- Tổng quan
- Nội dung
- Tiêu chuẩn liên quan
- Lược đồ
- Tải về
Tiêu chuẩn TCVN 14459:2025 Hướng dẫn giảm phát thải khí nhà kính cho sản phẩm điện tử
| Số hiệu: | TCVN 14459:2025 | Loại văn bản: | Tiêu chuẩn Việt Nam |
| Cơ quan ban hành: | Bộ Khoa học và Công nghệ | Lĩnh vực: | Tài nguyên-Môi trường |
| Trích yếu: | IEC/TR 62726:2014 Hướng dẫn định lượng các mức giảm phát thải khí nhà kính từ đường cơ sở cho các sản phẩm và hệ thống điện, điện tử | ||
|
Ngày ban hành:
Ngày ban hành là ngày, tháng, năm văn bản được thông qua hoặc ký ban hành.
|
21/07/2025 |
Hiệu lực:
|
Đã biết
|
| Người ký: | Đang cập nhật |
Tình trạng hiệu lực:
Cho biết trạng thái hiệu lực của văn bản đang tra cứu: Chưa áp dụng, Còn hiệu lực, Hết hiệu lực, Hết hiệu lực 1 phần; Đã sửa đổi, Đính chính hay Không còn phù hợp,...
|
Đã biết
|
TÓM TẮT TIÊU CHUẨN VIỆT NAM TCVN 14459:2025
Tiêu chuẩn quốc gia TCVN 14459:2025 về Định lượng Giảm phát thải khí nhà kính từ Sản phẩm và Hệ thống Điện, Điện tử
Ngày 21/07/2025, Bộ Khoa học và Công nghệ đã công bố Tiêu chuẩn quốc gia TCVN 14459:2025 IEC/TR 62726:2014, cung cấp hướng dẫn về cách định lượng mức giảm phát thải khí nhà kính từ đường cơ sở cho các sản phẩm và hệ thống điện, điện tử. Tiêu chuẩn này có hiệu lực ngay từ ngày công bố.
Tiêu chuẩn này áp dụng cho tất cả các sản phẩm và hệ thống điện, điện tử (sản phẩm EE), bao gồm cả các dự án khí nhà kính (GHG) liên quan đến việc triển khai các công nghệ thấp carbon và tiết kiệm năng lượng. Nó sẽ hữu ích cho những người tham gia thiết kế, phát triển sản phẩm EE và các chuỗi cung ứng mà không phân biệt quy mô hay loại hình tổ chức.
Mục Đích của Tiêu chuẩn Tiêu chuẩn nhằm cung cấp khung hướng dẫn cho việc định lượng mức giảm phát thải khí nhà kính (GHG) so với đường cơ sở. Điều này giúp các tổ chức, doanh nghiệp có thể đánh giá và báo cáo hiệu quả của các dự án liên quan đến sản phẩm, qua đó đóng góp vào các mục tiêu giảm phát thải toàn cầu.
Tiêu chí và Nguyên tắc Đánh giá Tiêu chuẩn đã đưa ra một số nguyên tắc cơ bản cho việc đánh giá, bao gồm tính đầy đủ, tính nhất quán, độ chính xác, và tính minh bạch. Những nguyên tắc này cần được áp dụng để đảm bảo thông tin liên quan đến GHG là đáng tin cậy và hữu ích cho quyết định nội bộ và công cộng.
Khung Định lượng GHG Tiêu chuẩn cung cấp một khuôn khổ rõ ràng nhằm tiến hành nghiên cứu và đánh giá mức cắt giảm GHG. Có một số bước cơ bản như: xác định ranh giới đánh giá, thiết lập đường cơ sở, ước tính lượng phát thải và báo cáo kết quả.
Kịch bản Đường cơ sở Kịch bản đường cơ sở được sử dụng như một tham chiếu vững chắc để đánh giá sự giảm thiểu phát thải từ dự án GHG. Các tổ chức được yêu cầu xác định các tiêu chí và thủ tục phù hợp để nhận diện và đánh giá những kịch bản này.
Tài liệu Tham chiếu Tiêu chuẩn này dựa trên các phương pháp và tài liệu hiện có từ các tổ chức quốc tế như TCVN ISO 14064-2. Việc thực hiện các hướng dẫn này không chỉ giúp cải thiện cam kết về bảo vệ môi trường mà còn mang lại lợi ích về kinh tế trong dài hạn cho các tổ chức.
Tiêu chuẩn TCVN 14459:2025 không chỉ là một hướng dẫn kỹ thuật mà còn là một công cụ quan trọng trong việc đạt được các mục tiêu phát triển bền vững và giảm thiểu biến đổi khí hậu toàn cầu.
Tải tiêu chuẩn Việt Nam TCVN 14459:2025
TIÊU CHUẨN QUỐC GIA
TCVN 14459:2025
IEC/TR 62726:2014
HƯỚNG DẪN ĐỊNH LƯỢNG CÁC MỨC GIẢM PHÁT THẢI KHÍ NHÀ KÍNH TỪ ĐƯỜNG CƠ SỞ CHO CÁC SẢN PHẨM VÀ HỆ THỐNG ĐIỆN, ĐIỆN TỬ
Guidance on quantifying greenhouse gas emission reductions from the baseline for electrical and electronic products and systems
Mục lục
Lời nói đầu
1 Phạm vi áp dụng
2 Tài liệu viện dẫn
3 Thuật ngữ và định nghĩa
4 Nguyên tắc
5 Nghiên cứu so sánh các tài liệu hiện có
6 Khung định lượng
7 Tài liệu
8 Kiểm tra xác nhận, xác minh và giám sát
9 Truyền thông
Phụ lục A (tham khảo) - Kết quả nghiên cứu phân tích so sánh trên các tài liệu liên quan hiện có được lựa chọn trong đó có Tiêu chuẩn quốc tế
Phụ lục B (tham khảo) - Ví dụ về nghiên cứu cắt giảm khí nhà kính
Phụ lục C (tham khảo) - Ví dụ về theo dõi dựa trên phương pháp lấy mẫu có hệ thống
Thư mục tài liệu tham khảo
Lời nói đầu
TCVN 14459:2025 hoàn toàn tương đương với IEC/7R 62726:2014;
TCVN 14459:2025 do Ban kỹ thuật tiêu chuẩn quốc gia TCVN/TC/E3 Thiết bị điện tử dân dụng biên soạn, Viện Tiêu chuẩn Chất lượng Việt Nam đề nghị, Ủy ban Tiêu chuẩn Đo lường Chất lượng Quốc gia thẩm định, Bộ Khoa học và Công nghệ công bố.
HƯỚNG DẪN ĐỊNH LƯỢNG CÁC MỨC GIẢM PHÁT THẢI KHÍ NHÀ KÍNH TỪ ĐƯỜNG CƠ SỞ CHO CÁC SẢN PHẨM VÀ HỆ THỐNG ĐIỆN, ĐIỆN TỬ
Guidance on quantifying greenhouse gas emission reductions from the baseline for electrical and electronic products and systems
1 Phạm vi áp dụng
Tiêu chuẩn này mô tả các nguyên tắc và hướng dẫn định lượng các mức cắt giảm phát thải khí nhà kính (CO2e) so với đường cơ sở (bao gồm "hoạt động kinh doanh như bình thường") đối với các sản phẩm và hệ thống điện và điện tử (sau đây gọi là các sản phẩm EE).
Tiêu chuẩn này đề cập đến việc cắt giảm khí nhà kính (GHG) thông qua một dự án GHG liên quan đến sản phẩm EE, chứ không chỉ là sự khác biệt giữa lượng phát thải GHG của hai sản phẩm EE.
Tiêu chuẩn này áp dụng cho bất kỳ loại dự án GHG nào liên quan đến sản phẩm EE đang đưa vào áp dụng các công nghệ carbon thấp hoặc sản phẩm tiết kiệm nhiều năng lượng, v.v., bao gồm các sản phẩm cuối cùng cũng như các sản phẩm trung gian.
Tiêu chuẩn này dựa trên kết quả của một nghiên cứu so sánh về các phương pháp hiện được công bố hoặc đang được thảo luận trong các tổ chức quốc tế.
Tiêu chuẩn này nhằm mục đích sử dụng cho những người tham gia thiết kế, phát triển và sử dụng các sản phẩm EE cũng như chuỗi cung ứng của họ bất kể ngành, khu vực, loại hình, hoạt động và quy mô của tổ chức.
Bảng 1 minh họa một ví dụ về dự án GHG liên quan đến sản phẩm EE và mối quan hệ của nó với sản phẩm EE (xem thêm Hình 2):
Bảng 1 - Ví dụ về các dự án GHG liên quan đến sản phẩm EE
| Dự án GHG liên quan đến sản phẩm EE | Sản phẩm mục tiêu | Kịch bản cơ sở |
| Giới thiệu 500 000 thiết bị hiệu suất cao (tiết kiệm năng lượng) UPS tại thành phố A | Hiệu suất cao (tiết kiệm năng lượng) UPS | Một triệu UPS thông thường tại thành phố A |
Trong tiêu chuẩn này, ISO 14064-2 [1], ITU-TL.1410 [2] và Giao thức GHG cho Tính toán Dự án được nghiên cứu và so sánh vì những tài liệu và sáng kiến này được coi là có ảnh hưởng nhất trên toàn thế giới vào thời điểm hiện tại.
Tiêu chuẩn này dựa vào các yêu cầu liên quan đến các dự án GHG có quan hệ đến sản phẩm EE trong các tài liệu hiện có, ví dụ như TCVN ISO 14064-2:2011 (ISO 14064-2:2006) và Nghị định thư GHG dùng cho Kế toán Dự án và báo giá kèm theo các hộp. Tiếp theo các hộp là hướng dẫn áp dụng cho các dự án GHG liên quan đến sản phẩm EE. Cần lưu ý rằng các hộp này không chứa toàn bộ nội dung của các tiêu chuẩn được viện dẫn, do đó người đọc được khuyến khích đọc các tiêu chuẩn này để hiểu đầy đủ các yêu cầu của chúng.
Tiêu chuẩn này là một chương trình trung hòa các-bon. Nếu một tổ chức đăng ký một chương trình cụ thể (ví dụ như một chương trình khí nhà kính, chẳng hạn như xác nhận và công nhận các đơn vị giảm thải GHG theo cơ chế phát triển sạch (CDM) của Nghị định thư Kyoto đối với Công ước Khung của Liên hợp quốc về biến đổi khí hậu (UNFCCC), hoặc một chương trình giảm thiểu biến đổi khí hậu khác) thì một số yêu cầu của chương trình đó có thể áp dụng bên cạnh các mô tả nêu trong tiêu chuẩn này.
CHÚ THÍCH 1: Theo CDM của Nghị định thư Kyoto, một điều quan trọng là các dự án CDM đóng góp vào các mục tiêu phát triển bền vững của địa phương bên cạnh việc cắt giảm khí nhà kính. Một số tiêu chí phát triển bền vững cũng có thể quan trọng đối với các chương trình giảm thiểu biến đổi khí hậu khác. Vì tính bền vững không liên quan trực tiếp đến việc định lượng phát thải khí nhà kính nên tiêu chuẩn này không đề cập đến các điều khoản hoặc tiêu chí đó.
2 Tài liệu viện dẫn
Trong tiêu chuẩn này không có tài liệu nào được viện dẫn.
3 Thuật ngữ và định nghĩa
Trong tiêu chuẩn này sử dụng các thuật ngữ và định nghĩa sau.
3.1
Sản phẩm được đánh giá (assessed product)
Sản phẩm có phát thải GHG liên quan được đánh giá cho dự án GHG liên quan đến sản phẩm.
3.2
Kịch bản đường cơ sở (baseline scenario)
Trường hợp tham chiếu giả định thể hiện tốt nhất các điều kiện có nhiều khả năng xảy ra nhất khi thiếu dự án khí nhà kính được đề xuất.
Chú thích: Kịch bản đường cơ sở phù hợp với mốc thời gian của dự án GHG.
[NGUỒN: TCVN ISO 14064-2:2006 (ISO 14064-2:2006), 2.19]
3.3
Lượng carbon dioxide tương đương (carbon dioxide equivalent)
CO2 tương đương (CO2 equivalent)
CO2e
Đơn vị để so sánh lượng bức xạ của khí nhà kính với lượng bức xạ của carbon dioxide.
Chú thích: Lượng carbon dioxide tương đương được tính bằng cách nhân khối lượng của một loại khí nhà kính nhất định với tiềm năng làm nóng lên toàn cầu của nó.
[NGUỒN: TCVN ISO 14064-2:2006, 2.21]
3.4
Dự án khí nhà kính liên quan đến sản phẩm EE (EE product-related greenhouse gas project)
Hoạt động của dự án GHG liên quan đến sản phẩm EE hoặc các hoạt động được thực hiện do phát triển và cung cấp các sản phẩm điện và điện tử vào thị trường làm thay đổi các điều kiện được xác định trong kịch bản đường cơ sở giúp giảm phát thải khí nhà kính.
Chú thích: Định nghĩa này được xây dựng theo TCVN ISO 14064-2:2011 (ISO 14064-2:2006), 2.12 và A.3.2.4. [NGUỒN: TCVN ISO 14064-2:2011 (ISO 14064-2:2006), 2.12, đã sửa đổi]
3.5
Đơn vị chức năng (functional unit)
Tính năng được định lượng của một hệ thống sản phẩm để sử dụng như một đơn vị tham chiếu.
Chú thích: Khi CFP xử lý thông tin về sản phẩm, đơn vị chức năng có thể là đơn vị sản phẩm, đơn vị bán hàng hoặc đơn vị dịch vụ.
[NGUỒN: ISO TS 14067:2013, 3.1.4.8] [3]
3.6
Tiềm năng nóng lên toàn cầu (global warming potential)
GWP
Hệ số đặc tính (TCVN ISO 14040:2000, 3.37) [4] mô tả tác động cưỡng bức bức xạ của một đơn vị khối lượng của một khí nhà kính nhất định so với tác động của carbon dioxide trong một khoảng thời gian đã định.
[NGUỒN: ISO TS 14067:2013, 3.1.3.4]
3.7
Khí nhà kính (greenhouse gas)
GHG
Thành phần khí của khí quyển, cả tự nhiên và nhân tạo, hấp thụ và bức xạ ở các bước sóng cụ thể trong phổ bức xạ hồng ngoại phát ra từ bề mặt trái đất, khí quyển và các đám mây.
Chú thích: Các khí nhà kính bao gồm, trong số các khí khác, carbon dioxide (CO2), metan/CH4), oxit nitơ (N2O), các hợp chất hydrofluorocarbon (HFC), các hợp chất perfluorocarbon (PFC) và lưu huỳnh hexafluorua (SF6). [NGUỒN: TCVN ISO 14064-2:2011 (ISO 14064-2:2006, 2.1] [5]
3.8
Phát thải khí nhà kính (greenhouse gas emission)
Phát thải khí nhà kính (GHG emission)
Tổng khối lượng khí nhà kính thải vào khí quyển trong một khoảng thời gian xác định.
[NGUỒN: ISO 14064-1:2006, 2.5]
3.9
Dự án khí nhà kính (greenhouse gas project)
Dự án GHG (GHG project)
Hoạt động hoặc các làm thay đổi mà sau các điều kiện đã được xác nhận trong kịch bản đường cơ sở nhằm giảm thiểu mức phát thải khí nhà kính.
[NGUỒN: TCVN ISO 14064-2:2011 (ISO 14064-2:2006), 2.12, đã sửa đổi - lược bỏ “... hoặc tăng cường việc loại bỏ khí nhà kính"]
3.10
Giảm thiểu phát thải khí nhà kính (greenhouse gas reduction)
Giảm thiểu phát thải GHG (GHG reduction)
Việc giảm tính toán được phát thải khí nhà kính giữa kịch bản đường cơ sở và dự án.
[NGUỒN: ISO 14064-2:2006, 2.7, đã sửa đổi - thuật ngữ ban đầu là "mức cắt giảm phát thải khí nhà kính"]
3.11
Nghiên cứu giảm thải khí nhà kính (greenhouse gas reduction study)
Nghiên cứu mức cắt giảm GHG (GHG reduction study)
Nghiên cứu nhằm định lượng mức cắt giảm khí nhà kính.
3.12
Loại bỏ khí nhà kính (greenhouse gas removal)
Loại bỏ khí nhà kính (greenhouse gas removal)
Tổng khối lượng khí nhà kính được loại bỏ khỏi khí quyển trong một khoảng thời gian xác định.
[NGUỒN: TCVN ISO 14064-2:2011 (ISO 14064-1:2006), 2.6]
3.13
Khu dự trữ khí nhà kính (greenhouse gas reservoir)
Đơn vị vật lý hoặc thành phần vật lý của sinh quyển, địa quyển hoặc thủy quyển có khả năng lưu giữ hoặc tích lũy một GHG được loại bỏ khỏi khí quyển bằng một bể thu giữ khí nhà kính hoặc một GHG được giữ lại nguồn khí nhà kính.
Chú thích 1: Tổng khối lượng các-bon chứa trong khu dự trữ GHG tại một thời điểm xác định có thể quy về lượng- cacbon của khu dự trữ.
Chú thích 2: Khu dự trữ GHG có thể truyền các khí nhà kính sang khu dự trữ GBG khác.
Chú thích 3: Việc thu thập GHG từ nguồn GHG trước khi đi vào khí quyển và lưu giữ GHG được thu thập trong khu dự trữ GHG có thể được coi là giữ lại và lưu giữ GHG.
[NGUỒN: TCVN ISO 14064-2:2011 (ISO 14064-2:2006), 2.4]
3.14
Bể hấp thụ khí nhà kính (greenhouse gas sink)
Đơn vị vật lý hoặc quá trình lấy ra một GHG ra khỏi khí quyển.
[NGUỒN: ISO 14064-2:2006, 2.3]
3.15
Nguồn khí nhà kính (greenhouse gas source)
Đơn vị vật lý hoặc quá trình xả thải một GHG vào khí quyển.
[NGUỒN: TCVN ISO 14064-2:2011 (ISO 14064-2:2006), 2.2]
3.16
Sản phẩm trung gian (intermediate product)
Đầu ra từ một quá trình đơn vị là đầu vào cho các quá trình đơn vị khác yêu cầu biến đổi thêm trong hệ thống.
[NGUỒN: TCVN ISO 14040:2009, 3.23]
3.17
Vòng đời của sản phẩm (life cycle)
Các giai đoạn liên tiếp và liên quan với nhau của hệ thống sản phẩm, thu thập hoặc tạo ra các nguyên liệu thô hoặc các nguồn nguyên thiên nhiên đến thải bỏ cuối cùng.
[NGUỒN: TCVN ISO 14040:2009, 3.1]
3.18
Giám sát (monitoring)
Đánh giá liên tục hoặc định kỳ về phát thải và loại bỏ GHG hoặc các dữ liệu khác liên quan đến GHG. [NGUỒN: TCVN ISO 14064-2:2011 (ISO 14064-2:2006), 2.25]
3.19
Tổ chức (organization)
Nhóm người và phương tiện có sự sắp xếp về trách nhiệm, quyền hạn và các mối quan hệ.
[NGUỒN: ISO 9000:2005[1], sửa đổi 3.3.1 [5] đã sửa đổi - lược bỏ VÍ DỤ và thêm 3 Chú thích}
3.20
Hiệu ứng sơ cấp (primary effect)
Thay đổi có chủ ý gây ra bởi hoạt động của một dự án về phát thải, loại bỏ, hoặc tích trữ GHG liên quan đến một nguồn GHG hoặc một bể thu giữ GHG.
[NGUỒN: Nghị định thư Khí nhà kính dùng cho Kế toán Dự án: 2005, Điều 2.4] [6]
3.21
Sản phẩm (product)
Bất kỳ hàng hóa hoặc dịch vụ nào.
Chú thích: Điều này bao gồm hàng hóa hoặc dịch vụ được kết nối với nhau và/hoặc có liên quan với nhau.
[NGUỒN: IEC 62430:2009, 3.14]
3.22
Chủng loại sản phẩm (product category)
Nhóm các sản phẩm tương tự về mặt công nghệ hoặc chức năng trong đó các khía cạnh môi trường có thể được dự kiến một cách hợp lý là tương tự nhau.
[NGUỒN: IEC 62430:2009[2], 3.15] [7]
3.23
Chức năng tham chiếu (reference function)
Tập hợp các đặc tính tính năng (bao gồm một sự kết hợp của nhiều sản phẩm thông thường hoặc nhiều hoạt động thông thường của con người) có chức năng tương đương với một sản phẩm được đánh giá.
3.24
Sản phẩm tham chiếu (reference product)
Sản phẩm có các phát thải GHG liên quan được đánh giá cho một kịch bản đường cơ sở.
3.25
Hiệu ứng thứ cấp (secondary effect)
Thay đổi không chủ ý do hoạt động của một dự án gây ra về phát thải, loại bỏ, hoặc tích trữ GHG gắn liền với một nguồn hoặc một bể thu giữ GHG.
[NGUỒN: Nghị định thư về Khí nhà kính dùng cho Kế toán Dự án: 2005, Điều 2.4]
3.26
Sản phẩm mục tiêu (target product)
Sản phẩm cho phép cắt giảm một mức GHG.
Chú thích: Sản phẩm mục tiêu khác với sản phẩm được đánh giá khi sản phẩm mục tiêu là một sản phẩm trung gian (ví dụ như mạch truyền động bộ nghịch lưu) được tích hợp vào sản phẩm được đánh giá (ví dụ như máy điều hòa không khí) và cho phép sản phẩm được đánh giá cắt giảm phát thải GHG.
3.27
Độ không đảm bảo (uncertainty)
Tham số kết hợp với kết quả định lượng đặc trưng cho sự phân tán của các giá trị có thể quy một cách hợp lý cho lượng được định lượng.
Chú thích: Thông tin về độ không đảm bảo thường quy định các ước tính định lượng về độ phân tán có nhiều khả năng xảy ra của các giá trị và một mô tả định tính về các nguyên nhân có nhiều khả năng gây ra sự phân tán này.
[NGUỒN: TCVN ISO 14064-2:2011 (ISO 14064-2:2006), 2.30]
3.28
Xác minh (validation)
Quá trình có tính hệ thống, độc lập và được lập thành văn bản để đánh giá một xác nhận GHG trong một kế hoạch dự án GHG dựa trên các tiêu chí xác nhận đã thỏa thuận.
[NGUỒN: TCVN ISO 14064-2:2011 (ISO 14064-2:2006), 2.26, đã sửa đổi - lược bỏ hai CHÚ THÍCH]
3.29
Kiểm tra xác nhận (verification)
Quá trình có tính hệ thống, độc lập và được lập thành văn bản để đánh giá một xác nhận khí nhà kính dựa trên các tiêu chí kiểm tra xác nhận đã thỏa thuận.
[NGUỒN: ISO 14064-2:2006, 2.28, đã sửa đổi - Lược bỏ CHÚ THÍCH]
4 Nguyên tắc
4.1 Điều khoản trong các tiêu chuẩn hiện hành
Các tiêu chuẩn hiện hành mô tả “các nguyên tắc” như sau:
| 3.1 Yêu cầu chung Việc áp dụng các nguyên tắc là cơ bản để đảm bảo rằng thông tin liên quan đến GHG là trung thực và công bằng. Các nguyên tắc này là cơ sở cho, và sẽ hướng dẫn việc áp dụng các yêu cầu trong phần này của bộ tiêu chuẩn ISO 14064. 3.2 Sự liên quan Lựa chọn các nguồn GHG, các bể thu giữ GHG, các bể chứa GHG, dữ liệu và các phương pháp luận phù hợp với các nhu cầu của người sử dụng dự kiến. 3.3 Tính đầy đủ Bao gồm tất cả các phát thải và loại bỏ GHG có liên quan. Bao gồm tất cả các thông tin liên quan để hỗ trợ các tiêu chí và thủ tục. 3.4 Tính nhất quán Cho phép các so sánh có ý nghĩa trong thông tin liên quan đến GHG. 3.5 Độ chính xác Giảm thiểu sự thiên vị và độ không đảm bảo đo ở mức có thể thực hiện được. 3.6 Tính minh bạch Hé lộ thông tin đủ và phù hợp liên quan đến GHG để cho phép những người sử dụng dự kiến đưa ra các quyết định với độ tin cậy hợp lý. 3.7 Tính thận trọng Sử dụng các giả định, giá trị và quy trình thận trọng để đảm bảo rằng các mức giảm thiểu phát thải hoặc tăng cường loại bỏ GHG không bị ước tính quá cao. [Nguồn: TCVN ISO 14064-2:2011 (ISO 14064-2:2006)] |
4.2 Hướng dẫn ngành kỹ thuật điện
Tất cả tính liên quan, đầy đủ, nhất quán, chính xác, minh bạch và thận trọng như yêu cầu trong TCVN ISO 14064-2 đều áp dụng cho tiêu chuẩn này.
CHÚ THÍCH 1: Các nguyên tắc nêu trong ISO TS 14067 cũng hữu ích.
CHÚ THÍCH 2: Khả năng đạt được độ chính xác nhất định phụ thuộc vào đối tượng dự kiến của từng nghiên cứu cắt giảm GHG.
5 Nghiên cứu so sánh các tài liệu liên quan hiện có
Phụ lục A tóm tắt kết quả của một nghiên cứu so sánh trên các tài liệu liên quan trong đó nêu rõ các phương pháp luận về cắt giảm GHG, bao gồm cả tiêu chuẩn này.
Tập trung vào các dự án GHG hoặc các hoạt động dựa trên dự án, TCVN ISO 14064-2 đề cập đến các nguyên tắc và yêu cầu chung để định lượng và báo cáo hiệu quả hoạt động của dự án so với kịch bản đường cơ sở. Nó cung cấp cơ sở cho các dự án GHG sẽ được thẩm định và kiểm chứng.
Nghị định thư GHG dùng cho việc kế toán dự án (sau đây gọi là nghị định thư dự án GHG) cung cấp các nguyên tắc, khái niệm, và phương pháp cụ thể để định lượng và báo cáo mức cắt giảm GHG thông qua các dự án. Nó không chỉ đưa ra các yêu cầu về định lượng và báo cáo các mức cắt giảm GHG mà còn đưa ra hướng dẫn bổ sung để đáp ứng các yêu cầu đó.
Hai tài liệu này tập trung vào các dự án GHG và chủ yếu nhằm mục đích áp dụng cho các dự án tín chỉ đã được xác minh (ví dụ như CDM). Do đó, chúng bao gồm các yêu cầu cụ thể đối với tín chỉ đã được xác minh mà không nhất thiết liên quan đến nghiên cứu cắt giảm GHG để ra quyết định nội bộ.
ITU-T L.1410 quy định cụ thể các phương pháp luận và hướng dẫn thực tế đối với các hàng hóa, mạng lưới và dịch vụ (GNS) ICT (CNTT-TT) để phân tích so sánh dựa trên đánh giá vòng đời (LCA) trên một hệ thống sản phẩm mục tiêu và một hệ thống sản phẩm tham chiếu. Nó bao gồm một khuôn khổ và hướng dẫn về phương pháp dựa trên LCA được quy định trong TCVN ISO 14040:2009 và TCVN ISO 14044:2011 [8]. Mặc dù nó cũng đề cập đến việc cắt giảm GHG, nhưng phương pháp luận của nó khác với hai tài liệu trước đó - nó thiên về LCA hơn là định hướng, dự án.
Tiêu chuẩn này cung cấp hướng dẫn định lượng mức cắt giảm GHG thông qua việc phát triển và cung cấp các sản phẩm EE. Phương pháp của nó tính đến cả hai dự án GHG và LCA. Nhưng trái ngược với hai tài liệu trước, báo cáo này bao gồm một hướng dẫn chung về các phương pháp luận định lượng mức cắt giảm GHG được áp dụng rộng rãi không chỉ đối với các khoản tín dụng đã được xác minh mà còn để ước tính cho việc ra quyết định nội bộ, v.v.
CHÚ THÍCH: Báo cáo này cũng ghi nhận hoạt động của ITU-T trong việc xây dựng khuyến cáo L.1430 [9].
6 Khung định lượng
6.1 Yêu cầu chung
Tiêu chuẩn này cung cấp hướng dẫn để định lượng mức cắt giảm GHG thông qua "dự án GHG liên quan đến sản phẩm" từ đường cơ sở.
CHÚ THÍCH: Tiêu chuẩn TCVN ISO 14064-2:2011 (ISO 14064-2:2006) mô tả “các dự án GHG liên quan đến sản phẩm” như sau:
| Các dự án GHG cũng có thể được thực hiện như là một kết quả của phát triển sản phẩm, trong đó lượng cắt giảm phát thải GHG hoặc tăng cường loại bỏ GHG chủ yếu xảy ra ở giai đoạn sử dụng trong vòng đời sản phẩm (ví dụ như phát triển một hệ thống điều hòa không khí với yêu cầu năng lượng thấp hơn cho một chức năng làm mát đã cho so với sản phẩm đường cơ sở). Đối với các dự án GHG liên quan đến sản phẩm, đánh giá vòng đời (LCA) có thể được sử dụng để tính toán các mức cắt giảm phát thải GHG hoặc tăng cường loại bỏ GHG. [Nguồn: TCVN ISO 14064-2:2011 (ISO: 14064-2:2006), A.3.2.4 Các dự án GHG liên quan đến sản phẩm] |
Để nhận dạng các GHG cụ thể cần tính toán, tiêu chuẩn này khuyến cáo cân nhắc sự phù hợp và khuôn khổ/các nghiên cứu quốc tế. Ví dụ, sáu loại khí được thừa nhận trong khuôn khổ quốc tế, tức là Nghị định thư Kyoto: CO2, CH4, N2O, các HFC, các PFC và SF6. Đối với các khí không phải là CO2, lượng CO2 tương đương (CO2e) thu được bằng cách nhân từng lượng phát thải GHG với (GWP) của các khí đó.
Cần lập tài liệu phiên bản của Báo cáo đánh giá của Ủy ban Liên Chính phủ về Biến đổi Khí hậu (IPCC) đã được sử dụng cho nghiên cứu giảm GHG. Các GHG cần tính đến cần được rà soát lại định kỳ, cùng với các nghiên cứu quốc tế trong tương lai, v.v. được cân nhắc thích đáng. Ví dụ như tất cả các khí (nhiều hơn sáu khí, ví dụ như NF3) được chỉ định trong Báo cáo đánh giá IPCC mới nhất có thể được chọn cho nghiên cứu cắt giảm GHG.
6.2 Các bước cơ bản của nghiên cứu cắt giảm GHG
6.2.1 Điều khoản trong các tiêu chuẩn hiện hành
Các tiêu chuẩn hiện hành mô tả “các bước” như sau:
| Các bước kế toán và báo cáo các mức cắt giảm GHG từ một dự án GHG - Xác định ranh giới đánh giá GHG - Chọn lựa thủ tục đường cơ sở - Nhận dạng các ứng viên đường cơ sở - Ước tính lượng phát thải đường cơ sở - Theo dõi và định lượng giảm thải GHG - Báo cáo mức giảm thải GHG [...] Các ứng viên đường cơ sở là các công nghệ hoặc pthực hành thay thế, trong một khu vực địa lý và phạm vi thời gian quy định, có thể cung cấp cùng sản phẩm hoặc dịch vụ như một hoạt động dự án. [Nguồn: Tóm tắt Nghị định thư về GHG dùng cho Kế toán Dự án:2005 (trang 27)] |
6.2.2 Hướng dẫn ngành kỹ thuật điện
Mục tiêu của việc thực hiện một nghiên cứu giảm thải GHG là định lượng lượng cắt giảm GHG đạt được bằng một dự án GHG liên quan đến sản phẩm EE.
Một cách khả thi và đơn giản để tiến hành nghiên cứu giảm thải GHG cho một dự án GHG liên quan đến sản phẩm EE được tóm tắt thành 11 bước được mô tả trên Hình 1.
Mặc dù các bước tuân theo một trật tự tuần tự nhưng nghiên cứu cắt giảm GHG không nhất thiết phải là một quá trình tuyến tính chặt chẽ. Thông thường, việc lặp lại giữa các bước sẽ là cần thiết.
Hướng dẫn bổ sung cho các sản phẩm trung gian được cung cấp theo các bước được chọn khi cần thiết.

CHÚ THÍCH: Các mũi tên đường chấm chấm cho thấy khả năng quay lạt từ mỗi bước tới một bước trước đó.
Hình 1 - Các bước cơ bản của nghiên cứu giảm thải GHG
6.3 Xác định mục tiêu và phạm vi
Các tài liệu hiện có không cung cấp điều rõ ràng nào dành riêng cho “định nghĩa mục tiêu và phạm vi.” Báo cáo này công nhận các mục tiêu và phạm vi điển hình sau đây của nghiên cứu cắt giảm GHG:
a) ước tính mức cắt giảm GHG do một sản phẩm EE mang lại cho việc ra quyết định nội bộ;
b) công bố kết quả nghiên cứu cắt giảm GHG cho công chúng (ví dụ như công bố sản phẩm trên trang, web hoặc báo cáo trách nhiệm xã hội của doanh nghiệp (CSR));
c) chứng nhận và công nhận chính thức các đơn vị cắt giảm GHG (ví dụ như các tín chỉ) để ví dụ như sử dụng để đáp ứng các mục tiêu phát thải bắt buộc, các chương trình tự nguyện;
d) những mục tiêu và phạm vi khác.
Đối với định nghĩa của mục tiêu và phạm vi, báo cáo này khuyến cáo nên tính đến các hạng mục được liệt kê ở trên.
CHÚ THÍCH: Báo cáo này cung cấp hướng dẫn định lượng thường áp dụng cho các hạng mục trên. Tuy nhiên, đối với hạng mục c), hướng dẫn định lượng do báo cáo này cung cấp không nhất thiết đã bao gồm đầy đủ nội dung đó. Có thể cần đặc biệt chú ý để đáp ứng các yêu cầu bổ sung được cung cấp bởi các tiêu chuẩn liên quan hiện có như TCVN ISO 14064-2 hoặc giao thức GHG để kế toán dự án về tính bổ sung, xác nhận và/hoặc kiểm tra xác nhận, theo dõi, v.v.
Phạm vi của nghiên cứu cắt giảm GHG cần được xác định có tính đến những cân nhắc chính có liên quan, ví dụ như;
• tiến triển trong thiết kế hoặc công nghệ;
• chức năng và tính năng,
• người dùng, điều kiện sử dụng/dịch vụ và cơ sở hạ tầng của địa điểm,
• khoảng thời gian tiện ích (khoảng thời gian sử dụng/dịch vụ thông thường, thời gian vòng đời;
• hàng tiêu dùng, các sản phẩm hỗ trợ khác và cơ hội bảo trì;
• kế hoạch cuối vòng đời;
• các tác động chính già định, tức là những thay đổi cụ thể về phát thải GHG mà một dự án GHG liên quan đến sản phẩm EE được thiết kế để đạt được.
6.4 Xác định dự án GHG liên quan đến sản phẩm EE
6.4.1 Hướng dẫn ngành kỹ thuật điện
Các dự án liên quan đến sản phẩm EE có thể được xác định cho các hoạt động được thực hiện như là kết quả của việc phát triển và cung cấp hoặc là một đơn vị sản phẩm duy nhất hoặc là nhiều đơn vị sản phẩm tương đương về chức năng được giới thiệu ra thị trường.
Để xác định các dự án GHG liên quan đến sản phẩm EE, báo cáo này khuyến cáo, phù hợp với mục tiêu và phạm vi, xác định ít nhất các hạng mục sau:
• (các) mục tiêu và đối tượng của dự án;
• hoạt động hoặc các hoạt động của dự án;
• công nghệ, sản phẩm, dịch vụ và mức độ hoạt động dự kiến của dự án;
• vị trí dự án, bao gồm thông tin địa lý và vật lý cho phép nhận dạng và phân định duy nhất phạm vi cụ thể của dự án;
• các điều kiện trước khi bắt đầu dự án (ví dụ như các điều kiện lịch sử như lượng phát thải GHG hoặc dữ liệu về mức độ hoạt động và các điều kiện thị trường ví dụ như công nghệ phổ biến được sử dụng);
• bằng cách nào dự án sẽ đạt được mức cắt giảm và/hoặc tăng cường loại bỏ GHG.
Đặc biệt đối với các sản phẩm, báo cáo này khuyến cáo nên chọn “một sản phẩm mục tiêu” và “sản phẩm đã đánh giá” do hoạt động dự án cung cấp.
Sản phẩm mục tiêu là sản phẩm cho phép giảm thiểu phát thải GHG. Sản phẩm mục tiêu thường được thiết kế để đạt được những thay đổi cụ thể về phát thải GHG bằng cách hoặc là sử dụng riêng lẻ hoặc là bằng cách tích hợp vào các sản phẩm hoặc hệ thống khác (sản phẩm đã được đánh giá).
Trường hợp sản phẩm mục tiêu có thể có một dải các cấu hình với số thành phần rất khác nhau, tổ chức cần cố gắng lựa chọn một cấu hình sản phẩm mục tiêu đại diện cho cấu hình sản phẩm thường được đưa vào thị trường phù hợp với mục tiêu, phạm vi và các ranh giới của nghiên cứu.
Nếu cỏ một dải biến đổi trong các cấu hình sản phẩm được đánh giá, việc sử dụng năng lượng hoặc vật liệu thì tổ chức cần nhận dạng rõ ràng cấu hình cụ thể cho nghiên cứu.
• Một sản phẩm được đánh giá là một sản phẩm có các phát thải GHG liên quan được đánh giá trong một dự án GHG liên quan đến một sản phẩm EE. Nếu sản phẩm mục tiêu là một sản phẩm hoặc hệ thống cuối cùng, thì nó cũng có thể được chọn làm một sản phẩm đã được đánh giá.

Hình 2 - Minh họa tổng quan về các giảm thải GHG so với kịch bản đường cơ sở
Ví dụ về các tiêu chí cần chọn một sản phẩm được đánh giá được đưa vào nhưng không bị giới hạn ở:
• Một sản phẩm có hiệu suất năng lượng cao;
• Một hệ thống có hiệu suất năng lượng được cải thiện có được nhờ một thành phần công nghệ cao;
• Một hệ thống có giảm thải GHG thấp thông qua một mức hiệu suất cao bằng cách sử dụng công nghệ lưới điện tiên tiến.
6.4.2 Hướng dẫn bổ sung về các sản phẩm trung gian
Nếu một sản phẩm mục tiêu là một sản phẩm trung gian có thể đưa vào trong một sản phẩm cuối thì sản phẩm cuối này có thể được chọn làm sản phẩm được đánh giá, ví dụ như đối với một bộ nghịch lưu như một sản phẩm mục tiêu, một máy điều hòa không khí nó có thể được chọn như một sản phẩm được đánh giá.
Cần lưu ý rằng có thể có nhiều loại sản phẩm cuối bao gồm nhiều sản phẩm trung, gian, ví dụ như một máy vô tuyến (TV) và một máy tính cá nhân (PC) (hai loại sản phẩm cuối) bao gồm các linh kiện tinh thể lỏng (các sản phẩm trung gian).
6.5 Xác định kịch bản đường cơ sở
6.5.1 Điều khoản trong các tiêu chuẩn hiện hành
Các tiêu chuẩn hiện hành cung cấp các yêu cầu sau đây liên quan đến "kịch bản đường cơ sở".
| Người đề xuất dự án phải lựa chọn hoặc thiết lập các tiêu chí và thủ tục để nhận dạng và đánh giá các kịch bản đường cơ sở tiềm năng có tính đến các vấn đề sau: a) mô tả dự án, bao gồm các nguồn, bể hấp thụ, và bể chứa GHG đã nhận dạng (xem 5.3); b) các loại dự án hiện có và thay thế, các hoạt động và công nghệ cung cấp loại và mức độ hoạt động tương đương của các sản phẩm hoặc dịch vụ cho dự án; c) tính sẵn có, độ tin cậy và các hạn chế của dữ liệu; d) thông tin liên quan khác bao gồm các điều kiện hiện tại hoặc tương lai, chẳng hạn như các giả định hoặc dự báo về mặt pháp lý, kỹ thuật, kinh tế, văn hóa xã hội, môi trường, địa lý, địa điểm cụ thể và thời gian. [...] A 3.3 Nhận dạng các nguồn, bể hấp thụ và bể chứa GHG cho dự án A.3.3.1 Yêu cầu chung [...] Để đảm bảo so sánh phù hợp giữa dự án và đường cơ sở (để tính toán mức cắt giảm phát thải và tăng cường loại bỏ GHG), các dịch vụ, sản phẩm hoặc chức năng thường bao gồm thước đo định lượng và thể hiện tính tương đương về chức năng. [Nguồn: ISO 14064-2:2006] |
| Kịch bản đường cơ sở là trường hợp tham khảo cho hoạt động dự án. Đó là một mô tả giả thuyết về những gì có thể xảy ra nhất nếu không có bất kỳ cân nhắc nào về việc giảm thiểu biến đổi khí hậu. [...] Có ba khả năng chung cho kịch bản đường cơ sở: - triển khai các công nghệ hoặc thực hành tương tự được sử dụng trong hoạt động dự án; - triển khai một ứng viên đường cơ sở; hoặc - tiếp tục các hoạt động, công nghệ hoặc thực hành hiện tại mà, nếu phù hợp, cung cấp cùng loại, chất lượng, và số lượng sản phẩm hoặc dịch vụ như hoạt động dự án. [Nguồn: Tóm tắt Nghị định thư GHG dùng cho Kế toán Dự án:2005] |
6.5.2 Hướng dẫn ngành kỹ thuật điện
Việc cắt giảm GHG được định lượng tương ứng với mức phát thải GHG tham chiếu. Đối với các dự án GHG liên quan đến sản phẩm EE, mức cắt giảm GHG được định lượng hoặc là dựa trên kịch bản đường cơ sở dự kiến, hoặc kết quả của một dự án có thực.
Các ứng viên đường cơ sở cung cấp một sản phẩm hoặc chức năng đồng nhất hoặc tương tự với sản phẩm hoặc chức năng của hoạt động dự án. Sản phẩm hoặc chức năng này có thể có nhiều dạng, tùy thuộc vào loại hoạt động của dự án, và trong một số trường hợp có thể không hiển nhiên.
Để đảm bảo so sánh phù hợp giữa dự án và đường cơ sở, tính tương đương về chức năng là ý tưởng cơ bản có liên quan cần được tính đến và tính tương thích của nó với đơn vị chức năng cần được thừa nhận. Các đặc điểm của đơn vị chức năng cần giải quyết các câu hỏi sau: “Cái gì”, “bao nhiêu”, “tốt như thế nào” và “trong bao lâu.”
CHÚ THÍCH 1: Ví dụ như, một đơn vị chức năng của sơn có thể “phủ hoàn toàn 1 m2 bức tường ngoài trời được sơn lót trong 10 năm với độ chắn sáng là 99,9%.”
Tuy nhiên, đối với các sản phẩm EE, có thể cần xem xét lại tính tương đương, ví dụ như trong các trường hợp sau:
• thị trường cho các sản phẩm do hoạt động dự án cung cấp hoạt động kém hoặc không tồn tại;
• hoạt động của dự án lớn đến mức phản ứng của thị trường không tỷ lệ (ví dụ như vì hoạt động của dự án đủ lớn để thay đổi giá thị trường so với kịch bản đường cơ sở, gây ra thay đổi về tổng lượng sản xuất).
Một tổ chức có thể sử dụng một đơn vị sản phẩm để xác định sản phẩm tham chiếu, ví dụ như một đơn vị thuộc mẫu cũ của một sản phẩm cụ thể có giải thích lý do tại sao đơn vị chức năng không được áp dụng phù hợp với mục tiêu và phạm vi.
Cần đặc biệt chú ý trong trường hợp một hạng mục của sản phẩm được đánh giá có nhiều chức năng nâng cao hơn đơn vị tương tự của một sản phẩm tham chiếu.
Để xác định kịch bản đường cơ sở, tiêu chuẩn này khuyến cáo, phù hợp với mục tiêu và phạm vi, như sau:
• nhận dạng chức năng của sản phẩm được đánh giá;
• xác định các điều kiện có nhiều khả năng xảy ra nhất khi không có dự án GHG liên quan đến sản phẩm EE được đề xuất; và
• chọn một sản phẩm tham chiếu hoặc hàm chức năng tham chiếu thể hiện tốt nhất các điều kiện
Kịch bản đường cơ sở cần được cập nhật liên tục để phản ánh sự tiến hóa tự nhiên của công nghệ và các hệ thống.
Kịch bản đường cơ sở cần được mô hình hóa dựa trên kết quả của việc cung cấp và sử dụng sản phẩm tham chiếu. Thời gian của nghiên cứu cần nhất quán với thời gian điển hình của tiến bộ kỹ thuật.
Cần cân nhắc tết cả các sản phẩm tham chiếu khả thi trong khoảng thời gian áp dụng đường cơ sở. Tuy nhiên, vì việc nhận biết một danh sách đầy đủ các sản phẩm tham chiếu có thể tốn kém và tốn thời gian nên có thể cần phải cân bằng về thời gian và chi phí để nhận dạng các sản phẩm tham chiếu. Mặc dù sự đánh đổi như vậy là không thể tránh khỏi nhưng mọi quyết định liên quan đến sản phẩm tham chiếu làm đường cơ sở cần phải minh bạch.
CHÚ THÍCH 2: Các sản phẩm tham chiếu có thể cần được đánh giá lại hằng năm để đảm bảo rằng chúng đại diện cho thị trường điển hình.
Để lựa chọn các sản phẩm tham chiếu, báo cáo này khuyến cáo như sau:
• xác định phạm vi thời gian;
• xây dựng một danh sách ứng viên các sản phẩm tham chiếu;
• áp dụng một sản phẩm tham chiếu được sử dụng theo kịch bản đường cơ sở.
Phạm vi thời gian là khoảng thời gian thích hợp cho đường cơ sở liên quan. Tuổi thọ dự kiến của sản phẩm được đánh giá có thể là khoảng thời gian này. Sản phẩm tham chiếu cần được chọn từ các sản phẩm đang có trên thị trường hoặc đang được sử dụng trong một thời gian nhất định sau khi giới thiệu sản phẩm được đánh giá. Không nên chọn những sản phẩm không còn tồn tại tại thời điểm giới thiệu sản phẩm được đánh giá làm sản phẩm tham chiếu.
Sản phẩm tham chiếu ít nhất cần có tính tương thích về chức năng với sản phẩm được đánh giá. Tổ chức có thể đặt ra các tiêu chí bổ sung để lựa chọn sản phẩm tham chiếu, phù hợp với mục tiêu và phạm vi.
Ví dụ về các tiêu chí bao gồm nhưng không giới hạn ở:
• hệ thống hoặc sản phẩm cụ thể chính xác sẽ được thay thế bằng sản phẩm được đánh giá;
• công nghệ tốt nhất hiện có (chẳng hạn như các hoạt động tương tự hàng đầu);
• các thực hành phổ biến (chẳng hạn như việc sử dụng công nghệ phổ biến, trên thị trường), ví dụ: một sản phẩm hiện có có mức thâm nhập thị trường sâu nhất (Một sản phẩm được đặt vào thị trường hiện tại đang cạnh tranh với sản phẩm được đánh giá hoặc dự kiến sẽ được thay thế bằng sản phẩm được đánh giá trong tương lai);
• các điều kiện lịch sử (chẳng hạn như dữ liệu về phát thải GHG hoặc mức độ hoạt động).
Trừ khi một dự án GHG liên quan đến sản phẩm EE sẽ phải thay thế hoặc trang bị thêm một hệ thống hoặc sản phẩm cụ thể (ví dụ như một nhà máy điện đốt nhiên liệu hóa thạch cụ thể được thay thế bằng một nhà máy điện năng lượng tái tạo), sản phẩm tham chiếu có thể được chọn làm sản phẩm được coi là thực hành thông thường hoặc công nghệ sẵn có tốt nhất.
CHÚ THÍCH 3: Một thực hành chung là các công nghệ hoặc thực hành chiếm ưu thế trong một thị trường đã cho, được xác định bằng mức độ thâm nhập thị trường của các công nghệ hoặc thực hành đó. Mức độ thâm nhập thể hiện thực hành chung có thể khác nhau giữa các ngành và khu vực địa lý. Ví dụ, ở một khu vực, một công nghệ nhất định có thể chiếm 60 % thị phần, trong khi ở khu vực khác, nó có thể chỉ chiếm 15 % thị phần.
CHÚ THÍCH 4: Giá trị trung bình có thể được sử dụng làm thực hành chung chẳng hạn như hệ số phát thải điện gần đây và khu vực có thể được sử dụng làm thông lệ chung về mức tiêu thụ điện năng. Hoặc, khi các sản phẩm tham chiếu giống nhau ở mọi nơi, hệ số phát thải trung bình thế giới mới nhất do Cơ quan Năng lượng Quốc tế (IEA) cung cấp có thể được sử dụng.
Một sản phẩm tham chiếu có thể dựa trên kịch bản đường cơ sở thận trọng nếu có bằng chứng là công nghệ tốt nhất sẵn có.
CHÚ THÍCH 5: Một thực hành chung có thể tương ứng hoặc không tương ứng với những gì được yêu cầu về mặt pháp lý. Tuy nhiên, khi có yêu cầu pháp lý liên quan ảnh hưởng trực tiếp hoặc gián tiếp đến việc phát thải GHG được thực thi thì tổ chức có thể sử dụng yêu cầu đó để xác định ứng viên đường cơ sở.
CHÚ THÍCH 6: Sản phẩm đã từng phổ biến trên thị trường và vừa được thay thế bằng sản phẩm được đánh giá có thể được chọn làm sản phẩm khuyến cáo. Trong trường hợp như vậy, cần chứng minh mối quan hệ giữa sản phẩm được đánh giá và sản phẩm tham chiếu được chọn.
Trường hợp không có sản phẩm tham chiếu, thì có thể chọn chức năng tham chiếu. Chức năng tham chiếu được định nghĩa ở 3.23.
Ví dụ về các chức năng tham chiếu bao gồm nhưng không giới hạn ở
• "sấy khô đôi bàn tay" sử dụng máy sấy phun dòng không khí lên cả hai bàn tay như một sản phẩm được đánh giá và lau bằng giấy;
• "Bộ nhớ 1-terabyte" áp dụng cho cả thiết bị lưu trữ mới có dung lượng 1 terabyte là sản phẩm được đánh giá và mười thiết bị lưu trữ 100 gigabyte.
6.5.3 Hướng dẫn bổ sung cho sản phẩm trung gian
Đối với sản phẩm trung gian, có thể có nhiều loại sản phẩm được đánh giá là sản phẩm cuối cùng có chứa sản phẩm trung gian. Sản phẩm tham chiếu cần được lựa chọn cho từng loại sản phẩm được đánh giá phù hợp với mục tiêu và phạm vi.
6.6 Lựa chọn các nguồn, bể thu giữ và bể chứa GHG (SSR) liên quan
6.6.1 Nhận dạng các tác động sơ cấp và các tác động thứ cấp đáng kể
6.6.1.1 Điều khoản trong các tiêu chuẩn hiện hành
Các tiêu chuẩn hiện hành cung cấp các yêu cầu sau đây liên quan đến việc "lựa chọn các SSR GHG liên quan":
| Người đề xuất dự án phải lựa chọn hoặc thiết lập các tiêu chí và thủ tục để lựa chọn các nguồn, bể thu giữ và bể chứa GHG liên quan để theo dõi hoặc ước tính thường xuyên. [Nguồn: ISO 14064-2:2006] |
| Các mức cắt giảm GHG tổng của một hoạt động dự án được định lượng bằng tổng của (các) tác động sơ cấp liên quan của nó và bất kỳ tác động thứ cấp đáng kể nào (có thể liên quan đến việc giảm hoặc tăng bù đắp phát thải GHG). [Nguồn: Tóm tắt Nghị định thư về GHG dung cho Kế toán Dự án:2005) |
6.6.1.2 Hướng dẫn ngành kỹ thuật điện
Để định lượng mức cắt giảm GHG của một dự án GHG liên quan đến sản phẩm EE, càn phải lựa chọn các nguồn, bể thu giữ và bể chứa GHG liên quan (các SSR GHG). Các SSR GHG liên quan là các SSR GHG gây ra các tác động sơ cấp và tác động thứ cấp đáng kể của dự án.
Để nhận dạng các SSR GHG gây ra các tác động sơ cấp và tác động thứ cấp đáng kể, báo cáo này khuyến cáo so sánh các phát thải GHG từ các giai đoạn trong vòng đời của sản phẩm được đánh giá và từ các giai đoạn trong vòng đời tương ứng của sản phẩm tham chiếu. Trong nhiều trường hợp các dự án GHG liên quan đến sản phẩm EE, tác động sơ cấp xảy ra ở giai đoạn sử dụng. Các giai đoạn trong vòng đời liên quan đến một sản phẩm EE có thể là: "khai thác và chế tạo vật liệu", "phân phối", "lắp đặt vật lý", "sử dụng" và "kết thúc vòng đời." Một số sản phẩm có thể có vòng đời không bao gồm một (hoặc nhiều) giai đoạn này (ví dụ như không có giai đoạn lắp đặt vật lý đối với điện thoại di động).
Tác động sơ cấp được hiểu là sự thay đổi dự kiến cụ thể về phát thải GHG do phát triển và cung cấp các sản phẩm EE liên quan tới một kịch bản đường cơ sở.
Đối với các dự án GHG liên quan đến sản phẩm EE, các tác động sơ cấp thường liên quan đến sự đóng góp của các công nghệ carbon thấp hoặc hiệu quả năng lượng cao, hoặc cải thiện hoạt động của hệ thống.
Ví dụ - Các sản phẩm EE và các hiệu ứng chính do chúng đóng góp
• Là sản phẩm góp phần tiết kiệm năng lượng ở các khâu sử dụng, ví dụ:
- tủ lạnh gia dụng (tiết kiệm năng lượng)
Hiệu quả sơ cấp là cắt giảm lượng phát thải đốt từ việc phát điện nối lưới đạt được nhờ hiệu suất năng lượng cao của tủ lạnh.
• Một sản phẩm góp phần giảm lượng phát thải carbon thấp, ví dụ như:
- sản xuất năng lượng tái tạo (ví dụ như phát điện quang điện, phát điện gió)
Hiệu ứng sơ cấp là giảm lượng phát thải đốt từ việc phát ra điện nối lưới. (Giải pháp thay thế sản xuất nhiệt điện, dự phòng vận hành)
- xe điện
Hiệu ứng sơ cấp là chuyển đổi từ đốt nhiên liệu hóa thạch sang sạc năng lượng thông qua lưới điện đã giảm thấp phát thải GHG tính theo khoảng cách đã đi được.
Ví dụ - Các tác động chính có thể được nhận dạng đối với dịch vụ CNTT-TT (tham khảo ITU-T L.1410)
• Vận tải và du lịch
- Bằng cách cắt giảm sự di chuyển của người và/hoặc hàng hóa bằng cách sử dụng dịch vụ CNTT-TT, mức tiêu thụ năng lượng cần thiết cho vận tải có thể cắt giảm.
• Môi trường không gian làm việc
- Bằng cách cải thiện không gian văn phòng một cách hiệu quả bằng cách sử dụng CNTT-TT mức tiêu thụ năng lượng cho chiếu sáng, điều hòa không khí, v.v. có thể cắt giảm.
Tác động thứ cấp được hiểu là những thay đổi không chú ý về phát thải GHG do phát triển và cung cấp các sản phẩm EE so với kịch bản đường cơ sở.
Tác động thứ cấp có thể là "tích cực" (ví dụ: liên quan đến việc cắt giảm lượng phát thải GHG) hoặc "tiêu cực" (ví dụ: liên quan đến việc tăng lượng phát thải GHG). Một ví dụ về tác động thứ cấp là sự gia tăng không chủ ý về phát thải khí nhà kính liên quan đến việc mua sắm các nguyên liệu thô đặc biệt (ví dụ như mua sắm kim loại hiếm), mặt khác có thể cho phép hạn chế phát thải GHG ở giai đoạn sử dụng với hiệu suất năng lượng cao của nó.
Các tác động thứ cấp chỉ đáng kể khi không thể bỏ qua sự khác biệt ngoài ý muốn về phát thải GHG giữa kịch bản đương cơ sở và một dự án GHG liên quan đến sản phẩm EE so với các tác động chính theo mục tiêu và phạm vi.
Những tác động thứ cấp đáng kể cần được xem xét trong nghiên cứu giảm thiểu GHG.
CHÚ THÍCH: Như được định nghĩa trong báo cáo này, các thuật ngữ “tác động sơ cấp” và “tác động thứ cấp” lần lượt biểu thị các tác động có chủ ý và không chủ ý. Các thuật ngữ tương tự, ví dụ: "hiệu ứng bậc một", "hiệu ứng bậc hai," v.v. được sử dụng trong các tiêu chuẩn khác biểu thị những thứ khác nhau và không nên nhầm lẫn.
Để đánh giá và định lượng xem liệu các giai đoạn trong vòng đời ngoài giai đoạn sử dụng (ví dụ như vật liệu, vận chuyển và chế tạo) có đáng kể hay không, tiêu chuẩn này khuyến cáo phương pháp luận nêu trong IEC TR 62725 [10].
6.6.2 Chọn các phương án để lựa chọn các SSR GHG phù hợp
Phát thải GHG của dự án và phát thải GHG đường cơ sở có thể được tính toán dựa trên các phát thải GHG từ các SSR GHG trong các giai đoạn vòng đời của sản phẩm được đánh giá và trong các giai đoạn tương ứng của sản phẩm hoặc chức năng tham chiếu. Tiêu chuẩn này khuyến cáo chọn một trong ba phương án dưới đây để lựa chọn các SSR GHG phù hợp và chứng minh sự phù hợp của lựa chọn đó:
Tùy chọn 1: Các SSR GHG trong toàn bộ các giai đoạn của vòng đời của sản phẩm được đánh giá cũng như sản phẩm hoặc chức năng tham chiếu
Tùy chọn này áp dụng:
• Đối với các trường hợp khi mà có thể tính toán được toàn bộ lượng phát thải trong vòng đời của cả sản phẩm tham chiếu và sản phẩm được đánh giá.
Tùy chọn 2: Các SSR GHG trong toàn bộ các giai đoạn vòng đời của sản phẩm được đánh giá và các giai đoạn vòng đời được lựa chọn của sản phẩm hoặc chức năng tham chiếu.
Tùy chọn này mang tính thận trọng: Nếu một số giai đoạn trong vòng đời của sản phẩm tham chiếu bị loại khỏi việc định lượng thì lượng phát thải GHG phát sinh từ các sản phẩm tham chiếu này chỉ được định lượng một phần và do đó thường bị đánh giá thấp. Khi đó, các mức cắt giảm phát thải GHG mà các sản phẩm được đánh giá đạt được, tương ứng với các mức phát thải GHG của các sản phẩm tham chiếu, bị đánh giá thấp.
Tùy chọn này chỉ áp dụng nếu các vòng đời không được chọn của sản phẩm tham chiếu không bao gồm các loại bỏ GHG. Các trường hợp điển hình phù hợp với tùy chọn này là như sau:
• lượng phát thải từ một số giai đoạn trong vòng đời của sản phẩm tham chiếu chưa được xác định hoặc khó đánh giá; hoặc
• một hàm tham chiếu được chọn thay vì một sản phẩm tham chiếu.
Tùy chọn 3: Các SSR GHG trong các giai đoạn vòng đời đã chọn của cả sản phẩm được đánh giá nhằm mục tiêu cắt giảm GHG và sản phẩm hoặc chức năng tham chiếu
Tùy chọn này áp dụng được cho các trường hợp như
• lượng phát thải từ các giai đoạn vòng đời không được chọn của sản phẩm được đánh giá là bằng với lượng phát thải của sản phẩm tham chiếu và triệt tiêu lẫn nhau, hoặc
• các phát thải chỉ từ các giai đoạn vòng đời không được chọn của cả hai các sản phẩm đều được coi là không đáng kể và lý do giải thích được đưa ra.
Một quy trình đơn vị hoặc một giai đoạn trong vòng đời chỉ có đóng góp nhỏ cho dự án tổng thể có thể được loại khỏi các SSR GHG liên quan với điều kiện phải đưa ra được lý do giải thích. Ví dụ, người ta thường cho rằng lượng phát thải GHG từ việc sản xuất một thành phần điện tử riêng lẻ chỉ đóng góp nhỏ vào việc đánh giá tổng thể dự án và do đó có thể bỏ qua. Để lược bỏ một giai đoạn trong vòng đời, các tiêu chí lược bỏ nhất quán cần được xác định kèm theo lời giải thích, tùy thuộc vào mục tiêu và phạm vi. Các tiêu chí lược bỏ thường bao gồm một hoặc nhiều yếu tố. Bất kỳ sự kết hợp nào của các ví dụ dưới đây đều có thể được sử dụng để xác định các tiêu chí lược bỏ phù hợp:
Ví dụ về các yếu tố tiêu chí lược bỏ
• ràng buộc định tính, ví dụ như
- phải bao gồm các tấm mạch in có diện tích lớn hơn 1 cm2.
• Ngưỡng định lượng
- Ngưỡng định lượng cho đầu ra, ví dụ như
"Có thể loại trừ ít hơn 5 % tổng lượng phát thải ước tính".
- ngưỡng định lượng cho đầu vào, ví dụ:
“Có thể loại trừ ít hơn 5 % tổng khối lượng hoặc số lượng đầu vào vào sơ đồ quy trình".
CHÚ THÍCH 1: Các ví dụ trên đã được điều chỉnh từ IEC TR 62725.
Trường hợp một dự án GHG liên quan đến sản phẩm EE sử dụng nhiều đơn vị sản phẩm được đánh giá tương đương về chức năng, thì cần nhận dạng số lượng hoặc công suất của các sản phẩm được đánh giá đã được giới thiệu hoặc hiện có trên thị trường.
Mức cắt giảm GHG có thể ước tính bằng cách nhân số lượng hoặc công suất với chênh lệch về phát thải GHG giữa các sản phẩm được giới thiệu hoặc các sản phẩm được đánh giá hiện có và các đơn vị tương ứng của sản phẩm tham chiếu hoặc chức năng tham chiếu.
Để nhận dạng số lượng hoặc công suất của các sản phẩm đã được giới thiệu hoặc hiện có, tiêu chuẩn này khuyến cáo như sau:
• số lượng/công suất dựa trên doanh số bán hàng thực tế trong quá khứ
Tổ chức tiến hành nghiên cứu GHG được phép nhận biết dữ liệu lịch sử về quy mô thị trường của sản phẩm được đánh giá, ví dụ như khối lượng các lô hàng, tổng công suất, v.v. Tổ chức này có thể tự mình thu thập những dữ liệu đó hoặc bằng cách xử lý dữ liệu từ số liệu thống kê công cộng.
• số lượng/công suất dựa trên dự báo trong tương lai
Khi tổ chức ước tính mức giảm GHG tại một thời điểm nhất định trong tương lai, tổ chức đó có thể nhận dạng dữ liệu dự báo về quy mô thị trường của sản phẩm được đánh giá, ví dụ như dự báo doanh số bán sản phẩm. Trong trường hợp này, tiêu chuẩn này khuyến cáo duy trì tính minh bạch và độ tin cậy của dữ liệu theo cách tham chiếu các dự báo từ nhiều nguồn độc lập hoặc từ các nguồn được ủy quyền công khai.
Khi một chức năng tham chiếu được chọn làm kịch bản đường cơ sở, số lượng sản phẩm cần được xác định dựa trên chức năng tương đương (ví dụ như một thiết bị lưu trữ 1 Gb so với mười thiết bị lưu trữ 100 Mb).
CHÚ THÍCH 2: Khối lượng sản phẩm cần được sử dụng cẩn thận. Giả định thận trọng và/hoặc theo dõi là hữu ích để đảm bảo không đánh giá quá cao mức cắt giảm GHG (Đối với việc “theo dõi”, xem 8.2).
6.6.3 Hướng dẫn bổ sung đối với các sản phẩm trung gian
Nếu sản phẩm mục tiêu là một sản phẩm trung gian khác với sản phẩm được đánh giá thì khối lượng của các sản phẩm mục tiêu không phải lúc nào cũng giống như các sản phẩm được đánh giá. Ví dụ như, nếu sản phẩm mục tiêu là một linh kiện bán dẫn và sản phẩm được đánh giá là một PC, thì một đơn vị sản phẩm được đánh giá có thể bao gồm nhiều đơn vị sản phẩm mục tiêu. Vì vậy, cần chú ý để thấy rằng khối lượng các sản phẩm được đánh giá được sử dụng cho việc định lượng.
6.7 Ước tính thử và quyết định về các SSR GHG liên quan
Ước tính thử cung cấp thông tin về việc lựa chọn các SSR GHG có liên quan (tức là xác nhận tầm quan trọng của các tác động sơ cấp được giả định và các tác động thứ cấp đã chọn) cũng như tính khả thi và tính sẵn có của dữ liệu quy trình cần thiết phải định lượng các tác động đó. Ví dụ, để kiểm tra tính phù hợp của các SSR GHG đã chọn, cần ước tính sơ bộ về lượng phát thải trong vòng đời của cả sản phẩm tham chiếu và sản phẩm được đánh giá.
Tiêu chuẩn này nhấn mạnh tầm quan của việc trước tiên ước tính các mức cắt giảm năng lượng và vật liệu thực chất, có thể định lượng được liên quan tới dự án cắt giảm trước khi đánh giá mức cắt giảm GHG.
Tiêu chuẩn này khuyến cáo trước tiên hãy ước tính mức cắt giảm sử dụng năng lượng và vật liệu bằng cách sử dụng các phép đo định lượng trước khi áp dụng các hệ số phát thải GHG đa dạng hơn. Điều này sẽ cho phép tổ chức xác định rõ ràng các mức cắt giảm trực tiếp của vật liệu đối với dự án cụ thể, trước khi áp dụng các yếu tố phát thải GHG, vốn sẽ phụ thuộc rất nhiều vào vị trí địa lý, nguồn vật liệu và các biến số khác. Mối quan ngại này là cụ thể đối với các dự án GHG liên quan đến sản phẩm EE trong đó các kịch bản sử dụng và địa điểm có thể dẫn đến những dải phát thải GHG ở mức một hoặc hai bậc độ lớn.
Đối với cách tiếp cận ước tính thử nghiệm, tiêu chuẩn này khuyến cáo hướng dẫn được cung cấp tại Điều 6.5 của IEC TR 62725:2013.
6.8 Ước tính lượng phát thải đường cơ sở
6.8.1 Quy trình đường cơ sở
6.8.1.1 Yêu cầu chung
Mức cắt giảm GHG từ một hoạt động dự án được định lượng so với các mức phát thải đường cơ sở, bao gồm phát thải GHG. Quy trình đường cơ sở là các phương pháp được sử dụng để ước tính lượng phát thải đường cơ sở.
6.8.1.2 Điều khoản trong tiêu chuẩn hiện hành
Các tiêu chuẩn hiện hành cung cấp các yêu cầu sau đây liên quan đến "lượng phát thải đường cơ sở" và "quy trình đường cơ sở":
| Người đề xuất dự án phải lựa chọn hoặc thiết lập, giải thích và áp dụng các tiêu chí và thủ tục để nhận dạng và chứng minh kịch bản đường cơ sở. CHÚ THÍCH: Một kịch bản đường cơ sở được xác định bằng cách sử dụng một cách tiếp cận dành riêng cho dự án thể hiện những gì sẽ xảy ra khi không có dự án, trong khi đó, một chương trình GHG có thể quy định một cách tiếp cận khác để xác định kịch bản đường cơ sở (chẳng hạn như một tiêu chuẩn tính năng (ví dụ như kịch bản đường cơ sở điểm chuẩn hoặc nhiều dự án). [Nguồn: ISO 14064-22006] |
| Quy trình đường cơ sở là các phương pháp được sử dụng để ước tính lượng phát thải đường cơ sở. Giao thức Dự án mô tả hai quy trình: - Quy trình cụ thể của dự án - Quy trình tiêu chuẩn tính năng [Nguồn: Tóm tắt Nghị định thư về GHG dùng cho Kế toán Dự án:2005] |
Bản thân ISO 14064-2 không quy định các tiêu chí và quy trình nhưng nó yêu cầu người đề xuất dự án lựa chọn hoặc thiết lập các tiêu chí và quy trình để nhận dạng và ước tính lượng phát thải đường cơ sở tiềm năng.
6.8.1.3 Hướng dẫn ngành kỹ thuật điện
Đối với các sản phẩm EE, các sản phẩm hoặc hệ thống đặc biệt phức tạp có hàng chục hoặc hàng trăm bộ phận và các cấu hình có thể có, các giá trị về sử dụng năng lượng, cắt giảm năng lượng và cắt giảm GHG của đường cơ sở và kịch bản cải tiến sẽ phụ thuộc rất nhiều vào cấu hình sản phẩm được chọn, các điều kiện sử dụng và các phát thải liên quan đến một vị trí nguồn năng lượng cụ thể.
Tiêu chuẩn này khuyến cáo các hành động sau:
• xác định rõ ràng cấu hình sản phẩm đã chọn và các giả định liên quan đến các điều kiện giai đoạn sử dụng, và vị trí địa lý;
• nhận dạng dải các giá trị có thể có cho một "cân nhắc liên quan" nhằm nêu chi tiết rõ ràng phạm vi biến đổi có thể có trong phân tích đối với loại sản phẩm đã cho cũng như các điều kiện và địa điểm sử dụng có thể có,
• đối với các quy trình ước tính lượng phát thải đường cơ sở, hãy sử dụng một trong hai loại phổ biến: quy trình tiêu chuẩn tính năng hoặc quy trình dành riêng cho từng dự án.
6.8.2 Quy trình tiêu chuẩn tính năng
6.8.2.1 Điều khoản trong các tiêu chuẩn hiện hành
Các tiêu chuẩn hiện hành quy định "quy trình tiêu chuẩn tính năng" như sau:
| Quy trình tiêu chuẩn tính năng - Quy trình này đưa ra một ước tính về lượng phát thải đường cơ sở sử dụng tỷ lệ phát thải khí nhà kính thu được từ một phân tích định lượng về tỷ lệ phát thải GHG của tất cả các ứng viên đường cơ sở. Một tiêu chuẩn tính năng đôi khi được gọi là đường cơ sở hoặc điểm chuẩn cho nhiều dự án, vì nó có thể được sử dụng để ước tính lượng phát thải đường cơ sở cho nhiều hoạt động dự án cùng loại. Nó có chức năng tương tự như một kịch bản đường cơ sở nhưng tránh sự cần thiết phải nhận dạng một kịch bản đường cơ sở rõ ràng cho từng hoạt động dự án. [Nguồn: Nghị định thư GHG dùng cho Kế toán Dự án 2.10 Các quy trình đường cơ sở] Tiêu chuẩn tính năng được sử dụng để xác định lượng phát thải đường cơ sở đối với hiệu ứng sơ cấp của hoạt động dự án. Một khi một tiêu chuẩn tính năng được phát triển, bất kỳ hoạt động dự án tương tự nào cũng có thể được so sánh với tiêu chuẩn đó. Tỷ lệ phát thải khí nhà kính đối với tiêu chuẩn hoạt động có thể được thể hiện theo nhiều cách khác nhau, tùy thuộc vào loại hoạt động dự án liên quan. Đối với hiệu suất năng lượng, sản xuất năng lượng, và các hoạt động dự án quy trình công nghiệp, một tiêu chuẩn tính năng GHG thường sẽ được định nghĩa như là một tỷ lệ phát thải GHG trên một đơn vị sản phẩm hoặc dịch vụ được sản xuất bởi tất cả các ứng viên đường cơ sở. Giao thức GHG quy định các bước phải tuân theo để đạt được quy trình tiêu chuẩn tính năng: - Chỉ định các thước đo tính năng phù hợp cho tất cả các ứng viên đường cơ sở; - Tính toán tỷ lệ phát thải GHG cho từng ứng viên đường cơ sở, - Tính toán tỷ lệ phát thải GHG cho các mức nghiêm ngặt khác nhau; - Chọn mức độ nghiêm ngặt thích hợp cho tiêu chuẩn tính năng; - Ước tính lượng phát thải đường cơ sở [Nguồn: Tóm tắt Nghị định thư về GHG dùng cho Kế toán Dự án:2005] |
6.8.2.2 Hướng dẫn ngành kỹ thuật điện
Trong quy trình tiêu chuẩn tính năng, các thước đo tính năng và giá trị tham chiếu được sử dụng để xác định lượng phát thải đường cơ sở đối với tác động sơ cấp của hoạt động dự án. Quy trình này hữu ích khi dự án giới thiệu loại công nghệ tương tự nhưng đã được cải tiến, ví dụ như một dự án giống như trang bị thêm một cơ sở hiện có.
Tỷ lệ phát thải GHG dùng cho giá trị tính năng tham chiếu có thể được biểu thị theo nhiều cách khác nhau. Đối với các sản phẩm EE, hiệu suất năng lượng, sản xuất năng lượng và các hoạt động dự án quy trình công nghiệp nhìn chung có liên quan. Trong những trường hợp như vậy, giá trị tham chiếu hiệu quả hoạt động GHG có thể được định nghĩa là một tỷ lệ phát thải GHG trên một đơn vị sản phẩm hoặc đơn vị dịch vụ được tạo ra bởi đường cơ sở.
Giá trị tham chiếu tính năng có thể được xác định từ dữ liệu trung bình của sản phẩm hoặc được đưa ra bởi một chương trình cụ thể mà tổ chức áp dụng.
Nhìn chung, các lựa chọn để xác định hiệu suất năng lượng trung bình bao gồm
• hiệu suất trung bình của tất cả các sản phẩm hiện có trên thị trường tại một thời điểm nhất định, hoặc
• hiệu suất trung bình của các sản phẩm được đưa ra thị trường trong một khoảng thời gian nhất định.
6.8.3 Quy trình dành riêng cho dự án
6.8.3.1 Điều khoản trong các tiêu chuẩn hiện hành
Các tiêu chuẩn hiện hành quy định "quy trình dành riêng cho dự án" như sau:
| Quy trình dành riêng cho dự án - Quy trình này đưa ra một ước tính lượng phát thải đường cơ sở thông qua việc nhận dạng một kịch bản đường cơ sở cụ thể cho hoạt động dự án được đề xuất. Kịch bản đường cơ sở được nhận dạng thông qua một phân tích có cấu trúc của hoạt động dự án và các phương án thay thế. Lượng phát thải đường cơ sở được suy ra từ kịch bản đường cơ sở và chỉ có giá trị đối với hoạt động dự án đang được xem xét. [Nguồn: Nghị định thư GHG dùng cho Kế toán Dự án 2.10 Các quy trình đường cơ sở] Quy trình dành riêng cho dự án đưa ra một ước tính lượng phát thải đường cơ sở đối với một tác động sơ cấp của một hoạt động dự án thông qua việc nhận dạng một kịch bản đường cơ sở liên quan đến các tình huống cụ thể xung quanh hoạt động dự án. Nghị định của thư về GHG quy định các bước phải tuân theo để xây dựng một quy trình cụ thể cho dự án: - Thực hiện đánh giá so sánh các rào cản; - Nhận dạng và xác minh kịch bản đường cơ sở (Sử dụng các giả định, tính toán, và hệ số phát thải cụ thể cho kịch bản đường cơ sở đã nhận dạng); - Ước tính lượng phát thải đường cơ sở Nói chung, có ba loại lựa chọn thay thế khả thi cho một kịch bản đường cơ sở: - Kịch bản đường cơ sở liên quan đến việc triển khai các công nghệ hoặc thực hành tương tự liên quan đến hoạt động của dự án; - Kịch bản đường cơ sở liên quan đến việc cấu hình, triển khai, vận hành và ngừng hoạt động các công nghệ hoặc phương pháp thực hành mới; - Kịch bản đường cơ sở bao gồm tiếp tục các hoạt động hiện tại, nếu phù hợp, cung cấp (các) sản phẩm hoặc (các) dịch vụ cùng loại, cùng chất lượng, và số lượng như hoạt động dự án. Việc "tiếp tục các hoạt động hiện tại" có thể được coi là giải pháp thay thế "không làm gì cả". Nó sẽ có ý nghĩa hơi khác nhau tùy thuộc vào loại hoạt động dự án. Những ví dụ bao gồm: - Cung cấp điện nối lưới từ các nhà máy diện hiện có, nơi mà hoạt động dự án liên quan đến việc xây dựng các thiết bị phát điện mới sẽ thay thế điện nối lưới. [Nguồn: Tóm tắt Nghị định thư về GHG dùng cho Kế toán Dự án:2005] |
6.8.3.2 Hướng dẫn ngành kỹ thuật điện
Quy trình dành riêng cho dự án xây dựng một ước tính lượng phát thải đường cơ sở cho một tác động sơ cấp của hoạt động dự án thông qua việc nhận dạng kịch bản đường cơ sở liên quan đến các tình huống như vậy khi dự án đưa ra các công nghệ thay thế hoàn toàn khác với các công nghệ thông thường và do đó không có sản phẩm tham chiếu nào có tính năng có thể so sánh được.
Trong lĩnh vực EE, một quy trình dành riêng cho dự án có thể áp dụng, chẳng hạn như giới thiệu sản xuất năng lượng tái tạo thay thế việc đốt nhiên liệu hóa thạch hoặc các dịch vụ công nghệ thông tin và truyền thông (ICT) thay thế các hoạt động của con người.
Một đường cơ sở có thể là các loại công nghệ hoặc thực hành thông thường (ví dụ như một công nghệ hoặc sản phẩm phân tán trên thị trường). Chúng cần được xác định và giải thích cẩn thận hơn so với trường hợp quy trình tiêu chuẩn tính năng bởi vì phải so sánh các loại công nghệ khác nhau rất nhiều.
CHÚ THÍCH: Lượng carbon tránh được có thể khuyến khích sản lượng lớn hơn, do đó lượng phát thải đường cơ sở được giới hạn theo mức sản xuất trước đây. Lượng phát thải đường cơ sở có liên quan với sản xuất, nhưng mức độ phát thải phụ thuộc vào cân bằng nhiên liệu của sản lượng điện lưới tránh được.
6.8.4 Tính bổ sung
6.8.4.1 Điều khoản trong tiêu chuẩn hiện hành
Các tiêu chuẩn hiện tại mô tả "tính bổ sung" như sau:
| Phần này của TCVN ISO 14064 đề cập đến khái niệm bổ sung bằng cách yêu cầu dự án GHG phải dẫn đến cắt giảm phát thải hoặc tăng cường loại bỏ GHG bên cạnh nhũng gì lẽ ra sẽ xảy ra nếu không có dự án đó. Nó không sử dụng thuật ngữ “tính bổ sung”, quy định các thủ tục cơ bản hoặc chỉ định các tiêu chí bổ sung. Phần này của ISO 14064 yêu cầu người đề xuất dự án xác định và lựa chọn các nguồn, bể hấp thụ và khu dự trữ GHG liên quan đến dự án Ghi 3 và kịch bản cơ sở. Để tương thích với phạm vi rộng nhất của các chương trình GHG, nó không sử dụng thuật ngữ "ranh giới" để mô tả các nguồn, bể hấp thụ và/hoặc khu dự trữ GHG nào được xem xét để định lượng, giám sát và báo cáo mà thay vào đó sử dụng khái niệm về GHG liên quan, nguồn, bể hấp thụ và/hoặc khu dự trữ. Do đó, người đề xuất dự án có thể áp dụng các tiêu chí tính bổ sung và quy trình, hoặc xác định và sử dụng các ranh giới phù hợp với pháp luật, chính sách, chương trình GHG và thông, lệ tốt có liên quan. [Nguồn: Tóm tắt TCVN ISO 140642:2011 (ISO 14064-2.2006)] |
| 3.1 Tính bổ sung: Việc thiết lập tính nghiêm ngặt của các quy tắc bổ sung liên quan đến hành động cân bằng. Các tiêu chí tính bổ sung quá dễ dãi và công nhận những mức giảm GHG "không tính bổ sung" sẽ làm suy yếu tính hiệu quả của chương trình GHG. Mặt khác, việc đưa ra các tiêu chí tính bổ sung quá nghiêm ngặt có thể hạn chế số lượng giảm thiểu GHG được công nhận một cách không cần thiết, trong một số trường hợp sẽ loại trừ các hoạt động dự án thực sự có tính bổ sung và rất được mong muốn. Trong thực tế, không có cách tiếp cận tính bổ sung nào có thể tránh hoàn toàn những loại sai sót này. Nói chung, việc giảm một loại lỗi sẽ làm tăng loại lỗi khác. Cuối cùng, không có mức độ nghiêm ngặt chính xác về mặt kỹ thuật đối với các quy tắc tính bổ sung. Các chương trình phát thải khí nhà kính có thể quyết định dựa trên các mục tiêu chính sách của mình rằng tốt hơn hết là tránh một loại sai sót này hơn là tránh một loại sai sót khác. CHÚ THÍCH: Việc xác định tính bổ sung được hàm ý trong quy trình này theo nghĩa là nếu kịch bản đường cơ sở đã xác định không phải là hoạt động dự án thì hoạt động dự án sẽ là hoạt động bổ sung. [Nguồn: Nghị định thư về GHG dùng cho Kế toán Dự án: 2005] |
TCVN ISO 14064-2 không sử dụng thuật ngữ "tính bổ sung" một cách rõ ràng. Nghị định thư GHG không yêu cầu chứng minh " tính bổ sung" nhưng tuyên bố kết hợp "tính bổ sung" như một phần tiềm ẩn của các quy trình được sử dụng để ước tính lượng phát thải cơ sở.
6.8.4.2 Hướng dẫn ngành kỹ thuật điện
Khái niệm "tính bổ sung" thường được nêu ra như một yếu tố quan trọng cần cân nhắc để định lượng mức cắt giảm GHG dựa trên dự án. Tính bổ sung có nghĩa là lượng cắt giảm phát thải khí nhà kính được yêu cầu chỉ được tính cho dự án và sẽ không thể xảy ra nếu không có dự án đó. Trong khi có sự hiểu biết chung rằng tính bổ sung là quan trọng, ý nghĩa và ứng dụng của nó vẫn còn mở để giải thích. Mặc dù khái niệm cơ bản về tính bổ sung có thể dễ hiểu nhưng không có sự thống nhất chung về cách chứng minh rằng hoạt động dự án và kịch bản đường cơ sở của nó là khác nhau. Việc phân biệt một hoạt động dự án với kịch bản đường cơ sở của nó thường được coi là việc xác định tính bổ sung.
Ngoại trừ việc áp dụng chứng nhận và công nhận các đơn vị giảm nhẹ GHG, yêu cầu cụ thể về tính bổ sung thường không nhất thiết phải được áp dụng cho nghiên cứu giảm nhẹ GHG.
Tính bổ sung được giải thích, ví dụ: bằng cách mô tả ít nhất một trong những rào càn sau đây.
• rào cản đầu tư;
• rào cản công nghệ;
• rào cản do thông lệ phổ biến (thông lệ);
• các rào cản khác (ví dụ: hạn chế về thể chế, thiếu thông tin, thiếu nguồn lực quản lý, thiếu năng lực tổ chức)
6.9. Thu thập dữ liệu và đánh giá chất lượng
6.9.1 Thu thập dữ liệu
Việc thu thập dữ liệu là cần thiết cho các quá trình đơn vị có tác động chính và phụ được xác định trong quá trình xác định các SSR GHG liên quan. Phát thải khí nhà kính trên mỗi giai đoạn vòng đời/quá trình đơn vị có thể được định lượng bằng cách nhân dữ liệu hoạt động với hệ số phát thải hoặc bằng phép đo trực tiếp. Bất kỳ trong số chúng có thể được sử dụng theo mục tiêu và phạm vi.
CHÚ THÍCH 1: Tiêu chuẩn này về cơ bản tuân theo hướng dẫn của Nghị định thư GHG, Tiêu chuẩn Báo cáo và Kế toán Vòng đời sản phẩm:2011 [12] để thu thập “dữ liệu sơ cấp" và “dữ liệu thứ cấp”.
| dữ liệu sơ cấp - dữ liệu được thu thập từ các quy trình cụ thể trong vòng đời của sản phẩm được nghiên cứu dữ liệu thứ cấp - xử lý dữ liệu không thuộc các quy trình cụ thể trong vòng đời của sản phẩm được nghiên cứu [Nguồn: Tiêu chuẩn Báo cáo và Kế toán Vòng đời Sản phẩm của GHG Protocol:2011] |
Đối với tất cả các quá trình thuộc quyền sở hữu hoặc kiểm soát của tổ chức thực hiện nghiên cứu giảm phát thải khí nhà kính, dữ liệu sơ cấp cần được thu thập khi khả thi về mặt kinh tế và kỹ thuật.
CHÚ THÍCH 2: Quá trình này có thể là thách thức đối với một số doanh nghiệp vừa và nhỏ (SME) hoặc các tổ chức khác khi thiếu các đơn vị nghiên cứu chuyên ngành và nguồn lực.
Ví dụ, tổ chức có thể sử dụng dữ liệu thứ cấp từ dữ liệu quy trình không phải từ các quy trình cụ thể trong vòng đời của sản phẩm, chẳng hạn như:
• dữ liệu từ các nguồn bên ngoài (ví dụ: cơ sở dữ liệu vòng đời, hiệp hội ngành, v.v.);
• dữ liệu từ quy trình hoặc hoạt động khác và tương tự trong sự kiểm soát của tổ chức hoặc nhà cung cấp
Đặc biệt khi khó có được dữ liệu, dữ liệu sơ cấp có thể được thay thế bằng dữ liệu "bảo toàn" có sẵn, có xu hướng đánh giá quá cao lượng phát thải khí nhà kính từ dự án hoặc đánh giá thấp lượng phát thải khí nhà kính từ kịch bản đường cơ sở. Một ví dụ về dữ liệu bảo toàn là chỉ báo hiệu suất năng lượng tương đối cao được sử dụng cho sản phẩm tham chiếu.
Để biết thêm hướng dẫn của ngành kỹ thuật điện về việc thu thập dữ liệu, tiêu chuẩn này đề xuất hướng dẫn được cung cấp trong 6.6 của IEC TR 62725:2013.
6.9.2 Chất lượng dữ liệu
6.9.2.1 Điều khoản trong tiêu chuẩn hiện hành
Các tiêu chuẩn hiện hành cung cấp các yêu cầu sau về "quản lý dữ liệu và chất lượng dữ liệu":
| Người đề xuất dự án phải thiết lập và áp dụng các quy trình quản lý chất lượng để quản lý dữ liệu và thông tin, bao gồm cả việc đánh giá tính không đảm bảo, liên quan đến dự án và kịch bản đường cơ sở. Người đề xuất dự án nên giảm thiểu, trong chừng mực thực tế, những điều không đảm bảo liên quan đến việc định lượng việc giảm phát thải hoặc tăng cường loại bỏ khí nhà kính. [Nguồn: ISO 14064-2006] Chất lượng dữ liệu dự án có thể được cải thiện bằng cách - thiết lập và duy trì một hệ thống thông tin GHG hoàn chỉnh, - hoàn thành việc kiểm tra độ chính xác thường xuyên để phát hiện các lỗi kỹ thuật, - tiến hành đánh giá nội bộ định kỳ và đánh giá kỹ thuật, - đào tạo phù hợp cho các thành viên trong nhóm dự án, và - thực hiện đánh giá độ không đảm bảo. Đánh giá độ không đảm bảo có thể bao gồm quy trình định tính (ví dụ: cao, trung bình, thấp) hoặc đính lượng và thường ít nghiêm ngặt hơn so với phân tích độ không đảm bảo, là quy trình định lượng và hệ thống chi tiết về mặt thống kê để xác định và định lượng độ không đảm bảo. Nói chung, đánh giá độ không đảm bảo là phù hợp trong giai đoạn lập kế hoạch của dự án và phân tích độ không đảm bảo trong giai đoạn thực hiện. Những người đề xuất chương trình có quyền quyết định và quy định liệu phân tích độ không đảm bảo có phù hợp với các dự án đã triển khai hay không. Đối với những người sử dụng tiêu chuẩn này ngoài chương trình, nên phân tích độ không đảm bảo đối với việc định lượng đã thực hiện. [Nguồn: ISO 14064-22006, 4.3.6 "Quản lý chất lượng dữ liệu"] |
6.9.2.2 Hướng dẫn ngành kỹ thuật điện
Tiêu chuẩn này cung cấp hướng dẫn để đánh giá mức độ liên quan của dữ liệu được thu thập liên quan đến tác động chính và phụ của từng quy trình, nhằm lấp đầy khoảng trống dữ liệu và liên tục cải thiện chất lượng dữ liệu.
Trong quá trình nghiên cứu cắt giảm lượng khí nhà kính, tổ chức có thể xác định những khoảng trống về dữ liệu. Khoảng trống dữ liệu tồn tại khi không có dữ liệu sơ cấp hoặc thứ cấp nào đại diện đầy đủ cho quy trình nhất định trong vòng đời của sản phẩm. Khi cần thiết, khoảng trống dữ liệu có thể được lấp đầy bằng dữ liệu đại diện hoặc ước tính. Cách dữ liệu đại diện được tạo hoặc ước tính phải được giải thích và ghi lại rõ ràng.
Quy trình thu thập dữ liệu có thể được cải thiện bằng cách tích hợp nó vào các hệ thống quản lý hiện có nếu có, ví dụ: hệ thống quản lý môi trường (EMS), hệ thống quản lý chất lượng (QMS),...v.v.
Nói chung, những điều không đâm bảo liên quan đến việc cắt giảm lượng khí nhà kính có thể được phân loại thành "sự không đảm bảo về mặt khoa học" và "sự không đảm bảo về ước tính". Sự không đảm bảo về mặt khoa học phát sinh khi khoa học về các quá trình phát thải và/hoặc loại bỏ thực tế không được hiểu đầy đủ. Sự không đảm bảo về ước tính phát sinh bất cứ lúc nào phát thải GHG được giám sát và định lượng và có thể được chia thành "sự không đảm bảo của mô hình" và "sự không đảm bảo của tham số".
Để biết thêm hướng dẫn về độ không đảm bảo của ngành kỹ thuật điện, báo cáo này khuyến cáo việc giám sát (xem 8.2) hoặc hướng dẫn được cung cấp trong 6.8 của IEC TR 62725:2013.
Khi dữ liệu và giả định không đảm bảo và khi chi phí cho các biện pháp giảm thiểu độ không đảm bảo không đáng để tăng độ chính xác thì nên sử dụng các giá trị và giả định thận trọng. Các giá trị và giả định thận trọng là những giá trị có nhiều khả năng đánh giá thấp hơn là đánh giá quá cao mức cắt giảm GHG.
Điều quan trọng là phải kiểm tra ranh giới và các giai đoạn của vòng đời khi sử dụng dữ liệu thứ cấp. Ví dụ: nếu dữ liệu thứ cấp bao gồm việc giảm GHG của vật liệu tái chế còn dữ liệu khác thì không, thì chúng không được sử dụng theo cách tương tự.
CHÚ THÍCH: Để biết chi tiết về việc tăng độ chính xác, hãy xem 8.2 "Giám sát"
6.10 Ước tính mức giảm GHG
6.10.1 Điều khoản trong tiêu chuẩn hiện hành
Các tiêu chuẩn hiện hành đưa ra các yêu cầu sau đây liên quan đến "ước tính mức giảm GHG"
| Người đề xuất dự án phải - Lựa chọn hoặc thiết lập các tiêu chí, quy trình và/hoặc phương pháp luận - Định lượng riêng lượng phát thải và/hoặc loại bỏ GHG cho a) từng SSR GHG liên quan cho dự án, và b) từng SSR GHG liên quan cho kịch bản đường cơ sở. - Ước tính lượng phát thải và/hoặc loại bỏ khí nhà kính bằng các SSR GHG phù hợp với dự án và phù hợp với kịch bản đường cơ sở. [Nguồn: Tóm tắt TCVN ISO 14064-2:2011 (ISO 14064-2:2006)] |
Giao thức GHG cho việc tính toán dự án không cung cấp mô tả chi tiết về ước tính mức giảm GHG.
6.10.2 Hướng dẫn ngành kỹ thuật điện
Tiêu chuẩn này khuyến cáo ước tính mức cắt giảm GHG dựa trên các SSF.GHG liên quan đã chọn ở bước 4 trên Hình 1 "Lựa chọn các SSR GHG liên quan" (xem 6.6) và dựa trên quy trình ước tính lượng phát thải cơ sở đã chọn ở bước 6 trong Hình 1 (xem 6.8). Việc giảm phát thải khí nhà kính có thể được hiểu là sự khác biệt giữa hai mục sau:
• ước tính lượng phát thải khí nhà kính dựa trên kịch bản đường cơ sở,
• ước tính phát thải khí nhà kính dựa trên dự án phát thải khí nhà kính liên quan đến sản phẩm EE.
Báo cáo này khuyến cáo ước tính mức giảm khí nhà kính theo năm và sau đố tích lũy chúng vào mức giảm khí nhà kính tổng thể của dự án.
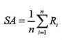
Mức giảm phát thải khí nhà kính trên một đơn vị trong một năm cụ thể được lượng hóa theo công thức dưới đây:
![]()
trong đó:
| Ri(y) | là mức giảm GHG trên một đơn vị i sản phẩm được đánh giá trong y năm; |
| Bi(y) | là lượng phát thải khí nhà kính liên quan đường cơ sở trên một đơn vị sản phẩm/chức năng tham chiếu tương ứng với i sản phẩm được đánh giá trong y năm; |
| Pi(y) | là lượng phát thải khí nhà kính liên quan trên một đơn vị i sản phẩm được đánh giá trong y năm. |
Nhìn chung, mức cắt giảm phát thải khí nhà kính trên một đơn vị trong một năm được tích lũy vào mức cắt giảm phát thải tổng thể của dự án theo công thức sau:
Mức giảm phát thải của dự án trong năm y = n1 * R1 (y) + n2 * R2 (y) + ... + ni *Ri (y)
Trong đó ni, là số lượng hoặc công suất của sản phẩm được đánh giá được giới thiệu hoặc hiện có trên thị trường trong y năm.
Đối với các sản phẩm hoặc hệ thống EE phức tạp, nên xác định mức tiết kiệm trong sử dụng năng lượng và giảm nguyên liệu thô được đo theo khối lượng trước khi áp dụng bất kỳ hệ số phát thải hoặc GWP nào. Điều này sẽ tránh làm xáo trộn các lợi ích thông qua việc lựa chọn sai lệch các yếu tố GHG.
6.10.3 Phương pháp tích lũy
Để tích lũy mức cắt giảm GHG mỗi năm, tiêu chuẩn này xác định hai phương án:
• tích lũy dựa trên mức giảm phát thải khí nhà kính trong vòng đời sản phẩm:
Theo phương án này, mức cắt giảm phát thải khí nhà kính theo năm được ước tính bằng cách nhân số lượng sản phẩm được đánh giá được bán trong năm với mức cắt giảm phát thải khí nhà kính trong suốt đời sản phẩm trên mỗi đơn vị sản phẩm được đánh giá. Sau đó, mức giảm phát thải tổng thể của dự án được ước tính bằng cách áp dụng các giá trị sau vào công thức nêu trong 6.10.2:
ni (y) = số lượng/công suất i sản phẩm được đánh giá đã bán trong y năm;
Ri (y) = tổng mức cắt giảm phát thải khí nhà kính trong suốt vòng đời trên một đơn vị i sản phẩm được đánh giá đã bán trong y năm.
Tuổi thọ của sản phẩm phải dựa trên thông số kỹ thuật thiết kế do tổ chức chuẩn bị, thông tin kỹ thuật được công bố dưới dạng tiêu chuẩn pháp lý, PCR, tiêu chuẩn dành riêng cho ngành, ...v.v.
CHÚ THÍCH: Dữ liệu từ bảng câu hỏi của khách hàng hoặc người tiêu dùng cũng có thể hữu ích.
• tích lũy dựa trên mức cắt giảm phát thải khí nhà kính hàng năm của sản phẩm.
Theo phương án này, mức cắt giảm phát thải khí nhà kính theo năm được ước tính bằng cách nhân số lượng hoặc công suất của các sản phẩm được đánh giá hiện có trong một năm với mức cắt giảm phát thải khí nhà kính trong một năm trên một đơn vị sản phẩm được đánh giá. Sau đó, mức cắt giảm phát thải tổng thể của dự án được ước tính bằng cách áp dụng các giá trị sau vào công thức nêu trong 6.10.2:
ni (y) = Số lượng/công suất của / sản phẩm được đánh giá đang hoạt động trong y năm;
Ri (y) = Mức cắt giảm phát thải khí nhà kính trong một năm trên một đơn vị i sản phẩm được đánh giá trong y năm.

Hình 3 - Hai phương án tích lũy
Nên sử dụng một trong hai phương án một cách nhất quán trong nghiên cứu cắt giảm khí nhà kính.
7 Tài liệu
7.1 Điều khoản trong tiêu chuẩn hiện hành
Các tiêu chuẩn hiện hành mô tả "tài liệu" như sau:
| Phần này của ISO 14064 đề cập đến việc lập tài liệu trong bối cảnh nhu cầu nội bộ liên quan đến việc đánh giá, xác nhận và/hoặc xác minh. Nó là sự bổ sung cho việc báo cáo nhằm phục vụ các mục đích bên ngoài. Tài liệu được liên kết với hệ thống thông tin GHG và các biện pháp kiểm soát hệ thống thông tin của các dự án GHG, cũng như với dữ liệu và thông tin GHG của các dự án GHG. Tài liệu phải đầy đủ và minh bạch. [Nguồn: TCVN ISO 14064-2:2011 (ISO 14064-2:2006), A. 3.8 "Lập hồ sơ các dự án GHG"] |
Nghị định thư GHG dùng cho việc tính toán dự án không đề cập đến tài liệu nhưng quy định các yêu cầu tối thiểu để báo cáo việc định lượng mức cắt giảm GHG một cách minh bạch và cho phép các bên liên quan đánh giá.
7.2 Hướng dẫn ngành kỹ thuật điện
Cần chú ý đến việc ghi chép và duy trì dữ liệu từ nghiên cứu cắt giảm phát thải khí nhà kính theo định dạng hỗ trợ cho việc phân tích, xác nhận và/hoặc xác minh, giám sát và truyền đạt kết quả. Đối với điều này, tiêu chuẩn này khuyến cáo như sau:
• ghi lại các quy trình, phương pháp luận, giả định, bằng chứng của tất cả dữ liệu, ...v.v. cho từng bước nghiên cứu cắt giảm phát thải khí nhà kính;
• biên soạn các kết quả tính toán thành một bản ghi, bao gồm ít nhất các mục được yêu cầu trong các tiêu chuẩn mà phép tính phải tuân thủ.
Khi một hệ thống quản lý tồn tại trong một tổ chức, các nguyên tắc trong hệ thống quản lý đó có thể được sử dụng làm hướng dẫn để giải quyết vấn đề truy xuất nguồn gốc dữ liệu và bằng chứng quản lý, miễn là những nguyên tắc đó tuân thủ các tiêu chuẩn quản lý GHG quốc tế, dự án GHG hoặc CFP và LCA.
Để biết thêm hướng dẫn về tài liệu của ngành kỹ thuật điện, báo cáo này khuyến cáo hướng dẫn được cung cấp tại Điều 8 của IEC TR 62725:2013.
8 Kiểm tra xác nhận, xác minh và giám sát
8.1 Kiểm tra xác nhận và/hoặc xác minh
8.1.1 Điều khoản trong tiêu chuẩn hiện hành
Các tiêu chuẩn hiện hành cung cấp các yêu cầu sau về "kiểm tra xác nhận và/hoặc xác minh"
| Người đề xuất dự án phải được xác nhận và/hoặc xác minh GHG dự án. Nếu người đề xuất bản dự án được yêu cầu xác nhận và/hoặc xác minh dự án GHG thì bên đề xuất dự án phải xác nhận GHG cho người xác nhận hoặc xác minh. Người đề xuất dự án phải đảm bảo rằng xác nhận hoặc xác minh phù hợp với các nguyên tắc và yêu cầu của ISO 14064-3: Quy định kỹ thuật kèm theo hướng dẫn xác nhận và xác minh về GHG. [Nguồn: TCVN ISO 14064-2:2011 (ISO 14064-2:2006)] |
Nghị định thư của dự án GHG không đề cập đến việc xác minh và quy định các yêu cầu tối thiểu để báo cáo việc định lượng mức cắt giảm GHG theo cách minh bạch và cho phép các bên liên quan đánh giá.
8.1.2 Hướng dẫn ngành kỹ thuật điện
Tiêu chuẩn này khuyến cáo tổ chức ít nhất nên thực hiện xác minh hoặc đảm bảo độc lập của bên thứ nhất.
Việc xác minh của bên thứ nhất có thể có giá cả phải chăng hơn so với bên thứ ba đối với các sản phẩm EE vì họ thường có chuỗi cung ứng và quy trình dài và phức tạp. Đối với điều này, tiêu chuẩn này khuyến cáo như sau:
• phân công nhân sự trong tổ chức đang tham gia vào một hoạt động kinh doanh hoặc một sản phẩm không phải là hoạt động kinh doanh hoặc sản phẩm được nghiên cứu;
• yêu cầu nhân viên xác minh tính logic của phép tính, truy xuất nguồn gốc của dữ liệu được sử dụng để tính toán và sự phù hợp với (các) tiêu chuẩn mà phép tính dự kiến tuân thủ.
Để có thêm độ tin cậy của việc xác minh của bên thứ nhất, cần tính đến các yêu cầu trong ISO 14064-3 [11].
Việc xác minh của bên thứ ba có thể làm tăng độ tin cậy của nghiên cứu cắt giảm phát thải GHG và thường được yêu cầu đặc biệt đối với việc chứng nhận và công nhận các đơn vị cắt giảm phát thải GHG.
8.2 Giám sát
8.2.1 Điều khoản trong tiêu chuẩn hiện hành
Các tiêu chuẩn hiện hành mô tả “quy trình giám sát và kế hoạch giám sát” như sau:
| Các quy trình giám sát có thể bao gồm lịch trình, vai trò và trách nhiệm, thiết bị, nguồn lực và phương pháp luận để thu thập, ước tính, đo lường, tính toán, biên soạn và ghi lại dữ liệu và thông tin GHG cho dự án và kịch bản đường cơ sở. [Nguồn: ISO 14064-2:2006] |
| Kế hoạch giám sát là một tài liệu làm việc mô tả các quy trình thu thập dữ liệu về phát thải của hoạt động dự án, để thu thập dữ liệu liên quan đến ước tính phát thải đường cơ sở cũng như để đảm bảo và kiểm soát chất lượng của dữ liệu được thu thập. Mỗi lần lượng cắt giảm GHG được định lượng và báo cáo, người phát triển dự án nên kiểm tra: a) Tính chính xác, đầy đủ và nhất quán của tất cả dữ liệu được giám sát. b) Hiệu lực của bất kỳ giả định nào được đưa ra trong giai đoạn phát triển dự án liên quan đến lượng phát thải đường cơ sở và lượng phát thải từ hoạt động dự án. Điều này đòi hỏi phải phân tích dữ liệu được thu thập để xác minh rằng: - từng hoạt động của dự án đã được triển khai và đạt hiệu quả như mong đợi; và - các giá trị tham số được sử dụng để ước tính lượng phát thải cơ sở vẫn tiếp tục có hiệu lực. Việc giám sát phải luôn được tiến hành theo cách cho phép đính lượng đầy đủ và minh bạch việc cắt giảm phát thải khí nhà kính. Nói chung, các nhà phát triển dự án nên tuân theo Nguyên tắc Kế toán GHG. [Nguồn: Tóm tắt Nghị định thư về GHG dùng cho Kế toán Dự án:2005] |
8.2.2 Hướng dẫn ngành kỹ thuật diện
Giám sát là quá trình thu thập dữ liệu được sử dụng để định lượng mức cắt giảm GHG được đo liên tục hoặc định kỳ và để xác nhận các giả định làm cơ sở cho việc định lượng.
Ngoại trừ đơn đăng ký chứng nhận và công nhận các đơn vị cắt giảm phát thải khí nhà kính, tổ chức thường không bắt buộc phải thực hiện giám sát liên tục hoặc định kỳ, miễn là các giá trị và giả định thận trọng được sử dụng và công bố rõ ràng. Tuy nhiên, để tăng độ chính xác, việc giám sát vẫn hữu ích.
Để theo dõi, báo cáo này khuyến cáo như sau:
• lựa chọn các tham số quan trắc và phương pháp quan trắc;
• xây dựng kế hoạch giám sát;
• thực hiện giám sát.
Các tham số giám sát được lựa chọn thường là những tham số chính được sử dụng để ước tính mức cắt giảm GHG của dự án GHG liên quan đến sản phẩm EE (xem 6.8). Ví dụ, nếu dự án giới thiệu một thiết bị gia dụng hiệu suất cao thì tỷ lệ hiệu quả sử dụng năng lượng có thể là một tham số giám sát.
Ví dụ về các phương pháp giám sát bao gồm:
• phương pháp dựa trên phép đo thực tế sử dụng dụng cụ đo (dữ liệu được sử dụng: giá trị đo được);
• phương pháp dựa trên số lượng giao dịch được đo trực tiếp bằng công cụ đo (dữ liệu được sử dụng: bằng chứng thương mại như hóa đơn);
• phương pháp dựa trên dữ liệu công khai được đo bởi các thực thể không phải là tổ chức (dữ liệu được sử dụng: dữ liệu được công nhận rộng rãi như dữ liệu thống kê và quy định kỹ thuật);
• phương pháp dựa trên các giá trị chủng loại (dữ liệu được sử dụng: các giá trị trong quy định thiết kế);
• phương pháp khác.
Điểm giám sát hiển thị vị trí nơi dữ liệu hoạt động được thu thập. Khi lựa chọn điểm giám sát, tổ chức cần chọn vị trí phù hợp nhất để thu thập dữ liệu chính xác. Thông thường, điểm giám sát tương ứng với vị trí của thiết bị đo. Ví dụ: khi lượng giao dịch được sử dụng để thu thập dữ liệu hoạt động, đầu vào tiếp nhận nhiên liệu tại nhà máy hoặc địa điểm hoạt động kinh doanh như bồn chứa nhiên liệu đóng vai trò là điểm giám sát. Ngoài ra, không phải lúc nào nguồn cũng phải tương ứng với điểm giám sát theo cách một-một. Có thể theo dõi dữ liệu hoạt động của hai hoặc nhiều nguồn tại một điểm. Cũng có thể theo dõi dữ liệu hoạt động của một nguồn tại hai điểm trở lên.
Nếu có nhiều nguồn (ví dụ: sản phẩm được đánh giá là thiết bị gia dụng được sản xuất hàng loạt) và việc đo tốn kém khi kỹ thuật viên có mặt tại chỗ, thì các phương pháp giám sát có thể được triển khai dựa trên phương pháp lấy mẫu. Các phương pháp lấy mẫu phổ biến nhất là
• phương pháp lấy mẫu ngẫu nhiên đơn giản,
• Lấy mẫu hệ thống,
• lấy mẫu ngẫu nhiên phân tầng,
• lấy mẫu nhiều giai đoạn,
• lấy mẫu cụm.
Ví dụ: lấy mẫu nhiều giai đoạn có thể áp dụng cho trường hợp như vậy: Nghiên cứu về chiếu sáng hiệu quả trước tiên có thể lấy mẫu các tòa nhà, sau đó lấy mẫu các thiết bị chiếu sáng trong mỗi tòa nhà được chọn. Nếu đặc điểm của các thiết bị cố định trong một tòa nhà nhất định tương đối giống nhau và chi phí đo chúng tương đối cao thì việc lấy mẫu các thiết bị cố định có thể đủ để đạt được mức độ chính xác mục tiêu với chi phí thấp hơn.
Đối với cỡ mẫu, về mặt thống kê, nó được tính toán dựa trên độ lệch chuẩn và sai số chuẩn, giả sử tổng thể có phân phối chuẩn. Để ước lượng thống kê, khoảng tin cậy 90 % và sai số cho phép 10 % thường được sử dụng.
Đối với một kế hoạch giám sát, cần mô tả những nội dung sau đây cho từng tham số giám sát.
• độ rõ nét;
• đơn vị;
• các giá trị cụ thể được sử dụng để ước tính mức cắt giảm GHG,
• phương pháp giám sát;
• tần số ghi;
• phương tiện ghi dữ liệu,
• tuổi thọ lưu trữ dữ liệu.
Nếu việc giám sát dựa trên việc lấy mẫu thì kế hoạch giám sát cần bao gồm thêm,
• tập hợp mục tiêu,
• khung lấy mẫu,
• áp dụng phương pháp lấy mẫu,
• cỡ mẫu và công thức tính toán,
• các quy trình thu thập và quản lý dữ liệu cũng như xử lý vấn đề không đáp ứng,
• Chu kỳ kiểm tra; và
• ước tính tham số tập hợp.
Tổ chức có thể thực hiện giám sát theo kế hoạch giám sát và ghi lại kết quả của mình cùng với người chịu trách nhiệm. Nếu sử dụng các thiết bị đo, tổ chức nên sử dụng các thiết bị được hiệu chuẩn và chất lượng phù hợp theo thông lệ tương ứng, luật pháp hoặc quy định quốc gia của nước sở tại nơi dự án được thực hiện hoặc được nhà chế tạo bảo đảm.
CHÚ THÍCH: Để biết ví dụ về chi tiết giám sát dựa trên phương pháp lấy mẫu hệ thống, xem Phụ lục C.
9 Truyền thông
9.1 Điều khoản trong tiêu chuẩn hiện hành
Các tiêu chuẩn hiện hành mô tả "truyền thông" như sau:
| Việc báo cáo giúp người dùng mong muốn được thông tin về dự án GHG. Nội dung và hình thức của thông tin được báo cáo phải phù hợp với nhu cầu và mong đợi của người sử dụng. [...]. Phần này của ISO 14064 không yêu cầu bên đề xuất dự án phải công khai báo cáo GHG trừ khi có tuyên bố hoặc khẳng định GHG công khai về sự phù hợp của dự án GHG với phần này của ISO 14064. Trong những trường hợp như vậy, các yếu tố tối thiểu đối với báo cáo GHG đảm bảo tính đầy đủ, chính xác và minh bạch trong báo cáo công khai thông tin dự án. Thông tin công khai phải cho phép so sánh công bằng giữa các dự án khác nhau. Mức độ minh bạch cao và cơ hội lấy ý kiến của công chúng có thể làm tăng đáng kể độ tin cậy của dự án và rất quan trọng để thị trường đánh giá độ tin cậy. Hơn nữa, việc công khai thông tin dự án là cần thiết để thu thập ý kiến của các bên liên quan để sử dụng trong việc phát triển và quản lý dự án. Người đề xuất dự án cũng có thể sử dụng các báo cáo công khai cho mục đích quảng bá. 5.13 Báo cáo dự án GHG Người đề xuất dự án phải chuẩn bị và cung cấp báo cáo GHG cho những người sử dụng dự định. Báo cáo GHG phải xác định mục đích sử dụng và người sử dụng dự định của báo cáo GHG, và phải sử dụng hình thức và bao gồm nội dung phù hợp với nhu cầu của người sử dụng dự kiến. Nếu người đề xuất dự án đưa ra xác nhận về GHG trước công chúng và tuyên bố tuân thủ tiêu chuẩn này thì người đề xuất dự án phải cung cấp cho công chúng những thông tin sau: a) tuyên bố xác nhận hoặc xác nhận của bên thứ ba độc lập, được chuẩn bị theo ISO 14064-3, hoặc b) báo cáo GHG bao gồm tối thiểu: 1) tên của người đề xuất dự án; 2) (các) chương trình GHG mà dự án GHG đăng ký; 3) danh sách các xác nhận GHG, bao gồm tuyên bố về mức cắt giảm phát thải và tăng cường loại bỏ GHG dược nêu bằng tấn C02e; 4) tuyên bố mô tả liệu xác nhận GHG đã được xác nhận hay kiểm định hay chưa, bao gồm loại hình xác nhận hoặc kiểm định và mức độ đảm bảo đạt được; 5) mô tả ngắn gọn về dự án GHG, bao gồm quy mô, vị trí, thời gian và thời gian của các hoạt động; 6) báo cáo về tổng phát thải và/hoặc loại bỏ GHG bởi các nguồn, bể hấp thụ và khu dự trữ GHG cho dự án GHG do người đề xuất dự án kiểm soát, được nêu bằng tấn C02e, trong khoảng thời gian liên quan (ví dụ: hàng năm, tích lũy cho đến nay, tổng cộng) 7) báo cáo về tổng phát thải và/hoặc loại bỏ GHG bởi các nguồn, bể hấp thụ và khu dự trữ GHG cho kịch bản đường cơ sở, được nêu bằng tấn C02e trong khoảng thời gian liên quan; 8) mô tả kịch bản đường cơ sở và chứng minh rằng việc giảm thiểu hoặc tăng cường loại bỏ phát thải GHG là bổ sung cho những gì lẽ ra sẽ xảy ra nếu không có dự án; 9) nếu có thể, đánh giá tính lâu dài, 10) mô tả chung về các tiêu chí, quy trình hoặc hướng dẫn thực hành tốt được sử dụng làm cơ sở để tính toán mức cắt giảm phát thải và tăng cường loại bỏ khí nhà kính của dự án; 11) ngày báo cáo và khoảng thời gian được đề cập. [Nguồn: TCVN ISO 14064-2:2011 (ISO 14064-2:2006), 4.3.10.1 "Báo cáo dự án GHG - Tổng quát"] |
Giao thức GHG để tính toán dự án giải quyết các yêu cầu tối thiểu để báo cáo định lượng mức cắt giảm GHG một cách minh bạch và cho phép các bên liên quan đánh giá.
9.2 Hướng dẫn ngành kỹ thuật điện
Để tránh gây nhầm lẫn cho người đọc, độ không đảm bảo cần được đánh giá và kiểm tra rõ ràng để chắc chắn liệu nó có nhỏ hơn lượng giảm thải khí nhà kính hay không, cần tính đến các yêu cầu nêu trong 6.8 của IEC TR 62725:2013 và 5.13 của ISO 14064-2:2006.
CHÚ THÍCH: Việc phân bổ giữa sản phẩm cuối cùng và sản phẩm trung gian không được đề cập trong báo cáo này. Việc phân bổ xác định hạn ngạch giữa sản phẩm cuối cùng và sản phẩm trung gian có thể được thực hiện dựa trên kết quả nghiên cứu cắt giảm phát thải khí nhà kính.
Phụ lục A
(tham khảo)
Kết quả nghiên cứu phân tích so sánh trên các tài liệu liên quan hiện có được lựa chọn trong đó có Tiêu chuẩn quốc tế
| Yếu tố phương pháp luận | TCVN ISO 14064-2 | Nghị định thư GHG dùng cho kế toán dự án | ITU-T L.1410 | TCVN 14458: 2025 (IECTR 62726) | |
| Ứng dụng liên quan | Độ tin cậy đã được xác minh (ẩn) | Độ tin cậy đã được xác minh (ẩn) | Khẳng định so sánh/ Phân tích so sánh | - ước tính mức cắt giảm GHG cho việc ra quyết định nội bộ; - công bố kết quả nghiên cứu cắt giảm phát thải khí nhà kính cho công chúng (ví dụ: công bố sản phẩm trên trang web hoặc báo cáo CSR); - chứng nhận và công nhận các đơn vị giảm GHG (ví dụ: độ tin cậy); - cách khác | |
| Cơ sở phương pháp luận | Phạm vi | Cấp độ dự án | Cấp độ dự án | Sản phẩm (hàng hóa, mạng và dịch vụ CNTt) | Các dự án GHG liên quan đến sản phẩm EE |
| Ý tưởng cơ bản để định lượng sự giảm thiểu | Giảm phát thải = [Lượng phát thải cơ sở) - [Lượng phát thải của dự án] | Giảm phát thải = [Lượng phát thải cơ sở) - [Lượng phát thải của dự án] | Giảm phát thải = [Kết quả LCA của hệ thống sản phẩm tham chiếu] - [Kết quả LCA của GNS ICT mục tiêu] | Giảm phát thải = [Lượng phát thải cơ bản) - [Lượng phát thải của dự án] | |
| Tham khảo tiêu chuẩn/phương pháp hiện hành | TCVN ISO 14064-1 và TCVN ISO 14064-3 (và sáng kiến khác, ví dụ Cơ chế Kyoto - CDM) | Tiêu chuẩn ISO 14064 và Tiêu chuẩn doanh nghiệp của Giao thức GHG | ISO 14040/ISO 14044 | TCVN ISO 14064-2 và Nghị định thư dự án GHG | |
| Tư duy vòng đời | Đối với các dự án GHG liên quan đến sản phẩm, LCA có thể được sử dụng để tính toán mức cắt giảm phát thải GHG hoặc tăng cường loại bỏ GHG | Không yêu cầu LCA hoàn chỉnh khi xem xét các tác động phụ | Các yêu cầu đối với LCA đối với cả hệ thống GNS ICT và hệ thống sản phẩm tham chiếu riêng trước khi so sánh. Giải quyết toàn bộ vòng đời | Đối với các dự án GHG liên quan đến sản phẩm, LCA có thể được sử dụng để tính toán mức cắt giảm phát thải GHG hoặc tăng cường loại bỏ GHG | |
| Quy trình thực hiện | Các bước thực hiện (hai giai đoạn): giai đoạn lập kế hoạch - mô tả dự án, - xác định và lựa chọn các nguồn GHG, bề thu và bể chứa (SSR) liên quan đến dự án, - xác định kịch bản đường cơ sở, và - xây dựng các quy trình để định lượng, giám sát và báo cáo các phát thải, loại bỏ, giảm thiểu phát thải và tăng cường loại bỏ GHG, giai đoạn thực hiện - quy định các yêu cầu đối với việc lựa chọn và áp dụng các tiêu chí và thủ tục để quản lý chất lượng dữ liệu thường xuyên, giám sát, định lượng và báo cáo các phát thải, loại bỏ, giảm thiểu phát thải và tăng cường loại bỏ GHG. người dùng được khuyến khích xem xét tất cả các yêu cầu một cách tổng thể và lặp đi lặp lại thay vì cách tiếp cận tuyến tính từng bước | Các bước hạch toán và báo cáo mức cắt giảm GHG: - xác định ranh giới đánh giá GHG - chọn quy trình đường cơ bản - xác định các ứng viên đường cơ bản - ước tính lượng phát thải đường cơ sở - theo dõi và định lượng mức cắt giảm GHG - báo cáo mức cắt giảm GHG | So sánh giữa các hệ thống (phân tích so sánh) - quy trình đánh giá bao gồm một số bước: - xác định mục tiêu, đơn vị chức năng và các kịch bản; - xác định ranh giới hệ thống cho từng hệ thống sản phẩm, - kiểm kê vòng đời bao gồm việc thu thập dữ liệu cho từng hệ thống sản phẩm; đánh giá tác động vòng đời của từng hệ thống sản phẩm; - giải thích vòng đời bao gồm so sánh | Giới thiệu mười một bước cơ bản: - xác định mục tiêu và phạm vi - xác định kịch bản đường cơ sở - lựa chọn các SSR GHG có liên quan - ước tính thử và quyết định về các SSR GHG có liên quan - ước tính lượng phát thải cơ sở - thu thập dữ liệu và đánh giá chất lượng - ước tính mức cắt giảm GHG - tài liệu - xác nhận, xác minh và theo dõi - truyền thông | |
| Xác định các SSR GHG có liên quan | Yêu cầu bao gồm các SSR GHG có liên quan. - các SSR GHG được kiểm soát - các SSR CHG liên quan - các SSR GHG bị ảnh hưởng | Yêu cầu bao gồm các tác động chính và tác động phụ đáng kể: - tác động chính - tác động phụ - tác động phụ bao gồm: - tác động một lần - các tác động hướng lên và hướng xuống - các tác động hướng lên và hướng xuống bao gồm "các tác động hướng lên và hướng xuống liên quan đến phản ứng của thị trường" | Yêu cầu đối với: nhất quán với mục tiêu của nghiên cứu; - xem xét 8 hoạt động chính cho cả hai ranh giới của • Hệ thống GNS CNTT-TT và • hệ thống sản phẩm tham khảo. - Phần cứng ICT - Phần mềm ICT - hàng tiêu dùng và các sản phẩm hỗ trợ khác - cơ sở hạ tầng địa điểm - vận chuyển (vận chuyển hàng hóa) - du lịch (sự di chuyển của con người) - lưu trữ hàng hóa - môi trường làm việc | Khuyến nghị bao gồm tất cả các tác động chính và tất cả các tác động phụ đáng kể. Khuyến nghị chọn một trong ba tùy chọn hiển thị bên dưới để chọn SSR GHG phù hợp: - toàn bộ các giai đoạn của vòng đời của cả sản phẩm được đánh giá và sản phẩm đối chứng - các giai đoạn đầy đủ của vòng đời của sản phẩm được đánh giá và các giai đoạn vòng đời liên quan được lựa chọn của sản phẩm đối chứng - các giai đoạn vòng đời liên quan được lựa chọn của cả sản phẩm được đánh giá nhằm mục tiêu giảm thiểu GHG và sản phẩm đối chiếu | |
| Cài đặt cơ bản | Tính bổ sung | ISO 14064-2 đề cập đến khái niệm "bổ sung" bằng cách yêu cầu dự án GHG phải dẫn đến việc giảm phát thải hoặc tăng cường loại bỏ GHG bên cạnh những gì lẽ ra sẽ xảy ra nếu không có dự án đó. - không sử dụng thuật ngữ "tính bổ sung, quy định các thủ tục cơ bản hoặc chỉ rõ tiêu chí bổ sung | Không có yêu cầu (ngầm) - không yêu cầu chứng minh "bổ sung" mỗi se. - tuy nhiên, tính bổ sung được kết hợp như một phần ngầm định của các thủ tục được sử dụng để ước tính lượng phát thải cơ sở | Chỉ hướng dẫn kỹ thuật và thông tin | Chỉ hướng dẫn kỹ thuật và thông tin |
| Ước tính đường cơ sở - quy trình ước tính | - cách tiếp cận dự án cụ thể - cách tiếp cận tiêu chuẩn tính năng | - quy trình cụ thể của dự án - quy trình tiêu chuẩn thực hiện | Ví dụ về hệ thống sản phẩm tham chiếu làm kịch bản đường cơ sở | - quy trình cụ thể của dự án - quy trình tiêu chuẩn thực hiện | |
Phụ lục B
(tham khảo)
Ví dụ về nghiên cứu giảm thiểu khí nhà kính
B.1 Yêu chầu chung
Phụ lục B bao gồm ví dụ về các nghiên cứu cắt giảm phát thải khí nhà kính cho các loại dự án phát thải khí nhà kính liên quan đến sản phẩm EE cụ thể. Giảm thiểu khí nhà kính cũng bao gồm nội dung được trích xuất của các mục chính nhằm mục đích minh họa. Nếu tổ chức có ý định sử dụng những ví dụ này cho mục đích thực tế thì họ nên tham khảo nguồn.
B.2 Ví dụ - Cắt giảm khí nhà kính của các sản phẩm EE được tính toán dựa trên lượng khí thải carbon (Dán nhãn lượng khí thải carbon thấp của Hàn Quốc)
Khi thích hợp, việc cắt giảm phát thải khí nhà kính của các sản phẩm EE được tính toán dựa trên lượng khí thải carbon có thể được sử dụng làm mức cắt giảm phát thải khí nhà kính trên mỗi đơn vị sản phẩm được đánh giá.
Ví dụ sau đây, như thể hiện trong Bảng B.1, là một trường hợp điển hình:
Bảng B.1 - Ghi nhãn lượng khí thải carbon thấp của Hàn Quốc
| Tiêu đề | Dán nhãn lượng khí thải carbon thấp của Hàn Quốc (ví dụ: dán nhãn cho tủ lạnh) | |||||||||||||||||||
| URL | http://www.edp.or.kr/carbon và http://www.keiti.re.kr | |||||||||||||||||||
| Quy tắc chủng loại sản phẩm có lượng khí thải carbon thấp (PCR) | Sản phẩm được đánh giá | - Sản phẩm được đánh giá dán nhãn lượng khí thải carbon thấp là sản phẩm được chứng nhận dán nhãn CFP - sản phẩm được đánh giá có chức năng và tên sản phẩm giống với sản phẩm tham chiếu - nếu sản phẩm mới có chức năng cải tiến và tên gọi khác so với sản phẩm tham chiếu được tung ra thị trường cùng thời điểm với sản phẩm tham chiếu, sản phẩm này không phải là sản phẩm mục tiêu của sản phẩm có lượng khí thải carbon thấp | ||||||||||||||||||
| Tiêu chí chứng nhận | - Sản phẩm phải đáp ứng hai tiêu chí để có lượng khí thải carbon thấp: - tiêu chí về lượng khí thải carbon trung bình: sản phẩm có lượng khí thải carbon thấp hơn mức trung bình trong cùng chủng loại sản phẩm - tiêu chí về tỷ lệ giảm lượng carbon: Dựa trên “XX%” trên “YY năm” được rút ra từ "Mục tiêu quốc gia giảm thiểu năng lượng và phát thải khí nhà kính'
Hình B.1 - Tiêu chí phát thải carbon trung bình
Hình B.2 - Tiêu chí về tỷ lệ giảm Các-bon (Trong trường hợp này, dựa trên 4,24 % mỗi 3 năm được rút ra từ mục tiêu cắt giảm phát thải quốc gia của Hàn Quốc.) | |||||||||||||||||||
| Sản phẩm tham khảo | Sản phẩm tham chiếu là sản phẩm được chứng nhận dán nhãn lượng khí thải carbon và có chức năng tương tự như sản phẩm được đánh giá của sản phẩm carbon thấp | |||||||||||||||||||
| Định nghĩa và phạm vi của sản phẩm | - Phạm vi áp dụng: phương pháp đo/tính toán này có thể áp dụng cho tất cả các dòng sản phẩm tủ đông, tủ lạnh điện gia dụng và thương mại. - Chức năng: làm lạnh vả đông lạnh thực phẩm để bảo quản thực phẩm được lâu | |||||||||||||||||||
| Đơn vị tính toán | - Đơn vị bán hàng (mỗi đơn vị) - Tủ lạnh hai cửa (trọng lượng tủ lạnh 146 kg, trọng lượng vật liệu đóng gói: 9,82 kg, Dung tích: 751 L) | |||||||||||||||||||
| Phương pháp tính toán phát thải khí nhà kính | - Tính toán phát thải khí nhà kính được đưa vào Korea CFP PCR II và III | |||||||||||||||||||
| Phạm vi tính toán của sư giảm bớt (Trường hợp này được tính toán dựa trên | Bước vòng đời | - Cùng sản phẩm tham khảo | ||||||||||||||||||
| Ngày thu thập và thời gian | - Thu thập dữ liệu của tủ lạnh xxxx để chứng nhận dán nhãn lượng khí thải - carbon thấp. Ranh giới hệ thống giống với sản phẩm tham chiếu. - Ranh giới thời gian - sản xuất sản phẩm: 2010.10.01 -201 1 10.31 - Phân phối: 2010 MI 01 -F 2010.1101 - Tủ lạnh xxxx được chứng nhận vào tháng 2 năm 2011 (Việc xác minh sản phẩm mất khoảng 90 ngày) - Ranh giới địa lý - Sản xuất sản phẩm: Onsite tại Hàn Quốc - phân phối: Hàn Quốc | |||||||||||||||||||
| Phân bổ | - Về cơ bản, lượng khí thải carbon của tủ lạnh xxxx được tính toán theo quy tắc - phân bổ chung trong PCR II - Phân bổ giống như sản phẩm tham khảo. | |||||||||||||||||||
| Tiêu chí giới hạn | - Đầu tiên, thu thập dữ liệu về việc *tiêu thụ nguyên liệu thô và vật liệu phụ đóng góp khối lượng tích lũy lên tới 95 % ở mỗi giai đoạn lắp ráp hoặc tảng số bộ phận được sử dụng" so với "tổng nguyên liệu thô và vật liệu phụ trợ được sử dụng" - Thứ hai, liên quan đến các cụm và bộ phận được đưa vào theo bước đầu tiên đã nói ở trên, hãy thu thập dữ liệu về mức tiêu thụ của từng vật liệu chịu trách nhiệm đóng góp khối lượng tích lũy lên tới 95 % ở mỗi giai đoạn lắp ráp hoặc của các bộ phận được sử dụng. | |||||||||||||||||||
| Xác minh mức cắt giảm GHG | - Lượng hoặc tỷ lệ giảm thiếu GHG chì được chấp nhận khi áp dụng công nghệ cải tiến vào quá trình để cải tiến hiệu quả của quá trình. - Tủ lạnh xxxx giảm khoảng 12,7 % lượng khí thải carbon bằng cách áp dụng máy nén và chất cách điện chân không hiệu suất cao cho sản phẩm.
| |||||||||||||||||||
| Kết nối | - Nhãn lượng khí thải carbon thấp được dán trên tủ lạnh xxxx để truyền đạt tới khách hàng (Hình 8.3). Thông tin chi tiết hơn về lượng khí thải carbon của tủ lạnh xxxx có trên trang web
Hình B.3 - Ghi nhãn lượng khí thải carbon thấp | |||||||||||||||||||
Bảng B.2 - Mối quan hệ giữa sản phẩm phát thải carbon thấp và dự án phát thải khí nhà kính liên quan đến sản phẩm EE
| Dự án GHG liên quan đến sản phẩm EE | Sản phẩm được đánh giá | Kịch bản đường cơ sở |
| Giới thiệu một đơn vị tủ lạnh ít khí thải carbon tại Hàn Quốc | Tủ lạnh ít khí thải carbon | Sử dụng tủ lạnh thông thường có chức năng tương đương ở Hàn Quốc |
CHÚ THÍCH: "Ghi nhãn lượng khí thải carbon thấp của Hàn Quốc" được hiểu là nghiên cứu tính toán mức giảm GHG bằng dự án GHG liên quan đến sản phẩm EE nhằm giới thiệu một đơn vị sản phẩm carbon thấp làm sản phẩm được đánh giá thay thế một đơn vị tủ lạnh thông thường như một sản phẩm tham khảo.
Phụ lục C
(tham khảo)
Ví dụ về theo dõi dựa trên phương pháp lấy mẫu có hệ thống
Lấy mẫu hệ thống là một phương pháp thống kê liên quan đến việc lựa chọn các phần tử từ khung lấy mẫu theo thứ tự và có thể áp dụng trong một số tình huống, ví dụ: theo dõi mức tiêu thụ điện của tủ lạnh được phát triển và cung cấp theo dự án GHG liên quan đến sản phẩm EE. Theo cách tiếp cận này, cỡ mẫu có thể được tính theo công thức sau:

trong đó
n là cỡ mẫu;
N là kích cỡ tập hợp;
k là giới hạn loại bỏ của phân phối chuẩn,
CI là sai số lấy mẫu;
s2 là ước tính phương sai của tập hợp (chuẩn hóa cho giá trị trung bình bằng 1).
Đối với phương pháp theo dõi, có thể áp dụng phép đo thực tế bằng dụng cụ đo tại từng điểm theo dõi mẫu.
Đối với khoảng thời gian theo dõi, nên bao gồm một mùa có tần suất sử dụng thường xuyên (ví dụ: mùa hè đối với tủ lạnh).
Ước tính tham số tập hợp, tức là mức tiêu thụ năng lượng, có thể được tính như sau:
• tỷ lệ tiêu thụ năng lượng hàng ngày của tủ lạnh trên tổng mức tiêu thụ điện hàng năm của từng hộ gia đình mẫu:

trong đó
Ri là tỷ số năng lượng tiêu thụ hàng ngày của tủ lạnh trên tổng lượng điện tiêu thụ hàng năm của hộ gia đình I (kWh/(kWh*D));
ECi là lượng điện tiêu thụ của tủ lạnh tại điểm theo dõi trong thời gian theo dõi (kWh);
TECI là tổng lượng điện tiêu thụ hàng năm của từng điểm theo dõi mẫu (kWh);
MP là thời gian theo dõi (ngày).
• mẫu trung bình của tỷ lệ.

trong đó:
SA là giá trị trung bình mẫu của tỷ lệ.
• Tiêu thụ năng lượng của tập hợp dự án:

trong đó:
Ri là tỷ số năng lượng tiêu thụ hàng ngày của tủ lạnh trên tổng lượng điện tiêu thụ hàng năm của hộ gia đình / (kWh/(kWh*D));
Dj là thời gian sử dụng tại hộ j (ngày);
TECj là mức tiêu thụ điện của tủ lạnh tại hộ gia đình j trong thời gian theo dõi (kWh).
CHÚ THÍCH: Đối với một chương trình chứng nhận và công nhận cụ thể các đơn vị cát giảm phát thải GHG, tổ chức đăng ký tham gia chương trình này có thể được yêu cầu phải đáp ứng các yêu cầu quy định kỹ thuật được đưa ra trong các tiêu chuẩn liên quan hiện hành, ví dụ: TCVN ISO 14064-2, ISO 14064-3, Nghị định thư GHG dùng cho Kế toán Dự án: 2005 và/hoặc chương trình cụ thể.
Thư mục tài liệu tham khảo
[1] ISO 14064-2:2006, Greenhouse gases - Part 2: Specification with guidance at the project level for quantification, monitoring and reporting of greenhouse gas emission reductions or removal enhancements (Khí nhà kính - Phần 2: Quy định kỹ thuật với hướng dẫn ở cấp độ dự án để định lượng, theo dõi và báo cáo việc cắt giảm phát thải hoặc tăng cường loại bỏ khí nhà kính)
[2] ITU-T L.1410:2012, Methodology for environmental impact assessment of information and communication technologies (ICT) goods, networks and services (Phương pháp đánh giá tác động môi trường của hàng hóa, mạng và dịch vụ công nghệ thông tin và truyền thông (ICT))
[3] ISO TS 14067:2013, Greenhouse gases Carbon footprint of products - Requirements and guidelines for quantification and communication (Khí nhà kính Dấu chân các-bon của sản phẩm - Yêu cầu và hướng dẫn về định lượng và truyền thông)
[4] ISO 14040:2006, Environmental management - Life cycle assessment - Principles and tramework (Quản lý môi trường - Đánh giá vòng đời - Nguyên tắc và khung)
[5] ISO 14064-1:2006, Greenhouse gases - Part 1: Specification with guidance at the organization level for quantification and reporting of greenhouse gas emissions and removals (Khí nhà kính - Phần 1: Quy định kỹ thuật với hướng dẫn ở cấp tổ chức về định lượng và báo cáo phát thải và loại bỏ khí nhà kính)
[6] The GHG Protocol for Project Accounting:2005, World Resources Institute, World Business Council for Sustainable Development (Nghị định thư GHG về tính toán dự án:2005, Viện Tài nguyên Thế giới, Thế giới Hội đồng doanh nghiệp vì sự phát triển bền vững)
[7] IEC 62430:2009, Environmentally conscious design for electrical and electronic products (Thiết kế có ý thức về môi trường cho các sản phẩm điện và điện tử)
[8] ISO 14044:2006, Environmental management - Life cycle assessment - Requirements and guidelines (Quản lý môi trường - Đánh giá vòng đời - Yêu cầu và hướng dẫn)
[9] ITU-T L. 1430:2013, Methodology for assessment of the environmental impact of information and communication technology greenhouse gas and energy projects (Phương pháp đánh giá tác động môi trường của các dự án năng lượng và khí nhà kính công nghệ thông tin và truyền thông)
[10] IEC TR 62725:2013, Analysis of quantification methodologies for greenhouse gas emissions for electrical andelectronic products and systems (Phân tích các phương pháp định lượng phát thải khí nhà kính đối với các sản phẩm và hệ thống điện và điện tử)
[11] ISO 14064-3:2006, Greenhouse gases - Part 3: Specification with guidance for the validation and venification of greenhouse gas assertions (Khí nhà kính - Phần 3: Quy định kỹ thuật kèm hướng dẫn thẩm định và kiểm định các xác nhận khí nhà kính)
[12] WBCSD/WRI, The Greenhouse Gas Protocol, Product Life Cycle Accounting and Reporting Standard, 2011 (Giao thức khí nhà kính, Tiêu chuẩn báo cáo và kế toán vòng đời sản phẩm, 2011 Tài liệu tham khảo không được trích dẫn bổ sung)
Additional non-cited references (Tài liệu tham khảo không được trích dẫn bổ sung)
ISO 9000:2005, Quality management systems - Fundamentals and vocabulary (Hệ thống quản lý chất lượng - Cơ sở và từ vựng)
CSA Standards, ICT Greenhouse Gas Reduction Project Protocol: Quantification and Reporting Version 1, 2012 (Tiêu chuẩn CSA, Dự án Giảm thiểu Khí nhà kính trong CNTT & 77; Định lượng và Báo cáo phiên bản 1, 2012)
[1] Hiện nay đã có TCVN ISO 9000:2015
[2] Hiện nay đã có TCVN 13788:2023 hoàn toàn tương đương với IEC 62430:2019
Bạn chưa Đăng nhập thành viên.
Đây là tiện ích dành cho tài khoản thành viên. Vui lòng Đăng nhập để xem chi tiết. Nếu chưa có tài khoản, vui lòng Đăng ký tại đây!


