- Tổng quan
- Nội dung
- VB gốc
- Tiếng Anh
- Hiệu lực
- VB liên quan
- Lược đồ
-
Nội dung hợp nhất
Tính năng này chỉ có tại LuatVietnam.vn. Nội dung hợp nhất tổng hợp lại tất cả các quy định còn hiệu lực của văn bản gốc và các văn bản sửa đổi, bổ sung, đính chính... trên một trang. Việc hợp nhất văn bản gốc và những văn bản, Thông tư, Nghị định hướng dẫn khác không làm thay đổi thứ tự điều khoản, nội dung.
Khách hàng chỉ cần xem Nội dung hợp nhất là có thể nắm bắt toàn bộ quy định hiện hành đang áp dụng, cho dù văn bản gốc đã qua nhiều lần chỉnh sửa, bổ sung.
- Tải về
Nghị định 88/2025/NĐ-CP hướng dẫn Nghị quyết 193/2025/QH15 về thí điểm cơ chế, chính sách tạo đột phá phát triển khoa học, công nghệ và chuyển đổi số quốc gia
| Cơ quan ban hành: | Chính phủ |
Số công báo:
Số công báo là mã số ấn phẩm được đăng chính thức trên ấn phẩm thông tin của Nhà nước. Mã số này do Chính phủ thống nhất quản lý.
|
Đã biết
|
| Số hiệu: | 88/2025/NĐ-CP | Ngày đăng công báo: |
Đã biết
|
| Loại văn bản: | Nghị định | Người ký: | Nguyễn Chí Dũng |
| Trích yếu: | Quy định chi tiết và hướng dẫn thi hành một số điều của Nghị quyết 193/2025/QH15 ngày 19/02/2025 của Quốc hội về thí điểm một số cơ chế, chính sách đặc biệt tạo đột phá phát triển khoa học, công nghệ, đổi mới sáng tạo và chuyển đổi số quốc gia | ||
|
Ngày ban hành:
Ngày ban hành là ngày, tháng, năm văn bản được thông qua hoặc ký ban hành.
|
13/04/2025 |
Ngày hết hiệu lực:
Ngày hết hiệu lực là ngày, tháng, năm văn bản chính thức không còn hiệu lực (áp dụng).
|
Đang cập nhật |
|
Áp dụng:
Ngày áp dụng là ngày, tháng, năm văn bản chính thức có hiệu lực (áp dụng).
|
Đã biết
|
Tình trạng hiệu lực:
Cho biết trạng thái hiệu lực của văn bản đang tra cứu: Chưa áp dụng, Còn hiệu lực, Hết hiệu lực, Hết hiệu lực 1 phần; Đã sửa đổi, Đính chính hay Không còn phù hợp,...
|
Đã biết
|
| Lĩnh vực: | Thông tin-Truyền thông Chính sách Khoa học-Công nghệ | ||
TÓM TẮT NGHỊ ĐỊNH 88/2025/NĐ-CP
Ngày 13/4/2025, Chính phủ ban hành Nghị định số 88/2025/NĐ-CP quy định chi tiết và hướng dẫn thi hành Nghị quyết số 193/2025/QH15 của Quốc hội về thí điểm một số cơ chế, chính sách đặc biệt để tạo đột phá trong lĩnh vực khoa học, công nghệ, đổi mới sáng tạo và chuyển đổi số quốc gia.
Viên chức được tham gia điều hành doanh nghiệp do đơn vị công lập thành lập
Theo Điều 4, viên chức, viên chức quản lý tại các tổ chức khoa học công lập hoặc cơ sở giáo dục đại học công lập được tham gia điều hành, quản lý doanh nghiệp do đơn vị mình thành lập, nếu được người đứng đầu cơ quan quản lý đồng ý. Họ vẫn được đảm bảo quyền lợi về lương, thưởng, đào tạo, bổ nhiệm, v.v.
Không hoàn trả ngân sách nếu nhiệm vụ KH&CN không đạt kết quả cuối cùng
Tại Điều 5, nếu nhiệm vụ khoa học và công nghệ (KH&CN) không đạt kết quả như dự kiến nhưng đã thực hiện đúng quy định và nội dung thuyết minh thì không phải hoàn trả kinh phí đã sử dụng, trừ các khoản chưa dùng hoặc sử dụng sai mục đích.
Doanh nghiệp được trừ chi phí KH&CN khi tính thuế
Doanh nghiệp được trừ vào chi phí tính thuế TNDN các khoản tài trợ, chi cho hoạt động nghiên cứu, đổi mới sáng tạo nếu có đầy đủ hồ sơ, chứng từ. Điều 11 bổ sung thêm ưu đãi về thuế TNCN đối với cá nhân tham gia nhiệm vụ KH&CN dùng ngân sách nhà nước.
Hỗ trợ doanh nghiệp triển khai 5G và phát triển chip bán dẫn
Từ Điều 15 đến Điều 30, Nghị định quy định cụ thể việc hỗ trợ tài chính cho doanh nghiệp viễn thông triển khai mạng 5G nhanh và doanh nghiệp Việt Nam xây dựng nhà máy chế tạo chip bán dẫn đầu tiên. Doanh nghiệp đáp ứng điều kiện sẽ được hỗ trợ lên tới 30% tổng đầu tư, không vượt quá 10.000 tỷ đồng.
Xem chi tiết Nghị định 88/2025/NĐ-CP có hiệu lực kể từ ngày 13/04/2025
Tải Nghị định 88/2025/NĐ-CP
|
CHÍNH PHỦ Số: 88/2025/NĐ-CP |
CỘNG HÒA XÃ HỘI CHỦ NGHĨA VIỆT NAM Hà Nội, ngày 13 tháng 4 năm 2025 |
NGHỊ ĐỊNH
Quy định chi tiết và hướng dẫn một số điều của Nghị quyết
số 193/2025/QH15 ngày 19 tháng 02 năm 2025 của Quốc hội về
thí điểm một số cơ chế, chính sách đặc biệt tạo đột phá phát triển
khoa học, công nghệ, đổi mới sáng tạo và chuyển đổi số quốc gia
_________________
Căn cứ Luật Tổ chức Chính phủ ngày 18 tháng 02 năm 2025;
Căn cứ Nghị quyết số 193/2025/QH15 ngày 19 tháng 02 năm 2025 của Quốc hội về thí điểm một số cơ chế, chính sách đặc biệt tạo đột phá phát triển khoa học, công nghệ, đổi mới sáng tạo và chuyển đổi số quốc gia;
Theo đề nghị của Bộ trưởng Bộ Khoa học và Công nghệ;
Chính phủ ban hành Nghị định quy định chi tiết và hướng dẫn một số điều của Nghị quyết số 193/2025/QH15 ngày 19 tháng 02 năm 2025 của Quốc hội về thí điểm một số cơ chế, chính sách đặc biệt tạo đột phá phát triển khoa học, công nghệ, đổi mới sáng tạo và chuyển đổi số quốc gia.
Chương I QUY ĐỊNH CHUNG
Điều 1. Phạm vi điều chỉnh
Nghị định này quy định chi tiết và hướng dẫn thi hành khoản 2 Điều 3, Điều 4, Điều 5, Điều 6, Điều 7, Điều 8, Điều 9, khoản 1, 2 Điều 10, Điều 11, Điều 12, Điều 13 và Điều 14 của Nghị quyết số 193/2025/QH15 ngày 19 tháng 02 năm 2025 của Quốc hội về thí điểm một số cơ chế, chính sách đặc biệt tạo đột phá phát triển khoa học, công nghệ, đổi mới sáng tạo và chuyển đổi số quốc gia (sau đây gọi tắt là Nghị quyết số 193/2025/QH15).
Điều 2. Đối tượng áp dụng
Nghị định này áp dụng đối với tổ chức, cá nhân trong nước và tổ chức, cá nhân nước ngoài tham gia hoạt động khoa học, công nghệ, đổi mới sáng tạo và chuyển đổi số tại Việt Nam; tổ chức, cá nhân khác có liên quan.
Điều 3. Giải thích từ ngữ
Vệ tinh quỹ đạo tầm thấp là loại vệ tinh phi địa tĩnh hoạt động ở độ cao dưới 2.000 km so với mặt nước biển.
Chương II
HOẠT ĐỘNG KHOA HỌC, CÔNG NGHỆ VÀ ĐỔI MỚI SÁNG TẠO
Điều 4. Viên chức, viên chức quản lý tham gia quản lý, điều hành doanh nghiệp, làm việc tại doanh nghiệp do tổ chức khoa học và công nghệ công lập, cơ sở giáo dục đại học công lập thành lập
1. Trường hợp có nhu cầu tham gia quản lý, điều hành, làm việc tại doanh nghiệp do tổ chức khoa học và công nghệ công lập, cơ sở giáo dục đại học công lập thành lập hoặc tham gia thành lập, viên chức, viên chức quản lý phải có đơn xin phép và được sự đồng ý của người đứng đầu tổ chức, cơ sở quản lý viên chức.
2. Người đứng đầu tổ chức, cơ sở quản lý viên chức quyết định cử viên chức, viên chức quản lý tham gia điều hành, quản lý hoặc làm việc tại doanh nghiệp do tổ chức, cơ sở đó thành lập hoặc tham gia thành lập. Quyết định cử viên chức phải quy định rõ:
a) Thời gian, hình thức (kiêm nhiệm, biệt phái, điều động, đại diện phần vốn góp);
b) Đơn vị chi trả lương, thưởng, phụ cấp;
c) Quyền, nghĩa vụ, trách nhiệm của viên chức đối với tổ chức, cơ sở cử viên chức và đối với doanh nghiệp mà viên chức, viên chức quản lý tham gia quản lý, điều hành, làm việc.
3. Quyền, nghĩa vụ của viên chức, viên chức quản lý khi tham gia quản lý, điều hành, làm việc tại doanh nghiệp bao gồm:
a) Được trả lương, thưởng và các phụ cấp bảo đảm không thấp hơn mức hiện hưởng của viên chức, viên chức quản lý;
b) Được tổ chức, cơ sở cử tham gia quản lý, điều hành, làm việc và doanh nghiệp nơi viên chức làm việc bảo đảm đầy đủ quyền lợi của viên chức, bao gồm đào tạo, bồi dưỡng, quy hoạch, bổ nhiệm, nâng lương, đánh giá xếp loại, khen thưởng, kỷ luật;
c) Được bố trí công việc phù hợp khi hết thời hạn cử làm quản lý, điều hành, làm việc tại doanh nghiệp. Chế độ, chính sách không thấp hơn thời điểm viên chức, viên chức quản lý được cử tham gia quản lý, điều hành, làm việc tại doanh nghiệp;
d) Thực hiện đầy đủ nội quy, quy chế của doanh nghiệp nơi làm việc;
đ) Viên chức tham gia quản lý, điều hành, làm việc tại doanh nghiệp phải thực hiện nghĩa vụ của viên chức theo quy định của pháp luật về viên chức, pháp luật doanh nghiệp trong phạm vi quyền hạn, trách nhiệm được giao.
Điều 5. Việc hoàn trả kinh phí trong trường hợp nhiệm vụ khoa học và công nghệ không đạt được kết quả cuối cùng như dự kiến
Trong trường hợp đã thực hiện đầy đủ các quy định về quản lý nhiệm vụ khoa học và công nghệ, quy trình và nội dung nghiên cứu đã được thuyết minh nhưng không đạt được kết quả cuối cùng như dự kiến, tổ chức chủ trì thực hiện nhiệm vụ khoa học và công nghệ không phải hoàn trả lại ngân sách nhà nước số kinh phí đã sử dụng đúng mục tiêu, phạm vi, nội dung nghiên cứu được nêu tại Thuyết minh nhiệm vụ, trừ các khoản kinh phí sau:
1. Kinh phí đã cấp cho nhiệm vụ khoa học và công nghệ tại tài khoản tiền gửi ở Kho bạc Nhà nước của tổ chức chủ trì thực hiện nhiệm vụ mà chưa sử dụng sau khi trừ đi số nợ phải trả của tổ chức chủ trì thực hiện nhiệm vụ. Số nợ phải trả của tổ chức chủ trì thực hiện nhiệm vụ là số tiền tổ chức chủ trì thực hiện nhiệm vụ phải thanh toán cho hàng hoá, dịch vụ, công lao động đã thực hiện mà chưa được thanh toán.
2. Kinh phí tổ chức chủ trì thực hiện nhiệm vụ khoa học và công nghệ đã tạm ứng cho các tổ chức, cá nhân có liên quan để triển khai thực hiện nội dung nghiên cứu hoặc cung ứng hàng hóa, dịch vụ nhưng chưa thực hiện. Kinh phí này được xác định tương ứng với phần công việc, hàng hóa, dịch vụ chưa thực hiện.
3. Kinh phí đã sử dụng không đúng mục tiêu, phạm vi, nội dung nghiên cứu được nêu tại Thuyết minh nhiệm vụ khoa học và công nghệ.
Điều 6. Lập dự toán, phân bổ, quản lý, sử dụng và quyết toán chi sự nghiệp khoa học và công nghệ
1. Việc lập dự toán:
a) Căn cứ hướng dẫn của Bộ Khoa học và Công nghệ về kế hoạch khoa học, công nghệ và đổi mới sáng tạo hàng năm, các bộ, cơ quan ngang bộ, cơ quan thuộc Chính phủ, cơ quan khác ở trung ương (sau đây gọi là bộ, cơ quan Trung ương) và Ủy ban nhân dân cấp tỉnh (sau đây gọi là địa phương) xây dựng dự toán kinh phí chi sự nghiệp khoa học và công nghệ hàng năm gửi cơ quan quản lý nhà nước về khoa học và công nghệ (Bộ Khoa học và Công nghệ, Sở Khoa học và Công nghệ) để rà soát, tổng hợp, trong đó:
Dự toán kinh phí thực hiện nhiệm vụ khoa học và công nghệ dự kiến triển khai trong năm kế hoạch thực hiện thông qua cơ chế quỹ được lập theo quy định tại khoản 1 Điều 5 Nghị quyết số 193/2025/QH15;
Dự toán kinh phí thực hiện nhiệm vụ khoa học và công nghệ dự kiến triển khai trong năm kế hoạch không thực hiện thông qua cơ chế quỹ và các nhiệm vụ chi khác sử dụng kinh phí sự nghiệp khoa học và công nghệ được lập theo quy định của pháp luật về ngân sách nhà nước và pháp luật về khoa học và công nghệ;
b) Trên cơ sở đề xuất dự toán kinh phí sự nghiệp khoa học và công nghệ của các bộ, cơ quan trung ương và địa phương, cơ quan quản lý nhà nước về khoa học và công nghệ (Bộ Khoa học và Công nghệ, Sở Khoa học và Công nghệ) có trách nhiệm tổng hợp, xây dựng phương án phân bổ ngân sách nhà nước chi sự nghiệp khoa học và công nghệ gửi cơ quan tài chính cùng cấp (Bộ Tài chính, Sở Tài chính);
c) Cơ quan tài chính (Bộ Tài chính, Sở Tài chính) có trách nhiệm tổng hợp đề xuất của cơ quan quản lý nhà nước về khoa học và công nghệ (Bộ Khoa học và Công nghệ, Sở Khoa học và Công nghệ) để báo cáo cấp có thẩm quyền xem xét, quyết định phù hợp với khả năng cân đối ngân sách nhà nước hàng năm.
2. Việc phân bổ dự toán:
Sau khi được Thủ tướng Chính phủ, Ủy ban nhân dân cấp tỉnh giao dự toán ngân sách, đơn vị dự toán cấp I ở trung ương và địa phương thực hiện phân bổ, giao dự toán ngân sách chi sự nghiệp khoa học và công nghệ (bao gồm chi cho khoa học, công nghệ, đổi mới sáng tạo và chuyển đổi số) cho các đơn vị sử dụng ngân sách trực thuộc và đơn vị thuộc ngân sách cấp dưới như sau:
a) Kinh phí để thực hiện các nhiệm vụ khoa học và công nghệ: ưu tiên phân bổ kinh phí từ ngân sách nhà nước cho các nhiệm vụ dự kiến thực hiện trong năm ngân sách thông qua các quỹ phát triển khoa học và công nghệ, trong đó:
Kinh phí để thực hiện các nhiệm vụ khoa học và công nghệ quốc gia được cấp về quỹ phát triển khoa học và công nghệ quốc gia;
Kinh phí để thực hiện các nhiệm vụ khoa học và công nghệ cấp bộ, địa phương được cấp về quỹ phát triển khoa học và công nghệ của bộ, cơ quan ngang bộ, cơ quan thuộc Chính phủ, tỉnh, thành phố trực thuộc trung ương;
Kinh phí từ ngân sách nhà nước cấp hàng năm để triển khai các nhiệm vụ khoa học và công nghệ thông qua các quỹ phát triển khoa học và công nghệ được cấp bằng lệnh chi tiền vào tài khoản tiền gửi của quỹ tại Kho bạc Nhà nước;
b) Kinh phí thực hiện các nhiệm vụ khoa học và công nghệ không thuộc phạm vi cấp kinh phí vào các quỹ phát triển khoa học và công nghệ quy định tại điểm a khoản này và các nhiệm vụ chi khác sử dụng kinh phí sự nghiệp khoa học và công nghệ: đơn vị dự toán cấp I thực hiện phân bổ về đơn vị sử dụng ngân sách trực thuộc theo quy định của pháp luật về ngân sách nhà nước.
3. Việc quản lý, sử dụng ngân sách nhà nước chi sự nghiệp khoa học và công nghệ:
a) Đối với kinh phí thực hiện nhiệm vụ khoa học và công nghệ được cấp thông qua các quỹ phát triển khoa học và công nghệ, tổ chức chủ trì thực hiện nhiệm vụ khoa học và công nghệ có trách nhiệm quản lý, sử dụng kinh phí theo quy định tại khoản 1 Điều 7 Nghị định này;
b) Đối với kinh phí thực hiện các nhiệm vụ khoa học và công nghệ không thuộc quy định tại điểm a khoản này, tổ chức chủ trì thực hiện nhiệm vụ khoa học và công nghệ thực hiện theo quy định tại khoản 1 Điều 7 Nghị định này và thực hiện thanh toán, chi trả qua Kho bạc Nhà nước theo quy định của pháp luật ngân sách nhà nước hiện hành;
c) Đối với kinh phí sử dụng nguồn kinh phí sự nghiệp khoa học và công nghệ không thuộc điểm a và điểm b khoản này, cơ quan, đơn vị sử dụng ngân sách có trách nhiệm quản lý, sử dụng kinh phí trong năm ngân sách theo quy định của pháp luật về ngân sách nhà nước và pháp luật về khoa học và công nghệ.
4. Việc quyết toán, xét duyệt quyết toán, thẩm tra và tổng hợp quyết toán và các nội dung khác thực hiện theo quy định của pháp luật về ngân sách nhà nước.
Điều 7. Quản lý, sử dụng kinh phí thực hiện nhiệm vụ khoa học và công nghệ được cấp thông qua các quỹ phát triển khoa học và công nghệ
1. Tổ chức chủ trì thực hiện nhiệm vụ khoa học và công nghệ có trách nhiệm:
a) Ban hành quy chế chi tiêu nội bộ để quản lý việc sử dụng kinh phí thực hiện nhiệm vụ khoa học và công nghệ và áp dụng công khai, minh bạch;
b) Sử dụng kinh phí đúng mục tiêu, phạm vi, nội dung nghiên cứu được nêu tại Thuyết minh nhiệm vụ khoa học và công nghệ; bảo đảm hiệu quả và tiết kiệm;
c) Thanh toán với cơ quan, đơn vị được giao quản lý kinh phí, cơ quan, đơn vị được giao quản lý quỹ phát triển khoa học và công nghệ;
d) Hồ sơ, chứng từ thanh toán gồm:
Hợp đồng;
Đối với kinh phí khoán chi: Bảng kê xác định khối lượng công việc hoàn thành gồm các nội dung công việc đã hoàn thành và kinh phí đã sử dụng tương ứng được Chủ nhiệm nhiệm vụ, Kế toán trưởng và Thủ trưởng tổ chức chủ trì xác nhận;
Đối với kinh phí không khoán chi: Bảng kê xác định khối lượng công việc hoàn thành gồm các nội dung công việc đã hoàn thành và kinh phí đã sử dụng tương ứng được Chủ nhiệm nhiệm vụ, Kế toán trưởng và Thủ trưởng tổ chức chủ trì xác nhận; Hồ sơ, chứng từ minh chứng việc sử dụng kinh phí hợp lý, hợp pháp;
Biên bản đánh giá, nghiệm thu kết quả thực hiện nhiệm vụ khoa học và công nghệ (đối với nhiệm vụ khoa học và công nghệ hoàn thành trong năm ngân sách);
đ) Tổ chức chủ trì nhiệm vụ khoa học và công nghệ chịu trách nhiệm về hồ sơ lập dự toán kinh phí, quản lý, sử dụng và quyết toán kinh phí thực hiện nhiệm vụ bảo đảm đúng quy định của pháp luật; lưu trữ hồ sơ của nhiệm vụ, tài liệu minh chứng việc sử dụng kinh phí; chịu trách nhiệm về việc bảo đảm chứng từ hợp lý, hợp pháp và sẵn sàng giải trình khi có yêu cầu của cơ quan có thẩm quyền;
e) Việc sử dụng kinh phí sai mục tiêu, phạm vi, nội dung nghiên cứu được nêu tại Thuyết minh nhiệm vụ khoa học và công nghệ và các hành vi vi phạm khác làm thất thoát ngân sách nhà nước, ngoài việc bị thu hồi kinh phí còn bị xử lý theo quy định của pháp luật.
2. Cơ quan, đơn vị được giao quản lý quỹ phát triển khoa học và công nghệ có trách nhiệm:
a) Xây dựng Quy chế quản lý kinh phí thực hiện nhiệm vụ khoa học và công nghệ gửi cơ quan chủ quản, cơ quan tài chính cấp trên;
b) Thanh toán kinh phí cho các tổ chức chủ trì thực hiện nhiệm vụ khoa học và công nghệ theo Quy chế quản lý kinh phí thực hiện nhiệm vụ khoa học và công nghệ và theo tiến độ;
c) Kiểm tra hồ sơ, chứng từ thanh toán theo quy định tại điểm d khoản 1 Điều này và lập chứng từ chuyển tiền gửi Kho bạc Nhà nước nơi mở tài khoản để thanh toán tiền từ tài khoản tiền gửi của quỹ cho tổ chức chủ trì nhiệm vụ khoa học và công nghệ;
d) Tổ chức kiểm tra, đánh giá để bảo đảm việc sử dụng kinh phí của các tổ chức chủ trì nhiệm vụ khoa học và công nghệ đúng mục đích, yêu cầu và tiến độ giải ngân;
đ) Xem xét, quyết định việc thuê kiểm toán độc lập để kiểm toán việc sử dụng kinh phí của tổ chức chủ trì nhiệm vụ khoa học và công nghệ trên cơ sở đảm bảo tiến độ thời gian lập và nộp báo cáo tài chính cho cơ quan chủ quản thực hiện xét duyệt quyết toán và tổng hợp quyết toán gửi Bộ Tài chính. Kinh phí thuê kiểm toán độc lập được bố trí trong nội dung chi cho công tác quản lý nhiệm vụ khoa học và công nghệ của cơ quan, đơn vị.
3. Việc quyết toán, xét duyệt quyết toán, thẩm tra và tổng hợp quyết toán thực hiện theo quy định của pháp luật về ngân sách nhà nước.
4. Bộ, cơ quan ngang bộ, cơ quan thuộc Chính phủ, Ủy ban nhân dân cấp tỉnh tùy theo tình hình thực tế để quyết định việc giao quản lý quỹ phát triển khoa học và công nghệ cho cơ quan, đơn vị trực thuộc, bổ sung ủy viên chuyên trách trong Hội đồng quản lý quỹ nhưng không phát sinh cơ quan, đơn vị mới, không tăng biên chế hưởng lương ngân sách.
5. Đánh giá hiệu quả hoạt động của quỹ phát triển khoa học và công nghệ được thực hiện như sau:
a) Định kỳ hàng năm thủ trưởng cơ quan, đơn vị được giao quản lý quỹ có trách nhiệm lập báo cáo đánh giá hiệu quả hoạt động của quỹ trên cơ sở các kết quả tài trợ, hỗ trợ, giải ngân của quỹ và chiến lược, kế hoạch phát triển khoa học, công nghệ và đổi mới sáng tạo của Quốc gia, bộ, cơ quan ngang bộ, cơ quan trực thuộc Chính phủ, Ủy ban nhân dân cấp tỉnh gửi cơ quan chủ quản;
b) Bộ, cơ quan ngang bộ, cơ quan thuộc Chính phủ, Ủy ban nhân dân cấp tỉnh quyết định việc tự đánh giá hoặc thuê tổ chức, cá nhân có chức năng thực hiện đánh giá độc lập để đánh giá hiệu quả hoạt động của quỹ. Kinh phí thực hiện việc đánh giá từ nguồn kinh phí chi thường xuyên cho sự nghiệp khoa học và công nghệ.
Điều 8. Quyền sở hữu, quản lý, sử dụng đối với kết quả nghiên cứu khoa học và phát triển công nghệ, tài sản trang bị để thực hiện nhiệm vụ khoa học và công nghệ
1. Đối với tài sản trang bị thực hiện nhiệm vụ khoa học và công nghệ quy định tại khoản 1 Điều 7 Nghị quyết số 193/2025/QH15, sau khi tài sản trang bị hoàn thành mục đích sử dụng trong hoạt động nghiên cứu của nhiệm vụ khoa học và công nghệ, tổ chức chủ trì thực hiện nhiệm vụ khoa học và công nghệ căn cứ hồ sơ, chứng từ mua sắm để hạch toán tăng tài sản, giá trị tài sản:
a) Tổ chức chủ trì quy định tại điểm a khoản 1 Điều 7 Nghị quyết số 193/2025/QH15 thực hiện theo quy định của pháp luật về quản lý, sử dụng tài sản công;
b) Tổ chức chủ trì quy định tại điểm b khoản 1 Điều 7 Nghị quyết số 193/2025/QH15 thực hiện theo quy định tương ứng với loại hình của tổ chức đó.
2. Đối với kết quả thực hiện nhiệm vụ khoa học và công nghệ quy định tại khoản 2 Điều 7 Nghị quyết số 193/2025/QH15, sau khi kết quả thực hiện nhiệm vụ khoa học và công nghệ được tạo ra, Tổ chức chủ trì thực hiện nhiệm vụ khoa học và công nghệ theo dõi riêng theo quy định tại điểm a khoản 1 Điều 8 Nghị quyết số 193/2025/QH15. Tổ chức chủ trì thực hiện nhiệm vụ khoa học và công nghệ chịu trách nhiệm lưu giữ các hồ sơ, tài liệu minh chứng quá trình tạo ra kết quả và quá trình xử lý kết quả để phục vụ việc nghiệm thu kết quả thực hiện nhiệm vụ khoa học và công nghệ và chịu trách nhiệm giải trình khi cơ quan chức năng yêu cầu.
Tổ chức chủ trì thực hiện nhiệm vụ khoa học và công nghệ tự quyết định việc quản lý, sử dụng, phát huy và thương mại hóa kết quả nghiên cứu; thực hiện đầy đủ nghĩa vụ nộp thuế đối với lợi nhuận thu được khi thương mại hóa kết quả nghiên cứu và các nghĩa vụ khác đối với nhà nước theo quy định về pháp luật về thuế và pháp luật có liên quan.
Cơ quan chủ quản của tổ chức chủ trì thực hiện nhiệm vụ khoa học và công nghệ quy định tại điểm a khoản 1 Điều 7 của Nghị quyết số 193/2025/QH15 có trách nhiệm kiểm tra, giám sát tổ chức chủ trì trong việc sử dụng tài sản bảo đảm tiết kiệm, hiệu quả, phòng ngừa xảy ra thất thoát, lãng phí, tiêu cực.
Sau 02 năm kể từ ngày kết thúc nhiệm vụ khoa học và công nghệ sử dụng ngân sách nhà nước, tổ chức chủ trì có trách nhiệm báo cáo về việc quản lý, sử dụng kết quả nghiên cứu gửi cơ quan quản lý nhiệm vụ khoa học và công nghệ. Cơ quan quản lý nhiệm vụ khoa học và công nghệ thuộc bộ, cơ quan trung ương, Ủy ban nhân dân cấp tỉnh tổng hợp gửi bộ, cơ quan trung ương, Ủy ban nhân dân cấp tỉnh để tổ chức kiểm tra, đánh giá việc quản lý, sử dụng, phát huy hiệu quả, thương mại hóa kết quả nghiên cứu của tổ chức chủ trì thực hiện nhiệm vụ khoa học và công nghệ thuộc phạm vi quản lý theo định kỳ 02 năm một lần.
3. Việc quản lý, sử dụng tài sản là kết quả của nhiệm vụ khoa học và công nghệ thuộc lĩnh vực quốc phòng, an ninh mà tổ chức chủ trì thực hiện nhiệm vụ không phải là cơ quan, đơn vị thuộc Bộ Quốc phòng, Bộ Công an theo quy định tại điểm a khoản 2 Điều 7 Nghị quyết số 193/2025/QH15 được thực hiện như sau:
a) Sau khi nhiệm vụ khoa học và công nghệ thuộc phạm vi quản lý của bộ, cơ quan trung ương, Ủy ban nhân dân cấp tỉnh được nghiệm thu, bộ, cơ quan trung ương, Ủy ban nhân dân cấp tỉnh có văn bản gửi Bộ Quốc phòng, Bộ Công an đề nghị tiếp nhận tài sản là kết quả nhiệm vụ khoa học và công nghệ thuộc lĩnh vực quốc phòng, an ninh. Văn bản gửi Bộ Quốc phòng, Bộ Công an gồm các nội dung chính sau:
Tên nhiệm vụ khoa học và công nghệ;
Tổ chức chủ trì nhiệm vụ khoa học và công nghệ (đơn vị giao tài sản);
Tài sản là kết quả của nhiệm vụ khoa học và công nghệ bàn giao;
Địa điểm dự kiến bàn giao;
Các nội dung khác (nếu có).
Chậm nhất 15 ngày kể từ ngày nhiệm vụ khoa học và công nghệ được nghiệm thu, Tổ chức chủ trì nhiệm vụ khoa học và công nghệ có trách nhiệm báo cáo bộ, cơ quan trung ương, Ủy ban nhân dân cấp tỉnh các nội dung nêu trên, để làm cơ sở có văn bản gửi Bộ Quốc phòng, Bộ Công an.
b) Chậm nhất 15 ngày sau khi nhận được văn bản của bộ, cơ quan trung ương, Ủy ban nhân dân cấp tỉnh, Bộ Quốc phòng, Bộ Công an có trách nhiệm giao cho cơ quan, đơn vị thuộc phạm vi quản lý tiếp nhận tài sản; đồng thời có văn bản gửi bộ, cơ quan trung ương, Ủy ban nhân dân cấp tỉnh và tổ chức chủ trì nhiệm vụ khoa học và công nghệ để biết và tổ chức thực hiện bàn giao;
c) Bộ, cơ quan trung ương, Ủy ban nhân dân cấp tỉnh có văn bản đề nghị Tổ chức chủ trì nhiệm vụ khoa học và công nghệ bàn giao kết quả nghiên cứu cho cơ quan, tổ chức, đơn vị được Bộ Quốc phòng, Bộ Công an giao tiếp nhận;
d) Trong thời hạn 10 ngày, kể từ ngày nhận được văn bản của bộ, cơ quan trung ương, Ủy ban nhân dân cấp tỉnh, Tổ chức chủ trì thực hiện nhiệm vụ khoa học và công nghệ phải tổ chức thực hiện bàn giao tài sản. Việc bàn giao được lập thành biên bản với những nội dung chính sau:
Bên giao là Tổ chức chủ trì thực hiện nhiệm vụ;
Bên nhận (Cơ quan, đơn vị do Bộ Quốc phòng, Bộ Công an giao tiếp nhận tài sản);
Đại diện cơ quan quản lý nhiệm vụ khoa học và công nghệ thuộc Bộ, cơ quan trung ương, Ủy ban nhân dân cấp tỉnh;
Thời gian bàn giao;
Địa điểm bàn giao;
Danh mục tài sản là kết quả thực hiện nhiệm vụ khoa học và công nghệ thực hiện bàn giao;
Hồ sơ liên quan đến tài sản bàn giao (Hợp đồng nhiệm vụ, văn bản nghiệm thu nhiệm vụ và các hồ sơ liên quan đến tài sản bàn giao (nếu có);
Các nội dung khác (nếu có).
đ) Cơ quan, đơn vị được Bộ Quốc phòng, Bộ Công an giao tiếp nhận tài sản là kết quả của nhiệm vụ khoa học và công nghệ thực hiện hạch toán, quản lý, sử dụng, phát huy và thương mại hóa theo quy định áp dụng đối với tổ chức chủ trì nhiệm vụ là cơ quan, tổ chức, đơn vị quy định tại Điều 7, Điều 8 Nghị quyết số 193/2025/QH15, quy định tại Nghị định này và theo quy định riêng của Bộ Quốc phòng, Bộ Công an (nếu có);
e) Bộ Quốc phòng, Bộ Công an chịu trách nhiệm tổ chức kiểm tra, giám sát việc quản lý, sử dụng, thương mại hóa kết quả nhiệm vụ khoa học và công nghệ được nhận bàn giao từ bộ, cơ quan trung ương, Ủy ban nhân dân cấp tỉnh theo quy định tại điểm a khoản này.
4. Việc quản lý, sử dụng kết quả của nhiệm vụ khoa học và công nghệ mà tổ chức chủ trì thực hiện nhiệm vụ khoa học và công nghệ là tổ chức có yếu tố nước ngoài (tổ chức có pháp nhân nước ngoài, tổ chức có nhà đầu tư nước ngoài nắm giữ trên 50% vốn điều lệ hoặc phần vốn góp) hoặc tổ chức có trụ sở chính đặt ở nước ngoài quy định tại điểm b khoản 2 Điều 7 Nghị quyết số 193/2025/QH15 được thực hiện như sau:
a) Bộ, cơ quan trung ương, Ủy ban nhân dân cấp tỉnh quyết định việc giao một cơ quan, đơn vị thuộc phạm vi quản lý tiếp nhận kết quả nhiệm vụ khoa học và công nghệ thuộc phạm vi quản lý của mình trên cơ sở bảo đảm kết quả nhiệm vụ khoa học và công nghệ được ứng dụng phù hợp vào thực tiễn;
b) Chậm nhất 15 ngày kể từ ngày nhiệm vụ khoa học và công nghệ được nghiệm thu, tổ chức chủ trì nhiệm vụ có trách nhiệm bàn giao tài sản cho cơ quan, đơn vị được giao tiếp nhận kết quả quy định tại điểm a khoản này. Việc bàn giao được lập thành biên bản với những nội dung chính sau:
Bên giao là Tổ chức chủ trì thực hiện nhiệm vụ;
Bên nhận (Cơ quan, đơn vị được bộ, cơ quan trung ương, Ủy ban nhân dân cấp tỉnh giao tiếp nhận quy định tại điểm a khoản này);
Đại diện cơ quan quản lý nhiệm vụ khoa học và công nghệ (trong trường hợp Cơ quan, đơn vị tiếp nhận không phải là cơ quan quản lý nhiệm vụ khoa học và công nghệ);
Thời gian bàn giao;
Địa điểm bàn giao;
Danh mục tài sản là kết quả thực hiện nhiệm vụ khoa học và công nghệ thực hiện bàn giao;
Hồ sơ liên quan đến tài sản bàn giao (Hợp đồng nhiệm vụ, văn bản nghiệm thu nhiệm vụ và các hồ sơ liên quan đến tài sản bàn giao, nếu có);
Các nội dung khác (nếu có);
c) Cơ quan, đơn vị được giao tiếp nhận tài sản thực hiện theo dõi riêng theo quy định tại điểm a khoản 1 Điều 8 Nghị quyết số 193/2025/QH15 thực hiện quản lý, sử dụng, phát huy và thương mại hóa theo quy định áp dụng đối với tổ chức chủ trì nhiệm vụ là cơ quan, tổ chức, đơn vị quy định tại Điều 7, Điều 8 Nghị quyết số 193/2025/QH15;
d) Bộ, cơ quan trung ương, Ủy ban nhân dân cấp tỉnh theo định kỳ 02 năm một lần chịu trách nhiệm tổ chức kiểm tra, đánh giá việc quản lý, sử dụng, phát huy, thương mại hóa các kết quả nghiên cứu của nhiệm vụ khoa học và công nghệ đã giao theo quy định tại điểm a khoản này;
đ) Trường hợp, cơ quan, đơn vị tại điểm c khoản này chưa có phương án tổ chức ứng dụng kết quả nghiên cứu, mà có tổ chức, cá nhân khác có văn bản đề xuất được tiếp nhận tài sản để ứng dụng thì thực hiện theo quy định tại khoản 5 Điều này.
5. Trường hợp sau 03 năm kể từ ngày kết thúc nhiệm vụ khoa học và công nghệ, tổ chức chủ trì không triển khai ứng dụng kết quả nghiên cứu mà có tổ chức khác có nhu cầu ứng dụng quy định tại khoản 6 Điều 7 Nghị quyết số 193/2025/QH15 được thực hiện như sau:
a) Tổ chức có nhu cầu ứng dụng kết quả nghiên cứu của nhiệm vụ khoa học và công nghệ (gọi tắt là tổ chức có nhu cầu ứng dụng) có văn bản gửi cơ quan quản lý nhiệm vụ khoa học và công nghệ. Kèm theo văn bản đề nghị là phương án ứng dụng kết quả nghiên cứu và các hồ sơ chứng minh năng lực của tổ chức;
b) Tại thời điểm nhận được văn bản của tổ chức có nhu cầu ứng dụng kết quả, cơ quan quản lý nhiệm vụ khoa học và công nghệ có văn bản đề nghị tổ chức chủ trì nhiệm vụ xác nhận việc này;
c) Trường hợp tại thời điểm nhận được văn bản đề xuất của tổ chức có nhu cầu ứng dụng mà tổ chức chủ trì nhiệm vụ chưa có phương án để ứng dụng kết quả nghiên cứu, cơ quan quản lý nhiệm vụ khoa học và công nghệ báo cáo bộ, cơ quan trung ương, Ủy ban nhân dân cấp tỉnh để thành lập Hội đồng đánh giá khả năng ứng dụng của tổ chức có nhu cầu ứng dụng.
Hội đồng đánh giá khả năng ứng dụng kết quả nghiên cứu dựa trên phương án, hồ sơ thuyết minh về năng lực do tổ chức có nhu cầu ứng dụng chuẩn bị. Hội đồng đưa ra kết luận về khả năng ứng dụng kết quả nghiên cứu của tổ chức. Tùy theo tính chất, quy mô, phạm vi ứng dụng của kết quả nghiên cứu, bộ, cơ quan trung ương, Ủy ban nhân dân cấp tỉnh quyết định về thành phần, số lượng thành viên, phương thức làm việc của Hội đồng đánh giá;
d) Trường hợp Hội đồng kết luận tổ chức có nhu cầu có khả năng ứng dụng đối với kết quả nghiên cứu thì cơ quan quản lý nhiệm vụ khoa học và công nghệ báo cáo bộ, cơ quan trung ương, Ủy ban nhân dân cấp tỉnh xem xét, quyết định thu hồi và giao cho tổ chức có nhu cầu ứng dụng. Việc thu hồi của tổ chức chủ trì và giao cho tổ chức có nhu cầu ứng dụng được thể hiện bằng văn bản hành chính của bộ, cơ quan trung ương, Ủy ban nhân dân cấp tỉnh.
Điều 9. Thương mại hóa từ kết quả nghiên cứu khoa học và phát triển công nghệ của tổ chức chủ trì là cơ quan, tổ chức, đơn vị
1. Cơ quan, tổ chức, đơn vị được giao quản lý, sử dụng tài sản chủ động công bố thông tin và có biện pháp thúc đẩy việc đưa tài sản là kết quả của việc triển khai nhiệm vụ khoa học và công nghệ vào sử dụng, phát huy và thương mại hóa theo các hình thức quy định tại điểm b khoản 1 Điều 8 Nghị quyết số 193/2025/QH15.
2. Thực hiện quyền tự chủ, tự quyết định và tự chịu trách nhiệm trong việc thương mại hóa theo quy định tại điểm b khoản 1 Điều 8 Nghị quyết số 193/2025/QH15 thực hiện như sau:
a) Việc sử dụng tài sản là kết quả của việc triển khai thực hiện nhiệm vụ khoa học và công nghệ vào mục đích cho thuê, chuyển giao quyền sử dụng, kinh doanh dịch vụ và liên doanh, liên kết không hình thành pháp nhân mới được quy định tại Quy chế quản lý, sử dụng tài sản công của cơ quan, tổ chức, đơn vị;
Việc thương mại hóa theo các hình thức cho thuê, chuyển giao quyền sử dụng và liên doanh, liên kết phải được lập thành Hợp đồng. Hợp đồng có các nội dung cơ bản: thời gian cho thuê, chuyển giao quyền sử dụng và liên doanh, liên kết; quyền và nghĩa vụ liên quan đến quản lý tài sản là kết quả của việc triển khai thực hiện nhiệm vụ khoa học và công nghệ; giá cho thuê (chuyển giao quyền sử dụng); phương án phân chia kết quả thu được từ thương mại hóa và các nội dung khác. Việc thương mại hóa theo hình thức tự tổ chức kinh doanh dịch vụ, đơn vị tự quyết định phương án kinh doanh dịch vụ;
b) Việc quản lý, sử dụng kết quả thu được từ hoạt động cho thuê, chuyển giao quyền sử dụng, kinh doanh dịch vụ và liên doanh, liên kết không hình thành pháp nhân được thực hiện theo quy định tại khoản 3 Điều này;
c) Cơ quan, tổ chức, đơn vị có trách nhiệm lưu hồ sơ, chứng từ liên quan đến việc sử dụng tài sản vào mục đích cho thuê, chuyển giao quyền sử dụng, kinh doanh dịch vụ và liên doanh, liên kết không hình thành pháp nhân mới để bảo đảm trách nhiệm giải trình với cơ quan chức năng;
d) Cơ quan chức năng khi thực hiện kiểm tra, thanh tra, kiểm toán tại cơ quan, tổ chức, đơn vị thì thực hiện kiểm tra hoạt động sử dụng tài sản vào mục đích cho thuê, chuyển giao quyền sử dụng, kinh doanh dịch vụ và liên doanh, liên kết theo quy định của pháp luật.
3. Kết quả thu được từ việc sử dụng tài sản vào mục đích cho thuê, chuyển giao quyền sử dụng, kinh doanh dịch vụ và liên doanh, liên kết không hình thành pháp nhân mới thực hiện như sau:
a) Việc quản lý, sử dụng kết quả thu được là hiện vật được quy định tại Quy chế quản lý, sử dụng tài sản công của cơ quan, tổ chức, đơn vị. Cơ quan, tổ chức, đơn vị có trách nhiệm quản lý theo pháp luật và theo Quy chế;
b) Kết quả thu được là tiền thì thực hiện quản lý, sử dụng theo quy định tại khoản 4 Điều này.
4. Quản lý, sử dụng số tiền thu được từ việc sử dụng tài sản vào mục đích cho thuê, chuyển giao quyền sử dụng, kinh doanh dịch vụ và số tiền được phân chia từ kết quả liên doanh, liên kết không hình thành pháp nhân mới được hạch toán riêng và kế toán đầy đủ theo quy định của pháp luật về kế toán.
Điều 10. Hướng dẫn về các khoản chi được trừ khi xác định thu nhập chịu thuế thu nhập doanh nghiệp
1. Doanh nghiệp được tính vào chi phí được trừ khi xác định thu nhập chịu thuế thu nhập doanh nghiệp đối với khoản tài trợ (bằng tiền hoặc hiện vật) cho tổ chức, cá nhân để thực hiện nghiên cứu khoa học, phát triển công nghệ và đổi mới sáng tạo theo quy định tại khoản 1 Điều 9 Nghị quyết số 193/2025/QH15.
a) Đối tượng nhận tài trợ quy định tại khoản này bao gồm: Quỹ phát triển khoa học và công nghệ quốc gia, Quỹ phát triển khoa học và công nghệ của bộ, cơ quan ngang bộ, cơ quan thuộc Chính phủ, tỉnh, thành phố trực thuộc trung ương; các tổ chức khoa học và công nghệ được thành lập theo quy định của pháp luật; chuyên gia, nhà khoa học, cá nhân thực hiện nhiệm vụ nghiên cứu khoa học, phát triển công nghệ và đổi mới sáng tạo theo quy định của pháp luật về khoa học, công nghệ và đổi mới sáng tạo; tổ chức có chức năng huy động tài trợ cho nghiên cứu khoa học, phát triển công nghệ và đổi mới sáng tạo được thành lập, hoạt động theo quy định của pháp luật;
b) Hồ sơ xác định khoản chi tài trợ theo quy định tại khoản 1 Điều này bao gồm: Biên bản xác nhận tài trợ hoặc văn bản, tài liệu (hình thức giấy hoặc điện tử) xác nhận khoản chi tài trợ có chữ ký, đóng dấu của người đại diện doanh nghiệp là bên tài trợ và đại diện của bên nhận tài trợ (trong trường hợp là doanh nghiệp); có chữ ký của bên nhận tài trợ trong trường hợp là chuyên gia, nhà khoa học, cá nhân; kèm theo hóa đơn, chứng từ của khoản tài trợ bằng tiền hoặc hiện vật;
c) Bên nhận tài trợ có trách nhiệm sử dụng, phân phối đúng mục đích của khoản tài trợ cho các hoạt động nghiên cứu khoa học, phát triển công nghệ và đổi mới sáng tạo đã tiếp nhận. Trường hợp sử dụng sai mục đích của khoản tài trợ cho các hoạt động nghiên cứu khoa học, phát triển công nghệ và đổi mới sáng tạo bị xử lý theo quy định của pháp luật.
2. Doanh nghiệp được tính vào chi phí được trừ khi xác định thu nhập chịu thuế thu nhập doanh nghiệp đối với khoản chi dành cho nghiên cứu khoa học, phát triển công nghệ và đổi mới sáng tạo trong doanh nghiệp theo quy định tại khoản 1 Điều 9 Nghị quyết số 193/2025/QH15 nếu có đủ hóa đơn, chứng từ theo quy định. Các khoản chi dành cho nghiên cứu khoa học, phát triển công nghệ và đổi mới sáng tạo trong doanh nghiệp bao gồm:
a) Toàn bộ các chi phí phát sinh để thực hiện hoạt động nghiên cứu khoa học và phát triển công nghệ được ghi nhận là chi phí được trừ khi xác định thu nhập chịu thuế thu nhập doanh nghiệp, bao gồm: tiền lương, tiền công và các khoản đóng góp có tính chất lương cho nhân công tham gia thực hiện hoạt động nghiên cứu khoa học và phát triển công nghệ; chi phí nguyên liệu, vật liệu và dịch vụ đã sử dụng trong hoạt động nghiên cứu khoa học và phát triển công nghệ; chi phí thuê, sử dụng các kết quả nghiên cứu; chi phí bản quyền, chuyển quyền sở hữu, quyền sử dụng đối tượng sở hữu công nghiệp; chi phí khấu hao hoặc chi phí thuê máy móc, thiết bị, phòng thí nghiệm, nhà xưởng sử dụng trong hoạt động nghiên cứu khoa học và phát triển công nghệ; chi phí sản xuất thử nghiệm trên quy mô công nghiệp trước khi thương mại hóa; chi phí đào tạo nhân lực cho công nghệ mới ở trong nước và ngoài nước; chi phí tư vấn và đăng ký bảo hộ quyền sở hữu trí tuệ;
b) Toàn bộ các chi phí phát sinh phục vụ hoạt động đổi mới sáng tạo được ghi nhận là chi phí được trừ khi xác định thu nhập chịu thuế thu nhập doanh nghiệp, bao gồm: tiền lương, tiền công và các khoản đóng góp có tính chất lương cho nhân công tham gia thực hiện hoạt động đổi mới sáng tạo; chi phí thuê chuyên gia tư vấn trong và ngoài nước tham gia hoạt động đổi mới sáng tạo; chi phí sử dụng các dịch vụ đổi mới sáng tạo, không gian số, hỗ trợ trực tuyến; chi phí sản xuất thử nghiệm, làm sản phẩm mẫu, hoàn thiện công nghệ, kiểm thử sản phẩm; chi phí tham gia các khóa huấn luyện tập trung ngắn hạn ở trong nước và ngoài nước; chi phí tham gia các hội chợ, triển lãm giới thiệu sản phẩm trong nước và ngoài nước;
c) Chi phí thuê nghiên cứu khoa học, phát triển công nghệ, đổi mới sáng tạo.
Hồ sơ xác định khoản chi thuê nghiên cứu khoa học, phát triển công nghệ, đổi mới sáng tạo bao gồm: Hợp đồng thuê; biên bản bàn giao, nghiệm thu sản phẩm, thanh lý hợp đồng kèm theo các tài liệu, hóa đơn, chứng từ có liên quan.
Điều 11. Hướng dẫn về việc thực hiện khoản thu nhập không chịu thuế thu nhập cá nhân đối với thu nhập từ tiền lương, tiền công từ thực hiện nhiệm vụ khoa học và công nghệ có sử dụng ngân sách nhà nước
1. Không tính vào thu nhập chịu thuế thu nhập cá nhân đối với các khoản thu nhập từ tiền lương, tiền công của cá nhân từ thực hiện nhiệm vụ khoa học và công nghệ sử dụng ngân sách nhà nước.
2. Việc xác định cụ thể tiền lương, tiền công của cá nhân từ thực hiện nhiệm vụ khoa học và công nghệ không tính vào thu nhập chịu thuế thu nhập cá nhân theo quy định tại khoản 1 Điều này thực hiện theo quy định của pháp luật về thuế thu nhập cá nhân.
Chương III
HOẠT ĐỘNG CHUYỂN ĐỔI SỐ QUỐC GIA
Điều 12. Nền tảng số, hệ thống thông tin quy mô quốc gia, quy mô vùng, Trung tâm giám sát, điều hành thông minh
1. Nền tảng số, hệ thống thông tin quy mô quốc gia, quy mô vùng được quy định tại khoản 1 Điều 10 Nghị quyết số 193/2025/QH15 là hệ thống thông tin bao gồm phần cứng, phần mềm và cơ sở dữ liệu được xây dựng, quản lý bởi các bộ, ngành, cơ quan trung ương và cho phép cơ quan tổ chức ở trung ương, địa phương kết nối, tương tác thực hiện chia sẻ dữ liệu, dịch vụ và tài nguyên tính toán trên một hạ tầng thống nhất, liên thông nhằm phục vụ phát triển kinh tế - xã hội quốc gia, vùng.
2. Trung tâm giám sát, điều hành thông minh được quy định tại khoản 2 Điều 10 Nghị quyết số 193/2025/QH15 là hệ thống cho phép tổng hợp tất cả các nguồn thông tin, dữ liệu của bộ, ngành, địa phương trên tất cả các lĩnh vực, cung cấp cái nhìn tổng thể, trực quan hóa theo thời gian thực đối với các đối tượng liên quan, qua đó giúp lãnh đạo các cấp thực hiện giám sát, chỉ đạo, điều hành trực tuyến và dựa trên dữ liệu nhằm tăng cường quản lý công, nâng cao hiệu lực quản trị, hiệu quả điều hành của các cấp chính quyền, nâng cao tương tác giữa chính quyền với người dân, doanh nghiệp; sẵn sàng kết nối, chia sẻ dữ liệu phục vụ chỉ đạo, điều hành trực tuyến của Chính phủ, Thủ tướng Chính phủ theo kịch bản khi có yêu cầu.
Điều 13. Lập kế hoạch vốn đầu tư công hằng năm, quản lý, giải ngân, quyết toán cho các nhiệm vụ, dự án đầu tư các nền tảng số, hệ thống thông tin quy mô quốc gia, quy mô vùng sử dụng vốn đầu tư công nguồn ngân sách nhà nước quy định tại khoản 1 Điều 10 Nghị quyết số 193/2025/QH15
1. Lập kế hoạch vốn đầu tư công hằng năm cho các nhiệm vụ, dự án nền tảng số, hệ thống thông tin quy mô quốc gia, quy mô vùng để các cơ quan, tổ chức của trung ương, địa phương sử dụng, khai thác chung:
Căn cứ chiến lược phát triển, quy hoạch, nhiệm vụ được giao trong lĩnh vực khoa học, công nghệ, đổi mới sáng tạo và chuyển đổi số; hằng năm, các bộ, cơ quan trung ương, địa phương xây dựng kế hoạch đầu tư công nguồn ngân sách nhà nước theo quy định tại pháp luật đầu tư công, pháp luật ngân sách nhà nước cho các nhiệm vụ, dự án. Các bộ, cơ quan trung ương, địa phương chịu trách nhiệm về khả năng giải ngân, về đối tượng đề nghị bố trí vốn, gửi Bộ Tài chính trình cấp có thẩm quyền bố trí đủ nguồn vốn để triển khai thực hiện bảo đảm đúng tiến độ, mục tiêu các nhiệm vụ, dự án.
2. Nguyên tắc quản lý, giải ngân, quyết toán vốn đầu tư công cho các nhiệm vụ, dự án nền tảng số, hệ thống thông tin quy mô quốc gia, quy mô vùng:
a) Chủ đầu tư sử dụng vốn đầu tư công cho các nhiệm vụ, dự án nền tảng số, hệ thống thông tin quy mô quốc gia, quy mô vùng chịu trách nhiệm đối với: nội dung giải ngân cho nhà thầu theo quy định tại Hợp đồng ký giữa nhà thầu và chủ đầu tư hoặc dự toán do cấp có thẩm quyền phê duyệt; quản lý, sử dụng vốn bảo đảm đúng mục đích, đúng đối tượng, tiết kiệm, hiệu quả và phù hợp với tiến độ thực hiện nhiệm vụ, dự án; các hồ sơ giải ngân theo quy định tại Nghị định này gửi Kho bạc Nhà nước. Chủ đầu tư khi đề nghị giải ngân không được vượt dự toán đối với trường hợp tự thực hiện hoặc thực hiện không theo hợp đồng; không được vượt giá trị hợp đồng đối với trường hợp thực hiện theo hợp đồng. Tổng số vốn giải ngân cho nhiệm vụ, dự án không được vượt dự toán của nhiệm vụ, tổng mức đầu tư dự án đã được cấp có thẩm quyền phê duyệt. Số vốn đầu tư công giải ngân trong năm cho các công việc, hạng mục của nhiệm vụ, dự án không vượt vốn kế hoạch trong năm đã bố trí;
b) Kho bạc Nhà nước căn cứ hồ sơ đề nghị giải ngân của chủ đầu tư gửi theo quy định tại Nghị định này, thực hiện giải ngân cho chủ đầu tư bảo đảm không vượt kế hoạch vốn được cấp có thẩm quyền giao. Chủ đầu tư chịu trách nhiệm về nội dung hồ sơ và nội dung chi cho nhiệm vụ, dự án;
c) Cơ quan cấp trên của chủ đầu tư có trách nhiệm kiểm tra, đôn đốc các chủ đầu tư, ban quản lý dự án thuộc phạm vi quản lý thực hiện kế hoạch đầu tư công, sử dụng vốn đầu tư công đúng quy định;
d) Kho bạc Nhà nước và các bộ, cơ quan trung ương, địa phương căn cứ tổng số vốn đã giải ngân trong niên độ ngân sách năm của nhiệm vụ, dự án nền tảng số, hệ thống thông tin quy mô quốc gia, quy mô vùng để tổng hợp, lập báo cáo quyết toán niên độ ngân sách theo chức năng, nhiệm vụ được giao.
3. Hồ sơ giải ngân:
a) Quyết định hoặc văn bản giao nhiệm vụ chuẩn bị đầu tư của cấp có thẩm quyền đối với nhiệm vụ chuẩn bị đầu tư (trừ trường hợp nhiệm vụ chuẩn bị đầu tư đã có trong Quyết định phê duyệt dự án); Quyết định phê duyệt dự án đầu tư của cấp có thẩm quyền đối với thực hiện dự án; Các quyết định hoặc văn bản điều chỉnh (nếu có);
b) Kế hoạch đầu tư công hằng năm của cấp có thẩm quyền giao (trong đó xác định rõ đối tượng là nhiệm vụ, dự án nền tảng số, hệ thống thông tin quy mô quốc gia, quy mô vùng theo Nghị quyết số 193/2025/QH15);
c) Giấy đề nghị giải ngân vốn (Mẫu số 01);
d) Giấy rút vốn (Mẫu số 02).
4. Cách thức giao dịch tại Kho bạc Nhà nước:
a) Cách thức gửi hồ sơ:
Gửi hồ sơ và nhận kết quả trực tiếp tại trụ sở Kho bạc Nhà nước;
Gửi hồ sơ và nhận kết quả qua Trang thông tin dịch vụ công của Kho bạc Nhà nước trong trường hợp đơn vị có tham gia giao dịch điện tử với Kho bạc Nhà nước (đơn vị truy cập và thực hiện theo hướng dẫn trên Trang thông tin dịch vụ công của Kho bạc Nhà nước).
b) Trình tự thực hiện:
Trường hợp giao dịch trực tiếp tại Kho bạc Nhà nước;
Chủ đầu tư hoặc ban quản lý dự án lập và gửi hồ sơ tới Kho bạc Nhà nước nơi giao dịch;
Kho bạc Nhà nước tiếp nhận, trường hợp đầy đủ hồ sơ giải ngân theo quy định tại Nghị định này, Kho bạc Nhà nước làm thủ tục giải ngân cho đối tượng thụ hưởng theo đề nghị của chủ đầu tư hoặc ban quản lý dự án trong 01 ngày làm việc; đồng thời, gửi đơn vị 01 liên chứng từ giấy (chứng từ báo nợ) để xác nhận đã thực hiện giải ngân. Trường hợp hồ sơ giải ngân không đảm bảo theo quy định tại Nghị định này, Kho bạc Nhà nước lập thông báo từ chối giải ngân khoản chi ngân sách nhà nước (trong đó nêu rõ lý do từ chối) bằng văn bản giấy gửi đơn vị trong 01 ngày làm việc.
Trường hợp giao dịch trực tuyến qua Trang thông tin dịch vụ công của Kho bạc Nhà nước:
Chủ đầu tư hoặc ban quản lý dự án lập và gửi hồ sơ qua Trang thông tin dịch vụ công của Kho bạc Nhà nước;
Kho bạc Nhà nước tiếp nhận, trường hợp đầy đủ hồ sơ giải ngân theo quy định tại Nghị định này, Kho bạc Nhà nước làm thủ tục giải ngân cho đối tượng thụ hưởng theo đề nghị của chủ đầu tư hoặc ban quản lý dự án trong 01 ngày làm việc; đồng thời, gửi đơn vị 01 liên chứng từ giấy (chứng từ báo nợ) để xác nhận đã thực hiện giải ngân. Trường hợp hồ sơ giải ngân không đảm bảo theo quy định tại Nghị định này, Kho bạc Nhà nước lập thông báo từ chối giải ngân khoản chi ngân sách nhà nước (trong đó nêu rõ lý do từ chối) cho đơn vị qua Trang thông tin dịch vụ công của Kho bạc Nhà nước trong 01 ngày làm việc.
c) Số lượng hồ sơ:
Số lượng của từng thành phần hồ sơ theo quy định tại Nghị định này là 01 bản (bản gốc, bản chính hoặc bản sao y). Riêng giấy rút vốn là 02 bản gốc (trường hợp thực hiện khấu trừ thuế giá trị gia tăng hoặc trường hợp đơn vị giao dịch và nhà cung cấp hàng hóa, dịch vụ cùng mở tài khoản tại một đơn vị Kho bạc Nhà nước thì bổ sung thêm 01 bản gốc tương ứng với mỗi trường hợp); giấy đề nghị giải ngân vốn đầu tư là 02 bản gốc.
Đối với trường hợp gửi hồ sơ qua Trang thông tin dịch vụ công của Kho bạc Nhà nước, các thành phần hồ sơ phải được ký chữ ký số theo quy định.
5. Quyết toán vốn đầu tư công hằng năm và quyết toán dự án hoàn thành:
a) Đối với các dự án nền tảng số, sử dụng vốn đầu tư công được giao hằng năm và quyết toán dự án hoàn thành: Thực hiện theo quy định về quyết toán vốn đầu tư công hằng năm, quyết toán dự án hoàn thành tại Nghị định số 99/2021/NĐ-CP ngày 11 tháng 11 năm 2021 của Chính phủ quy định về quản lý, thanh toán, quyết toán dự án sử dụng vốn đầu tư công (sau đây gọi tắt là Nghị định số 99/2021/NĐ-CP);
b) Trường hợp Kiểm toán nhà nước, cơ quan thanh tra thực hiện kiểm toán, thanh tra và phát hành báo cáo kiểm toán, kết luận thanh tra có đủ nội dung quy định tại Điều 37 Nghị định Số 99/2021/NĐ-CP: Chủ đầu tư căn cứ báo cáo kiểm toán, kết luận thanh tra lập báo cáo quyết toán dự án hoàn thành, trình người có thẩm quyền quyết định phê duyệt quyết toán vốn đầu tư dự án hoàn thành; không yêu cầu thẩm tra trước khi phê duyệt quyết toán.
c) Trường hợp Kiểm toán nhà nước, cơ quan thanh tra thực hiện kiểm toán, thanh tra và phát hành báo cáo kiểm toán, kết luận thanh tra chưa đủ nội dung quy định tại Điều 37 Nghị định số 99/2021/NĐ-CP: Việc quyết toán vốn đầu tư dự án hoàn thành thực hiện theo quy định Nghị định số 99/2021/NĐ-CP.
6. Nhiệm vụ, quyền hạn và trách nhiệm của cơ quan chủ quản của chủ đầu tư, chủ đầu tư và ban quản lý dự án trong quản lý, giải ngân, quyết toán vốn đầu tư công:
a) Cơ quan chủ quản của chủ đầu tư chịu trách nhiệm hướng dẫn, kiểm tra việc sử dụng vốn đối với các nhiệm vụ, dự án.
b) Chủ đầu tư, ban quản lý dự án:
Chịu trách nhiệm về việc quản lý và sử dụng vốn đảm bảo đúng mục đích, đúng đối tượng và nội dung giải ngân cho nhiệm vụ, dự án; khối lượng, chất lượng, hiệu quả và tính chính xác của giá trị đề nghị giải ngân của nhiệm vụ, dự án theo quy định tại Hợp đồng ký giữa nhà thầu và chủ đầu tư hoặc dự toán do cấp có thẩm quyền phê duyệt; hồ sơ giải ngân cung cấp cho Kho bạc Nhà nước và các cơ quan quản lý nhà nước về quản lý, thanh toán vốn đầu tư công.
Chịu sự kiểm tra của cơ quan tài chính các cấp và cơ quan quyết định đầu tư về quản lý, giải ngân, quyết toán nhiệm vụ, dự án sử dụng vốn đầu tư công.
Thực hiện kế toán đơn vị chủ đầu tư. Hết năm ngân sách, lập bảng đối chiếu số liệu giải ngân vốn đầu tư công hàng năm đối với từng nhiệm vụ, dự án gửi Kho bạc Nhà nước nơi giao dịch trước ngày 10 tháng 02 năm sau để xác nhận.
Thu hồi để nộp về ngân sách nhà nước số vốn đã giải ngân thừa khi dự án hoàn thành được phê duyệt quyết toán có số vốn được quyết toán thấp hơn số vốn đã giải ngân cho nhiệm vụ, dự án. Giải ngân tiếp cho nhà thầu hoặc nhà cung cấp theo giá trị quyết toán được phê duyệt khi có kế hoạch vốn trong trường hợp số vốn được quyết toán cao hơn số vốn đã giải ngân cho nhiệm vụ, dự án.
7. Trách nhiệm của Kho bạc Nhà nước:
Kho bạc Nhà nước thực hiện giải ngân cho các nhiệm vụ, dự án nền tảng số, hệ thống thông tin quy mô quốc gia, quy mô vùng trong phạm vi dự toán được cấp có thẩm quyền giao và hồ sơ đề nghị giải ngân của chủ đầu tư đảm bảo đầy đủ theo quy định tại Nghị định này. Kho bạc Nhà nước được quyền từ chối giải ngân các khoản chi không đúng quy định tại Nghị định này.
8. Trường hợp thực hiện lập kế hoạch vốn đầu tư công hằng năm, quản lý, giải ngân, quyết toán vốn đầu tư công nguồn ngân sách nhà nước để đầu tư các nền tảng số, hệ thống thông tin quy mô quốc gia, quy mô vùng gặp khó khăn, vướng mắc, Bộ Tài chính có trách nhiệm hướng dẫn đối tượng liên quan thực hiện.
9. Các nội dung quy định tại Điều này không áp dụng đối với nhiệm vụ, dự án đầu tư các nền tảng số, hệ thống thông tin quy mô quốc gia, quy mô vùng sử dụng vốn đầu tư công nguồn ngân sách nhà nước thuộc nhiệm vụ, dự án đầu tư công bí mật nhà nước do Thủ tướng Chính phủ quyết định chủ trương đầu tư, dự án đầu tư công tối mật, dự án đầu tư công tuyệt mật của Bộ Quốc phòng, Bộ Công an.
Điều 14. Chỉ định thầu các gói thầu quy định tại khoản 2 Điều 10 Nghị quyết số 193/2025/QH15
1. Sau khi Bộ trưởng, Thủ trưởng cơ quan ngang bộ, cơ quan thuộc Chính phủ, cơ quan khác ở trung ương, Chủ tịch Ủy ban nhân dân cấp tỉnh quyết định danh mục các gói thầu được áp dụng hình thức chỉ định thầu đối với các gói thầu được quy định tại khoản 2 Điều 10 Nghị quyết số 193/2025/QH15, chủ đầu tư, cơ quan chuẩn bị dự án trình người có thẩm quyền phê duyệt kế hoạch lựa chọn nhà thầu theo quy định của Luật Đấu thầu, trong đó nêu rõ quy trình chỉ định thầu thông thường hoặc quy trình chỉ định thầu rút gọn theo quy định tại khoản 3 Điều này. Việc thực hiện chỉ định thầu đối với gói thầu quy định tại Điều này phải đáp ứng đủ các điều kiện chỉ định thầu quy định tại khoản 3 Điều 23 Luật Đấu thầu và các quy định sửa đổi, bổ sung (nếu có).
Trường hợp Bộ trưởng, Thủ trưởng cơ quan ngang bộ, cơ quan thuộc Chính phủ, cơ quan khác ở trung ương, Chủ tịch Ủy ban nhân dân cấp tỉnh là người có thẩm quyền phê duyệt kế hoạch lựa chọn nhà thầu thì không phải thực hiện phê duyệt danh mục các gói thầu được áp dụng hình thức chỉ định thầu theo quy định tại khoản này.
2. Đối với các gói thầu được quy định tại khoản 2 Điều 10 Nghị quyết số 193/2025/QH15 nhưng không áp dụng hình thức chỉ định thầu thì chủ đầu tư, cơ quan chuẩn bị dự án trình Bộ trưởng, Thủ trưởng cơ quan ngang bộ, cơ quan thuộc Chính phủ, cơ quan khác ở trung ương, Chủ tịch Ủy ban nhân dân cấp tỉnh quyết định áp dụng hình thức khác.
3. Đối với các gói thầu tư vấn thuộc quy định tại khoản 2 Điều 10 Nghị quyết số 193/2025/QH15 được áp dụng quy trình chỉ định thầu rút gọn quy định tại khoản 3 Điều 78 Nghị định số 24/2024/NĐ-CP ngày 27 tháng 02 năm 2024 của Chính phủ quy định chi tiết một số điều và biện pháp thi hành Luật Đấu thầu về lựa chọn nhà thầu (sau đây gọi tắt là Nghị định số 24/2024/NĐ-CP) và các quy định sửa đổi, bổ sung (nếu có). Đối với các gói thầu khác thuộc quy định tại khoản 2 Điều 10 Nghị quyết số 193/2025/QH15 được lựa chọn quy trình chỉ định thầu quy định tại Điều 76, Điều 77, khoản 3 Điều 78 Nghị định số 24/2024/NĐ-CP và các quy định sửa đổi, bổ sung (nếu có) phù hợp với quy mô, tính chất của gói thầu.
4. Đối với các gói thầu thuộc quy định tại khoản 2 Điều 10 Nghị quyết số 193/2025/QH15 nhưng đã thuộc các trường hợp được chỉ định thầu theo quy định tại Điều 23 Luật Đấu thầu thì thực hiện theo quy định của pháp luật về đấu thầu mà không phải báo cáo Bộ trưởng, Thủ trưởng cơ quan ngang bộ, cơ quan thuộc Chính phủ, cơ quan khác ở trung ương, Chủ tịch Ủy ban nhân dân cấp tỉnh theo quy định tại khoản 1 Điều này.
5. Căn cứ quy mô, tính chất của gói thầu, chủ đầu tư, cơ quan chuẩn bị dự án được chỉnh sửa các tiêu chí đánh giá về năng lực, kinh nghiệm, kỹ thuật trong mẫu hồ sơ yêu cầu để bảo đảm lựa chọn được nhà thầu có giải pháp khả thi thực hiện gói thầu.
6. Bộ Khoa học và Công nghệ phối hợp với Bộ Tài chính kiểm tra, đôn đốc việc áp dụng chính sách này tại các bộ, ngành, địa phương.
Điều 15. Điều kiện, căn cứ hỗ trợ tài chính cho doanh nghiệp viễn thông triển khai nhanh hạ tầng mạng 5G
1. Doanh nghiệp viễn thông được hỗ trợ theo quy định tại Điều 11 Nghị quyết số 193/2025/QH15 khi đáp ứng các điều kiện sau:
a) Doanh nghiệp viễn thông đã hoàn thành triển khai tối thiểu 20.000 trạm phát sóng 5G trên toàn quốc (tất cả các tỉnh, thành phố trực thuộc trung ương) được nghiệm thu đưa vào sử dụng trong khoảng thời gian từ ngày 19 tháng 02 năm 2025 đến hết ngày 31 tháng 12 năm 2025;
b) Trạm 5G lắp đặt tại các vị trí hạ tầng sẵn có hoặc được triển khai mới. Mỗi trạm 5G chỉ được tính cho một nhà mạng duy nhất;
c) Trạm 5G được lắp đặt ngoài trời (outdoor), sử dụng các thiết bị 64T64R, 32T32R, 16T16R, 8T8R, 4T4R. Mỗi trạm có từ 1 khối thu phát vô tuyến trở lên;
d) Doanh nghiệp viễn thông đã đề xuất kế hoạch và dự toán kinh phí hỗ trợ triển khai nhanh hạ tầng mạng 5G với Bộ Khoa học và Công nghệ theo quy định tại khoản 2 Điều này.
2. Đề xuất kế hoạch của doanh nghiệp viễn thông triển khai nhanh hạ tầng mạng 5G
Trong vòng 30 ngày kể từ ngày Nghị định này có hiệu lực thi hành, doanh nghiệp gửi văn bản đề xuất kế hoạch và dự toán kinh phí hỗ trợ triển khai nhanh hạ tầng mạng 5G kèm theo Kế hoạch triển khai hạ tầng mạng 5G trong năm 2025 của doanh nghiệp theo Mẫu số 03 tại Phụ lục ban hành kèm theo Nghị định này.
3. Căn cứ hỗ trợ doanh nghiệp triển khai nhanh hạ tầng mạng 5G:
a) Quyết định của Bộ trưởng Bộ Khoa học và Công nghệ công nhận kết quả triển khai nhanh hạ tầng mạng 5G cho doanh nghiệp đủ điều kiện được hỗ trợ tài chính;
b) Quyết định của Bộ trưởng Bộ Khoa học và Công nghệ về chi phí thiết bị bình quân cho một trạm phát sóng 5G được mua trong năm 2025 của các doanh nghiệp viễn thông được hỗ trợ, được xác định theo từng chủng loại và xuất xứ hàng hóa của nhà sản xuất (nước phát triển hoặc nước đang phát triển);
c) Quyết định của Thủ tướng Chính phủ phê duyệt hỗ trợ tài chính cho doanh nghiệp đủ điều kiện được hỗ trợ tài chính triển khai nhanh hạ tầng mạng 5G;
d) Đã bố trí dự toán chi ngân sách nhà nước hỗ trợ triển khai nhanh hạ tầng mạng 5G theo quy định của pháp luật về ngân sách nhà nước.
Điều 16. Xác định chi phí thiết bị bình quân cho một trạm phát sóng 5G được mua trong năm 2025 của các doanh nghiệp viễn thông được hỗ trợ
1. Căn cứ xác định chi phí thiết bị bình quân trạm phát sóng 5G:
a) Số lượng trạm phát sóng 5G theo từng cấu hình đã triển khai và nghiệm thu đưa vào sử dụng từ ngày 19 tháng 02 năm 2025 đến hết ngày 31 tháng 12 năm 2025 đã được Bộ Khoa học và Công nghệ công nhận đủ điều kiện được tính hỗ trợ tài chính; Báo cáo số lượng trạm phát sóng 5G thực hiện theo Mẫu số 04 tại Phụ lục ban hành kèm theo Nghị định này;
b) Quyết định của người có thẩm quyền (theo phân cấp quản lý đối với doanh nghiệp) phê duyệt quyết toán công trình 5G hoặc phê duyệt quyết toán đầu tư hạ tầng mạng 5G của doanh nghiệp (đã được kiểm toán theo quy định của pháp luật), trong đó có nội dung quyết toán giá trị thiết bị vô tuyến trạm phát sóng 5G được mua trong năm 2025, kèm theo Bảng kê giá trị thiết bị đã đầu tư từng trạm phát sóng 5G theo từng cấu hình và xuất xứ hàng hóa của nhà sản xuất (nước phát triển hoặc nước đang phát triển). Bảng kê giá trị thiết bị được lập theo Mẫu số 04 tại Phụ lục ban hành kèm theo Nghị định này;
c) Doanh nghiệp viễn thông có trách nhiệm báo cáo Bộ Khoa học và Công nghệ theo quy định tại điểm a, điểm b khoản này. Thời gian báo cáo chậm nhất ngày 30 tháng 6 năm 2026.

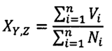
XY,Z: Chi phí bình quân thiết bị của trạm phát sóng 5G theo cấu hình Y thuộc xuất xứ hàng hóa của nhà sản xuất Z
Vi: Tổng giá trị mua thiết bị trạm phát sóng 5G cấu hình Y thuộc xuất xứ hàng hóa Z của doanh nghiệp thứ i.
Ni: Tổng số trạm phát sóng 5G cấu hình Y thuộc xuất xứ hàng hóa của nhà sản xuất Z của doanh nghiệp thứ i.
n : Số lượng doanh nghiệp được hỗ trợ.
Y là cấu hình của trạm phát sóng 5G thuộc xuất xứ hàng hóa của nhà sản xuất Z, bao gồm: 4T4R, 8T8R, 16T16R, 32T32R, 64T64R.
Z là xuất xứ hàng hóa của nhà sản xuất: nước phát triển hoặc nước đang phát triển.
Trạm phát sóng 5G trong công thức là các trạm được mua trong năm 2025.
Thiết bị trạm phát sóng 5G gồm thiết bị vô tuyến.
3. Trên cơ sở báo cáo của doanh nghiệp, Bộ Khoa học và Công nghệ xác định và ban hành quyết định về chi phí thiết bị bình quân trạm phát sóng 5G từng loại cấu hình và xuất xứ hàng hóa của nhà sản xuất (nước phát triển hoặc nước đang phát triển).
Thời gian ban hành quyết định về chi phí thiết bị bình quân trạm phát sóng 5G từng loại cấu hình và xuất xứ hàng hóa của nhà sản xuất (nước phát triển hoặc nước đang phát triển) trong vòng 45 ngày kể từ ngày nhận được đủ báo cáo kết quả triển khai nhanh hạ tầng mạng 5G của các doanh nghiệp đủ điều kiện được hỗ trợ tài chính theo quy định tại khoản 4 Điều này.
4. Báo cáo kết quả triển khai nhanh hạ tầng mạng 5G của doanh nghiệp bao gồm:
a) Văn bản đề nghị công nhận kết quả triển khai nhanh hạ tầng mạng 5G đủ điều kiện được hỗ trợ tài chính kèm theo Danh sách các trạm phát sóng 5G theo từng cấu hình và xuất xứ hàng hóa của nhà sản xuất (nước phát triển hoặc nước đang phát triển) đã triển khai và nghiệm thu đưa vào sử dụng từ ngày 19 tháng 02 năm 2025 đến hết ngày 31 tháng 12 năm 2025 theo Mẫu số 04 tại Phụ lục ban hành kèm theo Nghị định này;
b) Tài liệu, báo cáo theo quy định tại điểm b khoản 1 Điều này;
c) Doanh nghiệp chịu trách nhiệm trước pháp luật về tính chính xác, trung thực, đầy đủ của thông tin, số liệu, tài liệu đã báo cáo cơ quan nhà nước.
5. Xác định số tiền hỗ trợ cho doanh nghiệp đã hoàn thành triển khai nhanh hạ tầng mạng 5G:
a) Trên cơ sở báo cáo của doanh nghiệp tại khoản 4 Điều này, Bộ Khoa học và Công nghệ rà soát và ban hành Quyết định công nhận kết quả triển khai nhanh hạ tầng mạng 5G cho doanh nghiệp đủ điều kiện được hỗ trợ tài chính;
Số tiền hỗ trợ HT cho doanh nghiệp viễn thông đối với các trạm phát sóng 5G mà doanh nghiệp đó đã triển khai được tính theo công thức sau:
HT = 15% x ∑(XY,Z x SY,Z)
XY,Z: Chi phí bình quân thiết bị của trạm phát sóng 5G được xác định theo cấu hình Y của trạm và xuất xứ hàng hóa của nhà sản xuất Z (nước phát triển hoặc nước đang phát triển).SY,Z là số trạm phát sóng theo cấu hình Y của trạm và xuất xứ hàng hóa của nhà sản xuất Z (nước phát triển hoặc nước đang phát triển) đã được nghiệm thu và đưa vào sử dụng trong khoảng thời gian từ ngày 19 tháng 02 năm 2025 đến hết ngày 31 tháng 12 năm 2025.
Trường hợp chi phí bình quân thiết bị trạm phát sóng 5G (XY,Z) của doanh nghiệp xét hỗ trợ nhỏ hơn chi phí bình quân thiết bị trạm phát sóng 5G (XY,Z) chung của tất cả doanh nghiệp được hỗ trợ thì mức hỗ trợ đối với doanh nghiệp theo mức bình quân thiết bị của trạm phát sóng 5G của doanh nghiệp đó.
Trường hợp chi phí bình quân thiết bị trạm phát sóng 5G XY,Z của doanh nghiệp xét hỗ trợ lớn hơn chi phí bình quân thiết bị trạm phát sóng 5G XY,Z chung của tất cả doanh nghiệp được hỗ trợ thì mức hỗ trợ đối với doanh nghiệp đó theo mức bình quân thiết bị của trạm phát sóng 5G của tất cả các doanh nghiệp.
Điều 17. Lập dự toán, thực hiện dự toán, quyết toán kinh phí hỗ trợ tài chính cho doanh nghiệp triển khai nhanh hạ tầng 5G
1. Ngân sách nhà nước hỗ trợ tài chính cho doanh nghiệp triển khai nhanh hạ tầng mạng 5G từ nguồn chi đầu tư phát triển khác của ngân sách trung ương. Việc lập dự toán, thực hiện và quyết toán kinh phí hỗ trợ tài chính triển khai nhanh hạ tầng 5G được thực hiện theo quy định tại khoản 2, 3 và 4 Điều này.
2. Lập dự toán kinh phí hỗ trợ tài chính triển khai nhanh hạ tầng 5G:
a) Trên cơ sở đề xuất kế hoạch, dự toán của doanh nghiệp quy định tại khoản 2 Điều 15 Nghị định này, Bộ Khoa học và Công nghệ rà soát, tổng hợp dự toán kinh phí hỗ trợ tài chính cho doanh nghiệp triển khai nhanh hạ tầng 5G gửi Bộ Tài chính trước ngày 15 tháng 7 hàng năm. Trong đó, chi phí thiết bị bình quân trạm phát sóng 5G theo từng loại cấu hình và xuất xứ hàng hoá của nhà sản xuất để lập dự toán được lấy theo đề xuất của doanh nghiệp;
b) Trên cơ sở đề xuất của Bộ Khoa học và Công nghệ tại điểm a khoản 2 Điều này, Bộ Tài chính tổng hợp dự toán của ngân sách trung ương hỗ trợ cho doanh nghiệp triển khai nhanh hạ tầng mạng 5G. Tổng số tiền bố trí dự toán chi ngân sách nhà nước thực hiện nhiệm vụ này không vượt quá tổng số tiền trúng đấu giá của các cuộc đấu giá quyền sử dụng tần số vô tuyến điện đã được Bộ Thông tin và Truyền thông (nay là Bộ Khoa học và Công nghệ) phê duyệt kết quả trúng đấu giá trong năm 2024. Đơn vị được đề nghị giao dự toán là Bộ Khoa học và Công nghệ.
3. Thực hiện dự toán:
a) Căn cứ dự toán chi ngân sách nhà nước được Thủ tướng Chính phủ giao, Bộ Khoa học và Công nghệ có trách nhiệm tổ chức thực hiện dự toán theo thẩm quyền;
b) Hồ sơ Bộ Khoa học và Công nghệ giải ngân kinh phí hỗ trợ cho doanh nghiệp triển khai nhanh hạ tầng mạng 5G gửi Kho bạc Nhà nước bao gồm:
Dự toán ngân sách được cấp có thẩm quyền phê duyệt;
Quyết định của Thủ tướng Chính quy định tại điểm c khoản 3 Điều 15 Nghị định này;
Chứng từ chuyển tiền (Giấy rút dự toán ngân sách nhà nước - thực chi).
c) Kho bạc Nhà nước thực hiện kiểm tra đảm bảo có trong dự toán và mức hỗ trợ theo Quyết định của Thủ tướng Chính phủ, thực hiện thanh toán cho doanh nghiệp trong thời gian 02 ngày làm việc.
4. Quyết toán kinh phí hỗ trợ tài chính để triển khai nhanh hạ tầng 5G: Hằng năm, Bộ Khoa học và Công nghệ lập báo cáo quyết toán kinh phí đã hỗ trợ doanh nghiệp triển khai nhanh hạ tầng mạng 5G, gửi Bộ Tài chính theo quy định.
Điều 18. Quản lý sử dụng kinh phí ngân sách nhà nước và kế toán hỗ trợ doanh nghiệp triển khai nhanh hạ tầng 5G
1. Kinh phí ngân sách nhà nước hỗ trợ tài chính cho các doanh nghiệp triển khai nhanh hạ tầng mạng 5G đáp ứng điều kiện hỗ trợ tài chính theo quy định tại Nghị quyết số 193/2025/QH15 và Nghị định này là khoản hỗ trợ tài chính không hình thành tài sản nhà nước tại doanh nghiệp.
2. Doanh nghiệp thực hiện hạch toán khoản hỗ trợ tài chính quy định tại khoản 1 Điều này theo quy định của pháp luật về kế toán doanh nghiệp. Trường hợp hạch toán có vướng mắc, Bộ Tài chính có trách nhiệm hướng dẫn doanh nghiệp thực hiện.
Điều 19. Trách nhiệm kiểm tra, giám sát; xử lý bồi hoàn chi phí đối với doanh nghiệp trong việc đề nghị hỗ trợ tài chính
1. Bộ Khoa học và Công nghệ chịu trách nhiệm lập đoàn kiểm tra thực tế nếu có dấu hiệu doanh nghiệp báo cáo chưa chính xác về số lượng trạm phát sóng 5G đã triển khai trong hồ sơ đề nghị hỗ trợ tài chính.
2. Các trường hợp doanh nghiệp phải thực hiện bồi hoàn chi phí hỗ trợ tài chính để triển khai nhanh hạ tầng mạng 5G:
a) Không đáp ứng điều kiện quy định tại khoản 1 Điều 15 Nghị định này khi được cơ quan có thẩm quyền thanh tra, kiểm tra thực tế theo quy định;
b) Giả mạo hồ sơ, sử dụng chứng từ bất hợp pháp; báo cáo, kê khai không chính xác thông tin, số liệu dẫn đến việc xác định số tiền hỗ trợ tài chính được hưởng cao hơn mức thực tế đáp ứng.
3. Ngoài việc xử lý theo quy định của pháp luật, doanh nghiệp vi phạm các trường hợp quy định tại khoản 2 Điều này còn phải thực hiện bồi hoàn chi phí hỗ trợ tài chính triển khai nhanh hạ tầng mạng 5G như sau:
a) Trường hợp doanh nghiệp không hoàn thành mục tiêu 20.000 trạm phát sóng 5G đáp ứng điều kiện quy định tại khoản 1 Điều 15 Nghị định này, doanh nghiệp phải nộp trả lại ngân sách nhà nước toàn bộ số tiền đã được hỗ trợ, đồng thời nộp vào ngân sách nhà nước số tiền phạt bằng số kinh phí tính theo lãi suất tiền vay bình quân của các ngân hàng thương mại nhà nước cùng thời điểm. Số tiền phạt vi phạm tính từ thời điểm doanh nghiệp nhận kinh phí hỗ trợ đến thời điểm nộp phạt;
b) Trường hợp doanh nghiệp hoàn thành vượt mục tiêu 20.000 trạm phát sóng 5G và đáp ứng điều kiện quy định tại khoản 1 Điều 15 Nghị định này, nhưng trong đó có số lượng trạm phát sóng 5G không đáp ứng điều kiện khi kiểm tra thực tế, doanh nghiệp phải nộp trả lại ngân sách nhà nước số tiền đã được hỗ trợ tương ứng với số tiền nhận hỗ trợ đối với các trạm phát sóng 5G không đáp ứng điều kiện theo quy định; đồng thời doanh nghiệp phải nộp ngân sách nhà nước số tiền phạt vi phạm tính trên số tiền đã nhận hỗ trợ đối với các trạm phát sóng 5G không đủ điều kiện và lãi suất tiền vay bình quân của ngân hàng thương mại nhà nước cùng thời điểm, số phạt vi phạm tính từ thời điểm doanh nghiệp nhận kinh phí hỗ trợ đến thời điểm nộp phạt;
c) Bộ Khoa học và Công nghệ có trách nhiệm xác định số tiền doanh nghiệp phải nộp bồi hoàn chi phí hỗ trợ tài chính triển khai nhanh hạ tầng mạng 5G sau khi có kết quả thanh tra, kiểm tra thực tế việc triển khai hạ tầng mạng 5G của doanh nghiệp theo quy định của pháp luật và quy định tại Nghị định này;
d) Thời hạn doanh nghiệp phải nộp trả tiền vi phạm vào ngân sách nhà nước quy định tại điểm a và điểm b khoản này trong thời hạn 30 ngày kể từ ngày có quyết định của Bộ Khoa học và Công nghệ xác định doanh nghiệp phải nộp bồi hoàn chi phí hỗ trợ tài chính triển khai nhanh hạ tầng mạng 5G.
Điều 20. Triển khai thí điểm có kiểm soát dịch vụ viễn thông sử dụng công nghệ vệ tinh quỹ đạo tầm thấp
1. Bộ Khoa học và Công nghệ chủ trì, phối hợp với Bộ Quốc phòng, Bộ Công an xem xét trình Thủ tướng Chính phủ quyết định việc thí điểm theo từng đề án cụ thể.
2. Bộ Quốc phòng, Bộ Công an chủ trì đề xuất các yêu cầu về bảo đảm quốc phòng, an ninh và phối hợp với Bộ Khoa học và Công nghệ đề xuất các yêu cầu, điều kiện cần thiết khác nhằm bảo đảm lợi ích quốc gia theo phạm vi quản lý nhà nước của mình theo từng đề án thí điểm gửi Bộ Khoa học và Công nghệ tổng hợp báo cáo Thủ tướng Chính phủ quyết định việc thí điểm.
3. Điều kiện về triển khai mạng viễn thông đối với giấy phép cung cấp dịch vụ viễn thông có hạ tầng mạng cấp cho doanh nghiệp thí điểm bao gồm: các điều kiện về triển khai mạng viễn thông được quy định tại Nghị định số 163/2024/NĐ-CP ngày 24 tháng 12 năm 2024 của Chính phủ quy định chi tiết một số điều và biện pháp thi hành Luật Viễn thông tương ứng theo giấy phép và các yêu cầu, điều kiện thí điểm do Thủ tướng Chính phủ quyết định theo quy định tại khoản 2 Điều 13 Nghị quyết số 193/2025/QH15.
Điều 21. Quy định chung về cấp phép và hồ sơ đề nghị cấp, sửa đổi, bổ sung nội dung giấy phép sử dụng tần số và thiết bị vô tuyến điện đối với doanh nghiệp được triển khai thí điểm có kiểm soát dịch vụ viễn thông sử dụng công nghệ vệ tinh quỹ đạo tầm thấp
1. Doanh nghiệp đề nghị cấp, sửa đổi, bổ sung nội dung giấy phép sử dụng tần số và thiết bị vô tuyến điện chịu trách nhiệm trước pháp luật về tính chính xác, tính hợp pháp của các tài liệu và nội dung kê khai trong hồ sơ.
2. Khi giấy phép còn hiệu lực, doanh nghiệp có nhu cầu sửa đổi, bổ sung một số nội dung trong giấy phép (trừ thời hạn sử dụng) phải làm hồ sơ đề nghị theo đúng quy định.
3. Sau 30 ngày kể từ ngày Bộ Khoa học và Công nghệ (Cục Tần số vô tuyến điện) gửi thông báo bổ sung, hoàn thiện hồ sơ đề nghị cấp giấy phép, nếu doanh nghiệp không thực hiện thì bị huỷ hồ sơ đề nghị cấp giấy phép.
4. Doanh nghiệp gửi hồ sơ đề nghị cấp, sửa đổi, bổ sung nội dung giấy phép qua một trong các phương thức sau: nộp hồ sơ qua hệ thống dịch vụ công trực tuyến hoặc nộp hồ sơ qua đường bưu chính hoặc nộp hồ sơ trực tiếp.
5. Kết quả giải quyết hồ sơ đề nghị cấp, sửa đổi, bổ sung nội dung giấy phép được gửi tới doanh nghiệp qua một trong các phương thức sau: trả kết quả qua hệ thống dịch vụ công trực tuyến hoặc qua phương thức điện tử hoặc qua đường bưu chính hoặc trả trực tiếp.
Điều 22. Trình tự, thủ tục giải quyết hồ sơ đề nghị cấp, sửa đổi, bổ sung nội dung giấy phép sử dụng tần số và thiết bị vô tuyến điện đối với doanh nghiệp được triển khai thí điểm có kiểm soát dịch vụ viễn thông sử dụng công nghệ vệ tinh quỹ đạo tầm thấp
1. Hồ sơ đề nghị cấp, sửa đổi, bổ sung nội dung giấy phép gồm Bản khai đề nghị cấp giấy phép sử dụng tần số và thiết bị vô tuyến điện theo Mẫu số 05 quy định tại Phụ lục ban hành kèm theo Nghị định này.
2. Doanh nghiệp nộp 01 bộ hồ sơ đề nghị cấp, sửa đổi, bổ sung nội dung giấy phép đến Bộ Khoa học và Công nghệ (Cục Tần số vô tuyến điện).
3. Bộ Khoa học và Công nghệ (Cục Tần số vô tuyến điện) tiếp nhận, kiểm tra tính hợp lệ của hồ sơ. Trường hợp hồ sơ chưa đầy đủ, chưa đúng quy định thì trong thời hạn 05 ngày làm việc kể từ ngày nhận được hồ sơ, Bộ Khoa học và Công nghệ (Cục Tần số vô tuyến điện) thông báo, hướng dẫn doanh nghiệp bổ sung, hoàn thiện hồ sơ.
4. Trong thời hạn 14 ngày kể từ ngày nhận đủ hồ sơ hợp lệ, Bộ Khoa học và Công nghệ (Cục Tần số vô tuyến điện) cấp, sửa đổi, bổ sung nội dung giấy phép theo Mẫu số 06 quy định tại Phụ lục ban hành kèm theo Nghị định này hoặc từ chối cấp, sửa đổi, bổ sung nội dung giấy phép và nêu rõ lý do.
Điều 23. Thu hồi giấy phép sử dụng tần số và thiết bị vô tuyến điện đối với doanh nghiệp được triển khai thí điểm có kiểm soát dịch vụ viễn thông sử dụng công nghệ vệ tinh quỹ đạo tầm thấp
1. Doanh nghiệp bị thu hồi giấy phép trong các trường hợp sau:
a) Các trường hợp quy định tại các điểm a, b, c, d, đ, e và g khoản 1 Điều 23 Luật Tần số vô tuyến điện, được sửa đổi, bổ sung tại điểm a khoản 10 Điều 1 Luật sửa đổi, bổ sung một số điều của Luật Tần số vô tuyến điện;
b) Các trường hợp phải chấm dứt thí điểm quy định tại Quyết định của Thủ tướng Chính phủ về việc thí điểm có kiểm soát triển khai dịch vụ viễn thông sử dụng công nghệ vệ tinh Quỹ đạo tầm thấp theo khoản 2 Điều 13 Nghị quyết số 193/2025/QH15 về thí điểm một số cơ chế, chính sách đặc biệt tạo đột phá phát triển khoa học, công nghệ, đổi mới sáng tạo và chuyển đổi số quốc gia.
2. Bộ Khoa học và Công nghệ (Cục Tần số vô tuyến điện) thu hồi giấy phép sử dụng tần số và thiết bị vô tuyến điện căn cứ vào một trong các văn bản sau đây:
a) Quyết định của tòa án hoặc cơ quan nhà nước có thẩm quyền đối với các trường hợp quy định tại các điểm a và điểm b khoản 1 Điều 23 Luật Tần số vô tuyến điện;
b) Kết luận thanh tra, kiểm tra tần số vô tuyến điện hoặc quyết định của tòa án đối với các trường hợp quy định tại các điểm c và d khoản 1 Điều 23 Luật Tần số vô tuyến điện, điểm e khoản 1 Điều 23 Luật Tần số vô tuyến điện được sửa đổi, bổ sung tại điểm a khoản 10 Điều 1 Luật sửa đổi, bổ sung một số điều của Luật Tần số vô tuyến điện;
c) Xác nhận của cơ quan thu phí sử dụng tần số vô tuyến điện đối với trường hợp quy định tại điểm đ khoản 1 Điều 23 Luật Tần số vô tuyến điện được sửa đổi, bổ sung tại điểm a khoản 10 Điều 1 Luật sửa đổi, bổ sung một số điều của Luật Tần số vô tuyến điện;
d) Quyết định thu hồi giấy phép kinh doanh dịch vụ viễn thông đối với trường hợp quy định tại điểm g khoản 1 Điều 23 Luật Tần số vô tuyến điện được sửa đổi, bổ sung tại điểm a khoản 10 Điều 1 Luật sửa đổi, bổ sung một số điều của Luật Tần số vô tuyến điện;
đ) Quyết định của cơ quan có thẩm quyền về việc chấm dứt thực hiện thí điểm đối với trường hợp quy định tại điểm b khoản 1 Điều này.
3. Thủ tục thu hồi giấy phép được thực hiện như sau:
a) Trong thời hạn 30 ngày, kể từ ngày có đủ căn cứ theo quy định tại khoản 2 Điều này, Bộ Khoa học và Công nghệ (Cục Tần số vô tuyến điện) ban hành quyết định thu hồi giấy phép sử dụng tần số và thiết bị vô tuyến điện;
b) Bộ Khoa học và Công nghệ (Cục Tần số vô tuyến điện) có trách nhiệm gửi quyết định thu hồi giấy phép sử dụng tần số và thiết bị vô tuyến điện cho doanh nghiệp bị thu hồi và công bố công khai trên cổng thông tin điện tử của Bộ Khoa học và Công nghệ (Cục Tần số vô tuyến điện).
4. Doanh nghiệp có trách nhiệm nộp lại bản chính giấy phép sử dụng tần số và thiết bị vô tuyến điện trong thời hạn 15 ngày kể từ ngày nhận được Quyết định thu hồi.
5. Việc xác định thời điểm giấy phép sử dụng tần số và thiết bị vô tuyến điện hết hiệu lực tại Quyết định thu hồi phải phù hợp với các quy định của pháp luật về viễn thông khi việc thu hồi giấy phép sử dụng tần số và thiết bị vô tuyến điện dẫn đến việc phải thu hồi giấy phép kinh doanh dịch vụ viễn thông tương ứng.
Điều 24. Phí sử dụng tần số vô tuyến điện đối với doanh nghiệp được triển khai thí điểm có kiểm soát dịch vụ viễn thông sử dụng công nghệ vệ tinh quỹ đạo tầm thấp
Doanh nghiệp nộp phí sử dụng tần số vô tuyến điện sau khi đã được cấp giấy phép sử dụng tần số và thiết bị vô tuyến điện. Mức thu phí sử dụng tần số vô tuyến điện áp dụng theo quy định hiện hành tại thời điểm nhận báo cáo số lượng thiết bị đầu cuối thực tế sử dụng dịch vụ của doanh nghiệp.
Điều 25. Tiêu chí, nguyên tắc lựa chọn doanh nghiệp Việt Nam đầu tư xây dựng nhà máy đầu tiên chế tạo chíp bán dẫn quy mô nhỏ, công nghệ cao phục vụ nghiên cứu, đào tạo, thiết kế, chế tạo thử, kiểm chứng công nghệ và sản xuất chíp bán dẫn chuyên dụng của Việt Nam
1. Tiêu chí về năng lực, kinh nghiệm của doanh nghiệp Việt Nam:
a) Được thành lập theo quy định của pháp luật Việt Nam;
b) Đã tham gia vào lĩnh vực nghiên cứu, thiết kế, sản xuất chíp bán dẫn;
c) Có vốn chủ sở hữu của doanh nghiệp trên báo cáo tài chính trong năm gần nhất nộp hồ sơ đáp ứng ít nhất 50% tổng mức đầu tư của dự án.
2. Nhà máy đầu tiên chế tạo chíp bán dẫn quy mô nhỏ, công nghệ cao phải đáp ứng đầy đủ các tiêu chí về mục đích sử dụng, kỹ thuật, công nghệ sau:
a) Mục đích sử dụng: Nghiên cứu, đào tạo, thiết kế, chế tạo thử, kiểm chứng công nghệ và sản xuất chíp bán dẫn chuyên dụng hoàn chỉnh của Việt Nam;
b) Công nghệ: Si CMOS có kích thước node từ 65 nm trở xuống hoặc Compound từ 250 nm trở xuống;
c) Công suất: Tối thiểu 1.000 wafer/tháng;
d) Nhà máy nghiệm thu đưa vào sản xuất trước ngày 31 tháng 12 năm 2030.
3. Nguyên tắc lựa chọn doanh nghiệp Việt Nam đầu tư xây dựng nhà máy đầu tiên chế tạo chíp bán dẫn quy mô nhỏ, công nghệ cao:
a) Lựa chọn doanh nghiệp Việt Nam có đề xuất công nghệ cao nhất (kích thước node nhỏ nhất) tại điểm b khoản 2 Điều này;
b) Trường hợp có từ 02 doanh nghiệp Việt Nam trở lên có cùng mức đề xuất về công nghệ thì lựa chọn doanh nghiệp có đề xuất mức công suất cao hơn;
c) Trường hợp có từ 02 doanh nghiệp Việt Nam trở lên có cùng mức đề xuất về công nghệ và mức công suất thì sẽ lựa chọn doanh nghiệp có đề xuất mức đầu tư dự án thấp hơn;
d) Trường hợp có từ 02 doanh nghiệp Việt Nam trở lên có cùng mức đề xuất về công nghệ, mức công suất, mức đầu tư thì sẽ lựa chọn doanh nghiệp có vốn chủ sở hữu cao hơn nếu tại báo cáo tài chính trong năm gần nhất.
Điều 26. Hồ sơ và trình tự lựa chọn doanh nghiệp Việt Nam đầu tư xây dựng nhà máy đầu tiên chế tạo chíp bán dẫn quy mô nhỏ, công nghệ cao phục vụ nghiên cứu, đào tạo, thiết kế, chế tạo thử, kiểm chứng công nghệ và sản xuất chíp bán dẫn chuyên dụng của Việt Nam
1. Hồ sơ đề nghị tham gia đầu tư xây dựng nhà máy đầu tiên chế tạo chíp bán dẫn quy mô nhỏ, công nghệ cao bao gồm:
a) Văn bản đăng ký tham gia đầu tư xây dựng nhà máy chế tạo chíp bán dẫn quy mô nhỏ, công nghệ cao phục vụ nghiên cứu, đào tạo, thiết kế, chế tạo thử, kiểm chứng công nghệ và sản xuất chíp bán dẫn chuyên dụng của Việt Nam theo Mẫu số 07 tại Phụ lục kèm theo Nghị định này;
b) Bản sao có chứng thực của một trong các loại giấy tờ sau: Giấy chứng nhận đăng ký kinh doanh, giấy chứng nhận đăng ký doanh nghiệp;
c) Văn bản cam kết của doanh nghiệp Việt Nam về việc nhà máy được nghiệm thu đưa vào sản xuất trước ngày 31 tháng 12 năm 2030;
d) Bản thuyết minh đáp ứng đủ các tiêu chí để được lựa chọn là doanh nghiệp đầu tư xây dựng nhà máy đầu tiên chế tạo chíp bán dẫn quy mô nhỏ, công nghệ cao phục vụ nghiên cứu, đào tạo, thiết kế, chế tạo thử, kiểm chứng công nghệ và sản xuất chíp bán dẫn chuyên dụng của Việt Nam.
2. Doanh nghiệp Việt Nam nộp hồ sơ đề nghị tham gia đầu tư xây dựng nhà máy đầu tiên chế tạo chip bán dẫn quy mô nhỏ, công nghệ cao đến Bộ Khoa học và Công nghệ.
3. Bộ Khoa học và Công nghệ thông báo thời gian chuẩn bị hồ sơ, thời điểm nộp hồ sơ và tiếp nhận, kiểm tra tính phù hợp của hồ sơ. Trường hợp hồ sơ chưa đầy đủ, chưa đúng về thành phần tài liệu quy định tại khoản 1 Điều này thì trong thời hạn 02 ngày làm việc kể từ ngày nhận được hồ sơ, Bộ Khoa học và Công nghệ thông báo, hướng dẫn doanh nghiệp bổ sung, hoàn thiện hồ sơ. Doanh nghiệp Việt Nam có trách nhiệm hoàn thiện hồ sơ và gửi lại Bộ Khoa học và Công nghệ trong thời hạn 02 ngày làm việc.
4. Trong thời hạn 30 ngày kể từ ngày nhận đủ hồ sơ, Bộ Khoa học và Công nghệ chủ trì, phối hợp với các bộ, ngành, địa phương liên quan trình Thủ tướng Chính phủ quyết định kết quả lựa chọn doanh nghiệp Việt Nam đầu tư xây dựng nhà máy đầu tiên chế tạo chip bán dẫn quy mô nhỏ, công nghệ cao hoặc từ chối và nêu rõ lý do. Trình tự thực hiện cụ thể như sau:
a) Trong thời hạn 03 ngày làm việc kể từ ngày nhận được hồ sơ của doanh nghiệp, Bộ Khoa học và Công nghệ phát hành văn bản lấy ý kiến đánh giá của các bộ, ngành, địa phương có liên quan về hồ sơ đề nghị tham gia đầu tư xây dựng nhà máy đầu tiên chế tạo chip bán dẫn quy mô nhỏ, công nghệ cao của doanh nghiệp;
b) Trong thời hạn 20 ngày kể từ ngày nhận được văn bản và hồ sơ từ Bộ Khoa học và Công nghệ, các bộ, ngành, địa phương liên quan gửi ý kiến đánh giá lựa chọn bằng văn bản về Bộ Khoa học và Công nghệ để tổng hợp;
c) Trong thời hạn 07 ngày làm việc kế tiếp, Bộ Khoa học và Công nghệ tiến hành rà soát, tổng hợp đánh giá kết quả lựa chọn.
Trường hợp doanh nghiệp không đáp ứng yêu cầu quy định khoản 2 Điều 25, Bộ Khoa học và Công nghệ thông báo bằng văn bản đến doanh nghiệp nộp hồ sơ đề nghị tham gia và nêu rõ lý do.
5. Bộ Khoa học và Công nghệ trình Thủ tướng Chính phủ xem xét, quyết định lựa chọn doanh nghiệp Việt Nam đầu tư xây dựng nhà máy đầu tiên chế tạo chip bán dẫn quy mô nhỏ, công nghệ cao phục vụ nghiên cứu, đào tạo, thiết kế, chế tạo thử, kiểm chứng công nghệ và sản xuất chip bán dẫn chuyên dụng của Việt Nam.
6. Thủ tướng Chính phủ ban hành quyết định lựa chọn doanh nghiệp Việt Nam đầu tư xây dựng nhà máy đầu tiên chế tạo chip bán dẫn quy mô nhỏ, công nghệ cao phục vụ nghiên cứu, đào tạo, thiết kế, chế tạo thử, kiểm chứng công nghệ và sản xuất chip bán dẫn chuyên dụng của Việt Nam.
Điều 27. Mức hỗ trợ tài chính cụ thể và kinh phí thực hiện
1. Trên cơ sở quyết toán dự án hoàn thành do người quyết định phê duyệt dự án đầu tư và được Kiểm toán nhà nước kết luận, sau khi có ý kiến thống nhất bằng văn bản của Bộ Tài chính, Bộ Khoa học và Công nghệ trình Thủ tướng Chính phủ quyết định mức hỗ trợ tài chính cụ thể cho doanh nghiệp Việt Nam được lựa chọn đầu tư xây dựng nhà máy đầu tiên chế tạo chip bán dẫn quy mô nhỏ, công nghệ cao phục vụ nghiên cứu, đào tạo, thiết kế, chế tạo thử, kiểm chứng công nghệ và sản xuất chip bán dẫn chuyên dụng của Việt Nam.
2. Mức hỗ trợ tài chính cụ thể được xác định trên cơ sở 30% tổng giá trị quyết toán dự án đầu tư hoàn thành và không vượt quá 10.000 tỷ đồng trong trường hợp nhà máy nghiệm thu đưa vào sản xuất trước ngày 31 tháng 12 năm 2030.
3. Giá trị quyết toán dự án đầu tư hoàn thành xây dựng nhà máy đầu tiên chế tạo chip bán dẫn quy mô nhỏ, công nghệ cao nêu trên do Kiểm toán nhà nước tiến hành kiểm toán dự án và kết luận kết quả. Doanh nghiệp Việt Nam được lựa chọn hỗ trợ tài chính chịu trách nhiệm chi trả chi phí kiểm toán dự án theo quy định của pháp luật.
4. Ngân sách nhà nước hỗ trợ tài chính cho doanh nghiệp Việt Nam xây dựng nhà máy đầu tiên chế tạo chip bán dẫn quy mô nhỏ, công nghệ cao phục vụ nghiên cứu, đào tạo, thiết kế, chế tạo thử, kiểm chứng công nghệ và sản xuất chip bán dẫn chuyên dụng của Việt Nam từ nguồn chi đầu tư phát triển khác của ngân sách trung ương. Việc lập dự toán, thực hiện và quyết toán kinh phí hỗ trợ tài chính cho doanh nghiệp Việt Nam xây dựng nhà máy đầu tiên chế tạo chip bán dẫn quy mô nhỏ, công nghệ cao phục vụ nghiên cứu, đào tạo, thiết kế, chế tạo thử, kiểm chứng công nghệ và sản xuất chip bán dẫn chuyên dụng của Việt Nam được thực hiện theo quy định tại Điều 28 Nghị định này.
5. Hàng năm, doanh nghiệp Việt Nam được lựa chọn hỗ trợ tài chính có trách nhiệm lập dự toán gửi Bộ Khoa học và Công nghệ. Bộ Khoa học và Công nghệ gửi Bộ Tài chính để tổng hợp chung trong dự toán chi ngân sách trung ương trình các cấp thẩm quyền xem xét, quyết định theo quy định của pháp luật về ngân sách nhà nước.
6. Doanh nghiệp thực hiện hạch toán khoản hỗ trợ tài chính quy định tại khoản 4 Điều này theo quy định của pháp luật về kế toán doanh nghiệp. Trường hợp hạch toán có vướng mắc, Bộ Tài chính có trách nhiệm hướng dẫn doanh nghiệp thực hiện.
Điều 28. Lập dự toán, phân bổ, quản lý và quyết toán kinh phí hỗ trợ tài chính cho doanh nghiệp đầu tư xây dựng nhà máy đầu tiên chế tạo chip bán dẫn quy mô nhỏ, công nghệ cao được lựa chọn hỗ trợ
1. Vào thời điểm xây dựng dự toán ngân sách nhà nước năm kế tiếp, căn cứ tình hình và kết quả thực hiện nhiệm vụ năm hiện tại, dự kiến yêu cầu nhiệm vụ năm kế tiếp, doanh nghiệp thực hiện việc đăng ký dự toán, kế hoạch cho năm kế tiếp theo quy định tại khoản 5 Điều 27 Nghị định này. Nội dung bao gồm:
a) Đánh giá kết quả, tình hình thực hiện năm hiện hành;
b) Dự kiến kinh phí năm kế hoạch kế tiếp.
2. Căn cứ dự toán đề xuất hỗ trợ tài chính của doanh nghiệp đầu tư xây dựng nhà máy đầu tiên chế tạo chip bán dẫn quy mô nhỏ, công nghệ cao, Bộ Khoa học và Công nghệ rà soát, xem xét, tổng hợp trong dự toán ngân sách nhà nước hằng năm của Bộ Khoa học và Công nghệ và thực hiện thủ tục đăng ký theo khoản 5 Điều 27 Nghị định này.
3. Thủ tướng Chính phủ giao dự toán hằng năm trong dự toán ngân sách nhà nước hằng năm của Bộ Khoa học và Công nghệ.
4. Căn cứ dự toán ngân sách được Thủ tướng Chính phủ giao, Bộ trưởng Bộ Khoa học và Công nghệ phân bổ, giao dự toán cho đơn vị sử dụng ngân sách thuộc bộ.
5. Đơn vị sử dụng ngân sách thực hiện lập hồ sơ đề nghị thanh toán theo quy định tại khoản 1 và khoản 2 Điều 29 của Nghị định này, báo cáo Bộ Khoa học và Công nghệ xem xét, gửi Kho bạc Nhà nước thanh toán tiền hỗ trợ tài chính cho doanh nghiệp được hỗ trợ.
6. Hàng năm, đơn vị sử dụng ngân sách tổng hợp quyết toán gửi Bộ Khoa học và Công nghệ. Bộ Khoa học và Công nghệ rà soát, tổng hợp quyết toán gửi Bộ Tài chính tổng hợp chung vào quyết toán ngân sách nhà nước.
Điều 29. Thủ tục thực hiện thanh toán hỗ trợ tài chính cho doanh nghiệp đầu tư xây dựng nhà máy đầu tiên chế tạo chip bán dẫn quy mô nhỏ, công nghệ cao được lựa chọn hỗ trợ
1. Ngân sách nhà nước hỗ trợ tài chính xây dựng nhà máy đầu tiên chế tạo chip bán dẫn quy mô nhỏ, công nghệ cao theo tiến độ giải ngân vốn của doanh nghiệp trong quá trình thực hiện dự án, không quá 02 lần/năm. Phần hỗ trợ từ ngân sách trung ương bằng 30% giá trị khối lượng thực hiện trong năm. Tổng tiền hỗ trợ lũy kế từ ngân sách trung ương cho doanh nghiệp không quá 30% giá trị quyết toán dự án đầu tư hoàn thành và không quá 10.000 tỷ đồng.
Ngân sách nhà nước hỗ trợ tài chính cho doanh nghiệp đầu tư xây dựng dự án nhà máy đầu tiên chế tạo chip bán dẫn quy mô nhỏ, công nghệ cao được thực hiện bằng hình thức giao dự toán kinh phí cho Bộ Khoa học và Công nghệ.
a) Thanh toán khoản hỗ trợ tài chính theo tiến độ thực hiện dự án:
Hồ sơ doanh nghiệp đề nghị thực hiện thủ tục giải ngân gửi Bộ Khoa học và Công nghệ, bao gồm:
Văn bản đề nghị của doanh nghiệp;
Quyết định của Thủ tướng Chính phủ phê duyệt lựa chọn doanh nghiệp đầu tư xây dựng nhà máy đầu tiên chế tạo chip bán dẫn quy mô nhỏ, công nghệ cao phục vụ nghiên cứu, đào tạo, thiết kế, chế tạo thử, kiểm chứng công nghệ và sản xuất chip bán dẫn chuyên dụng của Việt Nam (chỉ cần nộp trong lần đầu tiên đề nghị hỗ trợ tài chính từ ngân sách);
Quyết định của người quyết định phê duyệt dự án đầu tư (chỉ cần nộp trong lần đầu tiên đề nghị hỗ trợ tài chính từ ngân sách);
Bảo lãnh thanh toán vô điều kiện, không hủy ngang. Bảo lãnh có giá trị tương ứng với số tiền được hỗ trợ và thời hạn bảo lãnh cho tới 06 tháng sau khi dự án hoàn thành theo quyết định phê duyệt;
Hợp đồng ký kết giữa doanh nghiệp và nhà thầu về tiến độ thanh toán;
Chứng từ thanh toán cho giá trị khối lượng đã thực hiện của doanh nghiệp.
Trong thời hạn 15 ngày kể từ ngày nhận được văn bản đề nghị của doanh nghiệp, Bộ Khoa học và Công nghệ có trách nhiệm xem xét, kiểm tra và quyết định mức cấp từng lần cho doanh nghiệp gửi Kho bạc Nhà nước.
Hồ sơ Bộ Khoa học và Công nghệ gửi Kho bạc Nhà nước nơi giao dịch để thanh toán cho doanh nghiệp gồm:
Chứng từ chuyển tiền (Giấy rút dự toán ngân sách nhà nước - thực chi);
Dự toán ngân sách được cấp có thẩm quyền phê duyệt;
Văn bản của Bộ Khoa học và Công nghệ đề nghị thanh toán kinh phí hỗ trợ tài chính cho doanh nghiệp.
Kho bạc Nhà nước thực hiện kiểm tra đảm bảo có trong dự toán và mức hỗ trợ tài chính theo văn bản đề nghị của Bộ Khoa học và Công nghệ, thực hiện thanh toán cho doanh nghiệp trong thời gian 02 ngày làm việc.
b) Thanh toán kinh phí hỗ trợ tài chính còn lại: Ngân sách nhà nước thanh toán kinh phí hỗ trợ tài chính còn lại được thực hiện sau khi nhà máy được nghiệm thu đưa vào sản xuất. Giá trị thanh toán còn lại được xác định căn cứ vào giá trị quyết toán dự án đầu tư có kết luận của Kiểm toán nhà nước và tổng kinh phí ngân sách nhà nước đã hỗ trợ tài chính tính đến thời điểm xem xét. Yêu cầu tổng mức hỗ trợ tài chính từ ngân sách nhà nước không vượt quá mức hỗ trợ tài chính cụ thể theo quyết định của Thủ tướng Chính phủ. Trình tự cụ thể như sau:
Hồ sơ doanh nghiệp đề nghị thực hiện thủ tục giải ngân gửi Bộ Khoa học và Công nghệ, bao gồm:
Văn bản đề nghị của doanh nghiệp;
Văn bản đánh giá của đơn vị có chuyên môn về kỹ thuật, công nghệ hoặc tổ chức giám định công nghệ theo quy định của pháp luật về chuyển giao công nghệ xác nhận nhà máy được nghiệm thu đưa vào sản xuất đáp ứng các tiêu chí quy định tại khoản 2 Điều 25 Nghị định này;
Kết luận của Kiểm toán nhà nước về tổng mức quyết toán hoàn thành dự án đầu tư;
Văn bản của Bộ Khoa học và Công nghệ về việc xác nhận nhà máy được nghiệm thu đưa vào sản xuất đáp ứng các tiêu chí quy định tại khoản 2 Điều 25 Nghị định này;
Quyết định của Thủ tướng Chính phủ về mức hỗ trợ tài chính cụ thể cho doanh nghiệp Việt Nam nhận hỗ trợ.
Trong thời hạn 15 ngày kể từ ngày nhận được văn bản đề nghị của doanh nghiệp, Bộ Khoa học và Công nghệ có trách nhiệm xem xét và gửi văn bản kèm Hồ sơ thanh toán đến Kho bạc Nhà nước để thanh toán cho doanh nghiệp. Hồ sơ thanh toán gồm:
Chứng từ chuyển tiền (Giấy rút dự toán ngân sách nhà nước - thực chi);
Văn bản của Bộ Khoa học và Công nghệ đề nghị thanh toán kinh phí hỗ trợ tài chính cho doanh nghiệp;
Dự toán ngân sách được cấp có thẩm quyền phê duyệt;
Quyết định của Thủ tướng Chính phủ về mức hỗ trợ tài chính cụ thể cho doanh nghiệp Việt Nam nhận hỗ trợ.
Kho bạc Nhà nước thực hiện kiểm tra đảm bảo có trong dự toán, quyết định của Thủ tướng Chính phủ về mức hỗ trợ tài chính cụ thể cho doanh nghiệp Việt Nam nhận hỗ trợ và thực hiện thanh toán cho doanh nghiệp trong thời gian 02 ngày làm việc.
2. Trường hợp doanh nghiệp đề nghị hỗ trợ tài chính trực tiếp từ ngân sách trung ương một lần sau thời điểm nhà máy được nghiệm thu đưa vào sản xuất, phần hỗ trợ tài chính từ ngân sách trung ương theo quyết định của Thủ tướng Chính phủ. Tiêu chí được nhận hỗ trợ tài chính trực tiếp từ ngân sách nhà nước đáp ứng quy định tại khoản 2 Điều 25 Nghị định này.
a) Doanh nghiệp gửi hồ sơ nhận hỗ trợ tài chính trực tiếp từ ngân sách nhà nước cho Bộ Khoa học và Công nghệ, bao gồm:
Văn bản đề nghị của doanh nghiệp;
Quyết định của Thủ tướng Chính phủ phê duyệt lựa chọn doanh nghiệp đầu tư xây dựng nhà máy đầu tiên chế tạo chip bán dẫn quy mô nhỏ, công nghệ cao phục vụ nghiên cứu, đào tạo, thiết kế, chế tạo thử, kiểm chứng công nghệ và sản xuất chip bán dẫn chuyên dụng của Việt Nam;
Quyết định của người có thẩm quyền phê duyệt dự án đầu tư;
Văn bản đánh giá của đơn vị có chuyên môn về kỹ thuật, công nghệ hoặc tổ chức giám định công nghệ theo quy định của pháp luật về chuyển giao công nghệ xác nhận nhà máy được nghiệm thu đưa vào sản xuất đáp ứng các tiêu chí quy định tại khoản 2 Điều 25 Nghị định này;
Kết luận của Kiểm toán nhà nước về tổng mức quyết toán hoàn thành dự án đầu tư;
Văn bản của Bộ Khoa học và Công nghệ về việc xác nhận nhà máy được nghiệm thu đưa vào sản xuất đáp ứng các tiêu chí quy định tại khoản 2 Điều 25 Nghị định này;
Quyết định của Thủ tướng Chính phủ về mức hỗ trợ cụ thể cho doanh nghiệp Việt Nam nhận hỗ trợ tài chính.
b) Trong thời hạn 15 ngày kể từ ngày nhận được văn bản đề nghị của doanh nghiệp, Bộ Khoa học và Công nghệ có trách nhiệm xem xét và gửi văn bản kèm Hồ sơ thanh toán đến Kho bạc Nhà nước để thanh toán cho doanh nghiệp. Hồ sơ thanh toán gồm:
Chứng từ chuyển tiền (Giấy rút dự toán ngân sách nhà nước - thực chi);
Văn bản của Bộ Khoa học và Công nghệ đề nghị thanh toán kinh phí hỗ trợ tài chính cho doanh nghiệp;
Dự toán ngân sách được cấp có thẩm quyền phê duyệt;
Quyết định của Thủ tướng Chính phủ về mức hỗ trợ tài chính cụ thể cho doanh nghiệp Việt Nam nhận hỗ trợ.
Kho bạc Nhà nước thực hiện kiểm tra đảm bảo có trong dự toán, quyết định của Thủ tướng Chính phủ về mức hỗ trợ cụ thể cho doanh nghiệp Việt Nam nhận hỗ trợ tài chính và thực hiện thanh toán cho doanh nghiệp trong thời gian 02 ngày làm việc.
Điều 30. Trách nhiệm kiểm tra, giám sát; xử lý vi phạm đối với doanh nghiệp trong việc đề nghị hỗ trợ tài chính
1. Định kỳ hàng quý, doanh nghiệp gửi báo cáo kết quả và tiến độ triển khai kế hoạch với Bộ Khoa học và Công nghệ trước ngày 05 tháng đầu tiên của quý kế tiếp. Trường hợp cần thiết, Bộ Khoa học và Công nghệ thành lập đoàn công tác kiểm tra, giám sát về tiến độ thực hiện.
2. Các trường hợp vi phạm của doanh nghiệp trong việc hỗ trợ tài chính:
a) Không đáp ứng điều kiện quy định tại khoản 2 Điều 25 Nghị định này khi được cơ quan có thẩm quyền thanh tra, kiểm tra thực tế theo quy định;
b) Giả mạo hồ sơ, sử dụng chứng từ bất hợp pháp; báo cáo, kê khai không chính xác thông tin, số liệu dẫn đến việc xác định số tiền hỗ trợ tài chính được hưởng cao hơn mức thực tế đáp ứng.
3. Xử lý vi phạm
a) Trong trường hợp nhà máy không hoàn thành nghiệm thu đưa vào sản xuất trước ngày 31 tháng 12 năm 2030 hoặc được nghiệm thu đưa vào sản xuất trước ngày 31 tháng 12 năm 2030 nhưng không đáp ứng quy định tại khoản 2 Điều 25 Nghị định này, doanh nghiệp được hỗ trợ có trách nhiệm:
Hoàn trả toàn bộ ngân sách nhà nước đã hỗ trợ;
Nộp tiền lãi suất với tỷ suất huy động tiền gửi kỳ hạn 12 tháng công bố tại thời điểm bồi hoàn của 03 ngân hàng thương mại cổ phần có vốn nhà nước là Ngân hàng Ngoại thương Việt Nam, Ngân hàng Công Thương Việt Nam và Ngân hàng Đầu tư và Phát triển Việt Nam.
b) Thời hạn doanh nghiệp phải nộp trả tiền vi phạm vào ngân sách nhà nước quy định tại điểm a khoản này trong thời hạn 30 ngày kể từ ngày có quyết định của cơ quan có thẩm quyền về xử lý vi phạm.
Điều 31. Về trích lập Quỹ phát triển khoa học và công nghệ của doanh nghiệp và loại trừ một số yếu tố khi thực hiện đánh giá hiệu quả hoạt động và xếp loại doanh nghiệp do Nhà nước nắm giữ 100% vốn điều lệ
1. Doanh nghiệp đầu tư dự án xây dựng dự án nhà máy đầu tiên phục vụ nghiên cứu, đào tạo, thiết kế, chế tạo thử, kiểm chứng công nghệ và sản xuất chip bán dẫn chuyên dụng của Việt Nam theo quy định tại điểm b khoản 1 Điều 14 Nghị quyết số 193/2025/QH15, trong thời gian chuẩn bị và thực hiện dự án, hằng năm được trích lập cao hơn 10% nhưng tối đa không quá 20% thu nhập tính thuế thu nhập doanh nghiệp cho Quỹ phát triển khoa học và công nghệ của doanh nghiệp để bổ sung cho dự án và không vượt quá tổng mức đầu tư của dự án. Doanh nghiệp không được hạch toán các khoản chi từ Quỹ phát triển khoa học và công nghệ của doanh nghiệp vào chi phí được trừ khi xác định thu nhập chịu thuế trong kỳ tính thuế theo quy định của pháp luật về thuế.
2. Đối với doanh nghiệp do Nhà nước nắm giữ 100% vốn điều lệ, trường hợp thực hiện đầu tư phát triển hạ tầng mạng 5G, tham gia góp vốn hoặc là chủ đầu tư dự án phát triển các tuyến cáp viễn thông kết nối quốc tế trên biển, đầu tư xây dựng dự án nhà máy đầu tiên, thực hiện trích lập Quỹ phát triển khoa học và công nghệ của doanh nghiệp theo quy định tại khoản 1 Điều này mà chưa được tính toán khi cơ quan đại diện chủ sở hữu giao chỉ tiêu đánh giá hiệu quả hoạt động và xếp loại doanh nghiệp, dẫn đến phát sinh lỗ thì doanh nghiệp được loại trừ khoản lỗ của những dự án này và số trích lập tăng thêm vào Quỹ phát triển khoa học và công nghệ của doanh nghiệp khi đánh giá, xếp loại doanh nghiệp trong năm tài chính thực hiện dự án. Doanh nghiệp chịu trách nhiệm hạch toán riêng doanh thu, chi phí, lãi, lỗ phát sinh của dự án.
Chương IV ĐIỀU KHOẢN THI HÀNH
Điều 32. Hiệu lực thi hành
1. Nghị định này có hiệu lực thi hành từ ngày 13 tháng 4 năm 2025.
2. Quy định tại Điều 10 và Điều 11 Nghị định này được áp dụng kể từ ngày Nghị quyết số 193/2025/QH15 có hiệu lực thi hành.
3. Đối với nhiệm vụ khoa học và công nghệ được cấp có thẩm quyền quyết định phê duyệt kể từ ngày Nghị quyết số 193/2025/QH15 có hiệu lực thì thực hiện các quy định về khoán chi theo quy định tại Điều 6 Nghị quyết số 193/2025/QH15.
Đối với nhiệm vụ khoa học và công nghệ được cấp có thẩm quyền quyết định phê duyệt trước ngày Nghị quyết số 193/2025/QH15 có hiệu lực thì thực hiện các quy định về khoán chi theo quy định của pháp luật có liên quan tại thời điểm phê duyệt.
4. Sửa đổi, bổ sung, bãi bỏ một số điều của Nghị định số 51/2019/NĐ-CP ngày 13 tháng 6 năm 2019 quy định xử phạt vi phạm hành chính trong hoạt động khoa học và công nghệ, chuyển giao công nghệ (sau đây gọi tắt là Nghị định số 51/2019/NĐ-CP) như sau:
a) Sửa đổi điểm a khoản 3 Điều 22 Nghị định số 51/2019/NĐ-CP như sau:
“a) Không thực hiện việc định giá dựa trên tư vấn thẩm định giá công nghệ khi chuyển giao công nghệ giữa các bên mà một hoặc nhiều bên có vốn nhà nước, trừ trường hợp công nghệ là kết quả của việc thực hiện nhiệm vụ khoa học và công nghệ sử dụng ngân sách nhà nước;”;
b) Bãi bỏ khoản 2 Điều 10 Nghị định số 51/2019/NĐ-CP.
5. Bãi bỏ khoản 5 Điều 4 Nghị định số 70/2018/NĐ-CP ngày 15 tháng 5 năm 2018 của Chính phủ quy định việc quản lý, sử dụng tài sản được hình thành thông qua việc triển khai thực hiện nhiệm vụ khoa học và công nghệ sử dụng vốn nhà nước.
6. Bãi bỏ Điều 5 Quyết định số 37/2015/QĐ-TTg ngày 08 tháng 9 năm 2015 của Thủ tướng Chính phủ quy định điều kiện thành lập Quỹ phát triển khoa học và công nghệ của bộ, cơ quan ngang bộ, cơ quan thuộc Chính phủ, tỉnh, thành phố trực thuộc trung ương.
7. Trường hợp có quy định khác nhau về cùng một vấn đề giữa Nghị định này với Nghị định khác của Chính phủ thì áp dụng quy định của Nghị định này. Trường hợp Nghị định khác có quy định chính sách ưu đãi hoặc thuận lợi hơn Nghị định này thì đối tượng được ưu đãi được lựa chọn áp dụng mức ưu đãi có lợi nhất.
Điều 33. Trách nhiệm thi hành
1. Bộ trưởng Bộ Khoa học và Công nghệ chịu trách nhiệm kiểm tra, đôn đốc việc thi hành Nghị định này.
2. Bộ trưởng, Thủ trưởng cơ quan ngang bộ, Thủ trưởng cơ quan thuộc Chính phủ, Chủ tịch Ủy ban nhân dân các tỉnh, thành phố trực thuộc trung ương và các cơ quan, tổ chức, cá nhân có liên quan chịu trách nhiệm thi hành Nghị định này.
Phụ lục
CÁC MẪU VĂN BẢN
(Kèm theo Nghị định số 88/2025/NĐ-CP
ngày 13 tháng 4 năm 2025 của Chính phủ)
________
|
Mẫu số 01 |
Giấy đề nghị giải ngân vốn |
|
Mẫu số 02 |
Giấy rút vốn |
|
Mẫu số 03 |
Đề xuất kế hoạch triển khai và dự toán kinh phí hỗ trợ triển khai nhanh hạ tầng mạng 5G |
|
Mẫu số 04 |
Đề nghị công nhận kết quả triển khai nhanh hạ tầng mạng 5G đủ điều kiện được hỗ trợ tài chính |
|
Mẫu số 05 |
Bản khai đề nghị cấp giấy phép sử dụng tần số và thiết bị vô tuyến điện |
|
Mẫu số 06 |
Giấy phép sử dụng tần số và thiết bị vô tuyến điện |
|
Mẫu số 07 |
Văn bản đăng ký đầu tư xây dựng nhà máy chế tạo chíp bán dẫn quy mô nhỏ, công nghệ cao, phục vụ nghiên cứu, đào tạo, thiết kế, chế tạo thử, kiểm chứng công nghệ và sản xuất chíp bán dẫn chuyên dụng của Việt Nam |
Mẫu số 01. Giấy đề nghị giải ngân vốn
__________________________________________________________________________
|
CHỦ ĐẦU TƯ |
CỘNG HÒA XÃ HỘI CHỦ NGHĨA VIỆT NAM |
GIẤY ĐỀ NGHỊ GIẢI NGÂN VỐN
_______
Kính gửi: ... (Kho bạc Nhà nước).
Tên dự án, công trình: ... Mã dự án đầu tư: ...
Chủ đầu tư/Ban QLDA: ... Mã số ĐVSDNS: ...
Năm ngân sách: ...
Số tài khoản của chủ đầu tư:
- Vốn ... tại: ...
- Vốn ... tại ...
- …
Căn cứ hợp đồng số: ... ngày ... tháng ... năm ... Phụ lục bổ sung hợp đồng số ... ngày ... tháng ... năm ...;
Căn cứ quyết định phê duyệt dự toán số ... ngày ... tháng ... năm ...;
|
Số tiền đề nghị:…. |
Theo bảng dưới đây |
Thuộc nguồn vốn: ...
Thuộc kế hoạch: ... năm ...
Đơn vị: đồng
|
Nội dung |
Dự toán được duyệt hoặc giá trị hợp đồng |
Luỹ kế số vốn đã giải ngân từ khởi công đến cuối kỳ trước |
Số đề nghị giải ngân kỳ này |
||
|
Vốn trong nước |
Vốn nước ngoài |
Vốn trong nước |
Vốn nước ngoài |
||
|
Ghi tên công việc, hạng mục hoặc hợp đồng đề nghị giải ngân |
|
|
|
|
|
|
Cộng tổng |
|
|
|
|
|
Tổng số tiền đề nghị giải ngân bằng số: ...
Bằng chữ: ...
Trong đó:
- Thuế giá trị gia tăng: ...
- Chuyển tiền bảo hành (bằng số): ...
- Số trả đơn vị thụ hưởng (bằng số): ...
+ Vốn trong nước: ...
+ Vốn nước ngoài: ...
Tên đơn vị thụ hưởng: ...
Số tài khoản đơn vị thụ hưởng: ... tại: ...
|
KẾ TOÁN |
ĐẠI DIỆN CHỦ ĐẦU TƯ/ |
Mẫu số 02. Giấy rút vốn
__________________________________________________________________________
|
Không ghi vào |
GIẤY RÚT VỐN
|
|
Chuyển khoản |
Năm ngân sách: ....
Tên dự án: ...
Chủ đầu tư: ... Mã ĐVQHNS: ...
Tài khoản: ... Tại Kho bạc Nhà nước: ...
Tên CTMT, DA: ...
Mã CTMT, DA:... Số CKC, HĐK: ...
Số CKC, HĐTH ... Căn cứ Giấy đề nghị giải ngân vốn đầu tư số: ...
ngày ... /... /....
|
Nội dung |
Mã NDKT |
Mã chương |
Mã ngành KT |
Mã nguồn NSNN |
Năm KHV |
Tổng số tiền |
Chia ra |
|
|
Nộp thuế |
Giải ngân cho ĐV hưởng |
|||||||
|
(1) |
(2) |
(3) |
(4) |
(5) |
(6) |
(7)=(8)+(9) |
(8) |
(9) |
|
|
|
|
|
|
|
|
|
|
|
|
|
|
|
|
|
|
|
|
|
Tổng cộng: |
|
|
|
|||||
|
Tổng số tiền ghi bằng chữ: ... |
PHẦN KHO BẠC |
|
NỘP THUẾ: Tên đơn vị (Người nộp thuế): ... Mã số thuế:... Mã NDKT:... Mã chương:... Cơ quan quản lý thu: ... Kỳ thuế: ... Kho bạc Nhà nước hạch toán khoản thu:... Tổng số tiền nộp thuế (ghi bằng chữ): ... GIẢI NGÂN CHO ĐƠN VỊ HƯỞNG Đơn vị nhận tiền:... Địa chỉ: ... Tài khoản:... Mã CTMT, DA và HTCT:... Tại Kho bạc Nhà nước (NH): ... Hoặc người nhận tiền: ... CMND/CCCD/Hộ chiếu số: ... cấp ngày: ... Nơi cấp: ... Tổng số tiền giải ngân cho đơn vị hưởng (ghi bằng chữ):... |
1. Nộp thuế: Nợ TK:... Có TK: ... Nợ TK:... Có TK:... Nợ TK:... Có TK: ... Mã CQ thu: ... Mã ĐBHC: ... 2. Giải ngân cho ĐV hưởng: Nợ TK:... Có TK:... Nợ TK:... Có TK: ... Nợ TK:... Có TK: ... Mã ĐBHC: ... |
|
Ngày … tháng … năm … |
|
Ngày … tháng … năm … |
KHO BẠC NHÀ NƯỚC
Ngày … tháng … năm …
|
THỦ QUỸ |
KẾ TOÁN |
KẾ TOÁN TRƯỞNG |
LÃNH ĐẠO |
Mẫu số 03. Đề xuất kế hoạch triển khai và dự toán kinh phí hỗ trợ triển khai nhanh hạ tầng mạng 5G
__________________________________________________________________________
|
TÊN DOANH NGHIỆP |
CỘNG HÒA XÃ HỘI CHỦ NGHĨA VIỆT NAM |
ĐỀ XUẤT KẾ HOẠCH TRIỂN KHAI VÀ DỰ TOÁN KINH PHÍ
HỖ TRỢ TRIỂN KHAI NHANH HẠ TẦNG MẠNG 5G
__________
Kính gửi: Bộ Khoa học và Công nghệ.
Căn cứ Nghị quyết số 193/2025/QH15 ngày 19 tháng 02 năm 2025 của Quốc hội về thí điểm một số cơ chế, chính sách đặc biệt tạo đột phá phát triển khoa học, công nghệ, đổi mới sáng tạo và chuyển đổi số quốc gia;
Căn cứ Nghị định số……../2025/NĐ-CP ngày ....tháng.... năm 2025 của Chính phủ quy định chi tiết và hướng dẫn thi hành Nghị quyết số 193/2025/QH15;
(Tên doanh nghiệp) đề nghị được hỗ trợ tài chính triển khai nhanh hạ tầng mạng 5G như sau:
Phần 1. Thông tin chung
1. Tên doanh nghiệp viết bằng tiếng Việt: (Tên ghi trên giấy chứng nhận đăng ký doanh nghiệp/giấy chứng nhận đăng ký đầu tư, ghi bằng chữ in hoa)……………………..
2. Địa chỉ trụ sở chính: (Địa chỉ ghi trên giấy chứng nhận đăng ký doanh nghiệp/giấy chứng nhận đăng ký đầu tư)……………………………
3. Giấy chứng nhận đăng ký doanh nghiệp/giấy chứng nhận đăng ký đầu tư số: .... do .... cấp lần đầu ngày ... tháng…... năm ... đăng ký thay đổi lần thứ ... ngày ... tháng ... năm...tại………………………..………..;
4. Điện thoại:……………..…………..Fax:…………………….Website………………..
Phần 2. Mô tả tóm tắt về đề nghị cấp hỗ trợ tài chính triển khai nhanh hạ tầng mạng 5G
1. Tổng số lượng trạm phát sóng 5G đã triển khai theo từng cấu hình và xuất xứ hàng hóa của nhà sản xuất (nước phát triển hoặc nước đang phát triển) dự kiến triển khai từ ngày 19 tháng 02 năm 2025 đến hết ngày 31 tháng 12 năm 2025: ………………………….
2. Chi phí thiết bị bình quân cho một trạm phát sóng 5G được mua trong năm 2025 của doanh nghiệp theo từng cấu hình và xuất xứ hàng hóa của nhà sản xuất (nước phát triển hoặc nước đang phát triển) kèm theo số lượng thiết bị tương ứng.
3. Số tiền dự tính đề nghị hỗ trợ:………………….VNĐ (bằng chữ:………..)
Phần 3. Tài liệu kèm theo
1. Kế hoạch triển khai xây dựng và nghiệm thu đưa vào sử dụng các trạm phát sóng 5G theo từng tháng.
2. Các quyết định phê duyệt của cấp có thẩm quyền về việc thực hiện kế hoạch (nếu có).
3. Các tài liệu khác có liên quan.
Phần 4. Cam kết
(Tên doanh nghiệp) xin cam kết:
1. Chịu trách nhiệm trước pháp luật về tính chính xác, trung thực, đầy đủ và tính hợp pháp của nội dung trong đơn đề xuất kế hoạch triển khai và dự toán kinh phí hỗ trợ triển khai nhanh hạ tầng 5G và các tài liệu kèm theo.
2. Cam kết nộp trả lại ngân sách nhà nước số tiền đã được hỗ trợ và nộp phạt nếu vi phạm các quy định về hỗ trợ tài chính triển khai nhanh hạ tầng mạng 5G.
|
Nơi nhận: |
NGƯỜI ĐẠI DIỆN THEO PHÁP LUẬT |
Đầu mối liên hệ về hồ sơ đề nghị hỗ trợ tài chính (họ tên, chức vụ, điện thoại)
SỐ LƯỢNG TRẠM PHÁT SÓNG 5G DỰ KIẾN
|
STT |
Chủng loại thiết bị |
Hãng sản xuất |
Xuất xứ |
Số lượng |
Đơn giá thiết bị |
Thành tiền |
|
1 |
Thiết bị vô tuyến |
|
|
|
|
|
|
2 |
Thiết bị vô tuyến |
|
|
|
|
|
|
3 |
Thiết bị vô tuyến |
|
|
|
|
|
|
4 |
Thiết bị vô tuyến |
|
|
|
|
|
|
5 |
Thiết bị vô tuyến |
|
|
|
|
|
|
|
Tổng |
|
|
|
|
|
Mẫu số 04. Đề nghị công nhận kết quả triển khai nhanh hạ tầng mạng 5G đủ điều kiện được hỗ trợ tài chính
__________________________________________________________________________
|
TÊN DOANH NGHIỆP |
CỘNG HÒA XÃ HỘI CHỦ NGHĨA VIỆT NAM |
ĐỀ NGHỊ CÔNG NHẬN KẾT QUẢ TRIỂN KHAI NHANH
HẠ TẦNG MẠNG 5G ĐỦ ĐIỀU KIỆN ĐƯỢC HỖ TRỢ TÀI CHÍNH
___________
Kính gửi: Bộ Khoa học và Công nghệ.
Căn cứ Nghị quyết số 193/2025/QH15 ngày 19 tháng 02 năm 2025 của Quốc hội về thí điểm một số cơ chế, chính sách đặc biệt tạo đột phá phát triển khoa học, công nghệ, đổi mới sáng tạo và chuyển đổi số quốc gia;
Căn cứ Nghị định số……../2025/NĐ-CP ngày ....tháng.... năm 2025 của Chính phủ quy định chi tiết và hướng dẫn thi hành Nghị quyết số 193/2025/QH15;
(Tên doanh nghiệp) đề nghị công nhận kết quả triển khai nhanh hạ tầng mạng 5G đủ điều kiện được hỗ trợ tài chính như sau:
Phần 1. Thông tin chung
1. Tên doanh nghiệp viết bằng tiếng Việt: (Tên ghi trên giấy chứng nhận đăng ký doanh nghiệp/giấy chứng nhận đăng ký đầu tư, ghi bằng chữ in hoa)………………………..
2. Địa chỉ trụ sở chính: (Địa chỉ ghi trên giấy chứng nhận đăng ký doanh nghiệp/giấy chứng nhận đăng ký đầu tư)…………………
3. Giấy chứng nhận đăng ký doanh nghiệp/giấy chứng nhận đăng ký đầu tư số: .... do .... cấp lần đầu ngày ... tháng … năm ... đăng ký thay đổi lần thứ ...ngày ... tháng ... năm.. .tại…………………………….
4. Điện thoại:…………………….……….Fax:……………….Website……………..
Phần 2. Mô tả tóm tắt về đề nghị công nhận kết quả triển khai nhanh hạ tầng mạng 5G đủ điều kiện được hỗ trợ tài chính
1. Tổng số lượng trạm phát sóng 5G đã triển khai theo từng cấu hình dự kiến và xuất xứ hàng hóa của nhà sản xuất (nước phát triển hoặc nước đang phát triển) triển khai từ ngày 19 tháng 02 năm 2025 đến hết ngày 31 tháng 12 năm 2025: ……………………………..
2. Chi phí thiết bị bình quân cho một trạm phát sóng 5G được mua trong năm 2025 của doanh nghiệp theo từng cấu hình và xuất xứ hàng hóa của nhà sản xuất (nước phát triển hoặc nước đang phát triển) kèm theo số lượng thiết bị tương ứng.
3. Số tiền đề nghị hỗ trợ: …………………….VNĐ (bằng chữ:…………………)
Phần 3. Tài liệu kèm theo
1. Danh sách cụ thể thông tin về các trạm phát sóng 5G đã triển khai và nghiệm thu đưa vào sử dụng từ ngày 19 tháng 02 năm 2025 đến hết ngày 31 tháng 12 năm 2025 theo từng cấu hình và xuất xứ hàng hóa của nhà sản xuất (nước phát triển hoặc nước đang phát triển). Danh sách theo Phụ lục đính kèm.
2. Các tài liệu khác có liên quan.
Phần 4. Cam kết
(Tên doanh nghiệp) xin cam kết:
1. Chịu trách nhiệm trước pháp luật về tính chính xác, trung thực, đầy đủ và tính hợp pháp của nội dung trong văn bản đề nghị công nhận kết quả triển khai nhanh hạ tầng mạng 5G đủ điều kiện được hỗ trợ tài chính và các tài liệu kèm theo.
2. Cam kết nộp trả lại ngân sách nhà nước số tiền đã được hỗ trợ và nộp phạt nếu vi phạm các quy định về hỗ trợ tài chính triển khai nhanh hạ tầng 5G.
|
Nơi nhận: |
NGƯỜI ĐẠI DIỆN THEO PHÁP LUẬT |
Đầu mối liên hệ về hồ sơ đề nghị hỗ trợ tài chính (họ tên, chức vụ, điện thoại)
DANH SÁCH TRẠM PHÁT SÓNG 5G ĐƯỢC HƯỞNG HỖ TRỢ
|
STT |
Tỉnh |
Mã trạm |
Địa chỉ trạm |
Chủng loại thiết bị |
Hãng sản xuất |
Xuất xứ |
Giá thiết bị |
Ngày triển khai lắp đặt, xây dựng |
Ngày nghiệm thu và đưa vào sử dụng |
Số, ngày tháng của quyết định phê duyệt quyết toán dự án hoặc quyết toán công trình |
|
1 |
|
|
|
Thiết bị vô |
|
|
|
|
|
|
|
2 |
|
|
|
Thiết bị vô |
|
|
|
|
|
|
|
3 |
|
|
|
Thiết bị vô |
|
|
|
|
|
|
|
4 |
|
|
|
Thiết bị vô |
|
|
|
|
|
|
|
5 |
|
|
|
Thiết bị vô |
|
|
|
|
|
|
Mẫu số 05. Bản khai đề nghị cấp giấy phép sử dụng tần số và thiết bị vô tuyến điện
__________________________________________________________________________
CỘNG HÒA XÃ HỘI CHỦ NGHĨA VIỆT NAM
Độc lập – Tự do – Hạnh phúc
_______________________
|
Số: |
BẢN KHAI ĐỀ NGHỊ CẤP GIẤY PHÉP SỬ DỤNG TẦN SỐ
VÀ THIẾT BỊ VÔ TUYẾN ĐIỆN
Kính gửi: Cục Tần số vô tuyến điện.
|
1. TÊN TỔ CHỨC ĐỀ NGHỊ |
|
||
|
1.1. Mã số thuế (đối với tổ chức):…………………………………………………………………………… Địa chỉ trụ sở chính:………………………………………………………………………………………… Cơ quan quản lý thuế: ……………………………………………………….……………………………… |
|||
|
1.2. Địa chỉ liên lạc: …………………………………………………………………………………………. |
|||
|
1.3. Số điện thoại liên hệ: ……………………………………………………………………………………. 1.4. Email: …………………………………………………………………………………………………… |
|||
|
2. HÌNH THỨC NHẬN KẾT QUẢ |
£ Trực tiếp £ Dịch vụ bưu chính £ Trực tuyến |
||
|
3. ĐẦU MỐI LIÊN LẠC TRONG TRƯỜNG HỢP XẢY RA NHIỄU CÓ HẠI 3.1. Điện thoại: 3.2. Email: |
|||
|
4. BẢN KHAI |
£ Cấp £ Sửa đổi, bổ sung cho giấy phép số………. |
||
|
5. GIẤY PHÉP VIỄN THÔNG THEO QUY ĐỊNH |
Số: Ngày cấp: Ngày hết hạn: |
||
|
6. CÁC LOẠI THIẾT BỊ ĐẦU CUỐI |
|||
|
LOẠI THIẾT BỊ THỨ... (NHẤT,HAI,...) |
£ Cố định £ Di động |
||
|
a) Tên thiết bị |
|
||
|
b) Công suất phát lớn nhất (W)/EIRP lớn nhất (dBW) |
|
||
|
c) Dải tần phát (MHz) |
Từ (MHz) đến (MHz) |
||
|
d) Dải tần thu (MHz) |
Từ (MHz) đến (MHz) |
||
|
đ) Ký hiệu phát xạ |
|
||
|
e) Ăng ten |
Kích thước (cm) |
|
|
|
Hệ số khuếch đại (dBi) |
Phát: /Thu: |
||
|
Phân cực phát |
|
||
|
Phân cực thu |
|
||
|
Góc ngẩng nhỏ nhất (°) đối với thiết bị đặt cố định trên mặt đất |
|
||
|
7. THÔNG TIN VỀ VỆ TINH (ĐÀI KHÔNG GIAN) |
|||
|
7.1. Tên đăng ký của vệ tinh với ITU: 7.2. Tên thương mại của vệ tinh: 7.3. Số hồ sơ đăng ký với ITU: |
|||
|
8. CÁC THÔNG TIN KHÁC |
|
||
|
9. TỔ CHỨC ... CAM KẾT: 9.1. Thiết bị vô tuyến điện phù hợp quy chuẩn kỹ thuật về phát xạ vô tuyến điện, an toàn bức xạ vô tuyến điện và tương thích điện tử theo quy định. 9.2. Thực hiện quy định của pháp luật về bảo đảm an toàn, an ninh thông tin; kiểm tra giải quyết nhiễu có hại và an toàn bức xạ vô tuyến điện. 9.3. Tuân thủ các yêu cầu kỹ thuật và khai thác theo quy định của Liên minh viễn thông quốc tế đối với hoạt động của vệ tinh phi địa tĩnh. 9.4. Thực hiện phối hợp với các hệ thống vệ tinh mà Việt Nam đã đăng ký hoặc sẽ đăng ký với Liên minh Viễn thông quốc tế; không gây cản trở hoặc ảnh hưởng bất lợi đến việc triển khai trong tương lai hệ thống vệ tinh phi địa tĩnh của Việt Nam. 9.5. Việc sử dụng tần số phải bảo đảm không gây nhiễu có hại cho và không được bảo vệ khỏi nhiễu từ các thiết bị vô tuyến điện được cấp giấy phép sử dụng tần số vô tuyến điện tại Việt Nam và các hệ thống thông tin liên lạc phục vụ mục đích quốc phòng, an ninh; trường hợp gây nhiễu có hại phải ngừng ngay việc sử dụng cho đến khi khắc phục được nhiễu có hại. Việc sử dụng tần số và xử lý nhiễu có hại giữa các hệ thống vệ tinh phi địa tĩnh thực hiện theo quy định của Liên minh Viễn thông quốc tế. 9.6. Lưu trữ, cung cấp thông tin về thông số kỹ thuật, khai thác của thiết bị vô tuyến điện bao gồm cả vị trí của thiết bị cố định, khu vực hoạt động và số đăng ký của phương tiện đặt thiết bị khi có yêu cầu của cơ quan quản lý. 9.7. Kê khai đúng và chịu hoàn toàn trách nhiệm với bản khai; nộp phí, lệ phí theo quy định. |
|||
…….., ngày ….. tháng ….. năm…….
QUYỀN HẠN, CHỨC VỤ CỦA NGƯỜI KÝ
(Chữ ký của người có thẩm quyền
đại diện cho tổ chức đề nghị cấp phép và đóng dấu đối với tổ chức)
Họ và tên
HƯỚNG DẪN KÊ KHAI BẢN KHAI
Được dùng để kê khai khi đề nghị cấp giấy phép hoặc sửa đổi, bổ sung nội dung giấy phép đã được cấp đối với mạng đài trái đất liên lạc với chùm vệ tinh.
Số: Kê khai số ký hiệu công văn của tổ chức đề nghị cấp, sửa đổi, bổ sung nội dung giấy phép.
1. TÊN TỔ CHỨC ĐỀ NGHỊ
Viết tên của tổ chức đề nghị cấp, sửa đổi, bổ sung nội dung giấy phép (chính xác theo thông tin trên Giấy chứng nhận đăng ký thuế của tổ chức). Khuyến nghị ghi bằng chữ in hoa.
1.1. Kê khai các thông tin chính xác theo Giấy chứng nhận đăng ký thuế của tổ chức.
1.2. Ghi địa chỉ liên lạc của tổ chức khi địa chỉ này khác với địa chỉ đặt trụ sở của tổ chức. Địa chỉ này được sử dụng để cơ quan quản lý gửi kết quả xử lý hồ sơ. Trường hợp không kê khai, mặc định là trùng với địa chỉ trụ sở của tổ chức.
1.3. Kê khai số điện thoại liên hệ của tổ chức đề nghị cấp, sửa đổi, bổ sung nội dung giấy phép để cơ quan quản lý gửi các thông tin hỗ trợ.
1.4. Kê khai địa chỉ email của tổ chức đề nghị cấp, sửa đổi, bổ sung nội dung giấy phép.
2. HÌNH THỨC NHẬN KẾT QUẢ
Tổ chức lựa chọn một trong bốn hình thức nhận kết quả xử lý hồ sơ:
- Đánh dấu “X” vào ô “Trực tiếp” thì kết quả giải quyết hồ sơ được trả tại các địa điểm trả kết quả theo quy định.
- Đánh dấu “X” vào ô “Dịch vụ bưu chính” thì kết quả giải quyết hồ sơ sẽ được gửi trả cho tổ chức qua đường bưu chính theo địa chỉ liên lạc tổ chức kê khai tại mục 1.2.
- Đánh dấu “X” vào ô “Trực tuyến” thì kết quả giải quyết hồ sơ nhận trực tuyến qua phương thức điện tử.
Trường hợp không đánh dấu vào nội dung nào kết quả giải quyết hồ sơ sẽ được gửi qua Dịch vụ bưu chính.
3. ĐẦU MỐI LIÊN LẠC TRONG TRƯỜNG HỢP XẢY RA NHIỄU CÓ HẠI
Kê khai đầu mối liên lạc (điện thoại, email) để phối hợp khi có yêu cầu của cơ quan quản lý. Khi thay đổi đầu mối liên lạc phải thông báo cho cơ quan quản lý.
4. BẢN KHAI
Đánh dấu “X” vào ô “Cấp” nếu tổ chức đề nghị cấp giấy phép hoặc đánh dấu “X” vào ô “Sửa đổi, bổ sung cho giấy phép số...” và điền số giấy phép đề nghị sửa đổi, bổ sung nếu tổ chức đề nghị sửa đổi, bổ sung nội dung giấy phép.
Kê khai tất cả các thông số trong Bản khai thông số kỹ thuật, khai thác khi đề nghị cấp.
Chỉ kê khai các thông số có thay đổi hoặc bổ sung vào Bản khai thông số kỹ thuật, khai thác khi bổ sung, sửa đổi. Các thông số khác không thay đổi, giữ nguyên không cần kê khai.
5. GIẤY PHÉP VIỄN THÔNG THEO QUY ĐỊNH
Kê khai số giấy phép thiết lập mạng viễn thông, ngày cấp và ngày hết hạn của giấy phép nếu thuộc đối tượng phải có giấy phép viễn thông theo quy định về viễn thông.
6. CÁC LOẠI THIẾT BỊ ĐẦU CUỐI
Có thể kê khai nhiều loại thiết bị trong một bản khai.
Trường hợp mạng có nhiều loại thiết bị khác nhau, có thể kê khai lần lượt theo thứ tự loại thiết bị thứ hai, thứ ba, thứ tư,... và kê khai lần lượt các mục tương ứng. Các thiết bị cùng loại, có thông số giống nhau kê khai 01 lần.
LOẠI THIẾT BỊ THỨ ... (NHẤT, HAI,...)
Đánh dấu “X” tại ô cố định đối với trường hợp thiết bị cố định. Đánh dấu “X” tại ô di động đối với trường hợp thiết bị di động.
- Tên thiết bị: Kê khai tên thiết bị hoặc ký hiệu (model) của thiết bị.
- Công suất phát lớn nhất (W): Kê khai mức công suất phát lớn nhất thiết kế của thiết bị (W).
- Dải tần phát (MHz): Kê khai dải tần phát của đài (là dải tần số mà thiết bị có thể làm việc theo thiết kế chế tạo) theo đơn vị MHz.
- Dải tần thu (MHz): Kê khai dải tần thu của đài (là dải tần số mà thiết bị có thể làm việc theo thiết kế chế tạo) theo đơn vị MHz.
- Ký hiệu phát xạ: Kê khai các ký hiệu phát xạ đề nghị sử dụng theo thiết kế chế tạo của thiết bị. Ví dụ: 240MD7W, 62M5D7W...
- Ăng-ten: Kê khai các thông số của ăng-ten bao gồm:
+ Kích thước: Kê khai kích thước của ăng-ten theo thiết kế chế tạo, tính bằng xăng ti mét (cm).
+ Hệ số khuếch đại: Kê khai hệ số khuếch đại phát và hệ số khuếch đại thu của ăng-ten theo đơn vị dBi, ví dụ: 10/9.
+ Phân cực phát: Kê khai phân cực phát của ăng-ten: Ví dụ: Với phân cực tuyến tính, ghi rõ “đứng” hoặc “ngang”; với phân cực tròn, ghi rõ “trái” hoặc “phải” hoặc trường hợp khác.
+ Phân cực thu: Kê khai phân cực thu của ăng-ten: Ví dụ: Với phân cực tuyến tính, ghi rõ “đứng” hoặc “ngang”; với phân cực tròn, ghi rõ “trái” hoặc “phải” hoặc trường hợp khác.
+ Góc ngẩng nhỏ nhất đối với thiết bị đặt cố định trên mặt đất: Kê khai góc nhỏ nhất giữa hướng của ăng-ten với mặt phẳng nằm ngang.
7. THÔNG TIN VỀ VỆ TINH (ĐÀI KHÔNG GIAN)
7.1. Tên đăng ký của vệ tinh với ITU: Kê khai tên đăng ký của vệ tinh với ITU là tên của vệ tinh (satellite network) đã được đăng ký với ITU.
7.2. Tên thương mại của vệ tinh: Kê khai tên thương mại là tên của vệ tinh mà nhà cung cấp dung lượng vệ tinh hay sử dụng khi làm việc với đối tác.
7.3. Số hồ sơ đăng ký với ITU: Kê khai số hồ sơ đăng ký với ITU.
8. CÁC THÔNG TIN KHÁC
Kê khai các thông tin cần bổ sung chưa có trong bản khai nếu có.
(Ghi chức danh quyền hạn, ký và ghi rõ họ tên của người ký,
đóng dấu của tổ chức đề nghị cấp phép)
Mẫu số 06. Giấy phép sử dụng tần số và thiết bị vô tuyến điện
__________________________________________________________________________
|
BỘ KHOA HỌC VÀ CÔNG NGHỆ |
CỘNG HÒA XÃ HỘI CHỦ NGHĨA VIỆT NAM |
GIẤY PHÉP
SỬ DỤNG TẦN SỐ VÀ THIẾT BỊ VÔ TUYẾN ĐIỆN
Cấp lần đầu ngày………………………………………..
Có giá trị đến hết ngày…………
CỤC TRƯỞNG CỤC TẦN SỐ VÔ TUYẾN ĐIỆN
Căn cứ Luật Tần số vô tuyến điện ngày 23 tháng 11 năm 2009; Luật sửa đổi, bổ sung một số điều của Luật Tần số vô tuyến điện ngày 09 tháng 11 năm 2022;
Căn cứ Nghị quyết số 193/2025/QH15 ngày 19 tháng 02 năm 2025 về thí điểm một số cơ chế, chính sách đặc thù tạo đột phá phát triển khoa học, công nghệ, đổi mới sáng tạo và chuyển đổi số quốc gia;
Căn cứ Nghị định số .../2025/NĐ-CP ngày…..tháng... năm... của Chính phủ quy định chi tiết một số điều của Nghị quyết số 193/2025/QH15 ngày 19 tháng 02 năm 2025 của Quốc hội về thí điểm một số cơ chế, chính sách đặc thù tạo đột phá phát triển khoa học, công nghệ, đổi mới sáng tạo và chuyển đổi số quốc gia;
Căn cứ Quyết định số... ngày ... tháng ....năm ... của Thủ tướng Chính phủ phê duyệt Đề án thí điểm..;
Căn cứ Quyết định số... ngày... tháng.... năm ... của Bộ trưởng Bộ Khoa học và Công nghệ về chức năng, nhiệm vụ, quyền hạn và cơ cấu tổ chức của Cục Tần số vô tuyến điện;
Xét hồ sơ đề nghị cấp phép của ... (tên tổ chức)...
CHO PHÉP
Điều 1. Tổ chức:
Địa chỉ:
1. Mục đích sử dụng:
2. Loại nghiệp vụ:
3. Số lượng thiết bị đầu cuối sử dụng dịch vụ tối đa trong mạng:
4. Thông số kỹ thuật của thiết bị đầu cuối sử dụng dịch vụ trong mạng:
Công suất lớn nhất (W): EIRP lớn nhất (dBW):
Tần số phát (MHz): Ký hiệu phát xạ:
Tần số thu (MHz): Ký hiệu phát xạ:
5. Giới hạn phạm vi triển khai:
6. Vệ tinh liên lạc:
Tên vệ tinh (tên thương mại)/Tên hồ sơ vệ tinh đăng ký với ITU:
Điều 2. Điều kiện khai thác:
Điều 3. Trong quá trình hoạt động, (tên tổ chức được cấp phép) có trách nhiệm:
- Chấp hành quy định pháp luật về tần số vô tuyến điện;
- Báo cáo số lượng thiết bị đầu cuối sử dụng dịch vụ theo quy định;
- Nộp lệ phí giấy phép, phí sử dụng tần số vô tuyến điện theo quy định.
|
|
CỤC TRƯỞNG |
Mẫu số 07. Văn bản đăng ký đầu tư xây dựng nhà máy chế tạo chíp bán dẫn quy mô nhỏ, công nghệ cao, phục vụ nghiên cứu, đào tạo, thiết kế, chế tạo thử, kiểm chứng công nghệ và sản xuất chíp bán dẫn chuyên dụng của Việt Nam
__________________________________________________________________________
CỘNG HÒA XÃ HỘI CHỦ NGHĨA VIỆT NAM
Độc lập - Tự do - Hạnh phúc
_____________________
..…, ngày ... tháng ... năm...
VĂN BẢN ĐĂNG KÝ
ĐẦU TƯ XÂY DỰNG DỰ ÁN NHÀ MÁY CHẾ TẠO CHÍP
QUY MÔ NHỎ, CÔNG NGHỆ CAO PHỤC VỤ NGHIÊN CỨU,
ĐÀO TẠO, THIẾT KẾ, CHẾ TẠO THỬ, KIỂM CHỨNG CÔNG NGHỆ
VÀ SẢN XUẤT CHÍP BÁN DẪN CHUYÊN DỤNG CỦA VIỆT NAM
____________
Kính gửi: Bộ Khoa học và Công nghệ.
1. Thông tin chung
Tên doanh nghiệp đăng ký:...
Trụ sở doanh nghiệp:...
Địa chỉ doanh nghiệp:...
Số điện thoại:... Fax:...
2. Đại diện doanh nghiệp
Họ và tên:... Chức vụ:...
Số định danh cá nhân/CCCD/Hộ chiếu: số:…. ngày cấp.... nơi cấp………..
3. Chúng tôi xin chuyển đến quý bộ hồ sơ sau:
- Bản sao (được chứng thực hoặc có bản gốc để đối chiếu) của một trong các loại giấy tờ sau: Giấy chứng nhận đăng ký kinh doanh; giấy chứng nhận đăng ký doanh nghiệp; giấy chứng nhận đầu tư.
- Bản thuyết minh doanh nghiệp đáp ứng các tiêu chí đầu tư xây dựng dự án nhà máy đầu tiên chế tạo chíp bán dẫn quy mô nhỏ, công nghệ cao, phục vụ nghiên cứu, đào tạo, thiết kế, chế tạo thử, kiểm chứng công nghệ và sản xuất chíp bán dẫn chuyên dụng của Việt Nam.
Chúng tôi cam kết về tính chính xác, trung thực và hoàn toàn chịu trách nhiệm về các nội dung kê khai trong Hồ sơ.
Kính đề nghị quý bộ xem xét và trình Thủ tướng Chính phủ theo quy định.
|
|
Đại diện doanh nghiệp đề nghị |
Bạn chưa Đăng nhập thành viên.
Đây là tiện ích dành cho tài khoản thành viên. Vui lòng Đăng nhập để xem chi tiết. Nếu chưa có tài khoản, vui lòng Đăng ký tại đây!
Bạn chưa Đăng nhập thành viên.
Đây là tiện ích dành cho tài khoản thành viên. Vui lòng Đăng nhập để xem chi tiết. Nếu chưa có tài khoản, vui lòng Đăng ký tại đây!