- Tổng quan
- Nội dung
- VB gốc
- Tiếng Anh
- Hiệu lực
- VB liên quan
- Lược đồ
-
Nội dung hợp nhất
Tính năng này chỉ có tại LuatVietnam.vn. Nội dung hợp nhất tổng hợp lại tất cả các quy định còn hiệu lực của văn bản gốc và các văn bản sửa đổi, bổ sung, đính chính... trên một trang. Việc hợp nhất văn bản gốc và những văn bản, Thông tư, Nghị định hướng dẫn khác không làm thay đổi thứ tự điều khoản, nội dung.
Khách hàng chỉ cần xem Nội dung hợp nhất là có thể nắm bắt toàn bộ quy định hiện hành đang áp dụng, cho dù văn bản gốc đã qua nhiều lần chỉnh sửa, bổ sung.
- Tải về
Thông tư 150/2011/TT-BTC hướng dẫn hoán đổi trái phiếu Chính phủ
| Cơ quan ban hành: | Bộ Tài chính |
Số công báo:
Số công báo là mã số ấn phẩm được đăng chính thức trên ấn phẩm thông tin của Nhà nước. Mã số này do Chính phủ thống nhất quản lý.
|
Đã biết
|
| Số hiệu: | 150/2011/TT-BTC | Ngày đăng công báo: |
Đã biết
|
| Loại văn bản: | Thông tư | Người ký: | Trần Xuân Hà |
|
Ngày ban hành:
Ngày ban hành là ngày, tháng, năm văn bản được thông qua hoặc ký ban hành.
|
09/11/2011 |
Ngày hết hiệu lực:
Ngày hết hiệu lực là ngày, tháng, năm văn bản chính thức không còn hiệu lực (áp dụng).
|
Đã biết
|
|
Áp dụng:
Ngày áp dụng là ngày, tháng, năm văn bản chính thức có hiệu lực (áp dụng).
|
Đã biết
|
Tình trạng hiệu lực:
Cho biết trạng thái hiệu lực của văn bản đang tra cứu: Chưa áp dụng, Còn hiệu lực, Hết hiệu lực, Hết hiệu lực 1 phần; Đã sửa đổi, Đính chính hay Không còn phù hợp,...
|
Đã biết
|
| Lĩnh vực: | Tài chính-Ngân hàng |
TÓM TẮT THÔNG TƯ 150/2011/TT-BTC
Ngày 09/11/2011, Bộ Tài chính đã ban hành Thông tư số 150/2011/TT-BTC hướng dẫn hoán đổi trái phiếu Chính phủ và đăng ký, lưu ký, niêm yết đối với trái phiếu hoán đổi.
Việc hoán đổi trái phiếu đảm bảo thực hiện theo Phương án hoán đổi trái phiếu được cấp có thẩm quyền phê duyệt; đảm bảo nguyên tắc ngang giá trị theo giá thị trường, công khai, minh bạch trong việc hoán đổi; tuân thủ các quy định của pháp luật và quy định cụ thể tại Thông tư này.
Trong thời gian hoán đổi trái phiếu (kể từ thời điểm đăng ký hoán đổi trái phiếu đến khi kết thúc việc hoán đổi trái phiếu), các trái phiếu đang lưu hành được đăng ký hoán đổi sẽ được Trung tâm Lưu ký Chứng khoán Việt Nam phong tỏa trên tài khoản lưu ký của chủ sở hữu trái phiếu.
Trái phiếu bị hoán đổi phải đảm bảo các điều kiện: Là loại trái phiếu đang được niêm yết trên Sở Giao dịch chứng khoán Hà Nội và có kỳ hạn còn lại từ 01 năm trở lên; không bị ràng buộc trong các quan hệ về giao dịch đảm bảo tại thời điểm hoán đổi.
Trái phiếu được hoán đổi phát hành lần đầu phải đảm bảo kỳ hạn trái phiếu phát hành từ 01 năm trở lên. Trái phiếu được hoán đổi bổ sung phải đảm bảo điều kiện là loại trái phiếu đang được niêm yết trên Sở Giao dịch chứng khoán Hà Nội và điều kiện, điều khoản của trái phiếu như điều kiện, điều khoản của trái phiếu đang lưu hành…
Thông tư này có hiệu lực thi hành 45 ngày kể từ ngày ký và áp dụng đối với việc hoán đổi trái phiếu kể từ năm 2011 theo Phương án hoán đổi trái phiếu đã được cấp có thẩm quyền phê duyệt.
Xem chi tiết Thông tư 150/2011/TT-BTC có hiệu lực kể từ ngày 01/01/2011
Tải Thông tư 150/2011/TT-BTC
|
BỘ TÀI CHÍNH --------------------- Số: 150/2011/TT-BTC |
CỘNG HOÀ XÃ HỘI CHỦ NGHĨA VIỆT NAM Độc lập - Tự do - Hạnh phúc ------------------------- Hà Nội, ngày 09 tháng 11 năm 2011 |
THÔNG TƯ
Hướng dẫn hoán đổi trái phiếu Chính phủ
--------------------------------
Căn cứ Luật Quản lý nợ công số 29/2009/QH12 ngày 17/6/2009;
Căn cứ Luật Chứng khoán số 70/2006/QH11 ngày 29/6/2006 và Luật chứng khoán sửa đổi số 62/2010/QH12 ngày 24/11/2010;
Căn cứ Luật Ngân sách Nhà nước số 01/2002/QH11 ngày 16/12/2002;
Căn cứ Nghị định số 118/2008/NĐ-CP ngày 27/11/2008 quy định chức năng, nhiệm vụ, quyền hạn và cơ cấu tổ chức của Bộ Tài chính;
Căn cứ Nghị định số 01/2011/NĐ-CP ngày 05/1/2011 về phát hành trái phiếu Chính phủ, trái phiếu được Chính phủ bảo lãnh và trái phiếu chính quyền địa phương;
Triển khai việc tái cơ cấu hàng hóa theo Quyết định số 3182/QĐ-BTC ngày 21/12/2010 của Bộ Tài chính nhằm góp phần tăng tính thanh khoản của các trái phiếu Chính phủ đã được phát hành, Bộ Tài chính hướng dẫn việc hoán đổi trái phiếu Chính phủ như sau:
CHƯƠNG I. QUY ĐỊNH CHUNG
Điều 1. Phạm vi điều chỉnh
Thông tư này hướng dẫn về việc hoán đổi trái phiếu Chính phủ và đăng ký, lưu ký, niêm yết đối với trái phiếu hoán đổi.
Điều 2. Đối tượng áp dụng
Đối tượng áp dụng tại Thông tư này gồm Kho bạc Nhà nước, chủ sở hữu trái phiếu bị hoán đổi, Sở Giao dịch Chứng khoán Hà Nội, Trung tâm Lưu ký Chứng khoán Việt Nam và các tổ chức, cá nhân có liên quan.
Điều 3. Giải thích thuật ngữ
Trong Thông tư này, các thuật ngữ được hiểu như sau:
1. “Hoán đổi trái phiếu” là việc cùng mua, cùng bán hai (02) mã trái phiếu khác nhau của cùng một chủ thể phát hành tại cùng một thời điểm với mục tiêu cơ cấu lại danh mục trái phiếu.
2. “Trái phiếu kho bạc” (sau đây gọi tắt là trái phiếu) là trái phiếu Chính phủ có kỳ hạn phát hành từ một (01) năm trở lên.
3. “Trái phiếu phát hành lần đầu” là loại trái phiếu mới được phát hành để hoán đổi cho các loại trái phiếu đang lưu hành.
4. “Trái phiếu phát hành bổ sung” là loại trái phiếu được phát hành bổ sung, có cùng lãi suất danh nghĩa và cùng ngày đáo hạn với loại trái phiếu đang lưu hành.
5. “Trái phiếu bị hoán đổi” là loại trái phiếu đang lưu hành được lựa chọn để hoán đổi với loại trái phiếu phát hành lần đầu hoặc trái phiếu phát hành bổ sung.
6. “Trái phiếu được hoán đổi” là trái phiếu phát hành lần đầu hoặc trái phiếu phát hành bổ sung được lựa chọn để hoán đổi cho các loại trái phiếu đang lưu hành.
7. “Lãi suất danh nghĩa” của trái phiếu là tỷ lệ phần trăm (%) lãi hàng năm tính trên mệnh giá trái phiếu mà chủ thể phát hành phải thanh toán cho chủ sở hữu trái phiếu vào các kỳ trả lãi theo các điều kiện, điều khoản của trái phiếu được quy định tại thời điểm phát hành.
8. “Kỳ hạn còn lại” của trái phiếu là thời gian thực tế tính từ ngày hoán đổi trái phiếu đến ngày trái phiếu đó đáo hạn.
9. “Đợt hoán đổi trái phiếu” là khoảng thời gian Kho bạc Nhà nước tổ chức hoán đổi trái phiếu.
10. “Ngày hoán đổi trái phiếu” là ngày phát hành trái phiếu được hoán đổi để hoán đổi cho các loại trái phiếu đang lưu hành.
11. “Lãi suất chiết khấu” là tỷ lệ phần trăm (%) lãi hàng năm, được dùng làm căn cứ để xác định giá trái phiếu bị hoán đổi, giá trái phiếu được hoán đổi và tỷ lệ hoán đổi giữa trái phiếu bị hoán đổi và trái phiếu được hoán đổi.
12. “Tỷ lệ hoán đổi” là tỷ lệ xác định giữa giá của một (01) trái phiếu bị hoán đổi và giá của một (01) trái phiếu được hoán đổi.
CHƯƠNG II. HOÁN ĐỔI TRÁI PHIẾU
Điều 4. Nguyên tắc hoán đổi trái phiếu
1. Việc hoán đổi trái phiếu đảm bảo tuân thủ các nguyên tắc sau:
a) Thực hiện theo Phương án hoán đổi trái phiếu được cấp có thẩm quyền phê duyệt.
b) Đảm bảo nguyên tắc ngang giá trị theo giá thị trường, công khai, minh bạch trong việc hoán đổi.
c) Tuân thủ các quy định của pháp luật và quy định cụ thể tại Thông tư này.
2. Trong thời gian hoán đổi trái phiếu (kể từ thời điểm đăng ký hoán đổi trái phiếu đến khi kết thúc việc hoán đổi trái phiếu), các trái phiếu đang lưu hành được đăng ký hoán đổi sẽ được Trung tâm Lưu ký Chứng khoán Việt Nam phong tỏa trên tài khoản lưu ký của chủ sở hữu trái phiếu.
Điều 5. Phương thức hoán đổi trái phiếu
1. Việc hoán đổi trái phiếu được thực hiện theo một trong hai phương thức sau:
a) Kho bạc Nhà nước phát hành loại trái phiếu mới có điều kiện, điều khoản do Kho bạc Nhà nước quyết định để hoán đổi cho các loại trái phiếu đang lưu hành.
b) Kho bạc Nhà nước phát hành bổ sung một khối lượng trái phiếu nhất định theo điều kiện, điều khoản của một loại trái phiếu đang lưu hành để hoán đổi cho một loại trái phiếu đang lưu hành khác.
2. Bộ Tài chính quyết định phương thức hoán đổi trái phiếu.
Điều 6. Điều kiện, điều khoản trái phiếu hoán đổi
1. Đối với trái phiếu bị hoán đổi phải đảm bảo các điều kiện, điều khoản sau:
a) Là loại trái phiếu đang được niêm yết trên Sở Giao dịch chứng khoán Hà Nội và có kỳ hạn còn lại từ một (01) năm trở lên.
b) Không bị ràng buộc trong các quan hệ về giao dịch đảm bảo tại thời điểm hoán đổi.
2. Đối với trái phiếu được hoán đổi:
a) Trường hợp trái phiếu phát hành bổ sung phải đảm bảo điều kiện là loại trái phiếu đang được niêm yết trên Sở Giao dịch chứng khoán Hà Nội và điều kiện, điều khoản của trái phiếu như điều kiện, điều khoản của trái phiếu đang lưu hành.
b) Trường hợp trái phiếu phát hành lần đầu phải đảm bảo kỳ hạn trái phiếu phát hành từ một (01) năm trở lên. Điều kiện, điều khoản trái phiếu do Kho bạc Nhà nước quy định trên cơ sở thỏa thuận với các chủ sở hữu trái phiếu.
Điều 7. Lãi suất chiết khấu trái phiếu
1. Bộ Tài chính quyết định khung lãi suất chiết khấu để xác định giá trái phiếu bị hoán đổi và giá trái phiếu được hoán đổi trong từng đợt hoán đổi trái phiếu.
2. Kho bạc Nhà nước đàm phán và thống nhất với chủ sở hữu trái phiếu về mức lãi suất chiết khấu nhưng phải đảm bảo nằm trong khung lãi suất do Bộ Tài chính quyết định tại khoản 1 Điều này.
Điều 8. Quy trình hoán đổi trái phiếu
1. Trước ngày tổ chức đợt hoán đổi trái phiếu tối thiểu 10 ngày làm việc, Kho bạc Nhà nước công bố thông tin về đợt hoán đổi trái phiếu trên trang tin điện tử của Bộ Tài chính và Sở Giao dịch Chứng khoán Hà Nội. Nội dung thông báo bao gồm:
a) Điều kiện, điều khoản các trái phiếu dự kiến bị hoán đổi, bao gồm: mã niêm yết; ngày phát hành; ngày đáo hạn; lãi suất danh nghĩa; phương thức thanh toán lãi trái phiếu.
b) Điều kiện, điều khoản các trái phiếu dự kiến được hoán đổi:
- Trường hợp trái phiếu phát hành bổ sung, điều kiện, điều khoản bao gồm: mã niêm yết; ngày phát hành; ngày đáo hạn; lãi suất danh nghĩa; phương thức thanh toán lãi trái phiếu.
- Trường hợp trái phiếu phát hành lần đầu, điều kiện, điều khoản bao gồm: mã niêm yết dự kiến; ngày phát hành dự kiến; kỳ hạn dự kiến; nguyên tắc xác định lãi suất danh nghĩa; phương thức thanh toán lãi trái phiếu.
c) Thời gian tổ chức thực hiện đợt hoán đổi trái phiếu.
d) Ngày đăng ký tham gia hoán đổi cuối cùng.
2. Căn cứ vào thông báo về đợt hoán đổi trái phiếu, chủ sở hữu trái phiếu bị hoán đổi có nhu cầu hoán đổi trái phiếu gửi Kho bạc Nhà nước đơn đăng ký hoán đổi trái phiếu theo mẫu tại Phụ lục 1 Thông tư này. Các đơn đăng ký hoán đổi trái phiếu sau ngày đăng ký hoán đổi cuối cùng là không hợp lệ.
3. Căn cứ vào đơn đăng ký của chủ sở hữu trái phiếu bị hoán đổi, Kho bạc Nhà nước thông báo cho Trung tâm Lưu ký Chứng khoán Việt Nam để phong tỏa số trái phiếu đăng ký hoán đổi trên tài khoản lưu ký của chủ sở hữu trái phiếu theo quy định tại Thông tư này.
4. Căn cứ vào đơn đăng ký của chủ sở hữu trái phiếu bị hoán đổi, điều kiện, điều khoản của các loại trái phiếu hoán đổi, Kho bạc Nhà nước thỏa thuận với chủ sở hữu trái phiếu về nội dung hoán đổi trái phiếu theo quy định tại Thông tư này, cụ thể như sau:
a) Xác định mức lãi suất chiết khấu theo quy định tại Điều 7 Thông tư này;
b) Xác định ngày hoán đổi trái phiếu; kỳ hạn còn lại của các loại trái phiếu hoán đổi;
c) Xác định giá trái phiếu bị hoán đổi; giá trái phiếu được hoán đổi; và tỷ lệ hoán đổi trái phiếu theo quy định tại Điều 9 Thông tư này.
5. Trường hợp thống nhất được với chủ sở hữu trái phiếu về hoán đổi trái phiếu, Kho bạc Nhà nước và chủ sở hữu trái phiếu ký thỏa thuận về kết quả hoán đổi. Căn cứ vào thỏa thuận ký kết, Kho bạc Nhà nước thực hiện hoán đổi trái phiếu và thông báo chi tiết kết quả hoán đổi trái phiếu cho Sở Giao dịch Chứng khoán Hà Nội, Trung tâm Lưu ký Chứng khoán Việt Nam theo mẫu tại Phụ lục 2 Thông tư này để thực hiện việc đăng ký, lưu ký và niêm yết đối với các trái phiếu có liên quan.
6. Trường hợp không thống nhất được với chủ sở hữu trái phiếu về việc hoán đổi trái phiếu, Kho bạc Nhà nước thông báo cho Trung tâm Lưu ký Chứng khoán Việt Nam để ngừng phong tỏa số trái phiếu bị hoán đổi đã đăng ký trên tài khoản lưu ký của chủ sở hữu trái phiếu.
7. Kết thúc đợt hoán đổi trái phiếu, Kho bạc Nhà nước chủ trì, phối hợp với Sở Giao dịch Chứng khoán Hà Nội và Trung tâm Lưu ký Chứng khoán Việt Nam công bố kết quả hoán đổi trái phiếu trên trang điện tử của Bộ Tài chính, Sở Giao dịch Chứng khoán Hà Nội và Trung tâm Lưu ký Chứng khoán Việt Nam.
Điều 9. Xác định giá và tỷ lệ hoán đổi trái phiếu
1. Căn cứ vào mức lãi suất danh nghĩa, lãi suất chiết khấu và kỳ hạn còn lại áp dụng đối với trái phiếu bị hoán đổi đã được thống nhất giữa Kho bạc Nhà nước và chủ sở hữu trái phiếu, Kho bạc Nhà nước xác định giá của một (01) trái phiếu bị hoán đổi trong từng trường hợp như sau:
a) Trường hợp ngày hoán đổi trái phiếu là ngày giao dịch hưởng quyền:

b) Trường hợp ngày hoán đổi trái phiếu là ngày giao dịch không hưởng quyền:

Trong đó:
GG1 = Giá của một (01) trái phiếu bị hoán đổi
Lc1 = Lãi suất danh nghĩa trái phiếu bị hoán đổi (%/năm)
k1 = Số lần thanh toán lãi trong 1 năm của trái phiếu bị hoán đổi
d1 = Số ngày thực tế giữa ngày trả lãi trái phiếu bị hoán đổi trước đó gần nhất và ngày hoán đổi trái phiếu
E1 = Số ngày thực tế trong kỳ trả lãi mà tổ chức phát hành thực hiện hoán đổi trái phiếu
Lt1 = Lãi suất chiết khấu áp dụng đối với trái phiếu bị hoán đổi (%/năm)
MG1 = Mệnh giá của một (01) trái phiếu bị hoán đổi
t1 = Số lần thanh toán lãi còn lại thực tế giữa ngày hoán đổi trái phiếu và ngày đáo hạn trái phiếu bị hoán đổi
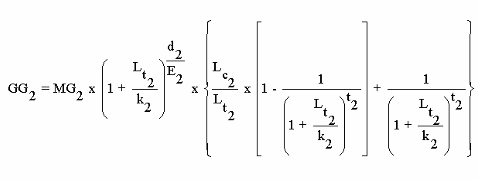
2. Căn cứ vào mức lãi suất danh nghĩa của trái phiếu được hoán đổi (trường hợp trái phiếu phát hành bổ sung), lãi suất chiết khấu và kỳ hạn còn lại áp dụng đối với trái phiếu được hoán đổi đã được thống nhất giữa Kho bạc Nhà nước và chủ sở hữu trái phiếu theo quy định tại Điều 7 Thông tư này, Kho bạc Nhà nước xác định giá của một (01) trái phiếu được hoán đổi trong từng trường hợp như sau:
a) Trường hợp ngày hoán đổi trái phiếu là ngày giao dịch hưởng quyền


Trong đó:
GG2 = Giá của một (01) trái phiếu được hoán đổi
Lc2 = Lãi suất danh nghĩa trái phiếu được hoán đổi (%/năm). Trường hợp trái phiếu được hoán đổi là trái phiếu phát hành lần đầu, lãi suất danh nghĩa được xác định bằng lãi suất chiết khấu áp dụng đối với trái phiếu được hoán đổi (Lt2)
k2 = Số lần thanh toán lãi trong 1 năm của trái phiếu được hoán đổi
d2 = Số ngày thực tế giữa ngày trả lãi trái phiếu được hoán đổi trước đó gần nhất và ngày hoán đổi trái phiếu
E2 = Số ngày thực tế trong kỳ trả lãi mà tổ chức phát hành thực hiện hoán đổi trái phiếu
Lt2 = Lãi suất chiết khấu áp dụng đối với trái phiếu được hoán đổi (%/năm)
MG2 = Mệnh giá của một (01) trái phiếu được hoán đổi
t2 = Số lần thanh toán lãi còn lại thực tế giữa ngày hoán đổi trái phiếu và ngày đáo hạn trái phiếu được hoán đổi3. Căn cứ vào giá của một trái phiếu bị hoán đổi và giá của một trái phiếu được hoán đổi, Kho bạc Nhà nước xác định tỷ lệ hoán đổi trái phiếu là
.
4. Căn cứ vào số lượng trái phiếu bị hoán đổi được hoán đổi và tỷ lệ hoán đổi trái phiếu, Kho bạc Nhà nước xác định số lượng trái phiếu được hoán đổi trả lại cho chủ sở hữu trái phiếu bị hoán đổi như sau:

Trong đó:
N2 = Số lượng trái phiếu được hoán đổi trả lại cho chủ sở hữu trái phiếu bị hoán đổi
N1 = Số lượng trái phiếu bị hoán đổi nhận từ chủ sở hữu trái phiếu bị hoán đổi
GG1 = Giá của một (01) trái phiếu bị hoán đổi
GG2 = Giá của một (01) trái phiếu được hoán đổi
5. Số lượng trái phiếu được hoán đổi xác định tại khoản 4 Điều này được làm tròn lên và là bội số của một trăm (100).
Điều 10. Quy định về đăng ký, lưu ký và niêm yết
1. Căn cứ vào kết quả hoán đổi trái phiếu do Kho bạc Nhà nước thông báo, Sở Giao dịch Chứng khoán Hà Nội và Trung tâm Lưu ký Chứng khoán Việt Nam thực hiện hủy niêm yết, đăng ký, và lưu ký đối với trái phiếu bị hoán đổi theo chế độ quy định đối với số lượng trái phiếu hoán đổi tương ứng.
2. Căn cứ vào kết quả hoán đổi trái phiếu do Kho bạc Nhà nước thông báo, Sở Giao dịch Chứng khoán Hà Nội và Trung tâm Lưu ký Chứng khoán Việt Nam thực hiện đăng ký, lưu ký và niêm yết đối với trái phiếu được hoán đổi theo chế độ quy định đối với số lượng trái phiếu hoán đổi tương ứng.
Điều 11. Báo cáo kết quả hoán đổi trái phiếu
Trong vòng 5 ngày làm việc kể từ khi kết thúc đợt hoán đổi trái phiếu Kho bạc Nhà nước báo cáo Bộ Tài chính kết quả hoán đổi trái phiếu cụ thể gồm:
1. Khối lượng đăng ký hoán đổi đối với từng mã trái phiếu bị hoán đổi trong đợt hoán đổi trái phiếu của từng chủ sở hữu trái phiếu.
2. Khối lượng trái phiếu thực hoán đổi đối với từng mã trái phiếu bị hoán đổi.
3. Lãi suất chiết khấu áp dụng đối với từng chủ sở hữu trái phiếu bị hoán đổi theo từng mã trái phiếu bị hoán đổi.
4. Mã trái phiếu được hoán đổi và khối lượng hoán đổi thực tế đối với từng mã.
5. Lãi suất chiết khấu áp dụng đối với từng chủ sở hữu trái phiếu theo từng mã trái phiếu được hoán đổi.
CHƯƠNG III. CHI PHÍ HOÁN ĐỔI TRÁI PHIẾU,
VÀ HẠCH TOÁN KẾ TOÁN TRÁI PHIẾU
Điều 12. Phí hoán đổi trái phiếu
Toàn bộ chi phí tổ chức hoán đổi trái phiếu do ngân sách trung ương đảm bảo và chi trả cho Kho bạc Nhà nước theo tỷ lệ tối đa không quá 0,01% (một phần vạn) mệnh giá trái phiếu bị hoán đổi đã được hoán đổi thành công.
Điều 13. Hạch toán kế toán
1. Kho bạc Nhà nước thực hiện hạch toán kế toán đối với trái phiếu bị hoán đổi và trái phiếu được hoán đổi theo quy định của Luật Ngân sách Nhà nước, Luật kế toán và các văn bản hướng dẫn có liên quan.
2. Đối với chủ sở hữu trái phiếu, việc hạch toán kế toán trái phiếu bị hoán đổi và trái phiếu được hoán đổi được thực hiện theo quy định của pháp luật hiện hành.
CHƯƠNG IV. TỔ CHỨC THỰC HIỆN
Điều 14. Trách nhiệm của các cơ quan liên quan
1. Kho bạc Nhà nước
a) Tổ chức thực hiện hoán đổi trái phiếu theo Phương án hoán đổi trái phiếu đã được cấp có thẩm quyền phê duyệt và quy định tại Thông tư này.
b) Kết thúc đợt hoán đổi trái phiếu, tổng kết, đánh giá về tình hình thực hiện, báo cáo Bộ Tài chính để tiếp tục hoàn thiện chính sách áp dụng đối với các đợt hoán đổi trái phiếu tiếp theo.
2. Sở Giao dịch Chứng khoán Hà Nội
a) Phối hợp với Kho bạc Nhà nước, công bố thông tin về kết quả các đợt hoán đổi trái phiếu.
b) Căn cứ vào thông báo của Kho bạc Nhà nước, phối hợp với Trung tâm Lưu ký Chứng khoán Việt Nam để thực hiện việc hủy niêm yết các trái phiếu bị hoán đổi và niêm yết hoặc niêm yết bổ sung các trái phiếu được hoán đổi đối với khối lượng hoán đổi tương ứng theo quy định hiện hành của pháp luật.
3. Trung tâm Lưu ký Chứng khoán Việt Nam
Căn cứ vào thông báo của Kho bạc Nhà nước, phối hợp với Sở Giao dịch Chứng khoán Hà Nội để thực hiện hủy đăng ký, lưu ký các trái phiếu bị hoán đổi, thực hiện đăng ký, lưu ký hoặc đăng ký, lưu ký bổ sung trái phiếu được hoán đổi đối với khối lượng hoán đổi tương ứng theo quy định hiện hành của pháp luật.
Điều 15. Hiệu lực thi hành
Thông tư này có hiệu lực thi hành 45 ngày kể từ ngày ký và áp dụng đối với việc hoán đổi trái phiếu kể từ năm 2011 theo Phương án hoán đổi trái phiếu đã được cấp có thẩm quyền phê duyệt.
Điều 16. Triển khai thực hiện
1. Chánh Văn phòng, Vụ trưởng Vụ Tài chính các Ngân hàng và Tổ chức tài chính, Tổng Giám đốc Kho bạc Nhà nước và tổ chức, cá nhân có liên quan chịu trách nhiệm thi hành Thông tư này.
2. Trong quá trình triển khai thực hiện, nếu phát sinh khó khăn, vướng mắc, Kho bạc Nhà nước, các đơn vị và tổ chức, cá nhân có liên quan báo cáo kịp thời về Bộ Tài chính để xem xét và có hướng dẫn cụ thể./.
|
Nơi nhận: - Văn phòng Quốc hội, - Văn phòng Chủ tịch nước, - Văn phòng Trung ương và các Ban của Đảng, - Các Bộ, cơ quan ngang bộ, cơ quan thuộc Chính phủ, - Viện Kiểm sát nhân dân tối cao, - Văn phòng BCĐ phòng chống tham nhũng - Toà án nhân dân tối cao, - Cơ quan Trung ương của các đoàn thể, - Cục Kiểm tra văn bản (Bộ Tư pháp), - HĐND, UBND các tỉnh, TP trược thuộc TW, - Sở Tài chính, KBNN các tỉnh, thành phố, - Công báo - Website Chính phủ, BTC - Các đơn vị thuộc và trực thuộc Bộ Tài chính, - Lưu: VT, Vụ TCNH. |
KT. BỘ TRƯỞNG THỨ TRƯỞNG
Trần Xuân Hà |
PHỤ LỤC 1.
ĐƠN ĐĂNG KÝ HOÁN ĐỔI TRÁI PHIẾU
|
(TỔ CHỨC) |
CỘNG HÒA XÃ HỘI CHỦ NGHĨA VIỆT NAM |
|
|
………, ngày ……tháng ……năm …… |
Kính gửi: Kho bạc Nhà nước
1. Tên đầy đủ của chủ sở hữu trái phiếu:
2. Tên giao dịch (nếu có):
3. Điện thoại: Fax:
4. Nơi mở tài khoản lưu ký trái phiếu:
5. Số tài khoản lưu ký trái phiếu:
6. Căn cứ vào thông báo hoán đổi trái phiếu số … ngày … của Kho bạc Nhà nước, chúng tôi đăng ký hoán đổi trái phiếu như sau:
|
Mã trái phiếu bị hoán đổi |
Khối lượng đăng ký hoán đổi |
Lãi suất chiết khấu áp dụng với mã trái phiếu bị hoán đổi |
Mã trái phiếu được hoán đổi |
Lãi suất chiết khấu áp dụng với mã trái phiếu được hoán đổi |
|
|
|
|
|
|
|
|
|
|
|
|
|
|
|
|
|
|
|
|
|
|
|
|
|
|
|
|
|
|
7. Chúng tôi cam đoan các trái phiếu bị hoán đổi đăng ký tại đây không bị cầm cố trong các quan hệ tín dụng, quan hệ dân sự, ngoại trừ các mã trái phiếu ….. với khối lượng tương ứng là …. hiện đang được cầm cố tại tài khoản của Ngân hàng Nhà nước để tham gia nghiệp vụ thị trường mở.
8. Chúng tôi chịu hoàn toàn trách nhiệm về tính chính xác của thông tin tại đơn đăng ký này.
|
|
Chủ sở hữu trái phiếu (cá nhân) |
PHỤ LỤC 2.
CÔNG BỐ THÔNG TIN
Mẫu 1. Công bố thông tin cho Trung tâm Lưu ký Chứng khoán Việt Nam và Sở Giao dịch Chứng khoán Hà Nội
|
KHO BẠC NHÀ NƯỚC |
CỘNG HÒA XÃ HỘI CHỦ NGHĨA VIỆT NAM |
|
Số .............. |
………, ngày ……tháng ……năm …… |
Kính gửi: Trung tâm Lưu ký Chứng khoán Việt Nam Sở Giao dịch Chứng khoán Hà Nội
Căn cứ vào thông báo hoán đổi trái phiếu số …. Ngày … của Kho bạc Nhà nước, Kho bạc Nhà nước thông báo kết quả đợt hoán đổi trái phiếu như sau:
|
Mã trái phiếu bị hoán đổi |
Khối lượng trái phiếu bị hoán đổi |
Mã trái phiếu được hoán đổi |
Khối lượng trái phiếu được hoán đổi |
|
|
|
|
|
|
|
|
|
|
|
|
|
|
|
|
|
|
|
|
|
|
|
|
|
Đề nghị Trung tâm Lưu ký Chứng khoán Việt Nam và Sở Giao dịch Chứng khoán Hà Nội thực hiện hủy lưu ký, niêm yết đối với các mã trái phiếu bị hoán đổi với khối lượng trái phiếu tương ứng và thực hiện lưu ký, niêm yết đối với các mã trái phiếu được hoán đổi với khối lượng trái phiếu tương ứng theo quy định tại Thông tư số …. ngày … của Bộ Tài chính hướng dẫn về việc hoán đổi trái phiếu./.
|
Nơi nhận: |
TỔNG GIÁM ĐỐC (Ký, đóng dấu, ghi rõ họ tên) |
Mẫu 2. Công bố thông tin cho chủ sở hữu trái phiếu
|
KHO BẠC NHÀ NƯỚC |
CỘNG HÒA XÃ HỘI CHỦ NGHĨA VIỆT NAM |
|
Số .............. |
………, ngày ……tháng ……năm …… |
Kính gửi: ....................................
Căn cứ vào thông báo hoán đổi trái phiếu số …. ngày … của Kho bạc Nhà nước, căn cứ vào đơn đăng ký hoán đổi trái phiếu số …. ngày …… của ………(tổ chức, cá nhân đăng ký), Kho bạc Nhà nước công bố kết quả hoán đổi trái phiếu như sau:
|
Mã trái phiếu bị hoán đổi |
Khối lượng trái phiếu bị hoán đổi |
Giá trái phiếu bị hoán đổi |
Mã trái phiếu được hoán đổi |
Khối lượng trái phiếu được hoán đổi |
Giá trái phiếu được hoán đổi |
|
|
|
|
|
|
|
|
|
|
|
|
|
|
|
|
|
|
|
|
|
|
|
|
|
|
|
|
|
|
|
|
|
|
|
Đề nghị …. Thực hiện việc hạch toán trái phiếu và các chi phí phát sinh liên quan theo quy định tại Thông tư số …. Ngày … của Bộ Tài chính hướng dẫn về việc hoán đổi trái phiếu./.
|
Nơi nhận: |
TỔNG GIÁM ĐỐC (Ký, đóng dấu, ghi rõ họ tên) |
Bạn chưa Đăng nhập thành viên.
Đây là tiện ích dành cho tài khoản thành viên. Vui lòng Đăng nhập để xem chi tiết. Nếu chưa có tài khoản, vui lòng Đăng ký tại đây!
Bạn chưa Đăng nhập thành viên.
Đây là tiện ích dành cho tài khoản thành viên. Vui lòng Đăng nhập để xem chi tiết. Nếu chưa có tài khoản, vui lòng Đăng ký tại đây!