- Tổng quan
- Nội dung
- Tiêu chuẩn liên quan
- Lược đồ
- Tải về
Tiêu chuẩn Quốc gia TCVN 12260-3:2018 Chất lượng nước - Phương pháp thử sử dụng đo xạ khí
| Số hiệu: | TCVN 12260-3:2018 | Loại văn bản: | Tiêu chuẩn Việt Nam |
| Cơ quan ban hành: | Bộ Khoa học và Công nghệ | Lĩnh vực: | Tài nguyên-Môi trường |
|
Ngày ban hành:
Ngày ban hành là ngày, tháng, năm văn bản được thông qua hoặc ký ban hành.
|
13/07/2018 |
Hiệu lực:
|
Đã biết
|
| Người ký: | Đang cập nhật |
Tình trạng hiệu lực:
Cho biết trạng thái hiệu lực của văn bản đang tra cứu: Chưa áp dụng, Còn hiệu lực, Hết hiệu lực, Hết hiệu lực 1 phần; Đã sửa đổi, Đính chính hay Không còn phù hợp,...
|
Đã biết
|
TÓM TẮT TIÊU CHUẨN VIỆT NAM TCVN 12260-3:2018
Tiêu chuẩn Quốc gia TCVN 12260-3:2018: Phương pháp thử radon-222 trong nước
Tiêu chuẩn Quốc gia TCVN 12260-3:2018 ISO 13164-3:2013, được Bộ Khoa học và Công nghệ ban hành ngày 14/12/2018, có hiệu lực từ ngày 01/01/2019, quy định phương pháp thử để xác định nồng độ hoạt độ của radon-222 trong mẫu nước. Tiêu chuẩn này là một phần của bộ tiêu chuẩn về chất lượng nước liên quan đến các nuclit phóng xạ, có tầm quan trọng trong việc đảm bảo an toàn sức khỏe cho người tiêu dùng từ nguồn nước.
Nội dung chủ yếu của tiêu chuẩn:
Phương pháp thử: Tiêu chuẩn quy định phương pháp đo nồng độ radon-222 bằng cách tách vi khí radon từ nước sang khí, sử dụng thiết bị phù hợp như buồng ion hóa hoặc cuvet nhấp nháy. Phép đo nên được thực hiện nhanh chóng, lý tưởng là trong vòng dưới 1 giờ để đảm bảo độ chính xác và hiệu lực.
Yêu cầu về mẫu: Mẫu nước phải được lấy và bảo quản đúng quy định, đảm bảo là mẫu đại diện với thể tích tối thiểu khoảng 1 lít. Việc lấy mẫu cần kiểm soát môi trường để giảm thiểu sự ảnh hưởng từ radon trong không khí và các yếu tố khác.
Giá trị giới hạn an toàn: Hướng dẫn từ Tổ chức Y tế Thế giới (WHO) chỉ ra rằng cần kiểm soát nồng độ radon trong nước uống nếu vượt quá 100 Bq L-1. Các nguồn nước mới phải được thử nghiệm trước khi đưa vào sử dụng trong tiêu dùng công cộng.
Chất lượng và hiệu chuẩn: Các phòng thử nghiệm cần có năng lực đủ để thực hiện các phép đo này và phải tuân thủ các yêu cầu về chất lượng, đảm bảo tính hợp lệ của phương pháp thử với các quy định tiêu chuẩn quốc tế.
Công báo thử nghiệm: Kết quả thử nghiệm cần được ghi chép cẩn thận, bao gồm cả thông tin về phương pháp thử, nhận dạng mẫu, thời gian và địa điểm lấy mẫu. Kết quả phải được thể hiện rõ ràng, bao gồm nồng độ radon trong những đơn vị thích hợp và độ không đảm bảo liên quan.
Tiêu chuẩn TCVN 12260-3 sẽ hỗ trợ các phòng thử nghiệm trong việc đánh giá và đảm bảo an toàn cho nguồn nước uống, từ đó góp phần bảo vệ sức khỏe cộng đồng trước những rủi ro từ radon và các nguồn phóng xạ khác.
Tải tiêu chuẩn Việt Nam TCVN 12260-3:2018
TIÊU CHUẨN QUỐC GIA
TCVN 12260-3:2018
ISO 13164-3:2013
CHẤT LƯỢNG NƯỚC - RADON 222 - PHẦN 3: PHƯƠNG PHÁP THỬ SỬ DỤNG ĐO XẠ KHÍ
Water quality - Radon-222 - Part 3: Test method using emanometry
Lời nói đầu
TCVN 12260-3:2018 hoàn toàn tương đương với ISO 13164-3:2013;
TCVN 12260-3:2018 do Ban kỹ thuật tiêu chuẩn quốc gia TCVN/TC147 Chất lượng nước biên soạn, Tổng cục Tiêu chuẩn Đo lường Chất lượng đề nghị, Bộ Khoa học và Công nghệ công bố.
Bộ TCVN 12260 (ISO 13164) Chất lượng nước - Radon-222 gồm có các tiêu chuẩn sau:
- TCVN 12260-1:2018 (IS013164-1:2013), Phần 1: Nguyên tắc chung.
- TCVN 12260-2:2018 (ISO 13164-2:2013), Phần 2: Phương pháp thử sử dụng phổ tia gamma.
- TCVN 12260-3:2018 (ISO 13164-3:2013), Phần 3: Phương pháp thử sử dụng đo xạ khí.
- TCVN 12260-4:2018 (ISO 13164-4:2013), Phần 4: Phương pháp thử sử dụng đếm nhấp nháy lỏng hai pha.
Lời giới thiệu
Hoạt độ phóng xạ từ một số nguồn tự nhiên và nhân tạo có trong khắp môi trường. Vì vậy, các thủy vực (nước mặt, nước ngầm, nước biển) có thể chứa các nuclit phóng xạ có nguồn gốc tự nhiên và nhân tạo.
- Các nuclit phóng xạ tự nhiên, bao gồm cả kali-40, và các nuclit phóng xạ có nguồn gốc khác từ dãy phân rã thori và urani, cụ thể như radi-226, radi-228, urani-234, urani-238 và chì-210 có thể được tìm thấy trong nước với các nguyên nhân tự nhiên (ví dụ, sự giải hấp từ đất và sự rửa trôi do nước mưa) hoặc có thể được sinh ra từ các quá trình công nghệ liên quan đến các vật liệu phóng xạ tồn tại tự nhiên (ví dụ khai thác mỏ và quá trình chế biến sa khoáng hoặc quá trình sản xuất và sử dụng phân bón phốt phát).
- Các nuclit phóng xạ nhân tạo như các nguyên tố siêu urani (americi, plutoni, neptun, curium), triti, cacbon-14, stronti-90 và một số nuclit phóng xạ phát tia gama cũng có thể tìm thấy trong nước tự nhiên vì các nguyên tố này được cho phép phát thải hàng ngày vào trong môi trường với số lượng nhỏ trong dòng thải từ các cơ sở chu trình nhiên liệu hạt nhân và việc sử dụng chúng ở dạng hở trong y học hoặc công nghiệp. Những nguyên tố này cũng có thể được tìm thấy trong nước do bụi phóng xạ trong quá khứ từ các vụ nổ trong khí quyển của các vũ khí hạt nhân hoặc từ các sự cố hạt nhân tại Chernobyl và Fukushima.
Do vậy, nước uống có thể chữa các nuclit phóng xạ ở nồng độ hoạt độ có thể gây rủi ro tới sức khỏe của con người. Để đánh giá chất lượng của nước uống (bao gồm cả nước khoáng và nước suối) về hàm lượng nuclit phóng xạ của nước và để đưa ra hướng dẫn về việc giảm thiểu các rủi ro sức khỏe bằng việc tiến hành biện pháp giảm các nồng độ hoạt độ nuclit phóng xạ, các nguồn nước (nước ngầm, nước sông, nước hồ, nước biển, v.v..) và nước uống cần được kiểm tra về mức hoạt độ phóng xạ của chúng do Tổ chức Sức khỏe Thế giới (WHO) khuyến nghị.
Các phương pháp thử tiêu chuẩn về nồng độ hoạt độ radon-222 trong các mẫu nước là cần thiết cho các phòng thử nghiệm tiến hành các phép đo này để đảm bảo tuân thủ các yêu cầu theo quy định. Các phòng thử nghiệm có thể phải xin cấp phép để được phép đo nuclit phóng xạ trong các mẫu nước uống.
Nồng độ hoạt độ radon trong nước mặt là rất thấp, thường dưới 1 Bq L-1. Trong nước dưới đất, nồng độ hoạt độ thay đổi từ 1 Bq L-1 đến 50 Bq L-1 trong các tầng đá trầm tích, từ 10 Bq L-1 đến 300 Bq L-1 trong các giếng khoan, và từ 100 Bq L-1 đến 1000 Bq L-1 trong đá tinh thể. Các nồng độ hoạt độ cao nhất thường đo được trong đá với nồng độ uran cao (xem Tài liệu tham khảo [30]).
Sự thay đổi lớn về nồng độ hoạt độ của radon trong các tầng chứa nước đã được quan sát. Thậm chí trong một vùng có các loại đá tương đối đồng nhất, một số nước giếng khoan có thể có nồng độ hoạt độ radon cao hơn nhiều so với giá trị trung bình đối với vùng đó. Ghi lại những biến động đáng kể theo mùa (xem Phụ lục A).
Nước có thể hòa tan các hóa chất khi di chuyển trên bề mặt đất tới các tầng chứa nước hoặc nước suối. Nước có thể di chuyển qua hoặc lưu lại một thời gian trong đá, một số địa tầng có thể chứa nồng độ cao các nuclit phóng xạ tự nhiên. Trong các điều kiện địa hóa thuận lợi, nước có thể hòa tan một cách có chọn lọc một số nuclit phóng xạ tự nhiên này.
Hướng dẫn về radon trong nguồn cấp nước uống của WHO năm 2008 đề xuất cần thực hiện kiểm soát nếu nồng độ radon trong nước uống cho nguồn cấp nước công cộng vượt quá 100 Bq L-1. Hướng dẫn này của WHO cũng được khuyến nghị rằng bất cứ nguồn cấp nước mới nào, đặc biệt là nguồn cấp nước công cộng, Sử dụng nước dưới đất làm nguồn cấp nước uống cần được thử nghiệm trước khi đưa vào sử dụng cho sự tiêu dùng chung và nếu nồng độ radon vượt quá 100 Bq L-1, cần thực hiện việc xử lý nguồn nước để giảm các mức radon xuống dưới mức cho phép (Tài liệu tham khảo [16]).
Tiêu chuẩn này thuộc bộ tiêu chuẩn đề cập đến phép đo nồng độ hoạt độ của các nuclit phóng xạ trong các mẫu nước.
Radon-222 và các sản phẩm phân rã sống ngắn có nguồn gốc trong nước và các phương pháp đo được mô tả khái quát trong TCVN 12260-1 (ISO 13164-1).
CHẤT LƯỢNG NƯỚC - RADON 222 - PHẦN 3: PHƯƠNG PHÁP THỬ SỬ DỤNG ĐO XẠ KHÍ
Water quality - Radon-222 - Part 3: Test method using emanometry
CẢNH BÁO - Người sử dụng tiêu chuẩn này phải thành thạo với các thực hành phòng thử nghiệm thông thường. Tiêu chuẩn này không đề cập tới mọi vấn đề an toàn, liên quan đến việc sử dụng, nếu cần. Trách nhiệm của người sử dụng là thiết lập các thực hành thích hợp về an toàn và bảo vệ sức khỏe đảm bảo tuân thủ theo quy định.
QUAN TRỌNG - Tiêu chuẩn này phải được thực hiện bởi nhân viên có trình độ phù hợp.
1 Phạm vi áp dụng
Tiêu chuẩn này quy định phương pháp thử để xác định nồng độ hoạt độ của radon-222 trong mẫu nước với việc chuyển radon từ pha nước sang pha khí bằng việc tách khí và phát hiện radon. Nên thực hiện các phép đo nhanh trong khoảng ít hơn 1 h.
Các nồng độ hoạt độ của radon-222 có thể được đo bằng phương pháp này sử dụng các thiết bị có sẵn hiện nay, dải đo từ 0,1 Bq L-1 đến vài trăm nghìn becquerel trên lít đối với mẫu thử 100 mL.
Phương pháp xạ khí (hả khí) xác định tổng lượng các khí phóng xạ bằng buồng ion hóa được sử dụng cho các mẫu nước uống. Phòng thử nghiệm có trách nhiệm đảm bảo tính hợp lệ của phương pháp thử này đối với các mẫu nước có các nền mẫu không được thử.
Phương pháp thử này có thể được áp dụng tại hiện trường hoặc trong phòng thử nghiệm.
Phụ lục A và Phụ lục B đưa ra các điều kiện đếm cần thiết để phù hợp với độ nhạy yêu cầu đối với quan trắc nước uống.
2 Tài liệu viện dẫn
Các tài liệu viện dẫn sau rất cần thiết cho việc áp dụng tiêu chuẩn này. Đối với các tài liệu viện dẫn ghi năm công bố thì áp dụng phiên bản được nêu. Đối với các tài liệu viện dẫn không ghi năm công bố thì áp dụng phiên bản mới nhất, bao gồm cả các sửa đổi, bổ sung (nếu có).
TCVN 6663-1 (ISO 5667-1), Chất lượng nước - Lấy mẫu - Phần 1: Hướng dẫn thiết kế các chương trình lấy mẫu và kỹ thuật lấy mẫu.
TCVN 6663-3 (ISO 5667-3), Chất lượng nước - Lấy mẫu - Phần 3: Bảo quản và xử lý các mẫu nước
TCVN 12260-1 (ISO 13164-1), Chất lượng nước - Radon 222 - Phần 1: Các nguyên tắc chung
TCVN ISO/IEC 17025, Yêu cầu chung về năng lực của các phòng thử nghiệm và hiệu chuẩn
TCVN 7870-10 (ISO 80000-10), Đại lượng và đơn vị - Phấn 10: Vật lý nguyên tử và hạt nhân.
IEC 61577-1 Radiation protection instrumentation - Radon and radon decay product measuring instruments - Part 1: General principles (Thiết bị bảo vệ bức xạ - Thiết bị đo Radon và các sản phẩm phân rã của Radon - Phần 1: Nguyên tắc chung).
IEC 61577-2, Radiation protection instrumentation - Radon and radon decay product measuring instruments - Part 2: Specific requirements for radon measuring instruments (Thiết bị bảo vệ bức xạ - Thiết bị đo Radon và các sản phẩm phân rã của Radon - Phần 2: Các yêu cầu đặc trưng đối với các thiết bị đo radon).
ISO 11929, Determination of the characteristic limits (decision threshold, detection limit and limits of the confidence Interval) for measurements of ionizing radiation - Fundamentals and application (Xác định các giới hạn đặc tính (ngưỡng quyết định, giới hạn phát hiện và các giới hạn của khoảng tin cậy) để đo bức xạ ion - Cơ sở và ứng dụng).
3 Thuật ngữ, định nghĩa và các ký hiệu
3.1 Thuật ngữ và định nghĩa
Tiêu chuẩn này sử dụng các thuật ngữ và định nghĩa trong TCVN 7870-10 (ISO 80000-10) và TCVN 12260-1 (ISO 13164-1).
3.2 Ký hiệu
Tiêu chuẩn này sử dụng các ký hiệu trong TCVN 7878-10 (ISO 80000-10) và TCVN 12260-1 (ISO 13164-1) như sau:
| c | Nồng độ hoạt độ radon do được trong không khí sau khi tách khí, tính bằng becquerel trên mét khối |
| c0 | Nồng độ hoạt độ radon trong không khí của hệ thống đo trước khi tách khí, tính bằng becquerel trên mét khối |
| cA | Nồng độ hoạt độ của radon trong nước, tính bằng becquerel trên lít |
|
| Ngưỡng quyết định, tính bằng becquerel trên lít |
|
| Giới hạn phát hiện, tính bằng becquerel trên lít |
|
| Các giới hạn dưới và giới hạn trên của khoảng tin cậy, tính bằng becquerel trên lít |
| fc | Hệ số chuyển đổi từ mét khối sang lít: 0,001 |
| fd | Hệ số hiệu chính cho phân rã radon trong suốt khoảng thời gian t, không thứ nguyên |
| kp, kq | Phân vị các phân bố chuẩn chuẩn tắc đối với các xác suất, p và q, tương ứng |
| L | Hệ số Ostwald |
| TH2O | Nhiệt độ nước, tính bằng độ Celsius |
| t | Khoảng thời gian giữa việc lấy mẫu và đo, tính bằng giây |
| U | Độ không đảm bảo mở rộng tính được tính bằng U = ku(cA) với k = 2 |
| u(cA) | Độ không đảm bảo chuẩn liên quan đến kết quả đo |
| VH2O | Thể tích mẫu thử, tính bằng lít |
| Va | Thể tích không khí trong hệ thống đo, tính bằng mét khối |
| α, β | Xác suất sai số của loại một và loại hai, tương ứng |
| γ | Xác suất đối với khoảng tin cậy của nồng độ hoạt độ |
| λ | Hằng số phân rã của radon-222, tính bằng nghịch đảo giây |
| ϕ | Hàm phân bố của phân bố chuẩn tắc |
4 Nguyên tắc
Xác định nồng độ hoạt độ radon-222 trong nước bằng tách khí vào trong pha khí được dựa trên:
Thu thập mẫu nước đại diện tại thời gian t trong vật chứa phù hợp:
- Chuyển radon đã hòa tan trong nước vào pha khí bằng tách khí;
- Việc phát hiện bức xạ alpha phát ra bởi radon hoặc các sản phẩm phân rã thể rắn của radon có trong không khí.
Nồng độ hoạt độ radon trong nước được xác định từ nồng độ hoạt độ trong pha khí, có tính đến hệ số Ostwald (xem TCVN 12260-1 (ISO 13164-1)).
5 Lấy mẫu
5.1 Yêu cầu chung
Mẫu phải là đại diện của môi trường được phân tích tại thời gian nhất định.
5.2 Yêu cầu lấy mẫu
Lấy mẫu phải được thực hiện phù hợp với các điều kiện và kỹ thuật đã quy định trong TCVN 6663-1 (ISO 5667-1), TCVN 6663-2 (ISO 5667-2). Phải đo và ghi lại nhiệt độ của nước trong quá trình lấy mẫu.
Vật chứa phải được đổ đầy hoàn toàn và đóng nắp sao cho tránh sự cố mặt của không khí phía trên mẫu.
Vật chứa mẫu phải được đổ đầy sao cho có thể tránh làm tách radon trong mẫu nước. Sử dụng các kỹ thuật lấy mẫu khác nhau theo tình huống thực tế.
Khi phòng thử nghiệm không trực tiếp lấy mẫu, phòng thử nghiệm phải cung cấp vật chứa cho phép đo và hướng dẫn quy trình lấy mẫu cho người thực hiện việc lấy mẫu.
Cần lấy một số mẫu rời rạc trong trường hợp có các vấn đề phát sinh liên quan đến điều kiện lấy mẫu hoặc sự vận chuyển các mẫu.
5.3 Thể tích mẫu
Kinh nghiệm cho thấy rằng cần ít nhất 1 L mẫu để mẫu là đại diện của môi trường được phân tích.
Khuyến nghị các mẫu có thể tích ít nhất 1 L, nhưng để xác định một cách hiệu quả sử dụng các phần mẫu thử nhỏ hơn.
5.4 Đặc tính của vật chứa
Chọn lựa và chuẩn bị vật chứa phù hợp là quan trọng (xem TCVN 6663-3 (ISO 5667-3)).
Vật chứa và nắp được sử dụng để chứa mẫu phải tuân theo các yêu cầu sau:
- Vật chứa và nắp phải được làm từ các vật liệu trơ, không thấm radon, kỵ nước và dẫn điện (để không hấp thụ radon và các sản phẩm phân rã của radon từ khí quyển xung quanh).
- Vật chứa và nắp phải chống sốc.
Dung tích của vật chứa cần tương thích với thể tích mẫu nước được yêu cầu bởi kỹ thuật tách khi được sử dụng.
6 Vận chuyển và bảo quản
Trong suốt quá trình vận chuyển và bảo quản, mẫu phải được duy trì ở nhiệt độ thấp hơn nhiệt độ của nước ban đầu (nhưng trên 0 °C) cho đến khi phân tích. Vật chứa phải được bảo vệ và nút chặt. Vật chứa phải được đóng gói theo cách thích hợp để ngăn chặn mọi rò rỉ.
Khoảng thời gian vận chuyển và bảo quản trước khi phân tích phải càng ngắn càng tốt với chu kỳ bán rã nhất định của radon, sử dụng nồng độ hoạt độ dự kiến và giới hạn phát hiện của phương pháp đo.
Khi đến phòng thí nghiệm, nếu không thể phân tích ngay, mẫu phải được duy trì ở nhiệt độ thấp hơn nhiệt độ của nước ban đầu (nhưng trên 0 °C). Mẫu phải được phân tích càng sớm càng tốt.
Kinh nghiệm cho thấy thời gian cần thiết giữa lấy mẫu và phân tích không được quá 48 h.
7 Chuyển radon bằng tách khí
7.1 Mục đích
Kỹ thuật này được sử dụng để chuyển radon hòa tan trong pha nước sang pha khí sao cho radon có thể phát hiện được và đo được ở trạng thái khí của radon.
7.2 Nguyên tắc
Vì hệ số Ostwald của radon trong nước là tương đối thấp, nên radon hòa tan sẽ tách pha tự nhiên vào không khí với động lực học tương đối chậm (khoảng vài giờ) (xem TCVN 12260-1 (ISO 13164-1)).
Để thúc đẩy quá trình tách khí, có thể sử dụng một số biện pháp sau:
- Lắc mẫu;
- Sục khí không có radon vào mẫu nước sử dụng bọt khí nhỏ để tăng bề mặt trao đổi không khí;
- Giảm áp suất trong pha khí.
Để cải thiện giới hạn phát hiện của phương pháp đo, cần để nồng độ hoạt độ radon trong không khí sử dụng cho quá trình tách khí càng chậm càng tốt và phải được đo trước khi tách khí radon khỏi nước.
8 Phát hiện
8.1 Mục tiêu
Mục đích của detector là định lượng bức xạ alpha được phát ra từ radon và/hoặc các sản phẩm phân rã thể rắn của radon mà giá trị đó liên quan trực tiếp với nồng độ hoạt độ của radon trong pha khí.
8.2 Nguyên tắc
Có thể sử dụng một số kỹ thuật phát hiện (xem TCVN 10759-1 (ISO 11665-1 /11).
8.3 Nhấp nháy sunfua hoạt tính bằng bạc
Một số electron trong môi trường nhấp nháy, như ZnS(Ag), có đặc tính phát photon đặc trưng bằng việc trở lại trạng thái cơ bản của chúng khi bị kích thích bởi hạt alpha. Các photon phát ra này có thể được phát hiện sử dụng bộ nhân quang.
Đây là nguyên lý được áp dụng cho các cuvet nhấp nháy (như cuvet Lucas) được sử dụng để đo điểm radon (xem Tài liệu tham khảo từ [5] đến [7] và TCVN 10759-6 (ISO 11665-6)[13]).
8.4 lon hóa không khí
Khi di chuyển trong không khi, mỗi hạt alpha tạo ra vài chục nghìn cặp ion, trong một số điều kiện thực nghiệm, các ion này tạo ra dòng ion hóa. Mặc dù dòng ion hóa này rất nhỏ, nhưng chúng có thể đo được bằng cách sử dụng buồng ion hóa mà đưa ra thông tin về nồng độ hoạt độ của radon và các sản phẩm phân rã của radon. Khi thực hiện việc lấy mẫu qua môi trường lọc, chỉ có radon khuếch tán vào trong buồng ion hóa và tín hiệu là tỷ lệ với nồng độ hoạt dộ radon (xem Tài liệu tham khảo từ [8] đến [10] và TCVN10759-5 (ISO 11665-5)[2]).
8.5 Bộ bán dẫn (phát hiện alpha)
Detector bán dẫn, ví dụ được làm từ silic, sẽ chuyển đổi năng lượng từ hạt alpha thành hạt tích điện. Các hạt tích điện này được chuyển thành xung có biên độ tỷ lệ với năng lượng của các hạt anpha do radon và các sản phẩm phân rã sống ngắn của radon phát ra (xem Tài liệu tham khảo từ [11] đến [13]).
CHÚ THÍCH: Nguyên tắc phát hiện này đôi khi có liên quan với sự kết tủa tĩnh diện của các đồng vị phát anpha.
9 Chương trình kiểm soát chất lượng và đảm bảo chất lượng
9.1 Khái quát
Các hoạt động kiểm soát chất lượng phải đáp ứng các yêu cầu của TCVN ISO/IEC 17025.
9.2 Các đại lượng ảnh hưởng
Một số đại lượng có thể dẫn đến độ chệch của phép đo và tạo ra các kết quả không có tính đại diện. Trong trường hợp cụ thể của phương pháp đo xạ khí, các đại lượng ảnh hưởng có thể tác động đến quá trình đo: việc lấy mẫu; vận chuyển và bảo quản mẫu; chuyển radon từ pha lỏng sang pha khác; và các phép đo nồng độ hoạt độ radon:
Trong quá trình lấy mẫu cần xem xét các yếu tố sau:
- Nhiệt độ nước;
- Dòng chảy rối trong nước;
- Thể tlch của không khí trong vật chứa.
Trong quá trình chuyển radon từ nước sang không khí bằng sự tách khí, phải tính đến ảnh hưởng của nhiệt độ nước.
Trong quá trình đo, phải xem xét cụ thể các yếu tố:
- Các điều kiện bảo quản detector trước khi bắt đầu đo;
- Tính ổn định về đặc tính của hệ thống phát hiện (sự nhiễm bẩn của bề mặt phát hiện; sự bão hòa, v.v...);
- Khả năng xuất hiện của các chất phát alpha khác (các đồng vị radon) trong thể tích phát hiện.
Khi sự trễ giữa việc lấy mẫu đến phân tích quá lâu, cần xem xét sự có mặt của radi hòa tan trong nước như là một đại lượng ảnh hưởng.
Khi nghi ngờ sự có mặt của 226Ra, tiến hành đo lần hai trên cùng một mẫu sau một khoảng thời gian bằng 10 lần giá trị chu kỳ bán rã của 222Rn (38 ngày). Nếu nồng độ hoạt độ radon không khác đáng kể so với kết quả đo ban đầu thì có thể bỏ qua sự đóng góp của 226Ra. Nếu không phải vậy, cần xác định nồng độ hoạt độ của 226Ra có trong mẫu nước.
9.3 Kiểm định thiết bị
Các thông số thiết bị chính (hiệu suất, phông nền) phải được kiểm tra định kỳ trong chương trình đảm bảo chất lượng được phòng thử nghiệm thiết lập và theo hướng dẫn của nhà sản xuất.
9.4 Kiểm định phương pháp
Kiểm tra định kỳ độ chính xác của phương pháp bằng cách:
- Tham gia thực hiện liên phòng thử nghiệm;
- Phân tích các mẫu chuẩn.
Phương pháp lặp lại cũng cần được kiểm tra, ví dụ bằng các phép đo lặp.
Cần xác định các giới hạn chấp nhận của các phép thử đã đề cập trong phần trước đó.
9.5 Chứng minh năng lực của người phân tích
Nếu trước đây người phân tích chưa từng sử dụng quy trình này, thì phép thử độ chệch và độ chụm phải được thực hiện bằng việc lặp lại các phép thử của chất chuẩn hoặc chất thêm chuẩn. Các giới hạn chấp nhận cho các kết quả thử nghiệm phải được phòng thử nghiệm xác định.
Người phân tích phải thực hiện các phép thử tương tự hàng ngày bằng quy trình này với việc xác định định kỳ bởi phòng thử nghiệm. Phải xác định các giới hạn chấp nhận cho các kết quả thử.
10 Biểu thị kết quả
10.1 Nồng độ hoạt độ
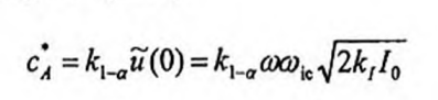
Nồng độ hoạt độ của radon trong nước, CA, được biểu thị theo ngày và thời gian lấy mẫu có thể tính được bằng sử dụng Công thức (1):
|
| (1) |
Trong đó:
|
| (2) |
|
| (3) |
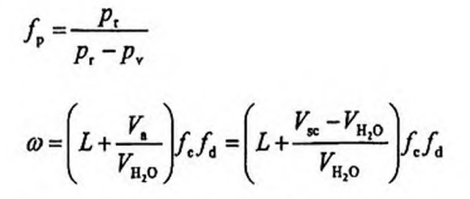
Hệ số Ostwald có thể được biểu thị bằng Công thức (4) (Tài liệu tham khảo [14]):
| L = 0,105 + 0,403 exp(-0,0502TH2O) | (4) |
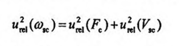
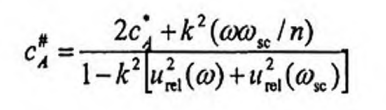
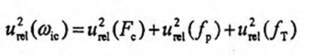
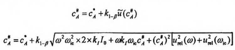
10.2 Độ không đảm bảo chuẩn của nồng độ hoạt độ
Theo TCVN 9595-3 (ISO/IEC 98-3[4]), độ không đảm bảo chuẩn của cA được tính theo Công thức (5):
|
| (5) |
Trong đó:
|
| (6) |
Trong đó các độ không đảm bảo chuẩn của hệ số Ostwald, L, fc, và fd được bỏ qua.
10.3 Ngưỡng quyết định và giới hạn phát hiện
Tính các giới hạn đặc tính có liên quan tới nồng độ hoạt độ theo ISO 11929. Ví dụ tính toán độ không đảm bảo và giới hạn đặc tính được chi tiết trong Phụ lục A và Phụ lục B cho cả hai phương pháp đo cụ thể.
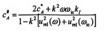
10.4 Giới hạn tin cậy
Giới hạn tin cậy trên,
, và dưới
, được tính bằng cách sử dụng Công thức (7) và Công thức (8) (xem ISO 11929):
|
| (7) |
|
| (8) |
Trong đó:
ω = Φ[y/u(y)] Trong đó Φ là hàm phân bố của sự phân bố chuẩn tắc;
ω Có thể được giả định bằng 1 nếu cA ≥ 4u(cA).
Trong trường hợp này:
|
| (9) |
γ = 0,05 với k1-γ/2 = 1,96 thường được chọn mặc định.
11 Hiệu chuẩn
Phải tiến hành hiệu chuẩn trong các điều kiện quy định trong IEC 61577-1 và IEC 61577-2.
12 Báo cáo thử nghiệm
Báo cáo thử nghiệm phải phù hợp với TCVN ISO/IEC 17025 và phải bao gồm ít nhất thông tin sau:
a) Phương pháp thử được sử dụng, và viện dẫn tiêu chuẩn này TCVN 12260-3:2018 (ISO 13164-3:2013));
b) Phương pháp đo;
c) Nhận biết mẫu;
d) Ngày và giờ đo;
e) Đơn vị biểu thị các kết quả;
f) Kết quả thử nghiệm cA ± u(cA) hoặc cA ± U, với giá trị k liên quan.
Thông tin bổ sung có thể được cung cấp như sau:
g) Ngày và giờ lấy mẫu;
h) Vị trí lấy mẫu;
i) Xác suất, α, β, và (1-γ);
j) Ngưỡng quyết định và giới hạn phát hiện - Tùy thuộc vào các nhu cầu của khách hàng, có nhiều cách khác nhau để biểu thị kết quả:
- Khi nồng độ hoạt độ được so sánh với ngưỡng quyết định (xem ISO 11929), kết quả của phép đo phải được biểu thị là ≤
khi các kết quả dưới ngưỡng quyết định,
- Khi nồng độ hoạt độ được so sánh với giới hạn phát hiện, kết quả của phép đo có thể được biểu thị là ≤
nếu kết quả nằm dưới giới hạn phát hiện - nếu giới hạn phát hiện vượt quá giá trị hướng dẫn, thì phải ghi vào tài liệu rằng phương pháp không phù hợp với mục đích phép đo.
a) Nồng độ hoạt độ của 226Ra nếu phát hiện có trong mẫu nước;
b) Đề cập tới mọi thông tin liên quan có ảnh hưởng đến kết quả.
Các kết quả được biểu thị theo biểu mẫu tương tự như trong TCVN12260-1 (ISO 13164-1) (xem Phụ lục B).
Phụ lục A
(Tham khảo)
Ví dụ của các phương pháp đo sử dụng cuvet nhấp nháy
A.1 Khái quát
Phụ lục này chỉ đề cập các phương pháp cuvet nhấp nháy giữa các phương pháp khác nhau có thể phù hợp với các yêu cầu của tiêu chuẩn này. Hai phương pháp khác nhau về kỹ thuật tách khí được sử dụng và thể tích mẫu thử. Các phương pháp này là phù hợp để sử dụng trong phòng thử nghiệm hoặc tại hiện trường.
Đối với mục đích của phụ lục này, áp dụng các ký hiệu sau đây và các ký hiệu đã nêu trong Điều 3:
| Fc | Hệ số hiệu chuẩn trên mỗi hạt alpha cho việc đếm tiến hành với sự cân bằng phóng xạ giữa radon và các sản phẩm phân rã sống ngắn của nó, tính bằng xung trên giây trên becquerel. |
| fd | Hệ số hiệu chính để phân rã radon trong sự phát hiện dung tích, không thứ nguyên. |
| fp | Hệ số hiệu chính cho áp suất không khí, không thứ nguyên. |
| N0 | Số đếm phông nền. |
|
| Trung bình số đếm phông nền. |
| Ns | Số đếm tổng. |
|
| Trung bình số đếm tổng. |
| n | Số đếm của mỗi mẫu |
| nα(t) | Số phát xạ apha có trong cuvet trên becquerel của radon sau thời gian đợi từ khi đổ đầy và việc đếm trong cuvet (nα là xấp xỉ 3 ở thời gian đợi 3 h đối với 1 Bq của radon). |
| tc | Khoảng thời gian đếm (thường với Ns, N0) tính bằng giây. |
| Vsc | Thể tích cuvet, tính bằng mét khối. |
| pr | Áp suất đo được trong cuvet sau khi lấy mẫu, tính bằng hectopascan. |
| pv | Áp suất đo được trong cuvet đang chịu tác động của chân không, tính bằng hectopascan. |
| Δt | Thời gian trôi qua giữa thời điểm kết thúc việc lấy mẫu, t = 0, và việc đếm trong cuvet, tính bằng giây. |
| λ | Hằng số phân rã của radon-222, tính bằng nghịch đảo giây. |
A.2 Phương pháp A
A.2.1 Khái quát
Phương pháp thử này hướng tới phép đo radon trong nước có nồng độ hoạt độ trên 10 Bq L-1 sử dụng thể tích mẫu thử nhỏ. Kỹ thuật tách khí được sử dụng để giảm áp suất pha khí.
A.2.2 Thiết bị
Thiết bị phòng thử nghiệm thông thường và các thiết bị cụ thể sau.
A.2.2.1 Vật chứa mẫu thủy tinh borosiicat có nút cao su đàn hồi
A.2.2.2 Xyranh để lấy mẫu thử.
A.2.2.3 Giá đỡ môi trường lọc để lấy mẫu khí trong thể tích phát hiện.
A.2.2.4 Cuvet nhấp nháy có nắp với nút xả cotton thấm nước để bọc kín thể tích phát hiện
Cuvet nhấp nháy là bình thóp cổ thủy tinh đệm kín với thể tích và hình học xác định. Bề mặt bên trong của cuvet, phần từ đáy, được phủ kẽm sunfua bạc hoạt tính [ZnS(Ag)].
A2.2.5 Thiết bị tạo chân không cho cuvet.
A.2.2.6 Thiết bị đo áp suất cho cuvet
A.2.2.7 Chuỗi đếm được trang bị với bộ nhân quang.
A2.2.8 Nhiệt kế để đo nhiệt độ của nước phân tích.
A2.3 Nguyên tắc
Phần nước thử được phân tích (từ 1 mL đến 2 mL) được nối với cuvet nhấp nháy (A.2.2.4) bằng cách sử dụng xyranh (A.2.2.2) vào nút xả cotton thấm nước đã đặt trong nắp. Do tạo ra chân không không hoàn toàn trong cuvet trước khi phun, nên radon được chiết từ nước. Sau đó, không khí đã lọc không có radon được đưa vào cuvet nhấp nháy để cho áp suất trở lại bình thường (xem Hình A.1).
Các hạt alpha được tạo ra do sự phân rã radon và các sản phẩm phân rã sống ngắn của radon chuyển hóa năng lượng của chúng khi chúng chuyển qua môi trường nhấp nháy. Khi chúng trở lại trạng thái cơ bản, các electron bị kích thích trong môi trường nhấp nháy phát ra các photon từ lớp phủ ZnS, sự phát ra này có thể phát hiện được bằng bộ nhân quang (A.2.2.7). Bộ nhân quang chuyển các photon thành các xung điện và sau đó đếm các xung điện này. Số đếm xung điện tỷ lệ trực tiếp với nồng độ hoạt độ radon trong không khí bên trong cuvet.
A.2.4 Lấy mẫu
Việc lấy mẫu phải được tiến hành theo các yêu cầu đã quy định trong Điều 5.
Các thể tích phép thử là 1 mL hoặc 2 mL nước được lấy bằng xyranh qua nút cao su đàn hồi.
A.2.5 Chuyển radon từ pha nước sang pha khí
Sử dụng bơm chân không tạo chân không không hoàn toàn cho bên trong cuvet nhấp nháy thấp hơn áp suất môi trường xung quanh ít nhất 10 kPa (100 mbar). Sau đó mẫu thử được bơm vào nút cotton bên trong nắp của cuvet nhấp nháy. Do chân không không hoàn toàn trong cuvet, radon được chiết ra khỏi nước. Áp suất trong cuvet trở lại mức bình thường bằng việc cho không khí đã lọc sạch radon vào. Với sự chi phối của hệ số Ostwald, đạt tới sự cân bằng radon giữa radon hòa tan trong nước và radon trong pha khí.
Điều cần thiết là chân không không hoàn toàn không quá cao để tránh sự bay hơi của nước bên trong cuvet và việc gây hại cho lớp phủ kẽm sunfua.

CHÚ DẪN:
| 1 Cuvet nhấp nháy 2 Nút xả cotton thấm nước 3 Nắp 4 Bơm chân không | 5 Xyranh chứa mẫu thử 6 Thiết bị lấy mẫu không khí 7 Phin lọc không khí 8 Không khí hoàn lưu |
Hình A.1 - Nguyên tắc đo radon trong nước bằng việc tách khí và phát hiện sử dụng cuvet nhấp nháy.
A.2.6 Phát hiện và đếm
Trước khi sử dụng cuvet nhấp nháy, kiểm tra số đếm phông nền của radon bằng việc ghi lại số đếm từ bộ nhân quang đã hiệu chuẩn được đặt trong khoang kín không có ánh sáng trong khoảng thời gian thích hợp.
Để việc đếm tối ưu, thời gian đếm cần là 3 h sau khi bơm nước và cotton. Độ chính xác được yêu cầu cho thời gian đếm và số đếm cho mẫu.
A.2.7 Quy trình đo
Quy trình đo như sau:
a) Trước khi sử dụng các cuvet, xác định phông nền của từng cuvet nhấp nháy bằng việc đếm các photon đã phát ra trước khi lấy mẫu trong khoảng thời gian thích hợp bằng bộ nhân quang đã hiệu chuẩn sơ bộ trong khoang kín không có ánh sáng:
b) Tạo ra chân không 10 kPa (100 mbar) trong cuvet nhấp nháy:
c) Đo áp suất còn lại trong các cuvet;
d) Chọn và định vị trí của nơi lấy mẫu;
e) Lấy một hoặc nhiều hơn các mẫu nước;
f) Lấy các thể tích thử bằng xyranh;
g) Bơm nước vào nút cotton không thấm nước;
h) Cho không khí đã lọc sạch (không có radon) vào trong cuvet nhấp nháy sao cho áp suất trở lại bình thường;
i) Đo áp suất sau khi làm đầy các cuvet và duy trì áp suất ở áp suất không khí;
j) Ghi lại vị trí, ngày và giờ lấy mẫu;
k) Thiết lập trạng thái cân bằng phóng xạ giữa 222Rn và các sản phẩm phân rã sống ngắn của radon (214Po, 218Po) trong cuvet bằng việc đợi 3 h sau khi lấy mẫu để được số đếm tối ưu;
l) Số đếm, bằng bộ nhân quang đã hiệu chuẩn sơ bộ được đặt trong khoang kín không có ánh sáng, của số các photon đã phát ra bởi môi trường nhấp nháy khi bị kích thích do các hạt anpha đã tạo ra bởi phân rã radon và các sản phẩm sống ngắn của radon có trong các cuvet;
m) Xác định nồng độ hoạt độ bằng tính toán,
Giả thiết rằng thời gian đếm mẫu và thời gian đếm phông nền là giống nhau.
A.3 Phương pháp B
A.3.1 Khái quát
Phương pháp thử này bao gồm phép đo radon trong mẫu nước có nồng độ hoạt độ lớn hơn 0,1 Bq L-1 Sử dụng kỹ thuật tách khí là bọt khí. Độ nhạy của phương pháp đo xạ khí được tập trung vào việc tách khí radon từ mẫu nước lớn với một thể tích nhỏ của không khí.
A.3.2 Thiết bị
Thiết bị phòng thử nghiệm thông thường và các thiết bị cụ thể sau:
A.3.2.1 Vật chứa mẫu thủy tinh borosilicat có nút cao su đàn hồi.
A3.2.2 Vật chứa thủy tinh tách khí.
A.3.2.3 Phin lọc khí để bảo vệ cuvet nhấp nháy khỏi các giọt nước.
A.3.2.4 Bơm không khí
A.3.2.5 Thiết bị chia dòng không khí để tạo ra một số dòng bọt khí nhỏ (như màng xốp).
A.3.2.6 Cuvet nhấp nháy chứa dung tích phát hiện, bao gồm bình thóp cổ thủy tinh kín khí với hình dạng và dung tích xác định. Bề mặt bên trong của cuvet, phần từ đáy, được phủ kẽm sunfua bạc hoạt tính (ZnS(Ag)).
A.3.2.7 Chuỗi đếm được trang bị với bộ nhân quang.
A.3.2.8 Cảm biến nhiệt độ cho nước phân tích.
A.3.3 Nguyên tắc
Phép đo dựa trên việc phun mẫu nước bằng không khí trong vòng kín với cuvet nhấp nháy (xem Hình A.2).
Thể tích mẫu thử bao gồm một thể tích nước đã biết (0,75 L) để phân tích được cho vào vật chứa nước tách khí. Sử dụng bơm để hoàn lưu không khí vào trong hệ thống, việc tạo bọt khí bằng cách cho không đi qua thiết bị tách khí để chiết radon hòa tan trong nước. Khi đạt tới cân bằng giữa radon hòa tan trong nước và radon đã phun vào trong không khí, cuvet nhấp nháy có thể tích thích hợp đo nồng độ hoạt độ của radon trong không khí có trong hệ thống. Nồng độ hoạt độ của radon trong thể tích thử được xác định từ nồng độ hoạt độ trong không khí có trong hệ thống.

CHÚ DẪN:
| 1 Vật chứa nước tách khí 2 Hệ thống tách khí 3 Bơm 4 Cuvet nhấp nháy | 5 Chuỗi đếm 6 Phin lọc khí 7 Cảm biến nhiệt độ 8 Không khí hoàn lưu |
Hình A.2 - Hệ thống vòng kín để đo radon trong nước bằng cách phát hiện và tách khí sử dụng cuvet nhấp nháy
A.3.4 Lấy mẫu
Phải thực hiện lấy mẫu theo các yêu cầu đã quy định trong Điều 5.
Thể tích thử là 0,75 L nước.
A.3.5 Chuyển radon từ pha nước sang pha khí
Thể tích thử được đưa vào thiết bị tách khí. Không khí có trong hệ thống được luân chuyển bằng bơm trong suốt thời gian phun khoảng 5 min sao cho các bọt khí đi qua nước trong cuvet và tách khí radon hòa tan trong nước. Lưu lượng không khí được cố định ở 0,4 L min-1. Thể tích không khí của toàn bộ hệ thống (cuvet nhấp nháy, bơm không khí và các ống nối) phải nhỏ hơn thể tích mẫu thử và bằng 0,485 L.
A.3.6 Phát hiện và đếm
Trước khi sử dụng cuvet nhấp nháy, kiểm tra việc đếm phông nền của cuvet bằng cách ghi lại số đếm từ bộ nhân quang đã hiệu chuẩn sơ bộ trong khoảng thời gian thích hợp.
Khi tách khí radon hoàn thành, tiến hành đo nồng độ hoạt độ radon trong không khí trong khoảng thời gian thích hợp.
Thời gian đếm mẫu và thời gian đếm phông nền cần giống nhau. Thời gian này được ấn định là 10 min.
A.3.7 Quy trình đo
Quy trình đo như sau:
a) Trước khi sử dụng các cuvet, xác định phông nền của từng cuvet nhấp nháy bằng cách đếm các photon đã phát ra trước khi lấy mẫu trong khoảng thời gian 10 min bằng bộ nhân quang đã hiệu chuẩn sơ bộ trong khoang kín không có ánh sáng.
b) Chọn và nhận dạng vị trí của nơi lấy mẫu;
c) Lấy một mẫu nước hoặc nhiều hơn;
d) Ghi lại vị trí, ngày và giờ lấy mẫu;
e) Lấy thể tích thử (0,75 L);
f) Bơm nước vào trong vật chứa tách khí;
g) Đóng kín hệ thống đo;
h) Đo nhiệt độ nước;
i) Bắt đầu bơm để luân chuyển không khí trong hệ thống đo;
j) Ngừng bơm sau khi tiến hành 5 min;
k) Đo nồng độ hoạt độ radon trong không khí của hệ thống đo trong khoảng thời gian 10 min;
l) Xác định nồng độ hoạt độ bằng việc tính toán.
A.4 Biểu thị kết quả
A.4.1 Nồng độ hoạt độ
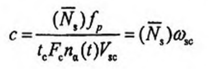
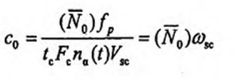
Nồng độ hoạt độ của radon, cA, tính được từ Công thức (1). Điều này dẫn đến Công thức (A.1):
|
| (A.1) |
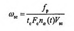
Theo TCVN 10759-6 (ISO 11665-6)[3] c và c0 được nêu bởi Công thức (A.2) và Công thức (A.3), tương ứng:
|
| (A.2) |
|
| (A.3) |
Trong đó:
| |
|
|
| (A.4) |
Trong đó:
|
| (A.5) |
A.4.2 Độ không đảm bảo chuẩn của nồng độ hoạt độ
Độ không đảm bảo chuẩn của cA tính được từ Công thức (5). Từ đó hình thành Công thức (A.6):
| | (A.6) |
Tính độ không đảm bảo chuẩn tương đối của ω sử dụng Công thức (A.6).
Tính độ không đảm bảo chuẩn tương đối của ωsc sử dụng Công thức (A.7).
| | (A.7) |
Trong đó: bỏ qua độ không đảm bảo chuẩn của thời gian đếm, hằng số phân rã, số phát ra alpha và áp suất
Tính các giới hạn của đặc tính theo yêu cầu của ISO 11929 tính
tức là độ không đảm bảo chuẩn của cA là một hàm của giá trị đúng của nó, như đã nêu trong Công thức (A.8):
| | (A.8) |
A.4.3 Ngưỡng quyết định
Ngưỡng quyết định
, tính được từ Công thức (A.8) cho
= 0 (xem ISO 11929).
Giá trị này được tinh theo Công thức (A.9):
| | (A.9) |
α = 0,05 với k1-α, = 1,65 thường được chọn mặc định.
A.4.4 Giới hạn phát hiện
Giới hạn phát hiện
được tính bằng Công thức (A.10) (xem ISO 11929).
| | (A.10 |
β = 0,05 với k1-β = 1,65 thường được chọn mặc định.
Giới hạn phát hiện,
có thể được tính bằng cách giải Công thức (A.10) cho
hoặc, đơn giản hơn, bằng cách tính lặp lại bắt đầu với giá trị xấp xỉ
= 2
trong các số hạng về phía bên phải của Công thức (A.10).
Với k1-α = k,
= k,
được tính bằng:
| | (A.11) |
Các giá trị α = β = 0,05 và do đó = k1-α = k1-β = 1,65 thường được chọn mặc định.
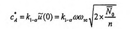
A.4.5 Ví dụ
Thực hiện phép đo nồng độ hoạt độ radon nước suối ở nhiệt độ lấy mẫu
= 20 °C sử dụng Phương pháp A.
Thể tích của mẫu thử
= 0,001 ± 2 x 10-5 được bơm ngay sau khi lấy mẫu.
Tiến hành đếm trong cuvet khoảng 3 h sau khi lấy mẫu và trong khoảng thời gian 3 min. Điều này cho số đếm phông nền trung bình của cuvet
xung.
xung
![]()
Fc = (0,6 ± 0,06) xung s-1 Bq-1 trên phát xạ anpha.
Vsc = (125 x 10-6 ± 2,2 x 10-6) m3.
CHÚ THÍCH: Độ không đảm bảo của hệ số và thể tích hiệu chuẩn của cuvet nhấp nháy đã được nhà sản xuất ước tính từ các phép đo đã tiến hành từ mẫu của 100 cuvet.
tc = 180 s (độ không đảm bảo chuẩn của biến số này được coi là không đáng kể).
nα là giá trị xấp xỉ 3 cho khoảng thời gian đợi 3 h (độ không đảm bảo chuẩn của biến số này được coi là không đáng kể).
λ = 2,1 X 10-6 s-1 (độ không đảm bảo chuẩn của biến số này được coi là không đáng kể).
L = 0,253 tại
=20°C.
Nồng độ hoạt độ radon, tính bằng becquerel trên lít, trong nước là:
![]()
CHÚ THÍCH: Phân rã radon giữa việc lấy mẫu nước và việc đếm được coi là không đáng kể.
Độ không đảm bảo chuẩn của cA, tính bằng becquerel trên lít, được tính bằng Công thức (A.6):
u(cA) = 52
Cuối cùng, biểu thị kết quả tính bằng becquerel trên lít, là:
u(cA) = 838 ± 52
Ngưỡng quyết định
, tính bằng becquerel trên lít, được tính từ Công thức (A.9).
= k1-α
(0) = 12
Giới hạn phát hiện,
, tính bằng becquerel trên lít, được tính bằng Công thức (A.11).
= 33
Phụ lục B
(Tham khảo)
Ví dụ phương pháp đo sử dụng buồng ion hóa
B.1 Khái quát
Phụ lục này chỉ đề cập đến phương pháp sử dụng buồng ion hóa từ các phương pháp khác nhau phù hợp với các yêu cầu của tiêu chuẩn này. Phương pháp này là phù hợp để sử dụng trong phòng thử nghiệm hoặc tại hiện trường.
Phụ lục này áp dụng các ký hiệu đã cho trong Điều 3 và các ký hiệu sau:
Năng lượng trung bình, tính bằng jun, được giải phóng từ bức xạ trong không khí của buồng trong khoảng nhiệt độ T, tính bằng độ kenvin, và áp suất p, tính bằng hectopascal.
e hạt tích điện, tính bằng cu lông (e = 1,602 x 10-19C).
Fc Hệ số hiệu chuẩn, tính bằng becquerel trên mét khối trên ampe.
fp Hệ số hiệu chính đối với áp suất khí quyển, không thứ nguyên.
fr Hệ số hiệu chính đối với nhiệt độ, không thứ nguyên.
I Dòng ion hóa do radon, tính bằng ampe.
I0 Dòng ion hóa phông nền, tính bằng ampe.
pe Áp suất khí quyển khi hiệu chuẩn buồng, tính bằng hectopascal.
pm Áp suất khí quyển khi vận hành buồng, tính bằng hectopascal.
Te Nhiệt độ của không khí khi hiệu chuẩn buồng, tính bằng độ kenvin.
Tm Nhiệt độ của không khí khi vận hành buồng, tính bằng độ kenvin.
Vch Thể tích của không khí có trong buồng, tính bằng mét khối.
ωa Năng lượng trung bình sử dụng cho việc tạo ra cặp ion trong không khí của buồng, tính bằng jun.
B.2 Thiết bị
Thiết bị phòng thử nghiệm thông thường và các thiết bị cụ thể sau:
B.2.1 Vật chứa bằng thủy tinh borosilicat để đựng mẫu nước.
B.2.2 Xyranh để bơm thể tích thử.
B.2.3 Hệ thống tách khí radon hòa tan trong nước, bao gồm cuvet tách khí, cuvet đệm và các ống rỗng, ví dụ silicon linh động.1)
B.2.4 Bơm
B.2.5 Buồng ion hóa
B.2.6 Nhiệt kế để đo nhiệt độ của nước phân tích tại thời điểm thực hiện phép đo.
B.3 Nguyên tắc
Kỹ thuật này sử dụng như một mạch kín của hệ thống để thực hiện việc tách khí radon chứa trong nước và buồng ion hóa để đo liên tục lượng radon có trong không khí của hệ thống. Nồng độ hoạt độ của radon trong mẫu thử được xác định từ nồng độ hoạt độ trong không khí của hệ thống.
Thể tích thử bao gồm một thể tích (0,1 L) nước phân tích đã biết được đưa vào trong cuvet tách khí. Sử dụng bơm để luân chuyển không khí trong hệ thống. Việc tạo bọt mẫu nước qua cuvet tách khí để khử khí radon hòa tan trong nước. Buồng ion hóa có thể tích thích hợp đo liên tục nồng độ hoạt độ của radon trong không khí của hệ thống và theo dõi mọi sự thay đổi (xem Hình B.1).

CHÚ DẪN:
| 1 Mẫu nước 2 Xyranh với mẫu thử 3 Buồng ion hóa 4 Cuvet tách khí | 5 Cuvet đệm 6 Bơm 7 Hệ thống tách khí 8 Không khí hoàn lưu |
Hình B.1 - Nguyên tắc do radon trong nước bằng phát hiện và tách khí sử dụng buồng ion hóa
Hàm lượng radon tăng dần trong suốt quá trình tách khí cho đến khi đạt tới giá trị ổn định (chế độ khuếch tán). Sau đó giá trị này được sử dụng để tính nồng độ hoạt độ của radon trong không khí. c (xem Hình B.2). Việc mở vòng kín cho phép làm sạch không khí từ hệ thống.
Đo độ nhiễu phông nền của buồng ion hóa trước khi thực hiện phép đo mẫu.

CHÚ DẪN
| 1 Pha đo phông nền n số đếm 2 Pha tách khí 3 Pha đo nồng độ hoạt độ radon 4 Pha khử | n Số đếm HH:MM thời gian trong ngày (giờ:phút) |
Hình B.2 - Thay đổi nồng độ hoạt độ của radon trong không khí trong hệ thống
B.4 Lấy mẫu
B.4.1 Mục tiêu
Mục đích của quá trình lấy mẫu là để thu được mẫu nước trong môi trường liên quan tới việc thu thập mẫu trong khoảng thời gian ngắn (ít hơn 1 h).
B.4.2 Điều kiện
Chú ý tới các vấn đề sau khi lấy mẫu, lấy hai mẫu trong vật chứa thủy tinh borosilicat giống hệt nhau.
Các mẫu cần được lấy trong khoảng thời gian ngắn tương ứng với thời gian đã làm cho vật chứa đầy hoàn toàn. Sự có mặt của không khí trong vật chứa làm cho kết quả không đúng do sự tách khí radon. Các vật chứa cần làm kín ngay bằng nút cao su đàn hồi.
B.4.3 Mẫu thử
Mẫu thử bao gồm 0,1 L nước, được lấy qua nút cao su đàn hồi bằng xyranh, thể tích mẫu dược xác nhận bởi sự biến đổi của giá trị khối lượng thu được bằng cách cân.
B.5 Chuyển radon trong pha nước sang pha không khí
Mẫu thử được bơm vào cuvet tách khí. Không khí có trong hệ thống được hoàn lưu bằng bơm sao cho bọt đi qua nước trong cuvet và tách khí radon hòa tan trong nước. Lưu lượng không khí được cố định ở 1 L min-1.
B.6 Phát hiện và đếm
Radon được tách vào thể tích phát hiện trong buồng ion hóa. Radon phát ra các hạt alpha với năng lượng 5,5 MeV. Khi các hạt này di chuyển qua không khí trong thể tích phát hiện, chúng giải phóng tất cả hoặc một phần năng lượng này và tạo ra các cặp ion. Trên bộ thu, các ion này tạo ra dòng năng lượng (dòng ion hóa) mà có thể được sử dụng để đo nồng độ hoạt độ radon.
B.7 Quy trình đo
Quy trình đo như sau:
a) Xác định phông nền của buồng ion hóa bằng cách đo nồng độ hoạt độ radon trong hệ thống đo trước khi bơm nước;
b) Chọn và nhận dạng vị trí của điểm lấy mẫu;
c) Lấy một mẫu nước hoặc nhiều hơn.
d) Ghi lại vị trí, ngày và giờ lấy mẫu;
e) Lấy thể tích mẫu thử sử dụng xiranh;
f) Đo nhiệt độ nước;
g) Bơm nước vào cuvet tách khí;
h) Đóng hệ thống đo;
i) Bắt đầu bơm để luân chuyển không khí vào trong hệ thống đo;
j) Ngừng bơm sau khi bơm 15 min;
k) Đo sự biến đổi của nồng độ hoạt độ radon trong không khí của hệ thống;
l) Xác định nồng độ hoạt độ bằng tính toán.
B.8 Biểu thị kết quả
B.8.1 Khái quát
Nồng độ hoạt độ radon, cA đã tính được từ Công thức (1). Từ đó hình thành Công thức (B.1):
| cA = (c - c0)ω = (I - I0)ωicω | (B.1) |
Theo TCVN 10759-5 (ISO 11665-5)[2] c và c0 được biểu thị như sau:
| c = Iωic và c0 = I0ωic | (B.2) |
Trong đó:
| ωic = FcfpfT | (B.3) |
Trong đó:
|
| (B.4) |
|
| (B.5) |
|
| (B.6) |
Trong khi tiến hành, có thể nhiệt độ Tm và áp suất pm đo được không lệch đáng kể so với các giá trị hiệu chuẩn. Te và pe . Do đó, Công thức (A.1) có thể bị rút gọn.
Công thức (2) cho ω
B.8.2 Độ không đảm bảo chuẩn
Độ không đảm bảo chuẩn của cA đã tính được từ Công thức (5). Từ đó hình thành Công thức (B.7):
| | (B.7) |
Tính độ không đảm bảo chuẩn tương đối của ω sử dụng Công thức (B.6).
Tính độ không đảm bảo chuẩn tương đối của ωic sử dụng Công thức (B.8).
| | (B.8) |
Bỏ qua các độ không đảm bảo chuẩn của nhiệt độ hiệu chuẩn Te và áp suất hiệu chuẩn pe.
u2(I) = kII và u2(I0) = kII0
Trong đó kI là hằng số được nhà sản xuất đưa ra.
Sự tính toán của các giới hạn đặc tính theo các yêu cầu ISO 11929 tính toán của
, tức là độ không đảm bảo chuẩn của cA là hàm của các giá trị đúng, như đã nêu trong Công thức (B.9):
| | (B.9) |
B.8.3 Ngưỡng quyết định
Ngưỡng quyết định
đã tính được từ Công thức (B.9) cho
= 0 (xem ISO 11929).
Giá trị này được tính theo Công thức (B.10):
| | (B.10) |
α = 0,05 với k1-α =1,65 thường được chọn mặc định.
B.8.4 Giới hạn phát hiện
Giới hạn phát hiện
được tính như đã nêu trong Công thức (B.11) (xem ISO 11929):
| | (B.11) |
β = 0,05 với k1-β = 1,65 thường được chọn mặc định.
Tính giới hạn phát hiện bằng cách giải Công thức (B.11) cho
hoặc đơn giản hơn, bằng cách tính lặp lại bắt đầu với giá trị xấp xỉ
= 2
trong các số hạng về phía phải của Công thức (B.11).
Với được cho bởi k1-α = k1-β,
được cho bởi:
| | (B.12) |
Các giá trị α = β = 0,05 và do đó = k1-α = k1-β = 1,65 thường được chọn mặc định.
B.8.5 Ví dụ
Thực hiện phép đo nồng độ hoạt độ radon trong nước suối ở nhiệt độ lấy mẫu
= 10 °C.
Phần thể tích thử
= (0,1 ± 0,0025) L được bơm ngay vào cuvet tách khí sau khi lấy mẫu.
Không khí được luân chuyển qua hệ thống bằng bơm và buồng ion hóa đo liên tục nồng độ hoạt độ của radon trong không khí trong hệ thống. Nồng độ hoạt độ của radon tăng từ từ khi tách khí radon hòa tan từ nước cho đến khi đạt tới giá trị ổn định. Nồng độ hoạt độ trung bình được tính tại mức này là c = 25000 ± 250 Bq m-3.
Nồng độ hoạt độ của radon trong không khí trong hệ thống trước khi mẫu được bơm là c0 = (20 ± 10) Bq m-3.
Thể tích tổng không khí trong hệ thống đo trước khi bơm mẫu thử là bằng với:
(1127 x 10-6 ± 0,5 x 10-6) m3
L = 0,35 tại
= 10°C
![]()
Nồng độ hoạt độ radon, tính bằng becquerel trên lít, trong nước là:
![]()
Tính độ không đảm bảo chuẩn của cA , tính bằng becquerel trên lít, sử dụng Công thức (B.7)
u2(cA) =8
Cuối cùng, kết quả, tính bằng becquerel trên lít là:
cA = 256 ± 8
Ngưỡng quyết định
, tính bằng becquerel trên lít, đã tính được từ Công thức (B.10):
= k1-α
(0) = 0,25
Giới hạn phát hiện
, tính bằng becquerel trên lít, được tính bằng Công thức (B.12):
= 4,65
Thư mục tài liệu tham khảo
[1] TCVN 10759-1 (ISO 11665-1), Đo hoạt độ phóng xạ trong môi trường - Không khí: Radon-222 - Phần 5: Nguồn gốc, các sản phẩm phân rã sống ngắn và các phương pháp đo
[2] TCVN 10759-5 (ISO 11665-5), Đo hoạt độ phóng xạ trong môi trường - Không khí: Radon-222 - Phần 5: Phương pháp đo liên tục để xác định nồng độ hoạt
[3] TCVN 10759-6 (ISO 11665-6), Đo hoạt độ phóng xạ trong môi trường - Không khí: Radon-222 - Phần 6: Phương pháp đo điểm để xác định nồng độ hoạt độ
[4] TCVN 9595-3:2013 (ISO/IEC Guide 98-3:2008), Độ không đảm bảo đo - Phần 3: Hướng dẫn trình bày độ không đảm bảo đo (GUM:1995)
[5] Lucas H.F. Improved low level alpha-scintillation counter for radon. Rev. Sci. Instrum. 1957, 28 pp. 680-683
[6] Sansoni B., Heger w. Universal radonmeter for balneology: Field measurements of radon in water and air as well as radon decay products in air with the alpha-scintillometer AlphaSzint GBH 2002. Int. Environ. Consult. Newsl. 1997, 3 pp. 6-18
[7] Machaj B., Bartak J. Fast measurement of radon concentration in water with Lucas cell. Nukleonika. 1994, 49 pp. 29-31
[8] Knoll G.F. Radiation detection and measurement. Hoboken, NJ: Wiley, Fourth Edition, 2010,830 p.
[9] Rottger S., Paul A., Honig A., Keyser U. On-line low- and medium-level measurements of the radon activity concentration. Nucl. Instrum. Methods Phys. Res. A. 2001, 466 pp. 475-481
[10] Przylibskl T.A., Mamont-Ciesla K., Kusyk M., Dorda J., Kozlowska B. Radon concentrations in groundwaters of the Polish part of the Sudety Mountains (SW Poland). J. Environ. Radioact. 2004, 75 pp. 193-209
[11] Papastefanou C. An overview of Instrumentation for measuring radon in soil gas and groundwaters. J. Environ. Radioact. 2002, 63 pp. 271-283
[12] Lee J.M., Kim G. A simple and rapid method for analyzing radon in coastal and groundwaters using a radon-in-air monitor. J. Environ. Radioact. 2006, 89 pp. 219-228
[13] Burnett W.C., Kim G., Lane-Smith D. A continuous monitor for assessment of 222Rn In the coastal ocean. J. Radioanal. Nucl. Chem. 2001, 249 pp. 167-172
[14] Clever H.Led. Krypton, xenon and radon: Gas solubilities. Oxford: Pergamon, 1979. 357 p. (Solubility data series, International Union of Pure and Applied Chemistry, Vol.2.)
[15] UNITED NATIONS SCIENTIFIC COMMITTEE ON THE EFFECTS OF ATOMIC RADIATION. Sources and effects of ionizing radiation, 2 Vols. UNSCEAR 2008 Report to the General Assembly, with scientific annexes. New York, NY: United Nations, 2010
[16] WHO Guidelines for drinking-water quality, 3rd edition. Geneva: World Health Organization, 2008. Available (viewed 2013-03-06) at: http://www.who.int/water_sanitation_health/dwq/gdwq3rev/en/.
1) Tygon là một ví dụ của sản phẩm thích hợp có sẵn. Thông tin này được đưa ra để thuận tiện cho người sử dụng tiêu chuẩn này và không được chứng thực bởi tiêu chuẩn này.
Bạn chưa Đăng nhập thành viên.
Đây là tiện ích dành cho tài khoản thành viên. Vui lòng Đăng nhập để xem chi tiết. Nếu chưa có tài khoản, vui lòng Đăng ký tại đây!




















