- Tổng quan
- Nội dung
- VB gốc
- Tiếng Anh
- Hiệu lực
- VB liên quan
- Lược đồ
-
Nội dung hợp nhất
Tính năng này chỉ có tại LuatVietnam.vn. Nội dung hợp nhất tổng hợp lại tất cả các quy định còn hiệu lực của văn bản gốc và các văn bản sửa đổi, bổ sung, đính chính... trên một trang. Việc hợp nhất văn bản gốc và những văn bản, Thông tư, Nghị định hướng dẫn khác không làm thay đổi thứ tự điều khoản, nội dung.
Khách hàng chỉ cần xem Nội dung hợp nhất là có thể nắm bắt toàn bộ quy định hiện hành đang áp dụng, cho dù văn bản gốc đã qua nhiều lần chỉnh sửa, bổ sung.
- Tải về
Thông tư 14/2020/TT-BTNMT xây dựng, duy trì, vận hành hệ thống thông tin ngành tài nguyên môi trường
| Cơ quan ban hành: | Bộ Tài nguyên và Môi trường |
Số công báo:
Số công báo là mã số ấn phẩm được đăng chính thức trên ấn phẩm thông tin của Nhà nước. Mã số này do Chính phủ thống nhất quản lý.
|
Đang cập nhật |
| Số hiệu: | 14/2020/TT-BTNMT | Ngày đăng công báo: | Đang cập nhật |
| Loại văn bản: | Thông tư | Người ký: | Trần Quý Kiên |
|
Ngày ban hành:
Ngày ban hành là ngày, tháng, năm văn bản được thông qua hoặc ký ban hành.
|
27/11/2020 |
Ngày hết hiệu lực:
Ngày hết hiệu lực là ngày, tháng, năm văn bản chính thức không còn hiệu lực (áp dụng).
|
Đang cập nhật |
|
Áp dụng:
Ngày áp dụng là ngày, tháng, năm văn bản chính thức có hiệu lực (áp dụng).
|
Đã biết
|
Tình trạng hiệu lực:
Cho biết trạng thái hiệu lực của văn bản đang tra cứu: Chưa áp dụng, Còn hiệu lực, Hết hiệu lực, Hết hiệu lực 1 phần; Đã sửa đổi, Đính chính hay Không còn phù hợp,...
|
Đã biết
|
| Lĩnh vực: | Tài nguyên-Môi trường , Thông tin-Truyền thông |
TÓM TẮT THÔNG TƯ 14/2020/TT-BTNMT
Ngày 27/11/2020, Bộ Tài nguyên và Môi trường ra Thông tư 14/2020/TT-BTNMT về việc ban hành Quy trình và Định mức kinh tế - kỹ thuật xây dựng, duy trì, vận hành hệ thống thông tin ngành tài nguyên và môi trường.
Theo đó, quy trình và định mức kinh tế-kỹ thuật xây dựng, duy trì, vận hành hệ thống thông tin ngành tài nguyên và môi trường bao gồm: Xây dựng phần mềm hỗ trợ quản lý, khai thác, vận hành cơ sở dữ liệu ngành tài nguyên và môi trường; Duy trì, vận hành hệ thống thông tin ngành tài nguyên và môi trường; Kiểm tra, nghiệm thu phần mềm hỗ trợ việc quản lý, khai thác cơ sở dữ liệu ngành tài nguyên và môi trường; kiểm tra, nghiệm thu việc duy trì, vận hành hệ thống thông tin ngành tài nguyên và môi trường.
Ngoài ra, phần mềm hệ thống được phân loại thành 03 nhóm dựa trên các yếu tố ảnh hưởng như sau: Nhóm phần mềm dịch vụ; Nhóm phần mềm hạ tầng; Nhóm phần mềm an ninh, bảo mật. Đối tượng quản lý đã có trong trường hợp phần mềm được mở rộng, nâng cấp nếu có thay đổi khi xây dựng phần mềm thì được xác định là kế thừa một phần, nếu không có thay đổi thì được xác định kế thừa hoàn toàn.
Thông tư có hiệu lực kể từ ngày 11/01/2021.
Xem chi tiết Thông tư 14/2020/TT-BTNMT có hiệu lực kể từ ngày 11/01/2021
Tải Thông tư 14/2020/TT-BTNMT
|
BỘ TÀI NGUYÊN VÀ MÔI TRƯỜNG |
CỘNG HÒA XÃ HỘI CHỦ NGHĨA VIỆT NAM |
THÔNG TƯ
Ban hành Quy trình và Định mức kinh tế - kỹ thuật xây dựng, duy trì, vận hành
hệ thống thông tin ngành tài nguyên và môi trường
_________
Căn cứ Nghị định số 36/2017/NĐ-CP ngày 04 tháng 4 năm 2017 của Chính phủ quy định chức năng, nhiệm vụ, quyền hạn và cơ cấu tổ chức của Bộ Tài nguyên và Môi trường;
Căn cứ Nghị định số 73/2017/NĐ-CP ngày 14 tháng 6 năm 2017 của Chính phủ về thu thập, quản lý, khai thác và sử dụng thông tin, dữ liệu tài nguyên và môi trường;
Theo đề nghị của Cục trưởng Cục Công nghệ thông tin và Dữ liệu tài nguyên môi trường, Vụ trưởng Vụ Khoa học và Công nghệ, Vụ trưởng Vụ Kế hoạch - Tài chính và Vụ trưởng Vụ Pháp chế;
Bộ trưởng Bộ Tài nguyên và Môi trường ban hành Thông tư ban hành Quy trình và Định mức kinh tế - kỹ thuật xây dựng, duy trì, vận hành hệ thống thông tin ngành tài nguyên và môi trường.
Điều 1. Ban hành kèm theo Thông tư này Quy trình và Định mức kinh tế - kỹ thuật xây dựng, duy trì, vận hành hệ thống thông tin ngành tài nguyên và môi trường.
Điều 2. Hiệu lực thi hành
1. Thông tư này có hiệu lực thi hành từ ngày 11 tháng 01 năm 2021
2. Bãi bỏ Mục 6 Phần I, Chương II Phần II và Chương II Phần III Thông tư số 26/2014/TT-BTNMT ngày 28 tháng 5 năm 2014 của Bộ trưởng Bộ Tài nguyên và Môi trường ban hành Quy trình và Định mức kinh tế - kỹ thuật xây dựng cơ sở dữ liệu tài nguyên và môi trường.
3. Bãi bỏ Điều 18 Thông tư số 58/2015/TT-BTNMT ngày 8 tháng 12 năm 2015 của Bộ trưởng Bộ Tài nguyên và Môi trường quy định thẩm định, kiểm tra và nghiệm thu dự án ứng dụng công nghệ thông tin tài nguyên và môi trường.
4. Bãi bỏ Chương II Phần II Thông tư số 17/2016/TT-BTNMT ngày 19 tháng 7 năm 2016 của Bộ trưởng Bộ Tài nguyên và Môi trường ban hành Định mức kinh tế - kỹ thuật kiểm tra, nghiệm thu sản phẩm ứng dụng công nghệ thông tin tài nguyên và môi trường.
Điều 3. Điều khoản chuyển tiếp
Điều 4. Bộ, cơ quan ngang Bộ, cơ quan thuộc Chính phủ, Ủy ban nhân dân các tỉnh, thành phố trực thuộc trung ương và các tổ chức, cá nhân có liên quan chịu trách nhiệm thi hành Thông tư này. Trong quá trình thực hiện nếu có khó khăn vướng mắc, đề nghị các cơ quan, đơn vị phản ánh về Bộ Tài nguyên và Môi trường để sửa đổi, bổ sung cho phù hợp./.
|
Nơi nhận: |
KT. BỘ TRƯỞNG
Trần Quý Kiên |
|
BỘ TÀI NGUYÊN VÀ MÔI TRƯỜNG |
CỘNG HÒA XÃ HỘI CHỦ NGHĨA VIỆT NAM |
QUY TRÌNH VÀ ĐỊNH MỨC KINH TẾ - KỸ THUẬT
XÂY DỰNG, DUY TRÌ, VẬN HÀNH HỆ THỐNG THÔNG TIN
NGÀNH TÀI NGUYÊN VÀ MÔI TRƯỜNG
(Ban hành kèm theo Thông tư số 14/2020/TT-BTNMT ngày 30 tháng 10 năm 2020
của Bộ trưởng Bộ Tài nguyên và Môi trường)
Phần I
QUY ĐỊNH CHUNG
1. Phạm vi điều chỉnh
Quy trình và Định mức kinh tế - kỹ thuật xây dựng, duy trì, vận hành hệ thống thông tin ngành tài nguyên và môi trường bao gồm:
a) Xây dựng phần mềm hỗ trợ quản lý, khai thác, vận hành cơ sở dữ liệu ngành tài nguyên và môi trường;
b) Duy trì, vận hành hệ thống thông tin ngành tài nguyên và môi trường;
c) Kiểm tra, nghiệm thu phần mềm hỗ trợ việc quản lý, khai thác cơ sở dữ liệu ngành tài nguyên và môi trường; kiểm tra, nghiệm thu việc duy trì, vận hành hệ thống thông tin ngành tài nguyên và môi trường.
2. Đối tượng áp dụng
Quy trình và Định mức này áp dụng cho các cơ quan nhà nước, các đơn vị sự nghiệp công lập, các tổ chức và cá nhân có liên quan thực hiện các công việc về xây dựng, duy trì, vận hành hệ thống thông tin và kiểm tra, nghiệm thu sản phẩm công nghệ thông tin ngành tài nguyên và môi trường.
3. Cơ sở xây dựng và chỉnh lý định mức kinh tế - kỹ thuật
Nghị định số 204/2004/NĐ-CP ngày 14 tháng 12 năm 2004 của Chính phủ về chế độ tiền lương đối với cán bộ, công chức, viên chức và lực lượng vũ trang;
Nghị định số 17/2013/NĐ-CP ngày 19 tháng 2 năm 2013 của Chính phủ về việc sửa đổi, bổ sung một số điều của Nghị định số 204/2004/NĐ-CP ngày 14 tháng 12 năm 2004 của Chính phủ về chế độ tiền lương đối với cán bộ, công chức, viên chức và lực lượng vũ trang;
Nghị định số 117/2016/NĐ-CP ngày 21 tháng 7 năm 2016 của Chính phủ sửa đổi bổ sung một số điều Nghị định số 204/2004/NĐ-CP ngày 14 tháng 12 năm 2004 của Chính phủ về chế độ tiền lương đối với cán bộ, công chức, viên chức và lực lượng vũ trang;
Thông tư số 26/2014/TT-BTNMT ngày 28 tháng 5 năm 2014 của Bộ trưởng Bộ Tài nguyên và Môi trường ban hành Quy trình và Định mức kinh tế - kỹ thuật xây dựng cơ sở dữ liệu tài nguyên và môi trường;
Thông tư số 17/2016/TT-BTNMT ngày 19 tháng 7 năm 2016 của Bộ trưởng Bộ Tài nguyên và Môi trường ban hành Định mức kinh tế - kỹ thuật kiểm tra, nghiệm thu sản phẩm ứng dụng công nghệ thông tin tài nguyên và môi trường;
Thông tư số 04/2017/TT-BTNMT ngày 03 tháng 4 năm 2017 của Bộ trưởng Bộ Tài nguyên và Môi trường quy định xây dựng định mức kinh tế - kỹ thuật ngành tài nguyên và môi trường;
Thông tư 45/2018/TT-BTC ngày 07 tháng 5 năm 2018 của Bộ trưởng Bộ Tài chính hướng dẫn chế độ quản lý, tính hao mòn, khấu hao tài sản cố định tại cơ quan, tổ chức, đơn vị và tài sản cố định do Nhà nước giao cho doanh nghiệp quản lý không tính thành phần vốn nhà nước tại doanh nghiệp.
|
STT |
Nội dung viết tắt |
Chữ viết tắt |
|
1. |
Cơ sở dữ liệu |
CSDL |
|
2. |
Công suất |
CS |
|
3. |
Dụng cụ |
DC |
|
4. |
Đối tượng quản lý |
ĐTQL |
|
5. |
Đơn vị tính |
ĐVT |
|
6. |
Kỹ sư bậc 4 |
KS4 |
|
7. |
Kỹ sư bậc 3 |
KS3 |
|
8. |
Kỹ sư bậc 2 |
KS2 |
|
9. |
Kỹ sư bậc 1 |
KS1 |
|
10. |
Loại khó khăn |
KK |
|
11. |
Loại khó khăn 1 |
KK1 |
|
12. |
Loại khó khăn 2 |
KK2 |
|
13. |
Loại khó khăn 3 |
KK3 |
|
14. |
Loại khó khăn 4 |
KK4 |
|
15. |
Loại khó khăn 5 |
KK5 |
|
16. |
Người dùng được cấp quyền |
NDDCQ |
|
17. |
Trường hợp sử dụng |
THSD |
5. Giải thích từ ngữ
Trong văn bản này, các từ ngữ dưới đây được hiểu như sau:
a) Phần mềm hỗ trợ việc quản lý, khai thác cơ sở dữ liệu ngành tài nguyên và môi trường: Là phần mềm được phát triển, nâng cấp, chỉnh sửa theo các yêu cầu riêng của các đơn vị nhằm ứng các nghiệp vụ về việc xây dựng, quản lý, khai thác và vận hành cơ sở dữ liệu ngành tài nguyên và môi trường.
b) “Thư viện đóng gói” (Engine) là công cụ hỗ trợ phát triển phần mềm có thể tùy biến và được sử dụng làm nền tảng để phát triển các phần mềm ứng dụng.
c) “Hệ thống thông tin địa lý” (Geographic Information System - GIS) là bộ công cụ máy tính để lập và phân tích các sự vật, hiện tượng có gắn với dữ liệu không gian. Công nghệ GIS kết hợp các thao tác cơ sở dữ liệu thuộc tính và các phép phân tích thống kê, phân tích không gian. Dữ liệu không gian chiếm một tỷ lệ lớn trong cơ sở dữ liệu của ngành tài nguyên và môi trường nên việc ứng dụng công nghệ GIS là đặc thù của ngành tài nguyên và môi trường.
d) “Hệ thống thông tin ngành tài nguyên môi trường” bao gồm con người, máy móc thiết bị, kỹ thuật, dữ liệu và các chương trình làm nhiệm vụ thu thập, xử lý, lưu trữ và phân phối thông tin cho người sử dụng trong một môi trường nhất định. Hệ thống thông tin ngành tài nguyên và môi trường là hệ thống đồng bộ theo một kiến trúc tổng thể thống nhất bao gồm các thành phần thông tin: đất đai, môi trường, biển và hải đảo, địa chất và khoáng sản, tài nguyên nước, khí tương thủy văn , biến đổi khí hậu, đo đạc và bản đồ, viễn thám.
đ) “Ngôn ngữ mô hình hóa thống nhất” (Unified Modelling Language - UML) dùng để đặc tả một phần hay toàn bộ phần mềm với các mô hình nghiệp vụ từ những góc nhìn ở từng mức trừu tượng khác nhau thông qua sử dụng các cấu tử mô hình tạo nên các biểu đồ (diagram) thể hiện các đối tượng gồm cấu trúc dữ liệu, hành vi cũng như cách các đối tượng kết hợp với nhau và được sử dụng để đặc tả khi phát triển hoặc nâng cấp phần mềm.
e) “Biểu đồ hoạt động” (Activity Diagram) là quá trình thực hiện của một hay nhiều hoạt động được gắn với một lớp (class) đối tượng dưới tác động của các sự kiện bên ngoài.
g) “Biểu đồ tuần tự” (Sequence Diagram) là một loại sơ đồ tương tác mà cho thấy cách các quy trình hoạt động với nhau và theo thứ tự. Một sơ đồ trình tự cho đối tượng tương tác được sắp xếp theo trình tự thời gian. Nó mô tả các đối tượng và các lớp tham gia vào kịch bản và trình tự các thông điệp trao đổi giữa các đối tượng cần thiết để thực hiện các chức năng của kịch bản.
h) “Tác nhân” (Actor) là một người, một vật nào đó hoặc một hệ thống khác tương tác với hệ thống, sử dụng hệ thống. Trong khái niệm "tương tác với hệ thống" muốn nói rằng actor sẽ gửi thông điệp đến hệ thống hoặc là nhận thông điệp xuất phát từ hệ thống hoặc là thay đổi các thông tin cùng với hệ thống.
i) “Trường hợp sử dụng”(Use case) là một kỹ thuật được dùng trong kỹ thuật phần mềm và hệ thống để nắm bắt yêu cầu chức năng của hệ thống. Use case là một tập hợp các giao dịch giữa hệ thống phần mềm với các tác nhân bên ngoài hệ thống nhằm đạt được một mục tiêu sử dụng của tác nhân. Một trường hợp sử dụng mô tả một hoặc nhiều tình huống sử dụng xảy ra khi tác nhân tương tác với hệ thống phần mềm.
k) “Giao dịch” (Transaction) là một chuỗi các hành động có tính chất tương tác giữa tác nhân và hệ thống phần mềm. Khởi đầu của chuỗi hành động này là một hành động từ tác nhân tới hệ thống. Kết thúc của chuỗi hành động này là một hành động ngược trở lại của hệ thống lên tác nhân. Mỗi giao dịch thông thường bao gồm 4 hành động chính sau:
- Tác nhân gửi các yêu cầu và dữ liệu đến hệ thống.
- Hệ thống kiểm tra tính đúng đắn của dữ liệu.
- Hệ thống thực thi các hoạt động đáp ứng yêu cầu của tác nhân.
- Hệ thống gửi kết quả thực hiện đến tác nhân.
l) “Phát triển phần mềm” (xây dựng phần mềm) là việc gia công, sản xuất phần mềm nội bộ nhằm đáp ứng yêu cầu của tổ chức, người sử dụng hoặc nhằm mục đích kinh doanh thương mại trên thị trường.
m) “Nâng cấp phần mềm” là việc sửa đổi, làm tăng hiệu năng của phần mềm đã có nhằm tối ưu hóa khả năng xử lý các yêu cầu của người sử dụng.
n) “Mở rộng phần mềm” là việc sửa đổi phần mềm với việc tăng cường chức năng của phần mềm đã có nhằm đáp ứng thêm một số yêu cầu của người sử dụng.
o) “Người dùng được cấp quyền” là người có tài khoản và được phân quyền theo chính sách của hệ thống.
p) “Tần suất truy cập” là thông số thể hiện mức độ truy cập hệ thống của người sử dụng. Tần suất truy cập được xác định là số truy cập trung bình của hệ thống trong 01 ngày chia cho số người sử dụng được cấp quyền.
q) Hệ thống phần cứng công nghệ thông tin là tập hợp hạ tầng phần cứng vật lý các thiết bị công nghệ thông tin bao gồm:
- Hệ thống máy chủ.
- Hệ thống thiết bị mạng.
- Hệ thống thiết bị lưu trữ, sao lưu dữ liệu.
- Hệ thống cáp mạng.
- Hệ thống thiết bị hội nghị truyền hình.
- Hệ thống thoại IP.
r) Phần mềm hệ thống là phần mềm quản lý điều hành thiết bị phần cứng công nghệ thông tin, các phần mềm phục vụ quản lý người dùng và quản lý các quá trình truy cập của người dùng và các quá trình đòi hỏi cần quản lý trong quá trình khai thác, bao gồm:
- Dịch vụ DNS, WINS, LDAP, Directory, Proxy, Cluster, DHCP, CA, Radius, NMS,... và tương đương.
- Phần mềm quản lý, giám sát mạng.
- Phần mềm dò quét lỗ hổng an ninh mạng, website.
- Phần mềm sao lưu, phục hồi.
- Phần mềm giám sát mạng không dây.
- Phần mềm hỗ trợ người dùng.
- Phần mềm thu thập và phân tích logs.
- Phần mềm tường lửa, phòng chống tấn công mạng, QoS.
- Phần mềm cân bằng tải.
- Phần mềm chống tấn công từ chối dịch vụ.
- Phần mềm quản lý máy chủ ảo hóa.
- Phần mềm mạng riêng ảo VPN.
- Phần mềm xử lý dữ liệu không gian (Arc GIS, MapInfo,...).
- Phần mềm hệ quản trị cơ sở dữ liệu (Oracle, Microsoft SQL Server,.).
- Phần mềm nguồn mở.
6. Các quy định khác
Để xác định tổng số trường hợp sử dụng và đối tượng quản lý phục vụ tính dự toán, áp dụng phương pháp quy đổi sau:
- THSD được xây dựng mới.
- THSD được cung cấp từ các thư viện, công nghệ nền tảng.
- THSD đã có trong trường hợp phần mềm được mở rộng, nâng cấp.
Các yếu tố ảnh hưởng đến độ phức tạp của THSD bao gồm:
- Số lượng giao dịch.
- Ứng dụng công nghệ GIS.
- Tính kế thừa.
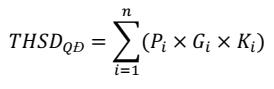
Tổng số trường hợp sử dụng quy đổi ( THSDQĐ ) được tính theo công thức sau:

Trong đó
- thsdqđ : Tổng số trường hợp sử dụng sau quy đổi (được làm tròn đến 1 chữ số sau dấu phảy).
- Pt: hệ số yếu tố ảnh hưởng Số lượng giao dịch của THSD thứ i.
- Gi: hệ số yếu tố ảnh hưởng Ứng dụng công nghệ GIS của THSD thứ i.
- K: hệ số yếu tố ảnh hưởng Tính kế thừa của THSD thứ i.
- n: số lượng THSD (được xác định trong Báo cáo xác định yêu cầu phần mềm). Bảng xác định các hệ số của THSD i (i=1,2,...,n)
|
STT |
Yếu tố ảnh hưởng |
Hệ số |
Mô tả |
|
1 |
Số lượng giao dịch (m) |
|
|
|
m <= 3 |
P = 0,3 |
Số lượng giao dịch của THSD nhỏ hơn hoặc bằng 3 |
|
|
3 < m <= 7 |
P = 1 |
Số lượng giao dịch của THSD lớn hơn 3 và nhỏ hơn hoặc bằng 7 |
|
|
m > 7 |
P = 1,5 |
Số lượng giao dịch của THSD lớn hơn 7 |
|
|
2 |
Ứng dụng công nghệ GIS |
|
|
|
Có ứng dụng công nghệ GIS |
Gi = 1,3 |
THSD có nhu cầu ứng dụng công nghệ GIS |
|
|
Không ứng dụng công nghệ GIS |
Gi = 1 |
THSD không có nhu cầu ứng dụng công nghệ GIS |
|
|
3 |
Tính kế thừa |
|
|
|
Kế thừa hoàn toàn |
Ki = 0 |
THSD được kế thừa hoàn toàn |
|
|
Kế thừa một phần: |
|
THSD được kế thừa một phần |
|
|
- Mức độ kế thừa <30% |
K = 0,7 |
|
|
|
- Mức độ kế thừa ≥ 30% và ≤ 70% |
K = 0,5 |
|
|
|
- Mức độ kế thừa > 70% và < 100% |
Ki = 0,1 |
|
|
|
Xây dựng mới |
K = 1 |
THSD được xây dựng mới |
|
|
4 |
Giao diện |
|
|
|
Có giao diện |
|
THSD có giao diện |
|
|
Không có giao diện |
|
THSD chạy ngầm, không có giao diện |
Tổng số THSD sau khi quy đổi sẽ bao gồm:
- Số THSD được xây dựng mới.
- Số THSD được cung cấp từ các thư viện, công nghệ nền tảng.
- Số THSD đã có trong trường hợp phần mềm được mở rộng, nâng cấp.
Trong các loại THSD sau khi quy đổi nêu trên, xác định cụ thể số lượng THSD có giao diện và số lượng THSD không có giao diện.
Cách áp dụng tổng số THSD sau khi quy đổi đối với các bước xây dựng phần mềm:
- Số THSD xây dựng mới, số THSD được cung cấp từ các thư viện, công nghệ nền tảng sẽ được tính cho tất cả các bước có đơn vị tính là THSD.
- Số THSD đã có trong trường hợp phần mềm được mở rộng, nâng cấp được tính cho các bước có đơn vị tính là THSD bắt đầu từ bước Thiết kế giao diện phần mềm.
- Công việc Thiết kế giao diện chỉ được tính với số lượng THSD có giao diện.
- Đối với các THSD được sử dụng từ các thư viện, công nghệ nền tảng có sẵn, mức độ kế thừa được xác định từ 30 đến 70%.
- Đối với các THSD đề xuất mới hoặc đã có trong trường hợp phần mềm được mở rộng, nâng cấp thì các tiêu chí ảnh hưởng tới việc xác định mức độ kế thừa như sau:
- Giao diện chức năng.
- Giao dịch trong chức năng.
- Cấu trúc bảng trong CSDL.
- Công nghệ sử dụng (công nghệ lập trình, công nghệ nền tảng, công nghệ CSDL, công nghệ G1S,..).
Mức độ kế thừa được xác định theo tổng điểm về sự thay đổi của các tiêu chí:
|
STT |
Tiêu chí |
Điểm |
|
1 |
Thay đổi giao diện chức năng |
10 |
|
2 |
Thay đổi giao dịch trong chức năng |
20 |
|
3 |
Thay đổi cấu trúc bảng trong CSDL |
30 |
|
4 |
Thay đổi công nghệ sử dụng (công nghệ lập trình, công nghệ nền tảng, công nghệ CSDL, công nghệ G1S,.) |
40 |
- Tổng điểm = 0 thì mức độ kế thừa hoàn toàn.
- Tổng điểm < 40 thì mức độ kế thừa <30%.
- Tổng điểm ≥ 40 và ≤ 70 thì mức độ kế thừa ≥ 30% và ≤ 70%.
- Tổng điểm >70 và <100 thì mức độ kế thừa > 70% và < 100%.
- Tổng điểm =100 thì THSD được xây dựng mới.
Đối tượng quản lý được chia thành 3 loại:
- Đối tượng quản lý được xây dựng mới.
- Đối tượng quản lý có trong danh mục dữ liệu chuyên ngành tài nguyên và môi trường đã được ban hành các quy định về chuẩn, cấu trúc dữ liệu.
- Đối tượng quản lý đã có trong trường hợp phần mềm được mở rộng, nâng cấp.
Các yếu tố ảnh hưởng đến độ phức tạp của đối tượng quản lý bao gồm:
- Số lượng lớp, bảng dữ liệu.
- Kiểu dữ liệu.
- Số lượng trường thông tin.
- Số lượng quan hệ.
- Tính kế thừa.
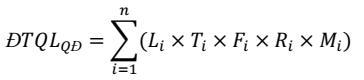
Tổng số đối tượng quản lý quy đổi( ĐTQLQĐ ) được tính theo công thức sau:

Trong đó
- ĐTQLqĐ : Tổng số đối tượng quản lý quy đổi (được làm tròn đến 1 chữ số sau dấu phảy).
- Li: hệ số yếu tố ảnh hưởng Số lượng lớp, bảng dữ liệu của ĐTQL thứ i.
- Ti: hệ số yếu tố ảnh hưởng Kiểu dữ liệu của ĐTQL thứ i.
- Fi: hệ số yếu tố ảnh hưởng Số lượng trường thông tin của ĐTQL thứ i.
- Ri: hệ số yếu tố ảnh hưởng Số lượng quan hệ của ĐTQL thứ i.
- Mi: hệ số yếu tố ảnh hưởng Tính kế thừa của ĐTQL thứ i.
- n: số lượng ĐTQL (được xác định trong tài liệu Danh mục đối tượng quản lý và các thông tin chi tiết theo mẫu M1.2).
Bảng xác định các hệ số của ĐTQL i (i = 1,2,...,n)
|
STT |
Yếu tố ảnh hưởng |
Hệ số |
Mô tả |
|
1 |
Số lượng lớp, bảng dữ liệu (m) |
|
|
|
m <= 3 |
Li = 0,3 |
Số lượng lớp, bảng dữ liệu của ĐTQL nhỏ hơn hoặc bằng 3 |
|
|
3 < m < 7 |
Li = 1 |
Số lượng lớp, bảng dữ liệu của ĐTQL lớn hơn 3 và nhỏ hơn 7 |
|
|
m >= 7 |
Li = 1,5 |
Số lượng lớp, bảng dữ liệu của ĐTQL lớn hơn hoặc bằng 7 |
|
|
2 |
Kiểu dữ liệu |
|
|
|
Không gian |
Ti = 1,3 |
Kiểu dữ liệu của ĐTQL là không gian |
|
|
Phi không gian |
Ti = 1 |
Kiểu dữ liệu của ĐTQL là phi không gian |
|
|
3 |
Số lượng trường thông tin (m) |
|
|
|
|
m <= 15 |
Fi = 0,9 |
Số lượng trường thông tin của ĐTQL nhỏ hơn hoặc bằng 15 |
|
15 < m < 40 |
Fi = 1 |
Số lượng trường thông tin của ĐTQL lớn hơn 15 và nhỏ hơn 40 |
|
|
m >= 40 |
Fi = 1,1 |
Số lượng trường thông tin của ĐTQL lớn hơn hoặc bằng 40 |
|
|
4 |
Số lượng quan hệ (m) |
|
|
|
m = 0 |
Ri = 0,8 |
Số lượng quan hệ của ĐTQL bằng 0 |
|
|
0 < m <= 3 |
Ri = 1 |
Số lượng quan hệ của ĐTQL lớn hơn 0 và nhỏ hơn hoặc bằng 3 |
|
|
3 < m < 7 |
Ri = 1,1 |
Số lượng quan hệ của ĐTQL lớn hơn 3 và nhỏ hơn 7 |
|
|
m >= 7 |
Ri = 1,2 |
Số lượng quan hệ của ĐTQL lớn hơn hoặc bằng 7 |
|
|
5 |
Tính kế thừa |
|
|
|
|
Kế thừa hoàn toàn |
Mi = 0 |
ĐTQL được kế thừa hoàn toàn |
|
|
Kế thừa một phần |
Mi = 0,3 |
|
|
|
Xây dựng mới |
Mi = 1 |
ĐTQL được xây dựng mới |
Tổng số ĐTQL sau khi quy đổi sẽ bao gồm:
- Số ĐTQL được xây dựng mới.
- Số ĐTQL có trong danh mục dữ liệu chuyên ngành tài nguyên và môi trường đã được ban hành các quy định về chuẩn, cấu trúc dữ liệu.
- Số ĐTQL đã có trong trường hợp phần mềm được mở rộng, nâng cấp.
Cách áp dụng tổng số ĐTQL sau khi quy đổi đối với các bước xây dựng phần mềm:
- Số ĐTQL xây dựng mới, số ĐTQL có trong danh mục dữ liệu chuyên ngành tài nguyên và môi trường đã được ban hành các quy định về chuẩn, cấu trúc dữ liệu được tính cho tất cả các bước có đơn vị tính là ĐTQL.
- Số ĐTQL đã có trong trường hợp phần mềm được mở rộng, nâng cấp được tính cho các bước có đơn vị tính là ĐTQL bắt đầu từ bước Thiết kế mô hình cơ sở dữ liệu.
6.1.4. Phương pháp xác định tính kế thừa của ĐTQL
Đối tượng quản lý có trong danh mục dữ liệu chuyên ngành tài nguyên và môi trường đã được ban hành các quy định về chuẩn, cấu trúc dữ liệu: nếu có thay đổi khi xây dựng phần mềm thì được xác định là kế thừa một phần, nếu không có thay đổi thì được xác định kế thừa hoàn toàn.
Đối tượng quản lý đã có trong trường hợp phần mềm được mở rộng, nâng cấp: nếu có thay đổi khi xây dựng phần mềm thì được xác định là kế thừa một phần, nếu không có thay đổi thì được xác định kế thừa hoàn toàn.
Để xác định điểm quy đổi cho hệ thống phần cứng công nghệ thông tin phục vụ tính dự toán cho một nhiệm vụ, dự án cụ thể sẽ được thực hiện qua hai bước:
Bước 1: Phân loại hệ thống, thiết bị phần cứng theo mức khó khăn. Đây là bước Quy đổi mức khó khăn (QĐKK).
Bước 2: Phân loại hệ thống, thiết bị phần cứng theo bước thực hiện công việc. Bước này xác định điểm bước thực hiện công việc (ĐBTH).
Phân loại hệ thống, thiết bị phần cứng công nghệ thông tin theo tính chất lớn, trung bình, nhỏ theo yếu tố ảnh hưởng tác động đến mỗi danh mục như bảng dưới đây:
Bảng phân loại yếu tố ảnh hưởng theo danh mục thiết bị phần cứng công nghệ thông tin:
|
TT |
Tên thiết bị |
Yếu tố ảnh hưởng |
|
1 |
Máy chủ vật lý tower |
Số lượng socket CPU |
|
2 |
Máy chủ vật lý rack, phiến |
Số lượng socket CPU, Số U (U là đơn vị mà những nhà sản xuất quy ước sử dụng để đo chiều cao của thiết bị theo tiêu chuẩn EIA) |
|
3 |
Thiết bị chuyển mạch Switch |
Số U, Số cổng mạng |
|
4 |
Thiết bị định tuyến router |
Số U, Mô hình triển khai |
|
5 |
Thiết bị wifi Access Point |
Mô hình triển khai |
|
6 |
Thiết bị an ninh bảo mật (Thiết bị tường lửa, IPS, chống tấn công từ chối dịch vụ, thu thập phân tích log, ...) |
Số U, Mô hình triển khai |
|
7 |
Hệ thống thiết bị lưu trữ, sao lưu dữ liệu (SAN, NAS) |
Dung lượng lưu trữ, Số lượng thiết bị lưu trữ thành phần |
|
8 |
Hệ thống cáp mạng |
Số lượng node mạng |
|
9 |
Hệ thống hội nghị truyền hình |
Số điểm cầu, tần suất sử dụng |
|
10 |
Hệ thống thoại qua mạng Internet |
Số lượng cuộc gọi cùng lúc, mô hình triển khai |
Yếu tố ảnh hưởng được đánh giá phân loại theo danh mục thiết bị như bảng được liệt kê ở trên, từ các yếu tố ảnh hưởng đưa ra phương pháp tính điểm theo phân loại điểm theo mức 1, mức 2, mức 3 tương ứng cho ra ba mức khó khăn KK1, KK2, KK3.
- Bảng quy đổi yếu tố khó khăn ra điểm:
Hệ thống phần cứng:
|
STT |
Các yếu tố ảnh hưởng |
Điểm |
|
1 |
Máy chủ thông thường (Tower) |
|
|
|
m là số lượng socket - CPU vật lý |
|
|
|
m = 1 |
30 |
|
|
m = 2 |
60 |
|
|
m > 2 |
100 |
|
2 |
Máy chủ Phiến, Rack |
|
|
|
m là số lượng socket - CPU vật lý |
|
|
|
m = 1 |
5 |
|
|
m = 2 |
10 |
|
|
m > 2 |
20 |
|
|
n là số U (chiếm bao nhiêu U trên Rack đặt) |
|
|
|
n = 1 |
20 |
|
|
n = 2 |
50 |
|
|
n > 2 |
80 |
|
3 |
Thiết bị chuyển mạch Switch |
|
|
|
m là số U |
|
|
|
m = 1 |
40 |
|
|
m = 2 |
60 |
|
|
m > 2 |
80 |
|
|
n là số cổng mạng |
|
|
|
n < 24 |
10 |
|
|
n > = 24 và < = 48 |
15 |
|
|
n > 48 |
20 |
|
4 |
Thiết bị Router |
|
|
|
m là số U |
|
|
|
m = 1 |
10 |
|
|
m = 2 |
20 |
|
|
m > 2 |
40 |
|
|
n là mô hình triển khai |
|
|
|
n = độc lập |
40 |
|
|
n = có dự phòng |
50 |
|
|
n = có dự phòng (chạy song song) |
60 |
|
5 |
Thiết bị Access Point (AP) |
|
|
|
m là mô hình triển khai |
|
|
|
m = Không quản lý tập chung |
40 |
|
|
m = Quản lý tập chung |
60 |
|
|
m = Quản lý tập chung và có dự phòng |
80 |
|
6 |
Thiết bị an ninh bảo mật (Thiết bị tường lửa, IPS, chống tấn công từ chối dịch vụ, thu thập phân tích log, ...) |
|
|
|
m là số U |
|
|
|
m = 1 |
10 |
|
|
m = 2 |
20 |
|
|
m > 2 |
40 |
|
|
n là mô hình triển khai |
|
|
|
n = Không quản lý tập chung |
20 |
|
|
n = Quản lý tập chung |
40 |
|
|
n = Quản lý tập chung và có dự phòng |
60 |
|
7 |
Thiết bị SAN |
|
|
|
m là dung lượng lưu trữ |
|
|
|
m < 20 TB |
20 |
|
|
m >= 20 TB và <= 100 TB |
30 |
|
|
m > 100 TB |
50 |
|
|
n là số lượng thiết bị lưu trữ thành phần |
|
|
|
n = 1 |
20 |
|
|
n > 1 và < = 4 |
30 |
|
|
n > 4 |
50 |
|
8 |
Thiết bị NAS |
|
|
|
m là dung lượng lưu trữ |
|
|
|
m < 20 TB |
20 |
|
|
m >= 20 TB và <= 100 TB |
30 |
|
|
m > 100 TB |
50 |
|
|
n là số lượng thiết bị lưu trữ thành phần |
|
|
|
n = 1 |
20 |
|
|
n > 1 và < = 4 |
30 |
|
|
n > 4 |
50 |
|
9 |
Hệ thống cable mạng |
|
|
|
m là số lượng node mạng |
|
|
|
m < 100 |
40 |
|
|
m >= 100 và < = 500 |
60 |
|
|
m > 500 |
80 |
|
10 |
Hệ thống hội nghị truyền hình |
|
|
|
m là số điểm cầu |
|
|
|
m < 5 |
20 |
|
|
m >= 5 và <= 10 |
30 |
|
|
m > 10 |
50 |
|
|
n tần suất số cuộc họp trong tháng |
|
|
|
n <= 20 |
20 |
|
|
n > 20 và <=50 |
30 |
|
|
n > 50 |
50 |
|
11 |
Hệ thống thoại qua mạng Internet (VoiP) |
|
|
|
m là số lượng cuộc gọi cùng lúc |
|
|
|
m < 50 |
20 |
|
|
m >= 50 và <= 100 |
30 |
|
|
m > 100 |
50 |
|
|
n là mô hình triển khai |
|
|
|
n không có dự phòng |
20 |
|
|
n có dự phòng |
30 |
|
|
n có dự phòng và chạy song song |
50 |
- Phân loại khó khăn
Căn cứ điểm của từng yếu tố ảnh hưởng, việc phân loại khó khăn được xác định theo bảng sau:
|
STT |
Mức độ khó khăn |
Khoảng điểm |
Hệ số khó khăn (KK) |
|
1 |
KK1 |
K < = 50 |
0,7 |
|
2 |
KK2 |
50 <K <80 |
1 |
|
3 |
KK3 |
K >=80 |
1,3 |
Điểm quy đổi theo mức khó khăn (QĐKK) được xác định bằng công thức:

Trong đó: - DM: là số lượng danh mục thiết bị được phân loại nằm trong 3 mức KK
Bảng quy đổi điểm theo các bước công việc trong quy trình duy trì, vận hành hệ thống phần cứng công nghệ thông tin
|
TT |
Bước quy trình |
Nội dung công việc |
Máy chủ |
Thiết bị mạng |
Hệ thống thiết bị lưu trữ, sao lưu dữ liệu |
Hệ thống cáp mạng (node mạng) |
Hệ thống hội nghị truyền hình |
Hệ thống thoại qua mạng internet |
Hệ thống thiết bị CNTT khác |
|||||
|
|
|
|
Máy chủ tower |
Máy chủ phiến, rack |
Switch |
Router |
Thiết bị access point |
Thiết bị an ninh bảo mật |
SAN |
NAS |
||||
|
1 |
Kiểm tra, giám sát |
Kiểm tra, giám sát trạng thái hoạt động hệ thống. |
1 |
1 |
1 |
1 |
0.5 |
1 |
1 |
1 |
|
1 |
1 |
1 |
|
Kiểm tra nhật ký hoạt động hệ thống. |
1 |
1 |
1 |
1 |
|
1 |
1 |
1 |
|
|
|
1 |
||
|
Kiểm tra, giám sát các chức năng của hệ thống. |
1 |
1 |
1 |
1 |
|
1 |
1 |
1 |
|
1 |
|
1 |
||
|
2 |
Ghi nhận sự cố |
Ghi nhận sự cố |
1 |
1 |
0.8 |
0.8 |
1.2 |
1.2 |
1 |
1 |
1.5 |
1 |
1 |
1 |
|
Xác minh sự cố. |
1 |
1 |
0.8 |
0.8 |
0.8 |
1.2 |
1 |
1 |
1.5 |
1 |
1 |
1 |
||
|
Cập nhật danh mục sự cố |
1 |
1 |
0.8 |
0.8 |
0.8 |
1.2 |
1 |
1 |
1.5 |
1 |
1 |
1 |
||
|
3 |
Phân tích sự cố |
Phân loại, đối chiếu danh mục sự cố. |
1 |
1 |
0.8 |
0.8 |
0.5 |
1.5 |
1.2 |
1.2 |
0.5 |
1.5 |
1 |
1 |
|
Phân tích các nguyên nhân gây ra sự cố. |
1 |
1 |
1.2 |
1.5 |
0.5 |
1.5 |
1.5 |
1.5 |
1 |
1.2 |
1 |
1 |
||
|
Đề xuất giải pháp khắc phục sự cố |
1 |
1 |
1 |
1.2 |
1 |
1.2 |
1 |
1 |
0.8 |
1 |
0.8 |
1 |
||
|
4 |
Khắc phục sự cố |
Nghiên cứu giải pháp được đề xuất. |
1 |
1 |
1 |
1.2 |
0.5 |
1.2 |
1 |
1 |
0.8 |
1 |
0.8 |
1 |
|
Thực hiện giải pháp khắc phục. |
1 |
1 |
1.2 |
2 |
0.5 |
1.5 |
1.5 |
1.5 |
1 |
1.2 |
1 |
1 |
||
|
Kiểm tra hệ thống sau khi thực hiện giải pháp khắc phục. |
1 |
1 |
1 |
1 |
0.8 |
1 |
1 |
1 |
1 |
1 |
1 |
1 |
||
|
Cập nhật danh mục sự cố |
1 |
1 |
1 |
1 |
0.8 |
1 |
1 |
1 |
1 |
1 |
1 |
1 |
||
|
5 |
Báo cáo thống kê, nhật ký |
Tổng hợp, xây dựng báo cáo trong quá trình duy trì vận hành hệ thống |
1 |
1 |
1 |
1 |
1 |
1.5 |
1 |
1 |
1 |
1 |
1 |
|
|
6 |
Bảo dưỡng hệ thống |
Lập kế hoạch bảo dưỡng, thông báo cho các bộ phận liên quan về lịch bảo dưỡng định kỳ |
1 |
1 |
1 |
1 |
1 |
1 |
1 |
1 |
1 |
1 |
1 |
1 |
|
Vệ sinh các thiết bị |
1 |
1 |
1 |
1 |
1 |
1 |
1.2 |
1.2 |
|
1.5 |
1 |
1 |
||
|
Kiểm tra môi trường hoạt động, độ ẩm, nhiệt độ, hệ thống làm mát của hệ thống; |
1 |
1 |
1 |
1 |
|
1 |
1 |
1 |
|
1 |
1 |
1 |
||
|
Lấy bản ghi nhật ký hệ thống hoạt động (log dữ liệu), kiểm tra các đèn cảnh báo; |
1 |
1 |
1 |
1 |
0.5 |
1 |
1 |
1 |
|
0.5 |
1 |
1 |
||
|
Chạy các chương trình kiểm tra hiệu năng máy tính, máy chủ về trạng thái hoạt động của thiết bị; |
1 |
1 |
1 |
1 |
|
1 |
1 |
1 |
|
1.2 |
1 |
1 |
||
|
Kiểm tra danh mục các phần mềm được phép chạy trên máy chủ và loại bỏ các phần mềm không được phép trên máy tính, máy chủ; |
1 |
1 |
|
|
|
|
1 |
1 |
|
|
|
1 |
||
|
Kiểm tra toàn bộ hệ thống và ghi nhận hiện trạng phục vụ cho các kỳ bảo dưỡng tiếp theo; |
1 |
1 |
0.5 |
0.5 |
0.5 |
0.5 |
0.5 |
0.5 |
1 |
1 |
1 |
1 |
||
|
Thay thế/sửa chữa các thiết bị hỏng hóc phát sinh trong giai đoạn bảo dưỡng. |
1 |
1.2 |
1 |
1 |
1 |
1 |
1.2 |
1.2 |
1.5 |
1 |
1 |
1 |
||
|
7 |
Cập nhật firmware |
Lập kế hoạch cập nhật, thông báo đến các bộ phận liên quan; |
1 |
1 |
1 |
1 |
1 |
1 |
1 |
1 |
|
1 |
1 |
1 |
|
Thực hiện sao lưu dữ liệu; |
1 |
1 |
1 |
1 |
|
1 |
1 |
1 |
|
1.2 |
|
1 |
||
|
Kiểm tra các phiên bản firmware của hệ thống; |
1 |
1 |
1 |
1 |
|
1 |
1 |
1 |
|
1.2 |
1 |
1 |
||
|
Thực hiện nâng cấp, cập nhật hệ thống; |
1 |
1 |
1 |
1 |
|
1 |
1 |
1 |
|
1.2 |
1 |
1 |
||
|
Kiểm tra vận hành thử sau nâng cấp. |
1 |
1 |
1 |
1 |
|
1 |
1 |
1 |
|
1.2 |
1 |
1 |
||
|
Thang điểm |
Mức độ phức tạp của các bước |
|
0,5 |
Thấp |
|
0,8 |
Cận thấp |
|
1 |
Trung bình |
|
1,2 |
Cận cao |
|
1,5 |
Cao |
Tổng điểm quy đổi (ĐQĐ) của 1 bước công việc được tính theo công thức sau:

Trong đó: - QĐKK: Điểm quy đổi khó khăn của thiết bị.
- ĐBTH1: Điểm bước thực hiện của thiết bị.
- n: số lượng điểm quy đổi khó khăn và Điểm bước thực hiện của một thiết bị thứ n.Phần mềm hệ thống được phân loại thành 03 nhóm dựa trên các yếu tố ảnh hưởng, cụ thể như sau:
- Nhóm phần mềm dịch vụ.
- Nhóm phần mềm hạ tầng.
- Nhóm phần mềm an ninh, bảo mật.
|
Phân loại nhóm |
Danh mục các phần mềm hệ thống |
Yếu tố ảnh hưởng |
|
Phần mềm dịch vụ |
Dịch vụ Email, DNS, WINS, LDAP, Directory, Proxy, Cluster, DHCP, CA, Radius, SSO, NMS,... và các dịch vụ tương đương |
Mô hình triển khai, Số lượng người dùng, loại phần mềm |
|
Phần mềm xử lý dữ liệu không gian (Arc GIS, MapInfo,...) |
Mô hình triển khai, Số lượng người dùng, loại phần mềm |
|
|
Phần mềm hệ quản trị cơ sở dữ liệu (Oracle, Microsoft SQL Server,.) |
Mô hình triển khai, Số lượng người dùng, loại phần mềm |
|
|
Phần mềm hỗ trợ người dùng |
Mô hình triển khai, Số lượng người dùng, loại phần mềm |
|
|
Phần mềm mã nguồn mở khác |
Mô hình triển khai, Số lượng người dùng, loại phần mềm |
|
|
Phần mềm hạ tầng |
Phần mềm quản lý, giám sát mạng |
Mô hình triển khai, Số lượng thiết bị, loại phần mềm |
|
Phần mềm giám sát mạng không dây |
Mô hình triển khai, Số lượng thiết bị, loại phần mềm |
|
|
Phần mềm cân bằng tải |
Mô hình triển khai, Số lượng thiết bị, loại phần mềm |
|
|
Phần mềm mạng riêng ảo VPN |
Mô hình triển khai, Số lượng thiết bị, loại phần mềm |
|
|
Phần mềm sao lưu, phục hồi tập trung |
Mô hình triển khai, Số lượng thiết bị, loại phần mềm |
|
|
Phần mềm quản lý máy chủ ảo hóa |
Mô hình triển khai, Số lượng thiết bị, loại phần mềm |
|
|
Phần mềm thương mại khác |
Mô hình triển khai, Số lượng thiết bị, loại phần mềm |
|
|
Phần mềm mã nguồn mở khác |
Mô hình triển khai, Số lượng thiết bị, loại phần mềm |
|
|
Phần mềm an ninh bảo mật |
Phần mềm dò quét lỗ hổng an ninh mạng |
Băng thông, hoạt động layer, Mô hình triển khai, loại phần mềm |
|
Phần mềm dò quét lỗ hổng an ninh website |
Băng thông, hoạt động layer, Mô hình triển khai, loại phần mềm |
|
|
Phần mềm tường lửa, phòng chống tấn công mạng, QoS |
Băng thông, hoạt động layer, Mô hình triển khai, loại phần mềm |
|
|
Phần mềm chống tấn công từ chối dịch vụ |
Băng thông, hoạt động layer, Mô hình triển khai, loại phần mềm |
|
|
Phần mềm thu thập và phân tích logs |
Băng thông, hoạt động layer, Mô hình triển khai, loại phần mềm |
|
|
Phần mềm thương mại khác |
Băng thông, hoạt động layer, Mô hình triển khai, loại phần mềm |
|
|
Phần mềm mã nguồn khác |
Băng thông, hoạt động layer, Mô hình triển khai, loại phần mềm |
Nhóm phần mềm dịch vụ:
Tổng số điểm các yếu tố ảnh hưởng tối đa là 100 điểm:
- Yếu tố mô hình triển khai điểm tối đa là 20, tùy thuộc vào quy mô triển khai tương ứng là 0, 10 và 20.
- Yếu tố số lượng người dùng tối đa là 65 điểm, tùy vào số lượng người dùng tương ứng là 25, 35, 45, 55 và 65.
- Yếu tố loại phần mềm có điểm tối đa là 15 với loại phần mềm mã nguồn đóng là 0 và mã nguồn mở là 15.
|
STT |
Các yếu tố ảnh hưởng |
Điểm |
|
1 |
Mô hình triển khai: tối đa 20 điểm |
|
|
|
m = 1 Không có dự phòng |
0 |
|
|
m = 2 Có dự phòng tại 1 site |
10 |
|
|
m = 3 Có dự phòng nhiều hơn 1 site |
20 |
|
2 |
Số lượng người dùng: tối đa 65 điểm |
|
|
|
m < 100 |
25 |
|
|
100 <= m <=200 |
35 |
|
|
200< m <300 |
45 |
|
|
300< = m < = 500 |
55 |
|
|
m>500 |
65 |
|
3 |
Loại phần mềm: tối đa 15 điểm |
|
|
|
m = 1 phần mềm mã nguồn đóng |
0 |
|
|
m = 2 Phần mềm mã nguồn mở |
15 |
Nhóm phần mềm hạ tầng:
Tổng số điểm các yếu tố ảnh hưởng tối đa là 100 điểm
- Yếu tố mô hình triển khai điểm tối đa là 20, tùy thuộc vào quy mô triển khai tương ứng là 0, 10 và 20.
- Yếu tố số lượng thiết bị tối đa là 65 điểm, tùy vào số lượng thiết bị tương ứng là 25, 35, 45, 55 và 65.
- Yếu tố loại phần mềm có điểm tối đa là 15 với loại phần mềm mã nguồn đóng là 0 và mã nguồn mở là 15.
|
STT |
Các yếu tố ảnh hưởng |
Điểm |
|
1 |
Mô hình triển khai: tối đa 30 điểm |
|
|
|
m = 1 Không có dự phòng |
0 |
|
|
m = 2 Có dự phòng tại 1 site |
10 |
|
|
m = 3 Có dự phòng nhiều hơn 1 site |
20 |
|
2 |
Số lượng thiết bị: tối đa 65 điểm |
|
|
|
m < 50 |
25 |
|
|
50 <= m <=100 |
35 |
|
|
100< m <150 |
45 |
|
|
150< = m < = 200 |
55 |
|
|
m>200 |
65 |
|
3 |
Loại phần mềm: tối đa 15 điểm |
|
|
|
m = 1 phần mềm mã nguồn đóng |
0 |
|
|
m = 2 Phần mềm mã nguồn mở |
15 |
Nhóm phần mềm an ninh bảo mật:
Tổng số điểm các yếu tố ảnh hưởng tối đa là 100 điểm
- Yếu tố mô hình triển khai điểm tối đa là 20, tùy thuộc vào quy mô triển khai tương ứng là 0, 10 và 20.
- Yếu tố băng thông tối đa là 25 điểm, tùy vào các mức băng thông tương ứng là 10, 15, 20, 25.
- Yếu tố layer có điểm tối đa là 40 với 03 mức layer tương ứng là 20, 30, 40
- Yếu tố loại phần mềm có điểm tối đa là 15 với loại phần mềm mã nguồn đóng là 0 và mã nguồn mở là 15.
|
STT |
Các yếu tố ảnh hưởng |
Điểm |
|
1 |
Mô hình triển khai: tối đa 20 điểm |
|
|
|
m = 1 Không có dự phòng |
0 |
|
|
m = 2 Có dự phòng tại 1 site |
10 |
|
|
m = 3 Có dự phòng nhiều hơn 1 site |
20 |
|
2 |
Băng thông: tối đa 25 điểm |
|
|
|
m < 2Gbps |
10 |
|
|
2Gbps <= m <=5Gbps |
15 |
|
|
5 Gbps< m < 20 Gbps |
20 |
|
|
m > 20 Gbps |
25 |
|
3 |
Hoạt động trên Layer: tối đa 40 điểm |
|
|
|
m = 1 (Layer 3,4) |
20 |
|
|
m = 2 Layer 7 |
30 |
|
|
m = 3 (layer 7 và có thêm các tính năng IPS, Antivirus...) |
40 |
|
4 |
Loại phần mềm: tối đa 15 điểm |
|
|
|
m = 1 phần mềm mã nguồn đóng |
0 |
|
|
m = 2 Phần mềm mã nguồn mở |
15 |
Căn cứ điểm vào tính chất và danh mục của phần mềm hệ thống, hệ số khó khăn của phần mềm hệ thống sẽ được chia làm 5 mức:
|
STT |
Mức độ khó khăn |
Khoảng điểm |
Hệ số khó khăn (KK) |
|
1 |
KK1 |
K <= 40 |
0,8 |
|
2 |
KK2 |
40 < K <= 55 |
1 |
|
3 |
KK3 |
55 < K <= 70 |
1,2 |
|
4 |
KK4 |
70 < K <= 85 |
1,5 |
|
5 |
KK5 |
K > 85 |
1,8 |
Phần II
QUY TRÌNH KỸ THUẬT XÂY DỰNG, DUY TRÌ, VẬN HÀNH HỆ THỐNG
THÔNG TIN NGÀNH TÀI NGUYÊN VÀ MÔI TRƯỜNG
Chương I
QUY TRÌNH XÂY DỰNG PHẦN MỀM HỖ TRỢ
VIỆC QUẢN LÝ, KHAI THÁC CƠ SỞ DỮ LIỆU
NGÀNH TÀI NGUYÊN VÀ MÔI TRƯỜNG

8. Quy trình chi tiết xây dựng phần mềm hỗ trợ việc quản lý, khai thác cơ sở dữ liệu ngành tài nguyên và môi trường
1. Xác định yêu cầu
a) Các bước thực hiện
Thu thập các quy trình nghiệp vụ của tổ chức, đơn vị sử dụng hệ thống.
- Thu thập thông tin về cơ cấu tổ chức của đơn vị.
- Mô hình hóa chi tiết các quy trình, nghiệp vụ của tổ chức, đơn vị bằng ngôn ngữ UML.
Xác định các yêu cầu chức năng
- Xác định tên và mô tả từng chức năng.
- Xác định người sử dụng chức năng.
- Xác định các thông tin cần cập nhật, quản lý.
- Đưa ra hình vẽ minh họa giao diện (nếu có).
Đặc tả dữ liệu
- Xác định hiện trạng dữ liệu hiện có.
- Đưa ra các yêu cầu quản lý dữ liệu.
Xác định các yêu cầu khác
- Xác định yêu cầu về tính sử dụng.
- Xác định yêu cầu về tính ổn định.
- Xác định yêu cầu về tốc độ xử lý.
- Xác định yêu cầu về tính hỗ trợ.
- Xác định yêu cầu về công nghệ và các ràng buộc.
- Xác định các yêu cầu về giao tiếp.
- Xác định các yêu cầu khác (nếu có).
b) Sản phẩm
Tài liệu yêu cầu người dùng (URD - User Requirements Document - theo Mẫu XD.01).
2. Phân tích và thiết kế
2.1. Phân tích yêu cầu
a) Các bước thực hiện
Xác định lại các quy trình nghiệp vụ được tin học hóa
- Mô hình hóa lại các quy trình nghiệp vụ sẽ được tin học hóa.
- Mô tả chi tiết các bước trong từng quy trình.
Xác định danh sách chức năng hệ thống
- Liệt kê danh sách các chức năng của hệ thống.
- Mô tả chi tiết từng chức năng, đưa ra các yêu cầu đối với từng chức năng (nếu có).
- Xác định các tác nhân của từng chức năng.
Xác định các yêu cầu về thông tin dữ liệu
- Xác định thông tin các đối tượng cần quản lý.
- Xác định các mối quan hệ giữa các đối tượng quản lý.
Xác định các yêu cầu về giao diện của phần mềm
- Xác định các giao diện người dùng.
- Xác định các giao diện phần cứng.
- Xác định các giao diện phần mềm.
- Xác định các giao tiếp truyền thông.
Xác định các yêu cầu phi chức năng của phần mềm
- Xác định các yêu cầu về hiệu năng.
- Xác định các yêu cầu an toàn và bảo mật.
- Xác định các yêu cầu về chất lượng.
- Xác định các yêu cầu khác.
b) Sản phẩm
Tài liệu đặc tả yêu cầu phần mềm (SRS - Software Requirements Specification - Theo Mẫu XD.02).
2.2. Thiết kế hệ thống
a) Các bước thực hiện
Thiết kế kiến trúc phần mềm.
Thiết kế biểu đồ THSD.
Thiết kế biểu đồ tuần tự (sequence diagram).
Thiết kế biểu đồ lớp (class).
Thiết kế mô hình cơ sở dữ liệu (database)
Thiết kế giao diện phần mềm.
b) Sản phẩm
Báo cáo thuyết minh kiến trúc phần mềm (theo Mẫu XD.03).
Báo cáo thuyết minh biểu đồ THSD (theo Mẫu XD.04).
Báo cáo thuyết minh biểu đồ tuần tự (theo Mẫu XD.05).
Báo cáo thuyết minh biểu đồ lớp (theo Mẫu XD.06).
Báo cáo thuyết minh mô hình cơ sở dữ liệu (theo Mẫu XD.07).
Báo cáo thiết kế giao diện phần mềm (theo Mẫu XD.08).
2.3. Lập trình
a) Các bước thực hiện
Viết mã nguồn.
Tích hợp mã nguồn.
b) Sản phẩm
Mã nguồn đã được tích hợp.
2.4. Kiểm tra, kiểm thử
a) Các bước thực hiện
Kiểm tra mã nguồn theo quy tắc lập trình (coding convention).
Kiểm thử mức thành phần.
Kiểm thử mức hệ thống.
b) Sản phẩm
Báo cáo kiểm tra theo quy tắc lập trình (theo Mẫu XD.09).
Báo cáo kiểm tra các thành phần của hệ thống (theo Mẫu XD.10).
Báo cáo kiểm tra toàn bộ hệ thống (theo Mẫu XD.11).
2.5. Hoàn thiện, đóng gói sản phẩm
a) Các bước thực hiện
Viết tài liệu mô tả giới thiệu phần mềm.
Viết tài liệu hướng dẫn cài đặt phần mềm.
Xây dựng tài liệu hướng dẫn sử dụng phần mềm.
Đóng gói phần mềm.
b) Sản phẩm
Tài liệu mô tả giới thiệu phần mềm.
Tài liệu hướng dẫn cài đặt và sử dụng phần mềm.
Phần mềm đã được đóng gói hoàn chỉnh.
2.6. Cài đặt, chuyển giao, hướng dẫn sử dụng
a) Các bước thực hiện
Cài đặt phần mềm trên hạ tầng của đơn vị sử dụng.
Đào tạo, hướng dẫn người dùng sử dụng phần mềm.
Bàn giao tài liệu hướng dẫn cài đặt và sử dụng phần mềm.
b) Sản phẩm
Biên bản bàn giao sản phẩm (theo Mẫu XD.12).
2.7. Bảo trì, bảo hành phần mềm
a) Các bước thực hiện
Chỉnh sửa và khắc phục các lỗi phát sinh trong quá trình sử dụng phần mềm. Phát hành các bản vá lỗi.
Xử lý sự cố liên quan đến dữ liệu (khôi phục dữ liệu, tối ưu hóa,...).
b) Sản phẩm
Báo cáo bảo trì phần mềm (theo Mẫu XD.13).
Bản vá lỗi phần mềm hoặc phần mềm đã được vá lỗi.
2.8. Quản lý và cập nhật yêu cầu thay đổi
a) Các bước thực hiện
Ghi nhận yêu cầu thay đổi.
Cập nhật các sản phẩm để đáp ứng yêu cầu thay đổi.
b) Sản phẩm
Báo cáo yêu cầu thay đổi (theo Mẫu XD.14).
Phần mềm đã được cập nhật.
Danh mục các sản phẩm của Chương I được quy định tại Phụ lục 01 kèm theo.
Chương II
QUY TRÌNH DUY TRÌ, VẬN HÀNH HỆ THỐNG THÔNG TIN
NGÀNH TÀI NGUYÊN VÀ MÔI TRƯỜNG
MỤC I
QUY TRÌNH DUY TRÌ, VẬN HÀNH
PHẦN MỀM HỖ TRỢ VIỆC QUẢN LÝ, KHAI THÁC CƠ SỞ DỮ LIỆU
NGÀNH TÀI NGUYÊN VÀ MÔI TRƯỜNG

10. Quy trình chi tiết duy trì, vận hành phần mềm hỗ trợ việc quản lý, khai thác cơ sở dữ liệu ngành tài nguyên và môi trường
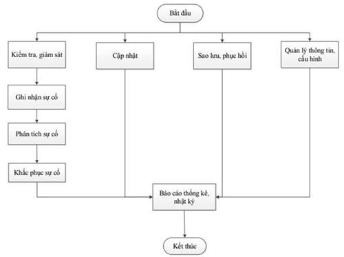
1. Kiểm tra, giám sát
a) Các bước thực hiện
Kiểm tra, giám sát trạng thái hoạt động hệ thống.
Kiểm tra nhật ký hoạt động hệ thống.
Kiểm tra, giám sát các chức năng của hệ thống.
Kiểm tra, giám sát các dịch vụ của hệ thống.
Kiểm tra, theo dõi hiện trạng hệ thống, sao lưu.
b) Sản phẩm
Nhật ký duy trì vận hành hệ thống (theo Mẫu VH.01).
2. Ghi nhận sự cố
a) Các bước thực hiện
Ghi nhận sự cố.
Xác minh sự cố.
Cập nhật danh mục sự cố.
a) Sản phẩm
Nhật ký duy trì vận hành hệ thống (theo Mẫu VH.01).
Danh mục sự cố (theo Mẫu VH.02).
3. Phân tích sự cố
a) Các bước thực hiện
Phân loại, đối chiếu danh mục sự cố.
Phân tích các nguyên nhân có thể gây ra sự cố.
Đề xuất giải pháp khắc phục sự cố.
b) Sản phẩm
Báo cáo phân tích và đề xuất giải pháp khắc phục sự cố (theo Mẫu VH.03).
4. Khắc phục sự cố
a) Các bước thực hiện
Nghiên cứu giải pháp được đề xuất.
Thực hiện giải pháp khắc phục.
Kiểm tra hệ thống sau khi thực hiện giải pháp khắc phục.
Cập nhật danh mục sự cố.
b) Sản phẩm
Báo cáo khắc phục sự cố (theo Mẫu VH.04).
Danh mục sự cố (theo Mẫu VH.02).
5. Báo cáo thống kê, nhật ký
a) Các bước thực hiện
Tổng hợp, xây dựng báo cáo trong quá trình duy trì vận hành hệ thống.
b) Sản phẩm
Báo cáo duy trì, vận hành (theo Mẫu VH.05). Báo cáo này là căn cứ để trình cấp có thẩm quyền phê duyệt nhiệm vụ nâng cấp, mở rộng phần mềm.
6. Sao lưu, phục hồi hệ thống
a) Các bước thực hiện
Thực hiện sao lưu hệ thống theo định kỳ, đột xuất, kiểm tra tính toàn vẹn của dữ liệu sao lưu. Cập nhật nhật ký.
Thực hiện phục hồi hệ thống khi có yêu cầu (theo Mẫu VH.06).
b) Sản phẩm
Nhật ký duy trì vận hành hệ thống (theo Mẫu VH.01).
Báo cáo phục hồi hệ thống (theo Mẫu VH.06).
7. Cài đặt bản vá lỗi
a) Các bước thực hiện
Kiểm tra các bản nâng cấp, vá lỗi của hệ thống.
Thực hiện nâng cấp, cập nhật vá lỗi hệ thống.
b) Sản phẩm
Nhật ký duy trì vận hành hệ thống (theo Mẫu VH.01).
Báo cáo nâng cấp hệ thống (theo Mẫu VH.07).
8. Hỗ trợ người dùng
a) Các bước thực hiện
Tiếp nhận yêu cầu người dùng (trực tiếp, điện thoại, email).
Hỗ trợ trong việc cài đặt phần mềm.
Xử lý yêu cầu người dùng.
Ghi nhận kết quả xử lý.
b) Sản phẩm
Nhật ký hỗ trợ người dùng (theo Mẫu VH.08).
MỤC II
QUY TRÌNH DUY TRÌ, VẬN HÀNH
HỆ THỐNG PHẦN CỨNG CÔNG NGHỆ THÔNG TIN

12. Quy trình chi tiết duy trì, vận hành hệ thống phần cứng công nghệ thông tin
1. Kiểm tra, giám sát
a) Các bước thực hiện
Kiểm tra, giám sát trạng thái hoạt động hệ thống.
Kiểm tra nhật ký hoạt động hệ thống.
Kiểm tra, giám sát các chức năng của hệ thống.
b) Sản phẩm
Nhật ký duy trì vận hành hệ thống (theo Mẫu VH.01).
2. Ghi nhận sự cố
a) Các bước thực hiện
Ghi nhận sự cố.
Xác minh sự cố.
Cập nhật danh mục sự cố.
b) Sản phẩm
Nhật ký duy trì vận hành hệ thống (theo Mẫu VH.01).
Danh mục sự cố (theo Mẫu VH.02).
3. Phân tích sự cố
a) Các bước thực hiện
Phân loại, đối chiếu danh mục sự cố.
Phân tích các nguyên nhân có thể gây ra sự cố. Đề xuất giải pháp khắc phục sự cố.
b) Sản phẩm
Báo cáo phân tích và đề xuất giải pháp khắc phục sự cố (theo Mẫu VH.03).
4. Khắc phục sự cố
a) Các bước thực hiện
Nghiên cứu giải pháp được đề xuất.
Thực hiện giải pháp khắc phục.
Kiểm tra hệ thống sau khi thực hiện giải pháp khắc phục.
Cập nhật danh mục sự cố.
b) Sản phẩm
Báo cáo khắc phục sự cố (theo Mẫu VH.04).
5. Báo cáo thống kê, nhật ký
a) Các bước thực hiện
Tổng hợp, xây dựng báo cáo trong quá trình duy trì vận hành hệ thống.
b) Sản phẩm
Báo cáo duy trì vận hành (theo Mẫu VH.05).
6. Bảo dưỡng hệ thống
a) Các bước thực hiện:
Lập kế hoạch bảo dưỡng, thông báo cho các bộ phận liên quan về lịch bảo dưỡng định kỳ.
Vệ sinh các thiết bị.
Kiểm tra các kết nối của các thiết bị ngoại vi, kết nối nguồn, kết nối mạng, kết nối hệ thống của các thiết bị.
Kiểm tra môi trường hoạt động, độ ẩm, nhiệt độ, hệ thống làm mát của hệ thống.
Lấy bản ghi nhật ký hệ thống hoạt động (log dữ liệu), kiểm tra các đèn cảnh báo.
Chạy các chương trình kiểm tra hiệu năng máy tính, máy chủ về trạng thái hoạt động của thiết bị.
Kiểm tra danh mục các phần mềm được phép chạy trên máy chủ và loại bỏ các phần mềm không được phép trên máy tính, máy chủ.
Kiểm tra toàn bộ hệ thống và ghi nhận hiện trạng phục vụ cho các kỳ bảo dưỡng tiếp theo.
Thay thế/sửa chữa các thiết bị hỏng hóc phát sinh trong giai đoạn bảo dưỡng.
b) Sản phẩm
Nhật ký bảo dưỡng, thay thế (theo Mẫu VH.09).
Báo cáo bảo dưỡng, thay thế (theo Mẫu VH.10).
7. Cập nhật firmware
a) Các bước thực hiện:
Lập kế hoạch cập nhật, thông báo đến các bộ phận liên quan.
Thực hiện sao lưu dữ liệu.
Kiểm tra các phiên bản firmware của hệ thống.
Thực hiện nâng cấp, cập nhật hệ thống.
Kiểm tra vận hành thử sau nâng cấp.
b) Sản phẩm
Báo cáo nâng cấp (theo Mẫu VH.07).
MỤC III
QUY TRÌNH DUY TRÌ, VẬN HÀNH PHẦN MỀM HỆ THỐNG

14. Quy trình chi tiết duy trì, vận hành phần mềm hệ thống
1. Kiểm tra, giám sát hệ thống
a) Các bước thực hiện
Kiểm tra các cổng kết nối của phần mềm, dịch vụ.
Kiểm tra các service của phần mềm, dịch vụ trên hệ điều hành máy chủ dịch vụ.
Kiểm tra các tính năng của phần mềm, dịch vụ.
Kiểm tra nhật ký logs hoạt động của phần mềm, dịch vụ.
b) Sản phẩm
Nhật ký duy trì vận hành (theo Mẫu VH.01).
2. Ghi nhận sự cố
a) Các bước thực hiện
Ghi nhận sự cố.
Xác minh sự cố.
Cập nhật danh mục sự cố.
b) Sản phẩm
Nhật ký duy trì vận hành hệ thống (theo Mẫu VH.01).
Danh mục sự cố (theo Mẫu VH.02).
3. Phân tích sự cố
a) Các bước thực hiện
Phân loại, đối chiếu danh mục sự cố.
Phân tích các nguyên nhân có thể gây ra sự cố. Đề xuất giải pháp khắc phục sự cố.
b) Sản phẩm
Báo cáo phân tích và đề xuất giải pháp khắc phục sự cố (theo Mẫu VH.03).
4. Khắc phục sự cố
a) Các bước thực hiện
Nghiên cứu giải pháp được đề xuất.
Thực hiện giải pháp khắc phục.
Kiểm tra hệ thống sau khi thực hiện giải pháp khắc phục.
Cập nhật danh mục sự cố.
b) Sản phẩm
Báo cáo khắc phục sự cố (theo Mẫu VH.04).
5. Báo cáo thống kê, nhật ký
a) Các bước thực hiện
Tổng hợp, xây dựng báo cáo trong quá trình duy trì vận hành phần mềm hệ thống.
b) Sản phẩm
Báo cáo duy trì vận hành (theo Mẫu VH.05).
6. Cập nhật
a) Các bước thực hiện:
Lập kế hoạch, thông báo cho các bộ phận liên quan.
Thực hiện sao lưu các dữ liệu cần thiết.
Tiền hành cập nhật dịch vụ.
Kiểm tra vận hành sau cập nhật.
b) Sản phẩm
Báo cáo nâng cấp hệ thống (theo Mẫu VH.07).
7. Sao lưu
a) Các bước thực hiện:
Lập kế hoạch phương án sao lưu.
Kiểm tra, xác định các nội dung cần sao lưu.
Thực hiện sao lưu.
Kiểm tra tính toàn vẹn, đầy đủ của các bản sao lưu.
b) Sản phẩm
Báo cáo sao lưu (theo Mẫu VH.11).
8. Phục hồi
a) Các bước thực hiện:
Lập kế hoạch phương án phục hồi khôi phục dữ liệu.
Kiểm tra hệ thống.
Thực hiện phục hồi.
Kiểm tra hoạt động của dịch vụ sau khi thực hiện phục hồi .
b) Sản phẩm
Báo cáo phục hồi hệ thống (theo Mẫu VH.06).
9. Quản lý thông tin, cấu hình
a) Các bước thực hiện:
Lập kế hoạch thực hiện.
Thực hiện cấu hình, thay đổi, cập nhật dữ liệu.
Kiểm tra hoạt động phần mềm sau cấu hình, thay đổi.
b) Sản phẩm
Nhật ký quản lý thông tin cấu hình (theo Mẫu VH.12).
Danh mục các sản phẩm của Chương II được quy định tại Phụ lục số 02 kèm theo.
Chương III
QUY TRÌNH KIỂM TRA, NGHIỆM THU SẢN PHẨM
CÔNG NGHỆ THÔNG TIN NGÀNH TÀI NGUYÊN VÀ MÔI TRƯỜNG
MỤC I
QUY TRÌNH KIỂM TRA, NGHIỆM THU
PHẦN MỀM HỖ TRỢ VIỆC QUẢN LÝ, KHAI THÁC CƠ SỞ DỮ LIỆU
NGÀNH TÀI NGUYÊN VÀ MÔI TRƯỜNG

16. Quy trình chi tiết kiểm tra, nghiệm thu phần mềm hỗ trợ việc quản lý, khai thác cơ sở dữ liệu ngành tài nguyên và môi trường
1. Tiếp nhận hồ sơ, sản phẩm
a) Các bước thực hiện:
Tiếp nhận hồ sơ, sản phẩm.
Kiểm tra khối lượng sản phẩm theo thiết kế kỹ thuật đã được phê duyệt.
Lập biên bản bàn giao sản phẩm.
Kiểm tra hồ sơ kiểm tra, nghiệm thu cấp đơn vị thi công.
b) Sản phẩm:
Biên bản bàn giao tài liệu, sản phẩm (theo Mẫu KT.06).
Phiếu ý kiến kiểm tra hồ sơ kiểm tra, nghiệm thu cấp đơn vị thi công (theo Mẫu KT.01).
2. Kiểm tra xác định yêu cầu phần mềm
a) Các bước thực hiện:
Kiểm tra các nội dung, sản phẩm của bước “Xác định yêu cầu” tại Quy trình phát triển phần mềm.
Kiểm tra quy trình nghiệp vụ.
- Mô hình nghiệp vụ.
- Mô tả quy trình nghiệp vụ.
Kiểm tra yêu cầu chức năng của người dùng.
b) Sản phẩm:
Phiếu ý kiến kiểm tra xác định yêu cầu phần mềm (theo Mẫu KT.02).
3. Kiểm tra phân tích, thiết kế phần mềm
a) Các bước thực hiện:
Kiểm tra các nội dung, sản phẩm của bước “Phân tích, thiết kế phần mềm” tại Quy trình phát triển phần mềm bao gồm:
- Kiểm tra quy trình nghiệp vụ được tin học.
- Kiểm tra danh sách chức năng hệ thống.
- Kiểm tra danh sách đối tượng quản lý và thông tin chi tiết.
- Kiến trúc phần mềm (so với kiến trúc tổng thể của hệ thống đã được phê duyệt).
- Kiểm tra thuyết minh biểu đồ trường hợp sử dụng.
- Kiểm tra thuyết minh biểu đồ tuần tự.
- Kiểm tra thuyết minh biểu đồ lớp.
- Kiểm tra thiết kế mô hình dữ liệu.
- Kiểm tra thiết kế giao diện của phần mềm.
b) Sản phẩm
Phiếu ý kiến kiểm tra phân tích, thiết kế phần mềm (theo Mẫu KT.03).
4. Kiểm tra chức năng phần mềm
a) Các bước thực hiện:
Kiểm tra chức năng phần mềm, bao gồm:
- Kiểm tra sản phẩm Báo cáo về quy tắc lập trình.
- Kiểm tra Báo cáo kiểm tra các thành phần của hệ thống.
- Kiểm tra Báo cáo toàn bộ hệ thống.
- Kiểm tra các chức năng phần mềm.
b) Sản phẩm:
Phiếu ý kiến kiểm tra chất lượng phần mềm (theo Mẫu KT.04).
5. Kiểm tra bộ cài đặt, tài liệu hướng dẫn vận hành, sử dụng phần mềm
a) Các bước thực hiện:
Kiểm tra các nội dung, sản phẩm của bước “Cài đặt, chuyển giao, hướng dẫn sử dụng” tại quy trình phát triển phần mềm bao gồm:
- Bộ cài đặt ứng dụng: Vận hành trên các môi trường và các điều kiện triển khai thực tế theo phê duyệt.
- Hướng dẫn cài đặt, sử dụng.
b) Sản phẩm:
Phiếu ý kiến kiểm tra triển khai phần mềm ứng dụng (theo Mẫu KT.05).
6. Lập hồ sơ kiểm tra, nghiệm thu:
a) Các bước thực hiện:
Kiểm tra, nghiệm thu công tác sửa chữa, hoàn chỉnh các sai sót trong quá trình thi công của đơn vị thi công.
Tổng hợp các ý kiến kiểm tra.
Lập hồ sơ nghiệm thu dự án.
b) Sản phẩm:
Biên bản kiểm tra, nghiệm thu (theo Mẫu KT.15), kèm các Phiếu ghi ý kiến kiểm tra.
Biên bản xác nhận sửa chữa sau khi kiểm tra giữa đơn vị kiểm tra với đơn vị thi công (theo Mẫu KT.16).
Báo cáo kiểm tra, nghiệm thu chất lượng, khối lượng (theo Mẫu KT.17).
Biên bản nghiệm thu hoàn thành dự án (theo Mẫu KT.18). Các văn bản liên quan khác.
MỤC II
QUY TRÌNH KIỂM TRA, NGHIỆM THU
VIỆC DUY TRÌ, VẬN HÀNH HỆ THỐNG PHẦN MỀM VÀ CƠ SỞ DỮ LIỆU
NGÀNH TÀI NGUYÊN VÀ MÔI TRƯỜNG

18. Quy trình chi tiết kiểm tra, nghiệm thu việc duy trì, vận hành hệ thống phần mềm và cơ sở dữ liệu ngành tài nguyên và môi trường
1. Tiếp nhận hồ sơ, sản phẩm
a) Các bước thực hiện
Tiếp nhận hồ sơ, sản phẩm.
Kiểm tra khối lượng sản phẩm theo thiết kế kỹ thuật đã được phê duyệt.
Lập biên bản bàn giao sản phẩm.
Kiểm tra hồ sơ kiểm tra, nghiệm thu cấp đơn vị thi công.
b) Sản phẩm
Nhận hồ sơ của đơn vị thi công (do đơn vị thi công giao nộp).
Biên bản bàn giao tài liệu, sản phẩm (theo Mẫu KT.06).
Phiếu ý kiến kiểm tra hồ sơ kiểm tra, nghiệm thu cấp đơn vị thi công (theo Mẫu KT.01).
2. Kiểm tra các sản phẩm duy trì, vận hành hệ thống phần mềm và cơ sở dữ liệu ngành tài nguyên và môi trường
2.1. Kiểm tra việc kiểm tra, giám sát hệ thống
a) Các bước thực hiện
Kiểm tra nhật ký duy trì vận hành hệ thống.
b) Sản phẩm
Phiếu ý kiến kiểm tra kết quả kiểm tra giám sát HTPMCSDL (theo Mẫu KT.07).
2.2. Kiểm tra việc ghi nhận sự cố
a) Các bước thực hiện
Kiểm tra nhật ký duy trì vận hành hệ thống;
Kiểm tra danh mục sự cố.
b) Sản phẩm
Phiếu ý kiến kiểm tra kết quả kiểm tra giám sát HTPMCSDL (theo Mẫu KT.07).
2.3. Kiểm tra việc phân tích sự cố
a) Các bước thực hiện
Kiểm tra báo cáo phân tích và đề xuất giải pháp khắc phục sự cố.
b) Sản phẩm:
Phiếu ý kiến kiểm tra kết quả kiểm tra giám sát HTPMCSDL (theo Mẫu KT.07).
2.4. Kiểm tra việc khắc phục sự cố
a) Các bước thực hiện:
Kiểm tra báo cáo khắc phục sự cố.
Kiểm tra danh mục sự cố.
b) Sản phẩm:
Phiếu ý kiến kiểm tra kết quả kiểm tra giám sát HTPMCSDL (theo Mẫu KT.07).
2.5. Kiểm tra việc sao lưu phục hồi hệ thống
a) Các bước thực hiện:
Kiểm tra nhật ký duy trì vận hành hệ thống.
Kiểm tra báo cáo phục hồi hệ thống.
b) Sản phẩm
Phiếu ý kiến kiểm tra kết quả sao lưu phục hồi hệ thống (theo Mẫu KT.08).
2.6. Kiểm tra việc cài đặt bản vá lỗi
a) Các bước thực hiện
Kiểm tra nhật ký duy trì vận hành hệ thống.
Kiểm tra báo cáo nâng cấp hệ thống.
b) Sản phẩm
Phiếu ý kiến kiểm tra cài đặt bản vá lỗi (theo Mẫu KT.09).
2.7. Kiểm tra việc hỗ trợ người dùng
a) Các bước thực hiện
Kiểm tra nhật ký hỗ trợ người dùng.
b) Sản phẩm
Phiếu ý kiến kiểm tra hỗ trợ người dùng (theo Mẫu KT.10)
3. Lập hồ sơ kiểm tra, nghiệm thu
a) Các bước thực hiện
Kiểm tra, nghiệm thu công tác sửa chữa, hoàn chỉnh các sai sót trong quá trình thi công của đơn vị thi công.
Tổng hợp các ý kiến kiểm tra.
Lập hồ sơ nghiệm thu dự án.
b) Sản phẩm
Biên bản kiểm tra, nghiệm thu (theo Mẫu KT.15), kèm các Phiếu ghi ý kiến kiểm tra.
Biên bản xác nhận sửa chữa sau khi kiểm tra giữa đơn vị kiểm tra với đơn vị thi công (theo Mẫu KT.16).
Báo cáo kiểm tra, nghiệm thu chất lượng, khối lượng (theo Mẫu KT.17).
Biên bản nghiệm thu hoàn thành dự án (theo Mẫu KT.18) (nếu có).
Các văn bản liên quan khác.
MỤC III
QUY TRÌNH KIỂM TRA, NGHIỆM THU VIỆC DUY TRÌ, VẬN HÀNH
HỆ THỐNG PHẦN CỨNG CÔNG NGHỆ THÔNG TIN

20. Quy trình chi tiết kiểm tra, nghiệm thu việc duy trì, vận hành hệ thống phần cứng công nghệ thông tin
1. Tiếp nhận hồ sơ, sản phẩm
Thực hiện như Điểm 1 Khoản 18 Mục II Chương III Phần II.
2. Kiểm tra các sản phẩm duy trì, vận hành hệ thống phần cứng công nghệ thông tin
2.1. Kiểm tra việc kiểm tra, giám sát hệ thống
Thực hiện như Tiết 2.1 Điểm 2 Khoản 18 Mục II Chương III Phần II.
2.2. Kiểm tra việc ghi nhận sự cố
Thực hiện như Tiết 2.2 Điểm 2 Khoản 18 Mục II Chương III Phần II.
2.3. Kiểm tra việc phân tích sự cố
Thực hiện như Tiết 2.3 Điểm 2 Khoản 18 Mục II Chương III Phần II.
2.4. Kiểm tra việc khắc phục sự cố
Thực hiện như Tiết 2.4 Điểm 2 Khoản 18 Mục II Chương III Phần II.
2.5. Kiểm tra bảo dưỡng hệ thống
a) Các bước thực hiện:
Kiểm tra nhật ký bảo dưỡng, thay thế.
Kiểm tra báo cáo bảo dưỡng, thay thế.
b) Sản phẩm:
Phiếu ý kiến kiểm tra kết quả duy trì vận hành, bảo dưỡng hệ thống phần cứng (theo Mẫu KT.11).
2.6. Kiểm tra việc cập nhật firmware
a) Các bước thực hiện:
Kiểm tra báo cáo cập nhật.
b) Sản phẩm:
Phiếu ý kiến kiểm tra nâng cấp Firmware hệ thống phần cứng (theo Mẫu KT.12).
3. Lập hồ sơ kiểm tra, nghiệm thu
Thực hiện như Điểm 3 Khoản 18 Mục II Chương III Phần II.
MỤC IV
QUY TRÌNH KIỂM TRA, NGHIỆM THU
VIỆC DUY TRÌ, VẬN HÀNH PHẦN MỀM HỆ THỐNG

22. Quy trình chi tiết các bước kiểm tra, nghiệm thu việc duy trì, vận hành phần mềm hệ thống
1. Tiếp nhận hồ sơ, sản phẩm
Thực hiện như Điểm 1 Khoản 18 Mục II Chương III Phần II.
2. Kiểm tra các sản phẩm duy trì vận hành phần mềm hệ thống
2.1. Kiểm tra việc kiểm tra, giám sát hệ thống
Thực hiện như Tiết 2.1 Điểm 2 Khoản 18 Mục II Chương III Phần II.
2.2. Kiểm tra việc ghi nhận sự cố
Thực hiện như Tiết 2.2 Điểm 2 Khoản 18 Mục II Chương III Phần II.
2.3. Kiểm tra việc phân tích sự cố
Thực hiện như Tiết 2.3 Điểm 2 Khoản 18 Mục II Chương III Phần II.
2.4. Kiểm tra việc khắc phục sự cố
Thực hiện như Tiết 2.4 Điểm 2 Khoản 18 Mục II Chương III Phần II.
2.5. Kiểm tra việc cập nhật phần mềm
a) Các bước thực hiện:
Kiểm tra báo cáo cập nhật.
b) Sản phẩm:
Phiếu ý kiến kiểm tra cập nhật phần mềm (theo Mẫu KT.13).
2.6. Kiểm tra việc sao lưu, phục hồi
a) Các bước thực hiện:
Kiểm tra nhật ký duy trì vận hành hệ thống.
Kiểm tra báo cáo phục hồi hệ thống.
b) Sản phẩm:
Phiếu ý kiến kiểm tra kết quả sao lưu phục hồi hệ thống (theo Mẫu KT.08).
2.7. Kiểm tra việc quản lý thông tin cấu hình
a) Các bước thực hiện:
Kiểm tra nhật ký quản lý thông tin.
b) Sản phẩm:
Phiếu ý kiến kiểm tra thông tin cấu hình (theo Mẫu KT.14).
3. Lập hồ sơ kiểm tra, nghiệm thu
Thực hiện như Điểm 3 Khoản 18 Mục II Chương III Phần II.
Danh mục các sản phẩm của Chương III được quy định tại Phụ lục số 03 kèm theo.
Phần III
ĐỊNH MỨC KINH TẾ - KỸ THUẬT XÂY DỰNG, DUY TRÌ, VẬN HÀNH
HỆ THỐNG THÔNG TIN NGÀNH TÀI NGUYÊN VÀ MÔI TRƯỜNG
Chương I
ĐỊNH MỨC KINH TẾ - KỸ THUẬT XÂY DỰNG PHẦN MỀM
HỖ TRỢ VIỆC QUẢN LÝ, KHAI THÁC CƠ SỞ DỮ LIỆU
NGÀNH TÀI NGUYÊN VÀ MÔI TRƯỜNG
1. Xác định yêu cầu
1.1. Định mức lao động
- Thu thập các quy trình nghiệp vụ của tổ chức, đơn vị sử dụng hệ thống:
+ Thu thập thông tin về cơ cấu tổ chức của đơn vị.
+ Mô hình hóa chi tiết các quy trình, nghiệp vụ của tổ chức, đơn vị bằng ngôn ngữ UML.
- Xác định các yêu cầu chức năng:
+ Xác định tên và mô tả từng chức năng.
+ Xác định người sử dụng chức năng.
+ Xác định các thông tin cần cập nhật, quản lý.
+ Đưa ra hình vẽ minh họa giao diện (nếu có).
- Đặc tả dữ liệu:
+ Xác định hiện trạng dữ liệu hiện có.
+ Đưa ra các yêu cầu quản lý dữ liệu.
- Xác định yêu cầu khác:
+ Xác định yêu cầu về tính sử dụng.
+ Xác định yêu cầu về tính ổn định.
+ Xác định yêu cầu về tốc độ xử lý.
+ Xác định yêu cầu về tính hỗ trợ.
+ Xác định yêu cầu về công nghệ và các ràng buộc.
+ Xác định các yêu cầu về giao tiếp.
+ Xác định các yêu cầu khác (nếu có).
Các bước phân loại khó khăn như sau:
- Các yếu tố ảnh hưởng
Số lượng THSD.
Số lượng tác nhân hệ thống.
Số lượng đối tượng quản lý.
Công nghệ GIS.
- Tính điểm theo các yếu tố ảnh hưởng:
Bảng số 1
|
STT |
Các yếu tố ảnh hưởng |
Điểm |
|
1 |
Số lượng THSD: tối đa 40 điểm |
|
|
|
m<=30 |
10 |
|
|
30< m< 50 |
20 |
|
|
m >=50 |
40 |
|
2 |
Số lượng tác nhân hệ thống: tối đa 15 điểm |
|
|
|
m<=3 |
5 |
|
|
3< m< 7 |
10 |
|
|
m >=7 |
15 |
|
3 |
Số lượng đối tượng quản lý: tối đa 30 điểm |
|
|
|
m<=4 |
10 |
|
|
4<m<8 |
20 |
|
|
m>=8 |
30 |
|
4 |
Công nghệ GIS: tối đa 15 điểm |
|
|
|
Không áp dụng |
0 |
|
|
Engine thương phẩm |
10 |
|
|
Engine mã nguồn mở |
15 |
- Phân loại khó khăn
Căn cứ điểm của từng yếu tố ảnh hưởng, tính tổng số điểm của các yếu tố ảnh hưởng đến bước Xác định yêu cầu. Tổng số điểm ký hiệu là K, việc phân loại khó khăn được xác định theo bảng sau:
Bảng số 2|
STT |
Mức độ khó khăn |
Khoảng điểm |
|
1 |
KK1 |
K <= 50 |
|
2 |
KK2 |
50 < K < 80 |
|
3 |
KK3 |
K >= 80 |
Bảng số 3
|
STT |
Danh mục công việc |
KS2 |
KS3 |
KS4 |
Nhóm |
|
1 |
Thu thập các quy trình nghiệp vụ của tổ chức, đơn vị sử dụng hệ thống |
|
2 |
|
2 |
|
2 |
Xác định yêu cầu chức năng |
|
1 |
1 |
2 |
|
3 |
Đặc tả dữ liệu |
|
1 |
1 |
2 |
|
4 |
Xác định yêu cầu khác |
1 |
1 |
|
2 |
Bảng số 4
|
STT |
Danh mục công việc |
ĐVT |
KK1 |
KK2 |
KK3 |
|
1 |
Thu thập các quy trình nghiệp vụ của tổ chức, đơn vị sử dụng hệ thống |
THSD |
1,6 |
2 |
2,6 |
|
2 |
Xác định yêu cầu chức năng |
THSD |
2,4 |
3 |
3,9 |
|
3 |
Đặc tả dữ liệu |
ĐTQL |
3,2 |
4 |
5,2 |
|
4 |
Xác định yêu cầu khác |
Phần mềm |
2,4 |
3 |
3,9 |
Bảng số 5
|
STT |
Thiết bị |
ĐVT |
Thời hạn (tháng) |
Công suất (kW) |
Thu thập các quy trình nghiệp vụ của tổ chức, đơn vị sử dụng hệ thống |
Xác định yêu cầu chức năng |
|
1 |
Máy tính để bàn |
Bộ |
60 |
0,4 |
2,40 |
3,60 |
|
2 |
Máy in laser |
Cái |
60 |
0,6 |
0,17 |
0,25 |
|
3 |
Điều hoà nhiệt độ |
Cái |
96 |
2,2 |
0,27 |
0,40 |
|
4 |
Máy photocopy |
Cái |
96 |
1,5 |
0,12 |
0,18 |
|
5 |
Điện năng |
kW |
|
|
15,66 |
23,49 |
Bảng số 6
|
STT |
Thiết bị |
ĐVT |
Thời hạn (tháng) |
Công suất (kW) |
Xác định các yêu cầu khác |
|
1 |
Máy tính để bàn |
Bộ |
60 |
0,4 |
3,60 |
|
2 |
Máy in laser |
Cái |
60 |
0,6 |
0,25 |
|
3 |
Điều hoà nhiệt độ |
Cái |
96 |
2,2 |
0,40 |
|
4 |
Máy photocopy |
Cái |
96 |
1,5 |
0,18 |
|
5 |
Điện năng |
kW |
|
|
23,49 |
Bảng số 7
Ca/01 ĐTQL
|
STT |
Thiết bị |
ĐVT |
Thời hạn (tháng) |
Công suất (kW) |
Đặc tả dữ liệu |
|
1 |
Máy tính để bàn |
Bộ |
60 |
0,4 |
4,80 |
|
2 |
Máy in laser |
Cái |
60 |
0,6 |
0,34 |
|
3 |
Điều hoà nhiệt độ |
Cái |
96 |
2,2 |
0,54 |
|
4 |
Máy photocopy |
Cái |
96 |
1,5 |
0,24 |
|
5 |
Điện năng |
kW |
|
|
31,32 |
Ghi chú: Mức thiết bị trên tính cho loại KK2, mức cho các loại khó khăn khác tính như sau:
KK1 = 0,8 x KK2.
KK3 = 1,3 x KK2.
Bảng số 8
|
STT |
Dụng cụ |
ĐVT |
Thời hạn (tháng) |
Thu thập các quy trình nghiệp vụ của tổ chức, đơn vị sử dụng hệ thống |
Xác định yêu cầu chức năng |
|
1 |
Ghế |
Cái |
96 |
3,20 |
4,80 |
|
2 |
Bàn làm việc |
Cái |
96 |
3,20 |
4,80 |
|
3 |
Quạt trần 0,1 kW |
Cái |
96 |
0,54 |
0,80 |
|
4 |
Đèn neon 0,04 kW |
Bộ |
24 |
0,80 |
1,20 |
|
5 |
Điện năng |
kW |
|
0,72 |
1,08 |
Bảng số 9
|
STT |
Dụng cụ |
ĐVT |
Thời hạn (tháng) |
Đặc tả dữ liệu |
|
1 |
Ghế |
Cái |
96 |
6,40 |
|
2 |
Bàn làm việc |
Cái |
96 |
6,40 |
|
3 |
Quạt trần 0,1 kW |
Cái |
96 |
1,07 |
|
4 |
Đèn neon 0,04 kW |
Bộ |
24 |
1,60 |
|
5 |
Điện năng |
kW |
|
1,44 |
Bảng số 10
|
STT |
Dụng cụ |
ĐVT |
Thời hạn (tháng) |
Xác định các yêu cầu khác |
|
1 |
Ghế |
Cái |
96 |
4,80 |
|
2 |
Bàn làm việc |
Cái |
96 |
4,80 |
|
3 |
Quạt trần 0,1 kW |
Cái |
96 |
0,80 |
|
4 |
Đèn neon 0,04 kW |
Bộ |
24 |
1,20 |
|
5 |
Điện năng |
kW |
|
1,08 |
Ghi chú: Mức dụng cụ trên tính cho loại KK2, mức cho các loại khó khăn khác tính như sau:
KK1 = 0,8 x KK2.
KK3 = 1,3 x KK2.
Bảng số 11
|
STT |
Vật liệu |
ĐVT |
Thu thập các quy trình nghiệp vụ của tổ chức, đơn vị sử dụng hệ thống |
Xác định yêu cầu chức năng |
Đặc tả dữ liệu |
Xác định các yêu cầu khác |
|
1 |
Giấy in A4 |
Gram |
0,00060 |
0,00060 |
0,00050 |
0,00300 |
|
2 |
Mực in laser |
Hộp |
0,00006 |
0,00006 |
0,00005 |
0,00030 |
|
3 |
Mực máy photocopy |
Hộp |
0,00025 |
- |
0,00003 |
0,00020 |
|
4 |
Sổ |
Quyển |
0,37500 |
0,07500 |
0,05000 |
0,37500 |
|
5 |
Cặp để tài liệu |
Cái |
0,20000 |
0,03000 |
0,04000 |
0,15000 |
2. Phân tích và thiết kế
2.1.1. Định mức lao động
- Xác định lại các quy trình nghiệp vụ được tin học hóa:
+ Mô hình hóa lại các quy trình nghiệp vụ sẽ được tin học hóa.
+ Mô tả chi tiết các bước trong từng quy trình.
- Xác định danh sách chức năng hệ thống:
+ Liệt kê danh sách các chức năng của hệ thống.
+ Mô tả chi tiết từng chức năng, đưa ra các yêu cầu đối với từng chức năng (nếu có).
+ Xác định các tác nhân của từng chức năng.
- Xác định các yêu cầu về thông tin dữ liệu:
+ Xác định thông tin các đối tượng cần quản lý.
+ Xác định các mối quan hệ giữa các đối tượng quản lý.
- Xác định các yêu cầu về giao diện của phần mềm.
+ Xác định các giao diện người dùng.
+ Xác định các giao diện phần cứng.
+ Xác định các giao diện phần mềm.
+ Xác định các giao tiếp truyền thông.
- Xác định các yêu cầu phi chức năng của phần mềm:
+ Xác định các yêu cầu về hiệu năng.
+ Xác định các yêu cầu an toàn và bảo mật.
+ Xác định các yêu cầu về chất lượng.
+ Xác định các yêu cầu khác.
Các bước phân loại khó khăn như sau:
- Các yếu tố ảnh hưởng:
Số lượng trường hợp sử dụng.
Số lượng tác nhân hệ thống.
Số lượng đối tượng quản lý.
Nhu cầu xây dựng.
Công nghệ GIS.
- Tính điểm các yếu tố ảnh hưởng
Bảng số 12
|
STT |
Các yếu tố ảnh hưởng |
Điểm |
|
1 |
Số lượng THSD: tối đa 35 điểm |
|
|
|
m<=30 |
10 |
|
|
30< m< 50 |
22 |
|
|
m >=50 |
35 |
|
2 |
Số lượng tác nhân hệ thống: tối đa 10 điểm |
|
|
|
m<=3 |
3 |
|
|
3< m< 7 |
7 |
|
|
m >=7 |
10 |
|
3 |
Số lượng ĐTQL: tối đa 25 điểm |
|
|
|
m<=4 |
5 |
|
|
4< m< 8 |
15 |
|
|
m >=8 |
25 |
|
4 |
Nhu cầu xây dựng: tối đa 15 điểm |
|
|
|
Mở rộng phần mềm |
5 |
|
|
Nâng cấp |
10 |
|
|
Xây dựng mới |
15 |
|
5 |
Công nghệ GIS: tối đa 15 điểm |
|
|
|
Không áp dụng |
0 |
|
|
Engine thương phẩm |
10 |
|
|
Engine mã nguồn mở |
15 |
- Phân loại khó khăn
Căn cứ điểm của từng yếu tố ảnh hưởng, tính tổng số điểm của các yếu tố ảnh hưởng đến bước công việc. Tổng số điểm ký hiệu là K, việc phân loại khó khăn được xác định theo bảng sau:
Bảng số 13|
STT |
Mức độ khó khăn |
Khoảng điểm |
|
1 |
KK1 |
K <= 50 |
|
2 |
KK2 |
50 < K < 80 |
|
3 |
KK3 |
K >= 80 |
Bảng số 14
|
STT |
Danh mục công việc |
KS1 |
KS2 |
KS3 |
KS4 |
Nhóm |
|
1 |
Xác định lại các quy trình nghiệp vụ được tin học hóa |
|
|
2 |
1 |
3 |
|
2 |
Xác định danh sách chức năng hệ thống |
|
|
2 |
|
2 |
|
3 |
Xác định các yêu cầu về thông tin dữ liệu |
|
2 |
2 |
|
4 |
|
4 |
Xác định các yêu cầu về giao diện của phần mềm |
|
1 |
1 |
|
2 |
|
5 |
Xác định các yêu cầu phi chức năng của phần mềm |
|
2 |
|
|
2 |
Bảng số 15
|
STT |
Danh mục công việc |
ĐVT |
KK1 |
KK2 |
KK3 |
|
1 |
Xác định lại các quy trình nghiệp vụ được tin học hóa |
THSD |
2 |
2,5 |
3,25 |
|
2 |
Xác định danh sách chức năng hệ thống |
THSD |
1,2 |
1,5 |
1,95 |
|
3 |
Xác định các yêu cầu về thông tin dữ liệu |
ĐTQL |
20 |
25 |
32,5 |
|
4 |
Xác định các yêu cầu về giao diện của phần mềm |
THSD |
1,6 |
1,5 |
2,6 |
|
5 |
Xác định các yêu cầu phi chức năng của phần mềm |
Phần mềm |
10,4 |
13 |
16,9 |
Bảng số 16
|
STT |
Thiết bị |
ĐVT |
Thời hạn (tháng) |
Công suất (kW) |
Xác định lại các quy trình nghiệp vụ được tin học hóa |
Xác định danh sách chức năng hệ thống |
Xác định các yêu cầu về giao diện của phần mềm |
|
1 |
Máy tính để bàn |
Bộ |
60 |
0,4 |
4,50 |
1,80 |
1,80 |
|
2 |
Máy in laser |
Cái |
60 |
0,6 |
0,32 |
0,13 |
0,13 |
|
3 |
Điều hoà nhiệt độ |
Cái |
96 |
2,2 |
0,34 |
0,20 |
0,20 |
|
4 |
Máy photocopy |
Cái |
96 |
1,5 |
0,23 |
0,09 |
0,09 |
|
5 |
Điện năng |
kW |
|
|
26,26 |
11,74 |
11,74 |
Bảng số 17
|
STT |
Thiết bị |
ĐVT |
Thời hạn (tháng) |
Công suất (kW) |
Xác định các yêu cầu về thông tin dữ liệu |
|
1 |
Máy tính để bàn |
Bộ |
60 |
0,4 |
60,00 |
|
2 |
Máy in laser |
Cái |
60 |
0,6 |
4,20 |
|
3 |
Điều hoà nhiệt độ |
Cái |
96 |
2,2 |
3,35 |
|
4 |
Máy photocopy |
Cái |
96 |
1,5 |
3,00 |
|
5 |
Điện năng |
kW |
|
|
329,53 |
Bảng số 18
|
STT |
Thiết bị |
ĐVT |
Thời hạn (tháng) |
Công suất (kW) |
Xác định các yêu cầu phi chức năng của phần mềm |
|
1 |
Máy tính để bàn |
Bộ |
60 |
0,4 |
15,60 |
|
2 |
Máy in laser |
Cái |
60 |
0,6 |
1,09 |
|
3 |
Điều hoà nhiệt độ |
Cái |
96 |
2,2 |
1,74 |
|
4 |
Máy photocopy |
Cái |
96 |
1,5 |
0,78 |
|
5 |
Điện năng |
kW |
|
|
101,77 |
Ghi chú: Mức thiết bị trên tính cho loại KK2, mức cho các loại khó khăn khác tính như sau:
KK1 = 0,8 x KK2.
KK3 = 1,3 x KK2.Bảng số 19
|
STT |
Dụng cụ |
ĐVT |
Thời hạn (tháng) |
Xác định lại các quy trình nghiệp vụ được tin học hóa |
Xác định danh sách chức năng hệ thống |
Xác định các yêu cầu về giao diện của phần mềm |
|
1 |
Ghế |
Cái |
96 |
6,00 |
2,40 |
2,40 |
|
2 |
Bàn làm việc |
Cái |
96 |
6,00 |
2,40 |
2,40 |
|
3 |
Quạt trần 0,1 kW |
Cái |
96 |
1,01 |
0,40 |
0,40 |
|
4 |
Đèn neon 0,04 kW |
Bộ |
24 |
1,50 |
0,60 |
0,60 |
|
5 |
Điện năng |
kW |
|
1,35 |
0,54 |
0,54 |
Bảng số 20
|
STT |
Dụng cụ |
ĐVT |
Thời hạn (tháng) |
Xác định các yêu cầu về thông tin dữ liệu |
|
1 |
Ghế |
Cái |
96 |
80,00 |
|
2 |
Bàn làm việc |
Cái |
96 |
80,00 |
|
3 |
Quạt trần 0,1 kW |
Cái |
96 |
13,40 |
|
4 |
Đèn neon 0,04 kW |
Bộ |
24 |
20,00 |
|
5 |
Điện năng |
kW |
|
17,98 |
Bảng số 21
|
STT |
Dụng cụ |
ĐVT |
Thời hạn (tháng) |
Xác định các yêu cầu phi chức năng của phần mềm |
|
1 |
Ghế |
Cái |
96 |
20,80 |
|
2 |
Bàn làm việc |
Cái |
96 |
20,80 |
|
3 |
Quạt trần 0,1 kW |
Cái |
96 |
3,48 |
|
4 |
Đèn neon 0,04 kW |
Bộ |
24 |
5,20 |
|
5 |
Điện năng |
kW |
|
4,67 |
Ghi chú: Mức dụng cụ trên tính cho loại KK2, mức cho các loại khó khăn khác tính như sau:
KK1 = 0,8 x KK2.
KK3 = 1,3 x KK2.Bảng số 22
|
STT |
Vật liệu |
ĐVT |
Xác định lại các quy trình nghiệp vụ được tin học hóa |
Xác định danh sách chức năng hệ thống |
Xác định các yêu cầu về thông tin dữ liệu |
Xác định các yêu cầu về giao diện của phần mềm |
Xác định các yêu cầu phi chức năng của phần mềm |
|
1 |
Giấy in A4 |
Gram |
0,000800 |
0,000600 |
0,001000 |
0,000600 |
0,000600 |
|
2 |
Mực in laser |
Hộp |
0,000150 |
0,000060 |
0,000100 |
0,000060 |
0,000060 |
|
3 |
Mực máy photocopy |
Hộp |
0,000035 |
0,000200 |
0,000050 |
0,000200 |
0,000200 |
|
4 |
Sổ |
Quyển |
0,060000 |
0,075000 |
0,100000 |
0,075000 |
0,075000 |
|
5 |
Cặp để tài liệu |
Cái |
0,020000 |
0,030000 |
0,300000 |
0,030000 |
0,030000 |
2.2.1. Định mức lao động
- Thiết kế kiến trúc phần mềm.
- Thiết kế biểu đồ THSD.
- Thiết kế biểu đồ tuần tự.
- Thiết kế biểu đồ lớp (class).
- Thiết kế mô hình cơ sở dữ liệu (database).
- Thiết kế giao diện phần mềm.
- Thiết kế kiến trúc phần mềm
+ Các yếu tố ảnh hưởng:
Số lượng THSD.
Số lượng tác nhân hệ thống.
Nhu cầu xây dựng. Mô hình quản lý CSDL. Công nghệ GIS.
Mức độ bảo mật.
Tính đa người dùng.
+ Tính điểm theo các yếu tố ảnh hưởng
Bảng số 23
|
STT |
Các yếu tố ảnh hưởng |
Điểm |
|
1 |
Số lượng THSD: tối đa 35 điểm |
|
|
|
m<=30 |
10 |
|
|
30< m< 50 |
20 |
|
|
m >=50 |
35 |
|
2 |
Số lượng tác nhân hệ thống: tối đa 10 điểm |
|
|
|
m<=3 |
2 |
|
|
3< m< 7 |
5 |
|
|
m >=7 |
10 |
|
3 |
Nhu cầu xây dựng: tối đa 15 điểm |
|
|
|
Mở rộng phần mềm |
5 |
|
|
Nâng cấp |
10 |
|
|
Xây dựng mới |
15 |
|
4 |
Mô hình quản lý CSDL: tối đa 10 điểm |
|
|
|
Tập trung |
5 |
|
|
Phân tán |
10 |
|
5 |
Công nghệ GIS: tối đa 20 điểm |
|
|
|
Không áp dụng |
0 |
|
|
Engine thương phẩm |
10 |
|
|
Engine mã nguồn mở |
20 |
|
6 |
Mức độ bảo mật: tối đa 5 điểm |
|
|
|
Không mật |
0 |
|
|
Mật |
3 |
|
|
Tối mật |
5 |
|
7 |
Tính đa người dùng: tối đa 5 điểm |
|
|
|
Không hỗ trợ đa người dùng |
0 |
|
|
Có hỗ trợ đa người dùng |
5 |
+ Phân loại khó khăn
Căn cứ điểm của từng yếu tố ảnh hưởng, tính tổng số điểm của các yếu tố ảnh hưởng đến bước thiết kế kiến trúc phần mềm. Tổng số điểm ký hiệu là K, việc phân loại khó khăn được xác định theo bảng sau:
Bảng số 24
|
STT |
Mức độ khó khăn |
Khoảng điểm |
|
1 |
KK1 |
K <= 50 |
|
2 |
KK2 |
50 < K < 80 |
|
3 |
KK3 |
K >= 80 |
- Thiết kế biểu đồ THSD
+ Các yếu tố ảnh hưởng
Số lượng THSD.
Số lượng tác nhân hệ thống.
Nhu cầu xây dựng.
Công nghệ GIS.
+ Tính điểm theo các yếu tố ảnh hưởng:
Bảng số 25|
STT |
Các yếu tố ảnh hưởng |
Điểm |
|
1 |
Số lượng THSD: tối đa 55 điểm |
|
|
|
m<=30 |
15 |
|
|
30< m< 50 |
35 |
|
|
m >=50 |
55 |
|
2 |
Số lượng tác nhân hệ thống: tối đa 20 điểm |
|
|
|
m<=3 |
5 |
|
|
3< m< 7 |
10 |
|
|
m >=7 |
20 |
|
3 |
Công nghệ GIS: tối đa 15 điểm |
|
|
|
Không áp dụng |
0 |
|
|
Engine thương phẩm |
10 |
|
|
Engine mã nguồn mở |
15 |
|
4 |
Nhu cầu xây dựng: tối đa 10 điểm |
|
|
|
Mở rộng phần mềm |
0 |
|
|
Nâng cấp |
5 |
|
|
Xây dựng mới |
10 |
+ Phân loại khó khăn
Căn cứ điểm của từng yếu tố ảnh hưởng, tính tổng số điểm của các yếu tố ảnh hưởng đến bước thiết kế biểu đồ THSD và bước Thiết kế biểu đồ hoạt động.
Tổng số điểm ký hiệu là K, việc phân loại khó khăn được xác định theo bảng sau:
Bảng số 26|
STT |
Mức độ khó khăn |
Khoảng điểm |
|
1 |
KK1 |
K <= 50 |
|
2 |
KK2 |
50 < K < 85 |
|
3 |
KK3 |
K >= 85 |
- Thiết kế biểu đồ tuần tự, Thiết kế biểu đồ lớp
+ Các yếu tố ảnh hưởng
Số lượng THSD.
Số lượng tác nhân hệ thống.
Số lượng ĐTQL.
Mô hình quản lý CSDL. Công nghệ GIS.
+ Tính điểm theo các yếu tố ảnh hưởng:
Bảng số 27|
STT |
Các yếu tố ảnh hưởng |
Điểm |
|
1 |
Số lượng THSD: tối đa 35 điểm |
|
|
|
m<=30 |
10 |
|
|
30< m< 50 |
25 |
|
|
m >=50 |
35 |
|
2 |
Số lượng tác nhân hệ thống: tối đa 10 điểm |
|
|
|
m<=3 |
3 |
|
|
3< m< 7 |
7 |
|
|
m >=7 |
10 |
|
3 |
Số lượng ĐTQL: tối đa 30 điểm |
|
|
|
m<=4 |
10 |
|
|
4< m< 8 |
20 |
|
|
m >=8 |
30 |
|
4 |
Mô hình quản lý CSDL: tối đa 10 điểm |
|
|
|
Tập trung |
5 |
|
|
Phân tán |
10 |
|
5 |
Công nghệ GIS: tối đa 15 điểm |
|
|
|
Không áp dụng |
0 |
|
|
Engine thương phẩm |
10 |
|
|
Engine mã nguồn mở |
15 |
+ Phân loại khó khăn
Căn cứ điểm của từng yếu tố ảnh hưởng, tính tổng số điểm của các yếu tố ảnh hưởng đến bước thiết kế biểu đồ tuần tự và bước Thiết kế biểu đồ lớp. Tổng số điểm ký hiệu là K, việc phân loại khó khăn được xác định theo bảng sau:
Bảng số 28
|
STT |
Mức độ khó khăn |
Khoảng điểm |
|
1 |
KK1 |
K<= 45 |
|
2 |
KK2 |
45 < K < 85 |
|
3 |
KK3 |
K >= 85 |
- Thiết kế mô hình cơ sở dữ liệu
+ Các yếu tố ảnh hưởng
Số lượng ĐTQL.
Mô hình quản lý CSDL.
Mức độ bảo mật.
+ Tính điểm theo các yếu tố ảnh hưởng:
Bảng số 29
|
STT |
Các yếu tố ảnh hưởng |
Điểm |
|
1 |
Số lượng ĐTQL: tối đa 60 điểm |
|
|
|
m<=4 |
20 |
|
|
4< m< 8 |
40 |
|
|
m >=8 |
60 |
|
4 |
Mô hình quản lý CSDL: tối đa 25 điểm |
|
|
|
Tập trung |
10 |
|
|
Phân tán |
25 |
|
5 |
Mức độ bảo mật: tối đa 15 điểm |
|
|
|
Không mật |
5 |
|
|
Mật |
10 |
|
|
Tối mật |
15 |
+ Phân loại khó khăn
Căn cứ điểm của từng yếu tố ảnh hưởng, tính tổng số điểm của các yếu tố ảnh hưởng đến bước thiết kế mô hình cơ sở dữ liệu. Tổng số điểm ký hiệu là K, việc phân loại khó khăn được xác định theo bảng sau:
Bảng số 30|
STT |
Mức độ khó khăn |
Khoảng điểm |
|
1 |
KK1 |
K <= 50 |
|
2 |
KK2 |
50 < K < 80 |
|
3 |
KK3 |
K >= 80 |
- Thiết kế giao diện phần mềm
+ Các yếu tố ảnh hưởng
Số lượng THSD.
Số lượng tác nhân hệ thống.
Nền tảng ứng dụng.
+ Tính điểm theo các yếu tố ảnh hưởng:
Bảng số 31|
STT |
Các yếu tố ảnh hưởng |
Điểm |
|
1 |
Số lượng THSD: tối đa 60 điểm |
|
|
|
m<=30 |
20 |
|
|
30< m< 50 |
40 |
|
|
m >=50 |
60 |
|
2 |
Số lượng tác nhân hệ thống: tối đa 20 điểm |
|
|
|
m<=3 |
5 |
|
|
3< m< 7 |
10 |
|
|
m >=7 |
20 |
|
3 |
Nền tảng ứng dụng: tối đa 20 điểm |
|
|
|
Desktop |
10 |
|
|
Web/Đa nền tảng |
20 |
+ Phân loại khó khăn
Căn cứ điểm của từng yếu tố ảnh hưởng, tính tổng số điểm của các yếu tố ảnh hưởng đến bước thiết kế giao diện phần mềm. Tổng số điểm ký hiệu là K, việc phân loại khó khăn được xác định theo bảng sau:
Bảng số 32|
STT |
Mức độ khó khăn |
Khoảng điểm |
|
1 |
KK1 |
K <= 50 |
|
2 |
KK2 |
50 < K < 80 |
|
3 |
KK3 |
K >= 80 |
Bảng số 33
|
STT |
Danh mục công việc |
KS2 |
KS3 |
KS4 |
Nhóm |
|
1 |
Thiết kế kiến trúc phần mềm |
|
1 |
1 |
2 |
|
2 |
Thiết kế biểu đồ THSD |
2 |
1 |
|
3 |
|
3 |
Thiết kế biểu đồ tuần tự (sequence diagram) |
|
2 |
|
2 |
|
4 |
Thiết kế biểu đồ lớp (class) |
2 |
1 |
|
3 |
|
5 |
Thiết kế mô hình cơ sở dữ liệu (database) |
|
2 |
1 |
3 |
|
6 |
Thiết kế giao diện phần mềm |
1 |
1 |
|
2 |
Bảng số 34
|
STT |
Danh mục công việc |
ĐVT |
KK1 |
KK2 |
KK3 |
|
1 |
Thiết kế kiến trúc phần mềm |
THSD |
1,36 |
1,7 |
2,21 |
|
2 |
Thiết kế biểu đồ THSD |
THSD |
2,4 |
3 |
3,9 |
|
3 |
Thiết kế biểu đồ tuần tự (sequence diagram) |
THSD |
1,6 |
2 |
2,6 |
|
4 |
Thiết kế biểu đồ lớp (class) |
THSD |
2 |
2,5 |
3,25 |
|
5 |
Thiết kế mô hình cơ sở dữ liệu (database) |
ĐTQL |
14,4 |
18 |
23,4 |
|
6 |
Thiết kế giao diện |
THSD |
0,8 |
1 |
1,3 |
Bảng số 35
Ca/01 THSD
|
STT |
Thiết bị |
ĐVT |
Thời hạn (tháng) |
Công suất (kW) |
Thiết kế kiến trúc phần mềm |
Thiết kế biểu đồ THSD |
Thiết kế biểu đồ tuần tự |
Thiết kế biểu đồ lớp |
Thiết kế giao diện phần mềm |
|
1 |
Máy tính để bàn |
Bộ |
60 |
0,4 |
2,04 |
5,40 |
2,40 |
4,50 |
1,20 |
|
2 |
Máy in laser |
Cái |
60 |
0,6 |
0,14 |
0,38 |
0,17 |
0,32 |
0,08 |
|
3 |
Điều hoà nhiệt độ |
Cái |
96 |
2,2 |
0,23 |
0,40 |
0,27 |
0,34 |
0,13 |
|
4 |
Máy photocopy |
Cái |
96 |
1,5 |
0,10 |
0,27 |
0,12 |
0,23 |
0,06 |
|
5 |
Điện năng |
kW |
|
|
13,31 |
31,52 |
15,66 |
26,26 |
0,0011 |
Bảng số 36
Ca/01 ĐTQL
|
STT |
Thiết bị |
ĐVT |
Thời hạn (tháng) |
Công suất (kW) |
Thiết kế mô hình cơ sở dữ liệu |
|
1 |
Máy tính để bàn |
Bộ |
60 |
0,4 |
32,40 |
|
2 |
Máy in laser |
Cái |
60 |
0,6 |
2,27 |
|
3 |
Điều hoà nhiệt độ |
Cái |
96 |
2,2 |
2,41 |
|
4 |
Máy photocopy |
Cái |
96 |
1,5 |
1,62 |
|
5 |
Điện năng |
kW |
|
|
185,28 |
Ghi chú: Mức thiết bị trên tính cho loại KK2, mức cho các loại khó khăn khác tính như sau:
KK1 = 0,8 x KK2.
KK3 = 1,3 x KK2.
Bảng số 37
|
STT |
Dụng cụ |
ĐVT |
Thời hạn (tháng) |
Thiết kế kiến trúc phần mềm |
Thiết kế biểu đồ THSD |
Thiết kế biểu đồ tuần tự |
Thiết kế biểu đồ lớp |
Thiết kế giao diện phần mềm |
|
1 |
Ghế |
Cái |
96 |
2,72 |
7,20 |
3,20 |
6,00 |
1,60 |
|
2 |
Bàn làm việc |
Cái |
96 |
2,72 |
7,20 |
3,20 |
6,00 |
1,60 |
|
3 |
Quạt trần 0,1 kW |
Cái |
96 |
0,46 |
1,21 |
0,54 |
1,01 |
0,27 |
|
4 |
Đèn neon 0,04 kW |
Bộ |
24 |
0,68 |
1,80 |
0,80 |
1,50 |
0,40 |
|
5 |
Điện năng |
kw |
|
0,61 |
1,62 |
0,72 |
1,35 |
0,36 |
Bảng số 38
|
STT |
Dụng cụ |
ĐVT |
Thời hạn (tháng) |
Thiết kế mô hình cơ sở dữ liệu |
|
1 |
Ghế |
Cái |
96 |
43,20 |
|
2 |
Bàn làm việc |
Cái |
96 |
43,20 |
|
3 |
Quạt trần 0,1 kW |
Cái |
96 |
7,24 |
|
4 |
Đèn neon 0,04 kW |
Bộ |
24 |
10,08 |
|
5 |
Ổ ghi đĩa DVD |
Bộ |
60 |
1,00 |
|
6 |
Điện năng |
kw |
|
9,71 |
Ghi chú: Mức dụng cụ trên tính cho loại KK2, mức cho các loại khó khăn khác tính như sau:
KK1 = 0,8 x KK2.
KK3 = 1,3 x KK2.Bảng số 39
|
STT |
Vật liệu |
ĐVT |
Thiết kế kiến trúc phần mềm |
Thiết kế biểu đồ THSD |
Thiết kế biểu đồ tuần tự |
Thiết kế biểu đồ lớp |
Thiết kế mô hình CSDL |
Thiết kế giao diện phần mềm |
|
1 |
Giấy in A4 |
Gram |
0,000500 |
0,000700 |
0,000500 |
0,000700 |
0,004200 |
0,004200 |
|
2 |
Mực in laser |
Hộp |
0,000100 |
0,000100 |
0,000100 |
0,000100 |
0,000420 |
0,000420 |
|
3 |
Mực máy photocopy |
Hộp |
0,000025 |
0,000035 |
0,000025 |
0,000035 |
0,003600 |
0,000200 |
|
4 |
Sổ |
Quyển |
0,050000 |
0,060000 |
0,050000 |
0,060000 |
0,360000 |
0,360000 |
|
5 |
Đĩa DVD |
Cái |
|
|
|
|
0,180000 |
|
|
6 |
Cặp để tài liệu |
Cái |
0,020000 |
0,020000 |
0,020000 |
0,020000 |
0,120000 |
0,120000 |
3. Lập trình
3.1. Định mức lao động
- Viết mã nguồn.
- Tích hợp mã nguồn.
- Các yếu tố ảnh hưởng
Số lượng THSD.
Số lượng tác nhân hệ thống.
Số lượng ĐTQL.
Nhu cầu xây dựng.
Mô hình quản lý CSDL.
Công nghệ GIS.
Mức độ bảo mật.
Độ phức tạp về cài đặt phần mềm. Tính đa người dùng.
- Tính điểm theo các yếu tố ảnh hưởng:
|
STT |
Các yếu tố ảnh hưởng |
Điểm |
|
1 |
Số lượng THSD: tối đa 30 điểm |
|
|
|
m<=30 |
10 |
|
|
30< m< 50 |
20 |
|
|
m >=50 |
30 |
|
2 |
Số lượng tác nhân hệ thống: tối đa 15 điểm |
|
|
|
m<=3 |
0 |
|
|
3< m< 7 |
10 |
|
|
m >=7 |
15 |
|
3 |
Số lượng ĐTQL: tối đa 15 điểm (hệ thống có n ĐTQL) |
|
|
|
n<=4 |
5 |
|
|
4< n< 8 |
10 |
|
|
n >=8 |
15 |
|
4 |
Nhu cầu xây dựng: tối đa 10 điểm |
|
|
|
Mở rộng phần mềm |
2 |
|
|
Nâng cấp |
5 |
|
|
Xây dựng mới |
10 |
|
5 |
Mô hình quản lý CSDL: tối đa 5 điểm |
|
|
|
Tập trung |
0 |
|
|
Phân tán |
5 |
|
6 |
Công nghệ GIS: tối đa 15 điểm |
|
|
|
Không áp dụng |
0 |
|
|
Engine thương phẩm |
10 |
|
|
Engine mã nguồn mở |
15 |
|
7 |
Mức độ bảo mật: tối đa 5 điểm |
|
|
|
Không mật |
0 |
|
|
Mật |
3 |
|
|
Tối mật |
5 |
|
8 |
Độ phức tạp về cài đặt phần mềm: tối đa 5 điểm |
|
|
|
Đơn giản |
0 |
|
|
Trung bình |
3 |
|
|
Phức tạp |
5 |
|
9 |
Tính đa người dùng: tối đa 5 điểm |
|
|
|
Không hỗ trợ đa người dùng |
0 |
|
|
Có hỗ trợ đa người dùng |
5 |
- Phân loại khó khăn
Căn cứ điểm của từng yếu tố ảnh hưởng, tính tổng số điểm của các yếu tố ảnh hưởng đến bước lập trình. Tổng số điểm ký hiệu là K, việc phân loại khó khăn được xác định theo bảng sau:
Bảng số 41
|
STT |
Mức độ khó khăn |
Khoảng điểm |
|
1 |
KK1 |
K < = 45 |
|
2 |
KK2 |
45 < K < 85 |
|
3 |
KK3 |
K >= 85 |
Bảng số 42
|
STT |
Danh mục công việc |
KS2 |
KS3 |
Nhóm |
|
1 |
Viết mã nguồn |
1 |
1 |
2 |
|
2 |
Tích hợp mã nguồn |
|
2 |
2 |
Bảng số 43
|
STT |
Danh mục công việc |
KK1 |
KK2 |
KK3 |
|
1 |
Viết mã nguồn |
16 |
20 |
26 |
|
2 |
Tích hợp mã nguồn |
2,4 |
3 |
3,9 |
Bảng số 44
|
STT |
Thiết bị |
ĐVT |
Thời hạn (tháng) |
Công suất (kW) |
Viết mã nguồn |
Tích hợp mã nguồn |
|
1 |
Máy tính để bàn |
Bộ |
60 |
0,4 |
24,00 |
2,40 |
|
2 |
Máy in laser |
Cái |
60 |
0,6 |
1,68 |
0,30 |
|
3 |
Điều hoà nhiệt độ |
Cái |
96 |
2,2 |
2,68 |
0,27 |
|
4 |
Điện năng |
kW |
|
|
141,46 |
21,22 |
Bảng số 45
|
STT |
Dụng cụ |
ĐVT |
Thời hạn (tháng) |
Viết mã nguồn |
Tích hợp mã nguồn |
|
1 |
Ghế |
Cái |
96 |
32,00 |
4,80 |
|
2 |
Bàn làm việc |
Cái |
96 |
32,00 |
4,80 |
|
3 |
Quạt trần 0,1 kW |
Cái |
96 |
5,36 |
0,80 |
|
4 |
Đèn neon 0,04 kW |
Bộ |
24 |
8,00 |
1,20 |
|
5 |
Điện năng |
kW |
|
7,19 |
1,08 |
Ghi chú: Mức dụng cụ, thiết bị các bảng trên tính cho loại KK2, mức cho các loại khó khăn khác tính như sau:
KK1 = 0,8 x KK2.
KK3 = 1,3 x KK2.Bảng số 46
|
STT |
Vật liệu |
ĐVT |
Viết mã nguồn |
Tích hợp mã nguồn |
|
1 |
Giấy in A4 |
Gram |
0,0010 |
0,0005 |
|
2 |
Mực in laser |
Hộp |
0,0001 |
0,0001 |
|
3 |
Sổ |
Quyển |
0,1000 |
0,0500 |
|
4 |
Cặp để tài liệu |
Cái |
0,0400 |
0,0200 |
4. Kiểm tra, kiểm thử
4.1. Định mức lao động
- Kiểm tra mã nguồn theo quy tắc lập trình (coding convention).
- Kiểm thử mức thành phần.
- Kiểm thử mức hệ thống.
Bước “Kiểm tra mã nguồn theo quy tắc lập trình” không phân loại khó khăn.
Các bước “Kiểm tra mức thành phần” và “Kiểm tra mức hệ thống” được phân loại khó khăn như sau:
- Các yếu tố ảnh hưởng
Số lượng THSD.
Số lượng tác nhân hệ thống.
Mô hình quản lý CSDL.
Công nghệ GIS.
Độ phức tạp về cài đặt phần mềm.
Tính đa người dùng.
- Tính điểm theo các yếu tố ảnh hưởng
Bảng số 47
|
STT |
Các yếu tố ảnh hưởng |
Điểm |
|
1 |
Số lượng THSD: tối đa 50 điểm |
|
|
|
m<=30 |
10 |
|
|
30< m< 50 |
30 |
|
|
m >=40 |
50 |
|
2 |
Số lượng tác nhân hệ thống: tối đa 15 điểm |
|
|
|
m<=3 |
5 |
|
|
3< m< 7 |
10 |
|
|
m >=7 |
15 |
|
3 |
Mô hình quản lý CSDL: tối đa 5 điểm |
|
|
|
Tập trung |
0 |
|
|
Phân tán |
5 |
|
4 |
Công nghệ GIS: tối đa 15 điểm |
|
|
|
Không áp dụng |
0 |
|
|
Engine thương phẩm |
10 |
|
|
Engine mã nguồn mở |
15 |
|
5 |
Độ phức tạp về cài đặt phần mềm: tối đa 10 điểm |
|
|
|
Đơn giản |
0 |
|
|
Trung bình |
5 |
|
|
Phức tạp |
10 |
|
6 |
Tính đa người dùng: tối đa 5 điểm |
|
|
|
Không hỗ trợ đa người dùng |
0 |
|
|
Có hỗ trợ đa người dùng |
5 |
- Phân loại khó khăn
Căn cứ điểm của từng yếu tố ảnh hưởng, tính tổng số điểm của các yếu tố ảnh hưởng đến bước kiểm tra mức thành phần và bước kiểm tra mức hệ thống. Tổng số điểm ký hiệu là K, việc phân loại khó khăn được xác định theo bảng sau:
Bảng số 48|
STT |
Mức độ khó khăn |
Khoảng điểm |
|
1 |
KK1 |
K < = 45 |
|
2 |
KK2 |
45 < K < 85 |
|
3 |
KK3 |
K >= 85 |
Bảng số 49
|
STT |
Danh mục công việc |
KS2 |
KS3 |
Nhóm |
|
1 |
Kiểm tra mã nguồn theo quy tắc lập trình (coding convention) |
1 |
|
1 |
|
2 |
Kiểm thử mức thành phần |
2 |
|
2 |
|
3 |
Kiểm thử mức hệ thống |
|
1 |
1 |
Bảng số 50
|
STT |
Danh mục công việc |
Định mức |
|
1 |
Kiểm tra mã nguồn theo quy tắc lập trình (coding convention) |
1 |
Bảng số 51
|
STT |
Danh mục công việc |
KK1 |
KK2 |
KK3 |
|
1 |
Kiểm thử mức thành phần |
2,56 |
3,2 |
4,16 |
|
2 |
Kiểm thử mức hệ thống |
2 |
2,5 |
3,25 |
Bảng số 52
|
STT |
Thiết bị |
ĐVT |
Thời hạn (tháng) |
Công suất (kW) |
Kiểm tra mã nguồn theo quy tắc lập trình |
|
1 |
Máy tính để bàn |
Bộ |
60 |
0,4 |
0,60 |
|
2 |
Máy in laser |
Cái |
60 |
0,6 |
0,04 |
|
3 |
Điều hoà nhiệt độ |
Cái |
96 |
2,2 |
0,13 |
|
4 |
Máy photocopy |
Cái |
96 |
1,5 |
0,03 |
|
5 |
Điện năng |
kW |
|
|
5,15 |
Ghi chú: Mức thiết bị trên tính cho cả 3 loại KK1, KK2 và KK3.
Bảng số 53
|
STT |
Thiết bị |
ĐVT |
Thời hạn (tháng) |
Công suất (kW) |
Kiểm tra mức thành phần |
Kiểm tra mức hệ thống |
|
1 |
Máy tính để bàn |
Bộ |
60 |
0,4 |
3,84 |
1,50 |
|
2 |
Máy in laser |
Cái |
60 |
0,6 |
0,27 |
0,11 |
|
3 |
Điều hoà nhiệt độ |
Cái |
96 |
2,2 |
0,43 |
0,34 |
|
4 |
Máy photocopy |
Cái |
96 |
1,5 |
0,19 |
0,08 |
|
5 |
Điện năng |
kW |
|
|
25,05 |
12,88 |
Ghi chú: Mức thiết bị trên tính cho loại KK2, mức cho các loại khó khăn khác tính như sau:
KK1 = 0,8 x KK2.
KK3 = 1,3 x KK2.
Bảng số 54
|
STT |
Dụng cụ |
ĐVT |
Thời hạn (tháng) |
Kiểm tra mã nguồn theo quy tắc lập trình |
|
1 |
Ghế |
Cái |
96 |
0,80 |
|
2 |
Bàn làm việc |
Cái |
96 |
0,80 |
|
3 |
Quạt trần 0,1 kW |
Cái |
96 |
0,13 |
|
4 |
Đèn neon 0,04 kW |
Bộ |
24 |
0,20 |
|
5 |
Điện năng |
kW |
|
0,18 |
Ghi chú: Mức dụng cụ trên tính cho cả 3 loại KK1, KK2 và KK3.
Bảng số 55
|
STT |
Dụng cụ |
ĐVT |
Thời hạn (tháng) |
Kiểm tra mức thành phần |
Kiểm tra mức hệ thống |
|
1 |
Ghế |
Cái |
96 |
5,12 |
2,00 |
|
2 |
Bàn làm việc |
Cái |
96 |
5,12 |
2,00 |
|
3 |
Quạt trần 0,1 kW |
Cái |
96 |
0,86 |
0,34 |
|
4 |
Đèn neon 0,04 kW |
Bộ |
24 |
1,28 |
0,50 |
|
5 |
Điện năng |
kW |
|
1,15 |
0,45 |
Ghi chú: Mức dụng cụ trên tính cho loại KK2, mức cho các loại khó khăn khác tính như sau:
KK1 = 0,8 x KK2.
KK3 = 1,3 x KK2
Bảng số 56
|
STT |
Vật liệu |
ĐVT |
Kiểm tra mã nguồn theo quy tắc lập trình |
Kiểm tra mức thành phần |
Kiểm tra mức hệ thống |
|
1 |
Giấy in A4 |
Gram |
0,000300 |
0,000700 |
0,000600 |
|
2 |
Mực in laser |
Hộp |
0,000030 |
0,000070 |
0,00006 |
|
3 |
Mực máy photocopy |
Hộp |
0,000025 |
0,000025 |
0,000025 |
|
4 |
Sổ |
Quyển |
0,025000 |
0,060000 |
0,050000 |
|
5 |
Cặp để tài liệu |
Cái |
0,010000 |
0,020000 |
0,020000 |
5. Hoàn thiện, đóng gói sản phẩm
5.1. Định mức lao động
- Viết các tài liệu mô tả giới thiệu phần mềm.
- Viết tài liệu hướng dẫn cài đặt phần mềm.
- Xây dựng tài liệu hướng dẫn sử dụng phần mềm.
- Đóng gói phần mềm.
- Các yếu tố ảnh hưởng
Số lượng THSD.
Số lượng ĐTQL.
Mô hình quản lý CSDL.
Công nghệ GIS.
- Tính điểm theo các yếu tố ảnh hưởng:
Bảng số 57
|
STT |
Các yếu tố ảnh hưởng |
Điểm |
|
1 |
Số lượng THSD: tối đa 55 điểm |
|
|
|
m<=30 |
15 |
|
|
30< m< 50 |
35 |
|
|
m >=50 |
55 |
|
2 |
Số lượng ĐTQL: tối đa 20 điểm (hệ thống có n ĐTQL) |
|
|
|
n<=4 |
5 |
|
|
4< n< 8 |
15 |
|
|
n >=8 |
20 |
|
3 |
Mô hình quản lý CSDL: tối đa 10 điểm |
|
|
|
Tập trung |
5 |
|
|
Phân tán |
10 |
|
4 |
Công nghệ GIS: tối đa 15 điểm |
|
|
|
Không áp dụng |
0 |
|
|
Engine thương phẩm |
10 |
|
|
Engine mã nguồn mở |
15 |
- Phân loại khó khăn
Căn cứ điểm của từng yếu tố ảnh hưởng, tính tổng số điểm của các yếu tố ảnh hưởng đến bước hoàn thiện, đóng gói sản phẩm. Tổng số điểm ký hiệu là K, việc phân loại khó khăn được xác định theo bảng sau:
Bảng số 58|
STT |
Mức độ khó khăn |
Khoảng điểm |
|
1 |
KK1 |
K < = 45 |
|
2 |
KK2 |
45 < K < 85 |
|
3 |
KK3 |
K >= 85 |
Bảng số 59
|
STT |
Danh mục công việc |
KS2 |
KS3 |
Nhóm |
|
1 |
Viết tài liệu mô tả giới thiệu phần mềm |
|
1 |
1 |
|
2 |
Viết tài liệu hướng dẫn cài đặt phần mềm |
1 |
|
1 |
|
3 |
Xây dựng tài liệu hướng dẫn sử dụng phần mềm |
1 |
|
1 |
|
4 |
Đóng gói phần mềm |
|
2 |
2 |
Bảng số 60
|
STT |
Danh mục công việc |
KK1 |
KK2 |
KK3 |
|
1 |
Viết tài liệu mô tả giới thiệu phần mềm |
0,8 |
1 |
1,3 |
|
2 |
Viết tài liệu hướng dẫn cài đặt phần mềm |
0,4 |
0,5 |
0,65 |
|
3 |
Xây dựng tài liệu hướng dẫn sử dụng phần mềm |
1,2 |
1,5 |
1,95 |
|
4 |
Đóng gói phần mềm |
1,2 |
1,5 |
1,95 |
Bảng số 61
|
STT |
Thiết bị |
ĐVT |
Thời hạn (tháng) |
Công suất (kW) |
Viết tài liệu mô tả giới thiệu phần mềm |
Viết tài liệu hướng dẫn cài đặt phần mềm |
Xây dựng tài liệu hướng dẫn sử dụng phần mềm |
Đóng gói phần mềm |
|
1 |
Máy tính để bàn |
Bộ |
60 |
0,4 |
0,60 |
0,30 |
0,90 |
0,90 |
|
2 |
Máy in laser |
Cái |
60 |
0,6 |
0,04 |
0,02 |
0,06 |
0,06 |
|
3 |
Điều hoà nhiệt độ |
Cái |
96 |
2,2 |
0,13 |
0,07 |
0,20 |
0,20 |
|
4 |
Máy photocopy |
Cái |
96 |
1,5 |
0,03 |
0,02 |
0,05 |
- |
|
5 |
Điện năng |
kW |
|
|
5,15 |
2,58 |
7,73 |
7,16 |
Bảng số 62
|
STT |
Dụng cụ |
ĐVT |
Thời hạn (tháng) |
Viết tài liệu mô tả giới thiệu phần mềm |
Viết tài liệu hướng dẫn cài đặt phần mềm |
Xây dựng tài liệu hướng dẫn sử dụng phần mềm |
Đóng gói phần mềm |
|
1 |
Ghế |
Cái |
96 |
0,80 |
0,40 |
1,20 |
1,20 |
|
2 |
Bàn làm việc |
Cái |
96 |
0,80 |
0,40 |
1,20 |
1,20 |
|
3 |
Quạt trần 0,1 kW |
Cái |
96 |
0,13 |
0,07 |
0,20 |
0,20 |
|
4 |
Đèn neon 0,04 kW |
Bộ |
24 |
0,20 |
0,10 |
0,30 |
0,30 |
|
5 |
Ổ ghi đĩa DVD |
Bộ |
60 |
- |
- |
- |
0,50 |
|
6 |
Điện năng |
kW |
|
0,18 |
0,09 |
0,27 |
0,27 |
Ghi chú: Mức dụng cụ, thiết bị trên tính cho loại KK2, mức cho các loại khó khăn khác tính như sau:
KK1 = 0,8 x KK2.
KK3 = 1,3 x KK2.
Bảng số 63
|
STT |
Vật liệu |
ĐVT |
Viết tài liệu mô tả giới thiệu phần mềm |
Viết tài liệu hướng dẫn cài đặt phần mềm |
Xây dựng tài liệu hướng dẫn sử dụng phần mềm |
Đóng gói phần mềm |
|
1 |
Giấy in A4 |
Gram |
0,000400 |
0,000400 |
0,000400 |
0,000400 |
|
2 |
Mực in laser |
Hộp |
0,000040 |
0,000040 |
0,000040 |
0,000040 |
|
3 |
Mực máy photocopy |
Hộp |
0,000025 |
0,000025 |
0,000025 |
- |
|
4 |
Sổ |
Quyển |
0,037500 |
0,027500 |
0,037500 |
0,037500 |
|
5 |
Đĩa DVD |
Cái |
- |
- |
- |
0,050000 |
|
6 |
Cặp để tài liệu |
Cái |
0,010000 |
0,005000 |
0,015000 |
0,015000 |
6. Cài đặt, chuyên giao, hướng dẫn sử dụng
6.1. Định mức lao động
- Cài đặt phần mềm trên hạ tầng của đơn vị sử dụng.
- Đào tạo, hướng dẫn người dùng sử dụng phần mềm.
- Bàn giao tài liệu hướng dẫn cài đặt và sử dụng phần mềm.
Bước “Bàn giao tài liệu hướng dẫn cài đặt và sử dụng phần mềm” không phân loại khó khăn.
Các bước “Cài đặt phần mềm trên hạ tầng của đơn vị sử dụng” và “Đào tạo, hướng dẫn người dùng sử dụng phần mềm” được phân loại khó khăn như sau:
- Các yếu tố ảnh hưởng
Số lượng THSD.
Số lượng ĐTQL.
Mô hình quản lý CSDL.
Công nghệ GIS.
Độ phức tạp về cài đặt phần mềm.
- Tính điểm theo các yếu tố ảnh hưởng
Bảng số 64
|
STT |
Các yếu tố ảnh hưởng |
Điểm |
|
1 |
Số lượng THSD: tối đa 45 điểm |
|
|
|
m<=30 |
15 |
|
|
30< m< 50 |
30 |
|
|
m >=40 |
45 |
|
2 |
Số lượng ĐTQL: tối đa 20 điểm (Hệ thống có n Đ' |
rQL) |
|
|
n<=4 |
5 |
|
|
4< n< 8 |
15 |
|
|
n >=8 |
20 |
|
3 |
Mô hình quản lý CSDL: tối đa 10 điểm |
|
|
|
Tập trung |
5 |
|
|
Phân tán |
10 |
|
4 |
Công nghệ GIS: tối đa 15 điểm |
|
|
|
Không áp dụng |
0 |
|
|
Engine thương phẩm |
10 |
|
|
Engine mã nguồn mở |
15 |
|
5 |
Độ phức tạp về cài đặt phần mềm: tối đa 10 điểm |
|
|
|
Đơn giản |
0 |
|
|
Trung bình |
5 |
|
|
Phức tạp |
10 |
- Phân loại khó khăn
Căn cứ điểm của từng yếu tố ảnh hưởng, tính tổng số điểm của các yếu tố ảnh hưởng đến bước “Cài đặt phần mềm trên hạ tầng của đơn vị sử dụng” và “Đào tạo, hướng dẫn người dùng sử dụng phần mềm”. Tổng số điểm ký hiệu là K, việc phân loại khó khăn được xác định theo bảng sau:|
STT |
Mức độ khó khăn |
Khoảng điểm |
|
1 |
KK1 |
K < = 45 |
|
2 |
KK2 |
45 < K < 85 |
|
3 |
KK3 |
K >= 85 |
Bảng số 66
|
STT |
Danh mục c ông việc |
KS2 |
KS3 |
Nhóm |
|
1 |
Cài đặt phần mềm trên hạ tầng của đơn vị sử dụng. |
1 |
1 |
2 |
|
2 |
Đào tạo, hướng dẫn người dùng sử dụng phần mềm. |
1 |
1 |
2 |
|
3 |
Bàn giao tài liệu hướng dẫn cài đặt và sử dụng phần mềm. |
1 |
|
1 |
Bảng số 67
|
STT |
Danh mục công việc |
KK1 |
KK2 |
KK3 |
|
1 |
Cài đặt phần mềm trên hạ tầng của đơn vị sử dụng. |
0,32 |
0,4 |
0,52 |
|
2 |
Đào tạo, hướng dẫn người dùng sử dụng phần mềm. |
1,2 |
1,5 |
1,95 |
Bảng số 68
|
STT |
Danh mục công việc |
Định mức |
|
1 |
Bàn giao tài liệu hướng dẫn cài đặt và sử dụng phần mềm. |
0,5 |
Bảng số 69
|
STT |
Thiết bị |
ĐVT |
Thời hạn (tháng) |
Công suất (kW) |
Cài đặt phần mềm trên hạ tầng của đơn vị sử dụng. |
Đào tạo, hướng dẫn người dùng sử dụng phần mềm. |
|
1 |
Máy tính để bàn |
Bộ |
60 |
0,4 |
0,48 |
1,80 |
|
2 |
Máy in laser |
Cái |
60 |
0,6 |
0,03 |
0,13 |
|
3 |
Điều hoà nhiệt độ |
Cái |
96 |
2,2 |
0,05 |
0,20 |
|
4 |
Máy photocopy |
Cái |
96 |
1,5 |
0,02 |
0,09 |
|
5 |
Điện năng |
kW |
|
|
3,13 |
11,74 |
Ghi chú: Mức thiết bị trên tính cho loại KK2, mức cho các loại khó khăn khác tính như sau:
KK1 = 0,8 x KK2.
KK3 = 1,3 x KK2.
Bảng số 70
|
STT |
Thiết bị |
ĐVT |
Thời hạn (tháng) |
Công suất (kW) |
Bàn giao tài liệu hướng dẫn cài đặt và sử dụng phần mềm. |
|
1 |
Máy tính để bàn |
Bộ |
60 |
0,4 |
0,30 |
|
2 |
Máy in laser |
Cái |
60 |
0,6 |
0,02 |
|
3 |
Điều hoà nhiệt độ |
Cái |
96 |
2,2 |
0,07 |
|
4 |
Máy photocopy |
Cái |
96 |
1,5 |
0,02 |
|
5 |
Điện năng |
kW |
|
|
2,58 |
Bảng số 71
|
STT |
Dụng cụ |
ĐVT |
Thời hạn (tháng) |
Cài đặt phần mềm trên hạ tầng của đơn vị sử dụng. |
Đào tạo, hướng dẫn người dùng sử dụng phần mềm. |
|
1 |
Ghế |
Cái |
96 |
0,64 |
2,40 |
|
2 |
Bàn làm việc |
Cái |
96 |
0,64 |
2,40 |
|
3 |
Quạt trần 0,1 kW |
Cái |
96 |
0,11 |
0,40 |
|
4 |
Đèn neon 0,04 kW |
Bộ |
24 |
0,16 |
0,60 |
|
5 |
Ổ ghi đĩa DVD |
Bộ |
60 |
0,22 |
0,22 |
|
6 |
Điện năng |
kW |
|
0,14 |
0,54 |
Ghi chú: Mức dụng cụ trên tính cho loại KK2, mức cho các loại khó khăn khác tính như sau:
KK1 = 0,8 x KK2.
KK3 = 1,3 x KK2
Bảng số 72
|
STT |
Dụng cụ |
ĐVT |
Thời hạn (tháng) |
Bàn giao tài liệu hướng dẫn cài đặt và sử dụng phần mềm. |
|
1 |
Ghế |
Cái |
96 |
0,40 |
|
2 |
Bàn làm việc |
Cái |
96 |
0,40 |
|
3 |
Quạt trần 0,1 kW |
Cái |
96 |
0,07 |
|
4 |
Đèn neon 0,04 kW |
Bộ |
24 |
0,10 |
|
5 |
Ổ ghi đĩa DVD |
Bộ |
60 |
0,22 |
|
6 |
Điện năng |
kW |
|
0,09 |
Bảng số 73
|
STT |
Vật liệu |
ĐVT |
Cài đặt phần mềm trên hạ tầng của đơn vị sử dụng. |
Đào tạo, hướng dẫn người dùng sử dụng phần mềm. |
Bàn giao tài liệu hướng dẫn cài đặt và sử dụng phần mềm. |
|
1 |
Giấy in A4 |
Gram |
0,000050 |
0,000100 |
0,000200 |
|
2 |
Mực in laser |
Hộp |
0,000020 |
0,000020 |
0,00004 |
|
3 |
Mực máy photocopy |
Hộp |
- |
0,000025 |
0,000025 |
|
4 |
Sổ |
Quyển |
0,010000 |
0,020000 |
0,001000 |
|
5 |
Cặp để tài liệu |
Cái |
0,005000 |
0,005000 |
0,005000 |
7. Bảo trì, bảo hành phần mềm
7.1. Định mức lao động
- Chỉnh sửa và khắc phục các lỗi phát sinh trong quá trình sử dụng phần mềm.
- Phát hành các bản vá lỗi.
- Xử lý sự cố liên quan đến dữ liệu (khôi phục dữ liệu, tối ưu hóa,...).
- Các yếu tố ảnh hưởng:
+ Số lượng THSD.
+ Số lượng ĐTQL.
+ Mô hình quản lý CSDL.
+ Công nghệ GIS.
+ Tính đa người dùng.
- Tính điểm theo các yếu tố ảnh hưởng:
|
STT |
Các yếu tố ảnh hưởng |
Điểm |
|
1 |
Số lượng THSD: tối đa 45 điểm |
|
|
|
m<=30 |
15 |
|
|
30< m< 50 |
30 |
|
|
m >=50 |
45 |
|
2 |
Số lượng ĐTQL: tối đa 20 điểm (hệ thống có n ĐTQL) |
|
|
|
n<=4 |
5 |
|
|
4< n< 8 |
15 |
|
|
n >=8 |
20 |
|
3 |
Mô hình quản lý CSDL: tối đa 10 điểm |
|
|
|
Tập trung |
5 |
|
|
Phân tán |
10 |
|
4 |
Công nghệ GIS: tối đa 15 điểm |
|
|
|
Không áp dụng |
0 |
|
|
Engine thương phẩm |
10 |
|
|
Engine mã nguồn mở |
15 |
|
5 |
Tính đa người dùng: tối đa 10 điểm |
|
|
|
Không hỗ trợ đa người dùng |
0 |
|
|
Có hỗ trợ đa người dùng |
10 |
- Phân loại khó khăn
Căn cứ điểm của từng yếu tố ảnh hưởng, tính tổng số điểm của các yếu tố ảnh hưởng đến các công việc của bước Bảo trì phần mềm. Tổng số điểm ký hiệu là K, việc phân loại khó khăn được xác định theo bảng sau:
Bảng số 75
|
STT |
Mức độ khó khăn |
Khoảng điểm |
|
1 |
KK1 |
K< = 50 |
|
2 |
KK2 |
50 < K < 85 |
|
3 |
KK3 |
K >= 85 |
Bảng số 76
|
STT |
Danh mục công việc |
KS2 |
KS3 |
Nhóm |
|
1 |
Chỉnh sửa và khắc phục các lỗi phát sinh trong quá trình sử dụng phần mềm |
1 |
1 |
2 |
|
2 |
Phát hành các bản vá lỗi |
1 |
1 |
2 |
|
3 |
Xử lý sự cố liên quan đến dữ liệu |
1 |
1 |
2 |
Bảng số 77
|
STT |
Danh mục công việc |
KK1 |
KK2 |
KK3 |
|
1 |
Chỉnh sửa và khắc phục các lỗi phát sinh trong quá trình sử dụng phần mềm |
0,32 |
0,40 |
0,52 |
|
2 |
Phát hành các bản vá lỗi |
0,24 |
0,30 |
0,39 |
Bảng số 78
|
STT |
Danh mục công việc |
KK1 |
KK2 |
KK3 |
|
1 |
Xử lý sự cố liên quan đên dữ liệu |
0,56 |
0,70 |
0,91 |
Bảng số 79
|
STT |
Thiết bị |
ĐVT |
Công suất (kW) |
Chỉnh sửa và khắc phục các lỗi phát sinh trong quá trình sử dụng phần mềm |
Phát hành các bản vá lỗi |
|
1 |
Máy tính để bàn |
Bộ |
0,4 |
0,48 |
0,36 |
|
2 |
Máy in laser |
Cái |
0,6 |
0,03 |
0,03 |
|
3 |
Điều hoà nhiệt độ |
Cái |
2,2 |
0,05 |
0,04 |
|
4 |
Điện năng |
kW |
|
2,83 |
2,12 |
Bảng số 80
|
STT |
Thiết bị |
ĐVT |
Công suất (kW) |
Xử lý sự cố liên quan đên dữ liệu |
|
1 |
Máy tính để bàn |
Bộ |
0,4 |
0,84 |
|
2 |
Máy in laser |
Cái |
0,6 |
0,06 |
|
3 |
Điều hoà nhiệt độ |
Cái |
2,2 |
0,09 |
|
4 |
Điện năng |
kW |
|
4,95 |
Bảng số 81
|
STT |
Dụng cụ |
ĐVT |
Thời hạn (tháng) |
Chỉnh sửa và khắc phục các lỗi phát sinh trong quá trình sử dụng phần mềm |
Phát hành các bản vá lỗi |
|
1 |
Ghế |
Cái |
96 |
0,64 |
0,48 |
|
2 |
Bàn làm việc |
Cái |
96 |
0,64 |
0,48 |
|
3 |
Quạt trần 0,1 Kw |
Cái |
96 |
0,11 |
0,08 |
|
4 |
Đèn neon 0,04 kW |
Bộ |
24 |
0,16 |
0,12 |
|
5 |
Điện năng |
kW |
|
0,14 |
0,11 |
Bảng số 82
|
STT |
Dụng cụ |
ĐVT |
Thời hạn (tháng) |
Xử lý sự cố liên quan đên dữ liệu |
|
1 |
Ghế |
Cái |
96 |
1,12 |
|
2 |
Bàn làm việc |
Cái |
96 |
1,12 |
|
3 |
Quạt trần 0,1 Kw |
Cái |
96 |
0,19 |
|
4 |
Đèn neon 0,04 kW |
Bộ |
24 |
0,28 |
|
5 |
Điện năng |
kW |
|
0,25 |
Ghi chú: Mức dụng cụ, thiết bị các bảng trên tính cho loại KK2, mức cho các loại khó khăn khác tính như sau:
KK1 = 0,8 x KK2.
KK3 = 1,3 x KK2.
Bảng số 83
|
STT |
Vật liệu |
ĐVT |
Chỉnh sửa và khắc phục các lỗi phát sinh trong quá trình sử dụng phần mềm |
Phát hành các bản vá lỗi |
Xử lý sự cố liên quan đến dữ liệu |
|
1 |
Giấy in A4 |
Gram |
0,00013 |
0,00013 |
0,00013 |
|
2 |
Mực in laser |
Hộp |
0,00001 |
0,00001 |
0,00001 |
|
3 |
Sổ |
Quyển |
0,00800 |
0,00800 |
0,00800 |
|
4 |
Cặp để tài liệu |
Cái |
0,00300 |
0,00300 |
0,00300 |
8. Quản lý và cập nhật yêu cầu thay đổi
8.1. Định mức lao động
- Ghi nhận yêu cầu thay đổi.
- Cập nhật các sản phẩm để đáp ứng yêu cầu thay đổi.
- Bước này không phân loại khó khăn.
Bảng số 84
|
STT |
Danh mục công việc |
KS1 |
KS3 |
Nhóm |
|
1 |
Ghi nhận yêu cầu thay đổi |
1 |
|
1 |
|
2 |
Cập nhật các sản phẩm để đáp ứng yêu cầu thay đổi |
|
1 |
1 |
Bảng số 85
|
STT |
Danh mục công việc |
Định mức |
|
1 |
Ghi nhận yêu cầu thay đổi |
1,0 |
|
2 |
Cập nhật các sản phẩm để đáp ứng yêu cầu thay đổi |
4,0 |
|
STT |
Thiết bị |
ĐVT |
Công suất (kW) |
Ghi nhận yêu cầu thay đổi |
Cập nhật các sản phẩm để đáp ứng yêu cầu thay đổi |
|
1 |
Máy tính để bàn |
Bộ |
0,4 |
0,60 |
2,40 |
|
2 |
Máy in laser |
Cái |
0,6 |
0,04 |
0,17 |
|
3 |
Điều hoà nhiệt độ |
Cái |
2,2 |
0,13 |
0,54 |
|
4 |
Điện năng |
kW |
|
4,77 |
19,10 |
Bảng số 87
|
STT |
Dụng cụ |
ĐVT |
Thời hạn (tháng) |
Ghi nhận yêu cầu thay đổi |
Cập nhật các sản phẩm để đáp ứng yêu cầu thay đổi |
|
1 |
Ghế |
Cái |
96 |
0,80 |
3,20 |
|
2 |
Bàn làm việc |
Cái |
96 |
0,80 |
3,20 |
|
3 |
Quạt trần 0,1 kW |
Cái |
96 |
0,13 |
0,54 |
|
4 |
Đèn neon 0,04 kW |
Bộ |
24 |
0,20 |
0,80 |
|
5 |
Điện năng |
kW |
|
0,18 |
0,72 |
|
STT |
Vật liệu |
ĐVT |
Ghi nhận yêu cầu thay đổi |
Cập nhật các sản phẩm để đáp ứng yêu cầu thay đổi |
|
1 |
Giấy in A4 |
Gram |
0,00030 |
0,00100 |
|
2 |
Mực in laser |
Hộp |
0,00003 |
0,00010 |
|
3 |
Sổ |
Quyển |
0,02500 |
0,10000 |
|
4 |
Cặp để tài liệu |
Cái |
0,01000 |
0,04000 |
Chương II
ĐỊNH MỨC KINH TẾ - KỸ THUẬT DUY TRÌ, VẬN HÀNH
HỆ THỐNG THÔNG TIN NGÀNH TÀI NGUYÊN VÀ MÔI TRƯỜNG
Mục I
ĐỊNH MỨC KINH TẾ - KỸ THUẬT DUY TRÌ, VẬN HÀNH
PHẦN MỀM HỖ TRỢ VIỆC QUẢN LÝ, KHAI THÁC CƠ SỞ DỮ LIỆU
NGÀNH TÀI NGUYÊN VÀ MÔI TRƯỜNG
1. Kiểm tra, giám sát
1.1. Định mức lao động
- Kiểm tra, giám sát trạng thái hoạt động hệ thống.
- Kiểm tra nhật ký hoạt động hệ thống.
- Kiểm tra, giám sát các chức năng của hệ thống.
- Kiểm tra, giám sát các dịch vụ của hệ thống.
- Kiểm tra theo dõi hiện trạng của hệ thống, sao lưu.
- Các yếu tố ảnh hưởng
+ Tần suất truy cập.
+ Số lượng người dùng được phân quyền.
+ Mức độ sẵn sàng của hệ thống.
+ Số trường hợp sử dụng.
- Tính điểm theo các yếu tố ảnh hưởng
Bảng số 89
|
STT |
Các yếu tố ảnh hưởng |
Điểm |
|
1 |
Tần suất truy cập: tối đa 30 điểm |
|
|
|
m<1 |
10 |
|
|
1<=m<=24 |
20 |
|
|
m>24 |
30 |
|
2 |
Số lượng người dùng được phân quyền: tối đa 30 điểm |
|
|
|
m< 100 |
10 |
|
|
100<=m<=1000 |
20 |
|
|
m>1000 |
30 |
|
3 |
Mức độ sẵn sàng của hệ thống: tối đa 10 điểm |
|
|
|
Không yêu cầu 24/7 |
0 |
|
|
sẵn sàng 24/7 |
10 |
|
4 |
Số trường hợp sử dụng: tối đa 30 điểm |
|
|
|
m< 30 |
10 |
|
|
30<=m<=50 |
20 |
|
|
m>50 |
30 |
- Phân loại khó khăn
Căn cứ điểm của từng yếu tố ảnh hưởng, tính tổng số điểm của các yếu tố ảnh hưởng đến bước thiết kế mô hình cơ sở dữ liệu. Tổng số điểm ký hiệu là K, việc phân loại khó khăn được xác định theo bảng sau:
Bảng số 90
|
STT |
Mức độ khó khăn |
Khoảng điểm |
|
1 |
KK1 |
K <= 60 |
|
2 |
KK2 |
60 < K < 80 |
|
3 |
KK3 |
K =>80 |
Bảng số 91
|
STT |
Danh mục công việc |
KS1 |
KS2 |
Nhóm |
|
1 |
Kiểm tra, giám sát trạng thái hoạt động hệ thống. |
1 |
|
1 |
|
2 |
Kiểm tra nhật ký hoạt động hệ thống. |
|
1 |
1 |
|
3 |
Kiểm tra, giám sát các chức năng của hệ thống. |
|
1 |
1 |
|
4 |
Kiểm tra, giám sát các dịch vụ của hệ thống (do hệ thống cung cấp). |
|
1 |
1 |
|
5 |
Kiểm tra theo dõi hiện trạng của hệ thống, sao lưu |
|
1 |
1 |
Bảng số 92
|
STT |
Danh mục công việc |
KK1 |
KK2 |
KK3 |
|
1 |
Kiểm tra, giám sát trạng thái hoạt động hệ thống. |
5,033 |
6,292 |
8,179 |
|
2 |
Kiểm tra nhật ký hoạt động hệ thống. |
5,033 |
6,292 |
8,179 |
|
3 |
Kiểm tra, giám sát các chức năng của hệ thống. |
30,200 |
37,750 |
49,075 |
|
4 |
Kiểm tra, giám sát các dịch vụ của hệ thống (do hệ thống cung cấp). |
30,200 |
37,750 |
49,075 |
|
5 |
Kiểm tra theo dõi hiện trạng của hệ thống, sao lưu |
2,400 |
3,000 |
3,900 |
Bảng số 93
|
Ca/01 Phần mềmSTT |
Thiết bị |
ĐVT |
Thời hạn (tháng) |
Kiểm tra, giám sát trạng thái hoạt động hệ thống. |
Kiểm tra nhật ký hoạt động hệ thống. |
Kiểm tra, giám sát các chức năng của hệ thống. |
Kiểm tra, giám sát các dịch vụ của hệ thống (do hệ thống cung cấp). |
Kiểm tra theo dõi hiện trạng của hệ thống, sao lưu |
|
1 |
Máy tính để bàn |
Bộ |
60 |
4,027 |
4,027 |
24,160 |
24,160 |
1,920 |
|
2 |
Máy in laser |
Cái |
60 |
- |
- |
|
|
0,038 |
|
3 |
Điều hoà nhiệt độ |
Cái |
96 |
0,705 |
0,705 |
4,228 |
4,228 |
0,336 |
|
4 |
Máy photocopy |
Cái |
96 |
- |
- |
- |
- |
0,038 |
|
5 |
Điện năng (kw) |
kW |
|
15,644 |
15,644 |
93,862 |
93,862 |
7,524 |
Ghi chú: Mức thiết bị trên tính cho loại KK2, mức cho các loại khó khăn khác tính như sau:
KK1 = 0,8 x KK2.
KK3 = 1,3 x KK2.
Bảng số 94
|
STT |
Dụng cụ |
ĐV T |
Thời hạn (tháng) |
Kiểm tra, giám sát trạng thái hoạt động hệ thống. |
Kiểm tra nhật ký hoạt động hệ thống. |
Kiểm tra, giám sát các chức năng của hệ thống. |
Kiểm tra, giám sát các dịch vụ của hệ thống (do hệ thống cung cấp). |
Kiểm tra theo dõi hiện trạng của hệ thống, sao lưu |
|
1 |
Ghế |
Cái |
96 |
5,033 |
5,033 |
30,200 |
30,200 |
2,400 |
|
2 |
Bàn làm việc |
Cái |
96 |
5,033 |
5,033 |
30,200 |
30,200 |
2,400 |
|
3 |
Quạt trần 0,1 kW |
Cái |
60 |
0,881 |
0,881 |
5,285 |
5,285 |
0,420 |
|
4 |
Đèn neon 0,04 kW |
Bộ |
36 |
2,517 |
2,517 |
15,100 |
15,100 |
1,200 |
|
5 |
Điện năng (kw) |
kW |
|
1,586 |
1,586 |
9,513 |
9,513 |
0,756 |
Ghi chú: Mức dụng cụ trên tính cho loại KK2, mức cho các loại khó khăn khác tính như sau:
KK1 = 0,8 x KK2.
KK3 = 1,3 x KK2.Bảng số 95
|
STT |
Vật liệu |
ĐVT |
Kiểm tra, giám sát trạng thái hoạt động hệ thống. |
iểm tra nhật ký hoạt động hệ thống. |
Kiểm tra, giám sát các chức năng của hệ thống. |
Kiểm tra, giám sát các dịch vụ của hệ thống (do hệ thống cung cấp). |
Kiểm tra theo dõi hiện trạng của hệ thống, sao lưu |
|
1 |
Giấy in A4 |
Gram |
- |
- |
- |
- |
0,0960 |
|
2 |
Mực in laser |
Hộp |
- |
- |
- |
- |
0,0259 |
|
3 |
Mực máy photocopy |
Hộp |
- |
- |
- |
- |
0,0259 |
|
4 |
Cặp để tài liệu |
Cái |
- |
- |
- |
- |
0,0960 |
2. Ghi nhận sự cố
2.1. Định mức lao động
- Ghi nhận sự cố.
- Xác minh sự cố.
- Cập nhật danh mục sự cố.
- Các yếu tố ảnh hưởng
+ Tần suất truy cập.
+ Số lượng người dùng được phân quyền.
+ Mức độ sẵn sàng của hệ thống.
+ Số trường hợp sử dụng.
- Tính điểm theo các yếu tố ảnh hưởng
Bảng số 96
|
STT |
Các yếu tố ảnh hưởng |
Điểm |
|
1 |
Tần suất truy cập: tối đa 30 điểm |
|
|
|
m<1 |
10 |
|
|
1<=m<=24 |
20 |
|
|
m>24 |
30 |
|
2 |
Số lượng người dùng được phân quyền: tối đa 30 điểm |
|
|
|
m< 100 |
10 |
|
|
100<=m<=1000 |
20 |
|
|
m>1000 |
30 |
|
3 |
Mức độ sẵn sàng của hệ thống: tối đa 10 điểm |
|
|
|
Không yêu cầu 24/7 |
0 |
|
|
sẵn sàng 24/7 |
10 |
|
4 |
Số trường hợp sử dụng: tối đa 30 điểm |
|
|
|
m< 30 |
10 |
|
|
30<=m<=50 |
20 |
|
|
m>50 |
30 |
- Phân loại khó khăn
Căn cứ điểm của từng yếu tố ảnh hưởng, tính tổng số điểm của các yếu tố ảnh hưởng đến bước thiết kế mô hình cơ sở dữ liệu. Tổng số điểm ký hiệu là K, việc phân loại khó khăn được xác định theo bảng sau:
Bảng số 97
|
STT |
Mức độ khó khăn |
Khoảng điểm |
|
1 |
KK1 |
K <= 60 |
|
2 |
KK2 |
60 < K < 80 |
|
3 |
KK3 |
K=>80 |
Bảng số 98
|
STT |
Danh mục công việc |
KS1 |
KS3 |
Nhóm |
|
1 |
Ghi nhận sự cố (trong trường hợp yêu cầu mở rộng chức năng) |
1 |
|
1 |
|
2 |
Xác minh sự cố |
|
1 |
1 |
|
3 |
Cập nhật danh mục sự cố |
1 |
|
1 |
Bảng số 99
|
STT |
Danh mục công việc |
KK1 |
KK2 |
KK3 |
|
1 |
Ghi nhận sự cố (trong trường hợp yêu cầu mở rộng chức năng) |
0,100 |
0,125 |
0,163 |
|
2 |
Xác minh sự cố |
0,200 |
0,250 |
0,325 |
|
3 |
Cập nhật danh mục sự cố |
0,100 |
0,125 |
0,163 |
Bảng số 100
|
STT |
Thiết bị |
ĐVT |
Thời hạn (tháng) |
Ghi nhận sự cố |
Xác minh sự cố |
Cập nhật danh mục sự cố |
|
1 |
Máy tính để bàn |
Bộ |
60 |
0,080 |
0,160 |
0,080 |
|
2 |
Máy in laser |
Cái |
60 |
0,002 |
|
0,002 |
|
3 |
Điều hoà nhiệt độ |
Cái |
96 |
0,014 |
0,028 |
0,014 |
|
4 |
Máy photocopy |
Cái |
96 |
0,002 |
- |
0,002 |
|
5 |
Điện năng (kw) |
kW |
|
0,313 |
0,622 |
0,313 |
Ghi chú: Mức thiết bị trên tính cho loại KK2, mức cho các loại khó khăn khác tính như sau:
KK1 = 0,8 x KK2.
KK3 = 1,3 x KK2.
Bảng số 101
|
STT |
Dụng cụ |
ĐVT |
Thời hạn (tháng) |
Ghi nhận sự cố |
Xác minh sự cố |
Cập nhật danh mục sự cố |
|
1 |
Ghế |
Cái |
96 |
0,100 |
0,200 |
0,100 |
|
2 |
Bàn làm việc |
Cái |
96 |
0,100 |
0,200 |
0,100 |
|
3 |
Quạt trần 0,1 kW |
Cái |
60 |
0,018 |
0,035 |
0,018 |
|
4 |
Đèn neon 0,04 kW |
Bộ |
36 |
0,050 |
0,100 |
0,050 |
|
5 |
Điện năng (kw) |
kW |
|
0,032 |
0,063 |
0,032 |
Ghi chú: Mức dụng cụ trên tính cho loại KK2, mức cho các loại khó khăn khác tính như sau:
KK1 = 0,8 x KK2.
KK3 = 1,3 x KK2.
Bảng số 102
|
STT |
Vật liệu |
ĐVT |
Ghi nhận sự cố |
Xác minh sự cố |
Cập nhật danh mục sự cố |
|
1 |
Giấy in A4 |
Gram |
0,0040 |
- |
0,0040 |
|
2 |
Mực in laser |
Hộp |
0,0011 |
- |
0,0011 |
|
3 |
Mực máy photocopy |
Hộp |
0,0011 |
- |
0,0011 |
|
4 |
Cặp để tài liệu |
Cái |
0,0040 |
- |
0,0040 |
3. Phân tích sự cố
3.1. Định mức lao động
- Phân loại, đối chiếu danh mục sự cố.
- Phân tích các nguyên nhân có thể gây ra sự cố.
- Đề xuất giải pháp khắc phục sự cố.
- Các yếu tố ảnh hưởng:
+ Loại phần mềm
+ Sử dụng công nghệ GIS
+ Mô hình quản lý CSDL
+ Tần suất truy cập
+ Số lượng người dùng được phân quyền
+ Mức độ sẵn sàng của hệ thống
+ Số trường hợp sử dụng
- Tính điểm theo các yếu tố ảnh hưởng
Bảng số 103
|
STT |
Các yếu tố ảnh hưởng |
Điểm |
|
1 |
Loại phần mềm: tối đa 15 điểm |
|
|
|
Nội bộ mã nguồn đóng |
0 |
|
|
Nội bộ mã nguồn mở |
15 |
|
2 |
Sử dụng công nghệ GIS: tối đa 20 điểm |
|
|
|
Không |
0 |
|
|
Có |
20 |
|
3 |
Mô hình quản lý CSDL: tối đa 15 điểm |
|
|
|
Tập trung |
0 |
|
|
Phân tán |
15 |
|
4 |
Tần suất truy cập: tối đa 15 điểm |
|
|
|
m<1 |
5 |
|
|
1<=m<=24 |
10 |
|
|
m>24 |
15 |
|
5 |
Số lượng người dùng đc phân quyền: tối đa 15 điểm |
|
|
|
m< 100 |
5 |
|
|
100<=m<=1000 |
10 |
|
|
m>1000 |
15 |
|
6 |
Mức độ sẵn sàng của hệ thống: tối đa 05 điểm |
|
|
|
Không yêu cầu 24/7 |
0 |
|
|
Sẵn sàng 24/7 |
5 |
|
7 |
Số trường hợp sử dụng: tối đa 15 điểm |
|
|
|
m< 30 |
5 |
|
|
30<=m<=50 |
10 |
|
|
m>50 |
15 |
- Phân loại khó khăn
Căn cứ điểm của từng yếu tố ảnh hưởng, tính tổng số điểm của các yếu tố ảnh hưởng đến bước thiết kế mô hình cơ sở dữ liệu. Tổng số điểm ký hiệu là K, việc phân loại khó khăn được xác định theo bảng sau
Bảng số 104
|
STT |
Mức độ khó khăn |
Khoảng điểm |
|
1 |
Kki |
K <= 30 |
|
2 |
KK2 |
30 < K < 60 |
|
3 |
KK3 |
K =>60 |
Bảng số 105
|
STT |
Danh mục công việc |
KS3 |
KS4 |
Nhóm |
|
1 |
Phân loại, đối chiếu danh mục sự cố |
1 |
|
1 |
|
2 |
Phân tích các nguyên nhân có thể gây ra sự cố |
1 |
1 |
2 |
|
3 |
Đề xuất giải pháp khắc phục sự cố |
1 |
1 |
2 |
Bảng số 106
|
STT |
Danh mục công việc |
KK1 |
KK2 |
KK3 |
|
1 |
Phân loại, đối chiếu danh mục sự cố |
0,200 |
0,250 |
0,325 |
|
2 |
Phân tích các nguyên nhân có thể gây ra sự cố |
1,500 |
1,875 |
2,438 |
|
3 |
Đề xuất giải pháp khắc phục sự cố |
1,800 |
2,250 |
2,925 |
Bảng số 107
|
STT |
Vật tư, thiết bị |
ĐVT |
Thời hạn (tháng) |
Phân loại, đối chiếu danh mục sự cố |
Phân tích các nguyên nhân có thể gây ra sự cố |
Đề xuất giải pháp khắc phục sự cố |
|
1 |
Máy tính để bàn |
Bộ |
60 |
0,160 |
2,400 |
2,880 |
|
2 |
Máy in laser |
Cái |
60 |
|
|
0,058 |
|
3 |
Điều hoà nhiệt độ |
Cái |
96 |
0,028 |
0,420 |
0,504 |
|
4 |
Máy photocopy |
Cái |
96 |
- |
- |
0,058 |
|
5 |
Điện năng (kw) |
kW |
|
0,622 |
9,324 |
11,286 |
Ghi chú: Mức thiết bị trên tính cho loại KK2, mức cho các loại khó khăn khác tính như sau:
KK1 = 0,8 x KK2.
KK3 = 1,3 x KK2.
Bảng số 108
|
STT |
Dụng cụ |
ĐVT |
Thời hạn (tháng) |
Phân loại, đối chiếu danh mục sự cố |
Phân tích các nguyên nhân có thể gây ra sự cố |
Đề xuất giải pháp khắc phục sự cố |
|
1 |
Ghế |
Cái |
96 |
0,200 |
3,000 |
3,600 |
|
2 |
Bàn làm việc |
Cái |
96 |
0,200 |
3,000 |
3,600 |
|
3 |
Quạt trần 0,1 kW |
Cái |
60 |
0,035 |
0,525 |
0,630 |
|
4 |
Đèn neon 0,04 kW |
Bộ |
36 |
0,100 |
1,500 |
1,800 |
|
5 |
Điện năng (kw) |
kW |
|
0,063 |
0,945 |
1,134 |
Ghi chú: Mức dụng cụ trên tính cho loại KK2, mức cho các loại khó khăn khác tính như sau:
KK1 = 0,8 x KK2.
KK3 = 1,3 x KK2.
Bảng số 109
|
STT |
Vật liệu |
ĐVT |
Phân loại, đối chiếu danh mục sự cố |
Phân tích các nguyên nhân có thể gây ra sự cố |
Đề xuất giải pháp khắc phục sự cố |
|
1 |
Giấy in A4 |
Gram |
- |
- |
0,1440 |
|
2 |
Mực in laser |
Hộp |
- |
- |
0,0389 |
|
3 |
Mực máy photocopy |
Hộp |
- |
- |
0,0389 |
|
4 |
Cặp để tài liệu |
Cái |
- |
- |
0,1440 |
4. Khắc phục sự cố
4.1. Định mức lao động
- Nghiên cứu giải pháp được đề xuất.
- Thực hiện giải pháp khắc phục.
- Kiểm tra hệ thống sau khi thực hiện giải pháp khắc phục.
- Cập nhật danh mục sự cố.
- Các yếu tố ảnh hưởng là:
+ Loại phần mềm.
+ Sử dụng công nghệ GIS.
+ Mô hình quản lý CSDL.
+ Tần suất truy cập.
+ Số lượng người dùng được phân quyền.
+ Mức độ sẵn sàng của hệ thống.
+ Số trường hợp sử dụng.
- Tính điểm theo các yếu tố ảnh hưởng
Bảng số 110
|
STT |
Các yếu tố ảnh hưởng |
Điểm |
|
1 |
Loại phần mềm: tối đa 15 điểm |
|
|
|
Nội bộ mã nguồn đóng |
0 |
|
|
Nội bộ mã nguồn mở |
15 |
|
2 |
Sử dụng công nghệ GIS: tối đa 20 điểm |
|
|
|
Không |
0 |
|
|
Có |
20 |
|
3 |
Mô hình quản lý CSDL: tối đa 15 điểm |
|
|
|
Tập trung |
0 |
|
|
Phân tán |
15 |
|
4 |
Tần suất truy cập: tối đa 15 điểm |
|
|
|
m<1 |
5 |
|
|
1<=m<=24 |
10 |
|
|
m>24 |
15 |
|
5 |
Số lượng người dùng đc phân quyền: tối đa 15 điểm |
|
|
|
m< 100 |
5 |
|
|
100<=m<=1000 |
10 |
|
|
m>1000 |
15 |
|
6 |
Mức độ sẵn sàng của hệ thống: tối đa 05 điểm |
|
|
|
Không yêu cầu 24/7 |
0 |
|
|
Sẵn sàng 24/7 |
5 |
|
7 |
Số trường hợp sử dụng: tối đa 15 điểm |
|
|
|
m< 30 |
5 |
|
|
30<=m<=50 |
10 |
|
|
m>50 |
15 |
- Phân loại khó khăn
Căn cứ điểm của từng yếu tố ảnh hưởng, tính tổng số điểm của các yếu tố ảnh hưởng đến bước thiết kế mô hình cơ sở dữ liệu. Tổng số điểm ký hiệu là K, việc phân loại khó khăn được xác định theo bảng sau
Bảng số 111
|
STT |
Mức độ khó khăn |
Khoảng điểm |
|
1 |
KK1 |
K <= 30 |
|
2 |
KK2 |
30 < K < 60 |
|
3 |
KK3 |
K => 60 |
Bảng số 112
|
STT |
Danh mục công việc |
KS1 |
KS3 |
KS4 |
Nhóm |
|
1 |
Nghiên cứu giải pháp được đề xuất |
|
1 |
1 |
2 |
|
2 |
Thực hiện giải pháp khắc phục |
|
1 |
1 |
2 |
|
3 |
Kiểm tra hệ thống sau khi thực hiện giải pháp khắc phục |
|
1 |
1 |
2 |
|
4 |
Cập nhật danh mục sự cố |
1 |
|
|
1 |
Bảng số 113
|
STT |
Danh mục công việc |
KK1 |
KK2 |
KK3 |
|
1 |
Nghiên cứu giải pháp được đề xuất |
0,300 |
0,375 |
0,488 |
|
2 |
Thực hiện giải pháp khắc phục |
1,800 |
2,250 |
2,925 |
|
3 |
Kiểm tra hệ thống sau khi thực hiện giải pháp khắc phục |
0,300 |
0,375 |
0,488 |
|
4 |
Cập nhật danh mục sự cố |
0,100 |
0,125 |
0,163 |
Bảng số 114
|
STT |
Thiết bị |
ĐVT |
Thời hạn (tháng) |
Nghiên cứu giải pháp được đề xuất |
Thực hiện giải pháp khắc phục |
Kiểm tra hệ thống sau khi thực hiện giải pháp khắc phục |
Cập nhật danh mục sự cố |
|
1 |
Máy tính để bàn |
Bộ |
60 |
0,480 |
2,880 |
0,240 |
0,080 |
|
2 |
Máy in laser |
Cái |
60 |
|
|
|
0,002 |
|
3 |
Điều hoà nhiệt độ |
Cái |
96 |
0,084 |
0,504 |
0,042 |
0,014 |
|
4 |
Máy photocopy |
Cái |
96 |
- |
- |
- |
0,002 |
|
5 |
Điện năng (kw) |
kW |
|
1,865 |
11,189 |
0,932 |
0,313 |
Ghi chú: Mức thiết bị trên tính cho loại KK2, mức cho các loại khó khăn khác tính như sau:
KK1 = 0,8 x KK2.
KK3 = 1,3 x KK2.
Bảng số 115
|
STT |
Dụng cụ |
ĐVT |
Thời hạn (tháng) |
Nghiên cứu giải pháp được đề xuất |
Thực hiện giải pháp khắc phục |
Kiểm tra hệ thống sau khi thực hiện giải pháp khắc phục |
Cập nhật danh mục sự cố |
|
1 |
Ghế |
Cái |
96 |
0,600 |
3,600 |
0,300 |
0,100 |
|
2 |
Bàn làm việc |
Cái |
96 |
0,600 |
3,600 |
0,300 |
0,100 |
|
3 |
Quạt trần 0,1 kW |
Cái |
60 |
0,105 |
0,630 |
0,053 |
0,018 |
|
4 |
Đèn neon 0,04 kW |
Bộ |
36 |
0,300 |
1,800 |
0,150 |
0,050 |
|
5 |
Điện năng (kw) |
kW |
|
0,189 |
1,134 |
0,095 |
0,032 |
Ghi chú: Mức dụng cụ trên tính cho loại KK2, mức cho các loại khó khăn khác tính như sau:
KK1 = 0,8 x KK2.
KK3 = 1,3 x KK2.Bảng số 116
|
STT |
Vật liệu |
ĐVT |
Nghiên cứu giải pháp được đề xuất |
Thực hiện giải pháp khắc phục |
Kiểm tra hệ thống sau khi thực hiện giải pháp khắc phục |
Cập nhật danh mục sự cố |
|
1 |
Giấy in A4 |
Gram |
- |
- |
- |
0,0040 |
|
2 |
Mực in laser |
Hộp |
- |
- |
- |
0,0011 |
|
3 |
Mực máy photocopy |
Hộp |
- |
- |
- |
0,0011 |
|
4 |
Cặp để tài liệu |
Cái |
- |
- |
- |
0,0040 |
5. Báo cáo thống kê, nhật ký
5.1. Định mức lao động
Tổng hợp, xây dựng báo cáo trong quá trình duy trì vận hành hệ thống.
Bước này không phân loại khó khăn
Bảng số 117
|
STT |
Danh mục công việc |
KS1 |
Nhóm |
|
1 |
Tổng hợp, xây dựng báo cáo trong quá trình duy trì vận hành hệ thống |
1 |
1 |
Bảng số 118
|
STT |
Danh mục công việc |
Định mức |
|
1 |
Tổng hợp, xây dựng báo cáo trong quá trình duy trì vận hành hệ thống |
1,000 |
Bảng số 119
|
STT |
Thiết bị |
ĐVT |
Thời hạn (tháng) |
Báo cáo thống kê, nhật ký |
|
1 |
Máy tính để bàn |
Bộ |
60 |
0,640 |
|
2 |
Máy in laser |
Cái |
60 |
0,013 |
|
3 |
Điều hoà nhiệt độ |
Cái |
96 |
0,112 |
|
4 |
Máy photocopy |
Cái |
96 |
0,013 |
|
5 |
Điện năng (kw) |
kW |
|
2,508 |
Bảng số 120
|
STT |
Dụng cụ |
ĐVT |
Thời hạn (tháng) |
Báo cáo thống kê, nhật ký |
|
1 |
Ghế |
Cái |
96 |
0,800 |
|
2 |
Bàn làm việc |
Cái |
96 |
0,800 |
|
3 |
Quạt trần 0,1 kW |
Cái |
60 |
0,140 |
|
4 |
Đèn neon 0,04 kW |
Bộ |
36 |
0,400 |
|
5 |
Điện năng (kw) |
kW |
|
0,252 |
Bảng số 121
|
STT |
Vật liệu |
ĐVT |
Báo cáo thống kê, nhật ký |
|
1 |
Giấy in A4 |
Gram |
0,0320 |
|
2 |
Mực in laser |
Hộp |
0,0086 |
|
3 |
Mực máy photocopy |
Hộp |
0,0086 |
|
4 |
Cặp để tài liệu |
Cái |
0,0320 |
6. Sao lưu, phục hồi hệ thống
6.1. Định mức lao động
- Thực hiện sao lưu hệ thống theo định kỳ, đột xuất, kiểm tra tính toàn vẹn của dữ liệu sao lưu. Cập nhật nhật ký.
- Thực hiện phục hồi hệ thống khi có yêu cầu.
Bước này không phân loại khó khăn
Bảng số 122
|
STT |
Danh mục công việc |
KS2 |
Nhóm |
|
1 |
Thực hiện sao lưu hệ thống theo định kỳ, đột xuất, kiểm tra tính toàn vẹn của dữ liệu sao lưu. Cập nhật nhật ký |
1 |
1 |
|
2 |
Thực hiện phục hồi hệ thống khi có yêu cầu |
1 |
1 |
Bảng số 123
|
STT |
Danh mục công việc |
Định mức |
|
1 |
Thực hiện sao lưu hệ thống theo định kỳ, đột xuất, kiểm tra tính toàn vẹn của dữ liệu sao lưu. Cập nhật nhật ký |
3,000 |
|
2 |
Thực hiện phục hồi hệ thống khi có yêu cầu |
1,500 |
Bảng số 124
|
STT |
Thiết bị |
ĐVT |
Thời hạn (tháng) |
Thực hiện sao lưu hệ thống theo định kỳ, đột xuất, kiểm tra tính toàn vẹn của dữ liệu sao lưu. Cập nhật nhật ký |
Thực hiện phục hồi hệ thống khi có yêu cầu |
|
1 |
Máy tính để bàn |
Bộ |
60 |
1,920 |
0,960 |
|
2 |
Máy in laser |
Cái |
60 |
0,038 |
|
|
3 |
Điều hoà nhiệt độ |
Cái |
96 |
0,336 |
0,168 |
|
4 |
Máy photocopy |
Cái |
96 |
0,038 |
- |
|
5 |
Điện năng (kw) |
kW |
|
7,524 |
3,730 |
Bảng số 125
|
STT |
Dụng cụ |
ĐVT |
Thời hạn (tháng) |
Thực hiện sao lưu hệ thống theo định kỳ, đột xuất, kiểm tra tính toàn vẹn của dữ liệu sao lưu. Cập nhật nhật ký |
Thực hiện phục hồi hệ thống khi có yêu cầu |
|
1 |
Ghế |
Cái |
96 |
2,400 |
1,200 |
|
2 |
Bàn làm việc |
Cái |
96 |
2,400 |
1,200 |
|
3 |
Quạt trần 0,1 kW |
Cái |
60 |
0,420 |
0,210 |
|
4 |
Đèn neon 0,04 kW |
Bộ |
36 |
1,200 |
0,600 |
|
5 |
Điện năng (kw) |
kW |
|
0,756 |
0,378 |
Bảng số 126
|
STT |
Vật liệu |
ĐVT |
Thực hiện sao lưu hệ thống theo định kỳ, đột xuất, kiểm tra tính toàn vẹn của dữ liệu sao lưu. Cập nhật nhật ký |
Thực hiện phục hồi hệ thống khi có yêu cầu |
|
1 |
Giấy in A4 |
Gram |
0,0960 |
- |
|
2 |
Mực in laser |
Hộp |
0,0259 |
- |
|
3 |
Mực máy photocopy |
Hộp |
0,0259 |
- |
|
4 |
Cặp để tài liệu |
Cái |
0,0960 |
- |
7. Cài đặt bản vá lỗi
7.1. Định mức lao động
- Kiểm tra các bản nâng cấp, vá lỗi của hệ thống.
- Thực hiện nâng cấp, cập nhật vá lỗi hệ thống
Bước này không phân loại khó khăn
Bảng số 127
|
STT |
Danh mục công việc |
KS1 |
KS2 |
Nhóm |
|
1 |
Kiểm tra các bản nâng cấp, vá lỗi của hệ thống |
1 |
|
1 |
|
2 |
Thực hiện nâng cấp, cập nhật vá lỗi hệ thống |
|
1 |
1 |
Bảng số 128
|
STT |
Danh mục công việc |
Định mức |
|
1 |
Kiểm tra các bản nâng cấp, vá lỗi của hệ thống |
0,250 |
|
2 |
Thực hiện nâng cấp, cập nhật vá lỗi hệ thống |
4,500 |
Bảng số 129
|
STT |
Vật tư, thiết bị |
ĐVT |
Thời hạn (tháng) |
Kiểm tra các bản nâng cấp, vá lỗi của hệ thống |
Thực hiện nâng cấp, cập nhật vá lỗi hệ thống |
|
1 |
Máy tính để bàn |
Bộ |
60 |
0,160 |
2,880 |
|
2 |
Máy in laser |
Cái |
60 |
|
0,058 |
|
3 |
Điều hoà nhiệt độ |
Cái |
96 |
0,028 |
0,504 |
|
4 |
Máy photocopy |
Cái |
96 |
- |
0,058 |
|
5 |
Điện năng (kw) |
kW |
|
0,622 |
11,286 |
Bảng số 130
|
STT |
Dụng cụ |
ĐVT |
Thời hạn (tháng) |
Kiểm tra các bản nâng cấp, vá lỗi của hệ thống |
Thực hiện nâng cấp, cập nhật vá lỗi hệ thống |
|
1 |
Ghế |
Cái |
96 |
0,200 |
3,600 |
|
2 |
Bàn làm việc |
Cái |
96 |
0,200 |
3,600 |
|
3 |
Quạt trần 0,1 kW |
Cái |
60 |
0,035 |
0,630 |
|
4 |
Đèn neon 0,04 kW |
Bộ |
36 |
0,100 |
1,800 |
|
5 |
Điện năng (kw) |
kW |
|
0,063 |
1,134 |
Bảng số 131
|
STT |
Vật liệu |
ĐVT |
Kiểm tra các bản nâng cấp, vá lỗi của hệ thống |
Thực hiện nâng cấp, cập nhật vá lỗi hệ thống |
|
1 |
Giấy in A4 |
Gram |
- |
0,1440 |
|
2 |
Mực in laser |
Hộp |
- |
0,0389 |
|
3 |
Mực máy photocopy |
Hộp |
- |
0,0389 |
|
4 |
Cặp để tài liệu |
Cái |
- |
0,1440 |
8. Hỗ trợ người dùng
8.1. Định mức lao động
- Tiếp nhận yêu cầu người dùng (trực tiếp, điện thoại, email).
- Hỗ trợ trong việc cài đặt phần mềm.
- Xử lý yêu cầu người dùng.
- Ghi nhận kết quả xử lý.
- Các yếu tố ảnh hưởng là:
+ Loại phần mềm.
+ Sử dụng công nghệ GIS.
+ Mô hình quản lý CSDL.
+ Tần suất truy cập.
+ Mức độ sẵn sàng của hệ thống.
+ Số trường hợp sử dụng.
- Tính điểm theo các yếu tố ảnh hưởng
Bảng số 132
|
STT |
Các yếu tố ảnh hưởng |
Điểm |
|
1 |
Loại phần mềm: tối đa 15 điểm |
|
|
|
Nội bộ mã nguồn đóng |
0 |
|
|
Nội bộ mã nguồn mở |
15 |
|
2 |
Sử dụng công nghệ GIS: tối đa 20 điểm |
|
|
|
Không |
0 |
|
|
Có |
20 |
|
3 |
Mô hình quản lý CSDL: tối đa 15 điểm |
|
|
|
Tập trung |
0 |
|
|
Phân tán |
15 |
|
4 |
Tần suất truy cập: tối đa 20 điểm |
|
|
|
m<1 |
5 |
|
|
1<=m<=24 |
10 |
|
|
m>24 |
20 |
|
5 |
Mức độ sẵn sàng của hệ thống: tối đa 10 điểm |
|
|
|
Không yêu cầu 24/7 |
0 |
|
|
Sẵn sàng 24/7 |
10 |
|
6 |
Số trường hợp sử dụng: tối đa 20 điểm |
|
|
|
m< 30 |
5 |
|
|
30<=m<=50 |
10 |
|
|
m>50 |
20 |
- Phân loại khó khăn
Căn cứ điểm của từng yếu tố ảnh hưởng, tính tổng số điểm của các yếu tố ảnh hưởng đến bước thiết kế mô hình cơ sở dữ liệu. Tổng số điểm ký hiệu là K, việc phân loại khó khăn được xác định theo bảng sau
Bảng số 133|
STT |
Mức độ khó khăn |
Khoảng điểm |
|
1 |
KK1 |
K <= 30 |
|
2 |
KK2 |
30 < K < 60 |
|
3 |
KK3 |
K =>60 |
Bảng số 134
|
STT |
Danh mục công việc |
KS1 |
KS2 |
KS3 |
Nhóm |
|
1 |
Tiếp nhận yêu cầu người dùng (trực tiếp, điện thoại, email) |
1 |
|
|
1 |
|
2 |
Hỗ trợ trong việc cài đặt phần mềm |
|
1 |
|
1 |
|
3 |
Xử lý yêu cầu người dùng |
|
1 |
1 |
2 |
|
4 |
Ghi nhận kết quả xử lý |
1 |
|
|
1 |
Bảng số 135
|
STT |
Danh mục công việc |
KK1 |
KK2 |
KK3 |
|
1 |
Tiếp nhận yêu cầu người dùng (trực tiếp, điện thoại, email) |
0,007 |
0,008 |
0,011 |
|
2 |
Hỗ trợ trong việc cài đặt phần mềm |
0,040 |
0,050 |
0,065 |
|
3 |
Xử lý yêu cầu người dùng |
0,060 |
0,075 |
0,098 |
|
4 |
Ghi nhận kết quả xử lý |
0,007 |
0,008 |
0,011 |
Bảng số 136
|
STT |
Thiết bị |
ĐVT |
Thời hạn (tháng) |
Tiếp nhận yêu cầu người dùng (trực tiếp, điện thoại, email) |
Hỗ trợ trong việc cài đặt phần mềm |
Xử lý yêu cầu người dùng |
Ghi nhận kết quả xử lý |
|
1 |
Máy tính để bàn |
Bộ |
60 |
0,005 |
0,032 |
0,096 |
0,005 |
|
2 |
Máy in laser |
Cái |
60 |
|
|
|
0,000 |
|
3 |
Điều hoà nhiệt độ |
Cái |
96 |
0,001 |
0,006 |
0,017 |
0,001 |
|
4 |
Máy photocopy |
Cái |
96 |
- |
- |
- |
0,0001 |
|
5 |
Điện năng (kw) |
kW |
|
0,021 |
0,124 |
0,373 |
0,021 |
Ghi chú: Mức thiết bị trên tính cho loại KK2, mức cho các loại khó khăn khác tính như sau:
KK1 = 0,8 x KK2.
KK3 = 1,3 x KK2.
Bảng số 137
|
STT |
Dụng cụ |
ĐVT |
Thời hạn (tháng) |
Tiếp nhận yêu cầu người dùng (trực tiếp, điện thoại, email) |
Hỗ trợ trong việc cài đặt phần mềm |
Xử lý yêu cầu người dùng |
Ghi nhận kết quả xử lý |
|
1 |
Ghế |
Cái |
96 |
0,007 |
0,040 |
0,120 |
0,007 |
|
2 |
Bàn làm việc |
Cái |
96 |
0,007 |
0,040 |
0,120 |
0,007 |
|
3 |
Quạt trần 0,1 kW |
Cái |
60 |
0,001 |
0,007 |
0,021 |
0,001 |
|
4 |
Đèn neon 0,04 kW |
Bộ |
36 |
0,003 |
0,020 |
0,060 |
0,003 |
|
5 |
Điện năng (kw) |
kW |
|
0,002 |
0,013 |
0,038 |
0,002 |
Ghi chú: Mức dụng cụ trên tính cho loại KK2, mức cho các loại khó khăn khác tính như sau:
KK1 = 0,8 x KK2.
KK3 = 1,3 x KK2.Bảng số 138
|
STT |
Vật liệu |
ĐVT |
Tiếp nhận yêu cầu người dùng (trực tiếp, điện thoại, email) |
Hỗ trợ trong việc cài đặt phần mềm |
Xử lý yêu cầu người dùng |
Ghi nhận kết quả xử lý |
|
1 |
Giấy in A4 |
Gram |
- |
- |
- |
0,0003 |
|
2 |
Mực in laser |
Hộp |
- |
- |
- |
0,0001 |
|
3 |
Mực máy photocopy |
Hộp |
- |
- |
- |
0,0001 |
|
4 |
Cặp để tài liệu |
Cái |
- |
- |
- |
0,0003 |
Mục II
ĐỊNH MỨC KINH TẾ - KỸ THUẬT DUY TRÌ, VẬN HÀNH
HỆ THỐNG PHẦN CỨNG CÔNG NGHỆ THÔNG TIN
1. Kiểm tra, giám sát
1.1. Định mức lao động
- Kiểm tra, giám sát trạng thái hoạt động hệ thống.
- Kiểm tra nhật ký hoạt động hệ thống.
- Kiểm tra, giám sát các chức năng của hệ thống.
Bước này không phân loại khó khăn
Bảng số 139
|
STT |
Danh mục công việc |
KS1 |
KS2 |
Nhóm |
|
1 |
Kiểm tra, giám sát trạng thái hoạt động hệ thống |
1 |
|
1 |
|
2 |
Kiểm tra nhật ký hoạt động hệ thống |
1 |
|
1 |
|
3 |
Kiểm tra, giám sát các chức năng của hệ thống |
|
1 |
1 |
Bảng số 140
|
STT |
Danh mục công việc |
Định mức |
|
1 |
Kiểm tra, giám sát trạng thái hoạt động hệ thống |
6,31 |
|
2 |
Kiểm tra nhật ký hoạt động hệ thống |
12,62 |
|
3 |
Kiểm tra, giám sát các chức năng của hệ thống |
4,0 |
Bảng số 141
|
STT |
Thiết bị |
ĐVT |
Công suất (Kw) |
Kiểm tra, giám sát trạng thái hoạt động hệ thống. |
Kiểm tra nhật ký hoạt động hệ thống. |
Kiểm tra, giám sát các chức năng của hệ thống. |
|
1 |
Máy tính để bàn |
Cái |
0,4 |
5,05 |
10,10 |
3,20 |
|
2 |
Máy in laser |
Cái |
0,6 |
0,10 |
0 |
0 |
|
3 |
Điều hoà nhiệt độ |
Cái |
2,2 |
0,84 |
1,69 |
0,53 |
|
4 |
Điện năng |
Kw |
|
33,3 |
65,2 |
20,7 |
Bảng số 142
|
STT |
Dụng cụ |
ĐVT |
Thời hạn (tháng) |
Kiểm tra, giám sát trạng thái hoạt động hệ thống |
Kiểm tra nhật ký hoạt động hệ thống |
Kiểm tra, giám sát các chức năng của hệ thống |
|
1 |
Ghế |
Cái |
96 |
5,05 |
10,10 |
3,20 |
|
2 |
Bàn làm việc |
Cái |
96 |
5,05 |
10,10 |
3,20 |
|
3 |
Quạt trần |
Cái |
96 |
0,88 |
1,76 |
0,56 |
|
4 |
Đèn neon |
Bộ |
24 |
2,52 |
5,05 |
1,60 |
|
5 |
Điện năng |
kW |
|
1,59 |
3,18 |
1,01 |
|
6 |
Thiết bị kiểm tra cable mạng |
Cái |
60 |
5,05 |
0 |
0 |
Bảng số 143
|
STT |
Vật liệu |
ĐVT |
Kiểm tra, giám sát trạng thái hoạt động hệ thống. |
Kiểm tra nhật ký hoạt động hệ thống |
Kiểm tra, giám sát các chức năng của hệ thống |
|
1 |
Giấy in A4 |
Gram |
1,51 |
0 |
0 |
|
2 |
Mực in laser |
Hộp |
0,30 |
0 |
0 |
2. Ghi nhận sự cố
2.1. Định mức lao động
- Ghi nhận sự cố.
- Xác minh sự cố.
- Cập nhật danh mục sự cố.
Bước này không phân loại khó khăn
Bảng số 144
|
STT |
Danh mục công việc |
KS1 |
KS2 |
KS3 |
Nhóm |
|
1 |
Ghi nhận sự cố |
1 |
|
|
1 |
|
2 |
Xác minh sự cố |
|
1 |
1 |
2 |
|
3 |
Cập nhật danh mục sự cố |
1 |
|
|
1 |
Bảng số 145
|
STT |
Danh mục công việc |
Định mức |
|
1 |
Ghi nhận sự cố |
0,125 |
|
2 |
Xác minh sự cố |
0,375 |
|
3 |
Cập nhật danh mục sự cố |
0,125 |
Bảng số 146
|
STT |
Thiết bị |
ĐVT |
Công suất (Kw) |
Ghi nhận sự cố |
Xác minh sự cố |
Cập nhật danh mục sự cố |
|
1 |
Máy tính để bàn |
Cái |
0,4 |
0,1 |
0,6 |
0,1 |
|
2 |
Máy in laser |
Cái |
0,6 |
0 |
0 |
0,01 |
|
3 |
Điều hoà nhiệt độ |
Cái |
2,2 |
0,02 |
0,05 |
0,02 |
|
4 |
Điện năng |
Kw |
|
0,6 |
2,9 |
0,7 |
Bảng số 147
|
STT |
Dụng cụ |
ĐVT |
Thời hạn (tháng) |
Ghi nhận sự cố |
Xác minh sự cố |
Cập nhật danh mục sự cố |
|
1 |
Ghế |
Cái |
96 |
0,1 |
0,6 |
0,1 |
|
2 |
Bàn làm việc |
Cái |
96 |
0,1 |
0,6 |
0,1 |
|
3 |
Quạt trần |
Cái |
96 |
0,02 |
0,11 |
0,02 |
|
4 |
Đèn neon |
Bộ |
24 |
0,05 |
0,3 |
0,05 |
|
5 |
Điện năng |
kW |
|
0,03 |
0,19 |
0,03 |
Bảng số 148
|
STT |
Vật liệu |
ĐVT |
Ghi nhận sự cố |
Xác minh sự cố |
Cập nhật danh mục sự cố |
|
1 |
Giấy in A4 |
Gram |
0 |
0 |
0,02 |
|
2 |
Mực in laser |
Hộp |
0 |
0 |
0,003 |
3. Phân tích sự cố
3.1. Định mức lao động
- Phân loại, đối chiếu danh mục sự cố.
- Phân tích các nguyên nhân có thể gây ra sự cố.
- Đề xuất giải pháp khắc phục sự cố.
Bước này không phân loại khó khăn
Bảng số 149
|
STT |
Danh mục công việc |
KS3 |
KS4 |
Nhóm |
|
1 |
Phân loại, đối chiếu danh mục sự cố |
1 |
|
1 |
|
2 |
Phân tích các nguyên nhân có thể gây ra sự cố |
1 |
1 |
2 |
|
3 |
Đề xuất giải pháp khắc phục sự cố |
1 |
|
1 |
Bảng số 150
|
STT |
Danh mục công việc |
Định mức |
|
1 |
Phân loại, đối chiếu danh mục sự cố |
0,25 |
|
2 |
Phân tích các nguyên nhân có thể gây ra sự cố |
0,75 |
|
3 |
Đề xuất giải pháp khắc phục sự cố |
0,75 |
Bảng số 151
Ca/01 thiết bị
|
STT |
Thiết bị |
ĐVT |
Công suất (Kw) |
Phân loại, đối chiếu danh mục sự cố |
Phân tích các nguyên nhân có thể gây ra sự cố |
Đề xuất giải pháp khắc phục sự cố |
|
1 |
Máy tính để bàn |
Cái |
0,4 |
0,2 |
1,2 |
0,6 |
|
2 |
Máy in laser |
Cái |
0,6 |
0 |
0,053 |
0,053 |
|
3 |
Điều hoà nhiệt độ |
Cái |
2,2 |
0,034 |
0,101 |
0,101 |
|
4 |
Điện năng |
Kw |
|
1,3 |
6,2 |
4,2 |
Bảng số 152
|
STT |
Dụng cụ |
ĐVT |
Thời hạn (tháng) |
Phân loại, đối chiếu danh mục sự cố |
Phân tích các nguyên nhân có thể gây ra sự cố |
Đề xuất giải pháp khắc phục sự cố |
|
1 |
Ghế |
Cái |
96 |
0,2 |
1,2 |
0,6 |
|
2 |
Bàn làm việc |
Cái |
96 |
0,2 |
1,2 |
0,6 |
|
3 |
Quạt trần |
Cái |
96 |
0,035 |
0,21 |
0,105 |
|
4 |
Đèn neon |
Bộ |
24 |
0,1 |
0,6 |
0,3 |
|
5 |
Điện năng |
kW |
|
0,06 |
0,38 |
0,19 |
Bảng số 153
|
STT |
Vật liệu |
ĐVT |
Phân loại, đối chiếu danh mục sự cố |
Phân tích các nguyên nhân có thể gây ra sự cố |
Đề xuất giải pháp khắc phục sự cố |
|
1 |
Giấy in A4 |
Gram |
|
0,015 |
0,003 |
|
2 |
Mực in laser |
Hộp |
|
0,015 |
0,003 |
4. Khắc phục sự cố
4.1. Định mức lao động
- Nghiên cứu giải pháp được đề xuất
- Thực hiện giải pháp khắc phục.
- Kiểm tra hệ thống sau khi thực hiện giải pháp khắc phục.
- Cập nhật danh mục sự cố.
Bước này không phân loại khó khăn
Bảng số 154
|
STT |
Danh mục công việc |
KS2 |
KS3 |
KS4 |
Nhóm |
|
1 |
Nghiên cứu giải pháp được đề xuất |
|
1 |
|
1 |
|
2 |
Thực hiện giải pháp khắc phục |
|
1 |
1 |
2 |
|
3 |
Kiểm tra hệ thống sau khi thực hiện giải pháp khắc phục |
|
1 |
|
1 |
|
4 |
Cập nhật danh mục sự cố |
1 |
|
|
1 |
Bảng số 155
|
STT |
Danh mục công việc |
Định mức |
|
1 |
Nghiên cứu giải pháp được đề xuất |
0,25 |
|
2 |
Thực hiện giải pháp khắc phục |
0,75 |
|
3 |
Kiểm tra hệ thống sau khi thực hiện giải pháp khắc phục |
0,125 |
|
4 |
Cập nhật danh mục sự cố |
0,063 |
Bảng số 156
|
STT |
Thiết bị |
ĐVT |
Công suất (Kw) |
Nghiên cứu giải pháp được đề xuất |
Thực hiện giải pháp khắc phục |
Kiểm tra hệ thống sau khi thực hiện giải pháp khắc phục |
Cập nhật danh mục sự cố |
|
1 |
Máy tính để bàn |
Cái |
0,4 |
0,2 |
1,2 |
0,1 |
0,05 |
|
2 |
Máy in laser |
Cái |
0,6 |
0,018 |
0 |
0 |
0,004 |
|
3 |
Điều hoà nhiệt độ |
Cái |
2,2 |
0,034 |
0,101 |
0,017 |
0,008 |
|
4 |
Điện năng |
Kw |
|
1,409 |
5,889 |
0,646 |
0,352 |
Bảng số 157
|
STT |
Dụng cụ |
ĐVT |
Thời hạn (tháng) |
Nghiên cứu giải pháp được đề xuất |
Thực hiện giải pháp khắc phục |
Kiểm tra hệ thống sau khi thực hiện giải pháp khắc phục |
Cập nhật danh mục sự cố |
|
1 |
Ghế |
Cái |
96 |
0,2 |
1,2 |
0,1 |
0,05 |
|
2 |
Bàn làm việc |
Cái |
96 |
0,2 |
1,2 |
0,1 |
0,05 |
|
3 |
Quạt trần |
Cái |
96 |
0,035 |
0,21 |
0,02 |
0,018 |
|
4 |
Đèn neon |
Bộ |
24 |
0,1 |
0,6 |
0,05 |
0,025 |
|
5 |
Điện năng |
kW |
|
0,063 |
0,378 |
0,032 |
0,016 |
|
6 |
Kìm bấm mạng |
Cái |
36 |
0 |
0,6 |
0 |
0 |
Bảng số 158
|
STT |
Vật liệu |
ĐVT |
Nghiên cứu giải pháp được đề xuất |
Thực hiện giải pháp khắc phục |
Kiểm tra hệ thống sau khi thực hiện giải pháp khắc phục cập nhật danh mục sự cố |
Cập nhật danh mục sự cố |
|
1 |
Giấy in A4 |
Gram |
0,015 |
0 |
0 |
0,015 |
|
2 |
Mực in laser |
Hộp |
0,003 |
0 |
0 |
0,003 |
5. Báo cáo thống kê, nhật ký
5.1. Định mức lao động
Tổng hợp, xây dựng báo cáo trong quá trình duy trì vận hành hệ thống, nhật ký hệ thống.
Bước này không phân loại khó khăn.
Bảng số 159
|
STT |
Danh mục công việc |
KS2 |
Nhóm |
|
1 |
Tổng hợp, xây dựng báo cáo trong quá trình duy trì vận hành hệ thống |
1 |
1 |
Bảng số 160
|
STT |
Danh mục công việc |
Định mức |
|
1 |
Tổng hợp, xây dựng báo cáo trong quá trình duy trì vận hành hệ thống |
0,125 |
Bảng số 161
|
STT |
Thiết bị |
ĐVT |
Công suất (Kw) |
Tổng hợp, xây dựng báo cáo trong quá trình duy trì vận hành hệ thống |
|
1 |
Máy tính để bàn |
Cái |
0,4 |
0,1 |
|
2 |
Máy in laser |
Cái |
0,6 |
0,009 |
|
3 |
Điều hoà nhiệt độ |
Cái |
2,2 |
0,017 |
|
4 |
Điện năng |
Kw |
|
0,704 |
Bảng số 162
|
STT |
Dụng cụ |
ĐVT |
Thời hạn (tháng) |
Tổng hợp, xây dựng báo cáo trong quá trình duy trì vận hành hệ thống |
|
1 |
Ghế |
Cái |
96 |
0,1 |
|
2 |
Bàn làm việc |
Cái |
96 |
0,1 |
|
3 |
Quạt trần |
Cái |
96 |
0,018 |
|
4 |
Đèn neon |
Bộ |
24 |
0,05 |
|
5 |
Điện năng |
kW |
|
0,032 |
Bảng số 163
|
STT |
Nội dung |
ĐVT |
Tổng hợp, xây dựng báo cáo trong quá trình duy trì vận hành hệ thống |
|
1 |
Giấy in A4 |
Gram |
0,03 |
|
2 |
Mực in laser |
Hộp |
0,006 |
6. Bảo dưỡng hệ thống
6.1. Định mức lao động
- Lập kế hoạch bảo dưỡng, thông báo cho các bộ phận liên quan về lịch bảo dưỡng định kỳ.
- Vệ sinh các thiết bị.
- Kiểm tra các kết nối của các thiết bị ngoại vi, kết nối nguồn, kết nối mạng, kết nối hệ thống của các thiết bị.
- Kiểm tra môi trường hoạt động, độ ẩm, nhiệt độ, hệ thống làm mát của hệ thống.
- Lấy bản ghi nhật ký hệ thống hoạt động (log dữ liệu), kiểm tra các đèn cảnh báo.
- Chạy các chương trình kiểm tra hiệu năng máy tính, máy chủ về trạng thái hoạt động của thiết bị.
- Kiểm tra danh mục các phần mềm được phép chạy trên máy chủ và loại bỏ các phần mềm không được phép trên máy tính, máy chủ.
- Kiểm tra toàn bộ hệ thống và ghi nhận hiện trạng phục vụ cho các kỳ bảo dưỡng tiếp theo.
- Thay thế/sửa chữa các thiết bị hỏng hóc phát sinh trong giai đoạn bảo dưỡng.
Bước này không phân loại khó khăn.
Bảng số 164
|
STT |
Danh mục công việc |
KS1 |
KS2 |
Nhóm |
|
1 |
Lập kế hoạch bảo dưỡng, thông báo cho các bộ phận liên quan về lịch bảo dưỡng định kỳ |
|
1 |
1 |
|
2 |
Vệ sinh các thiết bị |
1 |
|
1 |
|
3 |
Kiểm tra các kết nối của các thiết bị ngoại vi, kết nối nguồn, kết nối mạng, kết nối hệ thống của các thiết bị; |
|
1 |
1 |
|
4 |
Kiểm tra môi trường hoạt động, độ ẩm, nhiệt độ, hệ thống làm mát của hệ thống; |
|
1 |
1 |
|
5 |
Lấy bản ghi nhật ký hệ thống hoạt động (log dữ liệu), kiểm tra các đèn cảnh báo; |
|
1 |
1 |
|
6 |
Chạy các chương trình kiểm tra hiệu năng máy tính, máy chủ về trạng thái hoạt động của thiết bị; |
|
1 |
1 |
|
7 |
Kiểm tra danh mục các phần mềm được phép chạy trên máy chủ và loại bỏ các phần mềm không được phép trên máy tính, máy chủ; |
|
1 |
1 |
|
8 |
Kiểm tra toàn bộ hệ thống và ghi nhận hiện trạng phục vụ cho các kỳ bảo dưỡng tiếp theo; |
|
1 |
1 |
|
9 |
Thay thế/sửa chữa các thiết bị hỏng hóc phát sinh trong giai đoạn bảo dưỡng. |
|
1 |
1 |
Bảng số 165
|
STT |
Danh mục công việc |
Định mức |
|
1 |
Lập kế hoạch bảo dưỡng, thông báo cho các bộ phận liên quan về lịch bảo dưỡng định kỳ |
0,042 |
|
2 |
Vệ sinh các thiết bị |
0,25 |
|
3 |
Kiểm tra các kết nối của các thiết bị ngoại vi, kết nối nguồn, kết nối mạng, kết nối hệ thống của các thiết bị; |
0,042 |
|
4 |
Kiểm tra môi trường hoạt động, độ ẩm, nhiệt độ, hệ thống làm mát của hệ thống; |
0,083 |
|
5 |
Lấy bản ghi nhật ký hệ thống hoạt động (log dữ liệu), kiểm tra các đèn cảnh báo; |
0,083 |
|
6 |
Chạy các chương trình kiểm tra hiệu năng máy tính, máy chủ về trạng thái hoạt động của thiết bị; |
0,25 |
|
7 |
Kiểm tra danh mục các phần mềm được phép chạy trên máy chủ và loại bỏ các phần mềm không được phép trên máy tính, máy chủ; |
0,125 |
|
8 |
Kiểm tra toàn bộ hệ thống và ghi nhận hiện trạng phục vụ cho các kỳ bảo dưỡng tiếp theo; |
0,25 |
|
9 |
Thay thế/sửa chữa các thiết bị hỏng hóc phát sinh trong giai đoạn bảo dưỡng. |
0,5 |
Bảng số 166
|
STT |
Thiết bị |
ĐVT |
Công |
Lập kế hoạch bảo dưỡng, thông báo cho các bộ phận liên quan về lịch bảo |
Vệ sinh các thiết bị |
Kiểm tra các kết nối của các thiết bị ngoại vi, kết nối nguồn, kết nối mạng, kết nối hệ thống của các thiết bị |
Kiểm tra môi trường hoạt động, độ ẩm, nhiệt độ, hệ thống làm mát của hệ thống |
Lấy bản ghi nhật ký hệ thống hoạt động (log dữ liệu), kiểm tra các đèn cảnh báo |
Chạy các chương trình kiểm tra hiệu năng máy tính, máy chủ về trạng thái hoạt động của thiết bị |
Kiểm tra danh mục các phần mềm được phép chạy trên máy chủ và loại bỏ các phần mềm không được phép trên máy tính, máy chủ |
Kiểm tra toàn bộ hệ thống và ghi nhận hiện trạng phục vụ cho các kỳ bảo dưỡng |
Thay thế/sửa chữa các thiết bị hỏng hóc phát sinh trong giai đoạn bảo dưỡng |
|
1 |
Máy tính |
Cái |
0,4 |
0,033 |
0,2 |
0,033 |
0,06 |
0,067 |
0,2 |
0,1 |
0,2 |
0,4 |
|
2 |
Máy |
Cái |
0,6 |
0,003 |
0 |
0 |
0 |
0 |
0 |
0 |
0,0 |
0,035 |
|
3 |
Điều |
Cái |
2,2 |
0,006 |
0,034 |
0,006 |
0,01 |
0,011 |
0,034 |
0,01 7 |
0,0 34 |
0,067 |
|
4 |
Điện |
Kw |
0,235 |
1,291 |
0,215 |
0,43 |
0,43 |
1,291 |
0,64 6 |
1,4 09 |
2,817 |
Bảng số 167
|
STT |
Dụng cụ |
ĐVT |
Thời |
Lập kế hoạch bảo dưỡng, thông báo cho các bộ phận liên quan về lịch |
Vệ sinh các thiết bị |
Kiểm tra các kết nối của các thiết bị ngoại vi, kết nối nguồn, kết nối |
Kiểm tra môi trường hoạt động, độ ẩm, nhiệt độ, hệ thống làm mát của hệ thống |
Lấy bản ghi nhật ký hệ thống hoạt động (log dữ liệu), kiểm tra các |
Chạy các chương trình kiểm tra hiệu năng máy tính, máy chủ về trạng |
Kiểm tra danh mục các phần mềm được phép chạy trên máy chủ và loại bỏ các phần mềm không được phép trên máy tính, máy chủ |
Kiểm tra toàn bộ hệ thống và ghi nhận hiện trạng phục vụ cho các kỳ bảo dưỡng tiếp theo |
Thay thế/sửa chữa các thiết bị hỏng hóc phát sinh trong giai đoạn bảo |
|
1 |
Ghế |
Cái |
96 |
0,033 |
0,2 |
0,033 |
0,067 |
0,067 |
0,2 |
0,1 |
0,2 |
0,4 |
|
2 |
Bàn |
Cái |
96 |
0,033 |
0,2 |
0,033 |
0,067 |
0,067 |
0,2 |
0,1 |
0,2 |
0,4 |
|
3 |
Quạt |
Cái |
96 |
0,006 |
0,0 |
0,006 |
0,012 |
0,012 |
0,035 |
0,0 81 |
0,035 |
0,07 |
|
4 |
Đèn |
Bộ |
24 |
0,017 |
0,1 |
0,017 |
0,033 |
0,033 |
0,1 |
0,05 |
0,1 |
0,2 |
|
5 |
Điện |
kW |
0,011 |
0,0 63 |
0,011 |
0,021 |
0,021 |
0,063 |
0,03 1 |
0,063 |
0,126 |
|
|
6 |
Đồng |
Cái |
60 |
0 |
0 |
0,033 |
0 |
0 |
0 |
0 |
0 |
0 |
|
7 |
Máy |
Cái |
60 |
0 |
0,2 |
0 |
0 |
0 |
0 |
0 |
0 |
0 |
Bảng số 168
|
STT |
Nội dung |
ĐVT |
Lập kế hoạch bảo dưỡng, thông báo cho các bộ phận liên quan về lịch |
Vệ sinh các thiết bị |
Kiểm tra các kết nối của các thiết bị ngoại vi, kết nối nguồn, kết nối mạng, kết nối hệ thống của các thiết bị |
Kiểm tra môi trường hoạt động, độ ẩm, nhiệt độ, hệ thống làm mát của |
Lấy bản ghi nhật ký hệ thống hoạt động (log dữ liệu), kiểm tra các đèn |
Chạy các chương trình kiểm tra hiệu năng máy tính, máy chủ về trạng |
Kiểm tra danh mục các phần mềm được phép chạy trên máy chủ và |
Kiểm tra toàn bộ hệ thống và ghi nhận hiện trạng phục vụ cho các kỳ |
Thay thế/sửa chữa các thiết bị hỏng hóc phát sinh trong giai đoạn bảo |
|
1 |
Giấy |
Gram |
0,01 |
0,01 |
0,01 |
||||||
|
2 |
Mực |
Hộp |
0,002 |
0,002 |
0,002 |
7. Cập nhật firmware
7.1. Định mức lao động
- Lập kế hoạch cập nhật, thông báo đến các bộ phận liên quan.
- Thực hiện sao lưu dữ liệu.
- Kiểm tra các phiên bản firmware của hệ thống.
- Thực hiện nâng cấp, cập nhật hệ thống.
- Kiểm tra vận hành thử sau nâng cấp.
Bước nay không phân loại khó khăn.
Bảng số 169
|
STT |
Danh mục công việc |
KS2 |
Nhóm |
|
1 |
Lập kế hoạch cập nhật, thông báo đến các bộ phận liên quan |
1 |
1 |
|
2 |
Thực hiện sao lưu dữ liệu |
1 |
1 |
|
3 |
Kiểm tra các phiên bản firmware của hệ thống |
1 |
1 |
|
4 |
Thực hiện nâng cấp, cập nhật hệ thống |
1 |
1 |
|
5 |
Kiểm tra vận hành thử sau nâng cấp |
1 |
1 |
Bảng số 170
|
STT |
Danh mục công việc |
Định mức |
|
1 |
Lập kế hoạch cập nhật, thông báo đến các bộ phận liên quan |
0,021 |
|
2 |
Thực hiện sao lưu dữ liệu |
0,25 |
|
3 |
Kiểm tra các phiên bản firmware của hệ thống |
0,042 |
|
4 |
Thực hiện nâng cấp, cập nhật hệ thống |
0,25 |
|
5 |
Kiểm tra vận hành thử sau nâng cấp |
0,042 |
Bảng số 171
|
STT |
Thiết bị |
ĐVT |
Công suất (Kw) |
Lập kế hoạch cập nhật, thông báo đến các bộ phận liên quan |
Thực hiện sao lưu dữ liệu |
Kiểm tra các phiên bản firmware của hệ thống |
Thực hiện nâng cấp, cập nhật hệ thống |
Kiểm tra vận hành thử sau nâng cấp |
|
1 |
Máy tính để bàn |
Cái |
0,4 |
0,17 |
0,2 |
0,033 |
0,2 |
0,003 |
|
2 |
Máy in laser |
Cái |
0,6 |
0,001 |
0 |
0 |
0 |
0,003 |
|
3 |
Điều hoà nhiệt độ |
Cái |
2,2 |
0,003 |
0,034 |
0,006 |
0,034 |
0,006 |
|
4 |
Điện năng |
Kw |
|
0,117 |
1,291 |
0,215 |
1,291 |
0,235 |
Bảng số 172
|
STT |
Dụng cụ |
ĐVT |
Thời hạn (tháng) |
Lập kế hoạch cập nhật, thông báo đến các bộ phận liên quan |
Thực hiện sao lưu dữ liệu |
Kiểm tra các phiên bản firmware của hệ thống |
Thực hiện nâng cấp, cập nhật hệ thống |
Kiểm tra vận hành thử sau nâng cấp |
|
1 |
Ghế |
Cái |
96 |
0,017 |
0,2 |
0,033 |
0,2 |
0,033 |
|
2 |
Bàn làm việc |
Cái |
96 |
0,017 |
0,2 |
0,033 |
0,2 |
0,033 |
|
3 |
Quạt trần |
Cái |
96 |
0,003 |
0,035 |
0,006 |
0,035 |
0,006 |
|
4 |
Đèn neon |
Bộ |
24 |
0,008 |
0,1 |
0,017 |
0,1 |
0,017 |
|
5 |
Điện năng |
kW |
|
0,005 |
0,063 |
0,011 |
0,063 |
0,011 |
Bảng số 173
|
STT |
Nội dung |
ĐVT |
Lập kế hoạch cập nhật, thông báo đến các bộ phận liên quan |
Thực hiện sao lưu dữ liệu |
Kiểm tra các phiên bản firmware của hệ thống |
Thực hiện nâng cấp, cập nhật hệ thống |
Kiểm tra vận hành thử sau nâng cấp |
|
1 |
Giấy in A4 |
Gram |
0,005 |
0 |
0 |
0 |
0,005 |
|
2 |
Mực in laser |
Hộp |
0,001 |
0 |
0 |
0 |
0,001 |
Mục III
ĐỊNH MỨC KINH TẾ - KỸ THUẬT
DUY TRÌ, VẬN HÀNH PHẦN MỀM HỆ THỐNG
1. Kiểm tra, giám sát hệ thống
1.1. Định mức lao động
- Kiểm tra các cổng kết nối của phần mềm, dịch vụ.
- Kiểm tra các service của phần mềm, dịch vụ trên hệ điều hành máy chủ dịch vụ.
- Kiểm tra các tính năng của phần mềm, dịch vụ.
- Kiểm tra nhật ký logs hoạt động của phần mềm, dịch vụ.
- Các yếu tố ảnh hưởng Nhóm phần mềm dịch vụ:
+ Mô hình triển khai.
+ Số lượng người dùng.
Nhóm phần mềm hạ tầng:
+ Mô hình triển khai.
+ Số lượng thiết bị.
Nhóm phần mềm an ninh bảo mật:
+ Băng thông.
+ Hoạt động layer.
+ Mô hình triển khai.
- Tính điểm theo các yếu tố ảnh hưởng:
Tính điểm theo các yếu tố ảnh hưởng đối với nhóm phần mềm dịch vụ
Bảng số 174
|
STT |
Các yếu tố ảnh hưởng |
Điểm |
|
1 |
Mô hình triển khai: tối đa 20 điểm |
|
|
|
m = 1 Không có dự phòng |
0 |
|
|
m = 2 Có dự phòng tại 1 site |
10 |
|
|
m = 3 Có dự phòng nhiều hơn 1 site |
20 |
|
2 |
Số lượng người dùng: tối đa 80 điểm |
|
|
|
m < 100 |
25 |
|
|
100 <= m <=200 |
35 |
|
|
200< m <300 |
45 |
|
|
300< = m < = 500 |
55 |
|
|
m>500 |
80 |
Tính điểm theo các yếu tố ảnh hưởng đối với nhóm phần mềm hạ tầng
Bảng số 175|
STT |
Các yếu tố ảnh hưởng |
Điểm |
|
1 |
Mô hình triển khai: tối đa 30 điểm |
|
|
|
m = 1 Không có dự phòng |
0 |
|
|
m = 2 Có dự phòng tại 1 site |
10 |
|
|
m = 3 Có dự phòng nhiều hơn 1 site |
20 |
|
2 |
Số lượng thiết bị: tối đa 80 điểm |
|
|
|
m < 50 |
25 |
|
|
50 <= m <=100 |
35 |
|
|
100< m <150 |
45 |
|
|
150< = m < = 200 |
55 |
|
|
m>200 |
80 |
Tính điểm theo các yếu tố ảnh hưởng đối với nhóm phần mềm an ninh bảo mật
Bảng số 176
|
STT |
Các yếu tố ảnh hưởng |
Điểm |
|
1 |
Mô hình triển khai: tối đa 20 điểm |
|
|
|
m = 1 Không có dự phòng |
0 |
|
|
m = 2 Có dự phòng tại 1 site |
10 |
|
|
m = 3 Có dự phòng nhiều hơn 1 site |
20 |
|
2 |
Băng thông: tối đa 40 điểm |
|
|
|
m < 2Gbps |
10 |
|
|
2Gbps <= m <=5Gbps |
20 |
|
|
5 Gbps< m < 20 Gbps |
30 |
|
|
m > 20 Gbps |
40 |
|
3 |
Hoạt động trên Layer: tối đa 40 điểm |
|
|
|
m = 1 (Layer 3,4) |
20 |
|
|
m = 2 Layer 7 |
30 |
|
|
m = 3 (layer 7 và có thêm các tính năng IPS, Antivirus...) |
40 |
- Phân loại khó khăn
Căn cứ điểm của từng yếu tố ảnh hưởng, việc phân loại khó khăn được áp dụng cho cả 03 nhóm phần mềm được xác định theo bảng sau:
Bảng số 177|
STT |
Mức độ khó khăn |
Khoảng điểm |
|
1 |
KK1 |
K <= 40 |
|
2 |
KK2 |
40 < K <= 55 |
|
3 |
KK3 |
55 < K <= 70 |
|
4 |
KK4 |
70 < K <= 85 |
|
5 |
KK5 |
K >85 |
Bảng số 178
|
STT |
Danh mục công việc |
KS1 |
KS2 |
Nhóm |
|
1 |
Kiểm tra các cổng kết nối của phần mềm, dịch vụ |
1 |
|
1 |
|
2 |
Kiểm tra các service của phần mềm, dịch vụ trên hệ điều hành máy chủ dịch vụ. |
|
1 |
1 |
|
3 |
Kiểm tra các tính năng của phần mềm, dịch vụ |
|
1 |
1 |
|
4 |
Kiểm tra nhật ký logs hoạt động của phần mềm, dịch vụ |
|
1 |
1 |
Bảng số 179
|
STT |
Danh mục công việc |
KK1 |
KK2 |
KK3 |
KK4 |
KK5 |
|
1 |
Kiểm tra các cổng kết nối của phần mềm, dịch vụ |
20,2 |
25,3 |
30,3 |
37,9 |
45,5 |
|
2 |
Kiểm tra các service của phần mềm, dịch vụ trên hệ điều hành máy chủ dịch vụ. |
40,4 |
50,5 |
60,6 |
75,8 |
90,9 |
|
3 |
Kiểm tra các tính năng của phần mềm, dịch vụ |
4,8 |
6,0 |
7,2 |
9,0 |
10,8 |
|
4 |
Kiểm tra nhật ký logs hoạt động của phần mềm, dịch vụ |
15,2 |
18,9 |
22,7 |
28,4 |
34,1 |
Bảng số 180
|
STT |
Thiết bị |
ĐVT |
Công suất (Kw) |
Kiểm tra các cổng kết nối của phần mềm, dịch vụ |
Kiểm tra các service của phần mềm, dịch vụ trên hệ điều hành máy chủ dịch vụ. |
Kiểm tra các tính năng của phần mềm, dịch vụ |
Kiểm tra nhật ký logs hoạt động của phần mềm, dịch vụ |
|
1 |
Máy tính để bàn |
Cái |
0,4 |
20,2 |
40,4 |
4,8 |
15,15 |
|
2 |
Máy in laser |
Cái |
0,6 |
0 |
0 |
0 |
0 |
|
3 |
Điều hoà nhiệt độ |
Cái |
2,2 |
3,384 |
6,767 |
0,804 |
2,538 |
|
4 |
Điện năng |
Kw |
|
130,4 |
260,8 |
31,0 |
97,8 |
Ghi chú: Mức thiết bị trên tính cho loại KK2, mức cho các loại khó khăn khác tính như sau:
KK1 = 0,8 x KK2
KK3 = 1,2 x KK2
KK4 = 1,5 x KK2
KK5 = 1,8 x KK2Bảng số 181
|
STT |
Dụng cụ |
ĐVT |
Thời hạn (tháng) |
Kiểm tra các cổng kết nối của phần mềm, dịch vụ |
Kiểm tra các service của phần mềm, dịch vụ trên hệ điều hành máy chủ dịch vụ. |
Kiểm tra các tính năng của phần mềm, dịch vụ |
Kiểm tra nhật ký logs hoạt động của phần mềm, dịch vụ |
|
1 |
Ghế |
Cái |
96 |
20,2 |
40,4 |
4,8 |
15,150 |
|
2 |
Bàn làm việc |
Cái |
96 |
20,2 |
40,400 |
4,800 |
15,150 |
|
3 |
Quạt trần |
Cái |
96 |
3,535 |
7,070 |
0,840 |
2,651 |
|
4 |
Đèn neon |
Bộ |
24 |
10,1 |
20,200 |
2,4 |
7,575 |
|
5 |
Điện năng |
kW |
|
6,363 |
12,726 |
1,512 |
4,772 |
Ghi chú: Mức dụng cụ trên tính cho loại KK2, mức cho các loại khó khăn khác tính như sau:
KK1 = 0,8 x KK2
KK3 = 1,2 x KK2
KK4 = 1,5 x KK2
KK5 = 1,8 x KK2
Bảng số 182
|
STT |
Vật liệu |
ĐVT |
Kiểm tra các cổng kết nối của phần mềm, dịch vụ |
Kiểm tra các service của phần mềm, dịch vụ trên hệ điều hành máy chủ dịch vụ. |
Kiểm tra các tính năng của phần mềm, dịch vụ |
Kiểm tra nhật ký logs hoạt động của phần mềm, dịch vụ |
|
1 |
Giấy in A4 |
Gram |
0 |
0 |
0 |
0,6 |
|
2 |
Mực in laser |
Hộp |
0 |
0 |
0 |
0,2 |
2. Ghi nhận sự cố
2.1. Định mức lao động
- Ghi nhận sự cố.
- Xác minh sự cố.
- Cập nhật danh mục sự cố.
- Các yếu tố ảnh hưởng Nhóm phần mềm dịch vụ:
+ Mô hình triển khai.
+ Số lượng người dùng.
+ Loại phần mềm.
Nhóm phần mềm hạ tầng:
+ Mô hình triển khai.
+ Số lượng thiết bị.
+ Loại phần mềm.
Nhóm phần mềm an ninh bảo mật:
+ Băng thông.
+ Hoạt động layer.
+ Mô hình triển khai.
+ Loại phần mềm.
- Tính điểm theo các yếu tố ảnh hưởng:
Tính điểm theo các yếu tố ảnh hưởng đối với nhóm phần mềm dịch vụ
Bảng số 183
|
STT |
Các yếu tố ảnh hưởng |
Điểm |
|
1 |
Mô hình triển khai: tối đa 20 điểm |
|
|
|
m = 1 Không có dự phòng |
0 |
|
|
m = 2 Có dự phòng tại 1 site |
10 |
|
|
m = 3 Có dự phòng nhiều hơn 1 site |
20 |
|
2 |
Số lượng người dùng: tối đa 65 điểm |
|
|
|
m < 100 |
25 |
|
|
100 <= m <=200 |
35 |
|
|
200< m <300 |
45 |
|
|
300<= m <= 500 |
55 |
|
|
m>500 |
65 |
|
3 |
Loại phần mềm: tối đa 15 điểm |
|
|
|
m = 1 phần mềm mã nguồn đóng |
0 |
|
|
m = 2 Phần mềm mã nguồn mở |
15 |
Tính điểm theo các yếu tố ảnh hưởng đối với nhóm phần mềm hạ tầng
Bảng số 184
|
STT |
Các yếu tố ảnh hưởng |
Điểm |
|
1 |
Mô hình triển khai: tối đa 20 điểm |
|
|
|
m = 1 Không có dự phòng |
0 |
|
|
m = 2 Có dự phòng tại 1 site |
10 |
|
|
m = 3 Có dự phòng nhiều hơn 1 site |
20 |
|
2 |
Số lượng thiết bị: tối đa 65 điểm |
|
|
|
m < 50 |
25 |
|
|
50 <= m <=100 |
35 |
|
|
100< m <150 |
45 |
|
|
150<= m <= 200 |
55 |
|
|
m>200 |
65 |
|
3 |
Loại phần mềm: tối đa 15 điểm |
|
|
|
m = 1 phần mềm mã nguồn đóng |
0 |
|
|
m = 2 Phần mềm mã nguồn mở |
15 |
Tính điểm theo các yếu tố ảnh hưởng đối với nhóm phần mềm an ninh bảo mật
Bảng số 185
|
STT |
Các yếu tố ảnh hưởng |
Điểm |
|
1 |
Mô hình triển khai: tối đa 20 điểm |
|
|
|
m = 1 Không có dự phòng |
0 |
|
|
m = 2 Có dự phòng tại 1 site |
10 |
|
|
m = 3 Có dự phòng nhiều hơn 1 site |
20 |
|
2 |
Băng thông: tối đa 25 điểm |
|
|
|
m < 2Gbps |
10 |
|
|
2Gbps <= m <=5Gbps |
15 |
|
|
5 Gbps< m < 20 Gbps |
20 |
|
|
m > 20 Gbps |
25 |
|
3 |
Hoạt động trên Layer: tối đa 40 điểm |
|
|
|
m = 1 (Layer 3,4) |
20 |
|
|
m = 2 Layer 7 |
30 |
|
|
m = 3 (layer 7 và có thêm các tính năng IPS, Antivirus...) |
40 |
|
4 |
Loại phần mềm: tối đa 15 điểm |
|
|
|
m = 1 phần mềm mã nguồn đóng |
0 |
|
|
m = 2 Phần mềm mã nguồn mở |
15 |
- Phân loại khó khăn
Căn cứ điểm của từng yếu tố ảnh hưởng, việc phân loại khó khăn được áp dụng cho cả 03 nhóm phần mềm được xác định theo bảng sau:
Bảng 186|
STT |
Mức độ khó khăn |
Khoảng điểm |
|
1 |
KK1 |
K <= 40 |
|
2 |
KK2 |
40 < K <= 55 |
|
3 |
KK3 |
55 < K <= 70 |
|
4 |
KK4 |
70 < K <= 85 |
|
5 |
KK5 |
K >85 |
Bảng số 187
|
STT |
Danh mục công việc |
KS1 |
KS2 |
KS3 |
Nhóm |
|
1 |
Ghi nhận sự cố |
|
1 |
|
1 |
|
2 |
Xác minh sự cố. |
|
1 |
1 |
2 |
|
3 |
Cập nhật danh mục sự cố |
1 |
|
|
1 |
Bảng số 188
|
STT |
Danh mục công việc |
KK1 |
KK2 |
KK3 |
KK4 |
KK5 |
|
1 |
Ghi nhận sự cố |
0,2 |
0,2 |
0,2 |
0,3 |
0,3 |
|
2 |
Xác minh sự cố |
0,3 |
0,4 |
0,5 |
0,6 |
0,7 |
|
3 |
Cập nhật danh mục sự cố |
0,2 |
0,2 |
0,2 |
0,3 |
0,3 |
Bảng số 189
|
STT |
Thiết bị |
ĐVT |
Công suất (Kw) |
Ghi nhận sự cố |
Xác minh sự cố |
Cập nhật danh mục sự cố |
|
1 |
Máy tính để bàn |
Cái |
0,4 |
0,15 |
0,3 |
0,15 |
|
2 |
Máy in laser |
Cái |
0,6 |
0 |
0,013 |
0 |
|
3 |
Điều hoà nhiệt độ |
Cái |
2,2 |
0,025 |
0,050 |
0,025 |
|
4 |
Điện năng |
Kw |
|
1,0 |
2,0 |
1,0 |
Ghi chú: Mức thiết bị trên tính cho loại KK2, mức cho các loại khó khăn khác tính như sau:
KK1 = 0,8 x KK2
KK3 = 1,2 x KK2
KK4 = 1,5 x KK2
KK5 = 1,8 x KK2
Bảng số 190
|
STT |
Dụng cụ |
ĐVT |
Thời hạn (tháng) |
Ghi nhận sự cố |
Xác minh sự cố |
Cập nhật danh mục sự cố |
|
1 |
Ghế |
Cái |
96 |
0,15 |
0,6 |
0,15 |
|
2 |
Bàn làm việc |
Cái |
96 |
0,15 |
0,6 |
0,15 |
|
3 |
Quạt trần |
Cái |
96 |
0,026 |
0,105 |
0,026 |
|
4 |
Đèn neon |
Bộ |
24 |
0,075 |
0,3 |
0,075 |
|
5 |
Điện năng |
kW |
|
0,047 |
0,189 |
0,047 |
Ghi chú: Mức dụng cụ trên tính cho loại KK2, mức cho các loại khó khăn khác tính như sau:
KK1 = 0,8 x KK2
KK3 = 1,2 x KK2
KK4 = 1,5 x KK2
KK5 = 1,8 x KK2
Bảng số 191
|
STT |
Vật liệu |
ĐVT |
Ghi nhận sự cố |
Xác minh sự cố |
Cập nhật danh mục sự cố |
|
1 |
Giấy in A4 |
Gram |
0 |
0 |
0,006 |
|
2 |
Mực in laser |
Hộp |
0 |
0 |
0,002 |
3. Phân tích sự cố
3.1. Định mức lao động
- Phân loại, đối chiếu danh mục sự cố.
- Phân tích các nguyên nhân có thể gây ra sự cố.
- Đề xuất giải pháp khắc phục sự cố.
- Các yếu tố ảnh hưởng Nhóm phần mềm dịch vụ:
+ Mô hình triển khai.
+ Số lượng người dùng.
+ Loại phần mềm.
Nhóm phần mềm hạ tầng:
+ Mô hình triển khai.
+ Số lượng thiết bị.
+ Loại phần mềm.
Nhóm phần mềm an ninh bảo mật:
+ Băng thông.
+ Hoạt động layer.
+ Mô hình triển khai.
+ Loại phần mềm.
- Tính điểm theo các yếu tố ảnh hưởng:
Tính điểm theo các yếu tố ảnh hưởng đối với nhóm phần mềm dịch vụ
Bảng số 192
|
STT |
Các yếu tố ảnh hưởng |
Điểm |
|
1 |
Mô hình triển khai: tối đa 20 điểm |
|
|
|
m = 1 Không có dự phòng |
0 |
|
|
m = 2 Có dự phòng tại 1 site |
10 |
|
|
m = 3 Có dự phòng nhiều hơn 1 site |
20 |
|
2 |
Số lượng người dùng: tối đa 65 điểm |
|
|
|
m < 100 |
25 |
|
|
100 <= m <=200 |
35 |
|
|
200< m <300 |
45 |
|
|
300<= m <= 500 |
55 |
|
|
m>500 |
65 |
|
3 |
Loại phần mềm: tối đa 15 điểm |
|
|
|
m = 1 phần mềm mã nguồn đóng |
0 |
|
|
m = 2 Phần mềm mã nguồn mở |
15 |
|
STT |
Các yếu tố ảnh hưởng |
Điểm |
|
1 |
Mô hình triển khai: tối đa 20 điểm |
|
|
|
m = 1 Không có dự phòng |
0 |
|
|
m = 2 Có dự phòng tại 1 site |
10 |
|
|
m = 3 Có dự phòng nhiều hơn 1 site |
20 |
|
2 |
Số lượng thiết bị: tối đa 65 điểm |
|
|
|
m < 50 |
25 |
|
|
50 <= m <=100 |
35 |
|
|
100< m <150 |
45 |
|
|
150<= m <= 200 |
55 |
|
|
m>200 |
65 |
|
3 |
Loại phần mềm: tối đa 15 điểm |
|
|
|
m = 1 phần mềm mã nguồn đóng |
0 |
|
|
m = 2 Phần mềm mã nguồn mở |
15 |
Tính điểm theo các yếu tố ảnh hưởng đối với nhóm phần mềm an ninh bảo mật
Bảng số 194
|
STT |
Các yếu tố ảnh hưởng |
Điểm |
|
1 |
Mô hình triển khai: tối đa 20 điểm |
|
|
|
m = 1 Không có dự phòng |
0 |
|
|
m = 2 Có dự phòng tại 1 site |
10 |
|
|
m = 3 Có dự phòng nhiều hơn 1 site |
20 |
|
2 |
Băng thông: tối đa 25 điểm |
|
|
|
m < 2Gbps |
10 |
|
|
2 Gbps <= m <=5Gbps |
15 |
|
|
5 Gbps< m < 20 Gbps |
20 |
|
|
m > 20 Gbps |
25 |
|
3 |
Hoạt động trên Layer: tối đa 40 điểm |
|
|
|
m = 1 (Layer 3,4) |
20 |
|
|
m = 2 Layer 7 |
30 |
|
|
m = 3 (layer 7 và có thêm các tính năng IPS, Antivirus...) |
40 |
|
4 |
Loại phần mềm: tối đa 15 điểm |
|
|
|
m = 1 phần mềm mã nguồn đóng |
0 |
|
|
m = 2 Phần mềm mã nguồn mở |
15 |
- Phân loại khó khăn
Căn cứ điểm của từng yếu tố ảnh hưởng, việc phân loại khó khăn được áp dụng cho cả 03 nhóm phần mềm được xác định theo bảng sau:
Bảng số 195|
STT |
Mức độ khó khăn |
Khoảng điểm |
|
1 |
KK1 |
K <= 40 |
|
2 |
KK2 |
40 < K <= 55 |
|
3 |
KK3 |
55 < K <= 70 |
|
4 |
KK4 |
70 < K <= 85 |
|
5 |
KK5 |
K >85 |
Bảng số 196
|
STT |
Danh mục công việc |
KS3 |
KS4 |
Nhóm |
|
1 |
Phân loại, đối chiếu danh mục sự cố. |
1 |
|
1 |
|
2 |
Phân tích các nguyên nhân có thể gây ra sự cố |
1 |
1 |
2 |
|
3 |
Đề xuất giải pháp khắc phục sự cố |
1 |
|
1 |
Bảng số 197
|
STT |
Danh mục công việc |
KK1 |
KK2 |
KK3 |
KK4 |
KK5 |
|
1 |
Phân loại, đối chiếu danh mục sự cố |
0,2 |
0,2 |
0,2 |
0,3 |
0,3 |
|
2 |
Phân tích các nguyên nhân có thể gây ra sự cố |
0,6 |
0,8 |
0,9 |
1,1 |
1,4 |
|
3 |
Đề xuất giải pháp khắc phục sự cố |
0,6 |
0,8 |
0,9 |
1,1 |
1,4 |
Bảng số 198
|
STT |
Thiết bị |
ĐVT |
Công suất (Kw) |
Phân loại, đối chiếu danh mục sự cố |
Phân tích các nguyên nhân có thể gây ra sự cố |
Đề xuất giải pháp khắc phục sự cố |
|
1 |
Máy tính để bàn |
Cái |
0,4 |
0,15 |
1,2 |
0,6 |
|
2 |
Máy in laser |
Cái |
0,6 |
0 |
0 |
0 |
|
3 |
Điều hoà nhiệt độ |
Cái |
2,2 |
0,025 |
0,101 |
0,101 |
|
4 |
Điện năng |
Kw |
|
1,0 |
5,9 |
3,9 |
Ghi chú: Mức thiết bị trên tính cho loại KK2, mức cho các loại khó khăn khác tính như sau:
KK1 = 0,8 x KK2
KK3 = 1,2 x KK2
KK4 = 1,5 x KK2
KK5 = 1,8 x KK2Bảng số 199
|
STT |
Dụng cụ |
ĐVT |
Thời hạn (tháng) |
Phân loại, đối chiếu danh mục sự cố |
Phân tích các nguyên nhân có thể gây ra sự cố |
Đề xuất giải pháp khắc phục sự cố |
|
1 |
Ghế |
Cái |
96 |
0,15 |
0,6 |
0,6 |
|
2 |
Bàn làm việc |
Cái |
96 |
0,15 |
0,6 |
0,6 |
|
3 |
Quạt trần |
Cái |
96 |
0,026 |
0,105 |
0,015 |
|
4 |
Đèn neon |
Bộ |
24 |
0,075 |
0,3 |
0,3 |
|
5 |
Điện năng |
kW |
|
0,047 |
0,189 |
0,189 |
Ghi chú: Mức dụng cụ trên tính cho loại KK2, mức cho các loại khó khăn khác tính như sau:
KK1 = 0,8 x KK2
KK3 = 1,2 x KK2
KK4 = 1,5 x KK2
KK5 = 1,8 x KK2
Bảng số 200
|
STT |
Vật liệu |
ĐVT |
Phân loại, đối chiếu danh mục sự cố |
Phân tích các nguyên nhân có thể gây ra sự cố |
Đề xuất giải pháp khắc phục sự cố |
|
1 |
Giấy in A4 |
Gram |
|
|
0,006 |
|
2 |
Mực in laser |
Hộp |
|
|
0,002 |
4. Khắc phục sự cố
4.1. Định mức lao động
- Nghiên cứu giải pháp được đề xuất.
- Thực hiện giải pháp khắc phục.
- Kiểm tra hệ thống sau khi thực hiện giải pháp khắc phục.
- Cập nhật danh mục sự cố.
- Các yếu tố ảnh hưởng
Nhóm phần mềm dịch vụ:
+ Mô hình triển khai.
+ Số lượng người dùng.
+ Loại phần mềm.
Nhóm phần mềm hạ tầng:
+ Mô hình triển khai.
+ Số lượng thiết bị.
+ Loại phần mềm.
Nhóm phần mềm an ninh bảo mật:
+ Băng thông.
+ Hoạt động layer.
+ Mô hình triển khai.
+ Loại phần mềm.
- Tính điểm theo các yếu tố ảnh hưởng:
Tính điểm theo các yếu tố ảnh hưởng đối với nhóm phần mềm dịch vụ.
Bảng số 201
|
STT |
Các yếu tố ảnh hưởng |
Điểm |
|
1 |
Mô hình triển khai: tối đa 20 điểm |
|
|
|
m = 1 Không có dự phòng |
0 |
|
|
m = 2 Có dự phòng tại 1 site |
10 |
|
|
m = 3 Có dự phòng nhiều hơn 1 site |
20 |
|
2 |
Số lượng người dùng: tối đa 65 điểm |
|
|
|
m < 100 |
25 |
|
|
100 <= m <=200 |
35 |
|
|
200< m <300 |
45 |
|
|
300<= m <= 500 |
55 |
|
|
m>500 |
65 |
|
3 |
Loại phần mềm: tối đa 15 điểm |
|
|
|
m = 1 phần mềm mã nguồn đóng |
0 |
|
|
m = 2 Phần mềm mã nguồn mở |
15 |
|
STT |
Các yếu tố ảnh hưởng |
Điểm |
|
1 |
Mô hình triển khai: tối đa 20 điểm |
|
|
|
m = 1 Không có dự phòng |
0 |
|
|
m = 2 Có dự phòng tại 1 site |
10 |
|
|
m = 3 Có dự phòng nhiều hơn 1 site |
20 |
|
2 |
Số lượng thiết bị: tối đa 65 điểm |
|
|
|
m < 50 |
25 |
|
|
50 <= m <=100 |
35 |
|
|
100< m <150 |
45 |
|
|
150< = m < = 200 |
55 |
|
|
m>200 |
65 |
|
3 |
Loại phần mềm: tối đa 15 điểm |
|
|
|
m = 1 phần mềm mã nguồn đóng |
0 |
|
|
m = 2 Phần mềm mã nguồn mở |
15 |
Tính điểm theo các yếu tố ảnh hưởng đối với nhóm phần mềm an ninh bảo mật
Bảng số 203|
STT |
Các yếu tố ảnh hưởng |
Điểm |
|
1 |
Mô hình triển khai: tối đa 20 điểm |
|
|
|
m = 1 Không có dự phòng |
0 |
|
|
m = 2 Có dự phòng tại 1 site |
10 |
|
|
m = 3 Có dự phòng nhiều hơn 1 site |
20 |
|
2 |
Băng thông: tối đa 25 điểm |
|
|
|
m < 2Gbps |
10 |
|
|
2Gbps <= m <=5Gbps |
15 |
|
|
5 Gbps< m < 20 Gbps |
20 |
|
|
m > 20 Gbps |
25 |
|
3 |
Hoạt động trên Layer: tối đa 40 điểm |
|
|
|
m = 1 (Layer 3,4) |
20 |
|
|
m = 2 Layer 7 |
30 |
|
|
m = 3 (layer 7 và có thêm các tính năng IPS, Antivirus...) |
40 |
|
4 |
Loại phần mềm: tối đa 15 điểm |
|
|
|
m = 1 phần mềm mã nguồn đóng |
0 |
|
|
m = 2 Phần mềm mã nguồn mở |
15 |
- Phân loại khó khăn
Căn cứ điểm của từng yếu tố ảnh hưởng, việc phân loại khó khăn được áp dụng cho cả 03 nhóm phần mềm được xác định theo bảng sau:
Bảng số 204
|
STT |
Mức độ khó khăn |
Khoảng điểm |
|
1 |
KK1 |
K <= 40 |
|
2 |
KK2 |
40 < K <= 55 |
|
3 |
KK3 |
55 < K <= 70 |
|
4 |
KK4 |
70 < K <= 85 |
|
5 |
KK5 |
K >85 |
Bảng số 205
|
STT |
Danh mục công việc |
KS3 |
KS4 |
Nhóm |
|
1 |
Nghiên cứu giải pháp được đề xuất |
1 |
1 |
2 |
|
2 |
Thực hiện giải pháp khắc phục |
1 |
|
2 |
|
3 |
Kiểm tra hệ thống sau khi thực hiện giải pháp khắc phục |
1 |
1 |
2 |
|
4 |
Cập nhật danh mục sự cố |
1 |
|
1 |
Bảng số 206
|
STT |
Danh mục công việc |
KK1 |
KK2 |
KK3 |
KK4 |
KK5 |
|
1 |
Nghiên cứu giải pháp được đề xuất |
0,3 |
0,4 |
0,5 |
0,6 |
0,7 |
|
2 |
Thực hiện giải pháp khắc phục |
0,3 |
0,4 |
0,5 |
0,6 |
0,7 |
|
3 |
Kiểm tra hệ thống sau khi thực hiện giải pháp khắc phục |
0,3 |
0,4 |
0,5 |
0,6 |
0,7 |
|
4 |
Cập nhật danh mục sự cố |
0,2 |
0,2 |
0,2 |
0,3 |
0,3 |
Bảng số 207
|
STT |
Thiết bị |
ĐVT |
Công suất (Kw) |
Nghiên cứu giải pháp được đề xuất |
Thực hiện giải pháp khắc phục |
Kiểm tra hệ thống sau khi thực hiện giải pháp khắc phục |
Cập nhật danh mục sự cố |
|
1 |
Máy tính để bàn |
Cái |
0,4 |
0,3 |
0,6 |
0,3 |
0,15 |
|
2 |
Máy in laser |
Cái |
0,6 |
0 |
0 |
0 |
0,013 |
|
3 |
Điều hoà nhiệt độ |
Cái |
2,2 |
0,05 |
0,05 |
0,05 |
0,025 |
|
4 |
Điện năng |
Kw |
|
1,9 |
2,9 |
1,9 |
1,1 |
Ghi chú: Mức thiết bị trên tính cho loại KK2, mức cho các loại khó khăn khác tính như sau:
KK1 = 0,8 x KK2
KK3 = 1,2 x KK2
KK4 = 1,5 x KK2
KK5 = 1,8 x KK2Bảng số 208
|
STT |
Dụng cụ |
ĐVT |
Thời hạn (tháng) |
Nghiên cứu giải pháp được đề xuất |
Thực hiện giải pháp khắc phục |
Kiểm tra hệ thống sau khi thực hiện giải pháp khắc phục |
Cập nhật danh mục sự cố |
|
1 |
Ghế |
Cái |
96 |
0,3 |
0,3 |
0,3 |
0,15 |
|
2 |
Bàn làm việc |
Cái |
96 |
0,3 |
0,3 |
0,3 |
0,15 |
|
3 |
Quạt trần |
Cái |
96 |
0,053 |
0,053 |
0,053 |
0,026 |
|
4 |
Đèn neon |
Bộ |
24 |
0,15 |
0,15 |
0,15 |
0,075 |
|
5 |
Điện năng |
kW |
|
0,095 |
0,095 |
0,095 |
0,047 |
Ghi chú: Mức dụng cụ trên tính cho loại KK2, mức cho các loại khó khăn khác tính như sau:
KK1 = 0,8 x KK2
KK3 = 1,2 x KK2
KK4 = 1,5 x KK2
KK5 = 1,8 x KK2
Bảng số 209
|
STT |
Vật liệu |
ĐVT |
Nghiên cứu giải pháp được đề xuất |
Thực hiện giải pháp khắc phục |
Kiểm tra hệ thống sau khi thực hiện giải pháp khắc phục |
Cập nhật danh mục sự cố |
|
1 |
Giấy in A4 |
Gram |
0 |
0 |
0 |
0,006 |
|
2 |
Mực in laser |
Hộp |
0 |
0 |
0 |
0,002 |
5. Báo cáo thống kê, nhật ký
5.1. Định mức lao động
Tổng hợp, xây dựng báo cáo trong quá trình duy trì vận hành phần mềm hệ thống.
Bước này không phân loại khó khăn.
Bảng số 210
|
STT |
Danh mục công việc |
KS2 |
Nhóm |
|
1 |
Tổng hợp, xây dựng báo cáo trong quá trình duy trì vận hành hệ thống |
1 |
1 |
Bảng số 211
|
STT |
Danh mục công việc |
Định mức |
|
1 |
Tổng hợp, xây dựng báo cáo trong quá trình duy trì vận hành hệ thống |
12,0 |
Bảng số 212
|
STT |
Thiết bị |
ĐVT |
Công suất (Kw) |
Tổng hợp, xây dựng báo cáo trong quá trình duy trì vận hành hệ thống |
|
1 |
Máy tính để bàn |
Cái |
0,4 |
9,6 |
|
2 |
Máy in laser |
Cái |
0,6 |
0,84 |
|
3 |
Điều hoà nhiệt độ |
Cái |
2,2 |
1,608 |
|
4 |
Điện năng |
Kw |
|
67,6 |
Ghi chú: Mức thiết bị trên tính cho loại KK2, mức cho các loại khó khăn khác tính như sau:
KK1 = 0,8 x KK2
KK3 = 1,2 x KK2
KK4 = 1,5 x KK2
KK5 = 1,8 x KK2
Bảng số 213
|
STT |
Dụng cụ |
ĐVT |
Thời hạn (tháng) |
Tổng hợp, xây dựng báo cáo trong quá trình duy trì vận hành hệ thống |
|
1 |
Ghế |
Cái |
96 |
9,6 |
|
2 |
Bàn làm việc |
Cái |
96 |
9,6 |
|
3 |
Quạt trần |
Cái |
96 |
1,68 |
|
4 |
Đèn neon |
Bộ |
24 |
4,8 |
|
5 |
Điện năng |
kW |
|
3,024 |
Ghi chú: Mức dụng cụ trên tính cho loại KK2, mức cho các loại khó khăn khác tính như sau:
KK1 = 0,8 x KK2
KK3 = 1,2 x KK2
KK4 = 1,5 x KK2
KK5 = 1,8 x KK2
Bảng số 214
|
STT |
Vật liệu |
ĐVT |
Tổng hợp, xây dựng báo cáo trong quá trình duy trì vận hành hệ thống |
|
1 |
Giấy in A4 |
Gram |
0,024 |
|
2 |
Mực in laser |
Hộp |
0,006 |
6. Cập nhật
6.1. Định mức lao động
- Lập kế hoạch, thông báo cho các bộ phân liên quan.
- Thực hiện sao lưu các dữ liệu cần thiết.
- Tiến hành cập nhật dịch vụ.
- Kiểm tra vận hành sau cập nhật.
- Các yếu tố ảnh hưởng
Nhóm phần mềm dịch vụ:
+ Mô hình triển khai.
+ Số lượng người dùng.
+ Loại phần mềm.
Nhóm phần mềm hạ tầng:
+ Mô hình triển khai.
+ Số lượng thiết bị.
+ Loại phần mềm.
Nhóm phần mềm an ninh bảo mật:
+ Băng thông.
+ Hoạt động layer.
+ Mô hình triển khai.
+ Loại phần mềm.
- Tính điểm theo các yếu tố ảnh hưởng:
Tính điểm theo các yếu tố ảnh hưởng đối với nhóm phần mềm dịch vụ.
Bảng số 215
|
STT |
Các yếu tố ảnh hưởng |
Điểm |
|
1 |
Mô hình triển khai: tối đa 20 điểm |
|
|
|
m = 1 Không có dự phòng |
0 |
|
|
m = 2 Có dự phòng tại 1 site |
10 |
|
|
m = 3 Có dự phòng nhiều hơn 1 site |
20 |
|
2 |
Số lượng người dùng: tối đa 65 điểm |
|
|
|
m < 100 |
25 |
|
|
100 <= m <=200 |
35 |
|
|
200< m <300 |
45 |
|
|
300< = m < = 500 |
55 |
|
|
m>500 |
65 |
|
3 |
Loại phần mềm: tối đa 15 điểm |
|
|
|
m = 1 phần mềm mã nguồn đóng |
0 |
|
|
m = 2 Phần mềm mã nguồn mở |
15 |
Tính điểm theo cac yếu tố ảnh hưởng đối với nhom phần mềm hạ tầng
Bảng số 216
|
STT |
Các yếu tố ảnh hưởng |
Điểm |
|
1 |
Mô hình triển khai: tối đa 20 điểm |
|
|
|
m = 1 Không có dự phòng |
0 |
|
|
m = 2 Có dự phòng tại 1 site |
10 |
|
|
m = 3 Có dự phòng nhiều hơn 1 site |
20 |
|
2 |
Số lượng thiết bị: tối đa 65 điểm |
|
|
|
m < 50 |
25 |
|
|
50 <= m <=100 |
35 |
|
|
100< m <150 |
45 |
|
|
150< = m < = 200 |
55 |
|
|
m>200 |
65 |
|
3 |
Loại phần mềm: tối đa 15 điểm |
|
|
|
m = 1 phần mềm mã nguồn đóng |
0 |
|
|
m = 2 Phần mềm mã nguồn mở |
15 |
Tính điểm theo các yếu tố ảnh hưởng đối với nhóm phần mềm an ninh bảo mật
Bảng số 217|
STT |
Các yếu tố ảnh hưởng |
Điểm |
|
1 |
Mô hình triển khai: tối đa 20 điểm |
|
|
|
m = 1 Không có dự phòng |
0 |
|
|
m = 2 Có dự phòng tại 1 site |
10 |
|
|
m = 3 Có dự phòng nhiều hơn 1 site |
20 |
|
2 |
Băng thông: tối đa 25 điểm |
|
|
|
m < 2Gbps |
10 |
|
|
2Gbps <= m <=5Gbps |
15 |
|
|
5 Gbps< m < 20 Gbps |
20 |
|
|
m > 20 Gbps |
25 |
|
3 |
Hoạt động trên Layer: tối đa 40 điểm |
|
|
|
m = 1 (Layer 3,4) |
20 |
|
|
m = 2 Layer 7 |
30 |
|
|
m = 3 (layer 7 và có thêm các tính năng IPS, Antivirus...) |
40 |
|
4 |
Loại phần mềm: tối đa 15 điểm |
|
|
|
m = 1 phần mềm mã nguồn đóng |
0 |
|
|
m = 2 Phần mềm mã nguồn mở |
15 |
- Phân loại khó khăn
Căn cứ điểm của từng yếu tố ảnh hưởng, việc phân loại khó khăn được áp dụng cho cả 03 nhóm phần mềm được xác định theo bảng sau:
|
STT |
Mức độ khó khăn |
Khoảng điểm |
|
1 |
KK1 |
K <= 40 |
|
2 |
KK2 |
40 < K <= 55 |
|
3 |
KK3 |
55 < K <= 70 |
|
4 |
KK4 |
70 < K <= 85 |
|
5 |
KK5 |
K >85 |
Bảng số 219
|
STT |
Danh mục công việc |
KS2 |
Nhóm |
|
1 |
Lập kế hoạch, thông báo cho các bộ phân liên quan. |
1 |
1 |
|
2 |
Thực hiện sao lưu các dữ liệu cần thiết |
1 |
1 |
|
3 |
Tiến hành cập nhật dịch vụ |
1 |
1 |
|
4 |
Kiểm tra vận hành sau cập nhật |
1 |
1 |
Bảng số 220
|
STT |
Danh mục công việc |
KK1 |
KK2 |
KK3 |
KK4 |
KK5 |
|
1 |
Lập kế hoạch, thông báo cho các bộ phân liên quan. |
0,2 |
0,3 |
0,3 |
0,4 |
0,5 |
|
2 |
Thực hiện sao lưu các dữ liệu cần thiết |
0,2 |
0,3 |
0,3 |
0,4 |
0,5 |
|
3 |
Tiến hành cập nhật dịch vụ |
0,4 |
0,5 |
0,6 |
0,8 |
0,9 |
|
4 |
Kiểm tra vận hành sau cập nhật |
0,4 |
0,5 |
0,6 |
0,8 |
0,9 |
Bảng số 221
|
STT |
Thiết bị |
ĐVT |
Công suất (Kw) |
Lập kế hoạch, thông báo cho các bộ phân liên quan |
Thực hiện sao lưu các dữ liệu cần thiết |
Tiến hành cập nhật dịch vụ |
Kiểm tra vận hành sau cập nhật |
|
1 |
Máy tính để bàn |
Cái |
0,4 |
0,2 |
0,2 |
0,4 |
0,4 |
|
2 |
Máy in laser |
Cái |
0,6 |
0 |
0 |
0 |
0 |
|
3 |
Điều hoà nhiệt độ |
Cái |
2,2 |
0,034 |
0,034 |
0,067 |
0,067 |
|
4 |
Điện năng |
Kw |
|
1,3 |
1,3 |
2,6 |
2,6 |
Ghi chú: Mức thiết bị trên tính cho loại KK2, mức cho các loại khó khăn khác tính như sau:
KK1 = 0,8 x KK2
KK3 = 1,2 x KK2
KK4 = 1,5 x KK2
KK5 = 1,8 x KK2Bảng số 222
|
STT |
Dụng cụ |
ĐVT |
Thời hạn (tháng) |
Lập kế hoạch, thông báo cho các bộ phân liên quan |
Thực hiện sao lưu các dữ liệu cần thiết |
Tiến hành cập nhật dịch vụ |
Kiểm tra vận hành sau cập nhật |
|
1 |
Ghế |
Cái |
96 |
0,2 |
0,2 |
0,4 |
0,4 |
|
2 |
Bàn làm việc |
Cái |
96 |
0,2 |
0,2 |
0,4 |
0,4 |
|
3 |
Quạt trần |
Cái |
96 |
0,035 |
0,035 |
0,07 |
0,07 |
|
4 |
Đèn neon |
Bộ |
24 |
0,1 |
0,1 |
0,2 |
0,2 |
|
5 |
Điện năng |
kW |
|
0,063 |
0,063 |
0,126 |
0,126 |
Ghi chú: Mức dụng cụ trên tính cho loại KK2, mức cho các loại khó khăn khác tính như sau:
KK1 = 0,8 x KK2
KK3 = 1,2 x KK2
KK4 = 1,5 x KK2
KK5 = 1,8 x KK2Bảng số 223
|
STT |
Vật liệu |
ĐVT |
Lập kế hoạch, thông báo cho các bộ phân liên quan |
Thực hiện sao lưu các dữ liệu cần thiết |
Tiến hành cập nhật dịch vụ |
Kiểm tra vận hành sau cập nhật |
|
1 |
Giấy in A4 |
Gram |
|
|
|
0,004 |
|
2 |
Mực in laser |
Hộp |
|
|
|
0,001 |
7. Sao lưu
7.1. Định mức lao động
- Lập kế hoạch phương án sao lưu.
- Kiểm tra, xác định các nội dung cần sao lưu.
- Thực hiện sao lưu.
- Kiểm tra tính toàn vẹn, đầy đủ của các bản sao lưu.
- Các yếu tố ảnh hưởng
Nhóm phần mềm dịch vụ:
+ Mô hình triển khai.
+ Số lượng người dùng.
Nhóm phần mềm hạ tầng:
+ Mô hình triển khai.
+ Số lượng thiết bị.
Nhóm phần mềm an ninh bảo mật:
+ Băng thông.
+ Hoạt động layer.
+ Mô hình triển khai.
- Tính điểm theo các yếu tố ảnh hưởng:
Tính điểm theo các yếu tố ảnh hưởng đối với nhóm phần mềm dịch vụ.
Bảng số 224
|
STT |
Các yếu tố ảnh hưởng |
Điểm |
|
1 |
Mô hình triển khai: tối đa 20 điểm |
|
|
|
m = 1 Không có dự phòng |
0 |
|
|
m = 2 Có dự phòng tại 1 site |
10 |
|
|
m = 3 Có dự phòng nhiều hơn 1 site |
20 |
|
2 |
Số lượng người dùng: tối đa 80 điểm |
|
|
|
m < 100 |
25 |
|
|
100 <= m <=200 |
35 |
|
|
200< m <300 |
45 |
|
|
300< = m < = 500 |
55 |
|
|
m>500 |
80 |
Tính điểm theo các yếu tố ảnh hưởng đối với nhóm phần mềm hạ tầng
Bảng số 225|
STT |
Các yếu tố ảnh hưởng |
Điểm |
|
1 |
Mô hình triển khai: tối đa 20 điểm |
|
|
|
m = 1 Không có dự phòng |
0 |
|
|
m = 2 Có dự phòng tại 1 site |
10 |
|
|
m = 3 Có dự phòng nhiều hơn 1 site |
20 |
|
2 |
Số lượng thiết bị: tối đa 80 điểm |
|
|
|
m < 50 |
25 |
|
|
50 <= m <=100 |
35 |
|
|
100< m <150 |
45 |
|
|
150< = m < = 200 |
55 |
|
|
m>200 |
80 |
Tính điểm theo các yếu tố ảnh hưởng đối với nhóm phần mềm an ninh bảo mật
Bảng số 226
|
STT |
Các yếu tố ảnh hưởng |
Điểm |
|
1 |
Mô hình triển khai: tối đa 20 điểm |
|
|
|
m = 1 Không có dự phòng |
0 |
|
|
m = 2 Có dự phòng tại 1 site |
10 |
|
|
m = 3 Có dự phòng nhiều hơn 1 site |
20 |
|
2 |
Băng thông: tối đa 40 điểm |
|
|
|
m < 2Gbps |
10 |
|
|
2Gbps <= m <=5Gbps |
20 |
|
|
5 Gbps< m < 20 Gbps |
30 |
|
|
m > 20 Gbps |
40 |
|
3 |
Hoạt động trên Layer: tối đa 40 điểm |
|
|
|
m = 1 (Layer 3,4) |
20 |
|
|
m = 2 Layer 7 |
30 |
|
|
m = 3 (layer 7 và có thêm các tính năng IPS, Antivirus...) |
40 |
- Phân loại khó khăn
Căn cứ điểm của từng yếu tố ảnh hưởng, việc phân loại khó khăn được áp dụng cho cả 03 nhóm phần mềm được xác định theo bảng sau:
Bảng số 227|
STT |
Mức độ khó khăn |
Khoảng điểm |
|
1 |
KK1 |
K <= 40 |
|
2 |
KK2 |
40 < K <= 55 |
|
3 |
KK3 |
55 < K <= 70 |
|
4 |
KK4 |
70 < K <= 85 |
|
5 |
KK5 |
K >85 |
Bảng số 228
|
STT |
Danh mục công việc |
KS2 |
Nhóm |
|
1 |
Lập kế hoạch phương án sao lưu. |
1 |
1 |
|
2 |
Kiểm tra, xác định các nội dung cần sao lưu |
1 |
1 |
|
3 |
Thực hiện sao lưu |
1 |
1 |
|
4 |
Kiểm tra tính toàn vẹn, đầy đủ của các bản sao lưu |
1 |
1 |
Bảng số 229
|
STT |
Danh mục công việc |
KK1 |
KK2 |
KK3 |
KK4 |
KK5 |
|
1 |
Lập kế hoạch phương án sao lưu |
0,6 |
0,8 |
0,9 |
1,1 |
1,4 |
|
2 |
Kiểm tra, xác định các nội dung cần sao lưu |
1,2 |
1,5 |
1,8 |
2,3 |
2,7 |
|
3 |
Thực hiện sao lưu |
1,2 |
1,5 |
1,8 |
2,3 |
2,7 |
|
4 |
Kiểm tra tính toàn vẹn, đầy đủ của các bản sao lưu |
1,2 |
1,5 |
1,8 |
2,3 |
2,7 |
Bảng số 230
|
STT |
Thiết bị |
ĐVT |
Công suất (Kw) |
Lập kế hoạch phương án sao lưu |
Kiểm tra, xác định các nội dung cần sao lưu |
Thực hiện sao lưu |
Kiểm tra tính toàn vẹn, đầy đủ của các bản sao lưu |
|
1 |
Máy tính để bàn |
Cái |
0,4 |
0,6 |
1,2 |
1,2 |
1,2 |
|
2 |
Máy in laser |
Cái |
0,6 |
0 |
0 |
0 |
0 |
|
3 |
Điều hoà nhiệt độ |
Cái |
2,2 |
0,101 |
0,201 |
0,201 |
0,201 |
|
4 |
Điện năng |
Kw |
|
3,9 |
7,7 |
7,7 |
7,7 |
Ghi chú: Mức thiết bị trên tính cho loại KK2, mức cho các loại khó khăn khác tính như sau:
KK1 = 0,8 x KK2
KK3 = 1,2 x KK2
KK4 = 1,5 x KK2
KK5 = 1,8 x KK2
Bảng số 231
|
STT |
Dụng cụ |
ĐVT |
Thời hạn (tháng) |
Lập kế hoạch phương án sao lưu |
Kiểm tra, xác định các nội dung cần sao lưu |
Thực hiện sao lưu |
Kiểm tra tính toàn vẹn, đầy đủ của các bản sao lưu |
|
1 |
Ghế |
Cái |
96 |
0,6 |
1,2 |
1,2 |
1,2 |
|
2 |
Bàn làm việc |
Cái |
96 |
0,6 |
1,2 |
1,2 |
1,2 |
|
3 |
Quạt trần |
Cái |
96 |
0,105 |
0,210 |
0,210 |
0,210 |
|
4 |
Đèn neon |
Bộ |
24 |
0,3 |
0,6 |
0,6 |
0,6 |
|
5 |
Điện năng |
kW |
|
0,189 |
0,378 |
0,378 |
0,378 |
Ghi chú: Mức dụng cụ trên tính cho loại KK2, mức cho các loại khó khăn khác tính như sau:
KK1 = 0,8 x KK2
KK3 = 1,2 x KK2
KK4 = 1,5 x KK2
KK5 = 1,8 x KK2Bảng số 232
|
STT |
Vật liệu |
ĐVT |
Lập kế hoạch phương án sao lưu |
Kiểm tra, xác định các nội dung cần sao lưu |
Thực hiện sao lưu |
Kiểm tra tính toàn vẹn, đầy đủ của các bản sao lưu |
|
1 |
Giấy in A4 |
Gram |
0 |
0 |
0 |
0,024 |
|
2 |
Mực in laser |
Hộp |
0 |
0 |
0 |
0,006 |
8. Phục hồi
8.1. Định mức lao động
- Lập kế hoạch phương án phục hồi khôi phục dữ liệu.
- Kiểm tra hệ thống.
- Thực hiện phục hồi.
- Kiểm tra hoạt động của dịch vụ sau khi thực hiện phục hồi.
- Các yếu tố ảnh hưởng
Nhóm phần mềm dịch vụ:
+ Mô hình triển khai.
+ Số lượng người dùng.
Nhóm phần mềm hạ tầng:
+ Mô hình triển khai.
+ Số lượng thiết bị.
Nhóm phần mềm an ninh bảo mật:
+ Băng thông.
+ Hoạt động layer.
+ Mô hình triển khai.
- Tính điểm theo các yếu tố ảnh hưởng:
Tính điểm theo các yếu tố ảnh hưởng đối với nhóm phần mềm dịch vụ
Bảng số 233
|
STT |
Các yếu tố ảnh hưởng |
Điểm |
|
1 |
Mô hình triển khai: tối đa 20 điểm |
|
|
|
m = 1 Không có dự phòng |
0 |
|
|
m = 2 Có dự phòng tại 1 site |
10 |
|
|
m = 3 Có dự phòng nhiều hơn 1 site |
20 |
|
2 |
Số lượng người dùng: tối đa 80 điểm |
|
|
|
m < 100 |
25 |
|
|
100 < = m <=200 |
35 |
|
|
200< m <300 |
45 |
|
|
300< = m < = 500 |
55 |
|
|
m>500 |
80 |
Tính điểm theo các yếu tố ảnh hưởng đối với nhóm phần mềm hạ tầng
Bảng số 234|
STT |
Các yếu tố ảnh hưởng |
Điểm |
|
1 |
Mô hình triển khai: tối đa 20 điểm |
|
|
|
m = 1 Không có dự phòng |
0 |
|
|
m = 2 Có dự phòng tại 1 site |
10 |
|
|
m = 3 Có dự phòng nhiều hơn 1 site |
20 |
|
2 |
Số lượng thiết bị: tối đa 80 điểm |
|
|
|
m < 50 |
25 |
|
|
50 < = m <=100 |
35 |
|
|
100< m <150 |
45 |
|
|
150< = m < = 200 |
55 |
|
|
m>200 |
80 |
Tính điểm theo các yếu tố ảnh hưởng đối với nhóm phần mềm an ninh bảo mật
Bảng số 235|
STT |
Các yếu tố ảnh hưởng |
Điểm |
|
1 |
Mô hình triển khai: tối đa 30 điểm |
|
|
|
m = 1 Không có dự phòng |
0 |
|
|
m = 2 Có dự phòng tại 1 site |
10 |
|
|
m = 3 Có dự phòng nhiều hơn 1 site |
20 |
|
2 |
Băng thông: tối đa 40 điểm |
|
|
|
m < 2Gbps |
10 |
|
|
2 Gbps < = m <=5Gbps |
20 |
|
|
5 Gbps< m < 20 Gbps |
30 |
|
|
m > 20 Gbps |
40 |
|
3 |
Hoạt động trên Layer: tối đa 40 điểm |
|
|
|
m = 1 (Layer 3,4) |
20 |
|
|
m = 2 Layer 7 |
30 |
|
|
m = 3 (layer 7 và có thêm các tính năng IPS, Antivirus...) |
40 |
- Phân loại khó khăn
Căn cứ điểm của từng yếu tố ảnh hưởng, việc phân loại khó khăn được áp dụng cho cả 03 nhóm phần mềm được xác định theo bảng sau:
Bảng số 236|
STT |
Mức độ khó khăn |
Khoảng điểm |
|
1 |
KK1 |
K <= 40 |
|
2 |
KK2 |
40 < K <= 55 |
|
3 |
KK3 |
55 < K <= 70 |
|
4 |
KK4 |
70 < K <= 85 |
|
5 |
KK5 |
K >85 |
Bảng số 237
|
STT |
Danh mục công việc |
KS2 |
Nhóm |
|
1 |
Lập kế hoạch phương án phục hồi khôi phục dữ liệu |
1 |
1 |
|
2 |
Kiểm tra hệ thống |
1 |
1 |
|
3 |
Thực hiện phục hồi |
1 |
1 |
|
4 |
Kiểm tra hoạt động của dịch vụ sau khi thực hiện phục hồi |
1 |
1 |
Bảng số 238
|
STT |
Danh mục công việc |
KK1 |
KK2 |
KK3 |
KK4 |
KK5 |
|
1 |
Lập kế hoạch phương án phục hồi khôi phục dữ liệu |
0,3 |
0,4 |
0,5 |
0,6 |
0,7 |
|
2 |
Kiểm tra hệ thống |
0,3 |
0,4 |
0,5 |
0,6 |
0,7 |
|
3 |
Thực hiện phục hồi |
0,6 |
0,8 |
0,9 |
1,1 |
1,4 |
|
4 |
Kiểm tra hoạt động của dịch vụ sau khi thực hiện phục hồi |
0,6 |
0,8 |
0,9 |
1,1 |
1,4 |
Bảng số 239
|
STT |
Thiết bị |
ĐVT |
Công suất (Kw) |
Lập kế hoạch phương án phục hồi khôi phục dữ liệu |
Kiểm tra hệ thống |
Thực hiện phục hồi |
Kiểm tra hoạt động của dịch vụ sau khi thực hiện phục hồi |
|
1 |
Máy tính để bàn |
Cái |
0,4 |
0,3 |
0,3 |
0,6 |
0,6 |
|
2 |
Máy in laser |
Cái |
0,6 |
0 |
0 |
0 |
0 |
|
3 |
Điều hoà nhiệt độ |
Cái |
2,2 |
0,05 |
0,05 |
0,101 |
0,101 |
|
4 |
Điện năng |
Kw |
|
1,9 |
1,9 |
3,9 |
3,9 |
Ghi chú: Mức thiết bị trên tính cho loại KK2, mức cho các loại khó khăn khác tính như sau:
KK1 = 0,8 x KK2
KK3 = 1,2 x KK2
KK4 = 1,5 x KK2
KK5 = 1,8 x KK2
Bảng số 240
|
STT |
Dụng cụ |
ĐVT |
Thời hạn (tháng) |
Lập kế hoạch phương án phục hồi khôi phục dữ liệu |
Kiểm tra hệ thống |
Thực hiện phục hồi |
Kiểm tra hoạt động của dịch vụ sau khi thực hiện phục hồi |
|
1 |
Ghế |
Cái |
96 |
0,3 |
0,3 |
0,6 |
0,6 |
|
2 |
Bàn làm việc |
Cái |
96 |
0,300 |
0,3 |
0,6 |
0,6 |
|
3 |
Quạt trần |
Cái |
96 |
0,053 |
0,053 |
0,105 |
0,105 |
|
4 |
Đèn neon |
Bộ |
24 |
0,150 |
0,150 |
0,3 |
0,3 |
|
5 |
Điện năng |
kW |
|
0,095 |
0,095 |
0,189 |
0,189 |
Ghi chú: Mức dụng cụ trên tính cho loại KK2, mức cho các loại khó khăn khác tính như sau:
KK1 = 0,8 x KK2
KK3 = 1,2 x KK2
KK4 = 1,5 x KK2
KK5 = 1,8 x KK2Bảng số 241
|
STT |
Vật liệu |
ĐVT |
Lập kế hoạch phương án phục hồi khôi phục dữ liệu |
Kiểm tra hệ thống |
Thực hiện phục hồi |
Kiểm tra hoạt động của dịch vụ sau khi thực hiện phục hồi |
|
1 |
Giấy in A4 |
Gram |
0 |
0 |
0 |
0,002 |
|
2 |
Mực in laser |
Hộp |
0 |
0 |
0 |
0,001 |
9. Quản lý thông tin cấu hình
9.1. Định mức lao động
- Lập kế hoạch thực hiện.
- Thực hiện cấu hình, thay đổi, cập nhật dữ liệu.
- Kiểm tra hoạt động phần mềm sau cấu hình, thay đổi.
- Các yếu tố ảnh hưởng
Nhóm phần mềm dịch vụ:
+ Mô hình triển khai.
+ Số lượng người dùng.
+ Loại phần mềm.
Nhóm phần mềm hạ tầng:
+ Mô hình triển khai.
+ Số lượng thiết bị.
+ Loại phần mềm.
Nhóm phần mềm an ninh bảo mật:
+ Băng thông.
+ Hoạt động layer.
+ Mô hình triển khai.
+Loại phần mềm.
- Tính điểm theo các yếu tố ảnh hưởng:
Tính điểm theo các yếu tố ảnh hưởng đối với nhóm phần mềm dịch vụ
Bảng số 242
|
STT |
Các yếu tố ảnh hưởng |
Điểm |
|
1 |
Mô hình triển khai: tối đa 20 điểm |
|
|
|
m = 1 Không có dự phòng |
0 |
|
|
m = 2 Có dự phòng tại 1 site |
10 |
|
|
m = 3 Có dự phòng nhiều hơn 1 site |
20 |
|
2 |
Số lượng người dùng: tối đa 65 điểm |
|
|
|
m < 100 |
25 |
|
|
100 <= m <=200 |
35 |
|
|
200< m <300 |
45 |
|
|
300< = m < = 500 |
55 |
|
|
m>500 |
65 |
|
3 |
Loại phần mềm: tối đa 15 điểm |
|
|
|
m = 1 phần mềm mã nguồn đóng |
0 |
|
|
m = 2 Phần mềm mã nguồn mở |
15 |
Tính điểm theo các yếu tố ảnh hưởng đối với nhóm phần mềm hạ tầng
Bảng số 243
|
STT |
Các yếu tố ảnh hưởng |
Điểm |
|
1 |
Mô hình triển khai: tối đa 20 điểm |
|
|
|
m = 1 Không có dự phòng |
0 |
|
|
m = 2 Có dự phòng tại 1 site |
10 |
|
|
m = 3 Có dự phòng nhiều hơn 1 site |
20 |
|
2 |
Số lượng thiết bị: tối đa 65 điểm |
|
|
|
m < 50 |
25 |
|
|
50 <= m <=100 |
35 |
|
|
100< m <150 |
45 |
|
|
150< = m < = 200 |
55 |
|
|
m>200 |
65 |
|
3 |
Loại phần mềm: tối đa 15 điểm |
|
|
|
m = 1 phần mềm mã nguồn đóng |
0 |
|
|
m = 2 Phần mềm mã nguồn mở |
15 |
Tính điểm theo các yếu tố ảnh hưởng đối với nhóm phần mềm an ninh bảo mật
Bảng số 244
|
STT |
Các yếu tố ảnh hưởng |
Điểm |
|
1 |
Mô hình triển khai: tối đa 20 điểm |
|
|
|
m = 1 Không có dự phòng |
0 |
|
|
m = 2 Có dự phòng tại 1 site |
10 |
|
|
m = 3 Có dự phòng nhiều hơn 1 site |
20 |
|
2 |
Băng thông: tối đa 25 điểm |
|
|
|
m < 2Gbps |
10 |
|
|
2Gbps <= m <=5Gbps |
15 |
|
|
5 Gbps< m < 20 Gbps |
20 |
|
|
m > 20 Gbps |
25 |
|
3 |
Hoạt động trên Layer: tối đa 40 điểm |
|
|
|
m = 1 (Layer 3,4) |
20 |
|
|
m = 2 Layer 7 |
30 |
|
|
m = 3 (layer 7 và có thêm các tính năng IPS, Antivirus...) |
40 |
|
4 |
Loại phần mềm: tối đa 15 điểm |
|
|
|
m = 1 phần mềm mã nguồn đóng |
0 |
|
|
m = 2 Phần mềm mã nguồn mở |
15 |
- Phân loại khó khăn
Căn cứ điểm của từng yếu tố ảnh hưởng, việc phân loại khó khăn được áp dụng cho cả 03 nhóm phần mềm được xác định theo bảng sau:
Bảng số 245|
STT |
Mức độ khó khăn |
Khoảng điểm |
|
1 |
KK1 |
K <= 40 |
|
2 |
KK2 |
40 < K <= 55 |
|
3 |
KK3 |
55 < K <= 70 |
|
4 |
KK4 |
70 < K <= 85 |
|
5 |
KK5 |
K >85 |
Bảng số 246
|
STT |
Danh mục công việc |
KS2 |
KS3 |
Nhóm |
|
1 |
Lập kế hoạch thực hiện |
1 |
1 |
1 |
|
2 |
Thực hiện cấu hình, thay đổi, cập nhật dữ liệu |
1 |
1 |
1 |
|
3 |
Kiểm tra hoạt động phần mềm sau cấu hình, thay đổi |
1 |
1 |
1 |
Bảng số 247
|
STT |
Danh mục công việc |
KK1 |
KK2 |
KK3 |
KK4 |
KK5 |
|
1 |
Lập kế hoạch thực hiện |
0,4 |
0,5 |
0,6 |
0,8 |
0,9 |
|
2 |
Thực hiện cấu hình, thay đổi, cập nhật dữ liệu |
0,4 |
0,5 |
0,6 |
0,8 |
0,9 |
|
3 |
Kiểm tra hoạt động phần mềm sau cấu hình, thay đổi |
0,8 |
1,0 |
1,2 |
1,5 |
1,8 |
Bảng số 248
|
STT |
Thiết bị |
ĐVT |
Công suất (Kw) |
Lập kế hoạch thực hiện |
Thực hiện cấu hình, thay đổi, cập nhật dữ liệu |
Kiểm tra hoạt động phần mềm sau cấu hình, thay đổi |
|
1 |
Máy tính để bàn |
Cái |
0,4 |
0,4 |
0,4 |
0,8 |
|
2 |
Máy in laser |
Cái |
0,6 |
0 |
0 |
0 |
|
3 |
Điều hoà nhiệt độ |
Cái |
2,2 |
0,067 |
0,067 |
0,134 |
|
4 |
Điện năng |
Kw |
|
2,6 |
2,6 |
5,2 |
Ghi chú: Mức thiết bị trên tính cho loại KK2, mức cho các loại khó khăn khác tính như sau:
KK1 = 0,8 x KK2
KK3 = 1,2 x KK2
KK4 = 1,5 x KK2
KK5 = 1,8 x KK2Bảng số 249
|
STT |
Dụng cụ |
ĐVT |
Thời hạn (tháng) |
Lập kế hoạch thực hiện |
Thực hiện cấu hình, thay đổi, cập nhật dữ liệu |
Kiểm tra hoạt động phần mềm sau cấu hình, thay đổi |
|
1 |
Ghế |
Cái |
96 |
0,4 |
0,4 |
0,8 |
|
2 |
Bàn làm việc |
Cái |
96 |
0,4 |
0,4 |
0,8 |
|
3 |
Quạt trần |
Cái |
96 |
0,07 |
0,07 |
0,14 |
|
4 |
Đèn neon |
Bộ |
24 |
0,2 |
0,2 |
0,4 |
|
5 |
Điện năng |
kW |
|
0,126 |
0,126 |
0,252 |
Ghi chú: Mức dụng cụ trên tính cho loại KK2, mức cho các loại khó khăn khác tính như sau:
KK1 = 0,8 x KK2
KK3 = 1,2 x KK2
KK4 = 1,5 x KK2
KK5 = 1,8 x KK2
Bảng số 250
|
STT |
Vật liệu |
ĐVT |
Lập kế hoạch thực hiện |
Thực hiện cấu hình, thay đổi, cập nhật dữ liệu |
Kiểm tra hoạt động phần mềm sau cấu hình, thay đổi |
|
1 |
Giấy in A4 |
Gram |
0 |
0 |
0,004 |
|
2 |
Mực in laser |
Hộp |
0 |
0 |
0,001 |
Chương III
ĐỊNH MỨC KINH TẾ - KỸ THUẬT
KIỂM TRA, NGHIỆM THU SẢN PHẨM CÔNG NGHỆ THÔNG TIN
NGÀNH TÀI NGUYÊN VÀ MÔI TRƯỜNG
MỤC I
ĐỊNH MỨC KINH TẾ - KỸ THUẬT KIỂM TRA, NGHIỆM THU
PHẦN MỀM HỖ TRỢ VIỆC QUẢN LÝ, KHAI THÁC CƠ SỞ DỮ LIỆU
NGÀNH TÀI NGUYÊN MÔI TRƯỜNG
1. Tiếp nhận hồ sơ, sản phẩm
1.1. Định mức lao động
- Tiếp nhận hồ sơ, sản phẩm (công việc này không tính định mức).
- Kiểm tra khối lượng sản phẩm theo thiết kế kỹ thuật đã được phê duyệt.
- Lập biên bản bàn giao sản phẩm (công việc này không tính định mức).
- Kiểm tra hồ sơ kiểm tra, nghiệm thu cấp đơn vị thi công.
Không phân loại khó khăn tại bước này.
Bảng số 251
|
STT |
Danh mục công việc |
KS1 |
|
1 |
Kiểm tra hồ sơ nghiệm thu cấp đơn vị thi công |
1 |
|
2 |
Kiểm tra số lượng sản phẩm theo thiết kế kỹ thuật đã được phê duyệt |
1 |
Bảng số 252
|
STT |
Danh mục công việc |
Định mức |
|
1 |
Kiểm tra hồ sơ nghiệm thu cấp đơn vị thi công |
0,10 |
|
2 |
Kiểm tra số lượng sản phẩm theo thiết kế kỹ thuật đã được phê duyệt |
0,15 |
Bảng số 253
|
STT |
Thiết bị |
ĐVT |
Công suất (kW) |
Kiểm tra hồ sơ nghiệm thu cấp đơn vị thi công |
Kiểm tra số lượng sản phẩm theo thiết kế kỹ thuật đã được phê duyệt |
|
1 |
Máy tính để bàn |
Bộ |
0,4 |
0,060 |
0,090 |
|
2 |
Điều hoà nhiệt độ |
Cái |
2,2 |
0,013 |
0,020 |
|
3 |
Điện năng |
kW |
|
0,449 |
0,674 |
Bảng số 254
|
STT |
Dụng cụ |
ĐVT |
Thời hạn (tháng) |
Kiểm tra hồ sơ nghiệm thu cấp đơn vị thi công |
Kiểm tra số lượng sản phẩm theo thiết kế kỹ thuật đã được phê duyệt |
|
1 |
Ghế |
Cái |
96 |
0,080 |
0,120 |
|
2 |
Bàn làm việc |
Cái |
96 |
0,080 |
0,120 |
|
3 |
Quạt trần 0,1 kW |
Cái |
96 |
0,013 |
0,020 |
|
4 |
Đèn neon 0,04 kW |
Bộ |
24 |
0,020 |
0,030 |
|
5 |
Điện năng |
kW |
|
0,018 |
0,027 |
1.4. Định mức vật liệu
Bước này không sử dụng vật liệu.
2. Kiểm tra xác định yêu cầu phần mềm
2.1. Định mức lao động
- Kiểm tra các nội dung, sản phẩm của bước "Xác định yêu cầu" tại Quy trình trình phát triển phần mềm.
- Kiểm tra quy trình nghiệp vụ.
- Kiểm tra yêu cầu chức năng của người dùng.
- Các yếu tố ảnh hưởng
+ Số lượng THSD.
+ Số lượng tác nhân hệ thống.
- Tính điểm theo các yếu tố ảnh hưởng
Bảng số 255
|
STT |
Các yếu tố ảnh hưởng |
Điểm |
|
1 |
Số lượng THSD: tối đa 60 điểm |
|
|
|
m≤30 |
30 |
|
|
30< m< 50 |
45 |
|
|
m≥50 |
60 |
|
2 |
Số lượng tác nhân hệ thống: tối đa 40 điểm |
|
|
|
m≤3 |
20 |
|
|
3<m< 7 |
30 |
|
|
m ≥7 |
40 |
- Phân loại khó khăn
Căn cứ điểm của từng yếu tố ảnh hưởng, tính tổng số điểm của các yếu tố ảnh hưởng đến bước Kiểm tra xác định yêu cầu phần mềm. Tổng số điểm ký hiệu là K, việc phân loại khó khăn được xác định theo bảng sau:
Bảng số 256
|
STT |
Mức độ khó khăn |
Khoảng điểm |
|
1 |
KK1 |
K ≤50 |
|
2 |
KK2 |
50 < K ≤ 80 |
|
3 |
KK3 |
K > 80 |
Bảng số 257
|
STT |
Danh mục công việc |
KS2 |
|
1 |
Kiểm tra các nội dung, sản phẩm của bước "Xác định yêu cầu" tại Quy trình trình phát triển phần mềm |
1 |
|
2 |
Kiểm tra quy trình nghiệp vụ |
1 |
|
3 |
Kiểm tra yêu cầu chức năng của người dùng. |
1 |
Bảng số 258
|
STT |
Danh mục công việc |
KK1 |
KK2 |
KK3 |
|
1 |
Kiểm tra các nội dung, sản phẩm của bước "Xác định yêu cầu" tại Quy trình trình phát triển phần mềm |
0,040 |
0,050 |
0,065 |
|
2 |
Kiểm tra quy trình nghiệp vụ |
0,040 |
0,050 |
0,065 |
|
3 |
Kiểm tra yêu cầu chức năng của người dùng |
0,016 |
0,020 |
0,026 |
Bảng số 259
|
STT |
Thiết bị |
ĐVT |
Công suất (kW) |
Kiểm tra các nội dung, sản phẩm của bước "Xác định yêu cầu" tại Quy trình trình phát triển phần mềm |
Kiểm tra quy trình nghiệp vụ |
Kiểm tra yêu cầu chức năng của người dùng |
|
1 |
Máy tính để bàn |
Bộ |
0,4 |
0,030 |
0,030 |
0,012 |
|
2 |
Điều hoà nhiệt độ |
Cái |
2,2 |
0,007 |
0,007 |
0,003 |
|
3 |
Điện năng |
kW |
|
0,225 |
0,225 |
0,090 |
Bảng số 260
|
STT |
Dụng cụ |
ĐVT |
Thời hạn (tháng) |
Kiểm tra các nội dung, sản phẩm của bước "Xác định yêu cầu" tại Quy trình trình phát triển phần mềm |
Kiểm tra quy trình nghiệp vụ |
Kiểm tra yêu cầu chức năng của người dùng |
|
1 |
Ghế |
Cái |
96 |
0,040 |
0,040 |
0,016 |
|
2 |
Bàn làm việc |
Cái |
96 |
0,040 |
0,040 |
0,016 |
|
3 |
Quạt trần 0,1 kW |
Cái |
96 |
0,007 |
0,007 |
0,003 |
|
4 |
Đèn neon 0,04 kW |
Bộ |
24 |
0,010 |
0,010 |
0,004 |
|
5 |
Điện năng |
kW |
|
0,009 |
0,009 |
0,004 |
Ghi chú: Mức dụng cụ, thiết bị trên tính cho loại KK2, mức cho các loại khó khăn khác tính như sau:
KK1 = 0,8 x KK2.
KK3 = 1,3 x KK2.
2.4. Định mức vật liệu
Bước này không sử dụng vật liệu
3. Kiểm tra phân tích, thiết kế phần mềm
3.1. Định mức lao động
- Các yếu tố ảnh hưởng
+ Số lượng THSD.
+ Số lượng tác nhân hệ thống.
+ Mô hình quản lý CSDL.
+ Công nghệ GIS.
+ Mức độ bảo mật.
+ Tính đa người dùng.
- Tính điểm theo các yếu tố ảnh hưởng
Bảng số 261
|
STT |
Các yếu tố ảnh hưởng |
Điểm |
|
1 |
Số lượng THSD: tối đa 45 điểm |
|
|
|
m≤30 |
10 |
|
|
30< m< 50 |
30 |
|
|
m≥50 |
45 |
|
2 |
Số lượng tác nhân hệ thống: tối đa 20 điểm |
|
|
|
m≤3 |
5 |
|
|
3<m< 7 |
10 |
|
|
m ≥7 |
20 |
|
3 |
Mô hình quản lý CSDL: tối đa 10 điểm |
|
|
|
Tập trung |
5 |
|
|
Phân tán |
10 |
|
4 |
Công nghệ GIS: tối đa 15 điểm |
|
|
|
Không áp dụng |
0 |
|
|
Engine thương phẩm |
10 |
|
|
Engine mã nguồn mở |
15 |
|
5 |
Mức độ bảo mật: tối đa 5 điểm |
|
|
|
Không mật |
0 |
|
|
Mật |
3 |
|
|
Tối mật |
5 |
|
6 |
Tính đa người dùng: tối đa 5 điểm |
|
|
|
Không hỗ trợ đa người dùng |
0 |
|
|
Có hỗ trợ đa người dùng |
5 |
- Phân loại khó khăn
Căn cứ điểm của từng yếu tố ảnh hưởng, tính tổng số điểm của các yếu tố ảnh hưởng đến bước Kiểm tra phân tích, thiết kế phần mềm. Tổng số điểm ký hiệu là K, việc phân loại khó khăn được xác định theo bảng sau:
Bảng số 262
|
STT |
Mức độ khó khăn |
Khoảng điểm |
|
1 |
KK1 |
K ≤50 |
|
2 |
KK2 |
50 < K ≤ 80 |
|
3 |
KK3 |
K > 80 |
Bảng số 263
|
STT |
Danh mục công việc |
KS2 |
KS3 |
KS4 |
|
1 |
Kiểm tra quy trình nghiệp vụ được tin học hóa |
|
1 |
|
|
2 |
Kiểm tra danh sách chức năng hệ thống |
|
1 |
|
|
3 |
Kiểm tra danh sách đối tượng quản lý và thông tin chi tiết |
|
1 |
|
|
4 |
Kiểm tra kiến trúc phần mềm |
|
|
1 |
|
5 |
Kiểm tra thuyết minh biểu đồ trường hợp sử dụng |
|
1 |
|
|
6 |
Kiểm tra thuyết minh biểu đồ tuần tự |
|
1 |
|
|
7 |
Kiểm tra thuyết minh biểu đồ lớp |
|
1 |
|
|
8 |
Kiểm tra thiết kế mô hình dữ liệu |
|
1 |
|
|
9 |
Kiểm tra thiết kế giao diện phần mềm |
1 |
|
|
Bảng số 264
|
STT |
Danh mục công việc |
ĐVT |
KK1 |
KK2 |
KK3 |
|
1 |
Kiểm tra quy trình nghiệp vụ được tin học hóa |
THSD |
0,080 |
0,100 |
0,130 |
|
2 |
Kiểm tra danh sách chức năng hệ thống |
THSD |
0,040 |
0,050 |
0,065 |
|
3 |
Kiểm tra danh sách đối tượng quản lý và thông tin chi tiết |
ĐTQL |
0,040 |
0,050 |
0,065 |
|
4 |
Kiểm tra kiến trúc phần mềm |
THSD |
0,120 |
0,150 |
0,195 |
|
5 |
Kiểm tra thuyết minh biểu đồ trường hợp sử dụng |
THSD |
0,080 |
0,100 |
0,130 |
|
6 |
Kiểm tra thuyết minh biểu đồ tuần tự |
THSD |
0,080 |
0,100 |
0,130 |
|
7 |
Kiểm tra thuyết minh biểu đồ lớp |
THSD |
0,080 |
0,100 |
0,130 |
|
8 |
Kiểm tra thiết kế mô hình dữ liệu |
ĐTQL |
0,080 |
0,100 |
0,130 |
|
9 |
Kiểm tra thiết kế giao diện phần mềm |
THSD |
0,064 |
0,080 |
0,104 |
Bảng số 265
|
STT |
Thiết bị |
ĐVT |
Công suất (kW) |
Kiểm tra quy trình nghiệp vụ được tin học hóa |
Kiểm tra danh sách chức năng hệ thống |
Kiểm tra kiến trúc phần mềm |
Kiểm tra thuyết minh biểu đồ trường hợp sử dụng |
Kiểm tra thuyết minh biểu đồ tuần tự |
Kiểm tra thuyết minh biểu đồ lớp |
Kiểm tra thiết kế giao diện phần mềm |
|
1 |
Máy tính để bàn |
Bộ |
0,4 |
0,060 |
0,030 |
0,090 |
0,060 |
0,060 |
0,060 |
0,048 |
|
2 |
Máy in laser |
Cái |
0,6 |
0 |
0 |
0 |
0 |
0 |
0 |
0 |
|
3 |
Điều hoà nhiệt độ |
Cái |
2,2 |
0,013 |
0,007 |
0,020 |
0,013 |
0,013 |
0,013 |
0,011 |
|
4 |
Máy photocopy |
Cái |
1,5 |
0 |
0 |
0 |
0 |
0 |
0 |
0 |
|
5 |
Điện năng |
kW |
|
0,449 |
0,225 |
0,674 |
0,449 |
0,449 |
0,449 |
0,359 |
Bảng số 266
|
STT |
Thiết bị |
ĐVT |
Công suất (kW) |
Kiểm tra danh sách đối tượng quản lý và thông tin chi tiết |
Kiểm tra thiết kế mô hình dữ liệu |
|
1 |
Máy tính để bàn |
Bộ |
0,4 |
0,030 |
0,060 |
|
2 |
Máy in laser |
Cái |
0,6 |
0 |
0 |
|
3 |
Điều hoà nhiệt độ |
Cái |
2,2 |
0,007 |
0,013 |
|
4 |
Máy photocopy |
Cái |
1,5 |
0 |
0 |
|
5 |
Điện năng |
kW |
|
0,225 |
0,449 |
Bảng số 267
|
STT |
Dụng cụ |
ĐVT |
Thời hạn (tháng) |
Kiểm tra quy trình nghiệp vụ được tin học hóa |
Kiểm tra danh sách chức năng hệ thống |
Kiểm tra kiến trúc phần mềm |
Kiểm tra thuyết minh biểu đồ trường hợp sử dụng |
Kiểm tra thuyết minh biểu đồ tuần tự |
Kiểm tra thuyết minh biểu đồ lớp |
Kiểm tra thiết kế giao diện phần mềm |
|
1 |
Ghế |
Cái |
96 |
0,080 |
0,040 |
0,120 |
0,080 |
0,080 |
0,080 |
0,064 |
|
2 |
Bàn làm việc |
Cái |
96 |
0,080 |
0,040 |
0,120 |
0,080 |
0,080 |
0,080 |
0,064 |
|
3 |
Quạt trần 0,1 kW |
Cái |
96 |
0,013 |
0,007 |
0,020 |
0,013 |
0,013 |
0,013 |
0,011 |
|
4 |
Đèn neon 0,04 kW |
Bộ |
24 |
0,020 |
0,010 |
0,030 |
0,020 |
0,020 |
0,020 |
0,016 |
|
5 |
Điện năng |
kW |
|
0,018 |
0,009 |
0,027 |
0,018 |
0,018 |
0,018 |
0,014 |
Bảng số 268
|
STT |
Dụng cụ |
ĐVT |
Thời hạn (tháng) |
Kiểm tra danh sách đối tượng quản lý và thông tin chi tiết |
Kiểm tra thiết kế mô hình dữ liệu |
|
1 |
Ghế |
Cái |
96 |
0,040 |
0,080 |
|
2 |
Bàn làm việc |
Cái |
96 |
0,040 |
0,080 |
|
3 |
Quạt trần 0,1 kW |
Cái |
96 |
0,007 |
0,013 |
|
4 |
Đèn neon 0,04 kW |
Bộ |
24 |
0,010 |
0,020 |
|
5 |
Điện năng |
kW |
|
0,009 |
0,018 |
Ghi chú: Mức dụng cụ, thiết bị trên tính cho loại KK2, mức cho các loại khó khăn khác tính như sau:
KK1 = 0,8 x KK2.
KK3 = 1,3 x KK2.
3.4. Định mức vật liệu
Bước này không sử dụng vật liệu
4. Kiểm tra chức năng phần mềm
4.1. Định mức lao động
- Kiểm tra sản phẩm báo cáo về quy tắc lập trình.
- Kiểm tra sản phẩm báo cáo kiểm tra các thành phần của hệ thống.
- Kiểm tra sản phẩm báo cáo kiểm tra toàn bộ hệ thống.
- Kiểm tra các chức năng phần mềm.
- Các yếu tố ảnh hưởng
+ Số lượng THSD.
+ Số lượng tác nhân hệ thống.
+ Mô hình quản lý CSDL.
+ Công nghệ GIS.
+ Tính đa người dùng.
+ Độ phức tạp về cài đặt phần mềm.
- Tính điểm theo các yếu tố ảnh hưởng:
Bảng số 269
|
STT |
Các yếu tố ảnh hưởng |
Điểm |
|
1 |
Số lượng THSD: tối đa 45 điểm |
|
|
|
m ≤ 30 |
15 |
|
|
30 < m < 50 |
30 |
|
|
m ≥ 50 |
45 |
|
2 |
Số lượng tác nhân hệ thống: tối đa 20 điểm |
|
|
|
m ≤ 3 |
5 |
|
|
3 < m < 7 |
10 |
|
|
m ≥ 7 |
20 |
|
3 |
Mô hình quản lý CSDL: tối đa 5 điểm |
|
|
|
Tập trung |
0 |
|
|
Phân tán |
5 |
|
4 |
Công nghệ GIS: tối đa 15 điểm |
|
|
|
Không áp dụng |
0 |
|
|
Engine thương phẩm |
10 |
|
|
Engine mã nguồn mở |
15 |
|
5 |
Tính đa người dùng: tối đa 5 điểm |
|
|
|
Không hỗ trợ đa người dùng |
0 |
|
|
Có hỗ trợ đa người dùng |
5 |
|
6 |
Độ phức tạp về cài đặt phần mềm: tối đa 10 điểm |
|
|
|
Đơn giản |
0 |
|
|
Trung bình |
5 |
|
|
Phức tạp |
10 |
- Phân loại khó khăn
Căn cứ điểm của từng yếu tố ảnh hưởng, tính tổng số điểm của các yếu tố ảnh hưởng đến bước Kiểm tra chức năng phần mềm. Tổng số điểm ký hiệu là K, việc phân loại khó khăn được xác định theo bảng sau:
Bảng số 270|
STT |
Mức độ khó khăn |
Khoảng điểm |
|
1 |
KK1 |
K ≤ 50 |
|
2 |
KK2 |
50 < K ≤ 80 |
|
3 |
KK3 |
K > 80 |
Bảng số 271
|
STT |
Danh mục công việc |
KS2 |
KS3 |
|
1 |
Kiểm tra sản phẩm báo cáo về quy tắc lập trình |
1 |
|
|
2 |
Kiểm tra sản phẩm báo cáo kiểm tra các thành phần của hệ thống |
1 |
|
|
3 |
Kiểm tra sản phẩm báo cáo kiểm tra toàn bộ hệ thống |
1 |
|
|
4 |
Kiểm tra các chức năng phần mềm |
|
1 |
Bảng số 272
|
STT |
Danh mục công việc |
KK1 |
KK2 |
KK3 |
|
1 |
Kiểm tra sản phẩm báo cáo về quy tắc lập trình |
0,04 |
0,04 |
0,04 |
|
2 |
Kiểm tra sản phẩm báo cáo kiểm tra các thành phần của hệ thống |
0,04 |
0,04 |
0,04 |
|
3 |
Kiểm tra sản phẩm báo cáo kiểm tra toàn bộ hệ thống |
0,04 |
0,04 |
0,04 |
|
4 |
Kiểm tra các chức năng phần mềm |
0,24 |
0,30 |
0,39 |
Bảng số 273
|
STT |
Thiết bị |
ĐVT |
Công suất (kW) |
Kiểm tra sản phẩm báo cáo về quy tắc lập trình |
Kiểm tra sản phẩm báo cáo kiểm tra các thành phần của hệ thống |
Kiểm tra sản phẩm báo cáo kiểm tra toàn bộ hệ thống |
Kiểm tra các chức năng phần mềm |
|
1 |
Máy tính để bàn |
Bộ |
0,4 |
0,024 |
0,024 |
0,024 |
0,180 |
|
2 |
Điều hoà nhiệt độ |
Cái |
2,2 |
0,005 |
0,005 |
0,005 |
0,040 |
|
3 |
Điện năng |
kW |
|
0,180 |
0,180 |
0,180 |
1,348 |
Bảng số 274
|
STT |
Dụng cụ |
ĐVT |
Thời hạn (tháng) |
Kiểm tra sản phẩm báo cáo về quy tắc lập trình |
Kiểm tra sản phẩm báo cáo kiểm tra các thành phần của hệ thống |
Kiểm tra sản phẩm báo cáo kiểm tra toàn bộ hệ thống |
Kiểm tra các chức năng phần mềm |
|
1 |
Ghế |
Cái |
96 |
0,032 |
0,032 |
0,032 |
0,240 |
|
2 |
Bàn làm việc |
Cái |
96 |
0,032 |
0,032 |
0,032 |
0,240 |
|
3 |
Quạt trần 0,1 kW |
Cái |
96 |
0,005 |
0,005 |
0,005 |
0,040 |
|
4 |
Đèn neon 0,04 kW |
Bộ |
24 |
0,008 |
0,008 |
0,008 |
0,060 |
|
5 |
Điện năng |
kW |
|
0,007 |
0,007 |
0,007 |
0,054 |
Ghi chú: Mức dụng cụ, thiết bị trên tính cho loại KK2, mức cho các loại khó khăn khác tính như sau:
KK1 = 0,8 x KK2.
KK3 = 1,3 x KK2.
4.4. Định mức vật liệu
Bước này không sử dụng vật liệu
5. Kiểm tra bộ cài đặt, tài liệu hướng dẫn vận hành, sử dụng phần mềm
5.1. Định mức lao động
- Kiểm tra bộ cài đặt ứng dụng.
- Kiểm tra hướng dẫn cài đặt, sử dụng.
Bước “Kiểm tra bộ cài đặt ứng dụng” không phân loại khó khăn.
Bước “Kiểm tra hướng dẫn cài đặt, sử dụng” được xác định khó khăn như sau:-
- Các yếu tố ảnh hưởng:
+ Số lượng trường hợp sử dụng.
+ Số lượng tác nhân hệ thống.
- Tính điểm theo các yếu tố ảnh hưởng
Bảng số 275
|
STT |
Các yếu tố ảnh hưởng |
Điểm |
|
1 |
Số THSD: tối đa 60 điểm |
|
|
|
m ≤30 |
30 |
|
|
30 < m < 50 |
45 |
|
|
m ≥ 50 |
60 |
|
2 |
Số lượng tác nhân hệ thống: tối đa 40 điểm |
|
|
|
m ≤ 3 |
20 |
|
|
3 < m < 7 |
30 |
|
|
m ≥ 7 |
40 |
- Phân loại khó khăn
Căn cứ điểm của từng yếu tố ảnh hưởng, tính tổng số điểm của các yếu tố ảnh hưởng đến bước “Kiểm tra hướng dẫn cài đặt, sử dụng”. Tổng số điểm ký hiệu là K, việc phân loại khó khăn được xác định theo bảng sau:
Bảng số 276|
STT |
Mức độ khó khăn |
Khoảng điểm |
|
1 |
KK1 |
K ≤50 |
|
2 |
KK2 |
50 < K ≤ 80 |
|
3 |
KK3 |
K > 80 |
Bảng số 277
|
STT |
Danh mục công việc |
KS1 |
|
1 |
Kiểm tra bộ cài đặt ứng dụng |
1 |
|
2 |
Kiểm tra hướng dẫn cài đặt, sử dụng |
1 |
Bảng số 278
|
STT |
Danh mục công việc |
Định mức |
|
1 |
Kiểm tra bộ cài đặt ứng dụng |
0,030 |
Bảng số 279
|
STT |
Danh mục công việc |
KK1 |
KK2 |
KK3 |
|
1 |
Kiểm tra hướng dẫn cài đặt, sử dụng |
0,024 |
0,030 |
0,039 |
Bảng số 280
|
STT |
Thiết bị |
ĐVT |
Công suất (kW) |
Kiểm tra bộ cài đặt ứng dụng |
Kiểm tra hướng dẫn cài đặt, sử dụng |
|
1 |
Máy tính để bàn |
Bộ |
0,4 |
0,018 |
0,018 |
|
2 |
Máy in laser |
Cái |
0,6 |
0 |
0 |
|
3 |
Điều hoà nhiệt độ |
Cái |
2,2 |
0,004 |
0,004 |
|
4 |
Máy photocopy |
Cái |
1,5 |
0 |
0 |
|
5 |
Điện năng |
kW |
|
0,135 |
0,135 |
Bảng số 281
|
STT |
Dụng cụ |
ĐVT |
Thời hạn (tháng) |
Kiểm tra bộ cài đặt ứng dụng |
Kiểm tra hướng dẫn cài đặt, sử dụng |
|
1 |
Ghế |
Cái |
96 |
0,024 |
0,024 |
|
2 |
Bàn làm việc |
Cái |
96 |
0,024 |
0,024 |
|
3 |
Quạt trần 0,1 kW |
Cái |
96 |
0,004 |
0,004 |
|
4 |
Đèn neon 0,04 kW |
Bộ |
24 |
0,006 |
0,006 |
|
5 |
Điện năng |
kW |
|
0,005 |
0,005 |
Ghi chú: Mức dụng cụ, thiết bị trên tính cho loại KK2, mức cho các loại khó khăn khác tính như sau:
KK1 = 0,8 x KK2.
KK3 = 1,3 x KK2.
5.4. Định mức vật liệu
Bước này không sử dụng vật liệu
6. Lập hồ sơ kiểm tra, nghiệm thu
6.1. Định mức lao động
- Kiểm tra, nghiệm thu công tác sửa chữa, hoàn chỉnh các sai sót trong quá trình thi công của đơn vị thi công.
- Tổng hợp các ý kiến kiểm tra (công việc này không tính định mức).
- Lập hồ sơ nghiệm thu dự án.
Không phân loại khó khăn tại bước này.
Bảng số 282
|
STT |
Danh mục công việc |
KS1 |
|
1 |
Kiểm tra, nghiệm thu công tác sửa chữa, hoàn chỉnh các sai sót trong quá trình thi công của đơn vị thi công |
1 |
|
2 |
Lập hồ sơ nghiệm thu dự án |
1 |
Bảng số 283
|
STT |
Danh mục công việc |
Định mức |
|
1 |
Kiểm tra, nghiệm thu công tác sửa chữa, hoàn chỉnh các sai sót trong quá trình thi công của đơn vị thi công |
0,30 |
|
2 |
Lập hồ sơ nghiệm thu dự án |
0,20 |
Bảng số 284
|
STT |
Thiết bị |
ĐVT |
Công suất (kW) |
Kiểm tra, nghiệm thu công tác sửa chữa, hoàn chỉnh các sai sót trong quá trình thi công của đơn vị thi công |
Lập hồ sơ nghiệm thu dự án |
|
1 |
Máy tính để bàn |
Bộ |
0,4 |
0,180 |
0,120 |
|
2 |
Máy in laser |
Cái |
0,6 |
0,013 |
0,008 |
|
3 |
Điều hoà nhiệt độ |
Cái |
2,2 |
0,040 |
0,027 |
|
4 |
Máy photocopy |
Cái |
1,5 |
0,009 |
0,006 |
|
5 |
Điện năng |
kW |
|
1,525 |
1,016 |
Bảng số 285
|
STT |
Dụng cụ |
ĐVT |
Thời hạn (tháng) |
Kiểm tra, nghiệm thu công tác sửa chữa, hoàn chỉnh các sai sót trong quá trình thi công của đơn vị thi công |
Lập hồ sơ nghiệm thu dự án |
|
1 |
Ghế |
Cái |
96 |
0,240 |
0,160 |
|
2 |
Bàn làm việc |
Cái |
96 |
0,240 |
0,160 |
|
3 |
Quạt trần 0,1 kW |
Cái |
96 |
0,040 |
0,027 |
|
4 |
Đèn neon 0,04 kW |
Bộ |
24 |
0,060 |
0,040 |
|
5 |
Ổ ghi đĩa DVD |
Bộ |
69 |
0,600 |
0,200 |
|
6 |
Điện năng |
kW |
|
0,054 |
0,036 |
|
STT |
Vật liệu |
ĐVT |
Kiểm tra, nghiệm thu công tác sửa chữa, hoàn chỉnh các sai sót trong quá trình thi công của đơn vị thi công |
Lập hồ sơ nghiệm thu dự án |
|
1 |
Giấy in A4 |
Gram |
0,100 |
0,150 |
|
2 |
Mực in laser |
Hộp |
0,010 |
0,010 |
|
3 |
Sổ |
Quyển |
0,020 |
0,025 |
|
4 |
Đĩa DVD |
Cái |
1,000 |
1,000 |
|
5 |
Cặp để tài liệu |
Cái |
1,000 |
1,000 |
MỤC II
ĐỊNH MỨC KINH TẾ - KỸ THUẬT KIỂM TRA, NGHIỆM THU
VIỆC DUY TRÌ, VẬN HÀNH HỆ THỐNG PHẦN MỀM VÀ CƠ SỞ DỮ LIỆU
NGÀNH TÀI NGUYÊN VÀ MÔI TRƯỜNG
1. Tiếp nhận hồ sơ, sản phẩm
1.1. Định mức lao động
- Tiếp nhận hồ sơ, sản phẩm (công việc này không tính định mức).
- Kiểm tra khối lượng sản phẩm theo thiết kế kỹ thuật đã được phê duyệt.
- Lập biên bản bàn giao sản phẩm (công việc này không tính định mức).
- Kiểm tra hồ sơ kiểm tra, nghiệm thu cấp đơn vị thi công.
Không phân loại khó khăn tại bước này.
Bảng số 287
|
STT |
Danh mục công việc |
KS1 |
|
1 |
Kiểm tra hồ sơ nghiệm thu cấp đơn vị thi công |
1 |
|
2 |
Kiểm tra khối lượng sản phẩm theo thiết kế kỹ thuật đã được phê duyệt |
1 |
Bảng số 288
|
STT |
Danh mục công việc |
Định mức |
|
1 |
Kiểm tra hồ sơ nghiệm thu cấp đơn vị thi công |
0,10 |
|
2 |
Kiểm tra khối lượng sản phẩm theo thiết kế kỹ thuật đã được phê duyệt |
0,15 |
Bảng số 289
|
STT |
Thiết bị |
ĐVT |
Công suất (kW) |
Kiểm tra hồ sơ nghiệm thu cấp đơn vị thi công |
Kiểm tra khối lượng sản phẩm theo thiết kế kỹ thuật đã được phê duyệt |
|
1 |
Máy tính để bàn |
Bộ |
0,4 |
0,060 |
0,090 |
|
2 |
Điều hoà nhiệt độ |
Cái |
2,2 |
0,013 |
0,020 |
|
3 |
Điện năng |
kW |
|
0,449 |
0,674 |
Bảng số 290
|
STT |
Dụng cụ |
ĐVT |
Thời hạn (tháng) |
Kiểm tra hồ sơ nghiệm thu cấp đơn vị thi công |
Kiểm tra khối lượng sản phẩm theo thiết kế kỹ thuật đã được phê duyệt |
|
1 |
Ghế |
Cái |
96 |
0,080 |
0,120 |
|
2 |
Bàn làm việc |
Cái |
96 |
0,080 |
0,120 |
|
3 |
Quạt trần 0,1 kW |
Cái |
96 |
0,013 |
0,020 |
|
4 |
Đèn neon 0,04 kW |
Bộ |
24 |
0,020 |
0,030 |
|
5 |
Điện năng |
kW |
|
0,018 |
0,027 |
1.4. Định mức vật liệu
Bước này không sử dụng vật liệu.
2. Kiểm tra các sản phẩm duy trì, vận hành hệ thống phần mềm và cơ sở dữ liệu ngành tài nguyên và môi trường
2.1. Định mức lao động
- Kiểm tra việc kiểm tra giám sát hệ thống, bao gồm:
+ Kiểm tra nhật ký duy trì vận hành hệ thống.
- Kiểm tra việc ghi nhận sự cố, bao gồm:
+ Kiểm tra nhật ký duy trì vận hành hệ thống.
+ Kiểm tra danh mục sự cố.
- Kiểm tra việc phân tích sự cố, bao gồm:
+ Kiểm tra báo cáo phân tích và đề xuất giải pháp khắc phục sự cố.
- Kiểm tra việc khắc phục sự cố, bao gồm:
+ Kiểm tra báo cáo khắc phục sự cố.
+ Kiểm tra danh mục sự cố.
- Kiểm tra việc sao lưu phục hồi hệ thống, bao gồm:
+ Kiểm tra nhật ký duy trì vận hành hệ thống.
+ Kiểm tra báo cáo phục hồi hệ thống.
- Kiểm tra việc cài đặt vá lỗi, bao gồm:
+ Kiểm tra nhật ký duy trì vận hành hệ thống.
+ Kiểm tra báo cáo nâng cấp hệ thống.
- Kiểm tra việc hỗ trợ người dùng, bao gồm:
+ Kiểm tra nhật ký hỗ trợ người dùng.
- Các yếu tố ảnh hưởng
+ Công nghệ GIS.
+ Loại phần mềm.
+ Kiến trúc hệ thống.
+ Tần suất truy cập.
+ Số lượng người dùng được phân quyền.
+ Mức độ sẵn sàng của hệ thống.
+ Số lượng chức năng.
- Tính điểm theo các yếu tố ảnh hưởng:
Bảng số 291
|
STT |
Các yếu tố ảnh hưởng |
Điểm |
|
1 |
Công nghệ GIS: tối đa 20 điểm |
|
|
|
Không |
5 |
|
|
Có |
20 |
|
2 |
Loại phần mềm: tối đa 15 điểm |
|
|
|
Phần mềm mã nguồn đóng |
0 |
|
|
Phần mềm mã nguồn mở |
15 |
|
3 |
Kiến trúc hệ thống: tối đa 15 điểm |
|
|
|
Tập trung |
0 |
|
|
Phân tán |
15 |
|
4 |
Tần suất truy cập: tối đa 15 điểm |
|
|
|
Không thường xuyên |
5 |
|
|
Hàng ngày |
10 |
|
|
Thời gian thực |
15 |
|
5 |
Số lượng người dùng được phân quyền: tối đa 15 điểm |
|
|
|
m<100 |
5 |
|
|
100≤m≤1000 |
10 |
|
|
M >1000 |
15 |
|
6 |
Mức độ sẵn sàng của hệ thống: tối đa 5 điểm |
|
|
|
Không |
0 |
|
|
24/7 |
5 |
|
7 |
Số lượng chức năng: tối đa 15 điểm |
|
|
|
m<30 |
5 |
|
|
30≤m≤50 |
10 |
|
|
m>50 |
15 |
- Phân loại khó khăn
Căn cứ điểm của từng yếu tố ảnh hưởng, tính tổng số điểm của các yếu tố ảnh hưởng đến bước Kiểm tra các sản phẩm duy trì, vận hành hệ thống phần mềm và cơ sở dữ liệu ngành tài nguyên và môi trường. Tổng số điểm ký hiệu là K, việc phân loại khó khăn được xác định theo bảng sau:
Bảng số 292
|
STT |
Mức độ khó khăn |
Khoảng điểm |
|
1 |
KK1 |
K ≤ 30 |
|
2 |
KK2 |
30 < K < 60 |
|
3 |
KK3 |
K ≥ 60 |
|
STT |
Danh mục công việc |
KS2 |
|
1 |
Kiểm tra việc kiểm tra, giám sát hệ thống |
|
|
- |
Kiểm tra nhật ký duy trì vận hành hệ thống |
1 |
|
2 |
Kiểm tra việc ghi nhận sự cố |
|
|
- |
Kiểm tra nhật ký duy trì vận hành hệ thống |
1 |
|
- |
Kiểm tra danh mục sự cố |
1 |
|
3 |
Kiểm tra việc phân tích sự cố |
|
|
- |
Kiểm tra báo cáo phân tích và đề xuất giải pháp khắc phục sự cố |
1 |
|
4 |
Kiểm tra việc khắc phục sự cố |
|
|
- |
Kiểm tra báo cáo khắc phục sự cố |
1 |
|
- |
Kiểm tra danh mục sự cố |
1 |
|
5 |
Kiểm tra việc sao lưu phục hồi hệ thống |
|
|
- |
Kiểm tra nhật ký duy trì vận hành hệ thống |
1 |
|
- |
Kiểm tra báo cáo phục hồi hệ thống |
1 |
|
6 |
Kiểm tra việc cài đặt vá lỗi |
|
|
- |
Kiểm tra nhật ký duy trì vận hành hệ thống |
1 |
|
- |
Kiểm tra báo cáo nâng cấp hệ thống |
1 |
|
7 |
Kiểm tra việc hỗ trợ người dùng |
|
|
- |
Kiểm tra nhật ký hỗ trợ người dùng |
1 |
Bảng số 294
|
STT |
Danh mục công việc |
ĐVT |
KK1 |
KK2 |
KK 3 |
|
1 |
Kiểm tra việc kiểm tra, giám sát hệ thống |
|
|
|
|
|
- |
Kiểm tra nhật ký duy trì vận hành hệ thống |
Phần mềm |
0,016 |
0,020 |
0,026 |
|
2 |
Kiểm tra việc ghi nhận sự cố |
|
|
|
|
|
- |
Kiểm tra nhật ký duy trì vận hành hệ thống |
Phần mềm |
0,008 |
0,010 |
0,013 |
|
- |
Kiểm tra danh mục sự cố |
Phần mềm |
0,008 |
0,010 |
0,013 |
|
3 |
Kiểm tra việc phân tích sự cố |
|
|
|
|
|
- |
Kiểm tra báo cáo phân tích và đề xuất giải pháp khắc phục sự cố |
Phần mềm |
0,016 |
0,020 |
0,026 |
|
4 |
Kiểm tra việc khắc phục sự cố |
|
|
|
|
|
- |
Kiểm tra báo cáo khắc phục sự cố |
Phần mềm |
0,008 |
0,010 |
0,013 |
|
- |
Kiểm tra danh mục sự cố |
Phần mềm |
0,008 |
0,010 |
0,013 |
|
5 |
Kiểm tra việc sao lưu phục hồi hệ thống |
|
|
|
|
|
- |
Kiểm tra nhật ký duy trì vận hành hệ thống |
Phần mềm |
0,008 |
0,010 |
0,013 |
|
- |
Kiểm tra báo cáo phục hồi hệ thống |
Phần mềm |
0,008 |
0,010 |
0,013 |
|
6 |
Kiểm tra việc cài đặt vá lỗi |
|
|
|
|
|
- |
Kiểm tra nhật ký duy trì vận hành hệ thống |
Phần mềm |
0,008 |
0,010 |
0,013 |
|
- |
Kiểm tra báo cáo nâng cấp hệ thống |
Phần mềm |
0,008 |
0,010 |
0,013 |
|
7 |
Kiểm tra việc hỗ trợ người dùng |
|
|
|
|
|
- |
Kiểm tra nhật ký hỗ trợ người dùng |
Người dùng |
0,003 |
0,004 |
0,005 |
Bảng số 295
|
STT |
Thiết bị |
ĐVT |
Công suất (kW) |
Kiểm tra nhật ký duy trì vận hành hệ thống (1) |
Kiểm tra nhật ký duy trì vận hành hệ thống (2) |
Kiểm tra danh mục sự cố |
Kiểm tra báo cáo phân tích và đề xuất giải pháp khắc phục sự cố |
Kiểm tra báo cáo khắc phục sự cố |
Kiểm tra danh mục sự cố |
Kiểm tra nhật ký duy trì vận hành hệ thống (5) |
Kiểm tra báo cáo phục hồi hệ thống |
Kiểm tra nhật ký duy trì vận hành hệ thống (6) |
Kiểm tra báo cáo nâng cấp hệ thống |
Kiểm tra nhật ký hỗ trợ người dùng |
|
1 |
Máy tính để bàn |
Bộ |
0,4 |
0,0120 |
0,0060 |
0,0060 |
0,0120 |
0,0060 |
0,0060 |
0,0060 |
0,0060 |
0,0060 |
0,0060 |
0,0024 |
|
2 |
Điều hoà nhiệt độ |
Cái |
2,2 |
0,0027 |
0,0013 |
0,0013 |
0,0027 |
0,0013 |
0,0013 |
0,0013 |
0,0013 |
0,0013 |
0,0013 |
0,0005 |
|
3 |
Điện năng |
kW |
|
0,0898 |
0,0449 |
0,0449 |
0,0898 |
0,0449 |
0,0449 |
0,0449 |
0,0449 |
0,0449 |
0,0449 |
0,0180 |
Bảng số 296
|
STT |
Dụng cụ |
ĐVT |
Công suất (kW) |
Kiểm tra nhật ký hỗ trợ người dùng |
|
1 |
Máy tính để bàn |
Bộ |
0,4 |
0,0024 |
|
2 |
Điều hoà nhiệt độ |
Cái |
2,2 |
0,0005 |
|
3 |
Điện năng |
kW |
|
0,0180 |
Bảng số 297
|
STT |
Dụng cụ |
ĐVT |
Thời hạn (tháng ) |
Kiểm tra nhật ký duy trì vận hành hệ thống (1) |
Kiểm tra nhật ký duy trì vận hành hệ thống (2) |
Kiểm tra danh mục sự cố |
Kiểm tra báo cáo phân tích và đề xuất giải pháp khắc phục sự cố |
Kiểm tra báo cáo khắc phục sự cố |
Kiểm tra danh mục sự cố |
Kiểm tra nhật ký duy trì vận hành hệ thống (5) |
Kiểm tra báo cáo phục hồi hệ thống |
Kiểm tra nhật ký duy trì vận hành hệ thống (6) |
Kiểm tra báo cáo nâng cấp hệ thống |
|
1 |
Ghế |
Cái |
96 |
0,0160 |
0,0080 |
0,0080 |
0,0160 |
0,0080 |
0,0080 |
0,0080 |
0,0080 |
0,0080 |
0,0080 |
|
2 |
Bàn làm việc |
Cái |
96 |
0,0160 |
0,0080 |
0,0080 |
0,0160 |
0,0080 |
0,0080 |
0,0080 |
0,0080 |
0,0080 |
0,0080 |
|
3 |
Quạt trần 0,1 kW |
Cái |
96 |
0,0027 |
0,0013 |
0,0013 |
0,0027 |
0,0013 |
0,0013 |
0,0013 |
0,0013 |
0,0013 |
0,0013 |
|
4 |
Đèn neon 0,04 kW |
Bộ |
24 |
0,0040 |
0,0020 |
0,0020 |
0,0040 |
0,0020 |
0,0020 |
0,0020 |
0,0020 |
0,0020 |
0,0020 |
|
5 |
Điện năng |
kw |
|
0,0036 |
0,0018 |
0,0018 |
0,0036 |
0,0018 |
0,0018 |
0,0018 |
0,0018 |
0,0018 |
0,0018 |
Bảng sô 298
|
STT |
Dụng cụ |
ĐVT |
Thời hạn (tháng) |
Kiểm tra nhật ký hỗ trợ người dùng |
|
1 |
Ghế |
Cái |
96 |
0,0032 |
|
2 |
Bàn làm việc |
Cái |
96 |
0,0032 |
|
3 |
Quạt trần 0,1 kW |
Cái |
96 |
0,0005 |
|
4 |
Đèn neon 0,04 kW |
Bộ |
24 |
0,0008 |
|
5 |
Điện năng |
kw |
|
0,0007 |
Ghi chú: Mức dụng cụ, thiết bị trên tính cho loại KK2, mức cho các loại khó khăn khác tính như sau: KK1 = 0,8 x KK2; KK3 = 1,3 x KK2.
2.4. Định mức vật liệu
Bước này không sử dụng vật liệu
3. Lập hồ sơ kiểm tra, nghiệm thu
Bảng số 299
|
STT |
Thiết bị |
ĐVT |
Công suất (kW) |
Kiểm tra, nghiệm thu công tác sửa chữa, hoàn chỉnh các sai sót trong quá trình thi công của đơn vị thi công |
Lập hồ sơ nghiệm thu dự án |
|
1 |
Máy tính để bàn |
Bộ |
0,4 |
0,180 |
0,120 |
|
2 |
Máy in laser |
Cái |
0,6 |
0,013 |
0,008 |
|
3 |
Điều hoà nhiệt độ |
Cái |
2,2 |
0,040 |
0,027 |
|
4 |
Máy photocopy |
Cái |
1,5 |
0,009 |
0,006 |
|
5 |
Điện năng |
kW |
|
1,525 |
1,016 |
3.1. Định mức lao động
- Kiểm tra, nghiệm thu công tác sửa chữa, hoàn chỉnh các sai sót trong quá trình thi công của đơn vị thi công.
- Tổng hợp các ý kiến kiểm tra (công việc này không tính định mức).
- Lập hồ sơ nghiệm thu dự án.
Không phân loại khó khăn tại bước này.
Bảng số 300
|
STT |
Danh mục công việc |
KS1 |
|
1 |
Kiểm tra, nghiệm thu công tác sửa chữa, hoàn chỉnh các sai sót trong quá trình thi công của đơn vị thi công |
1 |
|
2 |
Lập hồ sơ nghiệm thu dự án |
1 |
Bảng số 301
|
STT |
Danh mục công việc |
Định mức |
|
1 |
Kiểm tra, nghiệm thu công tác sửa chữa, hoàn chỉnh các sai sót trong quá trình thi công của đơn vị thi công |
0,30 |
|
2 |
Lập hồ sơ nghiệm thu dự án |
0,20 |
Bảng số 302
|
STT |
Dụng cụ |
ĐVT |
Thời hạn (tháng) |
Kiểm tra, nghiệm thu công tác sửa chữa, hoàn chỉnh các sai sót trong quá trình thi công của đơn vị thi công |
Lập hồ sơ nghiệm thu dự án |
|
1 |
Ghế |
Cái |
96 |
0,240 |
0,160 |
|
2 |
Bàn làm việc |
Cái |
96 |
0,240 |
0,160 |
|
3 |
Quạt trần 0,1 kW |
Cái |
96 |
0,040 |
0,027 |
|
4 |
Đèn neon 0,04 kW |
Bộ |
24 |
0,060 |
0,040 |
|
5 |
Ổ ghi đĩa DVD |
Bộ |
69 |
0,600 |
0,200 |
|
6 |
Điện năng |
kW |
|
0,054 |
0,036 |
Bảng số 303
|
STT |
Vật liệu |
ĐVT |
Kiểm tra, nghiệm thu công tác sửa chữa, hoàn chỉnh các sai sót trong quá trình thi công của đơn vị thi công |
Lập hồ sơ nghiệm thu dự án |
|
1 |
Giấy in A4 |
Gram |
0,100 |
0,150 |
|
2 |
Mực in laser |
Hộp |
0,010 |
0,010 |
|
3 |
Sổ |
Quyển |
0,020 |
0,025 |
|
4 |
Đĩa DVD |
Cái |
1,000 |
1,000 |
|
5 |
Cặp để tài liệu |
Cái |
1,000 |
1,000 |
MỤC III
ĐỊNH MỨC KINH TẾ - KỸ THUẬT KIỂM TRA, NGHIỆM THU VIỆC
DUY TRÌ, VẬN HÀNH HỆ THỐNG PHẦN CỨNG CÔNG NGHỆ THÔNG TIN
1. Tiếp nhận hồ sơ, sản phẩm
1.1. Định mức lao động
- Tiếp nhận hồ sơ, sản phẩm (công việc này không tính định mức).
- Kiểm tra khối lượng sản phẩm theo thiết kế kỹ thuật đã được phê duyệt.
- Lập biên bản bàn giao sản phẩm (công việc này không tính định mức).
- Kiểm tra hồ sơ kiểm tra, nghiệm thu cấp đơn vị thi công.
Không phân loại khó khăn tại bước này.
Bảng số 304
|
STT |
Danh mục công việc |
KS1 |
|
1 |
Kiểm tra hồ sơ nghiệm thu cấp đơn vị thi công |
1 |
|
2 |
Kiểm tra khối lượng sản phẩm theo thiết kế kỹ thuật đã được phê duyệt |
1 |
Bảng số 305
|
STT |
Danh mục công việc |
Định mức |
|
1 |
Kiểm tra hồ sơ nghiệm thu cấp đơn vị thi công |
0,10 |
|
2 |
Kiểm tra khối lượng sản phẩm theo thiết kế kỹ thuật đã được phê duyệt |
0,15 |
Bảng số 306
|
STT |
Thiết bị |
ĐVT |
Công suất (kW) |
Kiểm tra hồ sơ nghiệm thu cấp đơn vị thi công |
Kiểm tra khối lượng sản phẩm theo thiết kế kỹ thuật đã được phê duyệt |
|
1 |
Máy tính để bàn |
Bộ |
0,4 |
0,060 |
0,090 |
|
2 |
Máy in laser |
Cái |
0,6 |
0 |
0 |
|
3 |
Điều hoà nhiệt độ |
Cái |
2,2 |
0,013 |
0,020 |
|
4 |
Máy photocopy |
Cái |
1,5 |
0 |
0 |
|
5 |
Điện năng |
kW |
|
0,449 |
0,674 |
Bảng số 307
|
STT |
Dụng cụ |
ĐVT |
Thời hạn (tháng) |
Kiểm tra hồ sơ nghiệm thu cấp đơn vị thi công |
Kiểm tra khối lượng sản phẩm theo thiết kế kỹ thuật đã được phê duyệt |
|
1 |
Ghế |
Cái |
96 |
0,080 |
0,120 |
|
2 |
Bàn làm việc |
Cái |
96 |
0,080 |
0,120 |
|
3 |
Quạt trần 0,1 kW |
Cái |
96 |
0,013 |
0,020 |
|
4 |
Đèn neon 0,04 kW |
Bộ |
24 |
0,020 |
0,030 |
|
5 |
Điện năng |
kW |
|
0,018 |
0,027 |
1.4. Định mức vật liệu
Bước này không sử dụng vật liệu.
2. Kiểm tra các sản phẩm duy trì, vận hành phần cứng công nghệ thông tin
2.1. Định mức lao động
- Kiểm tra việc kiểm tra giám sát hệ thống, bao gồm:
+ Kiểm tra nhật ký duy trì vận hành hệ thống.
- Kiểm tra việc ghi nhận sự cố, bao gồm:
+ Kiểm tra nhật ký duy trì vận hành hệ thống.
+ Kiểm tra danh mục sự cố
- Kiểm tra việc phân tích sự cố, bao gồm:
+ Kiểm tra báo cáo phân tích và đề xuất giải pháp khắc phục sự cố.
- Kiểm tra việc khắc phục sự cố, bao gồm:
+ Kiểm tra báo cáo khắc phục sự cố.
+ Kiểm tra danh mục sự cố.
- Kiểm tra bảo dưỡng hệ thống, bao gồm:
+ Kiểm tra nhật ký bảo dưỡng, thay thế.
+ Kiểm tra báo cáo bảo dưỡng, thay thế.
- Kiểm tra việc cập nhật firmware, bao gồm:
+ Kiểm tra báo cáo cập nhật.
Không phân loại khó khăn tại bước này.
Bảng số 308
|
STT |
Danh mục công việc |
KS2 |
|
1 |
Kiểm tra việc kiểm tra, giám sát hệ thống |
|
|
- |
Kiểm tra nhật ký duy trì vận hành hệ thống |
1 |
|
2 |
Kiểm tra việc ghi nhận sự cố |
|
|
- |
Kiểm tra nhật ký duy trì vận hành hệ thống |
1 |
|
- |
Kiểm tra danh mục sự cố |
1 |
|
3 |
Kiểm tra việc phân tích sự cố |
|
|
- |
Kiểm tra báo cáo phân tích và đề xuất giải pháp khắc phục sự cố |
1 |
|
4 |
Kiểm tra việc khắc phục sự cố |
|
|
- |
Kiểm tra báo cáo khắc phục sự cố |
1 |
|
- |
Kiểm tra danh mục sự cố |
1 |
|
5 |
Kiểm tra bảo dưỡng hệ thống |
|
|
- |
Kiểm tra nhật ký bảo dưỡng, thay thế |
1 |
|
- |
Kiểm tra báo cáo bảo dưỡng, thay thế |
1 |
|
6 |
Kiểm tra việc cập nhật firmware |
|
|
- |
Kiểm tra báo cáo cập nhật |
1 |
Bảng số 309
|
STT |
Danh mục công việc |
Định mức |
|
1 |
Kiểm tra việc kiểm tra, giám sát hệ thống |
|
|
- |
Kiểm tra nhật ký duy trì vận hành hệ thống |
0,060 |
|
2 |
Kiểm tra việc ghi nhận sự cố |
|
|
- |
Kiểm tra nhật ký duy trì vận hành hệ thống |
0,030 |
|
- |
Kiểm tra danh mục sự cố |
0,030 |
|
3 |
Kiểm tra việc phân tích sự cố |
|
|
- |
Kiểm tra báo cáo phân tích và đề xuất giải pháp khắc phục sự cố |
0,060 |
|
4 |
Kiểm tra việc khắc phục sự cố |
|
|
- |
Kiểm tra báo cáo khắc phục sự cố |
0,030 |
|
- |
Kiểm tra danh mục sự cố |
0,030 |
|
5 |
Kiểm tra bảo dưỡng hệ thống |
|
|
- |
Kiểm tra nhật ký bảo dưỡng, thay thế |
0,030 |
|
- |
Kiểm tra báo cáo bảo dưỡng, thay thế |
0,030 |
|
6 |
Kiểm tra việc cập nhật firmware |
|
|
- |
Kiểm tra báo cáo cập nhật |
0,060 |
Bảng số 310
|
STT |
Thiết bị |
ĐVT |
Công suất (kW) |
Kiểm tra nhật ký duy trì vận hành hệ thống (1) |
Kiểm tra nhật ký duy trì vận hành hệ thống (2) |
Kiểm tra danh mục sự cố (2) |
Kiểm tra báo cáo phân tích và đề xuất giải pháp khắc phục sự cố |
Kiểm tra báo cáo khắc phục sự cố |
Kiểm tra danh mục sự cố (4) |
Kiểm tra nhật ký bảo dưỡng, thay thế |
Kiểm tra báo cáo bảo dưỡng, thay thế |
Kiểm tra báo cáo cập nhật |
|
1 |
Máy tính để bàn |
Bộ |
0,4 |
0,0360 |
0,0180 |
0,0180 |
0,0360 |
0,0180 |
0,0180 |
0,0180 |
0,0180 |
0,0360 |
|
2 |
Điều hoà nhiệt độ |
Cái |
2,2 |
0,0080 |
0,0040 |
0,0040 |
0,0080 |
0,0040 |
0,0040 |
0,0040 |
0,0040 |
0,0080 |
|
3 |
Điện năng |
kW |
|
0,2695 |
0,1348 |
0,1348 |
0,2695 |
0,1348 |
0,1348 |
0,1348 |
0,1348 |
0,2695 |
Bảng số 311
|
STT |
Dụng cụ |
ĐVT |
Thời hạn (tháng) |
Kiểm tra nhật ký duy trì vận hành hệ thống (1) |
Kiểm tra nhật ký duy trì vận hành hệ thống (2) |
Kiểm tra danh mục sự cố (2) |
Kiểm tra báo cáo phân tích và đề xuất giải pháp khắc phục sự cố |
Kiểm tra báo cáo khắc phục sự cố |
Kiểm tra danh mục sự cố (4) |
Kiểm tra nhật ký bảo dưỡng, thay thế |
Kiểm tra báo cáo bảo dưỡng, thay thế |
Kiểm tra báo cáo cập nhật |
|
1 |
Ghế |
Cái |
96 |
0,0480 |
0,0240 |
0,0240 |
0,0480 |
0,0240 |
0,0240 |
0,0240 |
0,0240 |
0,0480 |
|
2 |
Bàn làm việc |
Cái |
96 |
0,0480 |
0,0240 |
0,0240 |
0,0480 |
0,0240 |
0,0240 |
0,0240 |
0,0240 |
0,0480 |
|
3 |
Quạt trần 0,1 kW |
Cái |
96 |
0,0080 |
0,0040 |
0,0040 |
0,0080 |
0,0040 |
0,0040 |
0,0040 |
0,0040 |
0,0080 |
|
4 |
Đèn neon 0,04 kW |
Bộ |
24 |
0,0120 |
0,0060 |
0,0060 |
0,0120 |
0,0060 |
0,0060 |
0,0060 |
0,0060 |
0,0120 |
|
5 |
Điện năng |
kW |
|
0,0108 |
0,0054 |
0,0054 |
0,0108 |
0,0054 |
0,0054 |
0,0054 |
0,0054 |
0,0108 |
2.4. Định mức vật liệu
Bước này không sử dụng vật liệu
3. Lập hồ sơ kiểm tra, nghiệm thu
3.1. Định mức lao động
- Kiểm tra, nghiệm thu công tác sửa chữa, hoàn chỉnh các sai sót trong quá trình thi công của đơn vị thi công.
- Tổng hợp các ý kiến kiểm tra (công việc này không tính định mức).
- Lập hồ sơ nghiệm thu dự án.
Không phân loại khó khăn tại bước này.
Bảng số 312
|
STT |
Danh mục công việc |
KS1 |
|
1 |
Kiểm tra, nghiệm thu công tác sửa chữa, hoàn chỉnh các sai sót trong quá trình thi công của đơn vị thi công |
1 |
|
2 |
Lập hồ sơ nghiệm thu dự án |
1 |
|
STT |
Danh mục công việc |
Định mức |
|
1 |
Kiểm tra, nghiệm thu công tác sửa chữa, hoàn chỉnh các sai sót trong quá trình thi công của đơn vị thi công |
0,30 |
|
2 |
Lập hồ sơ nghiệm thu dự án |
0,20 |
Bảng số 314
|
STT |
Thiết bị |
ĐVT |
Công suất (kW) |
Kiểm tra, nghiệm thu công tác sửa chữa, hoàn chỉnh các sai sót trong quá trình thi công của đơn vị thi công |
Lập hồ sơ nghiệm thu dự án |
|
1 |
Máy tính để bàn |
Bộ |
0,4 |
0,180 |
0,120 |
|
2 |
Máy in laser |
Cái |
0,6 |
0,013 |
0,008 |
|
3 |
Điều hoà nhiệt độ |
Cái |
2,2 |
0,040 |
0,027 |
|
4 |
Máy photocopy |
Cái |
1,5 |
0,009 |
0,006 |
|
5 |
Điện năng |
kW |
|
1,525 |
1,016 |
Bảng số 315
|
STT |
Dụng cụ |
ĐVT |
Thời hạn (tháng) |
Kiểm tra, nghiệm thu công tác sửa chữa, hoàn chỉnh các sai sót trong quá trình thi công của đơn vị thi công |
Lập hồ sơ nghiệm thu dự án |
|
1 |
Ghế |
Cái |
96 |
0,240 |
0,160 |
|
2 |
Bàn làm việc |
Cái |
96 |
0,240 |
0,160 |
|
3 |
Quạt trần 0,1 kW |
Cái |
96 |
0,040 |
0,027 |
|
4 |
Đèn neon 0,04 kW |
Bộ |
24 |
0,060 |
0,040 |
|
5 |
Ổ ghi đĩa DVD |
Bộ |
69 |
0,600 |
0,200 |
|
6 |
Điện năng |
kW |
|
0,054 |
0,036 |
Bảng số 316
|
STT |
Vật liệu |
ĐVT |
Kiểm tra, nghiệm thu công tác sửa chữa, hoàn chỉnh các sai sót trong quá trình thi công của đơn vị thi công |
Lập hồ sơ nghiệm thu dự án |
|
1 |
Giấy in A4 |
Gram |
0,100 |
0,150 |
|
2 |
Mực in laser |
Hộp |
0,010 |
0,010 |
|
3 |
Sổ |
Quyển |
0,020 |
0,025 |
|
4 |
Đĩa DVD |
Cái |
1,000 |
1,000 |
|
5 |
Cặp để tài liệu |
Cái |
1,000 |
1,000 |
MỤC IV
ĐỊNH MỨC KINH TẾ - KỸ THUẬT KIỂM TRA, NGHIỆM THU
VIỆC DUY TRÌ, VẬN HÀNH PHẦN MỀM HỆ THỐNG
1. Tiếp nhận hồ sơ, sản phẩm
1.1. Định mức lao động
- Tiếp nhận hồ sơ, sản phẩm (công việc này không tính định mức);
- Kiểm tra khối lượng sản phẩm theo thiết kế kỹ thuật đã được phê duyệt.
- Lập biên bản bàn giao sản phẩm (công việc này không tính định mức);
- Kiểm tra hồ sơ kiểm tra, nghiệm thu cấp đơn vị thi công.
Không phân loại khó khăn tại bước này.
Bảng số 317
|
STT |
Danh mục công việc |
KS1 |
|
1 |
Kiểm tra hồ sơ nghiệm thu cấp đơn vị thi công |
1 |
|
2 |
Kiểm tra khối lượng sản phẩm theo thiết kế kỹ thuật đã được phê duyệt |
1 |
Bảng số 318
|
STT |
Danh mục công việc |
Định mức |
|
1 |
Kiểm tra hồ sơ nghiệm thu cấp đơn vị thi công |
0,10 |
|
2 |
Kiểm tra khối lượng sản phẩm theo thiết kế kỹ thuật đã được phê duyệt |
0,15 |
Bảng số 319
|
STT |
Thiết bị |
ĐVT |
Công suất (kW) |
Kiểm tra hồ sơ nghiệm thu cấp đơn vị thi công |
Kiểm tra khối lượng sản phẩm theo thiết kế kỹ thuật đã được phê duyệt |
|
1 |
Máy tính để bàn |
Bộ |
0,4 |
0,060 |
0,090 |
|
2 |
Máy in laser |
Cái |
0,6 |
0 |
0 |
|
3 |
Điều hoà nhiệt độ |
Cái |
2,2 |
0,013 |
0,020 |
|
4 |
Máy photocopy |
Cái |
1,5 |
0 |
0 |
|
5 |
Điện năng |
kW |
|
0,449 |
0,674 |
Bảng số 320
|
STT |
Dụng cụ |
ĐVT |
Thời hạn (tháng) |
Kiểm tra hồ sơ nghiệm thu cấp đơn vị thi công |
Kiểm tra khối lượng sản phẩm theo thiết kế kỹ thuật đã được phê duyệt |
|
1 |
Ghế |
Cái |
96 |
0,080 |
0,120 |
|
2 |
Bàn làm việc |
Cái |
96 |
0,080 |
0,120 |
|
3 |
Quạt trần 0,1 kW |
Cái |
96 |
0,013 |
0,020 |
|
4 |
Đèn neon 0,04 kW |
Bộ |
24 |
0,020 |
0,030 |
|
5 |
Điện năng |
kW |
|
0,018 |
0,027 |
1.4. Định mức vật liệu
Bước này không sử dụng vật liệu.
2. Kiểm tra các sản phẩm duy trì, vận hành phần mềm hệ thống
2.1. Định mức lao động
- Kiểm tra việc kiểm tra giám sát hệ thống, bao gồm:
+ Kiểm tra nhật ký duy trì vận hành hệ thống
- Kiểm tra việc ghi nhận sự cố, bao gồm:
+ Kiểm tra nhật ký duy trì vận hành hệ thống
+ Kiểm tra danh mục sự cố
- Kiểm tra việc phân tích sự cố, bao gồm:
+ Kiểm tra báo cáo phân tích và đề xuất giải pháp khắc phục sự cố
- Kiểm tra việc khắc phục sự cố, bao gồm:
+ Kiểm tra báo cáo khắc phục sự cố
+ Kiểm tra danh mục sự cố
- Kiểm tra việc cập nhật phần mềm, bao gồm:
+ Kiểm tra báo cáo cập nhật
- Kiểm tra việc sao lưu phục hồi hệ thống, bao gồm:
+ Kiểm tra nhật ký duy trì vận hành hệ thống
+ Kiểm tra báo cáo phục hồi hệ thống
- Kiểm tra việc quản lý thông tin cấu hình, bao gồm:
+ Kiểm tra nhật ký quản lý thông tin
Bảng số 321
|
STT |
Danh mục công việc |
KS2 |
|
1 |
Kiểm tra việc kiểm tra, giám sát hệ thống |
|
|
- |
Kiểm tra nhật ký duy trì vận hành hệ thống |
1 |
|
2 |
Kiểm tra việc ghi nhận sự cố |
|
|
- |
Kiểm tra nhật ký duy trì vận hành hệ thống |
1 |
|
- |
Kiểm tra danh mục sự cố |
1 |
|
3 |
Kiểm tra việc phân tích sự cố |
|
|
- |
Kiểm tra báo cáo phân tích và đề xuất giải pháp khắc phục sự cố |
1 |
|
4 |
Kiểm tra việc khắc phục sự cố |
|
|
- |
Kiểm tra báo cáo khắc phục sự cố |
1 |
|
- |
Kiểm tra danh mục sự cố |
1 |
|
5 |
Kiểm tra việc cập nhật phần mềm |
|
|
- |
Kiểm tra báo cáo cập nhật |
1 |
|
6 |
Kiểm tra việc sao lưu phục hồi hệ thống |
|
|
- |
Kiểm tra nhật ký duy trì vận hành hệ thống |
1 |
|
- |
Kiểm tra báo cáo phục hồi hệ thống |
1 |
|
7 |
Kiểm tra việc quản lý thông tin cấu hình |
|
|
- |
Kiểm tra nhật ký quản lý thông tin |
1 |
Bảng số 322
|
STT |
Danh mục công việc |
Định mức |
|
1 |
Kiểm tra việc kiểm tra, giám sát hệ thống |
|
|
- |
Kiểm tra nhật ký duy trì vận hành hệ thống |
0,020 |
|
2 |
Kiểm tra việc ghi nhận sự cố |
|
|
- |
Kiểm tra nhật ký duy trì vận hành hệ thống |
0,010 |
|
- |
Kiểm tra danh mục sự cố |
0,010 |
|
3 |
Kiểm tra việc phân tích sự cố |
|
|
- |
Kiểm tra báo cáo phân tích và đề xuất giải pháp khắc phục sự cố |
0,020 |
|
4 |
Kiểm tra việc khắc phục sự cố |
|
|
- |
Kiểm tra báo cáo khắc phục sự cố |
0,010 |
|
- |
Kiểm tra danh mục sự cố |
0,010 |
|
5 |
Kiểm tra việc cập nhật phần mềm |
|
|
- |
Kiểm tra báo cáo cập nhật |
0,020 |
|
6 |
Kiểm tra việc sao lưu phục hồi hệ thống |
|
|
- |
Kiểm tra nhật ký duy trì vận hành hệ thống |
0,010 |
|
- |
Kiểm tra báo cáo phục hồi hệ thống |
0,010 |
|
7 |
Kiểm tra việc quản lý thông tin cấu hình |
|
|
- |
Kiểm tra nhật ký quản lý thông tin |
0,040 |
Bảng số 323
|
STT |
Thiết bị |
ĐVT |
Công suất (kW) |
Kiểm tra nhật ký duy trì vận hành hệ thống (1) |
Kiểm tra nhật ký duy trì vận hành hệ thống (2) |
Kiểm tra danh mục sự cố |
Kiểm tra báo cáo phân tích và đề xuất giải pháp khắc phục sự cố |
Kiểm tra báo cáo khắc phục sự cố |
Kiểm tra danh mục sự cố |
Kiểm tra báo cáo cập nhật |
Kiểm tra nhật ký duy trì vận hành hệ thống (6) |
Kiểm tra báo cáo phục hồi hệ thống |
Kiểm tra nhật ký quản lý thông tin |
|
1 |
Máy tính để bàn |
Bộ |
0,4 |
0,0120 |
0,0060 |
0,0060 |
0,0120 |
0,0060 |
0,0060 |
0,0120 |
0,0060 |
0,0060 |
0,0024 |
|
2 |
Điều hoà nhiệt độ |
Cái |
2,2 |
0,0027 |
0,0013 |
0,0013 |
0,0027 |
0,0013 |
0,0013 |
0,0027 |
0,0013 |
0,0013 |
0,0005 |
|
3 |
Điện năng |
kW |
|
0,0898 |
0,0449 |
0,0449 |
0,0898 |
0,0449 |
0,0449 |
0,0898 |
0,0449 |
0,0449 |
0,1797 |
Bảng số 324
|
STT |
Dụng cụ |
ĐVT |
Thời hạn (tháng) |
Kiểm tra nhật ký duy trì vận hành hệ thống (1) |
Kiểm tra nhật ký duy trì vận hành hệ thống (2) |
Kiểm tra danh mục sự cố |
Kiểm tra báo cáo phân tích và đề xuất giải pháp khắc phục sự cố |
Kiểm tra báo cáo khắc phục sự cố |
Kiểm tra danh mục sự cố |
Kiểm tra báo cáo cập nhật |
Kiểm tra nhật ký duy trì vận hành hệ thống (6) |
Kiểm tra báo cáo phục hồi hệ thống |
Kiểm tra nhật ký quản lý thông tin |
|
1 |
Ghế |
Cái |
96 |
0,0160 |
0,0080 |
0,0080 |
0,0160 |
0,0080 |
0,0080 |
0,0160 |
0,0080 |
0,0080 |
0,0320 |
|
2 |
Bàn làm việc |
Cái |
96 |
0,0160 |
0,0080 |
0,0080 |
0,0160 |
0,0080 |
0,0080 |
0,0160 |
0,0080 |
0,0080 |
0,0320 |
|
3 |
Quạt trần 0,1 kW |
Cái |
96 |
0,0027 |
0,0013 |
0,0013 |
0,0027 |
0,0013 |
0,0013 |
0,0027 |
0,0013 |
0,0013 |
0,0054 |
|
4 |
Đèn neon 0,04 kW |
Bộ |
24 |
0,0040 |
0,0020 |
0,0020 |
0,0040 |
0,0020 |
0,0020 |
0,0040 |
0,0020 |
0,0020 |
0,0080 |
|
5 |
Điện năng |
kW |
|
0,0036 |
0,0018 |
0,0018 |
0,0036 |
0,0018 |
0,0018 |
0,0036 |
0,0018 |
0,0018 |
0,0072 |
2.4. Định mức vật liệu
Bước này không sử dụng vật liệu
3. Lập hồ sơ kiểm tra, nghiệm thu
3.1. Định mức lao động
- Kiểm tra, nghiệm thu công tác sửa chữa, hoàn chỉnh các sai sót trong quá trình thi công của đơn vị thi công.
- Tổng hợp các ý kiến kiểm tra (công việc này không tính định mức).
- Lập hồ sơ nghiệm thu dự án.
Không phân loại khó khăn tại bước này.
Bảng số 325
|
STT |
Danh mục công việc |
KS1 |
|
1 |
Kiểm tra, nghiệm thu công tác sửa chữa, hoàn chỉnh các sai sót trong quá trình thi công của đơn vị thi công |
1 |
|
2 |
Lập hồ sơ nghiệm thu dự án |
1 |
Bảng số 326
|
STT |
Danh mục công việc |
Định mức |
|
1 |
Kiểm tra, nghiệm thu công tác sửa chữa, hoàn chỉnh các sai sót trong quá trình thi công của đơn vị thi công |
0,30 |
|
2 |
Lập hồ sơ nghiệm thu dự án |
0,20 |
Bảng số 327
|
STT |
Thiết bị |
ĐVT |
Công suất (kW) |
Kiểm tra, nghiệm thu công tác sửa chữa, hoàn chỉnh các sai sót trong quá trình thi công của đơn vị thi công |
Lập hồ sơ nghiệm thu dự án |
|
1 |
Máy tính để bàn |
Bộ |
0,4 |
0,180 |
0,120 |
|
2 |
Máy in laser |
Cái |
0,6 |
0,013 |
0,008 |
|
3 |
Điều hoà nhiệt độ |
Cái |
2,2 |
0,040 |
0,027 |
|
4 |
Máy photocopy |
Cái |
1,5 |
0,009 |
0,006 |
|
5 |
Điện năng |
kW |
|
1,525 |
1,016 |
Bảng số 328
|
STT |
Dụng cụ |
ĐVT |
Thời hạn (tháng) |
Kiểm tra, nghiệm thu công tác sửa chữa, hoàn chỉnh các sai sót trong quá trình thi công của đơn vị thi công |
Lập hồ sơ nghiệm thu dự án |
|
1 |
Ghế |
Cái |
96 |
0,240 |
0,160 |
|
2 |
Bàn làm việc |
Cái |
96 |
0,240 |
0,160 |
|
3 |
Quạt trần 0,1 kW |
Cái |
96 |
0,040 |
0,027 |
|
4 |
Đèn neon 0,04 kW |
Bộ |
24 |
0,060 |
0,040 |
|
5 |
Ổ ghi đĩa DVD |
Bộ |
69 |
0,600 |
0,200 |
|
6 |
Điện năng |
kW |
|
0,054 |
0,036 |
Bảng số 329
|
STT |
Vật liệu |
ĐVT |
Kiểm tra, nghiệm thu công tác sửa chữa, hoàn chỉnh các sai sót trong quá trình thi công của đơn vị thi công |
Lập hồ sơ nghiệm thu dự án |
|
1 |
Giấy in A4 |
Gram |
0,100 |
0,150 |
|
2 |
Mực in laser |
Hộp |
0,010 |
0,010 |
|
3 |
Sổ |
Quyển |
0,020 |
0,025 |
|
4 |
Đĩa DVD |
Cái |
1,000 |
1,000 |
|
5 |
Cặp để tài liệu |
Cái |
1,000 |
1,000 |
PHỤ LỤC SỐ 01:
|
TT |
Tên sản phẩm |
Tên mẫu biểu |
Dạng lưu trữ |
Mẫu |
|
1 |
Tài liệu yêu cầu người dùng (URD) |
XD.01 |
Số và giấy |
|
|
2 |
Tài liệu đặc tả yêu cầu hệ thống (SRS) |
XD.02 |
Số và giấy |
|
|
3 |
Báo cáo thuyết minh kiến trúc phần mềm |
XD.03 |
Số và giấy |
|
|
4 |
Báo cáo thuyết minh biểu đồ THSD |
XD.04 |
Số và giấy |
|
|
5 |
Báo cáo thuyết minh biểu đồ tuần tự |
XD.05 |
Số và giấy |
|
|
6 |
Báo cáo thuyết minh biểu đồ lớp |
XD.06 |
Số và giấy |
|
|
7 |
Báo cáo thuyết minh mô hình cơ sở dữ liệu |
XD.07 |
Số và giấy |
|
|
8 |
Báo cáo thiết kế giao diện phần mềm. |
XD.08 |
Số và giấy |
|
|
9 |
Báo cáo kiểm tra theo quy tắc lập trình |
XD.09 |
Số và giấy |
|
|
10 |
Báo cáo kiểm tra các thành phần của hệ thống |
XD.10 |
Số và giấy |
|
|
11 |
Báo cáo kiểm tra toàn bộ hệ thống |
XD.11 |
Số và giấy |
|
|
12 |
Tài liệu hướng dẫn cài đặt và sử dụng phần mềm |
|
Số và giấy |
|
|
13 |
Phần mềm đã được đóng gói hoàn chỉnh |
|
Số |
|
|
14 |
Biên bản bàn giao sản phẩm |
XD.12 |
Số và giấy |
|
|
15 |
Báo cáo bảo trì phần mềm |
XD.13 |
Số và giấy |
|
|
16 |
Báo cáo yêu cầu thay đổi |
XD.14 |
Số và giấy |
|
PHỤ LỤC SỐ 02:
Danh mục sản phẩm bước duy trì, vận hành hệ thống thông tin ngành tài nguyên và môi trường
|
TT |
Tên sản phẩm |
Tên mẫu biểu |
Dạng lưu trữ |
Mẫu |
|
1 |
Mô tả phần mềm hỗ trợ việc quản lý, khai thác cơ sở dữ liệu ngành tài nguyên và môi trường |
|
|
|
|
2 |
Mô tả thông tin phần cứng công nghệ thông tin |
|
|
|
|
3 |
Mô tả thông tin phần cứng phần mềm hệ thống |
|
|
|
|
4 |
Nhật ký duy trì vận hành hệ thống |
VH.01 |
Số và giấy |
|
|
5 |
Danh mục sự cố |
VH.02 |
Số và giấy |
|
|
6 |
Báo cáo phân tích và đề xuất giải pháp khắc phục sự cố |
VH.03 |
Số và giấy |
|
|
7 |
Báo cáo khắc phục sự cố |
VH.04 |
Số và giấy |
|
|
8 |
Báo cáo duy trì, vận hành |
VH.05 |
Số và giấy |
|
|
9 |
Báo cáo phục hồi hệ thống |
VH.06 |
Số và giấy |
|
|
10 |
Báo cáo nâng cấp hệ thống |
VH.07 |
Số và giấy |
|
|
11 |
Nhật ký hỗ trợ người dùng |
VH.08 |
Số và giấy |
|
|
12 |
Nhật ký bảo dưỡng, thay thế |
VH.09 |
Số và giấy |
|
|
13 |
Báo cáo bảo dưỡng, thay thế |
VH.10 |
Số và giấy |
|
|
14 |
Báo cáo sao lưu |
VH.11 |
Số và giấy |
|
|
15 |
Nhật ký quản lý thông tin, cấu hình |
VH.12 |
Số và giấy |
|
PHỤ LỤC SỐ 03:
Danh mục sản phẩm bước kiểm tra, nghiệm thu sản phẩm công nghệ thông tin ngành tài nguyên và môi trường
|
TT |
Tên sản phẩm |
Tên mẫu biểu |
Dạng lưu trữ |
Mẫu |
|
1 |
Phiếu ý kiến kiểm tra hồ sơ kiểm tra, nghiệm thu của đơn vị thi công |
KT.01 |
Số và giấy |
|
|
2 |
Phiếu ý kiến kiểm tra xác định yêu cầu phần mềm |
KT.02 |
Số và giấy |
|
|
3 |
Phiếu ý kiến kiểm tra phân tích, thiết kế phần mềm |
KT.03 |
Số và giấy |
|
|
4 |
Phiếu ý kiến kiểm tra chất lượng phần mềm |
KT.04 |
Số và giấy |
|
|
5 |
Phiếu ý kiến kiểm tra triển khai phần mềm ứng dụng |
KT.05 |
Số và giấy |
|
|
6 |
Biên bản bàn giao tài liệu, sản phẩm |
KT.06 |
Số và giấy |
|
|
7 |
Phiếu ý kiến kiểm tra kết quả kiểm tra giám sát HTPMCSDL |
KT.07 |
Số và giấy |
|
|
8 |
Phiếu ý kiến kiểm tra kết quả sao lưu phục hồi hệ thống |
KT.08 |
Số và giấy |
|
|
9 |
Phiếu ý kiến kiểm tra cài đặt bản vá lỗi |
KT.09 |
Số và giấy |
|
|
10 |
Phiếu ý kiến kiểm tra hỗ trợ người dùng |
KT.10 |
Số và giấy |
|
|
11 |
Phiếu kết quả duy trì vận hành, bảo dưỡng hệ thống phần cứng |
KT.11 |
Số và giấy |
|
|
12 |
Phiếu ý kiến kiểm tra nâng cấp Firmware hệ thống phần cứng |
KT.12 |
Số và giấy |
|
|
13 |
Phiếu ý kiến kiểm tra cập nhật phần mềm |
KT.13 |
Số và giấy |
|
|
14 |
Phiếu ý kiến kiểm tra thông tin cấu hình |
KT.14 |
Số và giấy |
|
|
15 |
Biên bản kiểm tra, nghiệm thu |
KT.15 |
Số và giấy |
|
|
16 |
Biên bản xác nhận sửa chữa sau khi kiểm tra giữa đơn vị kiểm tra với đơn vị thi công theo |
KT.16 |
Số và giấy |
|
|
17 |
Báo cáo kiểm tra, nghiệm thu chất lượng, khối lượng |
KT.17 |
Số và giấy |
|
|
18 |
Biên bản nghiệm thu hoàn thành dự án |
KT.18 |
Số và giấy |
|
|
|
KT. BỘ TRƯỞNG
Trần Quý Kiên |
Bạn chưa Đăng nhập thành viên.
Đây là tiện ích dành cho tài khoản thành viên. Vui lòng Đăng nhập để xem chi tiết. Nếu chưa có tài khoản, vui lòng Đăng ký tại đây!
Bạn chưa Đăng nhập thành viên.
Đây là tiện ích dành cho tài khoản thành viên. Vui lòng Đăng nhập để xem chi tiết. Nếu chưa có tài khoản, vui lòng Đăng ký tại đây!





















