- Tổng quan
- Nội dung
- Tiêu chuẩn liên quan
- Lược đồ
- Tải về
Tiêu chuẩn Quốc gia TCVN 13088:2020 Chất lượng nước - Xác định nhiệt độ
| Số hiệu: | TCVN 13088:2020 | Loại văn bản: | Tiêu chuẩn Việt Nam |
| Cơ quan ban hành: | Bộ Khoa học và Công nghệ | Lĩnh vực: | Tài nguyên-Môi trường |
|
Ngày ban hành:
Ngày ban hành là ngày, tháng, năm văn bản được thông qua hoặc ký ban hành.
|
2020 |
Hiệu lực:
|
Đã biết
|
| Người ký: | Đang cập nhật |
Tình trạng hiệu lực:
Cho biết trạng thái hiệu lực của văn bản đang tra cứu: Chưa áp dụng, Còn hiệu lực, Hết hiệu lực, Hết hiệu lực 1 phần; Đã sửa đổi, Đính chính hay Không còn phù hợp,...
|
Đã biết
|
TÓM TẮT TIÊU CHUẨN VIỆT NAM TCVN 13088:2020
Nội dung tóm tắt đang được cập nhật, Quý khách vui lòng quay lại sau!
Tải tiêu chuẩn Việt Nam TCVN 13088:2020
TIÊU CHUẨN QUỐC GIA
TCVN 13088:2020
CHẤT LƯỢNG NƯỚC - XÁC ĐỊNH NHIỆT ĐỘ
Water quality - Determination of water temperature
Lời nói đầu
TCVN 13088:2020 xây dựng trên cơ sở tham khảo SMEWW 2550:2017 Standard methods for examination of water and wastewater - Temperature.
TCVN 13088:2020 do Ban kỹ thuật tiêu chuẩn quốc gia TCVN/TC 147 Chất lượng nước biên soạn, Tổng cục Tiêu chuẩn Đo lường Chất lượng đề nghị, Bộ Khoa học và Công nghệ công bố.
Lời giới thiệu
Chỉ số nhiệt độ được sử dụng trong tính toán độ bão hòa và độ ổn định liên quan đến canxi cacbonat, trong tính toán độ mặn, trong một số thử nghiệm đo màu và trong các hoạt động thí nghiệm nói chung. Trong các nghiên cứu về lý thuyết, thường yêu cầu các kiến thức về nhiệt độ nước là một hàm số của độ sâu. Nhiệt độ cao do xả nước nóng có thể có tác động đáng kể đến hệ sinh thái. Nguồn cung cấp nước, như giếng sâu, thường có thể được xác định chỉ bằng các phép đo nhiệt độ. Các nhà máy công nghiệp thường yêu cầu dữ liệu về nhiệt độ nước đối với các quá trình sử dụng hoặc dùng để tính toán sự truyền nhiệt.
CHẤT LƯỢNG NƯỚC - XÁC ĐỊNH NHIỆT ĐỘ
Water quality - Determination of water temperature
1 Phạm vi áp dụng
Tiêu chuẩn này quy định phương pháp xác định nhiệt độ của nước (nước cấp, nước giếng, nước thải,...)
2 Tài liệu viện dẫn
Các tài liệu viện dẫn sau rất cần thiết cho việc áp dụng tiêu chuẩn này. Đối với các tài liệu viện dẫn ghi năm công bố thì áp dụng phiên bản được nêu. Đối với các tài liệu viện dẫn không ghi năm công bố thì áp dụng phiên bản mới nhất, bao gồm cả các sửa đổi, bổ sung (nếu có).
TCVN 6663-1 (ISO 5667-1), Chất lượng nước - Lấy mẫu. Phần 1: Hướng dẫn kỹ thuật lấy mẫu và bảo quản mẫu.
SMEWW 2020:2017, Standard methods for examination of water and wastewater - Quality assurance/Quality control.
3 Nguyên tắc của phương pháp
Phương pháp này sử dụng nhiệt kế để đo trực tiếp nhiệt độ của mẫu nước.
4 Thiết bị, dụng cụ
4.1 Nhiệt kế thủy tinh, có bầu chất lỏng tiêu chuẩn.
4.2 Nhiệt kế điện tử, có đầu đọc analog hoặc kỹ thuật số.
4.3 Nhiệt kế đảo chiều (nhiệt điện hoặc nhiệt điện trở).
5 Lấy mẫu và bảo quản mẫu
Việc lấy mẫu và bảo quản mẫu theo TCVN 6663-1 (ISO 5667-1).
6 Cách tiến hành
6.1 Đo nhiệt độ của mẫu trong phòng thí nghiệm
Thông thường, nhiệt độ có thể được đo bằng nhiệt kế thủy tinh hoặc nhiệt kế điện tử. Thiết bị phải có khả năng phân biệt sự thay đổi nhiệt độ từ 0,1 °C và cân bằng nhanh chóng (có nhiệt dung tối thiểu).
Tránh sử dụng nhiệt kế chứa thủy ngân vì có khả năng thủy ngân giải phóng vào môi trường nếu nhiệt kế bị vỡ. Để tránh bị vỡ khi sử dụng tại hiện trường, cần sử dụng nhiệt kế có vỏ kim loại.
Kiểm tra định kỳ độ lệch của thiết bị (trong phạm vi nhiệt độ sử dụng) so với nhiệt kế tham chiếu đã được chứng nhận. Nhiệt kế được chứng nhận phải được sử dụng với chứng chỉ và biểu đồ hiệu chính.
Nhiệt kế ngâm hoàn toàn được thiết kế để có được nhiệt độ chính xác khi bầu cảm biến nhiệt và toàn bộ cột chất lỏng tiếp xúc với nhiệt độ được đo (ngoại trừ chiều dài nổi tối thiểu để xử lý). Nhiệt kế ngâm không hoàn toàn có một đường giới hạn bao quanh nhiệt kế và cách đáy nhiệt kế một khoảng, biểu thị chính xác khi bầu cảm biến nhiệt và cột chất lỏng ở vạch đó tiếp xúc với nhiệt độ cần xác định và thân nhiệt kế nổi lên ở nhiệt độ môi trường.
6.2 Đo nhiệt độ của mẫu ở độ sâu
Nhiệt độ ở độ sâu cần thiết cho các nghiên cứu về mặt địa lý có thể được đo bằng nhiệt kế đảo chiều, nhiệt điện hoặc nhiệt điện trở. Trước khi sử dụng tại hiện trường, kiểm tra hiệu chuẩn của thiết bị đo nhiệt độ theo quy định hiện hành. Đọc phép đo bằng nhiệt kế hoặc thiết bị ngâm trong nước đủ lâu để phép đo cân bằng hoàn toàn. Báo cáo kết quả chính xác đến 0,1 °C hoặc 1,0 °C, tùy theo nhu cầu.
CHÚ THÍCH: Nhiệt điện trở thuận tiện và chính xác nhất, tuy nhiên nhiệt điện trở có chi phí cao.
Nhiệt kế đảo chiều thường được sử dụng cho phép đo ở độ sâu, thường được gắn trên thiết bị lấy mẫu để có thể đồng thời lấy được mẫu nước.
7 Phân tích dữ liệu và tính kết quả
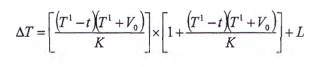
Hiệu chính số đọc, tính theo độ celsius, trên nhiệt kế đảo chiều cho những thay đổi do chênh lệch giữa nhiệt độ khi đảo chiều và nhiệt độ tại thời điểm đọc. Hiệu chính số đọc được cộng đại số vào kết quả đọc chưa chính xác và được tính theo Công thức sau:

Trong đó:
T1 là kết quả đọc chưa chính xác khi đảo chiều;
t là nhiệt độ khi nhiệt kế được đọc;
V0 là độ thể tích của nhiệt kế, thể tích của đầu ống nhỏ (như sợi tóc) tới chia độ 0 °C;
K là hằng số phụ thuộc vào sự giãn nở nhiệt tương đối giữa thủy ngân và thủy tinh (thường giá trị của K = 6100);
L là hiệu chính hiệu chuẩn của nhiệt kế phụ thuộc vào T1
Nếu việc quan sát liên tục được thực hiện, nên xây dựng biểu đồ nhiệt độ nhằm thu được giá trị cho nhiệt kế để lấy ΔT tại bất kỳ giá trị nào của T1 và t.
6 Đảm bảo chất lượng/Kiểm soát chất lượng
Kiểm soát chất lượng là một phần của phương pháp và được thực hiện theo SMEWW 2020:2017.
7 Báo cáo kết quả
Báo cáo kết quả cần bao gồm các nội dung sau:
a) Phương pháp sử dụng, viện dẫn tiêu chuẩn này;
b) Mọi thông tin cần thiết để nhận biết đầy đủ về mẫu thử;
c) Tên của phòng thí nghiệm thực hiện;
d) Ngày và thời gian thử nghiệm;
e) Kết quả đo nhiệt độ;
f) Mọi chi tiết thao tác không được quy định trong tiêu chuẩn này, hoặc được xem là tùy chọn cùng với các chi tiết bất thường mà có thể ảnh hưởng đến kết quả.
Thư mục tài liệu tham khảo
[1] WARREN, H.F. & G.C. WHIPPLE. 1895. The thermophone - A new instrument for determining temperatures. Mass. Inst. Technol. Quart. 8:125.
[2] SVERDRUP, H.V., M.W. JOHNSON & R.H. FLEMING. 1942. The Oceans. Prentice-Hall, Inc., Englewood Cliffs, N.J.
[3] AMERICAN SOCIETY FOR TESTING & MATERIALS. 1949. Standard Specifications for ASTM Thermometers; No. E1-58. Philadelphia, Pa.
[4] REE, W.R. 1953. Thermistors for depth thermometry. J. Amer. Water Works Assoc. 45:259.
[5] NATIONAL INSTITUTE OF STANDARDS AND TECHNOLOGY. 1997. Specifications and Tolerances for Reference Standards and Field Standard Weights and Measures; NIST Handbook 105-6. Gaithersburg, Md.
Bạn chưa Đăng nhập thành viên.
Đây là tiện ích dành cho tài khoản thành viên. Vui lòng Đăng nhập để xem chi tiết. Nếu chưa có tài khoản, vui lòng Đăng ký tại đây!