ GSV, ĐTV mới bảo đảm chất lượng của GSV, ĐTV tham gia điều tra.
d) Tài liệu điều tra
Tài liệu điều tra bao gồm các tài liệu hướng dẫn nghiệp vụ và hướng dẫn sử dụng phần mềm do Cục Thống kê biên soạn.
đ) Chương trình phần mềm
Chương trình phần mềm sử dụng trong điều tra bao gồm: Chương trình phần mềm sử dụng cho thu thập, tổng hợp thông tin mạng lưới; phần mềm thu thập, tổng hợp thông tin giá gốc; phần mềm thu thập thông tin giá tiêu dùng hằng tháng trên thiết bị di động (CAPI); các chương trình quản lý giám sát, kiểm tra và duyệt phiếu điều tra điện tử, chương trình tổng hợp kết quả điều tra... do Cục Thống kê tổ chức xây dựng.
2. Công tác thu thập thông tin
Thống kê tỉnh, thành phố chỉ đạo thực hiện công tác thu thập thông tin bảo đảm tiến độ và chất lượng thông tin thu thập.
3. Công tác kiểm tra, giám sát
Nhằm bảo đảm chất lượng của cuộc điều tra, công tác kiểm tra, giám sát được thực hiện ở tất cả các khâu của cuộc điều tra.
Nội dung kiểm tra, giám sát bao gồm: Kiểm tra, giám sát việc tổ chức các lớp tập huấn, thu thập thông tin của đơn vị điều tra, số lượng và chất lượng thông tin do đơn vị cung cấp,...
Hình thức kiểm tra, giám sát: Tùy theo tình hình thực tế, đơn vị được giao thực hiện nhiệm vụ kiểm tra, giám sát chủ động lựa chọn hình thức kiểm tra, giám sát trực tiếp hoặc gián tiếp đối công tác tập huấn, công tác thu thập thông tin tại địa bàn và trên Trang thông tin điện tử của cuộc điều tra.
Để bảo đảm chất lượng thông tin thu thập, công tác kiểm tra giám sát chất lượng phiếu điều tra được thực hiện ngay trong quá trình thu thập thông tin, GSV thường xuyên kiểm tra dữ liệu trên chương trình phần mềm và thông báo đề nghị ĐTV xác minh hoàn thiện phiếu điều tra.
4. Nghiệm thu và tổng hợp thông tin
a) Nghiệm thu phiếu điều tra
- Thống kê tỉnh, thành phố chỉ đạo và thực hiện kiểm tra, nghiệm thu dữ liệu điều tra trên phạm vi tỉnh, thành phố.
- Cục Thống kê kiểm tra và nghiệm thu dữ liệu điều tra cấp tỉnh.
b) Tổng hợp thông tin
Cục Thống kê chỉ đạo, phân công các đơn vị trực thuộc thực hiện kiểm tra, làm sạch và hoàn thiện cơ sở dữ liệu điều tra (theo quy trình điều tra) phục vụ tổng hợp và phân tích kết quả điều tra; thực hiện tính quyền số và tổng hợp kết quả đầu ra theo yêu cầu, cụ thể:
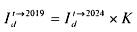
b1) Tính hệ số chuyển đổi K
K là hệ số chuyển đổi năm gốc 2019 so với năm gốc 2024, K được tính như sau:
K = I1/I2
I1: Chỉ số giá tiêu dùng tháng gối đầu (tháng 10/2025) so với năm gốc 2019.
I2: Chỉ số giá tiêu dùng tháng gối đầu (tháng 10/2025) so với năm gốc 2024.
Công thức tính chỉ số giá năm gốc 2024 về năm gốc 2019 được nối chuỗi theo công thức sau:
![]()
Trong đó:
là chỉ số giá nhóm d kỳ t so với năm gốc 2019;
là chỉ số giá nhóm d kỳ t so với năm gốc 2024.
Hệ số chuyển đổi K cho phép chuyển đổi chuỗi số liệu chỉ số giá tiêu dùng theo năm gốc 2024 về năm gốc 2019 và ngược lại theo năm gốc 2019 về năm gốc 2024, từ đó tính toán chỉ số giá tiêu dùng theo các gốc so sánh.
b2) Công thức áp dụng tính chỉ số giá tiêu dùng
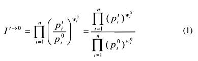
Áp dụng công thức Laspeyres bình quân nhân được sử dụng trong tính toán chỉ số giá tiêu dùng, cụ thể công thức tính như sau:

Trong đó:
It→0 : Chỉ số giá tiêu dùng kỳ báo cáo (t) so với kỳ gốc cố định (0);
: Giá tiêu dùng kỳ báo cáo (t);
: Giá tiêu dùng kỳ gốc (0);
n : Số mặt hàng;
: Quyền số cố định kỳ gốc (0).
Cục Thống kê hướng dẫn chi tiết phương pháp tính chỉ số giá tiêu dùng cấp tỉnh, vùng và cả nước.
b3) Bảng giá kỳ gốc năm 2024; quyền số; cấu trúc chỉ số giá tiêu dùng: Cục Thống kê hướng dẫn thực hiện.
X. KINH PHÍ VÀ CÁC ĐIỀU KIỆN VẬT CHẤT CHO ĐIỀU TRA
Kinh phí Điều tra giá tiêu dùng do Ngân sách nhà nước bảo đảm cho các hoạt động quy định trong Phương án này. Việc quản lý, sử dụng và quyết toán kinh phí từ Ngân sách nhà nước được thực hiện theo Thông tư số 109/2016/TT-BTC ngày 30 tháng 6 năm 2016 của Bộ Tài chính quy định về lập dự toán, quản lý, sử dụng và quyết toán kinh phí thực hiện các cuộc Điều tra thống kê, Tổng điều tra thống kê quốc gia; Thông tư số 37/2022/TT-BTC ngày 22 tháng 6 năm 2022 của Bộ Tài chính quy định về sửa đổi, bổ sung khoản 9 Điều 3 và Mẫu số 01 kèm theo Thông tư số 109/2016/TT-BTC ngày 30 tháng 6 năm 2016 của Bộ Tài chính quy định về lập dự toán, quản lý, sử dụng và quyết toán kinh phí thực hiện các cuộc Điều tra thống kê, Tổng điều tra thống kê quốc gia và các quy định có liên quan.
Cục Thống kê có trách nhiệm hướng dẫn việc quản lý, sử dụng và quyết toán kinh phí điều tra theo đúng quy định.
Trong phạm vi dự toán được giao, Thủ trưởng các đơn vị được giao nhiệm vụ chịu trách nhiệm tổ chức thực hiện tốt cuộc Điều tra giá tiêu dùng theo đúng nội dung của Phương án điều tra, văn bản hướng dẫn của Cục Thống kê và các chế độ tài chính hiện hành.
Các điều kiện vật chất khác: Sử dụng cơ sở hạ tầng sẵn có của ngành thống kê.
Bạn chưa Đăng nhập thành viên.
Đây là tiện ích dành cho tài khoản thành viên. Vui lòng Đăng nhập để xem chi tiết. Nếu chưa có tài khoản, vui lòng Đăng ký tại đây!
Bạn chưa Đăng nhập thành viên.
Đây là tiện ích dành cho tài khoản thành viên. Vui lòng Đăng nhập để xem chi tiết. Nếu chưa có tài khoản, vui lòng Đăng ký tại đây!