- Tổng quan
- Nội dung
- VB gốc
- Tiếng Anh
- Hiệu lực
- VB liên quan
- Lược đồ
-
Nội dung hợp nhất
Tính năng này chỉ có tại LuatVietnam.vn. Nội dung hợp nhất tổng hợp lại tất cả các quy định còn hiệu lực của văn bản gốc và các văn bản sửa đổi, bổ sung, đính chính... trên một trang. Việc hợp nhất văn bản gốc và những văn bản, Thông tư, Nghị định hướng dẫn khác không làm thay đổi thứ tự điều khoản, nội dung.
Khách hàng chỉ cần xem Nội dung hợp nhất là có thể nắm bắt toàn bộ quy định hiện hành đang áp dụng, cho dù văn bản gốc đã qua nhiều lần chỉnh sửa, bổ sung.
- Tải về
Thông tư 129/2025/TT-BTC quy định chỉ tiêu thống kê ngành Tài chính
| Cơ quan ban hành: | Bộ Tài chính |
Số công báo:
Số công báo là mã số ấn phẩm được đăng chính thức trên ấn phẩm thông tin của Nhà nước. Mã số này do Chính phủ thống nhất quản lý.
|
Đang cập nhật |
| Số hiệu: | 129/2025/TT-BTC | Ngày đăng công báo: | Đang cập nhật |
| Loại văn bản: | Thông tư | Người ký: | Nguyễn Đức Tâm |
| Trích yếu: | Quy định Hệ thống chỉ tiêu thống kê ngành Tài chính | ||
|
Ngày ban hành:
Ngày ban hành là ngày, tháng, năm văn bản được thông qua hoặc ký ban hành.
|
24/12/2025 |
Ngày hết hiệu lực:
Ngày hết hiệu lực là ngày, tháng, năm văn bản chính thức không còn hiệu lực (áp dụng).
|
Đang cập nhật |
|
Áp dụng:
Ngày áp dụng là ngày, tháng, năm văn bản chính thức có hiệu lực (áp dụng).
|
Đã biết
|
Tình trạng hiệu lực:
Cho biết trạng thái hiệu lực của văn bản đang tra cứu: Chưa áp dụng, Còn hiệu lực, Hết hiệu lực, Hết hiệu lực 1 phần; Đã sửa đổi, Đính chính hay Không còn phù hợp,...
|
Đã biết
|
| Lĩnh vực: | Tài chính-Ngân hàng | ||
TÓM TẮT THÔNG TƯ 129/2025/TT-BTC
Quy định mới về Hệ thống chỉ tiêu thống kê ngành Tài chính
Ngày 24/12/2025, Bộ Tài chính đã ban hành Thông tư 129/2025/TT-BTC quy định Hệ thống chỉ tiêu thống kê ngành Tài chính, có hiệu lực từ ngày 01/3/2026.
Thông tư này áp dụng cho các đơn vị thuộc và trực thuộc Bộ Tài chính, Sở Tài chính các tỉnh, thành phố trực thuộc trung ương, Ban quản lý khu công nghiệp, khu kinh tế tỉnh, thành phố trực thuộc trung ương, và các cơ quan, tổ chức khác có liên quan đến hệ thống chỉ tiêu thống kê ngành Tài chính.
- Hệ thống chỉ tiêu thống kê ngành Tài chính
Hệ thống chỉ tiêu thống kê ngành Tài chính là tập hợp các chỉ tiêu thống kê phản ánh tình hình, kết quả hoạt động chủ yếu của ngành Tài chính. Nó phục vụ công tác chỉ đạo điều hành của ngành Tài chính và các cơ quan Nhà nước, đánh giá, dự báo tình hình, hoạch định chiến lược, chính sách phát triển các lĩnh vực quản lý của ngành Tài chính. Hệ thống này bao gồm Danh mục chỉ tiêu thống kê ngành Tài chính và Nội dung chỉ tiêu thống kê ngành Tài chính, được quy định chi tiết tại các Phụ lục kèm theo Thông tư.
- Trách nhiệm của các đơn vị liên quan
Cục Công nghệ thông tin và chuyển đổi số, Bộ Tài chính, chịu trách nhiệm tổng hợp thông tin thống kê, phổ biến thông tin thống kê tài chính, xây dựng hệ thống ứng dụng công nghệ thông tin để thu thập, tổng hợp, lưu trữ, khai thác thông tin. Các đơn vị thuộc và trực thuộc Bộ Tài chính, Sở Tài chính các tỉnh, thành phố, và Ban quản lý khu công nghiệp, khu kinh tế có trách nhiệm tổ chức thu thập, tổng hợp các chỉ tiêu thống kê được phân công. Họ cũng phải phát triển, ứng dụng công nghệ thông tin để đảm bảo tính kết nối, liên thông, chia sẻ, tích hợp thông tin với Hệ thống chỉ tiêu thống kê ngành Tài chính.
- Hiệu lực và thay thế
Thông tư này có hiệu lực từ ngày 01/3/2026 và thay thế Thông tư số 03/2024/TT-BTC và Thông tư số 09/2023/TT-BKHĐT. Trong quá trình thực hiện, nếu có vướng mắc, các cơ quan, đơn vị cần phản ánh kịp thời về Bộ Tài chính để xem xét sửa đổi, bổ sung.
Xem chi tiết Thông tư 129/2025/TT-BTC có hiệu lực kể từ ngày 01/03/2026
Tải Thông tư 129/2025/TT-BTC
| BỘ TÀI CHÍNH Số: 129/2025/TT-BTC | CỘNG HÒA XÃ HỘI CHỦ NGHĨA VIỆT NAM Hà Nội, ngày 24 tháng 12 năm 2025 |
THÔNG TƯ
Quy định Hệ thống chỉ tiêu thống kê ngành Tài chính
_________________
Căn cứ Luật Thống kê số 89/2015/QH13; Luật sửa đổi, bổ sung một số điều và Phụ lục Danh mục chỉ tiêu thống kê quốc gia của Luật Thống kê số 01/2021/QH15;
Căn cứ Nghị định số 94/2016/NĐ-CP ngày 01 tháng 7 năm 2016 của Chính phủ quy định chi tiết và hướng dẫn thi hành một số điều của Luật Thống kê;
Căn cứ Nghị định số 85/2017/NĐ-CP ngày 19 tháng 7 năm 2017 của Chính phủ quy định cơ cấu, nhiệm vụ, quyền hạn của hệ thống tổ chức thống kê tập trung và thống kê bộ, cơ quan ngang bộ;
Căn cứ Nghị định số 94/2022/NĐ-CP ngày 07 tháng 11 năm 2022 của Chính phủ quy định nội dung chỉ tiêu thống kê thuộc hệ thống chỉ tiêu thống kê quốc gia và quy trình biên soạn chỉ tiêu tổng sản phẩm trong nước, chỉ tiêu tổng sản phẩm trên địa bàn tỉnh, thành phố trực thuộc trung ương;
Căn cứ Nghị định số 62/2024/NĐ-CP ngày 07 tháng 6 năm 2024 của Chính phủ sửa đổi, bổ sung một số điều, phụ lục của Nghị định số 94/2016/NĐ-CP của Chính phủ quy định chi tiết và hướng dẫn thi hành một số điều của Luật Thống kê và Nghị định số 94/2022/NĐ-CP ngày 07 tháng 11 năm 2022 của Chính phủ quy định nội dung chỉ tiêu thống kê thuộc hệ thống chỉ tiêu thống kê quốc gia và quy trình biên soạn chỉ tiêu tổng sản phẩm trong nước, chỉ tiêu tổng sản phẩm trên địa bàn tỉnh, thành phố trực thuộc trung ương;
Căn cứ Nghị định số 29/2025/NĐ-CP ngày 24 tháng 02 năm 2025 của Chính phủ quy định chức năng, nhiệm vụ, quyền hạn và cơ cấu tổ chức của Bộ Tài chính;
Căn cứ Nghị định số 166/2025/NĐ-CP ngày 30 tháng 6 năm 2025 của Chính phủ sửa đổi, bổ sung một số điều của Nghị định số 29/2025/NĐ-CP của Chính phủ quy định chức năng, nhiệm vụ, quyền hạn và cơ cấu tổ chức của Bộ Tài chính;
Theo đề nghị của Cục trưởng Cục Công nghệ thông tin và chuyển đổi số;
Bộ trưởng Bộ Tài chính ban hành Thông tư quy định Hệ thống chỉ tiêu thống kê ngành Tài chính.
Điều 1. Phạm vi điều chỉnh
Thông tư này quy định Hệ thống chỉ tiêu thống kê ngành Tài chính.
Điều 2. Đối tượng áp dụng
Thông tư này áp dụng đối với các đối tượng sau:
1. Các đơn vị thuộc, trực thuộc Bộ Tài chính.
2. Sở Tài chính các tỉnh, thành phố trực thuộc trung ương.
3. Ban quản lý khu công nghiệp, khu kinh tế tỉnh, thành phố trực thuộc trung ương.
4. Các cơ quan, tổ chức khác có liên quan đến hệ thống chỉ tiêu thống kê ngành Tài chính.
Điều 3. Hệ thống chỉ tiêu thống kê ngành Tài chính
1. Hệ thống chỉ tiêu thống kê ngành Tài chính là tập hợp các chỉ tiêu thống kê phản ánh tình hình, kết quả hoạt động chủ yếu của ngành Tài chính và các đặc điểm cơ bản của đối tượng quản lý của ngành Tài chính nhằm phục vụ công tác chỉ đạo điều hành của ngành Tài chính và các cơ quan Nhà nước; công tác đánh giá, dự báo tình hình, hoạch định chiến lược, chính sách phát triển các lĩnh vực quản lý của ngành Tài chính; đáp ứng nhu cầu trao đổi, chia sẻ thông tin thống kê tài chính theo quy định của Luật Thống kê và các văn bản hướng dẫn Luật Thống kê.
2. Hệ thống chỉ tiêu thống kê ngành Tài chính bao gồm:
a) Danh mục chỉ tiêu thống kê ngành Tài chính quy định tại Phụ lục I ban hành kèm theo Thông tư này;
b) Nội dung chỉ tiêu thống kê ngành Tài chính quy định tại Phụ lục II ban hành kèm theo Thông tư này.
Điều 4. Tổ chức thực hiện
1. Trách nhiệm của Cục Công nghệ thông tin và chuyển đổi số, Bộ Tài chính:
a) Chủ trì tổng hợp thông tin thống kê được quy định trong Hệ thống chỉ tiêu thống kê ngành Tài chính;
b) Thực hiện phổ biến thông tin thống kê tài chính theo đúng quy định;
c) Chủ trì xây dựng hệ thống ứng dụng công nghệ thông tin để thu thập, tổng hợp, lưu trữ, khai thác thông tin theo hệ thống chỉ tiêu thống kê ngành Tài chính;
d) Chủ trì, phối hợp với các đơn vị liên quan báo cáo Bộ trưởng Bộ Tài chính sửa đổi, bổ sung Hệ thống chỉ tiêu thống kê ngành Tài chính phù hợp với tình hình thực tế, quy định của pháp luật và thông lệ quốc tế;
đ) Chịu trách nhiệm hướng dẫn, kiểm tra tình hình và báo cáo kết quả thực hiện hệ thống chỉ tiêu thống kê ngành Tài chính.
2. Các đơn vị liên quan theo phạm vi nhiệm vụ, quyền hạn có trách nhiệm:
a) Các đơn vị thuộc và trực thuộc Bộ Tài chính tổ chức triển khai thu thập, tổng hợp các chỉ tiêu thống kê được phân công trong Hệ thống chỉ tiêu thống kê ngành Tài chính theo quy định;
b) Sở Tài chính các tỉnh, thành phố trực thuộc Trung ương tổ chức thu thập, tổng hợp và tham mưu cho ủy ban nhân dân tỉnh, thành phố trực thuộc Trung ương chỉ đạo các Sở, Ban, ngành địa phương cung cấp thông tin để thu thập, tổng hợp các chỉ tiêu thống kê được phân công trong Hệ thống chỉ tiêu thống kê ngành Tài chính theo quy định;
c) Ban quản lý khu công nghiệp, khu kinh tế tỉnh, thành phố trực thuộc trung ương tổ chức thu thập, tổng hợp các chỉ tiêu thống kê được phân công trong Hệ thống chỉ tiêu thống kê ngành Tài chính theo quy định;
d) Tổ chức thực hiện phát triển, ứng dụng công nghệ thông tin để thu thập, tổng hợp, lưu trữ, khai thác thông tin đối với hệ thống chỉ tiêu thống kê thuộc phạm vi quản lý của đơn vị; đảm bảo tính kết nối, liên thông, chia sẻ, tích hợp thông tin, dữ liệu với Hệ thống chỉ tiêu thống kê ngành Tài chính, các hệ thống thông tin tác nghiệp và cơ sở dữ liệu chuyên ngành của đơn vị.
Điều 5. Hiệu lực thi hành
1. Thông tư này có hiệu lực thi hành từ ngày 01 tháng 3 năm 2026.
2. Thông tư này thay thế Thông tư số 03/2024/TT-BTC ngày 18 tháng 01 năm 2024 của Bộ trưởng Bộ Tài chính quy định hệ thống chỉ tiêu thống kê ngành Tài chính; Thông tư số 09/2023/TT-BKHĐT ngày 09 tháng 10 năm 2023 của Bộ trưởng Bộ Kế hoạch và đầu tư quy định hệ thống chỉ tiêu thống kê ngành Kế hoạch và đầu tư.
3. Trong quá trình thực hiện, nếu có phát sinh vướng mắc, đề nghị cơ quan, đơn vị phản ánh kịp thời về Bộ Tài chính để nghiên cứu, xem xét sửa đổi, bổ sung cho phù hợp./.
| Nơi nhận: - Ban Bí thư Trung ương Đảng; - Thủ tướng, các Phó Thủ tướng Chính phủ; - Văn phòng Tổng Bí thư; - Văn phòng Trung ương và các Ban của Đảng; - Văn phòng Quốc hội; - Văn phòng Chủ tịch nước; - Viện Kiểm sát nhân dân tối cao; - Tòa án nhân dân tối cao; - Kiểm toán Nhà nước; - Các Bộ, cơ quan ngang Bộ, cơ quan thuộc Chính phủ; - Ủy ban Trung ương Mặt trận Tổ quốc Việt Nam; - Liên đoàn Thương mại và Công nghiệp Việt Nam; - HĐND, UBND các tỉnh, thành phố trực thuộc trung ương; - Cơ quan Trung ương các Hội, Đoàn thể; - Sở Tài chính các tỉnh, thành phố trực thuộc Trung ương; - Ban quản lý KCN, KKT các tỉnh, thành phố trực thuộc TW; - Cục Kiểm tra văn bản và Quản lý xử lý vi phạm hành chính, Bộ Tư pháp; - Công báo; - Cơ sở dữ liệu quốc gia về pháp luật; - Cổng Thông tin điện tử Chính phủ; - Cổng Thông tin điện tử Bộ Tài chính; - Các đơn vị thuộc và trực thuộc Bộ Tài chính; - Lưu: VT, CNTT (61 bản). | KT. BỘ TRƯỞNG THỨ TRƯỞNG Nguyễn Đức Tâm |
Phụ lục I
DANH MỤC CHỈ TIÊU THỐNG KÊ NGÀNH TÀI CHÍNH
(Kèm theo Thông tư số 129/2025/TT-BTC ngày 24 tháng 12 năm 2025 của Bộ
trưởng Bộ Tài chính)
| STT | Mã số | Mã số* CTTKQG | Nhóm, tên chỉ tiêu |
|
|
|
| 01. Ngân sách nhà nước (NSNN) |
| 1 | 0101 | 0601 | Thu ngân sách nhà nước và cơ cấu thu |
| 2 | 0102 | 0604 | Chi ngân sách nhà nước và cơ cấu chi |
| 3 | 0103 | 0606 | Bội chi ngân sách nhà nước |
| 4 | 0104 |
| Trả nợ gốc của ngân sách trung ương |
| 5 | 0105 |
| Tổng mức vay của NSNN |
| 6 | 0106 |
| Chi ngân sách trung ương |
| 7 | 0107 |
| Thu ngân sách nhà nước trên địa bàn tỉnh, thành phố trực thuộc trung ương và cơ cấu thu |
| 8 | 0108 |
| Chi ngân sách tỉnh, thành phố trực thuộc trung ương và cơ cấu chi |
| 9 | 0109 |
| Bội chi/Kết dư ngân sách địa phương cấp tỉnh |
| 10 | 0110 |
| Tổng mức vay của ngân sách địa phương |
| 11 | 0111 |
| Chi chương trình mục tiêu quốc gia |
| 12 | 0112 | 0602 | Tỷ lệ thu NSNN so với tổng sản phẩm trong nước |
| 13 | 0113 | 0605 | Tỷ lệ chi NSNN so với tổng sản phẩm trong nước |
| 14 | 0114 | 0607 | Tỷ lệ bội chi ngân sách nhà nước so với tổng sản phẩm trong nước |
| 15 | 0115 | 0603 | Tỷ lệ thu từ thuế, phí so với tổng sản phẩm trong nước |
|
|
|
| 05. Chứng khoán |
| 32 | 0501 |
| Chỉ số chứng khoán |
| 33 | 0502 | 0718 | Giá trị vốn hóa thị trường cổ phiếu |
| 34 | 0503 |
| Khối lượng và giá trị chứng khoán giao dịch |
| 35 | 0504 |
| Khối lượng và giá trị chứng khoán niêm yết và đăng ký giao dịch |
| 36 | 0505 |
| Số loại chứng khoán niêm yết và đăng ký giao dịch |
| 37 | 0506 |
| Chứng khoán niêm yết/đăng ký giao dịch mới và hủy niêm yết/đăng ký giao dịch |
| 38 | 0507 |
| Số lượng công ty chứng khoán có giấy phép hoạt động |
| 39 | 0508 |
| Hoạt động đấu thầu trái phiếu |
| 40 | 0509 |
| Hoạt động đấu giá cổ phần |
| 41 | 0510 |
| Số tài khoản của nhà đầu tư trên thị trường chứng khoán |
| 42 | 0511 |
| Tình hình mở/đóng tài khoản của nhà đầu tư |
| 43 | 0512 |
| Hoạt động lưu ký chứng khoán |
| 44 | 0513 |
| Giao dịch trái phiếu Chính phủ |
| 45 | 0514 |
| Công ty quản lý quỹ và quỹ đầu tư chứng khoán |
| 46 | 0515 | 0721 | Giá trị huy động vốn qua phát hành cổ phiếu trên thị trường chứng khoán |
| 47 | 0516 |
| Khối lượng và giá trị chứng khoán phái sinh giao dịch |
| 48 | 0517 | 0719 | Tỷ lệ vốn hóa thị trường cổ phiếu so với tổng sản phẩm trong nước |
| 49 | 0518 | 0720 | Tốc độ tăng giá trị vốn hóa thị trường cổ phiếu |
|
|
|
| 06. Quản lý trái phiếu |
| 50 | 0601 |
| Kế hoạch phát hành trái phiếu |
| 51 | 0602 |
| Kết quả phát hành trái phiếu |
| 52 | 0603 |
| Thanh toán trái phiếu |
| 53 | 0604 |
| Mua lại, hoán đổi trái phiếu chính quyền địa phương |
| 54 | 0605 | 0722 | Quy mô thị trường trái phiếu so với tổng sản phẩm trong nước |
| 55 | 0606 | 0723 | Tốc độ tăng quy mô thị trường trái phiếu |
| 56 | 0607 | 0724 | Tổng giá trị phát hành trái phiếu |
|
|
|
| 07. Kinh doanh Bảo hiểm |
| 57 | 0701 | 0712 | Doanh thu phí bảo hiểm |
| 58 | 0702 | 0712 | Chi bồi thường và trả tiền bảo hiểm |
| 59 | 0703 |
| Tổng tài sản |
| 60 | 0704 |
| Vốn chủ sở hữu |
| 61 | 0705 |
| Trích lập dự phòng nghiệp vụ |
| 62 | 0706 |
| Hoạt động đầu tư |
| 63 | 0707 |
| Đầu tư trở lại nền kinh tế |
|
|
|
| 08. Xuất khẩu, nhập khẩu hàng hóa |
| 64 | 0801 | 1006; 1007; 1008 | Xuất khẩu, nhập khẩu và cán cân thương mại |
| 65 | 0802 |
| Xuất khẩu, nhập khẩu hàng hóa chịu thuế |
| 66 | 0803 |
| Mức độ tự do hóa đối với thuế nhập khẩu theo các Hiệp định thương mại |
| 67 | 0804 |
| Thuế nhập khẩu, thuế xuất khẩu |
|
|
|
| 09. Quản lý giá |
| 68 | 0901 |
| Giá hàng hóa, dịch vụ do Nhà nước định giá |
| 69 | 0902 |
| Giá thị trường hàng hóa, dịch vụ thuộc danh mục báo cáo giá thị trường |
| 70 | 0903 |
| Số lượng doanh nghiệp thẩm định giá được cấp giấy chứng nhận đủ điều kiện kinh doanh dịch vụ thẩm định giá |
| 71 | 0904 |
| Tổ chức kinh doanh hàng hóa, dịch vụ thực hiện kê khai giá |
|
|
|
| 10. Tài sản công |
| 72 | 1001 |
| Tài sản công |
|
|
|
| 11. Thuế nội địa |
| 73 | 1101 |
| Số lượng người nộp thuế cơ quan thuế đã cấp mã số thuế |
| 74 | 1102 |
| Số lượng người nộp thuế đang hoạt động |
| 75 | 1103 |
| Số lượng người nộp thuế tạm ngừng hoạt động, kinh doanh |
| 76 | 1104 |
| Số lượng người nộp thuế ngừng hoạt động nhưng chưa hoàn thành thủ tục chấm dứt hiệu lực mã số thuế |
| 77 | 1105 |
| Số lượng người nộp thuế không hoạt động tại địa chỉ đã đăng ký: |
| 78 | 1106 |
| Số lượng người nộp thuế ngừng hoạt động và đã hoàn thành thủ tục chấm dứt hiệu lực mã số thuế |
|
|
|
| 12. Đơn vị có quan hệ với ngân sách |
| 79 | 1201 |
| Số lượng mã số đơn vị dự toán, đơn vị sử dụng ngân sách nhà nước |
| 80 | 1202 |
| Số lượng mã số dự án đầu tư |
|
|
|
| 13. Đơn vị sự nghiệp công |
| 81 | 1301 |
| Kết quả thực hiện cơ chế tự chủ tài chính của đơn vị sự nghiệp công lập |
| 82 | 1302 |
| Danh sách và số lượng đơn vị sự nghiệp công |
|
|
|
| 14. Quản lý và đầu tư vốn nhà nước tại doanh nghiệp |
| 83 | 1401 |
| Tình hình tài chính, kết quả sản xuất kinh doanh của doanh nghiệp nhà nước/có vốn nhà nước |
| 84 | 1402 |
| Cơ cấu lại vốn nhà nước tại doanh nghiệp |
|
|
|
| 15. Quỹ tài chính nhà nước ngoài ngân sách |
| 85 | 1501 |
| Tình hình thực hiện Kế hoạch tài chính của các quỹ tài chính nhà nước ngoài ngân sách do Trung ương quản lý. |
|
|
|
| 16. Xổ số, đặt cược, casino, trò chơi điện tử có thưởng |
| 86 | 1601 |
| Tình hình hoạt động kinh doanh xổ số |
| 87 | 1602 |
| Tình hình hoạt động kinh doanh đặt cược |
| 88 | 1603 |
| Tình hình hoạt động kinh doanh casino |
| 89 | 1604 |
| Tình hình hoạt động kinh doanh trò chơi điện tử có thưởng |
|
|
|
| 17. Đầu tư công |
| 90 | 1701 |
| Phân bổ và giải ngân kế hoạch vốn đầu tư công nguồn ngân sách nhà nước |
| 91 | 1702 |
| Quyết toán các nguồn vốn đầu tư thuộc ngân sách nhà nước |
| 92 | 1703 |
| Số dự án và vốn đầu tư công thuộc nguồn vốn ngân sách nhà nước |
| 93 | 1704 |
| Số dự án thất thoát, lãng phí được phát hiện |
| 94 | 1705 |
| Tổng số nợ đọng xây dựng cơ bản thuộc ngân sách nhà nước |
| 95 | 1706 |
| Số dự án chậm tiến độ |
| 96 | 1707 |
| Số dự án được đánh giá ban đầu theo quy định |
| 97 | 1708 |
| Số dự án được đánh giá giữa kỳ hoặc giai đoạn theo quy định |
| 98 | 1709 |
| Số dự án được đánh giá kết thúc theo quy định |
| 99 | 1710 |
| Số dự án được đánh giá tác động theo quy định |
| 100 | 1711 |
| Số dự án đã đưa vào sử dụng nhưng có vấn đề kỹ thuật, không có hiệu quả |
|
|
|
| 18. Đầu tư trực tiếp của nước ngoài vào Việt Nam và đầu tư trực tiếp của Việt Nam ra nước ngoài |
| 101 | 1801 |
| Số dự án đầu tư mới, số lượt dự án điều chỉnh vốn, số giao dịch góp vốn, mua cổ phần, mua phần vốn góp và vốn đầu tư đăng ký |
| 102 | 1802 |
| Số doanh nghiệp có vốn đầu tư nước ngoài |
| 103 | 1803 |
| Lao động, doanh thu, lợi nhuận và các khoản phải nộp ngân sách nhà nước của các dự án đầu tư nước ngoài |
| 104 | 1804 |
| Số dự án đầu tư mới, số lượt dự án điều chỉnh vốn và vốn đầu tư trực tiếp của Việt Nam ra nước ngoài |
| 105 | 1805 |
| Vốn chuyển ra nước ngoài của các dự án đầu tư trực tiếp ra nước ngoài |
| 106 | 1806 |
| Lao động, tiền chuyển về nước (gồm lợi nhuận và các khoản thu khác), thực hiện nghĩa vụ tài chính với nhà nước Việt Nam |
| 107 | 1807 |
| Số doanh nghiệp nhà nước, doanh nghiệp có vốn nước ngoài đầu tư ra nước ngoài đã được cấp Giấy chứng nhận đăng ký đầu tư ra nước ngoài |
|
|
|
| 19. Quản lý vốn hỗ trợ phát triển chính thức (ODA), vốn vay ưu đãi; khoản viện trợ không thuộc hỗ trợ phát triển chính thức của cơ quan, tổ chức, cá nhân nước ngoài dành cho Việt Nam |
| 108 | 1901 |
| Vốn hỗ trợ phát triển chính thức và vốn vay ưu đãi của các nhà tài trợ nước ngoài |
| 109 | 1902 |
| Khoản viện trợ không thuộc hỗ trợ phát triển chính thức của cơ quan, tổ chức, cá nhân nước ngoài dành cho Việt Nam |
|
|
|
| 20. Quản lý đấu thầu |
| 110 | 2001 |
| Tổng số gói thầu |
| 111 | 2002 |
| Tổng giá gói thầu |
| 112 | 2003 |
| Tổng giá trúng thầu |
| 113 | 2004 |
| Tỷ lệ tiết kiệm trong đấu thầu |
| 114 | 2005 |
| Tổng số dự án đầu tư có sử dụng đất |
| 115 | 2006 |
| Tổng vốn đầu tư các dự án đầu tư có sử dụng đất |
| 116 | 2007 |
| Tổng diện tích đất sử dụng |
| 117 | 2008 |
| Tổng giá trị nộp ngân sách nhà nước dự án đầu tư có sử dụng đất |
| 118 | 2009 |
| Tổng số dự án đầu tư kinh doanh thuộc trường hợp phải tổ chức lựa chọn nhà đầu tư theo quy định của pháp luật quản lý ngành, lĩnh vực |
| 119 | 2010 |
| Tổng vốn đầu tư các dự án đầu tư kinh doanh thuộc trường hợp phải tổ chức đấu thầu theo quy định của pháp luật quản lý ngành, lĩnh vực |
| 120 | 2011 |
| Tổng giá trị nộp ngân sách nhà nước dự án đầu tư kinh doanh thuộc trường hợp phải tổ chức đấu thầu theo quy định của pháp luật quản lý ngành, lĩnh vực |
|
|
|
| 21. Quản lý các khu kinh tế, khu công nghiệp |
| 121 | 2101 |
| Số lượng khu kinh tế đã được thành lập |
| 122 | 2102 |
| Diện tích của các khu kinh tế |
| 123 | 2103 |
| Số lượng khu công nghiệp đã thành lập |
| 124 | 2104 |
| Diện tích của các khu công nghiệp |
| 125 | 2105 |
| Vốn đầu tư đăng ký, vốn đầu tư thực hiện dự án đầu tư xây dựng kết cấu hạ tầng khu công nghiệp |
| 126 | 2106 |
| Tình trạng hoạt động của nhà máy xử lý nước thải của khu công nghiệp |
| 127 | 2107 |
| Tỷ lệ khu công nghiệp đang hoạt động có hệ thống xử lý nước thải tập trung đạt tiêu chuẩn môi trường |
| 128 | 2108 |
| Tỷ lệ lấp đầy của các khu công nghiệp |
| 129 | 2109 |
| Số lao động trực tiếp làm việc tại các khu công nghiệp |
|
|
|
| 22. Phát triển doanh nghiệp, đăng ký kinh doanh |
| 130 | 2201 |
| Số doanh nghiệp đăng ký thành lập mới |
| 131 | 2202 |
| Số doanh nghiệp giải thể |
| 132 | 2203 |
| Số doanh nghiệp tạm ngừng kinh doanh |
| 133 | 2204 |
| Tổng vốn đăng ký của doanh nghiệp thành lập mới |
| 134 | 2205 |
| Tổng số lao động đăng ký của doanh nghiệp thành lập mới |
| 135 | 2206 |
| Tỷ trọng doanh nghiệp nhỏ và vừa trong tổng số doanh nghiệp |
| 136 | 2207 |
| Tỷ trọng doanh nghiệp nhỏ và vừa tham gia xuất khẩu, nhập khẩu trong tổng số doanh nghiệp tham gia xuất khẩu, nhập khẩu |
| 137 | 2208 |
| Tỷ trọng giá trị gia tăng của doanh nghiệp nhỏ và vừa trong tổng sản phẩm trong nước |
| 138 | 2209 |
| Tổng kinh phí ngân sách nhà nước hỗ trợ doanh nghiệp nhỏ và vừa |
| 139 | 2210 |
| Tỷ lệ lao động đã qua đào tạo của doanh nghiệp nhỏ và vừa |
| 140 | 2211 |
| Số lượt doanh nghiệp nhỏ và vừa được hỗ trợ |
| 141 | 2212 |
| Số lượng doanh nghiệp nhỏ và vừa sử dụng nhiều lao động nữ |
|
|
|
| 23. Kinh tế tập thể, hợp tác xã |
| 142 | 2301 |
| Số hợp tác xã |
| 143 | 2302 |
| Số thành viên hợp tác xã, liên hiệp hợp tác xã, tổ hợp tác |
| 144 | 2303 |
| Số lao động thường xuyên của hợp tác xã |
| 145 | 2304 |
| Doanh thu bình quân của hợp tác xã |
| 146 | 2305 |
| Số cán bộ quản lý hợp tác xã |
| 147 | 2306 |
| Số tổ hợp tác, liên hiệp hợp tác xã |
| 148 | 2307 |
| Số hợp tác xã, liên hiệp hợp tác xã thành lập mới |
| 149 | 2308 |
| Số hợp tác xã, liên hiệp hợp tác xã giải thể, tạm ngừng hoạt động |
|
|
|
| 24. Bảo hiểm |
|
|
|
| 24.1 Nhóm chỉ tiêu thống kê công tác thu BHXH (Bảo hiểm xã hội), BHTN (Bảo hiểm thất nghiệp), BHYT (Bảo hiểm y tế), BHTNLĐ BNN (Bảo hiểm tai nạn lao động - bệnh nghề nghiệp) |
| 150 | 2401 |
| Số người tham gia BHXH |
| 151 | 2402 |
| Số người tham gia BHYT |
| 152 | 2403 |
| Số người tham gia BHTN |
| 153 | 2404 |
| Số người được tham gia BHTNLĐ-BNN |
| 154 | 2405 |
| Số đơn vị đóng BHXH, BHYT, BHTN, BHTNLĐ- BNN |
| 155 | 2406 |
| Tổng quỹ tiền lương làm căn cứ đóng BHXH bắt buộc, BHNT, BHYT, BHTNLĐ-BNN |
| 156 | 2407 |
| Tiền lương (thu nhập) làm căn cứ tính đóng BHXH, BHTN, BHYT, BHTNLĐ-BNN của người lao động |
| 157 | 2408 |
| Số tiền thu BHXH |
| 158 | 2409 |
| Số tiền thu BHYT |
| 159 | 2410 |
| Số tiền thu BHTN |
| 160 | 2411 |
| Số tiền thu BHTNLĐ-BNN |
| 161 | 2412 |
| Số tiền thu xử lý hành vi chậm đóng, trốn đóng BHXH, BHTN, BHYT, BHTNLĐ-BNN |
| 162 | 2413 |
| Số đơn vị chậm đóng, trốn đóng BHXH, BHTN, BHYT, BHTNLĐ-BNN |
| 163 | 2414 |
| Số tiền chậm đóng, trốn đóng BHXH, BHTN, BHYT, BHTNLĐ-BNN của các đơn vị đóng BHXH, BHTN, BHYT, BHTNLĐ-BNN |
| 164 | 2415 | 0713 | Tỷ lệ người lao động tham gia BHXH so với lực lượng lao động trong độ tuổi lao động |
| 165 | 2416 | 0715 | Tỷ lệ người lao động tham gia BHTN so với lực lượng lao động trong độ tuổi lao động |
| 166 | 2417 |
| Tỷ lệ người lao động tham gia BHTNLĐ-BNN so với lực lượng lao động trong độ tuổi lao động |
| 167 | 2418 | 0714 | Tỷ lệ người dân tham gia BHYT so với dân số |
| 168 | 2419 |
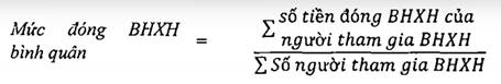
| Mức đóng BHXH bình quân |
| 169 | 2420 |
| Mức đóng BHYT bình quân |
| 170 | 2421 |
| Mức đóng BHTN bình quân |
| 171 | 2422 |
| Số người bảo lưu thời gian đóng BHTN chưa hưởng trợ cấp thất nghiệp |
| 172 | 2423 |
| Tỷ lệ lao động được hưởng BHTN so với tổng số lao động tham gia BHTN |
| 173 | 2424 |
| Thu lãi đầu tư tài chính trong năm |
|
|
|
| 24.2. Nhóm chỉ tiêu thống kê công tác cấp sổ BHXH - thẻ BHYT |
| 174 | 2425 |
| Số lượng sổ BHXH đã cấp |
| 175 | 2426 |
| Số lượng thẻ BHYT cấp cho các đối tượng |
|
|
|
| 24.3. Nhóm chỉ tiêu thống kê công tác chi trả các chế độ BHXH, BHTN, BHTNLĐ-BNN |
| 176 | 2427 | 0716 | Số người được hưởng BHXH |
| 177 | 2428 | 0716 | Số người được hưởng BHTN |
| 178 | 2429 | 0716 | Số người được hưởng BHTNLĐ-BNN |
| 179 | 2430 |
| Số tiền chi các chế độ BHXH |
| 180 | 2431 |
| Số tiền chi các chế độ BHTN |
| 181 | 2432 |
| Số tiền chi các chế độ BHTNLĐ-BNN |
| 182 | 2433 |
| Tỷ lệ sử dụng Quỹ hưu trí, tử tuất |
| 183 | 2434 |
| Tỷ lệ sử dụng Quỹ ốm đau, thai sản |
| 184 | 2435 |
| Tỷ lệ sử dụng Quỹ TNLĐ-BNN |
| 185 | 2436 |
| Tỷ lệ sử dụng Quỹ BHTN |
|
|
|
| 24.4. Nhóm chỉ tiêu thống kê công tác thực hiện chính sách BHXH |
| 186 | 2437 |
| Số người được giải quyết hưởng mới các chế độ BHXH |
| 187 | 2438 |
| Số người tạm dừng hưởng các chế độ BHXH hàng tháng |
| 188 | 2439 |
| Số người di chuyển hưởng BHXH hàng tháng |
| 189 | 2440 |
| Thời gian đóng BHXH bình quân của người được giải quyết hưởng các chế độ BHXH |
| 190 | 2441 |
| Mức đóng BHXH bình quân của người được giải quyết hưởng các chế độ BHXH |
| 191 | 2442 |
| Thời gian hưởng BHXH bình quân của người được giải quyết hưởng các chế độ BHXH hàng tháng |
| 192 | 2443 |
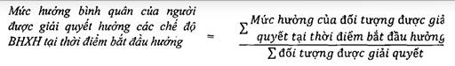
| Mức hưởng BHXH bình quân của người được giải quyết hưởng các chế độ BHXH tại thời điểm bắt đầu hưởng |
| 193 | 2444 |
| Tỷ lệ (%) hưởng lương hưu bình quân của người được giải quyết hưởng |
| 194 | 2445 |
| Tiền lương bình quân làm căn cứ tính hưởng các chế độ BHXH của người được giải quyết hưởng |
| 195 | 2446 |
| Tuổi nghỉ hưởng BHXH bình quân |
| 196 | 2447 |
| Tuổi thọ bình quân của người hưởng các chế độ BHXH hàng tháng |
| 197 | 2448 |
| Tỷ lệ suy giảm khả năng lao động bình quân |
| 198 | 2449 |
| Số người được giải quyết hưởng mới các chế độ BHTN |
| 199 | 2450 |
| Thời gian đóng BHTN bình quân của người được giải quyết hưởng các chế độ BHTN |
| 200 | 2451 |
| Thời gian hưởng BHTN bình quân của người được giải quyết hưởng các chế độ BHTN |
| 201 | 2452 |
| Mức hưởng bình quân của người được giải quyết hưởng các chế độ BHTN |
| 202 | 2453 |
| Số doanh nghiệp được hỗ trợ đào tạo, bồi dưỡng, nâng cao trình độ kỹ năng nghề để duy trì việc làm cho người lao động |
| 203 | 2454 |
| Số người đang hưởng bảo hiểm thất nghiệp quay lại thị trường lao động tham gia BHXH bắt buộc |
| 204 | 2455 |
| Số người dừng hưởng trợ cấp thất nghiệp |
| 205 | 2456 |
| Số người di chuyển hưởng trợ cấp thất nghiệp |
| 206 | 2457 |
| Mức tiền lương bình quân để tính hưởng trợ cấp thất nghiệp bình quân |
| 207 | 2458 |
| Tuổi bình quân của người được giải quyết hưởng trợ cấp thất nghiệp |
| 208 | 2459 |
| Số người có quyết định hưởng mới các chế độ BHTN được chi trả |
|
|
|
| 24.5. Nhóm chỉ tiêu thống kê công thực hiện chính sách BHYT |
| 209 | 2460 |
| Quỹ BHYT dành cho khám chữa bệnh (KCB) |
| 210 | 2461 |
| Chi KCB BHYT của tỉnh |
| 211 | 2462 |
| Cân đối quỹ BHYT dành cho KCB trong năm |
| 212 | 2463 |
| Số lượt người KCB BHYT |
| 213 | 2464 |
| Số tiền chi các chế độ KCB BHYT |
| 214 | 2465 |
| Chi phí bình quân cho một lượt KCB BHYT |
| 215 | 2466 |
| Tần suất KCB BHYT bình quân |
| 216 | 2467 |
| Chi phí KCB bình quân/1 thẻ BHYT |
|
|
|
| 24.6. Nhóm chỉ tiêu thống kê công tác tổ chức cán bộ |
| 217 | 2468 |
| Tổng số lao động thuộc Hệ thống BHXH Việt Nam |
| 218 | 2469 |
| Tổng số công chức, viên chức quản lý thuộc Hệ thống BHXH Việt Nam |
| 219 | 2470 |
| Chi tổ chức và hoạt động BHXH, BHTN, BHYT |
Ghi chú:
1. (*) Mã số CTTKQG là Mã số Chỉ tiêu thống kê quốc gia phân công cho Bộ Tài chính chủ trì thực hiện.
2. Các chỉ tiêu:
- (Mã số 0301) Vay và trả nợ công; (Mã số 0302) Vay và trả nợ của Chính phủ; (Mã số 0306) Vay và trả nợ nước ngoài của quốc gia thực hiện theo quy định tại Thông tư này đồng thời để thu thập, tổng hợp, biên soạn các mã chỉ tiêu thống kê quốc gia tương ứng là 0610; 0608; 0609.
- (Mã số 0801) Xuất khẩu, nhập khẩu và cán cân thương mại thực hiện theo quy định tại Thông tư này đồng thời để thu thập, tổng hợp, biên soạn các mã chỉ tiêu thống kê quốc gia tương ứng là 1006; 1007; 1008.
- (Mã số 0701) Doanh thu phí bảo hiểm; (Mã số 0702) Chi bồi thường và trả tiền bảo hiểm thực hiện theo quy định tại Thông tư này đồng thời để thu thập, tổng hợp, biên soạn mã chỉ tiêu thống kê quốc gia là 0712.
Phụ lục II
NỘI DUNG CHỈ TIÊU THỐNG KÊ NGÀNH TÀI CHÍNH
(Kèm theo Thông tư số 129/2025/TT-BTC ngày 24 tháng 12 năm 2025 của Bộ trưởng
Bộ Tài chính)
01. NHÓM CHỈ TIÊU THỐNG KÊ VỀ NGÂN SÁCH NHÀ NƯỚC
Khái niệm, phương pháp tính chung:
- Ngân sách nhà nước (NSNN) là toàn bộ các khoản thu, chi của Nhà nước được dự toán và thực hiện trong một khoảng thời gian nhất định do cơ quan nhà nước có thẩm quyền quyết định để bảo đảm thực hiện các chức năng, nhiệm vụ của Nhà nước theo quy định của Luật Ngân sách nhà nước.
- Ngân sách trung ương (NSTW) là các khoản thu ngân sách nhà nước phân cấp cho cấp trung ương hưởng và các khoản chi ngân sách nhà nước thuộc nhiệm vụ chi của cấp trung ương theo quy định của Luật Ngân sách nhà nước.
- Ngân sách địa phương (NSĐP) là các khoản thu ngân sách nhà nước phân cấp cho cấp địa phương hưởng, thu bổ sung từ ngân sách trung ương cho ngân sách địa phương và các khoản chi ngân sách nhà nước thuộc nhiệm vụ chi của cấp địa phương theo quy định của Luật Ngân sách nhà nước.
0101. Thu ngân sách nhà nước và cơ cấu thu
1. Khái niệm, phương pháp tính:
a) Thu ngân sách nhà nước gồm:
- Toàn bộ các khoản thu từ thuế, lệ phí và các khoản phí thu từ các hoạt động dịch vụ do cơ quan nhà nước thực hiện;
- Các khoản phí thu từ các hoạt động dịch vụ do đơn vị sự nghiệp công lập và tổ chức được cơ quan có thẩm quyền giao cung cấp dịch vụ công nộp ngân sách nhà nước theo quy định của pháp luật;
- Các khoản viện trợ không hoàn lại của Chính phủ các nước, các tổ chức, cá nhân ở ngoài nước cho Nhà nước, Chính phủ Việt Nam và chính quyền địa phương; các khoản tài trợ, đóng góp tự nguyện của các tổ chức, cá nhân trong và ngoài nước;
- Các khoản thu khác theo quy định của pháp luật.
b) Cơ cấu thu ngân sách nhà nước phản ánh tỷ trọng từng khoản thu trong tổng thu ngân sách nhà nước.
Công thức tính:
| Tỷ trọng mỗi khoản thu ngân sách nhà nước theo từng loại phân tổ (%) | = | Thu ngân sách nhà nước theo từng loại phân tổ | x 100 |
| Tổng thu ngân sách nhà nước |
3. Kỳ công bố: Tháng, 3 tháng, 6 tháng, 9 tháng, năm. Riêng phân tổ theo bộ, ngành công bố theo kỳ năm.
4. Nguồn dữ liệu: Chế độ báo cáo thống kê ngành Tài chính.
5. Đơn vị chịu trách nhiệm thu thập, tổng hợp: Vụ Ngân sách nhà nước.
0103. Bội chi ngân sách nhà nước
1. Khái niệm, phương pháp tính:
- Bội chi ngân sách nhà nước bao gồm bội chi ngân sách trung ương và bội chi ngân sách địa phương cấp tỉnh. Bội chi ngân sách trung ương được xác định bằng chênh lệch lớn hơn giữa tổng chi ngân sách trung ương không bao gồm trả nợ gốc và tổng thu ngân sách trung ương không bao gồm vay. Bội chi ngân sách địa phương cấp tỉnh là tổng hợp bội chi ngân sách cấp tỉnh của từng địa phương, được xác định bằng chênh lệch lớn hơn giữa tổng chi ngân sách cấp tỉnh không bao gồm trả nợ gốc và tổng thu ngân sách cấp tỉnh của từng địa phương không bao gồm vay.
2. Phân tổ chủ yếu:
- Bội chi ngân sách trung ương;
- Bội chi ngân sách địa phương.
3. Kỳ công bố: Năm.
4. Nguồn số liệu: Chế độ báo cáo thống kê ngành Tài chính.
5. Đơn vị chịu trách nhiệm thu thập, tổng hợp: Vụ Ngân sách nhà nước.
0104. Trả nợ gốc của ngân sách trung ương
1. Khái niệm, phương pháp tính:
Trả nợ gốc là nhiệm vụ của ngân sách trung ương và ngân sách cấp tỉnh thanh toán nợ gốc các khoản vay của ngân sách cấp mình (không bao gồm trả nợ gốc các khoản vay về cho đơn vị sự nghiệp công lập, doanh nghiệp vay lại). Trả nợ gốc không tổng hợp vào chi cân đối ngân sách của từng cấp ngân sách.
2. Phân tổ chủ yếu:
- Trả nợ gốc NSTW;
- Trả nợ gốc ngân sách cấp tỉnh.
3. Kỳ công bố: Năm.
4. Nguồn số liệu: Chế độ báo cáo thống kê ngành Tài chính.
5. Đơn vị chịu trách nhiệm thu thập, tổng hợp: Vụ Ngân sách nhà nước.
0105. Tổng mức vay của NSNN
1. Khái niệm, phương pháp tính:
Tổng mức vay của ngân sách nhà nước, bao gồm vay bù đắp bội chi và vay để trả nợ gốc của ngân sách nhà nước.
2. Phân tổ chủ yếu:
- Vay để bù đắp bội chi;
- Vay để trả nợ gốc của NSNN.
3. Kỳ công bố: Năm.
4. Nguồn số liệu: Chế độ báo cáo thống kê ngành Tài chính.
5. Đơn vị chịu trách nhiệm thu thập, tổng hợp: Vụ Ngân sách nhà nước.
0106. Chi ngân sách trung ương
1. Khái niệm:
Nhiệm vụ chi của ngân sách trung ương gồm:
(1) Chi đầu tư phát triển;
(2) Chi dự trữ quốc gia;
(3) Chi thường xuyên của các bộ, cơ quan ngang bộ, cơ quan thuộc Chính phủ, cơ quan khác ở trung ương được phân cấp trong các lĩnh vực;
(4) Chi trả nợ lãi các khoản do Chính phủ vay;
(5) Chi viện trợ theo quy định của Chính phủ;
(6) Chi cho vay theo quy định của Chính phủ;
(7) Chi bổ sung quỹ dự trữ tài chính trung ương;
(8) Chi chuyển nguồn của ngân sách trung ương sang năm sau;
(9) Chi bổ sung cân đối ngân sách, bổ sung có mục tiêu cho ngân sách địa phương.
2. Phân tổ chủ yếu:
- Lĩnh vực chi;
- Bộ, ngành.
3. Kỳ công bố: Năm.
4. Nguồn dữ liệu: Chế độ báo cáo thống kê ngành Tài chính.
5. Đơn vị chịu trách nhiệm thu thập, tổng hợp: Vụ Ngân sách nhà nước.
0107. Thu ngân sách nhà nước trên địa bàn tỉnh, thành phố trực thuộc trung ương và cơ cấu thu
1. Khái niệm, phương pháp tính:
a) Thu ngân sách nhà nước trên địa bàn tỉnh, thành phố trực thuộc trung ương gồm:
- Toàn bộ các khoản thu từ thuế, lệ phí và các khoản phí thu từ các hoạt động dịch vụ do cơ quan nhà nước thực hiện;
- Các khoản phí thu từ các hoạt động dịch vụ do đơn vị sự nghiệp công lập và tổ chức được cơ quan có thẩm quyền giao cung cấp dịch vụ công nộp ngân sách nhà nước theo quy định của pháp luật;
- Các khoản viện trợ không hoàn lại của Chính phủ các nước, các tổ chức, cá nhân ở ngoài nước cho Nhà nước, Chính phủ Việt Nam và chính quyền địa phương; các khoản tài trợ, đóng góp tự nguyện của các tổ chức, cá nhân trong và ngoài nước;
- Các khoản thu khác theo quy định của pháp luật.
b) Cơ cấu thu ngân sách nhà nước phản ánh tỷ trọng từng khoản thu trong tổng thu ngân sách nhà nước.
Công thức tính:
| Tỷ trọng mỗi khoản thu NSNN theo từng loại phân tổ (%) | = | Thu NSNN theo từng loại phân tổ | x 100 |
| Tổng thu NSNN trên địa bàn |
2. Phân tổ chủ yếu: Các khoản thu chủ yếu (thu nội địa, thu từ dầu thô, thu từ hoạt động xuất nhập khẩu và thu viện trợ).
3. Kỳ công bố: 3 tháng, 6 tháng, 9 tháng, năm.
4. Nguồn số liệu:
- Báo cáo thu ngân sách 3 tháng, 6 tháng, 9 tháng, năm của tỉnh, thành phố trực thuộc Trung ương;
- Dữ liệu hành chính.
5. Đơn vị chịu trách nhiệm thu thập, tổng hợp: Sở Tài chính tỉnh/thành phố trực thuộc Trung ương.
0108. Chi ngân sách tỉnh, thành phố trực thuộc trung ương và cơ cấu chi
1. Khái niệm, phương pháp tính:
a) Chi ngân sách tỉnh, thành phố trực thuộc Trung ương là toàn bộ các khoản chi ngân sách nhà nước thuộc nhiệm vụ chi của tỉnh, thành phố trực thuộc Trung ương thực hiện trong một khoảng thời gian nhất định do cơ quan nhà nước có thẩm quyền quyết định để bảo đảm thực hiện các chức năng, nhiệm vụ được giao, bao gồm: Chi đầu tư phát triển; chi thường xuyên của các cơ quan, đơn vị ở địa phương được phân cấp trong các lĩnh vực; chi trả nợ lãi các khoản do chính quyền địa phương vay; chi bổ sung quỹ dự trữ tài chính địa phương và các khoản chi khác theo quy định của pháp luật.
b) Cơ cấu chi ngân sách phản ánh tỷ trọng từng khoản chi trong tổng chi ngân sách.
| Tỷ trọng mỗi khoản chi ngân sách theo từng loại phân tổ (%) | = | Chi ngân sách theo từng loại phân tổ | x 100 |
| Tổng chi ngân sách tỉnh, thành phố |
2. Phân tổ chủ yếu: Các khoản chi chủ yếu (chi đầu tư phát triển, chi thường xuyên, chi trả nợ lãi).
3. Kỳ công bố: 3 tháng, 6 tháng, 9 tháng, năm.
4. Nguồn số liệu:
- Báo cáo chi ngân sách 3 tháng, 6 tháng, 9 tháng, năm của tỉnh, thành phố trực thuộc trung ương.
- Dữ liệu hành chính.
5. Đơn vị chịu trách nhiệm thu thập, tổng hợp: Sở Tài chính tỉnh/thành phố trực thuộc Trung ương.
0109. Bội chi/Kết dư ngân sách địa phương cấp tỉnh
Chỉ tiêu này bao gồm số liệu dự toán, chấp hành, quyết toán.
1. Khái niệm, phương pháp tính:
- Bội chi ngân sách địa phương cấp tỉnh là tổng hợp bội chi ngân sách cấp tỉnh của từng địa phương, được xác định bằng chênh lệch lớn hơn giữa tổng chi ngân sách cấp tỉnh không bao gồm trả nợ gốc và tổng thu ngân sách cấp tỉnh của từng địa phương không bao gồm vay.
- Kết dư ngân sách cấp tỉnh là chênh lệch lớn hơn giữa tổng thu ngân sách không bao gồm vay và tổng chi ngân sách không bao gồm trả nợ gốc sau khi kết thúc năm ngân sách.
2. Kỳ công bố: Năm.
3. Nguồn số liệu: Chế độ báo cáo thống kê ngành Tài chính.
4. Đơn vị chịu trách nhiệm thu thập, tổng hợp: Sở Tài chính tỉnh/thành phố trực thuộc Trung ương.
0110. Tổng mức vay của ngân sách địa phương
Chỉ tiêu này bao gồm số liệu dự toán, quyết toán.
1. Khái niệm, phương pháp tính:
Tổng mức vay của ngân sách địa phương bao gồm vay để bù đắp bội chi ngân sách địa phương và vay để trả nợ gốc của ngân sách địa phương;
Chỉ tiêu được tổng hợp từ nguồn số liệu báo cáo theo quy định của Luật Ngân sách nhà nước và các văn bản hướng dẫn thực hiện.
2. Phân tổ chủ yếu: Mục đích vay.
3. Kỳ công bố: Năm.
4. Nguồn số liệu: Chế độ báo cáo thống kê ngành Tài chính.
5. Đơn vị chịu trách nhiệm thu thập, tổng hợp: Sở Tài chính tỉnh/thành phố trực thuộc Trung ương.
0111. Chi chương trình mục tiêu quốc gia
Chỉ tiêu này bao gồm số liệu dự toán, chấp hành, quyết toán.
1. Khái niệm, phương pháp tính:
- Chương trình mục tiêu quốc gia là chương trình đầu tư công nhằm thực hiện các mục tiêu kinh tế - xã hội của từng giai đoạn cụ thể trong phạm vi cả nước;
- Chương trình đầu tư công là một tập hợp các mục tiêu, nhiệm vụ và giải pháp nhằm thực hiện các mục tiêu phát triển kinh tế - xã hội;
Chỉ tiêu được tổng hợp từ nguồn số liệu báo cáo theo quy định của Luật Đầu tư công, Luật Ngân sách nhà nước và các văn bản hướng dẫn thực hiện.
2. Phân tổ chủ yếu:
2.1. Đối với kỳ công bố năm (số dự toán, ước thực hiện) do Vụ Phát triển hạ tầng chủ trì thu thập, tổng hợp thực hiện phân tổ theo: Bộ/ngành, Địa phương, Nguồn vốn.
2.2. Đối với kỳ công bố năm (số dự toán, ước thực hiện) về nguồn vốn đầu tư phát triển do Vụ Phát triển hạ tầng, Vụ I và Sở Tài chính tỉnh/thành phố trực thuộc Trung ương chủ trì thu thập, tổng hợp thực hiện phân tổ theo: Bộ/ngành, địa phương thuộc lĩnh vực quản lý; Nguồn vốn.
2.3. Đối với kỳ công bố năm (số dự toán, ước thực hiện) về nguồn vốn chi thường xuyên do Vụ Tài chính - Kinh tế ngành, Vụ I và Sở Tài chính tỉnh/thành phố trực thuộc Trung ương chủ trì thu thập, tổng hợp thực hiện phân tổ theo: Bộ/ngành; địa phương, Nguồn vốn.
2.4. Đối với kỳ công bố năm (quyết toán) do Kho bạc Nhà nước, Vụ Ngân sách nhà nước, Sở Tài chính tỉnh/thành phố trực thuộc Trung ương chủ trì thu thập, tổng hợp thực hiện phân tổ theo: Bộ/ngành, địa phương, Nguồn vốn.
3. Kỳ công bố: Năm.
4. Nguồn số liệu: Chế độ báo cáo thống kê ngành Tài chính.
5. Đơn vị chịu trách nhiệm thu thập, tổng hợp:
- Vụ Tài chính - Kinh tế ngành;
- Vụ Phát triển hạ tầng;
- Vụ Quốc phòng, an ninh, đặc biệt;
- Vụ Ngân sách nhà nước;
- Kho bạc Nhà nước;
- Sở Tài chính tỉnh/thành phố trực thuộc Trung ương.
0112. Tỷ lệ thu NSNN so với tổng sản phẩm trong nước
1. Khái niệm, phương pháp tính:
Tỷ lệ thu NSNN so với tổng sản phẩm trong nước là tỷ lệ phần trăm giữa thu NSNN so với tổng sản phẩm trong nước.
Công thức tính:
| Tỷ lệ thu ngân sách nhà nước so với tổng sản phẩm trong nước (%) | = | Thu ngân sách nhà nước | x 100 |
| Tổng sản phẩm trong nước |
2. Phân tổ chủ yếu: Các khoản thu chủ yếu.
3. Kỳ công bố: Năm.
4. Nguồn số liệu: Chế độ báo cáo thống kê ngành Tài chính.
5. Đơn vị chịu trách nhiệm thu thập, tổng hợp: Vụ Ngân sách nhà nước phối hợp với Cục Thống kê cung cấp số liệu Thu ngân sách để Cục Thống kê tính toán chỉ tiêu này và thu thập số liệu chỉ tiêu này sử dụng trong ngành tài chính.
0113. Tỷ lệ chi NSNN so với tổng sản phẩm trong nước
1. Khái niệm, phương pháp tính:
Tỷ lệ chi NSNN so với tổng sản phẩm trong nước là tỷ lệ phần trăm giữa chi NSNN so với tổng sản phẩm trong nước.
2. Phân tổ chủ yếu: Các khoản chi chủ yếu.
3. Kỳ công bố: Năm.
4. Nguồn số liệu: Chế độ báo cáo thống kê ngành Tài chính.
5. Đơn vị chịu trách nhiệm thu thập, tổng hợp: Vụ Ngân sách nhà nước phối hợp với Cục Thống kê để cung cấp số liệu Chi ngân sách để Cục Thống kê tính toán chỉ tiêu này và thu thập số liệu chỉ tiêu này sử dụng trong ngành tài chính.
0114. Tỷ lệ bội chi ngân sách nhà nước so với tổng sản phẩm trong nước
1. Khái niệm, phương pháp tính:
Tỷ lệ bội chi ngân sách nhà nước so với tổng sản phẩm trong nước là tỷ lệ phần trăm giữa bội chi ngân sách nhà nước so với tổng sản phẩm trong nước.
Công thức tính:
| Tỷ lệ bội chi ngân sách nhà nước so với tổng sản phẩm trong nước (%) | = | Bội chi ngân sách nhà nước | x 100 |
| Tổng sản phẩm trong nước |
Lưu ý: Bội chi ngân sách nhà nước và tổng sản phẩm trong nước đều tính theo giá hiện hành.
2. Phân tổ chủ yếu: Bội chi ngân sách trung ương, bội chi ngân sách địa phương.
3. Kỳ công bố: Năm
4. Nguồn số liệu: Chế độ báo cáo thống kê ngành Tài chính.
5. Đơn vị chịu trách nhiệm thu thập, tổng hợp: Vụ Ngân sách nhà nước.
0115. Tỷ lệ thu từ thuế, phí so với tổng sản phẩm trong nước
1. Khái niệm, phương pháp tính:
Tỷ lệ thu từ thuế, phí so với tổng sản phẩm trong nước là tỷ lệ phần trăm giữa thu từ thuế, phí so với tổng sản phẩm trong nước.
Công thức tính:
| Tỷ lệ thu từ thuế, phí so với tổng sản phẩm trong nước (%) | = | Thuế và phí | x 100 |
| Tổng sản phẩm trong nước |
Lưu ý: Thuế, phí và tổng sản phẩm trong nước đều tính theo giá hiện hành.
2. Phân tổ chủ yếu: Loại thuế, phí.
3. Kỳ công bố: Năm.
4. Nguồn số liệu: Chế độ báo cáo thống kê ngành Tài chính.
5. Đơn vị chịu trách nhiệm thu thập, tổng hợp: Vụ Ngân sách nhà nước phối hợp với Cục Thống kê cung cấp số liệu Thu ngân sách để Cục Thống kê tính toán chỉ tiêu này và thu thập số liệu chỉ tiêu này sử dụng trong ngành tài chính theo đúng Quy định tại Nghị định số 94/2022/NĐ-CP ngày 07/11/2022 của Chính phủ quy định nội dung chi tiêu thống kê thuộc hệ thống chỉ tiêu thống kê quốc gia và quy trình biên soạn chỉ tiêu tổng sản phẩm trong nước, chi tiêu tổng sản phẩm trên địa bàn tỉnh, thành phố trực thuộc trung ương.
02. NHÓM CHỈ TIÊU THỐNG KÊ QUẢN LÝ NGÂN QUỸ NHÀ NƯỚC
0201. Thu, chi ngân quỹ nhà nước
1. Khái niệm, phương pháp tính:
- Ngân quỹ nhà nước (NQNN) là toàn bộ các khoản tiền bằng Đồng Việt Nam và bằng ngoại tệ của Nhà nước có trên các tài khoản của Kho bạc Nhà nước (KBNN) mở tại Ngân hàng Nhà nước Việt Nam và các ngân hàng thương mại, tiền mặt tại các đơn vị KBNN.
- Ngân quỹ nhà nước được hình thành từ quỹ ngân sách các cấp và tiền gửi của quỹ dự trữ tài chính; quỹ tài chính nhà nước ngoài ngân sách, đơn vị, tổ chức kinh tế tại KBNN.
- Các khoản thu NQNN, bao gồm: Thu và vay của NSNN, thu của các quỹ dự trữ tài chính, các quỹ tài chính nhà nước ngoài ngân sách và các đơn vị, tổ chức kinh tế mở tài khoản tại KBNN, các khoản thu hồi sử dụng NQNN tạm thời nhàn rỗi.
- Các khoản chi NQNN, bao gồm: Chi và trả nợ vay của NSNN, chi của các quỹ dự trữ tài chính, các quỹ tài chính nhà nước ngoài ngân sách và các đơn vị, tổ chức kinh tế mở tài khoản tại KBNN, số trả nợ vay bù đắp NQNN tạm thời thiếu hụt.
- Sự biến động NQNN được xác định trên cơ sở so sánh giữa tồn NQNN cuối kỳ và tồn NQNN đầu kỳ, trong đó: Tồn NQNN cuối kỳ = Tồn NQNN đầu kỳ + Thu NQNN trong kỳ - Chi NQNN trong kỳ.”
2. Phân tổ chủ yếu:
- Nội dung kinh tế.
3. Kỳ công bố: Quý, năm.
4. Nguồn số liệu: Chế độ báo cáo thống kê ngành Tài chính.
5. Đơn vị chịu trách nhiệm thu thập, tổng hợp: Kho bạc Nhà nước.
0202. Sử dụng ngân quỹ nhà nước tạm thời nhàn rỗi/Xử lý ngân quỹ nhà nước tạm thời thiếu hụt
1. Khái niệm, phương pháp tính:
a) Ngân quỹ nhà nước tạm thời nhàn rỗi là chênh lệch lớn hơn giữa tổng tồn ngân quỹ nhà nước đầu kỳ và dự báo thu trong kỳ với tổng dự báo chi và định mức tồn ngân quỹ nhà nước tối thiểu trong kỳ.
b) Ngân quỹ nhà nước tạm thời thiếu hụt là chênh lệch nhỏ hơn giữa tổng tồn ngân quỹ nhà nước đầu kỳ và dự báo thu trong kỳ với tổng dự báo chi và định mức tồn ngân quỹ nhà nước tối thiểu trong kỳ.
* Sử dụng NQNN tạm thời nhàn rỗi:
NQNN tạm thời nhàn rỗi được sử dụng theo thứ tự ưu tiên sau:
- Cho ngân sách trung ương tạm ứng, vay;
- Cho ngân sách địa phương cấp tỉnh tạm ứng, vay;
- Mua bán lại trái phiếu Chính phủ.
- Gửi có kỳ hạn tại ngân hàng thương mại;...
* Xử lý NQNN tạm thời thiếu hụt:
- Phát hành tín phiếu kho bạc;
- Thu hồi trước hạn tiền gửi có kỳ hạn tại các ngân hàng thương mại.
- Mua ngoại tệ từ hệ thống ngân hàng thương mại để đáp ứng nhu cầu chi của ngân quỹ nhà nước theo quy định được thực hiện bằng ngoại tệ trong trường hợp thiếu hụt ngân quỹ nhà nước bằng ngoại tệ và Bộ Tài chính không tự cân đối được.
2. Phân tổ chủ yếu: Phương thức sử dụng/xử lý.
3. Kỳ công bố: Quý, năm.
4. Nguồn dữ liệu: Chế độ báo cáo thống kê ngành Tài chính.
5. Đơn vị chịu trách nhiệm thu thập, tổng hợp: Kho bạc Nhà nước.
03. NHÓM CHỈ TIÊU THỐNG KÊ NỢ CÔNG
Khái niệm, phương pháp tính chung:
Vay là quá trình tạo ra nghĩa vụ nợ thông qua việc ký kết và thực hiện hiệp định, hợp đồng, thỏa thuận vay (sau đây gọi chung là thỏa thuận vay) hoặc phát hành công cụ nợ.
Chi trả nợ là việc thanh toán nợ, bao gồm chi trả gốc, lãi, phí và chi phí khác có liên quan phát sinh từ việc vay.
Cho vay lại là việc Chính phủ cho Ủy ban nhân dân cấp tỉnh, đơn vị sự nghiệp công lập, doanh nghiệp vay lại nguồn vốn vay hỗ trợ phát triển chính thức (ODA), vốn vay ưu đãi nước ngoài.
Công cụ nợ bao gồm trái phiếu, tín phiếu Kho bạc, công trái xây dựng Tổ quốc làm phát sinh nghĩa vụ nợ.
Trái phiếu Chính phủ là công cụ nợ do Chính phủ phát hành để huy động vốn cho ngân sách nhà nước hoặc cơ cấu lại nợ.
Trái phiếu chính quyền địa phương là công cụ nợ do Ủy ban nhân dân cấp tỉnh phát hành để huy động vốn cho ngân sách địa phương.
Trái phiếu được Chính phủ bảo lãnh là công cụ nợ do doanh nghiệp, ngân hàng chính sách của Nhà nước phát hành và được Chính phủ bảo lãnh.
Tín phiếu Kho bạc là công cụ nợ do Kho bạc Nhà nước phát hành, có kỳ hạn không vượt quá 52 tuần.
Công trái xây dựng Tổ quốc là trái phiếu do Chính phủ phát hành nhằm huy động nguồn vốn trong Nhân dân để đầu tư xây dựng công trình quan trọng quốc gia và các công trình thiết yếu khác phục vụ sản xuất, đời sống, tạo cơ sở vật chất, kỹ thuật cho đất nước.
Bảo lãnh Chính phủ là cam kết của Chính phủ bằng văn bản bảo lãnh với bên cho vay về việc thực hiện nghĩa vụ trả nợ gốc, lãi trong trường hợp đến hạn trả nợ mà bên vay không thực hiện đầy đủ nghĩa vụ trả nợ.
Vay ODA là khoản vay nước ngoài có thành tố ưu đãi đạt ít nhất 35% đối với khoản vay có điều kiện ràng buộc liên quan đến mua sắm hàng hóa và dịch vụ theo quy định của nhà tài trợ nước ngoài hoặc ít nhất 25% đối với khoản vay không có điều kiện ràng buộc.
Vay ưu đãi nước ngoài là khoản vay nước ngoài có điều kiện ưu đãi hơn so với vay thương mại nhưng thành tố ưu đãi chưa đạt tiêu chuẩn của vay ODA.
Thành tố ưu đãi là tỷ lệ phần trăm giá trị danh nghĩa của khoản vay phản ánh mức ưu đãi của vốn vay nước ngoài được tính toán trên cơ sở các yếu tố về đồng tiền, thời hạn vay, ân hạn, lãi suất, phí và chi phí khác với tỷ lệ chiết khấu tương ứng lãi suất vay của Chính phủ Việt Nam trên thị trường tại thời điểm tính toán.
Các chỉ tiêu số liệu báo cáo, kỳ báo cáo các chỉ tiêu thống kê về nợ công được thực hiện theo quy định về mẫu biểu báo cáo và công bố thông tin về nợ công.
0301. Vay và trả nợ công
1. Khái niệm, phương pháp tính:
Nợ công bao gồm nợ Chính phủ (CP), nợ được Chính phủ bảo lãnh và nợ của chính quyền địa phương (CQĐP).
2. Phân tổ chủ yếu:
- Hình thức vay (Nợ CP, nợ được CP bảo lãnh, nợ CQĐP);
- Nguồn vay.
3. Kỳ công bố: 6 tháng, năm.
4. Nguồn số liệu: Chế độ báo cáo thống kê ngành Tài chính.
5. Đơn vị chịu trách nhiệm thu thập, tổng hợp: Cục Quản lý nợ và Kinh tế đối ngoại.
0302. Vay và trả nợ của Chính phủ
1. Khái niệm, phương pháp tính:
- Nợ của Chính phủ là khoản nợ phát sinh từ các khoản vay trong nước, nước ngoài, được ký kết, phát hành nhân danh Nhà nước, nhân danh Chính phủ.
- Nợ của Chính phủ bao gồm:
+ Nợ do Chính phủ phát hành công cụ nợ;
+ Nợ do Chính phủ ký kết thỏa thuận vay trong nước, nước ngoài;
+ Nợ của ngân sách trung ương vay từ quỹ dự trữ tài chính của Nhà nước, ngân quỹ nhà nước, quỹ tài chính nhà nước ngoài ngân sách.
2. Phân tổ chủ yếu:
- Nguồn vay (trong nước, ngoài nước);
- Hình thức vay;
- Công cụ nợ;
- Chủ nợ.
3. Kỳ công bố: 6 tháng, năm.
4. Nguồn số liệu: Chế độ báo cáo thống kê ngành Tài chính.
5. Đơn vị chịu trách nhiệm thu thập, tổng hợp: Cục Quản lý nợ và Kinh tế đối ngoại.
0303. Vay và trả nợ được Chính phủ bảo lãnh
1. Khái niệm, phương pháp tính:
- Nợ được Chính phủ bảo lãnh là khoản nợ do doanh nghiệp, ngân hàng chính sách của Nhà nước vay được Chính phủ bảo lãnh.
- Nợ được Chính phủ bảo lãnh bao gồm:
+ Nợ của doanh nghiệp được Chính phủ bảo lãnh;
+ Nợ của ngân hàng chính sách của Nhà nước được Chính phủ bảo lãnh.
2. Phân tổ chủ yếu:
- Nguồn vay;
- Chủ nợ;
- Đối tượng được bảo lãnh.
3. Kỳ công bố: 6 tháng, năm.
4. Nguồn số liệu: Chế độ báo cáo thống kê ngành Tài chính.
5. Đơn vị chịu trách nhiệm thu thập, tổng hợp: Cục Quản lý nợ và Kinh tế đối ngoại.
0304. Vay và trả nợ của Chính quyền địa phương
1. Khái niệm, phương pháp tính:
- Nợ của chính quyền địa phương là khoản nợ phát sinh do Ủy ban nhân dân cấp tỉnh vay.
- Nợ của chính quyền địa phương bao gồm:
+ Nợ do phát hành trái phiếu chính quyền địa phương;
+ Nợ do vay lại vốn vay ODA, vay ưu đãi nước ngoài;
+ Nợ của ngân sách địa phương vay từ ngân hàng chính sách của Nhà nước, quỹ dự trữ tài chính cấp tỉnh, ngân quỹ nhà nước và vay khác theo quy định của pháp luật về ngân sách nhà nước.
2. Phân tổ chủ yếu:
- Nguồn vay;
- Hình thức vay.
3. Kỳ công bố: 6 tháng, năm.
4. Nguồn số liệu: Chế độ báo cáo thống kê ngành Tài chính.
5. Đơn vị chịu trách nhiệm thu thập, tổng hợp: Sở Tài chính tỉnh/thành phố trực thuộc Trung ương.
0305. Vay và trả nợ nước ngoài của doanh nghiệp
1. Khái niệm, phương pháp tính:
Vay nước ngoài của doanh nghiệp là việc người cư trú là doanh nghiệp nhận khoản tín dụng từ người không cư trú thông qua việc ký kết và thực hiện các thỏa thuận vay nước ngoài theo quy định hiện hành về vay, trả nợ nước ngoài của doanh nghiệp không được Chính phủ bảo lãnh.
Vay nước ngoài của doanh nghiệp là các khoản vay không được chính phủ bảo lãnh (khoản vay nước ngoài tự vay, tự trả của doanh nghiệp) là việc doanh nghiệp thực hiện vay nước ngoài theo phương thức tự vay, tự chịu trách nhiệm trả nợ với bên cho vay nước ngoài.
Trả nợ nước ngoài của doanh nghiệp theo phương thức tự vay, tự trả là các khoản phải hoàn trả, bao gồm khoản gốc và lãi phát sinh từ việc vay nước ngoài tự vay, tự trả của doanh nghiệp theo pháp luật Việt Nam.
2. Phân tổ chủ yếu: Kỳ hạn.
3. Kỳ công bố: 6 tháng, năm.
4. Nguồn số liệu: Chế độ báo cáo thống kê ngành Tài chính.
5. Đơn vị chịu trách nhiệm thu thập, tổng hợp: Cục Quản lý nợ và Kinh tế đối ngoại.
0306. Vay và trả nợ nước ngoài của quốc gia
1. Khái niệm, phương pháp tính:
Nợ nước ngoài của quốc gia là tổng các khoản nợ nước ngoài của Chính phủ, nợ được Chính phủ bảo lãnh, nợ của doanh nghiệp và tổ chức khác được vay nước ngoài theo phương thức tự vay, tự trả theo quy định của pháp luật Việt Nam.
2. Phân tổ chủ yếu: Đối tượng vay.
3. Kỳ công bố: 6 tháng, năm.
4. Nguồn số liệu: Chế độ báo cáo thống kê ngành Tài chính.
5. Đơn vị chịu trách nhiệm thu thập, tổng hợp: Cục Quản lý nợ và Kinh tế đối ngoại.
0307. Dư nợ công so với tổng sản phẩm trong nước
1. Khái niệm, phương pháp tính:
- Nợ công so với tổng sản phẩm trong nước là tỷ lệ phần trăm giữa nợ công so với tổng sản phẩm trong nước tính theo giá hiện hành.
- Công thức tính:
| Nợ công so với tổng sản phẩm trong nước (%) | = | Dư nợ công | x 100 |
| Tổng sản phẩm trong nước tính theo giá hiện hành |
Lưu ý: Dư nợ công được tính theo nội dung chi tiêu số 0610 Dư nợ công quy định tại Nghị định số 94/2022/NĐ-CP ngày 07/11/2022 của Chính phủ quy định nội dung chỉ tiêu thống kê thuộc hệ thống chỉ tiêu thống kê quốc gia và quy trình biên soạn chỉ tiêu tổng sản phẩm trong nước, chỉ tiêu tổng sản phẩm trên địa bàn tỉnh, thành phố trực thuộc trung ương.
2. Kỳ công bố: Năm
3. Nguồn số liệu: Chế độ báo cáo thống kê ngành Tài chính.
4. Đơn vị chịu trách nhiệm thu thập, tổng hợp: Cục Quản lý nợ và Kinh tế đối ngoại.
0308. Dư nợ Chính phủ so với tổng sản phẩm trong nước
1. Khái niệm, phương pháp tính:
Nợ Chính phủ so với tổng sản phẩm trong nước là tỷ lệ phần trăm giữa nợ Chính phủ so với tổng sản phẩm trong nước tính theo giá hiện hành.
Công thức tính:
| Nợ Chính phủ so với tổng sản phẩm trong nước (%) | = | Nợ Chính phủ | x 100 |
| Tổng sản phẩm trong nước tính theo giá hiện hành |
Lưu ý: Nợ Chính phủ được tính theo nội dung chi tiêu số 0608 Dư nợ của Chính phủ quy định tại Nghị định số 94/2022/NĐ-CP ngày 07/11/2022 của Chính phủ quy định nội dung chỉ tiêu thống kê thuộc hệ thống chỉ tiêu thống kê quốc gia và quy trình biên soạn chỉ tiêu tổng sản phẩm trong nước, chỉ tiêu tổng sản phẩm trên địa bàn tỉnh, thành phố trực thuộc trung ương.
2. Kỳ công bố: Năm.
3. Nguồn số liệu: Chế độ báo cáo thống kê ngành Tài chính.
4. Đơn vị chịu trách nhiệm thu thập, tổng hợp: Cục Quản lý nợ và Kinh tế đối ngoại.
0309. Dư nợ nước ngoài so với tổng sản phẩm trong nước
1. Khái niệm, phương pháp tính:
Dư nợ nước ngoài so với tổng sản phẩm trong nước là tỷ lệ phần trăm giữa Dư nợ nước ngoài so với tổng sản phẩm trong nước tính theo giá hiện hành.
Công thức tính:
| Nợ nước ngoài so với tổng sản phẩm trong nước (%) | = | Nợ nước ngoài | x 100 |
| Tổng sản phẩm trong nước tính theo giá hiện hành |
Lưu ý: Nợ nước ngoài được tính theo nội dung chỉ tiêu số 0609 Dư nợ nước ngoài của quốc gia quy định tại Nghị định số 94/2022/NĐ-CP ngày 07/11/2022 của Chính phủ quy định nội dung chỉ tiêu thống kê thuộc hệ thống chỉ tiêu thống kê quốc gia và quy trình biên soạn chỉ tiêu tổng sản phẩm trong nước, chỉ tiêu tổng sản phẩm trên địa bàn tỉnh, thành phố trực thuộc trung ương.
2. Kỳ công bố: Năm.
3. Nguồn số liệu: Chế độ báo cáo thống kê ngành Tài chính.
4. Đơn vị chịu trách nhiệm thu thập, tổng hợp: Cục Quản lý nợ và Kinh tế đối ngoại.
0310. Nghĩa vụ trả nợ nước ngoài quốc gia so với tổng kim ngạch xuất khẩu hàng hóa và dịch vụ
1. Khái niệm, phương pháp tính:
Nghĩa vụ trả nợ nước ngoài quốc gia so với tổng kim ngạch xuất khẩu hàng hóa và dịch vụ là tỷ lệ nợ nước ngoài của quốc gia (thanh toán gốc và lãi) so với tổng kim ngạch xuất khẩu hàng hóa và dịch vụ. Dịch vụ nợ được đề cập trong chỉ tiêu này chỉ đề cập đến nợ công và nợ được Chính phủ bảo lãnh.
Công thức tính:
| Nghĩa vụ trả nợ nước ngoài quốc gia so với tổng kim ngạch xuất khẩu hàng hóa và dịch vụ (%) | = | Nghĩa vụ trả nợ nước ngoài của quốc gia | x 100 |
| Tổng kim ngạch xuất khẩu hàng hóa và dịch vụ |
2. Kỳ công bố: Năm.
3. Nguồn số liệu: Dữ liệu nợ công của Việt Nam do Bộ Tài chính quản lý thông qua việc sử dụng phần mềm DMFAS và tổng hợp báo cáo thống kê từ các cơ quan có liên quan.
4. Đơn vị chịu trách nhiệm thu thập, tổng hợp: Cục Quản lý nợ và Kinh tế đối ngoại.
04. NHÓM CHỈ TIÊU THỐNG KÊ DỰ TRỮ QUỐC GIA
0401. Hình thành nguồn lực dự trữ quốc gia
1. Khái niệm, phương pháp tính:
Dự trữ quốc gia (DTQG) được hình thành từ các nguồn sau đây:
- Ngân sách nhà nước;
- Nguồn lực hợp pháp khác ngoài ngân sách nhà nước được đưa vào dự trữ quốc gia bao gồm các nguồn lực có được từ tự nguyện đầu tư xây dựng cơ sở vật chất, cung cấp công nghệ thông tin cho hoạt động quản lý và bảo quản hàng dự trữ quốc gia, trực tiếp bảo quản hàng dự trữ quốc gia; hàng hóa, vật tư được huy động từ các tổ chức, cá nhân trong tình huống đột xuất, cấp bách theo quy định của pháp luật.
2. Phân tổ chủ yếu:
- Loại nguồn;
- Loại hình kinh tế;
- Chức năng;
- Đơn vị được giao quản lý.
3. Kỳ công bố: Quý, năm.
4. Nguồn số liệu: Chế độ báo cáo thống kê ngành Tài chính.
5. Đơn vị chịu trách nhiệm thu thập, tổng hợp: Cục Dự trữ Nhà nước.
0402. Nhập hàng dự trữ quốc gia
1. Khái niệm, phương pháp tính:
Nhập hàng dự trữ quốc gia là hoạt động thực hiện quyết định nhập hàng dự trữ quốc gia của cấp có thẩm quyền, bao gồm các công việc từ khi có quyết định nhập hàng đến khi hàng dự trữ quốc gia được nhập vào trong kho dự trữ để thực hiện quy trình lưu kho, bảo quản.
Nhập hàng dự trữ quốc gia trong các trường hợp: Mua tăng, mua bù, mua bổ sung và nhập khác gồm: nhập trong tình huống đột xuất, cấp bách theo quyết định của Thủ trưởng bộ, ngành quản lý hàng dự trữ quốc gia; điều chuyển nội bộ; nhập tăng đối với lượng hàng khi kiểm kê thực tế lớn hơn so với sổ kế toán; tái nhập khi tạm xuất và các trường hợp khác theo quy định của pháp luật.
Số lượng hàng dự trữ quốc gia nhập trong kỳ: là tổng số lượng các vật tư, thiết bị, hàng hóa thực tế được nhập kho dự trữ quốc gia trong một thời kỳ nhất định; có đơn vị tính cụ thể.
| Số lượng hàng DTQG nhập trong kỳ | = | Số lượng mua tăng trong kỳ | + | Số lượng mua bù trong kỳ | + | Số lượng mua bổ sung trong kỳ | + | Số lượng mua trong trường hợp khác trong kỳ |
2. Phân tổ chủ yếu:
- Danh mục mặt hàng;
- Giá trị;
- Vùng địa bàn chiến lược;
- Đơn vị được giao quản lý;
- Nội dung/mục đích.
3. Kỳ công bố: Quý, năm.
4. Nguồn số liệu: Chế độ báo cáo thống kê ngành Tài chính.
5. Đơn vị chịu trách nhiệm thu thập, tổng hợp: Cục Dự trữ Nhà nước.
0403. Xuất hàng dự trữ quốc gia
1. Khái niệm, phương pháp tính:
Xuất hàng dự trữ quốc gia là hoạt động thực hiện quyết định xuất hàng dự trữ quốc gia của cấp có thẩm quyền, bao gồm các công việc từ khi có quyết định xuất hàng đến khi hàng được chuyển lên phương tiện bên nhận tại cửa kho dự trữ xuất hoặc theo quy định của cấp có thẩm quyền trong trường hợp xuất cấp không thu tiền.
Xuất hàng dự trữ quốc gia bao gồm các trường hợp: Xuất hàng DTQG bao gồm các trường hợp: (i) Xuất hàng DTQG theo quyết định của Bộ trưởng Bộ Tài chính; (ii) Xuất hàng DTQG theo quyết định của Thủ trưởng bộ ngành quản lý hàng DTQG; (iii) Xuất hàng trong trường hợp khác (thanh lý, tiêu hủy,...) theo quy định của pháp luật.
Số lượng hàng dự trữ quốc gia xuất trong kỳ: là tổng số lượng các vật tư, thiết bị, hàng hóa DTQG thực tế được xuất khỏi kho DTQG của đơn vị trong một thời kỳ nhất định.
| Số lượng hàng DTQG xuất trong kỳ | = | Số lượng hàng theo quyết định của Bộ trưởng Bộ Tài chính | + | Số lượng hàng xuất theo quyết định của Thủ trưởng bộ ngành quản lý hàng DTQG | + | Số lượng hàng xuất trong trường hợp khác trong kỳ |
2. Phân tổ chủ yếu
- Danh mục mặt hàng;
- Giá trị;
- Nội dung/mục đích;
- Đơn vị xuất;
- Địa bàn.
3. Kỳ công bố: Quý, năm.
4. Nguồn số liệu: Chế độ báo cáo thống kê ngành Tài chính.
5. Đơn vị chịu trách nhiệm thu thập, tổng hợp: Cục Dự trữ Nhà nước.
0404. Số lượng hàng dự trữ quốc gia cuối kỳ
1. Khái niệm, phương pháp tính:
Số lượng hàng DTQG cuối kỳ bằng số lượng hàng DTQG đầu kỳ cộng với số lượng hàng DTQG nhập trong kỳ trừ đi số lượng hàng DTQG xuất trong kỳ
| Số lượng hàng DTQG cuối kỳ | = | Số lượng hàng DTQG đầu kỳ | + | Số lượng hàng DTQG nhập trong kỳ | - | Số lượng hàng DTQG xuất trong kỳ |
2. Phân tổ chủ yếu:
- Danh mục mặt hàng;
- Giá trị;
- Đơn vị quản lý.
3. Kỳ công bố: Quý, năm.
4. Nguồn số liệu: Chế độ báo cáo thống kê ngành Tài chính.
5. Đơn vị chịu trách nhiệm thu thập, tổng hợp: Cục Dự trữ Nhà nước.
05. NHÓM CHỈ TIÊU THỐNG KÊ CHỨNG KHOÁN
Khái niệm, phương pháp tính chung:
Chứng khoán là bằng chứng xác nhận quyền và lợi ích hợp pháp của người sở hữu đối với tài sản hoặc phần vốn của tổ chức phát hành. Chứng khoán được thể hiện dưới hình thức chứng chỉ, bút toán ghi sổ hoặc dữ liệu điện tử, bao gồm các loại sau đây:
- Cổ phiếu, trái phiếu, chứng chỉ quỹ;
- Quyền mua cổ phần, chứng quyền, quyền chọn mua, quyền chọn bán, hợp đồng tương lai, nhóm chứng khoán hoặc chỉ số chứng khoán;
- Hợp đồng góp vốn đầu tư;
- Các loại chứng khoán khác do Bộ Tài chính quy định.
0501. Chỉ số chứng khoán
1. Khái niệm, phương pháp tính:
- Khái niệm, phương pháp tính: Chỉ số chứng khoán là chỉ số giá thể hiện mức độ biến động giá của toàn bộ các cổ phiếu được niêm yết/đăng ký giao dịch trên từng sàn giao dịch chứng khoán (HOSE, HNX hoặc UPCoM).
- Phương pháp tính:
+ Chỉ số VN-Index được tính bằng công thức sau:

Pli: Giá hiện hành của cổ phiếu i
Qli: Khối lượng niêm yết của cổ phiếu i
P0i : Giá của cổ phiếu i tại ngày cơ sở
Q0i : Khối lượng niêm yết của cổ phiếu i tại ngày cơ sở
+ Chỉ số HNX-Index và UPCoM-Index được tính bằng công thức sau:
![]()
Trong đó:
![]()
i= 1,2,3, ...n.
n: số cổ phiếu trong rổ chỉ số.
pi: giá của cổ phiếu i trong rổ chỉ số tại thời điểm tính toán.
si: khối lượng đang lưu hành của cổ phiếu i trong rổ chỉ số tại thời điểm tính toán.
fi: tỷ lệ free-float làm tròn của cổ phiếu i trong rổ chỉ số tại thời điểm tính toán.
Hệ số chia: Tại ngày cơ sở, Hệ số chia bằng giá trị vốn hóa thị trường vào thời điểm đóng cửa chia cho Giá trị cơ sở của chỉ số. Trong trường hợp tăng/giảm CMV do những nguyên nhân khác với biến động giá trên thị trường, Hệ số chia sẽ được điều chỉnh nhằm đảm bảo tính liên tục của chỉ số.
2. Phân tổ chủ yếu: Sở giao dịch.
3. Kỳ công bố: Ngày, tháng, năm.
4. Nguồn số liệu: Dữ liệu hành chính; Chế độ báo cáo thống kê ngành Tài chính.
5. Đơn vị chịu trách nhiệm thu thập, tổng hợp: Ủy ban Chứng khoán nhà nước.
0502. Giá trị vốn hóa thị trường cổ phiếu
1. Khái niệm, phương pháp tính:
Giá trị vốn hóa thị trường cổ phiếu: Là tổng giá trị của cổ phiếu niêm yết/ đăng ký giao dịch trên Sở Giao dịch chứng khoán tính theo giá trị thị trường tại một thời điểm xác định, được tính bằng tổng các tích giữa khối lượng cổ phiếu đang lưu hành với giá thị trường cổ phiếu tại một thời điểm xác định.
TEV = ΣPti x Qti
Trong đó:
TEV: là tổng giá trị vốn hóa toàn thị trường
Pti : Giá cổ phiếu i được giao dịch (thị giá) tại thời điểm giao dịch t
Qti: Khối lượng cổ phiếu i niêm yết tại thời điểm giao dịch t
PtixQti : là giá trị vốn hóa thị trường của cổ phiếu i (tính theo thời điểm)
2. Phân tổ chủ yếu: Sàn giao dịch.
3. Kỳ công bố: Ngày, tháng, năm.
4. Nguồn số liệu: Dữ liệu hành chính; Chế độ báo cáo thống kê ngành Tài chính.
5. Đơn vị chịu trách nhiệm thu thập, tổng hợp: Ủy ban Chứng khoán nhà nước.
0503. Khối lượng và giá trị chứng khoán giao dịch
1. Khái niệm, phương pháp tính:
Khối lượng và giá trị chứng khoán giao dịch là lượng chứng khoán và giá trị chứng khoán thực tế được khớp lệnh giữa mua và bán ở các Sở giao dịch chứng khoán.
Phương pháp tính:
Giá trị chứng khoán giao dịch bằng tổng các tích giữa khối lượng chứng khoán giao dịch với giá chứng khoán được giao dịch trên thị trường.
TTV = ΣPti x Qti
Trong đó:
TTV: là tổng giá trị chứng khoán giao dịch
Pti: là giá chứng khoán i tại thời điểm giao dịch t
Qti: là khối lượng chứng khoán i giao dịch tại thời điểm t
Pti x Qti: là giá trị giao dịch của chứng khoán i
t: là số thứ tự phiên giao dịch kể từ phiên giao dịch đầu tiên hoặc ngày giao dịch
2. Phân tổ chủ yếu: Loại chứng khoán.
3. Kỳ công bố: Ngày, tháng, năm.
4. Nguồn số liệu: Dữ liệu hành chính; Chế độ báo cáo thống kê ngành Tài chính.
5. Đơn vị chịu trách nhiệm thu thập, tổng hợp: Ủy ban Chứng khoán nhà nước.
0504. Khối lượng và giá trị chứng khoán niêm yết và đăng ký giao dịch
1. Khái niệm, phương pháp tính:
Niêm yết chứng khoán là việc đưa các chứng khoán có đủ điều kiện vào giao dịch tại Sở giao dịch chứng khoán.
2. Phân tổ chủ yếu:
- Loại chứng khoán;
- Sở giao dịch.
3. Kỳ công bố: Tháng, năm.
4. Nguồn số liệu: Chế độ báo cáo thống kê ngành Tài chính.
5. Đơn vị chịu trách nhiệm thu thập, tổng hợp: Ủy ban Chứng khoán nhà nước.
0505. Số loại chứng khoán niêm yết và đăng ký giao dịch
1. Khái niệm, phương pháp tính:
Chỉ tiêu phản ánh số loại chứng khoán niêm yết và đăng ký giao dịch. Chứng khoán niêm yết là chứng khoán (cổ phiếu, trái phiếu, v.v.) đã được Sở Giao dịch Chứng khoán chấp thuận cho giao dịch công khai sau khi đáp ứng đầy đủ các điều kiện về tài chính, quy mô và quản trị doanh nghiệp mà sàn đó quy định.
Chứng khoán đăng ký giao dịch là chứng khoán của các công ty đại chúng chưa niêm yết được đưa vào giao dịch trên hệ thống giao dịch chứng khoán dành cho cổ phiếu chưa niêm yết.
2. Phân tổ chủ yếu:
- Loại chứng khoán;
- Sở giao dịch.
3. Kỳ công bố: Tháng, năm.
4. Nguồn số liệu: Chế độ báo cáo thống kê ngành Tài chính.
5. Đơn vị chịu trách nhiệm thu thập, tổng hợp: Ủy ban Chứng khoán nhà nước.
0506. Chứng khoán niêm yết/đăng ký giao dịch mới và hủy niêm yết/đăng ký giao dịch
1. Khái niệm, phương pháp tính:
Chỉ tiêu phản ánh các chứng khoán được niêm yết/đăng ký giao dịch mới hoặc bị hủy niêm yết/đăng ký giao dịch trên thị trường.
Số loại chứng khoán niêm yết: Là tổng số mã chứng khoán đủ điều kiện niêm yết được đưa vào giao dịch trên hệ thống giao dịch cho chứng khoán niêm yết.
Số loại chứng khoán đăng ký giao dịch: Là tổng số mã chứng khoán được đưa vào giao dịch trên hệ thống giao dịch cho chứng khoán chưa niêm yết.
2. Phân tổ chủ yếu:
- Loại chứng khoán;
- Sở giao dịch.
3. Kỳ công bố: Tháng, năm.
4. Nguồn số liệu: Chế độ báo cáo thống kê ngành Tài chính.
5. Đơn vị chịu trách nhiệm thu thập, tổng hợp: Ủy ban Chứng khoán nhà nước.
0507. Số lượng công ty chứng khoán có giấy phép hoạt động
1. Khái niệm, phương pháp tính:
Số lượng công ty chứng khoán có giấy phép hoạt động là số công ty chứng khoán được Ủy ban Chứng khoán Nhà nước cấp Giấy phép thành lập và hoạt động và hiện chưa bị Ủy ban Chứng khoán nhà nước thu hồi Giấy phép thành lập và hoạt động theo quy định.
2. Phân tổ chủ yếu: Nghiệp vụ kinh doanh.
3. Kỳ công bố: Năm.
4. Nguồn số liệu: Chế độ báo cáo thống kê ngành Tài chính.
5. Đơn vị chịu trách nhiệm thu thập, tổng hợp: Ủy ban Chứng khoán nhà nước.
0508. Hoạt động đấu thầu trái phiếu
1. Khái niệm, phương pháp tính:
Đấu thầu trái phiếu là việc lựa chọn các tổ chức, cá nhân tham gia dự thầu, đáp ứng đủ các yêu cầu của tổ chức phát hành. Trái phiếu phát hành thông qua đấu thầu sẽ được niêm yết và giao dịch tại Sở Giao dịch Chứng khoán.
Chỉ tiêu này phản ánh quy mô huy động vốn của Chính phủ và các tổ chức kinh tế thông qua phát hành và đấu thầu trái phiếu.
2. Phân tổ chủ yếu:
- Loại trái phiếu;
- Kỳ hạn.
3. Kỳ công bố: Tháng, năm.
4. Nguồn số liệu: Chế độ báo cáo thống kê ngành Tài chính.
5. Đơn vị chịu trách nhiệm thu thập, tổng hợp: Ủy ban Chứng khoán nhà nước.
0509. Hoạt động đấu giá cổ phần
1. Khái niệm, phương pháp tính:
Là việc bán công khai cổ phần của doanh nghiệp cho các nhà đầu tư có sự cạnh tranh về giá. Theo quy định hiện nay, hoạt động đấu giá cổ phần được thực hiện qua Sở Giao dịch Chứng khoán.
2. Phân tổ chủ yếu: Loại nhà đầu tư.
3. Kỳ công bố: Tháng, năm.
4. Nguồn số liệu: Chế độ báo cáo thống kê ngành Tài chính.
5. Đơn vị chịu trách nhiệm thu thập, tổng hợp: Ủy ban Chứng khoán nhà nước.
0510. Số tài khoản của nhà đầu tư trên thị trường chứng khoán
1. Khái niệm, phương pháp tính:
Nhà đầu tư trên thị trường chứng khoán bao gồm: Nhà đầu tư trong nước (cá nhân, tổ chức) và nhà đầu tư nước ngoài (cá nhân, tổ chức).
2. Phân tổ chủ yếu:
- Phân tổ cấp 1: Trong nước, nước ngoài.
- Phân tổ cấp 2: Tổ chức, cá nhân.
3. Kỳ công bố: Tháng.
4. Nguồn số liệu: Chế độ báo cáo thống kê ngành Tài chính.
5. Đơn vị chịu trách nhiệm thu thập, tổng hợp: Ủy ban Chứng khoán nhà nước.
0511. Tình hình mở/đóng tài khoản của nhà đầu tư
1. Khái niệm, phương pháp tính:
Tại mỗi thành viên lưu ký (TVLK), nhà đầu tư được mở một tài khoản lưu ký chứng khoán để thực hiện giao dịch các chứng khoán lưu ký. TVLK có trách nhiệm cập nhật thông tin mở, đóng tài khoản giao dịch chứng khoán của nhà đầu tư (trong nước và nước ngoài) để báo cáo Trung tâm Lưu ký Chứng khoán theo quy định.
2. Phân tổ chủ yếu: Loại nhà đầu tư.
3. Kỳ công bố: Tháng, năm.
4. Nguồn số liệu: Chế độ báo cáo thống kê ngành Tài chính.
5. Đơn vị chịu trách nhiệm thu thập, tổng hợp: Ủy ban Chứng khoán nhà nước.
0512. Hoạt động lưu ký chứng khoán
1. Khái niệm, phương pháp tính:
Lưu ký chứng khoán là việc nhận ký gửi, bảo quản, chuyển giao chứng khoán cho khách hàng, giúp khách hàng thực hiện các quyền liên quan đến sở hữu chứng khoán.
2. Phân tổ chủ yếu: Loại chứng khoán.
3. Kỳ công bố: Tháng.
4. Nguồn số liệu: Chế độ báo cáo thống kê ngành Tài chính.
5. Đơn vị chịu trách nhiệm thu thập, tổng hợp: Ủy ban Chứng khoán nhà nước.
0513. Giao dịch trái phiếu Chính phủ
1. Khái niệm, phương pháp tính:
- Giao dịch mua bán thông thường là giao dịch trái phiếu Chính phủ (TPCP) trong đó một bên bán và chuyển giao quyền sở hữu TPCP cho một bên khác và không kèm theo cam kết mua lại TPCP.
- Giao dịch mua bán lại là giao dịch TPCP trong đó một bên bán và chuyển giao quyền sở hữu TPCP cho một bên khác, đồng thời cam kết sẽ mua lại và nhận lại quyền sở hữu TPCP đó sau một thời gian xác định với một mức giá xác định.
2. Phân tổ chủ yếu: Loại giao dịch.
3. Kỳ công bố: Ngày, năm.
4. Nguồn số liệu: Chế độ báo cáo thống kê ngành Tài chính.
5. Đơn vị chịu trách nhiệm thu thập, tổng hợp: Ủy ban Chứng khoán nhà nước.
0514. Công ty quản lý quỹ và quỹ đầu tư chứng khoán
1. Khái niệm, phương pháp tính:
Là chỉ tiêu phản ánh số lượng công ty quản lý quỹ/quỹ đầu tư chứng khoán được Ủy ban Chứng khoán Nhà nước cấp phép thành lập và hoạt động/cấp giấy chứng nhận thành lập và đang hoạt động.
2. Phân tổ chủ yếu: Loại hình quỹ.
3. Kỳ công bố: Tháng, năm.
4. Nguồn số liệu: Chế độ báo cáo thống kê ngành Tài chính.
5. Đơn vị chịu trách nhiệm thu thập, tổng hợp: Ủy ban Chứng khoán nhà nước.
0515. Giá trị huy động vốn qua phát hành cổ phiếu trên thị trường chứng khoán
1. Khái niệm, phương pháp tính:
Giá trị huy động vốn qua phát hành cổ phiếu trên thị trường chứng khoán phản ánh tình hình huy động vốn của các doanh nghiệp thông qua việc phát hành cổ phiếu trên thị trường chứng khoán, được tính bằng tổng các tích giữa khối lượng các loại cổ phiếu phát hành trên thị trường chứng khoán với giá cổ phiếu phát hành trong một thời kỳ.
Chỉ tiêu được tổng hợp từ nguồn số liệu báo cáo theo quy định của Luật Chứng khoán và chế độ báo cáo thống kê áp dụng đối với các Sở Giao dịch Chứng khoán, Trung tâm Lưu ký Chứng khoán Việt Nam và các đơn vị thuộc Ủy ban Chứng khoán Nhà nước.
2. Phân tổ chủ yếu: Loại chứng khoán.
3. Kỳ công bố: Tháng, năm.
4. Nguồn số liệu: Chế độ báo cáo thống kê ngành Tài chính.
5. Đơn vị chịu trách nhiệm thu thập, tổng hợp: Ủy ban Chứng khoán nhà nước.
0516. Khối lượng và giá trị chứng khoán phái sinh giao dịch
1. Khái niệm, phương pháp tính:
Khối lượng và giá trị chứng khoán giao dịch là lượng chứng khoán và giá trị chứng khoán thực tế được khớp lệnh giữa mua và bán ở các Sở giao dịch chứng khoán.
2. Phân tổ chủ yếu:
- Loại chứng khoán phái sinh;
- Sở giao dịch.
3. Kỳ công bố: Ngày, năm.
4. Nguồn số liệu: Chế độ báo cáo thống kê ngành Tài chính.
5. Đơn vị chịu trách nhiệm thu thập, tổng hợp: Ủy ban Chứng khoán nhà nước.
0517. Tỷ lệ vốn hóa thị trường cổ phiếu so với tổng sản phẩm trong nước
1. Khái niệm, phương pháp tính:
Tỷ lệ vốn hóa thị trường cổ phiếu so với tổng sản phẩm trong nước là tỷ lệ phần trăm giữa tổng giá trị vốn hóa thị trường cổ phiếu so với tổng sản phẩm trong nước của một thời kỳ nhất định (thường là một năm) theo giá thực tế.
Công thức tính:
| Tỷ lệ vốn hóa thị trường cổ phiếu so với tổng sản phẩm trong nước (%) | = | Tổng giá trị vốn hóa thị trường cổ phiếu thời điểm cuối năm | x 100 |
| Tổng sản phẩm trong nước cùng năm |
2. Phân tổ chủ yếu: Sàn giao dịch chứng khoán.
3. Kỳ công bổ: Năm.
4. Nguồn số liệu: Chế độ báo cáo thống kê ngành Tài chính.
5. Đơn vị chịu trách nhiệm thu thập, tổng hợp: Ủy ban Chứng khoán nhà nước.
0518. Tốc độ tăng giá trị vốn hóa thị trường cổ phiếu
1. Khái niệm, phương pháp tính:
Tốc độ tăng giá trị vốn hóa thị trường cổ phiếu được tính theo công thức sau:
| Tốc độ tăng giá trị vốn hóa thị trường cổ phiếu (%) | = | Giá trị vốn hóa thị trường cổ phiếu năm t | x 100 - 100 |
| Giá trị vốn hóa thị trường cổ phiếu năm t-1 |
2. Kỳ công bố: Năm.
3. Nguồn số liệu: Chế độ báo cáo thống kê ngành Tài chính.
4. Đơn vị chịu trách nhiệm thu thập, tổng hợp: Ủy ban Chứng khoán nhà nước.
06. NHÓM CHỈ TIÊU THỐNG KÊ QUẢN LÝ TRÁI PHIẾU
Khái niệm, phương pháp tính chung:
- Công cụ nợ của Chính phủ (Khái niệm, phương pháp tính công cụ nợ của Chính phủ tại mục 03. Nhóm chỉ tiêu thống kê nợ công).
+ Các loại công cụ nợ của Chính phủ:
• Tín phiếu kho bạc.
• Trái phiếu Chính phủ.
• Công trái xây dựng Tổ quốc.
+ Phương thức phát hành:
Công cụ nợ của Chính phủ được phát hành tại thị trường trong nước theo các phương thức phát hành sau: đấu thầu phát hành, bảo lãnh phát hành và bán lẻ qua hệ thống Kho bạc Nhà nước.
- Trái phiếu được Chính phủ bảo lãnh (Khái niệm, phương pháp tính Trái phiếu được Chính phủ bảo lãnh tại mục 03. Nhóm chỉ tiêu thống kê nợ công).
+ Phương thức phát hành: .
• Đối với doanh nghiệp: đấu thầu phát hành, bảo lãnh phát hành, đại lý, bán lẻ (đối với doanh nghiệp phát hành là tổ chức tín dụng).
• Đối với các ngân hàng chính sách: đấu thầu phát hành trái phiếu qua Sở Giao dịch Chứng khoán.
- Trái phiếu chính quyền địa phương (xem Khái niệm, phương pháp tính Trái phiếu Chính quyền địa phương tại mục 03. Nhóm chỉ tiêu thống kê về lĩnh vực nợ công).
+ Phương thức phát hành:
Trái phiếu chính quyền địa phương được phát hành tại thị trường trong nước theo các phương thức sau: đấu thầu, bảo lãnh phát hành.
- Trái phiếu doanh nghiệp là loại chứng khoán có kỳ hạn từ 01 năm trở lên do doanh nghiệp phát hành, xác nhận quyền và lợi ích hợp pháp của người sở hữu đối với một phần nợ của doanh nghiệp phát hành.
+ Phương thức phát hành:
Trái phiếu doanh nghiệp được phát hành thông qua các phương thức sau: đấu thầu phát hành, bảo lãnh phát hành, đại lý phát hành, bán trực tiếp cho nhà đầu tư trái phiếu (đối với doanh nghiệp phát hành là tổ chức tín dụng).
- Phát hành trái phiếu là việc chủ thể phát hành bán trái phiếu cho các đối tượng mua trái phiếu.
0601. Kế hoạch phát hành trái phiếu
1. Khái niệm, phương pháp tính:
Chỉ tiêu phản ánh kế hoạch phát hành trái phiếu được cấp có thẩm quyền phê duyệt.
2. Phân tổ chủ yếu:
- Loại trái phiếu;
- Phương thức phát hành;
- Kỳ hạn;
- Thị trường (trong nước/quốc tế).
3. Kỳ công bố: Quý, năm.
4. Nguồn số liệu: Chế độ báo cáo thống kê ngành Tài chính.
5. Đơn vị chịu trách nhiệm thu thập, tổng hợp:
- Vụ Các định chế tài chính chủ trì thu thập, tổng hợp:
+ Số liệu về quản lý chung về trái phiếu theo các phân tổ: loại trái phiếu, kỳ hạn và thị trường với kỳ công bố năm;
+ Số liệu về trái phiếu được Chính phủ bảo lãnh theo các phân tổ: phương thức phát hành, kỳ hạn với kỳ công bố quý, năm;
- Kho bạc Nhà nước cung cấp số liệu kế hoạch phát hành trái phiếu Chính phủ với kỳ công bố Quý, năm;
- Vụ Ngân sách Nhà nước tổng hợp số liệu từ Sở Tài chính tỉnh/thành phố trực thuộc Trung ương.
- Sở Tài chính tỉnh/thành phố trực thuộc Trung ương chủ trì thu thập, tổng hợp số liệu về trái phiếu chính quyền địa phương theo các phân tổ: phương thức phát hành và kỳ hạn với kỳ công bố năm.
0602. Kết quả phát hành trái phiếu
1. Khái niệm, phương pháp tính:
Chỉ tiêu phản ánh kết quả phát hành trái phiếu.
Chỉ tiêu được tổng hợp từ nguồn số liệu báo cáo theo quy định của Nghị định về phát hành trái phiếu Chính phủ, trái phiếu được Chính phủ bảo lãnh và trái phiếu chính quyền địa phương và hướng dẫn phát hành và thanh toán công cụ nợ của Chính phủ tại thị trường trong nước.
2. Phân tổ chủ yếu:
- Loại trái phiếu;
- Phương thức phát hành;
- Kỳ hạn;
- Lãi suất phát hành bình quân;
- Thị trường (trong nước/quốc tế).
3. Kỳ công bố: Tháng, quý, năm.
4. Nguồn số liệu: Chế độ báo cáo thống kê ngành Tài chính.
5. Đơn vị chịu trách nhiệm thu thập, tổng hợp:
- Vụ Các định chế tài chính chủ trì thu thập, tổng hợp:
+ Số liệu về quản lý chung về trái phiếu theo các phân tổ: loại trái phiếu, kỳ hạn, lãi suất phát hành bình quân (nếu có) và thị trường (nếu có) với kỳ công bố năm;
+ Số liệu về trái phiếu được Chính phủ bảo lãnh theo các phân tổ: kỳ hạn, lãi suất phát hành bình quân với kỳ công bố quý, năm;
- KBNN chủ trì thu thập, tổng hợp số liệu về trái phiếu Chính phủ theo các phân tổ: loại công cụ nợ, kỳ hạn với kỳ công bố quý, năm;
- Ủy ban Chứng khoán cung cấp số liệu về trái phiếu doanh nghiệp.
- Vụ Ngân sách Nhà nước tổng hợp số liệu từ Sở Tài chính tỉnh/ thành phố trực thuộc Trung ương.
- Sở Tài chính tỉnh/thành phố trực thuộc Trung ương chủ trì thu thập, tổng hợp số liệu về trái phiếu chính quyền địa phương theo các phân tổ: phương thức phát hành, kỳ hạn, lãi suất phát hành với kỳ công bố là tháng và năm.
0603. Thanh toán trái phiếu
1. Khái niệm, phương pháp tính:
Chỉ tiêu phản ánh tình hình thanh toán trái phiếu.
Các loại chi phí liên quan đến thanh toán trái phiếu bao gồm: gốc, lãi, phí phát hành, phí thanh toán gốc, lãi trái phiếu, chi phí khác (nếu có).
Chỉ tiêu được tổng hợp từ nguồn số liệu báo cáo theo quy định của Nghị định về phát hành trái phiếu Chính phủ, trái phiếu được Chính phủ bảo lãnh và trái phiếu chính quyền địa phương và hướng dẫn phát hành và thanh toán công cụ nợ của Chính phủ tại thị trường trong nước.
2. Phân tổ chủ yếu:
- Loại trái phiếu;
3. Kỳ công bố: 6 tháng, năm.
4. Nguồn số liệu: Chế độ báo cáo thống kê ngành Tài chính.
5. Đơn vị chịu trách nhiệm thu thập, tổng hợp:
- Kho bạc Nhà nước cung cấp số liệu thanh toán trái phiếu Chính phủ theo các phân tổ: Loại công cụ nợ với kỳ công bố 6 tháng, năm;
- Vụ Ngân sách Nhà nước tổng hợp số liệu từ Sở Tài chính tỉnh/ thành phố trực thuộc Trung ương.
- Sở Tài chính tỉnh/thành phố trực thuộc Trung ương chủ trì thu thập, tổng hợp số liệu về trái phiếu chính quyền địa phương theo các phân tổ: kỳ hạn và loại chi phí với kỳ công bố năm.
0604. Mua lại, hoán đổi trái phiếu chính quyền địa phương
1. Khái niệm, phương pháp tính:
Chỉ tiêu phản ánh tình hình mua lại, hoán đổi trái phiếu chính quyền địa phương.
- Ủy ban nhân dân cấp tỉnh có thể mua lại trái phiếu trước hạn để giảm nghĩa vụ nợ hoặc để cơ cấu lại nợ theo phương án được xem xét, phê duyệt.
- Hoán đổi trái phiếu là việc mua, bán hai mã trái phiếu khác nhau của cùng một chủ thể phát hành tại cùng một thời điểm với mục tiêu cơ cấu lại danh mục nợ.
2. Phân tổ chủ yếu: Mã trái phiếu.
3. Kỳ công bố: Tháng, năm.
4. Nguồn số liệu: Chế độ báo cáo thống kê ngành Tài chính.
5. Đơn vị chịu trách nhiệm thu thập, tổng hợp: Sở Tài chính tỉnh/thành phố trực thuộc Trung ương.
Vụ Ngân sách Nhà nước tổng hợp số liệu từ Sở Tài chính tỉnh/ thành phố trực thuộc Trung ương.
0605. Quy mô thị trường trái phiếu so với tổng sản phẩm trong nước
1. Khái niệm, phương pháp tính:
Quy mô thị trường trái phiếu so với tổng sản phẩm trong nước là tổng giá trị theo mệnh giá của trái phiếu chưa đáo hạn trên thị trường so với tổng sản phẩm trong nước.
Thị trường trái phiếu bao gồm trái phiếu Chính phủ, trái phiếu được Chính phủ bảo lãnh, trái phiếu chính quyền địa phương và trái phiếu doanh nghiệp.
Công thức tính:
| Quy mô thị trường trái phiếu so với tổng sản phẩm trong nước (%) | = | Tổng giá trị theo mệnh giá của trái phiếu chưa đáo hạn trên thị trường | x 100 |
| Tổng sản phẩm trong nước |
2. Phân tổ chủ yếu: Loại trái phiếu.
3. Kỳ công bố: 6 tháng, Năm.
4. Nguồn số liệu: Chế độ báo cáo thống kê ngành Tài chính.
5. Đơn vị chịu trách nhiệm thu thập, tổng hợp: Vụ Các định chế tài chính chủ trì tổng hợp từ Kho bạc nhà nước (cung cấp số liệu về trái phiếu Chính phủ), Vụ Ngân sách nhà nước (cung cấp số liệu về trái phiếu chính quyền địa phương) và Ủy ban Chứng khoán Nhà nước (cung cấp số liệu về trái phiếu doanh nghiệp).
0606. Tốc độ tăng quy mô thị trường trái phiếu
1. Khái niệm, phương pháp tính:
Tốc độ tăng quy mô thị trường trái phiếu được tính theo công thức sau:
| Tốc độ tăng quy mô thị trường trái phiếu (%) | = | Tổng giá trị theo mệnh giá của trái phiếu chưa đáo hạn trên thị trường năm t | x 100 - 100 |
| Tổng giá trị theo mệnh giá của trái phiếu chưa đáo hạn trên thị trường năm t-1 |
2. Phân tổ chủ yếu: Mệnh giá trái phiếu.
3. Kỳ công bố: Năm.
4. Nguồn số liệu: Chế độ báo cáo thống kê ngành Tài chính.
5. Đơn vị chịu trách nhiệm thu thập, tổng hợp: Vụ Các định chế tài chính chủ trì tổng hợp từ Kho bạc nhà nước (cung cấp số liệu về trái phiếu Chính phủ), Vụ Ngân sách nhà nước (cung cấp số liệu về trái phiếu chính quyền địa phương) và Ủy ban Chứng khoán Nhà nước (cung cấp số liệu về trái phiếu doanh nghiệp).
0607. Tổng giá trị phát hành trái phiếu
1. Khái niệm, phương pháp tính:
Tổng giá trị phát hành trái phiếu bao gồm: Trái phiếu Chính phủ, trái phiếu được Chính phủ bảo lãnh, trái phiếu chính quyền địa phương và trái phiếu doanh nghiệp.
2. Phân tổ chủ yếu: cấp quản lý (trung ương/địa phương).
3. Kỳ công bố: Năm.
4. Nguồn số liệu: Chế độ báo cáo thống kê ngành Tài chính.
5. Đơn vị chịu trách nhiệm thu thập, tổng hợp: Vụ Các định chế tài chính chủ trì tổng hợp từ Kho bạc nhà nước (cung cấp số liệu về trái phiếu Chính phủ), Vụ Ngân sách nhà nước (cung cấp số liệu về trái phiếu chính quyền địa phương) và Ủy ban Chứng khoán Nhà nước (cung cấp số liệu về trái phiếu doanh nghiệp).
07. NHÓM CHỈ TIÊU THỐNG KÊ KINH DOANH BẢO HIỂM
Khái niệm, phương pháp tính chung:
Kinh doanh bảo hiểm là hoạt động của doanh nghiệp bảo hiểm, chi nhánh doanh nghiệp bảo hiểm phi nhân thọ nước ngoài, tổ chức tương hỗ cung cấp bảo hiểm vi mô chấp nhận rủi ro của người được bảo hiểm, trên cơ sở bên mua bảo hiểm đóng phí bảo hiểm để doanh nghiệp bảo hiểm, chi nhánh doanh nghiệp bảo hiểm phi nhân thọ nước ngoài, tổ chức tương hỗ cung cấp bảo hiểm vi mô bồi thường, trả tiền bảo hiểm khi xảy ra sự kiện bảo hiểm theo thỏa thuận trong hợp đồng bảo hiểm.
0701. Doanh thu phí bảo hiểm
1. Khái niệm, phương pháp tính;
Công thức tính:
| Doanh thu phí bảo hiểm | = | Doanh thu phí bảo hiểm phi nhân thọ | + | Doanh thu phí bảo hiểm nhân thọ |
* Doanh thu phí bảo hiểm phi nhân thọ
Chỉ tiêu này phản ánh tổng doanh thu phí bảo hiểm gốc và nhận tái bảo hiểm sau khi trừ (-) các khoản, gồm: giảm phí bảo hiểm gốc, giảm phí nhận tái bảo hiểm, hoàn phí bảo hiểm gốc, hoàn phí nhận tái bảo hiểm và chênh lệch tăng, giảm dự phòng phí bảo hiểm gốc và nhận tái bảo hiểm trong kỳ báo cáo của doanh nghiệp bảo hiểm phi nhân thọ.
Công thức tính:
| Doanh thu phí bảo hiểm | = | Phí bảo hiểm gốc | + | Phí nhận tái bảo hiểm | - | Tăng (giảm) dự phòng phí bảo hiểm gốc và nhận tái bảo hiểm |
Trong đó:
- Phí bảo hiểm gốc: Chỉ tiêu này phản ánh tổng số doanh thu phí bảo hiểm gốc sau khi trừ (-) các khoản giảm phí bảo hiểm gốc, hoàn phí bảo hiểm gốc phát sinh trong kỳ báo cáo của doanh nghiệp bảo hiểm phi nhân thọ;
- Phí nhận tái bảo hiểm: Chỉ tiêu này phản ánh tổng số doanh thu phí nhận tái bảo hiểm sau khi trừ (-) các khoản giảm phí nhận tái bảo hiểm, hoàn phí nhận tái bảo hiểm phát sinh trong kỳ báo cáo của doanh nghiệp bảo hiểm phi nhân thọ;
- Tăng (giảm) dự phòng phí bảo hiểm gốc và nhận tái bảo hiểm: Chỉ tiêu này phản ánh số chênh lệch tăng, giảm dự phòng phí bảo hiểm gốc và nhận tái bảo hiểm chưa được hưởng, là số chênh lệch giữa số dự phòng phí bảo hiểm gốc và nhận tái bảo hiểm phải trích trong năm tài chính với số dự phòng phí bảo hiểm gốc và nhận tái bảo hiểm năm trước chuyển sang.
* Doanh thu phí bảo hiểm nhân thọ
Chỉ tiêu này phản ánh tổng doanh thu phí bảo hiểm gốc và nhận tái bảo hiểm sau khi trừ (-) các khoản, gồm: giảm phí bảo hiểm gốc, giảm phí nhận tái bảo hiểm, hoàn phí bảo hiểm gốc, hoàn phí nhận tái bảo hiểm và chênh lệch tăng, giảm dự phòng phí chưa được hưởng của bảo hiểm gốc và nhận tái bảo hiểm trong kỳ báo cáo của doanh nghiệp bảo hiểm nhân thọ.
| Doanh thu phí bảo hiểm | = | Phí bảo hiểm gốc | + | Phí nhận tái bảo hiểm | - | Tăng (giảm) dự phòng phí bảo hiểm gốc và nhận tái bảo hiểm chưa được hưởng |
Trong đó:
- Phí bảo hiểm gốc: Chỉ tiêu này phản ánh tổng số doanh thu phí bảo hiểm gốc sau khi trừ (-) các khoản giảm phí bảo hiểm gốc, hoàn phí bảo hiểm gốc phát sinh trong kỳ báo cáo của doanh nghiệp bảo hiểm nhân thọ;
- Phí nhận tái bảo hiểm: Chỉ tiêu này phản ánh tổng số doanh thu phí nhận tái bảo hiểm sau khi trừ (-) các khoản giảm phí nhận tái bảo hiểm, hoàn phí nhận tái bảo hiểm phát sinh trong kỳ báo cáo của doanh nghiệp bảo hiểm nhân thọ;
- Tăng (giảm) dự phòng phí bảo hiểm gốc và nhận tái bảo hiểm chưa được hưởng: Chỉ tiêu này phản ánh số chênh lệch tăng, giảm dự phòng phí bảo hiểm gốc và nhận tái bảo hiểm chưa được hưởng, là số chênh lệch giữa số dự phòng phí bảo hiểm gốc và nhận tái bảo hiểm chưa được hưởng phải trích trong năm tài chính với số dự phòng phí bảo hiểm gốc và nhận tái bảo hiểm chưa được hưởng năm trước chuyển sang.
Ghi chú: Chỉ tiêu này do Cơ quan Thống kê Trung ương công bố.
2. Phân tổ chủ yếu:
- Loại hình doanh nghiệp;
- Nghiệp vụ bảo hiểm.
3. Kỳ công bố: Quý, năm.
4. Nguồn số liệu: Chế độ báo cáo thống kê ngành Tài chính.
5. Đơn vị chịu trách nhiệm thu thập, tổng hợp: Cục Quản lý, giám sát bảo hiểm.
0702. Chi bồi thường và trả tiền bảo hiểm
1. Khái niệm, phương pháp tính:
| Tổng chi trả bảo hiểm | = | Chi bồi thường bảo hiểm phi nhân thọ | + | Chi bồi thường và trả tiền bảo hiểm nhân thọ |
* Chỉ bồi thường bảo hiểm phi nhân thọ
Chỉ tiêu này phản ánh tổng số chi bồi thường bảo hiểm gốc và nhận tái bảo hiểm và các khoản chi liên quan đến hoạt động bồi thường khi xảy ra tai : nạn tổn thất sau khi trừ (-) các khoản phải thu ghi giảm chi bồi thường, gồm: thu đòi người thứ ba bồi hoàn, thu hàng đã xử lý bồi thường 100% của doanh nghiệp bảo hiểm phi nhân thọ phát sinh trong kỳ báo cáo.
Công thức tính:
| Chi bồi thường | = | Tổng chi bồi thường | - | Các khoản giảm trừ |
Trong đó:
- Tổng chi bồi thường: Chỉ tiêu này phản ánh tổng số chi bồi thường bảo hiểm gốc và nhận tái bảo hiểm và các khoản chi liên quan đến hoạt động bồi thường khi xảy ra tai nạn tổn thất như chi bồi thường cho người được bảo hiểm, chi giảm định tổn thất, chi điều tra, thu thập thông tin liên quan đến sự kiện bảo hiểm, chi xử lý hàng tổn thất đã được giải quyết bồi thường 100% của doanh nghiệp bảo hiểm phi nhân thọ phát sinh trong kỳ báo cáo;
- Các khoản giảm trừ: Chỉ tiêu này phản ánh tổng số thu giảm chi bồi thường bảo hiểm gốc và nhận tái bảo hiểm gồm thu đòi người thứ ba bồi hoàn, thu hàng đã xử lý bồi thường 100% của doanh nghiệp bảo hiểm phi nhân thọ phát sinh trong kỳ báo cáo.
* Tổng chi bồi thường và trả tiền bảo hiểm nhân thọ
Chỉ tiêu này là chỉ tiêu tổng hợp phản ánh tổng chi phí bồi thường và trả tiền bảo hiểm của DNBH nhân thọ sau khi trừ (-) các khoản thu giảm chi phí bồi thường và trả tiền bảo hiểm (như thu bồi thường nhượng tái bảo hiểm) và sau khi điều chỉnh các khoản tăng giảm dự phòng nghiệp vụ bảo hiểm gốc và nhận tái bảo hiểm phát sinh trong kỳ báo cáo.
Công thức tính:
| Tổng chi bồi thường và trả tiền bảo hiểm | = | Chi bồi thường và trả tiền bảo hiểm | - | Thu bồi thường nhượng tái bảo hiểm | + | Tăng (giảm) dự phòng nghiệp vụ bảo hiểm gốc | + | Tăng (giảm) dự phòng nghiệp vụ nhận tái bảo hiểm |
Trong đó:
- Chi bồi thường và trả tiền bảo hiểm: Chỉ tiêu này là chỉ tiêu phản ánh tổng số chi bồi thường và trả tiền bảo hiểm của doanh nghiệp bảo hiểm nhân thọ phát sinh trong kỳ báo cáo;
- Thu bồi thường nhượng tái bảo hiểm: Chỉ tiêu này phản ánh số chi bồi thường và trả tiền bảo hiểm phải thu của doanh nghiệp nhận tái bảo hiểm để giảm chi bồi thường và trả tiền bảo hiểm của doanh nghiệp bảo hiểm nhân thọ trong kỳ báo cáo;
- Tăng (giảm) dự phòng nghiệp vụ bảo hiểm gốc: Chỉ tiêu này phản ánh số tăng, giảm dự phòng nghiệp vụ bảo hiểm gốc, là số chênh lệch giữa số dự phòng nghiệp vụ bảo hiểm gốc phải trích trong năm tài chính với số dự phòng nghiệp vụ bảo hiểm gốc năm trước chuyển sang;
- Tăng (giảm) dự phòng nghiệp vụ nhận tái bảo hiểm: Chỉ tiêu này phản ánh số tăng, giảm dự phòng nghiệp vụ nhận tái bảo hiểm, là số chênh lệch giữa số dự phòng nghiệp vụ nhận tái bảo hiểm phải trích trong năm tài chính với số dự phòng nghiệp vụ nhận tái bảo hiểm năm trước chuyển sang.
Ghi chú: Chỉ tiêu này do Cơ quan Thống kê Trung ương công bố.
2. Phân tổ chủ yếu:
- Loại hình doanh nghiệp;
- Nghiệp vụ bảo hiểm.
3. Kỳ công bố: Quý, năm.
4. Nguồn số liệu: Chế độ báo cáo thống kê ngành Tài chính.
5. Đơn vị chịu trách nhiệm thu thập, tổng hợp: Cục Quản lý, giám sát bảo hiểm.
0703. Tổng tài sản
1. Khái niệm, phương pháp tính:
Tổng tài sản là giá trị của tất cả các loại tài sản hiện có của doanh nghiệp kể cả các loại tài sản có tính chất hữu hình như nhà xưởng, máy móc, thiết bị, vật tư, sản phẩm, hàng hóa,... và các loại tài sản có tính chất vô hình như phần mềm máy tính, bằng phát minh sáng chế, lợi thế thương mại, bản quyền,...
Tổng tài sản = Nợ phải trả + Nguồn vốn chủ sở hữu
* Tổng tài sản Doanh nghiệp phi nhân thọ
Tổng tài sản = Tài sản ngắn hạn + Tài sản dài hạn
* Tổng tài sản Doanh nghiệp nhân thọ
Tổng tài sản = Tài sản ngắn hạn + Tài sản dài hạn
2. Phân tổ chủ yếu: Loại hình doanh nghiệp.
3. Kỳ công bố: Quý, năm.
4. Nguồn số liệu: Chế độ báo cáo thống kê ngành Tài chính.
5. Đơn vị chịu trách nhiệm thu thập, tổng hợp: Cục Quản lý, giám sát bảo hiểm.
0704. Vốn chủ sở hữu
1. Khái niệm, phương pháp tính:
Vốn chủ sở hữu bao gồm vốn điều lệ đã góp, vốn được cấp của chi nhánh nước ngoài tại Việt Nam, các quỹ dự trữ, lợi nhuận sau thuế chưa phân phối, các quỹ thuộc chủ sở hữu được trích lập từ lợi nhuận sau thuế theo quy định.
- Vốn điều lệ là tổng số tiền do thành viên đã góp hoặc cam kết góp khi thành lập công ty trách nhiệm hữu hạn, là tổng giá trị mệnh giá cổ phần đã bán hoặc được đăng ký mua khi thành lập công ty cổ phần và được ghi vào điều lệ của doanh nghiệp bảo hiểm, doanh nghiệp tái bảo hiểm.
- Vốn được cấp của chi nhánh nước ngoài tại Việt Nam là số vốn do doanh nghiệp bảo hiểm phi nhân thọ nước ngoài, doanh nghiệp tái bảo hiểm nước ngoài cấp cho chi nhánh tại Việt Nam.
- Doanh nghiệp bảo hiểm, doanh nghiệp tái bảo hiểm, chi nhánh nước ngoài tại Việt Nam phải trích lập quỹ dự trữ bắt buộc để bổ sung vốn chủ sở hữu và bảo đảm khả năng thanh toán. Quỹ dự trữ bắt buộc được trích hằng năm theo tỷ lệ 05% lợi nhuận sau thuế cho đến khi bằng mức tối đa theo quy định của Chính phủ. Ngoài quỹ dự trữ bắt buộc, doanh nghiệp bảo hiểm, doanh nghiệp tái bảo hiểm, chi nhánh nước ngoài tại Việt Nam có thể lập các quỹ dự trữ khác từ lợi nhuận sau thuế của năm tài chính theo quy định tại điều lệ của doanh nghiệp bảo hiểm, doanh nghiệp tái bảo hiểm, quy chế tổ chức và hoạt động của chi nhánh nước ngoài tại Việt Nam.
* Vốn chủ sở hữu Doanh nghiệp phi nhân thọ
* Vốn chủ sở hữu Doanh nghiệp nhân thọ
2. Phân tổ chủ yếu: Loại hình doanh nghiệp.
3. Kỳ công bố: Quý, năm.
4. Nguồn số liệu: Chế độ báo cáo thống kê ngành Tài chính.
5. Đơn vị chịu trách nhiệm thu thập, tổng hợp: Cục Quản lý, giám sát bảo hiểm.
0705. Trích lập dự phòng nghiệp vụ
1. Khái niệm, phương pháp tính:
Dự phòng nghiệp vụ là khoản tiền mà doanh nghiệp bảo hiểm, doanh nghiệp tái bảo hiểm, chi nhánh nước ngoài tại Việt Nam phải trích lập nhằm mục đích thanh toán cho những trách nhiệm bảo hiểm có thể phát sinh từ các hợp đồng bảo hiểm đã giao kết.
(A). Dự phòng nghiệp vụ đối với bảo hiểm phi nhân thọ
Dự phòng nghiệp vụ là chỉ tiêu tổng hợp phản ánh các khoản dự phòng nghiệp vụ chưa sử dụng tại thời điểm báo cáo.
Công thức tính:
| Dự phòng nghiệp vụ | = | Dự phòng phí bảo hiểm gốc và nhận tái bảo hiểm | + | Dự phòng bồi thường bảo hiểm gốc và nhận tái bảo hiểm | + | Dự phòng dao động lớn |
Trong đó:
- Dự phòng phí bảo hiểm gốc và nhận tái bảo hiểm: Chỉ tiêu này phản ánh các khoản dự phòng phí bảo hiểm gốc và nhận tái bảo hiểm chưa được hưởng tại thời điểm báo cáo;
- Dự phòng bồi thường bảo hiểm gốc và nhận tái bảo hiểm: Chỉ tiêu này phản ánh khoản dự phòng bồi thường bảo hiểm gốc và nhận tái bảo hiểm hiện có tại thời điểm báo cáo;
- Dự phòng dao động lớn: Chỉ tiêu này phản ánh các khoản dự phòng dao động lớn hiện có tại thời điểm báo cáo.
(B). Dự phòng nghiệp vụ đối với bảo hiểm nhân thọ
Dự phòng nghiệp vụ là chỉ tiêu tổng hợp phản ánh các khoản dự phòng nghiệp vụ chưa sử dụng tại thời điểm báo cáo.
Công thức tính:
| Dự phòng nghiệp vụ | = | Dự phòng toán học | + | Dự phòng phí chưa được hưởng | + | Dự phòng bồi thường | + | Dự phòng chia lãi | + | Dự phòng bảo đảm cân đối | + | Dự phòng bảo đảm khả năng thanh toán bổ sung | + | Dự phòng lãi cam kết đầu tư tối thiểu | + | Dự phòng dao động lớn |
Trong đó:
- Dự phòng toán học là chỉ tiêu phản ánh số dự phòng toán học của DNBH nhân thọ tại thời điểm báo cáo;
- Dự phòng phí chưa được hưởng là chỉ tiêu phản ánh số dự phòng phí chưa được hưởng của DNBH nhân thọ tại thời điểm báo cáo;
- Dự phòng bồi thường là chỉ tiêu phản ánh số dự phòng bồi thường của DNBH nhân thọ tại thời điểm báo cáo;
- Dự phòng chia lãi là chỉ tiêu phản ánh số dự phòng chia lãi của DNBH nhân thọ tại thời điểm báo cáo;
- Dự phòng bảo đảm cân đối là chỉ tiêu phản ánh số dự phòng bảo đảm cân đối của DNBH nhân thọ tại thời điểm báo cáo;
- Dự phòng bảo đảm khả năng thanh toán bổ sung là chỉ tiêu phản ánh số dự phòng bảo đảm khả năng thanh toán bổ sung của DNBH nhân thọ tại thời điểm báo cáo;
- Dự phòng lãi cam kết đầu tư tối thiểu là chỉ tiêu phản ánh số dự phòng lãi cam kết đầu tư tối thiểu của DNBH nhân thọ tại thời điểm báo cáo;
- Dự phòng khác là chỉ tiêu phản ánh số dự phòng khác của DNBH nhân thọ tại thời điểm báo cáo.
2. Phân tổ chủ yếu: Nghiệp vụ bảo hiểm.
3. Kỳ công bố: Quý, năm.
4. Nguồn số liệu: Chế độ báo cáo thống kê ngành Tài chính.
5. Đơn vị chịu trách nhiệm thu thập, tổng hợp: Cục Quản lý, giám sát bảo hiểm.
0706. Hoạt động đầu tư
1. Khái niệm, phương pháp tính:
Các nguồn đầu tư của doanh nghiệp bảo hiểm, doanh nghiệp tái bảo hiểm, chi nhánh nước ngoài tại Việt Nam bao gồm:
a) Vốn chủ sở hữu;
b) Phần vốn nhàn rỗi từ dự phòng nghiệp vụ theo quy định của Chính phủ;
c) Các nguồn hợp pháp khác theo quy định của pháp luật.
A. Đầu tư từ nguồn vốn chủ sở hữu
1. Việc đầu tư từ nguồn vốn chủ sở hữu bằng với mức vốn quy định tại các khoản 1, 2 Điều 37 Nghị định 46/2023/NĐ-CP hoặc biên khả năng thanh toán tối thiểu, tùy theo số nào lớn hơn, được thực hiện tại Việt Nam theo quy định về đầu tư nguồn vốn nhàn rỗi từ dự phòng nghiệp vụ bảo hiểm.
Cụ thể:
a) Đối với các doanh nghiệp bảo hiểm, doanh nghiệp tái bảo hiểm đã được cấp phép trước ngày 01 tháng 01 năm 2023: Trước ngày 01 tháng 01 năm 2028, vốn điều lệ, vốn chủ sở hữu không thấp hơn vốn pháp định quy định tại Điều 10 Nghị định số 73/2016/NĐ-CP; từ ngày 01 tháng 01 năm 2028, vốn điều lệ, vốn chủ sở hữu không thấp hơn vốn điều lệ tối thiểu theo quy định tại Điều 35 Nghị định này;
b) Đối với các doanh nghiệp bảo hiểm, doanh nghiệp tái bảo hiểm đã được cấp phép kể từ ngày 01 tháng 01 năm 2023, vốn điều lệ, vốn chủ sở hữu không thấp hơn vốn điều lệ tối thiểu theo quy định tại Điều 35 Nghị định này.
c) Đối với các chi nhánh nước ngoài tại Việt Nam đã được cấp phép trước ngày 01 tháng 01 năm 2023: Trước ngày 01 tháng 01 năm 2028, vốn được cấp, vốn chủ sở hữu không thấp hơn vốn pháp định quy định tại Điều 10 Nghị định số 73/2016/NĐ-CP; từ ngày 01 tháng 01 năm 2028, vốn được cấp, vốn chủ sở hữu không thấp hơn vốn được cấp tối thiểu theo quy định tại Điều 36 Nghị định này;
d) Đối với các chi nhánh nước ngoài tại Việt Nam đã được cấp phép kể từ ngày 01 tháng 01 năm 2023, vốn được cấp, vốn chủ sở hữu không thấp hơn vốn được cấp tối thiểu theo quy định tại Điều 36 Nghị định số 46/2023/NĐ-CP.
2. Việc đầu tư ra nước ngoài từ nguồn vốn chủ sở hữu thực hiện theo quy định tại Điều 47 và Điều 48 Nghị định số 46/2023/NĐ-CP.
B. Đầu tư vốn nhàn rỗi từ dự phòng nghiệp vụ bảo hiểm
Đầu tư vốn nhàn rỗi từ dự phòng nghiệp vụ bảo hiểm của doanh nghiệp bảo hiểm, chi nhánh nước ngoài được thực hiện trực tiếp bởi doanh nghiệp bảo hiểm, chi nhánh nước ngoài hoặc thông qua ủy thác đầu tư và chỉ được đầu tư tại Việt Nam trong các lĩnh vực sau:
(i) . Đối với doanh nghiệp bảo hiểm phi nhân thọ, chi nhánh nước ngoài:
a) Mua trái phiếu Chính phủ, tín phiếu kho bạc, trái phiếu kho bạc, công trái xây dựng tổ quốc, trái phiếu chính quyền địa phương và trái phiếu được Chính phủ bảo lãnh không hạn chế;
b) Gửi tiền tại các tổ chức tín dụng không hạn chế;
c) Mua cổ phiếu, trái phiếu doanh nghiệp, chứng chỉ quỹ, góp vốn vào các doanh nghiệp khác tối đa 35% vốn nhàn rỗi từ dự phòng nghiệp vụ bảo hiểm;
d) Kinh doanh bất động sản theo quy định tại Luật Kinh doanh bất động sản tối đa 10% vốn nhàn rỗi từ dự phòng nghiệp vụ bảo hiểm.
(ii) . Đối với doanh nghiệp bảo hiểm nhân thọ, doanh nghiệp bảo hiểm sức khỏe:
a) Mua trái phiếu Chính phủ, tín phiếu kho bạc, trái phiếu kho bạc, công trái xây dựng tổ quốc, trái phiếu chính quyền địa phương và trái phiếu được Chính phủ bảo lãnh không hạn chế;
b) Gửi tiền tại các tổ chức tín dụng không hạn chế;
c) Mua cổ phiếu, trái phiếu doanh nghiệp, chứng chỉ quỹ tối đa 50% vốn nhàn rỗi từ dự phòng nghiệp vụ bảo hiểm;
d) Kinh doanh bất động sản theo quy định tại Luật Kinh doanh bất động sản tối đa 20% vốn nhàn rỗi từ dự phòng nghiệp vụ bảo hiểm;
đ) Góp vốn vào các doanh nghiệp khác tối đa 20% vốn nhàn rỗi từ dự phòng nghiệp vụ bảo hiểm.
(iii) . Đối với doanh nghiệp tái bảo hiểm:
a) Nguồn vốn nhàn rỗi từ dự phòng nghiệp vụ của loại hình tái bảo hiểm phi nhân thọ: Thực hiện theo quy định tại khoản (i) mục này;
b) Nguồn vốn nhàn rỗi từ dự phòng nghiệp vụ của loại hình tái bảo hiểm nhân thọ, tái bảo hiểm sức khỏe: Thực hiện theo quy định tại khoản (ii) mục này.
(iv) . Doanh nghiệp bảo hiểm, chi nhánh nước ngoài chỉ được phép đầu tư chứng chỉ quỹ của các quỹ đầu tư mà danh mục tài sản đầu tư thuộc các lĩnh vực doanh nghiệp bảo hiểm, chi nhánh nước ngoài được phép đầu tư theo quy định tại Luật Kinh doanh bảo hiểm.
(A). Tổng đầu tư của DN bảo hiểm phi nhân thọ
| Tổng số tiền đầu tư | = | Tiền và các khoản tương đương tiền | + | Các khoản đầu tư tài chính ngắn hạn | + | Ký quĩ bảo hiểm | + | Bất động sản đầu tư | + | Các khoản đầu tư tài chính dài hạn |
(B). Tổng đầu tư của DN bảo hiểm nhân thọ
| Tổng số tiền đầu tư | = | Tiền và các khoản tương đương tiền | + | Các khoản đầu tư tài chính ngắn hạn | + | Ký quĩ bảo hiểm | + | Bất động sản đầu tư | + | Các khoản đầu tư tài chính dài hạn |
2. Phân tổ chủ yếu:
- Nguồn đầu tư;
- Lĩnh vực đầu tư.
3. Kỳ công bố: Quý, năm.
4. Nguồn số liệu: Chế độ báo cáo thống kê ngành Tài chính.
5. Đơn vị chịu trách nhiệm thu thập, tổng hợp: Cục Quản lý, giám sát bảo hiểm.
0707. Đầu tư trở lại nền kinh tế
1. Khái niệm, phương pháp tính:
Đầu tư trở lại nền kinh tế là chỉ liệu đưa ra con số thống kê lượng tiền các doanh nghiệp bảo hiểm đầu tư trở lại nền kinh tế nhằm mục đích tìm kiếm lợi nhuận.
2. Phân tổ chủ yếu: Loại hình doanh nghiệp.
3. Kỳ công bố: Năm.
4. Nguồn số liệu: Chế độ báo cáo thống kê ngành Tài chính.
5. Đơn vị chịu trách nhiệm thu thập, tổng hợp: Cục Quản lý, giám sát bảo hiểm.
08. NHÓM CHỈ TIÊU THỐNG KÊ XUẤT KHẨU, NHẬP KHẨU HÀNG HÓA 0801. Xuất khẩu, nhập khẩu và cán cân thương mại
i. Khái niệm, phương pháp tính:
A. Khái niệm, phương pháp tính chung về xuất khẩu, nhập khẩu hàng hóa:
(i). Xuất khẩu hàng hóa:
Hàng hóa xuất khẩu gồm toàn bộ hàng hóa có xuất xứ trong nước và hàng hóa nước ngoài tái xuất khẩu, được đưa ra nước ngoài làm giảm nguồn của cải, vật chất của Việt Nam. Trong đó:
- Hàng hóa có xuất xứ trong nước là hàng hóa được khai thác, sản xuất, chế biến trong nước theo các quy định về xuất xứ hàng hóa của Việt Nam:
- Hàng hóa tái xuất khẩu là hàng hóa có xuất xứ nước ngoài đã được nhập khẩu và được thống kê là hàng nhập khẩu trước đó, sau đó lại xuất khẩu nguyên trạng hoặc chỉ chế biến giản đơn, bảo quản, đóng gói lại, không làm thay đổi tính chất cơ bản của hàng hóa.
Nhóm/mặt hàng xuất khẩu bao gồm toàn bộ hàng hóa thuộc phạm vi thống kê được phân loại theo nhóm/mặt hàng chủ yếu.
Xuất khẩu với các châu lục, khối nước, nước/vùng lãnh thổ phản ánh tổng trị giá xuất khẩu hàng hóa của Việt Nam với từng châu lục, từng khối nước và từng nước/vùng lãnh thổ.
(ii). Nhập khẩu hàng hóa:
Hàng hóa nhập khẩu gồm toàn bộ hàng hóa có xuất xứ nước ngoài và hàng Việt Nam tái nhập khẩu, được đưa từ nước ngoài vào Việt Nam, làm tăng nguồn của cải, vật chất của quốc gia. Trong đó:
- Hàng hóa có xuất xứ nước ngoài là hàng hóa được khai thác, sản xuất, chế biến ở nước ngoài theo các quy định về xuất xứ hàng hóa của Việt Nam;
- Hàng hóa tái nhập khẩu là những hàng hóa của Việt Nam đã xuất khẩu và được thống kê là hàng xuất khẩu trước đó, sau đó lại nhập khẩu nguyên trạng hoặc chỉ chế biến giản đơn, bảo quản, đóng gói lại, không làm thay đổi tính chất cơ bản của hàng hóa.
Nhóm/mặt hàng nhập khẩu bao gồm toàn bộ hàng hóa thuộc phạm vi thống kê được phân loại theo nhóm/mặt hàng chủ yếu.
Nhập khẩu với các châu lục, khối nước, nước/vùng lãnh thổ phản ánh tổng trị giá nhập khẩu hàng hóa của Việt Nam với từng châu lục, từng khối nước và từng nước/vùng lãnh thổ.
(iii) Trị giá xuất khẩu, nhập khẩu hàng hóa:
Trị giá hàng hóa xuất khẩu, nhập khẩu được tính như sau:
Trị giá xuất khẩu hàng hóa: Tổng trị giá hàng hóa của Việt Nam đưa ra nước ngoài, làm giảm nguồn của cải vật chất của đất nước.
Trị giá nhập khẩu hàng hóa: Toàn bộ trị giá hàng hóa đưa từ nước ngoài vào Việt Nam, làm tăng nguồn của cải, vật chất của đất nước.
Trị giá thống kê hàng hóa xuất khẩu, nhập khẩu được tính như sau:
- Đối với hàng hóa phải nộp thuế xuất khẩu hoặc nhập khẩu và các loại thuế liên quan trong quá trình làm thủ tục xuất khẩu, nhập khẩu thì trị giá thống kê là trị giá tính thuế của hàng hóa.
- Đối với hàng hóa không phải nộp thuế xuất khẩu hoặc nhập khẩu và các loại thuế liên quan trong quá trình làm thủ tục xuất khẩu, nhập khẩu thì trị giá thống kê là trị giá khai báo của hàng hóa được cơ quan Hải quan chấp nhận.
- Đối với hàng gia công thì trị giá thống kê là trị giá khai báo của hàng hóa được cơ quan Hải quan chấp nhận.
- Trị giá thống kê hàng hóa xuất khẩu, nhập khẩu tính bằng Đô la Mỹ (USD). Cơ quan Hải quan căn cứ vào quy định hiện hành về tỷ giá tính thuế đối với hàng hóa xuất khẩu, nhập khẩu để quy đổi các ngoại tệ về đồng Đô la Mỹ.
(iiii) Cán cân thương mại hàng hóa:
Cán cân thương mại hàng hóa là mức chênh lệch giữa trị giá hàng hóa xuất khẩu và trị giá hàng hóa nhập khẩu của Việt Nam với các nước trong một thời kỳ nhất định.
Khi trị giá xuất khẩu lớn hơn trị giá nhập khẩu thì cán cân thương mại mang dấu dương (+) hay còn gọi là thặng dư (xuất siêu); khi trị giá nhập khẩu lớn hơn trị giá xuất khẩu thì cán cân thương mại mang dấu âm (-) hay còn gọi là thâm hụt (nhập siêu); khi trị giá xuất khẩu bằng trị giá nhập khẩu thì cán cân thương mại ở trạng thái “cân bằng”.
(iiiii). Loại hình xuất nhập khẩu: theo danh mục bảng mã loại hình của cơ quan Hải quan.
(iiiiii) Thời điểm thống kê: Là thời điểm cơ quan Hải quan chấp nhận đăng ký tờ khai hải quan.
Những thay đổi trên tờ khai hải quan trong quá trình thực hiện thủ tục hải quan sẽ được cập nhật vào hệ thống thông tin hải quan và được điều chỉnh trong các báo cáo thống kê.
Trong vòng 90 ngày sau khi kết thúc năm báo cáo, cơ quan thống kê sẽ ngừng cập nhật các thay đổi trên tờ khai hải quan.
2. Phân tổ chủ yếu:
- Mặt hàng chủ yếu
- Nhóm, mặt hàng chủ yếu/Nước, vùng lãnh thổ
- Trị giá/Tỉnh, thành phố trực thuộc Trung ương
- Nhóm, mặt hàng chủ yếu/Nhóm phương thức vận tải
- Cán cân thương mại phân tổ theo châu lục; theo khối nước gồm các khối EU, ASEAN, OPEC, APEC; theo nước/vùng lãnh thổ
- Nhóm, mặt hàng chủ yếu/Khối doanh nghiệp;
- Số lượng doanh nghiệp/Trị giá/Khối doanh nghiệp;
- Loại hình xuất, nhập khẩu;
- Số lượng doanh nghiệp/Tỉnh, thành phố trực thuộc Trung ương;
- Chi cục Hải quan khu vực;
- Mã hàng 8 số/Một số nước, vùng lãnh thổ chủ yếu;
- Mã hàng 6 số/Nước, vùng lãnh thổ, phương thức vận tải;
3. Kỳ công bố:
- Phân tổ theo Mặt hàng chủ yếu: 15 ngày, tháng;
- Các phân tổ theo Nhóm, mặt hàng chủ yếu/Khối doanh nghiệp; Trị giá/Tỉnh, thành phố; Cục Hải quan; Nhóm, mặt hàng chủ yếu/Nước, vùng lãnh thổ: Tháng;
- Các phân tổ theo cán cân thương mại: Tháng;
- Các phân tổ theo Loại hình xuất, nhập khẩu; Mã hàng 8 số/Một số nước, vùng lãnh thổ chủ yếu; Nhóm, mặt hàng chủ yếu/Nhóm phương thức vận tải: Quý;
- Các phân tổ theo số lượng doanh nghiệp/Trị giá/Khối doanh nghiệp; số lượng doanh nghiệp/Tỉnh, thành phố; Mã hàng 6 Số/Nước, vùng lãnh thổ, phương thức vận tải: 6 tháng.
5. Nguồn số liệu: Chế độ báo cáo thống kê ngành Tài chính.
6. Đơn vị chịu trách nhiệm thu thập, tổng hợp: Cục Hải quan.
Ghi chú: (•) Phân tổ do Cơ quan Thống kê Trung ương công bố.
0802. Xuất khẩu, nhập khẩu hàng hóa chịu thuế
1. Khái niệm, phương pháp tính;
- Trị giá xuất khẩu hàng hóa chịu thuế là trị giá của các tờ khai hải quan có phát sinh sắc thuế khi xuất khẩu.
- Trị giá nhập khẩu hàng hóa chịu thuế là trị giá của các tờ khai hải quan có phát sinh các sắc thuế khi nhập khẩu, gồm: thuế nhập khẩu, thuế tiêu thụ đặc biệt, thuế giá trị gia tăng (VAT), thuế bảo vệ môi trường, thuế tự vệ.
2. Phân tổ chủ yếu: Nhóm, mặt hàng chủ yếu.
3. Kỳ công bố: Tháng.
4. Nguồn số liệu: Chế độ báo cáo thống kê ngành Tài chính.
5. Đơn vị chịu trách nhiệm thu thập, tổng hợp: Cục Hải quan.
0803. Mức độ tự do hóa đối với thuế nhập khẩu theo các Hiệp định thương mại
1. Khái niệm, phương pháp tính:
Thuế suất ưu đãi đặc biệt áp dụng đối với hàng hóa nhập khẩu có xuất xứ từ nước, nhóm nước hoặc vùng lãnh thổ có thỏa thuận ưu đãi đặc biệt về thuế nhập khẩu trong quan hệ thương mại với Việt Nam; hàng hóa từ khu phi thuế quan nhập khẩu vào thị trường trong nước đáp ứng điều kiện xuất xứ từ nước, nhóm nước hoặc vùng lãnh thổ có thỏa thuận ưu đãi đặc biệt về thuế nhập khẩu trong quan hệ thương mại với Việt Nam.
Mức độ tự do hóa thương mại được tính bằng tỷ lệ số dòng thuế xóa bỏ (thuế suất 0%) trên tổng số các dòng thuế trong các Hiệp định thương mại.
2. Phân tổ chủ yếu: Loại Hiệp định.
3. Kỳ công bố: Năm.
4. Nguồn số liệu: Chế độ báo cáo thống kê ngành Tài chính.
5. Đơn vị chịu trách nhiệm thu thập, tổng hợp: Cục Quản lý nợ và kinh tế đối ngoại.
0804. Thuế nhập khẩu, thuế xuất khẩu
1. Khái niệm, phương pháp tính:
Bao gồm thuế suất thuế nhập khẩu thông thường, thuế suất thuế xuất khẩu, thuế suất thuế nhập khẩu ưu đãi, thuế tuyệt đối, thuế hỗn hợp, thuế nhập khẩu ngoài hạn ngạch thuế, thuế xuất khẩu, thuế xuất khẩu ưu đãi, thuế nhập khẩu ưu đãi đặc biệt.
2. Phân tổ chủ yếu:
- Mã HS 8 số; Mã HS10 số;
- Thuế suất theo từng biểu thuế.
3. Kỳ công bố: Năm.
4. Nguồn số liệu: Chế độ báo cáo thống kê ngành Tài chính.
5. Đơn vị chịu trách nhiệm thu thập, tổng hợp: Cục Quản lý, giám sát chính sách thuế, phí và lệ phí; Cục Quản lý nợ và kinh tế đối ngoại.
09. NHÓM CHỈ TIÊU THỐNG KÊ QUẢN LÝ GIÁ
0901. Giá hàng hóa, dịch vụ do Nhà nước định giá
1. Khái niệm, phương pháp tính:
Khái niệm, phương pháp tính về giá hàng hóa, dịch vụ do Nhà nước định giá được thực hiện theo quy định tại Điều 21 Luật Giá số 16/2023/QH15 ngày 19 tháng 6 năm 2023.
2. Phân tổ chủ yếu: Loại hàng hóa, dịch vụ.
3. Kỳ công bố: Quý.
4. Nguồn số liệu: Chế độ báo cáo thống kê ngành Tài chính.
5. Đơn vị chịu trách nhiệm thu thập, tổng hợp: Cục Quản lý giá.
0902. Giá thị trường hàng hóa, dịch vụ thuộc danh mục báo cáo giá thị trường
1. Khái niệm, phương pháp tính:
a) Giá thị trường là giá hàng hóa, dịch vụ được hình thành trên cơ sở cung, cầu và do các yếu tố thị trường quyết định trong một khoảng thời gian, không gian nhất định.
b) Khu vực điều tra thu thập giá thị trường: Chọn điểm thu thập thông tin là những nơi có hoạt động sản xuất, kinh doanh thường xuyên, ổn định đại diện cho khu vực thành thị, nông thôn tại tỉnh, thành phố. Trường hợp thu thập theo giá niêm yết thì ghi rõ là niêm yết của tổ chức, cá nhân sản xuất, kinh doanh.
c) Các loại giá thị trường cần thu thập:
- Giá bán lẻ sản phẩm của người sản xuất hàng nông, lâm nghiệp và thủy sản.
- Giá bán lẻ tại các trung tâm thương mại, siêu thị, đại lý bán lẻ, các chợ tại khu vực trung tâm, khu vực nông thôn của tỉnh, thành phố.
- Các mức giá thu thập là giá đã bao gồm thuế giá trị gia tăng (nếu có).
d) Phương pháp thu thập:
- Thu thập trực tiếp: Cán bộ thị trường trực tiếp đến các nhà máy sản xuất, chế biến, trung tâm bán buôn, chợ đầu mối; các trung tâm thương mại, siêu thị, các chợ,... để điều tra, thu thập thông tin;
- Thu thập gián tiếp: Cơ quan báo cáo giá thị trường có công văn yêu cầu các tổ chức, cá nhân sản xuất, kinh doanh cung cấp thông tin về giá hàng hóa, dịch vụ thuộc danh mục báo cáo giá thị trường; thu thập thông tin giá thị trường qua các phương tiện thông tin đại chúng: báo, đài, tạp chí,...; thu thập qua thống kê giá đăng ký, kê khai của tổ chức, cá nhân sản xuất, kinh doanh; thu thập qua hình thức ký hợp đồng mua tin, hợp đồng cộng tác viên thường xuyên với tổ chức, cá nhân cung cấp thông tin.
2. Phân tổ chủ yếu:
- Loại hàng hóa, dịch vụ;
- Tỉnh/ thành phố trực thuộc Trung ương.
3. Kỳ công bố: Quý.
4. Nguồn dữ liệu: Chế độ báo cáo thống kê ngành Tài chính.
5. Đơn vị chịu trách nhiệm thu thập, tổng hợp: Cục Quản lý giá.
0903. Số lượng doanh nghiệp thẩm định giá được cấp giấy chứng nhận đủ điều kiện kinh doanh dịch vụ thẩm định giá
1. Khái niệm:
Doanh nghiệp thẩm định giá là doanh nghiệp được thành lập, đăng ký ngành, nghề kinh doanh dịch vụ thẩm định giá theo quy định của pháp luật về doanh nghiệp và được Bộ Tài chính cấp giấy chứng nhận đủ điều kiện kinh doanh dịch vụ thẩm định giá theo quy định của Luật Giá 2023.
2. Phân tổ chủ yếu: Loại doanh nghiệp.
3. Kỳ công bố: Năm.
4. Nguồn số liệu: Chế độ báo cáo thống kê ngành Tài chính.
5. Đơn vị chịu trách nhiệm thu thập, tổng hợp: Cục Quản lý giá.
0904. Tổ chức kinh doanh hàng hóa, dịch vụ thực hiện kê khai giá
1. Khái niệm:
Tổ chức kinh doanh hàng hóa, dịch vụ thực hiện kê khai giá được quy định theo tại Điều 28 Luật Giá số 16/2023/QH15 ngày 19 tháng 6 năm 2023.
2. Phân tổ chủ yếu: Loại hàng hóa, dịch vụ.
3. Kỳ công bố: Năm.
4. Nguồn số liệu: Chế độ báo cáo thống kê ngành Tài chính.
5. Đơn vị chịu trách nhiệm thu thập, tổng hợp: Cục Quản lý giá.
10. CHỈ TIÊU THỐNG KÊ TÀI SẢN CÔNG
1001. Tài sản công
1. Khái niệm, phương pháp tính:
Tài sản công là tài sản thuộc sở hữu toàn dân do Nhà nước đại diện chủ sở hữu và thống nhất quản lý. Tài sản công được thống kê gồm:
- Tài sản công tại cơ quan, tổ chức đơn vị.
- Tài sản kết cấu hạ tầng (TSKCHT) bao gồm: TSKCHT giao thông đường bộ; TSKCHT đường sắt quốc gia; TSKCHT đường sắt đô thị; TSKCHT hàng không; TSKCHT hàng hải; TSKCHT đường thủy nội địa; TSKCHT cấp nước sạch; TSKCHT thủy lợi; TSKCHT chợ; TSKCHT cụm công nghiệp; TSKCHT khu công nghiệp; TSKCHT khu kinh tế; TSKCHT khu công nghệ cao; TSKCHT khu công nghệ thông tin tập trung; TSKCHT đê điều, TSKCHT cảng cá; TSKCHT thiết chế văn hóa, thể thao; TSKCHT ngầm đô thị.
2. Phân tổ chủ yếu:
- Loại tài sản;
- Cấp quản lý;
- Tăng tài sản/giảm tài sản.
3. Kỳ công bố: Năm.
4. Nguồn số liệu: Chế độ báo cáo thống kê ngành Tài chính.
5. Đơn vị chịu trách nhiệm thu thập, tổng hợp: Cục Quản lý công sản.
11. NHÓM CHỈ TIÊU THỐNG KÊ VỀ THUẾ NỘI ĐỊA
Nguyên tắc chung:
- Người nộp thuế bao gồm:
a) Tổ chức, hộ gia đình, hộ kinh doanh, cá nhân nộp thuế theo quy định của pháp luật về thuế;
b) Tổ chức, hộ gia đình, hộ kinh doanh, cá nhân nộp các khoản thu khác thuộc ngân sách nhà nước;
c) Tổ chức, cá nhân khấu trừ thuế
- Cấu trúc mã số thuế được quy định tại Điều 5, Thông tư số 86/2024/TT-BTC ngày 23/12/2024 quy định về đăng ký thuế.
1. Khái niệm, phương pháp tính các chỉ tiêu:
1101. Số lượng người nộp thuế cơ quan thuế đã cấp mã số thuế: Là số lượng người nộp thuế cơ quan thuế đã cấp mã số thuế đến thời điểm thống kê.
1102. Số lượng người nộp thuế đang hoạt động: Là số lượng người nộp thuế đã được cơ quan Thuế cấp mã số thuế, không thuộc một trong các trường hợp sau tại thời điểm thống kê:
- Người nộp thuế tạm ngừng kinh doanh;
- Người nộp thuế ngừng hoạt động và đã hoàn thành thủ tục chấm dứt MST.
- Người nộp thuế ngừng hoạt động nhưng chưa hoàn thành thủ tục chấm dứt MST.
- Người nộp thuế không hoạt động tại địa chỉ đã đăng ký.
1103. Số lượng người nộp thuế tạm ngừng hoạt động, kinh doanh: Là số lượng người nộp thuế được cơ quan Thuế chuyển sang trạng thái "người nộp thuế tạm ngừng hoạt động, kinh doanh" sau khi đã nhận được thông báo tạm ngừng hoạt động, kinh doanh của người nộp thuế hoặc cơ quan nhà nước có thẩm quyền, vẫn đang ở trạng thái "người nộp thuế tạm ngừng hoạt động, kinh doanh" tại thời điểm thống kê.
1104. Số lượng người nộp thuế ngừng hoạt động nhưng chưa hoàn thành thủ tục chấm dứt hiệu lực mã số thuế: Là số lượng người nộp thuế đang ở trạng thái người nộp thuế ngừng hoạt động nhưng chưa hoàn thành thủ tục chấm dứt MST.
1105. Số lượng người nộp thuế không hoạt động tại địa chỉ đã đăng ký: Là số lượng người nộp thuế đang ở trạng thái người nộp thuế không hoạt động tại địa chỉ đã đăng ký.
1106. Số lượng người nộp thuế ngừng hoạt động và đã hoàn thành thủ tục chấm dứt hiệu lực mã số thuế: Là số lượng người nộp thuế đang ở trạng thái người nộp thuế ngừng hoạt động đã hoàn thành thủ tục chấm dứt MST.
2. Phân tổ chủ yếu (chỉ tiêu: 1101; 1102; 1103):
- Địa bàn tỉnh/ thành phố trực thuộc trung ương;
- Cấu trúc mã số thuế;
- Loại hình kinh tế: Doanh nghiệp theo các loại hình doanh nghiệp; Nhà cung cấp nước ngoài không có cơ sở thường trú ở Việt Nam; Nhà thầu chính, phụ nước ngoài; Hợp tác xã; Tổ chức khác; Hộ kinh doanh; Cá nhân khác.
3. Kỳ công bố (chỉ tiêu: 1101; 1102; 1103, 1104, 1105, 1106): Năm.
4. Nguồn số liệu (chỉ tiêu: 1101; 1102; 1103, 1104, 1105, 1106): Chế độ báo cáo thống kê ngành Tài chính.
5. Đơn vị chịu trách nhiệm thu thập, tổng hợp (chỉ tiêu: 1101; 1102; 1103, 1104, 1105, 1106): Cục Thuế.
12. NHÓM CHỈ TIÊU THỐNG KÊ VỀ ĐƠN VỊ CÓ QUAN HỆ VỚI NGÂN SÁCH
Khái niệm, phương pháp tính chung:
- Đơn vị có quan hệ với ngân sách bao gồm: Đơn vị dự toán các cấp, đơn vị sử dụng ngân sách Nhà nước, các đơn vị khác có quan hệ với ngân sách; Dự án đầu tư thuộc cấp ngân sách Trung ương và các cấp ngân sách tỉnh, xã.
- Mã số đơn vị có quan hệ với ngân sách (Mã số ĐVQHNS) là một dãy số được quy định theo một nguyên tắc thống nhất để cấp cho từng đơn vị có quan hệ với ngân sách. Mã số ĐVQHNS được sử dụng để nhận diện từng đơn vị dự toán, đơn vị sử dụng ngân sách Nhà nước, đơn vị khác có quan hệ với ngân sách và các dự án đầu tư, kèm theo các chỉ tiêu quản lý của đơn vị, dự án đầu tư và được quản lý thống nhất trên phạm vi toàn quốc nhằm phục vụ công tác quản lý ngân sách Nhà nước.
- Cấu trúc của mã số ĐVQHNS gồm 2 phần, phần định danh và chỉ tiêu quản lý. Phần định danh là các thông tin mang tính duy nhất, chỉ tiêu quản lý là các thông tin liên quan đến đơn vị dự toán, đơn vị sử dụng ngân sách, đơn vị khác có quan hệ với ngân sách, dự án đầu tư. Mối quan hệ giữa phần định danh và chỉ tiêu quản lý là từ một định danh duy nhất luôn tìm được đầy đủ các chỉ tiêu quản lý. Phần định danh của mã số ĐVQHNS gồm 7 ký tự được bố trí như sau: N X1X2X3X4X5X6.
Trong đó:
- N là ký tự phân biệt mã số, quy định:
+ N = 1,2 dùng để cấp cho đơn vị dự toán các cấp, đơn vị sử dụng ngân sách Nhà nước;
+ N = 3 dùng để cấp cho đơn vị khác có quan hệ với ngân sách;
+ N = 7, 8 dùng để cấp cho các dự án đầu tư;
- X1X2X3X4X5X6 là số thứ tự của các đơn vị có quan hệ với ngân sách.
- Các đơn vị có quan hệ với ngân sách sử dụng mã số ĐVQHNS đã được cấp cho các hoạt động giao dịch về ngân sách từ khâu lập dự toán, tổng hợp và phân bổ dự toán, chấp hành và quyết toán ngân sách. Các đơn vị có quan hệ với ngân sách phải ghi mã số ĐVQHNS trên giấy tờ giao dịch, sổ sách kế toán, hóa đơn chứng từ, báo cáo liên quan tới việc sử dụng ngân sách Nhà nước.
1201. Số lượng mã số đơn vị dự toán, đơn vị sử dụng ngân sách nhà nước
1. Khái niệm, phương pháp tính:
Số lượng mã số đơn vị dự toán, đơn vị sử dụng ngân sách nhà nước là tổng số lượng mã số ĐVQHNS cấp cho các đơn vị dự toán các cấp, đơn vị sử dụng ngân sách Nhà nước; đơn vị khác có quan hệ với ngân sách.
2 Phân tổ chủ yếu:
- Chương ngân sách;
- Loại hình đơn vị;
- Cấp quản lý (trung ương/địa phương);
- Cấp ngân sách.
3. Kỳ công bố: Quý, năm.
4. Nguồn số liệu: Chế độ báo cáo thống kê ngành Tài chính.
5. Đơn vị chịu trách nhiệm thu thập, tổng hợp:
- Cục Công nghệ thông tin và chuyển đổi số chủ trì thu thập, tổng hợp số liệu theo các phân tổ: chương ngân sách, loại hình đơn vị, cấp quản lý (trung ương/địa phương), cấp ngân sách;
- Sở Tài chính tỉnh/thành phố trực thuộc Trung ương chủ trì thu thập, tổng hợp số liệu do địa phương quản lý theo phân tổ loại hình đơn vị.
1202. Số lượng mã số dự án đầu tư
1. Khái niệm, phương pháp tính:
Số lượng mã số dự án đầu tư là tổng số lượng mã số ĐVQHNS cấp cho Dự án đầu tư.
2. Phân tổ chủ yếu:
- Chương ngân sách;
- Giai đoạn đầu tư.
3. Kỳ công bố: Quý, năm.
4. Nguồn số liệu: Chế độ báo cáo thống kê ngành Tài chính.
5. Đơn vị chịu trách nhiệm thu thập, tổng hợp:
- Cục Công nghệ thông tin và chuyển đổi số chủ trì thu thập, tổng hợp số liệu theo các phân tổ: Chương ngân sách, giai đoạn đầu tư;
- Sở Tài chính tỉnh/thành phố trực thuộc Trung ương chủ trì thu thập, tổng hợp số liệu do địa phương quản lý theo phân tổ giai đoạn đầu tư.
13. NHÓM CHỈ TIÊU THỐNG KÊ VỀ ĐƠN VỊ SỰ NGHIỆP CÔNG
1301. Kết quả thực hiện cơ chế tự chủ tài chính của đơn vị sự nghiệp công lập
1. Khái niệm, phương pháp tính:
Cơ chế tự chủ tài chính của đơn vị sự nghiệp công là các quy định về quyền tự chủ, tự chịu trách nhiệm trong việc thực hiện quy định về danh mục sự nghiệp công; giá, phí và lộ trình tính giá dịch vụ sự nghiệp công; phân loại mức độ tự chủ tài chính; tự chủ sử dụng nguồn tài chính; tự chủ trong hoạt động liên doanh, liên kết; quản lý, sử dụng tài sản công và các quy định khác có liên quan.
Dịch vụ sự nghiệp công là dịch vụ sự nghiệp trong các lĩnh vực giáo dục đào tạo; giáo dục nghề nghiệp; y tế - dân số; văn hóa, thể thao và du lịch; thông tin và truyền thông; khoa học và công nghệ; các hoạt động kinh tế và lĩnh vực khác (gồm: nông nghiệp và phát triển nông thôn, tài nguyên và môi trường, giao thông vận tải, công thương, xây dựng, tư pháp, lao động thương binh và xã hội, sự nghiệp khác).
Dịch vụ sự nghiệp công sử dụng ngân sách nhà nước là dịch vụ sự nghiệp công cơ bản, thiết yếu và dịch vụ sự nghiệp công mang tính đặc thù của một số ngành, lĩnh vực thuộc danh mục do cấp có thẩm quyền ban hành, được Nhà nước bảo đảm kinh phí hoặc hỗ trợ kinh phí để thực hiện.
Dịch vụ sự nghiệp công không sử dụng ngân sách nhà nước là dịch vụ sự nghiệp công được thực hiện theo phương thức xã hội hóa; giá dịch vụ sự nghiệp công theo cơ chế thị trường do đơn vị tự định giá hoặc do Nhà nước định giá theo quy định của pháp luật về giá hoặc pháp luật chuyên ngành khác có liên quan, bù đắp đủ chi phí và có tích lũy hợp lý cho đơn vị cung cấp; Nhà nước không hỗ trợ chi phí.
Chỉ tiêu thống kê về kết quả thực hiện cơ chế tự chủ tài chính của đơn vị sự nghiệp công lập là các chỉ tiêu thông tin báo cáo Bộ Tài chính tổng hợp báo cáo định kỳ về tình hình thực hiện cơ chế tự chủ tài chính của đơn vị sự nghiệp công lập của các bộ, cơ quan trung ương và của địa phương để phục vụ cho công tác quản lý và báo cáo Chính phủ hoặc Thủ tướng Chính phủ theo quy định Nghị định số 60/2021/NĐ- CP ngày 21 tháng 6 năm 2021 của Chính phủ quy định cơ chế tự chủ tài chính của đơn vị sự nghiệp công lập. Các chỉ tiêu thống kê gồm:
(1). Tổng số đơn vị Sự nghiệp công lập;
(2). Số lượng đơn vị được giao tự chủ tài chính (Đơn vị tự bảo đảm chi thường xuyên và chi đầu tư; Đơn vị tự bảo đảm chi thường xuyên; Đơn vị tự bảo đảm một phần chi thường xuyên; Đơn vị do NSNN bảo đảm chi thường xuyên);
(3). Tổng số người làm việc;
(4). Kết quả hoạt động tài chính (Nguồn tài chính; Sử dụng nguồn tài chính; Chênh lệch thu chi; Trích lập các Quỹ).
- Các chỉ tiêu được thực hiện thống nhất theo quy định tại Thông tư số 56/2022/TT-BTC ngày 16 tháng 9 năm 2022 của Bộ Tài chính hướng dẫn một số nội dung về cơ chế tự chủ tài chính của đơn vị sự nghiệp công lập; xử lý tài sản, tài chính khi tổ chức lại, giải thể đơn vị sự nghiệp công lập.
2. Phân tổ chủ yếu:
- Bộ, ngành;
- Loại dịch vụ sự nghiệp công;
- Tỉnh/thành phố trực thuộc Trung ương.
3. Kỳ công bố: Năm.
4. Nguồn số liệu: Chế độ báo cáo thống kê ngành Tài chính.
5. Đơn vị chịu trách nhiệm thu thập, tổng hợp:
- Vụ Tài chính - Kinh tế ngành chủ trì thu thập, tổng hợp số liệu của các bộ, cơ quan trung ương thuộc phạm vi quản lý của Vụ Tài chính - Kinh tế ngành;
- Vụ Các định chế tài chính chủ trì thu thập, tổng hợp số liệu của các bộ, cơ quan trung ương thuộc phạm vi quản lý của Vụ Các định chế tài chính.
- Vụ I chủ trì thu thập, tổng hợp số liệu của các bộ, cơ quan trung ương thuộc phạm vi quản lý của Vụ I.
- Sở Tài chính tỉnh/thành phố trực thuộc Trung ương chủ trì thu thập, tổng hợp số liệu trên địa bàn.
1302. Danh sách và số lượng đơn vị sự nghiệp công
1. Khái niệm, phương pháp tính:
Số lượng đơn vị sự nghiệp công gồm tổng số tổ chức do cơ quan có thẩm quyền của Nhà nước, tổ chức chính trị - xã hội thành lập theo quy định của pháp luật, có tư cách pháp nhân, cung cấp dịch vụ công, phục vụ quản lý nhà nước trong các lĩnh vực như giáo dục, đào tạo, y tế, nghiên cứu khoa học, văn hóa, thể dục thể thao, du lịch, lao động - thương binh và xã hội, thông tin truyền thông và các lĩnh vực sự nghiệp khác được pháp luật quy định.
2. Phân tổ chủ yếu:
- Mức độ tự chủ kinh phí;
- Lĩnh vực hoạt động.
3. Kỳ công bố: Năm.
4. Nguồn số liệu: Chế độ báo cáo thống kê ngành Tài chính.
5. Đơn vị chịu trách nhiệm thu thập, tổng hợp:
- Vụ Tài chính - Kinh tế ngành, Vụ Quốc phòng, an ninh, đặc biệt; Vụ Các định chế tài chính chủ trì, thu thập, tổng hợp số liệu của các bộ, cơ quan trung ương thuộc phạm vi quản lý;
- Sở Tài chính tỉnh/thành phố trực thuộc Trung ương chủ trì thu thập, tổng hợp số liệu trên địa bàn.
14. NHÓM CHỈ TIÊU THỐNG KÊ QUẢN LÝ VÀ ĐẦU TƯ VỐN NHÀ NƯỚC TẠI DOANH NGHIỆP
1401. Tình hình tài chính, kết quả sản xuất kinh doanh của doanh nghiệp nhà nước/có vốn nhà nước
1. Khái niệm, phương pháp tính:
- Tình hình tài chính, kết quả sản xuất kinh doanh của doanh nghiệp nhà nước (doanh nghiệp do Nhà nước nắm giữ 100% vốn điều lệ và doanh nghiệp do Nhà nước nắm giữ trên 50% vốn điều lệ hoặc tổng số cổ phần có quyền biểu quyết)/doanh nghiệp có vốn nhà nước được thể hiện qua các chỉ tiêu sau: số lượng doanh nghiệp; tổng tài sản; các khoản phải thu; nợ phải trả; vốn chủ sở hữu (mã 410- Bảng cân đối kế toán); tổng doanh thu; lợi nhuận trước thuế; phải nộp ngân sách nhà nước;...
- Chỉ tiêu được tổng hợp từ nguồn số liệu báo cáo theo quy định của Luật Quản lý và đầu tư vốn nhà nước tại doanh nghiệp, Luật Doanh nghiệp và các văn bản hướng dẫn.
2. Phân tổ chủ yếu: Cơ quan đại diện chủ sở hữu.
3. Kỳ công bố: Năm.
4. Nguồn số liệu: Chế độ báo cáo thống kê ngành Tài chính.
5. Đơn vị chịu trách nhiệm thu thập, tổng hợp:
- Cục Phát triển doanh nghiệp nhà nước chủ trì, tổng hợp số liệu trên phạm vi toàn quốc.
- Sở Tài chính tỉnh/thành phố trực thuộc Trung ương chủ trì thu thập, tổng hợp số liệu trên địa bàn.
1402. Cơ cấu lại vốn nhà nước tại doanh nghiệp
1. Khái niệm, phương pháp tính:
Về Khái niệm, phương pháp tính chỉ tiêu thống kê, đề nghị sửa lại như sau: “Hình thức cơ cấu lại vốn nhà nước tại doanh nghiệp bao gồm:
- Tổ chức lại doanh nghiệp;
- Chuyển nhượng vốn nhà nước đầu tư tại công ty cổ phần, công ty trách nhiệm hữu hạn hai thành viên trở lên;
- Chuyển giao quyền đại diện chủ sở hữu phần vốn nhà nước tại doanh nghiệp; chuyển giao dự án đầu tư, vốn, tài sản của doanh nghiệp;
- Chuyển giao quyền mua cổ phần, quyền ưu tiên mua cổ phần, quyền mua phần vốn góp;
- Giải thể, phá sản doanh nghiệp.
Cơ cấu lại vốn nhà nước tại doanh nghiệp theo hình thức, phương thức quy định tại Luật Quản lý và đầu tư vốn nhà nước tại doanh nghiệp; phù hợp với thị trường, chiến lược phát triển, điều kiện hoạt động của doanh nghiệp, gắn với tiêu chí phân loại doanh nghiệp và kế hoạch cơ cấu lại vốn nhà nước tại các doanh nghiệp được đại diện chủ sở hữu nhà nước phê duyệt theo quy định của Chính phủ”.
2. Phân tổ chủ yếu: Phương thức tái cơ cấu.
3. Kỳ công bố: Quý, năm.
4. Nguồn số liệu: Chế độ báo cáo thống kê ngành Tài chính.
5. Đơn vị chịu trách nhiệm thu thập, tổng hợp:
- Cục Phát triển doanh nghiệp nhà nước chủ trì, tổng hợp số liệu trên phạm vi toàn quốc.
- Sở Tài chính tỉnh/thành phố trực thuộc Trung ương chủ trì thu thập, tổng hợp số liệu trên địa bàn.
15. NHÓM CHỈ TIÊU THỐNG KÊ QUỸ TÀI CHÍNH NHÀ NƯỚC NGOÀI NGÂN SÁCH
1501. Tình hình thực hiện Kế hoạch tài chính của các quỹ tài chính nhà nước ngoài ngân sách do Trung ương quản lý
1. Khái niệm, phương pháp tính:
Chỉ tiêu thống kê phản ánh về Kế hoạch tài chính của các quỹ tài chính nhà nước ngoài ngân sách do Trung ương quản lý. Các chỉ tiêu thống kê bao gồm:
(1). Tên quỹ;
(2). Dư nguồn đến;
(3). Kế hoạch năm gồm các thông tin: Tổng số nguồn vốn phát sinh trong năm gồm tổng số và trong đó hỗ trợ từ ngân sách trung ương (nếu có); Tổng sử dụng nguồn vốn trong năm, chênh lệch nguồn trong năm;
(4). Ước thực hiện gồm các thông tin: Tổng số nguồn vốn phát sinh trong năm gồm tổng số và trong đó hỗ trợ từ ngân sách trung ương (nếu có); Tổng sử dụng nguồn vốn trong năm, chênh lệch nguồn trong năm;
(5) Dư nguồn đến.
2. Phân tổ: Loại quỹ.
3. Kỳ công bố: Năm.
4. Nguồn dữ liệu: Chế độ báo cáo thống kê ngành Tài chính.
5. Đơn vị chịu trách nhiệm thu thập, tổng hợp:
- Vụ Tài chính - Kinh tế ngành; Vụ Ngân sách nhà nước; Cục Phát triển doanh nghiệp nhà nước và các đơn vị chức năng khác trong Bộ được phân công (nếu có) với phạm vi cung cấp số liệu là các quỹ tài chính nhà nước ngoài ngân sách do trung ương quản lý.
16. NHÓM CHỈ TIÊU THỐNG KÊ XỔ SỐ, ĐẶT CƯỢC, CASINO, TRÒ CHƠI ĐIỆN TỬ CÓ THƯỞNG
1601. Tình hình hoạt động kinh doanh xổ số
1. Khái niệm, phương pháp tính:
a) Doanh thu của doanh nghiệp kinh doanh xổ số bao gồm: Doanh thu từ hoạt động kinh doanh các loại hình xổ số được phép kinh doanh, doanh thu từ hoạt động kinh doanh khác, doanh thu từ hoạt động tài chính theo quy định của pháp luật và thu nhập khác.
b) Chi phí của doanh nghiệp kinh doanh xổ số bao gồm:
- Chi phí nghiệp vụ kinh doanh xổ số:
+ Chi phí trả thưởng:
• Chi phí trả thưởng đối với loại hình xổ số truyền thống, xổ số lô tô thủ công và xổ số biết kết quả ngay là số tiền thực tế trả cho người trúng thưởng đối với các vé xổ số trúng thưởng theo quy định của pháp luật. Riêng đối với loại hình xổ số truyền thống phát hành theo cơ chế liên kết phát hành, chi phí trả thưởng gồm: Chi phí trả thưởng thực tế đã thanh toán cho các vé xổ số trúng thưởng thuộc trách nhiệm tự chi trả của doanh nghiệp kinh doanh xổ số theo quy định tại Quy chế hoạt động của Hội đồng xổ số kiến thiết khu vực; Chi phí trả thưởng thực tế đã chi trả được phân bổ cho doanh nghiệp kinh doanh xổ số theo tỷ lệ phân bổ đối với các vé xổ số trúng thưởng thuộc trách nhiệm chi trả chung của Hội đồng được quy định cụ thể tại Quy chế hoạt động của Hội đồng xổ số kiến thiết khu vực.
• Chi phí trả thưởng đối với loại hình xổ số tự chọn số điện toán là số tiền thực tế trả cho người trúng thưởng đối với các vé xổ số trúng thưởng và giá trị của các giải thưởng tích lũy chưa trúng thưởng được chuyển sang kỳ quay số mở thưởng tiếp theo được quy định cụ thể tại Thể lệ tham gia dự thưởng theo quy định của pháp luật về xổ số.
+ Chi hoa hồng đại lý cho các đại lý xổ số.
+ Chi phí ủy quyền trả thưởng cho khách hàng trúng thưởng.
+ Chi phí trích lập quỹ dự phòng rủi ro trả thưởng.
+ Chi phí khác.
- Chi phí hoạt động kinh doanh khác.
c) Thực hiện nghĩa vụ ngân sách nhà nước.
d) Kết quả kinh doanh (lãi/lỗ).
2. Phân tổ chủ yếu: Loại hình xổ số.
3. Kỳ công bố: Quý, Năm.
4. Nguồn số liệu: Chế độ báo cáo thống kê ngành Tài chính.
5. Đơn vị chịu trách nhiệm thu thập, tổng hợp: Vụ Các định chế tài chính.
1602. Tình hình hoạt động kinh doanh đặt cược
I. Khái niệm, phương pháp tính:
a) Doanh thu của doanh nghiệp kinh doanh đặt cược bao gồm: Doanh thu từ hoạt động kinh doanh đặt cược, doanh thu từ hoạt động kinh doanh khác ngoài hoạt động kinh doanh đặt cược theo quy định của pháp luật, doanh thu tài chính và thu nhập khác (nếu có).
b) Chi phí hoạt động kinh doanh đặt cược bao gồm:
- Chi phí trả thưởng là số tiền thực tế doanh nghiệp kinh doanh đặt cược trả cho người chơi trúng thưởng khi tham gia đặt cược theo quy định tại Thể lệ đặt cược và quy định của pháp luật về Thuế.
- Chi hoa hồng đại lý bán vé đặt cược.
- Chi chế độ thù lao cho các thành viên Hội đồng giám sát cuộc đua.
- Chi phí khác.
c) Thực hiện nghĩa vụ ngân sách nhà nước.
d) Kết quả kinh doanh (lãi/lỗ).
2. Phân tổ chủ yếu: Loại hình đặt cược.
3. Kỳ công bô: 6 tháng, Năm.
4. Nguồn số liệu: Chế độ báo cáo thống kê ngành Tài chính.
5. Đơn vị chịu trách nhiệm thu thập, tổng hợp: Vụ Các định chế tài chính.
1603. Tình hình hoạt động kinh doanh casino
1. Khái niệm, phương pháp tính:
a) Doanh thu của doanh nghiệp kinh doanh casino bao gồm: Doanh thu từ hoạt động kinh doanh casino, doanh thu từ hoạt động kinh doanh khác ngoài hoạt động kinh doanh casino theo quy định của pháp luật, doanh thu tài chính và thu nhập khác (nếu có).
b) Chi phí hoạt động kinh doanh casino bao gồm:
- Chi phí trả thưởng là số tiền thực tế doanh nghiệp trả cho người chơi trúng thưởng khi tham gia chơi các trò chơi tại Điểm kinh doanh casino theo quy định tại Thể lệ trò chơi và quy định của pháp luật về Thuế.
- Chi phí thuê quản lý.
- Chi phí khác.
c) Thực hiện nghĩa vụ ngân sách nhà nước.
d) Kết quả kinh doanh (lãi/lỗ).
2. Phân tổ chủ yếu: Kinh doanh casino.
3. Kỳ công bố: 6 tháng, Năm.
4. Nguồn số liệu: Chế độ báo cáo thống kê ngành Tài chính.
5. Đơn vị chịu trách nhiệm thu thập, tổng hợp: Vụ Các định chế tài chính.
1604. Tình hình hoạt động kinh doanh trò chơi điện tử có thưởng
1. Khái niệm, phương pháp tính:
a) Doanh thu hoạt động kinh doanh trò chơi điện tử có thưởng bao gồm: Doanh thu từ hoạt động kinh doanh máy trò chơi điện tử có thưởng, doanh thu từ hoạt động tài chính và thu nhập khác từ hoạt động kinh doanh trò chơi điện tử có thưởng thực hiện theo quy định của chế độ kế toán hiện hành.
b) Chi phí hoạt động kinh doanh trò chơi điện tử có thưởng, bao gồm:
- Chi phí trả thưởng là số tiền thực tế doanh nghiệp trả cho người chơi trúng thưởng khi tham gia chơi các trò chơi trên máy trò chơi điện tử có thưởng theo quy định tại Thể lệ trò chơi và quy định của pháp luật về Thuế.
- Chi phí thuê quản lý.
- Chi phí khuyến mại.
- Chi phí khác.
c) Thực hiện nghĩa vụ ngân sách nhà nước.
d) Kết quả kinh doanh (lãi/lỗ).
2. Phân tổ chủ yếu: Loại hình trò chơi điện tử có thưởng.
3. Kỳ công bố: Quý, Năm.
4. Nguồn số liệu: Chế độ báo cáo thống kê ngành Tài chính.
5. Đơn vị chịu trách nhiệm thu thập, tổng hợp: Vụ Các định chế tài chính.
17. NHÓM CHỈ TIÊU THỐNG KÊ ĐẦU TƯ CÔNG
Khái niệm, phương pháp tính chung:
Vốn đầu tư công bao gồm vốn ngân sách nhà nước chi cho đầu tư công; vốn từ nguồn thu hợp pháp của các cơ quan nhà nước, đơn vị sự nghiệp công lập dành để đầu tư theo quy định của pháp luật
Kế hoạch đầu tư công là một tập hợp các mục tiêu, định hướng, danh mục chương trình, dự án đầu tư công; cân đối nguồn vốn đầu tư công, phương án phân bổ vốn, các giải pháp huy động nguồn lực và triển khai thực hiện.
1701. Phân bổ và giải ngân kế hoạch vốn đầu tư công nguồn ngân sách nhà nước
1. Khái niệm, phương pháp tính:
Chỉ tiêu phản ánh việc phân bổ kế hoạch vốn đầu tư công, phản ánh tình hình thực hiện và thanh toán kế hoạch vốn đầu tư công (trừ vốn đầu tư công từ nguồn thu hợp pháp của các cơ quan nhà nước, đơn vị sự nghiệp công lập dành để đầu tư theo quy định của pháp luật).
2. Phân tổ chủ yếu:
- Trung ương, địa phương;
- Nguồn vốn;
- Cấp ngân sách.
3. Kỳ công bố:
- Tháng; năm; giữa kỳ, cuối kỳ kế hoạch trung hạn.
4. Nguồn số liệu: Chế độ báo cáo thống kê ngành Tài chính.
5. Đơn vị chịu trách nhiệm thu thập, tổng hợp:
- Vụ Phát triển hạ tầng chủ trì thu thập, tổng hợp số liệu.
- Các đơn vị trong Bộ liên quan đến quản lý vốn đầu tư công (Vụ Tài chính Kinh tế ngành, Vụ I, Cục Quản lý nợ và Kinh tế đối ngoại, Vụ Kinh tế địa phương và lãnh thổ, Cục Phát triển doanh nghiệp nhà nước, Vụ Các định chế tài chính) phối hợp tổng hợp, gửi Vụ Phát triển hạ tầng.
1702. Quyết toán các nguồn vốn đầu tư thuộc ngân sách nhà nước
1. Khái niệm, phương pháp tính:
Quyết toán các nguồn vốn đầu tư thuộc ngân sách nhà nước được quy định theo Luật đầu tư công và Nghị định quy định chi tiết thi hành một số điều của Luật Ngân sách nhà nước, Nghị định của Chính phủ quy định về quản lý, thanh toán, quyết toán dự án sử dụng vốn đầu tư công.
2. Phân tổ chủ yếu:
- Nguồn vốn;
- Cấp ngân sách;
- Ngành, lĩnh vực;
- Bộ, ngành;
- Tỉnh, thành phố trực thuộc trung ương.
2. Kỳ công bố: Năm.
3. Nguồn số liệu: Chế độ báo cáo thống kê ngành Tài chính.
4. Đơn vị chịu trách nhiệm thu thập, tổng hợp:
- Vụ Tài chính - Kinh tế ngành chủ trì thu thập, tổng hợp số liệu quyết toán niên độ ngân sách hằng năm của các Bộ, cơ quan trung ương thuộc phạm vi quản lý. Theo các phân tổ: nguồn vốn; cấp ngân sách; ngành, lĩnh vực; bộ, ngành; Vụ I, Vụ Các định chế tài chính, Cục Quản lý công sản tổng hợp số liệu quyết toán niên độ ngân sách đối với vốn đầu tư công của các đơn vị thuộc chức năng, nhiệm vụ quản lý.
- Sở Tài chính tỉnh/thành phố trực thuộc Trung ương chủ trì thu thập, tổng hợp số liệu do địa phương quản lý theo các phân tổ: nguồn vốn; cấp ngân sách; Ngành, lĩnh vực; Tỉnh, thành phố.
1703. Số dự án và vốn đầu tư công thuộc nguồn vốn ngân sách nhà nước
1. Khái niệm, phương pháp tính:
a) Số dự án đầu tư công thuộc nguồn vốn ngân sách nhà nước
- Dự án đầu tư công là dự án sử dụng toàn bộ hoặc một phần vốn đầu tư công.
- Phân loại dự án đầu tư công:
* Căn cứ vào tính chất, dự án đầu tư công vốn ngân sách nhà nước gồm 2 loại:
(i) Dự án có cấu phần xây dựng là dự án đầu tư xây dựng mới, cải tạo, nâng cấp, mở rộng dự án đã đầu tư xây dựng, bao gồm cả phần mua tài sản, mua trang thiết bị của dự án;
(ii) Dự án không có cấu phần xây dựng là dự án mua tài sản, nhận chuyển nhượng quyền sử dụng đất, mua, sửa chữa, nâng cấp trang thiết bị, máy móc và dự án khác không quy định tại mục (i).
* Theo mức độ quan trọng và quy mô, dự án đầu tư công được phân thành 4 loại: Dự án quan trọng quốc gia, dự án nhóm A, dự án nhóm B và dự án nhóm C. Tiêu chí phân loại các loại dự án này theo quy định của Luật Đầu tư công.
- Số dự án đầu tư công thuộc nguồn vốn ngân sách nhà nước là số dự án được cấp có thẩm quyền phân bổ, giao kế hoạch đầu tư vốn ngân sách nhà nước (kế hoạch đầu tư công trung hạn vốn ngân sách nhà nước, nguồn vốn tăng thu, tiết kiệm chi, kết dư ngân sách, dự phòng ngân sách nhà nước, nguồn chi cải cách tiền lương còn dư,...).
b) Vốn đầu tư công thuộc nguồn vốn ngân sách nhà nước gồm vốn ngân sách trung ương và vốn ngân sách địa phương bố trí cho nhiệm vụ, dự án thuộc đối tượng đầu tư công.
c) Phương pháp tính
Số dự án đầu tư công thuộc nguồn vốn ngân sách nhà nước:
| Số dự án đầu tư công thuộc nguồn vốn ngân sách nhà nước | = | Số dự án quan trọng quốc gia | + | Số dự án nhóm A | + | Số dự án nhóm B | + | Số dự án nhóm C |
2. Phân tổ chủ yếu:
- Ngành, lĩnh vực đầu tư;
- Nhóm dự án (quan trọng quốc gia, A, B, C);
- Nguồn vốn;
- Bộ/ngành;
- Tỉnh, thành phố trực thuộc trung ương.
3. Kỳ công bố: Năm.
4. Nguồn số liệu:
- Kế hoạch đầu tư công trung hạn vốn ngân sách trung ương do Bộ Tài chính tổng hợp từ báo cáo của các bộ, cơ quan trung ương, địa phương và được Quốc hội quyết nghị, Thủ tướng Chính phủ giao.
- Thông báo/Quyết định phân bổ kế hoạch đầu tư vốn ngân sách trung ương hằng năm của các bộ, cơ quan trung ương và địa phương.
- Kế hoạch đầu tư công trung hạn và hàng năm vốn ngân sách địa phương do Hội đồng Nhân dân quyết nghị.
- Quyết định bổ sung vốn cho nhiệm vụ, dự án từ nguồn tăng thu ngân sách nhà nước, dự phòng ngân sách nhà nước và các nguồn vốn của ngân sách nhà nước khác.
5. Đơn vị chịu trách nhiệm thu thập, tổng hợp: Vụ Ngân sách nhà nước.
1704. Số dự án thất thoát, lãng phí được phát hiện
1. Khái niệm, phương pháp tính:
- Dự án thất thoát là dự án có hiện tượng mất mát, thiệt hại không đáng có về vốn trong suốt quá trình đầu tư, từ khi quyết định chủ trương đầu tư cho đến khi dự án hoàn thành và đưa vào sử dụng.
- Dự án lãng phí là dự án sử dụng các nguồn lực tài chính, lao động, thời gian,... vượt quá định mức, tiêu chuẩn, chế độ do cơ quan nhà nước có thẩm quyền quy định.
- Số dự án thất thoát, lãng phí được phát hiện là số dự án thất thoát, lãng phí được cơ quan chuyên môn có thẩm quyền phát hiện trong kỳ báo cáo.
2. Phân tổ chủ yếu:
- Nhóm dự án;
- Ngành kinh tế;
- Tỉnh, thành phố trực thuộc trung ương.
3. Kỳ công bố: Năm.
4. Nguồn số liệu: Chế độ báo cáo thống kê ngành Tài chính.
5. Đơn vị chịu trách nhiệm thu thập, tổng hợp: Vụ Giám sát và Thẩm định đầu tư.
1705. Tổng số nợ đọng xây dựng cơ bản thuộc ngân sách nhà nước
1. Khái niệm, phương pháp tính:
Nợ đọng xây dựng cơ bản là giá trị khối lượng thực hiện đã được nghiệm thu của chương trình, nhiệm vụ, dự án nhưng chưa được cấp có thẩm quyền giao kế hoạch đầu tư công trung hạn, không bao gồm các dự án đầu tư công khẩn cấp, dự án đầu tư công đặc biệt, dự án đã thực hiện chuyển tiếp qua kỳ kế hoạch đầu tư công trung hạn tiếp theo.
2. Phân tổ chủ yếu:
- Ngành kinh tế;
- Tỉnh, thành phố trực thuộc trung ương.
3. Kỳ công bố: Năm.
4. Nguồn số liệu: Chế độ báo cáo thống kê ngành Tài chính.
5. Đơn vị chịu trách nhiệm thu thập, tổng hợp: Vụ Giám sát và Thẩm định đầu tư.
1706. Số dự án chậm tiến độ
1. Khái niệm, phương pháp tính:
Số dự án chậm tiến độ là số dự án được cơ quan có thẩm quyền chuyên môn giám sát, đánh giá thực hiện là chậm tiến độ so với kế hoạch đặt ra.
2. Phân tổ chủ yếu:
- Nhóm dự án;
- Ngành kinh tế;
- Tỉnh, thành phố trực thuộc trung ương.
3. Kỳ công bố: Năm.
4. Nguồn số liệu: Chế độ báo cáo thống kê ngành Tài chính.
5. Đơn vị chịu trách nhiệm thu thập, tổng hợp: Vụ Giám sát và Thẩm định đầu tư.
1707. Số dự án được đánh giá ban đầu theo quy định
1. Khái niệm, phương pháp tính:
Số dự án được đánh giá ban đầu theo quy định là số dự án được cơ quan có thẩm quyền đánh giá ngay sau khi bắt đầu thực hiện đầu tư dự án nhằm xem xét tình hình thực tế của dự án so với thời điểm phê duyệt để có biện pháp xử lý phù hợp.
2. Phân tổ chủ yếu:
- Nhóm dự án;
- Ngành kinh tế;
- Tỉnh, thành phố trực thuộc trung ương.
3. Kỳ công bố: Năm.
4. Nguồn số liệu: Chế độ báo cáo thống kê ngành Tài chính.
5. Đơn vị chịu trách nhiệm thu thập, tổng hợp: Vụ Giám sát và Thẩm định đầu tư.
1708. Số dự án được đánh giá giữa kỳ hoặc giai đoạn theo quy định
1. Khái niệm, phương pháp tính:
Số dự án được đánh giá giữa kỳ hoặc giai đoạn theo quy định là số dự án được cơ quan có thẩm quyền đánh giá vào thời điểm giữa kỳ theo tiến độ thực hiện đầu tư dự án được phê duyệt hoặc sau khi kết thúc từng giai đoạn (đối với dự án được thực hiện theo nhiều giai đoạn), nhằm xem xét quá trình thực hiện đầu tư dự án từ khi bắt đầu triển khai, đề xuất các điều chỉnh cần thiết.
2. Phân tổ chủ yếu:
- Nhóm dự án;
- Ngành kinh tế;
- Tỉnh, thành phố trực thuộc trung ương.
3. Kỳ công bố: Năm.
4. Nguồn số liệu: Chế độ báo cáo thống kê ngành Tài chính.
5. Đơn vị chịu trách nhiệm thu thập, tổng hợp: Vụ Giám sát và Thẩm định đầu tư.
1709. Số dự án được đánh giá kết thúc theo quy định
1. Khái niệm, phương pháp tính:
Số dự án được đánh giá kết thúc theo quy định là số dự án được cơ quan có thẩm quyền thực hiện đánh giá ngay sau khi kết thúc thực hiện đầu tư dự án nhằm xem xét các kết quả đạt được, rút ra các bài học kinh nghiệm.
2. Phân tổ chủ yếu:
- Nhóm dự án;
- Ngành kinh tế;
- Tỉnh, thành phố trực thuộc trung ương.
3. Kỳ công bố: Năm.
4. Nguồn số liệu: Chế độ báo cáo thống kê ngành Tài chính.
5. Đơn vị chịu trách nhiệm thu thập, tổng hợp: Vụ Giám sát và Thẩm định đầu tư.
1710. Số dự án được đánh giá tác động theo quy định
1. Khái niệm, phương pháp tính:
Số dự án được đánh giá tác động theo quy định là số dự án được cơ quan có thẩm quyền đánh giá vào thời điểm thích hợp sau năm thứ 3 kể từ khi đưa dự án vào vận hành, nhằm làm rõ hiệu quả, tính bền vững và tác động kinh tế - xã hội so với mục tiêu đặt ra ban đầu.
2. Phân tổ chủ yếu:
- Nhóm dự án;
- Ngành kinh tế;
- Tỉnh, thành phố trực thuộc trung ương.
3. Kỳ công bố: Năm.
4. Nguồn số liệu: Chế độ báo cáo thống kê ngành Tài chính.
5. Đơn vị chịu trách nhiệm thu thập, tổng hợp: Vụ Giám sát và Thẩm định đầu tư.
1711. Số dự án đã đưa vào sử dụng nhưng có vấn đề kỹ thuật, không có hiệu quả
1. Khái niệm, phương pháp tính:
Số dự án đã đưa vào sử dụng nhưng có vấn đề kỹ thuật, không có hiệu quả là số dự án đã đưa vào sử dụng được cơ quan có thẩm quyền tiến hành đánh giá là có vấn đề kỹ thuật, không hiệu quả so với mục tiêu ban đầu đặt ra (chỉ tính trong số dự án được tiến hành đánh giá, không tính trên tổng số dự án đầu tư).
2. Phân tổ chủ yếu:
- Nhóm dự án;
- Ngành kinh tế;
- Tỉnh, thành phố trực thuộc trung ương.
3. Kỳ công bố: Năm.
4. Nguồn số liệu: Chế độ báo cáo thống kê ngành Tài chính.
5. Đơn vị chịu trách nhiệm thu thập, tổng hợp: Vụ Giám sát và Thẩm định đầu tư.
18. NHÓM CHỈ TIÊU THỐNG KÊ ĐẦU TƯ TRỰC TIẾP CỦA NƯỚC NGOÀI VÀO VIỆT NAM VÀ ĐẦU TƯ TRỰC TIẾP CỦA VIỆT NAM RA NƯỚC NGOÀI
1801. Số dự án đầu tư mới, số lượt dự án điều chỉnh vốn, số giao dịch góp vốn, mua cổ phần, mua phần vốn góp và vốn đầu tư đăng ký
1. Khái niệm, phương pháp tính:
Vốn đầu tư nước ngoài là toàn bộ vốn bằng tiền hoặc tài sản hợp pháp theo quy định của pháp luật dân sự và điều ước quốc tế do nhà đầu tư nước ngoài đưa vào Việt Nam để tiến hành các hoạt động đầu tư theo quy định của Luật Đầu tư và các quy định khác của pháp luật có liên quan.
Vốn đầu tư đăng ký gồm:
- Vốn đầu tư đăng ký mới của những dự án đầu tư mới được cấp giấy chứng nhận đăng ký đầu tư trong kỳ.
- Vốn đầu tư điều chỉnh là vốn đầu tư bổ sung hoặc giảm đi của những dự án đã được cấp giấy chứng nhận đăng ký đầu tư từ trước đó.
- Giá trị vốn góp, mua cổ phần, mua phần vốn góp của nhà đầu tư nước ngoài vào các tổ chức kinh tế.
Dự án đầu tư mới là dự án đầu tư thực hiện lần đầu hoặc dự án đầu tư độc lập với dự án đầu tư đang hoạt động.
Dự án đầu tư mở rộng là dự án đầu tư phát triển dự án đầu tư đang hoạt động bằng cách mở rộng quy mô, nâng cao công suất, đổi mới công nghệ, giảm ô nhiễm hoặc cải thiện môi trường.
Số lượt dự án điều chỉnh vốn đầu tư là số lượt dự án điều chỉnh vốn đầu tư trong kỳ báo cáo nhằm thu hẹp hoặc mở rộng quy mô, nâng cao công suất, năng lực sản xuất kinh doanh, đổi mới công nghệ, nâng cao chất lượng sản phẩm, giảm ô nhiễm môi trường của dự án đầu tư hiện có đã được cấp giấy chứng nhận đầu tư trong các năm trước.
Số giao dịch góp vốn, mua cổ phần, mua phần vốn góp là số lượt góp vốn, mua cổ phần, mua phần vốn góp của nhà đầu tư nước ngoài vào các tổ chức kinh tế trong kỳ báo cáo.
2. Phân tổ chủ yếu:
- Ngành kinh tế;
- Nước/vùng lãnh thổ đầu tư;
- Tỉnh, thành phố trực thuộc trung ương.
3. Kỳ công bố: Tháng, quý, năm.
4. Nguồn số liệu:
- Chế độ báo cáo hoạt động đầu tư nước ngoài tại Việt Nam;
- Chế độ báo cáo thống kê ngành Tài chính.
5. Đơn vị chịu trách nhiệm thu thập, tổng hợp: Cục Đầu tư nước ngoài.
1802. Số doanh nghiệp có vốn đầu tư nước ngoài
1. Khái niệm, phương pháp tính:
Doanh nghiệp có vốn đầu tư nước ngoài là tổ chức kinh tế có nhà đầu tư nước ngoài là thành viên hoặc cổ đông.
2. Phân tổ chủ yếu:
- Ngành kinh tế;
- Tỉnh, thành phố trực thuộc trung ương;
- Nước/vùng lãnh thổ đầu tư.
3. Kỳ công bố: Năm.
4. Nguồn số liệu: Chế độ báo cáo thống kê ngành Tài chính.
5. Đơn vị chịu trách nhiệm thu thập, tổng hợp: Cục Phát triển doanh nghiệp tư nhân và Kinh tế tập thể.
1803. Lao động, doanh thu, lợi nhuận và các khoản phải nộp ngân sách nhà nước của các dự án đầu tư nước ngoài
1. Khái niệm, phương pháp tính:
- Số lao động của dự án đầu tư nước ngoài là tất cả những người mà doanh nghiệp đầu tư nước ngoài trực tiếp quản lý, sử dụng và trả lương/trả công hoặc bằng hình thức thu nhập hỗn hợp (gồm tiền công và lợi nhuận của sản xuất kinh doanh).
- Doanh thu của dự án đầu tư nước ngoài là toàn bộ số tiền sẽ thu được do tiêu thụ sản phẩm, cung cấp dịch vụ, hoạt động tài chính và các hoạt động khác của doanh nghiệp đầu tư nước ngoài trong kỳ báo cáo.
- Lợi nhuận của dự án đầu tư nước ngoài là khoản chênh lệch giữa doanh thu và chi phí do hoạt động sản xuất kinh doanh của các doanh nghiệp đầu tư nước ngoài trong một thời gian nhất định (quý, năm).
- Các khoản nộp ngân sách nhà nước của dự án đầu tư nước ngoài là các loại thuế, phí, lệ phí và các khoản phải nộp khác mà doanh nghiệp đầu tư nước ngoài phải nộp và đã nộp vào ngân sách nhà nước trong kỳ báo cáo.
2. Phân tổ chủ yếu:
- Ngành kinh tế;
- Tỉnh, thành phố trực thuộc trung ương.
3. Kỳ công bố: Năm.
4. Nguồn số liệu:
- Chế độ báo cáo hoạt động đầu tư nước ngoài tại Việt Nam;
- Chế độ báo cáo thống kê ngành Tài chính.
5. Đơn vị chịu trách nhiệm thu thập, tổng hợp: Cục Đầu tư nước ngoài.
1804. Số dự án đầu tư mới, số lượt dự án điều chỉnh vốn và vốn đầu tư trực tiếp của Việt Nam ra nước ngoài
1. Khái niệm, phương pháp tính:
Số dự án và vốn đăng ký đầu tư trực tiếp ra nước ngoài là số dự án và lượng vốn đầu tư của nhà đầu tư Việt Nam đăng ký đưa ra nước ngoài để tiến hành các hoạt động đầu tư theo quy định của Luật Đầu tư nước sở tại (nước được trực tiếp đầu tư) trong một thời kỳ nhất định.
Vốn đầu tư đăng ký trực tiếp của Việt Nam ra nước ngoài bao gồm cả vốn đầu tư của các dự án mới được cấp giấy chứng nhận đăng ký đầu tư ra nước ngoài trong kỳ và vốn đăng ký bổ sung hoặc giảm đi của các dự án đã được cấp giấy chứng nhận đăng ký đầu tư ra nước ngoài từ trước đó.
2. Phân tổ chủ yếu:
- Ngành kinh tế;
- Nước/vùng lãnh thổ đầu tư.
3. Kỳ công bố: Tháng, quý, năm.
4. Nguồn số liệu:
- Cơ quan cấp giấy chứng nhận đăng ký đầu tư ra nước ngoài;
- Chế độ báo cáo thống kê ngành Tài chính.
5. Đơn vị chịu trách nhiệm thu thập, tổng hợp: Cục Đầu tư nước ngoài.
1805. Vốn chuyển ra nước ngoài của các dự án đầu tư trực tiếp ra nước ngoài
1. Khái niệm, phương pháp tính:
Vốn chuyển ra nước ngoài của các dự án đầu tư trực tiếp ra nước ngoài là tổng số tiền và giá trị hiện vật các nhà đầu tư Việt Nam đã chuyển ra nước ngoài, vốn chuyển ra nước ngoài của các dự án đầu tư ra nước ngoài thể hiện dưới các hình thức: Ngoại tệ, máy móc, thiết bị và các tài sản hợp pháp khác.
2. Phân tổ chủ yếu:
- Ngành kinh tế;
- Nước/vùng lãnh thổ đầu tư.
3. Kỳ công bố: Năm.
4. Nguồn số liệu:
- Chế độ báo cáo thực hiện đầu tư ra nước ngoài;
- Chế độ báo cáo thống kê ngành Tài chính.
5. Đơn vị chịu trách nhiệm thu thập, tổng hợp: Cục Đầu tư nước ngoài.
1806. Lao động, tiền chuyển về nước (gồm lợi nhuận và các khoản thu khác), thực hiện nghĩa vụ tài chính với nhà nước Việt Nam
1. Khái niệm, phương pháp tính:
Số lao động của các dự án đầu tư trực tiếp ra nước ngoài là tất cả lao động Việt Nam mà dự án đầu tư ra nước ngoài trực tiếp quản lý, sử dụng và trả lương/trả công hoặc bằng hình thức thu nhập hỗn hợp (gồm tiền công và lợi nhuận của sản xuất kinh doanh).
Tiền chuyển về Việt Nam bao gồm:
- Lợi nhuận chuyển về nước của các dự án đầu tư trực tiếp ra nước ngoài là khoản chênh lệch giữa doanh thu và chi phí do hoạt động sản xuất kinh doanh của các doanh nghiệp trong một thời gian nhất định (tháng, quý, năm), đã được chia cho nhà đầu tư Việt Nam và được chuyển về nước trong kỳ báo cáo.
- Các khoản thu khác chuyển về nước là các khoản thu hồi vốn góp, vốn cho vay ra nước ngoài, vốn bảo lãnh và các khoản vốn khác (nếu có) được chuyển về nước trong kỳ báo cáo.
Thực hiện nghĩa vụ tài chính với nhà nước Việt Nam: Thuế và các khoản phải nộp ngân sách nhà nước Việt Nam của các dự án đầu tư trực tiếp ra nước ngoài là các loại thuế, phí, lệ phí và các khoản nộp khác mà nhà đầu tư thực hiện dự án đầu tư ra nước ngoài phải nộp và đã nộp trong kỳ báo cáo.
2. Phân tổ chủ yếu:
- Ngành kinh tế;
- Nước/vùng lãnh thổ đầu tư.
3. Kỳ công bố: Năm.
4. Nguồn số liệu:
- Chế độ báo cáo hoạt động đầu tư ra nước ngoài;
- Chế độ báo cáo thống kê ngành Tài chính.
5. Đơn vị chịu trách nhiệm thu thập, tổng hợp: Cục Đầu tư nước ngoài.
1807. Số doanh nghiệp nhà nước, doanh nghiệp có vốn nước ngoài đầu tư ra nước ngoài đã được cấp Giấy chứng nhận đăng ký đầu tư ra nước ngoài.
1. Khái niệm, phương pháp tính:
- Doanh nghiệp nhà nước là doanh nghiệp do Nhà nước nắm giữ trên 50% vốn điều lệ.
- Doanh nghiệp có vốn đầu tư nước ngoài là tổ chức kinh tế có nhà đầu tư nước ngoài nắm giữ trên 50% vốn điều lệ.
- Giấy chứng nhận đăng ký đầu tư ra nước ngoài là văn bản ghi nhận thông tin đăng ký của nhà đầu tư về dự án đầu tư.
- Số doanh nghiệp nhà nước, doanh nghiệp có vốn nước ngoài đầu tư ra nước ngoài được cấp Giấy chứng nhận đăng ký đầu tư ra nước ngoài là số doanh nghiệp đã được cơ quan đăng ký đầu tư cấp Giấy chứng nhận đăng ký đầu tư trong kỳ.
2. Phân tố chủ yếu:
- Ngành kinh tế;
- Nước/vùng lãnh thổ đầu tư.
3. Kỳ công bố: Năm.
4. Nguồn số liệu: Dữ liệu hành chính.
5. Đơn vị chịu trách nhiệm thu thập, tổng hợp: Cục Đầu tư nước ngoài.
19. NHÓM CHỈ TIÊU THỐNG KÊ QUẢN LÝ VỐN HỖ TRỢ PHÁT TRIỂN CHÍNH THỨC (ODA), VỐN VAY ƯU ĐÃI; KHOẢN VIỆN TRỢ KHÔNG THUỘC HỖ TRỢ PHÁT TRIỂN CHÍNH THỨC CỦA CƠ QUAN, TỔ CHỨC, CÁ NHÂN NƯỚC NGOÀI DÀNH CHO VIỆT NAM
1901. Vốn hỗ trợ phát triển chính thức và vốn vay ưu đãi của các nhà tài trợ nước ngoài
1. Khái niệm, phương pháp tính:
a) Khái niệm, phương pháp tính:
- Vốn hỗ trợ phát triển chính thức (ODA), vốn vay ưu đãi là nguồn vốn của nhà tài trợ nước ngoài cung cấp cho nhà nước hoặc Chính phủ Cộng hòa xã hội chủ nghĩa Việt Nam để hỗ trợ phát triển, bảo đảm phúc lợi và an sinh xã hội.
- Vốn đối ứng là khoản vốn đóng góp của phía Việt Nam (bằng hiện vật hoặc tiền) trong chương trình, dự án sử dụng vốn ODA, vốn vay ưu đãi nhằm chuẩn bị và thực hiện chương trình, dự án được bố trí từ nguồn ngân sách trung ương, ngân sách địa phương, chủ dự án tự bố trí, vốn đóng góp của đối tượng thụ hưởng và các nguồn vốn hợp pháp khác.
- Cơ quan chủ quản: Quy định tại khoản 7 Điều 3 Nghị định số 242/2025/NĐ-CP ngày 10/9/2025 của Chính phủ về quản lý và sử dụng vốn hỗ trợ phát triển chính thức (ODA) và vốn vay ưu đãi nước ngoài.
- Vốn ODA và vốn vay ưu đãi của các nhà tài trợ nước ngoài gồm 3 loại sau:
+ Vốn ODA không hoàn lại là khoản vốn ODA không phải hoàn trả lại cho nhà tài trợ nước ngoài, được cung cấp theo hình thức dự án độc lập hoặc kết hợp với các dự án đầu tư sử dụng vốn vay ODA, vay có ưu đãi nước ngoài.
+ Vốn vay ODA là khoản vay nước ngoài có thành tố ưu đãi đạt ít nhất 35% đối với khoản vay có điều kiện ràng buộc liên quan đến mua sắm hàng hóa và dịch vụ theo quy định của nhà tài trợ nước ngoài hoặc đạt ít nhất 25% đối với khoản vay không có điều kiện ràng buộc.
+ Vốn vay ưu đãi là khoản vay nước ngoài có điều kiện ưu đãi hơn so với vay thương mại nhưng thành tố ưu đãi chưa đạt tiêu chuẩn của vay ODA.
- Vốn ODA và vốn vay ưu đãi của các nhà tài trợ được phân loại theo các tiêu thức sau:
+ Vốn ODA và vốn vay ưu đãi của các nhà tài trợ ký kết phân theo các nhà tài trợ.
+ Vốn ODA và vốn vay ưu đãi của các nhà tài trợ ký kết phân theo các ngành, các lĩnh vực ưu tiên sử dụng ODA và vay ưu đãi của các nhà tài trợ.
+ Vốn ODA và vốn vay ưu đãi của các nhà tài trợ thực hiện phân theo các ngành, lĩnh vực ưu tiên sử dụng ODA và vay ưu đãi của các nhà tài trợ.
- Kế hoạch năm: Là kế hoạch đã được cấp có thẩm quyền phê duyệt, giao để triển khai các hoạt động của chương trình, dự án thực hiện trong năm báo cáo.
b) Phương pháp tính:

- Lũy kế giải ngân vốn ODA, vay ưu đãi từ đầu dự án đến thời điểm báo cáo là tổng giải ngân vốn ODA, vay ưu đãi từ bắt đầu dự án đến thời điểm báo cáo.
- Lũy kế giải ngân vốn ODA, vay ưu đãi từ đầu năm đến thời điểm báo cáo là tổng giải ngân vốn ODA, vay ưu đãi từ đầu năm đến thời điểm báo cáo.
- Lũy kế giải ngân vốn đối ứng từ đầu dự án đến thời điểm báo cáo là tổng giải ngân vốn đối ứng bắt đầu dự án đến thời điểm báo cáo.
- Lũy kế giải ngân vốn đối ứng từ đầu năm đến thời điểm báo cáo là tổng giải ngân vốn đối ứng từ đầu năm đến thời điểm báo cáo.
- Vốn nước ngoài quy đổi sang USD: Tỷ giá hối đoái quy đổi tại thời điểm phê duyệt dự án và được ghi trong quyết định phê duyệt.
2. Phân tổ chủ yếu:
- Hình thức hỗ trợ (vốn ODA không hoàn lại, vốn vay ODA, vốn vay ưu đãi);
- Ngành kinh tế;
- Tỉnh, thành phố trực thuộc trung ương.
3. Kỳ công bố: 6 tháng, năm.
4. Nguồn số liệu:
- Chế độ báo cáo thống kê đối với các cơ quan chủ quản sử dụng vốn ODA và vốn vay ưu đãi các nhà tài trợ;
- Chế độ báo cáo thống kê ngành Tài chính;
- Chế độ báo cáo thống kê của các Bộ, cơ quan ngang Bộ, cơ quan liên ngành như: Bộ Tài chính, Ngân hàng Nhà nước Việt Nam, Kho bạc Nhà nước Việt Nam,...
5. Đơn vị chịu trách nhiệm thu thập, tổng hợp: Cục Quản lý nợ và Kinh tế đối ngoại.
1902. Khoản viện trợ không thuộc hỗ trợ phát triển chính thức của cơ quan, tổ chức, cá nhân nước ngoài dành cho Việt Nam
1. Khái niệm, phương pháp tính:
a) Khái niệm, phương pháp tính:
Viện trợ không hoàn lại không thuộc hỗ trợ phát triển chính thức là viện trợ được quy định tại Điều 1 Nghị định số 80/2020/NĐ-CP ngày 08/7/2020 của Chính phủ về quản lý và sử dụng viện trợ không hoàn lại không thuộc hỗ trợ phát triển chính thức của các cơ quan, tổ chức, cá nhân nước ngoài dành cho Việt Nam.
- Chương trình là tập hợp các hoạt động liên quan đến một hoặc nhiều ngành, lĩnh vực, nhiều vùng lãnh thổ, nhiều chủ thể khác nhau nhằm đạt được một hoặc một số mục tiêu xác định, được thực hiện trong một hoặc nhiều giai đoạn.
- Dự án là tập hợp các hoạt động có liên quan đến nhau nhằm đạt được một hoặc một số mục tiêu, được thực hiện trên địa bàn cụ thể, trong khoảng thời gian xác định, dựa trên nguồn lực xác định.
- Phi dự án là khoản viện trợ thực hiện một lần, riêng lẻ bằng tiền, hiện vật, hàng hóa, chuyên gia (kể cả chuyên gia tình nguyện), cung cấp các đầu vào để tổ chức hội nghị, hội thảo, tập huấn, nghiên cứu, khảo sát, đào tạo.
- Viện trợ thuộc nguồn thu ngân sách nhà nước là các khoản viện trợ nếu bên tiếp nhận là các cơ quan, tổ chức:
+ Các cơ quan của Đảng, Quốc hội, Tòa án nhân dân tối cao, Viện kiểm sát nhân dân tối cao; các bộ, cơ quan ngang bộ, cơ quan trực thuộc Chính phủ và các pháp nhân thuộc và trực thuộc; Ủy ban nhân dân các cấp và các pháp nhân trực thuộc.
+ Mặt trận Tổ quốc Việt Nam, Tổng Liên đoàn Lao động Việt Nam, Đoàn Thanh niên Cộng sản Hồ Chí Minh, Hội Nông dân Việt Nam, Hội Cựu chiến binh Việt Nam, Hội Liên hiệp Phụ nữ Việt Nam.
+ Các doanh nghiệp do nhà nước sở hữu 100% vốn điều lệ và các đối tượng khác thuộc phạm vi quản lý thu, chi theo quy định của pháp luật về ngân sách nhà nước.
+ Các đối tượng tiếp nhận khác theo quyết định của Thủ tướng Chính phủ.
- Vốn đối ứng là khoản vốn đóng góp của phía Việt Nam (bằng hiện vật hoặc tiền) để tiếp nhận và thực hiện khoản viện trợ. vốn đối ứng được bố trí từ nguồn ngân sách trung ương, ngân sách địa phương, chủ khoản viện trợ tự bố trí, vốn đóng góp của đối tượng thụ hưởng và các nguồn vốn hợp pháp khác, vốn đối ứng được sử dụng cho quá trình chuẩn bị và thực hiện các khoản viện trợ theo yêu cầu cụ thể của chương trình, dự án.
- Khoản viện trợ được quy định tại Điều 2 Nghị định số 80/2020/NĐ-CP ngày 08/7/2020 của Chính phủ, bao gồm:
+ Chương trình, dự án đầu tư.
+ Chương trình, dự án hỗ trợ kỹ thuật.
+ Khoản viện trợ phi dự án.
- Vốn do Chủ khoản viện trợ quản lý được quy định tại Điều 20 Nghị định số 80/2020/NĐ-CP ngày 08/7/2020 của Chính phủ.
- Vốn do Bên tài trợ quản lý được quy định tại Điều 20 Nghị định số 80/2020/NĐ-CP ngày 08/7/2020 của Chính phủ.
- Vốn viện trợ bao gồm: Thuộc nguồn thu ngân sách nhà nước và không thuộc nguồn thu ngân sách nhà nước.
- Cơ quan chủ quản: Quy định tại khoản 3 Điều 3 Nghị định số 80/2020/NĐ-CP ngày 08/7/2020 của Chính phủ.
- Kế hoạch giải ngân: Là kế hoạch đã được cấp có thẩm quyền phê duyệt để triển khai các hoạt động của dự án.
- Xếp loại: Là việc đánh giá tóm tắt về tình hình thực hiện và tiến độ chung của các chương trình, dự án do cơ quan chủ quản quản lý.
b) Phương pháp tính:
| Tổng vốn của dự án | = | Vốn đối ứng | + | Vốn do Chủ khoản viện trợ quản lý | + | Vốn do Bên tài trợ quản lý |
- Tổng vốn quy đổi sang USD: Tỷ giá hối đoái quy định đổi tại thời điểm phê duyệt khoản viện trợ và được ghi trong Quyết định phê duyệt.
- Phương pháp xếp loại: Theo tiến độ giải ngân, kết quả đầu ra, các vấn đề phát sinh trong quá trình triển khai thực hiện được giải quyết theo thẩm quyền. Tiến độ thực hiện đạt như sau: >80%: Tốt = A; 80%-60%: Khá = B; 60%-40%: Trung bình = C; <40%: Yếu = D.
Tổng vốn = Vốn viện trợ + Vốn đối ứng
- Giải ngân kế hoạch vốn ngân sách Nhà nước:
| Giải ngân trong năm N | Giải ngân vốn được cấp có thẩm quyền quyết định kéo dài từ các năm trước sang năm N (nếu có) | Giải ngân vốn năm N |
2. Phân tổ chủ yếu:
- Ngành kinh tế;
- Tỉnh, thành phố trực thuộc trung ương;
- Quốc gia, vùng lãnh thổ.
3. Kỳ công bố: Năm.
4. Nguồn số liệu: Chế độ báo cáo thống kê ngành Tài chính.
5. Đơn vị chịu trách nhiệm thu thập, tổng hợp: Cục Quản lý nợ và Kinh tế đối ngoại.
20. NHÓM CHỈ TIÊU THỐNG KÊ QUẢN LÝ ĐẤU THẦU
2001. Tổng số gói thầu
1. Khái niệm, phương pháp tính:
Đấu thầu là quá trình lựa chọn nhà thầu để ký kết, thực hiện hợp đồng cung cấp dịch vụ tư vấn, dịch vụ phi tư vấn, mua sắm hàng hóa, xây lắp, lựa chọn nhà đầu tư để ký kết, thực hiện hợp đồng dự án đầu tư kinh doanh trên cơ sở bảo đảm cạnh tranh, công bằng, minh bạch, hiệu quả kinh tế và trách nhiệm giải trình.
Gói thầu là một phần hoặc toàn bộ dự án, dự toán mua sắm, có thể gồm những nội dung mua sắm giống nhau thuộc nhiều dự án hoặc là khối lượng mua sắm một lần, khối lượng mua sắm cho một thời kỳ đối với dự toán mua sắm, mua sắm tập trung.
Các gói thầu được thống kê là các gói thầu thuộc phạm vi điều chỉnh tại khoản 1 Điều 2 Luật đấu thầu số 22/2023/QH15 (được sửa đổi, bổ sung theo quy định tại điểm a khoản 1 Điều 1 Luật Luật sửa đổi, bổ sung một số điều của Luật Đấu thầu, Luật Đầu tư theo phương thức đối tác công tư, Luật Hải quan, Luật Thuế giá trị gia tăng, Luật Thuế xuất khẩu, thuế nhập khẩu, Luật Đầu tư, Luật Đầu tư công, Luật Quản lý, sử dụng tài sản công ngày 25/6/2025).
2. Phân tổ chủ yếu:
- Nguồn vốn;
- Hình thức lựa chọn nhà thầu;
- Nhóm dự án;
- Lĩnh vực lựa chọn nhà thầu.
3. Kỳ công bố: Năm.
4. Nguồn số liệu: Báo cáo tình hình thực hiện hoạt động đấu thầu hàng năm.
5. Đơn vị chịu trách nhiệm thu thập, tổng hợp: Cục Quản lý đấu thầu.
2002. Tổng giá gói thầu
1. Khái niệm, phương pháp tính:
Giá gói thầu là giá trị của gói thầu được phê duyệt trong kế hoạch lựa chọn nhà thầu. Giá gói thầu bao gồm toàn bộ chi phí để thực hiện gói thầu, kể cả chi phí dự phòng, phí, lệ phí và thuế. Giá gói thầu được cập nhật trong thời hạn 28 ngày trước ngày mở thầu nếu cần thiết.
2. Phân tổ chủ yếu:
- Nguồn vốn;
- Hình thức lựa chọn nhà thầu;
- Nhóm dự án;
- Lĩnh vực lựa chọn nhà thầu.
3. Kỳ công bố: Năm.
4. Nguồn số liệu: Báo cáo tình hình thực hiện hoạt động đấu thầu hàng năm.
5. Đơn vị chịu trách nhiệm thu thập, tổng hợp: Cục Quản lý đấu thầu.
2003. Tổng giá trúng thầu
1. Khái niệm, phương pháp tính:
Giá trúng thầu là giá được ghi trong quyết định phê duyệt kết quả lựa chọn nhà thầu.
2. Phân tổ chủ yếu:
- Nguồn vốn;
- Hình thức lựa chọn nhà thầu;
- Nhóm dự án;
- Lĩnh vực lựa chọn nhà thầu.
3. Kỳ công bố: Năm.
4. Nguồn số liệu: Báo cáo tình hình thực hiện hoạt động đấu thầu hàng năm.
5. Đơn vị chịu trách nhiệm thu thập, tổng hợp: Cục Quản lý đấu thầu.
2004. Tỷ lệ tiết kiệm trong đấu thầu
1. Khái niệm, phương pháp tính:
Tỷ lệ tiết kiệm trong đấu thầu được tính theo công thức sau:
| Tỷ lệ tiết kiệm trong đấu thầu (%) | = | Giá gói thầu - Giá trúng thầu
Giá gói thầu | x 100 |
2. Phân tổ chủ yếu:
- Nguồn vốn;
- Hình thức lựa chọn nhà thầu;
- Nhóm dự án;
- Lĩnh vực lựa chọn nhà thầu.
3. Kỳ công bố: Năm.
4. Nguồn số liệu: Báo cáo tình hình thực hiện hoạt động đấu thầu hàng năm.
5. Đơn vị chịu trách nhiệm thu thập, tổng hợp: Cục Quản lý đấu thầu.
2005. Tổng số dự án đầu tư có sử dụng đất
1. Khái niệm, phương pháp tính:
Tổng số dự án đầu tư có sử dụng đất không sử dụng nguồn vốn ngân sách thuộc trường hợp phải tổ chức đấu thầu lựa chọn nhà đầu tư (sau đây viết gọn là tổng số dự án đầu tư có sử dụng đất) là tổng số dự án được xác định là dự án đầu tư có sử dụng đất nếu đáp ứng được đầy đủ các điều kiện quy định tại Điều 4 Nghị định số 115/2024/NĐ-CP ngày 16/9/2024 của Chính phủ quy định chi tiết và biện pháp thi hành một số điều của Luật Đấu thầu về lựa chọn nhà đầu tư thực hiện dự án đầu tư có sử dụng đất cụ thể:
- Dự án đầu tư có sử dụng đất quy định tại điểm a khoản 1 Điều 126 của Luật Đất đai.
- Dự án đầu tư có sử dụng đất quy định tại điểm b khoản 1 Điều 126 của Luật Đất đai gồm:
a) Dự án đầu tư xây dựng công trình xử lý chất thải rắn sinh hoạt theo quy định của pháp luật về bảo vệ môi trường;
b) Dự án đầu tư xây dựng công trình cấp nước theo quy định của pháp luật về sản xuất, cung cấp và tiêu thụ nước sạch;
c) Dự án đầu tư xây dựng chợ theo quy định của pháp luật về phát triển và quản lý chợ;
d) Dự án đầu tư xây dựng công trình trạm dừng nghỉ theo quy định của pháp luật quản lý ngành về đường bộ;
đ) Dự án đầu tư xây dựng công trình dịch vụ hàng không tại cảng hàng không, sân bay thuộc trường hợp phải tổ chức đấu thầu theo quy định của pháp luật về hàng không dân dụng;
e) Dự án đầu tư thuộc lĩnh vực giáo dục, y tế, văn hóa, thể thao, môi trường thuộc trường hợp phải tổ chức đấu thầu theo quy định của pháp luật về khuyến khích xã hội hóa khi có từ 02 nhà đầu tư trở lên quan tâm cùng đăng ký thực hiện, trừ dự án quy định tại điểm a và điểm b khoản này;
g) Dự án đầu tư xây dựng nhà ở xã hội; dự án đầu tư cải tạo, xây dựng lại nhà chung cư; dự án đầu tư xây dựng nhà ở cho lực lượng vũ trang nhân dân thuộc trường hợp phải tổ chức đấu thầu theo quy định của pháp luật về nhà ở khi có từ 02 nhà đầu tư trở lên quan tâm cùng đăng ký thực hiện. Quy định tại điểm này không bao gồm dự án nhà ở xã hội quy định tại các khoản 1, 2, 3 và điểm c khoản 4 Điều 84 của Luật Nhà ở số 27/2023/QH15; dự án cải tạo, xây dựng lại nhà chung cư quy định tại khoản 1 và khoản 2 Điều 68 của Luật Nhà ở số 27/2023/QH15; dự án đầu tư xây dựng nhà ở cho lực lượng vũ trang nhân dân quy định tại khoản 1 Điều 106 của Luật Nhà ở số 27/2023/QH15;
h) Dự án đầu tư trường đua ngựa, đua chó, trong đó có hoạt động kinh doanh đặt cược đua ngựa, đặt cược đua chó thuộc trường hợp phải tổ chức đấu thầu theo quy định pháp luật về kinh doanh đặt cược đua ngựa, đua chó và bóng đá quốc tế khi có từ 02 nhà đầu tư trở lên quan tâm cùng đăng ký thực hiện, đã được Thủ tướng Chính phủ quyết định chấp thuận chủ trương đầu tư theo quy định của pháp luật về đầu tư, quản lý ngành, lĩnh vực;
i) Dự án đầu tư xây dựng công trình năng lượng thuộc trường hợp phải tổ chức đấu thầu theo quy định của pháp luật về điện lực khi có từ 02 nhà đầu tư trở lên quan tâm cùng đăng ký thực hiện;
k) Các dự án khác thuộc trường hợp quy định tại Điều 79 và điểm b khoản 1 Điều 126 của Luật Đất đai.
- Quỹ đất dự kiến thực hiện dự án quy định tại khoản 1 và khoản 2 Điều này phải đáp ứng đầy đủ các điều kiện sau đây:
a) Thuộc trường hợp thu hồi đất theo quy định tại Điều 79 của Luật Đất đai; trường hợp trong khu đất thực hiện dự án có phần đất quy định tại khoản 1 Điều 217 của Luật Đất đai thì Nhà nước hỗ trợ bồi thường, cho thuê đất thông qua đấu thầu lựa chọn nhà đầu tư thực hiện dự án đối với cả khu đất;
b) Thuộc danh mục các khu đất thực hiện đấu thầu dự án đầu tư có sử dụng đất được Hội đồng nhân dân cấp tỉnh quyết định theo quy định của pháp luật về đất đai.
2. Phân tổ chủ yếu:
- Loại hình công trình;
- Quy mô, diện tích đất được sử dụng;
- Hình thức lựa chọn nhà đầu tư;
- Tổng mức đầu tư;
- Thời hạn, tiến độ đầu tư.
3. Kỳ công bố: Năm.
4. Nguồn số liệu: Báo cáo tình hình thực hiện hoạt động đấu thầu hàng năm.
5. Đơn vị chịu trách nhiệm thu thập, tổng hợp: Cục Quản lý đấu thầu.
2006. Tổng vốn đầu tư các dự án đầu tư có sử dụng đất
1. Khái niệm, phương pháp tính:
Tổng vốn đầu tư các dự án đầu tư có sử dụng đất gồm sơ bộ tổng chi phí thực hiện dự án, chi phí bồi thường, hỗ trợ, tái định cư (nếu có) và chi phí khác theo quy định của pháp luật quản lý ngành, lĩnh vực (nếu có) được xác định trong quyết định chấp thuận chủ trương đầu tư hoặc văn bản phê duyệt thông tin dự án đầu tư hoặc nhà đầu tư được lựa chọn đề xuất trong hồ sơ dự thầu, trong hợp đồng dự án.
2. Phân tổ chủ yếu:
Vốn của nhà đầu tư.
3. Kỳ công bố: Năm.
4. Nguồn số liệu: Báo cáo tình hình thực hiện hoạt động đấu thầu hàng năm.
5. Đơn vị chịu trách nhiệm thu thập, tổng hợp: Cục Quản lý đấu thầu.
2007. Tổng diện tích đất sử dụng
1. Khái niệm, phương pháp tính:
Tổng diện tích đất mà nhà đầu tư được Nhà nước giao hoặc cho thuê đất và được xác định trong các giấy tờ pháp lý liên quan: Quyết định chấp thuận chủ trương đầu tư, văn bản phê duyệt thông tin dự án hoặc quyết định giao đất, cho thuê đất.
2. Phân tổ chủ yếu:
- Diện tích đất có tính thu tiền sử dụng đất, tiền thuê đất;
- Diện tích đất không tính thu tiền sử dụng đất, tiền thuê đất.
3. Kỳ công bố: Năm.
4. Nguồn số liệu: Báo cáo tình hình thực hiện hoạt động đấu thầu hàng năm.
5. Đơn vị chịu trách nhiệm thu thập, tổng hợp: Cục Quản lý đấu thầu.
2008. Tổng giá trị nộp ngân sách nhà nước dự án đầu tư có sử dụng đất
1. Khái niệm, phương pháp tính:
1.1. Đối với dự án đầu tư có sử dụng đất theo quy định tại khoản 1 Điều 4 của Nghị định số 115/2024/NĐ-CP sử dụng tiêu chuẩn hiệu quả sử dụng đất.
Giá trị nộp ngân sách nhà nước được xác định căn cứ tỷ lệ M do nhà đầu tư được lựa chọn đề xuất tại hồ sơ dự thầu và tiền sử dụng đất, tiền thuê đất nhà đầu tư trúng thầu phải nộp theo quy định của pháp luật về đất đai, trên cơ sở công thức sau đây:
| Giá trị nộp ngân sách nhà nước tại thời điểm nộp tiền sử dụng đất, tiền thuê đất | = M x | Tiền sử dụng đất, tiền thuê đất nhà đầu tư phải nộp tại thời điểm nộp tiền sử dụng đất, tiền thuê đất |
Trong đó, M: tỷ lệ nộp ngân sách nhà nước mà nhà đầu tư được lựa chọn đề xuất trong hồ sơ dự thầu.
1.2. Đối với dự án đầu tư có sử dụng đất thuộc trường hợp phải tổ chức đấu thầu theo quy định của pháp luật quản lý ngành, lĩnh vực
Giá trị bằng tiền nộp ngân sách nhà nước nhà đầu tư được lựa chọn đề xuất trong hồ sơ dự thầu.
2. Phân tổ chủ yếu
- Diện tích đất có tính thu tiền sử dụng đất, tiền thuê đất;
- Diện tích đất không tính thu tiền sử dụng đất, tiền thuê đất.
3. Kỳ công bố: Năm.
4. Nguồn số liệu: Báo cáo tình hình thực hiện hoạt động đấu thầu hàng năm.
5. Đơn vị chịu trách nhiệm thu thập, tổng hợp: Cục Quản lý đấu thầu.
2009. Tổng số dự án đầu tư kinh doanh thuộc trường hợp phải tổ chức lựa chọn nhà đầu tư theo quy định của pháp luật quản lý ngành, lĩnh vực
1. Khái niệm, phương pháp tính:
Tổng số dự án lựa chọn nhà đầu tư theo ngành, lĩnh vực là tổng số dự án không có nhu cầu sử dụng đất, không thuộc trường hợp phải thu hồi đất theo quy định của pháp luật về đất đai, tổ chức đấu thầu theo quy định của pháp luật quản lý ngành, lĩnh vực phải đáp ứng điều kiện không thuộc diện đấu giá tài sản công theo quy định của pháp luật về quản lý, sử dụng tài sản công, gồm:
- Dự án kinh doanh đặt cược bóng đá quốc tế theo quy định của pháp luật về kinh doanh đặt cược đua ngựa, đua chó và bóng đá quốc tế;
- Dự án nạo vét kết hợp thu hồi sản phẩm đối với kết cấu hạ tầng hàng hải, kết cấu hạ tầng đường thủy nội địa trong vùng nước cảng biển, vùng nước đường thủy nội địa theo quy định của pháp luật về giao thông hàng hải và đường thủy nội địa;
- Dự án thuộc trường hợp phải tổ chức đấu thầu khi có từ 02 nhà đầu tư trở lên quan tâm cùng đăng ký thực hiện, gồm: dự án thuộc lĩnh vực giáo dục, y tế, văn hóa, thể thao, môi trường theo quy định của pháp luật về khuyến khích xã hội hóa.
2. Phân tổ chủ yếu:
- Lĩnh vực đầu tư;
- Tổng mức đầu tư;
- Hình thức lựa chọn nhà đầu tư;
- Thời hạn, tiến độ đầu tư.
3. Kỳ công bố: Năm.
4. Nguồn số liệu: Báo cáo tình hình thực hiện hoạt động đấu thầu hàng năm.
5. Đơn vị chịu trách nhiệm thu thập, tổng hợp: Cục Quản lý đấu thầu.
2010. Tổng vốn đầu tư các dự án đầu tư kinh doanh thuộc trường hợp phải tổ chức đấu thầu theo quy định của pháp luật quản lý ngành, lĩnh vực
1. Khái niệm, phương pháp tính:
Tổng vốn đầu tư các dự án đầu tư kinh doanh thuộc trường hợp phải tổ chức đấu thầu theo quy định của pháp luật quản lý ngành, lĩnh vực gồm sơ bộ tổng chi phí thực hiện dự án, chi phí khác theo quy định của pháp luật quản lý ngành, lĩnh vực (nếu có) được xác định trong quyết định chấp thuận chủ trương đầu tư hoặc văn bản phê duyệt thông tin dự án đầu tư hoặc nhà đầu tư được lựa chọn đề xuất trong hồ sơ dự thầu, trong hợp đồng dự án.
2. Phân tổ chủ yếu:
Vốn của nhà đầu tư.
3. Kỳ công bố: Năm
4. Nguồn số liệu: Báo cáo tình hình thực hiện hoạt động đấu thầu hàng năm.
5. Đơn vị chịu trách nhiệm thu thập, tổng hợp: Cục Quản lý đấu thầu.
2011. Tổng giá trị nộp ngân sách nhà nước dự án đầu tư kinh doanh thuộc trường hợp phải tổ chức đấu thầu theo quy định của pháp luật quản lý ngành, lĩnh vực
1. Khái niệm, phương pháp tính:
1.1. Đối với lĩnh vực từng dự án, giá trị nộp ngân sách nhà nước tối thiểu là một trong các tiêu chuẩn đánh giá về hiệu quả đầu tư phát triển ngành, lĩnh vực, địa phương. Giá trị này được nhà đầu tư trúng thầu đề xuất trong hồ sơ dự thầu.
1.2. Đối với dự án nạo vét kết hợp thu hồi sản phẩm đối với kết cấu hạ tầng hàng hải, kết cấu hạ tầng đường thủy nội địa trong vùng nước cảng biển, vùng nước đường thủy nội địa áp dụng tiêu chuẩn giá trị bằng tiền nộp ngân sách nhà nước như sau:
a) Giá trị tối thiểu phần chênh lệch giữa kinh phí nạo vét và giá trị sản phẩm tận thu trong trường hợp kinh phí nạo vét của dự án nhỏ hơn hoặc bằng giá trị sản phẩm tận thu;
b) Giá trị tối đa phần chênh lệch giữa kinh phí nạo vét và giá trị sản phẩm tận thu trong trường hợp kinh phí nạo vét của dự án lớn hơn giá trị sản phẩm tận thu.
Giá trị này được nhà đầu tư trúng thầu đề xuất trong hồ sơ dự thầu.
2. Phân tổ chủ yếu:
- Lĩnh vực đầu tư;
- Tổng mức đầu tư;
- Hình thức lựa chọn nhà đầu tư;
- Thời hạn, tiến độ đầu tư.
3. Kỳ công bố: Năm.
4. Nguồn số liệu: Báo cáo tình hình thực hiện hoạt động đấu thầu hàng năm.
5. Đơn vị chịu trách nhiệm thu thập, tổng hợp: Cục Quản lý đấu thầu.
21. NHÓM CHỈ TIÊU THỐNG KÊ QUẢN LÝ CÁC KHU KINH TẾ, KHU CÔNG NGHIỆP
2101. Số lượng khu kinh tế đã được thành lập
1. Khái niệm, phương pháp tính:
Khu kinh tế là khu vực có ranh giới địa lý xác định, gồm nhiều khu chức năng, được thành lập để thực hiện các mục tiêu thu hút đầu tư, phát triển kinh tế - xã hội và bảo vệ quốc phòng, an ninh.
Khu kinh tế gồm:
- Khu kinh tế ven biển là khu kinh tế được thành lập ở khu vực ven biển và địa bàn lân cận khu vực ven biển.
- Khu kinh tế cửa khẩu là khu kinh tế được thành lập ở khu vực biên giới đất liền và địa bàn lân cận khu vực biên giới đất liền.
- Khu kinh tế chuyên biệt là khu kinh tế được thành lập ở vùng kinh tế trọng điểm, hành lang phát triển, khu vực động lực phát triển hoặc khu vực có vai trò tương tự được xác định trong quy hoạch vùng.
2. Phân tổ chủ yếu: Loại hình khu kinh tế (ven biển, cửa khẩu và chuyên biệt).
3. Kỳ công bố: Năm.
4. Nguồn số liệu: Chế độ báo cáo thống kê ngành Tài chính.
5. Đơn vị chịu trách nhiệm thu thập, tổng hợp:
- Chủ trì: Cục Đầu tư nước ngoài;
- Phối hợp: Vụ Tài chính - Kinh tế ngành.
2102. Diện tích của các khu kinh tế
1. Khái niệm, phương pháp tính:
Diện tích của các khu kinh tế là tổng diện tích tự nhiên (mặt đất và mặt nước) theo quy hoạch chung xây dựng được duyệt của các khu kinh tế.
2. Phân tổ chủ yếu:
- Chức năng theo quy hoạch xây dựng;
- Loại bình khu kinh tế (ven biển, cửa khẩu và chuyên biệt).
3. Kỳ công bố: Năm.
4. Nguồn số liệu: Chế độ báo cáo thống kê ngành Tài chính.
5. Đơn vị chịu trách nhiệm thu thập, tổng hợp:
- Chủ trì: Cục Đầu tư nước ngoài;
- Phối hợp: Vụ Tài chính - Kinh tế ngành.
2103. Số lượng khu công nghiệp đã thành lập
1. Khái niệm, phương pháp tính:
Theo quy định tại Điều 2 Nghị định số 35/2022/NĐ-CP ngày 28/5/2022 của Chính phủ quy định về quản lý khu công nghiệp và khu kinh tế, khu công nghiệp là khu vực có ranh giới địa lý xác định, chuyên sản xuất hàng công nghiệp và cung ứng dịch vụ cho sản xuất công nghiệp.
Khu công nghiệp gồm:
+ Khu công nghiệp hỗ trợ là khu công nghiệp chuyên sản xuất sản phẩm công nghiệp hỗ trợ và cung ứng dịch vụ cho sản xuất sản phẩm công nghiệp hỗ trợ; có tối thiểu 60% tổng diện tích đất công nghiệp của khu công nghiệp được sử dụng để thu hút các dự án đầu tư sản xuất sản phẩm công nghiệp hỗ trợ theo quy định của pháp luật về phát triển công nghiệp hỗ trợ.
+ Khu công nghiệp chuyên ngành là khu công nghiệp chuyên sản xuất và cung ứng dịch vụ cho sản xuất sản phẩm thuộc một ngành, nghề cụ thể; có tối thiểu 60% diện tích đất công nghiệp của khu công nghiệp được sử dụng để thu hút các dự án đầu tư thuộc ngành, nghề này.
+ Khu công nghiệp sinh thái là khu công nghiệp, trong đó có doanh nghiệp trong khu công nghiệp tham gia vào hoạt động sản xuất sạch hơn và sử dụng hiệu quả tài nguyên, có sự liên kết, hợp tác trong sản xuất để thực hiện hoạt động cộng sinh công nghiệp; đáp ứng các tiêu chí quy định tại Nghị định số 35/2022/NĐ-CP ngày 28/5/2022 của Chính phủ quy định về quản lý khu công nghiệp và khu kinh tế, khu công nghiệp.
+ Khu công nghiệp công nghệ cao là khu công nghiệp thu hút các dự án đầu tư công nghệ cao, công nghệ thông tin thuộc Danh mục ngành, nghề đặc biệt ưu đãi đầu tư theo quy định của pháp luật về đầu tư, dự án có chuyển giao công nghệ thuộc Danh mục công nghệ khuyến khích chuyển giao theo quy định của pháp luật về chuyển giao công nghệ, cơ sở ươm tạo công nghệ, cơ sở ươm tạo doanh nghiệp khoa học và công nghệ theo quy định của pháp luật về công nghệ cao, pháp luật về khoa học và công nghệ, dự án đầu tư khởi nghiệp sáng tạo, đổi mới sáng tạo, nghiên cứu và phát triển, giáo dục và đào tạo; có tối thiểu 30% diện tích đất công nghiệp của khu công nghiệp được sử dụng để thu hút các dự án đầu tư này.
2. Phân tổ chủ yếu: Tình trạng hoạt động (đã đi vào hoạt động/đang xây dựng/chưa xây dựng).
3. Kỳ công bố: Năm.
4. Nguồn số liệu: Chế độ báo cáo thống kê ngành Tài chính.
5. Đơn vị chịu trách nhiệm thu thập, tổng hợp: Cục Đầu tư nước ngoài.
2104. Diện tích của các khu công nghiệp
1. Khái niệm, phương pháp tính:
Diện tích đất thành lập là diện tích của dự án đầu tư xây dựng kết cấu hạ tầng khu công nghiệp đã được cơ quan nhà nước có thẩm quyền chấp thuận chủ trương đầu tư, quyết định đầu tư, cấp Giấy chứng nhận đăng ký đầu tư.
Diện tích đất công nghiệp, dịch vụ là diện tích đất trong khu công nghiệp để cho nhà đầu tư thuê đất, thuê lại đất để xây dựng nhà xưởng, văn phòng, kho bãi, thực hiện dự án đầu tư, tổ chức sản xuất, kinh doanh hoặc để xây dựng công trình dịch vụ, tiện ích công cộng trong khu công nghiệp; được xác định trong quy hoạch xây dựng khu công nghiệp do cơ quan nhà nước có thẩm quyền phê duyệt.
Diện tích đất công nghiệp, dịch vụ đã cho thuê là diện tích đất công nghiệp, dịch vụ đã cho nhà đầu tư thuê đất, thuê lại đất để xây dựng nhà xưởng, văn phòng, kho bãi, thực hiện dự án đầu tư, tổ chức sản xuất, kinh doanh hoặc để xây dựng công trình dịch vụ, tiện ích công cộng trong khu công nghiệp lũy kế đến thời điểm báo cáo.
Phân loại diện tích đất như sau:
- Diện tích đất công nghiệp, dịch vụ;
- Diện tích đất công nghiệp, dịch vụ đã cho thuê;
- Diện tích đất công nghiệp, dịch vụ còn lại có thể cho thuê.
2. Phân tổ chủ yếu:
- Diện tích thành lập;
- Diện tích đất công nghiệp, dịch vụ.
3. Kỳ công bố: Năm.
4. Nguồn số liệu: Chế độ báo cáo thống kê ngành Tài chính.
5. Đơn vị chịu trách nhiệm thu thập, tổng hợp: Cục Đầu tư nước ngoài.
2105. Vốn đầu tư đăng ký, vốn đầu tư thực hiện dự án đầu tư xây dựng kết cấu hạ tầng khu công nghiệp
1. Khái niệm, phương pháp tính:
- Vốn đầu tư đăng ký thực hiện dự án đầu tư xây dựng kết cấu hạ tầng khu công nghiệp (gọi tắt là “vốn đầu tư đăng ký”) là vốn đầu tư (bao gồm vốn chủ sở hữu, vốn vay và vốn hợp pháp khác) do nhà đầu tư xác định để xây dựng hoàn thiện kết cấu hạ tầng khu công nghiệp; được xác định tại văn bản chấp thuận chủ trương đầu tư, quyết định đầu tư, Giấy chứng nhận đăng ký đầu tư của dự án.
- Vốn đầu tư thực hiện là vốn đầu tư mà nhà đầu tư đã sử dụng, giải ngân để thực hiện xây dựng kết cấu hạ tầng khu công nghiệp lũy kế đến thời điểm báo cáo.
2. Phân tổ chủ yếu: Vốn đầu tư nước ngoài/vốn đầu tư trong nước.
3. Kỳ công bố: Năm.
4. Nguồn số liệu: Chế độ báo cáo thống kê ngành Tài chính.
5. Đơn vị chịu trách nhiệm thu thập, tổng hợp: Cục Đầu tư nước ngoài.
2106. Tình trạng hoạt động của nhà máy xử lý nước thải của khu công nghiệp
1. Khái niệm, phương pháp tính:
Xử lý nước thải là quá trình sử dụng các giải pháp công nghệ, kỹ thuật làm giảm, loại bỏ, tiêu hủy các thành phần có hại trong nước thải, đảm bảo nước thải ra môi trường đạt quy chuẩn kỹ thuật về chất lượng môi trường.
Công suất của các nhà máy xử lý nước thải tập trung là lượng nước thải mà nhà máy có thể xử lý được trên 01 ngày đêm (đơn vị tính: m3/ngày đêm).
2. Phân tổ chủ yếu:
- Tình trạng hoạt động (đã đi vào vận hành/đang xây dựng/chưa xây dựng);
- Công suất.
3. Kỳ công bố: Năm.
4. Nguồn số liệu: Chế độ báo cáo thống kê ngành Tài chính.
5. Đơn vị chịu trách nhiệm thu thập, tổng hợp: Cục Đầu tư nước ngoài.
2107. Tỷ lệ khu công nghiệp đang hoạt động có hệ thống xử lý nước thải tập trung đạt tiêu chuẩn môi trường
1. Khái niệm, phương pháp tính:
Tỷ lệ khu công nghiệp đang hoạt động có hệ thống xử lý nước thải tập trung đạt tiêu chuẩn môi trường là tỷ lệ phần trăm các khu công nghiệp đang hoạt động có nhà máy xử lý nước thải tập trung đạt tiêu chuẩn môi trường trong tổng số các khu công nghiệp đang hoạt động.
Công thức tính:
|
| Tỷ lệ khu | = | Số lượng các khu công nghiệp đang hoạt | x 100 |
|
|
| Tổng số khu công nghiệp đang hoạt |
|
2. Phân tổ chủ yếu: Tỉnh, thành phố trực thuộc trung ương.
3. Kỳ công bố: Năm.
4. Nguồn số liệu: Chế độ báo cáo thống kê ngành Tài chính.
5. Đơn vị chịu trách nhiệm thu thập, tổng hợp: Cục Đầu tư nước ngoài.
2108. Tỷ lệ lấp đầy của các khu công nghiệp
1. Khái niệm, phương pháp tính:
Tỷ lệ lấp đầy của khu công nghiệp là tỷ lệ phần trăm diện tích đất công nghiệp và đất dịch vụ đã cho nhà đầu tư được chấp thuận chủ trương đầu tư, cấp giấy chứng nhận đăng ký đầu tư, thực hiện dự án thuê đất, thuê lại đất để xây dựng nhà xưởng, văn phòng, kho bãi, công trình dịch vụ, tiện ích công cộng, thực hiện dự án đầu tư, tổ chức sản xuất, kinh doanh theo quy định của pháp luật trong tổng diện tích đất công nghiệp và đất dịch vụ của khu công nghiệp.
Công thức tính:
|
| Tỷ lệ lấp | = | Diện tích đất công nghiệp và đất dịch vụ | x 100 |
|
|
| Tổng diện tích đất công nghiệp và đất |
|
2. Phân tổ chủ yếu: Tỉnh, thành phố trực thuộc trung ương.
3. Kỳ công bố: Năm.
4. Nguồn số liệu: Chế độ báo cáo thống kê ngành Tài chính.
5. Đơn vị chịu trách nhiệm thu thập, tổng hợp: Cục Đầu tư nước ngoài.
2109. Số lao động trực tiếp làm việc tại các khu công nghiệp
1. Khái niệm, phương pháp tính:
Số lao động trực tiếp làm việc tại các khu công nghiệp là tất cả những người trực tiếp làm việc tại các khu công nghiệp tại thời điểm báo cáo.
2. Phân tổ chủ yếu:
- Giới tính;
- Trình độ học vấn;
- Tỉnh, thành phố trực thuộc trung ương.
3. Kỳ công bố: Năm.
4. Nguồn số liệu: Chế độ báo cáo thống kê ngành Tài chính.
5. Đơn vị chịu trách nhiệm thu thập, tổng hợp: Cục Đầu tư nước ngoài.
22. NHÓM CHỈ TIÊU THỐNG KÊ PHÁT TRIỂN DOANH NGHIỆP, ĐĂNG KÝ KINH DOANH
2201. Số doanh nghiệp đăng ký thành lập mới
1. Khái niệm, phương pháp tính:
Số doanh nghiệp đăng ký thành lập mới là tổng số doanh nghiệp có tên riêng, có tài sản, có trụ sở giao dịch, được đăng ký thành lập mới trong kỳ báo cáo theo quy định của pháp luật nhằm mục đích kinh doanh.
2. Phân tổ chủ yếu:
- Ngành kinh tế;
- Loại hình kinh tế;
- Tỉnh, thành phố trực thuộc trung ương.
3. Kỳ công bố: Tháng, quý, năm.
4. Nguồn số liệu: Dữ liệu hành chính.
5. Đơn vị chịu trách nhiệm thu thập, tổng hợp: Cục Phát triển doanh nghiệp tư nhân và kinh tế tập thể.
2202. Số doanh nghiệp giải thể
1. Khái niệm, phương pháp tính:
Doanh nghiệp giải thể là doanh nghiệp hoàn thành thủ tục giải thể trong kỳ theo quy định và được Phòng Đăng ký kinh doanh cập nhật tình trạng pháp lý “Đã giải thể, phá sản, chấm dứt tồn tại” theo khoản 8 Điều 208, khoản 5 Điều 209 Luật Doanh nghiệp; doanh nghiệp có quyết định tuyên bố phá sản của Tòa án theo quy định của pháp luật về phá sản; doanh nghiệp bị chấm dứt tồn tại do bị chia, bị hợp nhất, bị sáp nhập theo khoản 5 Điều 198, khoản 5 Điều 200, khoản 4 Điều 201 Luật Doanh nghiệp. Thời gian xác định chuyển tình trạng pháp lý “Đã giải thể, phá sản, chấm dứt tồn tại” là thời điểm Phòng Đăng ký kinh doanh cập nhật tình trạng pháp lý trên Cơ sở dữ liệu quốc gia về đăng ký doanh nghiệp.
2. Phân tổ chủ yếu:
- Ngành kinh tế;
- Loại hình kinh tế;
- Tỉnh, thành phố trực thuộc trung ương.
3. Kỳ công bố: Tháng, quý, năm.
4. Nguồn số liệu: Dữ liệu hành chính.
5. Đơn vị chịu trách nhiệm thu thập, tổng hợp: Cục Phát triển doanh nghiệp tư nhân và kinh tế tập thể.
2203. Số doanh nghiệp tạm ngừng kinh doanh
1. Khái niệm, phương pháp tính:
Doanh nghiệp tạm ngừng kinh doanh là doanh nghiệp đang trong thời gian thực hiện tạm ngừng kinh doanh theo quy định tại khoản 1 Điều 206 Luật Doanh nghiệp. Thời gian xác định tình trạng doanh nghiệp “tạm ngừng kinh doanh” là thời điểm Cơ sở dữ liệu quốc gia về đăng ký doanh nghiệp chuyển tình trạng pháp lý của doanh nghiệp sang tình trạng “tạm ngừng kinh doanh” cho đến khi kết thúc thời hạn tạm ngừng kinh doanh mà doanh nghiệp đã thông báo hoặc ngày doanh nghiệp đăng ký tiếp tục kinh doanh trước thời hạn đã thông báo.
2. Phân tổ chủ yếu:
- Ngành kinh tế;
- Loại hình kinh tế;
- Tỉnh, thành phố trực thuộc trung ương.
3. Kỳ công bố: Năm.
4. Nguồn số liệu: Dữ liệu hành chính.
5. Đơn vị chịu trách nhiệm thu thập, tổng hợp: Cục Phát triển doanh nghiệp tư nhân và kinh tế tập thể.
2204. Tổng vốn đăng ký của doanh nghiệp thành lập mới
1. Khái niệm, phương pháp tính:
Tổng vốn đăng ký của doanh nghiệp thành lập mới là tổng số vốn của doanh nghiệp đăng ký trong hồ sơ đăng ký doanh nghiệp đã được cơ quan đăng ký kinh doanh ghi nhận và cấp giấy chứng nhận đăng ký doanh nghiệp trong kỳ báo cáo.
Đối với các doanh nghiệp nói chung, vốn đăng ký là vốn điều lệ, do các thành viên, cổ đông góp hoặc cam kết góp trong một thời hạn nhất định và được ghi vào Điều lệ của doanh nghiệp. Tài sản góp vốn có thể là tiền Việt Nam, ngoại tệ tự do chuyển đổi, vàng, giá trị quyền sử dụng đất, giá trị quyền sở hữu trí tuệ, công nghệ, bí quyết kỹ thuật,...
Riêng với doanh nghiệp tư nhân, vốn đăng ký là vốn đầu tư của chủ doanh nghiệp tư nhân do chủ doanh nghiệp tự đăng ký. Chủ doanh nghiệp tư nhân có nghĩa vụ đăng ký chính xác tổng số vốn đầu tư, trong đó nêu rõ số vốn bằng tiền Việt Nam, ngoại tệ tự do chuyển đổi, vàng và các tài sản khác; đối với vốn bằng tài sản khác còn phải ghi rõ loại tài sản, số lượng và giá trị còn lại của mỗi loại tài sản.
2. Phân tổ chủ yếu:
- Ngành kinh tế;
- Loại hình kinh tế;
- Quy mô vốn đăng ký;
- Tỉnh, thành phố trực thuộc trung ương.
3. Kỳ công bố: Tháng, quý, năm.
4. Nguồn số liệu: Dữ liệu hành chính.
5. Đơn vị chịu trách nhiệm thu thập, tổng hợp: Cục Phát triển doanh nghiệp tư nhân và kinh tế tập thể.
2205. Tổng số lao động đăng ký của doanh nghiệp thành lập mới
1. Khái niệm, phương pháp tính:
Tổng số lao động đăng ký của doanh nghiệp thành lập mới là tổng số lao động (dự kiến) khi doanh nghiệp kê khai, thực hiện thủ tục đăng ký thành lập với cơ quan đăng ký kinh doanh và được cơ quan đăng ký kinh doanh cấp giấy chứng nhận đăng ký doanh nghiệp.
2. Phân tổ chủ yếu:
- Ngành kinh tế;
- Loại hình kinh tế;
- Tỉnh, thành phố trực thuộc trung ương.
3. Kỳ công bố: Tháng, quý, năm.
4. Nguồn số liệu: Dữ liệu hành chính.
5. Đơn vị chịu trách nhiệm thu thập, tổng hợp: Cục Phát triển doanh nghiệp tư nhân và kinh tế tập thể.
2206. Tỷ trọng doanh nghiệp nhỏ và vừa trong tổng số doanh nghiệp
1. Khái niệm, phương pháp tính:
- Doanh nghiệp nhỏ và vừa được xác định theo tiêu chí tại khoản 1 Điều 4 Luật Hỗ trợ doanh nghiệp nhỏ và vừa số 04/2017/QH14, cụ thể: Doanh nghiệp nhỏ và vừa bao gồm doanh nghiệp siêu nhỏ, doanh nghiệp nhỏ và doanh nghiệp vừa, có số lao động tham gia bảo hiểm xã hội bình quân năm không quá 200 người và đáp ứng một trong hai tiêu chí sau đây:
+ Tổng nguồn vốn không quá 100 tỷ đồng;
+ Tổng doanh thu của năm trước liền kề không quá 300 tỷ đồng.
Doanh nghiệp siêu nhỏ, doanh nghiệp nhỏ và doanh nghiệp vừa được xác định theo lĩnh vực nông nghiệp, lâm nghiệp, thủy sản; công nghiệp và xây dựng; thương mại và dịch vụ.
- Tiêu chí xác định doanh nghiệp nhỏ và vừa được quy định tại Điều 5 Nghị định số 80/2021/NĐ-CP ngày 26/8/2021 quy định chi tiết và hướng dẫn thi hành một số điều của Luật Hỗ trợ doanh nghiệp nhỏ và vừa, cụ thể:
+ Doanh nghiệp siêu nhỏ trong lĩnh vực nông nghiệp, lâm nghiệp, thủy sản; lĩnh vực công nghiệp và xây dựng sử dụng lao động có tham gia bảo hiểm xã hội bình quân năm không quá 10 người và tổng doanh thu của năm không quá 3 tỷ đồng hoặc tổng nguồn vốn của năm không quá 3 tỷ đồng.
Doanh nghiệp siêu nhỏ trong lĩnh vực thương mại và dịch vụ sử dụng lao động có tham gia bảo hiểm xã hội bình quân năm không quá 10 người và tổng doanh thu của năm không quá 10 tỷ đồng hoặc tổng nguồn vốn của năm không quá 3 tỷ đồng.
+ Doanh nghiệp nhỏ trong lĩnh vực nông nghiệp, lâm nghiệp, thủy sản; lĩnh vực công nghiệp và xây dựng sử dụng lao động có tham gia bảo hiểm xã hội bình quân năm không quá 100 người và tổng doanh thu của năm không quá 50 tỷ đồng hoặc tổng nguồn vốn của năm không quá 20 tỷ đồng nhưng không phải là doanh nghiệp siêu nhỏ theo quy định tại khoản 1 Điều 5 Nghị định số 80/2021/NĐ-CP ngày 26/8/2021.
Doanh nghiệp nhỏ trong lĩnh vực thương mại và dịch vụ sử dụng lao động có tham gia bảo hiểm xã hội bình quân năm không quá 50 người và tổng doanh thu của năm không quá 100 tỷ đồng hoặc tổng nguồn vốn của năm không quá 50 tỷ đồng nhưng không phải là doanh nghiệp siêu nhỏ theo quy định tại khoản 1 Điều 5 Nghị định số 80/2021/NĐ-CP ngày 26/8/2021.
+ Doanh nghiệp vừa trong lĩnh vực nông nghiệp, lâm nghiệp, thủy sản; lĩnh vực công nghiệp và xây dựng sử dụng lao động có tham gia bảo hiểm xã hội bình quân năm không quá 200 người và tổng doanh thu của năm không quá 200 tỷ đồng hoặc tổng nguồn vốn của năm không quá 100 tỷ đồng nhưng không phải là doanh nghiệp siêu nhỏ, doanh nghiệp nhỏ theo quy định tại khoản 1, khoản 2 Điều 5 Nghị định số 80/2021/NĐ-CP ngày 26/8/2021.
Doanh nghiệp vừa trong lĩnh vực thương mại và dịch vụ sử dụng lao động có tham gia bảo hiểm xã hội bình quân năm không quá 100 người và tổng doanh thu của năm không quá 300 tỷ đồng hoặc tổng nguồn vốn của năm không quá 100 tỷ đồng nhưng không phải là doanh nghiệp siêu nhỏ, doanh nghiệp nhỏ theo quy định tại khoản 1, khoản 2 Điều 5 Nghị định số 80/2021/NĐ-CP ngày 26/8/2021.
Công thức tính:
|
| Tỷ trọng doanh | = | Tổng số doanh nghiệp nhỏ và | x 100 |
|
|
| Tổng số doanh nghiệp |
|
2. Phân tổ chủ yếu:
- Ngành kinh tế;
- Tỉnh, thành phố trực thuộc trung ương.
3. Kỳ công bố: Năm.
4. Nguồn số liệu: Chế độ báo cáo thống kê ngành Tài chính.
5. Đơn vị chịu trách nhiệm thu thập, tổng hợp: Cục Thống kê.
2207. Tỷ trọng doanh nghiệp nhỏ và vừa tham gia xuất khẩu, nhập khẩu trong tổng số doanh nghiệp tham gia xuất khẩu, nhập khẩu
1. Khái niệm, phương pháp tính:
Tỷ trọng doanh nghiệp nhỏ và vừa tham gia xuất khẩu, nhập khẩu trong tổng số doanh nghiệp tham gia xuất khẩu, nhập khẩu là tỷ lệ phần trăm giữa số lượng doanh nghiệp nhỏ và vừa có phát sinh hoạt động xuất khẩu, nhập khẩu hoặc xuất, nhập khẩu so với tổng số doanh nghiệp có phát sinh hoạt động xuất khẩu, nhập khẩu hoặc xuất, nhập khẩu trong một thời kỳ nhất định.
Công thức tính:
|
| Tỷ trọng doanh nghiệp | = | Số lượng doanh nghiệp nhỏ và | x 100 |
|
|
| Tổng số doanh nghiệp có phát |
|
2. Phân tổ chủ yếu: Ngành kinh tế.
3. Kỳ công bố: Năm.
4. Nguồn số liệu:
- Tổng điều tra kinh tế;
- Điều tra doanh nghiệp;
- Dữ liệu hành chính.
5. Đơn vị chịu trách nhiệm thu thập, tổng hợp: Cục Thống kê.
2208. Tỷ trọng giá trị gia tăng của doanh nghiệp nhỏ và vừa trong tổng sản phẩm trong nước
1. Khái niệm, phương pháp tính:
Tỷ trọng giá trị gia tăng của doanh nghiệp nhỏ và vừa trong tổng sản phẩm trong nước là tỷ lệ phần trăm giữa giá trị gia tăng của các doanh nghiệp nhỏ và vừa so với tổng sản phẩm trong nước trong một thời kỳ nhất định.
Công thức tính:
|
| Tỷ trọng giá trị gia | = | Giá trị gia tăng của các | x 100 |
|
| Tổng sản phẩm trong nước |
2. Phân tổ chủ yếu:
- Ngành kinh tế;
- Tỉnh, thành phố trực thuộc trung ương.
3. Kỳ công bố: Năm.
4. Nguồn số liệu:
- Điều tra doanh nghiệp;
- Kết quả các cuộc điều tra thống kê trong Chương trình điều tra thống kê quốc gia.
5. Đơn vị chịu trách nhiệm thu thập, tổng hợp: Cục Thống kê.
2209. Tổng kinh phí ngân sách nhà nước hỗ trợ doanh nghiệp nhỏ và vừa
1. Khái niệm, phương pháp tính:
Tổng kinh phí ngân sách nhà nước hỗ trợ doanh nghiệp nhỏ và vừa là toàn bộ số tiền do ngân sách nhà nước (ngân sách trung ương, ngân sách địa phương) bố trí thực hiện các nội dung hỗ trợ doanh nghiệp nhỏ và vừa theo quy định tại Luật Hỗ trợ doanh nghiệp nhỏ và vừa.
2. Phân tổ chủ yếu: Tỉnh, thành phố trực thuộc trung ương.
3. Kỳ công bố: Năm.
4. Nguồn số liệu: Chế độ báo cáo thống kê ngành Tài chính.
5. Đơn vị chịu trách nhiệm thu thập, tổng hợp: Cục Phát triển doanh nghiệp tư nhân và kinh tế tập thể.
2210. Tỷ lệ lao động đã qua đào tạo của doanh nghiệp nhỏ và vừa
1. Khái niệm, phương pháp tính:
Lao động đã qua đào tạo của doanh nghiệp nhỏ và vừa là lao động đã được đào tạo ở một trường hay một cơ sở đào tạo chuyên môn, kỹ thuật, nghiệp vụ thuộc hệ thống giáo dục quốc dân từ 03 tháng trở lên và đã tốt nghiệp, đã được cấp bằng/chứng chỉ chứng nhận đạt một trình độ chuyên môn, kỹ thuật, nghiệp vụ nhất định, gồm sơ cấp nghề, trung cấp nghề, cao đẳng nghề, trung cấp chuyên nghiệp, cao đẳng chuyên nghiệp, đại học và trên đại học (thạc sỹ, tiến sỹ, tiến sỹ khoa học); hoặc người chưa qua một trường lớp đào tạo nào nhưng do tự học, do được truyền nghề hoặc vừa làm vừa học nên họ đã có được kỹ năng, tay nghề, tương đương với bậc 1 của công nhân kỹ thuật có bằng/chứng chỉ cùng nghề và thực tế đã từng làm công việc này với thời gian từ 03 năm trở lên (hay còn gọi là công nhân kỹ thuật không bằng/chứng chỉ).
Công thức tính:
|
| Tỷ lệ lao động đã | = | Số lao động đã qua đào tạo của | x 100 |
|
| Số lao động của doanh nghiệp |
2. Phân tổ chủ yếu:
- Giới tính;
- Trình độ chuyên môn kỹ thuật.
3. Kỳ công bố: 5 năm.
4. Nguồn số liệu: Tổng điều tra kinh tế.
5. Đơn vị chịu trách nhiệm thu thập, tổng hợp: Cục Thống kê.
2211. Số lượt doanh nghiệp nhỏ và vừa được hỗ trợ
1. Khái niệm, phương pháp tính:
Theo quy định của Luật Hỗ trợ doanh nghiệp nhỏ và vừa và các văn bản hướng dẫn thi hành, các nội dung hỗ trợ doanh nghiệp nhỏ và vừa bao gồm:
- Hỗ trợ tiếp cận tín dụng qua ngân hàng thương mại, quỹ bảo lãnh tín dụng cho doanh nghiệp nhỏ và vừa, quỹ Phát triển doanh nghiệp nhỏ và vừa;
- Hỗ trợ thuế;
- Hỗ trợ kế toán;
- Hỗ trợ mặt bằng sản xuất kinh doanh tại các khu công nghiệp, cụm công nghiệp, khu công nghệ cao;
- Hỗ trợ chuyển đổi số cho doanh nghiệp nhỏ và vừa;
- Hỗ trợ sở hữu trí tuệ cho doanh nghiệp nhỏ và vừa;
- Hỗ trợ chuyển giao công nghệ phù hợp với doanh nghiệp nhỏ và vừa;
- Hỗ trợ mở rộng thị trường cho doanh nghiệp nhỏ và vừa;
- Hỗ trợ pháp lý cho doanh nghiệp nhỏ và vừa;
- Hỗ trợ thông tin cho doanh nghiệp nhỏ và vừa;
- Hỗ trợ phát triển nguồn nhân lực cho doanh nghiệp nhỏ và vừa;
- Hỗ trợ tư vấn cho doanh nghiệp nhỏ và vừa về nhân sự, tài chính, sản xuất, bán hàng, thị trường, quản trị nội bộ và các nội dung khác liên quan đến hoạt động sản xuất kinh doanh của doanh nghiệp;
- Hỗ trợ doanh nghiệp nhỏ và vừa chuyển đổi từ hộ kinh doanh;
- Hỗ trợ doanh nghiệp nhỏ và vừa khởi nghiệp sáng tạo;
- Hỗ trợ doanh nghiệp nhỏ và vừa tham gia cụm liên kết ngành, chuỗi giá trị.
2. Phân tổ chủ yếu:
- Nội dung hỗ trợ;
- Tỉnh, thành phố trực thuộc trung ương.
3. Kỳ công bố: Năm.
4. Nguồn số liệu: Chế độ báo cáo thống kê ngành Tài chính.
5. Đơn vị chịu trách nhiệm thu thập, tổng hợp: Cục Phát triển doanh nghiệp tư nhân và kinh tế tập thể.
2212. Số lượng doanh nghiệp nhỏ và vừa sử dụng nhiều lao động nữ
1. Khái niệm, phương pháp tính:
Doanh nghiệp nhỏ và vừa sử dụng nhiều lao động nữ là doanh nghiệp có số lao động nữ tại thời điểm 31/12 năm nghiên cứu chiếm từ 50% trở lên trên tổng số lao động cùng thời điểm, trong trường hợp doanh nghiệp sử dụng dưới 100 lao động; chiếm từ 30% trở lên trên tổng số lao động trong trường hợp doanh nghiệp sử dụng từ 100 lao động trở lên.
2. Phân tổ chủ yếu: Tỉnh, thành phố trực thuộc trung ương.
3. Kỳ công bố: Năm.
4. Nguồn số liệu: Điều tra doanh nghiệp.
5. Đơn vị chịu trách nhiệm thu thập, tổng hợp: Cục Thống kê.
23. NHÓM CHỈ TIÊU THỐNG KÊ KINH TẾ TẬP THỂ, HỢP TÁC XÃ
2301. Số hợp tác xã
1. Khái niệm, phương pháp tính:
Hợp tác xã là tổ chức có tư cách pháp nhân do ít nhất 05 thành viên chính thức tự nguyện thành lập, hợp tác tương trợ trong sản xuất, kinh doanh, tạo việc làm nhằm đáp ứng nhu cầu chung về kinh tế, văn hóa, xã hội của thành viên, góp phần xây dựng cộng đồng xã hội phát triển bền vững; thực hiện quản trị tự chủ, tự chịu trách nhiệm, bình đẳng và dân chủ.
2. Phân tổ chủ yếu:
- Ngành kinh tế;
- Quy mô nguồn vốn;
- Tỉnh, thành phố trực thuộc trung ương.
3. Kỳ công bố: Năm.
4. Nguồn số liệu:
- Báo cáo của các tỉnh, thành phố trực thuộc Trung ương;
- Thông tin từ Hệ thống Thông tin quốc gia về đăng ký hợp tác xã.
5. Đơn vị chịu trách nhiệm thu thập, tổng hợp:
- Chủ trì: Cục Phát triển doanh nghiệp tư nhân và Kinh tế tập thể;
- Phối hợp: Sở Tài chính các tỉnh, thành phố trực thuộc trung ương; Cục Thống kê.
2302. Số thành viên hợp tác xã, liên hiệp hợp tác xã, tổ hợp tác
1. Khái niệm, phương pháp tính:
Thành viên hợp tác xã, liên hiệp hợp tác xã bao gồm thành viên chính thức, thành viên liên kết góp vốn và thành viên liên kết không góp vốn.
a) Thành viên chính thức bao gồm:
- Thành viên góp vốn và sử dụng sản phẩm, dịch vụ của hợp tác xã, liên hiệp hợp tác xã;
- Thành viên góp vốn và góp sức lao động vào hợp tác xã, liên hiệp hợp tác xã;
- Thành viên góp vốn, sử dụng sản phẩm, dịch vụ và góp sức lao động vào hợp tác xã, liên hiệp hợp tác xã.
b) Thành viên liên kết góp vốn là thành viên chỉ góp vốn, không sử dụng sản phẩm, dịch vụ của hợp tác xã, liên hiệp hợp tác xã và không góp sức lao động vào hợp tác xã, liên hiệp hợp tác xã.
c) Thành viên liên kết không góp vốn bao gồm:
- Thành viên không góp vốn, chỉ sử dụng sản phẩm, dịch vụ của hợp tác xã, liên hiệp hợp tác xã;
- Thành viên không góp vốn, chỉ góp sức lao động vào hợp tác xã, liên hiệp hợp tác xã;
- Thành viên không góp vốn, chỉ sử dụng sản phẩm, dịch vụ của hợp tác xã, liên hiệp hợp tác xã và góp sức lao động vào hợp tác xã, liên hiệp hợp tác xã.
Công thức tính:
|
| Số thành viên | = | Số thành viên | + | Số thành viên liên | + | Số thành viên |
|
|
| Số thành viên | = | Số thành viên | + | Số thành viên liên | + | Số thành viên |
|
|
| Số thành viên tổ hợp tác | = | Tổng số thành viên cùng góp vốn, |
|
2.Phân tổ chủ yếu: Tỉnh, thành phố trực thuộc trung ương.
3. Kỳ công bố: Năm.
4. Nguồn số liệu:
- Báo cáo của các tỉnh, thành phố trực thuộc Trung ương;
- Thông tin từ Hệ thống Thông tin quốc gia về đăng ký hợp tác xã.
5. Đơn vị chịu trách nhiệm thu thập, tổng hợp:
- Chủ trì: Cục Phát triển doanh nghiệp tư nhân và Kinh tế tập thể;
- Phối hợp: Sở Tài chính các tỉnh, thành phố trực thuộc trung ương; Cục Thống kê.
2303. Số lao động thường xuyên của hợp tác xã
1. Khái niệm, phương pháp tính:
- Số lao động thường xuyên của hợp tác xã là những lao động đang làm việc thường xuyên trực tiếp hoặc gián tiếp, được hợp tác xã trả công, trả lương. Lao động có thể là thành viên hoặc không phải là thành viên của hợp tác xã.
- Lao động là thành viên của hợp tác xã: Là số thành viên trực tiếp tham gia lao động trong hợp tác xã, gồm số thành viên tham gia lao động trực tiếp và số thành viên tham gia lao động gián tiếp (ban quản trị, ban kiểm soát, kế toán, thủ quỹ,...) tại một thời điểm nhất định.
- Lao động thuê ngoài thường xuyên: Là lao động hợp tác xã thuê mướn thường xuyên để làm việc trực tiếp hoặc gián tiếp tại một thời điểm nhất định.
2. Phân tổ chủ yếu: Tỉnh, thành phố trực thuộc trung ương.
3. Kỳ công bố: Năm.
4. Nguồn số liệu:
- Báo cáo của các tỉnh, thành phố trực thuộc Trung ương;
- Thông tin từ Hệ thống Thông tin quốc gia về đăng ký hợp tác xã.
5. Đơn vị chịu trách nhiệm thu thập, tổng hợp:
- Chủ trì: Cục Phát triển doanh nghiệp tư nhân và Kinh tế tập thể;
- Phối hợp: Sở Tài chính các tỉnh, thành phố trực thuộc trung ương; Cục Thống kê.
2304. Doanh thu bình quân của hợp tác xã
1. Khái niệm, phương pháp tính:
Doanh thu bình quân của hợp tác xã là doanh thu trung bình tính cho một đơn vị hợp tác xã (tổng doanh thu cho số lượng hợp tác xã) trong một thời kỳ nhất định (thường là một năm), phát sinh từ các hoạt động sản xuất, tiêu thụ hàng hóa, sản phẩm, dịch vụ của hợp tác xã.
Doanh thu của hợp tác xã bao gồm doanh thu của tất cả các hoạt động sản xuất, kinh doanh và dịch vụ do hợp tác xã thực hiện.
2. Phân tổ chủ yếu: Tỉnh, thành phố trực thuộc trung ương.
3. Kỳ công bố: Năm.
4. Nguồn số liệu:
- Báo cáo của các tỉnh, thành phố trực thuộc Trung ương;
- Thông tin từ Hệ thống Thông tin quốc gia về đăng ký hợp tác xã.
5. Đơn vị chịu trách nhiệm thu thập, tổng hợp:
- Chủ trì: Cục Phát triển doanh nghiệp tư nhân và Kinh tế tập thể;
- Phối hợp: Sở Tài chính các tỉnh, thành phố trực thuộc trung ương; Cục Thống kê.
2305. Số cán bộ quản lý hợp tác xã
1. Khái niệm, phương pháp tính:
Cán bộ quản lý hợp tác xã gồm tất cả những người làm công tác quản lý trong hợp tác xã (ban quản trị, ban giám đốc, ban kiểm soát). Người cán bộ quản lý hợp tác xã cần có trình độ chuyên môn sâu, nắm bắt tốt các chủ trương của Đảng, chính sách của Nhà nước, nhạy bén với thị trường để xây dựng phương án hoạt động hiệu quả.
2. Phân tổ chủ yếu:
- Giới tính;
- Trình độ học vấn;
- Tỉnh, thành phố trực thuộc trung ương.
3. Kỳ công bố: Năm.
4. Nguồn số liệu:
- Báo cáo của các tỉnh, thành phố trực thuộc Trung ương;
- Thông tin từ Hệ thống Thông tin quốc gia về đăng ký hợp tác xã.
5. Đơn vị chịu trách nhiệm thu thập, tổng hợp:
- Chủ trì: Cục Phát triển doanh nghiệp tư nhân và Kinh tế tập thể;
- Phối hợp: Sở Tài chính các tỉnh, thành phố trực thuộc trung ương; Cục Thống kê.
2306. Số tổ hợp tác, liên hiệp hợp tác xã
1. Khái niệm, phương pháp tính:
Tổ hợp tác là tổ chức không có tư cách pháp nhân, được hình thành trên cơ sở hợp đồng hợp tác do ít nhất 02 thành viên tự nguyện thành lập, cùng góp 5 vốn, góp sức lao động để thực hiện những công việc nhất định, cùng hưởng lợi và cùng chịu trách nhiệm.
Liên hiệp hợp tác xã là tổ chức có tư cách pháp nhân do ít nhất 03 hợp tác xã là thành viên chính thức tự nguyện thành lập, hợp tác tương trợ trong sản xuất, kinh doanh, tạo việc làm nhằm mở rộng quy mô sản xuất, kinh doanh, nâng cao năng lực tham gia thị trường, góp phần xây dựng cộng đồng xã hội phát triển bền vững; thực hiện quản trị tự chủ, tự chịu trách nhiệm, bình đẳng và dân chủ.
2. Phân tổ chủ yếu: Tỉnh, thành phố trực thuộc trung ương.
3. Kỳ công bố: Năm.
4. Nguồn số liệu:
- Báo cáo của các tỉnh, thành phố trực thuộc Trung ương;
- Thông tin từ Hệ thống Thông tin quốc gia về đăng ký hợp tác xã.
5. Đơn vị chịu trách nhiệm thu thập, tổng hợp:
- Chủ trì: Cục Phát triển doanh nghiệp tư nhân và Kinh tế tập thể;
- Phối hợp: Sở Tài chính các tỉnh, thành phố trực thuộc trung ương; Cục Thống kê.
2307. Số hợp tác xã, liên hiệp hợp tác xã thành lập mới
1. Khái niệm, phương pháp tính:
Số hợp tác xã, liên hiệp hợp tác xã thành lập mới là tổng số hợp tác xã, liên hiệp hợp tác xã được đăng ký thành lập mới trong kỳ theo quy định của pháp luật.
2. Phân tổ chủ yếu:
- Ngành kinh tế;
- Tỉnh, thành phố trực thuộc trung ương.
3. Kỳ công bố: Năm.
4. Nguồn số liệu: Chế độ báo cáo thống kê ngành Tài chính.
5. Đơn vị chịu trách nhiệm thu thập, tổng hợp: Cục Phát triển doanh nghiệp tư nhân và Kinh tế tập thể.
2308. Số hợp tác xã, liên hiệp hợp tác xã giải thể, tạm ngừng hoạt động
1. Khái niệm, phương pháp tính:
Số hợp tác xã, liên hiệp hợp tác xã giải thể, tạm ngừng hoạt động là tổng số hợp tác xã, liên hiệp hợp tác xã giải thể, tạm ngừng hoạt động trong kỳ theo quy định của pháp luật.
2. Phân tổ chủ yếu:
- Ngành kinh tế;
- Tỉnh, thành phố trực thuộc trung ương.
3. Kỳ công bố: Năm.
4. Nguồn số liệu: Chế độ báo cáo thống kê ngành Tài chính.
5. Đơn vị chịu trách nhiệm thu thập, tổng hợp: Cục Phát triển doanh nghiệp tư nhân và Kinh tế tập thể.
24. NHÓM CHỈ TIÊU THỐNG KÊ CÔNG TÁC BẢO HIỂM
24.1. Nhóm chỉ tiêu thống kê công tác thu BHXH, BHTN, BHYT, BHTNLĐ-BNN (bao gồm các chỉ tiêu 2401; 2402; 2403; 2404; 2405; 2406; 2407; 2408; 2409; 2410; 2411; 2412; 2413; 2414; 2415; 2416; 2417; 2418; 2419; 2420; 2421; 2422; 2423; 2424):
2401. Số người tham gia BHXH
1. Khái niệm, phương pháp tính:
Số người tham gia BHXH: là người lao động quy định tại Điều 2 của Luật BHXH đóng BHXH.
2. Phân tổ:
a) Khối quản lý
2401.1. DN Nhà nước
2401.2. DN có vốn đầu tư nước ngoài
2401.3. DN ngoài quốc doanh
2401.4. Hành chính, Đảng, đoàn thể
2401.5. Cán bộ xã, phường, đặc khu
2401.6. Cán bộ không chuyên trách cấp xã, tổ thôn
2401.7. Hợp tác xã
2401.8. Đơn vị ngoài công lập
2401.9. Hộ SXKD cá thể, tổ hợp tác
2401.10. Lao động có thời hạn ở nước ngoài
2401.11. Đối tượng đóng BHXH tự nguyện
2401.12. Khối lực lượng vũ trang, cơ yếu
2401.13. Dân quân thường trực
2401.14. Người nước ngoài lao động tại Việt Nam
2401.15. Chủ hộ kinh doanh.
2401.16. Tổ chức nước ngoài, quốc tế.
2401.17. Các đối tượng khác
b) Hình thức tham gia bảo hiểm (bắt buộc/ tự nguyện)
c) Địa giới hành chính (tỉnh/ cơ sở)
d) Độ tuổi
e) Giới tính
3. Kỳ báo cáo: tháng, quý, năm.
4. Nguồn số liệu:
Cơ sở dữ liệu hệ thống Bảo hiểm xã hội Việt Nam.
5. Đơn vị chịu trách nhiệm thu thập, tổng hợp:
- BHXH Việt Nam: Ban Quản lý thu và phát triển người tham gia.
- BHXH tỉnh: Phòng Quản lý thu và phát triển người tham gia.
- BHXH cơ sở.
2402. Số người tham gia BHYT
1. Khái niệm, phương pháp tính:
Số người tham gia BHYT: là những người thuộc đối tượng quy định tại Điều 12 của Luật BHYT và Khoản 10 Điều 1 Luật sửa đổi, bổ sung một số điều của Luật BHYT tham gia đóng BHYT theo quy định.
2. Phân tổ:
a) Nhóm đối tượng
2402.1. Nhóm do người sử dụng lao động đóng hoặc người lao động đóng hoặc cùng đóng
2402.1.1. DN Nhà nước
2402.1.2. DN có vốn đầu tư nước ngoài
2402.1.3. DN ngoài quốc doanh
2402.1.4. Hành chính, Đảng, đoàn thể
2402.1.5. Cán bộ xã, phường, đặc khu
2402.1.6. Cán bộ không chuyên trách cấp xã
2402.1.7. Hợp tác xã
2402.1.8. Đơn vị ngoài công lập
2402.1.9. Hộ SXKD cá thể, tổ hợp tác, cá nhân
2402.1.10. Tổ chức nước ngoài, quốc tế
2402.1.11. Người nước ngoài lao động tại Việt Nam
2402.1.12. Người quản lý doanh nghiệp, hợp tác xã không hưởng tiền lương
2402.1.13. Công nhân và viên chức quốc phòng, công nhân công an; người làm công tác khác trong tổ chức cơ yếu
2402.1.14. Thân nhân của công nhân và viên chức quốc phòng, thân nhân của công nhân công an khác
2402.1.15. Chủ hộ kinh doanh
2402.1.16. Các đối tượng khác
2402.2. Nhóm do Cơ quan BHXH đóng
2402.2.1. Hưu trí, trợ cấp MSLĐ hằng tháng
2402.2.2. Trợ cấp TNLĐ-BNN
2402.2.3. Cán bộ xã hưởng trợ cấp BHXH hằng tháng
2402.2.4. Người bị ốm đau dài ngày
2402.2.5. Công nhân cao su
2402.2.6. Người hưởng chế độ thai sản
2402.2.7. Người đang hưởng trợ cấp thất nghiệp
2402.2.8. Các đối tượng khác
2402.3. Nhóm do NSNN đóng
2402.3.1. Cơ quan, đơn vị, tổ chức LLVT
2402.3.2. Dân quân thường trực
2402.3.3. Người có công với cách mạng
2402.3.4. Cựu chiến binh
2402.3.5. Người tham gia kháng chiến
2402.3.6. Đại biểu quốc hội, HĐND
2402.3.7. Trẻ em dưới 6 tuổi
2402.3.8. Thân nhân của người có công
2402.3.9. Thân nhân LLVT
2402.3.10. Người phục vụ người có công
2402.3.11. Người đã hiến bộ phận cơ thể
2402.3.12. Lưu học sinh
2402.3.13. Người thuộc hộ nghèo
2402.3.14. Người DTTS sống vùng KK, ĐBKK
2402.3.15. Người sống ở vùng ĐBKK
2402.3.16. Người sống ở đặc khu
2402.3.17. Cán bộ xã hưởng trợ cấp từ NSNN
2402.3.18. Người thôi hưởng trợ cấp MSLĐ
2402.3.19. Người hưởng trợ cấp bảo trợ xã hội hằng tháng
2402.3.20. Người đủ 75 tuổi hưởng trợ cấp tuất hằng tháng, người từ đủ 70 tuổi đến dưới 75 tuổi thuộc hộ cận nghèo đang hưởng trợ cấp tuất hàng tháng
2402.3.21. Người đang hưởng trợ cấp hưu trí xã hội
2402.3.22. Người lao động không đủ điều kiện hưởng lương hưu và chưa đủ tuổi hưởng trợ cấp hưu trí xã hội đang trong thời gian hưởng trợ cấp hằng tháng
2402.3.23. Người dân các xã an toàn khu
2402.3.24. Người được phong tặng danh hiệu nghệ nhân, nghệ nhân ưu tú thuộc hộ gia đình có mức thu nhập bình quân đầu người thấp hơn mức lương cơ sở
2402.3.25. Các đối tượng khác
2402.4. Nhóm được NSNN hỗ trợ mức đóng
2402.4.1. Học sinh, sinh viên
2402.4.2. Người thuộc hộ cận nghèo
2402.4.3. Lực lượng tham gia bảo vệ an ninh, trật tự ở cơ sở
2502.4.4. Hộ gia đình N-L-N-Dn mức sống TB
2402.4.5. Nhân viên y tế thôn, bản, cô đỡ thôn bản
2402.4.6. Cán bộ không chuyên trách ở thôn, tổ
2402.4.7. Dân tộc thiểu số đang sinh sống tại các xã được xác định không còn thuộc vùng có điều kiện KTXH KK, ĐBKK
2402.4.8. Nghệ nhân nhân dân, Nghệ nhân ưu tú; Nạn nhân theo quy định của Luật Phòng, chống mua bán người.
2402.4.9. Các đối tượng khác
2402.5. Nhóm tự đóng bảo hiểm y tế
2402.5.1. Người thuộc hộ gia đình
2402.5.2. Người sinh sống và làm việc, người được nuôi dưỡng, chăm sóc trong các tổ chức, cơ sở từ thiện, tôn giáo;
2402.5.3. Người lao động trong thời gian nghỉ không hưởng lương hoặc tạm hoãn hợp đồng lao động;
2402.5.4. Khác
2402.5.6. Nhóm khác
c) Địa giới hành chính (tỉnh/cơ sở)
3. Kỳ báo cáo: tháng, quý, năm.
4. Nguồn số liệu:
Cơ sở dữ liệu hệ thống Bảo hiểm xã hội Việt Nam.
5. Đơn vị chịu trách nhiệm thu thập, tổng hợp:
- BHXH Việt Nam: Ban Quản lý thu và phát triển người tham gia.
- BHXH tỉnh: Phòng Quản lý thu và phát triển người tham gia.
- BHXH cơ sở.
2403. Số người tham gia BHTN
1. Khái niệm, phương pháp tính:
Số người tham gia BHTN: là người lao động được quy định tại khoản 1 Điều 43 của Luật Việc làm đóng BHTN.
2. Phân tổ:
a) Khối quản lý
2403.1. DN Nhà nước
2403.2. DN có vốn đầu tư nước ngoài
2403.3. DN ngoài quốc doanh
2403.4. Hành chính, Đảng, đoàn thể
2403.5. Cán bộ xã phường, đặc khu
2403.6. Tổ chức nước ngoài, quốc tế
2403.7. Đơn vị ngoài công lập
2403.8. Hợp tác xã
2403.9. Lao động có thời hạn ở nước ngoài
2403.10. Hộ SXKD cá thể, tổ hợp tác
2403.11. Khối lực lượng vũ trang, cơ yếu
2403.12. Các đối tượng khác
b) Địa giới hành chính (tỉnh/ cơ sở)
c) Độ tuổi
d) Giới tính
3. Kỳ báo cáo: tháng, quý, năm.
4. Nguồn số liệu:
Cơ sở dữ liệu hệ thống Bảo hiểm xã hội Việt Nam.
5. Đơn vị chịu trách nhiệm thu thập, tổng hợp:
- BHXH Việt Nam: Ban Quản lý thu và phát triển người tham gia.
- BHXH tỉnh: Phòng Quản lý thu và phát triển người tham gia.
- BHXH cơ sở.
2404. Số người được tham gia BHTNLĐ-BNN
1. Khái niệm, phương pháp tính:
Số người được tham gia BHTNLĐ-BNN là người lao động theo quy định tại khoản 1 Điều 43 Luật An toàn, vệ sinh lao động được đơn vị sử dụng lao động đóng BHTNLĐ-BNN và tại Điều 2 Nghị định số 143/2024/NĐ-CP quy định về BHTNLĐ-BNN theo hình thức tự nguyện đối với lao động làm việc không theo HĐLĐ.
2. Phân tổ:
a) Khối quản lý
2404.1. DN Nhà nước
2404.2. DN có vốn đầu tư nước ngoài
2404.3. DN ngoài quốc doanh
2404.4. Hành chính, Đảng, đoàn thể
2404.5. Cán bộ xã, phường, đặc khu
2404.6. Tổ chức nước ngoài, quốc tế
2404.7. Đơn vị ngoài công lập
2404.8. Hợp tác xã
2404.9. Hộ SXKD cá thể, tổ hợp tác
2404.10. Người nước ngoài lao động tại Việt Nam
2404.11. Lao động có thời hạn ở nước ngoài
2404.12. Khối lực lượng vũ trang, cơ yếu
2404.13. Dân quân thường trực
2404.14. Các đối tượng khác
2404.15. BHTNLĐ-BNN tự nguyện
b) Địa giới hành chính (tỉnh/cơ sở)
c) Độ tuổi
d) Giới tính
3. Kỳ báo cáo: tháng, quý, năm.
4. Nguồn số liệu:
Cơ sở dữ liệu hệ thống Bảo hiểm xã hội Việt Nam.
5. Đơn vị chịu trách nhiệm thu thập, tổng hợp:
- BHXH Việt Nam: Ban Quản lý thu và phát triển người tham gia.
- BHXH tỉnh: Phòng Quản lý thu và phát triển người tham gia.
- BHXH cơ sở.
2405. Số đơn vị đóng BHXH, BHYT, BHTN, BHTNLĐ-BNN
1. Khái niệm, phương pháp tính:
Số đơn vị đóng BHXH, BHYT, BHTN, BHTNLĐ-BNN là cơ quan, đơn vị, doanh nghiệp, tổ chức sử dụng lao động thuộc đối tượng đóng BHXH bắt buộc, BHYT, BHTN, BHTNLĐ-BNN theo quy định của Luật BHXH, Luật BHYT, Luật Việc làm, Luật An toàn, vệ sinh lao động thực hiện đóng BHXH, BHYT, BHTN, BHTNLĐ-BNN.
2. Phân tổ:
a) Khối quản lý
2405.1. DN Nhà nước
2405.2. DN có vốn đầu tư nước ngoài
2405.3. DN ngoài quốc doanh
2405.4. Hành chính, Đảng, đoàn thể
2405.5. Cán bộ xã, phường, đặc khu
2405.6. Cán bộ không chuyên trách cấp xã, tổ thôn.
2405.7. Hợp tác xã
2405.8. Đơn vị ngoài công lập
2405.9. Hộ SXKD cá thể, tổ hợp tác
2405.10. Lao động có thời hạn ở nước ngoài
2405.11. Người nước ngoài lao động tại Việt Nam
2405.12. Tổ chức nước ngoài, quốc tế
2405.13. Khối lực lượng vũ trang, cơ yếu
2405.14. Dân quân thường trực
2405.15. Chủ hộ kinh doanh
2405.16. Các đối tượng khác
b) Địa giới hành chính (tỉnh/cơ sở)
3. Kỳ báo cáo: quý, năm.
4. Nguồn số liệu:
Cơ sở dữ liệu hệ thống Bảo hiểm xã hội Việt Nam.
5. Đơn vị chịu trách nhiệm thu thập, tổng hợp:
- BHXH Việt Nam: Ban Quản lý thu và phát triển người tham gia.
- BHXH tỉnh: Phòng Quản lý thu và phát triển người tham gia.
- BHXH cơ sở.
2406. Tổng quỹ tiền lương, tiền công làm căn cứ đóng BHXH bắt buộc, BHTN, BHYT, BHTNLĐ-BNN
1. Khái niệm, phương pháp tính:
Là tổng toàn bộ tiền lương, phụ cấp chức vụ, phụ cấp thâm niên vượt khung, phụ cấp thâm niên nghề, phụ cấp khu vực, hệ số chênh lệch bảo lưu, phụ cấp khác được tính ra bằng đồng Việt Nam của các đơn vị kê khai đóng BHXH bắt buộc, BHTN, BHYT, BHTNLĐ-BNN.
2. Phân tổ: Tương ứng chỉ tiêu số tiền thu BHXH, gồm:
a) Khối quản lý
2406.1. DN Nhà nước
2406.2. DN có vốn đầu tư nước ngoài
2406.3. DN ngoài quốc doanh
2406.4. Hành chính, Đảng, đoàn thể
2406.5. Cán bộ xã, phường, đặc khu
2406.6. Cán bộ không chuyên trách cấp xã, tổ thôn
2406.7. Hợp tác xã
2406.8. Đơn vị ngoài công lập
2406.9. Hộ SXKD cá thể, tổ hợp tác
2406.10. Lao động có thời hạn ở nước ngoài
2406.11. Người nước ngoài lao động tại Việt Nam
2406.12. Tổ chức nước ngoài, quốc tế
2406.13. Khối lực lượng vũ trang, cơ yếu
2406.14. Dân quân thường trực
2406.15. Chủ hộ kinh doanh
2406.16. Các đối tượng khác
b) Địa giới hành chính (tỉnh/cơ sở)
3. Kỳ báo cáo: quý, năm
4. Nguồn số liệu:
Cơ sở dữ liệu hệ thống Bảo hiểm xã hội Việt Nam.
5. Đơn vị chịu trách nhiệm thu thập, tổng hợp:
- BHXH Việt Nam: Ban Quản lý thu và phát triển người tham gia.
- BHXH tỉnh: Phòng Quản lý thu và phát triển người tham gia.
- BHXH cơ sở.
2407. Tiền lương (thu nhập) làm căn cứ tính đóng BHXH, BHTN, BHYT, BHTNLĐ-BNN của người lao động
1. Khái niệm, phương pháp tính:
Tiền lương làm căn cứ tính đóng BHXH bắt buộc, BHTN, BHYT, BHTNLĐ-BNN của người lao động được quy định tại Khoản 1 Điều 31 Luật BHXH số 41/2024/QH15; Điều 34 Luật Việc làm số 74/2025/QH15; Khoản 2 Điều 14 Luật BHYT số 25/2008/QH12, được sửa đổi bởi Khoản 8 Điều 1 Luật BHYT số 46/2014/QH13.
Thu nhập làm căn cứ đóng bảo hiểm xã hội tự nguyện thấp nhất bằng mức chuẩn hộ nghèo của khu vực nông thôn và cao nhất bằng 20 lần mức tham chiếu tại thời điểm đóng.
Tiền lương làm căn cứ tính đóng BHXH bắt buộc, BHTN, BHYT, BHTNLĐ-BNN thường được tính bình quân cho từng nhóm đối tượng theo yêu cầu quản lý nhằm phục vụ công tác tính toán, dự báo cân đối quỹ.
2. Phân tổ:
a) Loại bảo hiểm (BHXH, BHTN, BHYT, BHTNLĐ-BNN)
b) Giới tính
c) Độ tuổi
3. Kỳ báo cáo: tháng, quý, năm
4. Nguồn số liệu:
Cơ sở dữ liệu hệ thống Bảo hiểm xã hội Việt Nam
5. Đơn vị chịu trách nhiệm thu thập, tổng hợp:
- BHXH Việt Nam: Ban Quản lý thu và phát triển người tham gia
- BHXH tỉnh: Phòng Quản lý thu và phát triển người tham gia
- BHXH cơ sở
2408. Số tiền thu BHXH
1. Khái niệm, phương pháp tính:
Số tiền thu BHXH là số tiền thu do cơ quan BHXH thực hiện thu từ các đối tượng đóng BHXH theo quy định của pháp luật.
2. Phân tổ:
a) Khối quản lý
2408.1. DN Nhà nước
2408.2. DN có vốn đầu tư nước ngoài
2408.3. DN ngoài quốc doanh
2408.4. Hành chính, Đảng, đoàn thể
2408.5. Cán bộ xã, phường, đặc khu
2408.6. Cán bộ không chuyên trách cấp xã, tổ thôn
2408.7. Hợp tác xã
2408.8. Đơn vị ngoài công lập
2508.9. Hộ SXKD cá thể, tổ hợp tác
2408.10. Lao động có thời hạn ở nước ngoài
2408.11. Đối tượng đóng BHXH tự nguyện
2408.12. Khối lực lượng vũ trang, cơ yếu
2408.13. Dân quân thường trực
2408.14. Người nước ngoài lao động tại Việt Nam
2408.15. Chủ hộ kinh doanh
2408.16. Tổ chức nước ngoài, quốc tế
2408.17. Các đối tượng khác
b) Hình thức tham gia bảo hiểm (bắt buộc/ tự nguyện)
c) Địa giới hành chính (tỉnh/ cơ sở)
3. Kỳ báo cáo: tháng, quý, năm
4. Nguồn số liệu:
Cơ sở dữ liệu hệ thống Bảo hiểm xã hội Việt Nam.
5. Đơn vị chịu trách nhiệm thu thập, tổng hợp:
- BHXH Việt Nam: Ban Quản lý thu và phát triển người tham gia
- BHXH tỉnh: Phòng Quản lý thu và phát triển người tham gia
- BHXH cơ sở
2409. Số tiền thu BHYT
1. Khái niệm, phương pháp tính:
- Số tiền thu BHYT là số tiền thu do cơ quan BHXH thực hiện thu từ các đối tượng đóng, được hỗ trợ mức đóng BHYT theo quy định.
2. Phân tổ:
a) Nhóm đối tượng
2409.1. Nhóm do người sử dụng lao động đóng hoặc người lao động đóng hoặc cùng đóng
2409.1.1. DN Nhà nước
2409.1.2. DN có vốn đầu tư nước ngoài
2409.1.3. DN ngoài quốc doanh
2409.1.4. Hành chính, Đảng, đoàn thể
2409.1.5. Cán bộ xã, phường, đặc khu
2409.1.6. Cán bộ không chuyên trách cấp xã
2409.1.7. Hợp tác xã
2409.1.8. Đơn vị ngoài công lập
2409.1.9. Hộ SXKD cá thể, tổ hợp tác, cá nhân
2409.1.10. Tổ chức nước ngoài, quốc tế
2409.1.11. Người nước ngoài lao động tại Việt Nam
2409.1.12. Người quản lý doanh nghiệp, hợp tác xã không hưởng tiền lương
2409.1.13. Công nhân và viên chức quốc phòng, công nhân công an; người làm công tác khác trong tổ chức cơ yếu
2409.1.14. Thân nhân của công nhân và viên chức quốc phòng, thân nhân của công nhân công an khác
2409.1.15. Chủ hộ kinh doanh
2409.1.16. Các đối tượng khác
2409.2. Nhóm do cơ quan BHXH đóng
2409.2.1. Hưu trí, trợ cấp MSLĐ hàng tháng
2409.2.2. Trợ cấp TNLĐ-BNN
2409.2.3. Cán bộ xã hưởng trợ cấp BHXH hàng tháng
2409.2.4. Người bị ốm đau dài ngày
2409.2.5. Công nhân cao su
2409.2.6. Người hưởng chế độ thai sản
2409.2.7. Người đang hưởng trợ cấp thất nghiệp
2409.2.8. Các đối tượng khác
2409.3. Nhóm do NSNN đóng
2409.3.1. Cơ quan, đơn vị, tổ chức LLVT
2409.3.2. Dân quân thường trực
2409.3.3. Người có công với cách mạng
2409.3.4. Cựu chiến binh.
2409.3.5. Người tham gia kháng chiến
2409.3.6. Đại biểu quốc hội, HĐND
2409.3.7. Trẻ em dưới 6 tuổi
2409.3.8. Thân nhân của người có công
2409.3.9. Thân nhân LLVT
2409.3.10. Người phục vụ người có công
2409.3.11. Người đã hiến bộ phận cơ thể
2409.3.12. Lưu học sinh
2409.3.13. Người thuộc hộ nghèo
2409.3.14. Người DTTS sống vùng KK, ĐBKK
2409.3.15. Người sống ở vùng ĐBKK
2409.3.16. Người sống ở đặc khu
2409.3.17. Cán bộ xã hưởng trợ cấp từ NSNN
2409.3.18. Người thôi hưởng trợ cấp MSLĐ
2409.3.19. Người hưởng trợ cấp bảo trợ xã hội hàng tháng
2409.3.20. Người đủ 75 tuổi hưởng trợ cấp tuất hàng tháng, người từ đủ 70 tuổi đến dưới 75 tuổi thuộc hộ cận nghèo đang hưởng trợ cấp tuất hàng tháng
2409.3.21. Người đang hưởng trợ cấp hưu trí xã hội
2409.3.22. Người lao động không đủ điều kiện hưởng lương hưu và chưa đủ tuổi hưởng trợ cấp hưu trí xã hội đang trong thời gian hưởng trợ cấp hàng tháng
2409.3.23. Người dân các xã an toàn khu
2409.3.24. Người được phong tặng danh hiệu nghệ nhân, nghệ nhân ưu tú thuộc hộ gia đình có mức thu nhập bình quân đầu người thấp hơn mức lương cơ sở
2409.3.25. Các đối tượng khác
2409.4. Nhóm được NSNN hỗ trợ mức đóng
2409.4.1. Người thuộc hộ cận nghèo
2409.4.2. Học sinh, sinh viên
2409.4.3. Lực lượng tham gia bảo vệ an ninh, trật tự ở cơ sở
2409.4.4. Hộ gia đình N-L-N-Dn mức sống TB
2409.4.5. Nhân viên y tế thôn, bản, cô đỡ thôn bản
2409.4.6. Cán bộ không chuyên trách ở thôn, tổ
2409.4.7. Dân tộc thiểu số đang sinh sống tại các xã được xác định không còn thuộc vùng có điều kiện KTXH KK, ĐBKK
2409.4.8. Nghệ nhân nhân dân; Nghệ nhân ưu tú; Nạn nhân theo quy định của Luật Phòng, chống mua bán người.
2409.4.9. Các đối tượng khác
2409.5. Nhóm tự đóng bảo hiểm y tế
2409.5.1. Người thuộc hộ gia đình
2409.5.2. Người sinh sống và làm việc, người được nuôi dưỡng, chăm sóc trong các tổ chức, cơ sở từ thiện, tôn giáo;
2409.5.3. Người lao động trong thời gian nghỉ không hưởng lương hoặc tạm hoãn hợp đồng lao động;
2409.5.4. Khác
2409.6. Nhóm khác
b) Địa giới hành chính (tỉnh/ cơ sở)
c) Độ tuổi
d) Giới tính
đ) Ngoài ra số tiền thu BHYT trong năm còn được phân theo giá trị sử dụng của thẻ, cụ thể:
+ Số tiền thu BHYT cho năm nay: là số liền BHYT đã thu BHYT tương ứng với số thẻ BHYT có giá trị sử dụng trong năm nay (năm báo cáo).
+ Số tiền thu BHYT thu trước cho năm sau: là số tiền BHYT đã thu trong năm báo cáo tương ứng với số thẻ BHYT có giá trị sử dụng của những năm sau liền kề năm báo cáo.
3. Kỳ báo cáo: tháng, quý, năm
4. Nguồn số liệu:
Cơ sở dữ liệu hệ thống Bảo hiểm xã hội Việt Nam
5. Đơn vị chịu trách nhiệm thu thập, tổng hợp:
- BHXH Việt Nam: Ban Quản lý thu và phát triển người tham gia
- BHXH tỉnh: Phòng Quản lý thu và phát triển người tham gia
- BHXH cơ sở
2410. Số tiền thu BHTN
1. Khái niệm, phương pháp tính:
Số tiền thu BHTN là số tiền thu do cơ quan BHXH thực hiện thu từ các đối tượng đóng BHTN theo quy định.
2. Phân tổ:
a) Khối quản lý
2410.1. DN Nhà nước
2410.2. DN có vốn đầu tư nước ngoài
2410.3. DN ngoài quốc doanh
2410.4. Hành chính, Đảng, đoàn thể
2410.5. Cán bộ xã phường, đặc khu
2410.6. Tổ chức nước ngoài, quốc tế
2410.7. Đơn vị ngoài công lập
2410.8. Hợp tác xã
2410.9. Lao động có thời hạn ở nước ngoài
2410.10. Hộ SXKD cá thể, tổ hợp tác
2410.11. Khối lực lượng vũ trang, cơ yếu
2410.12. Các đối tượng khác
b) Địa giới hành chính (tỉnh/cơ sở)
3. Kỳ báo cáo: tháng, quý, năm
4. Nguồn số liệu:
Cơ sở dữ liệu hệ thống Bảo hiểm xã hội Việt Nam
5. Đơn vị chịu trách nhiệm thu thập, tổng hợp:
- BHXH Việt Nam: Ban Quản lý thu và phát triển người tham gia
- BHXH tỉnh: Phòng Quản lý thu và phát triển người tham gia
- BHXH cơ sở
2411. Số tiền thu BHTNLĐ-BNN
1. Khái niệm, phương pháp tính:
Số tiền thu BHTNLĐ-BNN là số tiền thu do cơ quan BHXH thực hiện thu từ đơn vị sử dụng lao động được tính trên quỹ tiền lương làm căn cứ tính đóng BHXH bắt buộc của người lao động theo quy định.
2. Phân tổ:
a) Khối quản lý
2404.1. DN Nhà nước
2404.2. DN có vốn đầu tư nước ngoài
2404.3. DN ngoài quốc doanh
2404.4. Hành chính, Đảng, đoàn thể
2404.5. Cán bộ xã, phường, đặc khu
2404.6. Tổ chức nước ngoài, quốc tế
2404.7. Đơn vị ngoài công lập
2404.8. Hợp tác xã
2404.9. Hộ SXKD cá thể, tổ hợp tác
2404.10. Người nước ngoài lao động tại Việt Nam
2404.11. Lao động có thời hạn ở nước ngoài
2404.12. Khối lực lượng vũ trang, cơ yếu
2404.13. Dân quân thường trực
2404.14. Các đối tượng khác
2404.15. BHTNLĐ-BNN tự nguyện
b) Địa giới hành chính (tỉnh/cơ sở)
3. Kỳ báo cáo: tháng, quý, năm.
4. Nguồn số liệu:
Cơ sở dữ liệu hệ thống Bảo hiểm xã hội Việt Nam
5. Đơn vị chịu trách nhiệm thu thập, tổng hợp:
- BHXH Việt Nam: Ban Quản lý thu và phát triển người tham gia
- BHXH tỉnh: Phòng Quản lý thu và phát triển người tham gia
- BHXH cơ sở
2412. Số tiền thu xử lý hành vi chậm đóng, trốn đóng BHXH, BHTN, BHYT, BHTNLĐ-BNN
1. Khái niệm, phương pháp tính:
Số tiền thu xử lý hành vi chậm đóng, trốn đóng BHXH, BHTN, BHYT, BHTNLĐ-BNN là số tiền cơ quan BHXH thu của các đơn vị đóng BHXH, BHTN, BHYT, BHTNLĐ-BNN chậm đóng, trốn đóng tiền đóng BHXH, BHTN, BHYT, BHTNLĐ-BNN, được tính trên số tiền thu BHXH, BHTN, BHYT, BHTNLĐ-BNN quá thời hạn so với quy định của các đơn vị đóng BHXH, BHTN, BHYT, BHTNLĐ-BNN nộp cho cơ quan BHXH.
Phương pháp tính như sau:
|
| Số tiền thu xử lý hành vi chậm đóng, trốn đóng BHXH, BHTN, BHYT, BHTNLĐ-BNN kỳ báo cáo | = | Số tiền chậm đóng, trốn | x | Tỷ lệ theo |
|
2. Phân tổ:
a) Khối quản lý
2412.1. DN Nhà nước
2412.2. DN có vốn đầu tư nước ngoài
2412.3. DN ngoài quốc doanh
2412.4. Hành chính, Đảng, đoàn thể
2412.5. Cán bộ xã, phường, đặc khu
2412.6. Cán bộ không chuyên trách cấp xã, tổ thôn
2412.7. Hợp tác xã
2412.8. Đơn vị ngoài công lập
2412.9. Hộ SXKD cá thể, tổ hợp tác.
2412.10. Lao động có thời hạn ở nước ngoài
2412.11. Người nước ngoài lao động tại Việt Nam.
2412.12. Tổ chức nước ngoài, quốc tế
2412.13. Khối lực lượng vũ trang, cơ yếu
2412.14. Dân quân thường trực
2412.15. Chủ hộ kinh doanh
2412.16. Các đối tượng khác
b) Loại bảo hiểm (BHXH bắt buộc, BHYT, BHTN, BHTNLĐ-BNN)
c) Địa giới hành chính (tỉnh/cơ sở)
3. Kỳ báo cáo: tháng, quý, năm
4. Nguồn số liệu: Cơ sở dữ liệu hệ thống Bảo hiểm xã hội Việt Nam
5. Đơn vị chịu trách nhiệm thu thập, tổng hợp:
- BHXH Việt Nam: Ban Quản lý thu và phát triển người tham gia
- BHXH tỉnh: Phòng Quản lý thu và phát triển người tham gia
- BHXH cơ sở
2413. Số đơn vị chậm đóng, trốn đóng BHXH, BHTN, BHYT, BHTNLĐ-BNN
1. Khái niệm, phương pháp tính:
Số đơn vị chậm đóng, trốn đóng BHXH, BHTN, BHYT, BHTNLĐ-BNN là số đơn vị sử dụng lao động đóng BHXH, BHTN, BHYT, BHTNLĐ-BNN chậm đóng, trốn đóng BHXH, BHTN, BHYT, BHTNLĐ-BNN quá thời hạn quy định.
2. Phân tổ: Phân tổ chủ yếu theo Khối quản lý, loại bảo hiểm và địa giới hành chính.
a) Khối quản lý
2413.1. DN Nhà nước
2413.2. DN có vốn đầu tư nước ngoài
2413.3. DN ngoài quốc doanh
2413.4. Hành chính, Đảng, đoàn thể
2413.5. Cán bộ xã, phường, đặc khu
2413.6. Cán bộ không chuyên trách cấp xã, tổ thôn
2413.7. Hợp tác xã
2413.8. Đơn vị ngoài công lập
2413.9. Hộ SXKD cá thể, tổ hợp tác
2413.10. Lao động có thời hạn ở nước ngoài
2413.11. Người nước ngoài lao động tại Việt Nam
2413.12. Tổ chức nước ngoài, quốc tế
2413.13. Khối lực lượng vũ trang, cơ yếu
2413.14. Dân quân thường trực
2413.15. Chủ hộ kinh doanh
2413.16. Các đối tượng khác
b) Loại bảo hiểm (BHXH bắt buộc, BHTN, BHYT, BHTNLĐ-BNN)
c) Địa giới hành chính (tỉnh/cơ sở)
3. Kỳ báo cáo: quý, năm.
4. Nguồn số liệu: Cơ sở dữ liệu hệ thống Bảo hiểm xã hội Việt Nam
5. Đơn vị chịu trách nhiệm thu thập, tổng hợp:
- BHXH Việt Nam: Ban Quản lý thu và phát triển người tham gia
- BHXH tỉnh: Phòng Quản lý thu và phát triển người tham gia
- BHXH cơ sở
2414. Số tiền chậm đóng, trốn đóng BHXH, BHTN, BHYT, BHTNLĐ-BNN của đơn vị đóng BHXH, BHTN, BHYT, BHTNLĐ-BNN
1. Khái niệm, phương pháp tính:
Số tiền chậm đóng, trốn đóng BHXH, BHTN, BHYT, BHTNLĐ-BNN của các đơn vị tham gia BHXH, BHTN, BHYT, BHTNLĐ-BNN là số tiền các đơn vị cùng tham gia BHXH, BHTN, BHYT, BHTNLĐ-BNN phải đóng nhưng chưa thực hiện nghĩa vụ đóng với cơ quan BHXH vượt quá thời hạn quy định.
Công thức tính:
|
| Số tiền chậm đóng, trốn | = | Số tiền phải nộp BHXH, | - | Số đã nộp BHXH, BHTN, |
|
Số tiền chậm đóng, trốn đóng BHXH, BHYT, BHTN, BHTNLĐ-BNN được xác định hằng tháng cho từng đơn vị cùng tham gia BHXH, BHTN, BHYT, BHTNLĐ-BNN.
2. Phân tổ:
a) Loại bảo hiểm (BHXH bắt buộc, BHTN, BHYT, BHTNLĐ-BNN)
b) Địa giới hành chính (tỉnh/cơ sở)
3. Kỳ báo cáo: tháng, quý, năm
4. Nguồn số liệu:
Cơ sở dữ liệu hệ thống Bảo hiểm xã hội Việt Nam
5. Đơn vị chịu trách nhiệm thu thập, tổng hợp:
- BHXH Việt Nam: Ban Quản lý thu và phát triển người tham gia
- BHXH tỉnh: Phòng Quản lý thu và phát triển người tham gia
- BHXH cơ sở
2415. Tỷ lệ người lao động tham gia BHXH so với lực lượng lao động trong độ tuổi lao động
1. Khái niệm, phương pháp tính:
Tỷ lệ người lao động tham gia BHXH là tỷ lệ phần trăm (%) giữa tổng số người tham gia BHXH chiếm trong lực lượng lao động trong độ tuổi lao động.
Lực lượng lao động trong độ tuổi lao động là bộ phận dân số trong độ tuổi lao động theo quy định tại Luật Lao động.
Công thức tính:
| Tỷ lệ người lao động tham gia BHXH so với lực lượng lao động trong độ tuổi lao động (%) | = | Tổng số người tham gia BHXH | x 100 |
| Lực lượng lao động trong độ tuổi lao động |
2. Phân tổ:
a) Giới tính
b) Độ tuổi
c) Địa giới hành chính (tỉnh/cơ sở)
d) Loại bảo hiểm (BHXH bắt buộc/BHXH tự nguyện)
3. Kỳ báo cáo: năm
4. Nguồn số liệu:
- Cơ sở dữ liệu hệ thống Bảo hiểm xã hội Việt Nam
- Cơ sở dữ liệu của Cục Thống kê
5. Đơn vị chịu trách nhiệm thu thập, tổng hợp:
- BHXH Việt Nam: Ban Quản lý thu và phát triển người tham gia
- BHXH tỉnh: Phòng Quản lý thu và phát triển người tham gia
- BHXH cơ sở
6. Cơ quan phối hợp thực hiện:
- Cục Thống kê
2416. Tỷ lệ người lao động tham gia BHTN so với lực lượng lao động trong độ tuổi lao động
1. Khái niệm, phương pháp tính:
Tỷ lệ người lao động tham gia BHTN là tỷ lệ phần trăm (%) giữa tổng số người tham gia BHTN chiếm trong lực lượng lao động trong độ tuổi lao động.
Công thức tính:
| Tỷ lệ người lao động tham gia BHTN so với lực lượng lao động trong độ tuổi lao động (%) | = | Tổng số người tham gia BHTN | x 100 |
| Lực lượng lao động trong độ tuổi lao động |
2. Phân tổ:
a) Giới tính
b) Độ tuổi
c) Địa giới hành chính (tỉnh/cơ sở)
3. Kỳ báo cáo: năm
4. Nguồn số liệu:
- Cơ sở dữ liệu hệ thống Bảo hiểm xã hội Việt Nam
- Cơ sở dữ liệu của Cục Thống kê
5. Đơn vị chịu trách nhiệm thu thập, tổng hợp:
- BHXH Việt Nam: Ban Quản lý thu và phát triển người tham gia
- BHXH tỉnh: Phòng Quản lý thu và phát triển người tham gia
- BHXH cơ sở
6. Cơ quan phối hợp thực hiện:
- Cục Thống kê
2417. Tỷ lệ người lao động tham gia BHTNLĐ-BNN so với lực lượng lao động trong độ tuổi lao động
1. Khái niệm, phương pháp tính:
Tỷ lệ người lao động tham gia BHTNLĐ-BNN là tỷ lệ phần trăm (%) giữa tổng số người tham gia BHTNLĐ-BNN chiếm trong lực lượng lao động trong độ tuổi lao động.
Công thức tính:
| Tỷ lệ lao động tham gia BHTNLĐ-BNN so với lực lượng lao động trong độ tuổi lao động (%) | = | Tổng số người tham gia BHTNLĐ - BNN | x 100 |
| Lực lượng lao động trong độ tuổi lao động |
2. Phân tổ:
a) Giới tính
b) Độ tuổi
c) Địa giới hành chính (tỉnh/cơ sở)
3. Kỳ báo cáo: năm
4. Nguồn số liệu:
- Cơ sở dữ liệu hệ thống Bảo hiểm xã hội Việt Nam
- Cơ sở dữ liệu của Cục Thống kê
5. Đơn vị chịu trách nhiệm thu thập, tổng hợp:
- BHXH Việt Nam: Ban Quản lý thu và phát triển người tham gia
- BHXH tỉnh: Phòng Quản lý thu và phát triển người tham gia
- BHXH cơ sở
6. Cơ quan phối hợp thực hiện:
- Cục Thống kê
2418. Tỷ lệ người dân tham gia BHYT so với dân số
1. Khái niệm, phương pháp tính:
Tỷ lệ người dân tham gia BHYT là tỷ lệ phần trăm (%) giữa tổng số người tham gia BHYT chiếm trong tổng dân số.
Công thức tính:
| Tỷ lệ người dân tham gia BHYT (%) | = | Tổng số người tham gia BHYT | x 100 |
| Tổng dân số |
2. Phân tổ:
a) Giới tính
b) Nhóm đối tượng
2418.1. Nhóm do người sử dụng lao động đóng hoặc người lao động đóng hoặc cùng đóng
2418.2. Nhóm do cơ quan BHXH đóng
2418.3. Nhóm do NSNN đóng
2418.4. Nhóm được NSNN hỗ trợ mức đóng
2418.5. Nhóm tự đóng bảo hiểm y tế
2418.6. Nhóm khác
c) Địa giới hành chính (tỉnh/cơ sở)
3. Kỳ báo cáo: năm
4. Nguồn số liệu:
- Cơ sở dữ liệu hệ thống Bảo hiểm xã hội Việt Nam
- Niên giám thống kê hàng năm do Cục Thống kê phát hành
5. Đơn vị chịu trách nhiệm thu thập, tổng hợp: BHXH Việt Nam: Ban Quản lý thu và phát triển người tham gia
6. Cơ quan phối hợp thực hiện:
- Cục Thống kê
2419. Mức đóng BHXH bình quân
1. Khái niệm, phương pháp tính: Mức đóng BHXH bình quân được tính bằng cách chia tổng số tiền đóng BHXH của người đóng BHXH cho tổng số người tham gia BHXH.
Công thức tính:

2. Phân tổ:
a) Khối quản lý
2419.1. DN Nhà nước
2419.2. DN có vốn đầu tư nước ngoài.
2419.3. DN ngoài quốc doanh
2419.4. Hành chính, Đảng, đoàn thể
2419.5. Cán bộ xã, phường, đặc khu
2419.6. Cán bộ không chuyên trách cấp xã, tổ thôn
2419.7. Hợp tác xã
2419.8. Đơn vị ngoài công lập
2419.9. Hộ SXKD cá thể, tổ hợp tác
2419.10. Lao động có thời hạn ở nước ngoài
2419.11. Đối tượng đóng BHXH tự nguyện
2419.12. Khối lực lượng vũ trang, cơ yếu
2419.13. Dân quân thường trực
2419.14. Người nước ngoài lao động tại Việt Nam
2419.15. Chủ hộ kinh doanh
2419.16. Tổ chức nước ngoài, quốc tế
2419.17. Các đối tượng khác
b) Giới tính
c) Độ tuổi
d) Địa giới hành chính (tỉnh/cơ sở)
e) Loại bảo hiểm (BHXH bắt buộc/BHXH tự nguyện)
3. Kỳ báo cáo: năm
4. Nguồn số liệu:
- Cơ sở dữ liệu hệ thống Bảo hiểm xã hội Việt Nam
5. Đơn vị chịu trách nhiệm thu thập, tổng hợp:
- BHXH Việt Nam: Ban Quản lý thu và phát triển người tham gia
- BHXH tỉnh: Phòng Quản lý thu và phát triển người tham gia
- BHXH cơ sở
2420. Mức đóng BHYT bình quân
1. Khái niệm, phương pháp tính: Mức đóng BHYT bình quân được tính bằng cách chia tổng số tiền đóng BHYT cho tổng số người tham gia BHYT.
Công thức tính:
|
| Mức đóng BHYT | = | Tổng số tiền đóng BHYT |
|
| Tổng số người tham gia BHYT |
2. Phân tổ:
a) Nhóm đối tượng
2420.1. Nhóm do người sử dụng lao động đóng hoặc người lao động đóng hoặc cùng đóng
2420.2. Nhóm do cơ quan BHXH đóng
2420.3. Nhóm do NSNN đóng
2420.4. Nhóm được NSNN hỗ trợ mức đóng
2420.5. Nhóm tự đóng bảo hiểm y tế
2420.6. Nhóm khác
b) Địa giới hành chính (tỉnh/cơ sở)
3. Kỳ báo cáo: năm
4. Nguồn số liệu: Cơ sở dữ liệu hệ thống Bảo hiểm xã hội Việt Nam.
5. Đơn vị chịu trách nhiệm thu thập, tổng hợp:
- BHXH Việt Nam: Ban Quản lý thu và phát triển người tham gia
- BHXH tỉnh: Phòng Quản lý thu và phát triển người tham gia
- BHXH cơ sở
2421. Mức đóng BHTN bình quân
1. Khái niệm, phương pháp tính:
Mức đóng BHTN bình quân được tính bằng cách chia tổng số tiền đóng BHTN của người tham gia BHTN chia cho tổng số người đóng BHTN.
Công thức tính:

2. Phân tổ:
a) Khối quản lý
2421.1. DN Nhà nước
2421.2. DN có vốn đầu tư nước ngoài
2421.3. DN ngoài quốc doanh
2421.4. Hành chính, Đảng, đoàn thể
2421.5. Cán bộ xã phường, đặc khu
2421.6. Tổ chức nước ngoài, quốc tế
2421.7. Đơn vị ngoài công lập
2421.8. Hợp tác xã
2421.9. Lao động có thời hạn ở nước ngoài
2421.10. Hộ SXKD cá thể, tổ hợp tác
2421.11. Khối lực lượng vũ trang, cơ yếu
2421.12. Các đối tượng khác
b) Giới tính
c) Độ tuổi
d) Địa giới hành chính (tỉnh/cơ sở)
3. Kỳ báo cáo: tháng, quý, năm
4. Nguồn số liệu: Cơ sở dữ liệu hệ thống Bảo hiểm xã hội Việt Nam
5. Đơn vị chịu trách nhiệm thu thập, tổng hợp:
- BHXH Việt Nam: Ban Quản lý thu và phát triển người tham gia
- BHXH tỉnh: Phòng Quản lý thu và phát triển người tham gia
- BHXH cơ sở
2422. Số người bảo lưu thời gian đóng BHTN chưa hưởng TCTN
1. Khái niệm, phương pháp tính:
Số người bảo lưu thời gian đóng BHTN chưa hưởng TCTN là những người tham gia BHTN có đủ thời gian để hưởng TCTN nhưng khi nghỉ việc họ bảo lưu thời gian đóng BHTN mà chưa hưởng TCTN. Thời gian đóng BHTN được bảo lưu và được cộng nối thời gian khi người lao động quay lại thị trường lao động tiếp tục đóng BHTN.
2. Phân tổ:
a) Giới tính
b) Độ tuổi
c) Địa giới hành chính (tỉnh/cơ sở)
d) Số tháng được giải quyết hưởng TCTN theo quyết định
3. Kỳ báo cáo: năm
4. Nguồn số liệu:
Cơ sở dữ liệu hệ thống Bảo hiểm xã hội Việt Nam
5. Đơn vị chịu trách nhiệm thu thập, tổng hợp:
- BHXH Việt Nam: Ban Quản lý thu và phát triển người tham gia
- BHXH tỉnh: Phòng Quản lý thu và phát triển người tham gia
- BHXH cơ sở
2423. Tỷ lệ lao động được hưởng BHTN so với tổng số lao động tham gia BHTN
1. Khái niệm, phương pháp tính:
Tỷ lệ lao động được hưởng BHTN so với tổng số lao động tham gia BHTN là tỷ lệ % giữa số người hưởng BHTN chiếm trong tổng số người tham gia BHTN.
Công thức tính:
| Tỷ lệ người lao động được hưởng BHTN so với tổng số lao động tham gia BHTN (%) | = | Số người hưởng BHTN | x 100 % |
| Tổng số người tham gia BHTN |
2. Phân tổ:
a) Giới tính
b) Độ tuổi
c) Địa giới hành chính (tỉnh/cơ sở)
3. Kỳ báo cáo: năm
4. Nguồn số liệu:
Cơ sở dữ liệu hệ thống Bảo hiểm xã hội Việt Nam.
5. Đơn vị chịu trách nhiệm thu thập, tổng hợp:
- BHXH Việt Nam: Ban Quản lý thu và phát triển người tham gia
- BHXH tỉnh: Phòng Quản lý thu và phát triển người tham gia
- BHXH cơ sở
2424. Thu lãi đầu tư tài chính trong năm
1. Khái niệm, phương pháp tính:
Thu lãi đầu tư tài chính trong năm là khoản tiền lãi phát sinh trong năm đã thu được từ hoạt động đầu tư các quỹ BHXH, BHTN, BHYT, BHTNLĐ-BNN thông qua các hình thức đầu tư quy định tại Điều 122 Luật BHXH số 41/2024/QH15.
2. Phân tổ: theo hình thức đầu tư
3. Kỳ báo cáo: năm
4. Nguồn số liệu: Phần mềm quản lý đầu tư quỹ
5. Đơn vị chịu trách nhiệm thu thập, tổng hợp: Ban Quản lý đầu tư quỹ.
24.2. Nhóm chỉ tiêu công tác thống kê công tác cấp sổ BHXH, thẻ BHYT (Bao gồm các chỉ tiêu 2425; 2426):
2425. Số lượng sổ BHXH đã cấp
1. Khái niệm, phương pháp tính:
Là số lượng sổ BHXH do cơ quan BHXH cấp cho người lao động đóng BHXH, BHTN để ghi nhận quá trình đóng BHXH, BHTN.
Sổ BHXH do cơ quan BHXH cấp cho người tham gia được theo dõi định kỳ hàng tháng, quý, năm.
2. Phân tổ: Phân tổ chủ yếu theo Khối quản lý, hình thức cấp và địa giới hành chính
a) Khối quản lý:
2425.1. DN Nhà nước
2425.2. DN có vốn đầu tư nước ngoài
2425.3. DN ngoài quốc doanh
2425.4. Hành chính, Đảng, đoàn thể
2425.5. Cán bộ xã, phường, đặc khu
2425.6. Cán bộ không chuyên trách cấp xã, tổ thôn
2425.7. Hợp tác xã
2425.8. Đơn vị ngoài công lập
2425.9. Hộ SXKD cá thể, tổ hợp tác
2425.10. Lao động có thời hạn ở nước ngoài
2425.11. Đối tượng đóng BHXH tự nguyện
2425.12. Khối lực lượng vũ trang, cơ yếu
2425.13. Dân quân thường trực
2425.14. Người nước ngoài lao động tại Việt Nam
2425.15. Chủ hộ kinh doanh
2425.16. Tổ chức nước ngoài, quốc tế
2425.17. Các đối tượng khác
b) Hình thức cấp:
2425.18. Cấp mới
2425.19. Cấp lại do mất, hỏng
2425.20. Cấp lại do gộp sổ
2425.21. Cấp lại do điều chỉnh nội dung trên sổ BHXH
2425.22. Cấp lại do thay đổi nhân thân trên sổ BHXH
2425.23. Cấp lại do hưởng trợ cấp 01 lần
2425.24. Cấp lại do các nguyên nhân khác
3. Kỳ báo cáo: tháng, quý, năm
4. Nguồn số liệu:
Cơ sở dữ liệu hệ thống BHXH Việt Nam
5. Đơn vị chịu trách nhiệm thu thập, tổng hợp:
- BHXH Việt Nam: Ban Quản lý thu và phát triển người tham gia
- BHXH tỉnh: Phòng Quản lý thu và phát triển người tham gia
- BHXH cơ sở
2426. Số lượng thẻ BHYT cấp cho các đối tượng
1. Khái niệm, phương pháp tính:
Số lượng thẻ BHYT cấp cho đối tượng là số lượng thẻ BHYT do cơ quan BHXH cấp cho người tham gia BHYT, người được NSNN hỗ trợ đóng BHYT để sử dụng khi đi KCB tại các cơ sở y tế.
2. Phân tổ:
a) Nhóm đối tượng
2426.1. Nhóm do người sử dụng lao động đóng hoặc người lao động đóng hoặc cùng đóng
2426.2. Nhóm do cơ quan BHXH đóng
2426.3. Nhóm do NSNN đóng
2426.4. Nhóm được NSNN hỗ trợ mức đóng
2426.5. Nhóm tự đóng bảo hiểm y tế
2426.6. Nhóm khác
b) Hình thức cấp
2426.7. Cấp mới
2426.8. Cấp lại, đổi thẻ BHYT
2426.9. Gia hạn thẻ BHYT
c) Địa giới hành chính (tỉnh/cơ sở)
3. Kỳ báo cáo: tháng, quý, năm
4. Nguồn số liệu:
Cơ sở dữ liệu hệ thống BHXH Việt Nam
5. Đơn vị chịu trách nhiệm thu thập, tổng hợp:
- BHXH Việt Nam: Ban Quản lý thu và phát triển người tham gia
- BHXH tỉnh: Phòng Quản lý thu và phát triển người tham gia
- BHXH cơ sở
24.3. Nhóm chỉ tiêu công tác chi trả các chế độ BHXH, BHTN, BHTNLĐ-BNN (bao gồm các chỉ tiêu 2427; 2428; 2429; 2430; 2431; 2432; 2433; 2434; 2435; 2436):
2427. Số người được hưởng BHXH
1. Khái niệm, phương pháp tính:
Số người được hưởng BHXH là những người được chi trả các chế độ BHXH theo quy định của Luật BHXH.
2. Phân tổ: Số người hưởng BHXH được phân tổ theo nguồn chi (chi tiết theo quỹ thành phần), theo từng loại chế độ và tổng hợp theo địa giới hành chính, cụ thể:
2427.1. Nguồn Ngân sách nhà nước
2427.1.1. Chi trả hàng tháng cho người được hưởng các chế độ:
- Hưu quân đội
- Hưu công nhân viên chức
- Trợ cấp công nhân cao su
- Trợ cấp mất sức lao động
- Trợ cấp 91
- Trợ cấp tai nạn lao động - bệnh nghề nghiệp
- Trợ cấp người phục vụ đối tượng bị tai nạn lao động
- Trợ cấp tuất định suất cơ bản
- Trợ cấp tuất định suất nuôi dưỡng
- Trợ cấp 613
- Số người hưởng hưu trí, trợ cấp hàng tháng, trợ cấp hàng tháng theo Điều 23 Luật BHXH năm 2024, trợ cấp tuất hàng tháng được cấp thẻ BHYT
2427.1.2. Chi trả một lần cho người được hưởng các chế độ:
- Trợ cấp mai táng
- Trợ cấp tuất một lần
- Trợ cấp phương tiện trợ giúp sinh hoạt, DCCH
- Giám định y khoa
- Trợ cấp khu vực một lần
- Trợ cấp theo Nghị định 14/2020/NĐ-CP
- Trợ cấp 1 lần cho người đang hưởng lương hưu, trợ cấp BHXH hàng tháng ra nước ngoài định cư
- Trợ cấp thai sản tự nguyện
2427.2. Nguồn quỹ BHXH đảm bảo
2427.2.1. Quỹ hưu trí, tử tuất
2427.2.1.1. Chi trả hàng tháng cho người được hưởng các chế độ
- Hưu quân đội
- Hưu công nhân viên chức
- Trợ cấp cán bộ xã
- Trợ cấp tuất định suất cơ bản
- Trợ cấp tuất định suất nuôi dưỡng
- Số người hưởng hưu trí, trợ cấp cán bộ xã được cấp thẻ BHYT
- BHXH hàng tháng theo Điều 23 Luật BHXH năm 2024
2427.2.1.2. Chi trả một lần cho người được hưởng các chế độ:
- BHXH một lần
- Trợ cấp một lần khi nghỉ hưu
- Trợ cấp mai táng
- Trợ cấp tuất một lần
- Trợ cấp khu vực một lần
- Giám định y khoa
- Trợ cấp 1 lần cho người đang hưởng lương hưu, trợ cấp BHXH hàng tháng ra nước ngoài định cư
- Trợ cấp một lần những tháng chưa nhận đối với thân nhân người đang hưởng trợ cấp hàng tháng theo Điều 23 Luật BHXH năm 2024 chết
2427.2.2. Quỹ TNLĐ-BNN
2427.2.2.1. Chi trả hàng tháng cho người được hưởng các chế độ:
- Trợ cấp TNLĐ hàng tháng
- Trợ cấp BNN hàng tháng
- Trợ cấp phục vụ
- Số người TNLĐ-BNN được cấp thẻ BHYT
2427.2.2.2. Chi trả một lần cho người được hưởng các chế độ:
- Khám giám định thương tật, bệnh tật do TNLĐ-BNN
- Trợ cấp TNLĐ-BNN một lần
- Trợ cấp khi người lao động chết do TNLĐ-BNN
- Trợ cấp dưỡng sức phục hồi sức khỏe sau thương tật bệnh tật
- Trợ cấp phương tiện trợ giúp SH, DCCH
- Hỗ trợ chuyển đổi nghề nghiệp cho người bị TNLĐ-BNN khi trở lại làm việc
- Hỗ trợ phòng ngừa chia sẻ rủi ro TNLĐ-BNN
2427.2.3. Quỹ Ốm đau, thai sản
- Trợ cấp ốm đau
- Trợ cấp thai sản
- Dưỡng sức PHSK sau ốm đau. TS
- Số người ốm đau, thai sản được cấp thẻ BHYT
2427.2.4. Nguồn quỹ BHXH tự nguyện
- Lương hưu
- Trợ cấp BHXH một lần
- Trợ cấp một lần khi nghỉ hưu
- Trợ cấp mai táng
- Trợ cấp tuất 1 lần
- Trợ cấp khu vực 1 lần
- Trợ cấp hằng tháng theo Điều 23 Luật BHXH năm 2024
- Trợ cấp 1 lần cho người đang hưởng lương hưu, trợ cấp BHXH hàng tháng ra nước ngoài định cư
- Trợ cấp một lần những tháng chưa nhận đối với thân nhân người đang hưởng trợ cấp hàng tháng theo Điều 23 Luật BHXH năm 2024 chết
- Số người hưởng hưu trí được cấp thẻ BHYT
b) Địa giới hành chính (tỉnh/cơ sở)
3. Kỳ báo cáo: tháng, quý, năm
4. Nguồn số liệu:
Cơ sở dữ liệu hệ thống Bảo hiểm xã hội Việt Nam
5. Đơn vị chịu trách nhiệm thu thập, tổng hợp:
- BHXH Việt Nam: Ban Thực hiện chính sách BHXH
- BHXH tỉnh: Phòng chế độ BHXH
- BHXH cơ sở
2428. Số người được hưởng BHTN
1. Khái niệm, phương pháp tính:
Số người được hưởng BHTN là số người có quyết định hưởng mới được chi trả các chế độ BHTN theo quy định của Luật Việc làm.
2. Phân tổ:
a) Loại chế độ
2428.1. Trợ cấp thất nghiệp
2428.2. Hỗ trợ tư vấn, giới thiệu việc làm
2428.3. Hỗ trợ học nghề
2428.4. Hỗ trợ kinh phí đào tạo, bồi dưỡng nâng cao trình độ kỹ năng nghề để duy trì việc làm cho người lao động
b) Địa giới hành chính (tỉnh/cơ sở)
3. Kỳ báo cáo: quý, năm
4. Nguồn số liệu:
Cơ sở dữ liệu hệ thống BHXH Việt Nam
5. Đơn vị chịu trách nhiệm thu thập, tổng hợp:
- BHXH Việt Nam: Ban Thực hiện chính sách BHXH
- BHXH tỉnh: Phòng chế độ BHXH
- BHXH cơ sở
2429. Số người được hưởng BHTNLĐ-BNN
1. Khái niệm, phương pháp tính:
Số người hưởng BHTNLĐ-BNN là những người được chi trả các chế độ BHTNLĐ-BNN theo quy định của Luật An toàn, vệ sinh lao động và Nghị định số 143/2024/NĐ-CP.
2. Phân tổ:
a) Loại chế độ
2429.1. Chi trả hàng tháng cho người được hưởng các chế độ
- Trợ cấp TNLĐ hàng tháng
- Trợ cấp BNN hàng tháng
- Trợ cấp phục vụ
2429.2. Chi trả một lần cho người được hưởng các chế độ
- Khám giám định thương tật, bệnh tật do TNLĐ-BNN
- Trợ cấp TNLĐ-BNN một lần
- Trợ cấp khi người lao động chết do TNLĐ-BNN
- Trợ cấp dưỡng sức phục hồi sức khỏe sau thương tật bệnh tật
- Trợ cấp phương tiện trợ giúp SH, DCCH
- Hỗ trợ chuyển đổi nghề nghiệp cho người bị TNLĐ-BNN khi trở lại làm việc
- Hỗ trợ phòng ngừa chia sẻ rủi ro TNLĐ-BNN
b) Địa giới hành chính (tỉnh/cơ sở)
3. Kỳ báo cáo: quý, năm
4. Nguồn số liệu:
Cơ sở dữ liệu hệ thống Bảo hiểm xã hội Việt Nam.
5. Đơn vị chịu trách nhiệm thu thập, tổng hợp:
- BHXH Việt Nam: Ban Thực hiện chính sách BHXH
- BHXH tỉnh: Phòng chế độ BHXH
- BHXH cơ sở
2430. Số tiền chi các chế độ BHXH
1. Khái niệm, phương pháp tính:
Số tiền chi các chế độ BHXH là số tiền chi trả cho số người được hưởng các chế độ BHXH theo quy định.
2. Phân tổ:
a) Nguồn chi
2430.1. Nguồn Ngân sách nhà nước
2530.1.1. Chi trả hàng tháng cho các chế độ:
- Hưu quân đội
- Hưu công nhân viên chức
- Trợ cấp công nhân cao su
- Trợ cấp mất sức lao động
- Trợ cấp 91
- Trợ cấp tai nạn lao động - bệnh nghề nghiệp
- Trợ cấp người phục vụ đối tượng bị tai nạn lao động
- Trợ cấp tuất định suất cơ bản
- Trợ cấp tuất định suất nuôi dưỡng
- Trợ cấp 613
- Số người hưởng chế độ hưu trí, trợ cấp hằng tháng, trợ cấp hàng tháng theo Điều 23 Luật BHXH năm 2024, trợ cấp tuất hằng tháng được cấp thẻ BHYT.
2430.1.2. Chi trả một lần các chế độ:
- Trợ cấp mai táng
- Trợ cấp tuất một lần
- Trợ cấp phương tiện trợ giúp sinh hoạt, DCCH
- Giám định y khoa
- Trợ cấp khu vực một lần
- Trợ cấp theo Nghị định 14/2020/NĐ-CP
- Trợ cấp 1 lần cho người đang hưởng lương hưu, trợ cấp BHXH hàng tháng ra nước ngoài định cư
- Trợ cấp thai sản tự nguyện
2430.2. Nguồn quỹ BHXH đảm bảo
2430.2.1. Quỹ hưu trí, tử tuất
2430.2.1.1. Chi trả hàng tháng các chế độ
- Hưu quân đội
- Hưu công nhân viên chức
- Trợ cấp cán bộ xã
- Trợ cấp tuất định suất cơ bản
- Trợ cấp tuất định suất nuôi dưỡng
- Số người hưởng hưu trí, trợ cấp cán bộ xã được cấp thẻ BHYT
- BHXH hàng tháng theo Điều 23 Luật BHXH năm 2024
2430.2.1.2. Chi trả một lần cho các chế độ
- BHXH một lần
- Trợ cấp một lần khi nghỉ hưu
- Trợ cấp mai táng
- Trợ cấp tuất một lần
- Trợ cấp khu vực một lần
- Giám định y khoa
- Trợ cấp 1 lần cho người đang hưởng lương hưu, trợ cấp BHXH hàng tháng ra nước ngoài định cư
- Trợ cấp một lần những tháng chưa nhận đối với thân nhân người đang hưởng trợ cấp hàng tháng theo Điều 23 Luật BHXH năm 2024 chết
2430.2.2. Quỹ TNLĐ-BNN
2430.2.2.1. Chi trả hàng tháng các chế độ
- Trợ cấp TNLĐ hàng tháng
- Trợ cấp BNN hàng tháng
- Trợ cấp phục vụ
- Chi mua BHYT cho người TNLĐ-BNN
2430.2.2.2. Chi trả một lần các chế độ
- Khám giám định thương tật, bệnh tật do TNLĐ-BNN
- Trợ cấp TNLĐ-BNN một lần
- Trợ cấp khi người lao động chết do TNLĐ-BNN
- Trợ cấp dưỡng sức phục hồi sức khỏe sau thương tật bệnh tật
- Trợ cấp phương tiện trợ giúp SH, DCCH
- Hỗ trợ chuyển đổi nghề nghiệp cho người bị TNLĐ-BNN khi trở lại làm việc
- Hỗ trợ các hoạt động phòng ngừa, chia sẻ rủi ro về TNLĐ-BNN
2430.2.3. Quỹ ốm đau, thai sản
- Trợ cấp ốm đau
- Trợ cấp thai sản
- Dưỡng sức PHSK sau ốm đau, TS
- Chi mua BHYT cho người ốm đau, thai sản
2430.2.4. Nguồn Quỹ BHXH tự nguyện
- Lương hưu
- Trợ cấp BHXH một lần
- Trợ cấp một lần khi nghỉ hưu
- Trợ cấp mai táng
- Trợ cấp tuất 1 lần
- Trợ cấp khu vực 1 lần
- Trợ cấp hằng tháng theo Điều 23 Luật BHXH năm 2024
- Trợ cấp 1 lần cho người đang hưởng lương hưu, trợ cấp BHXH hàng tháng ra nước ngoài định cư
- Trợ cấp một lần những tháng chưa nhận đối với thân nhân người đang hưởng trợ cấp hàng tháng theo Điều 23 Luật BHXH năm 2024 chết
- Số người hưởng hưu trí được cấp thẻ BHYT.
b) Địa giới hành chính (tỉnh/cơ sở)
3. Kỳ báo cáo: tháng, quý, năm
4. Nguồn số liệu:
Cơ sở dữ liệu hệ thống Bảo hiểm xã hội Việt Nam
5. Đơn vị chịu trách nhiệm thu thập, tổng hợp:
- BHXH Việt Nam: Ban Tài chính - Kế toán
- BHXH tỉnh: Phòng Kế hoạch - Tài chính
- BHXH cơ sở
2431. Số tiền chi các chế độ BHTN
1. Khái niệm, phương pháp tính:
Số tiền chi các chế độ BHTN là số tiền chi trả cho các đối tượng được hưởng các chế độ BHTN theo quy định.
2. Phân tổ:
a) Loại chế độ
2431.1. Trợ cấp thất nghiệp
2431.2. Hỗ trợ tư vấn, giới thiệu việc làm
2431.3. Hỗ trợ học nghề
2431.4. Bồi dưỡng nâng cao kỹ năng nghề
b) Địa giới hành chính (tỉnh/cơ sở)
3. Kỳ báo cáo: tháng, quý, năm
4. Nguồn số liệu:
Cơ sở dữ liệu hệ thống Bảo hiểm xã hội Việt Nam
5. Đơn vị chịu trách nhiệm thu thập, tổng hợp:
- BHXH Việt Nam: Ban Tài chính - Kế toán
- BHXH tỉnh: Phòng Kế hoạch - Tài chính
- BHXH cơ sở
2432. Số tiền chi các chế độ BHTNLĐ-BNN
1. Khái niệm, phương pháp tính: Số tiền chi các chế độ BHTNLĐ-BNN là số tiền đã chi trả cho các đối tượng được hưởng các chế độ BHTNLĐ-BNN theo quy định.
2. Phân tổ: theo Loại chế độ
2432.1. Chi trả hàng tháng các chế độ
- Trợ cấp TNLĐ hàng tháng
- Trợ cấp BNN hàng tháng
- Trợ cấp phục vụ
- Chi mua BHYT cho người TNLĐ-BNN
2432.2. Chi trả một lần các chế độ
- Khám giám định thương tật, bệnh tật do TNLĐ-BNN
- Trợ cấp TNLĐ-BNN một lần
- Trợ cấp khi người lao động chết do TNLĐ-BNN
- Trợ cấp dưỡng sức phục hồi sức khỏe sau thương tật bệnh tật
- Trợ cấp phương tiện trợ giúp SH, DCCH
- Hỗ trợ chuyển đổi nghề nghiệp cho người bị TNLĐ-BNN khi trở lại làm việc
- Hỗ trợ phòng ngừa chia sẻ rủi ro TNLĐ-BNN
3. Kỳ báo cáo: tháng, quý, năm
4. Nguồn số liệu:
- Cơ sở dữ liệu hệ thống Bảo hiểm xã hội Việt Nam.
5. Đơn vị chịu trách nhiệm thu thập, tổng hợp:
- BHXH Việt Nam: Ban Tài chính - Kế toán.
- BHXH tỉnh: Phòng Kế hoạch - Tài chính.
- BHXH cơ sở.
2433. Tỷ lệ sử dụng Quỹ hưu trí, tử tuất
1. Khái niệm, phương pháp tính:
Tỷ lệ sử dụng Quỹ hưu trí, tử tuất là tỷ lệ phần trăm (%) tổng số tiền chi các chế độ hưu trí, tử tuất chiếm trong tổng số tiền thu Quỹ hưu trí, tử tuất.
Công thức tính:
| Tỷ lệ sử dụng Quỹ hưu trí, tử tuất (%) | = | Tổng số tiền chi các chế độ hưu trí, tử tuất | x 100% |
| Tổng số tiền thu Quỹ hưu trí, tử tuất |
2. Kỳ báo cáo: năm
3. Nguồn số liệu:
Cơ sở dữ liệu hệ thống Bảo hiểm xã hội Việt Nam
4. Đơn vị chịu trách nhiệm thu thập, tổng hợp:
- BHXH Việt Nam: Ban Tài chính - Kế toán
2434. Tỷ lệ sử dụng Quỹ ốm đau, thai sản
1. Khái niệm, phương pháp tính:
Tỷ lệ sử dụng Quỹ ốm đau, thai sản là tỷ lệ phần trăm (%) tổng số tiền chi các chế độ ốm đau, thai sản chiếm trong tổng số tiền thu Quỹ ốm đau, thai sản.
Công thức tính:
| Tỷ lệ sử dụng Quỹ ốm đau, thai sản (%) | = | Tổng số tiền chi các chế độ ốm đau, thai sản | x 100% |
| Tổng số tiền thu Quỹ ốm đau, thai sản |
2. Kỳ báo cáo: năm
3. Nguồn số liệu:
Cơ sở dữ liệu hệ thống Bảo hiểm xã hội Việt Nam
4. Đơn vị chịu trách nhiệm thu thập, tổng hợp
- BHXH Việt Nam: Ban Tài chính - Kế toán
2435. Tỷ lệ sử dụng Quỹ TNLĐ-BNN
1. Khái niệm, phương pháp tính:
Tỷ lệ sử dụng Quỹ TNLĐ-BNN là tỷ lệ phần trăm (%) tổng số tiền chi các chế độ TNLĐ-BNN chiếm trong tổng số tiền thu Quỹ TNLĐ-BNN.
Công thức tính:
| Tỷ lệ sử dụng Quỹ TNLĐ-BNN (%) | = | Tổng số tiền chi các chế độ TNLĐ - BNN | x 100% |
| Tổng số tiền thu Quỹ TNLĐ - BNN |
2. Kỳ báo cáo: năm
3. Nguồn số liệu:
Cơ sở dữ liệu hệ thống Bảo hiểm xã hội Việt Nam
4. Đơn vị chịu trách nhiệm thu thập, tổng hợp:
- BHXH Việt Nam: Ban Tài chính - Kế toán
2436. Tỷ lệ sử dụng Quỹ BHTN
1. Khái niệm, phương pháp tính:
Tỷ lệ sử dụng Quỹ BHTN là tỷ lệ phần trăm (%) tổng số tiền chi các chế độ hưởng BHTN chiếm trong tổng số tiền thu Quỹ BHTN.
Công thức tính:
| Tỷ lệ sử dụng Quỹ BHTN (%) | = | Tổng số tiền chi các chế độ BHTN | x 100% |
| Tổng số tiền thu Quỹ BHTN |
2. Kỳ báo cáo: năm
3. Nguồn số liệu:
Cơ sở dữ liệu hệ thống Bảo hiểm xã hội Việt Nam
4. Đơn vị chịu trách nhiệm thu thập, tổng hợp;
- BHXH Việt Nam: Ban Tài chính - Kế toán
24.4. Nhóm chỉ tiêu thống kê công tác thực hiện chính sách BHXH (bao gồm các chỉ tiêu 2437; 2438; 2439; 2440; 2441; 2442; 2443; 2444; 2445; 2446; 2447; 2448; 2449; 2450; 2451; 2452; 2453; 2454; 2455; 2456; 2457; 2458):
2437. Số người được giải quyết hưởng mới các chế độ BHXH
1. Khái niệm, phương pháp tính:
Số người được giải quyết hưởng mới các chế độ BHXH là số người đã đóng BHXH đủ điều kiện được hưởng các chế độ BHXH được cơ quan BHXH giải quyết hưởng các chế độ BHXH trong kỳ báo cáo.
Số người được giải quyết hưởng mới các chế độ BHXH được tính trong một khoảng thời gian nhất định (thường là tháng, quý, năm).
2. Phân tổ:
a) Loại chế độ
2437.1. Chế độ BHXH hàng tháng
2437.2. Chế độ BHXH một lần
2437.3. Chế độ ốm đau, thai sản, dưỡng sức phục hồi sức khỏe
b) Hình thức tham gia bảo hiểm (bắt buộc/ tự nguyện)
c) Giới tính
d) Độ tuổi: Chi tiết theo từng tuổi
đ) Địa giới hành chính (tỉnh/cơ sở)
e) Khối quản lý
- DN Nhà nước
- DN có vốn đầu tư nước ngoài
- DN ngoài quốc doanh
- Hành chính, Đảng, đoàn thể
- Cán bộ xã, phường, đặc khu.
- Cán bộ không chuyên trách cấp xã, tổ thôn
- Hợp tác xã
- Đơn vị ngoài công lập
- Hộ SXKD cá thể, tổ hợp tác
- Lao động có thời hạn ở nước ngoài
- Đối tượng đóng BHXH tự nguyện
- Khối lực lượng vũ trang, cơ yếu
- Dân quân thường trực
- Người nước ngoài lao động tại Việt Nam
- Chủ hộ kinh doanh
- Tổ chức nước ngoài, quốc tế
- Các đối tượng khác
3. Kỳ báo cáo: tháng, quý, năm
4. Nguồn số liệu:
Cơ sở dữ liệu hệ thống Bảo hiểm xã hội Việt Nam
5. Đơn vị chịu trách nhiệm thu thập, tổng hợp:
- BHXH Việt Nam:
+ Đơn vị chủ trì: Ban Thực hiện chính sách BHXH
+ Đơn vị phối hợp: Trung tâm Công nghệ thông tin và Chuyển đổi số
- BHXH tỉnh:
+ Đơn vị chủ trì: Phòng Chế độ BHXH
+ Đơn vị phối hợp: Phòng Công nghệ thông tin và Chuyển đổi số
- BHXH cơ sở
2438. Số người tạm dừng hưởng các chế độ BHXH hàng tháng
1. Khái niệm, phương pháp tính:
Số người tạm dừng hưởng các chế độ BHXH hàng tháng là số người đang hưởng lương hưu, trợ cấp BHXH hàng tháng bị tạm dừng hưởng theo quy định tại Điều 75 Luật BHXH số 41/2024/QH15.
2. Phân tổ:
a) Loại chế độ
- Hưu quân đội
- Hưu công nhân viên chức
- Trợ cấp công nhân cao su
- Trợ cấp mất sức lao động
- Trợ cấp 91
- Trợ cấp tai nạn lao động - bệnh nghề nghiệp
- Trợ cấp người phục vụ đối tượng bị tai nạn lao động
- Trợ cấp tuất định suất cơ bản
- Trợ cấp tuất định suất nuôi dưỡng
- Trợ cấp 613
- Trợ cấp cán bộ xã
- Trợ cấp hàng tháng theo Điều 23 Luật BHXH
b) Nguồn chi
c) Giới tính
d) Độ tuổi: Chi tiết theo từng tuổi
đ) Địa giới hành chính (tỉnh/cơ sở)
3. Nguồn số liệu:
Cơ sở dữ liệu hệ thống Bảo hiểm xã hội Việt Nam
4. Kỳ công bố: Năm
5. Đơn vị chịu trách nhiệm thu thập, tổng hợp:
- BHXH Việt Nam:
+ Đơn vị chủ trì: Ban Thực hiện chính sách BHXH
+ Đơn vị phối hợp: Trung tâm Công nghệ thông tin và Chuyển đổi số
- BHXH tỉnh:
+ Đơn vị chủ trì: Phòng Chế độ BHXH
+ Đơn vị phối hợp: Phòng Công nghệ thông tin và Chuyển đổi số
- BHXH cơ sở
2439. Số người di chuyển hưởng BHXH hàng tháng
1. Khái niệm, phương pháp tính:
- Di chuyển đi tỉnh khác: Là số người đang hưởng các chế độ BHXH hàng tháng có thông báo chuyển đi tỉnh/cơ sở khác hưởng BHXH hàng tháng tại kỳ báo cáo.
- Di chuyển đến: Là số người đang hưởng các chế độ BHXH hàng tháng ở tỉnh/cơ sở khác có thông báo chuyển đến hưởng BHXH hàng tháng tại kỳ báo cáo.
2. Phân tổ:
a) Giới tính
b) Độ tuổi
c) Địa giới hành chính (tỉnh/cơ sở)
d) Hình thức di chuyển (đi/đến)
đ) Nguồn chi
e) Loại chế độ
- Hưu quân đội
- Hưu công nhân viên chức
- Trợ cấp công nhân cao su
- Trợ cấp mất sức lao động
- Trợ cấp 91
- Trợ cấp tai nạn lao động - bệnh nghề nghiệp
- Trợ cấp người phục vụ đối tượng bị tai nạn lao động
- Trợ cấp tuất định suất cơ bản
- Trợ cấp tuất định suất nuôi dưỡng
- Trợ cấp 613
- Trợ cấp cán bộ xã
- Trợ cấp hàng tháng theo Điều 23 Luật BHXH
3. Kỳ báo cáo: năm.
4. Nguồn số liệu:
Cơ sở dữ liệu hệ thống BHXH Việt Nam.
5. Đơn vị chịu trách nhiệm thu thập, tổng hợp:
- BHXH Việt Nam:
+ Đơn vị chủ trì: Ban Thực hiện chính sách BHXH.
+ Đơn vị phối hợp: Trung tâm Công nghệ thông tin và Chuyển đổi số.
- BHXH tỉnh:
+ Đơn vị chủ trì: Phòng Chế độ BHXH.
+ Đơn vị phối hợp: Phòng Công nghệ thông tin và Chuyển đổi số.
- BHXH cơ sở
2440. Thời gian đóng BHXH bình quân của người được giải quyết hưởng các chế độ BHXH
1. Khái niệm, phương pháp tính:
Thời gian đóng BHXH là tổng thời gian tham gia BHXH.
Thời gian đóng BHXH bình quân của người được giải quyết hưởng các chế độ BHXH được tính bằng cách chia tổng thời gian đóng BHXH của các đối tượng được giải quyết cho tổng số đối tượng được giải quyết hưởng chế độ BHXH.
Ví dụ:
- Thời gian đóng BHXH bình quân của đối tượng Hưu quân đội
- Thời gian đóng BHXH bình quân của đối tượng Hưu viên chức

2. Phân tổ:
a) Hình thức tham gia bảo hiểm (bắt buộc/ tự nguyện)
b) Loại chế độ
2440.1. Chế độ hưu trí
2440.2. Chế độ tử tuất
2440.3. Chế độ ốm đau
2440.4. Chế độ thai sản
2440.5. Chế độ TNLĐ-BNN
2440.6. BHXH 1 lần
c) Giới tính
d) Độ tuổi: Chi tiết theo từng tuổi
đ) Địa giới hành chính
e) Khối quản lý
- DN Nhà nước.
- DN có vốn đầu tư nước ngoài.
- DN ngoài quốc doanh.
- Hành chính, Đảng, đoàn thể.
- Cán bộ xã, phường, đặc khu.
- Cán bộ không chuyên trách cấp xã, tổ thôn.
- Hợp tác xã.
- Đơn vị ngoài công lập.
- Hộ SXKD cá thể, tổ hợp tác.
- Lao động có thời hạn ở nước ngoài.
- Đối tượng đóng BHXH tự nguyện.
- Khối lực lượng vũ trang, cơ yếu.
- Dân quân thường trực.
- Người nước ngoài lao động tại Việt Nam.
- Chủ hộ kinh doanh.
- Tổ chức nước ngoài, quốc tế.
- Các đối tượng khác.
3. Kỳ báo cáo: năm
4. Nguồn số liệu:
Cơ sở dữ liệu hệ thống Bảo hiểm xã hội Việt Nam.
5. Đơn vị chịu trách nhiệm thu thập, tổng hợp:
- BHXH Việt Nam:
+ Đơn vị chủ trì: Ban Thực hiện chính sách BHXH
+ Đơn vị phối hợp: Trung tâm Công nghệ thông tin và Chuyển đổi số
- BHXH tỉnh:
+ Đơn vị chủ trì: Phòng Chế độ BHXH
+ Đơn vị phối hợp: Phòng Công nghệ thông tin và Chuyển đổi số
- BHXH cơ sở
2441. Mức đóng BHXH bình quân của người được giải quyết hưởng các chế độ BHXH
1. Khái niệm, phương pháp tính: Mức đóng BHXH bình quân là chỉ tiêu phục vụ tính toán cân đối quỹ, được tính bằng cách chia tổng số tiền đóng BHXH của người được giải quyết hưởng các chế độ BHXH cho tổng số người giải quyết các chế độ BHXH.
Công thức tính:

2. Phân tổ:
a) Hình thức tham gia bảo hiểm (bắt buộc/ tự nguyện)
b) Loại chế độ
2441.1. Chế độ hưu trí
2441.2. Chế độ tử tuất
2441.3. Chế độ ốm đau
2441.4. Chế độ thai sản
2441.5. Chế độ TNLĐ-BNN
2441.6. BHXH 1 lần
c) Giới tính
d) Độ tuổi: Chi tiết theo từng tuổi
đ) Địa giới hành chính (tỉnh/cơ sở)
e) Khối quản lý
- DN Nhà nước.
- DN có vốn đầu tư nước ngoài.
- DN ngoài quốc doanh.
- Hành chính, Đảng, đoàn thể.
- Cán bộ xã, phường, đặc khu.
- Cán bộ không chuyên trách cấp xã, tổ thôn.
- Hợp tác xã.
- Đơn vị ngoài công lập.
- Hộ SXKD cá thể, tổ hợp tác.
- Lao động có thời hạn ở nước ngoài.
- Đối tượng đóng BHXH tự nguyện.
- Khối lực lượng vũ trang, cơ yếu.
- Dân quân thường trực.
- Người nước ngoài lao động tại Việt Nam.
- Chủ hộ kinh doanh.
- Tổ chức nước ngoài, quốc tế.
- Các đối tượng khác.
3. Kỳ báo cáo: năm
4. Nguồn số liệu:
Cơ sở dữ liệu hệ thống Bảo hiểm xã hội Việt Nam.
5. Đơn vị chịu trách nhiệm thu thập, tổng hợp:
- BHXH Việt Nam:
+ Đơn vị chủ trì: Ban Thực hiện chính sách BHXH.
+ Đơn vị phối hợp: Trung tâm Công nghệ thông tin và Chuyển đổi số.
- BHXH tỉnh:
+ Đơn vị chủ trì: Phòng Chế độ BHXH.
+ Đơn vị phối hợp: Phòng Công nghệ thông tin và Chuyển đổi số.
- BHXH cơ sở
2442. Thời gian hưởng BHXH bình quân của người được giải quyết hưởng các chế độ BHXH hàng tháng
1. Khái niệm, phương pháp tính:
Thời gian hưởng BHXH hàng tháng là khoảng thời gian kể từ khi người lao động đóng BHXH được giải quyết hưởng BHXH cho đến khi chấm dứt hoặc chuyển sang hưởng chế độ khác hoặc bị chết.
Thời gian hưởng BHXH hàng tháng thường được tính bình quân cho từng loại chế độ để phục vụ cho công tác tính toán, dự báo cân đối quỹ BHXH.
Công thức tính:

2. Phân tổ:
a) Hình thức tham gia bảo hiểm (bắt buộc/tự nguyện)
b) Loại chế độ
2442.1. Chế độ hưu trí
2442.2. Chế độ tử tuất
2442.3. Chế độ TNLĐ-BNN
c) Giới tính
d) Độ tuổi: Chi tiết theo từng tuổi
đ) Địa giới hành chính (tỉnh/cơ sở)
e) Khối quản lý
- DN Nhà nước.
- DN có vốn đầu tư nước ngoài.
- DN ngoài quốc doanh.
- Hành chính, Đảng, đoàn thể.
- Cán bộ xã, phường, đặc khu.
- Cán bộ không chuyên trách cấp xã, tổ thôn.
- Hợp tác xã.
- Đơn vị ngoài công lập.
- Hộ SXKD cá thể, tổ hợp tác.
- Lao động có thời hạn ở nước ngoài.
- Đối tượng đóng BHXH tự nguyện.
- Khối lực lượng vũ trang, cơ yếu.
- Dân quân thường trực.
- Người nước ngoài lao động tại Việt Nam.
- Chủ hộ kinh doanh.
- Tổ chức nước ngoài, quốc tế.
- Các đối tượng khác.
3. Kỳ báo cáo: năm
4. Nguồn số liệu:
Cơ sở dữ liệu hệ thống Bảo hiểm xã hội Việt Nam.
5. Đơn vị chịu trách nhiệm thu thập, tổng hợp:
- BHXH Việt Nam:
+ Đơn vị chủ trì: Ban Thực hiện chính sách BHXH.
+ Đơn vị phối hợp: Trung tâm Công nghệ thông tin và Chuyển đổi số.
- BHXH tỉnh:
+ Đơn vị chủ trì: Phòng Chế độ BHXH.
+ Đơn vị phối hợp: Phòng Công nghệ thông tin và Chuyển đổi số.
- BHXH cơ sở
2443. Mức hưởng BHXH bình quân của người được giải quyết hưởng các chế độ BHXH tại thời điểm bắt đầu hưởng
1. Khái niệm, phương pháp tính:
Mức hưởng BHXH là số tiền mà cơ quan BHXH chi trả cho đối tượng hưởng BHXH.
Mức hưởng BHXH thường được tính bình quân cho từng nhóm đối tượng, từng loại chế độ cụ thể và trong một khoảng thời gian nhất định (thông thường là một tháng, một quý, một năm) để phục vụ cho công tác tính toán, dự báo cân đối quỹ BHXH.
Công thức tính:

2. Phân tổ:
a) Nguồn chi trả
2443.1. Nguồn NSNN
2443.2. Nguồn Quỹ BHXH
2443.2.1. Quỹ hưu trí tử tuất
2443.2.2. Quỹ TNLĐ-BNN
2443.2.3. Quỹ ốm đau, thai sản
2443.2.4. Quỹ BHXH tự nguyện
b) Loại chế độ
2443.3. Chế độ hưu trí
2443.4. Chế độ tuất
2443.5. Chế độ ốm đau
2443.6. Chế độ thai sản
2443.7. Chế độ TNLĐ-BNN
2443.8. BHXH 1 lần
c) Giới tính
d) Độ tuổi: chi tiết theo từng tuổi
đ) Địa giới hành chính (tỉnh/cơ sở)
e) Khối quản lý
- DN Nhà nước.
- DN có vốn đầu tư nước ngoài.
- DN ngoài quốc doanh.
- Hành chính, Đảng, đoàn thể.
- Cán bộ xã, phường, đặc khu.
- Cán bộ không chuyên trách cấp xã, tổ thôn.
- Hợp tác xã.
- Đơn vị ngoài công lập.
- Hộ SXKD cá thể, tổ hợp tác.
- Lao động có thời hạn ở nước ngoài.
- Đối tượng đóng BHXH tự nguyện.
- Khối lực lượng vũ trang, cơ yếu.
- Dân quân thường trực.
- Người nước ngoài lao động tại Việt Nam.
- Chủ hộ kinh doanh.
- Tổ chức nước ngoài, quốc tế.
- Các đối tượng khác.
3. Kỳ báo cáo: năm hoặc khi có yêu cầu.
4. Nguồn số liệu:
Cơ sở dữ liệu hệ thống Bảo hiểm xã hội Việt Nam.
5. Đơn vị chịu trách nhiệm thu thập, tổng hợp:
- BHXH Việt Nam:
+ Đơn vị chủ trì: Ban Thực hiện chính sách BHXH.
+ Đơn vị phối hợp: Trung tâm Công nghệ thông tin và Chuyển đổi số.
- BHXH tỉnh:
+ Đơn vị chủ trì: Phòng Chế độ BHXH.
+ Đơn vị phối hợp: Phòng Công nghệ thông tin và Chuyển đổi số.
- BHXH cơ sở
2444. Tỷ lệ (%) hưởng lương hưu bình quân của người được giải quyết hưởng
1. Khái niệm, phương pháp tính:
Tỷ lệ % hưởng lương hưu được tính căn cứ vào thời gian đóng BHXH, là một trong hai yếu tố để làm cơ sở tính mức lương hưu của một người.
Tỷ lệ % hưởng lương hưu bình quân của người được giải quyết hưởng được tính bằng cách chia tổng số người được hưởng lương hưu tỷ lệ i (i=45% → 75%) cho tổng số người được hưởng lương hưu.
Công thức tính:

Trong đó: i là tỷ lệ % hưởng lương hưu do quỹ BHXH chi trả cho người đủ thời gian hưởng từ 45% đến tối đa 75%.
2. Phân tổ:
a) Hình thức tham gia bảo hiểm (bắt buộc/ tự nguyện)
b) Giới tính
c) Độ tuổi: Chi tiết theo từng tuổi
d) Loại chế độ:
- Chế độ hưu trí
đ) Địa giới hành chính (tỉnh/cơ sở)
e) Khối quản lý
- DN Nhà nước.
- DN có vốn đầu tư nước ngoài.
- DN ngoài quốc doanh.
- Hành chính, Đảng, đoàn thể.
- Cán bộ xã, phường, đặc khu.
- Cán bộ không chuyên trách cấp xã, tổ thôn.
- Hợp tác xã.
- Đơn vị ngoài công lập.
- Hộ SXKD cá thể, tổ hợp tác.
- Lao động có thời hạn ở nước ngoài.
- Đối tượng đóng BHXH tự nguyện.
- Khối lực lượng vũ trang, cơ yếu.
- Dân quân thường trực.
- Người nước ngoài lao động tại Việt Nam.
- Chủ hộ kinh doanh.
- Tổ chức nước ngoài, quốc tế.
- Các đối tượng khác.
3. Kỳ báo cáo: năm
4. Nguồn số liệu:
Cơ sở dữ liệu hệ thống Bảo hiểm xã hội Việt Nam.
5. Đơn vị chịu trách nhiệm thu thập, tổng hợp:
- BHXH Việt Nam:
+ Đơn vị chủ trì: Ban Thực hiện chính sách BHXH.
+ Đơn vị phối hợp: Trung tâm Công nghệ thông tin và Chuyển đổi số.
- BHXH tỉnh:
+ Đơn vị chủ trì: Phòng Chế độ BHXH.
+ Đơn vị phối hợp: Phòng Công nghệ thông tin và Chuyển đổi số.
- BHXH cơ sở
2445. Tiền lương bình quân làm căn cứ tính hưởng các chế độ BHXH của người được giải quyết hưởng
1. Khái niệm, phương pháp tính:
Tiền lương bình quân làm căn cứ tính hưởng các chế độ BHXH của người được giải quyết hưởng được quy định cho từng loại chế độ cụ thể:
- Tiền lương làm căn cứ tính lương hưu, Trợ cấp BHXH 1 lần; Trợ cấp tuất 1 lần
- Tiền lương làm căn cứ tính hưởng chế độ ốm đau
- Tiền lương làm căn cứ tính hưởng chế độ thai sản
- Tiền lương làm căn cứ tính hưởng chế độ TNLĐ-BNN
2. Phân tổ:
a) Nguồn chi trả
2445.1. Nguồn NSNN
2445.2. Nguồn Quỹ BHXH
2445.2.1. Quỹ hưu trí tử tuất
2445.2.2. Quỹ TNLĐ-BNN
2445.2.3. Quỹ ốm đau, thai sản
2445.2.4. Quỹ BHXH tự nguyện
b) Loại chế độ
2445.3. Chế độ hưu trí
2445.4. Chế độ tuất
2445.5. Chế độ ốm đau
2445.6. Chế độ thai sản
2445.7. Chế độ TNLĐ-BNN
2445.8. BHXH 1 lần
c) Giới tính
d) Độ tuổi: Chi tiết theo từng tuổi
đ) Khối quản lý
- DN Nhà nước.
- DN có vốn đầu tư nước ngoài.
- DN ngoài quốc doanh.
- Hành chính, Đảng, đoàn thể.
- Cán bộ xã, phường, đặc khu.
- Cán bộ không chuyên trách cấp xã, tổ thôn.
- Hợp tác xã.
- Đơn vị ngoài công lập.
- Hộ SXKD cá thể, tổ hợp tác.
- Lao động có thời hạn ở nước ngoài.
- Đối tượng đóng BHXH tự nguyện.
- Khối lực lượng vũ trang, cơ yếu.
- Dân quân thường trực.
- Người nước ngoài lao động tại Việt Nam.
- Chủ hộ kinh doanh.
- Tổ chức nước ngoài, quốc tế.
- Các đối tượng khác.
3. Kỳ báo cáo: năm hoặc khi có yêu cầu.
4. Nguồn số liệu:
Cơ sở dữ liệu hệ thống Bảo hiểm xã hội Việt Nam.
5. Đơn vị chịu trách nhiệm thu thập, tổng hợp:
- BHXH Việt Nam:
+ Đơn vị chủ trì: Ban Thực hiện chính sách BHXH.
+ Đơn vị phối hợp: Trung tâm Công nghệ thông tin và Chuyển đổi số.
- BHXH tỉnh:
+ Đơn vị chủ trì: Phòng Chế độ BHXH.
+ Đơn vị phối hợp: Phòng Công nghệ thông tin và Chuyển đổi số.
- BHXH cơ sở
2446. Tuổi nghỉ hưởng BHXH bình quân
1. Khái niệm, phương pháp tính:
Tuổi nghỉ hưởng BHXH là tuổi được tính tại thời điểm người tham gia BHXH được giải quyết hưởng chế độ BHXH.
Tuổi nghỉ hưởng BHXH thường được tính bình quân cho từng nhóm đối tượng trong một khoảng thời gian nhất định (tháng, quý, năm) nhằm phục vụ công tác tính toán, dự báo cân đối quỹ BHXH.
Công thức tính:
|
| Tuổi nghỉ hưởng BHXH bình quân | = | Tổng tuổi người nghỉ hưởng BHXH trong kỳ |
|
| Tổng số người được giải quyết hưởng BHXH |
2. Phân tổ:
a) Loại chế độ
2446.1. Chế độ hưu trí
2446.2. Chế độ ốm đau
2446.3. Chế độ thai sản
2446.4. Chế độ TNLĐ-BNN
2446.5. BHXH 1 lần
b) Địa giới hành chính (tỉnh/cơ sở)
c) Giới tính
d) Độ tuổi: chi tiết theo từng tuổi
đ) Khối quản lý
- DN Nhà nước.
- DN có vốn đầu tư nước ngoài.
- DN ngoài quốc doanh.
- Hành chính, Đảng, đoàn thể.
- Cán bộ xã, phường, đặc khu.
- Cán bộ không chuyên trách cấp xã, tổ thôn.
- Hợp tác xã.
- Đơn vị ngoài công lập.
- Hộ SXKD cá thể, tổ hợp tác.
- Lao động có thời hạn ở nước ngoài.
- Đối tượng đóng BHXH tự nguyện.
- Khối lực lượng vũ trang, cơ yếu.
- Dân quân thường trực.
- Người nước ngoài lao động tại Việt Nam.
- Chủ hộ kinh doanh.
- Tổ chức nước ngoài, quốc tế.
- Các đối tượng khác.
3. Kỳ báo cáo: năm
4. Nguồn số liệu:
Cơ sở dữ liệu hệ thống Bảo hiểm xã hội Việt Nam.
5. Đơn vị chịu trách nhiệm thu thập, tổng hợp:
- BHXH Việt Nam:
+ Đơn vị chủ trì: Ban Thực hiện chính sách BHXH.
+ Đơn vị phối hợp: Trung tâm Công nghệ thông tin và Chuyển đổi số.
- BHXH tỉnh:
+ Đơn vị chủ trì: Phòng Chế độ BHXH.
+ Đơn vị phối hợp: Phòng Công nghệ thông tin và Chuyển đổi số.
- BHXH cơ sở
2447. Tuổi thọ bình quân của người hưởng các chế độ BHXH hàng tháng
1. Khái niệm, phương pháp tính:
Tuổi thọ bình quân của người hưởng các chế độ BHXH hàng tháng là tuổi chết bình quân của những người hưởng chế độ BHXH hàng tháng.
Công thức tính:
|
| Tuổi thọ bình quân của người hưởng BHXH hàng tháng | = | Tổng tuổi của số người hưởng BHXH chết trong kỳ |
|
| Tổng số người được hưởng BHXH chết trong kỳ |
2. Phân tổ:
a) Loại chế độ
2447.1. Chế độ hưu trí
2447.2. Chế độ tử tuất
2447.3. Chế độ TNLĐ-BNN
b) Giới tính
c) Độ tuổi: chi tiết theo từng tuổi
d) Địa giới hành chính (tỉnh/cơ sở)
3. Kỳ báo cáo: năm
4. Nguồn số liệu:
Cơ sở dữ liệu hệ thống Bảo hiểm xã hội Việt Nam.
5. Đơn vị chịu trách nhiệm thu thập, tổng hợp:
- BHXH Việt Nam:
+ Đơn vị chủ trì: Ban Thực hiện chính sách BHXH.
+ Đơn vị phối hợp: Trung tâm Công nghệ thông tin và Chuyển đổi số.
- BHXH tỉnh:
+ Đơn vị chủ trì: Phòng Chế độ BHXH.
+ Đơn vị phối hợp: Phòng Công nghệ thông tin và Chuyển đổi số.
- BHXH cơ sở
2448. Tỷ lệ suy giảm khả năng lao động bình quân
1. Khái niệm, phương pháp tính:
Tỷ lệ suy giảm khả năng lao động là tỷ lệ suy giảm sức khỏe do Hội đồng giám định y khoa đánh giá cho các đối tượng đang tham gia BHXH, thân nhân người lao động bị suy giảm khả năng lao động khi có vấn đề về sức khỏe. Tỷ lệ suy giảm khả năng lao động là căn cứ để xét duyệt hưởng một số các chế độ BHXH (nghỉ hưu trước tuổi, trợ cấp TNLĐ-BNN...).
Tỷ lệ suy giảm khả năng lao động được tính bình quân cho từng nhóm đối tượng để làm căn cứ đánh giá, tính toán, dự báo và đề xuất điều chỉnh chế độ chính sách cho phù hợp.
2. Phân tổ:
a) Loại chế độ
2448.1. Chế độ hưu trí
2448.2. Chế độ TNLĐ-BNN
2448.3. Chế độ tử tuất
2448.4. BHXH 1 lần
b) Giới tính
c) Độ tuổi: Chi tiết theo từng độ tuổi
d) Khối quản lý
- DN Nhà nước.
- DN có vốn đầu tư nước ngoài.
- DN ngoài quốc doanh.
- Hành chính, Đảng, đoàn thể.
- Cán bộ xã, phường, đặc khu.
- Cán bộ không chuyên trách cấp xã, tổ thôn.
- Hợp tác xã.
- Đơn vị ngoài công lập.
- Hộ SXKD cá thể, tổ hợp tác.
- Lao động có thời hạn ở nước ngoài.
- Đối tượng đóng BHXH tự nguyện.
- Khối lực lượng vũ trang, cơ yếu.
- Dân quân thường trực.
- Người nước ngoài lao động tại Việt Nam.
- Chủ hộ kinh doanh.
- Tổ chức nước ngoài, quốc tế.
- Các đối tượng khác.
3. Kỳ báo cáo: năm
4. Nguồn số liệu:
Cơ sở dữ liệu hệ thống Bảo hiểm xã hội Việt Nam.
5. Đơn vị chịu trách nhiệm thu thập, tổng hợp:
- BHXH Việt Nam:
+ Đơn vị chủ trì: Ban Thực hiện chính sách BHXH.
+ Đơn vị phối hợp: Trung tâm Công nghệ thông tin và Chuyển đổi số.
- BHXH tỉnh:
+ Đơn vị chủ trì: Phòng Chế độ BHXH.
+ Đơn vị phối hợp: Phòng Công nghệ thông tin và Chuyển đổi số.
- BHXH cơ sở
2449. Số người được giải quyết hưởng mới các chế độ BHTN
1. Khái niệm, phương pháp tính:
Số người được giải quyết hưởng mới các chế độ BHTN là số người có quyết định hưởng mới các chế độ BHTN theo quy định của Luật Việc làm do ngành Lao động - Thương binh và Xã hội chuyển sang cơ quan BHXH trong kỳ báo cáo (được tính theo đầu quyết định hưởng các chế độ).
2. Phân tổ:
a) Loại chế độ
2449.1. Trợ cấp thất nghiệp
2449.2. Hỗ trợ học nghề
2449.3. Hỗ trợ tư vấn, giới thiệu việc làm
2449.4. Hỗ trợ bồi dưỡng, nâng cao kỹ năng nghề
b) Giới tính
c) Độ tuổi: Chi tiết theo từng tuổi
d) Địa giới hành chính (tỉnh/cơ sở)
đ) Khối quản lý
- DN Nhà nước
- DN có vốn đầu tư nước ngoài
- DN ngoài quốc doanh
- Hành chính, Đảng, đoàn thể
- Cán bộ xã phường, đặc khu
- Tổ chức nước ngoài, quốc tế
- Đơn vị ngoài công lập
- Hợp tác xã
- Lao động có thời hạn ở nước ngoài
- Hộ SXKD cá thể, tổ hợp tác
- Khối lực lượng vũ trang, cơ yếu
- Các đối tượng khác
e) Thời gian hưởng
Thời gian hưởng trợ cấp thất nghiệp: theo tháng (từ 03 tháng đến 12 tháng).
- Thời gian hưởng hỗ trợ học nghề: Theo khóa học (đến 03 tháng), theo tháng (từ trên 03 tháng đến 06 tháng).
- Thời gian hưởng hỗ trợ đào tạo, bồi dưỡng nâng cao trình độ kỹ năng nghề để duy trì việc làm cho người lao động.
f) Mức hưởng
- Mức hưởng tối đa:
+ 05 lần mức lương tối thiểu vùng
+ 05 lần mức lương cơ sở
- Mức hưởng TCTN dưới mức lương tối thiểu vùng:
+ Dưới mức lương tối thiểu Vùng I
+ Dưới mức lương tối thiểu Vùng II
+ Dưới mức lương tối thiểu Vùng III
+ Dưới mức lương tối thiểu Vùng IV
3. Kỳ báo cáo: tháng, quý, năm
4. Nguồn số liệu:
- Cơ sở dữ liệu hệ thống Bảo hiểm xã hội Việt Nam.
- Tổng hợp các Quyết định hưởng trợ cấp thất nghiệp do Trung tâm dịch vụ việc làm thuộc Sở Nội vụ tỉnh tổng hợp chuyển sang cơ quan BHXH.
5. Đơn vị chịu trách nhiệm thu thập, tổng hợp:
- BHXH Việt Nam:
+ Đơn vị chủ trì: Ban Thực hiện chính sách BHXH.
+ Đơn vị phối hợp: Trung tâm Công nghệ thông tin và Chuyển đổi số.
- BHXH tỉnh:
+ Đơn vị chủ trì: Phòng Chế độ BHXH.
+ Đơn vị phối hợp: Phòng Công nghệ thông tin và Chuyển đổi số.
- BHXH cơ sở
2450. Thời gian đóng BHTN bình quân của người được giải quyết hưởng các chế độ BHTN
1. Khái niệm, phương pháp tính:
Thời gian đóng BHTN là khoảng thời gian tính từ khi người lao động bắt đầu cho đến khi dừng đóng BHTN.
Thời gian đóng BHTN bình quân của người được giải quyết hưởng BHTN được tính bình quân cho từng nhóm đối tượng đóng BHTN trong một khoảng thời gian nhất định (tháng, quý, năm).
Công thức tính:

2. Phân tổ:
a) Loại chế độ
2450.1. Trợ cấp thất nghiệp
2450.2. Hỗ trợ học nghề
2450.3. Hỗ trợ tư vấn, giới thiệu việc làm
2450.4. Hỗ trợ bồi dưỡng, nâng cao kỹ năng nghề
a) Giới tính
b) Độ tuổi: chi tiết theo từng tuổi
c) Địa giới hành chính (tỉnh/cơ sở)
d) Khối quản lý
- DN Nhà nước
- DN có vốn đầu tư nước ngoài
- DN ngoài quốc doanh
- Hành chính, Đảng, đoàn thể
- Cán bộ xã phường, đặc khu
- Tổ chức nước ngoài, quốc tế
- Đơn vị ngoài công lập
- Hợp tác xã
- Lao động có thời hạn ở nước ngoài
- Hộ SXKD cá thể, tổ hợp tác
- Khối lực lượng vũ trang, cơ yếu
- Các đối tượng khác
3. Kỳ báo cáo: năm
4. Nguồn số liệu:
Cơ sở dữ liệu hệ thống Bảo hiểm xã hội Việt Nam.
5. Đơn vị chịu trách nhiệm thu thập, tổng hợp:
- BHXH Việt Nam:
+ Đơn vị chủ trì: Ban Thực hiện chính sách BHXH.
+ Đơn vị phối hợp: Trung tâm Công nghệ thông tin và Chuyển đổi số.
- BHXH tỉnh:
+ Đơn vị chủ trì: Phòng Chế độ BHXH.
+ Đơn vị phối hợp: Phòng Công nghệ thông tin và Chuyển đổi số.
- BHXH cơ sở
2451. Thời gian hưởng BHTN bình quân của người được giải quyết hưởng các chế độ BHTN
1. Khái niệm, phương pháp tính:
Thời gian hưởng BHTN bình quân của người được giải quyết hưởng các chế độ BHTN là tổng số thời gian hưởng của những người được xét duyệt hưởng các chế độ BHTN chia cho tổng số người được giải quyết hưởng các chế độ BHTN (thông thường được tính theo tháng).
Công thức tính:
![]()
2. Phân tổ:
a) Loại chế độ
2451.1. Trợ cấp thất nghiệp
2451.2. Hỗ trợ học nghề
2451.3. Hỗ trợ tư vấn, giới thiệu việc làm
2451.4. Hỗ trợ bồi dưỡng, nâng cao kỹ năng nghề
b) Giới tính
c) Độ tuổi: Chi tiết theo từng tuổi
d) Địa giới hành chính (tỉnh/cơ sở)
đ) Khối quản lý
- DN Nhà nước
- DN có vốn đầu tư nước ngoài
- DN ngoài quốc doanh
- Hành chính, Đảng, đoàn thể
- Cán bộ xã phường, đặc khu
- Tổ chức nước ngoài, quốc tế
- Đơn vị ngoài công lập
- Hợp tác xã
- Lao động có thời hạn ở nước ngoài
- Hộ SXKD cá thể, tổ hợp tác
- Khối lực lượng vũ trang, cơ yếu
- Các đối tượng khác
3. Kỳ báo cáo: năm
4. Nguồn số liệu:
Cơ sở dữ liệu hệ thống Bảo hiểm xã hội Việt Nam.
5. Đơn vị chịu trách nhiệm thu thập, tổng hợp:
- BHXH Việt Nam:
+ Đơn vị chủ trì: Ban Thực hiện chính sách BHXH.
+ Đơn vị phối hợp: Trung tâm Công nghệ thông tin và Chuyển đổi số.
- BHXH tỉnh:
+ Đơn vị chủ trì: Phòng Chế độ BHXH.
+ Đơn vị phối hợp: Phòng Công nghệ thông tin và Chuyển đổi số.
- BHXH cơ sở
2452. Mức hưởng bình quân của người được giải quyết hưởng các chế độ BHTN
1. Khái niệm, phương pháp tính:
Mức hưởng bình quân của người được giải quyết hưởng các chế độ BHTN là tổng số tiền chi trả cho chế độ BHTN chia cho số người được giải quyết hưởng BHTN trong một thời gian nhất định (tháng, quý, năm).
Công thức tính:

2. Phân tổ:
a) Loại chế độ
2452.1. Trợ cấp thất nghiệp
2452.2. Hỗ trợ học nghề
2452.3. Hỗ trợ tư vấn, giới thiệu việc làm
2452.4. Hỗ trợ bồi dưỡng, nâng cao kỹ năng nghề
b) Giới tính
c) Độ tuổi: chi tiết theo từng tuổi
d) Địa giới hành chính (tỉnh/cơ sở)
đ) Khối quản lý
- DN Nhà nước
- DN có vốn đầu tư nước ngoài
- DN ngoài quốc doanh
- Hành chính, Đảng, đoàn thể
- Cán bộ xã phường, đặc khu
- Tổ chức nước ngoài, quốc tế
- Đơn vị ngoài công lập
- Hợp tác xã
- Lao động có thời hạn ở nước ngoài
- Hộ SXKD cá thể, tổ hợp tác
- Khối lực lượng vũ trang, cơ yếu
- Các đối tượng khác
e) Thời gian hưởng
Thời gian hưởng trợ cấp thất nghiệp: theo tháng (từ 03 tháng đến 12 tháng).
- Thời gian hưởng hỗ trợ học nghề: Theo khóa học (đến 03 tháng), theo tháng (từ trên 03 tháng đến 06 tháng).
- Thời gian hưởng hỗ trợ đào tạo, bồi dưỡng nâng cao trình độ kỹ năng nghề để duy trì việc làm cho người lao động.
3. Kỳ báo cáo: năm
4. Nguồn số liệu:
Cơ sở dữ liệu hệ thống Bảo hiểm xã hội Việt Nam.
5. Đơn vị chịu trách nhiệm thu thập, tổng hợp:
- BHXH Việt Nam:
+ Đơn vị chủ trì: Ban Thực hiện chính sách BHXH.
+ Đơn vị phối hợp: Trung tâm Công nghệ thông tin và Chuyển đổi số.
- BHXH tỉnh:
+ Đơn vị chủ trì: Phòng Chế độ BHXH.
+ Đơn vị phối hợp: Phòng Công nghệ thông tin và Chuyển đổi số.
- BHXH cơ sở
2453. Số doanh nghiệp được hỗ trợ đào tạo, bồi dưỡng, nâng cao trình độ kỹ năng nghề để duy trì việc làm cho người lao động
1. Khái niệm, phương pháp tính:
Số doanh nghiệp được hỗ trợ đào tạo, bồi dưỡng, nâng cao trình độ kỹ năng nghề để duy trì việc làm cho người lao động là doanh nghiệp có đủ điều kiện quy định tại Điều 47 Luật Việc làm được hỗ trợ kinh phí đào tạo, bồi dưỡng nâng cao trình độ kỹ năng nghề để duy trì việc làm cho người lao động.
2. Phân tổ:
a) Khối quản lý
- DN Nhà nước
- DN có vốn đầu tư nước ngoài
- DN ngoài quốc doanh
- Hành chính, Đảng, đoàn thể
- Cán bộ xã phường, đặc khu
- Tổ chức nước ngoài, quốc tế
- Đơn vị ngoài công lập
- Hợp tác xã
- Lao động có thời hạn ở nước ngoài
- Hộ SXKD cá thể, tổ hợp tác
- Khối lực lượng vũ trang, cơ yếu
- Các đối tượng khác
b) Địa giới hành chính (tỉnh/cơ sở)
3. Kỳ báo cáo: năm
4. Nguồn số liệu:
Cơ sở dữ liệu hệ thống Bảo hiểm xã hội Việt Nam
5. Đơn vị chịu trách nhiệm thu thập, tổng hợp:
-BHXH Việt Nam:
+ Đơn vị chủ trì: Ban Thực hiện chính sách BHXH.
+ Đơn vị phối hợp: Trung tâm Công nghệ thông tin và Chuyển đổi số.
- BHXH tỉnh:
+ Đơn vị chủ trì: Phòng Chế độ BHXH.
+ Đơn vị phối hợp: Phòng Công nghệ thông tin và Chuyển đổi số.
- BHXH cơ sở
2454. Số người đang hưởng bảo hiểm thất nghiệp quay lại thị trường lao động tham gia BHXH bắt buộc
1. Khái niệm, phương pháp tính:
Số người đang hưởng bảo hiểm thất nghiệp quay lại thị trường lao động là số người tìm được việc làm tham gia BHXH bắt buộc trong thời gian hưởng bảo hiểm thất nghiệp.
2. Phân tổ:
a) Loại chế độ
2454.1. Trợ cấp thất nghiệp
2454.2. Hỗ trợ học nghề
2454.3. Hỗ trợ tư vấn, giới thiệu việc làm
2454.4. Hỗ trợ bồi dưỡng, nâng cao kỹ năng nghề
b) Địa giới hành chính (tỉnh/cơ sở)
c) Giới tính
d) Độ tuổi: chi tiết theo từng tuổi
đ) Thời gian hưởng
- Thời gian hưởng trợ cấp thất nghiệp: theo tháng (từ 03 tháng đến 12 tháng).
- Thời gian hưởng hỗ trợ học nghề: Theo khóa học (đến 03 tháng), theo tháng (từ trên 03 tháng đến 06 tháng).
- Thời gian hưởng hỗ trợ đào tạo, bồi dưỡng nâng cao trình độ kỹ năng nghề để duy trì việc làm cho người lao động.
3. Kỳ báo cáo: năm hoặc khi có yêu cầu.
4. Nguồn số liệu:
Cơ sở dữ liệu hệ thống Bảo hiểm xã hội Việt Nam.
5. Đơn vị chịu trách nhiệm thu thập, tổng hợp:
- BHXH Việt Nam:
+ Đơn vị chủ trì: Ban Thực hiện chính sách BHXH.
+ Đơn vị phối hợp: Trung tâm Công nghệ thông tin và Chuyển đổi số.
- BHXH tỉnh:
+ Đơn vị chủ trì: Phòng Chế độ BHXH.
+ Đơn vị phối hợp: Phòng Công nghệ thông tin và Chuyển đổi số.
- BHXH cơ sở
2455. Số người dừng hưởng trợ cấp thất nghiệp (TCTN)
1. Khái niệm, phương pháp tính:
Số người dừng hưởng TCTN là số người đang hưởng TCTN có Quyết định về việc dừng hưởng TCTN do Trung tâm dịch vụ việc làm thuộc Sở Lao động Thương binh và Xã hội (TTDVVL) tỉnh tổng hợp chuyển sang cơ quan BHXH.
2. Phân tổ:
a) Nguyên nhân dừng hưởng
2455.1. Tạm dừng hưởng
2455.2. Chấm dứt hưởng
2455.3. Hết thời hạn hưởng
b) Giới tính
c) Độ tuổi: chi tiết theo từng tuổi
d) Địa giới hành chính (tỉnh/cơ sở)
đ) Thời gian hưởng
- Thời gian hưởng trợ cấp thất nghiệp: theo tháng (từ 03 tháng đến 12 tháng).
- Thời gian hưởng hỗ trợ học nghề: Theo khóa học (đến 03 tháng), theo tháng (từ trên 03 tháng đến 06 tháng).
- Thời gian hưởng hỗ trợ đào tạo, bồi dưỡng nâng cao trình độ kỹ năng nghề để duy trì việc làm cho người lao động.
3. Kỳ báo cáo: năm
4. Nguồn số liệu:
Cơ sở dữ liệu hệ thống Bảo hiểm xã hội Việt Nam.
5. Đơn vị chịu trách nhiệm thu thập, tổng hợp:
- BHXH Việt Nam:
+ Đơn vị chủ trì: Ban Thực hiện chính sách BHXH.
+ Đơn vị phối hợp: Trung tâm Công nghệ thông tin và Chuyển đổi số.
- BHXH tỉnh:
+ Đơn vị chủ trì: Phòng Chế độ BHXH.
+ Đơn vị phối hợp: Phòng Công nghệ thông tin và Chuyển đổi số.
- BHXH cơ sở
2456. Số người di chuyển hưởng TCTN
1. Khái niệm, phương pháp tính:
+ Di chuyển đi tính khác: Là số người đang hưởng TCTN có thông báo về việc chấm dứt chi trả TCTN đối với người lao động chuyển đi tỉnh khác hưởng TCTN do TTDVVL chuyển sang phát sinh trong kỳ báo cáo;
+ Di chuyển đến: Là số người có đề nghị tiếp tục chi trả TCTN đối với trường hợp di chuyển hưởng từ tỉnh khác đến do TTDVVL chuyển sang phát sinh trong kỳ báo cáo.
2. Phân tổ:
a) Giới tính
b) Độ tuổi
c) Địa giới hành chính (tỉnh/cơ sở),
d) Hình thức di chuyển (đi/đến)
3. Kỳ báo cáo: năm.
4. Nguồn số liệu:
Cơ sở dữ liệu hệ thống Bảo hiểm xã hội Việt Nam.
5. Đơn vị chịu trách nhiệm thu thập, tổng hợp:
- BHXH Việt Nam:
+ Đơn vị chủ trì: Ban Thực hiện chính sách BHXH.
+ Đơn vị phối hợp: Trung tâm Công nghệ thông tin và Chuyển đổi số.
- BHXH tỉnh:
+ Đơn vị chủ trì: Phòng Chế độ BHXH.
+ Đơn vị phối hợp: Phòng Công nghệ thông tin và Chuyển đổi số.
- BHXH cơ sở
2457. Mức tiền lương bình quân để tính hưởng trợ cấp thất nghiệp bình quân
1. Khái niệm, phương pháp tính: Mức tiền lương bình quân để tính hưởng trợ cấp thất nghiệp bình quân được tính bằng cách chia tổng tiền lương bình quân làm căn cứ tính hưởng trợ cấp thất nghiệp của người hưởng BHTN cho tổng số người hưởng BHTN.
Công thức tính:

2. Phân tổ: Loại chế độ
2457.1. Trợ cấp thất nghiệp
2457.2. Hỗ trợ học nghề
2457.3. Hỗ trợ tư vấn, giới thiệu việc làm
2457.4. Hỗ trợ bồi dưỡng, nâng cao kỹ năng nghề
2457.5 Khối quản lý
- DN Nhà nước
- DN có vốn đầu tư nước ngoài
- DN ngoài quốc doanh
- Hành chính, Đảng, đoàn thể
- Cán bộ xã phường, đặc khu
- Tổ chức nước ngoài, quốc tế
- Đơn vị ngoài công lập
- Hợp tác xã
- Lao động có thời hạn ở nước ngoài
- Hộ SXKD cá thể, tổ hợp tác
- Khối lực lượng vũ trang, cơ yếu
- Các đối tượng khác.
2457.6 Thời gian hưởng
Thời gian hưởng trợ cấp thất nghiệp: theo tháng (từ 03 tháng đến 12 tháng).
- Thời gian hưởng hỗ trợ học nghề: Theo khóa học (đến 03 tháng), theo tháng (từ trên 03 tháng đến 06 tháng).
- Thời gian hưởng hỗ trợ đào tạo, bồi dưỡng nâng cao trình độ kỹ năng nghề để duy trì việc làm cho người lao động.
3. Kỳ báo cáo: năm.
4. Nguồn số liệu:
- Cơ sở dữ liệu hệ thống Bảo hiểm xã hội Việt Nam.
5. Đơn vị chịu trách nhiệm thu thập, tổng hợp:
- BHXH Việt Nam:
+ Đơn vị chủ trì: Ban Thực hiện chính sách BHXH.
+ Đơn vị phối hợp: Trung tâm Công nghệ thông tin và Chuyển đổi số.
- BHXH tỉnh:
+ Đơn vị chủ trì: Phòng Chế độ BHXH.
+ Đơn vị phối hợp: Phòng Công nghệ thông tin và Chuyển đổi số.
- BHXH cơ sở
2458. Tuổi bình quân của người được giải quyết hưởng trợ cấp thất nghiệp
1. Khái niệm, phương pháp tính: Tuổi bình quân của người được giải quyết hưởng trợ cấp thất nghiệp được tính bằng cách chia tổng tuổi của người được giải quyết hưởng BHTN cho tổng số người được giải quyết hưởng BHTN.
Công thức tính:

2. Phân tổ: Loại chế độ
2458.1. Trợ cấp thất nghiệp
2458.2. Hỗ trợ học nghề
2458.3. Hỗ trợ tư vấn, giới thiệu việc làm
2458.4. Hỗ trợ bồi dưỡng, nâng cao kỹ năng nghề
2458.5 Khối quản lý
- DN Nhà nước
- DN có vốn đầu tư nước ngoài
- DN ngoài quốc doanh
- Hành chính, Đảng, đoàn thể
- Cán bộ xã phường, đặc khu
- Tổ chức nước ngoài, quốc tế
- Đơn vị ngoài công lập
- Hợp tác xã
- Lao động có thời hạn ở nước ngoài
- Hộ SXKD cá thể, tổ hợp tác
- Khối lực lượng vũ trang, cơ yếu
- Các đối tượng khác
2458.6 Thời gian hưởng
Thời gian hưởng trợ cấp thất nghiệp: theo tháng (từ 03 tháng đến 12 tháng).
- Thời gian hưởng hỗ trợ học nghề: Theo khóa học (đến 03 tháng), theo tháng (từ trên 03 tháng đến 06 tháng).
- Thời gian hưởng hỗ trợ đào tạo, bồi dưỡng nâng cao trình độ kỹ năng nghề để duy trì việc làm cho người lao động.
3. Kỳ báo cáo: năm.
4. Nguồn số liệu:
- Cơ sở dữ liệu hệ thống Bảo hiểm xã hội Việt Nam.
5. Đơn vị chịu trách nhiệm thu thập, tổng hợp:
- BHXH Việt Nam:
+ Đơn vị chủ trì: Ban Thực hiện chính sách BHXH.
+ Đơn vị phối hợp: Trung tâm Công nghệ thông tin và Chuyển đổi số.
- BHXH tỉnh:
+ Đơn vị chủ trì: Phòng Chế độ BHXH.
+ Đơn vị phối hợp: Phòng Công nghệ thông tin và Chuyển đổi số.
- BHXH cơ sở
2459. Sổ người có quyết định hưởng mới các chế độ BHTN được chi trả
1. Khái niệm, phương pháp tính:
Số người có quyết định hưởng mới các chế độ BHTN được chi trả là số người có quyết định hưởng mới các chế độ BHTN được lập danh sách chi trả trong kỳ báo cáo (được tính theo số quyết định hưởng).
2. Phân tổ:
a) Khối quản lý:
- DN Nhà nước
- DN có vốn đầu tư nước ngoài
- DN ngoài quốc doanh
- Hành chính, Đảng, đoàn thể
- Cán bộ xã phường, đặc khu
- Tổ chức nước ngoài, quốc tế
- Đơn vị ngoài công lập
- Hợp tác xã
- Lao động có thời hạn ở nước ngoài
- Hộ SXKD cá thể, tổ hợp tác
- Khối lực lượng vũ trang, cơ yếu
- Các đối tượng khác
b) Mức hưởng
- Mức hưởng tối đa:
+ 05 lần mức lương tối thiểu vùng
+ 05 lần mức lương cơ sở
- Mức hưởng trợ cấp thất nghiệp dưới mức lương tối thiểu vùng:
+ Dưới mức lương tối thiểu Vùng I
+ Dưới mức lương tối thiểu Vùng II
+ Dưới mức lương tối thiểu Vùng III
+ Dưới mức lương tối thiểu Vùng IV
c) Thời gian hưởng
- Thời gian hưởng trợ cấp thất nghiệp: theo tháng (từ 03 tháng đến 12 tháng).
- Thời gian hưởng hỗ trợ học nghề: Theo khóa học (đến 03 tháng), theo tháng (từ trên 03 tháng đến 06 tháng).
- Thời gian hưởng hỗ trợ đào tạo, bồi dưỡng nâng cao trình độ kỹ năng nghề để duy trì việc làm cho người lao động.
d) Loại chế độ
2459.1. Trợ cấp thất nghiệp
2459.2. Hỗ trợ học nghề
2459.3. Hỗ trợ tư vấn, giới thiệu việc làm
2459.4. Hỗ trợ bồi dưỡng, nâng cao kỹ năng nghề
đ) Giới tính
e) Độ tuổi: Chi tiết theo từng tuổi
g) Địa giới hành tỉnh (tỉnh/cơ sở)
3. Kỳ báo cáo: tháng, quý, năm
4. Nguồn số liệu:
- Cơ sở dữ liệu hệ thống Bảo hiểm xã hội Việt Nam;
- Tổng hợp các Quyết định hưởng trợ cấp thất nghiệp do Trung tâm dịch vụ việc làm thuộc Sở Nội vụ tỉnh tổng hợp chuyển sang cơ quan BHXH.
5. Đơn vị chịu trách nhiệm thu thập, tổng hợp:
- BHXH Việt Nam:
+ Đơn vị chủ trì: Ban Thực hiện chính sách BHXH.
+ Đơn vị phối hợp: Trung tâm Công nghệ thông tin và Chuyển đổi số.
- BHXH tỉnh:
+ Đơn vị chủ trì: Phòng Chế độ BHXH.
+ Đơn vị phối hợp: Phòng Công nghệ thông tin và Chuyển đổi số.
- BHXH cơ sở
24.5 Nhóm chỉ tiêu thống kê công thực hiện chính sách BHYT (bao gồm các chỉ tiêu 2460; 2461; 2462; 2463; 2464; 2465; 2466; 2467):
2460. Quỹ BHYT dành cho khám chữa bệnh (KCB)
1. Khái niệm, phương pháp tính:
Quỹ BHYT dành cho KCB trong năm báo cáo được xác định bằng tỷ lệ phần trăm từ nguồn thu BHYT trong năm theo quy định của Luật BHYT và được sử dụng để chi trả chi phí KCB cho người có thẻ BHYT có giá trị sử dụng trong năm báo cáo.
2. Phân tổ:
- Địa giới hành chính (toàn quốc/tỉnh)
3. Kỳ báo cáo: năm.
4. Nguồn số liệu:
Cơ sở dữ liệu hệ thống Bảo hiểm xã hội Việt Nam.
5. Đơn vị chịu trách nhiệm thu thập, tổng hợp:
- BHXH Việt Nam: Ban Thực hiện chính sách BHYT, Ban Quản lý thu và phát triển người tham gia.
- BHXH tỉnh: Phòng chế độ BHYT, Phòng Quản lý thu và phát triển người tham gia.
2461. Chi KCB BHYT của tỉnh
1. Khái niệm, phương pháp tính:
Số tiền chi KCB BHYT của tỉnh là chi phí KCB từ quỹ BHYT để thanh toán cho bệnh nhân có thẻ BHYT của tỉnh đó (bao gồm số lượt KCB tại các cơ sở y tế trên địa bàn tỉnh và người có thẻ BHYT của tỉnh đó đi điều trị, KCB tại các tỉnh khác).
2. Phân tổ:
- Cơ sở dữ liệu hệ thống BHXH Việt Nam
- Địa giới hành chính (toàn quốc/tỉnh)
3. Kỳ báo cáo: năm.
4. Nguồn số liệu:
Hệ thống thông tin giám định BHYT.
5. Đơn vị chịu trách nhiệm thu thập, tổng hợp:
- BHXH Việt Nam: Ban Thực hiện chính sách BHYT.
- BHXH tỉnh: Phòng chế độ BHYT.
- BHXH cơ sở
2462. Cân đối quỹ BHYT dành cho KCB trong năm
1. Khái niệm, phương pháp tính:
Cân đối quỹ BHYT dành cho KCB trong năm báo cáo là chênh lệch giữa số thu BHYT dành cho KCB với số chi KCB BHYT của năm báo cáo.
2. Phân tổ:
- Địa giới hành chính (toàn quốc/tỉnh)
3. Kỳ báo cáo: năm.
4. Nguồn số liệu:
Cơ sở dữ liệu hệ thống Bảo hiểm xã hội Việt Nam.
5. Đơn vị chịu trách nhiệm thu thập, tổng hợp:
- BHXH Việt Nam: Ban Thực hiện chính sách BHYT.
- BHXH tỉnh: Phòng chế độ BHYT.
- BHXH cơ sở
2463. Số lượt người KCB BHYT
1. Khái niệm, phương pháp tính:
Số lượt người KCB BHYT là số lượt người sử dụng thẻ BHYT đi KCB tại cơ sở y tế có ký hợp đồng KCB với cơ quan BHXH.
2. Phân tổ:
a) Hình thức điều trị
0504.1. Nội trú
0504.2. Ngoại trú
b) Địa giới hành chính (tỉnh/cơ sở)
3. Kỳ báo cáo: tháng, quý, năm.
4. Nguồn số liệu:
Hệ thống thông tin giám định BHYT.
5. Đơn vị chịu trách nhiệm thu thập, tổng hợp:
- BHXH Việt Nam; Ban Thực hiện chính sách BHYT.
- BHXH tỉnh: Phòng chế độ BHYT.
- BHXH cơ sở
2464. Số tiền chi các chế độ KCB BHYT
1. Khái niệm, phương pháp tính:
Số tiền chi các chế độ KCB BHYT là số tiền quỹ BHYT thanh toán cho các dịch vụ y tế, chăm sóc sức khỏe ban đầu mà người bệnh BHYT đã sử dụng.
2. Phân tổ:
a) Hình thức điều trị
2464.1. Chi chăm sóc sức khỏe ban đầu
2464.2. Chi thanh toán trực tiếp
2464.3. Chi cho cơ sở KCB BHYT (nội trú/ngoại trú)
b) Địa giới hành chính (tỉnh/cơ sở)
3. Kỳ báo cáo: tháng, quý, năm.
4. Nguồn số liệu:
Hệ thống thông tin giám định BHYT.
5. Đơn vị chịu trách nhiệm thu thập, tổng hợp:
- BHXH Việt Nam: Ban Thực hiện chính sách BHYT.
- BHXH tỉnh: Phòng chế độ BHYT.
- BHXH cơ sở
2465. Chi phí bình quân cho một lượt KCB BHYT
1. Khái niệm, phương pháp tính: Chi phí bình quân một lượt KCB BHYT được tính bằng cách chia tổng chi phí KCB BHYT cho tổng số lượt người KCB BHYT.
Công thức tính:
|
| Chi phí KCB bình quân/1 lượt KCB BHYT | = | Tổng chi phí KCB BHYT |
|
| Tổng số lượt người KCB BHYT |
2. Phân tổ:
a) Hình thức điều trị
2465.1. Nội trú
2465.2. Ngoại trú
b) Loại bệnh
c) Địa giới hành chính (tỉnh/cơ sở)
3. Kỳ báo cáo: năm.
4. Nguồn số liệu:
Hệ thống thông tin giám định BHYT.
5. Đơn vị chịu trách nhiệm thu thập, tổng hợp:
- BHXH Việt Nam: Ban Thực hiện chính sách BHYT
- BHXH tỉnh: Phòng Chế độ BHYT
2466. Tần suất KCB BHYT bình quân
1. Khái niệm, phương pháp tính: Tần suất KCB BHYT bình quân được tính bằng cách chia tổng số lượt người KCB BHYT cho tổng số người đóng BHYT.
Công thức tính:
|
| Tần suất KCB BHYT | = | Tổng số lượt người KCB BHYT |
|
| Tổng số người tham gia BHYT |
2. Phân tổ:
a) Hình thức điều trị
2466.1. Nội trú
2466.2. Ngoại trú
b) Nhóm đối tượng
2466.3. Nhóm do người SDLĐ đóng hoặc người LĐ đóng hoặc cùng đóng
2466.4. Nhóm do cơ quan BHXH đóng
2466.5. Nhóm do NSNN đóng
2466.6. Nhóm được NSNN hỗ trợ mức đóng
2466.7. Nhóm tự đóng BHYT
2466.8. Nhóm khác
3. Kỳ báo cáo: năm.
4. Nguồn số liệu:
- Hệ thống thông tin giám định BHYT;
- Cơ sở dữ liệu hệ thống Bảo hiểm xã hội Việt Nam.
5. Đơn vị chịu trách nhiệm thu thập, tổng hợp:
- BHXH Việt Nam: Ban Thực hiện chính sách BHYT
- BHXH tỉnh: Phòng Chế độ BHYT
2467. Chi phí KCB bình quân/1 thẻ BHYT
1. Khái niệm, phương pháp tính: Chi phí KCB bình quân/1 thẻ BHYT được tính bằng cách chia tổng chi phí KCB BHYT cho tổng số thẻ BHYT còn giá trị sử dụng.
Đối với chi phí KCB bình quân/1 thẻ BHYT của một tỉnh nào đó được tính bằng cách chia tổng chi phí KCB BHYT của tỉnh cho tổng số thẻ BHYT còn giá trị sử dụng do tỉnh đó phát hành.
Công thức tính:
|
| Chi phí KCB bình quân/1 thẻ BHYT | = | Tổng chi phí KCB BHYT |
|
| Tổng số thẻ BHYT còn giá trị sử dụng |
2. Phân tổ:
a) Nhóm đối tượng
2467.1. Nhóm do người SDLĐ đóng hoặc người LĐ đóng hoặc cùng đóng
2467.2. Nhóm do cơ quan BHXH đóng
2467.3. Nhóm do NSNN đóng
2467.4. Nhóm được NSNN hỗ trợ mức đóng
2467.5. Nhóm tự đóng BHYT
2467.6. Nhóm khác
b) Địa giới hành chính (tỉnh/cơ sở)
3. Kỳ báo cáo: năm.
4. Nguồn số liệu:
- Hệ thống thông tin giám định BHYT;
- Cơ sở dữ liệu hệ thống Bảo hiểm xã hội Việt Nam.
5. Đơn vị chịu trách nhiệm thu thập, tổng hợp:
- BHXH Việt Nam: Ban Thực hiện chính sách BHYT
- BHXH tỉnh: Phòng Chế độ BHYT
24.6. Nhóm chỉ tiêu thống kê công tác tổ chức cán bộ (bao gồm các chỉ tiêu 2468; 2469; 2470):
2468. Tổng số lao động thuộc Hệ thống BHXH Việt Nam
1. Khái niệm, phương pháp tính:
Tổng số lao động thuộc Hệ thống BHXH Việt Nam là toàn bộ số công chức, viên chức và người làm việc tại các đơn vị thuộc hệ thống BHXH Việt Nam.
2. Phân tổ:
- Giới tính
- Dân tộc
- Ngạch công chức, viên chức
- Trình độ chuyên môn
- Chuyên ngành
- Độ tuổi
- Chức danh nghề nghiệp
- Địa giới hành chính (tỉnh/cơ sở)
3. Kỳ báo cáo: năm.
4. Nguồn số liệu: Cơ sở dữ liệu hệ thống BHXH Việt Nam.
5. Đơn vị chịu trách nhiệm thu thập, tổng hợp:
- BHXH Việt Nam: Ban Tổ chức cán bộ
- BHXH tỉnh: Phòng Tổ chức cán bộ/Phòng Tổ chức - Hành chính
2469. Tổng số công chức, viên chức quản lý thuộc Hệ thống BHXH Việt Nam
1. Khái niệm, phương pháp tính:
Tổng số công chức, viên chức quản lý thuộc Hệ thống BHXH là số lượng công chức, viên chức đang làm việc tại các đơn vị thuộc Hệ thống BHXH Việt Nam giữ chức vụ quản lý từ cấp phòng và tương đương trở lên.
2. Phân tổ:
- Giới tính
- Dân tộc
- Ngạch công chức, viên chức
- Trình độ chuyên môn
- Chuyên ngành
- Độ tuổi
- Chức danh nghề nghiệp
- Địa giới hành chính (tỉnh/cơ sở)
3. Kỳ báo cáo: năm.
4. Nguồn số liệu: Cơ sở dữ liệu hệ thống BHXH Việt Nam.
5. Đơn vị chịu trách nhiệm thu thập, tổng hợp:
- BHXH Việt Nam: Ban Tổ chức cán bộ;
- BHXH tỉnh: Phòng Tổ chức cán bộ/Phòng Tổ chức - Hành chính.
2470. Chi tổ chức và hoạt động BHXH, BHTN, BHYT
1. Khái niệm, phương pháp tính:
Chi tổ chức và hoạt động BHXH, BHTN, BHYT là các khoản chi hoạt động bộ máy của cơ quan BHXH các cấp, các đơn vị được giao thực hiện chính sách BHTN, bảo hiểm TNLĐ, BNN thuộc ngành Nội vụ và các khoản chi thực hiện nhiệm vụ về tuyên truyền, phát triển đối tượng tham gia, quản lý người thụ hưởng, tập huấn, bồi dưỡng chuyên môn nghiệp vụ, cải cách thủ tục hành chính, phối hợp thu, chi trả chế độ, thanh tra, kiểm tra, chi ứng dụng công nghệ thông tin, chi đầu tư xây dựng cơ bản.
2. Phân tổ:
- Địa giới hành chính (tỉnh)
3. Kỳ báo cáo: năm.
4. Nguồn số liệu: Cơ sở dữ liệu hệ thống BHXH Việt Nam.
5. Đơn vị chịu trách nhiệm thu thập, tổng hợp:
- BHXH Việt Nam: Ban Tài chính - Kế toán
- BHXH tỉnh: Phòng Kế hoạch - Tài chính.
Bạn chưa Đăng nhập thành viên.
Đây là tiện ích dành cho tài khoản thành viên. Vui lòng Đăng nhập để xem chi tiết. Nếu chưa có tài khoản, vui lòng Đăng ký tại đây!
Bạn chưa Đăng nhập thành viên.
Đây là tiện ích dành cho tài khoản thành viên. Vui lòng Đăng nhập để xem chi tiết. Nếu chưa có tài khoản, vui lòng Đăng ký tại đây!