- Tổng quan
- Nội dung
- VB gốc
- Tiếng Anh
- Hiệu lực
- VB liên quan
- Lược đồ
-
Nội dung hợp nhất
Tính năng này chỉ có tại LuatVietnam.vn. Nội dung hợp nhất tổng hợp lại tất cả các quy định còn hiệu lực của văn bản gốc và các văn bản sửa đổi, bổ sung, đính chính... trên một trang. Việc hợp nhất văn bản gốc và những văn bản, Thông tư, Nghị định hướng dẫn khác không làm thay đổi thứ tự điều khoản, nội dung.
Khách hàng chỉ cần xem Nội dung hợp nhất là có thể nắm bắt toàn bộ quy định hiện hành đang áp dụng, cho dù văn bản gốc đã qua nhiều lần chỉnh sửa, bổ sung.
- Tải về
Quyết định 896/QĐ-BNN-VPĐP 2024 Hướng dẫn tiêu chí, chỉ tiêu về xã nông thôn mới
| Cơ quan ban hành: | Bộ Nông nghiệp và Phát triển nông thôn |
Số công báo:
Số công báo là mã số ấn phẩm được đăng chính thức trên ấn phẩm thông tin của Nhà nước. Mã số này do Chính phủ thống nhất quản lý.
|
Đang cập nhật |
| Số hiệu: | 896/QĐ-BNN-VPĐP | Ngày đăng công báo: | Đang cập nhật |
| Loại văn bản: | Quyết định | Người ký: | Trần Thanh Nam |
|
Ngày ban hành:
Ngày ban hành là ngày, tháng, năm văn bản được thông qua hoặc ký ban hành.
|
01/04/2024 |
Ngày hết hiệu lực:
Ngày hết hiệu lực là ngày, tháng, năm văn bản chính thức không còn hiệu lực (áp dụng).
|
Đang cập nhật |
|
Áp dụng:
Ngày áp dụng là ngày, tháng, năm văn bản chính thức có hiệu lực (áp dụng).
|
Đã biết
|
Tình trạng hiệu lực:
Cho biết trạng thái hiệu lực của văn bản đang tra cứu: Chưa áp dụng, Còn hiệu lực, Hết hiệu lực, Hết hiệu lực 1 phần; Đã sửa đổi, Đính chính hay Không còn phù hợp,...
|
Đã biết
|
| Lĩnh vực: | Nông nghiệp-Lâm nghiệp, Hành chính |
TÓM TẮT QUYẾT ĐỊNH 896/QĐ-BNN-VPĐP
Nội dung tóm tắt đang được cập nhật, Quý khách vui lòng quay lại sau!
Tải Quyết định 896/QĐ-BNN-VPĐP
|
BỘ NÔNG NGHIỆP |
CỘNG HÒA XÃ HỘI CHỦ NGHĨA VIỆT NAM |
QUYẾT ĐỊNH
Ban hành Hướng dẫn thực hiện một số tiêu chí, chỉ tiêu thuộc
Bộ tiêu chí quốc gia về xã nông thôn mới/xã nông thôn mới nâng cao,
huyện nông thôn mới/huyện nông thôn mới nâng cao và tiêu chí huyện
nông thôn mới đặc thù, không có đơn vị hành chính cấp xã
giai đoạn 2021-2025
_________________________
BỘ TRƯỞNG BỘ NÔNG NGHIỆP VÀ PHÁT TRIỂN NÔNG THÔN
Căn cứ Nghị định số 105/2022/NĐ-CP ngày 22 tháng 12 năm 2022 của Chính phủ quy định chức năng, nhiệm vụ, quyền hạn và cơ cấu tổ chức của Bộ Nông nghiệp và Phát triển nông thôn;
Căn cứ Quyết định số 318/QĐ-TTg ngày 08 tháng 3 năm 2022 của Thủ tướng Chính phủ ban hành Bộ tiêu chí quốc gia về xã nông thôn mới và Bộ tiêu chí quốc gia về xã nông thôn mới nâng cao giai đoạn 2021-2025;
Căn cứ Quyết định số 320/QĐ-TTg ngày 08 tháng 3 năm 2022 của Thủ tướng Chính phủ ban hành Bộ tiêu chí quốc gia về huyện nông thôn mới; quy định thị xã, thành phố trực thuộc cấp tỉnh hoàn thành nhiệm vụ xây dựng nông thôn mới và Bộ tiêu chí quốc gia về huyện nông thôn mới nâng cao giai đoạn 2021-2025;
Căn cứ Quyết định số 211/QĐ-TTg ngày 01 tháng 3 năm 2024 của Thủ tướng Chính phủ sửa đổi một số tiêu chí, chỉ tiêu của Bộ tiêu chí quốc gia về xã nông thôn mới, Bộ tiêu chí quốc gia về xã nông thôn mới nâng cao, Bộ tiêu chí quốc gia về huyện nông thôn mới và Bộ tiêu chí quốc gia về huyện nông thôn mới nâng cao giai đoạn 2021-2025; bổ sung tiêu chí huyện nông thôn mới đặc thù, không có đơn vị hành chính cấp xã giai đoạn 2021-2025;
Theo đề nghị của Chánh Văn phòng Điều phối nông thôn mới Trung ương.
QUYẾT ĐỊNH:
Các văn bản được trích dẫn cụ thể trong Hướng dẫn kèm theo Quyết định này sẽ được áp dụng theo văn bản mới ban hành khi các văn bản điều chỉnh mới có hiệu lực thi hành.
Quyết định số 1680/QĐ-BNN-VPĐP ngày 11 tháng 5 năm 2022 của Bộ Nông nghiệp và Phát triển nông thôn ban hành Hướng dẫn thực hiện một số tiêu chí, chỉ tiêu thuộc Bộ tiêu chí quốc gia về xã nông thôn mới/xã nông thôn mới nâng cao và huyện nông thôn mới/huyện nông thôn mới nâng cao giai đoạn 2021-2025 hết hiệu lực thi hành kể từ ngày Quyết định này có hiệu lực.
|
Nơi nhận: |
KT. BỘ TRƯỞNG |
|
BỘ NÔNG NGHIỆP |
CỘNG HÒA XÃ HỘI CHỦ NGHĨA VIỆT NAM |
HƯỚNG DẪN
Thực hiện một số tiêu chí, chỉ tiêu thuộc Bộ tiêu chí quốc gia
về xã nông thôn mới/xã nông thôn mới nâng cao, huyện nông thôn
mới/huyện nông thôn mới nâng cao và tiêu chí huyện nông thôn mới
đặc thù, không có đơn vị hành chính cấp xã giai đoạn 2021-2025
(Kèm theo Quyết định số: 896/QĐ-BNN-VPĐP ngày 01/4/2024
của Bộ Nông nghiệp và Phát triển nông thôn)
______________________
Chương I
HƯỚNG DẪN THỰC HIỆN MỘT SỐ TIÊU CHÍ, NỘI DUNG TIÊU CHÍ
(GỌI TẮT LÀ CHỈ TIÊU) THUỘC BỘ TIÊU CHÍ QUỐC GIA
VỀ XÃ NÔNG THÔN MỚI GIAI ĐOẠN 2021-2025
Mục 1
TIÊU CHÍ THỦY LỢI VÀ PHÒNG, CHỐNG THIÊN TAI
I. Xã đạt chuẩn tiêu chí số 3 về “Thủy lợi và phòng, chống thiên tai” khi đáp ứng các yêu cầu:
1. Tỷ lệ diện tích đất sản xuất nông nghiệp được tưới và tiêu nước chủ động đạt từ 80% trở lên.
2. Đảm bảo yêu cầu chủ động về phòng chống thiên tai theo phương châm 4 tại chỗ.
II. Đánh giá thực hiện
1. Tỷ lệ diện tích đất sản xuất nông nghiệp được tưới và tiêu nước chủ động:
a) Giải thích từ ngữ: Hình thức tưới, tiêu nước chủ động là việc có công trình thủy lợi thực hiện điều tiết nước tưới, tiêu cho diện tích đất sản xuất nông nghiệp đáp ứng yêu cầu sản xuất trong điều kiện thời tiết bình thường (không có thiên tai và điều kiện bất thường khác).
b) Phương pháp xác định:
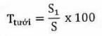
- Tỷ lệ diện tích đất sản xuất nông nghiệp được tưới nước chủ động xác định theo công thức sau:

Trong đó:
+ Ttưới: Tỷ lệ diện tích đất sản xuất nông nghiệp được tưới nước chủ động (%).
+ S1: Diện tích gieo trồng cả năm thực tế được tưới nước chủ động (ha).
+ S: Diện tích gieo trồng cả năm cần tưới nước theo kế hoạch (ha).
S1, S: Được xác định theo số liệu của năm đánh giá đạt chuẩn nông thôn mới (sau đây viết tắt là NTM).
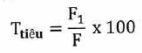
- Tỷ lệ diện tích đất sản xuất nông nghiệp được tiêu nước chủ động xác định theo công thức sau:

Trong đó:
+ Ttiêu: Tỷ lệ diện tích đất sản xuất nông nghiệp được nước tiêu chủ động (%).
+ F1: Diện tích gieo trồng cả năm thực tế được tiêu nước chủ động (ha).
+ F: Diện tích gieo trồng cả năm cần tiêu nước theo kế hoạch (ha).
F1, F: Được xác định theo số liệu của năm đánh giá đạt chuẩn NTM.
Xã được đánh giá là đạt chỉ tiêu 3.1 khi Ttưới ≥ 80% và Ttiêu ≥ 80%.
(Bảng thống kê diện tích được tưới tiêu chủ động tham khảo biểu mẫu 1 Phụ lục I kèm theo Hướng dẫn này).
Ghi chú: Đối với các xã có đất nuôi trồng thủy sản hoặc đất làm muối được đánh giá là đạt chỉ tiêu 3.1 khi có tỷ lệ diện tích nuôi trồng thủy sản hoặc đất làm muối được cấp, thoát nước chủ động đạt từ 80% trở lên.
Xác định theo công thức:

Trong đó:
+ Tk: Tỷ lệ diện tích đất nuôi trồng thủy sản hoặc đất làm muối được cấp, thoát nước chủ động (%).
+ K1: Diện tích đất nuôi trồng thủy sản hoặc đất làm muối thực tế được cấp, thoát nước chủ động (ha).
+ K: Diện tích đất nuôi trồng thủy sản hoặc đất làm muối cần cấp, thoát nước theo kế hoạch (ha).
K1, K: Được xác định theo số liệu của năm đánh giá đạt chuẩn NTM.
Cấp, thoát nước chủ động là việc có công trình thủy lợi thực hiện điều tiết cấp, thoát nước cho nuôi trồng thủy sản hoặc làm muối đáp ứng sản xuất trong điều kiện thời tiết bình thường (không có thiên tai và điều kiện bất thường khác).
Xã được đánh giá là đạt chỉ tiêu 3.1 khi Tk đạt ≥ 80%.
c) Về mức đạt chuẩn: Ủy ban nhân dân (sau đây viết tắt là UBND) cấp tỉnh căn cứ hướng dẫn về phương pháp xác định ở trên để quy định cụ thể đối với các nhóm xã trên địa bàn phù hợp với điều kiện đặc thù, theo hướng đảm bảo mục tiêu cơ cấu lại ngành nông nghiệp, thích ứng với biến đổi khí hậu và hình thành các vùng sản xuất nông sản hàng hóa phát triển bền vững, đảm bảo mức đạt chuẩn không thấp hơn so với quy định của Trung ương.
2. Đảm bảo yêu cầu chủ động về phòng chống thiên tai theo phương châm 4 tại chỗ:
a) Đảm bảo tất cả các mục yêu cầu “có” tại cột yêu cầu phải đáp ứng “có”.
b) Kết quả chấm điểm đạt từ 50 điểm đến dưới 70 điểm.
(Biểu đánh giá, chấm điểm chi tiết tại Phụ lục II kèm theo Hướng dẫn này).
Mục 2
CÁC CHỈ TIÊU 13.2, 13.3, 13.4, 13.5 THUỘC TIÊU CHÍ TỔ CHỨC SẢN
XUẤT VÀ PHÁT TRIỂN KINH TẾ NÔNG THÔN
I. Xã đạt chuẩn các chỉ tiêu 13.2, 13.3, 13.4, 13.5 thuộc tiêu chí số 13 về “Tổ chức sản xuất và phát triển kinh tế nông thôn” khi đáp ứng các yêu cầu:
1. Xã có mô hình liên kết sản xuất gắn với tiêu thụ sản phẩm chủ lực đảm bảo bền vững.
2. Thực hiện truy xuất nguồn gốc các sản phẩm chủ lực của xã gắn với xây dựng vùng nguyên liệu và được chứng nhận VietGAP hoặc tương đương.
3. Có kế hoạch và triển khai kế hoạch bảo tồn, phát triển làng nghề, làng nghề truyền thống (nếu có) gắn với hạ tầng về bảo vệ môi trường.
4. Có tổ khuyến nông cộng đồng hoạt động hiệu quả.
II. Đánh giá thực hiện
1. Xã có mô hình liên kết sản xuất gắn với tiêu thụ sản phẩm chủ lực đảm bảo bền vững:
a) Xã có mô hình liên kết sản xuất gắn với tiêu thụ nông sản chủ lực đảm bảo bền vững khi: Trên địa bàn xã có mô hình liên kết sản xuất và tiêu thụ nông sản chủ lực dựa trên hợp đồng liên kết ổn định tối thiểu là một (01) chu kỳ sản xuất đối với cây lâm nghiệp, hai (02) chu kỳ nuôi, trồng, khai thác đối với các sản phẩm nông nghiệp khác và được sản xuất theo quy trình và chất lượng thống nhất giữa các bên tham gia liên kết.
b) Sản phẩm nông nghiệp chủ lực của xã là sản phẩm phù hợp với điều kiện sản xuất của địa phương, người dân có kinh nghiệm sản xuất, gần thị trường lớn... để cho ra sản phẩm an toàn, chất lượng cao, giá thành cạnh tranh, có diện tích sản xuất (đối với trồng trọt, lâm nghiệp), quy mô đàn, sản lượng (đối với chăn nuôi, thủy sản) lớn và gắn với hoạt động sinh kế của đa số người dân trong xã; hoặc có hiệu quả kinh tế cao (gấp tối thiểu 1,5 lần sản phẩm đại trà khác của xã) và có tiềm năng mở rộng. Sản phẩm nông nghiệp chủ lực của xã phải phù hợp với quy hoạch hoặc định hướng cơ cấu lại nông nghiệp của xã.
2. Thực hiện truy xuất nguồn gốc các sản phẩm chủ lực của xã gắn với xây dựng vùng nguyên liệu và được chứng nhận VietGAP hoặc tương đương:
a) Có sản phẩm nông sản chủ lực của xã được các cơ sở sản xuất kinh doanh thiết lập hệ thống truy xuất nguồn gốc đảm bảo các yêu cầu lưu trữ, truy xuất thông tin ở mỗi công đoạn từ sản xuất đến lưu trữ, chế biến và thương mại sản phẩm.
b) Có sản phẩm nông sản chủ lực của xã được sản xuất theo quy trình thực hành sản xuất tốt hoặc tiêu chuẩn chất lượng có chứng nhận được các cơ quan, tổ chức có thẩm quyền chứng nhận, còn hiệu lực.
3. Có kế hoạch và triển khai kế hoạch bảo tồn, phát triển làng nghề, làng nghề truyền thống (nếu có) gắn với hạ tầng về bảo vệ môi trường:
a) Xã có kế hoạch bảo tồn và phát triển làng nghề, làng nghề truyền thống (nếu có) gắn với hạ tầng bảo vệ môi trường được cấp có thẩm quyền phê duyệt và được triển khai thực hiện đúng theo kế hoạch.
b) Kế hoạch bảo tồn và phát triển làng nghề, làng nghề truyền thống phải thể hiện được những nội dung, nhiệm vụ cơ bản sau:
- Tuyên truyền, phổ biến nâng cao nhận thức, hiểu biết về tầm quan trọng của làng nghề đối với phát triển kinh tế - xã hội của địa phương.
- Khôi phục và duy trì các lễ, hội của các làng nghề, làng nghề truyền thống.
- Bảo vệ cảnh quan, không gian làng nghề, làng nghề truyền thống.
- Đầu tư nâng cấp cơ sở hạ tầng phục vụ sản xuất như: đường giao thông, điện, kho bãi...
- Có hệ thống thu gom xử lý rác thải, nước sản xuất tập trung tại các làng nghề, làng nghề truyền thống
- Tổ chức và hỗ trợ đào tạo, truyền nghề;
- Xúc tiến thương mại đối với các sản phẩm làng nghề, làng nghề truyền thống: Đăng ký nhãn hiệu hàng hóa, quảng bá thương hiệu, tham gia các hội chợ thương mại, tiêu thụ sản phẩm làng nghề.
4. Có tổ khuyến nông cộng đồng hoạt động hiệu quả:
a) Thành lập và hoạt động tổ khuyến nông cộng đồng:
- Thành lập:
+ Tổ khuyến nông cộng đồng là tổ chức khuyến nông tự nguyện với thành phần nòng cốt là cán bộ khuyến nông cơ sở và các cá nhân trên địa bàn (cán bộ thú y, bảo vệ thực vật, kiểm lâm,...), đại diện các tổ chức chuyên môn, chính trị, xã hội, đoàn thể, kinh tế tại địa phương (Hội nông dân, Hội phụ nữ, Đoàn thanh niên, hợp tác xã, doanh nghiệp,...), nông dân sản xuất giỏi tại địa phương.
+ Số lượng thành viên tổ khuyến nông cộng đồng tùy theo điều kiện cụ thể của từng địa phương, tối thiểu là 05 người.
+ Tổ khuyến nông cộng đồng xây dựng nội quy, quy chế, điều lệ hoạt động của tổ và hoạt động theo quy định của pháp luật hiện hành; có quy chế phối hợp với hệ thống khuyến nông, chính quyền và các tổ chức có liên quan tại địa phương.
- Chức năng, nhiệm vụ:
+ Chuyển giao tiến bộ kỹ thuật nông nghiệp và công nghệ, tổ chức quản lý sản xuất kinh doanh nông nghiệp hiệu quả và bền vững.
+ Tư vấn, dịch vụ giống, vật tư, thiết bị nông nghiệp, bảo vệ thực vật, thú y,...
+ Tư vấn chính sách và pháp luật về nông nghiệp và phát triển nông thôn; tư vấn thành lập, phát triển hợp tác xã (sau đây viết tắt là HTX) nông nghiệp, tổ hợp tác; tư vấn, dịch vụ tổ chức quản lý sản xuất, chuyển đổi số, quản lý chất lượng, truy xuất nguồn gốc, xây dựng nhãn hiệu, thương hiệu sản phẩm, xúc tiến thương mại, tiêu thụ nông sản.
+ Tham gia Chương trình xây dựng NTM, chương trình đào tạo nghề nông nghiệp cho lao động nông thôn, bảo tồn và phát triển các ngành nghề, làng nghề truyền thống.
+ Tham gia phát triển du lịch nông thôn gắn với nông nghiệp sinh thái, bảo tồn các giá trị văn hóa nông thôn.
+ Thực hiện các nhiệm vụ khác để phát triển khuyến nông.
- Địa điểm, phương tiện làm việc: UBND xã bố trí, sắp xếp về địa điểm và phương tiện làm việc cho tổ khuyến nông cộng đồng hoạt động ổn định, lâu dài.
- Quản lý: Tổ khuyến nông cộng đồng chịu sự quản lý về chuyên môn của các cơ quan có thẩm quyền ở địa phương.
- Kinh phí hoạt động: Ngân sách cấp theo các nhiệm vụ được giao; nguồn thu từ các hoạt động tư vấn, dịch vụ; nguồn thu từ các hoạt động liên kết, hợp tác với các tổ chức, cá nhân; nguồn thu từ tham gia các dự án, đề tài; nguồn vốn vay từ các ngân hàng, tổ chức tín dụng theo quy định và nguồn thu khác theo quy định của pháp luật.
b) Đánh giá hiệu quả hoạt động của tổ khuyến nông cộng đồng:
|
TT |
Nội dung đánh giá (*) |
Chỉ số (*) |
Kết quả thực hiện |
Đánh giá |
|
|
Đạt |
Không đạt |
||||
|
1 |
Có tổ khuyến nông cộng đồng được thành lập |
Có/Không |
|
|
|
|
2 |
Chuyển giao tiến bộ kỹ thuật trong nông nghiệp |
Số lượng mô hình, kỹ thuật, công nghệ được chuyển giao |
|
|
|
|
3 |
Tham gia đào tạo, tập huấn cho nông dân/HTX |
Số lớp/số lượng học viên được đào tạo, tập huấn |
|
|
|
|
4 |
Tư vấn hỗ trợ phát triển HTX, tổ hợp tác |
- Số lượng HTX, tổ hợp tác được tư vấn thành lập mới. - Số lượng HTX, tổ hợp tác được tư vấn, hỗ trợ hoạt động. |
|
|
|
|
5 |
Hợp đồng tư vấn khuyến nông với các chủ thể |
Số lượng hợp đồng tư vấn |
|
|
|
|
6 |
Tư vấn liên kết sản xuất, kết nối thị trường |
Số lượng hợp đồng liên kết sản xuất |
|
|
|
|
7 |
Tư vấn quản lý chất lượng, truy xuất nguồn gốc |
Số lượng sản phẩm đạt tiêu chuẩn/truy xuất nguồn gốc |
|
|
|
|
8 |
Tư vấn về chính sách |
Số lượng HTX, tổ hợp tác/nông dân được tư vấn, hướng dẫn |
|
|
|
|
9 |
Tư vấn, dịch vụ giống, vật tư, thiết bị nông nghiệp, bảo vệ thực vật, thú y |
Đáp ứng bao nhiêu % số hộ/HTX sản xuất nông nghiệp |
|
|
|
|
10 |
Tham gia các hoạt động phát triển cộng đồng tại địa phương |
Có/Không |
|
|
|
(*) Nội dung đánh giá và chỉ số đánh giá do UBND cấp tỉnh quy định cụ thể phù hợp với điều kiện thực tế của địa phương.
Mục 3
CÁC CHỈ TIÊU 17.1, 17.4, 17.9, 17.10 THUỘC TIÊU CHÍ
MÔI TRƯỜNG VÀ AN TOÀN THỰC PHẨM
I. Xã đạt chuẩn các chỉ tiêu 17.1, 17.4, 17.9, 17.10 thuộc tiêu chí số 17 về “Môi trường và an toàn thực phẩm” khi đáp ứng các yêu cầu:
1. Tỷ lệ hộ được sử dụng nước sạch theo quy chuẩn.
2. Đất cây xanh sử dụng công cộng tại điểm dân cư nông thôn.
3. Tỷ lệ cơ sở chăn nuôi đảm bảo các quy định về vệ sinh thú y, chăn nuôi và bảo vệ môi trường.
4. Tỷ lệ hộ gia đình và cơ sở sản xuất, kinh doanh thực phẩm tuân thủ các quy định về đảm bảo an toàn thực phẩm.
II. Đánh giá thực hiện
1. Tỷ lệ hộ được sử dụng nước sạch theo quy chuẩn:
a) Giải thích từ ngữ:
- Nước sạch đạt quy chuẩn là nước có các thông số chất lượng nước đáp ứng các chỉ tiêu theo quy định của Quy chuẩn kỹ thuật quốc gia về chất lượng nước sạch sử dụng cho mục đích sinh hoạt do Bộ Y tế ban hành hoặc Quy chuẩn kỹ thuật địa phương về chất lượng nước sạch sử dụng cho mục đích sinh hoạt do địa phương ban hành (sau đây gọi tắt là quy chuẩn).
- Nước sạch đạt quy chuẩn được xác định bao gồm từ các công trình cấp nước tập trung và công trình cấp nước hộ gia đình có chất lượng nước đáp ứng quy chuẩn.
- Hệ thống cấp nước tập trung nông thôn/Công trình cấp nước sạch nông thôn tập trung là công trình cấp nước sạch phục vụ cho mục đích sinh hoạt, cấp nước cho quy mô từ cấp thôn, bản, làng, xóm, ấp hoặc tương đương trở lên.
- Công trình cấp nước hộ gia đình là công trình cấp nước sinh hoạt nông thôn do hộ gia đình tự khai thác, xử lý nước để cấp cho một, một vài hộ gia đình hoặc nhóm hộ gia đình.
b) Phương pháp xác định:
Chỉ tiêu 17.1 được đánh giá đạt khi có tỷ lệ hộ được sử dụng nước sạch đạt quy chuẩn bằng hoặc cao hơn mức quy định đối với từng vùng.
- Đối với xã không sử dụng nước sạch từ công trình cấp nước tập trung: Chỉ tiêu 17.1 được đánh giá bằng tỷ lệ hộ được sử dụng nước sạch đạt quy chuẩn từ công trình cấp nước hộ gia đình trên tổng số hộ gia đình của xã tại cùng thời điểm đánh giá.
- Đối với xã sử dụng nước sạch từ công trình cấp nước tập trung: Chỉ tiêu 17.1 được đánh giá bằng tỷ lệ hộ được sử dụng nước sạch đạt quy chuẩn từ công trình cấp nước sạch tập trung và số hộ sử dụng nước sạch đạt quy chuẩn từ công trình cấp nước hộ gia đình trên tổng số hộ gia đình của xã tại cùng thời điểm đánh giá. Trong đó, tỷ lệ hộ gia đình sử dụng nước sạch đạt quy chuẩn từ công trình cấp nước sạch tập trung phải bằng hoặc cao hơn tỷ lệ hộ theo quy định của UBND cấp tỉnh.
UBND cấp tỉnh căn cứ vào điều kiện cấp nước nông thôn cụ thể của từng địa phương để quy định tỷ lệ hộ gia đình sử dụng nước sạch đạt quy chuẩn từ công trình cấp nước sạch tập trung.
c) Địa phương sử dụng kết quả thực hiện Bộ chỉ số theo dõi đánh giá nước sạch nông thôn hàng năm hoặc tổ chức điều tra, thu thập số liệu thực tế để đánh giá kết quả thực hiện chỉ tiêu 17.1 (chi tiết theo các biểu mẫu 01, 02 Phụ lục III kèm theo Hướng dẫn này).
Tổng hợp đánh giá thực hiện chỉ tiêu 17.1 như sau:
|
Chỉ tiêu |
Mức độ đánh giá |
Kết quả đánh giá |
|
17.1. Tỷ lệ hộ được sử dụng nước sạch |
|
|
|
- Tỷ lệ hộ sử dụng nước sạch đạt quy chuẩn bằng hoặc cao hơn mức quy định của từng vùng. |
Đạt |
|
|
- Tỷ lệ hộ sử dụng nước sạch theo quy chuẩn từ hệ thống cấp nước tập trung bằng hoặc cao hơn mức quy định của UBND cấp tỉnh (nếu có). |
Đạt |
|
d) Đánh giá chất lượng nước sạch đạt quy chuẩn:
- Đối với chất lượng nước của hệ thống cấp nước tập trung: Thực hiện kiểm tra, đánh giá chất lượng nước sau khi xử lý của hệ thống cấp nước tập trung theo Quy chuẩn kỹ thuật địa phương về chất lượng nước sử dụng cho mục đích sinh hoạt. Đối với các địa phương chưa ban hành quy chuẩn thực hiện theo quy định tại Thông tư số 41/2018/TT-BYT ngày 14/12/2018 của Bộ Y tế ban hành Quy chuẩn kỹ thuật quốc gia và quy định kiểm tra, giám sát chất lượng nước sử dụng cho mục đích sinh hoạt, Thông tư số 26/2021/TT-BYT ngày 15/12/2021 của Bộ Y tế sửa đổi, bổ sung và bãi bỏ một số điều của Thông tư số 41/2018/TT-BYT.
- Đối với chất lượng nước của công trình cấp nước quy mô hộ gia đình: Thực hiện theo quy định của UBND cấp tỉnh.
2. Đất cây xanh sử dụng công cộng tại điểm dân cư nông thôn trong tiêu chí xác định xã NTM là đất công viên, vườn hoa, sân chơi phục vụ cho nhu cầu và bảo đảm khả năng tiếp cận của mọi người dân trong điểm dân cư nông thôn (theo mục 1.4.16 và mục 1.4.17 QCVN 01:2021/BXD) và đất trồng cây ở các hành lang giao thông, ven sông, kênh, mương, trong khuôn viên các trụ sở cơ quan, trường học, bệnh viện, nhà máy, xí nghiệp, khu công nghiệp, khu chế xuất, các công trình tín ngưỡng và các công trình công cộng khác... được trồng các loại cây bản địa, thân gỗ, đa mục đích (bao gồm cả cây bóng mát, cây ăn quả lâu năm; không bao gồm cây thân thảo, vườn hoa, thảm cỏ) có giá trị bảo vệ môi trường, cảnh quan, tác dụng phòng hộ cao, cây quý, hiếm, mang bản sắc văn hóa địa phương/vùng/miền (theo Quyết định số 524/QĐ-TTg ngày 01/4/2021 của Thủ tướng Chính phủ phê duyệt Đề án “Trồng một tỷ cây xanh giai đoạn 2021-2025”). UBND cấp tỉnh quy định cụ thể để phù hợp với quy hoạch sử dụng đất, điều kiện đặc thù và nhu cầu phát triển kinh tế - xã hội của địa phương nhưng phải đảm bảo mức đạt chuẩn không thấp hơn so với quy định ≥ 2m2/người.
3. Tỷ lệ cơ sở chăn nuôi đảm bảo các quy định về vệ sinh thú y, chăn nuôi và bảo vệ môi trường:
a) Đối với chăn nuôi trang trại phải đảm bảo:
- Vị trí xây dựng trang trại phù hợp với chiến lược phát triển kinh tế - xã hội của địa phương, vùng, chiến lược phát triển chăn nuôi; đáp ứng yêu cầu về mật độ chăn nuôi theo quy định tại khoản 4 và khoản 5 Điều 53 của Luật Chăn nuôi.
- Có đủ nguồn nước bảo đảm chất lượng cho hoạt động chăn nuôi và xử lý chất thải chăn nuôi.
- Có biện pháp bảo vệ môi trường theo quy định của pháp luật về bảo vệ môi trường.
- Có chuồng trại, trang thiết bị chăn nuôi phù hợp với từng loại vật nuôi.
- Có hồ sơ ghi chép quá trình hoạt động chăn nuôi, sử dụng thức ăn chăn nuôi, thuốc thú y, vắc xin và thông tin khác để đảm bảo truy xuất nguồn gốc; lưu giữ hồ sơ trong thời gian tối thiểu là 01 năm sau khi kết thúc chu kỳ nuôi.
- Có khoảng cách an toàn trong chăn nuôi theo quy định tại Thông tư số 23/2019/TT-BNNPTNT ngày 30/11/2019 của Bộ Nông nghiệp và Phát triển nông thôn hướng dẫn một số điều của Luật Chăn nuôi về hoạt động chăn nuôi, Thông tư số 18/2023/TT-BNNPTNT ngày 15/12/2023 của Bộ Nông nghiệp và Phát triển nông thôn sửa đổi, bổ sung một số điều của Thông tư số 23/2019/TT-BNNPTNT ngày 30/11/2019 của Bộ Nông nghiệp và Phát triển nông thôn hướng dẫn một số điều của Luật Chăn nuôi về hoạt động chăn nuôi.
- Thực hiện kê khai hoạt động chăn nuôi theo quy định tại Điều 54 của Luật Chăn nuôi.
- Bảo đảm đối xử nhân đạo với vật nuôi theo quy định tại Điều 69 của Luật Chăn nuôi.
- Đối với trang trại quy mô lớn phải được cấp Giấy chứng nhận đủ điều kiện chăn nuôi.
- Thực hiện các biện pháp bảo đảm an toàn sinh học, an toàn dịch bệnh và bảo vệ môi trường.
- Thực hiện xử lý chất thải trong chăn nuôi theo quy định tại Điều 59 của Luật Chăn nuôi và Thông tư số 12/2021/TT-BNNPTNT ngày 26/10/2021 của Bộ Nông nghiệp và Phát triển nông thôn hướng dẫn việc thu gom, xử lý chất thải chăn nuôi, phụ phẩm nông nghiệp tái sử dụng cho mục đích khác.
b) Đối với chăn nuôi nông hộ phải đảm bảo:
- Chuồng nuôi phải tách biệt với nơi ở của người.
- Định kỳ vệ sinh, khử trùng, tiêu độc chuồng trại, dụng cụ chăn nuôi.
- Có các biện pháp phù hợp để vệ sinh phòng dịch; thu gom, xử lý phân, nước thải chăn nuôi, xác vật nuôi và chất thải chăn nuôi khác theo quy định của pháp luật về thú y, bảo vệ môi trường.
- Thực hiện kê khai hoạt động chăn nuôi theo quy định tại Điều 54 của Luật Chăn nuôi.
- Bảo đảm đối xử nhân đạo với vật nuôi theo quy định tại Điều 69 của Luật Chăn nuôi.
- Thực hiện xử lý chất thải trong chăn nuôi theo quy định tại Điều 60 của Luật Chăn nuôi.
4. Tỷ lệ hộ gia đình và cơ sở sản xuất, kinh doanh thực phẩm tuân thủ các quy định về đảm bảo an toàn thực phẩm:
a) Đối tượng áp dụng:
- Hộ gia đình, cơ sở sản xuất ban đầu (trồng trọt, chăn nuôi, thu hái, khai thác nông lâm thủy sản; nuôi trồng thủy sản; tàu cá; sản xuất, khai thác muối).
- Hộ gia đình, cơ sở thu gom, giết mổ, sơ chế, chế biến thực phẩm.
- Hộ gia đình, cơ sở kinh doanh thực phẩm.
b) Phạm vi áp dụng:
Hộ gia đình, cơ sở sản xuất, kinh doanh thực phẩm tại địa bàn xã (trừ hộ gia đình, cơ sở sản xuất chỉ để tiêu dùng, không bán sản phẩm ra thị trường).
c) Hướng dẫn thực hiện:
|
TT |
Đối tượng |
Yêu cầu đạt |
Căn cứ pháp lý |
|
I |
Hộ gia đình, cơ sở sản xuất ban đầu |
||
|
1 |
Hộ gia đình, cơ sở sản xuất nông lâm thủy sản ban đầu nhỏ lẻ |
Giấy cam kết sản xuất thực phẩm an toàn với cơ quan quản lý được UBND cấp tỉnh phân công, phân cấp |
Thông tư số 17/2018/TT-BNNPTNT ngày 31/10/2018 của Bộ Nông nghiệp và Phát triển nông thôn |
|
2 |
Hộ gia đình, cơ sở sản xuất thực phẩm không có địa điểm cố định (trừ tàu cá có chiều dài lớn nhất từ 15 mét trở lên) |
||
|
3 |
Hộ gia đình, cơ sở sản xuất nông lâm thủy sản ban đầu (trừ các đối tượng tại mục I.1, I.2 nêu trên) |
Giấy chứng nhận đủ điều kiện an toàn thực phẩm và còn hiệu lực |
Thông tư số 38/2018/TT-BNNPTNT ngày 25/12/2018 của Bộ Nông nghiệp và Phát triển nông thôn |
|
II |
Hộ gia đình, cơ sở giết mổ, sơ chế, chế biến thực phẩm (*) |
||
|
1 |
Hộ gia đình, cơ sở sơ chế nhỏ lẻ |
Giấy cam kết sản xuất thực phẩm an toàn với cơ quan quản lý được UBND cấp tỉnh phân công, phân cấp |
Thông tư số 17/2018/TT-BNNPTNT ngày 31/10/2018 của Bộ Nông nghiệp và Phát triển nông thôn |
|
2 |
Hộ gia đình, cơ sở giết mổ, cơ sở sơ chế (trừ cơ sở sơ chế nhỏ lẻ nêu tại II.1 nêu trên), chế biến thực phẩm thuộc phạm vi quản lý của Bộ Nông nghiệp và Phát triển nông thôn |
Giấy chứng nhận đủ điều kiện an toàn thực phẩm và còn hiệu lực |
Thông tư số 38/2018/TT-BNNPTNT ngày 25/12/2018 của Bộ Nông nghiệp và Phát triển nông thôn |
|
3 |
Cơ sở sản xuất thực phẩm thuộc thẩm quyền quản lý của Bộ Y tế (theo Nghị định số 15/2018/NĐ-CP) |
Giấy chứng nhận đủ điều kiện an toàn thực phẩm và còn hiệu lực |
Nghị định số 155/2018/NĐ-CP ngày 12/11/2018 của Chính phủ sửa đổi, bổ sung một số quy định liên quan đến điều kiện đầu tư kinh doanh thuộc phạm vi quản lý nhà nước của Bộ Y tế |
|
4 |
Cơ sở sản xuất thực phẩm thuộc thẩm quyền quản lý của Bộ Công Thương (theo Nghị định số 15/2018/NĐ-CP) |
Giấy chứng nhận đủ điều kiện an toàn thực phẩm và còn hiệu lực |
- Thông tư số 43/2018/TT-BCT ngày 15/11/2018 quy định về quản lý an toàn thực phẩm thuộc trách nhiệm của Bộ Công Thương. - Thông tư số 13/2020/TT-BCT ngày 16/8/2020 sửa đổi, bổ sung, bãi bỏ một số quy định về điều kiện đầu tư kinh doanh thuộc lĩnh vực quản lý nhà nước của Bộ Công Thương. |
|
III |
Hộ gia đình, cơ sở kinh doanh thực phẩm (*) |
||
|
1 |
Hộ gia đình, cơ sở kinh doanh thực phẩm không có địa điểm cố định |
Giấy cam kết sản xuất thực phẩm an toàn với cơ quan quản lý được UBND cấp tỉnh phân công, phân cấp |
Thông tư số 17/2018/TT-BNNPTNT ngày 31/10/2018 của Bộ Nông nghiệp và Phát triển nông thôn |
|
2 |
Hộ gia đình, cơ sở kinh doanh thực phẩm nhỏ lẻ |
||
|
3 |
Hộ gia đình, cơ sở kinh doanh thực phẩm bao gói sẵn |
||
|
4 |
Hộ gia đình, cơ sở kinh doanh nông lâm thủy sản thuộc phạm vi quản lý của Bộ Nông nghiệp và Phát triển nông thôn (trừ các đối tượng tại các mục III.1, III.2 và III.3 nêu trên) |
Giấy chứng nhận đủ điều kiện an toàn thực phẩm và còn hiệu lực |
Thông tư số 38/2018/TT-BNNPTNT ngày 25/12/2018 của Bộ Nông nghiệp và Phát triển nông thôn |
|
5 |
Chợ đầu mối, đấu giá nông sản |
Giấy chứng nhận đủ điều kiện an toàn thực phẩm và còn hiệu lực |
Thông tư số 38/2018/TT-BNNPTNT ngày 25/12/2018 của Bộ Nông nghiệp và Phát triển nông thôn |
|
6 |
Cơ sở kinh doanh dịch vụ ăn uống (theo Nghị định số 15/2018/NĐ-CP) |
Giấy chứng nhận đủ điều kiện an toàn thực phẩm và còn hiệu lực |
Nghị định số 155/2018/NĐ-CP ngày 12/11/2018 của Chính phủ sửa đổi, bổ sung một số quy định liên quan đến điều kiện đầu tư kinh doanh thuộc phạm vi quản lý nhà nước của Bộ Y tế |
|
7 |
Cơ sở kinh doanh thực phẩm thuộc thẩm quyền quản lý của Bộ Công Thương (theo Nghị định số 15/2018/NĐ-CP) |
Giấy chứng nhận đủ điều kiện an toàn thực phẩm và còn hiệu lực |
- Thông tư số 43/2018/TT-BCT ngày 15/11/2018 quy định về quản lý an toàn thực phẩm thuộc trách nhiệm của Bộ Công Thương. - Thông tư số 13/2020/TT-BCT ngày 16/8/2020 sửa đổi, bổ sung, bãi bỏ một số quy định về điều kiện đầu tư kinh doanh thuộc lĩnh vực quản lý nhà nước của Bộ Công Thương. |
(*) Sản phẩm thực phẩm và cơ sở sản xuất, kinh doanh sản phẩm thực phẩm thuộc phạm vi quản lý của từng Bộ được quy định tại Phụ lục II, III, IV Nghị định số 15/2018/NĐ-CP ngày 02/02/2018 của Chính phủ quy định chi tiết thi hành một số Điều của Luật An toàn thực phẩm.
d) Yêu cầu mức đạt: 100% số hộ gia đình, cơ sở sản xuất, kinh doanh thực phẩm tại địa bàn xã phải tuân thủ các quy định về đảm bảo an toàn thực phẩm.
đ) Phương pháp đánh giá:
Cung cấp tài liệu chứng minh xã đạt chỉ tiêu 17.10, bao gồm:
- Danh sách thống kê các hộ gia đình và cơ sở sản xuất, kinh doanh thực phẩm trên địa bàn (tên hộ gia đình và cơ sở, địa chỉ hộ gia đình và cơ sở theo từng loại hình sản xuất, kinh doanh). Thời điểm cập nhật danh sách yêu cầu không quá 06 tháng tính đến thời điểm tổ chức đánh giá.
- Thông tin việc tuân thủ quy định về an toàn thực phẩm của các hộ gia đình và cơ sở sản xuất kinh doanh thực phẩm tương ứng với từng loại hình cơ sở, cụ thể:
+ Số, ngày cấp, cơ quan cấp Giấy chứng nhận cơ sở đủ điều kiện an toàn thực phẩm (với đối tượng phải cấp).
+ Ngày làm Bản ký cam kết bảo đảm an toàn thực phẩm của hộ gia đình và cơ sở.
+ Ngày kiểm tra, cơ quan kiểm tra, kết quả thanh tra, kiểm tra, hậu kiểm điều kiện bảo đảm an toàn thực phẩm của cơ quan chức năng.
Chương II
HƯỚNG DẪN THỰC HIỆN MỘT SỐ TIÊU CHÍ, CHỈ TIÊU
THUỘC BỘ TIÊU CHÍ QUỐC GIA VỀ XÃ NTM NÂNG CAO
GIAI ĐOẠN 2021-2025
Mục 1
TIÊU CHÍ THỦY LỢI VÀ PHÒNG, CHỐNG THIÊN TAI
I. Xã đạt chuẩn tiêu chí số 3 về “Thủy lợi và phòng, chống thiên tai” khi đáp ứng các yêu cầu:
1. Tỷ lệ diện tích đất sản xuất nông nghiệp được tưới và tiêu nước chủ động (≥90%).
2. Tổ chức thủy lợi cơ sở (nếu có) hoạt động hiệu quả (≥1).
3. Tỷ lệ diện tích cây trồng chủ lực của địa phương được tưới tiên tiến, tiết kiệm nước (theo quy định của UBND cấp tỉnh).
4. Tỷ lệ công trình thủy lợi nhỏ, thủy lợi nội đồng được bảo trì hàng năm (100%).
5. Thực hiện kiểm kê, kiểm soát các nguồn nước thải xả vào công trình thủy lợi (đạt).
6. Đảm bảo yêu cầu chủ động về phòng chống thiên tai theo phương châm 4 tại chỗ.
II. Đánh giá thực hiện
1. Phương pháp xác định tỷ lệ diện tích đất sản xuất nông nghiệp được tưới và tiêu nước chủ động thực hiện theo hướng dẫn tại khoản 1 phần II Mục 1 Chương I Hướng dẫn này.
Xã được đánh giá là đạt chỉ tiêu 3.1 khi Ttưới ≥90% và Ttiêu ≥90%, hoặc Tk ≥90%.
2. Tổ chức thủy lợi cơ sở (nếu có) hoạt động hiệu quả ≥1:
Tổ chức thủy lợi cơ sở là tổ chức của những người sử dụng sản phẩm, dịch vụ thủy lợi cùng hợp tác đầu tư xây dựng hoặc quản lý, khai thác công trình thủy lợi nhỏ, thủy lợi nội đồng. Tổ chức thủy lợi cơ sở gồm 2 loại hình: Hợp tác xã và/hoặc Tổ hợp tác.
a) Trường hợp xã có tổ chức thủy lợi cơ sở: Nếu trên địa bàn xã có 1 tổ chức thủy lợi cơ sở thì tổ chức đó phải được đánh giá đạt hoạt động hiệu quả; nếu có 2 tổ chức thủy lợi cơ sở trở lên thì phải có ít nhất 1 tổ chức được đánh giá đạt hoạt động hiệu quả. Tổ chức thủy lợi cơ sở được đánh giá hoạt động hiệu quả khi đáp ứng các yêu cầu sau:
- Tổ chức thủy lợi cơ sở đảm bảo về pháp lý, năng lực theo quy định của Luật Thủy lợi, như:
+ HTX được thành lập và hoạt động theo Luật Hợp tác xã (có giấy đăng ký thành lập HTX); tổ hợp tác được thành lập và hoạt động theo Nghị định số 77/2019/NĐ-CP ngày 10/10/2019 của Chính phủ về tổ hợp tác (có hợp đồng hợp tác và gửi thông báo tới UBND cấp xã nơi thành lập).
+ Có điều lệ hoặc quy chế hoạt động dịch vụ thủy lợi được trên 50% số thành viên của tổ chức thủy lợi cơ sở thông qua và UBND cấp xã xác nhận.
+ Toàn bộ người sử dụng sản phẩm, dịch vụ thủy lợi là thành viên của tổ chức thủy lợi cơ sở.
+ Tổ chức bộ máy, người vận hành của tổ chức thủy lợi cơ sở đảm bảo đáp ứng năng lực theo quy định.
- Có số điểm đánh giá hoạt động hiệu quả, bền vững đạt từ 70 điểm trở lên, thông qua các chỉ tiêu sau:
+ Chỉ tiêu 1: Thực hiện kế hoạch cấp, tưới, tiêu và thoát nước.
+ Chỉ tiêu 2: Thực hiện bảo dưỡng, sửa chữa công trình thủy lợi.
+ Chỉ tiêu 3: Quản lý tài chính.
+ Chỉ tiêu 4: Thực hiện đa dịch vụ.
+ Chỉ tiêu 5: Mức độ hài lòng của thành viên.
Cách xác định điểm số các chỉ tiêu đánh giá hoạt động hiệu quả, bền vững của tổ chức thủy lợi cơ sở (TLCS):
|
TT |
Chỉ tiêu đánh giá |
Điểm tối đa |
Cách xác định điểm số |
|
1 |
Thực hiện kế hoạch cấp, tưới, tiêu và thoát nước |
30 |
|
|
1.1 |
Lập kế hoạch cấp, tưới, tiêu và thoát nước |
10 |
a) Đối với tổ chức TLCS quản lý công trình thủy lợi nội đồng trong công trình thủy lợi do các tổ chức khai thác thủy lợi cấp huyện, cấp tỉnh quản lý: - Có lập kế hoạch cấp, tưới, tiêu và thoát nước theo mùa, vụ hoặc theo năm; ký Hợp đồng với tổ chức cung cấp sản phẩm, dịch vụ thủy lợi; thông báo lịch cấp, tưới, tiêu và thoát nước cho người sử dụng sản phẩm, dịch vụ thủy lợi: 5 điểm. - Có ký hợp đồng, nhưng không lập kế hoạch cấp, tưới, tiêu và thoát nước: 2 điểm. - Không ký hợp đồng: 0 điểm. b) Đối với tổ chức TLCS quản lý công trình thủy lợi nhỏ độc lập: - Có lập hoạch cấp, tưới, tiêu và thoát nước, thông báo lịch cấp, tưới, tiêu, thoát nước cho người sử dụng sản phẩm dịch vụ thủy lợi: 5 điểm. - Có lập hoạch cấp, tưới, tiêu và thoát nước, không thông báo lịch cấp, tưới, tiêu cho người sử dụng sản phẩm dịch vụ thủy lợi: 2 điểm. - Không lập kế hoạch cấp, tưới, tiêu và thoát nước: 0 điểm. |
|
1.2 |
Tỉ lệ diện tích đất sản xuất nông nghiệp được tưới, tiêu chủ động (T) |
20 |
T ≥90%: 20 điểm. 80%≤T<90%: 15 điểm. Cách xác định T (Ttưới, Ttiêu, Tk) theo khoản 1 phần II Mục I Chương I Hướng dẫn này. |
|
2 |
Thực hiện bảo dưỡng, sửa chữa công trình thủy lợi |
30 |
|
|
2.1 |
Lập kế hoạch bảo dưỡng, sửa chữa công trình thủy lợi |
5 |
- Có lập kế hoạch bảo dưỡng, sửa chữa công trình hàng năm: 5 điểm. - Không lập: 0 điểm. |
|
2.2 |
Thực hiện kế hoạch bảo dưỡng, sửa chữa công trình thủy lợi đảm bảo công trình hoạt động bình thường |
20 |
- Đạt 100% theo kế hoạch: 20 điểm. - Đạt từ 70% đến dưới 100% theo kế hoạch: 15 điểm. - Đạt từ 50% đến dưới 70% theo kế hoạch: 10 điểm. - Đạt dưới 50% theo kế hoạch: 0 điểm. |
|
2.3 |
Lập và thực hiện phương án bảo vệ công trình |
5 |
- Có lập và thực hiện phương án bảo vệ công trình; không để xảy ra vi phạm trong phạm vi bảo vệ công trình thủy lợi: 5 điểm. - Để xảy ra vi phạm trong phạm vi bảo vệ công trình thủy lợi: 0 điểm. |
|
3 |
Quản lý tài chính |
20 |
|
|
3.1 |
Lập kế hoạch tài chính |
5 |
- Có lập kế hoạch tài chính, trong đó có kế hoạch thu-chi hàng năm cho dịch vụ thủy lợi thông qua hội nghị thường niên: 5 điểm. - Không thực hiện: 0 điểm. |
|
3.2 |
Thực hiện kế hoạch tài chính đối với dịch vụ thủy lợi |
10 |
Khả năng chủ động tài chính (TC) đối với dịch vụ thủy lợi được xác định như sau:
- Nguồn thu của tổ chức TLCS bao gồm: Đóng góp của các tổ chức, cá nhân sử dụng sản phẩm, dịch vụ thủy lợi, kinh phí hỗ trợ sử dụng sản phẩm, dịch vụ công ích thủy lợi của nhà nước và các tổ chức, cá nhân khác đầu tư (nếu có). - Chi phí theo kế hoạch bao gồm: Chi trả tiền sản phẩm, dịch vụ thủy lợi theo quy định, chi các hoạt động quản lý, vận hành, bảo dưỡng, sửa chữa công trình thủy lợi nhỏ, thủy lợi nội đồng. TC ≥ 1: 10 điểm. 0,7≤TC<1: 7 điểm. 0,5≤TC<0,7: 5 điểm. TC<0,5: 0 điểm. |
|
3.3 |
Thực hiện quyết toán, công khai tài chính theo quy định |
5 |
- Có thực hiện: 5 điểm. - Không thực hiện: 0 điểm. |
|
4 |
Thực hiện đa dịch vụ |
10 |
|
|
4.1 |
Phát triển các sản phẩm dịch vụ khác |
7 |
- Có thực hiện các sản phẩm dịch vụ khác như: Cấp nước nông thôn, điện... hoặc tham gia chuỗi cung ứng sản phẩm, dịch vụ: 7 điểm. - Không thực hiện: 0 điểm. |
|
4.2 |
Ứng dụng khoa học công nghệ trong xây dựng, quản lý công trình thủy lợi |
3 |
- Có ứng dụng một trong các công nghệ trong xây dựng; biện pháp canh tác tiên tiến, tiết kiệm nước; sử dụng một số thiết bị thông minh để theo dõi, giám sát hoặc điều khiển vận hành công trình thủy lợi...: 3 điểm. - Không thực hiện: 0 điểm. |
|
5 |
Mức độ hài lòng của thành viên |
10 |
Là điểm tổng hợp bình quân của các phiếu đánh giá mức độ hài lòng của thành viên (Phiếu đánh giá theo biểu mẫu số 2 Phụ lục I kèm theo Hướng dẫn này). |
|
|
Tổng cộng |
100 |
|
Tổ chức thủy lợi cơ sở có tổng số điểm đánh giá đạt từ 80 điểm trở lên được đánh giá là đạt loại tốt; từ 70 đến dưới 80 điểm được đánh giá là đạt loại khá, dưới 70 điểm được đánh giá là không đạt.
b) Trường hợp xã không có tổ chức thủy lợi cơ sở thuộc các diện dưới đây:
- Xã không có công trình thủy lợi.
- Xã có công trình thủy lợi nhưng không có tổ chức thủy lợi cơ sở theo quy định của Luật Thủy lợi, việc quản lý, khai thác công trình thủy lợi nhỏ, thủy lợi nội đồng vẫn được đáp ứng đảm bảo hoạt động hiệu quả và an toàn công trình.
Trong các trường hợp trên, không xét chỉ tiêu này và được đánh giá là đạt. Tuy nhiên, trong báo cáo đánh giá phải chỉ rõ lý do không có tổ chức thủy lợi cơ sở và cung cấp tài liệu minh chứng kèm theo.
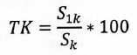
3. Tỷ lệ diện tích cây trồng chủ lực của địa phương được tưới tiên tiến, tiết kiệm nước:
a) Giải thích từ ngữ: Tưới tiên tiến, tiết kiệm nước cho cây trồng là việc áp dụng quy trình kỹ thuật và thiết bị tiên tiến để tưới theo phương pháp nhỏ giọt, phun mưa, tưới ngầm, bảo đảm cấp nước theo nhu cầu của cây trồng cạn hoặc tưới ướt - khô xen kẽ, nông lộ phơi, SRI, 1 phải 5 giảm, 3 tăng 3 giảm cho cây lúa phù hợp từng giai đoạn sinh trưởng kết hợp với các biện pháp canh tác tiên tiến trong nông nghiệp.
b) Phương pháp xác định
Tỷ lệ diện tích cây trồng chủ lực được tưới tiên tiến, tiết kiệm nước được tính bằng diện tích đất trồng cây trồng chủ lực thực tế áp dụng tưới tiên tiến, tiết kiệm nước trên tổng diện tích đất trồng cây trồng chủ lực theo quy hoạch/kế hoạch của xã.

Trong đó:
+ TK: Tỷ lệ lệ diện tích cây trồng chủ lực được tưới tiên tiến, tiết kiệm (%);
+ S1k: Diện tích đất trồng cây trồng chủ lực thực tế được áp dụng tưới tiên tiến, tiết kiệm nước (ha);
+ Sk: Diện tích đất trồng cây trồng chủ lực theo quy hoạch/kế hoạch của xã (ha).
(Diện tích đất trồng được tính bằng tổng các vụ trong năm hoặc 1 vụ tùy thuộc vào kế hoạch của xã).
(Mẫu biểu xác định tỷ lệ diện tích đất trồng cây trồng chủ lực được tưới tiên tiến, tiết kiệm nước trên địa bàn xã theo biểu số 3 Phụ lục I kèm theo Hướng dẫn này).
Chỉ tiêu 3.3 được đánh giá là đạt khi tỷ lệ diện tích cây trồng chủ lực được tưới tiên tiến, tiết kiệm nước lớn hơn hoặc bằng tỷ lệ do UBND cấp tỉnh quy định.
UBND xã chịu trách nhiệm về tính chính xác đối với số liệu diện tích cây trồng chủ lực được tưới tiên tiến, tiết kiệm nước.
c) Về mức đạt chuẩn:
UBND cấp tỉnh quy định cụ thể loại cây trồng chủ lực và tỷ lệ diện tích cây trồng chủ lực áp dụng tưới tiên tiến, tiết kiệm nước đối với các nhóm xã trên địa bàn phù hợp với điều kiện đặc thù, nhu cầu phát triển kinh tế - xã hội của địa phương; phù hợp với các Quyết định: Số 33/QĐ-TTg ngày 07/01/2020 của Thủ tướng Chính phủ phê duyệt Chiến lược phát triển thủy lợi Việt Nam đến năm 2030, tầm nhìn đến năm 2045 (trong đó, đến năm 2030 có 30% diện tích trồng lúa áp dụng phương thức canh tác tiên tiến, 30% diện tích cây trồng cạn được tưới tiên tiến, tiết kiệm nước); số 1748/QĐ-TTg ngày 30/12/2023 của Thủ tướng Chính phủ phê duyệt Chiến lược phát triển trồng trọt đến năm 2030, tầm nhìn đến năm 2050 (trong đó, định hướng phát triển cho 12 nhóm cây chủ lực là lúa gạo, cây rau, ngô, sắn, cà phê, hồ tiêu, điều, chè, cao su, cây ăn quả, hoa cây cảnh và cây dừa); số 4085/QĐ-BNN-TT ngày 27/10/2022 của Bộ Nông nghiệp và Phát triển nông thôn phê duyệt Đề án phát triển cây ăn quả chủ lực đến năm 2025 và 2030 (trong đó, định hướng phát triển 14 cây ăn quả chủ lực: Thanh long, xoài, chuối, vải, nhãn, cam, bưởi, dứa, chôm chôm, sầu riêng, mít, chanh leo, bơ, na); số 4600/QĐ-BNN-TCTL ngày 13/11/2020 của Bộ Nông nghiệp và Phát triển nông thôn phê duyệt Kế hoạch phát triển thủy lợi nhỏ, thủy lợi nội đồng giai đoạn 2021-2025.
d) Các trường hợp khác:
- Trường hợp xã không có cây trồng chủ lực theo quy định của UBND cấp tỉnh thì có thể được tính bằng tỷ lệ diện tích cây trồng mang lại giá trị kinh tế chính của địa phương như lúa, rau màu, cây ăn quả, cây công nghiệp được tưới tiên tiến, tiết kiệm nước phù hợp với điều kiện thực tế của địa phương.
- Đối với các xã có diện tích đất sản xuất nông nghiệp chủ yếu là đất nuôi trồng thủy sản, làm muối: Chỉ tiêu 3.3 được đánh giá là đạt khi có áp dụng tiến bộ kỹ thuật trong nuôi trồng thủy sản, làm muối đối với việc sử dụng nước đảm bảo tiết kiệm, hiệu quả, phòng ngừa bệnh, bảo vệ môi trường, thích ứng biến đổi khí hậu...
4. Tỷ lệ công trình thủy lợi nhỏ, thủy lợi nội đồng được bảo trì hàng năm (100%):
a) Giải thích từ ngữ:
Bảo trì công trình xây dựng là tập hợp các công việc nhằm bảo đảm và duy trì sự làm việc bình thường, an toàn của công trình theo quy định của thiết kế trong quá trình khai thác sử dụng. Nội dung bảo trì công trình xây dựng có thể bao gồm một, một số hoặc toàn bộ các công việc sau: Kiểm tra, quan trắc, kiểm định chất lượng, bảo dưỡng và sửa chữa công trình; bổ sung, thay thế hạng mục, thiết bị công trình để việc khai thác sử dụng công trình đảm bảo an toàn nhưng không bao gồm các hoạt động làm thay đổi công năng, quy mô công trình.
b) Phương pháp xác định:
Tỷ lệ công trình thủy lợi nhỏ, thủy lợi nội đồng được bảo trì hàng năm được xác định bằng số công trình thủy lợi nhỏ, số km kênh mương thực tế được bảo trì trên tổng số công trình, số km kênh mương cần bảo trì theo kế hoạch.
Việc bảo trì được xác định thông qua công tác lập kế hoạch bảo trì và thực hiện kế hoạch bảo trì.
- Nội dung chính của Kế hoạch bảo trì bao gồm: Tên công việc thực hiện, thời gian thực hiện, phương thức thực hiện, chi phí thực hiện.
- Tổ chức thực hiện kế hoạch bảo trì, bao gồm:
+ Có báo cáo kết quả thực hiện kiểm tra thường xuyên, trước và sau mùa mưa, kiểm tra ngay sau khi có mưa, lũ lớn nhằm phát hiện kịp thời các dấu hiệu xuống cấp, những hư hỏng của công trình, thiết bị lắp đặt vào công trình làm cơ sở cho việc bảo dưỡng công trình.
+ Có hồ sơ thể hiện việc sử dụng lao động, vật liệu thực hiện bảo dưỡng công trình theo kế hoạch bảo trì để duy trì sự hoạt động bình thường của công trình và máy móc, thiết bị.
+ Có hồ sơ thể hiện việc sửa chữa công trình bao gồm sửa chữa định kỳ (gồm sửa chữa hư hỏng hoặc thay thế bộ phận công trình, thiết bị lắp đặt vào công trình bị hư hỏng được thực hiện định kỳ theo quy định của quy trình bảo trì) và sửa chữa đột xuất công trình (thực hiện khi bộ phận công trình, công trình bị hư hỏng do chịu tác động đột xuất như gió, bão, lũ lụt, động đất, va đập, cháy và những tác động đột xuất khác hoặc khi bộ phận công trình, công trình có biểu hiện xuống cấp ảnh hưởng đến an toàn sử dụng, vận hành, khai thác công trình).
Chỉ tiêu 3.4 được đánh giá đạt khi tỷ lệ công trình thủy lợi nhỏ, thủy lợi nội đồng được bảo trì hàng năm đạt 100%.
5. Thực hiện kiểm kê, kiểm soát các nguồn nước thải xả vào công trình thủy lợi:
a) Có bảng thống kê, cập nhật đầy đủ các nguồn nước thải xả vào từng công trình thủy lợi do xã quản lý theo biểu mẫu 4 Phụ lục I kèm theo Hướng dẫn này.
b) Có thực hiện chỉ đạo, hướng dẫn, kiểm tra, giám sát, tổ chức thực hiện kiểm soát nguồn nước thải, tổ chức quản lý nguồn nước thải trên địa bàn theo thẩm quyền hoặc theo phân công, phân cấp. Hồ sơ chứng minh gồm: Văn bản chỉ đạo, văn bản hướng dẫn; biên bản làm việc...
c) Xử lý vi phạm xả nước thải vào công trình thủy lợi kịp thời, dứt điểm hàng năm theo thẩm quyền hoặc chuyển cấp có thẩm quyền xử lý theo quy định của pháp luật. Hồ sơ chứng minh gồm: Biên bản xử lý vi phạm, quyết định xử lý vi phạm...
6. Đảm bảo yêu cầu chủ động về phòng chống thiên tai theo phương châm 4 tại chỗ:
a) Đảm bảo tất cả các mục yêu cầu “có” tại cột yêu cầu phải đáp ứng “có”.
b) Kết quả chấm điểm đạt từ 70 điểm đến dưới 85 điểm.
(Biểu đánh giá, chấm điểm chi tiết tại Phụ lục II kèm theo Hướng dẫn này).
Mục 2
CÁC CHỈ TIÊU 13.2, 13.3, 13.4, 13.5, 13.6, 13.8 THUỘC TIÊU CHÍ
TỔ CHỨC SẢN XUẤT VÀ PHÁT TRIỂN KINH TẾ NÔNG THÔN
I. Xã đạt chuẩn các chỉ tiêu 13.2, 13.3, 13.4, 13.5, 13.6, 13.8 thuộc tiêu chí số 13 về “Tổ chức sản xuất và phát triển kinh tế nông thôn” khi đáp ứng các yêu cầu:
1. Có sản phẩm OCOP được xếp hạng đạt chuẩn hoặc tương đương còn thời hạn.
2. Có mô hình kinh tế ứng dụng công nghệ cao, hoặc mô hình quản lý sức khỏe cây trồng tổng hợp (IPHM), hoặc mô hình nông nghiệp áp dụng cơ giới hóa các khâu, hoặc mô hình liên kết theo chuỗi giá trị gắn với đảm bảo an toàn thực phẩm.
3. Ứng dụng công nghệ số để thực hiện truy xuất nguồn gốc các sản phẩm chủ lực của xã.
4. Tỷ lệ sản phẩm chủ lực của xã được bán qua kênh thương mại điện tử.
5. Vùng nguyên liệu tập trung đối với nông sản chủ lực của xã được cấp mã vùng.
6. Có mô hình phát triển kinh tế nông thôn hiệu quả theo hướng tích hợp đa giá trị (kinh tế, văn hóa, môi trường).
II. Đánh giá thực hiện
1. Có sản phẩm OCOP được xếp hạng đạt chuẩn hoặc tương đương còn thời hạn khi đáp ứng một trong các yêu cầu sau:
a) Có ít nhất 01 sản phẩm OCOP được công nhận đạt từ 3 sao trở lên còn thời hạn theo quyết định của cấp có thẩm quyền.
b) Có ít nhất 01 sản phẩm chủ lực của xã đáp ứng các điều kiện sau:
- Sản xuất gắn với vùng nguyên liệu tập trung, đảm bảo các yêu cầu về an toàn thực phẩm theo quy định.
- Có thương hiệu sản phẩm (được cấp giấy chứng nhận đăng ký nhãn hiệu, chỉ dẫn địa lý).
- Có bao bì, nhãn mác theo quy định.
- Có kênh phân phối ổn định và hiệu quả (tỷ trọng sản phẩm chủ lực được tiêu thụ qua kênh phân phối ≥50%/năm) trong ít nhất 02 năm liên tục trước năm xét, công nhận xã NTM nâng cao.
2. Có mô hình kinh tế ứng dụng công nghệ cao, hoặc mô hình quản lý sức khỏe cây trồng tổng hợp (IPHM), hoặc mô hình nông nghiệp áp dụng cơ giới hóa các khâu, hoặc mô hình liên kết theo chuỗi giá trị gắn với đảm bảo an toàn thực phẩm khi đáp ứng một trong các yêu cầu sau:
a) Có mô hình kinh tế ứng dụng công nghệ cao khi đáp ứng một trong các điều kiện sau:
- Có Khu nông nghiệp công nghệ cao được cơ quan nhà nước có thẩm quyền thành lập hoặc phê duyệt.
- Có Doanh nghiệp nông nghiệp được cấp Giấy chứng nhận doanh nghiệp công nghệ cao.
- Mô hình kinh tế có quy mô phù hợp đặc điểm phát triển kinh tế của địa phương và đầu tư sản xuất để tạo ra các sản phẩm có chất lượng, tính năng vượt trội, giá trị gia tăng cao, thân thiện với môi trường, cụ thể có ít nhất một trong các nội dung sau:
+ Trong trồng trọt:
Sản xuất giống và ứng dụng rộng rãi các giống cây trồng mới có năng suất cao, chất lượng tốt và khả năng chống chịu cao, tập trung vào các đối tượng cây trồng chủ lực phục vụ cho an ninh lương thực, xuất khẩu và thay thế nhập khẩu.
Sản xuất các sản phẩm nông nghiệp có chất lượng, an toàn và hiệu quả cao áp dụng quy trình quản lý cây trồng tổng hợp (ICM), VietGAP, tập trung vào các loại cây lương thực, cây thực phẩm, cây ăn quả, hoa và cây cảnh, cây dược liệu, cây công nghiệp.
Sản xuất rau an toàn, hoa cao cấp trong nhà lưới, nhà kính.
Nhân giống và sản xuất nấm ăn và nấm dược liệu quy mô tập trung.
Sản xuất và ứng dụng các chế phẩm sinh học, các bộ kít chẩn đoán bệnh, các loại phân bón thế hệ mới trong trồng trọt và bảo vệ cây trồng nông nghiệp.
Ứng dụng công nghệ tưới tiết kiệm cho cây trồng.
+ Trong chăn nuôi:
Sản xuất giống vật nuôi mới (gia cầm, lợn, bò) có năng suất, chất lượng cao.
Chăn nuôi gia cầm, lợn, bò quy mô công nghiệp.
Ứng dụng các chế phẩm sinh học, các loại thức ăn chăn nuôi, vắc-xin, bộ kít mới trong chăn nuôi và phòng trừ dịch bệnh.
+ Trong lâm nghiệp:
Nhân nhanh và sản xuất giống quy mô công nghiệp một số giống cây trồng lâm nghiệp mới, như: Keo lai, bạch đàn bằng công nghệ mô, hom.
Trồng rừng kinh tế theo phương pháp thâm canh.
Ứng dụng công nghệ viễn thám, hệ thống thông tin địa lý, hệ thống định vị toàn cầu trong quản lý và bảo vệ rừng.
+ Trong thủy sản:
Nhân nhanh và sản xuất giống thủy sản có năng suất, chất lượng cao, tập trung vào một số đối tượng thủy sản chủ yếu, như: Tôm sú, tôm thẻ chân trắng, các loại cá nước ngọt, cá biển có giá trị cao, nhuyễn thể hai mảnh vỏ.
Nuôi thâm canh, siêu thâm canh, tự động kiểm soát và xử lý môi trường bằng các công nghệ tiên tiến (chemicalfog, biofloc, lọc sinh học) trong nuôi trồng một số loài thủy sản, như: Cá, tôm.
Sản xuất thức ăn, các loại thuốc phòng trị bệnh thủy sản, sản xuất các bộ kít chẩn đoán nhanh bệnh trên các đối tượng nuôi thủy sản.
Ứng dụng công nghệ viễn thám và hệ thống thông tin địa lý để quy hoạch, quản lý và khai thác nguồn lợi hải sản, các vùng nuôi trồng thủy sản.
+ Trong chế biến, bảo quản:
Sản xuất và ứng dụng các chế phẩm sinh học, các chất phụ gia thiên nhiên, các chất màu để bảo quản và chế biến nông, lâm, thủy sản.
Xây dựng và mở rộng mô hình bảo quản, chế biến sâu các sản phẩm nông sản.
Ứng dụng công nghệ tiên tiến trong bảo quản và chế biến gỗ; vật liệu và công nghệ nano để nâng cao độ bền cơ học, độ bền sinh học của gỗ rừng trồng; sản xuất vật liệu mới dạng bio-composite từ gỗ và thực vật có sợi.
Xây dựng và mở rộng mô hình bảo quản dài ngày sản phẩm thủy sản trên tàu cá; chế biến các sản phẩm thủy sản có giá trị gia tăng cao.
+ Trong cơ điện, tự động hóa, sản xuất vật tư, máy móc, thiết bị: Tự động hoặc bán tự động trong trồng trọt (nhân giống và sản xuất rau, hoa), chăn nuôi (lợn, gà, bò), thủy sản (sản xuất giống và nuôi thâm canh cá, tôm).
b) Có mô hình quản lý sức khỏe cây trồng tổng hợp (IPHM) khi đáp ứng các điều kiện sau:
|
TT |
Tiêu chí |
Điều kiện cụ thể |
|
1 |
Quy mô (tối thiểu) |
+ Đối với cây lương thực: 10 ha + Đối với cây ăn quả: 10 ha + Đối với cây rau: 02 ha + Đối với cây công nghiệp: 10 ha + Đối với cây dược liệu: 02 ha + Đối với cây hoa, cây cảnh: 02 ha + Đối với cây lâm nghiệp: 50 ha |
|
2 |
Các nội dung thực hiện trong mô hình |
+ Có quy trình kỹ thuật canh tác theo từng nhóm cây trồng hoặc tiến bộ kỹ thuật đã công bố để áp dụng cụ thể vào địa phương. + Có tổ đội kỹ thuật về canh tác và bảo vệ thực vật đã qua lớp huấn luyện nông dân về IPM hoặc IPHM (FFS). + Sử dụng giống xác nhận hoặc giống có chất lượng cao. + Ứng dụng công nghệ tưới tiết kiệm nước đối với cây trồng cạn. Tưới tiêu nước theo “nông, lộ, phơi” đối với cây lúa. + Quản lý thảm thực vật (cỏ) đối với cây trồng cạn. + Đảm bảo bón đúng loại, lượng phân hữu cơ theo quy trình canh tác do Sở Nông nghiệp và PTNT hoặc Bộ Nông nghiệp và PTNT ban hành. + Quản lý sinh vật gây hại cây trồng theo IPM/IPHM. + Có bể chứa bao gói thuốc bảo vệ thực vật sau sử dụng. + Có liên kết sản xuất - tiêu thụ. + Có nhật ký đồng ruộng của cả mô hình. |
c) Có mô hình nông nghiệp áp dụng cơ giới hóa đồng bộ các khâu khi đáp ứng các điều kiện sau:
- Mô hình nông nghiệp có quy mô phù hợp đặc điểm phát triển kinh tế của địa phương, căn cứ vào từng loại hình sản xuất cây trồng, vật nuôi mà có các khâu cơ giới hóa khác nhau.
- Mô hình nông nghiệp áp dụng cơ giới hóa đồng bộ các khâu được đánh giá là đạt khi điểm trung bình các khâu lớn hơn hoặc bằng 65 điểm.
- Việc đánh giá điểm của từng tiêu chí dựa trên mức độ cơ giới hóa đạt được của khâu sản xuất tương ứng. Ví dụ: Khâu sản xuất có mức độ cơ giới hóa đạt được 85% thì điểm đánh giá đạt được tương ứng của khâu đó sẽ là 85 điểm.
- Chi tiết các khâu cho từng loại mô hình sản xuất cụ thể như sau:
+ Trồng trọt:
|
TT |
Tên tiêu chí đánh giá |
Điểm đánh giá |
Điểm tối đa |
|
1 |
Sản xuất giống |
|
100 |
|
2 |
Làm đất |
|
100 |
|
3 |
Gieo, trồng |
|
100 |
|
4 |
Tưới, tiêu |
|
100 |
|
5 |
Chăm sóc |
|
100 |
|
6 |
Thu hoạch |
|
100 |
|
7 |
Vận chuyển |
|
100 |
|
8 |
Sơ chế |
|
100 |
|
9 |
Bảo quản |
|
100 |
|
10 |
Chế biến |
|
100 |
|
11 |
Xử lý phụ phẩm trồng trọt |
|
100 |
+ Lâm nghiệp:
|
TT |
Tên tiêu chí đánh giá |
Điểm đánh giá |
Điểm tối đa |
|
1 |
Sản xuất giống |
|
100 |
|
2 |
Xử lý thực bì |
|
100 |
|
3 |
Làm đất |
|
100 |
|
4 |
Gieo, trồng |
|
100 |
|
5 |
Chăm sóc |
|
100 |
|
6 |
Khai thác |
|
100 |
|
7 |
Vận chuyển |
|
100 |
|
8 |
Sơ chế |
|
100 |
|
9 |
Bảo quản |
|
100 |
|
10 |
Chế biến |
|
100 |
|
11 |
Phòng cháy, chữa cháy |
|
100 |
|
12 |
Xử lý phụ phẩm lâm nghiệp |
|
100 |
+ Chăn nuôi:
|
TT |
Tên tiêu chí đánh giá |
Điểm đánh giá |
Điểm tối đa |
|
1 |
Sản xuất giống |
|
100 |
|
2 |
Sản xuất thức ăn |
|
100 |
|
3 |
Chuồng trại (cung cấp nước, thức ăn, điều tiết tiểu khí hậu chuồng nuôi, vệ sinh, xử lý chất thải chăn nuôi) |
|
100 |
|
4 |
Thu hoạch |
|
100 |
|
5 |
Vận chuyển |
|
100 |
|
6 |
Giết mổ, sơ chế |
|
100 |
|
7 |
Bảo quản; xử lý phụ phẩm chăn nuôi |
|
100 |
+ Nuôi trồng thủy sản:
|
TT |
Tên tiêu chí đánh giá |
Điểm đánh giá |
Điểm tối đa |
|
1 |
Sản xuất giống |
|
100 |
|
2 |
Sản xuất thức ăn |
|
100 |
|
3 |
Cấp, thoát nước |
|
100 |
|
4 |
Chăm sóc |
|
100 |
|
5 |
Thu hoạch |
|
100 |
|
6 |
Vận chuyển |
|
100 |
|
7 |
Sơ chế |
|
100 |
|
8 |
Bảo quản |
|
100 |
|
9 |
Chế biến |
|
100 |
|
10 |
Xử lý chất thải, phụ phẩm nuôi trồng thủy sản |
|
100 |
+ Khai thác thủy sản:
|
TT |
Tên tiêu chí đánh giá |
Điểm đánh giá |
Điểm tối đa |
|
1 |
Thăm dò, đánh giá ngư trường |
|
100 |
|
2 |
Chuẩn bị chuyến biển (sửa chữa tàu thuyền, vật tư, thực phẩm, ngư cụ) |
|
100 |
|
3 |
Đánh bắt, khai thác |
|
100 |
|
4 |
Phân loại sản phẩm |
|
100 |
|
5 |
Sơ chế, bảo quản trên tàu |
|
100 |
|
6 |
Bốc xếp, sơ chế, chế biến, bảo quản sản phẩm trên bờ |
|
100 |
+ Diêm nghiệp:
|
TT |
Tên tiêu chí đánh giá |
Điểm đánh giá |
Điểm tối đa |
|
1 |
Sửa chữa hạ tầng cánh đồng muối |
|
100 |
|
2 |
Cấp nước, tiêu nước sản xuất muối |
|
100 |
|
3 |
Sản xuất và thu hoạch |
|
100 |
|
4 |
Gom muối trên đồng |
|
100 |
|
5 |
Vận chuyển |
|
100 |
|
6 |
Sơ chế |
|
100 |
|
7 |
Bảo quản |
|
100 |
|
8 |
Chế biến các sản phẩm từ muối |
|
100 |
d) Có liên kết theo chuỗi giá trị gắn với bảo đảm an toàn thực phẩm khi đáp ứng các điều kiện sau:
- Trên địa bàn xã có mô hình liên kết sản xuất và tiêu thụ nông sản chủ lực dựa trên hợp đồng liên kết ổn định tối thiểu là một (01) chu kỳ sản xuất đối với cây lâm nghiệp, hai (02) chu kỳ nuôi, trồng, khai thác đối với các sản phẩm nông nghiệp khác và được sản xuất theo quy trình và chất lượng thống nhất giữa các bên tham gia liên kết.
- Sản phẩm mô hình liên kết được cấp giấy chứng nhận đảm bảo an toàn thực phẩm hoặc tương đương còn hiệu lực.
3. Ứng dụng công nghệ số để thực hiện truy xuất nguồn gốc các sản phẩm chủ lực của xã được xác định là có tối thiểu 01 sản phẩm nông sản chủ lực của xã được các cơ sở sản xuất kinh doanh thiết lập hệ thống điện tử truy xuất nguồn gốc đảm bảo các yêu cầu lưu trữ, truy xuất thông tin ở mỗi công đoạn từ sản xuất đến lưu trữ, chế biến và thương mại sản phẩm.
4. Tỷ lệ sản phẩm chủ lực của xã được bán qua kênh thương mại điện tử (thông qua ứng dụng Internet, mạng xã hội) được tính bằng tỷ lệ phần trăm (%) giữa số sản phẩm chủ lực của xã được bán qua kênh thương mại điện tử trên tổng số sản phẩm chủ lực của xã tại cùng thời điểm đánh giá. Tỷ lệ phải đạt mức tối thiểu 10%.
5. Vùng nguyên liệu tập trung đối với nông sản chủ lực của xã được cấp mã vùng được xác định như sau: Có sản phẩm nông sản chủ lực của xã thuộc vùng nguyên liệu tập trung được cấp mã vùng.
6. Có mô hình phát triển kinh tế nông thôn hiệu quả theo hướng tích hợp đa giá trị (kinh tế, văn hóa, môi trường) khi có ít nhất 01 mô hình phát triển kinh tế nông thôn hiệu quả (đảm bảo tối thiểu 02 tiêu chí trong các tiêu chí sau: Tạo giá trị gia tăng cho sản phẩm của mô hình; tạo công ăn việc làm, nâng cao thu nhập; giữ gìn bản sắc văn hóa; không gây ô nhiễm môi trường).
Mục 3
CÁC CHỈ TIÊU 17.7, 17.8, 17.11 THUỘC TIÊU CHÍ MÔI TRƯỜNG
I. Xã đạt chuẩn các chỉ tiêu 17.7, 17.8, 17.11 thuộc tiêu chí số 17 về “Môi trường” khi đáp ứng các yêu cầu:
1. Tỷ lệ chất thải hữu cơ, phụ phẩm nông nghiệp được thu gom, tái sử dụng và tái chế thành nguyên liệu, nhiên liệu và các sản phẩm thân thiện với môi trường.
2. Tỷ lệ cơ sở chăn nuôi bảo đảm các quy định về vệ sinh thú y, chăn nuôi và bảo vệ môi trường.
3. Đất cây xanh sử dụng công cộng tại điểm dân cư nông thôn.
II. Đánh giá thực hiện
1. Tỷ lệ chất thải hữu cơ, phụ phẩm nông nghiệp được thu gom, tái sử dụng và tái chế thành nguyên liệu, nhiên liệu và các sản phẩm thân thiện với môi trường:
a) Giải thích từ ngữ:
- Chất thải hữu cơ: Là chất thải dễ phân hủy sinh học, có nguồn gốc từ động vật hoặc thực vật, phát sinh từ sinh hoạt, chăn nuôi, giết mổ gia súc/gia cầm, sơ chế, chế biến các sản phẩm nông nghiệp, lâm nghiệp và thủy hải sản, từ làng nghề và các hoạt động phát triển kinh tế - xã hội khác trên địa bàn nông thôn. Chất thải hữu cơ có thể thu hồi, sử dụng trực tiếp cho các mục đích sử dụng khác (không cần qua chế biến hoặc có sơ chế như cắt, nghiền...) hoặc qua các công đoạn xử lý, tái chế thành các dạng sản phẩm khác, có giá trị sử dụng, hạn chế tác động, ảnh hưởng đến môi trường.
- Chất thải chăn nuôi để tái sử dụng cho mục đích khác bao gồm chất thải rắn có nguồn gốc hữu cơ và nước thải chăn nuôi.
- Phụ phẩm nông nghiệp (phụ phẩm cây trồng): Là sản phẩm phụ phát sinh trong quá trình chăm sóc, thu hoạch, sơ chế cây trồng và sản phẩm cây trồng tại khu vực canh tác nông nghiệp. Phụ phẩm nông nghiệp có 02 dạng: Dạng vô cơ (vỏ bao gói, túi đựng, chai lọ, màng phủ, vật chắn, lưới chắn, giá cây...) và dạng hữu cơ (rơm rạ, vỏ trái cây, phần thải loại từ hoạt động sơ chế, chế biến). Phụ phẩm nông nghiệp hữu cơ hầu hết có nguồn gốc từ thực vật.
- Tái chế chất thải hữu cơ, phụ phẩm nông nghiệp (tái chế phụ phẩm nông nghiệp hữu cơ): Là hoạt động có áp dụng các biện pháp kỹ thuật, công nghệ có tính chất vật lý (cắt, nghiền, ủ, ép, đóng bánh...) hoặc hoá học (hoá chất, chất phân hủy hữu cơ...) hoặc sinh học (nấm men, nấm mốc, côn trùng, vi khuẩn, chế phẩm sinh học...) để thay đổi tính chất của chất thải hữu cơ thành các dạng dễ tiêu, dễ phân hủy, từ đó chế biến thành các sản phẩm có tính chất hàng hóa (có thể trao đổi qua thị trường) hoặc có thể sử dụng cho các mục đích khác (sản xuất: nhiên liệu sinh học, phân bón, thức ăn chăn nuôi, mùn bã hữu cơ...).
- Sản phẩm thân thiện môi trường: Là sản phẩm mà quá trình sản xuất và tiêu thụ chúng không gây ảnh hưởng tiêu cực tới môi trường (nếu có thì cũng có tác động nhẹ hơn so với các sản phẩm cùng loại). Sản phẩm thân thiện với môi trường còn được gọi là các sản phẩm xanh, sản phẩm sinh thái.
b) Một số biện pháp tái sử dụng và tái chế chất thải hữu cơ, phụ phẩm nông nghiệp1:
- Một số biện pháp tái sử dụng, tái chế đối với phụ phẩm cây trồng:
+ Ủ thành phân hữu cơ truyền thống được sử dụng để làm phân bón cho cây trồng (vỏ cà phê, rơm rạ, hoa ăn lá, rau ăn củ..
+ Thu hồi làm nguyên liệu sản xuất cho các ngành khác:
Ủ chua làm thức ăn chăn nuôi, làm vật liệu độn chuồng, đệm lót sinh học trong chăn nuôi (cây và lõi ngô, trấu, rơm rạ…).
Làm giá thể trồng nấm, trồng cây (rơm rạ, mùn dừa...).
Làm than hoạt tính (vỏ sầu riêng, vỏ điều, vỏ lạc, thân cây sắn, rơm rạ...).
Phơi khô, nghiền thành bột bổ sung thức ăn chăn nuôi hoặc chế biến thành sản phẩm thương mại khác (đầu cá, tôm...).
+ Sử dụng trực tiếp:
Cày vùi hoặc phay.
Ép xanh theo rãnh hoặc phủ luống.
Vùi trong hố đa năng hoặc che phủ gốc cây trồng, che phủ đất.
+ Sản xuất thành viên nhiên liệu:
Sử dụng bã ép (lạc, đậu tương...).
Sử dụng vỏ các loại hạt (cà phê...).
- Một số biện pháp tái sử dụng, xử lý đối với chất thải chăn nuôi:
+ Kỹ thuật và công nghệ xử lý: Để thực hiện các quy định kỹ thuật bảo vệ môi trường chăn nuôi, trang trại chăn nuôi phải thực hiện xây dựng hệ thống xử lý chất thải chăn nuôi đối với chất thải rắn và chất thải lỏng có nguồn gốc hữu cơ, gồm 04 nhóm giải pháp xử lý chính: Xử lý bằng cơ học; nhóm xử lý bằng sinh học; nhóm xử lý bằng hóa học và nhóm xử lý bằng côn trùng.
+ Đối với chất thải rắn có thể áp dụng nhiều giải pháp để xử lý chất thải hữu cơ từ chăn nuôi: Ủ phân (composting), sản xuất phân hữu cơ, nuôi côn trùng (trùn quế, lính ruồi đen).
+ Đối với nước thải chăn nuôi phải áp dụng đồng thời nhiều công nghệ xử lý nước thải chăn nuôi khác nhau, phụ thuộc vào quy mô, mục đích sử dụng: Công nghệ khí sinh học, ao sinh học, chế phẩm sinh học. Trong các công nghệ xử lý nước thải chăn nuôi, công nghệ khí sinh học là công nghệ phổ biến nhất hiện nay áp dụng cho tất cả các quy mô chăn nuôi. Tuy nhiên, công nghệ này chỉ xử lý được 70-80% các chất hữu cơ, không thể xử lý để đạt được theo quy định của QCVN62. Vì vậy, các trang trại phải đầu tư tổ hợp các công nghệ xử lý ở các giai đoạn khác nhau của nước thải.
Việc thu gom, xử lý chất thải phải đáp ứng yêu cầu theo quy định tại Thông tư số 12/2021/TT-BNNPTNT ngày 26/10/2021 của Bộ Nông nghiệp và Phát triển nông thôn về hướng dẫn việc thu gom, xử lý chất thải chăn nuôi, phụ phẩm nông nghiệp tái sử dụng cho mục đích khác và Quy chuẩn kỹ thuật quốc gia về chất lượng phân bón QCVN01-189:2019/BNNPTNT, Quy chuẩn kỹ thuật quốc gia về nước thải chăn nuôi dùng trong trồng trọt.
- Các biện pháp tái sử dụng và tái chế khác.
c) Thống kê khối lượng chất thải hữu cơ, phụ phẩm nông nghiệp:
- Khối lượng chất thải phát sinh:
+ Thống kê số lượng, loại hình cây trồng có phát sinh phụ phẩm.
+ Thống kê số trang trại chăn nuôi, loại hình chăn nuôi, số lượng gia súc, gia cầm, khối lượng chất thải.
- Khối lượng chất thải được thu gom, xử lý, tái sử dụng:
+ Thống kê khối lượng chất thải hữu cơ, phụ phẩm nông nghiệp đã được thu gom, xử lý, tái sử dụng tại mỗi hộ gia đình, trang trại chăn nuôi.
+ Thống kê số trang trại chăn nuôi áp dụng một trong các biện pháp tái sử dụng và tái chế chất thải hữu cơ, phụ phẩm nông nghiệp.
d) Đánh giá tình hình kết quả thực hiện:
- Tỷ lệ khối lượng chất thải được thu gom, xử lý, tái sử dụng/khối lượng chất thải phát sinh đạt ≥80%.
- Tỷ lệ hộ gia đình, trang trại áp dụng các biện pháp tái sử dụng và tái chế chất thải hữu cơ, phụ phẩm nông nghiệp/tổng số hộ gia đình, trang trại đạt ≥80%.
2. Tỷ lệ cơ sở chăn nuôi bảo đảm các quy định về vệ sinh thú y, chăn nuôi và bảo vệ môi trường: Theo hướng dẫn tại khoản 3 phần II Mục 3 Chương I Hướng dẫn này.
3. Đất cây xanh sử dụng công cộng tại điểm dân cư nông thôn trong tiêu chí xác định xã NTM nâng cao là đất công viên, vườn hoa, sân chơi phục vụ cho nhu cầu và bảo đảm khả năng tiếp cận của mọi người dân trong điểm dân cư nông thôn (theo mục 1.4.16 và mục 1.4.17 QCVN 01:2021/BXD) và đất trồng cây ở các hành lang giao thông, ven sông, kênh, mương, trong khuôn viên các trụ sở cơ quan, trường học, bệnh viện, nhà máy, xí nghiệp, khu công nghiệp, khu chế xuất, các công trình tín ngưỡng và các công trình công cộng khác... được trồng các loại cây bản địa, thân gỗ, đa mục đích (bao gồm cả cây bóng mát, cây ăn quả lâu năm; không bao gồm cây thân thảo, vườn hoa, thảm cỏ) có giá trị bảo vệ môi trường, cảnh quan, tác dụng phòng hộ cao, cây quý, hiếm, mang bản sắc văn hóa địa phương/vùng/miền (theo Quyết định số 524/QĐ-TTg ngày 01/4/2021 của Thủ tướng Chính phủ phê duyệt Đề án “Trồng một tỷ cây xanh giai đoạn 2021-2025”). UBND cấp tỉnh quy định cụ thể để phù hợp với quy hoạch sử dụng đất, điều kiện đặc thù và nhu cầu phát triển kinh tế - xã hội của địa phương nhưng phải đảm bảo mức đạt chuẩn không thấp hơn so với quy định ≥4m2/người.
_________________________________________
1 Tùy đặc tính từng loại chất thải hữu cơ, phụ phẩm nông nghiệp để lựa chọn phương án xử lý, hướng dẫn kỹ thuật phù hợp.
Mục 4.
CÁC CHỈ TIÊU 18.1, 18.2, 18.3, 18.4, 18.5, 18.6 THUỘC TIÊU CHÍ
CHẤT LƯỢNG MÔI TRƯỜNG SỐNG
I. Xã đạt chuẩn các chỉ tiêu 18.1, 18.2, 18.3, 18.4, 18.5, 18.6 thuộc tiêu chí số 18 về “Chất lượng môi trường sống” khi đáp ứng các yêu cầu:
1. Tỷ lệ hộ được sử dụng nước sạch theo quy chuẩn từ hệ thống cấp nước tập trung.
2. Cấp nước sinh hoạt đạt chuẩn bình quân đầu người/ngày đêm.
3. Tỷ lệ công trình cấp nước tập trung có tổ chức quản lý, khai thác hoạt động bền vững.
4. Tỷ lệ chủ thể hộ gia đình và cơ sở sản xuất, kinh doanh thực phẩm hàng năm được tập huấn về an toàn thực phẩm.
5. Không để xảy ra sự cố về an toàn thực phẩm trên địa bàn thuộc phạm vi quản lý của xã.
6. Tỷ lệ cơ sở sơ chế, chế biến thực phẩm nông lâm thủy sản được chứng nhận về an toàn thực phẩm.
II. Đánh giá thực hiện
1. Tỷ lệ hộ được sử dụng nước sạch theo quy chuẩn từ hệ thống cấp nước tập trung:
a) Tỷ lệ hộ được sử dụng nước sạch theo quy chuẩn từ hệ thống cấp nước tập trung được đánh giá đạt khi có tỷ lệ hộ được sử dụng nước sạch đạt quy chuẩn từ hệ thống cấp nước tập trung bằng hoặc cao hơn mức chỉ tiêu quy định đối với vùng.
b) Chỉ tiêu 18.1 được đánh giá bằng tỷ lệ hộ được sử dụng nước sạch đạt quy chuẩn từ công trình cấp nước tập trung trên tổng số hộ gia đình nông thôn của xã tại cùng thời điểm đánh giá.
c) Thực hiện đánh giá theo hướng dẫn tại khoản 1 phần II Mục 3 Chương I Hướng dẫn này đối với nội dung “Tỷ lệ hộ sử dụng nước sạch đạt quy chuẩn từ hệ thống cấp nước tập trung”.
2. Cấp nước sinh hoạt đạt chuẩn bình quân đầu người/ngày đêm:
a) Tỷ lệ cấp nước sạch đạt quy chuẩn bình quân đầu người/ngày đêm được đánh giá đạt khi số lượng nước cấp sinh hoạt (tính bằng lít) đạt chuẩn bình quân đầu người/ngày đêm bằng hoặc cao hơn mức quy định của UBND cấp tỉnh.
b) UBND cấp tỉnh căn cứ vào điều kiện cấp nước nông thôn cụ thể của từng địa phương để quy định tỷ lệ cấp nước sinh hoạt đạt chuẩn bình quân đầu người/ngày đêm.
c) Tỷ lệ cấp nước sinh hoạt đạt chuẩn bình quân đầu người/ngày đêm (lít) được xác định bằng công suất cấp nước thực tế của công trình (m3/ngày đêm) x 1.000/tổng số hộ được cấp nước x 4.4, trong đó: Công suất thực tế sử dụng theo công suất phục vụ cao nhất trong năm đánh giá; 4.4 là số người trung bình mỗi hộ.
d) Địa phương sử dụng kết quả thực hiện Bộ chỉ số theo dõi đánh giá nước sạch nông thôn hàng năm hoặc tổ chức điều tra, thu thập số liệu thực tế để đánh giá kết quả thực hiện chỉ tiêu 18.2 (chi tiết theo biểu mẫu 04 Phụ lục III kèm theo).
3. Tỷ lệ công trình cấp nước tập trung có tổ chức quản lý, khai thác hoạt động bền vững:
a) Tỷ lệ công trình cấp nước tập trung có tổ chức quản lý, khai thác hoạt động bền vững được đánh giá là đạt khi tỷ lệ công trình cấp nước tập trung có tổ chức quản lý, khai thác hoạt động bền vững bằng hoặc cao hơn mức quy định của UBND cấp tỉnh.
b) UBND cấp tỉnh căn cứ vào điều kiện cấp nước nông thôn cụ thể của từng địa phương để quy định tỷ lệ công trình cấp nước tập trung có tổ chức quản lý, khai thác hoạt động bền vững.
c) Tỷ lệ công trình cấp nước tập trung có tổ chức quản lý, khai thác hoạt động bền vững trên địa bàn xã được tính bằng phần trăm (%) giữa số công trình được đánh giá là hoạt động bền vững trên tổng số công trình của xã tại thời điểm đánh giá.
d) Hướng dẫn đánh giá công trình cấp nước tập trung có tổ chức quản lý, khai thác hoạt động bền vững:
- Công trình cấp nước tập trung có tổ chức quản lý, khai thác hoạt động bền vững là công trình được giao cho tổ chức, đơn vị quản lý, khai thác, vận hành tuân theo quy định của pháp luật hiện hành; có cán bộ đảm bảo chuyên môn, năng lực quản lý vận hành công trình và đạt các tiêu chí hoạt động bền vững như sau:
|
TT |
Nội dung đánh giá |
Thang điểm tối đa |
Cách tính điểm |
Điểm đánh giá |
|
1 |
Tiền nước thu được đủ bù đắp chi phí quản lý vận hành, sửa chữa nhỏ |
20 |
- Thu còn dư để tích lũy: 20 điểm; - Thu đủ chi trả cho chi phí quản lý vận hành, sửa chữa nhỏ: 15 điểm; - Thu không đủ chi trả cho chi phí quản lý vận hành, sửa chữa nhỏ: 10 điểm; - Không thu được tiền nước: 0 điểm. |
|
|
2 |
Chất lượng nước sạch sau xử lý đạt quy chuẩn |
20 |
- Đạt: 20 điểm - Không đạt: 0 điểm |
|
|
3 |
Khả năng cấp nước thường xuyên trong năm |
20 |
- Luôn luôn ổn định: 20 điểm; - Số ngày không được cấp nước dưới 30 ngày/năm: 10 điểm; - Số ngày không được cấp nước trên 30 ngày/năm: 0 điểm. |
|
|
4 |
Tỷ lệ công suất khai thác thực tế sau 02 năm đưa vào sử dụng so với công suất thiết kế |
20 |
- Lớn hơn 60%: 20 điểm; - Từ 50-60%: 10 điểm; - Dưới 50%: 0 điểm. |
|
|
5 |
Cán bộ quản lý, vận hành có chuyên môn, năng lực quản lý vận hành phù hợp quy mô, yêu cầu kỹ thuật của công trình |
20 |
- Đạt: 20 điểm - Không đạt: 0 điểm |
|
|
|
Tổng số |
100 |
|
|
Ghi chú: Tổng số điểm từ 70 trở lên (trong đó bắt buộc phải đạt ít nhất 15 điểm cho nội dung đánh giá số 1 và 20 điểm cho nội dung đánh giá số 2).
- Địa phương sử dụng kết quả thực hiện Bộ chỉ số theo dõi đánh giá nước sạch nông thôn hàng năm hoặc tổ chức điều tra, thu thập số liệu thực tế để đánh giá kết quả thực hiện chỉ tiêu 18.3 (Chi tiết theo biểu mẫu số 04, 05 Phụ lục III kèm theo).
Tổng hợp đánh giá thực hiện các chỉ tiêu 18.1, 18.2, 18.3 như sau:
|
TT |
Chỉ tiêu |
Mức độ đánh giá |
Kết quả đánh giá (Đạt/Không đạt) |
|
1 |
Chỉ tiêu 18.1 về Tỷ lệ hộ được sử dụng nước sạch theo quy chuẩn từ hệ thống cấp nước tập trung |
|
|
|
|
Tỷ lệ hộ được sử dụng nước sạch theo quy chuẩn từ hệ thống cấp nước tập trung bằng hoặc cao hơn mức quy định đối với vùng |
Đạt |
|
|
2 |
Chỉ tiêu 18.2 về Cấp nước sinh hoạt đạt chuẩn bình quân đầu người/ngày đêm |
|
|
|
|
Cấp nước sinh hoạt đạt chuẩn bình quân đầu người/ngày đêm bằng hoặc cao hơn mức quy định của UBND cấp tỉnh và chất lượng nước đạt quy chuẩn |
Đạt |
|
|
3 |
Chỉ tiêu 18.3 về Tỷ lệ công trình cấp nước tập trung có tổ chức quản lý, khai thác hoạt động bền vững |
|
|
|
|
Tỷ lệ công trình cấp nước tập trung có tổ chức quản lý, khai thác hoạt động bền vững bằng hoặc cao hơn mức quy định của UBND cấp tỉnh. |
Đạt |
|
4. Tỷ lệ chủ thể hộ gia đình và cơ sở sản xuất, kinh doanh thực phẩm hàng năm được tập huấn về an toàn thực phẩm:
a) Hướng dẫn thực hiện:
|
Đối tượng |
Yêu cầu đạt |
Căn cứ pháp lý |
|
Chủ hộ gia đình, chủ cơ sở và người trực tiếp sản xuất, kinh doanh thực phẩm |
Chương trình, tài liệu tập huấn và danh sách chủ hộ gia đình, chủ cơ sở và người trực tiếp sản xuất, kinh doanh thực phẩm hàng năm tham gia tập huấn về an toàn thực phẩm |
Điều 19 Luật An toàn thực phẩm |
b) Yêu cầu mức đạt: 100% số chủ hộ gia đình, chủ cơ sở và người trực tiếp sản xuất, kinh doanh thực phẩm hàng năm được tập huấn về an toàn thực phẩm.
c) Phương pháp đánh giá:
Cung cấp tài liệu chứng minh xã đạt chỉ tiêu 18.4, gồm: Chương trình, tài liệu tập huấn và danh sách tổng hợp thống kê các hộ gia đình và cơ sở sản xuất, kinh doanh thực phẩm trên địa bàn thuộc phạm vi quản lý của xã (tên hộ gia đình và cơ sở, địa chỉ hộ gia đình và cơ sở theo từng loại hình sản xuất, kinh doanh); số lượng chủ hộ gia đình, chủ cơ sở và người trực tiếp sản xuất, kinh doanh thực phẩm hàng năm được tập huấn về an toàn thực phẩm. Thời điểm cập nhật danh sách yêu cầu không quá 06 tháng tính đến thời điểm tổ chức đánh giá.
5. Không để xảy ra sự cố về an toàn thực phẩm trên địa bàn thuộc phạm vi quản lý của xã:
a) Sự cố về an toàn thực phẩm là tình huống xảy ra do ngộ độc thực phẩm, bệnh truyền qua thực phẩm hoặc các tình huống khác phát sinh từ thực phẩm gây hại trực tiếp đến sức khỏe, tính mạng con người.
b) Sản phẩm từ hộ gia đình và cơ sở sản xuất, kinh doanh thực phẩm trên địa bàn thuộc phạm vi quản lý của xã không là nguyên nhân gây ra sự cố về an toàn thực phẩm.
c) Phương pháp đánh giá:
Cung cấp tài liệu chứng minh xã đạt chỉ tiêu 18.5, gồm:
- Danh sách thống kê các hộ gia đình và cơ sở sản xuất, kinh doanh thực phẩm trên địa bàn (tên hộ gia đình và cơ sở, địa chỉ hộ gia đình và cơ sở theo từng loại hình sản xuất, kinh doanh). Thời điểm cập nhật danh sách yêu cầu không quá 06 tháng tính đến thời điểm tổ chức đánh giá.
- Thông tin liên quan đến sự cố về an toàn thực phẩm trên địa bàn xã (nếu có).
6. Tỷ lệ cơ sở sơ chế, chế biến thực phẩm nông lâm thủy sản được chứng nhận về an toàn thực phẩm khi đáp ứng yêu cầu theo quy định tại Thông tư số 38/2018/TT-BNNPTNT ngày 25/12/2018 của Bộ Nông nghiệp và Phát triển nông thôn quy định việc thẩm định, chứng nhận cơ sở sản xuất, kinh doanh thực phẩm nông, lâm, thủy sản đủ điều kiện an toàn thực phẩm thuộc phạm vi quản lý của Bộ Nông nghiệp và Phát triển nông thôn và theo quy định của pháp luật hiện hành.
Chương III
HƯỚNG DẪN THỰC HIỆN MỘT SỐ TIÊU CHÍ, CHỈ TIÊU
THUỘC BỘ TIÊU CHÍ QUỐC GIA VỀ HUYỆN NTM
GIAI ĐOẠN 2021-2025
Mục 1
CHỈ TIÊU 2.3 THUỘC TIÊU CHÍ GIAO THÔNG
I. Huyện đạt chuẩn chỉ tiêu 2.3 thuộc tiêu chí số 2 về “Giao thông” khi đáp ứng yêu cầu: Tỷ lệ km đường huyện được trồng cây xanh dọc tuyến đường (từ 50% trở lên).
II. Đánh giá thực hiện
1. Cây xanh trồng dọc tuyến đường huyện là các loài cây thân gỗ, có giá trị bảo vệ môi trường, tạo cảnh quan, bóng mát, có tác dụng phòng hộ cao, do địa phương lựa chọn.
2. Việc trồng cây xanh dọc tuyến đường huyện để ổn định nền đường, tạo mỹ quan và bảo vệ môi trường, tăng cảm giác an toàn khi tham gia giao thông nhưng không được trồng cây ở trên lề đường và ảnh hưởng đến canh tác (Quyết định số 932/QĐ-BGTVT ngày 18/7/2022 của Bộ Giao thông vận tải về việc ban hành “Hướng dẫn thực hiện tiêu chí về giao thông thuộc bộ tiêu chí quốc gia về xã nông thôn mới/xã nông thôn mới nâng cao và huyện nông thôn mới/huyện nông thôn mới nâng cao giai đoạn 2021-2025”).
Mục 2
TIÊU CHÍ THỦY LỢI VÀ PHÒNG, CHỐNG THIÊN TAI
I. Huyện đạt chuẩn tiêu chí số 3 về “Thủy lợi và phòng, chống thiên tai” khi đáp ứng các yêu cầu:
1. Hệ thống thủy lợi liên xã đồng bộ với hệ thống thủy lợi các xã theo quy hoạch.
2. Đảm bảo yêu cầu chủ động về phòng chống thiên tai theo phương châm 4 tại chỗ.
II. Đánh giá thực hiện
1. Hệ thống thủy lợi liên xã đồng bộ với hệ thống thủy lợi các xã theo quy hoạch:
a) Hệ thống thủy lợi liên xã (bao gồm các công trình thủy lợi có liên quan trực tiếp với nhau về khai thác và bảo vệ từ 02 xã trở lên) được xây dựng phù hợp với quy hoạch được phê duyệt.
b) Có tổ chức quản lý, khai thác công trình thủy lợi quy mô cấp huyện phù hợp:
- Được thành lập theo quy định hiện hành.
- Quản lý khai thác hệ thống theo đúng kế hoạch được duyệt, đảm bảo điều hòa phân phối nước, tiêu nước công bằng, hợp lý.
- Thực hiện Phương án bảo vệ công trình thủy lợi được duyệt.
2. Đảm bảo yêu cầu chủ động về phòng chống thiên tai theo phương châm 4 tại chỗ:
a) Đảm bảo tất cả các mục yêu cầu “có” tại cột yêu cầu phải đáp ứng “có”.
b) Kết quả chấm điểm đạt từ 50 điểm đến dưới 70 điểm.
(Biểu đánh giá, chấm điểm chi tiết tại Phụ lục II kèm theo Hướng dẫn này).
Mục 3
CÁC CHỈ TIÊU 6.1 VỀ “CÓ CỤM NGÀNH NGHỀ NÔNG THÔN”,
6.3, 6.4 THUỘC TIÊU CHÍ KINH TẾ
I. Huyện đạt chuẩn các chỉ tiêu 6.1 về “Có cụm ngành nghề nông thôn”, 6.3, 6.4 thuộc tiêu chí số 6 về “Kinh tế” khi đáp ứng các yêu cầu:
1. Có cụm ngành nghề nông thôn.
2. Hình thành vùng nguyên liệu tập trung đối với các sản phẩm chủ lực hoặc có mô hình liên kết theo chuỗi giá trị đảm bảo an toàn thực phẩm, kết nối từ sản xuất đến tiêu thụ đối với các sản phẩm chủ lực của huyện.
3. Có Trung tâm kỹ thuật nông nghiệp hoặc đơn vị chuyển giao kỹ thuật nông nghiệp hoạt động hiệu quả.
II. Đánh giá thực hiện
1. Cụm ngành nghề nông thôn:
a) Chỉ tiêu 6.1 về “Có cụm ngành nghề nông thôn” được đánh giá đạt khi đáp ứng các yêu cầu sau:
- Có khu vực sản xuất, kinh doanh một trong các hoạt động ngành nghề nông thôn được quy định tại Điều 4 Nghị định số 52/2018/NĐ-CP ngày 12/4/2018 của Chính phủ về phát triển ngành nghề nông thôn (sau đây gọi là cụm ngành nghề nông thôn).
- Cụm ngành nghề nông thôn đó được đầu tư hệ thống cơ sở hạ tầng kỹ thuật bao gồm: Hệ thống các công trình giao thông nội bộ; cấp nước; thoát nước; xử lý nước thải phù hợp với hoạt động ngành nghề nông thôn; thu gom chất thải rắn; cấp điện và các công trình khác phục vụ hoạt động của cụm ngành nghề nông thôn.
- Tổ chức, cá nhân đầu tư sản xuất, kinh doanh trong cụm ngành nghề nông thôn bao gồm: Các doanh nghiệp nhỏ và vừa, hợp tác xã, tổ hợp tác, hộ gia đình có đăng ký kinh doanh theo quy định của pháp luật.
b) Trường hợp địa phương không có cụm ngành nghề nông thôn theo hướng dẫn tại điểm a khoản 1 phần II Mục này, tùy vào điều kiện thực tế của địa phương, có thể đánh giá đạt chỉ tiêu 6.1 về “Có cụm ngành nghề nông thôn” khi đáp ứng một trong các yêu cầu sau:
- Có khu vực du lịch cộng đồng đáp ứng các yêu cầu:
+ Có điểm du lịch đáp ứng ứng điều kiện công nhận được quy định tại Điều 11 Nghị định số 168/2017/NĐ-CP ngày 31/12/2017 của Chính phủ quy định chi tiết một số điều của Luật Du lịch.
+ Có ít nhất 10 hộ trên địa bàn huyện tham gia chuỗi cung ứng dịch vụ du lịch của khu vực du lịch nông thôn.
- Có vùng sản xuất nông nghiệp hàng hóa tập trung (theo quy định tại khoản 3 Điều 3 Nghị định số 98/2018/NĐ-CP ngày 05/7/2018 của Chính phủ về chính sách khuyến khích phát triển hợp tác, liên kết trong sản xuất và tiêu thụ sản phẩm nông nghiệp) gắn với cơ sở sơ chế, hoặc cơ sở chế biến, hoặc cơ sở xử lý phụ phẩm nông nghiệp.
- Có cảng cá đạt tiêu chí loại III trở lên, có quyết định công bố mở cảng cá còn hiệu lực và được quản lý, hoạt động theo quy định.
- Có khu nông nghiệp ứng dụng công nghệ cao được thành lập theo quy định tại khoản 3 Điều 5 Nghị định số 10/2024/NĐ-CP ngày 01/02/2024 của Chính phủ quy định về khu công nghệ cao; trong đó, đã triển khai thực hiện ít nhất 01 hoạt động công nghệ cao theo quy định tại Điều 34 Nghị định số 10/2024/NĐ-CP.
2. Hình thành vùng nguyên liệu tập trung đối với các sản phẩm chủ lực hoặc có mô hình liên kết theo chuỗi giá trị đảm bảo an toàn thực phẩm, kết nối từ sản xuất đến tiêu thụ đối với các sản phẩm chủ lực của huyện khi đáp ứng một trong các yêu cầu sau:
a) Hình thành vùng nguyên liệu tập trung đối với các sản phẩm chủ lực của huyện:
- Vùng nguyên liệu tập trung: “Là vùng sản xuất tập trung một hay một nhóm sản phẩm nông nghiệp cùng loại có quy mô phù hợp với từng loại hình sản xuất và điều kiện của mỗi địa phương, tuân thủ các quy định của Nhà nước về an toàn thực phẩm, an toàn dịch bệnh, bảo vệ môi trường, có liên kết gắn sản xuất với tiêu thụ sản phẩm nông nghiệp” (theo quy định tại điểm 3 Điều 3 Nghị định số 98/2018/NĐ-CP).
- Sản phẩm chủ lực của huyện: Là sản phẩm nông sản được sản xuất trên địa bàn huyện được UBND huyện phê duyệt. Sản phẩm chủ lực của huyện cần đảm bảo:
+ Có tỷ trọng giá trị sản xuất trong 01 năm lớn nhất so với giá trị sản xuất của các sản phẩm khác trên địa bàn huyện, hoặc tỷ lệ hộ nông dân tham gia vào sản xuất sản phẩm lớn nhất so với các sản phẩm khác trên địa bàn huyện.
+ Sản phẩm được sản xuất không tác động xấu tới môi trường đất, nước và hệ sinh thái xung quanh khu vực sản xuất.
+ Sản phẩm nông nghiệp chủ lực phải phù hợp với định hướng phát triển Nhà nước.
b) Có mô hình liên kết theo chuỗi giá trị đảm bảo an toàn thực phẩm, kết nối từ sản xuất đến tiêu thụ đối với các sản phẩm chủ lực của huyện:
- Mô hình liên kết theo chuỗi giá trị sản phẩm nông nghiệp là hình thức liên kết trong sản xuất nông nghiệp theo chuỗi từ cung ứng vật tư, dịch vụ đầu vào, sản xuất, sơ chế hoặc chế biến gắn với tiêu thụ sản phẩm nông nghiệp (theo quy định tại khoản 2 Điều 3 Nghị định số 98/2018/NĐ-CP). Các hình thức liên kết cụ thể theo quy định tại Điều 4 Nghị định số 98/2018/NĐ-CP.
- Sản phẩm mô hình liên kết được cấp một trong các Giấy chứng nhận đảm bảo an toàn thực phẩm hoặc tương đương còn hiệu lực.
3. Có Trung tâm kỹ thuật nông nghiệp hoặc đơn vị chuyển giao kỹ thuật nông nghiệp hoạt động hiệu quả:
a) Có Trung tâm kỹ thuật nông nghiệp hoạt động hiệu quả khi đáp ứng các yêu cầu sau:
- Có quy định chức năng, nhiệm vụ, quyền hạn và cơ cấu tổ chức của Trung tâm kỹ thuật nông nghiệp được cấp có thẩm quyền phê duyệt.
- Có quy chế hoạt động và phân công trách nhiệm cụ thể đối với các tổ chức thành viên của Trung tâm kỹ thuật nông nghiệp (nếu có) được cấp có thẩm quyền phê duyệt.
- Đảm bảo thực hiện hoàn thành đúng, đầy đủ các chức năng, nhiệm vụ được giao theo quy định của cấp có thẩm quyền.
b) Có đơn vị chuyển giao kỹ thuật nông nghiệp hoạt động hiệu quả khi đáp ứng các yêu cầu sau:
- Có đơn vị chuyển giao kỹ thuật nông nghiệp (Trung tâm Dịch vụ nông nghiệp huyện, Trạm Khuyến nông của huyện hoặc đơn vị tương đương) hoạt động hiệu quả theo chức năng nhiệm vụ được giao và có triển khai hiệu quả hoạt động tư vấn, dịch vụ về chính sách, liên kết sản xuất, kết nối thị trường và chuyển giao công nghệ phục vụ phát triển sản xuất nông nghiệp, ngành nghề nông thôn, xây dựng nông thôn mới.
- Đánh giá hiệu quả hoạt động của đơn vị chuyển giao kỹ thuật nông nghiệp:
|
TT |
Nội dung đánh giá (*) |
Chỉ số (*) |
Kết quả thực hiện |
Đánh giá |
|
|
Đạt |
Không đạt |
||||
|
1 |
Có đơn vị chuyển giao kỹ thuật nông nghiệp |
Có/Không |
|
|
|
|
2 |
Chuyển giao tiến bộ kỹ thuật trong nông nghiệp |
Số lượng mô hình, kỹ thuật, công nghệ được chuyển giao |
|
|
|
|
3 |
Tham gia đào tạo, tập huấn cho nông dân/HTX |
Số lớp/số lượng học viên được đào tạo, tập huấn |
|
|
|
|
4 |
Tư vấn về chính sách, liên kết sản xuất, kết nối thị trường |
Số lượng hợp đồng liên kết sản xuất |
|
|
|
|
5 |
Tư vấn, dịch vụ giống, vật tư, thiết bị nông nghiệp, bảo vệ thực vật, trồng trọt, chăn nuôi thú y và thủy sản |
Đáp ứng bao nhiêu % số hộ/HTX sản xuất nông nghiệp |
|
|
|
|
6 |
Tham gia các hoạt động phát triển cộng đồng tại địa phương |
Có/Không |
|
|
|
|
7 |
Truyền thông phổ biến quy trình sản xuất, tiến bộ kỹ thuật, mô hình chuyển giao hiệu quả trong nông nghiệp |
Số lượng tin bài |
|
|
|
(*) Nội dung đánh giá và chỉ số đánh giá do UBND cấp tỉnh quy định cụ thể phù hợp với điều kiện thực tế của địa phương.
Mục 4
CÁC CHỈ TIÊU 7.3, 7.6 THUỘC TIÊU CHÍ MÔI TRƯỜNG
I. Huyện đạt chuẩn các chỉ tiêu 7.3, 7.6 thuộc tiêu chí số 7 về “Môi trường” khi đáp ứng các yêu cầu:
1. Có mô hình tái chế chất thải hữu cơ, phụ phẩm nông nghiệp quy mô cấp xã trở lên.
2. Đất cây xanh sử dụng công cộng tại điểm dân cư nông thôn.
II. Đánh giá thực hiện
1. Có mô hình tái chế chất thải hữu cơ, phụ phẩm nông nghiệp quy mô cấp xã trở lên:
a) Giải thích từ ngữ:
- Chất thải hữu cơ (organic waste) là chất thải dễ phân hủy sinh học, có nguồn gốc từ động vật hoặc thực vật, phát sinh từ sinh hoạt, chăn nuôi, giết mổ gia súc/gia cầm, sơ chế, chế biến các sản phẩm nông nghiệp, lâm nghiệp và thủy hải sản, từ làng nghề và các hoạt động phát triển kinh tế - xã hội khác trên địa bàn nông thôn. Chất thải hữu cơ có thể thu hồi, sử dụng trực tiếp cho các mục đích sử dụng khác (không cần qua chế biến hoặc có sơ chế như cắt, nghiền...) hoặc qua các công đoạn xử lý, tái chế thành các dạng sản phẩm khác, có giá trị sử dụng, hạn chế tác động, ảnh hưởng đến môi trường.
- Phụ phẩm nông nghiệp (cụ thể là phụ phẩm cây trồng) là sản phẩm phụ phát sinh trong quá trình chăm sóc, thu hoạch, sơ chế cây trồng và sản phẩm cây trồng tại khu vực canh tác nông nghiệp. Phụ phẩm nông nghiệp có 02 dạng: Dạng vô cơ (vỏ bao gói, túi đựng, chai lọ, màng phủ, vật chắn, lưới chắn, giá cây...) và dạng hữu cơ (rơm rạ, vỏ trái cây, phần thải loại từ hoạt động sơ chế, chế biến). Phụ phẩm nông nghiệp hữu cơ hầu hết có nguồn gốc từ thực vật.
- Tái chế chất thải hữu cơ, phụ phẩm nông nghiệp (tái chế phụ phẩm nông nghiệp hữu cơ) là hoạt động có áp dụng các biện pháp kỹ thuật, công nghệ có tính chất vật lý (cắt, nghiền, ủ, ép, đóng bánh...) hoặc hoá học (hoá chất, chất phân hủy hữu cơ...) hoặc sinh học (nấm men, nấm mốc, côn trùng, vi khuẩn, chế phẩm sinh học...) để thay đổi tính chất của chất thải hữu cơ thành các dạng dễ tiêu, dễ phân hủy, từ đó chế biến thành các sản phẩm có tính chất hàng hóa (có thể trao đổi qua thị trường) hoặc có thể sử dụng cho các mục đích khác (sản xuất: nhiên liệu sinh học, phân bón, thức ăn chăn nuôi, mùn bã hữu cơ...).
- Mô hình tái chế chất thải hữu cơ là hình thức tổ chức hoạt động thu gom, vận chuyển, xử lý hoặc sử dụng trực tiếp, tái chế chất thải hữu cơ thành dạng sản phẩm trung gian cung cấp nguyên liệu đầu vào cho các hoạt động sản xuất khác hoặc sản phẩm cuối cùng để sử dụng cho các mục đích khác. Mô hình có thể do một tổ chức hoặc cá nhân hoặc doanh nghiệp trên địa bàn xã đầu tư, xây dựng, vận hành để thu gom chất thải hữu cơ từ các nguồn phát sinh trên địa bàn xã (có thể thu gom từ các xã lân cận); hoặc do tổ tự quản, đoàn thể, hợp tác xã nông nghiệp hoặc đơn vị sự nghiệp trực thuộc UBND xã, do UBND xã thành lập và ban hành quy chế hoạt động, có sự hỗ trợ từ ngân sách nhà nước. UBND xã ưu tiên thành lập và ưu đãi hỗ trợ các tổ chức, cá nhân xây dựng và vận hành các “mô hình tái chế”; tham mưu, đề xuất, trình UBND huyện cơ chế thu giá dịch vụ xử lý chất thải hữu cơ phù hợp trên địa bàn, áp dụng tối đa các cơ chế hỗ trợ, ưu đãi phù hợp theo quy định của pháp luật.
- Quy mô của “Mô hình tái chế chất thải hữu cơ quy mô cấp xã trở lên” bao gồm quy mô về địa bàn hoạt động là mô hình có hoạt động thu gom và xử lý chất thải hữu cơ, phụ phẩm nông nghiệp từ các hộ gia đình, hộ sản xuất, kinh doanh trên địa bàn một xã hoặc nhiều xã; hoặc quy mô về mạng lưới hoạt động, tính chất cộng đồng là mô hình có quy mô liên kết từ tối thiểu 100 hộ sản xuất/gia đình/hộ kinh doanh/hộ chăn nuôi trở lên; hoặc quy mô về công suất hoạt động là mô hình có quy mô tiếp nhận và xử lý từ 5 tấn chất thải trở lên/ngày.
b) Phương thức thành lập và hoạt động của mô hình:
- Có quyết định thành lập hoặc đăng ký kinh doanh (có ngành nghề phù hợp).
- Có phương án, quy trình sản xuất kinh doanh kèm theo hồ sơ về môi trường phù hợp với quy mô dự kiến.
- Có địa chỉ, mặt bằng hoạt động, nhà xưởng, máy móc trang thiết bị và nhân lực phù hợp.
- Có cam kết thu mua (hoặc hợp đồng thu gom) với ít nhất 80% số hộ gia đình hoặc ít nhất 100 hộ chăn nuôi, chế biến, sản xuất nông nghiệp trên địa bàn một xã hoặc nhiều xã.
- Có hợp đồng tiêu thụ sản phẩm hoặc địa chỉ sử dụng sản phẩm cụ thể kèm theo các chứng từ bàn giao sản phẩm (hóa đơn, phiếu xuất kho hoặc biên bản giao nhận).
c) Các biện pháp công nghệ, kỹ thuật có thể áp dụng:
Tùy đặc tính từng loại chất thải hữu cơ, phụ phẩm nông nghiệp để lựa chọn phương án xử lý sau:
- Ủ thành phân hữu cơ truyền thống được sử dụng để làm phân bón cho cây trồng (vỏ cà phê, rơm rạ, hoa ăn lá, rau ăn củ...).
- Thu hồi làm nguyên liệu sản xuất cho các ngành khác:
Ủ chua làm thức ăn chăn nuôi, làm vật liệu độn chuồng, đệm lót sinh học trong chăn nuôi (cây và lõi ngô, trấu...).
Làm giá thể trồng nấm, trồng cây (rơm rạ, mùn dừa...).
Làm than hoạt tính (vỏ sầu riêng, vỏ điều, vỏ lạc, thân cây sắn...).
Phơi khô, nghiền thành bột bổ sung thức ăn chăn nuôi hoặc chế biến thành sản phẩm thương mại khác (đầu cá, tôm...).
- Sử dụng trực tiếp:
Cày vùi hoặc phay.
Ép xanh theo rãnh hoặc phủ luống.
Vùi trong hố đa năng hoặc che tủ gốc cây trồng, che phủ đất.
- Sản xuất thành viên nhiên liệu:
Sử dụng bã ép (lạc, đậu tương...).
Sử dụng vỏ các loại hạt (cà phê...).
d) Sản phẩm và hỗ trợ tiêu thụ sản phẩm:
- Mô hình do tổ chức (HTX, HTX nông nghiệp, doanh nghiệp, đoàn thể xã hội, đơn vị sự nghiệp trực thuộc UBND xã...) hoặc cá nhân trên địa bàn đứng ra thực hiện, có ký cam kết đối với cơ sở/hộ sản xuất có phát sinh chất thải hữu cơ, phụ phẩm nông nghiệp trên địa bàn và có cơ chế ưu đãi hỗ trợ đối với các tổ chức, cá nhân thực hiện mô hình.
- Hoạt động ổn định từ 02 năm liên tục trở lên.
- Sản phẩm được tiêu thụ trên địa bàn cấp xã hoặc các địa bàn khác.
đ) Đánh giá tình hình kết quả thực hiện:
|
Chỉ tiêu |
Chỉ số kiểm chứng |
Đánh giá |
Lý do không đạt |
||
|
Nội dung |
Chỉ số |
Đạt |
Không đạt |
||
|
Có mô hình tái chế chất thải hữu cơ, phụ phẩm nông nghiệp quy mô cấp xã trở lên |
Quy mô |
Mô hình gắn với hoạt động sản xuất nông nghiệp, chăn nuôi, thủy sản |
|
|
|
|
Tổ chức thực hiện |
Có tổ chức (HTX, HTX nông nghiệp, doanh nghiệp, đoàn thể, đơn vị sự nghiệp trực thuộc UBND xã...) hoặc cá nhân thực hiện mô hình |
|
|
|
|
|
Hoạt động ổn định từ 02 năm liên tục trở lên |
|
|
|
||
|
Không xảy ra hiện tượng phá vỡ hợp đồng liên kết giữa tổ chức hoặc cá nhân thực hiện mô hình và cơ sở/hộ sản xuất có phát sinh chất thải hữu cơ, phụ phẩm nông nghiệp trên địa bàn xã |
|
|
|
||
|
Sản phẩm được tiêu thụ trên địa bàn xã hoặc các địa bàn khác |
|
|
|
||
2. Đất cây xanh sử dụng công cộng tại điểm dân cư nông thôn trong tiêu chí xác định huyện NTM là đất công viên, vườn hoa, sân chơi phục vụ cho nhu cầu và bảo đảm khả năng tiếp cận của mọi người dân trong điểm dân cư nông thôn (theo mục 1.4.16 và mục 1.4.17 QCVN 01:2021/BXD) và đất trồng cây ở các hành lang giao thông, ven sông, kênh, mương, trong khuôn viên các trụ sở cơ quan, trường học, bệnh viện, nhà máy, xí nghiệp, khu công nghiệp, khu chế xuất, các công trình tín ngưỡng và các công trình công cộng khác... được trồng các loại cây bản địa, thân gỗ, đa mục đích (bao gồm cả cây bóng mát, cây ăn quả lâu năm; không bao gồm cây thân thảo, vườn hoa, thảm cỏ) có giá trị bảo vệ môi trường, cảnh quan, tác dụng phòng hộ cao, cây quý, hiếm, mang bản sắc văn hóa địa phương/vùng/miền (theo Quyết định số 524/QĐ-TTg ngày 01/4/2021 của Thủ tướng Chính phủ phê duyệt Đề án “Trồng một tỷ cây xanh giai đoạn 2021-2025”). UBND cấp tỉnh quy định cụ thể để phù hợp với quy hoạch sử dụng đất, điều kiện đặc thù và nhu cầu phát triển kinh tế - xã hội của địa phương nhưng phải đảm bảo mức đạt chuẩn không thấp hơn so với quy định ≥ 2m2/người.
Mục 5
CÁC CHỈ TIÊU 8.1, 8.2, 8.5 THUỘC TIÊU CHÍ
CHẤT LƯỢNG MÔI TRƯỜNG SỐNG
I. Huyện đạt chuẩn các chỉ tiêu 8.1, 8.2, 8.5 thuộc tiêu chí số 8 về “Chất lượng môi trường sống” khi đáp ứng các yêu cầu:
1. Tỷ lệ hộ được sử dụng nước sạch theo quy chuẩn từ hệ thống cấp nước tập trung.
2. Tỷ lệ công trình cấp nước tập trung có tổ chức quản lý, khai thác hoạt động bền vững.
3. Tỷ lệ cơ sở sản xuất, kinh doanh thực phẩm do huyện quản lý tuân thủ các quy định về đảm bảo an toàn thực phẩm.
II. Đánh giá thực hiện
1. Tỷ lệ hộ được sử dụng nước sạch theo quy chuẩn từ hệ thống cấp nước tập trung:
a) Công bố chỉ tiêu cụ thể:
|
Tên tiêu chí |
Nội dung tiêu chí |
Chỉ tiêu theo vùng |
||||||
|
Trung du miền núi phía Bắc |
Đồng bằng sông Hồng |
Bắc Trung Bộ |
Duyên hải Nam Trung Bộ |
Tây Nguyên |
Đông Nam Bộ |
Đồng bằng sông Cửu Long |
||
|
8. Chất lượng môi trường sống |
8.1. Tỷ lệ hộ được sử dụng nước sạch theo quy chuẩn từ hệ thống cấp nước tập trung |
≥ 12% |
≥ 43% |
≥ 18% |
≥ 22% |
≥ 12% |
≥ 34% |
≥ 33% |
b) Tỷ lệ hộ được sử dụng nước sạch theo quy chuẩn từ hệ thống cấp nước tập trung:
- Chỉ tiêu 8.1 được đánh giá là đạt khi có tỷ lệ hộ sử dụng nước sạch đạt quy chuẩn từ hệ thống cấp nước tập trung bằng hoặc cao hơn mức quy định đối với vùng.
- Chỉ tiêu 8.1 được đánh giá bằng tỷ lệ hộ được sử dụng nước sạch đạt quy chuẩn từ công trình cấp nước sạch tập trung trên tổng số hộ gia đình nông thôn tại địa bàn huyện tại cùng thời điểm đánh giá.
- Thực hiện đánh giá theo hướng dẫn tại khoản 1 phần II Mục 3 Chương I Hướng dẫn này đối với nội dung “Tỷ lệ hộ được sử dụng nước sạch theo quy chuẩn từ hệ thống cấp nước tập trung”.
- Địa phương sử dụng kết quả thực hiện Bộ chỉ số theo dõi đánh giá nước sạch nông thôn hàng năm hoặc tổ chức điều tra, thu thập số liệu thực tế để đánh giá kết quả thực hiện chỉ tiêu 8.1 (chi tiết theo biểu mẫu 03 Phụ lục III kèm theo Hướng dẫn này).
2. Tỷ lệ công trình cấp nước tập trung có tổ chức quản lý, khai thác hoạt động bền vững:
a) Chỉ tiêu 8.2 được đánh giá là đạt khi có tỷ lệ công trình cấp nước tập trung có tổ chức quản lý, khai thác hoạt động bền vững trên địa bàn huyện bằng hoặc cao hơn 35%.
b) Chỉ tiêu 8.2 được tính bằng phần trăm (%) giữa số công trình được đánh giá là hoạt động bền vững trên tổng số công trình trên địa bàn huyện tại thời điểm đánh giá.
c) Thực hiện đánh giá theo hướng dẫn tại khoản 3 phần II Mục 4 Chương II Hướng dẫn này.
Tổng hợp đánh giá thực hiện chỉ tiêu 8.1, 8.2 như sau:
|
TT |
Chỉ tiêu |
Mức độ đánh giá |
Kết quả đánh giá (Đạt/Không đạt) |
|
1 |
Chỉ tiêu 8.1 về Tỷ lệ hộ được sử dụng nước sạch theo quy chuẩn từ hệ thống cấp nước tập trung |
|
|
|
|
Tỷ lệ hộ được sử dụng nước sạch theo quy chuẩn từ hệ thống cấp nước tập trung bằng hoặc cao hơn mức quy định đối với vùng. |
Đạt |
|
|
2 |
Chỉ tiêu 8.2 về Tỷ lệ công trình cấp nước tập trung có tổ chức quản lý, khai thác hoạt động bền vững |
|
|
|
|
Tỷ lệ công trình cấp nước tập trung có tổ chức quản lý, khai thác hoạt động bền vững bằng hoặc cao hơn 35%. |
Đạt |
|
3. Tỷ lệ cơ sở sản xuất, kinh doanh thực phẩm do huyện quản lý tuân thủ các quy định về đảm bảo an toàn thực phẩm:
a) Đối tượng áp dụng:
Cơ sở sản xuất, kinh doanh thực phẩm bao gồm:
- Cơ sở sản xuất ban đầu (trồng trọt, chăn nuôi, thu hái, khai thác nông lâm thủy sản; nuôi trồng thủy sản; tàu cá; sản xuất, khai thác muối).
- Cơ sở thu gom, giết mổ, sơ chế, chế biến thực phẩm.
- Cơ sở kinh doanh thực phẩm.
b) Phạm vi áp dụng:
Cơ sở sản xuất, kinh doanh thực phẩm trên địa bàn huyện do huyện quản lý (trừ cơ sở sản xuất chỉ để tiêu dùng, không bán sản phẩm ra thị trường).
c) Hướng dẫn thực hiện:
|
TT |
Đối tượng |
Yêu cầu đạt |
Căn cứ pháp lý |
|
I |
Cơ sở sản xuất ban đầu |
||
|
1 |
Cơ sở sản xuất nông lâm thủy sản ban đầu nhỏ lẻ |
Giấy cam kết sản xuất thực phẩm an toàn với cơ quan quản lý được UBND cấp tỉnh phân công, phân cấp |
Thông tư số 17/2018/TT-BNNPTNT ngày 31/10/2018 của Bộ Nông nghiệp và Phát triển nông thôn |
|
2 |
Cơ sở sản xuất thực phẩm không có địa điểm cố định (trừ tàu cá có chiều dài lớn nhất từ 15 mét trở lên) |
||
|
3 |
Cơ sở sản xuất nông lâm thủy sản ban đầu (trừ các đối tượng tại mục I.1, I.2 nêu trên) |
Giấy chứng nhận đủ điều kiện an toàn thực phẩm và còn hiệu lực |
Thông tư số 38/2018/TT-BNNPTNT ngày 25/12/2018 của Bộ Nông nghiệp và Phát triển nông thôn |
|
II |
Hộ gia đình, cơ sở giết mổ, sơ chế, chế biến thực phẩm (*) |
||
|
1 |
Cơ sở sơ chế nhỏ lẻ |
Giấy cam kết sản xuất thực phẩm an toàn với cơ quan quản lý được UBND cấp tỉnh phân công, phân cấp |
Thông tư số 17/2018/TT-BNNPTNT ngày 31/10/2018 của Bộ Nông nghiệp và Phát triển nông thôn |
|
2 |
Cơ sở giết mổ, cơ sở sơ chế (trừ cơ sở sơ chế nhỏ lẻ tại II.1 nêu trên), chế biến thực phẩm thuộc phạm vi quản lý của Bộ Nông nghiệp và Phát triển nông thôn |
Giấy chứng nhận đủ điều kiện an toàn thực phẩm và còn hiệu lực |
Thông tư số 38/2018/TT-BNNPTNT ngày 25/12/2018 của Bộ Nông nghiệp và Phát triển nông thôn |
|
3 |
Cơ sở sản xuất thực phẩm thuộc thẩm quyền quản lý của Bộ Y tế (theo Nghị định số 15/2018/NĐ-CP) |
Giấy chứng nhận đủ điều kiện an toàn thực phẩm và còn hiệu lực |
Nghị định số 155/2018/NĐ-CP ngày 12/11/2018 của Chính phủ sửa đổi, bổ sung một số quy định liên quan đến điều kiện đầu tư kinh doanh thuộc phạm vi quản lý nhà nước của Bộ Y tế |
|
4 |
Cơ sở sản xuất thực phẩm thuộc thẩm quyền quản lý của Bộ Công Thương (theo Nghị định số 15/2018/NĐ-CP) |
Giấy chứng nhận đủ điều kiện an toàn thực phẩm và còn hiệu lực |
- Thông tư số 43/2018/TT-BCT ngày 15/11/2018 quy định về quản lý an toàn thực phẩm thuộc trách nhiệm của Bộ Công Thương. - Thông tư số 13/2020/TT-BCT ngày 16/8/2020 sửa đổi, bổ sung, bãi bỏ một số quy định về điều kiện đầu tư kinh doanh thuộc lĩnh vực quản lý nhà nước của Bộ Công Thương. |
|
III |
Cơ sở kinh doanh thực phẩm (*) |
||
|
1 |
Cơ sở kinh doanh thực phẩm không có địa điểm cố định |
Giấy cam kết sản xuất thực phẩm an toàn với cơ quan quản lý được UBND cấp tỉnh phân công, phân cấp |
Thông tư số 17/2018/TT-BNNPTNT ngày 31/10/2018 của Bộ Nông nghiệp và Phát triển nông thôn |
|
2 |
Cơ sở kinh doanh thực phẩm nhỏ lẻ |
||
|
3 |
Cơ sở kinh doanh thực phẩm bao gói sẵn |
||
|
4 |
Cơ sở kinh doanh nông lâm thủy sản thuộc phạm vi quản lý của Bộ Nông nghiệp và Phát triển nông thôn (trừ các đối tượng tại các mục III.1, III.2 và III.3 nêu trên) |
Giấy chứng nhận đủ điều kiện an toàn thực phẩm và còn hiệu lực |
Thông tư số 38/2018/TT-BNNPTNT ngày 25/12/2018 của Bộ Nông nghiệp và Phát triển nông thôn |
|
5 |
Chợ đầu mối, đấu giá nông sản |
Giấy chứng nhận đủ điều kiện an toàn thực phẩm và còn hiệu lực |
Thông tư số 38/2018/TT-BNNPTNT ngày 25/12/2018 của Bộ Nông nghiệp và Phát triển nông thôn |
|
6 |
Cơ sở kinh doanh dịch vụ ăn uống (theo Nghị định số 15/2018/NĐ-CP) |
Giấy chứng nhận đủ điều kiện an toàn thực phẩm và còn hiệu lực |
Nghị định số 155/2018/NĐ-CP ngày 12/11/2018 của Chính phủ sửa đổi, bổ sung một số quy định liên quan đến điều kiện đầu tư kinh doanh thuộc phạm vi quản lý nhà nước của Bộ Y tế |
|
7 |
Cơ sở kinh doanh thực phẩm thuộc thẩm quyền quản lý của Bộ Công Thương (theo Nghị định số 15/2018/NĐ-CP) |
Giấy chứng nhận đủ điều kiện an toàn thực phẩm và còn hiệu lực |
- Thông tư số 43/2018/TT-BCT ngày 15/11/2018 quy định về quản lý an toàn thực phẩm thuộc trách nhiệm của Bộ Công Thương. - Thông tư số 13/2020/TT-BCT ngày 16/8/2020 sửa đổi, bổ sung, bãi bỏ một số quy định về điều kiện đầu tư kinh doanh thuộc lĩnh vực quản lý nhà nước của Bộ Công Thương. |
(*) Sản phẩm thực phẩm và cơ sở sản xuất, kinh doanh sản phẩm thực phẩm thuộc phạm vi quản lý của từng Bộ được quy định tại Phụ lục II, III, IV Nghị định số 15/2018/NĐ-CP ngày 02/02/2018 của Chính phủ quy định chi tiết thi hành một số điều của Luật An toàn thực phẩm.
d) Yêu cầu mức đạt: 100% số cơ sở sản xuất, kinh doanh thực phẩm trên địa bàn huyện do huyện quản lý phải tuân thủ các quy định về đảm bảo an toàn thực phẩm.
đ) Phương pháp đánh giá:
Cung cấp tài liệu chứng minh huyện đạt chỉ tiêu 8.5, bao gồm:
- Danh sách thống kê các cơ sở sản xuất, kinh doanh thực phẩm trên địa bàn (tên cơ sở, địa chỉ cơ sở theo từng loại hình sản xuất, kinh doanh). Thời điểm cập nhật danh sách yêu cầu không quá 06 tháng tính đến thời điểm tổ chức đánh giá.
- Thông tin việc tuân thủ quy định về an toàn thực phẩm của các cơ sở sản xuất kinh doanh thực phẩm tương ứng với từng loại hình cơ sở, cụ thể:
+ Số, ngày cấp, cơ quan cấp Giấy chứng nhận cơ sở đủ điều kiện an toàn thực phẩm (với đối tượng phải cấp).
+ Ngày làm Bản ký cam kết bảo đảm an toàn thực phẩm của cơ sở.
+ Ngày kiểm tra, cơ quan kiểm tra, kết quả thanh tra, kiểm tra, hậu kiểm điều kiện bảo đảm an toàn thực phẩm của cơ quan chức năng.
Mục 6
CHỈ TIÊU 9.3 THUỘC TIÊU CHÍ
HỆ THỐNG CHÍNH TRỊ - AN NINH TRẬT TỰ - HÀNH CHÍNH CÔNG
I. Huyện đạt chuẩn chỉ tiêu 9.3 thuộc tiêu chí số 9 về “Hệ thống chính trị - An ninh trật tự - Hành chính công” khi đáp ứng yêu cầu: Trong 02 năm liên tục trước năm xét công nhận, không có công chức giữ chức vụ lãnh đạo, quản lý bị xử lý kỷ luật từ mức cảnh cáo trở lên hoặc bị truy cứu trách nhiệm hình sự.
II. Đánh giá thực hiện
Trong 02 năm liên tục liền kề trước năm xét công nhận huyện đạt chuẩn NTM, trên địa bàn huyện không có công chức thuộc huyện quản lý giữ chức vụ lãnh đạo, quản lý bị xử lý kỷ luật từ mức cảnh cáo trở lên theo quy định tại Nghị định số 112/2020/NĐ-CP ngày 18/9/2020 của Chính phủ về xử lý kỷ luật cán bộ, công chức, viên chức, hoặc bị truy cứu trách nhiệm hình sự theo quy định của pháp luật.
Chương IV
HƯỚNG DẪN THỰC HIỆN MỘT SỐ TIÊU CHÍ, CHỈ TIÊU
THUỘC BỘ TIÊU CHÍ QUỐC GIA VỀ HUYỆN NTM NÂNG CAO
GIAI ĐOẠN 2021-2025
Mục 1
TIÊU CHÍ THỦY LỢI VÀ PHÒNG, CHỐNG THIÊN TAI
I. Huyện đạt chuẩn tiêu chí số 3 về “Thủy lợi và phòng, chống thiên tai” khi đáp ứng các yêu cầu:
1. Các công trình thủy lợi do huyện quản lý được bảo trì, nâng cấp.
2. Thực hiện kiểm kê, kiểm soát các vi phạm và nguồn nước thải xả vào công trình thủy lợi trên địa bàn huyện.
3. Đảm bảo yêu cầu chủ động về phòng, chống thiên tai theo phương châm 4 tại chỗ.
II. Đánh giá thực hiện
1. Các công trình thủy lợi do huyện quản lý được bảo trì, nâng cấp:
|
Chỉ tiêu đánh giá |
Điểm tối đa |
Cách xác định |
|
1. Lập kế hoạch bảo trì, nâng cấp công trình thủy lợi do huyện quản lý |
15 |
- Có lập kế hoạch bảo trì công trình thủy lợi bao gồm một, một số hoặc toàn bộ các công việc sau: Kiểm tra, quan trắc, kiểm định chất lượng, bảo dưỡng và sửa chữa công trình; bổ sung, thay thế hạng mục, thiết bị công trình; nội dung chính của Kế hoạch bảo trì bao gồm: Tên công việc thực hiện, thời gian thực hiện, phương thức thực hiện, chi phí thực hiện. Có kế hoạch nâng cấp công trình (đối với huyện chưa có hệ thống thủy lợi công trình hoàn chỉnh tính từ thời điểm có chủ trương xây dựng huyện NTM nâng cao). Lập kế hoạch đầy đủ: 15 điểm. Có lập kế hoạch nhưng không đầy đủ: 10 điểm. Không lập: 0 điểm. |
|
2. Thực hiện kiểm tra công trình |
10 |
- Có báo cáo thực hiện kiểm tra thường xuyên, kiểm tra trước và sau mùa mưa, kiểm tra ngay sau khi có mưa, lũ lớn đầy đủ nhằm phát hiện kịp thời các dấu hiệu xuống cấp, những hư hỏng của công trình, thiết bị lắp đặt vào công trình làm cơ sở cho việc bảo dưỡng công trình: 10 điểm. - Có báo cáo nhưng chưa đầy đủ: 05 điểm. - Không thực hiện: 0 điểm. |
|
3. Thực hiện bảo dưỡng công trình |
15 |
- Kết quả thực hiện bảo dưỡng đạt: + 100% theo kế hoạch: 15 điểm. + Từ 70% đến dưới 100% theo kế hoạch: 10 điểm + <70% theo kế hoạch: 0 điểm. (Có hồ sơ thể hiện việc sử dụng lao động, vật liệu thực hiện bảo dưỡng các hạng mục công trình để minh chứng) |
|
4. Thực hiện sửa chữa |
30 |
- Kết quả thực hiện sửa chữa đạt: + 100% theo kế hoạch: 30 điểm. + Từ 70% đến dưới 100% theo kế hoạch: 20 điểm. + <70% theo kế hoạch: 0 điểm. Có hồ sơ thể hiện việc sửa chữa công trình bao gồm sửa chữa định kỳ (gồm sửa chữa hư hỏng hoặc thay thế bộ phận công trình, thiết bị lắp đặt vào công trình bị hư hỏng được thực hiện định kỳ theo quy định của quy trình bảo trì) và sửa chữa đột xuất công trình (thực hiện khi bộ phận công trình, công trình bị hư hỏng do chịu tác động đột xuất như gió, bão, lũ lụt, động đất, va đập, cháy và những tác động đột xuất khác hoặc khi bộ phận công trình, công trình có biểu hiện xuống cấp ảnh hưởng đến an toàn sử dụng, vận hành, khai thác công trình). |
|
5. Thực hiện nâng cấp công trình |
20 |
Tỷ lệ thực hiện nâng cấp công trình (T) được tính bằng số công trình thực tế được nâng cấp trên tổng số công trình cần nâng cấp theo kế hoạch. T ≥ 90%: 20 điểm. 70% ≤ T < 90%: 15 điểm. 50% ≤ T < 70%: 10 điểm. T < 50%: 0 điểm. (Có hồ sơ biên bản nghiệm thu hoàn thành công trình để minh chứng) |
|
6. Có ít nhất 1 công trình thủy lợi áp dụng khoa học công nghệ trong quản lý, khai thác |
10 |
- Có lắp đặt một trong các thiết bị theo dõi, giám sát, thu thập dữ liệu hoặc điều khiển từ xa. Các thiết bị giám sát các thông số: Mực nước, lượng mưa, độ mở cửa tràn, độ mở cửa cống; thiết bị điều khiển từ xa vận hành đóng mở cửa cống/cửa van/hệ thống tưới thông minh...: 10 điểm. - Không có: 0 điểm. |
|
Tổng điểm |
100 |
|
Chỉ tiêu 3.1 được đánh giá đạt khi có tổng điểm từ 70 điểm trở lên (trong đó các chỉ tiêu 1, 4 không bị 0 điểm).
2. Thực hiện kiểm kê, kiểm soát các vi phạm và nguồn nước thải xả vào công trình thủy lợi trên địa bàn huyện:
|
Chỉ tiêu đánh giá |
Điểm tối đa |
Cách xác định |
|
1. Có thống kê đầy đủ các vi phạm trong phạm vi bảo vệ công trình thủy lợi, nguồn nước thải xả vào công trình thủy lợi trên địa bàn huyện |
40 |
- Có các bảng thống kê đầy đủ: 40 điểm. - Có bảng thống kê nhưng chưa đầy đủ: 20 điểm. - Không thống kê: 0 điểm. (Thống kê theo biểu mẫu số 5, 6 Phụ lục I kèm theo Hướng dẫn này). |
|
2. Thực hiện thanh tra, kiểm tra, xử lý vi phạm trong phạm vi bảo vệ công trình thủy lợi và xả nước thải vào công trình thủy lợi trên địa bàn |
60 |
- Số lượng vi phạm được phát hiện kịp thời và xử lý dứt điểm hàng năm theo thẩm quyền hoặc chuyển cấp có thẩm quyền xử lý theo quy định của pháp luật đạt 100% (có biên bản xử lý, quyết định xử lý, văn bản báo cáo... kèm theo): 60 điểm. - Số lượng vi phạm được phát hiện và xử lý dứt điểm hàng năm theo thẩm quyền hoặc chuyển cấp có thẩm quyền xử lý theo quy định của pháp luật đạt từ 70% đến dưới 100%: 40 điểm. - Số lượng vi phạm được phát hiện và xử lý dứt điểm hàng năm theo thẩm quyền hoặc chuyển cấp có thẩm quyền xử lý theo quy định của pháp luật đạt dưới 70%: 0 điểm. |
|
Tổng điểm |
100 |
|
Chỉ tiêu 3.2 được đánh giá đạt khi có tổng điểm từ 80 điểm trở lên.
3. Đảm bảo yêu cầu chủ động về phòng, chống thiên tai theo phương châm 4 tại chỗ:
a) Đảm bảo tất cả các mục yêu cầu “có” tại cột yêu cầu phải đáp ứng “có”.
b) Kết quả chấm điểm đạt từ 70 điểm đến dưới 85 điểm.
(Biểu đánh giá, chấm điểm chi tiết tại Phụ lục II kèm theo Hướng dẫn này).
Mục 2
CÁC CHỈ TIÊU 6.1 VỀ “CÓ CỤM NGÀNH NGHỀ NÔNG THÔN
ĐƯỢC ĐẦU TƯ CƠ SỞ HẠ TẦNG ĐỒNG BỘ”,
6.2, 6.4 THUỘC TIÊU CHÍ KINH TẾ
I. Huyện đạt chuẩn các chỉ tiêu 6.1 về “Có cụm ngành nghề nông thôn được đầu tư cơ sở hạ tầng đồng bộ”, 6.2, 6.4 thuộc tiêu chí số 6 về “Kinh tế” khi đáp ứng các yêu cầu:
1. Có cụm ngành nghề nông thôn được đầu tư cơ sở hạ tầng đồng bộ.
2. Vùng nguyên liệu tập trung đối với các sản phẩm chủ lực của huyện được đầu tư đồng bộ về cơ sở hạ tầng, được cấp mã vùng và có ứng dụng quy trình kỹ thuật tiên tiến.
3. Có Đề án/Kế hoạch hỗ trợ phát triển kinh tế nông thôn đối với sản phẩm chủ lực, sản phẩm OCOP và được triển khai hiệu quả.
II. Đánh giá thực hiện
1. Cụm ngành nghề nông thôn được đầu tư cơ sở hạ tầng đồng bộ:
a) Chỉ tiêu 6.1 về “Có cụm ngành nghề nông thôn được đầu tư cơ sở hạ tầng đồng bộ” được đánh giá đạt khi đáp ứng các yêu cầu sau:
- Có khu vực sản xuất, kinh doanh một trong các hoạt động ngành nghề nông thôn được quy định tại Điều 4 Nghị định số 52/2018/NĐ-CP ngày 12/4/2018 của Chính phủ về phát triển ngành nghề nông thôn (sau đây gọi là cụm ngành nghề nông thôn).
- Được đầu tư hệ thống cơ sở hạ tầng kỹ thuật bao gồm: Hệ thống các công trình giao thông nội bộ; cây xanh; cấp nước; thoát nước; xử lý nước thải phù hợp với hoạt động ngành nghề nông thôn xử lý chất thải rắn; cấp điện; chiếu sáng công cộng; bảo vệ và các công trình khác phục vụ hoạt động của cụm ngành nghề nông thôn.
- Tổ chức, cá nhân đầu tư sản xuất, kinh doanh trong cụm ngành nghề nông thôn bao gồm các doanh nghiệp nhỏ và vừa, hợp tác xã, tổ hợp tác, hộ gia đình có đăng ký kinh doanh theo quy định của pháp luật.
b) Trường hợp địa phương không có cụm ngành nghề nông thôn được đầu tư cơ sở hạ tầng đồng bộ theo hướng dẫn tại điểm a khoản 1 phần II Mục này, tùy vào điều kiện thực tế của địa phương, có thể đánh giá đạt chỉ tiêu 6.1 về “Có cụm ngành nghề nông thôn được đầu tư cơ sở hạ tầng đồng bộ” khi đáp ứng một trong các yêu cầu sau:
- Có khu vực du lịch cộng đồng đáp ứng các yêu cầu sau:
+ Có điểm du lịch đáp ứng ứng điều kiện công nhận được quy định tại Điều 11 Nghị định số 168/2017/NĐ-CP ngày 31/12/2017 của Chính phủ quy định chi tiết một số điều của Luật Du lịch.
+ Có ít nhất 10 hộ trên địa bàn huyện tham gia chuỗi cung ứng dịch vụ du lịch của khu vực du lịch nông thôn.
+ Có tổ chức quản lý, điều hành du lịch cộng đồng (hợp tác xã, tổ hợp tác trung tâm/ban quản lý hoặc các tổ chức khác).
+ Có không gian giới thiệu, bán sản phẩm OCOP, sản phẩm làng nghề và các loại đặc sản của địa phương phục vụ khách du lịch.
- Có khu nông nghiệp ứng dụng công nghệ cao được thành lập theo quy định tại Khoản 3 Điều 5 Nghị định số 10/2024/NĐ-CP ngày 01/02/2024 của Chính phủ quy định về khu công nghệ cao và đáp ứng các yêu cầu sau:
+ Được đầu tư hệ thống công trình hạ tầng kỹ thuật bao gồm: Các công trình giao thông nội bộ; cấp điện; cấp nước; thoát nước; xử lý nước thải; thu gom chất thải rắn và các công trình khác phục vụ hoạt động của khu nông nghiệp ứng dụng công nghệ cao.
+ Đã triển khai thực hiện ít nhất 01 hoạt động công nghệ cao theo quy định tại Điều 34 Nghị định số 10/2024/NĐ-CP.
2. Vùng nguyên liệu tập trung đối với các sản phẩm chủ lực của huyện được đầu tư đồng bộ về cơ sở hạ tầng, được cấp mã vùng và có ứng dụng quy trình kỹ thuật tiên tiến:
- Vùng nguyên liệu tập trung: “Là vùng sản xuất tập trung một hay một nhóm sản phẩm nông nghiệp cùng loại có quy mô phù hợp với từng loại hình sản xuất và điều kiện của mỗi địa phương, tuân thủ các quy định của Nhà nước về an toàn thực phẩm, an toàn dịch bệnh, bảo vệ môi trường, có liên kết gắn sản xuất với tiêu thụ sản phẩm nông nghiệp” (theo quy định tại khoản 3 Điều 3 Nghị định số 98/2018/NĐ-CP).
- Sản phẩm chủ lực của huyện: Là sản phẩm nông sản được sản xuất trên địa bàn huyện được UBND huyện phê duyệt. Sản phẩm chủ lực của huyện cần đảm bảo:
+ Có tỷ trọng giá trị sản xuất trong 01 năm lớn nhất so với giá trị sản xuất của các sản phẩm khác trên địa bàn huyện, hoặc tỷ lệ hộ nông dân tham gia vào sản xuất sản phẩm lớn nhất so với các sản phẩm khác trên địa bàn huyện.
+ Sản phẩm được sản xuất không tác động xấu tới môi trường đất, nước và hệ sinh thái xung quanh khu vực sản xuất.
+ Sản phẩm nông nghiệp chủ lực phải phù hợp với định hướng phát triển Nhà nước.
- Vùng nguyên liệu tập trung được đầu tư đồng bộ về cơ sở hạ tầng, được cấp mã vùng và có ứng dụng quy trình kỹ thuật tiên tiến:
+ Về hệ thống cơ sở hạ tầng trong vùng nguyên liệu tập trung đối với các sản phẩm chủ lực của huyện được đầu tư, nâng cấp đảm bảo cơ bản điều kiện sản xuất, chế biến và thương mại sản phẩm thuận lợi gồm: Hạ tầng giao thông (đường giao thông trục chính; đường giao thông nội đồng trong vùng sản xuất); hạ tầng thủy lợi; hạ tầng logistic phục vụ kinh doanh, chế biến (sân bãi tập kết, nhà kho, silo, kho lạnh để lưu trữ, bảo quản, chế biến nông sản).
+ Được cấp mã vùng theo quy định hiện hành.
+ Về ứng dụng quy trình kỹ thuật tiên tiến: Sản phẩm nông sản chủ lực của huyện được sản xuất theo quy trình thực hành sản xuất tốt hoặc tiêu chuẩn chất lượng có chứng nhận được các cơ quan, tổ chức có thẩm quyền chứng nhận, còn hiệu lực.
3. Có Đề án/Kế hoạch hỗ trợ phát triển kinh tế nông thôn đối với sản phẩm chủ lực, sản phẩm OCOP và được triển khai hiệu quả, đạt được các mục tiêu theo phê duyệt của cấp có thẩm quyền.
Mục 3
CÁC CHỈ TIÊU 7.3, 7.6 THUỘC TIÊU CHÍ MÔI TRƯỜNG
I. Huyện đạt chuẩn các chỉ tiêu 7.3, 7.6 thuộc tiêu chí số 7 về “Môi trường” khi đáp ứng các yêu cầu:
1. Tỷ lệ chất thải hữu cơ, phụ phẩm nông nghiệp được thu gom, tái sử dụng, tái chế thành các nguyên liệu, nhiên liệu và sản phẩm thân thiện với môi trường.
2. Đất cây xanh sử dụng công cộng tại điểm dân cư nông thôn.
II. Đánh giá thực hiện
1. Tỷ lệ chất thải hữu cơ, phụ phẩm nông nghiệp được thu gom, tái sử dụng, tái chế thành các nguyên liệu, nhiên liệu và sản phẩm thân thiện với môi trường: Theo hướng dẫn tại khoản 1 phần II Mục 3 Chương II Hướng dẫn này.
2. Đất cây xanh sử dụng công cộng tại điểm dân cư nông thôn trong tiêu chí xác định huyện NTM nâng cao là đất công viên, vườn hoa, sân chơi phục vụ cho nhu cầu và bảo đảm khả năng tiếp cận của mọi người dân trong điểm dân cư nông thôn (theo mục 1.4.16 và mục 1.4.17 QCVN 01:2021/BXD) và đất trồng cây ở các hành lang giao thông, ven sông, kênh, mương, trong khuôn viên các trụ sở cơ quan, trường học, bệnh viện, nhà máy, xí nghiệp, khu công nghiệp, khu chế xuất, các công trình tín ngưỡng và các công trình công cộng khác... được trồng các loại cây bản địa, thân gỗ, đa mục đích (bao gồm cả cây bóng mát, cây ăn quả lâu năm; không bao gồm cây thân thảo, vườn hoa, thảm cỏ) có giá trị bảo vệ môi trường, cảnh quan, tác dụng phòng hộ cao, cây quý, hiếm, mang bản sắc văn hóa địa phương/vùng/miền (theo Quyết định số 524/QĐ-TTg ngày 01/4/2021 của Thủ tướng Chính phủ phê duyệt Đề án “Trồng một tỷ cây xanh giai đoạn 2021-2025”). UBND cấp tỉnh quy định cụ thể để phù hợp với quy hoạch sử dụng đất, điều kiện đặc thù và nhu cầu phát triển kinh tế - xã hội của địa phương nhưng phải đảm bảo mức đạt chuẩn không thấp hơn so với quy định ≥ 4m2/người.
Mục 4
CÁC CHỈ TIÊU 8.1, 8.2, 8.3, 8.6, 8.7, 8.8 THUỘC TIÊU CHÍ
CHẤT LƯỢNG MÔI TRƯỜNG SỐNG
I. Huyện đạt chuẩn các chỉ tiêu 8.1, 8.2, 8.3, 8.6, 8.7, 8.8 thuộc tiêu chí số 8 về “Chất lượng môi trường sống” khi đáp ứng các yêu cầu:
1. Tỷ lệ hộ được sử dụng nước sạch theo quy chuẩn từ hệ thống cấp nước tập trung.
2. Cấp nước sinh hoạt đạt chuẩn bình quân đầu người/ngày đêm.
3. Tỷ lệ công trình cấp nước tập trung trên địa bàn huyện có tổ chức quản lý, khai thác hoạt động bền vững.
4. Tỷ lệ cơ sở sản xuất, kinh doanh thực phẩm do huyện quản lý tuân thủ các quy định về đảm bảo an toàn thực phẩm.
5. Tỷ lệ cán bộ làm công tác quản lý chất lượng an toàn thực phẩm nông lâm thủy sản do huyện quản lý hàng năm được bồi dưỡng chuyên môn, nghiệp vụ.
6. Không để xảy ra sự cố về an toàn thực phẩm trên địa bàn thuộc phạm vi quản lý của huyện.
II. Đánh giá thực hiện
1. Tỷ lệ hộ được sử dụng nước sạch theo quy chuẩn từ hệ thống cấp nước tập trung:
a) Công bố chỉ tiêu cụ thể:
|
Tên tiêu chí |
Nội dung chỉ tiêu |
Chỉ tiêu theo vùng |
||||||
|
Trung du miền núi phía Bắc |
Đồng bằng sông Hồng |
Bắc Trung Bộ |
Duyên hải Nam Trung Bộ |
Tây Nguyên |
Đông Nam Bộ |
Đồng bằng sông Cửu Long |
||
|
8. Chất lượng môi trường sống |
8.1. Tỷ lệ hộ được sử dụng nước sạch theo quy chuẩn từ hệ thống cấp nước tập trung |
≥ 18% |
≥ 53% |
≥ 28% |
≥ 30% |
≥ 18% |
≥ 48% |
≥ 43% |
b) Tỷ lệ hộ được sử dụng nước sạch theo quy chuẩn từ hệ thống cấp nước tập trung:
- Chỉ tiêu 8.1 được đánh giá là đạt khi có tỷ lệ hộ sử dụng nước sạch đạt quy chuẩn từ hệ thống cấp nước tập trung bằng hoặc cao hơn mức quy định đối với vùng.
- Chỉ tiêu 8.1 được tính bằng phần trăm (%) giữa số công trình được đánh giá là hoạt động bền vững trên tổng số công trình của huyện tại thời điểm đánh giá.
- Thực hiện đánh giá theo hướng dẫn tại khoản 1 phần II Mục 3 Chương I Hướng dẫn này đối với nội dung “Tỷ lệ hộ được sử dụng nước sạch theo quy chuẩn từ hệ thống cấp nước tập trung”.
- Địa phương sử dụng kết quả thực hiện Bộ chỉ số theo dõi đánh giá nước sạch nông thôn hàng năm hoặc tổ chức điều tra, thu thập số liệu thực tế để đánh giá kết quả thực hiện chỉ tiêu 8.1 (chi tiết theo biểu mẫu 04 Phụ lục III kèm theo Hướng dẫn này).
2. Cấp nước sinh hoạt đạt chuẩn bình quân đầu người/ngày đêm:
a) Chỉ tiêu 8.2 được đánh giá là đạt khi số lượng nước cấp sinh hoạt (tính bằng lít) đạt chuẩn bình quân đầu người/ngày đêm bằng hoặc cao hơn 80 lít/người/ngày đêm và chất lượng nước sinh hoạt đạt quy chuẩn trên địa bàn huyện.
b) Thực hiện đánh giá theo hướng dẫn tại khoản 2 phần II Mục 4 Chương II Hướng dẫn này.
3. Tỷ lệ công trình cấp nước tập trung trên địa bàn huyện có tổ chức quản lý, khai thác hoạt động bền vững:
a) Chỉ tiêu 8.3 được đánh giá là đạt khi có tỷ lệ công trình cấp nước tập trung có tổ chức quản lý, khai thác hoạt động bền vững bằng hoặc cao hơn 40%.
b) Chỉ tiêu 8.3 được tính bằng phần trăm (%) giữa số công trình được đánh giá là hoạt động bền vững trên tổng số công trình của huyện tại thời điểm đánh giá.
c) Thực hiện đánh giá theo hướng dẫn tại khoản 3 phần II Mục 4 Chương II Hướng dẫn này.
Tổng hợp kết quả đánh giá các chỉ tiêu 8.1, 8.2, 8.3 như sau:
|
TT |
Chỉ tiêu |
Mức độ đánh giá |
Kết quả đánh giá (Đạt/Không đạt) |
|
1 |
Chỉ tiêu 8.1 về Tỷ lệ hộ được sử dụng nước sạch theo quy chuẩn từ hệ thống cấp nước tập trung |
|
|
|
|
Tỷ lệ hộ được sử dụng nước sạch theo quy chuẩn từ hệ thống cấp nước tập trung bằng hoặc cao hơn mức quy định đối với vùng |
Đạt |
|
|
2 |
Chỉ tiêu 8.2 về Cấp nước sinh hoạt đạt chuẩn bình quân đầu người/ngày đêm |
|
|
|
|
Cấp nước sinh hoạt đạt chuẩn bình quân đầu người/ngày đêm đạt bằng hoặc cao hơn 80 lít/người/ngày đêm và chất lượng nước sinh hoạt đạt quy chuẩn của Bộ Y tế. |
Đạt |
|
|
3 |
Chỉ tiêu 18.3 về Tỷ lệ công trình cấp nước tập trung có tổ chức quản lý, khai thác hoạt động bền vững |
|
|
|
|
Tỷ lệ công trình cấp nước tập trung có tổ chức quản lý, khai thác hoạt động bền vững bằng hoặc cao hơn 40% |
Đạt |
|
4. Tỷ lệ cơ sở sản xuất, kinh doanh thực phẩm do huyện quản lý tuân thủ các quy định về đảm bảo an toàn thực phẩm khi đáp ứng các yêu cầu theo hướng dẫn tại khoản 3 phần II Mục 5 Chương III Hướng dẫn này.
5. Tỷ lệ cán bộ làm công tác quản lý chất lượng an toàn thực phẩm nông lâm thủy sản do huyện quản lý hàng năm được bồi dưỡng chuyên môn, nghiệp vụ:
a) Hướng dẫn thực hiện:
|
Đối tượng |
Yêu cầu đạt |
Căn cứ pháp lý |
|
Cán bộ làm công tác quản lý chất lượng an toàn thực phẩm nông lâm thủy sản do huyện quản lý hàng năm được bồi dưỡng chuyên môn, nghiệp vụ |
Chương trình, tài liệu tập huấn và danh sách cán bộ làm công tác quản lý chất lượng an toàn thực phẩm nông lâm thủy sản do huyện quản lý hàng năm được bồi dưỡng chuyên môn, nghiệp vụ |
Khoản 4 Điều 65 Luật An toàn thực phẩm |
b) Yêu cầu mức đạt: 100% số cán bộ làm công tác quản lý chất lượng an toàn thực phẩm nông lâm thủy sản do huyện quản lý hàng năm được bồi dưỡng chuyên môn, nghiệp vụ.
c) Phương pháp đánh giá:
Cung cấp tài liệu chứng minh huyện đạt chỉ tiêu 8.7, gồm: Chương trình, tài liệu tập huấn và danh sách cán bộ làm công tác quản lý chất lượng an toàn thực phẩm nông lâm thủy sản do huyện quản lý hàng năm được bồi dưỡng chuyên môn, nghiệp vụ. Thời điểm cập nhật danh sách yêu cầu không quá 06 tháng tính đến thời điểm tổ chức đánh giá.
6. Không để xảy ra sự cố về an toàn thực phẩm trên địa bàn thuộc phạm vi quản lý của huyện:
a) Sự cố về an toàn thực phẩm là tình huống xảy ra do ngộ độc thực phẩm, bệnh truyền qua thực phẩm hoặc các tình huống khác phát sinh từ thực phẩm gây hại trực tiếp đến sức khỏe, tính mạng con người.
b) Sản phẩm từ hộ gia đình và cơ sở sản xuất, kinh doanh thực phẩm trên địa bàn thuộc phạm vi quản lý của huyện không là nguyên nhân gây ra sự cố về an toàn thực phẩm.
c) Phương pháp đánh giá:
Cung cấp tài liệu chứng minh huyện đạt chỉ tiêu 8.8, gồm:
- Danh sách thống kê các hộ gia đình và cơ sở sản xuất, kinh doanh thực phẩm trên địa bàn thuộc phạm vi quản lý của huyện (tên hộ gia đình và cơ sở, địa chỉ hộ gia đình và cơ sở theo từng loại hình sản xuất, kinh doanh). Thời điểm cập nhật danh sách yêu cầu không quá 06 tháng tính đến thời điểm tổ chức đánh giá.
- Thông tin liên quan đến sự cố về an toàn thực phẩm trên địa bàn huyện (nếu có).
Chương V
HƯỚNG DẪN THỰC HIỆN MỘT SỐ TIÊU CHÍ, CHỈ TIÊU
THUỘC TIÊU CHÍ HUYỆN NTM ĐẶC THÙ, KHÔNG CÓ
ĐƠN VỊ HÀNH CHÍNH CẤP XÃ GIAI ĐOẠN 2021-2025
Mục 1
CHỈ TIÊU 2.2 THUỘC TIÊU CHÍ GIAO THÔNG
I. Huyện đạt chuẩn chỉ tiêu 2.2 thuộc tiêu chí số 2 về “Giao thông” khi đáp ứng yêu cầu: Tỷ lệ km đường huyện được trồng cây xanh dọc tuyến đường (theo quy định của UBND cấp tỉnh).
II. Đánh giá thực hiện
Đường huyện được trồng cây xanh dọc tuyến đường theo hướng dẫn tại phần II Mục 1 Chương III Hướng dẫn này. UBND cấp tỉnh quy định cụ thể, phù hợp với điều kiện đặc thù và nhu cầu phát triển kinh tế - xã hội của địa phương.
Mục 2
TIÊU CHÍ THỦY LỢI VÀ PHÒNG, CHỐNG THIÊN TAI
I. Huyện đạt chuẩn tiêu chí số 3 về “Thủy lợi và phòng, chống thiên tai” khi đáp ứng các yêu cầu:
1. Tỷ lệ diện tích đất sản xuất nông nghiệp (nếu có) được tưới và tiêu nước chủ động đạt từ 80% trở lên.
2. Đảm bảo yêu cầu chủ động về phòng chống thiên tai theo phương châm 4 tại chỗ.
II. Đánh giá thực hiện
1. Tỷ lệ diện tích đất sản xuất nông nghiệp (nếu có) được tưới và tiêu nước chủ động đạt từ 80% trở lên:
a) Đối với huyện có công trình thủy lợi và đất sản xuất nông nghiệp: Phương pháp xác định thực hiện theo hướng dẫn tại khoản 1 phần II Mục 1 Chương I của Hướng dẫn này.
b) Đối với huyện không có công trình thủy lợi và đất sản xuất nông nghiệp: Không xét chỉ tiêu này và được đánh giá là đạt.
c) Về mức đạt chuẩn: Căn cứ vào điều kiện thực tế, UBND cấp tỉnh ban hành quy định cụ thể chỉ tiêu 3.1 phù hợp với điều kiện đặc thù, nhu cầu phát triển kinh tế - xã hội, đảm bảo mức đạt chuẩn không thấp hơn so với quy định của Trung ương.
2. Đảm bảo yêu cầu chủ động về phòng chống thiên tai theo phương châm 4 tại chỗ: Khi đáp ứng yêu cầu theo hướng dẫn cụ thể của Cục Quản lý đê điều và Phòng, chống thiên tai.
Mục 3
CHỈ TIÊU 6.1 THUỘC TIÊU CHÍ KINH TẾ - XÃ HỘI
I. Huyện đạt chuẩn chỉ tiêu 6.1 thuộc tiêu chí số 6 về “Kinh tế - xã hội” khi đáp ứng các yêu cầu: Tỷ lệ tàu cá khai thác và cơ sở nuôi trồng thủy sản (nếu có) đảm bảo điều kiện theo quy định đạt 100%.
II. Đánh giá thực hiện
1. Tỷ lệ cơ sở nuôi trồng thủy sản (nếu có) đảm bảo điều kiện theo quy định đạt 100%:
|
TT |
Đối tượng |
Yêu cầu đạt |
Căn cứ pháp lý |
|
1 |
Cơ sở nuôi trồng thủy sản |
100% số cơ sở đáp ứng điều kiện về nuôi trồng thủy sản |
- Khoản 1 và khoản 2 Điều 38 Luật Thủy sản. - Điều 34 Nghị định số 26/2019/NĐ-CP ngày 08/3/2019 của Chính phủ quy định chi tiết một số điều và biện pháp thi hành Luật Thủy sản. |
|
2 |
Cơ sở nuôi trồng thủy sản lồng bè, đối tượng thủy sản nuôi chủ lực |
100% số cơ sở được cấp Giấy xác nhận |
Điều 36 Nghị định số 26/2019/NĐ-CP. |
|
3 |
Cơ sở nuôi trồng thủy sản trên biển (trừ đối tượng quy định tại điểm a khoản 2 Điều 44 Luật Thủy sản) |
100% số cơ sở được cấp Giấy phép nuôi trồng thủy sản trên biển |
Điều 37 và Điều 38 Nghị định số 26/2019/NĐ-CP. |
2. Tỷ lệ tàu cá khai thác đảm bảo điều kiện theo quy định đạt 100%:
|
TT |
Đối tượng |
Yêu cầu đạt |
Căn cứ pháp lý |
|
1 |
Tàu cá có chiều dài lớn nhất từ 06m trở lên |
100% số tàu cá được đăng ký |
- Khoản 1 Điều 71 Luật Thủy sản. - Thông tư số 23/2018/TT-BNNPTNT ngày 15/11/2018 của Bộ Nông nghiệp và Phát triển nông thôn quy định về đăng kiểm viên tàu cá; công nhận cơ sở đăng kiểm tàu cá; bảo đảm an toàn kỹ thuật tàu cá, tàu kiểm ngư; đăng ký tàu cá, tàu công vụ thủy sản; xóa đăng ký tàu cá và đánh dấu tàu cá. |
|
Tàu cá có chiều dài lớn nhất dưới 6m |
100% số tàu cá được UBND cấp xã thống kê quản lý |
Khoản 1 Điều 71 Luật Thủy sản. |
|
|
2 |
Chủ tàu cá có chiều dài lớn nhất từ 06m trở lên |
100% số chủ tàu cá có Giấy phép khi tham gia hoạt động khai thác thủy sản |
Khoản 1 Điều 50 Luật Thủy sản. |
Mục 4
CÁC CHỈ TIÊU 7.4, 7.5 THUỘC TIÊU CHÍ MÔI TRƯỜNG
I. Huyện đạt chuẩn các chỉ tiêu 7.4, 7.5 thuộc tiêu chí số 7 về “Môi trường” khi đáp ứng các yêu cầu:
1. Tỷ lệ che phủ rừng (nếu có rừng).
2. Đất cây xanh sử dụng công cộng tại điểm dân cư nông thôn (≥ 2m2/người).
II. Đánh giá thực hiện
1. Tỷ lệ che phủ rừng (nếu có rừng):
Tỷ lệ che phủ rừng là tỷ lệ phần trăm giữa diện tích rừng so với tổng diện tích đất tự nhiên trên một phạm vi địa lý nhất định” (theo khoản 5 Điều 2 Luật Lâm nghiệp năm 2017). Việc xác định chỉ tiêu về “Tỷ lệ che phủ rừng” căn cứ vào điều kiện thực tế của tỉnh (nếu có rừng), UBND cấp tỉnh quy định cụ thể. Hạt Kiểm lâm cấp huyện là cơ quan tham mưu, giúp UBND huyện xác định tỷ lệ che phủ rừng trên địa bàn huyện.
2. Đất cây xanh sử dụng công cộng tại điểm dân cư nông thôn trong tiêu chí xác định huyện NTM đặc thù, không có đơn vị hành chính cấp xã là đất công viên, vườn hoa, sân chơi phục vụ cho nhu cầu và bảo đảm khả năng tiếp cận của mọi người dân trong điểm dân cư nông thôn (theo mục 1.4.16 và mục 1.4.17 QCVN 01:2021/BXD) và đất trồng cây ở các hành lang giao thông, ven sông, kênh, mương, trong khuôn viên các trụ sở cơ quan, trường học, bệnh viện, nhà máy, xí nghiệp, khu công nghiệp, khu chế xuất, các công trình tín ngưỡng và các công trình công cộng khác... được trồng các loại cây bản địa, thân gỗ, đa mục đích (bao gồm cả cây bóng mát, cây ăn quả lâu năm; không bao gồm cây thân thảo, vườn hoa, thảm cỏ) có giá trị bảo vệ môi trường, cảnh quan, tác dụng phòng hộ cao, cây quý, hiếm, mang bản sắc văn hóa địa phương/vùng/miền (theo Quyết định số 524/QĐ-TTg ngày 01/4/2021 của Thủ tướng Chính phủ phê duyệt Đề án “Trồng một tỷ cây xanh giai đoạn 2021-2025”). UBND cấp tỉnh quy định cụ thể để phù hợp với quy hoạch sử dụng đất, điều kiện đặc thù và nhu cầu phát triển kinh tế - xã hội của địa phương nhưng phải đảm bảo mức đạt chuẩn không thấp hơn so với quy định ≥ 2m2/người.
Mục 5
CÁC CHỈ TIÊU 8.1, 8.2, 8.5 THUỘC TIÊU CHÍ
CHẤT LƯỢNG MÔI TRƯỜNG SỐNG
I. Huyện đạt chuẩn các chỉ tiêu 8.1, 8.2, 8.5 thuộc tiêu chí số 8 về “Chất lượng môi trường sống” khi đáp ứng các yêu cầu:
1. Tỷ lệ hộ được sử dụng nước sạch theo quy chuẩn từ hệ thống cấp nước tập trung.
2. Tỷ lệ công trình cấp nước tập trung có tổ chức quản lý, khai thác hoạt động bền vững.
3. Tỷ lệ cơ sở sản xuất, kinh doanh thực phẩm do huyện quản lý tuân thủ các quy định về đảm bảo an toàn thực phẩm.
II. Đánh giá thực hiện
1. Tỷ lệ hộ được sử dụng nước sạch theo quy chuẩn từ hệ thống cấp nước tập trung:
a) Công bố chỉ tiêu cụ thể:
|
Nội dung chỉ tiêu |
Chỉ tiêu theo vùng |
|||
|
Đồng bằng sông Hồng |
Duyên hải Nam Trung Bộ |
Đông Nam Bộ |
Đồng bằng sông Cửu Long |
|
|
8.1. Tỷ lệ hộ được sử dụng nước sạch theo quy chuẩn từ hệ thống cấp nước tập trung |
≥ 60% |
≥ 22% |
≥ 60% |
≥ 33% |
b) Tỷ lệ hộ được sử dụng nước sạch theo quy chuẩn từ hệ thống cấp nước tập trung:
- Chỉ tiêu 8.1 được đánh giá đạt khi có tỷ lệ hộ sử dụng nước sạch đạt quy chuẩn từ hệ thống cấp nước tập trung bằng hoặc cao hơn: 60% đối với vùng Đồng bằng sông Hồng và vùng Đông Nam Bộ; 22% đối với vùng Duyên hải Nam Trung Bộ; 33% đối với vùng Đồng bằng sông Cửu Long.
- Chỉ tiêu 8.1 được tính bằng phần trăm (%) giữa số công trình được đánh giá là hoạt động bền vững trên tổng số công trình của huyện tại thời điểm đánh giá.
- Thực hiện đánh giá theo hướng dẫn tại khoản 1 phần II Mục 3 Chương I Hướng dẫn này đối với nội dung “Tỷ lệ hộ được sử dụng nước sạch theo quy chuẩn từ hệ thống cấp nước tập trung”.
- Địa phương sử dụng kết quả thực hiện Bộ chỉ số theo dõi đánh giá nước sạch nông thôn hàng năm hoặc tổ chức điều tra, thu thập số liệu thực tế để đánh giá kết quả thực hiện chỉ tiêu 8.1 (chi tiết theo biểu mẫu 04 Phụ lục III kèm theo Hướng dẫn này).
2. Tỷ lệ công trình cấp nước tập trung có tổ chức quản lý, khai thác hoạt động bền vững:
a) Chỉ tiêu 8.2 được đánh giá là đạt khi có tỷ lệ công trình cấp nước tập trung có tổ chức quản lý, khai thác hoạt động bền vững bằng hoặc cao hơn 80%.
b) Chỉ tiêu 8.2 được tính bằng phần trăm (%) giữa số công trình được đánh giá là hoạt động bền vững trên tổng số công trình của huyện tại thời điểm đánh giá.
c) Thực hiện đánh giá theo hướng dẫn tại khoản 3 phần II Mục 4 Chương II Hướng dẫn này.
Tổng hợp kết quả đánh giá các chỉ tiêu 8.1, 8.2 như sau:
|
TT |
Chỉ tiêu |
Mức độ đánh giá |
Kết quả đánh giá (Đạt/Không đạt) |
|
1 |
Chỉ tiêu 8.1 về Tỷ lệ hộ được sử dụng nước sạch theo quy chuẩn từ hệ thống cấp nước tập trung |
|
|
|
|
Tỷ lệ hộ được sử dụng nước sạch theo quy chuẩn từ hệ thống cấp nước tập trung bằng hoặc cao hơn quy định từng vùng. |
Đạt |
|
|
2 |
Chỉ tiêu 8.2 về Tỷ lệ công trình cấp nước tập trung có tổ chức quản lý, khai thác hoạt động bền vững |
|
|
|
|
Tỷ lệ công trình cấp nước tập trung có tổ chức quản lý, khai thác hoạt động bền vững bằng hoặc cao hơn 80%. |
Đạt |
|
3. Tỷ lệ cơ sở sản xuất, kinh doanh thực phẩm do huyện quản lý tuân thủ các quy định về đảm bảo an toàn thực phẩm khi đáp ứng các yêu cầu theo hướng dẫn tại khoản 3 phần II Mục 5 Chương III Hướng dẫn này.
Mục 6
CHỈ TIÊU 9.3 THUỘC TIÊU CHÍ
HỆ THỐNG CHÍNH TRỊ - AN NINH TRẬT TỰ - HÀNH CHÍNH CÔNG
I. Huyện đạt chuẩn chỉ tiêu 9.3 thuộc tiêu chí số 9 về “Hệ thống chính trị - An ninh trật tự - Hành chính công” khi đáp ứng yêu cầu: Trong 02 năm liên tục trước năm xét công nhận, không có công chức giữ chức vụ lãnh đạo, quản lý bị xử lý kỷ luật từ mức cảnh cáo trở lên hoặc bị truy cứu trách nhiệm hình sự.
II. Đánh giá thực hiện
Trong 02 năm liên tục liền kề trước năm xét công nhận, không có công chức giữ chức vụ lãnh đạo, quản lý bị xử lý kỷ luật từ mức cảnh cáo trở lên hoặc bị truy cứu trách nhiệm hình sự khi đáp ứng yêu cầu theo hướng dẫn tại phần II Mục 6 Chương III Hướng dẫn này./.
___________________________________________
1 Đối tượng thủy sản nuôi chủ lực được quy định tại Quyết định số 50/2018/QĐ-TTg ngày 13/12/2018 của Thủ tướng Chính phủ.
Bạn chưa Đăng nhập thành viên.
Đây là tiện ích dành cho tài khoản thành viên. Vui lòng Đăng nhập để xem chi tiết. Nếu chưa có tài khoản, vui lòng Đăng ký tại đây!
Bạn chưa Đăng nhập thành viên.
Đây là tiện ích dành cho tài khoản thành viên. Vui lòng Đăng nhập để xem chi tiết. Nếu chưa có tài khoản, vui lòng Đăng ký tại đây!
