- Tổng quan
- Nội dung
- VB gốc
- Tiếng Anh
- Hiệu lực
- VB liên quan
- Lược đồ
-
Nội dung hợp nhất
Tính năng này chỉ có tại LuatVietnam.vn. Nội dung hợp nhất tổng hợp lại tất cả các quy định còn hiệu lực của văn bản gốc và các văn bản sửa đổi, bổ sung, đính chính... trên một trang. Việc hợp nhất văn bản gốc và những văn bản, Thông tư, Nghị định hướng dẫn khác không làm thay đổi thứ tự điều khoản, nội dung.
Khách hàng chỉ cần xem Nội dung hợp nhất là có thể nắm bắt toàn bộ quy định hiện hành đang áp dụng, cho dù văn bản gốc đã qua nhiều lần chỉnh sửa, bổ sung.
- Tải về
Thông tư 20/2019/TT-BTTTT Quy chuẩn kỹ thuật quốc gia về lắp đặt mạng cáp ngoại vi viễn thông
| Cơ quan ban hành: | Bộ Thông tin và Truyền thông |
Số công báo:
Số công báo là mã số ấn phẩm được đăng chính thức trên ấn phẩm thông tin của Nhà nước. Mã số này do Chính phủ thống nhất quản lý.
|
Đã biết
|
| Số hiệu: | 20/2019/TT-BTTTT | Ngày đăng công báo: |
Đã biết
|
| Loại văn bản: | Thông tư | Người ký: | Nguyễn Mạnh Hùng |
|
Ngày ban hành:
Ngày ban hành là ngày, tháng, năm văn bản được thông qua hoặc ký ban hành.
|
31/12/2019 |
Ngày hết hiệu lực:
Ngày hết hiệu lực là ngày, tháng, năm văn bản chính thức không còn hiệu lực (áp dụng).
|
Đang cập nhật |
|
Áp dụng:
Ngày áp dụng là ngày, tháng, năm văn bản chính thức có hiệu lực (áp dụng).
|
Đã biết
|
Tình trạng hiệu lực:
Cho biết trạng thái hiệu lực của văn bản đang tra cứu: Chưa áp dụng, Còn hiệu lực, Hết hiệu lực, Hết hiệu lực 1 phần; Đã sửa đổi, Đính chính hay Không còn phù hợp,...
|
Đã biết
|
| Lĩnh vực: | Thông tin-Truyền thông |
TÓM TẮT THÔNG TƯ 20/2019/TT-BTTTT
Ngày 31/12/2019, Bộ Thông tin và Truyền thông đã ra Thông tư 20/2019/TT-BTTTT về việc ban hành "Quy chuẩn kỹ thuật quốc gia về lắp đặt mạng cáp ngoại vi viễn thông" (QCVN 33:2019/BTTTT).
Cụ thể, Quy chuẩn kỹ thuật quốc gia này quy định về lắp đặt mạng cáp ngoại vi viễn thông và các thiết bị phụ trợ, nhằm bảo đảm an toàn cơ học, điện, điện tử cho mạng cáp, đồng thời bảo đảm an toàn cho người tham gia giao thông, cho người thi công, khai thác, bảo dưỡng mạng cáp, người dân sinh hoạt, cư trú trong khu vực mạng cáp cũng như đáp ứng các yêu cầu về quản lý và mỹ quan công trình, đô thị.
Trong đó, cáp treo phải được tính toán đảm bảo an toàn đối với các yếu tố về kết cấu cột, khoảng cách đối với các công trình khác và khoảng cách giữa các cột. Đối với các loại cáp khác không có kết cấu chịu lực, chỉ được treo khi bổ sung dây treo cáp hoặc treo trong các tuyến đã trang bị dây treo và khuyên đỡ bó cáp và có đầy đủ phụ kiện treo, néo đảm bảo đúng các yêu cầu thiết kế đưa ra.
Đặc biệt, không dựng cột treo cáp mới đối với các tuyến đường hiện có cột treo cáp. Trên mỗi cột treo cáp, mỗi doanh nghiệp cung cấp dịch vụ viễn thông (chủ sở hữu cáp) không treo nhiều hơn 01 tủ/hộp cáp và không được quấn cáp xung quanh thân cột. Quy chuẩn này không áp dụng đối với các tuyến cáp quang, cáp đồng thả biển.
Thông tư này có hiệu lực từ ngày 01/7/2020.
Xem chi tiết Thông tư 20/2019/TT-BTTTT có hiệu lực kể từ ngày 01/07/2020
Tải Thông tư 20/2019/TT-BTTTT
|
BỘ THÔNG TIN VÀ TRUYỀN THÔNG ---------------- Số: 20/2019/TT-BTTTT |
CỘNG HÒA XÃ HỘI CHỦ NGHĨA VIỆT NAM Độc lập - Tự do - Hạnh phúc ---------------------- Hà Nội, ngày 31 tháng 12 năm 2019 |
THÔNG TƯ
Ban hành “Quy chuẩn kỹ thuật quốc gia về lắp đặt
mạng cáp ngoại vi viễn thông”
----------------
Căn cứ Luật Tiêu chuẩn và Quy chuẩn kỹ thuật ngày 29 tháng 6 năm 2006;
Căn cứ Luật Viễn thông ngày 23 tháng 11 năm 2009;
Căn cứ Nghị định số 127/2007/NĐ-CP ngày 01 tháng 8 năm 2007 của Chính phủ quy định chi tiết và hướng dẫn thi hành một số điều của Luật Tiêu chuẩn và Quy chuẩn kỹ thuật;
Căn cứ Nghị định số 78/2018/NĐ-CP ngày 16 tháng 5 năm 2018 của Chính phủ sửa đổi, bổ sung một số điều của Nghị định số 127/2007/NĐ-CP ngày 01 tháng 8 năm 2007 của Chính phủ quy định chi tiết thi hành một số điều Luật tiêu chuẩn và quy chuẩn kỹ thuật;
Căn cứ Nghị định số 17/2017/NĐ-CP ngày 17 tháng 02 năm 2017 của Chính phủ quy định chức năng, nhiệm vụ, quyền hạn và cơ cấu tổ chức của Bộ Thông tin và Truyền thông;
Theo đề nghị của Vụ trưởng Vụ Khoa học và Công nghệ,
Bộ trưởng Bộ Thông tin và Truyền thông ban hành Thông tư quy định Quy chuẩn kỹ thuật quốc gia về lắp đặt mạng cáp ngoại vi viễn thông.
Điều 1. Ban hành kèm theo Thông tư này Quy chuẩn kỹ thuật quốc gia về lắp đặt mạng cáp ngoại vi viễn thông (QCVN 33:2019/BTTTT).
Điều 2. Hiệu lực thi hành
1. Thông tư này có hiệu lực thi hành kể từ ngày 01 tháng 7 năm 2020.
2. Quy chuẩn kỹ thuật quốc gia về lắp đặt mạng cáp ngoại vi viễn thông, Ký hiệu QCVN 33:2011/BTTTT quy định tại Khoản 11 Điều 1 Thông tư số 10/2011/TT-BTTTT ngày 14 tháng 4 năm 2011 của Bộ trưởng Bộ Thông tin và Truyền thông ban hành Quy chuẩn kỹ thuật quốc gia về viễn thông hết hiệu lực thi hành kể từ ngày 01 tháng 7 năm 2020.
Điều 3. Chánh Văn phòng, Vụ trưởng Vụ Khoa học và Công nghệ, Thủ trưởng các cơ quan, đơn vị thuộc Bộ Thông tin và Truyền thông, Giám đốc Sở Thông tin và Truyền thông các tỉnh, thành phố trực thuộc Trung ương và các tổ chức, cá nhân có liên quan chịu trách nhiệm thi hành Thông tư này./.
|
Nơi nhận: - Các Bộ, cơ quan ngang Bộ, cơ quan thuộc Chính phủ; - UBND và Sở TTTT các tỉnh, thành phố trực thuộc TW; - Cục Kiểm tra văn bản QPPL (Bộ Tư pháp); - Công báo, Cổng TTĐT Chính phủ; - Bộ TTTT: Bộ trưởng và các Thứ trưởng, Các cơ quan, đơn vị thuộc Bộ, Cổng thông tin điện tử của Bộ; - Lưu: VT, KHCN (250). |
BỘ TRƯỞNG
Nguyễn Mạnh Hùng |

CỘNG HÒA XÃ HỘI CHỦ NGHĨA VIỆT NAM
QCVN 33:2019/BTTTT
QUY CHUẨN KỸ THUẬT QUỐC GIA
VỀ LẮP ĐẶT MẠNG CÁP NGOẠI VI VIỄN THÔNG
National technical regulation
on installation of outside telecommunication cable network
HÀ NỘI - 2019
Mục lục
1. QUY ĐỊNH CHUNG...................................................................................................... 5
1.1. Phạm vi điều chỉnh.................................................................................................... 5
1.2. Đối tượng áp dụng.................................................................................................... 5
1.3. Tài liệu viện dẫn........................................................................................................ 5
1.4. Thuật ngữ, định nghĩa................................................................................................ 5
1.5. Chữ viết tắt............................................................................................................... 8
2. QUY ĐỊNH KỸ THUẬT.................................................................................................. 8
2.1. Quy định kỹ thuật đối với cáp treo.............................................................................. 8
2.1.1. Điều kiện sử dụng cáp treo....................................................................................... 8
2.1.2. Yêu cầu đối với cáp treo........................................................................................... 8
2.1.3. Yêu cầu đối với cột treo cáp...................................................................................... 8
2.1.4. Yêu cầu đối với tuyến cáp treo.................................................................................. 9
2.2. Quy định kỹ thuật đối với cáp trong cống bể ..................................................................11
2.2.1. Điều kiện sử dụng cáp trong cống bể ..........................................................................11
2.2.2. Yêu cầu đối với cáp trong cống bể........................................................................... 11
2.2.3. Yêu cầu đối với hầm cáp, hố cáp (bể cáp)............................................................... 11
2.2.4. Yêu cầu đối với tuyến cống bể................................................................................ 11
2.2.5. Tiếp đất và chống sét cho mạng cáp trong cống bể .....................................................13
2.3. Quy định kỹ thuật đối với cáp chôn trực tiếp ..................................................................14
2.3.1. Điều kiện sử dụng cáp chôn trực tiếp ...........................................................................14
2.3.2. Yêu cầu đối với cáp chôn trực tiếp........................................................................... 14
2.3.3. Yêu cầu đối với tuyến cáp chôn trực tiếp.................................................................. 14
2.3.4. Tiếp đất và chống sét cho mạng cáp chôn trực tiếp ....................................................16
2.4. Quy định kỹ thuật đối với cáp trong đường hầm .............................................................16
2.4.1. Điều kiện sử dụng cáp trong đường hầm .....................................................................16
2.4.2. Yêu cầu đối với cáp lắp đặt trong đường hầm.......................................................... 16
2.4.3. Yêu cầu kỹ thuật của đường hầm............................................................................ 16
2.4.4. Yêu cầu lắp đặt cáp trong đường hầm..................................................................... 17
2.4.5. Tiếp đất và chống sét cho mạng cáp trong đường hầm ............................................ 17
2.5. Quy định kỹ thuật đối với cáp qua sông ..........................................................................17
2.5.1. Điều kiện sử dụng cáp qua sông...................................................................................17
2.5.2. Yêu cầu đối với cáp qua sông.......................................................................................17
2.5.3. Yêu cầu đối với tuyến cáp qua sông.............................................................................17
2.5.4. Tiếp đất và chống sét cho mạng cáp qua sông.............................................................18
2.6. Quy định kỹ thuật đối với cáp thuê bao............................................................................18
2.6.1. Điều kiện sử dụng cáp thuê bao....................................................................................18
2.6.2. Yêu cầu đối với tuyến cáp thuê bao treo nổi.................................................................19
2.6.3.Yêu cầu đối với tuyến cáp thuê bao đi ngầm.................................................................20
2.7. Các quy định lắp đặt thiết bị phụ trợ khác.......................................................................21
2.7.1. Quy định lắp đặt tủ cáp, hộp cáp, bộ chia tín hiệu truyền hình ....................................21
2.7.2. Quy định ghi thông tin quản lý cáp và thiết bị phụ trợ .................................................23
2.8. Quy định về sắp xếp, chỉnh trang, thu hồi hệ thống cáp.................................................23
2.8.1. Sắp xếp, chỉnh trang cáp viễn thông............................................................................23
2.8.2. Xử lý cáp viễn thông, công trình hạ tầng kỹ thuật đi cáp viễn thông khi bị sự cố..........24
2.8. Quy định về quản lý dữ liệu............................................................................................24
3. QUY ĐỊNH VỀ QUẢN LÝ...................................................................................................24
4. TRÁCH NHIỆM CỦA TỔ CHỨC, CÁ NHÂN......................................................................25
5. TỔ CHỨC THỰC HIỆN......................................................................................................25
Phụ lục A (Quy định) Độ chùng tối thiểu của cáp đồng treo..................................................26
Phụ lục B (Quy định) Xác định hệ số che chắn của dây chống sét.........................................34
Phụ lục C (Tham khảo) Một số quy cách đấu nối cáp.............................................................37
Thư mục tài liệu tham khảo ......................................................................................47
Lời nói đầu
|
QCVN 33:2019/BTTTT thay thế QCVN 33:2011/BTTTT. QCVN 33:2019/BTTTT do Viện Khoa học Kỹ thuật Bưu điện biên soạn, Vụ Khoa học và Công nghệ trình duyệt, Bộ Khoa học và Công nghệ thẩm định, Bộ Thông tin và Truyền thông ban hành kèm theo Thông tư số 20/2019/TT-BTTTT ngày 31 tháng 12 năm 2019 |
|
QUY CHUẨN KỸ THUẬT QUỐC GIA
VỀ LẮP ĐẶT MẠNG CÁP NGOẠI VI VIỄN THÔNG
National technical regulation
on installation of outside telecommunication cable network
1. QUY ĐỊNH CHUNG
1.1. Phạm vi điều chỉnh
Quy chuẩn kỹ thuật quốc gia này quy định về lắp đặt mạng cáp ngoại vi viễn thông và các thiết bị phụ trợ, nhằm bảo đảm an toàn cơ học, điện, điện từ cho mạng cáp, đồng thời bảo đảm an toàn cho người tham gia giao thông, cho người thi công, khai thác, bảo dưỡng mạng cáp, người dân sinh hoạt, cư trú trong khu vực mạng cáp cũng như đáp ứng các yêu cầu về quản lý và mỹ quan công trình, đô thị.
Quy chuẩn này không áp dụng đối với các tuyến cáp quang, cáp đồng thả biển.
1.2. Đối tượng áp dụng
Quy chuẩn này áp dụng đối với các doanh nghiệp viễn thông, tổ chức được cấp giấy phép thiết lập mạng viễn thông và các cơ quan, tổ chức, cá nhân có hoạt động liên quan đến quản lý, thiết lập, vận hành khai thác mạng viên thông tại Việt Nam.
1.3. Tài liệu viện dẫn
Thông tư liên tịch số 21/2013/TTLT-BXD-BCT-BTTTT ngày 27 tháng 12 năm 2013 của Bộ Xây dựng, Bộ Công Thương, Bộ Thông tin và Truyền thông quy định về dấu hiệu nhận biết các loại đường dây, cáp và đường ống được lắp đặt vào công trình hạ tầng kỹ thuật sử dụng chung.
Thông tư số 11/2010/TT-BXD, ngày 17 tháng 8 năm 2010 của Bộ Xây dựng hướng dẫn về quản lý cơ sở dữ liệu công trình ngầm đô thị.
QCVN 07-3:2016/BXD, Quy chuẩn kỹ thuật quốc gia về “Các công trình hạ tầng kỹ thuật - Công trình hào và tuy nen kỹ thuật”.
QCVN 01:2008/BCT, Quy chuẩn kỹ thuật quốc gia về an toàn điện.
Nghị định số 11/2010/NĐ-CP ngày 24 tháng 02 năm 2010 của Chính phủ quy định về quản lý và bảo vệ kết cấu hạ tầng giao thông đường bộ.
Nghị định số 14/2014/NĐ-CP ngày 26 tháng 02 năm 2014 của Chính phủ quy định chi tiết thi hành Luật Điện lực về an toàn điện.
Nghị định số 56/2018/NĐ-CP ngày 16 tháng 4 năm 2018 của Chính phủ quy định về quản lý, bảo vệ kết cấu hạ tầng đường sắt.
1.4. Thuật ngữ, định nghĩa
1.4.1. Mạng cáp ngoại vi viễn thông (outside telecommunication cable network)
Bộ phận của mạng viễn thông chủ yếu nằm bên ngoài nhà trạm viễn thông, bao gồm tất cả các cáp viễn thông được treo nổi, chôn trực tiếp, đi trong cống bể, đi trong các đường hầm.
1.4.2. Cáp viễn thông (telecommunication cable)
Tên gọi chung chỉ cáp quang, cáp đồng, cáp đồng trục (cáp truyền hình) được dùng để truyền thông tin trong mạng viễn thông thuộc quản lý chuyên ngành của Bộ Thông tin và Truyền thông.
1.4.3. Cáp quang (optical fiber cable)
Cáp viễn thông dùng các sợi dẫn quang làm môi trường truyền dẫn tín hiệu.
1.4.4. Cáp đồng (copper cable)
Cáp viễn thông dùng các sợi đồng làm môi trường truyền dẫn.
1.4.5. Cáp đồng trục (coaxial cable)
Một loại cáp viễn thông có một dây dẫn bên trong được bọc lại bởi một lớp cách điện hình ống, được bao quanh bởi một lá chắn dẫn hình ống và lớp bảo vệ vỏ bên ngoài (cáp có dây dẫn bên trong và lá chắn bên ngoài chia sẻ một trục hình học, giữa 2 lớp là chất điện môi).
1.4.6. Cáp nhập trạm (tip cable/connector stub)
Đoạn cáp viễn thông nối từ bể nhập trạm, phòng hầm cáp hoặc cột treo cáp vào đến giá đấu dây MDF/DDF.
1.4.7. Cáp chính (main/primary/feeder cable)
Đoạn cáp viễn thông từ giá đấu dây (MDF/DDF) tới tủ cáp, hộp cáp, măng sông rẽ nhánh đầu tiên. Cáp chính còn gọi là cáp gốc, cáp sơ cấp.
1.4.8. Cáp phối (distribution cable)
Cáp viễn thông nối giữa các tủ cáp hoặc cáp nối từ tủ cáp tới các hộp cáp. Cáp phối còn gọi là cáp ngọn hay cáp thứ cấp.
1.4.9. Cáp treo (aerial cable)
Cáp viễn thông được chế tạo đề lắp đặt trên hệ thống đường cột và các cấu trúc đỡ khác.
1.4.10. Cáp cống (duct cable/conduit cable)
Cáp viễn thông được chế tạo để lắp đặt trong các hệ thống ống hoặc cống bể.
1.4.11. Cáp chôn trực tiếp (buried cable)
Cáp viễn thông được chế tạo để chôn trực tiếp trong đất.
1.4.12. Cáp thuê bao (lead-in cable)
Đoạn cáp viễn thông từ tủ cáp, hộp cáp, bộ chia tín hiệu truyền hình đến thiết bị đầu cuối đặt trong nhà thuê bao. Cáp thuê bao còn gọi là cáp vào nhà thuê bao hay dây thuê bao.
1.4.13. Thành phần kim loại (metallic member)
Bộ phận bằng kim loại của cáp không dùng để truyền dẫn tín hiệu, như vỏ bảo vệ, dây tiếp đất dọc cáp, màng ngăn ẩm hoặc thành phần gia cường cho cáp.
1.4.14. Cột treo cáp (pole)
Cột bằng thép, bê tông cốt thép hoặc vật liệu khác dùng để treo cáp viễn thông. Cột treo cáp có thể là cột treo cáp viễn thông riêng biệt hoặc cột của các ngành khác như điện lực....
1.4.15. Cột góc (angle pole)
Cột mà tại vị trí đó hướng tuyến cáp treo trên cột bị thay đổi.
1.4.16. Phòng hầm cáp (cable vault)
Một khoang ngầm hoặc nổi, nơi kết nối cáp bên ngoài và cáp nhập trạm.
1.4.17. Đường hầm (tunnel)
Một kết cấu có các dạng và kích thước khác nhau, đủ lớn được đặt dưới mặt đất dùng để lắp đặt các công trình ngoại vi viễn thông và cả các trang thiết bị của nhiều ngành khác (điện lực, cấp thoát nước ...), nhân viên có thể đi lại trong đường hầm đề lắp đặt, sửa chữa và bảo dưỡng các trang thiết bị được lắp đặt.
1.4.18. Bể cáp (jointing chamber)
Tên gọi chung chỉ một khoang ngầm dưới mặt đất dùng để lắp đặt cáp, chứa các măng sông và dự trữ cáp.
1.4.19. Hầm cáp (manhole - MH)
Bế cáp có kích thước đủ lớn, thường có trần hầm, nhân viên có thể xuống lắp đặt, sửa chữa và bảo dưỡng.
1.4.20. Hố cáp (handhole - HH)
Bể cáp có kích thước nhỏ, không có trần hầm, thường xây dựng trên tuyến nhánh để dẫn cáp cống tới tủ cáp, hộp cáp và nhà thuê bao.
1.4.21. Cống cáp (conduit/duct)
Những đoạn ống được ghép nối với nhau chôn ngầm dưới đất hoặc để nổi để bảo vệ và dẫn cáp.
1.4.22. Khoảng bể (span of manhole)
Khoảng cách giữa hai tâm của hai bể cáp liền kề nhau.
1.4.23. Trần hầm (manhole top)
Phần bên trên hầm bao gồm vai (thành), cổ và nắp hầm.
1.4.2.4. Nắp bể (chamber cover)
Phần có thể đậy hoặc mở ra để thi công cáp.
1.4.25. Rãnh cáp (trench)
Rãnh đào dùng để lắp đặt cống cáp hoặc đặt cáp chôn trực tiếp.
1.4.26. Tủ cáp (cross connection cabinet - CCC)
Một kết cấu dạng khung hộp bằng kim loại hoặc nhựa polyme kín, chống được nước mưa, là nơi kết nối giữa cáp chính và cáp phối hoặc cáp phối cấp 1 và cáp phối cấp 2 hoặc kết nối dây thuê bao giữa tủ cáp và nhà thuê bao.
1.4.27. Hộp cáp (distribution point - DP)
Kết cấu dạng hộp, nhỏ bằng kim loại hoặc polyme kín, chống được nước mưa, trong đó có các phiến nối dây với tổng dung lượng từ 10 đôi đến 50 đôi, dùng để nối cáp phối với cáp thuê bao. Hộp cáp được treo trên cột hoặc gắn trên tường.
1.4.28. Măng sông cáp (closure/joint closure)
Phụ kiện dùng để nối liền cáp, bảo đảm kín nước. Măng sông cáp có nhiều hình dạng khác nhau, có hai hoặc nhiều đầu nối.
1.4.29. Khuyên đỡ bó cáp (cable cradle)
Một kết cấu hình khuyên được sử dụng để treo, đỡ bó cáp viễn thông dọc tuyến cáp và bó cáp viễn thông sang đường; khuyên đỡ cáp được chế tạo bằng kim loại hoặc vật liệu khác có khả năng chịu lực và sự tác động của môi trường.
1.4.30. Dây treo cáp (wire hanging cable)
Dây chịu lực được cố định vào cột treo cáp, có tác dụng nâng, đỡ bó cáp viễn thông thông qua khuyên đỡ bó cáp, dây treo cáp được chế tạo từ cáp thép hoặc vật liệu khác có khả năng chịu lực và sự phá hủy của môi trường lắp đặt.
1.5. Chữ viết tắt
|
ITU-R |
Lĩnh vực Thông tin vô tuyến ITU-R của Liên minh Viễn thông quốc tế |
International Telecommunication Union - Radio communications sector
|
2. QUY ĐỊNH KỸ THUẬT
2.1. Quy định kỹ thuật đối với cáp treo
2.1.1. Điều kiện sử dụng cáp treo
a) Cáp viễn thông chỉ được phép treo trên hệ thống cột treo cáp đã được cơ quan có thẩm quyền cho phép xây dựng và được sự đồng ý của đơn vị chủ quản tuyến cột; đồng thời phải đảm bảo phù hợp với quy định về khu vực, tuyến đường được phép treo cáp của địa phương.
b) Khi treo 02 sợi cáp trở lên trên 01 tuyến cột tại các tuyến đường chính của thành phố, thị xã, thị trấn, đơn vị chủ quản tuyến cột hoặc đơn vị sở hữu cáp phải trang bị dây treo cáp và khuyên đỡ bó cáp.
2.1.2. Yêu cầu đối với cáp treo
a) Cáp được thiết kế chế tạo cho việc treo.
b) Cáp treo phải được tính toán đảm bảo an toàn đối với các yếu tố về kết cấu cột, khoảng cách đối với các công trình khác và khoảng cách giữa các cột.
c) Đối với các loại cáp khác không có kết cấu chịu lực, chỉ được treo khi: bổ sung dây treo cáp hoặc treo trong các tuyến đã trang bị dây treo và khuyên đỡ bó cáp và có đầy đủ phụ kiện treo, néo đảm bảo đúng các yêu cầu kỹ thuật thiết kế đưa ra.
2.1.3. Yêu cầu đối với cột treo cáp
2.1.3.1. Yêu cầu chung
a) Cột treo cáp viễn thông bằng bê tông cốt thép, thép hình hoặc vật liệu khác phải bảo đảm chất lượng theo quy định.
b) Các cột góc và cột chịu lực (cột nối cao, cột vượt đường) phải được thiết kế củng cố cột. Thiết kế củng cố cột có thể bằng dây co, chân chống, xây ụ quầy, đổ bờ lốc cột hoặc làm cột ghép.
c) Không dựng cột treo cáp mới đối với các tuyến đường hiện có cột treo cáp. Trên mỗi cột treo cáp, mỗi doanh nghiệp cung cấp dịch vụ viễn thông (chủ sở hữu cáp) không treo nhiều hơn 01 tủ/hộp cáp và không được quấn cáp xung quanh thân cột.
2.1.3.2. Yêu cầu về độ chôn sâu của cột treo cáp
Độ chôn sâu của cột treo cáp phụ thuộc vào cấp đất tại nơi chôn cột, chiều dài cột và các biện pháp gia cố do đơn vị thiết kế tính toán đảm bảo chất lượng theo thiết kế đã được phê duyệt.
2.1.3.3. Yêu cầu về khoảng cách tối đa giữa các cột treo cáp và độ căng tối đa của cáp.
a) Khoảng cách tối đa giữa các cột treo cáp trên cùng một tuyến phải được tính toán phù hợp với khả năng chịu tải của cột, độ cao, số lượng cáp treo và các yếu tố khác.
b) Độ căng tối đa phải nhỏ hơn độ căng tối đa cho phép của cáp.
2.1.3.4. Yêu cầu về cột treo cáp dưới đường dây điện lực
Yêu cầu về cột treo cáp dưới đường dây điện lực phải đảm bảo các quy định theo Nghị định số 14/2014/NĐ-CP và QCVN 01:2008/BCT.
2.1.4. Yêu cầu đối với tuyến cáp treo
2.1.4.1. Yêu cầu chung
a) Tuyến cáp treo phải thẳng (nếu điều kiện địa hình, không gian cho phép).
b) Tuyến cáp phải đi ngoài phạm vi giới hạn an toàn của các công trình khác như đường sắt, đường ô tô, đê điều, nhà máy, hầm mỏ, khu vực quân sự, sân bay... Khi tuyến cáp đi trong phạm vi an toàn của các công trình thì phải được sự đồng ý của đơn vị chủ quản công trình.
c) Cáp treo qua các cột có lắp đặt thiết bị điện (trạm biến áp, thiết bị đóng cắt, tụ bù) phải được lồng trong ống cách điện (để bảo vệ) và phải đi vòng phía dưới đảm bảo an toàn cách điện cho cáp.
d) Cáp vượt qua đường giao thông, qua cầu, qua sông trên sợi cáp tại vị tri thấp nhất phải treo biển báo độ cao.
đ) Khi treo cáp không được được phép quấn xung quanh thân cột.
h) Cáp dự phòng sau khi đã trừ đoạn cáp từ điếm bắt đầu trên cột xuống tới mặt đất, phần còn lại có chiều dài tối đa không quá 10 m, tất cả phần cáp dự phòng được quấn thành đường tròn (đường kính nhỏ hơn 0,6 m) đưa vào mặt sau của cột và được cố định chắc chắn, mỹ quan vào thân cột, điểm thấp nhất của vòng tròn cáp dự phòng cách mặt đất tối thiểu là 3 m. Khoảng cách giữa 02 vòng tròn cáp của 01 chủ sở hữu cáp tối thiểu 200 m.
e) Không treo tủ hoặc hộp cáp, bộ chia tín hiệu, măng sông, cáp dự phòng trên cột điện cao thế 110 KV trở lên, cây xanh, cột có lắp các thiết bị điện (trạm biến áp, thiết bị đóng cắt, tụ bù).
g) Cáp viễn thông treo phải gắn thẻ sở hữu tại các vị trí phù hợp (như cột góc, cáp qua đường...), theo quy định tại Thông tư liên tịch số 21/2013/TTLT-BXD-BCT-BTTTT. Khoảng cách tối đa giữa 2 thẻ không quá 300 m.
h) Tại những nơi có tuyến cáp treo (có trước), việc xây dựng đường dây tải điện phía trên phải tính toán để đảm bảo khoảng cách an toàn theo quy định của pháp luật về điện lực, áp dụng các biện pháp phòng chống ảnh hưởng để đảm bảo đường dây tải điện không gây ảnh hưởng nguy hiểm, ảnh hưởng nhiễu sang tuyến cáp treo và đảm bảo an toàn đường dây tải điện bị đứt.
2.1.4.2. Khoảng cách thẳng đứng nhỏ nhất giữa cáp treo đến các công trình kiến trúc khác, tính ở điểm treo cáp thấp nhất theo quy định của các ngành, đơn vị quản lý công trình theo quy định tại Nghị định số 11/2010/NĐ-CP, Nghị định số 14/2014/NĐ-CP và Nghị định số 56/2018/NĐ-CP.
2.1.4.3. Yêu cầu về khoảng cách giữa cáp treo và công trình kiến trúc khác
Khoảng cách ngang nhỏ nhất từ cáp treo đến các công trình kiến trúc khác theo quy định tại Bảng 1.
Bảng 1 - Khoảng cách ngang nhỏ nhất từ cáp treo đến
các công trình kiến trúc khác
|
Loại kiến trúc |
Khoảng cách (m) |
|
Đường cột treo cáp tới nhà cửa và các vật kiến trúc khác (*) |
3,5 |
|
Đường cột treo cáp tới mép vỉa hè, mép đường bộ (*) |
0,5 |
|
Từ cáp tới các cành cây gần nhất (*) |
0,5 |
|
CHÚ THÍCH: (*) Không bắt buộc nếu điều kiện địa hình, không gian không cho phép. Trường hợp lắp đặt cáp dọc tường nhà trạm viễn thông, tường nhà cao tầng có nhiều chủ sử dụng, phải chuyển sang đi cáp ngầm, đặt cáp trong ống nhựa gắn vào tường hoặc đặt trong thang cáp). |
|
2.1.5. Tiếp đất và chống sét cho mạng cáp treo
2.1.5.1. Các tuyến cáp đồng và cáp quang có thành phần kim loại phải tuân thủ các quy định về chống sét tại QCVN 32:2011/BITTT - Quy chuẩn kỹ thuật quốc gia về chống sét cho các trạm viễn thông và mạng cáp ngoại vi viễn thông.
2.1.5.2. Cáp treo là cáp đồng, cáp quang có vỏ bọc kim loại được bọc ngoài một lớp cách điện phải thực hiện tiếp đất như sau:
a) Tiếp đất dây treo cáp hoặc dây tự treo cáp bằng kim loại, khoảng cách giữa hai điểm tiếp đất gần nhau nhất không lớn hơn 300 m. Trị số điện trở tiếp đất theo quy định tại Bảng 2.
b) Tiếp đất vỏ kim loại cáp tại các hộp cáp. Trị số điện trở tiếp đất theo quy định tại Bảng 2.
Bảng 2 - Trị số điện trở tiếp đất cho dây treo cáp hoặc dây tự treo cáp
|
Điện trở suất của đất (Ω.m) |
< 50 |
51 ÷ 100 |
101 ÷ 300 |
301 ÷ 500 |
> 500 |
|
Điện trở tiếp đất (Ω) không lớn hơn |
5 |
6 |
7 |
10 |
12 |
CHÚ THÍCH: Để đảm bảo tuân thủ các yêu cầu tại Quy chuẩn này, có thể áp dụng các biện pháp bảo vệ như sau:
- Duy trì tính liên tục của các thành phần kim loại (dây treo, màng chắn từ...) trên toàn tuyến cáp.
- Lắp đặt các thiết bị bảo vệ trên các đôi dây kim loại tại giao diện đường dây và thiết bị.
- Lựa chọn cáp có giá trị dòng điện giới hạn (gây ra hư hỏng) lớn.
2.2. Quy định kỹ thuật đối với cáp trong cống bể
2.2.1. Điều kiện sử dụng cáp trong cống bể
Cáp trong cống bể được sử dụng trong các trường hợp sau đây:
a) Theo quy hoạch hạ tầng viễn thông thụ động của địa phương.
b) Ngoài các quy hoạch hạ tầng viễn thông thụ động của địa phương thì theo nhu cầu thực tế của doanh nghiệp hoặc các quy hoạch ngành, quy hoạch vùng.
2.2.2. Yêu cầu đối với cáp trong cống bể
a) Cáp đồng và cáp quang đi trong cống bể phải bảo đảm các yêu cầu về cơ, lý, hoá, điện, có khả năng chống ẩm, chống ăn mòn, chống côn trùng và động vật gặm nhấm theo tiêu chuẩn của doanh nghiệp và quy chuẩn kỹ thuật liên quan.
b) Cáp viễn thông kéo ngầm trong cống bể phái gắn thẻ sở hữu tại các vị trí phù hợp (bể cáp, hố ga) tuân thủ theo quy định tại Thông tư liên tịch số 21/2013/TTLT-BXD- BCT-BTTTT. Khoảng cách tối đa giữa các thẻ là 500 m.
2.2.3. Yêu cầu đối với hầm cáp, hố cáp (bể cáp)
2.2.3.1. Vị trí hầm cáp, hố cáp phải thuận tiện cho lắp đặt, bảo dưỡng, khai thác và bảo đảm an toàn, mỹ quan đô thị nhưng không làm ảnh hưởng đến các phương tiện giao thông và người đi lại. Hạn chế tối đa xây dựng hầm cáp, hố cáp tại các vị trí đường giao nhau và những nơi tập trung người đi lại như đường rẽ vào công sở cơ quan, điểm chờ xe buýt.
2.2.3.2. Nắp bể cáp phải ngang bằng so với mặt đường, mặt hè phố, không bập bênh, đảm bảo an toàn cho người và các phương tiện giao thông qua lại và phải ngăn được chất thải rắn lọt xuống hầm cáp, hố cáp.
2.2.3.3. Tuỳ thuộc vào vị trí lắp đặt bể cáp, nắp bể cáp phải chịu được tải trọng như quy định ở Bảng 3. Cần phải tính toán khả năng chịu tải của nắp bể cáp đối với trường hợp tải trọng lớn nhất của phương tiện có thể đi qua bể cáp.
Bảng 3 - Khả năng chịu tải trọng của nắp bể cáp
|
Khả năng chịu tải trọng của nắp bể cáp (kN) |
Vị trí lắp đặt bể cáp |
|
Không nhỏ hơn 125 |
Trên vỉa hè hoặc đường xe ô tô không thể vào được |
|
Không nhỏ hơn 250 |
Dưới lòng đường chỉ cho phép xe tải trọng dưới 5 tấn |
|
Không nhỏ hơn 400 |
Dưới lòng đường cao tốc, cho phép xe tải trọng dưới 10 tấn |
|
Không nhỏ hơn 600 |
Khu vực bến cảng, sân bay và các tuyến đường có xe tải trọng trên 10 tấn |
2.2.4. Yêu cầu đối với tuyến cống bể
2.2.4.1. Yêu cầu chung
a) Tuyến cống bể phải thẳng (nếu điều kiện địa hình, không gian cho phép).
b) Góc đổi hướng tuyến cống bể không lớn hơn 90°. Giữa hai hầm cáp hoặc hố cáp liền kề chỉ được phép có một góc đổi hướng bằng 90°.
c) Trong trường hợp tuyến đường thực tế có góc đổi hướng lớn hơn 90°, thiết kế phải tính toán bảo đảm yêu cầu chất lượng.

Hình 1 - Góc đổi hướng tuyến cống bể
c) Tùy theo điều kiện địa hình, không gian, tuyến cống bể phải được xây dựng theo thứ tự ưu tiên từ cao đến thấp như sau:
- Tuyến cống bể đi dưới vỉa hè hoặc giải phân cách giữa hai làn đường.
- Tuyến cống bể dưới lòng đường, đi sát về một bên lề đường, nếu là đường một chiều thì chọn lề bên tay phải theo hướng đi đường một chiều.
- Tuyến cống bể không cắt ngang qua đường sắt. Trường hợp bắt buộc phải cắt ngang đường sắt phải chọn vị trí thích hợp cách xa chỗ có mật độ các phương tiện giao thông lớn.
d) Khi thiết kế mới hoặc sửa chữa, nâng cấp các tuyến hầm cáp, hố cáp, cống cáp, và khi điều kiện địa hình, không gian cho phép, phải thực hiện ngầm hóa tới tận nhà thuê bao, tới chân cột chuyển tiếp lên tuyến cáp treo.
2.2.4.2. Yêu cầu về độ sâu lắp đặt cống cáp và khoảng cách giữa các cống cáp
Độ sâu lắp đặt cống cáp tính từ đỉnh của lớp cống cáp trên cùng đến mặt đất phải đảm bảo quy định sau:
a) Dưới lòng đường tối thiểu là 0,7 m.
b) Dưới vỉa hè hoặc giải đất phân cách đường một chiều tối thiểu là 0,5 m.
c) Nếu không đạt độ sâu quy định tại a) và b) thì phải có biện pháp gia cố, bảo vệ.
d) Khoảng cách tối thiểu giữa hai ống nhựa liền kề là 30 mm.
e) Khoảng cách tối thiểu từ đáy bể cáp đến mép dưới ống nhựa dưới cùng là 200 mm.
2.2.4.3. Yêu cầu về khoảng cách giữa đường cống cáp với các công trình khác
a) Khoảng cách nhỏ nhất giữa đường cống cáp với các đường ống cấp nước, cống, nước thải, các ống dẫn khí, xăng dầu như quy định trong Bảng 4.
Bảng 4 - Khoảng cách nhỏ nhất giữa đường cống cáp với các công trình ngầm khác
|
Trạng thái đi gần của đường cống cáp |
Khoảng cách nhỏ nhất đến các công trình ngầm khác (m) |
||||
|
Đường ống nước, cỡ ống Ф (mm) |
Cống nước thải |
Các ống dẫn khí, xăng dầu |
|||
|
< 300 |
300 ÷ 400 |
> 400 |
|||
|
Song song |
1 |
1,5 |
2 |
1 |
0,6 |
|
Giao chéo |
0,25 |
0,25 |
0,25 |
0,25 |
0,3 |
CHÚ THÍCH: Trong mọi trường hợp tuyến cống cáp khi đi gần các công trình ngầm khác phải tuân theo quy định về khoảng cách an toàn của công trình ngầm này.
b) Khoảng cách nhỏ nhất giữa đường cống cáp với cáp điện lực, đường sắt phải đảm bảo theo yêu cầu của ngành điện lực tại Nghị định số 14/2014/NĐ-CP, của ngành đường sắt tại Nghị định số 56/2018/NĐ-CP.
CHÚ THÍCH:
- Cáp viễn thông ngầm khi vượt qua cáp điện lực phải đi bên trên cáp điện lực ngầm. Trường hợp một trong hai cáp có vỏ bọc bằng kim loại hoặc được đặt trong ống kim loại thì khoảng cách tại chỗ giao chéo có thể giảm xuống >0,25 m.
- Trong trường hợp không thể đạt được khoảng cách song song với cáp điện lực như quy định trong bảng này, cho phép giảm khoảng cách đó xuống đến 0,25 m đối với cáp điện lực có điện áp đến 10 kV. Đối với cáp điện lực có điện áp lớn hơn 10 kV thì cho phép khoảng cách đó giảm xuống 0,25 m nhưng một trong hai cáp đó phải đặt trong ống kim loại.
c) Khoảng cách giữa đường cống cáp với một số kiến trúc khác như quy định trong Bảng 5.
Bảng 5 - Khoảng cách nhỏ nhất giữa đường cống cáp với một số kiến trúc khác
|
Loại kiến trúc |
Khoảng cách nhỏ nhất khi cống cáp đi song song (m) |
Khoảng cách nhỏ nhất khi cống cáp đi giao chéo (m) |
|
Cột điện, cột treo cáp viễn thông |
0,5 |
- |
|
Mép vỉa hè |
1,0 |
- |
|
Móng cầu vượt, đường hầm |
0,6 |
- |
|
Móng tường, hàng rào |
1,0 |
- |
2.2.5. Tiếp đất và chống sét cho mạng cáp trong cống bể
2.2.5.1. Cáp đồng và cáp quang có thành phần kim loại trong cống bể phải tuân thủ các quy định về tiếp đất chống sét tại QCVN 32:2011/BTTTT.
2.2.5.2. Đối với cáp đồng, phải nối đất vỏ bọc kim loại và đai sắt dọc theo tuyến cáp tại các vị trí hầm cáp. Khoảng cách giữa hai điểm tiếp đất gần nhau nhất không lớn hơn 300 m. Điện trở tiếp đất được quy định trong Bảng 6.
Bàng 6 - Điện trở tiếp đất vỏ kim loại của cáp đồng
|
Điện trở suất của đất (Ω.m) |
≤ 100 |
101 ÷ 300 |
301 ÷ 500 |
> 500 |
|
Điện trở tiếp đất (Ω) không lớn hơn |
20 |
30 |
35 |
45 |
2.2.5.3. Đối với cáp quang có thành phần kim loại, phải thực hiện tiếp đất thành phần kim loại dọc theo tuyến cáp như đối với cáp đồng.
2.2.5.4. Nếu chuyển tiếp cáp (cáp đồng và cáp quang) đi trong cống bể sang cáp treo, thì tại chỗ nối giữa cáp treo và cáp đi trong cống bể phải tiếp đất các thành phần kim loại (màng chắn từ, dây tiếp đất dọc cáp, dây gia cường và dây treo cáp bằng kim loại).
CHÚ THÍCH: Để hạn chế rủi ro thiệt hại do sét, có thể áp dụng các biện pháp bảo vệ như sau:
- Đảm bảo và duy trì tính liên tục của các thành phần kim loại (màn chắn điện từ, thành phần gia cường...) tại các mối nối và tại các tủ cáp, hộp cáp dọc tuyến.
- Ở nơi có hoạt động dông sét cao phải sử dụng loại cáp có lớp vỏ nhôm hoặc vỏ nhôm - thép có bọc ngoài bằng Polyethylene (PE).
- Sử dụng các thiết bị bảo vệ phù hợp ở các vị trí phù hợp.
- Sử dụng dây chống sét: Hiệu quả bảo vệ của dây chống sét được xác định thông qua hệ số che chắn (ƞ). Việc xác định hệ số che chắn của dây chống sét theo quy định tại Phụ lục B.
2.3. Quy định kỹ thuật đối với cáp chôn trực tiếp
2.3.1. Điều kiện sử dụng cáp chôn trực tiếp
Cáp chôn trực tiếp được sử dụng trong các trường hợp sau đây:
a) Tuyến cáp có dung lượng lớn, ổn định lâu dài.
b) Trong vùng hoặc khu vực đã hoặc tương đối ổn định về các công trình xây dựng.
c) Các tuyến cáp cần đảm bảo độ ổn định tránh các tác động bên ngoài.
2.3.2. Yêu cầu đối với cáp chôn trực tiếp
Cáp viễn thông chôn trực tiếp là loại cáp có vỏ bằng kim loại hoặc chất dẻo đặt trực tiếp trong đất. Cáp đồng và cáp quang chôn trực tiếp phải bảo đảm các yêu cầu về cơ, lý, hoá, điện có khả năng chống ẩm, chống ăn mòn, chống côn trùng và động vật gặm nhấm theo tiêu chuẩn kỹ thuật.
2.3.3. Yêu cầu đối với tuyến cáp chôn trực tiếp
2.3.3.1. Yêu cầu chung
a) Tuyến cáp phải ngắn nhất (trong điều kiện địa hình, không gian cho phép).
b) Đảm bảo khoảng cách an toàn từ cáp đến các công trình ngầm khác như đường ống cấp nước, cống nước thải, ống xăng dầu trong cống ngầm theo quy định tại Bảng 4.
c) Đảm bảo khoảng cách nhỏ nhất giữa tuyến cáp chôn trực tiếp với cáp điện lực, đường sắt theo quy định an toàn của ngành điện lực, đường sắt.
d) Đảm bảo khoảng cách nhỏ nhất giữa tuyến cáp chôn trực tiếp với một số kiến trúc khác theo quy định tại Bảng 4.
e) Trường hợp phải sử dụng cáp chôn trực tiếp tại khu vực đang trong quá trình xây dựng hoặc chưa ổn định về kiến trúc xây dựng đô thị thì phải sử dụng băng báo hiệu phía trên cáp chôn ít nhất 10 cm, hoặc sử dụng cột mốc để báo hiệu.

Hình 2 - Đặt dải băng báo hiệu trên tuyến cáp chôn trực tiếp
f) Tuyến cáp chôn trực tiếp phải tuân theo thứ tự ưu tiên từ cao đến thấp như sau:
- Chôn cáp dưới vỉa hè hoặc dải phân cách giữa hai làn đường.
- Chôn cáp dưới lòng đường. Trong trường hợp này tuyến cáp phải đi sát về một bên lề đường, nếu là đường một chiều thì chọn lề bên tay phải theo hướng đi đường một chiều.
- Cáp viễn thông kéo ngầm phải gắn thẻ sở hữu (được làm bằng chất liệu chịu được ẩm ướt) tại các vị trí: Bể cáp, hố ga; tủ hoặc hộp cáp tuân thủ theo quy định tại Quy chuẩn này.
- Trong trường hợp đi cáp viễn thông ngầm trong lòng mương, cống thoát nước thì phải có biện pháp bảo vệ cáp thích hợp và không làm ảnh hưởng đến dòng chảy của nước. Trong quá trình thi công không được làm ảnh hưởng đến cây xanh hiện có.
g) Tuyến cáp viễn thông ngầm phải có dấu hiệu nhận biết đường dây, cáp và đường ống chôn ngầm theo quy định tại Thông tư liên tịch số 21/2013/TTLT-BXD-BCT- BTTTT.
2.3.3.2. Yêu cầu đối với rãnh cáp
a) Kích thước rãnh cáp phải tính toán phù hợp với số lượng, loại và phương pháp bảo vệ cáp.
b) Độ sâu của rãnh cáp phụ thuộc vào cấp đất như quy định tại Bảng 7.
Bảng 7 - Độ sâu của rãnh cáp
|
Loại cáp |
Độ sâu của rãnh cáp (m) ứng với cấp đất |
||
|
Cấp I, II |
Cấp III |
Cấp IV |
|
|
Cáp đồng |
0,9 |
0,5 |
0,3 |
|
Cáp quang |
1,2 |
0,7 |
0,5 |
|
CHÚ THÍCH: 1. Nếu cáp đồng và cáp quang chôn chung một rãnh phải áp dụng độ sâu của rãnh cáp quang. Các cáp cùng loại phải được bố trí về một phía của rãnh. 2. Nếu không thể đạt được độ sâu rãnh cáp như quy định (do có đá ngầm, địa hình núi đá...) hoặc lắp đặt trong khu vực có nguy cơ bị hư hỏng do đào bới, xói lở thì cần phải thực hiện các biện pháp bảo vệ thích hợp. |
|||
2.3.3.3. Yêu cầu về khoảng cách an toàn giữa cáp viễn thông chôn trực tiếp và hệ thống điện lực.
a) Để tránh ảnh hưởng tăng điện thế đất do dòng điện sự cố chảy qua các hệ thống tiếp đất điện lực, cáp viễn thông có vỏ kim loại tiếp xúc trực tiếp với đất phải cách xa tiếp đất của điện lực. Nếu điều kiện của vùng không thể cách xa, phải sử dụng cáp viễn thông có vỏ bọc chịu điện áp cao hoặc đặt cáp trong ống nhựa cách ly với đất.
b) Ở những khu vực có độ tăng điện thế đất quá lớn, cần thay cáp đồng bằng cáp quang hoặc sử dụng hệ thống vi ba để thay thế. Khoảng cách nhỏ nhất giữa cáp viễn thông có vỏ kim loại tiếp xúc trực tiếp với đất và tiếp đất của hệ thống điện cao thế phải đảm bảo yêu cầu vệ an toàn điện theo QCVN 01:2008/BCT, các quy định liên quan đến an toàn điện, đồng thời phải được phép của đơn vị quản lý điện lực.
c) Để phòng chống tiếp xúc trực tiếp giữa cáp điện lực và cáp viễn thông chôn trực tiếp khi giao chéo phải cho cáp viễn thông vào ống nhựa PVC cứng và đặt giao chéo trên cáp điện cao thế, khoảng cách theo quy định tại Bảng 4.
2.3.4. Tiếp đất và chống sét cho mạng cáp chôn trực tiếp
2.3.4.1. Tiếp đất và chống sét cho cáp chôn trực tiếp như quy định tại mục 2.2.5.
2.3.4.2. Quy cách sử dụng dây chống sét ngầm như sau:
a) Không cần dùng dây chống sét, khi ρ nhỏ hơn 100 Ω.m;
b) Dùng một dây chống sét ngầm, khi ρ có giá trị từ 100 Ω.m đến 1 000 Ω.m;
c) Dùng hai dây chống sét ngầm, khi ρ có giá trị từ 1 000 Ω.m đến 3 000 Ω.m;
d) Đặt cáp trong ống thép, khi ρ lớn hơn 3 000 Ω.m.
Hiệu quả bảo vệ của dây chống sét được xác định thông qua hệ số che chắn (ƞ). Xác định hệ số che chắn của dây chống sét theo quy định tại Phụ lục B.
2.4. Quy định kỹ thuật đối với cáp trong đường hầm
2.4.1. Điều kiện sử dụng cáp trong đường hầm
Sử dụng cáp trong đường hầm tại những khu vực có nhiều cáp mà dung lượng ống tại cống bể không đáp ứng được, đặc biệt là các khu vực nhập đài, khi dung lượng trên 10 000 đôi sợi.
Những nơi đã được xây dựng đường hầm dùng chung cho phép lắp đặt cáp ngầm.
2.4.2. Yêu cầu đối với cáp lắp đặt trong đường hầm
Cáp viễn thông đi trong đường hầm phải bảo đảm các yêu cầu về cơ, lý, hoá, điện có khả năng chống ẩm, chống ăn mòn, chống côn trùng và động vật gặm nhấm theo tiêu chuẩn kỹ thuật.
2.4.3. Yêu cầu kỹ thuật của đường hầm
2.4.3.1. Đường hầm phải được xây dựng bằng vật liệu đảm bảo yêu cầu theo thiết kế. Các thành phần kim loại bên trong đường hầm như ke đỡ cáp, các chi tiết cố định, định vị... phải làm bằng vật liệu có độ bền với môi trường ẩm ướt hoặc bằng thép có khả năng chống rỉ.
2.4.3.2. Dọc theo đường hầm có bố trí các điểm tiếp đất, khoảng cách giữa hai điểm tiếp đất gần nhau nhất không lớn hơn 300 m. Điện trở tiếp đất được quy định trong Bảng 6.
2.4.3.3. Đường hầm phải có lối đi thuận tiện cho việc lắp đặt, kiểm tra, sửa chữa và bảo dưỡng. Chiều cao lối đi trong đường hầm tối thiểu 1,9 m và chiều rộng tối thiểu 0,7 m. Độ sâu của đường hầm tính từ trần hầm tới mặt đất phải tính toán sao cho không ảnh hưởng đến các công trình ngầm bên trên.
2.4.3.4. Đường hầm cáp phải được trang bị một hệ thống chiếu sáng thích hợp bằng nguồn điện đảm bảo cho công việc lắp đặt, hàn nối, bảo dưỡng và sửa chữa.
2.4.3.5. Đường hầm phải được trang bị hệ thống thông hơi, thông gió đảm bảo nhiệt độ và độ ẩm, chống cháy nổ, chống ăn mòn, ngăn khói xâm nhập, giảm bớt các khí độc do hàn nối.
2.4.3.6. Bên trong đường hầm phải có biển báo chỉ rõ các lối ra vào đường hầm và các cửa thoát hiểm (nếu có).
2.4.3.7. Phải đảm bảo điều kiện môi trường trong đường hầm không gây nguy hiểm cho sức khoẻ con người trong khi làm việc hoặc kiểm tra.
2.4.3.8. Đường hầm dùng chung cho nhiều ngành khác nhau như viễn thông, điện lực, cấp nước, thoát nước... phải có sự thống nhất về vị trí, không gian lắp đặt các thiết bị trong đường hầm (cáp điện lực, đường ống cấp và thoát nước...) và phải đảm bảo các điều kiện an toàn cho cáp viễn thông.
2.4.4. Yêu cầu lắp đặt cáp trong đường hầm
2.4.4.1. Phải có khoảng hở giữa thành đường hầm và các đường ống, giữa các đường ống với nhau để thuận tiện cho bảo dưỡng và sửa chữa.
2.4.4.2. Khoảng cách giữa ống dẫn cáp viễn thông với cáp điện lực tối thiểu là 0,3 m.
2.4.4.3. Phải có các biện pháp thích hợp để chống côn trùng gặm nhấm và chống ăn mòn điện hoá cho cáp.
2.4.4.4. Cáp phải được đánh dấu theo quy định tại Thông tư liên tịch số 21/2013/TTLT-BXD-BCT-BTTTT.
2.4.5. Tiếp đất và chống sét cho mạng cáp trong đường hầm
Tiếp đất và chống sét cho cáp trong đường hầm như quy định tại mục 2.2.5.
2.5. Quy định kỹ thuật đối với cáp qua sông
2.5.1. Điều kiện sử dụng cáp qua sông
Cáp qua sông được sử dụng trong các trường hợp sau:
a) Khi tuyến cáp vượt qua các đoạn sông, hồ lớn... mà các phương pháp lắp đặt cáp khác không thể thực hiện được.
b) Cáp qua sông có thể được thiết kế đặt trên cầu, treo qua sông hoặc thả qua sông.
2.5.2. Yêu cầu đối với cáp qua sông
2.5.2.1. Cáp thả qua sông phải được chọn có độ gia cường phù hợp với tốc độ dòng chảy và độ sâu của lòng sông.
2.5.2.2. Cáp đặt trên cầu phải chịu được rung, hoặc có biện pháp chống rung.
2.5.2.3. Cáp treo qua sông phải tính toán dây treo bảo đảm độ chùng, lực căng, chịu được tải trọng của bản thân cáp và tác động của gió bão cho khoảng vượt lớn.
2.5.3. Yêu cầu đối với tuyến cáp qua sông
2.5.3.1. Yêu cầu đối với tuyến cáp đặt trên cầu
a) Vị trí và kỹ thuật lắp đặt ống dẫn cáp trên cầu phải được sự thoả thuận giữa đơn vị quản lý cầu và các đơn vị quản lý công trình cáp.
b) Các ống dẫn cáp phải được lắp đặt chắc chắn trên cầu và không làm ảnh hưởng đến kết cấu và độ vững chắc của cầu.
c) Phải bố trí hầm hoặc hố cáp tại hai đầu đoạn cáp qua cầu và dự trữ lượng cáp dư tối thiểu là 5 m đối với cáp đồng và tối thiểu là 15 m đối với cáp quang.
d) Phải đánh dấu vị trí cáp qua cầu.
2.5.3.2. Yêu cầu đối với tuyến cáp treo qua sông
a) Chiều cao của cột vượt sông phải đảm bảo tuyến cáp vượt sông có khoảng cách an toàn cho các loại phương tiện giao thông đi lại bên dưới và các yêu cầu khác có liên quan của ngành giao thông.
b) Các cột treo cáp qua sông phải được gia cố móng, củng cố bằng dây co, đảm bảo chịu được các tải trọng tác động.
c) Không được bố trí cột góc làm cột vượt sông.
d) Lực căng của cáp không được vượt quá giới hạn lực căng cho phép của cáp.
2.5.3.3. Yêu cầu đối với tuyến cáp thả qua sông
a) Vị trí lắp đặt cáp thả qua sông phải cách xa khu vực tàu thuyền neo đậu tối thiểu 100 m.
b) Khoảng cách từ cáp viễn thông đến cáp điện lực cùng đặt trong nước, nơi không có tàu thuyền neo đậu không nhỏ hơn 20 m.
c) Chiều sâu rãnh cáp tối thiểu là 1,5 m và chiều rộng rãnh cáp tối thiểu là 1 m.
d) Cáp thả sông phái được đặt trong ống thép mạ kẽm, đường kính của ống được lựa chọn phù hợp với kích thước cáp lắp đặt bên trong.
e) Đoạn ống qua sông phải được đặt vào chính giữa rãnh cáp, sau khi được đặt cố định vào rãnh cáp phải đậy các tấm panel bê tông có kích thước 1 000 x 500 x 300 (mm) lên trên ống.
f) Phải lấp đầy rãnh cáp đến mặt đáy sông.
g) Hai đầu của đoạn cáp qua sông phải bố trí hầm cáp hoặc hố cáp.
h) Phải có lượng cáp dư ở hai bên bờ cho việc sửa chữa sau này. Lượng cáp dư đối với cáp đồng tối thiểu là 5 m và lượng cáp dư đối với cáp quang tối thiểu là 15 m.
i) Phải đánh dấu đoạn cáp qua sông ở hai bên bờ.
2.5.4 Tiếp đất và chống sét cho mạng cáp qua sông
Tiếp đất và chống sét cho cáp qua sông như quy định tại mục 2.2.5.
2.6. Quy định kỹ thuật đối với cáp thuê bao
2.6.1. Điều kiện sử dụng cáp thuê bao
2.6.1.1. Cáp thuê bao được sử dụng khi nối thiết bị đầu cuối nhà thuê bao với điểm đấu cáp của tủ cáp, hộp cáp, hố cáp, bộ chia tín hiệu truyền hình gần nhất.
2.6.1.2. Cáp thuê bao được lắp đặt theo một trong hai phương thức: treo nổi hoặc đi ngầm.
2.6.2. Yêu cầu đối với tuyến cáp thuê bao treo nổi
2.6.2.1. Yêu cầu chung
a) Chiều dài tuyến cáp thuê bao phải phù hợp với thiết kế, phải đảm bảo suy hao đường dây nằm trong phạm vi cho phép của doanh nghiệp.
b) Không được kéo cáp thuê bao ngang qua đường, phố; trên các dải phân cách giữa hai làn đường, vắt trên cây xanh, treo trên cột đèn chiếu sáng đô thị..
c) Cáp thuê bao đi trên tường phải được ghim chặt vào tường ở các vị trí cách đều nhau không quá 1 m. Khi có nhiều cáp thuê bao đi trên tường thì phải cho cáp đi trong ống nhựa và ghim chặt vào tường.
d) Không được để cáp thuê bao dự phòng tại các cột treo cáp.
2.6.2.2. Yêu cầu về khoảng cách giữa cáp thuê bao treo nổi với các công trình kiến trúc
a) Khoảng cách thẳng đứng nhỏ nhất giữa cáp thuê bao treo nổi với các công trình giao thông, tính từ điểm thấp nhất của cáp được nêu tại Bảng 8.
Bảng 8 - Khoảng cách nhỏ nhất cho phép giữa cáp thuê bao treo nổi
với các công trình giao thông
|
Vị trí |
Khoảng cách (m) |
Ghi chú |
|
Vượt qua ngõ, hẻm, đường vào nhà thuê bao |
4 |
Tính đến mặt ngõ, hẻm, đường vào nhà thuê bao |
|
Dọc theo ngõ, hẻm, đường vào nhà thuê bao |
3,5 |
Tính đến mặt ngõ, hẻm, đường vào nhà thuê bao |
|
Vượt qua đường thủy tàu bè đi lại bên dưới |
1 |
Tính đến điểm cao nhất của phương tiện đi lại bên dưới ở thời điểm nước cao nhất. |
b) Khoảng cách nhỏ nhất giữa cáp thuê bao treo nổi với các công trình kiến trúc khác được nêu tại Bảng 9.
Bảng 9 - Khoảng cách nhỏ nhất giữa cáp thuê bao treo nổi với các công trình kiến trúc khác
|
Công trình kiến trúc khác |
Khoảng cách nhỏ nhất (m) |
|
Đường dây điện một pha 220 V hoặc ba pha 380 V, kể cả các dây dẫn đất và dây trung tính |
|
|
+ Trần |
0,1 |
|
+ Trong ống |
0,05 |
|
Kim thu sét và dây dẫn sét |
1.8 |
|
Tất cả các dây đất, trừ dây dẫn tiếp đất của kim thu sét |
0,05 |
|
Các đường ống kim loại (ống nước, nước thải) và kết cấu kim loại của tòa nhà |
0,05 |
|
Các đường ống dẫn khí đốt |
0,15 |
|
CHÚ THÍCH: 1. Khoảng cách trong bảng áp dụng với cả các chỗ giao chéo và đi song song. 2. Nếu không thể đạt được khoảng cách tối thiểu như trong bảng, cáp thuê bao phải được lắp đặt trong ống nhựa PVC. |
|
2.6.3. Yêu cầu đối với tuyến cáp thuê bao đi ngầm
2.6.3.1. Yêu cầu chung
a) Cáp thuê bao đi ngầm tới nhà thuê bao được lắp đặt dưới vỉa hè, lòng đường, phố, ngõ hoặc đường vào nhà thuê bao bằng cách đi trong ống hoặc chôn trực tiếp.
b) Độ chôn sâu tối thiểu đối với ống dẫn cáp thuê bao, hoặc cáp thuê bao chôn trực tiếp như sau:
- 0,5 m khi đặt dưới lòng đường, phố;
- 0,3 m trên vỉa hè, trong khu vực ngõ, đường vào nhà thuê bao.
c) Ở những vị trí không thể lắp đặt cáp ở độ sâu trên phải lắp đặt cáp theo một trong các phương pháp sau:
- Cáp đi trong ống thép đặt trong rãnh cáp hoặc trên mặt đất nhưng phải đảm bảo an toàn, mỹ quan và không gây cản trở cho người và phương tiện qua lại.
- Cáp đi trong ống nhựa PVC đặt trong rãnh cáp và đậy tấm đan bê tông dày tối thiểu 50 mm bên trên.
d) Cáp chôn trực tiếp hoặc đi trong ống khi vào nhà phải đặt trong ống nhựa PVC uốn cong hoặc ống thép, ống được đi ngầm trong móng bê tông hoặc uốn cong phía ngoài nhà với bán kính uốn cong tối thiểu 300 mm.
e) Cáp thuê bao đi ngầm từ dưới đất hoặc hố cáp đi lên tường nhà hoặc cột treo cáp phải được lắp đặt trong ống nhựa PVC và được ghim chắc chắn vào mặt tường, mặt cột treo cáp bằng các đai ốp hoặc đai thép quấn quanh cột ở các vị trí cách đều nhau không quá 1 m.
2.6.3.2. Yêu cầu về khoảng cách giữa cáp thuê bao đi ngầm với các công trình kiến trúc
Khoảng cách nhỏ nhất trong đất giữa cáp thuê bao với cáp điện (cáp điện lưới nhà thuê bao) chôn cùng rãnh hoặc giao chéo quy định trong Bảng 10.
Bảng 10 - Khoảng cách nhỏ nhất trong đất giữa cáp thuê bao với cáp điện chôn cùng rãnh hoặc giao chéo
|
Vị trí |
Khoảng cách nhỏ nhất trong đất (m) |
||
|
Có ống bẳo vệ |
Có che chắn bảo vệ khác |
Không có che chắn bảo vệ |
|
|
Chôn dưới vỉa hè, lòng đường, phố |
0,1 |
0,1 |
0,1 |
|
Chôn trong khu vực ngõ, đường vào nhà thuê bao |
Xem chú thích |
0,1 |
0,1 |
|
CHÚ THÍCH: 1. Không cần phân cách nếu cả cáp thuê bao vá cáp điện được lắp đặt trong ống bảo vệ. 2. Cáp thuê bao lắp đặt chung rãnh với cáp điện phải được lốp đặt trong ống nhựa PVC cứng. 3. Cáp thuê bao được lắp đặt về một phía của rãnh và ở phía trên cáp điện dọc toàn bộ chiều dài cáp. Tại vị trí giao chéo cáp thuê bao phải ở phía trên cáp điện lực. 4. Khi lắp đặt chung rãnh với cáp điện cần phải xem cáp điện có che chắn bằng tấm đan bê tông, gạch hoặc ống PVC cứng hay không để áp dụng các khoảng cách như quy định trong bảng này. |
|||
2.6.4. Tiếp đất và chống sét cho cáp thuê bao
2.6.4.1. Cáp thuê bao là cáp treo hoặc cáp chôn phải thực hiện tiếp đất dây treo và vỏ kim loại của cáp. Giá trị điện trở tiếp đất được quy định tại Bảng 11.
2.6.4.2. Nếu có thiết bị bảo vệ đường dây thuê bao thì điện trở tiếp đất các thiết bị bảo vệ này phải đảm bảo giá trị quy định tại Bảng 11.
Bảng 11 - Trị số điện trở tiếp đất cho cáp thuê bao
|
Điện trở suất của đất (Ω.m) |
≤ 100 |
101 ÷ 300 |
301 ÷ 500 |
> 500 |
|
Điện trở tiếp đất (Ω) không lớn hơn |
30 |
45 |
55 |
75 |
2.7. Các quy định lắp đặt thiết bị phụ trợ khác
2.7.1. Quy định lắp đặt tủ cáp, hộp cáp, bộ chia tín hiệu truyền hình
2.7.1.1. Yêu cầu chung
a) Lắp đặt tủ cáp, hộp cáp, bộ chia tín hiệu truyền hình phải đảm bảo chắc chắn, an toàn, mỹ quan và thuận tiện cho bảo dưỡng.
b) Màng chắn từ của cáp được nối đất tương tự như đối với cáp treo.
c) Tủ cáp, hộp cáp lắp trên cột phải bố trí ở mặt sau cột (nhìn từ đường vào) hoặc 2 bên cột và được cố định chắc chắn vào thân cột bằng đai chống rỉ.
d) Việc lắp đặt các thiết bị tủ cáp, hộp cáp, măng sông, bộ chia tín hiệu trên công trình công cộng phải đảm bảo yêu cầu kỹ thuật, tính thẩm mỹ và được đồng ý của đơn vị chủ quản công trình đó.
2.7.1.2. Yêu cầu lắp đặt tủ cáp
a) Tủ cáp được lắp đặt trên cột, trên bệ xây hoặc lắp trong đường hầm.
b) Không được lắp đặt tủ cáp tại các cột nằm ngay vị trí giao nhau của đường giao thông.
c) Không được lắp đặt tủ cáp trên cột điện lực có treo trạm biến áp. Tủ cáp lắp đặt bên dưới các đường dây điện lực phải là tủ có vỏ bằng vật liệu cách điện.
d) Cột lắp đặt tủ cáp phải cách vạch kẻ phần đường dành cho người đi bộ qua đường về phía ngoài khu vực đường giao nhau không nhỏ hơn 5 m.
e) Khoảng cách từ mép vỉa hè đến điểm gần nhất của giá đỡ tủ cáp, bệ tủ cáp không nhỏ hơn 30 cm.
f) Tủ cáp treo trên cột được lắp đặt ở độ cao so với mặt đất (tính từ điểm thấp nhất của tủ cáp) tối thiểu là 2 m, đối với địa bàn ngập lụt phải thiết kế độ cao cho phù hợp thực tế. Không lắp bệ ghế kiểm tra cáp đối với các tuyến đường thuộc nội thành và quốc lộ, tỉnh lộ.
g) Tủ cáp lắp đặt trên bệ phải có độ cao đảm bảo tủ cáp không bị ngập nước trừ trường hợp xẩy ra lũ lụt.
h) Cáp ngầm đi vào tủ cáp hoặc đi ra khỏi tủ cáp phải được đặt trong ống dẫn cáp bằng nhựa, ống dẫn có thể dùng loại ống PVC cứng, thanh dẫn cáp hoặc ống sun mền. Ống dẫn cáp, thanh dẫn cáp được đặt thẳng dọc thân cột và cố định chắc chắn vào cột bằng các đai thép không rỉ, khoảng cách giữa các đai không lớn hơn 50 cm.
i) Không lắp mới các tủ cáp có kích thước ngoài vượt quá:
- 850 x 250 x 200 mm (cao x rộng x sâu) đối với tủ cáp đồng
- 500 x 400 x 150 mm (cao x rộng x sâu) đối với tủ cáp quang.
- Trường hợp cần loại tủ, hộp có kích thước lớn hơn để nhiều nhà mạng cùng sử dụng thì phải được sự đồng ý của cơ quan quản lý nhà nước chuyên ngành tại địa phương.
k) Tủ cáp lắp đặt trên bệ phải được bố trí tại vị trí phù hợp, đảm bảo hạn chế tối đa ảnh hưởng đến an toàn của người dân sinh sống và hoạt động quanh khu vực; đảm bảo an toàn kỹ thuật và mỹ quan đô thị.
l) Tủ hoặc hộp cáp phải ghi tên chủ sở hữu.
2.7.1.3. Yêu cầu lắp đặt hộp cáp, bộ chia tín hiệu truyền hình
a) Hộp cáp, bộ chia tín hiệu truyền hình được lắp trên cột hoặc trên tường nhà.
b) Hộp cáp, bộ chia tín hiệu truyền hình lắp đặt trên tường nhà phải có khoảng cách đến mặt đất không nhỏ hơn 2 m. Cáp đi vào và dây cáp đi ra khỏi hộp cáp, bộ chia tín hiệu phải được đặt trong ống nhựa lắp trên tường nhà hoặc được ghim vào tường bằng các đai thép không rỉ; Khoảng cách giữa các đai không lớn hơn 50 cm.
c) Hộp cáp lắp trên cột phải có độ cao so với mặt đất như sau (tính từ điểm thấp nhất của hộp cáp, bộ chia);
- Hộp cáp:
+ Địa bàn không ngập lụt, lũ: ≥ 1,5 m.
+ Địa bàn ngập lụt, lũ: ≥ 2,5 m.
- Bộ chia tín hiệu truyền hình: ≥ 2,5 m.
Cáp đi vào và dây cáp đi ra trên bề mặt cột phải được đặt trong ống nhựa hoặc thanh dẫn cáp. Ống dẫn cáp, thanh dẫn cáp phải đặt thằng dọc thân cột và cố định chắc chắn vào cột bằng các đai thép không rỉ. Khoảng cách giữa các đai không lớn hơn 50 cm.
d) Không lắp mới hộp cáp có kích thước vượt quá 470 x 330 x 127 mm.
e) Măng sông và bộ chia tín hiệu phải được bố trí trong các tủ hoặc hộp cáp hoặc cố định vào thân cột. Điểm thấp nhất của măng sông, bộ chia tín hiệu phải cách mặt đất không dưới 2,5 m.
2.7.1.4. Tiếp đất cho tủ cáp, hộp cáp
a) Dây nối đất tủ cáp, hộp cáp phải là vật liệu dẫn điện, tiết diện dây không nhỏ hơn 25 mm2 và được đặt trong ống nhựa.
b) Trị số điện trở tiếp đất cho tủ cáp, hộp cáp và các thiết bị bảo vệ tại tủ cáp, hộp cáp như quy định tại Bảng 2.
2.7.2. Quy định ghi thông tin quản lý cáp và thiết bị phụ trợ
2.7.2.1. Trên cửa tủ cáp, nắp hộp cáp, nắp bộ chia tín hiệu truyền hình, nắp bể cáp và cột treo cáp phải ghi thông tin quản lý. Thông tin quản lý phải được thể hiện rõ ràng, bền vững theo thời gian.
Các thông tin quản lý:
a) Thông tin bắt buộc: Tên đơn vị quản lý tủ cáp, hộp cáp, bộ chia tín hiệu truyền hình, bể cáp, cột treo cáp (tên đầy đủ hoặc ký hiệu tên của doanh nghiệp).
b) Thông tin tùy chọn:
- Ký hiệu đơn vị quản lý trực tiếp tủ cáp, hộp cáp, bộ chia tín hiệu truyền hình, bể cáp, cột treo cáp;
- Số của tủ cáp, hộp cáp, bộ chia tín hiệu truyền hình, bể cáp, cột treo cáp;
- Các thông tin khác.
2.7.2.2. Trên các cáp viễn thông treo nổi qua các khu vực giao thông theo quy định của cơ quan quản lý, phải treo biển báo độ cao trên sợi cáp thấp nhất và tại vị trí thấp nhất. Thông tin trên biển báo độ cao phải được thề hiện rõ ràng, bền vững theo thời gian.
Các thông tin bắt buộc trên biển báo độ cao:
- Tên đơn vị quản lý cáp: Tên đầy đủ hoặc ký hiệu tên của doanh nghiệp;
- Chỉ số độ cao: khoảng cách thẳng đứng ngắn nhất của cáp treo so với mặt đường giao thông.
2.8. Quy định về thu hồi, sắp xếp, chỉnh trang hệ thống cáp
2.8.1. Thu hồi, sắp xếp, chỉnh trang hệ thống cáp viễn thông
a) Loại bỏ và thu hồi cáp hỏng, cáp không sử dụng, cáp thuê bao vượt qua đường và măng sông, tủ/hộp cáp, bộ chia tín hiệu đã hư hoặc không còn sử dụng.
b) Kéo căng, buộc gọn hệ thống dây cáp viễn thông, đưa vào gông gom (nếu có);
c) Sắp xếp cáp dự phòng, măng sông, tủ/hộp cáp treo trên cột theo đúng quy định tại Quy định này;
d) Duy tu, bảo dưỡng, gia cố, thay thế cột không đảm bảo yêu cầu kỹ thuật, gây ảnh hưởng đến an toàn giao thông và mỹ quan đô thị.
e) Các đơn vị chủ quản cột, các đơn vị sử dụng cột có trách nhiệm kiểm tra, rà soát, sắp xếp, chỉnh trang, làm gọn hệ thống cáp treo viễn thông tối đa sáu tháng một lần hoặc theo kế hoạch của Ủy ban nhân dân các tỉnh, thành phố.
f) Đối với những tuyến cột trong khu vực đô thị có ít nhất 02 tuyến cáp được lắp đặt trước khi các quy định trong quy chuẩn này và quy định khác có liên quan được ban hành, đơn vị sở hữu cáp hoặc đơn vị sở hữu cột phải trang bị dây treo cáp, khuyên đỡ bó cáp chủ động xây dựng kế hoạch thu hồi, sắp xếp, chỉnh trang theo Quy chuẩn này, và báo cáo cơ quan quản lý tại địa phương.
2.8.2. Xử lý cáp viễn thông, công trình hạ tầng kỹ thuật đi cáp viễn thông khi bị sự cố
a) Khi cáp viễn thông, công trình hạ tầng kỹ thuật đi cáp viễn thông và các thiết bị phụ trợ bị sự cố thì chủ sở hữu phải bố trí lực lượng có mặt kịp thời để xử lý nhằm đảm bảo an toàn giao thông và thông tin được thông suốt, đồng thời báo cho Sở Thông tin và Truyền thông biết để phối hợp xử lý (nếu cần).
b) Khi cột treo cáp viễn thông bị gãy hoặc bị nghiêng thì các đơn vị có cáp đi treo trên cột đó phải có trách nhiệm phối hợp với chủ sở hữu cột để xử lý tùy thuộc vào thỏa thuận ban đầu giữa các bên.
2.9. Quy định về quản lý dữ liệu
Các công trình lắp đặt cáp ngoại vi viễn thông ngầm sau khi được nghiệm thu và đưa vào sử dụng, Chủ đầu tư phải có trách nhiệm thực hiện việc cung cấp dữ liệu công trình theo quy định tại Thông tư số 11/2010/TT-BXD.
3. QUY ĐỊNH VỀ QUẢN LÝ
3.1. Việc sử dụng cáp treo, cáp trong cống bể, cáp chôn trực tiếp, cáp trong đường hầm, cáp qua sông phải phù hợp với quy hoạch và các quy định khác của cơ quan quản lý ở địa phương.
3.2. Việc lắp đặt các thiết bị phụ trợ (tủ cáp, hộp cáp, bộ chia tin hiệu truyền hình, cống cáp, bể cáp, rãnh cáp, cột treo cáp) trên công trình công cộng phải tuân thủ các quy định hiện hành của cơ quan quản lý ở địa phương. Nếu lắp đặt trên công trình của đơn vị chủ quản nào phải được sự đồng ý của đơn vị chủ quản công trình đó.
3.2. Các doanh nghiệp viễn thông khi thiết kế, lắp đặt cáp ngoại vi viễn thông và thiết bị phụ trợ phải tuân thủ các quy định nêu trong Quy chuẩn này.
3.3. Các doanh nghiệp viễn thông phải phối hợp với đơn vị liên quan trong việc đảm bảo mạng cáp ngoại vi viễn thông và phải phối hợp với đơn vị liên quan trong trường hợp mạng cáp ngoại vi viễn thông của doanh nghiệp viễn thông bị ảnh hưởng khi xây dựng các công trình hạ tầng kỹ thuật khác.
3.4. Các doanh nghiệp viễn thông phải cung cấp đầy đủ, kịp thời các tài liệu, thông tin có liên quan đến việc xây dựng, khai thác mạng cáp ngoại vi viễn thông theo quy định hiện hành.
4. TRÁCH NHIỆM CỦA TỔ CHỨC, CÁ NHÂN
4.1. Các doanh nghiệp viễn thông, tổ chức được cấp giấy phép thiết lập mạng viễn thông có trách nhiệm đảm bảo mạng cáp ngoại vi viễn thông phù hợp với Quy chuẩn trong quá trình thiết kế, lắp đặt, vận hành, bảo dưỡng.
4.2. Doanh nghiệp viễn thông, tổ chức được cấp giấy phép thiết lập mạng viễn thông có trách nhiệm thu hồi các cáp ngoại vi viễn thông và thiết bị phụ trợ đã hỏng, không sử dụng.
4.3. Các doanh nghiệp viễn thông, tổ chức được cấp giấy phép thiết lập mạng viễn thông có mạng cáp ngoại vi viễn thông chịu sự kiểm tra thường xuyên, đột xuất của cơ quan quản lý nhà nước theo các quy định hiện hành.
4.4. Các doanh nghiệp viễn thông khi lắp đặt cáp ngoại vi viễn thông phải gửi kế hoạch cho Sở Thông tin và Truyền thông địa phương để quản lý, theo dõi.
5. TỔ CHỨC THỰC HIỆN
5.1. Cục Viễn thông và các Sở Thông tin và Truyền thông có trách nhiệm hướng dẫn và tổ chức triển khai quản lý các mạng cáp ngoại vi viễn thông theo Quy chuẩn này.
5.2. Các Sở Thông tin và Truyền thông có trách nhiệm chủ trì, phối hợp với các cơ quan liên quan và doanh nghiệp viễn thông nghiên cứu, xây dựng, trình Ủy ban nhân dân tỉnh, thành phố trực thuộc Trung ương phê duyệt quy hoạch sử dụng cáp treo, cáp trong cống bể, cáp chôn trực tiếp, cáp trong đường hầm, cáp qua sông tại địa phương và các kế hoạch, dự án cải tạo hệ thống mạng cáp ngoại vi viễn thông tại địa phương phù hợp với Quy chuẩn này.
5.3. Quy chuẩn này được áp dụng thay thế cho Quy chuẩn kỹ thuật quốc gia về lắp đặt mạng cáp ngoại vi viễn thông, ký hiệu QCVN 33:2011/BTTTT.
5.4. Trong trường hợp các quy định nêu tại Quy chuẩn này có sự thay đổi, bổ sung hoặc được thay thế thì thực hiện theo quy định tại văn bản mới.
5.5. Trong quá trình triển khai thực hiện Quy chuẩn này, nếu có vấn đề phát sinh, vướng mắc, các tổ chức và cá nhân có liên quan phản ánh bằng văn bản về Bộ Thông tin và Truyền thông (Vụ Khoa học và Công nghệ) để được hướng dẫn, giải quyết ./.
QCVN 33:2019/BTTTT
Phụ lục A
(Tham khảo)
Độ chùng tối thiểu của cáp đồng treo
A.1. Độ chùng tối thiểu của cáp đồng treo (S)
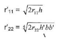
A.1.1. Độ chùng tối thiểu của cáp đồng treo s được tính theo công thức:

Trong đó:
S: là độ chùng tối thiểu, tính bằng mm;
f: là ứng suất lớn nhất có thể chấp nhận được đối với dây treo khi không có gió, tính bằng kPa;
L: là chiều dài khoảng cột, tính bằng m; Qs là hệ số tải tĩnh khi không có gió:

Với:
Wt là tổng trọng lượng của cáp, dây treo và chất cách điện, tính bằng kg/km; Wb là trọng lượng chỉ của dây treo, tính bằng kg/km.
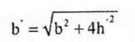
A.1.2. Mối quan hệ giữa độ chùng tối thiểu s và độ căng tối đa T:

Trong đó:
T: Độ căng tối đa, tính bằng N
d: là đường kính hoặc đường kính tương đương của dây treo, tính bằng mm.

Hình A.1 - Độ chùng của cáp.
A.2. Bảng tính sẵn độ chùng tối thiểu và độ căng tối đa của cáp đồng treo theo nhiệt độ và chiều dài khoảng cột cho các loại cáp đồng và dây treo cáp khác nhau
Xem các Bảng từ A.1 đến A.18.
Bảng A.1 - Độ căng tối đa T (N) và độ chùng tối thiếu S (mm) của cáp 10
đôi, cỡ sợi 0,4 mm, dây treo lõi 1/2,75 mm
|
Nhiệt độ (°C) |
Chiều dài khoảng cột(m) |
|||||||||||||||||
|
30 |
35 |
40 |
45 |
50 |
55 |
60 |
65 |
70 |
||||||||||
|
T |
S |
T |
S |
T |
S |
T |
S |
T |
S |
T |
S |
T |
S |
T |
S |
T |
S |
|
|
5 |
1120 |
130 |
1110 |
180 |
1110 |
240 |
1070 |
310 |
1030 |
400 |
990 |
500 |
950 |
620 |
920 |
750 |
890 |
900 |
|
10 |
1050 |
140 |
1050 |
190 |
1050 |
250 |
1010 |
330 |
970 |
420 |
940 |
530 |
910 |
650 |
880 |
780 |
860 |
940 |
|
15 |
090 |
150 |
9S0 |
200 |
990 |
270 |
960 |
350 |
930 |
440 |
900 |
550 |
870 |
680 |
850 |
820 |
830 |
970 |
|
20 |
930 |
160 |
930 |
220 |
930 |
280 |
910 |
370 |
880 |
470 |
860 |
580 |
840 |
710 |
820 |
850 |
800 |
1000 |
|
25 |
8/0 |
170 |
870 |
230 |
880 |
300 |
860 |
390 |
840 |
490 |
820 |
610 |
800 |
740 |
790 |
880 |
780 |
1040 |
|
30 |
810 |
180 |
820 |
250 |
830 |
320 |
810 |
410 |
800 |
520 |
780 |
640 |
770 |
770 |
760 |
910 |
750 |
1070 |
|
35 |
750 |
200 |
770 |
260 |
730 |
340 |
770 |
430 |
760 |
540 |
750 |
660 |
740 |
800 |
730 |
950 |
730 |
1110 |
|
40 |
700 |
210 |
720 |
280 |
740 |
360 |
730 |
460 |
720 |
570 |
720 |
690 |
710 |
830 |
710 |
980 |
710 |
1140 |
|
50 |
610 |
240 |
630 |
320 |
660 |
400 |
660 |
510 |
660 |
620 |
660 |
750 |
660 |
890 |
660 |
1040 |
670 |
1210 |
Bảng A.2 - Độ căng tối đa T (N) và độ chùng tối thiểu S (mm) của cáp 20 đôi, cỡ
sợi 0,4 mm, dây treo lõi 1/2,75 mm
|
Nhiệt độ (°C) |
Chiều dài khoảng cột (m) |
|||||||||||||||||
|
30 |
35 |
40 |
45 |
50 |
55 |
60 |
65 |
70 |
||||||||||
|
T |
S |
T |
S |
T |
S |
T |
S |
T |
S |
T |
S |
T |
S |
T |
S |
T |
S |
|
|
8 |
1110 |
180 |
1100 |
250 |
1070 |
340 |
1030 |
440 |
1000 |
570 |
960 |
710 |
940 |
870 |
910 |
1040 |
900 |
1230 |
|
10 |
1060 |
190 |
1040 |
260 |
1020 |
350 |
990 |
460 |
960 |
590 |
930 |
730 |
910 |
890 |
890 |
1070 |
870 |
1260 |
|
15 |
990 |
200 |
990 |
280 |
970 |
370 |
940 |
480 |
920 |
610 |
900 |
760 |
880 |
920 |
870 |
1100 |
850 |
1300 |
|
20 |
940 |
220 |
940 |
290 |
930 |
390 |
900 |
500 |
890 |
640 |
870 |
790 |
860 |
950 |
840 |
1130 |
830 |
1330 |
|
25 |
880 |
230 |
890 |
310 |
880 |
410 |
870 |
530 |
850 |
660 |
840 |
810 |
830 |
980 |
820 |
1160 |
810 |
1360 |
|
30 |
830 |
240 |
850 |
330 |
840 |
430 |
830 |
550 |
820 |
690 |
810 |
840 |
810 |
1010 |
300 |
1190 |
800 |
1390 |
|
35 |
790 |
260 |
800 |
340 |
810 |
450 |
800 |
570 |
790 |
710 |
793 |
860 |
790 |
1030 |
780 |
1220 |
780 |
1420 |
|
40 |
740 |
270 |
760 |
360 |
770 |
470 |
770 |
590 |
770 |
730 |
770 |
890 |
760 |
1080 |
760 |
1250 |
760 |
1450 |
|
50 |
660 |
310 |
690 |
400 |
710 |
510 |
710 |
640 |
720 |
780 |
720 |
940 |
730 |
1120 |
730 |
1300 |
730 |
1510 |
Bảng A.3 - Độ căng tối đa T (N) và độ chùng tối thiểu S (mm) của cáp 30 đôi, cỡ sợi 0,4 mm, dãy treo lõi 1/2,75 mm
|
Nhiệt độ (°C) |
Chiều dài khoảng cột (m) |
||||||||||||||||||
|
30 |
35 |
40 |
45 |
50 |
55 |
60 |
65 |
70 |
|||||||||||
|
T |
S |
T |
S |
T |
S |
T |
S |
T |
S |
T |
S |
T |
S |
T |
S |
T |
S |
||
|
5 |
1100 |
210 |
1060 |
300 |
1010 |
410 |
970 |
550 |
940 |
700 |
910 |
870 |
990 |
1060 |
870 |
1280 |
850 |
1510 |
|
|
10 |
1040 |
230 |
1010 |
320 |
970 |
430 |
940 |
570 |
910 |
720 |
S90 |
900 |
870 |
7090 |
850 |
1300 |
840 |
1530 |
|
|
15 |
990 |
240 |
960 |
330 |
930 |
450 |
900 |
590 |
880 |
750 |
860 |
920 |
850 |
1120 |
830 |
1330 |
820 |
1560 |
|
|
20 |
940 |
250 |
920 |
350 |
890 |
470 |
370 |
610 |
850 |
770 |
840 |
950 |
830 |
1140 |
820 |
1360 |
810 |
1590 |
|
|
25 |
890 |
260 |
880 |
370 |
860 |
490 |
940 |
630 |
830 |
790 |
820 |
970 |
810 |
1170 |
800 |
1380 |
790 |
1620 |
|
|
30 |
850 |
280 |
840 |
380 |
820 |
510 |
910 |
650 |
800 |
820 |
800 |
1000 |
790 |
1200 |
790 |
1410 |
780 |
1650 |
|
|
35 |
800 |
290 |
800 |
400 |
790 |
530 |
790 |
580 |
780 |
840 |
780 |
1020 |
770 |
1220 |
770 |
1440 |
770 |
1670 |
|
|
40 |
760 |
310 |
770 |
420 |
760 |
550 |
760 |
700 |
760 |
860 |
760 |
1050 |
760 |
1250 |
760 |
1470 |
760 |
1700 |
|
|
50 |
690 |
340 |
700 |
460 |
710 |
590 |
720 |
740 |
720 |
720 |
720 |
110 |
730 |
1300 |
730 |
7520 |
730 |
1750 |
|
Bảng A.4 - Độ căng tối đa T (N) và độ chùng tối thiểu S (mm) của cáp 50 đôi, cỡ
sợi 0,4 mm, dây treo lõi 1/2,75 mm
|
Nhiệt độ (°C) |
Chiểu dài khoảng cột (m) |
|||||||||||||||||
|
30 |
35 |
40 |
45 |
50 |
55 |
60 |
65 |
70 |
||||||||||
|
T |
S |
T |
S |
T |
S |
T |
S |
T |
S |
T |
S |
T |
S |
T |
S |
T |
S |
|
|
5 |
1080 |
300 |
1050 |
420 |
1020 |
570 |
990 |
740 |
970 |
930 |
950 |
1150 |
930 |
1390 |
920 |
1650 |
910 |
1930 |
|
10 |
1030 |
310 |
1010 |
440 |
990 |
590 |
960 |
760 |
940 |
950 |
930 |
1170 |
920 |
1410 |
910 |
1670 |
900 |
1960 |
|
15 |
990 |
330 |
980 |
450 |
960 |
600 |
940 |
780 |
920 |
970 |
910 |
1190 |
900 |
1430 |
900 |
1700 |
890 |
1980 |
|
20 |
950 |
340 |
940 |
470 |
930 |
620 |
910 |
600 |
900 |
1000 |
900 |
1220 |
890 |
1460 |
880 |
1720 |
880 |
2010 |
|
25 |
910 |
360 |
910 |
480 |
900 |
640 |
890 |
820 |
090 |
1020 |
080 |
1240 |
880 |
1480 |
870 |
1740 |
870 |
2030 |
|
30 |
880 |
370 |
880 |
500 |
880 |
660 |
870 |
840 |
870 |
1040 |
870 |
1260 |
860 |
1500 |
860 |
1770 |
860 |
2050 |
|
35 |
840 |
380 |
850 |
520 |
850 |
680 |
850 |
850 |
850 |
1060 |
850 |
1280 |
850 |
1520 |
850 |
1790 |
850 |
2080 |
|
40 |
810 |
400 |
830 |
530 |
830 |
690 |
830 |
880 |
840 |
1080 |
840 |
1300 |
840 |
1550 |
840 |
1810 |
840 |
2100 |
|
50 |
760 |
430 |
780 |
570 |
790 |
730 |
800 |
910 |
800 |
1120 |
810 |
1340 |
820 |
1590 |
820 |
1860 |
820 |
2140 |
Bảng A.5 - Độ căng tối đa T (N) và độ chùng tối thiểu S (mm) của cáp 70 đôi, cỡ
sợi 0,4 mm, dây treo lõi 7/1,25 mm
|
Nhiệt độ (°C) |
Chiều dài khoảng cột (m) |
|||||||||||||||||
|
30 |
35 |
40 |
45 |
50 |
55 |
60 |
65 |
70 |
||||||||||
|
T |
S |
T |
S |
T |
S |
T |
S |
T |
S |
T |
S |
T |
S |
T |
S |
T |
S |
|
|
5 |
2560 |
180 |
2550 |
250 |
2550 |
330 |
2540 |
420 |
2530 |
520 |
2520 |
630 |
2510 |
750 |
2500 |
880 |
2490 |
1020 |
|
10 |
2470 |
190 |
2470 |
260 |
2460 |
340 |
2460 |
430 |
2450 |
530 |
2450 |
640 |
2440 |
770 |
2440 |
900 |
2430 |
1050 |
|
15 |
2380 |
200 |
2380 |
270 |
2380 |
350 |
2380 |
440 |
2380 |
550 |
2380 |
660 |
2380 |
790 |
2380 |
920 |
2380 |
1070 |
|
20 |
2290 |
200 |
2290 |
280 |
2300 |
360 |
2300 |
460 |
2310 |
560 |
2310 |
680 |
2320 |
810 |
2320 |
950 |
2320 |
1100 |
|
25 |
2200 |
210 |
2210 |
290 |
2220 |
380 |
2230 |
470 |
2240 |
580 |
2250 |
700 |
2260 |
830 |
2250 |
970 |
2270 |
1120 |
|
30 |
2110 |
220 |
2130 |
300 |
2140 |
390 |
2160 |
490 |
2170 |
600 |
2190 |
720 |
2200 |
850 |
2210 |
1000 |
2220 |
1150 |
|
35 |
2030 |
230 |
2050 |
310 |
2070 |
400 |
2090 |
500 |
2110 |
620 |
2130 |
740 |
2140 |
870 |
2160 |
1020 |
2170 |
1170 |
|
40 |
1950 |
240 |
1970 |
320 |
2000 |
420 |
2020 |
520 |
2050 |
640 |
2070 |
760 |
2090 |
900 |
2110 |
1040 |
2130 |
1200 |
|
50 |
1790 |
260 |
1830 |
350 |
1860 |
450 |
1900 |
560 |
1930 |
670 |
1960 |
800 |
1990 |
940 |
2010 |
1090 |
2040 |
1250 |
Bảng A.6 - Độ căng tối đa T (N) và độ chùng tối thiểu S (mm) của cáp 100 đôi,
cỡ sợi 0,4 mm, dây treo lõi 7/1,25 mm
|
Nhiệt độ (°C) |
Chiều dài khoảng cột (m) |
|||||||||||||||||
|
30 |
35 |
40 |
45 |
50 |
55 |
60 |
65 |
70 |
||||||||||
|
T |
S |
T |
S |
T |
S |
T |
S |
T |
S |
T |
S |
T |
S |
T |
S |
T |
S |
|
|
5 |
2550 |
230 |
2540 |
310 |
2530 |
410 |
2520 |
520 |
2510 |
640 |
2500 |
780 |
2490 |
930 |
2480 |
1090 |
2470 |
1270 |
|
10 |
2460 |
230 |
2460 |
320 |
2450 |
420 |
2450 |
530 |
2440 |
660 |
2440 |
809 |
2430 |
950 |
2430 |
1120 |
2420 |
1300 |
|
16 |
2380 |
240 |
2380 |
330 |
2380 |
430 |
2380 |
550 |
2380 |
670 |
2380 |
820 |
2380 |
970 |
2380 |
1140 |
2380 |
1320 |
|
20 |
2300 |
250 |
2300 |
340 |
2310 |
450 |
2310 |
560 |
2320 |
590 |
2320 |
340 |
2330 |
9S0 |
2330 |
1150 |
2340 |
1350 |
|
25 |
2210 |
260 |
2230 |
350 |
2240 |
460 |
2250 |
580 |
2260 |
710 |
2270 |
860 |
2280 |
1010 |
2290 |
1190 |
2290 |
1370 |
|
30 |
2130 |
270 |
2150 |
370 |
2170 |
470 |
21S0 |
590 |
2200 |
730 |
2220 |
880 |
2230 |
1040 |
2240 |
1210 |
2250 |
1400 |
|
35 |
2060 |
280 |
2080 |
380 |
2110 |
490 |
2130 |
610 |
2150 |
750 |
2170 |
900 |
2180 |
1060 |
2200 |
1230 |
2210 |
1420 |
|
40 |
1980 |
290 |
2010 |
390 |
2040 |
500 |
2070 |
630 |
2100 |
770 |
2120 |
920 |
2140 |
1080 |
2160 |
1260 |
2180 |
1450 |
|
50 |
1840 |
310 |
1880 |
420 |
1930 |
530 |
1960 |
660 |
2000 |
800 |
2030 |
950 |
2060 |
1120 |
2080 |
1300 |
2100 |
1500 |
Bảng A.7 - Độ căng tối đa T (N) và độ chùng tối thiểu S (mm) của cáp 10 đôi, cỡ sợi 0,64 mm, dây treo lõi 1/2,75 mm
|
Nhiệt độ (°C) |
Chiều dài khoảng cột (m) |
|||||||||||||||||
|
30 |
35 |
40 |
45 |
50 |
55 |
60 |
65 |
70 |
||||||||||
|
T |
S |
T |
S |
T |
S |
T |
S |
T |
S |
T |
S |
T |
S |
T |
S |
T |
S |
|
|
5 |
1110 |
190 |
1090 |
260 |
1050 |
350 |
1010 |
470 |
970 |
600 |
940 |
740 |
910 |
910 |
890 |
1100 |
870 |
1300 |
|
10 |
1050 |
200 |
1040 |
270 |
1000 |
370 |
970 |
490 |
940 |
620 |
910 |
770 |
890 |
940 |
870 |
1130 |
850 |
1330 |
|
15 |
990 |
210 |
990 |
290 |
950 |
390 |
930 |
510 |
900 |
640 |
880 |
800 |
660 |
970 |
850 |
1160 |
830 |
1360 |
|
20 |
940 |
220 |
940 |
300 |
910 |
410 |
890 |
530 |
870 |
670 |
850 |
820 |
840 |
1000 |
830 |
1190 |
820 |
1390 |
|
25 |
880 |
240 |
890 |
320 |
870 |
430 |
850 |
550 |
840 |
690 |
830 |
850 |
810 |
1020 |
810 |
1210 |
800 |
1420 |
|
30 |
840 |
250 |
850 |
340 |
830 |
450 |
820 |
570 |
810 |
720 |
800 |
880 |
790 |
1050 |
790 |
1240 |
780 |
1450 |
|
35 |
790 |
260 |
800 |
350 |
800 |
470 |
790 |
600 |
780 |
740 |
780 |
900 |
770 |
1080 |
770 |
1270 |
770 |
1480 |
|
40 |
750 |
280 |
760 |
370 |
760 |
490 |
760 |
620 |
760 |
760 |
760 |
930 |
750 |
1110 |
750 |
1300 |
750 |
1510 |
|
50 |
670 |
310 |
690 |
410 |
700 |
530 |
710 |
660 |
710 |
810 |
720 |
980 |
720 |
1160 |
720 |
1360 |
720 |
1570 |
Bảng A.8 - Độ căng tối đa T (N) và độ chùng tối thiểu S (mm) của cáp 20 đôi, cỡ sợi 0,64 mm, dây treo lõi 1/2,75 mm
|
Nhiệt độ (°C) |
Chiều dài khoảng cột(m) |
|||||||||||||||||
|
30 |
35 |
40 |
45 |
50 |
55 |
60 |
65 |
70 |
||||||||||
|
T |
S |
T |
S |
T |
S |
T |
S |
T |
S |
T |
S |
T |
S |
T |
S |
T |
S |
|
|
5 |
1080 |
300 |
1040 |
420 |
1010 |
560 |
980 |
730 |
950 |
930 |
930 |
1150 |
920 |
1390 |
910 |
1650 |
900 |
1930 |
|
10 |
1030 |
310 |
1000 |
430 |
970 |
580 |
950 |
750 |
930 |
950 |
920 |
1170 |
900 |
1410 |
890 |
1670 |
890 |
1960 |
|
15 |
990 |
320 |
970 |
450 |
940 |
600 |
930 |
770 |
910 |
970 |
500 |
1190 |
090 |
1430 |
880 |
1700 |
880 |
1980 |
|
20 |
950 |
340 |
930 |
460 |
920 |
620 |
900 |
790 |
890 |
990 |
880 |
1210 |
880 |
1460 |
870 |
1720 |
870 |
2010 |
|
25 |
910 |
350 |
900 |
480 |
890 |
640 |
880 |
810 |
870 |
1010 |
870 |
1240 |
860 |
1480 |
860 |
1740 |
860 |
2030 |
|
30 |
880 |
360 |
870 |
500 |
860 |
660 |
860 |
830 |
860 |
1030 |
850 |
1260 |
850 |
1500 |
850 |
1770 |
850 |
2050 |
|
35 |
840 |
380 |
840 |
510 |
840 |
670 |
840 |
850 |
840 |
1060 |
840 |
1280 |
840 |
1520 |
840 |
1790 |
840 |
2080 |
|
40 |
810 |
390 |
820 |
530 |
820 |
690 |
820 |
870 |
820 |
1080 |
820 |
1300 |
830 |
1540 |
830 |
1810 |
830 |
2100 |
|
50 |
750 |
420 |
770 |
570 |
7Ô0 |
730 |
780 |
910 |
790 |
1120 |
800 |
1340 |
800 |
1590 |
810 |
1880 |
810 |
2140 |
Bảng A.9 - Độ căng tối đa T (N) và độ chùng tối thiểu S (mm) của cáp 30 đôi, cỡ sợi 0,64 mm, dây treo lõi 7/1,25 mm
|
Nhiệt độ (°C) |
Chiều dài khoảng cột (m) |
||||||||||||||||||||
|
30 |
35 |
40 |
45 |
50 |
55 |
60 |
65 |
70 |
|||||||||||||
|
T |
S |
T |
S |
T |
S |
T |
S |
T |
S |
T |
S |
T |
S |
T |
S |
T |
S |
||||
|
5 |
2560 |
190 |
2550 |
260 |
2540 |
340 |
2530 |
430 |
2520 |
530 |
2530 |
640 |
2510 |
770 |
2500 |
900 |
2490 |
1050 |
|||
|
10 |
2470 |
190 |
2460 |
260 |
2460 |
350 |
2460 |
440 |
2450 |
540 |
2450 |
660 |
2440 |
790 |
2440 |
920 |
2430 |
1070 |
|||
|
15 |
2380 |
200 |
2380 |
270 |
2380 |
360 |
2380 |
450 |
2380 |
560 |
2380 |
680 |
2380 |
810 |
2380 |
950 |
2380 |
1100 |
|||
|
20 |
2290 |
210 |
2290 |
280 |
2300 |
370 |
2300 |
470 |
2310 |
5S0 |
2310 |
700 |
2320 |
830 |
2320 |
970 |
2330 |
1120 |
|||
|
25 |
2200 |
220 |
2210 |
300 |
2220 |
380 |
2230 |
480 |
2240 |
590 |
2250 |
720 |
2260 |
850 |
2270 |
990 |
2270 |
1150 |
|||
|
30 |
2120 |
230 |
2130 |
310 |
2150 |
400 |
2160 |
500 |
2180 |
510 |
2190 |
740 |
2200 |
870 |
2210 |
1020 |
2230 |
1170 |
|||
|
35 |
2030 |
240 |
2050 |
320 |
2070 |
410 |
2090 |
520 |
2110 |
630 |
2130 |
760 |
2150 |
090 |
2160 |
1040 |
2180 |
1200 |
|||
|
40 |
1950 |
250 |
1980 |
330 |
2000 |
430 |
2030 |
530 |
2050 |
650 |
2070 |
780 |
2090 |
920 |
2110 |
1070 |
2130 |
1230 |
|||
|
50 |
1800 |
270 |
1830 |
360 |
1870 |
460 |
1900 |
570 |
1940 |
590 |
1970 |
820 |
2000 |
960 |
2020 |
1110 |
2050 |
1280 |
|||
Bảng A.10 - Độ căng tối đa T (N) và độ chùng tối thiểu S (mm) của cáp 50 đôi,
cỡ sợi 0,64 mm, dây treo lõi 7/1,25 mm
|
Nhiệt độ (°C) |
Chiều dài khoảng cột (m) |
|||||||||||||||||
|
30 |
35 |
40 |
45 |
50 |
55 |
60 |
65 |
70 |
||||||||||
|
T |
S |
T |
S |
T |
S |
T |
S |
T |
S |
T |
S |
T |
S |
T |
S |
T |
S |
|
|
6 |
2540 |
260 |
2530 |
360 |
2510 |
470 |
2500 |
590 |
2490 |
740 |
2480 |
900 |
2470 |
1070 |
2460 |
1260 |
2460 |
1470 |
|
10 |
2460 |
270 |
2490 |
370 |
2450 |
480 |
2440 |
610 |
2430 |
760 |
2430 |
920 |
2420 |
1090 |
2420 |
1280 |
2420 |
1490 |
|
15 |
2380 |
280 |
2380 |
380 |
2380 |
490 |
2380 |
630 |
2380 |
770 |
2380 |
930 |
2380 |
1110 |
2380 |
1310 |
2380 |
1510 |
|
20 |
2300 |
290 |
2310 |
390 |
2310 |
510 |
2320 |
640 |
2320 |
790 |
2330 |
950 |
2330 |
1130 |
2340 |
1330 |
2340 |
1540 |
|
25 |
2220 |
300 |
2240 |
400 |
2250 |
520 |
2260 |
660 |
2270 |
810 |
2280 |
970 |
2290 |
1150 |
2300 |
1350 |
2310 |
1560 |
|
30 |
2150 |
310 |
2170 |
410 |
2190 |
540 |
2210 |
670 |
2220 |
830 |
2240 |
990 |
2250 |
1180 |
2260 |
1370 |
2270 |
1590 |
|
35 |
2080 |
320 |
2110 |
430 |
2130 |
550 |
2150 |
690 |
2170 |
850 |
2190 |
1010 |
2210 |
1200 |
2230 |
1400 |
2240 |
1610 |
|
40 |
2010 |
330 |
2040 |
440 |
2070 |
570 |
2100 |
710 |
2130 |
860 |
2150 |
1030 |
2170 |
1220 |
2190 |
1420 |
2210 |
1630 |
|
50 |
1880 |
350 |
1930 |
470 |
1970 |
600 |
2010 |
740 |
2040 |
900 |
2070 |
1070 |
2100 |
1260 |
2120 |
1460 |
2140 |
1680 |
Bảng A.11 - Độ căng tối đa T (N) và độ chùng tối thiểu S (mm) của cáp 70 đôi,
cỡ sợi 0,64 mm, dây treo lõi 7/1,25 mm
|
Nhiệt độ (°C) |
Chiều dài khoảng cột (m) |
|||||||||||||||||
|
30 |
35 |
40 |
45 |
50 |
55 |
60 |
65 |
70 |
||||||||||
|
T |
S |
T |
S |
T |
S |
T |
S |
T |
S |
T |
S |
T |
S |
T |
S |
T |
S |
|
|
5 |
4190 |
220 |
4180 |
300 |
4160 |
390 |
4140 |
500 |
4120 |
610 |
4110 |
750 |
4090 |
890 |
4080 |
1050 |
4060 |
1220 |
|
10 |
4050 |
230 |
4040 |
310 |
4030 |
400 |
4020 |
510 |
4010 |
630 |
4010 |
770 |
4000 |
910 |
3990 |
1070 |
3980 |
1250 |
|
15 |
3910 |
230 |
3910 |
320 |
3910 |
410 |
3910 |
530 |
3910 |
650 |
3910 |
780 |
3910 |
930 |
3910 |
1100 |
3910 |
1270 |
|
20 |
3770 |
240 |
2780 |
330 |
3790 |
430 |
3800 |
540 |
3800 |
570 |
3810 |
800 |
3820 |
950 |
3830 |
1120 |
3830 |
1300 |
|
25 |
3630 |
250 |
3650 |
340 |
2670 |
440 |
3690 |
560 |
3710 |
680 |
3720 |
820 |
3740 |
980 |
3750 |
1140 |
3760 |
1320 |
|
30 |
3500 |
260 |
3530 |
350 |
2560 |
460 |
3580 |
570 |
3610 |
700 |
3530 |
840 |
3650 |
1000 |
3670 |
1170 |
3690 |
1340 |
|
35 |
3370 |
270 |
3410 |
360 |
2450 |
470 |
3480 |
590 |
3520 |
720 |
3550 |
860 |
3580 |
1020 |
3500 |
1190 |
3620 |
1370 |
|
40 |
3250 |
280 |
3300 |
380 |
2340 |
490 |
3390 |
610 |
3430 |
740 |
3460 |
880 |
3500 |
1040 |
3530 |
1210 |
3660 |
1390 |
|
50 |
3010 |
300 |
3080 |
400 |
3140 |
520 |
3200 |
640 |
3260 |
780 |
3310 |
930 |
3360 |
1090 |
3400 |
1260 |
3440 |
1440 |
Bàng A.12 - Độ căng tối đa T (N) và độ chùng tối thiểu S (mm) của cáp 100 đôi,
cỡ sợi 0,64 mm, dây treo lõi 7/1,25 mm
|
Nhiệt độ (°C) |
Chiều dài khoảng cột (m) |
|||||||||||||||||
|
30 |
35 |
40 |
45 |
50 |
55 |
60 |
65 |
70 |
||||||||||
|
T |
S |
T |
S |
T |
S |
T |
S |
T |
S |
T |
S |
T |
S |
T |
S |
T |
S |
|
|
5 |
4160 |
290 |
4130 |
400 |
4110 |
530 |
4090 |
670 |
4070 |
840 |
4050 |
1010 |
4040 |
1210 |
4030 |
1430 |
4010 |
1660 |
|
10 |
4030 |
300 |
4020 |
410 |
4010 |
540 |
4000 |
690 |
3990 |
850 |
3980 |
1030 |
3970 |
1230 |
3970 |
1450 |
2960 |
1680 |
|
15 |
3910 |
310 |
3910 |
430 |
3910 |
560 |
3910 |
700 |
3910 |
870 |
3910 |
1050 |
3910 |
1250 |
3910 |
1470 |
3910 |
1710 |
|
20 |
3790 |
320 |
3800 |
440 |
3810 |
570 |
3820 |
720 |
3830 |
890 |
3840 |
1070 |
3840 |
1270 |
38S0 |
1490 |
3860 |
1730 |
|
25 |
3670 |
330 |
3700 |
450 |
3720 |
590 |
3740 |
740 |
3750 |
910 |
3770 |
1090 |
3780 |
1290 |
3800 |
1510 |
3810 |
1750 |
|
30 |
3560 |
340 |
3590 |
460 |
3630 |
600 |
3660 |
750 |
3680 |
920 |
3700 |
1110 |
3720 |
1310 |
3750 |
1560 |
3760 |
1770 |
|
35 |
3450 |
350 |
3500 |
480 |
3540 |
610 |
3580 |
770 |
3610 |
940 |
3640 |
1130 |
3670 |
1330 |
3690 |
1560 |
3710 |
1800 |
|
40 |
3340 |
370 |
3400 |
490 |
3460 |
630 |
3500 |
790 |
3540 |
960 |
3580 |
1150 |
3610 |
1360 |
3640 |
1580 |
3670 |
1820 |
|
50 |
3150 |
390 |
3230 |
520 |
3300 |
660 |
3360 |
820 |
3410 |
1000 |
3460 |
1190 |
3510 |
1400 |
3540 |
1620 |
3580 |
1860 |
Bảng A.13 - Độ căng tối đa T (N) và độ chùng tối thiểu S (mm) của cáp 10 đôi,
cỡ sợi 0,9 mm, dãy treo lõi 1/2,75 mm
|
Nhiệt độ (°C) |
Chiều đài khoảng cột (m) |
|||||||||||||||||
|
30 |
35 |
40 |
45 |
50 |
55 |
60 |
65 |
70 |
||||||||||
|
T |
S |
T |
S |
T |
S |
T |
S |
T |
S |
T |
S |
T |
S |
T |
S |
T |
S |
|
|
6 |
1080 |
290 |
1050 |
410 |
1020 |
550 |
»90 |
720 |
970 |
910 |
950 |
1120 |
930 |
1360 |
920 |
1620 |
910 |
1890 |
|
10 |
1030 |
310 |
1010 |
430 |
980 |
570 |
960 |
740 |
940 |
930 |
930 |
1150 |
920 |
1380 |
910 |
1640 |
900 |
1920 |
|
15 |
990 |
320 |
980 |
440 |
950 |
590 |
940 |
760 |
920 |
950 |
910 |
1170 |
900 |
1410 |
890 |
1660 |
890 |
1940 |
|
20 |
950 |
330 |
940 |
460 |
930 |
610 |
910 |
780 |
900 |
960 |
890 |
1190 |
890 |
1430 |
880 |
1690 |
880 |
1970 |
|
25 |
910 |
350 |
910 |
470 |
900 |
630 |
890 |
eoo |
880 |
1000 |
880 |
1210 |
870 |
1450 |
870 |
1710 |
870 |
1990 |
|
30 |
870 |
360 |
880 |
490 |
870 |
640 |
870 |
820 |
860 |
1020 |
860 |
1240 |
860 |
1470 |
860 |
1730 |
860 |
2010 |
|
35 |
840 |
380 |
850 |
510 |
850 |
660 |
850 |
840 |
850 |
1040 |
850 |
1260 |
850 |
1500 |
850 |
1760 |
850 |
2040 |
|
40 |
810 |
390 |
820 |
520 |
830 |
680 |
830 |
860 |
830 |
1060 |
830 |
1280 |
830 |
1520 |
830 |
1780 |
840 |
2060 |
|
50 |
750 |
420 |
770 |
560 |
780 |
720 |
790 |
900 |
800 |
1100 |
810 |
1320 |
610 |
1560 |
810 |
1830 |
820 |
2110 |
Bảng A.14 - Độ căng tối đa T (N) và độ chùng tối thiểu S (mm) của cáp 20 đôi,
cỡ sợi 0,9 mm, dây treo lõi 7/1,25 mm
|
Nhiệt độ (°C) |
Chiều dài khoảng cột (m) |
|||||||||||||||||
|
30 |
35 |
40 |
45 |
50 |
55 |
60 |
65 |
70 |
||||||||||
|
T |
S |
T |
S |
T |
S |
T |
S |
T |
S |
T |
S |
T |
S |
T |
S |
T |
S |
|
|
5 |
2550 |
220 |
2540 |
300 |
2530 |
390 |
2520 |
490 |
2510 |
610 |
2500 |
740 |
2490 |
890 |
2480 |
1050 |
2470 |
1220 |
|
10 |
2470 |
220 |
2460 |
310 |
2460 |
400 |
2450 |
610 |
2440 |
630 |
2440 |
760 |
2430 |
910 |
2430 |
1070 |
2430 |
1230 |
|
15 |
2380 |
230 |
2380 |
320 |
2380 |
410 |
2380 |
520 |
2380 |
650 |
2380 |
780 |
2380 |
930 |
2380 |
1090 |
2380 |
1270 |
|
20 |
2290 |
240 |
2300 |
330; |
2310 |
430 |
2310 |
540 |
2320 |
660 |
2320 |
800 |
2330 |
950 |
2330 |
1120 |
2330 |
1290 |
|
25 |
2210 |
250 |
2220 |
340 |
2230 |
440 |
2240 |
550 |
2260 |
680 |
2260 |
820 |
2270 |
970 |
2280 |
1140 |
2290 |
1320 |
|
30 |
2130 |
260 |
2150 |
350 |
2160 |
450 |
2180 |
570 |
2200 |
700 |
2210 |
340 |
2220 |
1000 |
2240 |
1160 |
2250 |
1340 |
|
35 |
2050 |
270 |
2080 |
360 |
2100 |
470 |
2120 |
590 |
2140 |
720 |
2160 |
360 |
2180 |
1020 |
2190 |
1190 |
2210 |
1370 |
|
40 |
1980 |
280 |
2010 |
380 |
2030 |
480 |
2060 |
600 |
2090 |
740 |
2110 |
880 |
2130 |
1040 |
2150 |
1210 |
2170 |
1390 |
|
50 |
1830 |
300 |
1870 |
400 |
1910 |
510 |
1950 |
640 |
1980 |
780 |
2010 |
920 |
2040 |
1080 |
2070 |
1260 |
2090 |
1440 |
Bảng A.15 - Độ căng tối đa T (N) và độ chùng tối thiểu S (mm) của cáp 30 đôi,
cỡ sợi 0,9 mm, dây treo lõi 7/1,25 mm
|
Nhiệt độ (°C) |
Chiều dài khoảng cột (m) |
|||||||||||||||||
|
30 |
35 |
40 |
45 |
50 |
55 |
60 |
65 |
70 |
||||||||||
|
T |
S |
T |
S |
T |
S |
T |
S |
T |
S |
T |
S |
T |
S |
T |
S |
T |
S |
|
|
5 |
2530 |
300 |
210 |
420 |
2500 |
550 |
2490 |
690 |
2480 |
860 |
2460 |
1050 |
2460 |
1250 |
2450 |
1470 |
2440 |
1710 |
|
10 |
2450 |
310 |
2440 |
430 |
2440 |
560 |
2430 |
710 |
2430 |
880 |
2420 |
1060 |
2420 |
1270 |
2410 |
1490 |
2410 |
1730 |
|
15 |
2380 |
320 |
2380 |
440 |
2380 |
570 |
2380 |
720 |
2380 |
900 |
2380 |
1080 |
2380 |
1290 |
2380 |
1510 |
2380 |
1750 |
|
20 |
2310 |
330 |
2310 |
450 |
2320 |
590 |
2330 |
740 |
2330 |
910 |
2340 |
1100 |
2340 |
1310 |
2350 |
1530 |
2350 |
1780 |
|
25 |
2240 |
340 |
2250 |
460 |
2270 |
600 |
2280 |
760 |
2290 |
930 |
2300 |
1120 |
2310 |
1330 |
2310 |
1560 |
2320 |
1800 |
|
30 |
2170 |
350 |
2190 |
480 |
2210 |
620 |
2230 |
770 |
2250 |
950 |
2260 |
1140 |
2270 |
1350 |
2280 |
1580 |
2290 |
1820 |
|
35 |
2100 |
360 |
2130 |
490 |
2160 |
630 |
2180 |
790 |
2200 |
970 |
2220 |
1160 |
2240 |
1370 |
2250 |
1600 |
2260 |
1840 |
|
40 |
2040 |
380 |
2080 |
500 |
2110 |
650 |
2140 |
810 |
2160 |
980 |
2190 |
1180 |
2200 |
1390 |
2220 |
1620 |
2240 |
1870 |
|
50 |
1920 |
400 |
1670 |
530 |
2020 |
680 |
2050 |
840 |
2090 |
1020 |
2120 |
1220 |
2140 |
1430 |
2160 |
1660 |
2160 |
1910 |
Bảng A.16 - Độ căng tối đa T (N) và độ chùng tối thiểu S (mm) của cáp 50 đôi,
cỡ sợi 0,9 mm, dây treo lõi 7/1,6 mm
|
Nhiệt độ (°C) |
Chiều dài khoảng cột (m) |
|||||||||||||||||
|
30 |
35 |
40 |
45 |
50 |
55 |
60 |
65 |
70 |
||||||||||
|
T |
S |
T |
S |
T |
S |
T |
S |
T |
S |
T |
S |
T |
S |
T |
S |
T |
S |
|
|
5 |
4160 |
290 |
4130 |
400 |
4110 |
530 |
4090 |
670 |
4070 |
840 |
4050 |
1020 |
4040 |
1210 |
4030 |
1430 |
4010 |
1660 |
|
10 |
4030 |
300 |
4020 |
420 |
4010 |
540 |
4000 |
690 |
3990 |
850 |
3980 |
1040 |
3970 |
1230 |
3970 |
1450 |
3960 |
1690 |
|
15 |
3910 |
310 |
3910 |
430 |
3910 |
560 |
3910 |
710 |
3910 |
870 |
3910 |
1050 |
3910 |
1260 |
3910 |
1470 |
3910 |
1710 |
|
20 |
3790 |
320 |
3800 |
440 |
3810 |
570 |
3820 |
720 |
3830 |
890 |
3840 |
1070 |
3840 |
1280 |
3850 |
1490 |
3860 |
1730 |
|
25 |
3670 |
330 |
3700 |
450 |
3720 |
590 |
3740 |
740 |
3750 |
910 |
3770 |
1090 |
3780 |
1300 |
3800 |
1520 |
3810 |
1750 |
|
30 |
3560 |
340 |
3590 |
460 |
2630 |
600 |
3660 |
750 |
3680 |
930 |
3710 |
1110 |
3730 |
1320 |
3740 |
1540 |
3760 |
1780 |
|
35 |
3450 |
360 |
3500 |
480 |
3540 |
620 |
3580 |
770 |
3610 |
940 |
3640 |
1130 |
3670 |
1340 |
3590 |
1560 |
3710 |
1800 |
|
40 |
3350 |
370 |
3400 |
490 |
3460 |
630 |
3500 |
790 |
3540 |
960 |
3580 |
1150 |
3610 |
1360 |
3640 |
1580 |
3670 |
1820 |
|
50 |
3150 |
390 |
3230 |
520 |
3300 |
660 |
3360 |
820 |
3420 |
1000 |
3460 |
1190 |
3510 |
1400 |
3540 |
1620 |
3580 |
1870 |
Bảng A.17 - Độ căng tối đa T (N) và độ chùng tối thiểu S (mm) của cáp 70 đôi,
cỡ sợi 0,9 mm, dây treo lõi 7/2,0 mm
|
Nhiệt độ (°C) |
Chiều dài khoảng cột (m) |
|||||||||||||||||
|
30 |
35 |
40 |
45 |
50 |
55 |
60 |
65 |
70 |
||||||||||
|
T |
S |
T |
S |
T |
S |
T |
S |
T |
S |
T |
S |
T |
S |
T |
S |
T |
S |
|
|
5 |
6530 |
260 |
6460 |
360 |
5460 |
470 |
6430 |
600 |
6400 |
740 |
6370 |
900 |
6350 |
1080 |
6330 |
1270 |
6310 |
1480 |
|
10 |
6320 |
270 |
6300 |
370 |
8280 |
480 |
6270 |
620 |
6250 |
760 |
6240 |
920 |
6230 |
1100 |
6220 |
1290 |
6210 |
1500 |
|
15 |
6110 |
280 |
6110 |
380 |
6110 |
500 |
6110 |
630 |
6110 |
780 |
6110 |
940 |
6110 |
1120 |
6110 |
1320 |
6110 |
1530 |
|
20 |
5910 |
290 |
5930 |
390 |
5950 |
510 |
5960 |
650 |
5970 |
800 |
5990 |
960 |
6000 |
1140 |
6010 |
1340 |
6020 |
1550 |
|
25 |
5720 |
300 |
5750 |
410 |
5780 |
530 |
5810 |
560 |
5840 |
810 |
5870 |
980 |
5890 |
1160 |
5910 |
1360 |
5930 |
1570 |
|
30 |
5530 |
310 |
5580 |
420 |
5630 |
540 |
5670 |
680 |
5720 |
830 |
5750 |
1000 |
5780 |
1180 |
5810 |
1380 |
5640 |
1600 |
|
35 |
5350 |
320 |
5410 |
430 |
5480 |
560 |
5540 |
700 |
5590 |
850 |
5640 |
1020 |
5680 |
1210 |
5720 |
1410 |
5760 |
1620 |
|
40 |
5170 |
330 |
5260 |
440 |
5340 |
570 |
5410 |
710 |
5470 |
870 |
5530 |
1040 |
5580 |
1230 |
5630 |
1430 |
5670 |
1640 |
|
50 |
4830 |
350 |
4950 |
470 |
5060 |
600 |
5160 |
750 |
5250 |
910 |
5330 |
1080 |
5400 |
1270 |
5460 |
1470 |
5520 |
1690 |
Bảng A.18 - Độ căng tối đa T (N) và độ chùng tối thiểu S (mm) của cáp 100 đôi,
cỡ sợi 0,9 mm, dây treo lõi 7/2,0 mm
|
Nhiệt độ (°C) |
Chiều dài khoảng cột (m) |
|||||||||||||||||
|
30 |
35 |
40 |
45 |
50 |
55 |
60 |
65 |
70 |
||||||||||
|
T |
S |
T |
S |
T |
S |
T |
S |
T |
S |
T |
S |
T |
S |
T |
S |
T |
S |
|
|
5 |
6450 |
370 |
6410 |
510 |
6370 |
670 |
6340 |
850 |
6310 |
1050 |
6280 |
1280 |
6260 |
1530 |
6250 |
1800 |
6230 |
2090 |
|
10 |
6280 |
380 |
6260 |
520 |
6240 |
680 |
6220 |
860 |
6210 |
1070 |
6200 |
1300 |
6190 |
1550 |
6180 |
1820 |
6170 |
2110 |
|
15 |
6110 |
390 |
6110 |
530 |
6110 |
700 |
6110 |
880 |
6110 |
1090 |
6110 |
1300 |
6190 |
1550 |
6180 |
1820 |
6170 |
2110 |
|
20 |
5950 |
400 |
5970 |
540 |
5990 |
710 |
6000 |
900 |
6020 |
1100 |
6030 |
1330 |
6040 |
1580 |
6050 |
1860 |
6050 |
2150 |
|
25 |
5800 |
410 |
5840 |
560 |
5870 |
720 |
5900 |
910 |
5930 |
1120 |
5950 |
1350 |
5970 |
1600 |
5980 |
1880 |
6000 |
2170 |
|
30 |
5650 |
420 |
5710 |
570 |
5760 |
740 |
5800 |
930 |
5840 |
1140 |
5870 |
1370 |
5900 |
1620 |
5920 |
1890 |
5940 |
2190 |
|
35 |
5500 |
430 |
5580 |
580 |
5650 |
750 |
5700 |
940 |
5750 |
1150 |
5800 |
1390 |
5830 |
1640 |
5860 |
1910 |
5890 |
2210 |
|
40 |
5360 |
450 |
5460 |
600 |
5540 |
770 |
5610 |
960 |
5670 |
1170 |
5720 |
1400 |
5770 |
1660 |
5800 |
1930 |
5840 |
2230 |
|
50 |
5100 |
470 |
5230 |
620 |
5340 |
800 |
5430 |
990 |
5510 |
1200 |
5580 |
1440 |
5640 |
1700 |
5690 |
1970 |
5730 |
2270 |
QCVN 33:2019/BTTTT
Phụ lục B
(Tham khảo)
Xác định hệ số che chắn của dây chống sét
Xác định hệ số che chắn cho các trường hợp khác nhau như trình bày trên Hình B.1

Hình B.1 - Sắp xếp các dây chống sét ngầm
bao bọc xung quanh cáp viễn thông
B.1. Trường hợp dùng một dây chống sét
Hệ số che chắn ƞ được xác định bằng công thức:

Trong đó:
x: là khoảng cách giữa các trục cáp và dây chống sét;
s: là bán kính của dây chống sét;
r: là bán kính của vỏ cáp.
Bảng B.1 đưa ra giá trị tính sẵn hệ số che chắn cho trường hợp r = 10 mm và Bảng B.2 cho trường hợp r = 20 mm với các giá trị khác nhau của s và x.
Bảng B.1 - Hệ số che chắn khi r = 10 mm
|
x(m) |
s = 2 mm |
s = 3 mm |
s = 5 mm |
s = 8 mm |
s = 12 mm |
|
0,15 |
0,61 |
0,59 |
0,56 |
0,52 |
0,48 |
|
0,25 |
0,60 |
0,58 |
0,55 |
0,52 |
0,49 |
|
0,50 |
0,59 |
0,57 |
0,54 |
0,51 |
0,49 |
|
1,00 |
0,57 |
0,56 |
0,53 |
0,51 |
0,49 |
Bảng B.2 - Hệ số che chắn khi r = 20 mm
|
x(m) |
s = 2 mm |
s = 3 mm |
s = 5 mm |
s = 8 mm |
s = 12 mm |
|
0,15 |
0,68 |
0,65 |
0,62 |
0,59 |
0,55 |
|
0,25 |
0,65 |
0,63 |
0,60 |
0,57 |
0,54 |
|
0,50 |
0,63 |
0,61 |
0,59 |
0,56 |
0,54 |
|
1,00 |
0,61 |
0,60 |
0,58 |
0,55 |
0,53 |
B.2. Trường hợp dùng hai dây chống sét
Hệ số che chắn ƞ được xác định bằng công thức:

Trong đó:
r’12 là khoảng cách giữa trục cáp và một trong các dây chống sét;

Với:
r11 là bán kính trung bình của vỏ;
r22 là bán kính của dây chống sét ngầm;
h là độ chôn sâu của cáp;
h’ là độ chôn sâu của dây chống sét;
b là khoảng cách giữa các dây chống sét;
b’ là khoảng cách giữa một dây chống sét và ảnh ảo của dây chống sét khác qua giao diện “không khí - đất”:

Bảng B.3 trình bày hệ số che chắn tính sẵn cho trường hợp dùng hai dây chống sét, với r = 10 mm, s = 5 mm và các góc g tạo bởi dây chống sét với trục thẳng đứng có giá trị khác nhau.
Bảng B.3 - Hệ số che chắn của hai dây chống sét, khi r = 10 mm, s = 5 mm
|
x(m) |
g = 30° |
g = 45° |
g = 60° |
g = 90° |
|
0,15 |
0,38 |
0,36 |
0,34 |
0,33 |
|
0,25 |
0,38 |
0,35 |
0,34 |
0,33 |
|
0,50 |
0,37 |
0,35 |
0,34 |
0,33 |
|
1,00 |
0,37 |
0,35 |
0,34 |
0,33 |
B.3. Trường hợp dùng nhiều hơn hai dây chống sét
Bảng B.4 và Bảng B.5 trình bày hệ số che chắn tính sẵn tương ứng cho trường hợp dùng ba dây chống sét và n dây chống sét, được bố trí thành một vòng tròn xung quanh cáp, với r = 10 mm, s = 5 mm, x = 0,25 m và các góc g tạo bởi dây chống sét với trục thẳng đứng có giá trị khác nhau.
Bảng B.4 - Hệ số che chắn tính sẵn cho trường hợp dùng ba dây chống sét
|
g = 30° |
g = 60° |
g = 90° |
g = 120° |
|
0,33 |
0,26 |
0,23 |
0,22 |
Bảng B.5 - Hệ số che chắn tính sẵn cho trường hợp dùng n dây chống sét
|
n = 4 |
n = 6 |
n = 8 |
|
0,16 |
0,09 |
0,06 |
QCVN 33:2019/BTTTT
Phụ lục C
(Tham khảo)
Một số quy cách đấu nối cáp
C.1. Quy cách kết cuối cáp treo
a) Kết cuối cáp treo phổ biến là dùng bu lông đầu vòng như trình bày trên Hình C.1.
b) Có thể kết cuối cáp treo bằng các đai thép.
c) Kết cuối cáp treo ở nơi cáp vào và ra tủ cáp như trình bày trên Hình C.2.
d) Trường hợp cáp có kèm dây treo, khi kết cuối cáp treo cần tách dây treo ra khỏi cáp.

Hình C.1 - Kết cuối dây treo cáp bằng bu lông đầu vòng

Hình C.2 - Kết cuối dây treo cáp ở nơi cáp vào và ra tủ
C.2. Kết cuối cáp tại hộp cáp
a) Cáp đi vào và dây thuê bao đi ra tại hộp cáp trên bề mặt cột được đặt trong ống nhựa hoặc thanh dẫn cáp. Ống ghen luồn dẫn cáp cần được đặt thẳng dọc thân cột và buộc chắc chắn vào cột bằng các dây thép mạ kẽm 3,0 mm hoặc Côliê bằng thép không rỉ. Khoảng cách giữa các dây buộc (Côliê) không lớn hơn 50 cm.
b) Dây nối đất hộp cáp bằng đồng có tiết diện không nhỏ hơn 25 mm2 được đặt trong ống hoặc máng ốp bằng nhựa, ống hoặc máng ốp bằng nhựa bảo vệ dây nối đất hộp cáp được đặt dọc thân cột và được buộc chắc chắn vào cột bằng dây thép mạ kẽm 3,0 mm hoặc Côliê bằng thép không rỉ. Khoảng cách giữa các dây buộc (Côliê) không lớn hơn 50 cm.
c) Màng chắn từ của cáp tại các hộp cáp được nối đất với dây nối đất hộp cáp.
C.3. Kết cuối cáp tại tủ cáp
a) Cáp ngầm đi từ hệ thống cống bể hoặc chôn trực tiếp vào tủ cáp hoặc đi ra khỏi tủ cáp phải được đặt trong ống dẫn cáp bằng nhựa. Ống dẫn có thể dùng loại ống PVC cứng, thanh dẫn cáp hoặc ống sun mềm; ống dẫn cáp, thanh dẫn cáp được đặt thẳng dọc thân cột và cố định chắc chắn vào cột bằng các đai thép không rỉ, khoảng cách giữa các đai không lớn hơn 50 cm.
b) Ống dẫn cáp lên tủ dùng loại ống PVC cứng hoặc ống cao su mềm. Đường kính ống được lựa chọn phù hợp với kích thước cáp đi bên trong ống.
c) Dây nối đất tủ cáp là dây đồng bọc, tiết diện dây không nhỏ hơn 25 mm2 và được đặt trong ống nhựa (xem Hình C.3). Trị số điện trở tiếp đất của tủ cáp phải bảo đảm trị số đúng theo quy định.

Hình C.3 - Tiếp đất tủ cáp
C.4. Hàn nối cáp đồng treo
C.4.1. Nối cáp đồng tại các tủ, hộp cáp
a) Cáp đồng sau khi bóc vỏ bọc bên ngoài một đoạn khoảng 700 mm được luồn qua lỗ phía dưới dẫn vào các tủ hoặc hộp cáp. Cáp được bắt chặt vào thân tủ hoặc hộp cáp, sau đó sợi dây đồng trần nằm bên dưới màng chắn kim loại và từng đôi dây của cáp được tách ra. Lần lượt bóc lớp cách điện ở đầu của từng sợi dây đồng một đoạn khoảng 25 mm rồi đem nối vào phiến đấu dây.
b) Màng chắn kim loại của cáp được nối đất thông qua sợi dây đồng trần nằm sát ngay bên dưới lớp màng kim loại. Sợi dây đồng này sẽ được bắt chặt bằng ê cu vào một con vít đã lắp sẵn bên trong tủ hoặc hộp cáp. Dây nối đất của tủ hoặc hộp cáp bằng đồng có tiết diện không nhỏ hơn 25 mm2 bố trí dọc cột dẫn xuống tổ tiếp đất và được bảo vệ bằng máng hoặc ống PVC.
C.4.2. Nối cáp đồng tại các măng sông
a) Trước hết cần bóc dây treo cáp ra. Các đôi dây của cáp này sẽ được nối lần lượt với các đôi dây của cáp kia bằng con rệp, sau đó tiến hành nối màn chắn kim loại của hai cáp và sau đó ta dùng măng sông bọc toàn bộ cáp đã nối lại. Cuối cùng là nối dây treo cáp bằng kẹp 3 lỗ hai rãnh (xem Hình C.4). Măng sông cáp đồng nên bố trí tại cột treo cáp.
b) Có hai loại măng sông chính là măng sông nối thẳng và măng sông rẽ nhánh. Măng sông nối thẳng để nối hai cáp cùng loại. Măng sông rẽ nhánh để nối các loại cáp khác nhau hoặc thay thế tủ cáp.
c) Măng sông dùng để nối liền các vỏ bọc ngoải của cáp, sử dụng phổ biến là loại có thể co ngót nhờ nhiệt.
d) Do cáp treo ngoài trời nên măng sông phải bảo vệ mối nối, bảo vệ sợi đồng và cáp khỏi bị ngấm nước và một số tác động của môi trường.

Hình C.4 - Măng sông cáp treo
C.5. Nối cáp sợi quang
C.5.1. Nối sợi quang
a) Nối sợi quang thực hiện bằng thiết bị hàn nối sợi quang theo phương pháp hàn hồ quang hoặc hàn cơ khí.
b) Sau khi hàn nối sợi quang xong phải cẩn thận đưa mối hàn vào trong khay hàn. Bán kính cong của sợi quang phải bảo đảm lớn hơn 20 lần đường kính cáp.
c) Sau khi tất cả các sợi quang đã được hàn, cần giữ cho cho các sợi chắc chắn bằng các ống hoặc các bọc đệm đặt trên khay (xem Hình C.5). Các sợi riêng lẻ được cuộn quanh khay hàn (xem Hình C.6). Ống bao sợi và đệm sợi phải được xếp vòng quanh giá đỡ. Cáp và dây gia cường được giữ chặt nhờ các kẹp và vít.
d) Khi các mối hàn thoả mãn yêu cầu ta đóng măng sông lại.

Hình C.5 - Ống bao sợi và đệm sợi

Hình C.6 - Cuộn các sợi riêng lẻ quanh khay hàn
C.5.2. Lắp đặt măng sông cáp quang
a) Măng sông cáp quang treo được bố trí tại các cột. Cáp quang tại cột có treo măng sông cần để mỗi đầu dôi ra tối đa 10 m để phục vụ hàn nối. Phần cáp quang dư được bó vòng với đường kính không quá 0,6 m. Khoảng cách giữa các vòng cáp dự phòng trên cùng một tuyến phải lớn hơn 200 m.
b) Hộp măng sông phải cần được kiểm tra theo tài liệu kỹ thuật trước khi lắp đặt. Măng sông được lựa chọn tuỳ thuộc vào loại cáp quang sử dụng.
c) Cuốn băng dính vào điểm lắp kẹp cáp phù hợp với loại măng sông đã lựa chọn.
d) Lắp kẹp cáp không để cáp gập quá bán kính uốn cong cho phép.
e) Sau khi xiết chặt kẹp vào cáp, cần vít chặt dây gia cường vào vít định vị hoặc/và tiếp đất dây gia cường.
f) Việc hàn nối các sợi quang theo các trình tự đã nêu ở trên.
g) Bôi mỡ lên thành của vỏ trong măng sông.
h) Bôi mỡ vào mặt trong các cổng của gioăng nhựa.
i) Đặt gioăng nhựa rồi ấn chặt nó lên thành vỏ trong măng sông.
j) Bôi mỡ lên mặt trên của gioăng nhựa.
k) Bọc vỏ trong măng sông bằng lưới đệm.
l) Đóng nắp măng sông và vít chặt.
m) Treo măng sông lên cột (xem Hình C.7).

Hình C.7 - Lắp đặt măng sông cáp quang trên cột
C.5.3. Lắp cáp quang tại giá ODF (Optical Distributions Frame)
a) Sau khi kiểm tra hộp giá ODF theo tài liệu kỹ thuật bảo đảm yêu cầu, thực hiện gắn hộp giá ODF lên khung giá. Làm vệ sinh cáp. Bóc tuốt vỏ cáp quang rồi quần băng dính vào điểm lắp kẹp cáp. Khi cuốn cần lắp thêm một ống đệm để tránh kẹp trực tiếp vào vỏ cáp. Chuẩn bị đầu cáp xem Hình C.8.
b) Lắp kẹp cáp phải báo đảm khi đưa cáp vào không bị gập quá bán kính uốn cong cho phép, xiết chặt kẹp vào cáp, vít chặt dây gia cường vào thanh định vị hoặc/và tiếp đất dây gia cường. Định vị ống lõng vào khe quy định, đậy nắp ngăn ống sợi không để kẹp vào ống sợi. Lắp đặt kẹp cáp xem Hình C.9.
c) Phân nhóm sợi quang đặt trong ống nhựa theo từng nhóm. Lắp khay chứa sợi quang vào giá. Định vị dây nối quang vào khay chứa sợi quang, đánh dấu các dây nối.
d) Phân nhóm dây nối quang.
e) Đưa sợi quang đã hàn đạt chất lượng vào khay đựng sợi quang tuyệt đối không để sợi quang cong quá bán kính uốn cong cho phép.
f) Đặt ống co nhiệt mối hàn đúng vị trí theo thứ tự trong gá ống bảo vệ.
g) Lắp bộ nối quang trên bảng tiếp hợp. Đánh dấu tên cho từng vị trí bộ nối quang.
h) Định vị cáp trên đầu giá cáp ODF.

Hình C.8 - Chuẩn bị đầu cáp

Hình C.9 - Lắp đặt kẹp cáp
C.6. Nối đất dây treo cáp
a) Các bộ phận cấu thành hệ thống nối đất dây thép bện treo cáp gồm có: bộ nối đất; dây nối đất; máng hoặc ống bảo vệ dây nối đất; điện cực tiếp đất.
b) Trường hợp không có bộ nối đất, có thể nối bằng phương pháp hàn chảy dây nối đất với dây thép bện treo cáp. Mối hàn cần được sơn chống rỉ đề phòng ăn mòn.
c) Dây nối đất lá loại thép bện, gồm có 4 sợi thép mạ kẽm, đường kính mỗi sợi 1,9 mm. Dây nối đất phải được đặt trong ống hoặc máng nhựa bảo vệ PVC.
d) Tuỳ thuộc vào điện trở tiếp đất yêu cầu có thề dùng một hoặc nhiều điện cực tiếp đất. Điện cực tiếp đất được chôn ngay tại chân cột treo cáp. Nếu dùng nhiều điện cực tiếp đất thì nên bố trí dãy các điện cực tiếp đất vuông góc với hướng tuyến cáp. Hệ thống nối đất dây thép bện treo cáp được trình bày trên Hình C. 10.

Hình C.10 - Hệ thống nối đất dây thép bện treo cáp
C.7. Tiếp đất màng chắn từ của cáp
Thực hiện tiếp đất màng chắn từ của cáp viễn thông như sau:
C.7.1. Đối với cáp có sợi dây đồng nằm bên dưới màng chắn từ:
a) Cắt bỏ lớp vỏ nhựa bọc bên ngoài. Khi thao tác cắt lớp vỏ nhựa và phôi nhôm lưu ý không làm đứt hoặc hỏng dây dẫn và sợi dây đồng nằm bên dưới màng chắn từ.
b) Gỡ màng nhôm chắn từ quấn quanh ruột cáp.
c) Cắt bỏ phôi nhôm đến điểm cắt lớp vỏ nhựa.
d) Kẹp hoặc hàn dây tiếp đất với sợi dây đồng nằm bên dưới màng chắn từ (xem Hình C.11).

Hình C.11 - Nối đất sợi dây đồng nằm bên dưới màng chắn từ
C.7.2. Đối với cáp không có sợi dây đồng nằm bên dưới màng chắn từ.
a) Cắt bỏ lớp vỏ nhựa bọc bên ngoài.
b) Gỡ màng nhôm chắn từ quấn quanh ruột cáp.
c) Cắt bớt phôi nhôm chỉ để lại đủ để quấn 3 vòng quanh lõi cáp.
d) Làm sạch bề mặt phôi nhôm.
e) Quấn phôi nhôm 3 vòng quanh ruột cáp ở sát chỗ cắt lớp vỏ nhựa bọc cáp rồi dùng kẹp kẹp chặt lại.
f) Nối dây đồng có đường kính 2 mm với tấm kẹp và nối dây này với dây đất. Khi tiếp đất ở những chỗ cần nối màng nhôm chắn từ phải thực hiện nối màng chắn từ trước rồi mới thực hiện tiếp đất màng chắn từ (xem Hình C.12).

Hình C.12 - Nối đất màng chắn từ đối với cáp không có sợi dây đồng
bên dưới
QCVN 33:2019/BTTTT
Thư mục tài liệu tham khảo
[1] Quy phạm 68 QP-01:04-VNPT, Quy phạm cấp cơ sở “Quy phạm xây dựng mạng ngoại vi” của Tổng công ty Bưu chính Viễn thông Việt Nam.
[2] Quy phạm ngành QPN 01-76, “Xây dựng đường dây trần thông tin đường dài”.
[3] Quy phạm ngành QPN 07-72 , “Xây dựng đường dây điện thoại nội thị” (phần thiết kế).
[4] Thông tư số 14/2013/TT-BTTTT ngày 21 tháng 06 năm 2013 của Bộ Thông tin và Truyền thông hướng dẫn việc lập, phê duyệt và tổ chức thực hiện quy hoạch hạ tầng kỹ thuật viễn thông thụ động tại địa phương.
[5] Quyết định số 1766/QĐ-VNPT-CNM ngày 5 tháng 10 năm 2016 của Tập đoàn Bưu chính Viễn thông Việt Nam về việc Ban hành quy chuẩn kỹ thuật thi công lắp đặt mạng ODN.
[6] QCVN 07 - 8:2016/BXD, Các công trình hạ tầng kỹ thuật công trình viễn thông;
[7] QCNV 9:2016/BTTTT, Quy chuẩn kỹ thuật quốc gia về tiếp đất cho các trạm viễn thông;
[8] Nghị định số 72/2012/NĐ-CP, ngày 24 tháng 9 năm 2012 của Chính phủ về quản lý và sử dụng chung công trình hạ tầng kỹ thuật.
[9] Quyết định số 19/2006/QĐ-BCN ngày 11 tháng 7 năm 2006 của Bộ Công nghiệp (nay là Bộ Công thương) ban hành Quy phạm trang bị điện.
------------------------------------------
Bạn chưa Đăng nhập thành viên.
Đây là tiện ích dành cho tài khoản thành viên. Vui lòng Đăng nhập để xem chi tiết. Nếu chưa có tài khoản, vui lòng Đăng ký tại đây!
Bạn chưa Đăng nhập thành viên.
Đây là tiện ích dành cho tài khoản thành viên. Vui lòng Đăng nhập để xem chi tiết. Nếu chưa có tài khoản, vui lòng Đăng ký tại đây!