- Tổng quan
- Nội dung
- VB gốc
- Tiếng Anh
- Hiệu lực
- VB liên quan
- Lược đồ
-
Nội dung hợp nhất
Tính năng này chỉ có tại LuatVietnam.vn. Nội dung hợp nhất tổng hợp lại tất cả các quy định còn hiệu lực của văn bản gốc và các văn bản sửa đổi, bổ sung, đính chính... trên một trang. Việc hợp nhất văn bản gốc và những văn bản, Thông tư, Nghị định hướng dẫn khác không làm thay đổi thứ tự điều khoản, nội dung.
Khách hàng chỉ cần xem Nội dung hợp nhất là có thể nắm bắt toàn bộ quy định hiện hành đang áp dụng, cho dù văn bản gốc đã qua nhiều lần chỉnh sửa, bổ sung.
- Tải về
Thông tư 33/2015/TT-BGTVT Quy chuẩn về khí thải mức 4 đối với ô tô
| Cơ quan ban hành: | Bộ Giao thông Vận tải |
Số công báo:
Số công báo là mã số ấn phẩm được đăng chính thức trên ấn phẩm thông tin của Nhà nước. Mã số này do Chính phủ thống nhất quản lý.
|
Đã biết
|
| Số hiệu: | 33/2015/TT-BGTVT | Ngày đăng công báo: |
Đã biết
|
| Loại văn bản: | Thông tư | Người ký: | Đinh La Thăng |
|
Ngày ban hành:
Ngày ban hành là ngày, tháng, năm văn bản được thông qua hoặc ký ban hành.
|
24/07/2015 |
Ngày hết hiệu lực:
Ngày hết hiệu lực là ngày, tháng, năm văn bản chính thức không còn hiệu lực (áp dụng).
|
Đã biết
|
|
Áp dụng:
Ngày áp dụng là ngày, tháng, năm văn bản chính thức có hiệu lực (áp dụng).
|
Đã biết
|
Tình trạng hiệu lực:
Cho biết trạng thái hiệu lực của văn bản đang tra cứu: Chưa áp dụng, Còn hiệu lực, Hết hiệu lực, Hết hiệu lực 1 phần; Đã sửa đổi, Đính chính hay Không còn phù hợp,...
|
Đã biết
|
| Lĩnh vực: | Giao thông |
TÓM TẮT THÔNG TƯ 33/2015/TT-BGTVT
Bộ Giao thông Vận tải vừa ra Thông tư số 33/2015/TT-BGTVT ngày 24/07/2015 ban hành Quy chuẩn kỹ thuật quốc gia về khí thải mức 4 đối với xe ô tô sản xuất, lắp ráp và nhập khẩu mới.
Quy chuẩn này quy định mức giới hạn khí thải, các phép thử và phương pháp thử, các yêu cầu về quản lý và tổ chức thực hiện việc kiểm tra khí thải mức 4 (Euro 4) trong kiểm tra chất lượng, an toàn kỹ thuật và bảo vệ môi trường đối với xe ô tô sản xuất, lắp ráp và nhập khẩu mới. Các loại xe ô tô được áp dụng trong Quy chuẩn bao gồm các xe có ít nhất 04 bánh, được phân loại thành các xe hạng nhẹ, xe hạng nặng, các xe loại M và N.
Theo Quy chuẩn này, cơ sở sản xuất, lắp ráp phải báo cáo với cơ quan cấp Giấy chứng nhận an toàn kỹ thuật và bảo vệ môi trường về mọi sửa đổi của kiểu loại xe/động cơ sản xuất lắp ráp đã được chứng nhận so với xe/động cơ mẫu. Nếu các sửa đổi không đáng kể về kiểu loại xe/động cơ vẫn thỏa mãn các yêu cầu về khí thải theo quy định thì được phép thực hiện các sửa đổi đó; trường hợp các sửa đổi có thể gây ảnh hưởng xấu đến khí thải thì cơ quan cấp giấy chứng nhận yêu cầu tiến hành thử nghiệm 01 xe/động cơ đã sửa đổi và nộp báo cáo thử nghiệm khí thải mới.
Thông tư này có hiệu lực thi hành kể từ ngày 01/02/2016.
Văn bản này được thay thế bởi 48/2024/TT-BGTVT
Văn bản này được sửa đổi, bổ sung bởi 33/2020/TT-BGTVT
Xem chi tiết Thông tư 33/2015/TT-BGTVT có hiệu lực kể từ ngày 01/02/2016
Tải Thông tư 33/2015/TT-BGTVT
|
BỘ GIAO THÔNG VẬN TẢI Số: 33/2015/TT-BGTVT |
CỘNG HÒA XÃ HỘI CHỦ NGHĨA VIỆT NAM Hà Nội, ngày 24 tháng 7 năm 2015 |
THÔNG TƯ
BAN HÀNH QUY CHUẨN KỸ THUẬT QUỐC GIA VỀ KHÍ THẢI MỨC 4
ĐỐI VỚI XE Ô TÔ SẢN XUẤT, LẮP RÁP VÀ NHẬP KHẨU MỚI
Căn cứ Luật Giao thông đường bộ ngày 13 tháng 11 năm 2008;
Căn cứ Luật Tiêu chuẩn và Quy chuẩn kỹ thuật ngày 29 tháng 6 năm 2006;
Căn cứ Luật Ban hành văn bản quy phạm pháp luật ngày 03 tháng 6 năm 2008;
Căn cứ Nghị định số 107/2012/NĐ-CP ngày 20 tháng 12 năm 2012 của Chính phủ quy định chức năng, nhiệm vụ, quyền hạn và cơ cấu tổ chức của Bộ Giao thông vận tải;
Căn cứ Quyết định số 49/2011/QĐ-TTg ngày 01 tháng 9 năm 2011 của Thủ tướng Chính phủ quy định lộ trình áp dụng tiêu chuẩn khí thải đối với xe ô tô, xe mô tô hai bánh sản xuất, lắp ráp và nhập khẩu mới;
Theo đề nghị của Cục trưởng Cục Đăng kiểm Việt Nam và Vụ trưởng Vụ Môi trường,
Bộ trưởng Bộ Giao thông vận tải ban hành Thông tư ban hành Quy chuẩn kỹ thuật quốc gia về khí thải mức 4 đối với xe ô tô sản xuất, lắp ráp và nhập khẩu mới.
Điều 1. Ban hành kèm theo Thông tư này Quy chuẩn kỹ thuật quốc gia về khí thải mức 4 đối với xe ô tô sản xuất, lắp ráp và nhập khẩu mới.
Mã số đăng ký: QCVN 86:2015/BGTVT.
Điều 3. Chánh Văn phòng Bộ, Chánh Thanh tra Bộ, các Vụ trưởng, Cục trưởng Cục Đăng kiểm Việt Nam, Thủ trưởng các cơ quan, đơn vị thuộc Bộ Giao thông vận tải, các tổ chức và cá nhân có liên quan chịu trách nhiệm thi hành Thông tư này./.
|
Nơi nhận: |
BỘ TRƯỞNG |
QCVN 86 : 2015/BGTVT
QUY CHUẨN KỸ THUẬT QUỐC GIA VỀ KHÍ THẢI MỨC 4 ĐỐI VỚI XE Ô TÔ SẢN XUẤT, LẮP RÁP VÀ NHẬP KHẨU MỚI
National technical on the fourth level of gaseous pollutants emission for new assembled, manufactured and imported automobiles
Lời nói đầu
QCVN 86 : 2015/BGTVT do Cục Đăng kiểm Việt Nam biên soạn, Vụ Môi trường trình duyệt, Bộ Khoa học và Công nghệ thẩm định, Bộ Giao thông vận tải ban hành kèm theo Thông tư số 33/2015/TT-BGTVT ngày 24 tháng 07 năm 2015.
Quy chuẩn này được biên soạn trên cơ sở
1. TCVN 6785 : 2006 - Phương tiện giao thông đường bộ - Phát thải chất gây ô nhiễm từ ô tô theo nhiên liệu dùng cho động cơ - Yêu cầu và phương pháp thử trong phê duyệt kiểu (sau đây viết tắt là TCVN 6785 : 2006).
2. TCVN 6567 : 2006 - Phương tiện giao thông đường bộ - Động cơ cháy do nén, động cơ cháy cưỡng bức sử dụng khí dầu mỏ hóa lỏng và động cơ sử dụng khí tự nhiên lắp trên ô tô - Yêu cầu và phương pháp thử trong phê duyệt kiểu (sau đây viết tắt là TCVN 6567 : 2006).
3. TCVN 6565 : 2006 - Phương tiện giao thông đường bộ - Khí thải nhìn thấy được (khói) từ động cơ cháy do nén - Yêu cầu và phương pháp thử trong phê duyệt kiểu (sau đây viết tắt là TCVN 6565 : 2006).
4. ECE 83-05 - Quy định phê duyệt kiểu xe về khí thải gây ô nhiễm theo các yêu cầu nhiên liệu động cơ (Uniform provisions concerning the approval of vehicles with regard to the emission of pollutants according to engine fuel requirements).
QUY CHUẨN KỸ THUẬT QUỐC GIA VỀ KHÍ THẢI MỨC 4 ĐỐI VỚI XE Ô TÔ SẢN XUẤT, LẮP RÁP VÀ NHẬP KHẨU MỚI
National technical on the fourth level of gaseous pollutants emission for new assembled, manufactured and imported automobiles
1. QUY ĐỊNH CHUNG
1.1. Phạm vi điều chỉnh
Quy chuẩn này quy định mức giới hạn khí thải, các phép thử và phương pháp thử, các yêu cầu về quản lý và tổ chức thực hiện việc kiểm tra khí thải mức 4 (Euro 4) trong kiểm tra chất lượng, an toàn kỹ thuật và bảo vệ môi trường đối với xe ô tô sản xuất, lắp ráp (sau đây viết tắt là SXLR) và nhập khẩu mới.
Các loại xe ô tô được áp dụng trong Quy chuẩn này bao gồm các xe có ít nhất bốn bánh, được phân loại thành các xe hạng nhẹ, xe hạng nặng , các xe loại M và N, được giải thích tại khoản 1.3.1, khoản 1.3.2, khoản 1.3.4 và khoản 1.3.5 Điều 1.3 Quy chuẩn này.
Các xe ba bánh có khối lượng bản thân lớn hơn 400 kg (theo TCVN 6211:2003 Phương tiện giao thông đường bộ - Kiểu - Thuật ngữ và định nghĩa) không thuộc phạm vi điều chỉnh Quy chuẩn này và được thử khí thải theo QCVN 04 : 2009/BGTVT - Quy chuẩn kỹ thuật quốc gia về khí thải xe mô tô, xe gắn máy SXLR và nhập khẩu mới.
Quy chuẩn này không áp dụng cho các loại xe ô tô được thiết kế, chế tạo để chạy trên các loại địa hình và đường không thuộc hệ thống giao thông đường bộ.
1.2. Đối tượng áp dụng
Quy chuẩn này áp dụng đối với các cơ quan, tổ chức và cá nhân có hoạt động liên quan đến SXLR và nhập khẩu xe ô tô (sau đây viết tắt là xe).
1.3. Giải thích từ ngữ
Quy chuẩn này áp dụng các từ ngữ được hiểu như sau:
1.3.1. Xe hạng nhẹ (Light duty vehicle): Xe có khối lượng toàn bộ lớn nhất không lớn hơn 3.500 kg.
1.3.2. Xe hạng nặng (Heavy duty vehicle): Xe có khối lượng toàn bộ lớn nhất lớn hơn 3.500 kg.
1.3.3. Mức 4 (Level 4): Tiêu chuẩn về phép thử và giới hạn chất gây ô nhiễm có trong khí thải tương ứng với mức Euro 4 được quy định trong quy định kỹ thuật về khí thải xe cơ giới của Ủy ban kinh tế Châu Âu của Liên Hợp quốc (ECE) hoặc trong chỉ thị của Liên minh Châu Âu (EC) áp dụng đối với xe cơ giới SXLR và nhập khẩu mới.
1.3.4. Xe loại M (Category M of motor vehicles): Xe được dùng để chở người và có ít nhất 4 bánh, bao gồm các loại từ M1 đến M3 dưới đây:
a) M1: Xe được dùng để chở không quá 9 người, kể cả lái xe.
b) M2: Xe được dùng để chở quá 9 người, kể cả lái xe, khối lượng toàn bộ lớn nhất không lớn hơn 5.000 kg.
c) M3: Xe được dùng để chở quá 9 người, kể cả lái xe, khối lượng toàn bộ lớn nhất lớn hơn 5.000 kg.
1.3.5. Xe loại N (Category N of motor vehicles): Xe được dùng để chở hàng và có ít nhất 4 bánh, bao gồm các loại từ N1 đến N3 dưới đây:
a) N1: Xe được dùng để chở hàng, có khối lượng toàn bộ lớn nhất không lớn hơn 3.500 kg;
b) N2: Xe được dùng để chở hàng, có khối lượng toàn bộ lớn nhất lớn hơn 3.500 kg nhưng không lớn hơn 12.000 kg;
c) N3: Xe được dùng để chở hàng, có khối lượng toàn bộ lớn nhất lớn hơn 12.000 kg.
1.3.6. Xe sử dụng nhiên liệu đơn (Mono-fuel vehicle): Là loại xe được thiết kế chủ yếu để chạy bằng một trong các loại nhiên liệu: khí thiên nhiên (NG) hoặc khí dầu mỏ hóa lỏng (LPG), nhưng cũng có thể có hệ thống nhiên liệu xăng, chỉ để khởi động xe hoặc các trường hợp khẩn cấp. Dung tích thùng xăng không được vượt quá 15 lít.
1.3.7. Xe sử dụng nhiên liệu kép (Bi-fuel vehicle): Loại xe có thể sử dụng xen kẽ hai loại nhiên liệu xăng và NG hoặc xăng và LPG.
1.3.8. Nhiên liệu sử dụng của động cơ (Fuel requirement by the engine): Loại nhiên liệu thường dùng của động cơ, bao gồm :
- Xăng không chì, xăng E5 (sau đây gọi chung là xăng);
- Nhiên liệu điêzen, nhiên liệu điêzen B5 (sau đây gọi chung là điêzen);
- LPG, NG;
- Xăng không chì và LPG, xăng không chì và NG.
1.3.9. Kiểu loại xe (Vehicle type): Một loại xe trong đó gồm các xe có cùng các đặc điểm cơ bản sau đây:
a) Đối với xe hạng nhẹ:
- Quán tính tương đương được xác định theo khối lượng chuẩn (định nghĩa tại khoản 1.3.11 Điều 1.3 Quy chuẩn này);
- Các đặc điểm của xe và động cơ được xác định tại Phụ lục 1 Quy chuẩn này.
b) Đối với xe hạng nặng: Các đặc điểm của xe và động cơ được xác định tại Phụ lục 3 Quy chuẩn này.
1.3.10. Khối lượng bản thân (Unladen mass): Khối lượng của xe không có lái xe, hành khách hoặc hàng hóa, nhưng có nhiên liệu được đổ tới mức bằng 90% dung tích thùng nhiên liệu, dầu bôi trơn, bộ đồ sửa chữa thông thường kèm theo xe và bánh xe dự phòng (nếu có) để có thể sẵn sàng hoạt động được.
1.3.11. Khối lượng chuẩn (Reference mass - Rm): Khối lượng bằng khối lượng bản thân của xe cộng thêm 100 kg để thử khí thải theo các quy định của Phụ lục D TCVN 6785.
1.3.12. Khối lượng toàn bộ lớn nhất (1) (Maximum mass): Khối lượng lớn nhất cho phép về mặt kỹ thuật do cơ sở SXLR quy định (khối lượng này có thể lớn hơn khối lượng lớn nhất do cơ quan Nhà nước có thẩm quyền quy định).
Chú thích: (1) Thuật ngữ này còn được gọi là “Khối lượng toàn bộ thiết kế lớn nhất (Maximum design total mass)” và cũng được định nghĩa như trên trong TCVN 6529 (ISO 1176).
1.3.13. Khí gây ô nhiễm (Gaseous pollutants): Cacbon monoxit (CO), các nitơ oxit (NOx) được biểu thị tương đương là nitơ dioxit (ký hiệu là NO2) và hydro cacbon (HC) có công thức hóa học giả thiết là:
- Đối với xăng: C1H1,85 (xăng không chì); C1H1,89O0,016 (xăng E5);
- Đối với nhiên liệu điêzen: C1H1,86 (nhiên liệu điêzen); C1H1,86O0,005 (nhiên liệu điêzen B5);
- Đối với LPG: C1H2,525
- Đối với NG: C1H4
1.3.14. Hạt gây ô nhiễm (Particulate pollutants): Các thành phần được lấy ra từ khí thải đã được pha loãng bằng các bộ lọc ở nhiệt độ lớn nhất 325 K (52 oC) (sau đây được gọi là các hạt và ký hiệu là PM).
1.3.15. Khói (Smoke): Các hạt lơ lửng trong dòng khí thải của động cơ điêzen có khả năng hấp thụ, phản xạ hoặc khúc xạ ánh sáng.
1.3.16. Khí thải từ ống xả (Tailpipe emissions):
- Đối với động cơ cháy cưỡng bức: Khí gây ô nhiễm (sau đây viết tắt là khí);
- Đối với động cơ cháy do nén: Khói, khí và hạt gây ô nhiễm (hạt gây ô nhiễm sau đây viết tắt là hạt, ký hiệu là PM).
1.3.17. Khí thải do bay hơi (Evaporative emissions): khí HC (khác với khí HC phát thải tại đuôi ống xả) thoát ra môi trường do bay hơi từ hệ thống nhiên liệu của xe (sau đây viết tắt là hơi nhiên liệu) theo hai dạng sau:
- Thoát ra từ thùng nhiên liệu (Tank breathing losses): Khí HC bay hơi từ thùng nhiên liệu do sự thay đổi nhiệt độ ở bên trong thùng (công thức hoá học giả thiết là C1H2,33);
- Thoát ra do xe ngấm nóng (Hot soak losses): Khí HC bay hơi từ hệ thống nhiên liệu của xe đỗ sau khi đã chạy được một khoảng thời gian (công thức hoá học giả thiết là C1H2,20).
1.3.18. Các-te động cơ (Engine crankcase): Các khoang trong hoặc ngoài động cơ được thông với bình hứng dầu bôi trơn bằng các ống dẫn bên trong hoặc ngoài động cơ, các loại khí và hơi trong cac-te có thể thoát ra ngoài qua các ống dẫn đó.
1.3.19. Thiết bị khởi động nguội (Cold start device): Thiết bị làm giầu tạm thời hỗn hợp không khí - nhiên liệu để động cơ dễ khởi động.
1.3.20. Thiết bị trợ giúp khởi động (Starting aid): Thiết bị giúp cho động cơ khởi động mà không cần làm giàu hỗn hợp không khí - nhiên liệu của động cơ (Ví dụ: bu-gi sấy, thay đổi thời gian phun v.v.).
1.3.21. Dung tích động cơ (Engine capacity):
- Đối với động cơ có pit tông chuyển động tịnh tiến: Thể tích làm việc danh định của động cơ.
- Đối với các động cơ có pit tông quay (Wankel): Thể tích bằng 2 lần thể tích làm việc danh định của động cơ.
1.3.22. Thiết bị kiểm soát ô nhiễm (Pollution control device): Các thiết bị của xe có chức năng kiểm soát và/ hoặc hạn chế khí thải tại đuôi ống xả và hơi nhiên liệu.
1.3.23. Phép thử loại I (Type I - Test): Phép thử để kiểm tra khối lượng trung bình của khí thải ở đuôi ống xả sau khi khởi động động cơ ở trạng thái nguội.
1.3.24. Phép thử loại II (Type II - Test): Phép thử để kiểm tra nồng độ của CO ở chế độ tốc độ không tải nhỏ nhất của động cơ.
1.3.25. Phép thử loại III (Type III - Test): Kiểm tra khí thải từ các-te động cơ.
1.3.26. Phép thử loại IV (Type IV - Test): Kiểm tra bay hơi nhiên liệu đối với động cơ cháy cưỡng bức.
1.3.27. Kiểu loại động cơ (Engine type): Một loại động cơ trong đó bao gồm các động cơ có cùng những đặc điểm chủ yếu quy định trong Phụ lục 3 Quy chuẩn này.
1.3.28. Động cơ cháy do nén (Compression ignition (C.I.) engine): Động cơ làm việc theo nguyên lý cháy do nén (sau đây viết tắt là động cơ C.I. (ví dụ, động cơ điêzen)).
1.3.29. Động cơ nhiên liệu khí (Gas engine): Động cơ sử dụng nhiên liệu là NG hoặc LPG.
1.3.30. Công suất hữu ích (Net power): Công suất ở cuối trục khuỷu của động cơ, đo được trên băng thử (kW) bằng phương pháp đo quy định theo TCVN 9725:2013 - Phương tiện giao thông đường bộ - Đo công suất hữu ích của động cơ đốt trong và công suất lớn nhất trong 30 min của hệ động lực điện - Yêu cầu và phương pháp thử trong phê duyệt kiểu.
1.3.31. Tốc độ định mức (Rated speed): Tốc độ lớn nhất ở chế độ toàn tải của động cơ do bộ điều tốc khống chế theo quy định của cơ sở SXLR. Trường hợp không có bộ điều tốc thì đó là tốc độ tương ứng với công suất lớn nhất của động cơ theo quy định của cơ sở SXLR.
1.3.32. Phần trăm tải (Percent load): Tỉ lệ phần trăm giữa một giá trị mômen xoắn hữu ích và mômen xoắn hữu ích lớn nhất ở một giá trị tốc độ động cơ xác định.
1.3.33. Công suất lớn nhất theo công bố Pmax (Declared maximum power): Công suất lớn nhất tính theo kW (công suất hữu ích) theo công bố của cơ sở SXLR trong tài liệu kỹ thuật.
1.3.34. Tốc độ tại mômen xoắn lớn nhất (Maximum torque speed): Tốc độ động cơ mà ở đó mô men xoắn của động cơ có giá trị lớn nhất theo quy định của cơ sở SXLR.
1.3.35. Chu trình thử ESC (ESC test): Chu trình gồm 13 chế độ ổn định được áp dụng theo điểm 5.2.1.2 TCVN 6567:2006.
1.3.36. Chu trình thử ELR (ELR test): Chu trình thử gồm một chuỗi các bước thử có tải ở tốc độ động cơ không đổi được áp dụng theo điểm 5.2.1.2 TCVN 6567:2006.
1.3.37. Chu trình thử ETC (ETC test): Chu trình thử có chiều dài 1800 giây với chế độ làm việc thay đổi theo từng giây, được áp dụng theo 5.2.1.2 của TCVN 6567:2006.
1.3.38. Hệ thống tái sinh định kỳ (Periodically regenerating system): là thiết bị xử lý khí thải (ví dụ: bộ xúc tác, lọc hạt) cần phải tái sinh định kỳ sau quãng đường nhỏ hơn 4.000 km dưới điều kiện hoạt động bình thường của xe. Trong các chu kỳ xảy ra quá trình tái sinh, khí thải có thể không đạt tiêu chuẩn. Nếu quá trình tái sinh của thiết bị xử lý khí thải xảy ra ít nhất một lần trong quá trình thực hiện phép thử loại 1 và cũng xảy ra ít nhất một lần trong chu trình chuẩn bị xe, hệ thống này sẽ được coi là hệ thống tái sinh liên tục. Đối với hệ thống tái sinh liên lục, không cần phải sử dụng quy trình thử đặc biệt.
Theo yêu cầu của cơ sở SXLR/nhập khẩu, quy trình thử dành riêng cho hệ thống tái sinh định kỳ sẽ không áp dụng cho thiết bị tái sinh, nếu cơ sở SXLR/nhập khẩu chứng minh được rằng trong quá trình tái sinh, lượng khí thải vẫn ở dưới mức cho phép như được nêu ở khoản 2.1.1 Điều 2.1 Quy chuẩn này (lượng khí thải này tùy thuộc vào từng loại xe) và được sự đồng ý của phòng thử nghiệm.
1.3.39. Xe Hybrid (HV): là loại xe có ít nhất hai bộ chuyển hóa năng lượng khác nhau và hai hệ thống tích trữ năng lượng khác nhau (ở trên xe) để tạo ra chuyển động cho xe.
1.3.40. Xe Hybrid điện (HEV): là loại xe sử dụng hai loại năng lượng từ hai nguồn năng lượng được tích trữ trên xe sau đây:
- Nhiên liệu;
- Thiết bị tích năng (ắc quy, tụ điện, bánh đà/máy phát điện v.v.).
2. QUY ĐỊNH KỸ THUẬT
Mục này quy định mức giới hạn khí thải và các yêu cầu kỹ thuật liên quan đối với các loại xe khác nhau theo ba TCVN 6785, TCVN 6567 và TCVN 6565 nêu tại các Điều từ 2.1 đến Điều 2.3 dưới đây.
2.1. Đối với xe áp dụng TCVN 6785
Các loại xe áp dụng TCVN 6785 bao gồm các xe lắp động cơ cháy cưỡng bức hoặc xe hybrid điện lắp động cơ cháy cưỡng bức và động cơ cháy do nén hoặc xe hybrid điện lắp động cơ cháy do nén được phân loại trong Điều 1.3 Quy chuẩn này, sử dụng riêng hoặc kết hợp các loại nhiên liệu, chủ yếu thuộc các loại xe hạng nhẹ, một số ít thuộc loại xe hạng nặng.
Việc áp dụng các phép thử trong TCVN 6785 đối với các loại xe nêu trên được quy định chi tiết trong khoản 3.3.1 và 3.3.2 Điều 3.1 Mục 3 Quy chuẩn này.
2.1.1. Mức giới hạn khí thải
a) Khi kiểm tra khí thải trong phép thử loại I nêu tại điểm a khoản 3.3.2 Điều 3.3 Mục 3 Quy chuẩn này, khối lượng trung bình đo được của các khí CO, HC, NOx từ xe lắp động cơ cháy cưỡng bức (dùng xăng, LPG hoặc NG) hoặc xe hybrid điện lắp động cơ cháy cưỡng bức, của các khí CO, HC + NOx, NOX và PM từ xe lắp động cơ cháy do nén dùng nhiên liệu điêzen hoặc xe hybrid điện lắp động cơ cháy do nén phải nhỏ hơn giá trị giới hạn đối với từng loại chất nêu trong Bảng 1, Bảng 2 dưới đây.
Bảng 1. Giá trị giới hạn khí thải cho xe lắp động cơ cháy cưỡng bức - mức 4
|
Loại xe |
Khối lượng chuẩn Rm (kg) |
CO |
HC |
NOx |
|
|
L1 (g/km) |
L2 (g/km) |
L3 (g/km) |
|||
|
M(1) |
Tất cả |
1,0 |
0,10 |
0,08 |
|
|
N1(2) |
Nhóm I |
Rm £ 1305 |
1,0 |
0,10 |
0,08 |
|
Nhóm II |
1305 < Rm £1760 |
1,81 |
0,13 |
0,10 |
|
|
Nhóm III |
1760 < Rm |
2,27 |
0,16 |
0,11 |
|
Chú thích:
(1) Các xe loại M có khối lượng toàn bộ lớn nhất £ 2.500 kg.
(2) N1 và các xe loại M có khối lượng toàn bộ lớn nhất > 2.500 kg.
Bảng 2. Giá trị giới hạn khí thải của xe lắp động cơ điêzen - mức 4
|
|
Khối lượng chuẩn Rm (kg) |
CO |
NOx |
HC + NOx |
PM |
|
|
L1 (g/km) |
L3 (g/km) |
L2 + L3 (g/km) |
L4 (g/km) |
|||
|
M(1) |
Tất cả |
0,50 |
0,25 |
0,30 |
0,025 |
|
|
N1(2) |
Nhóm I |
Rm £ 1305 |
0,50 |
0,25 |
0,30 |
0,025 |
|
Nhóm II |
1305 < Rm £ 1760 |
0,63 |
0,33 |
0,39 |
0,04 |
|
|
Nhóm III |
1760 < Rm |
0,74 |
0,39 |
0,46 |
0,06 |
|
Chú thích:
(1) Các xe loai M có khối lượng toàn bộ lớn nhất £ 2.500 kg.
(2) N1 và các xe loại M có khối lượng toàn bộ lớn nhất > 2.500 kg.
b) Khi kiểm tra khí thải trong phép thử loại II nêu tại điểm b khoản 3.3.2 Điều 3.3 Mục 3 Quy chuẩn này, nồng độ CO (% thể tích) của khí thải từ động cơ không được vượt quá 3,5% trong các điều kiện chỉnh đặt động cơ do cơ sở SXLR quy định và không vượt được quá 4,5% trong dải điều chỉnh quy định ở Phụ lục E TCVN 6785.
c) Khi kiểm tra khí thải trong phép thử loại III nêu tại điểm c khoản 3.3.2 Điều 3.3 Mục 3 Quy chuẩn này, hệ thống thông gió cac-te động cơ không được cho bất kỳ khí nào từ cac-te động cơ thải ra ngoài không khí.
d) Khi kiểm tra khí thải trong phép thử loại IV nêu tại điểm d khoản 3.3.2 Điều 3.3 Mục 3 Quy chuẩn này, lượng hơi nhiên liệu phải nhỏ hơn 02 gam/lần thử.
2.1.2. Yêu cầu khác
Ngoài yêu cầu về mức giới hạn khí thải nêu trên, xe áp dụng TCVN 6785 còn phải thỏa mãn các yêu cầu kỹ thuật liên quan khác đối với khí thải từ đuôi ống xả và hơi nhiên liệu được quy định tại khoản 6.1.1, khoản 6.1.2 và khoản 6.1.3 Điều 6.1 Mục 6 TCVN 6785.
2.2. Đối với xe áp dụng TCVN 6567
Các loại xe áp dụng TCVN 6567 bao gồm chủ yếu các xe lắp động cơ cháy do nén được phân loại trong Điều 1.3 Quy chuẩn này chủ yếu thuộc các loại xe hạng nặng, một số ít thuộc loại xe hạng nhẹ.
Việc áp dụng các phép thử trong TCVN 6567 đối với các loại xe nêu trên được quy định chi tiết tại khoản 3.3.1 và khoản 3.3.2 Điều 3.1 Mục 3 Quy chuẩn này.
2.2.1. Khi kiểm tra khí thải trong phép thử nêu tại điểm e khoản 3.3.2 Điều 3.3 Mục 3 Quy chuẩn này, khối lượng trung bình đo được của các khí CO, HC, NOx và PM từ động cơ không được lớn hơn giá trị giới hạn tương ứng được quy định trong Bảng 3 và Bảng 4 dưới đây.
Bảng 3. Giá trị giới hạn khí thải của từng chất khí và hạt khi thử ESC và ELR mức 4
|
ESC |
ELR |
|||
|
Khối lượng các chất (g/kWh) |
Độ khói (m-1) |
|||
|
CO |
HC |
NOx |
PM |
|
|
1,5 |
0,46 |
3,5 |
0,02 |
0,5 |
Yêu cầu riêng đối với động cơ điêzen:
- Khối lượng riêng biệt của NOx được đo tại các điểm kiểm tra ngẫu nhiên trong miền kiểm soát của phép thử theo chu trình thử ESC không được lớn hơn 10% giá trị nội suy từ các chế độ thử liền kề.
- Giá trị độ khói ở tốc độ thử ngẫu nhiên của phép thử theo chu trình thử ELR không được lớn hơn giá trị độ khói cao nhất của hai giá trị tại hai tốc độ thử liền kề 20% hoặc 5% giá trị giới hạn, chọn giá trị lớn hơn.
Bảng 4. Giá trị giới hạn khí thải của từng chất khí và hạt khi thử ETC mức 4
|
Khối lượng các chất (g/kWh) |
||||
|
CO |
NMHC(3) |
CH4(1) |
NOx |
PM(2) |
|
4,0 |
0,55 |
1,1 |
3,5 |
0,03 |
Chú thích:
(1) Chỉ cho động cơ NG
(2) Không áp dụng cho động cơ nhiên liệu khí
(3) HC không bao gồm khí CH4 (Non methane hydrocarbon)
Cơ sở SXLR/nhập khẩu có thể chọn đo THC trong thử ETC thay cho việc NMHC. Trong trường hợp này, giá trị giới hạn của THC bằng giá trị giới hạn của NMHC trong Bảng 4.
2.2.2. Cơ sở SXLR phải bảo đảm việc lắp đặt động cơ lên xe trong quá trình SXLR sao cho không được làm tăng các giá trị của độ giảm áp suất nạp, của áp suất trên đường thải và công suất hấp thụ của các thiết bị do động cơ dẫn động được nêu trong bản đăng ký thông số kỹ thuật quy định tại Phụ lục 3 Quy chuẩn này.
2.3. Đối với xe áp dụng TCVN 6565 để kiểm tra độ khói
Tất cả các xe lắp động cơ cháy do nén, ngoài việc phải áp dụng TCVN 6785 hoặc TCVN 6567 theo các quy định tương ứng nêu trên, đều phải kiểm tra độ khói theo các quy định sau đây:
2.3.1. Trường hợp kiểm tra riêng động cơ:
a) Khi kiểm tra hệ số hấp thụ ánh sáng của khí thải (đặc trưng cho độ khói) trong phép thử nêu tại điểm đ khoản 3.3.2 Điều 3.3 Mục 3 Quy chuẩn này, kết quả đo hệ số hấp thụ ánh sáng không được lớn hơn các giá trị giới hạn được quy định trong Bảng 5 dưới đây.
Bảng 5. Giá trị giới hạn của hệ số hấp thụ ánh sáng - thử ở chế độ tốc độ ổn định trên đường đặc tính toàn tải của động cơ
|
Lưu lượng khí danh định (G) (lít/s) |
Hệ số hấp thụ ánh sáng (K) (m-1) |
|
42 |
2,26 |
|
45 |
2,19 |
|
50 |
2,08 |
|
55 |
1,985 |
|
60 |
1,90 |
|
65 |
1,84 |
|
70 |
1,775 |
|
75 |
1,72 |
|
80 |
1,665 |
|
85 |
1,62 |
|
90 |
1,575 |
|
95 |
1,535 |
|
100 |
1,495 |
|
105 |
1,465 |
|
110 |
1,425 |
|
115 |
1,395 |
|
120 |
1,37 |
|
125 |
1,345 |
|
130 |
1,32 |
|
135 |
1,30 |
|
140 |
1,27 |
|
145 |
1,25 |
|
150 |
1,225 |
|
155 |
1,205 |
|
160 |
1,19 |
|
165 |
1,17 |
|
170 |
1,155 |
|
175 |
1,14 |
|
180 |
1,125 |
|
185 |
1,11 |
|
190 |
1,095 |
|
195 |
1,08 |
|
200 |
1,065 |
Chú thích:
Việc xác định lưu lượng khí danh định được nêu tại Phụ lục C TCVN 6565.
b) Ngoài yêu cầu nêu tại điểm a khoản này, cơ sở SXLR phải bảo đảm sao cho xe còn phải phù hợp với các yêu cầu khác nêu tại Điều 4.1, Điều 4.2 và Điều 4.3 Mục I và yêu cầu về lắp đặt động cơ đã kiểm tra độ khói lên xe trong quá trình SXLR nêu tại Mục II của TCVN 6565.
2.3.2. Trường hợp kiểm tra trên xe:
Khi kiểm tra hệ số hấp thụ ánh sáng của khí thải từ xe chạy trên băng thử xe trong phép thử nêu tại điểm đ khoản 3.3.2 Điều 3.3 Mục 3 Quy chuẩn này, xe phải phù hợp với các yêu cầu nêu tại Điều 12 Mục III TCVN 6565.
3. QUY ĐỊNH QUẢN LÝ
3.1. Phương thức kiểm tra, thử nghiệm khí thải của xe SXLR và nhập khẩu mới
Xe SXLR và nhập khẩu mới phải được kiểm tra khí thải theo các quy định hiện hành của Bộ trưởng Bộ Giao thông vận tải như sau:
- Thông tư số 30/2011/TT-BGTVT ngày 15/4/2011 quy định về kiểm tra chất lượng an toàn kỹ thuật và bảo vệ môi trường trong sản xuất, lắp ráp xe cơ giới;
- Thông tư số 54/2014/TT-BGTVT ngày 20/10/2014 sửa đổi, bổ sung một số điều của Thông tư số 30/2011/TT-BGTVT ngày 15/4/2011 của Bộ trưởng Bộ Giao thông vận tải quy định về kiểm tra chất lượng an toàn kỹ thuật và bảo vệ môi trường trong sản xuất, lắp ráp xe cơ giới;
- Thông tư số 31/2011/TT-BGTVT ngày 15/4/2011 quy định về kiểm tra chất lượng an toàn kỹ thuật và bảo vệ môi trường xe cơ giới nhập khẩu;
- Thông tư số 55/2014/TT-BGTVT ngày 20/10/2014 sửa đổi, bổ sung một số điều của Thông tư số 31/2011/TT-BGTVT ngày 15/4/2011 của Bộ trưởng Bộ Giao thông vận tải quy định về kiểm tra chất lượng an toàn kỹ thuật và bảo vệ môi trường xe cơ giới nhập khẩu.
3.2. Tài liệu kỹ thuật và mẫu thử
Đối với loại xe phải kiểm tra khí thải, cơ sở SXLR, nhập khẩu phải cung cấp tài liệu và mẫu thử như sau:
3.2.1. Bản đăng ký thông số kỹ thuật chính của xe và động cơ theo quy định sau:
a) Đối với xe áp dụng TCVN 6785: Theo Phụ lục 1 Quy chuẩn này. Nếu xe lắp động cơ cháy cưỡng bức thì phải nêu rõ là áp dụng yêu cầu nêu tại điểm 6.1.2.1 hay áp dụng yêu cầu nêu tại điểm 6.1.2.2 TCVN 6785; trong trường hợp áp dụng điểm 6.1.2.2 TCVN 6785 thì phải kèm một bản mô tả ký hiệu thể hiện bắt buộc sử dụng nhiên liệu xăng không chì.
b) Đối với xe áp dụng TCVN 6567: Theo Phụ lục 3 Quy chuẩn này.
c) Đối với xe hoặc động cơ áp dụng TCVN 6565 để kiểm tra độ khói: Theo Phụ lục 5 Quy chuẩn này.
3.2.2. Mẫu thử
a) Đối với xe áp dụng TCVN 6785: Số lượng và các yêu cầu khác về xe mẫu đại diện cho kiểu loại xe hoặc lô xe để kiểm tra theo quy định tại Điều 3.1 Quy chuẩn này được quy định trong TCVN 6785 và quy định hiện hành của Bộ Giao thông vận tải.
b) Đối với xe áp dụng TCVN 6567: Số lượng và các yêu cầu khác về động cơ mẫu đại diện cho kiểu loại động cơ hoặc lô động cơ để kiểm tra theo quy định tại Điều 3.1 Quy chuẩn này được quy định trong TCVN 6567 và quy định hiện hành của Bộ Giao thông vận tải.
c) Đối với xe hoặc động cơ áp dụng TCVN 6565 để kiểm tra độ khói: Số lượng và các yêu cầu khác về xe hoặc động cơ mẫu đại diện cho kiểu loại xe/ động cơ hoặc lô xe/ động cơ để kiểm tra theo quy định tại Điều 3.1 Quy chuẩn này được quy định trong TCVN 6565 và quy định hiện hành của Bộ Giao thông vận tải. Có thể dùng chung xe mẫu hoặc động cơ mẫu đại diện cho kiểu loại xe lắp động cơ cháy do nén để kiểm tra theo TCVN 6565 cùng với TCVN 6785 hoặc TCVN 6567 tương ứng.
d) Tổ chức, cá nhân đăng ký thử nghiệm có thể tự quyết định có chạy rà xe mẫu 3.000km (đối với xe lắp động cơ cháy cưỡng bức) và 15.000km (đối với xe lắp động cơ cháy do nén) trước khi thử hay không nhưng phải bảo đảm xe có tình trạng kỹ thuật tốt để không ảnh hưởng đến việc thử nghiệm.
đ) Đối với việc kiểm tra khí thải và độ khói trên động cơ mẫu, theo yêu cầu của cơ sở thử nghiệm, cơ sở SXLR hoặc tổ chức, cá nhân nhập khẩu có trách nhiệm cung cấp các trang thiết bị phụ, vật tư cần thiết cho việc lắp đặt động cơ mẫu lên thiết bị thử nghiệm để bảo đảm cho việc thử nghiệm khí thải phù hợp với yêu cầu của TCVN 6567, TCVN 6565 và đặc điểm kỹ thuật riêng của động cơ.
3.3. Phép thử
Để đánh giá kết quả kiểm tra khí thải của các loại xe theo các mức giới hạn khí thải quy định tại Mục 2 Quy chuẩn này tương ứng với các phép thử, các loại xe và động cơ phải được kiểm tra theo các phép thử (bao gồm cả phương pháp thử) như quy định dưới đây.
Chú ý là các xe được gọi là xe sử dụng nhiên liệu kép, xe sử dụng nhiên liệu đơn ở đây là các xe sử dụng nhiên liệu như đã được nêu tại khoản 1.3.8 Điều 1.3 Mục 1 Quy chuẩn này.
3.3.1. Việc áp dụng các phép thử
a) Xe lắp động cơ cháy cưỡng bức
- Xe hạng nhẹ
Xe hạng nhẹ bao gồm các loại xe M1, M2 có khối lượng toàn bộ lớn nhất không quá 3.500 kg và loại xe N1.
+ Đối với xe dùng xăng, xe sử dụng nhiên liệu kép: Các phép thử loại I và loại III theo TCVN 6785, phép thử loại IV theo Phụ lục 9 Quy chuẩn này nêu tại các điểm a, điểm c và điểm d khoản 3.3.2 Điều 3.3 Mục 3 Quy chuẩn này.
+ Đối với xe chỉ dùng LPG hoặc NG, xe sử dụng nhiên liệu đơn: Phép thử loại I và loại III theo TCVN 6785 nêu tại điểm a và điểm c khoản 3.3.2 Điều 3.3 Mục 3 Quy chuẩn này. Riêng xe loại M2 chỉ dùng LPG hoặc NG có thể thay thế bằng việc áp dụng phép thử theo chu trình thử ETC theo TCVN 6567, nêu tại điểm e khoản 3.3.2 Điều 3.3 Mục 3 Quy chuẩn này nhưng không kiểm tra các hạt (PM).
- Xe hạng nặng
Xe hạng nặng bao gồm các xe loại M1 và loại M2 có khối lượng toàn bộ lớn nhất quá 3.500 kg và các xe loại N2, M3 và N3.
+ Đối với xe dùng xăng, hoặc xe sử dụng nhiên liệu kép: Các phép thử loại II và loại III theo TCVN 6785 nêu tại các điểm b và điểm c khoản 3.3.2 Điều 3.3 Mục 3 Quy chuẩn này.
+ Đối với xe sử dụng nhiên liệu đơn: Các phép thử loại II và III theo TCVN 6785 nêu tại các điểm b và điểm c khoản 3.3.2 Điều 3.3 Mục 3 Quy chuẩn này có thể thay thế bằng việc áp dụng phép thử theo chu trình thử ETC theo TCVN 6567, nêu tại điểm e khoản 3.3.2 Điều 3.3 Mục 3 Quy chuẩn này nhưng không kiểm tra các hạt (PM).
+ Đối với xe chỉ dùng LPG hoặc NG: Phép thử theo chu trình thử ETC theo TCVN 6567, nêu tại điểm e khoản 3.3.2 Điều 3.3 Mục 3 Quy chuẩn này nhưng không kiểm tra các hạt (PM).
b) Xe lắp động cơ cháy do nén
- Xe hạng nhẹ (trừ xe M2 và N2)
+ Đối với xe loại M1 (khối lượng toàn bộ không quá 3.500 kg): Phép thử loại I theo TCVN 6785, nêu tại điểm a khoản 3.3.2 Điều 3.3 Quy chuẩn này, và kiểm tra độ khói theo TCVN 6565 nêu tại điểm đ khoản 3.3.2 Điều 3.3 Quy chuẩn này;
+ Đối với xe loại N1: Phép thử loại I theo TCVN 6785 nêu tại điểm a hoặc phép thử theo chu trình thử ESC, ELR và ETC theo TCVN 6567 nêu tại điểm e khoản 3.3.2 Điều 3.3 Quy chuẩn này, và kiểm tra độ khói theo TCVN 6565 nêu tại điểm đ khoản 3.3.2 Điều 3.3 Quy chuẩn này.
- Xe hạng nặng (trừ xe loại M2 và loại N2)
Phép thử theo chu trình thử ESC, ELR và ETC theo TCVN 6567 nêu tại điểm e khoản 3.3.2 và kiểm tra độ khói theo TCVN 6565 nêu tại điểm e khoản 3.3.2 Điều 3.3 Mục 3 Quy chuẩn này.
- Xe loại M2, N2
Phép thử theo chu trình thử ESC, ELR và ETC theo TCVN 6567, nêu tại điểm e khoản 3.3.2 và kiểm tra độ khói theo TCVN 6565 nêu tại điểm đ khoản 3.3.2 Điều 3.3 Mục 3 Quy chuẩn này.
- Trường hợp đặc biệt cho các xe loại M2, N2 có khối lượng chuẩn không lớn hơn 2.840kg, dùng nhiên liệu điêzen
Nếu các xe này phù hợp với yêu cầu nêu tại Điều 3.6 Quy chuẩn này về mở rộng thừa nhận kết quả thử khí thải, theo đề nghị của cơ sở SXLR, có thể áp dụng kết quả kiểm tra theo phép thử loại I TCVN 6785 của xe loại M1 hoặc N1 dùng nhiên liệu điêzen tương ứng thay cho phép thử theo chu trình thử ESC, ELR và ETC theo TCVN 6567.
Xe sử dụng nhiên liệu LPG hoặc NG phải được thử với sự thay đổi thành phần của LPG hoặc NG như quy định tại Phụ lục L TCVN 6785. Xe sử dụng nhiên liệu kép phải được thử với cả hai nhiên liệu trong đó phải thay đổi thành phần nhiên liệu LPG hoặc NG khi cung cấp như quy định tại Phụ lục L nêu trên. Tuy nhiên, đối với xe sử dụng nhiên liệu đơn thì chỉ thực hiện phép thử loại I bằng nhiên liệu dạng khí.
c) Xe Hybrid điện lắp động cơ cháy cưỡng bức
Xe hạng nhẹ: Các phép thử loại I và loại III theo TCVN 6785, phép thử loại IV theo Phụ lục 9 Quy chuẩn này nêu tại các điểm a, điểm c và điểm d khoản 3.3.2 Điều 3.3 Mục 3 Quy chuẩn này. Ngoài ra xe còn phải đáp ứng các yêu cầu đặc biệt trong phương pháp thử được quy định tại Phụ lục 14 - Quy trình thử nghiệm khí thải cho xe hybrid điện của Quy định ECE R83-05 - Quy định phê duyệt kiểu xe về khí thải gây ô nhiễm theo các yêu cầu nhiên liệu động cơ (Annex 14 - Emission test procedure for hybrid electric vehicles of Regulation 83-05 - Uniform provisions concerning the approval of vehicles with regard to the emission of pollutants according to engine fuel requirements) và các bản bổ sung, sửa đổi kèm theo.
d) Xe Hybrid điện lắp động cơ cháy do nén
Xe M1 và N1: Phép thử loại I theo TCVN 6785, nêu tại điểm a khoản 3.3.2. Điều 3.3 Quy chuẩn này. Ngoài ra, xe còn phải đáp ứng các yêu cầu đặc biệt trong phương pháp thử được quy định tại Phụ lục 14 - Quy trình thử nghiệm khí thải cho xe hybrid điện của Quy định ECE R83-05 - Quy định phê duyệt kiểu xe về khí thải gây ô nhiễm theo các yêu cầu nhiên liệu động cơ (Annex 14 - Emission test procedure for hybrid electric vehicles of Regulation 83-05 - Uniform provisions concerning the approval of vehicles with regard to the emission of pollutants according to engine fuel requirements) và các bản bổ sung, sửa đổi kèm theo.
Các quy định về áp dụng các phép thử cho các loại xe nêu trên được tóm tắt trong Bảng 6 dưới đây (nếu có mâu thuẫn giữa Bảng này với các quy định nêu tại các điểm a và điểm b nêu trên thì phải tuân theo các quy định đó).
Bảng 6. Quy định về áp dụng các phép thử theo Tiêu chuẩn tương ứng cho các loại xe
|
|
Tiêu chuẩn và phép thử |
|||||||||||
|
|
TCVN 6785 |
TCVN 6567 |
TCVN 6565 (ECE 24) |
|||||||||
|
I |
II |
III |
IV |
ESC |
ELR |
ETC |
||||||
|
Xe lắp động cơ cháy cưỡng bức |
Xe hạng nhẹ (M1 và M2 ≤ 3.500 kg, N1) |
Xăng |
x |
- |
x |
x |
- |
- |
- |
- |
||
|
Nhiên liệu kép |
x |
- |
x |
x |
- |
- |
- |
- |
||||
|
Nhiên liệu đơn |
x |
- |
x |
- |
- |
- |
- |
- |
||||
|
LPG hoặc NG |
M1, N1 |
x |
- |
x |
- |
- |
- |
- |
- |
|||
|
M2 (1) |
x |
- |
x |
- |
- |
- |
x (thay thế) |
- |
||||
|
Xe hạng nặng (M1 và M2 > 3.500 kg, M3, N2, N3) |
Xăng |
- |
x |
x |
- |
- |
- |
- |
- |
|||
|
Nhiên liệu kép |
- |
x |
x |
- |
- |
- |
- |
- |
||||
|
Nhiên liệu đơn (2) |
- |
x |
x |
- |
- |
- |
x (thay thế) |
- |
||||
|
LPG hoặc NG |
- |
- |
- |
- |
- |
- |
x |
- |
||||
|
Xe lắp động cơ cháy do nén (trừ xe dùng xăng, nếu có) |
Hạng nhẹ |
M1 ≤ 3.500 kg |
x |
- |
- |
- |
- |
- |
- |
x |
||
|
N1(3) |
x |
- |
- |
- |
x (thay thế) |
x |
||||||
|
Hạng nặng |
M1 > 3.500 kg |
- |
- |
- |
- |
x |
x |
|||||
|
M3, N3 |
- |
- |
- |
- |
x |
x |
||||||
|
M2, N2 (4) |
- |
- |
- |
- |
x |
x |
||||||
|
Xe hybrid điện lắp động cơ cháy cưỡng bức |
Xe hạng nhẹ |
x |
- |
x |
x |
- |
- |
|||||
|
Xe hybrid điện lắp động cơ cháy do nén |
M1 và N1 |
x |
- |
- |
- |
- |
- |
|||||
Chú thích:
(1) Có thể áp dụng TCVN 6567 với phép thử theo chu trình thử ETC, hoặc TCVN 6785 với các phép thử loại I và III.
(2) Có thể áp dụng TCVN 6567 với phép thử theo chu trình thử ETC, hoặc TCVN 6785 với các phép thử loại II và III.
(3) Xe loại N1 sử dụng nhiên liệu điêzen có thể áp dụng phép thử theo chu trình thử ESC, ELR, ETC theo TCVN 6567 hoặc theo TCVN 6785.
(4) Về phép thử loại I, riêng xe M2, N2 nhiên liệu điêzen, có khối lượng chuẩn ≤ 2840 kg và thỏa mãn điều kiện mở rộng thừa nhận kết quả quy định tại điều 3.6. Quy chuẩn này thì được áp dụng kết quả thử nghiệm theo phép thử loại I, TCVN 6785 của xe M1, N1 tương ứng.
(x) Áp dụng.
(-) Không áp dụng.
3.3.2. Quy định về việc thực hiện các phép thử
a) Phép thử loại I theo TCVN 6785
- Yêu cầu về đặc tính nhiên liệu thực hiện phép thử theo quy định tại Phụ lục 7 Quy chuẩn này. Phải sử dụng các phương pháp lấy mẫu và phân tích các khí và các hạt theo đúng quy định.
- Chu trình thử được bắt đầu ngay sau khi động cơ được khởi động.
- Phép thử phải được tiến hành 3 lần. Các kết quả thu được từ mỗi lần thử bằng giá trị đo nhân với các hệ số suy giảm thích hợp nêu tại Bảng 7. Trong trường hợp có sự xuất hiện hệ thống tái sinh định kỳ, thì phải nhân với hệ số Ki trong Phụ lục 12 Quy chuẩn này. Khối lượng các loại khí và PM (xe lắp động cơ cháy do nén) thu được trong mỗi lần thử phải nhỏ hơn các giới hạn tương ứng nêu trong các Bảng 1 hoặc Bảng 2 Mục 2 Quy chuẩn này cho mỗi loại xe. Tuy nhiên, đối với mỗi loại khí hoặc PM thì một trong ba kết quả đo được (mỗi kết quả đo là của một lần thử) có thể lớn hơn nhưng không được quá 10% mức giới hạn quy định của mỗi loại khí và PM nêu tại Bảng 1 hoặc Bảng 2 Mục 2 Quy chuẩn này với điều kiện là giá trị trung bình cộng của ba kết quả đo phải nhỏ hơn mức giới hạn quy định đó.
Bảng 7 - Hệ số suy giảm
|
Loại động cơ |
Các hệ số suy giảm |
||||
|
CO |
HC |
NOx |
HC + NOx |
PM |
|
|
Cháy cưỡng bức |
1,2 |
1,2 |
1,2 |
- |
- |
|
Cháy do nén |
1,1 |
- |
1,0 |
1,0 |
1,2 |
- Số lần thử quy định nêu trên sẽ được giảm trong các điều kiện xác định sau đây:
+ Chỉ phải thử một lần, nếu tất cả các khí và PM đều có: V1 £ 0,70 L;
+ Chỉ phải thử hai lần, nếu kết quả thử V1 của mỗi khí và PM không thỏa mãn điều kiện nêu trên nhưng vẫn thỏa mãn yêu cầu sau: V1 £ 0,85 L, V1 + V2 £ 1,70 L và V2 £ L, trong đó:
V1 là kết quả của lần thử thứ nhất; V2 là kết quả của lần thử thứ hai và L là giá trị giới hạn đối với mỗi loại khí và PM.
- Quy trình đo khí thải từ một đến ba lần thử trong phép thử loại I quy định tại Phụ lục 8 Quy chuẩn này.
b) Phép thử loại II theo TCVN 6785
- Yêu cầu về đặc tính nhiên liệu thực hiện phép thử theo quy định tại Phụ lục 7 Quy chuẩn này.
- Kết quả đo khí thải của phép thử này phải thỏa mãn quy định về nồng độ CO nêu tại điểm b khoản 2.1.1 Điều 2.1 Mục 2 Quy chuẩn này.
c) Phép thử loại III theo TCVN 6785
- Yêu cầu về đặc tính nhiên liệu thực hiện phép thử theo quy định tại Phụ lục 7 Quy chuẩn này.
- Kết quả kiểm tra của phép thử này phải thỏa mãn quy định nêu tại điểm c khoản 2.1.1 Điều 2.1 Mục 2 Quy chuẩn này.
d) Phép thử loại IV theo Phụ lục 9 Quy chuẩn này
- Yêu cầu về đặc tính nhiên liệu thực hiện phép thử theo quy định tại Phụ lục 7 Quy chuẩn này.
- Kết quả kiểm tra của phép thử này phải thỏa mãn quy định nêu tại điểm d khoản 2.1.1 Điều 2.1 Mục 2 Quy chuẩn này.
đ) Kiểm tra độ khói theo TCVN 6565
Việc kiểm tra độ khói theo quy định dưới đây:
- Việc kiểm tra được thực hiện trên xe mẫu hoặc động cơ mẫu quy định tại khoản 3.2.2 Điều 3.2 Mục 3 Quy chuẩn này.
- Yêu cầu về đặc tính nhiên liệu để đo độ khói theo quy định trong Phụ lục 7 Quy chuẩn này.
- Kết quả kiểm tra của phép thử này phải thỏa mãn quy định nêu tại Điều 2.3 Mục 2 Quy chuẩn này.
e) Phép thử theo chu trình thử ESC, ELR và ETC theo TCVN 6567
- Yêu cầu về đặc tính nhiên liệu thực hiện phép thử khí thải theo quy định tại Phụ lục 7 Quy chuẩn này.
- Kết quả kiểm tra của phép thử này phải thỏa mãn quy định nêu tại khoản 2.2.1 Điều 2.2 Mục 2 Quy chuẩn này.
3.4. Nhiên liệu thử nghiệm
Nhiên liệu để thử nghiệm khí thải là nhiên liệu thông dụng phù hợp với Quy chuẩn nhiên liệu hiện hành, đối với xăng phải có trị số ốc tan RON nhỏ nhất là 95, đối với nhiên liệu điêzen phải có chỉ số xêtan nhỏ nhất là 52. Trong trường hợp có sự thống nhất giữa cơ sở SXLR, tổ chức và cá nhân nhập khẩu đăng ký kiểm tra khí thải với cơ sở thử nghiệm thì có thể dùng nhiên liệu chuẩn quy định ở Phụ lục 7 Quy chuẩn này hoặc nhiên liệu có đặc tính tương đương với nhiên liệu chuẩn.
3.5. Báo cáo thử nghiệm
Cơ sở thử nghiệm phải lập báo cáo thử nghiệm khí thải có nội dung tối thiểu quy định trong các Phụ lục 2, Phụ lục 4 và Phụ lục 6 Quy chuẩn này tương ứng với từng loại thử nghiệm và Tiêu chuẩn áp dụng.
3.6. Sửa đổi kiểu loại xe/ động cơ SXLR so với xe/ động cơ mẫu đã được thử nghiệm khí thải
Cơ sở SXLR phải báo cáo với Cơ quan cấp Giấy chứng nhận An toàn kỹ thuật và Bảo vệ môi trường về mọi sửa đổi của kiểu loại xe/động cơ SXLR đã được chứng nhận so với xe/động cơ mẫu. Cơ quan này phải xem xét và đánh giá việc sửa đổi như sau:
3.6.1. Nếu các sửa đổi không đáng kể và kiểu loại xe/ động cơ vẫn thỏa mãn các yêu cầu về khí thải Quy chuẩn này thì cho phép thực hiện các sửa đổi đó.
3.6.2. Nếu các sửa đổi có thể gây ảnh hưởng xấu đến khí thải thì Cơ quan cấp giấy chứng nhận yêu cầu cơ sở thử nghiệm đã thử nghiệm khí thải xe/động cơ mẫu tiến hành thử nghiệm một xe/động cơ đã sửa đổi và nộp báo cáo thử nghiệm khí thải mới.
3.6.3. Cơ quan cấp giấy chứng nhận căn cứ vào việc xem xét và đánh giá trên để có quyết định cho phép hoặc không cho phép thực hiện việc sửa đổi. Nếu cho phép, trong quyết định phải ghi rõ ràng nội dung được sửa đổi.
3.7. Mở rộng việc thừa nhận kết quả thử nghiệm khí thải
Việc mở rộng thừa nhận kết quả thử nghiệm chỉ áp dụng cho kiểu loại xe đã kiểm tra khí thải theo TCVN 6785 và cho kiểu loại xe đã kiểm tra độ khói theo TCVN 6565.
3.7.1. Đối với xe áp dụng TCVN 6785
Kết quả thử nghiệm khí thải xe mẫu của kiểu loại xe đã được cấp chứng nhận chất lượng (sau đây viết tắt là kiểu loại xe đã chứng nhận) có thể được mở rộng để thừa nhận là kết quả thử nghiệm cho một kiểu loại xe có bản đăng ký thông số quy định tại Phụ lục 1 Quy chuẩn này khác bản đăng ký thông số của kiểu loại xe đã chứng nhận như sau:
- Chỉ khác nhau về số loại nêu tại mục 1.3 Phụ lục 1 Quy chuẩn này;
- Hoặc chỉ khác nhau về số loại và các thông số theo từng trường hợp quy định tại các điểm 3.7.1.1 và điểm 3.7.1.2 khoản 3.7.1 Điều 3.7 Mục 3 Quy chuẩn này.
3.7.1.1. Đối với phép thử loại I và loại II
a) Trường hợp 1
- Kiểu loại xe có Rm khác Rm của kiểu loại xe đã chứng nhận nhưng tương ứng có cấp quán tính thuộc một trong hai cấp quán tính liền kề cao hơn hoặc thuộc có bất kỳ cấp quán tính nào thấp hơn trong Bảng 8 Quy chuẩn này.
- Đối với kiểu loại xe thuộc loại N1 và loại M có khối lượng toàn bộ bộ lớn nhất lớn hơn 2.500 kg: Nếu khối lượng chuẩn của xe có cấp quán tính thấp hơn cấp quán tính của kiểu loại xe đã được chứng nhận khí thải và nếu kết quả đo các loại khí và PM từ kiểu loại xe đã được chứng nhận không vượt quá các giá trị giới hạn khí thải quy định đối với kiểu loại xe được xét thừa nhận kết quả này.
b) Trường hợp 2
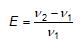
- Đối với từng tỉ số truyền được sử dụng trong phép thử loại I, tỉ số E phải không lớn hơn 8 %, E được tính như sau:

Trong đó:
v1 - vận tốc xe thuộc kiểu loại xe đã được chứng nhận khi tốc độ động cơ bằng 1.000 r/min;
v2 - vận tốc xe thuộc kiểu loại xe đang được xét mở rộng kết quả thử nghiệm khí thải khi tốc độ động cơ bằng 1.000 r/min.
Bảng 8. Khối lượng chuẩn Rm và khối lượng quán tính tương đương của xe
|
Khối lượng chuẩn (Rm) |
Khối lượng quán tính tương đương (kg) |
|
|
Cấp quán tính |
Khối lượng quán tính |
|
|
Rm £ 480 |
1 |
455 |
|
480 < Rm £ 540 |
2 |
510 |
|
540 < Rm £ 595 |
3 |
570 |
|
595 < Rm £ 650 |
4 |
625 |
|
650 < Rm £ 710 |
5 |
680 |
|
710 < Rm £ 765 |
6 |
740 |
|
765 < Rm £ 850 |
7 |
800 |
|
850 < Rm £ 965 |
8 |
910 |
|
965 < Rm £ 1.080 |
9 |
1.020 |
|
1.080 < Rm £ 1.190 |
10 |
1.130 |
|
1.190 < Rm £ 1.305 |
11 |
1.250 |
|
1.305 < Rm £ 1.420 |
12 |
1.360 |
|
1.420 < Rm £ 1.530 |
13 |
1.470 |
|
1.530 < Rm £ 1.640 |
14 |
1.590 |
|
1.640 < Rm £ 1.760 |
15 |
1.700 |
|
1.760 < Rm £ 1.870 |
16 |
1.810 |
|
1.870 < Rm £ 1.980 |
17 |
1.930 |
|
1.980 < Rm £ 2.100 |
18 |
2.040 |
|
2.100 < Rm £ 2.210 |
19 |
2.150 |
|
2.210 < Rm £ 2.380 |
20 |
2.270 |
|
2.380 < Rm £ 2.610 |
21 |
2.270 |
|
2.610 < Rm |
22 |
2.270 |
- Nếu E của ít nhất một tỉ số truyền lớn hơn 08 % và đồng thời E của tất cả các tỉ số truyền không lớn hơn 13 % thì vẫn phải lặp lại phép thử loại I. Tuy nhiên, phép thử này có thể thực hiện tại bất kỳ cơ sở thử nghiệm nào được Cơ quan cấp giấy chứng nhận chấp thuận, không nhất thiết phải là cơ sở thử nghiệm xe mẫu của kiểu loại xe đã chứng nhận. Kết quả thử khí thải phải phù hợp với quy định tại khoản 2.1.1 Điều 2.1 Mục 2 Quy chuẩn này. Báo cáo thử nghiệm này cũng phải được gửi cho cơ sở thử nghiệm xe mẫu của kiểu loại xe đã chứng nhận.
c) Trường hợp 3
Kiểu loại xe khác cả Rm và tỷ số truyền nhưng đáp ứng được tất cả các điều kiện trong cả hai trường hợp trên.
Chú ý:
Kiểu loại xe đã được thừa nhận mở rộng kết quả thử nghiệm khí thải không được sử dụng để mở rộng kết quả thử nghiệm cho các kiểu loại xe tiếp theo khác theo các quy định tại Điều 3.7 Quy chuẩn này.
d) Trường hợp 4: Kiểu loại xe được trang bị hệ thống tái sinh định kỳ
Có thể mở rộng phê duyệt kiểu từ một kiểu loại xe sang các kiểu loại xe khác cùng sử dụng hệ thống tái sinh định kỳ nếu các thông số được nêu dưới đây giống nhau hoặc ở trong giới hạn cho phép.
- Các thông số giống nhau để mở rộng phê duyệt:
+ Động cơ
+ Quá trình cháy
+ Hệ thống tái sinh định kỳ (bộ xúc tác, lọc hạt)
+ Cấu trúc (loại vỏ bao bọc, loại kim loại quý, loại chất nền, mật độ)
+ Kiểu và nguyên lý hoạt động
+ Hệ thống định lượng và bổ sung
+ Thể tích ±10%
+ Vị trí của hệ thống (nhiệt độ trong khoảng ±50oC ở tốc độ 120 km/h hoặc chênh lệch nhiệt độ/áp suất lớn nhất trong khoảng 5%)
- Sử dụng hệ số Ki cho xe khác về khối lượng chuẩn:
Hệ số Ki áp dụng cho xe sử dụng hệ thống tái sinh định kỳ được nêu trong mục 3 Phụ lục 13 Quy chuẩn này có thể áp dụng cho mẫu xe khác nếu đáp ứng các thông số được nêu ở trên và có khối lượng chuẩn ở trong hai dải quán tính tương đương cao hơn tiếp theo hoặc trong bất kỳ dài quán tính tương đương nào thấp hơn.
3.7.1.2. Đối với phép thử loại IV
- Nguyên lý cơ bản của việc định lượng không khí/ nhiên liệu (phối trộn không khí/ nhiên liệu) phải giống nhau (ví dụ: phun đơn điểm (single point injection), bộ chế hòa khí).
- Hình dạng thùng nhiên liệu, vật liệu của thùng nhiên liệu và của các ống mềm dẫn nhiên liệu lỏng phải như nhau. Mặt cắt ngang và độ dài của ống mềm phải như nhau. Cơ sở thử nghiệm chịu trách nhiệm thử khí thải để chứng nhận phải quyết định xem có thể chấp nhận được các bộ phận tách hơi /chất lỏng có khác nhau không.
- Sai số thể tích thùng nhiên liệu phải nằm trong khoảng ± 10%. Thông số chỉnh đặt van an toàn của thùng nhiên liệu phải bằng nhau.
- Phương pháp giữ hơi nhiên liệu phải giống nhau. (Ví dụ: hình dáng và thể tích bẫy (hộp cac bon .v.v.), môi trường lưu trữ, không khí làm sạch (nếu được sử dụng cho việc kiểm soát bay hơi nhiên liệu) .v.v.)
- Sai số thể tích nhiên liệu trong buồng phao bộ chế hòa khí phải nằm trong khoảng ± 10 ml.
- Phương pháp làm làm sạch hơi nhiên liệu được lưu trữ phải giống nhau. (ví dụ: dòng không khí thổi, điểm bắt đầu hoặc thể tích thổi trong chu trình thử .v.v.).
- Phương pháp làm kín và thông hơi bộ chế hòa khí phải giống nhau. Tuy nhiên, cho phép có các trường hợp sau:
(1) Động cơ có dung tích khác nhau.
(2) Động cơ có các công suất khác nhau.
(3) Hộp số tự động hoặc cơ khí, truyền động loại 2 bánh hoặc 4 bánh chủ động đều được chấp nhận.
(4) Các kiểu thân xe khác nhau.
(5) Các kích cỡ bánh xe và lốp xe khác nhau.
3.7.2. Đối với xe hoặc động cơ áp dụng TCVN 6565
Áp dụng Điều 5 hoặc Điều 9 hoặc Điều 13 quy định trong TCVN 6565 tương ứng với từng trường hợp.
3.8. Kiểm tra giám sát khí thải xe, động cơ khi SXLR hàng loạt
3.8.1. Các xe SXLR thuộc kiểu loại xe đã chứng nhận về khí thải theo Quy chuẩn này cũng phải phù hợp với quy định về giới hạn khí thải nêu tại Mục 2 và các phép thử nêu tại Điều 3.3 Mục 3 Quy chuẩn này.
3.8.2. Việc kiểm tra theo yêu cầu nêu tại khoản 3. 8.1 Điều 3.8 Quy chuẩn này được thực hiện đột xuất hoặc trong đánh giá hàng năm củ a Cơ quan cấp giấy chứng nhận. Việc kiểm tra này không áp dụng đối với kiểm tra xe xuất x ưởng do cơ sở SXLR thực hiện cho từng chiếc.
3.8.3. Việc kiểm tra phải dựa trên cơ sở các nội dung trong hồ sơ chứng nhận và phải thực hiện các phép thử tương ứng nêu tại khoản 3. 8.2 Điều 3.8 Quy chuẩn này đối với một xe (trường hợp xe áp dụng TCVN 6785) hoặc động cơ (trường hợp xe áp dụng TCVN 6567 hoặc Phần I của TCVN 6565) lấy từ loạt xe hoặc động cơ kiểm tra. Kết quả đo khí thải phải phù hợp với yêu cầu về mức giới hạn khí thải quy định tại Mục 2; riêng đối với kiểm tra độ khói theo TCVN 6565 thì áp dụng Điều 6 hoặc Điều 10 hoặc Điều 14 quy định trong TCVN 6565 tương ứng với từng trường hợp.
3.8.4. Nếu kết quả đo khí thải không đáp ứng được yêu cầu trong khoản 3.8.3 Điều 3.8 Mục 3 Quy chuẩn này, cơ sở SXLR có thể đề nghị thử nghiệm lại một số xe hoặc động cơ khác được lấy ra từ loạt xe hoặc động cơ đó.
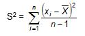
a) Đối với xe hoặc động cơ áp dụng TCVN 6785 hoặc TCVN 6567: Số lượng xe hoặc động cơ được thử nghiệm (n) do cơ sở SXLR xác định; trong số xe hoặc động cơ này phải có cả chiếc xe hoặc động cơ nêu tại khoản 3.8.3 Điều 3.8 Quy chuẩn này. Đối với từng chất khí thải, sau khi đo phải xác định giá trị trung bình cộng của các kết quả đo từ các xe hoặc động cơ thử nghiệm trên và sai lệch chuẩn S (xem công thức dưới đây). Loạt xe hoặc động cơ đó sẽ được coi là phù hợp với Quy chuẩn này nếu đáp ứng được điều kiện sau:

Trong đó:
L là giá trị giới hạn đối với mỗi loại khí, các hạt và khói được xét đến;
là giá trị trung bình cộng của các kết quả đo từng chất của tất cả n xe mẫu;
Sai lệch chuẩn
, xi là kết quả đo khí thải của xe mẫu thứ i; k là trọng số thống kê phụ thuộc vào n và được cho trong Bảng 9.
Bảng 9. Trọng số thống kê k
|
n |
2 |
3 |
4 |
5 |
6 |
7 |
8 |
9 |
10 |
|
k |
0,973 |
0,613 |
0,489 |
0,421 |
0,376 |
0,342 |
0,317 |
0,296 |
0,279 |
|
n |
11 |
12 |
13 |
14 |
15 |
16 |
17 |
18 |
19 |
|
k |
0,265 |
0,253 |
0,242 |
0,233 |
0,224 |
0,216 |
0,210 |
0,203 |
0,198 |
Nếu n ³ 20 thì:

b) Đối với xe hoặc động cơ áp dụng TCVN 6565 để kiểm tra độ khói: Áp dụng Điều 6 hoặc Điều 10 hoặc Điều 14 quy định trong TCVN 6565 tương ứng với từng trường hợp.
4. TỔ CHỨC THỰC HIỆN
4.1. Cục Đăng kiểm Việt Nam chịu trách nhiệm triển khai, hướng dẫn thực hiện Quy chuẩn này. Nếu có vấn đề phát sinh liên quan đến quy định Quy chuẩn này, Cục Đăng kiểm Việt Nam báo cáo Bộ Giao thông vận tải để xem xét, giải quyết.
4.2. Trường hợp các tiêu chuẩn, quy chuẩn, quy định nêu tại Quy chuẩn này có thay đổi, bổ sung hoặc được thay thế thì thực hiện theo các quy định nêu tại tiêu chuẩn, quy chuẩn, quy định mới.
PHỤ LỤC 1
(Đối với xe áp dụng TCVN 6785)
(Annex 1 - For vehicles applying TCVN 6785)
Bản đăng ký thông số kỹ thuật chính của động cơ và xe
(Essential characteristic of vehicle and engine)
1. Xe (Vehicle)
1.1. Loại xe (Category of the vehicle) (M1, N1....):...........................................................
1.2. Nhãn hiệu (Trade name or mark of the vehicle):........................................................
1.3. Kiểu (số) loại (Vehicle type/model code):..................................................................
1.3.1. Số nhận dạng xe (VIN): .............................................................................................
1.4. Tên và địa chỉ cơ sở SXLR, lắp ráp/nhập khẩu (Manufacturer's/ Importer’s name and address):...........................................................................................................
1.5. Tên và địa chỉ đại diện của cơ sở SXLR (nếu có) (Name and address of manufacturer's representative (If applicable)):...........................................................
1.6. Khối lượng bản thân xe (Unladen mass of the vehicle):…....................................kg
1.7. Khối lượng toàn bộ lớn nhất của xe ( Maximum mass of the vehicle):….................kg
1.8. Số chỗ ngồi (kể cả lái xe) (Number of seats (including the driver)):…........................
1.9. Hệ thống truyền động (Transmission):
1.9.1. Ly hợp (Clutch)
1.9.1.1. Kiểu loại (Type): ……………………………………………………………………………….…
1.9.1.2. Hiệu suất chuyển mô men lớn nhất(6) (Maximum torque conversion) ………….…………
1.9.2. Hộp số (Gearbox)
1.9.2.1. Kiểu loại (Type) ……………………............................................... .............................
1.9.2.2. Vị trí lắp đặt so với động cơ (Location relative to the engine) …………………….………
1.9.2.3. Truyền động điều khiển: bằng tay/tự động/vô cấp/khác(1) (Manual/ automatic/ continuously variable transmission/ other):) …………………………………………………
1.9.3. Tỷ số truyền (Gear ratios)
|
|
Tỷ số truyền của hộp số (Gearbox ratios) |
Tỷ số truyền của truyền lực chính (Final drive ratios) |
Tỷ số truyền toàn bộ (Total ratios) |
|
Lớn nhất (của CVT) (Maximum for CVT) |
|
|
|
|
1 |
|
|
|
|
2 |
|
|
|
|
3 |
|
|
|
|
4, 5 hoặc nhiều hơn (4, 5, others) |
|
|
|
|
Nhỏ nhất (của CVT) (Minimum for CVT) |
|
|
|
|
Số lùi (Reverse) |
|
|
|
|
Chú thích: * CVT: Hộp số vô cấp (Continuously variable transmission) |
|||
1.10. Hệ thống treo (Suspension)
1.10.1. Lốp xe và vành xe (Tyres and wheels)
1.10.1.1. Lốp/bánh xe (Đối với lốp: ghi rõ kích thước lốp, khả năng chịu tải, ký hiệu tốc độ. Đối với bánh xe: ghi rõ kích thước vành và khoảng cách từ mặt phẳng đối xứng dọc của bánh xe đến bề mặt lắp ráp giữa bánh xe và trục).
(Tyre/wheel combination(s) (for tyres indicate size designation, load capacity index, speed category symbol; for wheels, indicate rim size(s) and off-set(s)).
a) Trục 1 (Axle 1) ……………………
b) Trục 2 (Axle 2) ……………………
c) Trục 3 (Axle 3) ……………………
1.10.2. Giới hạn trên và dưới của chu vi vòng lăn bánh xe(6) (Upper and lower limit of rolling circumference)
a) Trục 1 (Axle 1) ……………………mm
b) Trục 2 (Axle 2) …………………… mm
c) Trục 3 (Axle 3) …………………… mm
1.10.3. Áp suất lốp do nhà sản xuất yêu cầu (Tyre pressure(s) recommended by the manufacturer) ……………………kPa
1.11 Trục chủ động (số lượng, vị trí, liên kết) (Powered axles (number, position, interconnection)): ........................................................................................................
1.12. Hệ số cản của xe, nếu có (Coefficient of resistance, if any)
- Hệ số cản lăn (Coefficient of Rolling resistance) F0 (N): …………………
- Hệ số ma sát (Coefficient of friction) F1 (N/(km/h)): …………………
- Hệ số cản không khí (Coefficient of air resistance) F2 (N/(km/h)2): …………………
1.13. Ảnh chụp hoặc bản vẽ của mẫu xe đại diện (Photographs and/or drawings of a representative vehicle: ) …………………
2. Động cơ (Engine)
Nếu có các trang thiết bị điều khiển điện tử thì ngoài các thông tin dưới đây, cơ sở SXLR phải cung cấp các thông tin về đặc điểm và cách sử dụng các thiết bị này (In the case of microprocessor-controlled functions, appropriate operating information shall be supplied).
2.1. Cơ sở SXLR (Manufacturer): ……………………
2.1.1. Nhận dạng động cơ của cơ sở SXLR (như được ghi nhãn trên động cơ hoặc bằng các phương pháp nhận dạng khác) (Manufacturer's engine identification (as marked on the engine, or other means of identification)):
2.1.1.1. Nhãn hiệu động cơ (Mark or make of engine): .............................
2.1.1.2. Kiểu (số) loại động cơ (Engine type): .............................
2.1.1.3. Số động cơ (Engine number): .............................
2.2. Động cơ đốt trong (Internal combustion engine):
2.2.1. Các thông tin chi tiết về động cơ (Specific engine information):
2.2.1.1. Nguyên lý làm việc: cháy cưỡng bức/cháy do nén, 4 kỳ/2 kỳ (1) (Working principle: positive-ignition/compression-ignition, four stroke/two stroke))
2.2.1.2. Số lượng, cách bố trí và thứ tự nổ của các xylanh (Number, arrangement and firing order of cylinders):
a) Đường kính lỗ xy lanh (Bore) : ………………mm
b) Hành trình pit-tông (Stroke) …………………… mm
2.2.1.3. Dung tích động cơ (Engine capacity) ....... ……………………cm3
2.2.1.4. Tỷ số nén (Volumetric compression ratio)(2) : ……………………
2.2.1.5. Các bản vẽ mô tả buồng cháy và đỉnh pittông(6) (Drawings of combustion chamber and piston crown): ……………………
2.2.1.6. Tốc độ không tải (Idle speed) (2):...……………………
Tốc độ không tải cao (High idle engine speed) r/min (6): …………………
2.2.1.7. Nồng độ CO (% thể tích) trong khí thải của động cơ ở chế độ tốc độ không tải (theo quy định của cơ sở SXLR)) (2) (6) (Carbon monoxide content by volume in the exhaust gas with the engine idling (according to the manufacturer's specifications)) ……………………
2.2.1.8. Công suất có ích lớn nhất (Maximum net power):.............. kW
tại tốc độ động cơ (at engine speed):......................................r/min
2.2.2. Nhiên liệu: Xăng không chì/nhiên liệu điêzen/LPG/NG (1) (Fuel: Unleaded petrol/diesel/ LPG/NG)
2.2.3. Trị số ốc tan RON của xăng không chì (RON of unleaded petrol): ……………………
2.2.4. Cung cấp nhiên liệu (Fuel feed):
2.2.4.1. Bộ chế hòa khí (By carburettor(s)): Có/Không (Yes/No)(1)
a) Nhãn hiệu (Make(s) or mark): ……………………
b) Kiểu (Type(s)): ……………………
c) Số lượng được lắp (Number fitted): ……………………
d) Các thông số điều chỉnh (Adjustments)(2) (6)
Jíc lơ (Jets): ……………………
Các ống Venturi (Venturis): ……………………
Mức buồng phao (Float-chamber level): ……………………
Khối lượng phao (Mass of float) ……………………g
Kim phao (Float needle): ……………………
e) Hệ thống khởi động ở trạng thái nguội (Cold start system): bằng tay/tự động (Manual/automatic) (1) (6)
Nguyên lý làm việc (Operating principle): ……………………
Các giới hạn/các thông số chỉnh đặt để vận hành (Operating limits/settings): (1) (2) ………
2.2.4.2. Hệ thống phun nhiên liệu (chỉ áp dụng cho động cơ cháy do nén): Có/Không (1) (By fuel injection (compression-ignition only): Yes/No)
a) Mô tả hệ thống (sơ đồ nguyên lý) (System description): ……………………
b) Nguyên lý làm việc: Phun trực tiếp/buồng cháy phụ/buồng cháy xoáy lốc: (1) (Working principle: direct injection/pre-chamber/swirl chamber:) ……………………
c) Bơm cao áp (Injection pump):
Nhãn hiệu (Make(s) or mark or mark): ……………………
Kiểu (Type(s)): ……………………
Lượng nhiên liệu cung cấp lớn nhất(6) (Maximum fuel delivery):……...(mm3/stroke or cycle) tại tốc độ bơm (at a pump speed): …………………… r/min
hoặc đường đặc tính (or characteristic diagram) ……………………
Thời điểm phun (Injection timing): (2) (6) ……………………
Đặc tính phun sớm (Injection advance curve): (2) (6) ……………………
Phương pháp hiệu chuẩn (Calibration procedure): băng thử/động cơ (test bench/engine) (1) (6) ……………………
d) Bộ điều tốc (Governor) (6):
Kiểu (Type): ……………………
Điểm hạn chế tốc độ (Cut-off point): ……………………
Khi có tải (Cut-off point under load): .......... r/min
Khi không tải (Without load): ......................... r/min
Tốc độ không tải (Idling speed):....................... r/min
e) Vòi phun (Injector(s))
Nhãn hiệu (Make(s) or mark): ……………………
Kiểu (Type(s)): ……………………
Áp suất phun (Opening pressure): (2) (6). ..........................................kPa
hoặc đường đặc tính (or characteristic diagram): ……………………
f) Hệ thống/thiết bị khởi động ở trạng thái nguội(6) (Cold start system/device):
Nhãn hiệu (Make(s) or mark): ……………………
Kiểu (Type(s)): ……………………
Mô tả (Description): ……………………
g) Thiết bị trợ giúp khởi động(6) (Auxiliary starting aid):
Nhãn hiệu (Make(s) or mark): ……………………
Kiểu (Type(s)): ……………………
Mô tả (Description): ……………………
2.2.4.3. Hệ thống phun nhiên liệu (chỉ áp dụng cho cháy cưỡng bức) (By fuel injection (positive- ignition only)): Có/Không (Yes/No) (1)
a) Mô tả hệ thống (sơ đồ nguyên lý) (System description): ……………………
b) Nguyên lý làm việc: phun trên đường ống nạp (đơn/đa điểm)/phun trực tiếp/cách khác (nêu cụ thể) (Working principle: intake manifold (single/multi-point)/direct injection/other (specify)) : ……………………
Bộ điểu khiển - Kiểu (hoặc mã số) (Control unit - type (or No.))
Bộ điều chỉnh nhiên liệu - Kiểu (Fuel regulator - type)
Cảm biến lưu lượng không khí - Kiểu (Air flow sensor - type)
Bộ phân phối nhiên liệu - Kiểu (Fuel distributor - type
Bộ điều chỉnh áp suất - Kiểu (Pressure regulator - type)
Cái ngắt vi mạch - Kiểu (Microswitch - type)
Vít điều chỉnh chạy không tải - Kiểu (Idle adjusting screw - type)
Ống van tiết lưu - Kiểu (Throttle housing - type)
Thông tin cho các trường hợp phun liên tục; trong trường hợp dùng các hệ thống khác, các chi tiết tương đương
(information to be given in the case of continuous injection; in the case of other systems, quivalent details)
Cảm biến nhiệt độ nước - Kiểu (Water temperature sensor - type)
Cảm biến nhiệt độ không khí - Kiểu (Air temperature sensor - type)
Công tắc nhiệt độ không khí - Kiểu (Air temperature switch - type)
Bộ phận chống nhiễu điện từ: Mô tả và/hoặc bản vẽ (Electromagnetic interference protection: Description and/or drawing)
c) Nhãn hiệu (Make(s) or mark): ……………………
d) Kiểu (Type(s)): ……………………
e) Vòi phun (Injectors):
- Áp suất phun (Opening pressure)(2) (6) kPa: ……………………
hoặc đường đặc tính (or characteristic diagram) (2) (6): ……………………
- Nhãn hiệu (Make(s) or mark): ……………………
- Kiểu (Type(s)): ……………………
f) Thời điểm phun(6) (Injection timing): ……………………
g) Hệ thống/Thiết bị khởi động ở trạng thái nguội(6) (Cold start system/device): ……………
Nguyên lý làm việc (Operating principle(s)) ……………………
Giới hạn làm việc/thông số chỉnh đặt (Operating limits/settings):(1) (2) ……………………
2.2.4.4. Bơm chuyển nhiên liệu (Feed pump) (6): ……………………
Áp suất (Pressure): (2) ........kPa hoặc đường đặc tính (or characteristic diagram)
2.2.4.5. Hệ thống cung cấp nhiên liệu LPG (By LPG fuelling system): Có/Không (Yes/No)(1)
a) Số phê duyệt kiểu theo ECE 67 hoặc Tiêu chuẩn tương đương (Approval number according to ECE 67 or equivalent standard) ……………………
b) Bộ điều khiển điện tử việc cấp nhiên liệu LPG cho động cơ (Electronic engine management control unit for LPG-fuelling): ……………………
Nhãn hiệu (Make(s) or mark): ……………………
Kiểu (Type): ……………………
Khả năng điều chỉnh liên quan đến khí thải (Emission related adjustment possibilities):
c) Tài liệu bổ sung (Further documentation):
Mô tả việc bảo vệ chất xúc tác khi chuyển từ xăng sang LPG hoặc ngược lại (Description of the safeguarding of the catalyst at switch-over from petrol to LPG or back): ……………………
Sơ đồ hệ thống (các bộ nối điện, bộ nối chân không, các ống mềm bù) (System lay-out electrical connections, vacuum connections compensation hoses, etc): …………………
Bản vẽ mô tả các ký hiệu (Drawing of the symbol): ……………………
2.2.4.6. Hệ thống cung cấp nhiên liệu NG (By NG fuelling system): Có/Không (Yes/No)(1)
a) Số phê duyệt kiểu theo ECE 110 hoặc Quy chuẩn tương đương (Approval number according to ECE 110 or equivalent regulation) ……………………
b) Bộ điều khiển điện tử việc cấp nhiên liệu NG cho động cơ (Electronic engine management control unit for NG-fuelling): ……………………
Nhãn hiệu (Make(s) or mark): ……………………
Kiểu (Type): ……………………
Khả năng điều chỉnh liên quan đến khí thải (Emission related adjustment possibilities):
c) Tài liệu bổ sung (Further documentation):
Mô tả việc bảo vệ chất xúc tác khi chuyển từ xăng sang NG hoặc ngược lại (Description of the safeguarding of the catalyst at switch-over from petrol to NG or back): ……………
Sơ đồ hệ thống (các bộ nối điện, bộ nối chân không, các ống mềm bù) (System lay-out electrical connections, vacuum connections compensation hoses, etc): …………………..
Bản vẽ mô tả các ký hiệu (Drawing of the symbol): ……………………
2.2.5. Hệ thống đánh lửa (Ignition)
2.2.5.1. Nhãn hiệu (Make(s) or mark): ……………………
2.2.5.2. Kiểu (Type(s)): ……………………
2.2.5.3. Nguyên lý làm việc (Working principle): ……………………
2.2.5.4. Đặc tính đánh lửa sớm (Ignition advance curve): (2)(6) ……………………
2.2.5.5. Thời điểm đánh lửa tĩnh (Static ignition timing): (2)(6)…….độ trước điểm chết trên (degrees before TDC) .
2.2.5.6. Khe hở tiếp điểm (Contact-point gap): (2)(6) ……………………mm
2.2.5.7. Góc đóng tiếp điểm (Dwell-angle): (2)(6) ……………………
2.2.5.8. Bu-gi (Spark plugs):
a) Nhãn hiệu (Make or mark): ……………………
b) Kiểu (Type): ……………………
c) Thông số chỉnh đặt khe hở đánh lửa (Spark plug gap setting):......……………………
2.2.5.9. Cuộn dây đánh lửa (Ignition coil) (6)
a) Nhãn hiệu (Make or mark): ……………………
b) Kiểu (Type): ……………………
2.2.5.10. Tụ điện đánh lửa (Ignition condenser) (6)
a) Nhãn hiệu (Make or mark): ……………………
b) Kiểu (Type): ……………………
2.2.6. Hệ thống làm mát (Cooling system): chất lỏng/không khí (liquid/air) (1)
2.2.7. Hệ thống nạp (Intake system)
2.2.7.1. Bộ nạp tăng áp (Pressure charger): Có/Không (Yes/No) (1)
a) Nhãn hiệu (Make(s) or mark): ……………………
b) Kiểu (Type(s)): ……………………
c) Mô tả hệ thống (áp suất nạp lớn nhất:.............kPa, đường xả khí …..) (Description of the system (maximum charge pressure: …. kPa, wastegate.....) (6).
2.2.7.2. Bộ làm mát khí nạp (Intercooler) (5): Có/Không (Yes/No)(1)
2.2.7.3. Mô tả và các bản vẽ của ống dẫn đầu vào và các linh kiện (buồng thông gió trên, thiết bị sấy, bộ phận nạp khí bổ sung,v.v....) (6) (Description and drawings of inlet pipes and their accessories (plenum chamber, heating device, additional air intakes, etc))
a) Mô tả ống nạp (bao gồm cả bản vẽ và/hoặc ảnh) (Intake manifold description (include drawings and/or photographs)) ……………………
b) Lọc không khí, các bản vẽ mô tả (Air filter, drawings......,)........hoặc (or):
Nhãn hiệu (Make(s) or mark) ……………………
Kiểu (Type(s)): ……………………
c) Bộ giảm âm ống nạp, các bản vẽ mô tả (Intake silencer, drawing......,)....hoặc (or)
Nhãn hiệu (Make(s) or mark): ……………………
Kiểu (Type(s)): ……………………
2.2.8. Hệ thống xả (Exhaust system)
2.2.8.1. Mô tả và các bản vẽ hệ thống xả (Description and drawings of the exhaust system) ……
2.2.9. Thời điểm đóng mở van (xu páp) hoặc số liệu tương đương (Valve timing or equivalent data) (6): ………
2.2.9.1. Độ nâng lớn nhất của các van, các góc đóng và mở, hoặc chi tiết về thời điểm của các hệ thống phân phối luân phiên, liên quan với các điểm chết (Maximum lift of valves, angles of opening and closing, or timing details of alternative distribution systems, in relation to dead centres): ……………………
2.2.9.2 Chuẩn và/hoặc dải thông số chỉnh đặt (Reference and/or setting ranges): (1) ……………..
2.2.10. Dầu bôi trơn được sử dụng (Lubricant used) ……………………
Nhãn hiệu (Make or mark): ……………………
Kiểu (Type): ……………………
2.2.11. Các biện pháp chống ô nhiễm (Measures taken against air pollution)
2.2.11.1 Thiết bị tuần hoàn khí cac-te (mô tả và các bản vẽ) (Device for recycling crankcase gases (description and drawings)): ……………………
2.2.11.2. Các thiết bị kiểm soát ô nhiễm bổ sung (nếu có, và nếu không được nêu tại mục khác)
(Additional pollution control devices (if any, and if not covered by another heading))
a) Bộ chuyển đổi xúc tác: Có/Không(1) (Catalytic converter: Yes/No)
Số lượng bộ chuyển đổi xúc tác và các bộ phận (Number of catalytic converters and elements): ……………………
Kích thước và hình dáng các bộ chuyển đổi xúc tác (thể tích,.....) (6) (Dimensions and shape of the catalytic converter(s)(volume,...)): ……………………
Kiểu phản ứng xúc tác (6) (Type of catalytic action) : ……………………
Tổng lượng nạp của kim loại quí (6) (Total charge of precious metal) : ……………………
Nồng độ tương đối (6) (Relative concentration): ……………….……
Lõi bộ xúc tác (cấu trúc và vật liệu) (6) (Substrate (structure and material)) : ……………
Mật độ lỗ (Cell density) (6): ……………………
Kiểu vỏ bọc các bộ chuyển đổi xúc tác (6) (Type of casing for catalytic converter(s)) ……
- Vị trí các bộ chuyển đổi xúc tác (chỗ lắp và các khoảng cách tham chiếu trong hệ thống xả): (Positioning of the catalytic converter(s) (place and reference distances in the exhaust system)) ……………………
- Hệ thống/phương pháp tái sinh hệ thống xử lý sau xả, mô tả (Regeneration systems/method of exhaust after-treatment systems, description) ……………………
Số lượng chu trình của phép thử loại 1 hoặc số chu trình trên băng thử động cơ tương đương, giữa hai chu trình tái sinh trong những điều kiện tương đương với phép thử loại 1 (đoạn D trong hình 1, Phụ lục 12) (The number of Type I operating cycles, or equivalent engine test bench cycles, between two cycles where regenerative phases occur under the conditions equivalent to Type I test (Distance "D" in figure 1 in Annex 12):………...
Mô tả phương pháp xác định số lượng chu trình thử giữa hai chu trình tái sinh (Description of method employed to determine the number of cycles between two cycles where regenerative phases occur): ……………………
Các thông số xác định mức chứa chất thải yêu cầu trước khi diễn ra quá trình tái sinh (VD: nhiệt độ, áp suất v.v...) (Parameters to determine the level of loading required before regeneration occurs (i.e.: temperature, pressure etc.): ……………………
Mô tả phương pháp được sử dụng để chất tải cho hệ thống trong quy trình thử được mô tả chi tiết trong mục 3.1, Phụ lục 12 (Description of method used to load system in the test procedure described in paragraph 3.1. Annex 12): ……………………
- Cảm biến ôxy - kiểu (Oxygen sensor: type) (6) ……………………
Vị trí lắp cảm biến ôxy (6): (Location of oxygen sensor): ……………………
Dải kiểm soát của cảm biến ôxy (6): (Control range of oxygen sensor): ……………………
b) Phun không khí: Có/Không (1) (Air injection: Yes/No)
Kiểu (không khí phun kiểu xung, bơm không khí,...) (Type (pulse air, air pump,...)) ……
c) Tuần hoàn khí thải (EGR): Có/Không (1) (EGR exhaust gas recycle: Yes/No)
Các đặc điểm: (lưu lượng..) (Characteristics: flow...)
d) Hệ thống kiểm soát bay hơi nhiên liệu. Mô tả chi tiết hoàn chỉnh các thiết bị và trạng thái điều chỉnh của chúng (Evaporative emission control system. Complete detailed description of the devices and their state of tune): ……………………
Bản vẽ hệ thống kiểm soát bay hơi(6) (Drawing of the evaporative control system) ………
Bản vẽ hộp các bon (6) (Drawing of the carbon canister) ……………………
Bản vẽ thùng nhiên liệu có chỉ rõ dung tích và vật liệu (Drawing of the fuel tank with indication of capacity and material) ……………………
e) Lọc hạt: Có/Không (1) (Particulate trap: Yes/No)
Kích thước và hình dáng lọc (dung tích) (6) (Dimensions and shape of the particulate trap (capacity)): ……………………
Kiểu lọc và kết cấu (6): (Type of particulate trap and design) ……………………
Vị trí lắp lọc (các khoảng cách tham chiếu trong hệ thống xả) (Location of the particulate trap (reference distances in the exhaust system)): ……………………
Hệ thống/phương pháp tái sinh lọc hạt. Mô tả và bản vẽ (Regeneration system/method. Description and drawing): ……………………
- Hệ thống/phương pháp tái sinh hệ thống xử lý sau xả, mô tả (Regeneration systems/method of exhaust after-treatment systems, description) ……………………
Số lượng chu trình của phép thử loại 1 hoặc số chu trình trên băng thử động cơ tương đương, giữa hai chu trình tái sinh trong những điều kiện tương đương với phép thử loại 1 (đoạn D trong hình 1, Phụ lục 12) (The number of Type I operating cycles, or equivalent engine test bench cycles, between two cycles where regenerative phases occur under the conditions equivalent to Type I test (Distance "D" in figure 1 in Annex 12): …………
Mô tả phương pháp xác định số lượng chu trình thử giữa hai chu trình tái sinh (Description of method employed to determine the number of cycles between two cycles where regenerative phases occur): ……………………
Các thông số xác định mức chứa chất thải hạt yêu cầu trước khi diễn ra quá trình tái sinh (VD: nhiệt độ, áp suất v.v...) (Parameters to determine the level of loading required before regeneration occurs (i.e. temperature, pressure etc.): ……………………
f) Các hệ thống khác (mô tả và vận hành) (Other systems (description and working)) ……
Chúng tôi cam kết bản khai này phù hợp với kiểu loại xe đã đăng ký kiểm tra và chịu trách nhiệm hoàn toàn về các vấn đề phát sinh do khai sai hoặc khai không đủ nội dung trong bản khai này (We undertake that this declaration document is in compliance with vehicle type for type approval and we are full responsible for matter caused by wrong or lack content in this declaration).
Ngày.......tháng.......năm......
(Date)
Tổ chức/cá nhân lập bản khai (Applicant)
(Ký tên, đóng dấu (Signature, stamp))
Chú thích:
(1) Gạch phần không áp dụng (Strike out what does not apply).
(2) Kèm theo quy định dung sai (Specify the tolerance).
(3) Giá trị này phải được làm tròn tới chữ số th ập phân hàng phần mười của 1 mm (This value must be rounded off to the nearest tenth of a millimetre) .
(4) Giá trị này phải được tính với 3,1416 và được làm tròn tới cm3 (This value must be calculated with = 3,1416 and rounded off, to the nearest cm3).
(5) Thiết bị được sử dụng để làm mát khí nạp của động cơ tăng áp (Equipment is used to reduce the inlet air temperatures of the turbocharged engine).
(6) Không áp dụng cho xe nhập khẩu (Not apply for imported vehicles).
PHỤ LỤC 2
(Đối với xe áp dụng TCVN 6785)
(Annex 2 - For vehicles applying TCVN 6785)
Báo cáo thử nghiệm khí thải xe
(Test report of emission from vehicle)
1. Xe (Vehicles)
1.1. Loại (Category of the vehicle): ………………………..
1.2. Nhãn hiệu (Trade name or mark of the vehicle): ……………………………….
1.3. Kiểu (số) loại (Vehicle type or model code): ……………………………..
1.3.1. Số nhận dạng xe (VIN): ............................................................
1.4. Động cơ (Engine)
1.4. 1. Nhãn hiệu (Trade name or mark of the engine): ……………………………..
1.4. 2. Kiểu (số) loại động cơ (Engine type or engine code): …………………………
1.4.3. Số động cơ (Engine number): ……………………………………..
1.5. Tên và địa chỉ cơ sở nhập khẩu (Importer's name and address): ………………………….
1.6. Tên và địa chỉ cơ sở SXLR (Manufacturer's name and address): ……………………
1.7. Khối lượng bản thân xe (Unladen mass of the vehicle): ………………….. kg
1.8. Khối lượng chuẩn xe (Reference mass of the vehicle): ……………………… kg
1.9. Khối lượng toàn bộ lớn nhất của xe (Maximum mass of the vehicle): ……………. kg
1.10. Số chỗ ngồi (kể cả lái xe) (Number of seats (including the driver)): …………………
1.11. Truyền động (Transmission)
1.11.1. Truyền động: điều khiển bằng tay hoặc tự động hoặc vô cấp hoặc khác: ……………
(Manual/automatic/continuously variable transmission/other)
1.11.2. Số lượng tỷ số truyền (Number of gear ratios): ………………..
1.11.3. Tỷ số truyền của hộp số (Transmission ratio of gearbox):
Số 1 (First gear): ……………..……
Số 2 (Second gear): ………………….
Số 3 (Third gear): …………………..
Số 4 (Fourth gear): …………………
Số 5 (Fifth gear): ………………….
Số 5 (Sixth gear): …………………..
…………………………………………………
Số lùi (Reserve) ……………………
- Đối với hộp số vô cấp CVT (For CVT - continuously variable transmission)
Lớn nhất (Max)……………………….
Nhỏ nhất (Min) ……………………….
1.11.4. Tỷ số truyền cuối cùng (Final drive ratio): ……………………..
1.11.5. Lốp (Tyres):
- Ký hiệu kích cỡ lốp (Dimensions):
Trục 1 (Axle 1): ...............
Trục 2 (Axle 2).................
- Chu vi vòng lăn động lực học (Dynamic rolling circumference):
Nhỏ nhất (Min): ................... mm, Lớn nhất (Max): ....................... mm
1.11.6. Bánh chủ động: trước, sau, 4 x 4 (Wheel drive: front, rear, 4 x 4):……………………….
1.12. Xe nộp để thử nghiệm (Vehicle submitted for test on): …………………………
1.13. Số kỳ làm việc của động cơ (Cycle): ……………………………
1.14. Dung tích xi lanh (Cylinder capacity): ……………………… cm3
1.15. Thiết bị kiểm soát ô nhiễm bổ sung (nếu có) (Additional control pollution devices (if any):
1.15.1. Loại thiết bị (Kind of device):
1.15.1.1. Tuần hoàn khí thải (Exhaust gas recirculation- EGR): Có/Không (Yes/No)
1.15.1.2. Bộ chuyển đổi xúc tác (Catalystic converter): Có/Không (Yes/No)
- Hệ thống tái sinh (Regeneration systems): Có/Không (Yes/No)
1.15.1.3. Phun không khí (Air injection): Có/Không (Yes/No)
1.15.1.4. Hệ thống kiểm soát bay hơi (Evaporative emission control system): Có/Không (Yes/No)
1.15.1.5. Lọc hạt (Particulate trap): Có/Không (Yes/No)
- Hệ thống tái sinh (Regeneration systems): Có/Không (Yes/No)
1.15.1.6. Kiểu khác (Other ): Có/Không (Yes/No)
1.15.2. Mô tả vị trí lắp đặt thiết bị (Description of instalation position): …………………………..
1.16. Hệ thống cung cấp nhiên liệu (Fuel feed system):
1.16.1. Bằng bộ chế hòa khí (By carburetor(s)):
- Nhãn hiệu (Make or mark): ...........................................................................................
- Kiểu (Type): ..................................................................................................................
1.16.2. Bằng hệ thống phun nhiên liệu (By injection): Có/Không (Yes/No)
1.16.2.1. Đối với động cơ cháy cưỡng bức (For positive-ignition engine)
- Nhãn hiệu (Make or mark): ……………………………
- Kiểu (Type): …………………………………..
- Mô tả chung (General description): ……………………………….
1.16.2.2. Đối với động cơ cháy do nén (For compression-ignition engine)
- Nhãn hiệu bơm cao áp (Make or mark): ……………………………
- Kiểu loại bơm cao áp (Type): …………………………………..
- Mô tả chung (General description): ……………………………….
1.16.3. Nhiên liệu thử nghiệm, bao gồm thông số về đặc tính nhiên liệu (Testing fuel including specifications for fuel): ………………………………………
1.16.4. Phương pháp chỉnh đặt băng thử (Method of setting dynamometer): …………………….
1.17. Thiết bị tăng áp (Supercharging equipment): Có/Không (Yes/No)
1.18. Tốc độ không tải của động cơ (Idling engine speed ) …………… r/min
1.18.1. Tốc độ không tải cao của động cơ (High idling engine speed ) ….. r/min
1.19. Tốc độ động cơ tại công suất lớn nhất (Engine speed at maximum power): … r/min
1.20. Công suất lớn nhất (Maximum power): ……………….. kW
2. Kiểm tra khí thải (Emission test):
2.1. Quy chuẩn áp dụng (Applied regulation): ……………………………..
2.2. Kết quả kiểm tra (Test results)
a) Phép thử loại I (Type I)
|
Khí thải (Gaseous pollutants) |
Hệ số suy giảm (Deterio-ration factor) |
Hệ số Ki (Ki factor) |
Giá trị giới hạn - Mức 4 (Limits Level 4) |
Kết quả đo (Results) (a) |
Kết luận (Conclusion) |
|||
|
Lần 1 (No.1) |
Lần 2 (No.2) |
Lần 3 (No.3) |
Trung bình (Mean) |
|||||
|
CO (g/km) |
|
|
|
|
|
|
|
Đạt/Không đạt (Pass/Failure) |
|
HC (g/km) |
|
|
|
|
|
|
|
Đạt/Không đạt (Pass/Failure) |
|
NOx (g/km) |
|
|
|
|
|
|
|
Đạt/Không đạt (Pass/Failure) |
|
HC + NOx (g/km) |
|
|
|
|
|
|
|
Đạt/Không đạt (Pass/Failure) |
|
PM (g/km) |
|
|
|
|
|
|
|
Đạt/Không đạt (Pass/Failure) |
|
Chú thích: (a) Kết quả đo của mỗi lần đo trong bảng này bằng giá trị đo tương ứng nhân với hệ số suy giảm tương ứng của từng chất, từng loại động cơ và nhân tiếp hệ số Ki. (Results in this calculated with Ki factor and deterioration factor) |
||||||||
|
D - Số lượng chu trình thử giữa 2 chu trình tái sinh (D - Number of operating cycles between 2 cycles where regenerative phases occur) |
|
|
d - Số lượng chu trình thử được yêu cầu để tái sinh (d - Number of operating cycles required for regeneration) |
|
b) Phép thử loại II (Type II):
CO:..................% thể tích (% in volume)
Tốc độ động cơ khi đo (Engine speed when measuring):……….... r/min
c) Phép thử loại III (Type III): Đánh giá kết quả đo áp suất ở các điều kiện (trạng thái) thử quy định tại mục F.3.2 Phụ lục F TCVN 6785 (Hoặc theo mục 3.2 Phụ lục 6 ECE 83). (Evaluating the measurement results of pressures at measurement conditions specified in paragraph F.3.2, Annex F, TCVN 6785 (or paragraph 3.2, Annex 6, ECE 83))
d) Phép thử loại IV (Type IV):
|
Phép đo (Test) |
HC (g/lần thử) (g/test) |
Giá trị giới hạn (Limit) (g/test) |
Kết luận (Conclusion) |
|
Thoát ra từ thùng nhiên liệu (Tank breath loss) |
-- |
-- |
-- |
|
Thoát ra do xe ngấm nóng (Hot soak loss) |
-- |
-- |
-- |
|
Tổng lượng nhiên liệu bay hơi (Total loss of evaporative fuel) |
-- |
2 |
-- |
3. Chú ý (Remark): Kết quả kiểm tra trong mục 2.2 chỉ đúng cho xe mẫu có số nhận dạng và số động cơ nêu trong báo cáo này. (The results of the test in item 2.2 refer exclusively to sample vehicle with VIN and engine number mentioned in this report).
|
|
…, ngày ….. tháng …… năm ……. (Date) |
PHỤ LỤC 3
(Đối với xe áp dụng TCVN 6567)
(Annex 3 - For vehicles applying TCVN 6567)
Các thông số kỹ thuật chính của động cơ và thông tin liên quan đến thực hiện phép thử EURO 4 (1)
(Essential characteristics of engine and information concerning the conduct of EURO 4 test)
1. Mô tả động cơ (Description of engine)
1.1. Nhà sản xuất (Manufacturer): ……………………
1.1.1. Tên và địa chỉ cơ sở chế tạo động cơ (Name and address of engine manufacturer):…
1.1.2. Tên và địa chỉ cơ sở SXLR/Tổ chức, cá nhân nhập khẩu (Name and address of manufacturer/Importer): ……………………
1.2. Mã động cơ của cơ sở SXLR (như được ghi nhãn trên động cơ hoặc bằng các phương pháp nhận dạng khác): (Manufacturer's engine code (as marked on the engine, or other means of identification)): ……………………
1.2.1. Nhãn hiệu động cơ (Trade name/Mark or Make of engine): ……………………
1.2.2. Kiểu (số) loại động cơ (Engine type/Model code/Engine model): ……………………
1.2.3. Số động cơ (engine number): ……………………
1.3. Số kỳ (Stroke): 4 kỳ/2 kỳ(2) (Four stroke/Two stroke)): ……………………
1.4. Số lượng và bố trí xi lanh (Number and arrangement of cylinders): ……………………
1.4.1. Đường kính lỗ xy lanh (Bore): …………………… mm
1.4.2. Hành trình pit-tông (Stroke): …………………… mm
1.4.3. Thứ tự nổ (Firing order): ……………………
1.5. Dung tích động cơ (Engine capacity): …………………… cm3
1.6. Tỷ số nén (Volumetric compression ratio): ……………………
1.7. Các bản vẽ mô tả buồng cháy và đỉnh pittông (Drawings of combustion chamber and piston crown): ……………………
1.8. Diện tích mặt cắt ngang nhỏ nhất của các cửa nạp và cửa xả (Minimum cross-sectional area of inlet and outlet ports): …………………… cm2
1.9. Tốc độ không tải (Idling speed): ……………… r/min
1.10. Công suất hữu ích lớn nhất (Maximum net power): …………………… kW
tại (at) …………………… r/min
1.11. Tốc độ cho phép lớn nhất (Maximum permitted engine speed): ……………… r/min
1.12. Mô men xoắn lớn nhất (Maximum net torque): …………………… Nm
tại (at) …………………… r/min
1.13. Mô tả hệ thống cháy (Combustion system description): Cháy do nén/Cháy cưỡng bức(2) (Compression ignition/Spark ignition) ……………………
1.14. Nhiên liệu: Nhiên liệu điêzen/LPG/NG/khác(2) (Fuel: Diesel/LPG/NG/others): ….…
1.15. Hệ thống làm mát (Cooling system):
1.15.1. Làm mát bằng chất lỏng (Liquid): ……………………
1.15.1.1. Loại chất lỏng (Nature of liquid): ……………………
1.15.1.2. Bơm tuần hoàn : Có/Không(2) (Circulating pump(s): Yes/No) ……………………
1.15.1.3. Đặc tính hoặc nhãn hiệu và kiểu bơm (Nếu dùng bơm tuần hoàn) (Characteristics or Make(s) or mark and type(s) (if applicable)): ……………………
1.15.1.4. Tỉ số truyền (nếu dùng bơm tuần hoàn) (Drive ratio(s) (if applicable)): …………………
1.15.2. Làm mát bằng không khí (Air)
1.15.2.1. Quạt gió: Có/Không(2) (Blower: Yes/No): ……………………
1.15.2.2. Đặc điểm hoặc nhãn hiệu và kiểu quạt (nếu dùng quạt gió) (Characteristics or make(s) or mark and type(s) (if applicable): ……………………
1.15.2.3. Tỉ số truyền (nếu có thể áp dụng) (Drive ratio(s) (if applicable)): ……………………
1.16. Nhiệt độ cho phép bởi cơ sở SXLR (Temperature permitted by the manufacturer):
1.16.1. Làm mát bằng chất lỏng: Nhiệt độ lớn nhất ở đường ra (Liquid cooling: Maximum temperature at outlet): ……………………oC
1.16.2. Làm mát bằng không khí (Air cooling)
Điểm chuẩn (Reference point): ……………………
Nhiệt độ lớn nhất tại điểm chuẩn (Maximum temperature at reference point):………oC
1.16.3. Nhiệt độ lớn nhất của không khí nạp tại đầu ra của bộ làm mát khí nạp (Nếu có)
Maximum temperature of the air at the outlet of the intake intercooler (if applicable): …………………… oC
1.16.4. Nhiệt độ khí thải lớn nhất tại điểm trong (các) ống xả ở sát (các) mặt bích ngoài của (các) ống góp khí thải/tua bin tăng áp (Maximum exhaust temperature at the point in the exhaust pipe(s) adjacent to the outer flange(s) of the exhaust manifold(s)/ turbocharger)): ……………………oC
1.16.5. Nhiệt độ nhiên liệu (Đối với động cơ cháy do nén đo tại đầu vào của bơm cao áp, và đối với các động cơ khí tại mức (cấp) cuối cùng của bộ điều chỉnh áp suất) (Fuel temperature (For C.I. engine at the injection pump inlet, for gas fuelled engines at pressure regulator final stage)).
Nhỏ nhất (Min): ……………………oC
Lớn nhất (Max): ……………………oC
1.16.6. Đối với các động cơ khí thiên nhiên: áp suất nhiên liệu tại mức (cấp) cuối cùng của bộ điều chỉnh áp suất (bộ giảm áp) (For NG engines: fuel pressure at pressure regulator final stage)
Nhỏ nhất (Min): …………………… kPa
Lớn nhất (Max): …………………… kPa
1.16.7. Nhiệt độ dầu bôi trơn (Lubricant temperature)
Nhỏ nhất (Min): ……………………oC
Lớn nhất (Max): ……………………oC
1.17. Thiết bị tăng áp: Có/Không(2) (Pressure charger: Yes/No) ……………………
1.17.1. Nhãn hiệu (Make(s) or mark): ……………………
1.17.2. Kiểu (Type(s)): ……………………
1.17.3. Mô tả hệ thống (ví dụ: áp suất nạp lớn nhất, tổn thất (nếu có)) (Description of the system (e.g. max. charge pressure, wastegate, if applicable)) ……………………
1.17.4. Bộ làm mát khí nạp: Có/Không(2) (Intercooler: Yes/No) ……………………
1.18. Hệ thống nạp: Độ giảm áp suất nạp cho phép lớn nhất tại tốc độ động cơ danh định và 100% tải như quy định trong và dưới các điều kiện hoạt động của TCVN 6565:2006 (Intake system: Maximum allowable intake depression at rated engine speed and at 100 per cent load as specified in and under the operating conditions of TCVN 6565:2006): …………………… kPa
1.19. Hệ thống xả: Áp suất trong đường ống xả cho phép lớn nhất ở tốc độ động cơ danh định và tại 100% tải như quy định trong và dưới các điều kiện hoạt động của TCVN 6565:2006 (Exhaust system: Maximum allowable exhaust back-pressure at rated engine speed and at 100 per cent load as specified in and under the operating conditions of TCVN 6565:2006): ………………… kPa
Thể tích hệ thống xả (Exhaust system volume): …………………… dm3
1.20. Bộ điều khiển điện tử của động cơ (tất cả các loại động cơ) (Engine electronic control unit (EECU) (all engine types)): ……………………
1.20.1. Nhãn hiệu (Mark): ……………………
1.20.2. Kiểu loại (Type): ……………………
1.20.3. Số lượng phần mềm hiệu chuẩn (Software calibration number(s)): ……………………
2. Các biện pháp chống ô nhiễm không khí (Measures taken against air pollution):
2.1. Thiết bị quay vòng khí các-te (mô tả và bản vẽ) (Device for recycling crankcase gases (description and drawings)): ……………………
2.2. Các thiết bị kiểm soát ô nhiễm bổ sung (nếu có, và nếu không thì được viết bằng một tên khác) (Additional pollution control devices (if any, and if not covered by another heading):
2.2.1. Bộ chuyển đổi xúc tác (Catalytic converter): Có/Không(2) (Yes/No) ……………………
2.2.1.1. Nhãn hiệu (Make(s) or Mark): ……………………
2.2.1.2. Kiểu Type(s): ……………………
2.2.1.3. Số lượng bộ chuyển đổi xúc tác và các bộ phận (Number of catalytic converters and elements): ……………………
2.2.1.4. Kích thước và hình dáng các bộ chuyển đổi xúc tác (thể tích,.....)(Dimensions and shape of the catalytic converter(s) (volume,...)): ……………………
2.2.1.5. Kiểu phản ứng xúc tác (Type of catalytic action): ……………………
2.2.1.6. Tổng lượng nạp kim loại quí (Total charge of precious metal): ……………………
2.2.1.7. Mật độ tương đối (Relative concentration): ……………………
2.2.1.8. Lõi bộ xúc tác (cấu trúc và vật liệu) (Substrate structure and material)):
2.2.1.9. Mật độ lỗ (Cell density): ……………………
2.2.1.10. Kiểu vỏ bọc các bộ chuyển đổi xúc tác (Type of casing for catalytic converter(s)):……
2.2.1.11. Vị trí lắp các bộ chuyển đổi xúc tác (vị trí và các khoảng cách tham chiếu trong hệ thống xả) (Positioning of the catalytic converter(s) (place and reference distances in the exhaust system)): ……………………
2.2.1.12. Dải nhiệt độ hoạt động bình thường (Normal operating temperature range): ……… oC
2.2.1.13. Các chất xúc tác có thể tiêu hao (nếu có) (Consumable reagents (where appropriate):
2.2.1.14. Tần xuất bổ sung chất xúc tác: Liên tục/kỳ bảo dưỡng (Frequency of reagent refill continuous/maintenance) ……………………
2.2.2. Cảm biến ôxy - kiểu: Có/Không(2) (Oxygen sensor - type: Yes/No): ……………………
2.2.2.1. Nhãn hiệu (Make(s) or Mark): ……………………
2.2.2.2. Kiểu (Type(s)): ……………………
2.2.2.3. Vị trí lắp cảm biến ôxy (Location of oxygen sensor): ……………………
2.2.3. Phun không khí: Có/Không(2) (Air injection: Yes/No): ……………………
2.2.3.1. Kiểu (không khí phun kiểu xung, bơm không khí,...) (Type (pulse air, air pump,...)): …
2.2.4. EGR (tuần hoàn khí thải): Có/Không(2)(EGR exhaust gas recycle: Yes/ No): …………
2.2.4.1. Các đặc tính (Lưu lượng,..) (Characteristics (Flow,..)): ……………………
2.2.5. Lọc hạt: Có/Không(2) (Particulate trap: Yes/No): ……………………
2.2.5.1. Kích thước, hình dạng và dung tích của lọc hạt (Dimensions, shape and capacity of the particulate trap): ……………………
2.2.5.2. Kiểu và thiết kế của lọc hạt (Type and design of the particulate trap): …………………
2.2.5.3. Vị trí (khoảng cách chuẩn trong đường ống xả) (Location (reference distance in the exhaust line)): ……………………
2.2.5.4. Phương pháp hoặc hệ thống tái sinh, mô tả và/hoặc bản vẽ (Method or system of regeneration, description and/or drawing) : ……………………
2.2.5.5. Dải nhiệt độ (oC) và áp suất (kPa) hoạt động bình thường (Normal operating temperature (oC) and pressure (kPa) range): ……………………
2.2.5.6. Trong trường hợp tái sinh định kỳ (In case of periodic regeneration):
a) Số lượng chu trình thử ETC giữa hai lần tái sinh (n1) (Number of ETC test cycles between 2 regenerations (n1)): ……………………
b) Số lượng chu trình thử ETC trong quá trình tái sinh (n2) (Number of ETC test cycles during regeneration (n2)): ……………………
2.2.6. Các hệ thống khác: Có/Không(2) (Other systems: Yes/No): ……………………
2.2.6.1. Mô tả và sự làm việc (Description and working):
3. Cung cấp nhiên liệu (Fuel feed):
3.1. Động cơ điêzen (Diesel engine):
3.1.1. Bơm cung cấp (Feed pump): …………………… Áp suất(3)
(Pressure): ………….. hoặc đường đặc tính(2) (or characteristic diagram): …………kPa
3.1.2. Hệ thống phun (Injection system):
3.1.2.1. Bơm cao áp (Pump):
3.1.2.1.1. Nhãn hiệu (Make(s) or mark): …………………………………………………………
3.1.2.1.2. Kiểu (Type(s)): ……………………………………………………………………..……
3.1.2.1.3. Lượng nhiên liệu cấp cho mỗi hành trình hoặc chu trình khi phun ở toàn tải (3)
(Delivery per stroke or cycle at full injection): …………………… mm3
ở tốc độ bơm (at pump speed): …………………… r/min
hoặc đường đặc tính(2) (3) (or characteristic diagram): ………………….……………
Nêu phương pháp áp dụng: Trên động cơ/Trên băng thử bơm(1) (Mention the method used: On engine/On pump bench): ……………………………………………………
Nếu có điều khiển tăng áp, nêu đặc tính cung cấp nhiên liệu và áp suất tăng áp theo tốc độ động cơ (If boost control is supplied, state the characteristic fuel delivery and boost pressure versus engine speed): …………………… kPa
3.1.2.1.4. Phun sớm (Injection advance):
a) Đặc tính phun sớm(3) (Injection advance curve): …………………………….………
b) Thời điểm phun ở trạng thái tĩnh(3)(Static injection timing): …………………………
3.1.2.2. Đường ống cao áp (Injection piping):
3.1.2.2.1. Độ dài (Length): …………………… mm
3.1.2.2.2. Đường kính trong (Internal diameter): …………………… mm
3.1.2.2.3. Ống tích áp, nhãn hiệu và kiểu loại (Common rail, make and type): ……………………
3.1.2.3. Vòi phun (Injector(s)):
3.1.2.3.1. Nhãn hiệu (Make(s) or mark): ……………………
3.1.2.3.2. Kiểu (Type(s)): ……………………
3.1.2.3.3. Áp suất phun (Opening pressure): …………………… kPa(3)
hoặc đường đặc tính(2) (3) (or characteristic diagram): ……………………
3.1.2.4. Bộ điều tốc (Governor):
3.1.2.4.1. Nhãn hiệu (Make(s) or mark): ……………………
3.1.2.4.2. Kiểu (Type(s)): ……………………
3.1.2.4.3. Tốc độ điều tốc bắt đầu làm việc ở toàn tải (Speed at which cut-off starts under full load): …………………… r/min
3.1.2.4.4. Tốc độ không tải lớn nhất (Maximum no-load speed): ……… r/min
3.1.2.4.5. Tốc độ không tải (Idling speed): ……………… r/min
3.1.3. Hệ thống khởi động ở trạng thái nguội (Cold start system):
3.1.3.1. Nhãn hiệu (Make(s) or mark): ……………………
3.1.3.2. Kiểu (Type(s)): ……………………
3.1.3.3. Mô tả (Description): ……………………
3.1.3.4. Thiết bị phụ hỗ trợ khởi động (Auxiliary starting aid):
a) Nhãn hiệu (Make(s) or mark): ……………………
b) Kiểu (Type(s)): ……………………
3.2. Động cơ dùng nhiên liệu khí(4) (Gas fuelled engines):
3.2.1. Nhiên liệu: NG/LPG(2) (Fuel: Natural gas/LPG): ……………………
3.2.2. Bộ giảm áp hoặc bộ hóa hơi/bộ giảm áp(2) (Pressure regulator(s) or vaporiser/pressure regulator(s)):
3.2.2.1. Nhãn hiệu (Make(s) or mark): ……………………
3.2.2.2. Kiểu (Type(s)): ……………………
3.2.2.3. Số lượng giai đoạn giảm áp (Number of pressure reduction stages): …………………
3.2.2.4. Áp suất ở cấp cuối cùng (Pressure in the final stage):
Lớn nhất (Max): …………………… kPa
Nhỏ nhất (Min): …………………… kPa
3.2.2.5. Số điểm điều chỉnh chính (Number of main adjustment points): ……………………
3.2.2.6. Số điểm điều chỉnh không tải (Number of idle adjustment points): …………………
3.2.2.7. Số chứng nhận (Certification number): ……………………
3.2.3. Hệ thống nhiên liệu: Thiết bị trộn/phun khí/phun chất lỏng/phun trực tiếp(2) (Fuel system: Mixing unit/gas injection/liquid injection/direct injection): ……………………
3.2.3.1. Điều chỉnh nồng độ hỗn hợp (Mixture strength regulation): ……………………
3.2.3.2. Mô tả hệ thống và/hoặc sơ đồ và bản vẽ (System description and/or diagram and drawings): ……………………
3.2.3.3. Số chứng nhận (Certification number): ……………………
3.2.4. Thiết bị trộn (Mixing unit):
3.2.4.1. Số lượng (Number): ……………………
3.2.4.2. Nhãn hiệu (Make(s) or mark): ……………………
3.2.4.3. Kiểu (Type(s)): ……………………
3.2.4.4. Vị trí (Location): ……………………
3.2.4.5. Khả năng điều chỉnh (Adjustment possibilities): ……………………
3.2.4.6. Số chứng nhận (Certification number): ……………………
3.2.5. Phun ống nạp (Inlet manifold injection):
3.2.5.1. Phun: Đơn điểm/Nhiều điểm(2) (Injecyon: Single/Multi-point):……………………
3.2.5.2. Phun: Liên tục/Đồngthời/Theo giai đoạn(2) (Injection: Continuous/Simultaneously timed/ Sequentially timed): ……………………
3.2.5.3. Thiết bị phun (Injection equipment):
3.2.5.3.1. Nhãn hiệu (Make(s) or mark): ……………………
3.2.5.3.2. Kiểu (Type(s)): ……………………
3.2.5.3.3. Khả năng điều chỉnh (Adjustment possibilities): ……………………
3.2.5.3.4. Số chứng nhận (Certification number): ……………………
3.2.5.4. Bơm cung cấp (nếu có) (Supply pump (if applicable)): …………..
3.2.5.4.1. Nhãn hiệu (Make(s) or mark): ……………………
3.2.5.4.2. Kiểu (Type(s)): ……………………
3.2.5.4.3. Số chứng nhận (Certification number): ……………………
3.2.5.5. Vòi phun (Injector(s)):
3.2.5.5.1. Nhãn hiệu (Make(s) or mark): ……………………
3.2.5.5.2. Kiểu (Type(s)): ……………………
3.2.5.5.3. Số chứng nhận (Certification number): ……………………
3.2.6. Phun trực tiếp (Direct injection):
3.2.6.1. Bơm phun/Bộ giảm áp(2) (Injection pump/Pressure regulator):……………………
3.2.6.1.1. Nhãn hiệu (Make(s) or mark): ……………………
3.2.6.1.2. Kiểu (Type(s)): ……………………
3.2.6.1.3. Thời điểm phun (Injection timing): ……………………
3.2.6.2. Vòi phun (Injector(s)): ……………………
3.2.6.2.1. Nhãn hiệu (Make(s) or mark): ……………………
3.2.6.2.2. Kiểu (Type(s)): ……………………
3.2.6.2.3. Áp suất phun/đặc tính(3) (Opening pressure or characteristic diagram) : ……………
3.2.6.2.4. Số chứng nhận (Certification number): ……………………
3.2.7. Bộ điều khiển điện tử (Electronic control unit (ECU)):
3.2.7.1. Nhãn hiệu (Make(s) or mark): ……………………
3.2.7.2. Kiểu (Type(s)): ……………………
3.2.7.3. Khả năng điều chỉnh (Adjustment possibilities): ……………………
3.2.8. Thiết bị riêng của nhiên liệu NG (NG fuel-specific equipment):
3.2.8.1. Phương án 1 (Dành cho trường hợp phê duyệt động cơ đối với một vài thành phần nhiên liệu cụ thể) (Variant 1 (Only in the case of approvals of engines for several specific fuel compositions))
3.2.8.1.1. Thành phần nhiên liệu (Fuel composition):
Mêtan(CH4): cơ bản (basis) … %mol nhỏ nhất (min) … %mol lớn nhất (max)…… %mol
Êtan (C2H6): cơ bản (basis) … %mol nhỏ nhất (min) … %mol lớn nhất (max) …… %mol
Prôpan (C3H8): cơ bản (basis) … %mol nhỏ nhất (min) … %mol lớn nhất (max) …. %mol
Butan (C4H10): cơ bản (basis)… % mol nhỏ nhất (min) … %mol lớn nhất (max) .… %mol
C5/C5+: cơ bản (basis) … %mol nhỏ nhất (min) … %mol lớn nhất (max) ……… %mol
Ô xy (O2): cơ bản (basis) … %mol nhỏ nhất (min) … %mol lớn nhất (max) …… %mol
Khí trơ (N2, He): cơ bản (basis) … %mol nhỏ nhất (min) … %mol lớn nhất (max) … %mol
3.2.8.1.2. Vòi phun (Injector(s)):
a) Nhãn hiệu (Make(s) or mark): ……………………
b) Kiểu (Type(s)): ……………………
c) Các bộ phận khác (nếu có) (Others (if applicable)): ……………………
3.2.8.2. Phương án 2 (Dành cho trường hợp phê duyệt một vài thành phần nhiên liệu cụ thể)
(Variant 2 (Only in the case of approvals for several specific fuel compositions)
4. Xác định thời điểm đóng/mở xupáp (Valve timing):
4.1. Độ nâng lớn nhất của các xupáp và các góc mở và đóng xupáp theo các điểm chết hoặc số liệu tương đương (Maximum lift of valves and angles of opening and closing in relation to dead centres or equivalent data): ……………………
4.2 Các khoảng chuẩn và/hoặc khoảng chỉnh đặt(2) ( Reference and/or setting ranges): …
5. Hệ thống đánh lửa (Động cơ cháy cưỡng bức) (Ignition system (Spark ignition engines only)):
5.1. Kiểu hệ thống đánh lửa: Cuộn dây đánh lửa và bu-gi chung/cuộn dây đánh lửa và bu-gi riêng biệt/cuộn dây trên bu-gi/kiểu khác (chỉ rõ) (Ignition system type common coil and plugs/individual coil and plugs/coil on plug/other (specify)): …………………
5.2. Bộ đìêu khiển đánh lửa (Ignition control unit):
5.2.1. Nhãn hiệu (Make or mark): ……………………
5.2.2. Kiểu (Type): ……………………
5.3. Đặc tính đánh lửa sớm/dữ liệu chuẩn của góc đánh lửa sớm(2) (3) (Ignition advance curve/advance map): ……………………
5.4. Thời điểm đánh lửa (3) (Ignition timing): .......... độ (degrees) trước điểm chết trên tại tốc độ (before TDC at a speed of) ……………… r/min và áp suất tuyệt đối tại cổ hút (and a MAP of) …………………… kPa
5.5. Bu-gi (Spark plugs):
5.5.1. Nhãn hiệu (Make or mark): ……………………
5.5.2. Kiểu (Type): ……………………
5.5.3. Chỉnh đặt khe hở bu-gi (Spark plug gap setting): …………………… mm
5.6. Cuộn dây đánh lửa (Ignition Coil):
5.6.1. Nhãn hiệu (Make or mark): ……………………
5.6.2. Kiểu (Type) : ……………………
6. Thiết bị do động cơ dẫn động (Engine- driven equipment):
Động cơ thử phảI có trang bị phụ cần thiết cho động cơ hoạt động (ví dụ quạt, bơm nước…..) như quy định và trong điều kiện hoạt động nêu tại TCVN 6565:2006 (The engine must be submitted for testing with the auxiliaries needed for operating the engine (e.g. fan, water pump, etc.), as specified in and under the operating conditions of TCVN 6565:2006)
6.1. Thiết bị phụ được lắp vào để thử nghiệm (Auxiliaries to be fitted for the test): ………
Nếu không thể hoặc không thích hợp để lắp thiết bị phụ lên băng thử thì phải xác định công suất hấp thụ bởi chúng và phải trừ công suất này ra khỏi công suất động cơ đo được trong toàn bộ miền làm việc của chu trình thử (If it is impossible or inappropriate to install the auxiliaries on the test bench, the power absorbed by them must be determined and subtracted from the measured engine power over the whole operating area of the test cycle(s)).
6.2. Thiết bị phụ được tháo ra để thử nghiệm (Auxiliaries to be removed for the test): ……
Các thiết bị phụ chỉ cần cho hoạt động của xe (ví dụ máy nén khí, hệ thống điều hòa…) phải được tháo ra để thử. Những chỗ không thể tháo được, có thể xác định công suất hấp thụ bởi chúng và được cộng vào công suất động cơ đo được trong toàn bộ miền làm việc của chu trình thử. (Auxiliaries needed only for the operation of the vehicle (e.g. air compressor, air conditioning system etc.) must be removed for the test. Where the auxiliaries can not be removed, the power absorbed by them may be determined and added to the measured engine power over the whole operating area of the test cycle(s)).
7. Thông tin bổ sung về điều kiện thử (Additional information on test condition):
7.1. Dầu bôi trơn được sử dụng (Lubricant used):
7.1.1. Nhãn hiệu (Make or mark): ……………………
7.1.2. Loại (Type): ……………………
(Tỉ lệ phần trăm công bố của dầu bôi trơn trong hỗn hợp dầu bôi trơn và nhiên liệu (State percentage of oil in mixture if lubricant and fuel are mixed)): ……………………
7.2. Thiết bị do động cơ dẫn động (nếu có) (Engine-driven equipment (if applicable)):……
Công suất hấp thụ bởi thiết bị phụ chỉ cần thiết được xác định nếu (The power absorbed by the auxiliaries needs only be determined):
- Các thiết bị phụ cần cho vận hành động cơ, không được lắp vào động cơ và/hoặc (if auxiliaries needed for operating the engine, are not fitted to the engine and/or)
- Các thiết bị phụ không cần cho vận hành động cơ, được lắp vào động cơ (if auxiliaries not needed for operating the engine, are fitted to the engine)
7.2.1. Đánh số và nhận dạng các chi tiết (Enumeration and identifying details): ……………
7.2.2. Công suất hấp thụ tại các tốc độ chỉ thị của động cơ (Theo quy định của cơ sở SXLR) (Power absorbed at indicated engine speeds (as specified by the manufacturer))
|
Thiết bị |
Công suất hấp thụ (kW) tại các tốc độ động cơ khác nhau (Equipment power absorbed (kW) at various engine speeds) |
||||||
|
Không tải (Idle speed) |
Thấp (Low speed) |
Cao (High speed) |
A(6) (Speed A) |
B(6) (Speed B) |
C(6) (Speed C) |
Chuẩn(7) (Ref. speed) |
|
|
P(a) Thiết bị phụ cần cho vận hành động cơ (được trừ đi khỏi công suất động cơ) (Auxiliaries needed for operating the engine (to be subtracted from measured engine power)) |
|
|
|
|
|
|
|
|
P(b) Thiết bị phụ không cần cho vận hành động cơ (được cộng vào công suất động cơ) (Auxiliaries not needed for operating the engine (to be added to measured engine power)) |
|
|
|
|
|
|
|
8. Đặc tính động cơ (Engine performence):
8.1. Tốc độ động cơ(5) (Engine speeds):
Tốc độ thấp (Low speed nlo): ………………… r/min
Tốc độ cao (High speed nhi): …………………… r/min
Đối với chu trình thử ESC và ELR (for ESC and ELR Cycles)
Không tải (Idle speed): ………………… r/min
Tốc độ A (Speed A): …………………… r/min
Tốc độ B (Speed B): …………………… r/min
Tốc độ C (Speed C): …………………… r/min
Đối với chu trình thử ETC (For ETC cycle):
Tốc độ chuẩn (Reference speed): …………………… r/min
8.2. Công suất động cơ (được đo theo TCVN 6565:2006) (Engine power: measured in accordance with the provisions of TCVN 6565:2006): ……………kW
|
|
Tốc độ động cơ (Engine speed) |
||||
|
|
Không tải (Idle speed) |
A(6) (Speed A) |
B(6) (Speed B) |
C(6) (Speed C) |
Chuẩn(7) (Ref. speed) |
|
P(m) Công suất được đo trên băng thử (Power measured on test bed) |
|
|
|
|
|
|
P(a) Công suất hấp thụ bởi thiết bị phụ được lắp khi thử (Power absorbed by auxiliaries to be fitted for test): - Nếu được lắp (If fitted). - Nếu không được lắp (If not fitted). |
|
|
|
|
|
|
P(b) Công suất hấp thụ bởi thiết bị phụ được lắp khi thử (Power absorbed by auxiliaries to be fitted for test): - Nếu được lắp (If not fitted). - Nếu không được lắp (If not fitted). |
|
|
|
|
|
|
P(n) Công suất hữu ích của động cơ (Engine net power): P(n) = P(m) - P(a)+ P(b) |
|
|
|
|
|
8.3. Chỉnh đặt băng thử động cơ (Dynamometer settings)
Các thông số chỉnh đặt băng thử cho thử ESC và ELR và cho chu trình chuẩn của thử ETC phảI dựa vào công suất hữu ích P(n) nêu trên. Nên lắp động cơ lên băng thử trong điều kiện đo được công suất hữu ích. Trong trường hợp này, P(m) và P(n) là một. Nếu không thể hoặc không thích hợp cho việc vận hành động cơ trong điều kiện đo được công suất hữu ích, các thông số chỉnh đặt băng thử phảI được hiệu chỉnh theo điều kiện đo được công suất hữu ích bằng cách sử dụng công thức trên.
(The dynamometer settings for the ESC and ELR tests and for the reference cycle of the ETC test must be based upon the net engine power P(n) of paragraph 8.2. It is recommended to install the engine on the test bed in the net condition. In this case, P(m) and P(n) are identical. If it is impossible or inappropriate to operate the engine under net conditions, the dynamometer settings must be corrected to net conditions using the above formula).
8.3.1. Thử ESC và ELR (ESC and ELR tests)
Các thông số chỉnh đặt băng thử phải được tính theo công thức trong mục G1.1.2
Phụ lục G1 Phụ lục G TCVN 6567:2006 (The dynamometer settings must be calculated according to the formula in annex G, appendix G1, paragraph G1.1.2 of TCVN 6567:2006).
|
Phần trăm tải (Per cent load) |
Tốc độ động cơ (Engine speed) |
|||
|
Không tải (Idle speed) |
A (Speed A) |
B (Speed B) |
C (Speed C) |
|
|
10 |
|
|
|
|
|
25 |
|
|
|
|
|
50 |
|
|
|
|
|
75 |
|
|
|
|
|
100 |
|
|
|
|
8.3.2. Thử ETC (ETC test)
Nếu động cơ không được thử trong điều kiện đo được công suất hữu ích thì công thức hiệu chỉnh để biến đổi công suất đo hoặc công chu trình được đo thành công suất hữu ích hoặc công chu trình hữu ích phải do nhà sản xuất động cơ quy định cho toàn bộ miền hoạt động của chu trình và được cơ sở thử nghiệm đồng ý. Công suất hoặc công chu trình này được xác định tại mục G2.2, Phụ lục G2, Phụ lục G của TCVN 6567:2006.
(If the engine is not tested under net conditions, the correction formula for converting the measured power or measured cycle work, as determined according to annex G appendix G2 paragraph G2.2 of TCVN 6567:2006, to net power or net cycle work must be submitted by the engine manufacturer for the whole operating area of the cycle, and approved by the technical service).
9. Các thông số động cơ cần thiết cho lắp đặt và thử
(Additional characteristics of the engine related to install on dyno and test)
9.1. Tốc độ nhỏ nhất của động cơ (Min. engine speed): ……………r/min
9.2. Chiều quay của động cơ (Direction of rotation of the engine): …………………
9.3. Áp suất nước làm mát lớn nhất tại đầu ra (Liquid cooling: max pressure at outlet): …………………………….. kPa
9.4. Nhiệt độ nước làm mát ở chế độ làm việc ổn định (Normal operating temp. of liquid cooling): ………………… oC
9.5. Áp suất dầu bôi trơn lớn nhất (Max lubricant pressure): ………………… kPa
9.6. Áp suất dầu bôi trơn nhỏ nhất (Min lubricant pressure) : ………………… kPa
9.7. Nhiệt độ dầu bôi trơn ở chế độ làm việc ổn định (Normal operating temp. of lubricant): ………………… oC
9.8. Mô men quán tính của động cơ và bánh đà (Rotating moment of inertia of the engine including flywheel): ………………… kgm2
Chúng tôi cam kết bản khai này phù hợp với kiểu loại xe, động cơ đã đăng ký kiểm tra và chịu trách nhiệm hoàn toàn về các vấn đề phát sinh do khai sai hoặc khai không đủ nội dung trong bản khai này (We undertake that this declaration document is in compliance with engine, vehicle type for type approval and we are full responsible for matter caused by wrong or lack content in this declaration).
|
|
Ngày.......tháng.......năm......(Date) |
Chú thích:
(1) Đối với động cơ và hệ thống không thông thường, các đặc điểm kỹ thuật tương đương với các đặc điểm nêu ở đây phảI do nhà sản xuất cung cấp (In the case of non-conventional engines and systems, particulars equivalent to those referred to here shall be supplied by the manufacturer);
(2) Gạch phần không áp dụng (Strike out what does not apply).;
(3) Quy định dung sai (Specify the tolerance);
(4) Đối với hệ thống được bố trí khác, phảI cung cấp thông tin tương đương (In the case of systems laid out in a different manner, supply equivalent information);
(5) Quy định dung sai; trong phạm vi ± 3% giá trị do nhà sản xuất công bố (Specify the tolerance; to be within ± 3% of the values declared by the manufacturer)
(6) Thử ESC (ESC test);
(7) Chỉ cho thử ETC (ETC test only).
PHỤ LỤC 4
(Đối với xe áp dụng TCVN 6567)
(Annex 4 - For vehicles applying TCVN 6567)
Báo cáo thử nghiệm khí thải động cơ
(Test report of emission from engine)
1. Tên và địa chỉ của cơ sở SXLR/Tổ chức, cá nhân nhập khẩu (Name and address of manufacturer/Importer): ………………………………….…..……………….
2. Động cơ (Engine):
2.1. Nhãn hiệu động cơ (Mark or make of engine): ………………………….…..……………….
2.2. Cơ sở sản xuất động cơ (Engine manufacture): ……………………………………….……..
2.3. Kiểu (số) loại động cơ (Engine type/Model code/Engine model): …………………………..
2.4. Số động cơ (Engine number): …………………………………………………………………..
2.5. Nguyên lý làm việc của động cơ (Engine working principle): ………………………………..
2.6. Số kỳ (Cycles): ………………………………………………………………………………..….
2.7. Số lượng và cách bố trí xy lanh (Number and layout of cylinders): …………………………
2.8. Dung tích xy lanh (Capacity of cylinder): ………………………………………….cm3
2.9. Cung cấp nhiên liệu (Fuel feed):
2.9.1. Phun nhiên liệu (Fuel injection): Có/Không (Yes/No) ………………………………….……
2.9.2. Bơm cao áp (Pump): Có/Không (Yes/No) ………………………………………………..…
2.9.2.1. Nhãn hiệu (Make(s) or mark): ………………………………………………………………
2.9.2.2. Kiểu (Type(s)): ………………………………….
2.10. Thiết bị tăng áp (Supercharging equipment): Có/Không (Yes/No) ……………..…………
2.11. Bộ làm mát khí nạp (Intercooler): Có/Không (Yes/No) ……………………………….……
2.12. Tốc độ không tải của động cơ (Idle speed): ………………………… r/min
2.13. Công suất hữu ích lớn nhất được công bố (Stated net maximum power): …………kW tại (at) ......................... r/min
2.14. Momen xoắn hữu ích lớn nhất (Maximum net torque): ............... Nm tại (at) ............... r/min
2.15. Mô tả động cơ bao gồm ảnh chụp kèm theo (Description of engine including photographs):
.......................................................................................................................................................
2.16. Thiết bị kiểm soát ô nhiễm bổ sung (nếu có) (Additional pollution control devices (if any)):
2.16.1. Loại thiết bị (Device kind):
1) Tuần hoàn khí thải (Exhaust gas recirculation - EGR): Có/Không (Yes/No) …………………
2) Bộ chuyển đổi xúc tác (Catalystic converter): Có/Không (Yes/No) ………..…………………
3) Phun không khí (Air injection): Có/Không (Yes/No) ………………………………….…………
4) Lọc hạt (Particulate trap): Có/Không (Yes/No) ………………………………………….………
5) Loại khác (Other ): Có/Không (Yes/No) ………………………………………………….………
2.16.2. Mô tả vị trí lắp đặt thiết bị (Description of instalation position): ……………………………
3. Kiểm tra khí thải (Emission test):
3.1. Quy chuẩn áp dụng (Applied regulation):………………………………..……………………
3.2. Nhiên liệu thử nghiệm (Testing fuel): ……………………………………………….………..
3.3. Kết quả kiểm tra (Test results)
3.3.1. Kết quả thử theo chu trình thử ESC và ELR (Test cycle ESC and ELR):
|
|
Chu trình thử (Test Cycle) |
Giá trị giới hạn - Mức 4 (Limits Level 4) |
Kết quả kiểm tra (Test results) |
Đánh giá (Evaluation) |
|
CO (g/kWh) |
ESC |
|
|
Đạt/Không đạt (Pass/Failure) |
|
HC (g/kWh) |
|
|
Đạt/Không đạt (Pass/Failure) |
|
|
NOX (g/kWh) |
|
|
Đạt/Không đạt (Pass/Failure) |
|
|
PM (g/kWh) |
|
|
Đạt/Không đạt (Pass/Failure) |
|
|
Smoke (m-1) |
ELR |
|
|
Đạt/Không đạt (Pass/Failure) |
|
PM được xác định bằng hệ thống lưu lượng toàn phần (PM determined by a full flow system) |
||||
3.3.2. Kết quả thử theo chu trình thử ETC (Test cycle ETC)
|
|
Giá trị giới hạn |
Kết quả kiểm tra |
Đánh giá |
|
CO (g/kWh) |
|
|
Đạt/Không đạt (Pass/Failure) |
|
NMHC (g/kWh) |
|
|
Đạt/Không đạt (Pass/Failure) |
|
CH4 (g/kWh) |
|
|
Đạt/Không đạt (Pass/Failure) |
|
NOX (g/kWh) |
|
|
Đạt/Không đạt (Pass/Failure) |
|
PM (g/kWh) |
|
|
Đạt/Không đạt (Pass/Failure) |
4. Thiết bị kiểm tra (Test equipment): ………………………………………………………
5. Chú ý (Remark): Kết quả kiểm tra trong phần 3.3 chỉ đúng cho động cơ mẫu có số động cơ nêu trong báo cáo này (The results of the test in item 3.3 refer exclusively to sample engine with engine number mentioned in this report).
|
|
……, ngày ……tháng … năm …... (Date) |
PHỤ LỤC 5
(Đối với xe hoặc động cơ áp dụng TCVN 6565)
(Annex 5 - For vehicles or engines applying TCVN 6565)
Đặc tính kỹ thuật chính của xe và động cơ
(Essential characteristic of vehicle and engine)
1. Mô tả xe (Description of the vehicle):
1.1. Loại (VD: M1, N1 …) (Category of vehicle (Ex. M1, N2...) ): ....................................
1.2. Nhãn hiệu (Mark/Make of the vehicle):......................................................................
1.3. Kiểu (số) loại (Vehicle type/Model code):..................................................................
1.4. Tên và địa chỉ cơ sở SXLR (Name and address of manufacturer):. .........................
2. Mô tả động cơ (Description of engine)
2.1. Nhãn hiệu (Mark/Make of engine):.............................................................................
2.2. Nhãn hiệu thương mại (Trade mark):.........................................................................
2.3. Tên và địa chỉ cơ sở SXLR (Name and address of manufacturer):...........................
2.4. Kiểu (số loại) (Engine Type/Model code/Engine model):. ..........................................
2.5. Số kỳ (Cycle): 4 kỳ/2 kỳ/khác (Four stroke/two stroke/others):. .................................
2.6. Đường kính lỗ xy lanh (Bore): ..............................................................................mm
2.7. Hành trình pít tông (Stroke): .................................................................................mm
2.8. Dung tích xy lanh (Cylinder capacity): ..................................................................cm3
2.9. Số, kiểu bố trí xy lanh và thứ tự đánh lửa (Number and layout of cylinders and firing order): ....................................................................................................................................
2.10. Hệ thống cháy (Combustion system): mô tả (description): ………………...........
2.11. Bản vẽ mô tả buồng cháy và đỉnh pít tông (Drawings of combustion chamber and piston crown): ......................................................................................................
2.12. Tỷ số nén (Compression ratio): ...........................................................................
2.13. Diện tích mặt cắt ngang nhỏ nhất của cửa hút và cửa xả (Minimum cross-section area of inlet and outlet ports): .... .......................................................... ................
3. Hệ thống làm mát (Cooling system): Chất lỏng/Không khí (Liquid/Air)………..……
3.1. Đặc điểm của hệ thống làm mát bằng chất lỏng (Characteristics of liquid-cooling system):
3.1.1. Loại chất lỏng (Nature of liquid):...........................................................................
3.1.2. Bơm tuần hoàn: Mô tả khái quát hoặc nhãn hiệu và kiểu (Circulating pump: description or make(s) and type(s)): ...........................................................................
3.1.3. Bộ tản nhiệt/Hệ thống quạt gió (Radiator/Fan system): Mô tả (Description):..........
3.1.4. Tỷ số truyền (Drive ratio(s)):....................................................................................
3.1.5. Nhiệt độ lớn nhất tại cửa ra (Max. temperature at outlet) :.....................................oC
3.2. Đặc điểm của hệ thống làm mát bằng không khí (Characteristics of air-cooling system):
3.2.1. Hệ thống quạt gió: Đặc điểm hoặc nhãn hiệu và kiểu (Blower system: characteristics or make(s) and type(s)): ........... .....................................................................................
3.2.2. Tỷ số truyền (Drive ratio(s)) :...................................................................................
3.2.3. Hệ thống điều chỉnh nhiệt: Có/Không. Mô tả khái quát (Temperature regulating system: Yes/No. Brief description): .............................................................................
3.2.4. Ống dẫn khí (Air ducting): Mô tả (description):........................................................
3.2.5. Nhiệt độ lớn nhất tại vị trí đặc trưng (Max. temperature at a characteristic place): ............................................ oC
4. Hệ thống nạp và cung cấp nhiên liệu (Air intake system and fuel feed):
4.1. Hệ thống nạp không khí (Air intake system):
4.1.1. Bản miêu tả và các bản vẽ sơ đồ hệ thống nạp và thiết bị phụ (thiết bị sấy nóng, bộ giảm âm, bộ lọc khí v.v..) hoặc nhãn hiệu và kiểu nếu phép thử được tiến hành trên xe/băng thử với hệ thống hoàn chỉnh do cơ sở SXLR xe cung cấp (Description and drawings of air intake system and its accessories (heating device, intake silencers air filter, etc) or make(s) and type(s) if the test is made with complete system as supplied by the vehicle manufacturer, in a vehicle or on a test bench ): ...................................... ..
4.1.2. Độ giảm áp suất khí nạp cho phép lớn nhất tại vị trí đặc trưng (quy định điểm đo) (Maximum permitted depression of air intake at a characteristic place (specify location of measurement)):.........................................................................…………kPa
4.2. Thiết bị tăng áp (Pressure charger): Có/Không (Yes/No): ………………………….
4.2.1. Mô tả thiết bị tăng áp (Description of the pressure charger system):..................... .
4.2.2. Đặc điểm hoặc nhãn hiệu và kiểu (Characteristics or make(s) and type(s)): ..........
4.2.3. Nhiệt độ lớn nhất của không khí ở đầu ra của bộ làm mát trung gian (Max. temperature of the air at the outlet of the intake intercooler) : …………..oC
4.3. Hệ thống phun nhiên liệu (Injection system):
4.3.1. Phần áp suất thấp (Low pressure section):
4.3.1.1. Cung cấp nhiên liệu (Fuel feed):
4.3.1.2. Áp suất đặc trưng hoặc nhãn hiệu và kiểu (Characteristic pressure or make(s) and type(s): ...... ................................................................................................. .................
4.3.2. Phần áp suất cao (High pressure section):
4.3.2.1. Mô tả hệ thống phun (Description of the injection system) :
a) Bơm cao áp: Mô tả hoặc nhãn hiệu và kiểu (Pump: description or make(s) and type(s)): ....... ..................................................................................................................
b) Lượng cung cấp..........mm3 của mỗi hành trình pittông tại tốc độ động cơ ….... r/min khi phun ở toàn tải hoặc theo đường đặc tính:…........................ (Delivery ..... mm3 per stroke at engine speed of ..... rpm at full injec tion or characteristic diagram).
Nêu phương pháp đã dùng: Trên động cơ/trên băng thử (Mention the method used: on engine/on pump bench): .........................................................................................
Nếu có điều khiển tăng áp, nêu đặc tính cung cấp nhiên liệu và tăng áp suất theo tốc độ động cơ (If boost control is supplied, state the characteristic fuel delivery and boost pressure versus engine speed): …………………………………………………….
c) Thời gian phun tĩnh (Static injection timing): ............................................................
d) Khoảng phun sớm tự động (Automatic injection advance range):...........................
4.3.3. Đường ống cao áp (Injection piping):
4.3.3.1. Độ dài (Length):............................................................................................................
4.3.3.2. Đường kính trong (Internal diameter): .......................................................................
4.3.4. Vòi phun (Injector(s)):
4.3.4.1. Nhãn hiệu (Make(s)): ..................................................................................................
4.3.4.2. Kiểu (Type(s)):..............................................................................................................
4.3.4.3. Áp suất phun (Opening pressure) :.....................................................................MPa
4.3.5. Bộ điều tốc (Governor):
4.3.5.1. Mô tả hệ thống điều khiển hoặc nêu nhãn hiệu và kiểu (Description of the governor system or make(s) and type(s)): ..................................................................................
4.3.5.2. Tốc độ bộ điều tốc bắt đầu làm việc ở chế độ toàn tải (Speed at which cut-off starts under full-load): ............................... r/min (tốc độ danh định lớn nhất (maximum rated speed)):… ............................................................................................................
4.3.5.3. Tốc độ không tải lớn nhất (Maximum no-load speed):..................................r/min
4.3.5.4. Tốc độ không tải nhỏ nhất (Idling speed): ....................................................r/min
4.4. Hệ thống khởi động ở trạng tháI nguội (Cold start system):
Mô tả đặc tính hoặc nhãn hiệu và kiểu hệ thống (Description or make(s) and type(s)): ..................................................................................................................
4.5. Thiết bị bổ sung chống ô nhiễm khói (nếu có và nếu không được nêu tại mục khác): Mô tả đặc điểm (Additional anti-smoke devices (if any, and if not covered by another heading) Description of characteristics):................................................... ....................
5. Thời điểm đóng mở xu páp (Valve timing)
Độ nâng lớn nhất của xupáp và góc mở và đóng xupáp theo các điểm chết (giá trị danh định) (Maximum lift of valves and angles of opening and closing in relation to dead centres) (nominal values)): ...................................................................................
6. Hệ thống khí thải (Exhaust system)
6.1. Mô tả hệ thống khí thải nếu phép thử được tiến hành với hệ thống khí thải hoàn chỉnh do cơ sở SXLR động cơ hoặc xe cung cấp (Description of exhaust equipment if the test is made with the complete equipment provided by the engine or vehicle manufacturer):………..……………….
Quy định áp suất trên đường thải tại công suất hữu ích lớn nhất và vị trí đo (Specify the back pressure at maximum net power and the location of measurement) : ......... kPa
Thể tích hiệu quả của hệ thống khí thải (Indicate the effective volume of the exhaust system): …................... cm3
6.2. Nếu sử dụng băng thử, quy định áp suất ngược khi công suất hữu ích lớn nhất và vị trí đo (If the test bench equipment is used, specify the back pressure at maximum net power and the location of measurement) : …………kPa
Thể tích hiệu quả của hệ thống khí thải (1)(2) (Indicate the effective volume of the exhaust system): .............................................................................................cm3
7. Hệ thống bôi trơn (Lubrication system)
7.1. Mô tả hệ thống (Description of system):.. .............................................. ..................
7.2. Bơm tuần hoàn (Circulating pump): Có/Không (Yes/No)
Mô tả hoặc nhãn hiệu và kiểu (Description or make(s) and type(s)): ..........................
7.3. Thiết bị làm mát dầu (Oil cooler): Có/Không (Yes/No)
Mô tả hoặc nhãn hiệu và kiểu (Description or make(s) and type(s)): ..........................
7.4. Hỗn hợp với nhiên liệu (Mixture with fuel): Có/Không (Yes/No)
(Tỷ lệ dầu bôi trơn/nhiên liệu) (Lubrication oil/fuel ratio):........................................
8. Thiết bị phụ khác do động cơ dẫn động (Other engine driven auxiliariers)
8.1. Các thiết bị phụ cần thiết cho việc vận hành động cơ trên băng thử, trừ quạt
(Auxiliaries necessary for an operation of the engine on test bench, other than the fan)
Đặc tính, hoặc nhãn hiệu và kiểu (State characteristics, or make(s) and type(s)): .......................... ....................................................................................................
8.1.1. Máy phát điện (Generator/Alternator) : Có/Không (Yes/No) :.................................
8.1.2. Các thiết bị khác (Others):....................................................................................
8.2. Các thiết bị phụ trong vận hành khi phép thử được tiến hành trên xe ( Additional auxiliaries in operation when test is conducted in a vehicle):
Đặc điểm, hoặc nhãn hiệu và kiểu (State characteristics, or make(s) and type(s)):......................... ......................................................................................... ..............
8.3. Truyền lực (Transmission):
Mô men quán tính của liên hợp bánh đà và hệ truyền lực khi không gài số (State moment of inertia of combined flywheel and transmission at condition when no gear is engaged): ............. ...................................................................................................
Hoặc bản mô tả, nhãn hiệu và kiểu (đối với bộ chuyển mô men xoắn) (or description, make(s) and type(s) (for torque converter )): ...................................................................
9. Đặc tính động cơ (do cơ sở SXLR khai) (Engine performance (declared by the manufacturer))
9.1. Tốc độ không tải nhỏ nhất (Idling speed):.......................................................r/min
9.2. Tốc độ danh định lớn nhất (Maximum rated speed):.......................................r/min
9.3. Tốc độ danh định nhỏ nhất (Minimum rated speed):........................................r/min
9.4. Mô men xoắn hữu ích lớn nhất của động cơ trên băng thử (Max. net torque of engine on bench): ...................Nm tại (at)..............r/min.
9.5. Công suất hữu ích lớn nhất của động cơ trên băng thử (Max. net power of engine on bench):..............kW tại (at) ...........r/min
Công suất hấp thụ bởi quạt (indicate power absorbed by fan):...........................kW
9.5.1. Thử trên băng (Test on bench)
Kết quả đo công suất tại các điểm đo nêu tại C 2.2 Phụ lục C TCVN 6565:2006 phải được ghi trong Bảng 1 (Declared powers at the points of measurement referred to in Annex C Paragraph C2.2 TCVN 6565:2006 shall be stated in Table 1).
Bảng 1. Bảng khai tốc độ và công suất động cơ/xe mẫu(3) để kiểm tra
(Tốc độ có sự đồng ý của cơ quan có thẩm quyền về kiểm tra)
Table 1: Declared speeds and powers of the engine/vehicle submitted for approval
(Speeds to be agreed with the test authority)
|
Điểm đo (5) (Measurement point) |
Tốc độ động cơ: (r/min) (Engine speed) |
Công suất (4) (kW) (Power) |
|
|
|
|
|
|
|
|
|
|
|
|
|
|
|
|
|
|
|
|
|
|
|
|
Chúng tôi cam kết bản khai này phù hợp với kiểu loại xe, động cơ đã đăng ký kiểm tra và chịu trách nhiệm hoàn toàn về các vấn đề phát sinh do khai sai hoặc khai không đủ nội dung trong bản khai này (We undertake that this declaration document is in complia nce with engine, vehicle type for type approval and we are full responsible for matter caused by wrong or lack content in this declaration).
|
|
Ngày.......tháng.......năm.....(Date) |
PHỤ LỤC 6
(Đối với xe hoặc động cơ áp dụng TCVN 6565)
(Annex 6 - For vehicles or engines applying TCVN 6565)
Báo cáo thử nghiệm độ khói
(Test report of opacity)
1. Xe và động cơ (Vehicles and engines)
1.1. Loại xe (Category of vehicle): ……………………………………………………….……
1.2. Nhãn hiệu xe (Mark or make of vehicle): …………………………………………..……
1.2.1. Số nhận dạng xe (VIN): …………………………………………………………..………
1.3. Nhãn hiệu động cơ (Mark or make of engine): …………………………………………..
1.3.1. Số động cơ (Engine number): …………………………………………………………..
1.4. Kiểu (số) loại xe (Vehicle type/Model code): …………………………………..…………
1.5. Kiểu (số) loại động cơ (Engine Type/Model code/Engine model): ……………………
1.6. Tên và địa chỉ cơ sở nhập khẩu (Importer's name and address): ……………………
1.7. Tên và địa chỉ cơ sở SXLR (Manufacturer's name and address): ………………… …
1.8. Xe/Động cơ mẫu được nộp để thử nghiệm (Vehicle/Engine submittes for tests on): …………
1.9. Nhiên liệu thử nghiệm, bao gồm bản đặc tính nhiên liệu (Testing fuel, including specifications for fuel): ………………………………………………………………………………
1.10. Thiết bị kiểm soát ô nhiễm bổ sung (nếu có) (Additional pollution control devices (if any))
1.10.1. Loại thiết bị (Device kind) :
1) Tuần hoàn khí thải (Exhaust gas recirculation - EGR): Có/Không (Yes/No)
2) Bộ chuyển đổi xúc tác (Catalystic converter): Có/Không (Yes/No)
3) Phun không khí (Air injection): Có/Không (Yes/No)
4) Lọc hạt (Particulate trap): Có/Không (Yes/No)
5) Loại khác (Other): Có/Không (Yes/No)
1.10.2. Mô tả vị trí lắp đặt thiết bị (Description of instalation position):…………………..
2. Kiểm tra độ khói (Opacity test)
2.1. Quy chuẩn áp dụng (Applied regulation): QCVN ……………………./BGTVT
2.2. Kết quả kiểm tra (Test results)
2.2.1. Độ khói (Opacity)
1) Thử ở tốc độ ổn định (Test at steady speed): Xe trên băng thử xe/Động cơ trên băng thử động cơ (Vehicle on roler dynamometer/Engine on test bench)
|
Điểm đo (Measurem -ent points) |
Tốc độ động cơ (Engine speed) (r/min) |
Công suất (Power) (kW) |
Lưu lượng danh định G (Norminal flow) (l/s) |
Trị số hấp thụ đo được (Measured absorb values) (m-1) |
Giá trị giới hạn (Limits) |
Kết luận (Conclusion) (Pass/Failure) |
|
1 |
|
|
|
|
|
|
|
2 |
|
|
|
|
|
|
|
3 |
|
|
|
|
|
|
|
4 |
|
|
|
|
|
|
|
5 |
|
|
|
|
|
|
|
6 |
|
|
|
|
|
|
Công suất hấp thụ bởi quạt trong quá trình thử (đối với thử để cấp giấy chứng nhận) (For engine type approval, power absorbed by the fan during the tests): ............kW
2) Thử ở chế độ gia tốc tự do (Test at free acceleration):
a) Thử động cơ theo Phụ lục D TCVN 6565 (Engine test in accordance with Annex D TCVN 6565)
|
Phần trăm của tốc độ lớn nhất (Percentage of maximum speed) |
Phần trăm của mô men xoắn lớn nhất tại tốc độ đã định (Percentage of maximum torque at stated speed) |
Trị số hấp thụ ánh sáng đo được (Measured absorb values) |
Trị số hấp thụ ánh sáng hiệu chỉnh (Corrected absorb values) |
|
100 90 100 90 100 90 |
100 100 90 90 80 80 |
|
|
b) Thử động cơ theo Phần I, hoặc thử xe theo Phần III của TCVN 6565 (Engine test according to Part I or vehicle test according to Part III TCVN 6565)
Trị số hấp thụ đã hiệu chỉnh (Corrected absorb values): .......................... m-1
Tốc độ khi khởi động (Speed at start): ......................................................... r/min
2.2.2. Công suất hữu ích lớn nhất được công bố (Stated net maximum power): …………….. kW tại (at) ……………………. r/min
3. Nhãn hiệu và kiểu thiết bị đo độ khói (Make and type of opacimeter): ………………… …
4. Đặc điểm nguyên lý của kiểu loại động cơ (Principle characteristics of engine type)
4.1. Nguyên lý làm việc của động cơ (Engine working principle): ……………………
4.2. Số kỳ làm việc của động cơ (Cycle): …………………………………
4.3. Số và cách bố trí xy lanh (Number and layout of cylinders):……………………………….
4.4. Dung tích xy lanh (Capacity of cylinder): ………………………….. cm3
4.5. Cung cấp nhiên liệu (Fuel feed): ………………………………………………..
4.6. Thiết bị tăng áp (Supercharging equipment): Có/Không (Yes/No)
5. Chú ý (Remark): Kết quả kiểm tra trong phần 1 mục 2.2.1 chỉ đúng cho xe hoặc động cơ mẫu có số nhận dạng VIN và số động cơ (đối với thử trên xe) hoặc có số động cơ (đối với thử trên động cơ) nêu trong báo cáo này (the results of the test in item 1 section 2.2.1 refer exclusively to sample vehicle or engine with VIN and engine number (for vehicle) or engine number (for engine) mentioned in this report).
|
|
…, ngày ….. tháng …… năm ……. (Date) |
PHỤ LỤC 7
Nhiên liệu thử nghiệm khí thải
Nhiên liệu để thử nghiệm khí thải theo các phép thử là nhiên liệu thông dụng cho xe cơ giới theo Quy chuẩn nhiên liệu hiện hành, riêng đối với xăng phải là loại RON 95. Trong trường hợp có sự thống nhất giữa cơ sở SXLR, tổ chức và cá nhân nhập khẩu với cơ sở thử nghiệm thì nhiên liệu thử nghiệm có thể là nhiên liệu chuẩn hoặc nhiên liệu có đặc tính tương đương với nhiên liệu chuẩn quy định dưới đây.
1. Yêu cầu kỹ thuật của nhiên liệu chuẩn dùng cho thử nghiệm xe trang bị động cơ cháy cưỡng bức
1.1. Xăng không chì (E0)
|
Thông số |
Đơn vị |
Giới hạn (1) |
Phương pháp thử |
|
|
Nhỏ nhất |
Lớn nhất |
|||
|
Chỉ số ốc tan nghiên cứu Chỉ số ốc tan động cơ Tỉ trọng ở 15 oC Áp suất hơi Reid chưng cất: Bay hơi ở 70 °C Bay hơi ở 100 oC Bay hơi ở 150 oC Điểm sôi cuối Cặn Phân tích hydrocacbon: - Olefin - Chất thơm - Benzen - Chất bão hòa Tỷ lệ Cacbon/ Hydro Giai đoạn cảm ứng(2) Hàm lượng ô xy Keo Hàm lượng lưu huỳnh(3) Ăn mòn đồng Hàm lượng chì Hàm lượng phốt pho |
kg/m3 kPa oC % thể tích % thể tích oC % thể tích
% thể tích
phút % khối lượng mg/ml mg/kg
mg/l mg/l |
95,0 85,0 740 56 24 50,0 83,0 190 -
- 29,0 - - báo cáo 480 - - - - - - |
- - 754 60 40 58,0 89,0 210 2,0
10 35,0 1,0 báo cáo báo cáo - 1,0 0,04 10 Cấp độ 1 5 1,3 |
EN 25164 EN 25163 ISO 3675 EN-ISO 13016-1
EN-ISO 3405
D 1319
EN-ISO 7536 EN 1601 EN-ISO 6246 Pr. EN ISO/DIS 14596 EN-ISO 2160 EN 237 ASTM D 3231 |
Chú thích
(1) Các giá trị được nêu trong yêu cầu kỹ thuật là "Các giá trị thực". Việc thiết lập các giá trị giới hạn của chúng đã áp dụng các thuật ngữ của ISO 4529 "Sản phẩm dầu mỏ - Xác định và áp dụng dữ liệu chính xác liên quan đến phương pháp thử" và trong việ c cố định một giá trị nhỏ nhất, đã tính đến một sai khác nhỏ nhất bằng 2R ở trên điểm 0; trong việc c ố định một giá trị lớn nhất và nhỏ nhất, sai khác nhỏ nhất là 4R (R - khả năng tái sinh).
Mặc dù có biện pháp này, cần thiết vì những lý do kỹ thuật, nhà sản xuất nhiên liệu vẫn hướng đến một giá trị 0 mà ở đó trị số lớn nhất được quy định là 2R và hướng đến giá trị trung bình trong trường hợp trích dẫn các gới hạn nhỏ nhất và lớn nhất. Cần thiết làm sáng tỏ câu hỏi là liệu nhiên liệu có đáp ứng được yêu cầu của quy định không, cần áp dụng các thuật ngữ của ISO 4529.
(2) Nhiên liệu có thể chứa các chất chống ôxy hóa và các chất khử hoạt tính kim loại thường được sử dụng để làm ổn định tính chất xăng, nhưng không được thêm vào các phụ gia tẩy rửa phân tán và dầu hòa tan.
(3) Hàm lượng lưu hùynh thực của nhiên liệu để Phép t hử loại I phải được báo cáo
1.2. Xăng E5
|
Thông số |
Đơn vị |
Giới hạn (1) |
Phương pháp thử |
|
|
Nhỏ nhất |
Lớn nhất |
|||
|
Chỉ số ốc tan nghiên cứu Chỉ số ốc tan động cơ Tỉ trọng ở 15 oC Áp suất hơi Reid Thành phần nước chưng cất: Bay hơi ở 70 °C Bay hơi ở 100oC Bay hơi ở 150oC Điểm sôi cuối Cặn Phân tích hydrocacbon: - Olefin - Chất thơm - Benzen - Chất bão hòa Tỷ lệ Cacbon/ Hydro Giai đoạn cảm ứng(2) Hàm lượng ô xy(4) Keo Hàm lượng lưu huỳnh(3) Ăn mòn đồng Hàm lượng chì Hàm lượng phốt pho Ethanol(5) |
kg/m3 kPa % thể tích
% thể tích % thể tích oC % thể tích
phút % khối lượng mg/ml mg/kg
mg/l mg/l % thể tích |
95,0 85,0 743 56 -
48,0 82,0 190 -
3,0 29,0 - - báo cáo 480 - - - - - - 4,7 |
- - 756 60 0,015 44 60,0 90,0 210 2,0
13 35,0 1,0 báo cáo báo cáo - báo cáo 0,04 10 cấp độ 1 5 1,3 5,3 |
EN 25164 EN 25163 ISO 3675 EN-ISO 13016-1 E 1064
Pr. EN 12177 D 1319
EN-ISO 7536 EN 1601 EN-ISO 6246 Pr. EN ISO/DIS 14596 EN-ISO 2160 EN 237 ASTM D 3231 EN 1601 |
Chú thích
(1) Các giá trị được nêu trong yêu cầu kỹ thuật là "Các giá trị thực". Việc thiết lập các giá trị giới hạn của chúng đã áp dụng các thuật ngữ của ISO 4529 "Sản phẩm dầu mỏ - Xác định và áp dụng dữ liệu chính xác liên quan đến phương pháp thử" và trong việc cố định một giá trị nhỏ nhất, đã tính đến một sai khác nhỏ nhất bằng 2R ở trên điểm 0; trong việc cố định một giá trị lớn nhất và nhỏ nhất, sai khác nhỏ nhất là 4R (R - khả năng tái sinh).
Mặc dù có biện pháp này, cần thiết vì những lý do kỹ thuật, nhà sản xuất nhiên liệu vẫn hướng đến một giá trị 0 mà ở đó trị số lớn nhất được quy định là 2R và hướng đến giá trị trun g bình trong trường hợp trích dẫn các gới hạn nhỏ nhất và lớn nhất. Cần thiết làm sán g tỏ câu hỏi là liệu nhiên liệu có đáp ứng được yêu cầu của quy định không, cần áp dụng các thuật ngữ của ISO 4529.
(2) Nhiên liệu có thể chứa các chất chống ôxy hóa và các chất khử hoạt tính kim loại thường được sử dụng để làm ổn định tính chất xăng, nhưng không được thêm vào các phụ gia tẩy rửa phân tán và dầu hòa tan.
(3) Hàm lượng lưu hùynh thực của nhiên liệu sử dụng trong Phép thử loại I phải được báo cáo .
(4) Ethanol đáp ứng yêu cầu kỹ thuật của prEn 15376 là thành phần ôxy hóa duy nhất được thêm vào nhiên liệu chuẩn có chủ ý.
(5) Không được cố ý thêm vào nhiên liệu chuẩn các thành phần hữu cơ có chứa phốt pho, sắt, magiê, chì.
2. Yêu cầu kỹ thuật của nhiên liệu chuẩn dùng cho thử nghiệm xe trang bị động cơ cháy cưỡng bức
2.1. Diesel (B0)
|
Thông số |
Đơn vị |
Giới hạn (1) |
Phương pháp thử |
|
|
Nhỏ nhất |
Lớn nhất |
|||
|
Số xê tan (2) Tỉ trọng ở 15oC Chưng cất: - Điểm 50% - Điểm 95% - Điểm sôi cuối Điểm chớp cháy CFPP Độ nhớt ở 40oC Hydrocacbon thơm polycyclic Hàm lượng lưu huỳnh(3) Ăn mòn đồng Cặn cacbon (10% DR ) Hàm lượng tro Hàm lượng nước Số trung hoà (A xít mạnh) Tính ổn định ô xi hoá (4) Tính bôi trơn (đường kính vết ăn mòn ở 60 oC) FAME |
kg/m3
oC oC oC oC oC mm2/s % khối lượng mg/kg % khối lượng % khối lượng % khối lượng mg KOH/g mg/ml µm |
52,0 833
245 345 - 55 - 2,3 3,0 - - - - - - - - |
54,0 837
350 370 - - 5 3,3 6,0 10 Cấp độ 1 0,2 0,01 0,02 0,02 0,025 400 |
EN-ISO 5165 EN-ISO 3675
EN-ISO 3405
EN 22719 EN 116 EN-ISO 3104 IP 391 Pr. EN ISO/DIS 14596 EN-ISO 2160 EN-ISO 13070 EN-ISO 6145 EN-ISO 12937 ASTM D 97495 EN-ISO 12205 CEC F-06-A-96 |
|
Cấm |
||||
Chú thích
(1) Các giá trị được nêu trong yêu cầu kỹ thuật là "Các gi á trị thực". Việc thiết lập các giá trị giới hạn của chúng đã áp dụng các thuật ngữ của ISO 4529 "Sản phẩm dầu mỏ - Xác định và áp dụng dữ liệu chính xác liên quan đến phương pháp thử" và trong việc cố định một giá trị nhỏ nhất, đã tính đến một sai khác nhỏ nhất bằng 2R ở trên điểm 0; trong việc cố định một giá trị lớn nhất và nhỏ nhất, sai khác nhỏ nhất là 4R (R - khả năng tái sinh).
Mặc dù có biện pháp này, cần thiết vì những lý do kỹ thuật, nhà sản xuất nhiên liệu vẫn hướng đến một giá trị 0 mà ở đó trị số lớn nhất được quy định là 2R và hướng đến giá trị trung bình trong trường hợp trích dẫn các gới hạn nhỏ nhất và lớn nhất. Cần thiết làm sáng tỏ câu hỏi là liệu nhiên liệu có đáp ứng được yêu cầu của quy định không, cần áp dụng các thuật ngữ của ISO 4529.
(2) Dải số xê tan không phù hợp với yêu cầu của dải nhỏ nhất là 4R. tuy nhiên, trong các trường hợp có tranh chấp giữa người cung cấp và người sử dụng nhiên liệu, các thuật ngữ trong ISO 4529 có thể được sử dụng để giải quyết những tranh chấp như thế này, những phép đo mô phỏng được cung cấp với số lượng đủ để đạt độ chính xác cần thiết được ưu tiên thực hiện hơn những xác định đơn lẻ.
(3) Hàm lượng lưu hùynh thực của nhiên liệu sử dụng trong Phép thử loại I phải được báo cáo.
(4) Mặc dù tính ổn định ô xy hoá được kiểm soát nhưng thời gian để nhiên liệu không bị suy giảm chất lượng cũng bị hạn chế. Nhà cung cấp cần tư vấn về các điều kiện bảo quản và thời hạn sử dụng.
2.2. Diesel B5
|
Thông số |
Đơn vị |
Giới hạn (1) |
Phương pháp thử |
|
|
Nhỏ nhất |
Lớn nhất |
|||
|
Số xê tan (2) Tỉ trọng ở 15oC Chưng cất: - Điểm 50% - Điểm 95% - Điểm sôi cuối Điểm chớp cháy CFPP Độ nhớt ở 40oC Hydrocacbon thơm polycyclic Hàm lượng lưu huỳnh(3) Ăn mòn đồng Cặn cacbon (10% DR ) Hàm lượng tro Hàm lượng nước Số trung hoà (A xít mạnh) Tính ổn định ô xi hoá (4) Tính bôi trơn (đường kính vết ăn mòn ở 60 oC) Độ ổn định ô xy hóa FAME (5) |
kg/m3
oC oC oC oC oC mm2/s % khối lượng
% khối lượng % khối lượng % khối lượng mg KOH/g
µm
% thể tích |
52,0 833
245 345 - 55 - 2,3 2,0
- - - - -
-
4,5 |
54,0 837
350 370 - -5 3,3 6,0
Cấp độ 1 0,2 0,01 0,02 0,02
400
5,5 |
EN-ISO 5165 EN-ISO 3675
EN-ISO 3405
EN 22719 EN 116 EN-ISO 3104 IP 391
EN-ISO 2160 EN-ISO 13070 EN-ISO 6145 EN-ISO 12937 ASTM D 97495
CEC F-06-A-96
EN 14078 |
Chú thích
(1) Các giá trị được nêu trong yêu cầu kỹ thuật là "Các giá trị thực". Việc thiết lập các giá trị giới hạn của chúng đã áp dụng các thuật ngữ của ISO 4529 "Sản phẩm dầu mỏ - Xác định và áp dụng dữ liệu chính xác liên quan đến phương pháp thử" và trong việc cố đị nh một giá trị nhỏ nhất, đã tính đến một sai khác nhỏ nhất bằng 2R ở trên điểm 0; trong việc cố định một giá trị lớn nhất và nhỏ nhất, sai khác nhỏ nhất là 4R (R - khả năng tái sinh).
Mặc dù có biện pháp này, cần thiết vì những lý do kỹ thuật, nhà sản xu ất nhiên liệu vẫn hướng đến một giá trị 0 mà ở đó trị số lớn nhất được quy định là 2R và hướng đến giá trị trung bình trong trường hợp trích dẫn các gới hạn nhỏ nhất và lớn nhất. Cần thiết làm sáng tỏ câu hỏi là liệu nhiên liệu có đáp ứng được yêu cầu của quy định không, cần áp dụng các thuật ngữ của ISO 4529.
(2) Dải số xê tan không phù hợp với yêu cầu của dải nhỏ nhất là 4R. tuy nhiên, trong các trường hợp có tranh chấp giữa người cung cấp và người sử dụng nhiên liệu, các thuật ngữ trong ISO 4529 có thể được sử dụng để giải quyết những tranh chấp như thế này, những phép đo mô phỏng được cung cấp với số lượng đủ để đạt độ chính xác cần thiết được ưu tiên thực hiện hơn những xác định đơn lẻ.
(3) Hàm lượng lưu hùynh thực của nhiên liệu sử dụng trong Phép thử loại I phải được báo cáo.
(4) Mặc dù tính ổn định ô xy hoá được kiểm soát nhưng thời gian để nhiên liệu không bị suy giảm chất lượng cũng bị hạn chế. Người cung cấp cần tư vấn về các điều kiện bảo quản và thời hạn sử dụng.
(5) Thành phần FAME đặt yêu cầu kỹ thuật theo quy định của EN 14214.
(6) Tính ổn định ôxy hóa có thể được chứng minh bằng EN -ISO 12205 hoặc EN 14112. Yêu cầu này phải được đánh giá dựa trên CEN/TC19 về khả năng ổn định ôxy hóa và các giới hạn phép thử.
3. Yêu cầu kỹ thuật đối với nhiên liệu chuẩn dạng khí (LPG và NG)
3.1. Yêu cầu kỹ thuật đối với nhiên liệu chuẩn LPG trong thử nghiệm xe
|
Chỉ tiêu |
Đơn vị |
Nhiên liệu A |
Nhiên liệu B |
Phương pháp thử |
|
1. Thành phần |
|
|
|
|
|
Hàm lượng C3 |
% thể tích |
30 ± 2 |
85 ± 2 |
ISO 7941 |
|
Hàm lượng C4 |
% thể tích |
Cân bằng |
Cân bằng |
|
|
< C3, > C4 |
% thể tích |
Lớn nhất 2 |
Lớn nhất 2 |
|
|
Olefin |
% thể tích |
Lớn nhất 12 |
Lớn nhất 15 |
|
|
2. Bã bay hơi |
ppm |
Lớn nhất 50 |
Lớn nhất 50 |
ISO 13757 |
|
3. Hàm lượng nước ở 0oC |
|
Không có |
Không có |
Quan sát |
|
4. Hàm lượng lưu huỳnh |
mg/kg (1) |
Lớn nhất 10 (50 đối với Euro 5) |
Lớn nhất 10 (50 đối với Euro 5) |
EN 24260 |
|
5. Sunphua hydro |
|
Không có |
Không có |
ISO 8819 |
|
6. Ăn mòn đồng |
Xếp loại |
Cấp 1 |
Cấp 1 |
ISO 6251(2) |
|
7. Mùi |
|
Đặc trưng |
Đặc trưng |
|
|
8. MON |
|
≥ 89 |
≥ 89 |
EN 589 Annex B |
|
(1) Giá trị được xác định trong điều kiện tiêu chuẩn 293,2 K (20oC) và 101,3 kPa. (2) Phương pháp này có thể xác định không chính xác sự có vật liệu ăn mòn nếu mẫu chứa chất ức chế ăn mòn hoặc chất khác mà nó giảm bớt tính ăn mòn của mẫu đối với miếng đồng. Vì vậy, việc cho thêm các hợp chất như vậy nhằm gây ảnh hưởng xấu đến phương pháp này là bị cấm. |
||||
3.2. Yêu cầu kỹ thuật đối với nhiên liệu chuẩn NG
- Nhiên liệu G20
|
Chỉ tiêu |
Đơn vị |
Giá trị cơ bản |
Giá trị giới hạn |
Phương pháp thử |
|
|
Nhỏ nhất |
Lớn nhất |
||||
|
1. Thành phần: |
|
|
|
|
|
|
Mê tan |
% mole |
100 |
99 |
100 |
ISO 6974 |
|
Cân bằng(1) |
% mole |
- |
- |
1 |
|
|
N2 |
% mole |
|
|
|
|
|
2. Hàm lượng lưu huỳnh |
mg/m3 (2) |
- |
- |
10 |
ISO 6326-5 |
|
3. Chỉ số Wobbe (net) |
MJ/m3 (3) |
48,2 |
47,2 |
49,2 |
|
- Nhiên liệu G25
|
Chỉ tiêu |
Đơn vị |
Giá trị cơ bản |
Gía trị giới hạn |
Phương pháp thử |
|
|
Nhỏ nhất |
Lớn nhất |
||||
|
1. Thành phần: |
|
|
|
|
|
|
Mê tan |
% mole |
86 |
84 |
88 |
ISO 6974 |
|
Cân bằng(1) |
% mole |
- |
- |
1 |
|
|
N2 |
% mole |
14 |
12 |
16 |
|
|
2. Hàm lượng lưu huỳnh |
mg/m3 (2) |
- |
- |
10 |
ISO 6326-5 |
|
3. Chỉ số Wobbe (net) |
MJ/m3 (3) |
39,4 |
38,2 |
40,6 |
|
Chú thích:
(1) Khí trơ (khác N2) + C2 + C2+.
(2) Giá trị được xác định trong điều kiện tiêu chuẩn 293,2 K (20oC) và 101,3 kPa.
(3) Giá trị được xác định trong điều kiện tiêu chuẩn 273,2 K (0oC) và 101,3 kPa.
Chỉ số Wobbe (W) là tỉ số của nhiệt trị của một đơn vị thể tích khí và căn bậc hai của tỉ trọng tương đối của nó trong điều kiện chuẩn:

Trong đó:
Hgas = Nhiệt trị của nhiên liệu MJ/m3 ở 0oC
rair = Tỉ trọng không khí ở 0oC
rgas = Tỉ trọng nhiên liệu ở 0oC
Chỉ số Wobbe được gọi là chỉ số tổng hoặc chỉ số tinh tương ứng với nhiệt trị là nhiệt trị tổng hay nhiệt trị tinh.
PHỤ LỤC 8
Quy trình đo khí thải của phép thử loại I theo TCVN 6785

PHỤ LỤC 9
Phép thử loại IV
Xác định sự phát thải do bay hơi nhiên liệu từ xe lắp động cơ cháy cưỡng bức
1. Giới thiệu
Phụ lục này mô tả quy trình Phép thử loại IV. Quy trình này mô tả phương pháp để xác định sự tổn thất hydrocacbon (HCx ) do sự bay hơi từ hệ thống nhiên liệu của xe lắp động cơ cháy cưỡng bức.
2. Mô tả phép thử
Phép thử bay hơn được thiết kế để tính toán lượng h ydrocacbon thất thoát do sự thay đổi nhiệt độ trong ngày, ngấm nóng khi đỗ xe và lái xe trong đô thị. Phép thử gồm 3 giai đoạn:
2.1. Chuẩn bị phép thử gồm chạy xe theo một Chu trình loại I và một Chu trình loại II .
2.2. Xác định phát thải do ngấm nóng .
2.3. Xác định phát thải do bay hơi nhiên liệu (do thay đổi nhiệt độ trong ngày) .
Khối lượng hydrocacbon phát thải do ngấm nóng và nhiệt độ ban ngày sẽ được cộng lại thành giá kết quả của phép thử.
3. Xe thử và nhiên liệu
3.1. Xe thử
Xe phải trong trạng thái tốt về mặt cơ khí, được chạy rà và chạy ít nhất 3.000km trước khi thử. Hệ thống kiểm soát sự phát thải do bay hơi phải được lắp và hoạt động chính xác trong suốt giai đoạn này và hộp các bon (hay cũng được gọi là hộp than) phải hoạt động bình thường, không có sự làm sạch hoặc chịu tải bất thường.
3.2. Nhiên liệu
Phải sử dụng nhiên liệu phù hợp với quy định tại Phụ lục 7 Quy chuẩn này.
4. Trang bị thử
4.1. Băng thử
Băng thử phải đáp ứng các yêu cầu của Phụ lục D TCVN 6785.
4.2. Buồng kín để đo phát thải bay hơi
Buồng kín để đo phát thải bay hơi phải là một buồng đo hình hộp chữ nhật kín khí có thể chứa được xe thử. Xe phải có thể tiếp cận được từ mọi phía và buồng kín khi được đóng kín phải kín khí theo yêu cầu của Phụ lục G - Phụ lục G1 TCVN 6785:2006. Bề mặt bên trong của buồng kín phải không thấm hydrocacbon. Hệ thống điều hòa nhiệt độ phải có khả năng điều khiển nhiệt độ của không khi bên trong phòng kín đáp ứng yêu cầu nhiệt độ theo thời gian như yêu cầu đã cho trước, sai số cho phép ± 1K trong suốt phép thử.
Hệ thống điều khiển phải được điều chỉnh để tạo ra đường nhiệt độ trơn như biên dạng đường nhiệt độ môi trường theo yêu cầu, giảm được đến mức nhỏ nhất sự vượt quá, dao động, mất ổn định nhiệt độ so với đường nhiệt độ lý thuyết. Nhiệt độ bề mặt bên trong buồng kín phải không dưới 278K (5°C) và không quá 328K (55°C) trong suốt phép thử bay hơi nhiên liệu.
Kết cấu của vách phải tăng được sự tản nhiệt. Nhiệt độ vách không được dưới 293K (20oC) và không quá 325K (52°C) trong suốt phép thử bay hơi do ngấm nóng.
Để phù hợp với sự thay đổi thể tích do nhiệt độ buồng kín thay đổi, có thể sử dụng buồng kín loại thể tích thay đổi hoặc thể tích cố định.
4.2.1. Buồng kín loại thể tích thay đổi
Buồng kín loại thay đổi thể tích giãn nở và thu nhỏ, phản hồi theo sự thay đổi nhiệt độ của khối lượng không khí trong buồng kín. Hai cách điều tiết sự thay đổi thể tích bên trong là sử dụng các tấm lưu động hoặc kiểu thiết kế dạng ống, trong đó một hay nh iều túi chống thấm trong buồng kín sẽ giãn nở hoặc thu lại phản hồi theo sự thay đổi thể tích bên trong, bằng cách trao đổi với không khí bên ngoài buồng kín. Bất kỳ thiết kế nào để điều tiết thể tích phải duy trì sự nguyên vẹn của buồng kín theo Phụ lục G - Phụ lục G1 TCVN 6785:2006 trong suốt dải nhiệt độ quy định.
Bất kỳ phương pháp điều tiết nào cũng phải giới hạn được sự chênh áp giữa áp suất trong buồng kín với áp suất không khí xung quanh không quá ± 5kPa.
Buồng kín phải có khả năng giữ thể tích không đổi. Buồng kín loại thể tích thay đổi phải có khả năng điều tiết thể tích trong khoảng +7% so với thể tích danh nghĩa (xem Phụ lục G - Phụ lục G1 TCVN 6785:2006), tính cả đến việc thay đổi nhiệt độ và áp suất trong suốt quá trình thử.
4.2.2. Buồng kín loại thể tích không đổi
Buồng kín loại thể tích không đổi phải được cấu tạo bằng các tấm cứng để có thể giữ thể tích không đổi và đáp ứng các yêu cầu dưới đây:
4.2.2.1. Buồng kín phải được trang bị một cửa ra để hút không khí từ buồng thử với tỷ lệ thấp, không đổi trong suốt quá trình thử. Một cửa vào có khả năng cung cấp không khí sạch để cân bằng lưu lượng đi ra với không khí đi vào. Cửa khí vào phải được lọc bằng than hoạt tính để cung cấp một mức hydrocacbon không đổi. Bất kỳ phương pháp điều tiết nào cũng phải giới hạn được sự chênh áp giữa áp suất bên trong buồng kín với áp suất không khí xung quanh trong khoảng 0 đến -5kPa.

Hình 1: Quy trình thử nghiệm Phép thử loại IV - Xác định phát thải do bay hơi
4.2.2.2. Thiết bị phải có khả năng đo khối lượng hydrocacbon ở cửa vào và cửa ra với độ chia 0,01. Hệ thống túi lấy mẫu có thể được sử dụng để thu gom không khí theo tỷ lệ với không khí vào và ra khỏi buồng kín. Có thể thay bằng phương pháp là dùng máy phân tích FID kiểu phân tích trực tiếp (online) để đo liên tục cửa vào và cửa ra và tích phân liên tục với kết quả đo lưu lượng để ghi được liên tục khối lượng hydrocacbon kết xuất ra từ máy phân tích.
4.3. Các hệ thống phân tích
4.3.1. Máy phân tích hydrocacbon
4.3.1.1. Không khí trong buồng phải được kiểm tra bằng cách sử dụng một máy dò hydrocacbon kiểu ion hóa ngọn lửa (FID). Khí mẫu phải được lấy ra từ điểm giữa của một tường bên hoặc trần của buồng đo và bất kỳ dòng khí rò rỉ nào đều phải được đưa trở lại buồng kín, tốt nhất là đến một điểm ngay sau quạt trộn theo chiều dòng chảy.
4.3.1.2. Máy phân tích hydrocacbon phải có đáp trả đến 90% kết quả đo cuối cùng trong thời gian nhỏ hơn 1,5s. Độ ổn định của nó phải nhỏ hơn 2% của giá trị cao nhất của thang đo tại điểm "0" và tại điểm 80 ± 20% của giá trị cao nhất trong 15 phút đối với tất cả các dải đo làm việc.
4.3.1.3 Độ lặp lại của máy phân tích được biểu thị bằng một độ lệch chuẩn phải nhỏ hơn 1% tại điểm "0" và tại điểm 80 ± 20% của giá trị cao nhất của thang đo trên tất cả các dải đo được sử dụng.
4.3.1.4. Các dải đo làm việc của máy phân tích phải được chọn để có được sự phân giải tốt nhất trong khi đo, khi hiệu chuẩn và khi kiểm tra rò rỉ.
4.3.2. Hệ thống ghi số liệu máy phân tích hydrocacbon
4.3.2.1. Máy phân tích hydrocacbon phải lắp một thiết bị ghi kết quả dạng tín hiệu điện bằng máy ghi đồ thị trên băng giấy hoặc bằng hệ thống xử lý số liệu khác với tần số ít nhất là một lần một phút. Hệ thống ghi phải có những đặc tính làm việc ít nhất là tương đương với tín hiệu được ghi và phải cung cấp một bản ghi kết quả thường xuyên. Bản ghi phải thể hiện chỉ thị dương khi bắt đầu và kết thúc sự tăng nhiệt thùng nhiên liệu và các phép thử bay hơi do ngấm nóng và bay hơi do thất thoát từ thùng nhiên liệu (tính từ lúc bắt đầu và kết thúc của các giai đoạn lấy mẫu cùng với khoảng thời gian giữa lúc bắt đầu và kết thúc mỗi phép thử).
4.4. Thiết bị làm nóng thùng nhiên liệu
4.4.1. Nhiên liệu trong thùng nhiên liệu của xe phải được làm nóng lên bởi một ngu ồn nhiệt có thể điều khiển được. Ví dụ một bộ đệm nhiệt công suất 2.000W là phù hợp. Hệ thống cấp nhiệt phải cung cấp nhiệt một cách ổn định cho các phần thành thùng thấp hơn mức nhiên liệu trong thùng sao cho không gây ra sự quá nóng cục bộ của nhiên liệu. Không làm nóng hơi ở khoảng phía trên nhiên liệu trong thùng.
4.4.2. Thiết bị cấp nhiệt cho thùng nhiên liệu phải có thể tăng nhiệt độ nhiên liệu trong thùng đều đặn lên khoảng 14K từ 289K (16°C) trong 60 phút, với vị trí cảm biến nhiệt độ như trong mục 5.1.1 Phụ lục này. Hệ thống cấp nhiệt phải có khả năng khống chế nhiệt độ nhiên liệu trong phạm vi ± 1,5K so với nhiệt độ yêu cầu trong quá trình làm nóng nhiên liệu.
4.5. Thiết bị ghi nhiệt độ
4.5.1. Nhiệt độ trong buồng đo phải được ghi ở 2 điểm bằng các cảm biến nhiệt độ được nối với nhau để chỉ giá trị trung bình. Các điểm đo phải được đặt cách đường tâm thẳng đứng của mỗi mặt thành tường bên trong khoảng 0,1 m và ở độ cao 0,9 m ± 0,2 m.
4.5.2. Nhiệt độ thùng nhiên liệu phải được ghi bằng các cảm biến đặt trong thùng nhiên liệu như chỉ ra trong mục 5.1.1 Phụ lục này.
4.5.3. Nhiệt độ trong toàn bộ quá trình đo phát thải bay hơi phải được ghi hoặc được nhập vào một hệ thống xử lý dữ liệu với tần số ít nhất một lần/phút.
4.5.4. Độ chính xác của hệ thống ghi nhiệt độ phải trong khoảng ± 1,0K và nhiệt độ phải có thể được phân tách tới 0,4K.
4.5.5. Hệ thống ghi hoặc xử lý số liệu phải có khả năng tách thời gian tới ± 15 giây.
4.6. Lưu trữ giá trị áp suất
4.6.1. Độ chênh áp Δp giữa áp suất không khí xung quanh khu vực thử với áp suất bên trong buồng kín, thông qua các phương pháp đo phát thải do bay hơi, phải được lưu trữ hoặc điền vào hệ thống xử lý dữ liệu theo tần suất ít nhất 1 lần/phút.
4.6.2. Độ chính xác của hệ thống lưu trữ áp suất phải nàm trong khoảng ± 2 kPa và hệ thống phải có độ chia ± 0,2 kPa.
4.6.3. Hệ thống lưu trữ hoặc xử lý giữ liệu phải có độ chia thời gian đến ± 15 giây.
4.7. Quạt gió
4.7.1. Việc sử dụng một hoặc nhiều quạt gió bình thường hoặc quạt thổi có các cửa mở phải có thể giảm được nồng độ hydrocacbon trong buồng tới mức hydrocacbon xung quanh.
4.7.2. Buồng đo phải có một hoặc nhiều quạt có lưu lượng từ 0,1 m3/s đến 0,5 m3/s để có thể hòa trộn hoàn toàn không khí trong không gian kín. Phải đạt được nhiệt độ và nồng độ hydrocacbon ổn định trong buồng đo trong suốt quá trình đo. Xe trong buồng kín không được chịu tác động trực tiếp của dòng không khí từ qụat thổi đến.
4.8. Khí
4.8.1. Phải có sẵn các loại khí nguyên chất sau đâ y để hiệu chuẩn và vận hành. Không khí tổng hợp tinh khiết:
(Độ tinh khiết : £ 1 ppmC1, độ tương đương , £ 1 ppmCO, £ 400 ppm CO2, £ 0,1 ppm NO )
Hàm lượng ôxy từ 18% đến 21% thể tích. Khí đốt cho máy phân tích hydrocabon:
(40% ± 2% hydro và heli cân bằng nhỏ hơn 1ppm C1, hydrocabon tương đương và nhỏ hơn 400 ppm CO2)
Propan (C3H8): độ tinh khiết nhỏ nhất: 99,5% Butane (C4H10): độ tinh khiết nhỏ nhất: 98% Nitơ (N2): độ tinh khiết nhỏ nhất: 98%
4.8.2. Phải có sẵn các loại khí hiệu chuẩn chứa hỗn hợp propan (C3H8) và không khí tổng hợp tinh khiết. Nồng độ thực của một khí hiệu chuẩn phải nằm trong khoảng ± 2% của nồng độ đã được công bố. Độ chính xác của các khí đã pha loãng thu được khi sử dụng một thiết bị tách khí phải nằm trong khoảng ± 2% của giá trị thực. Nồng độ quy định trong Phụ lục G - Phụ lục G1 TCVN 6785:2006 cũng có thể thu được bằng sử dụng một bộ tách khí sử dụng không khí tổng hợp như là khí pha loãng.
4.9. Thiết bị bổ sung
4.9.1 Độ chính xác của thiết bị đo độ ẩm tuyệt đối trong khu vực thử phải nằm trong khoảng 5%.
4.9.2. Độ chính xác của thiết bị đo áp suất trong khu vực thử phải nằm trong khoảng ± 0,1kPa.
5. Quy trình thử
5.1. Chuẩn bị thử
5.1.1. Xe phải được chuẩn bị trước khi thử như sau:
Hệ thống khí thải của xe không được rò rỉ.
Có thể làm sạch xe bằng hơi nước trước khi thử.
Trong trường hợp sử dụng phương án chất tải hộp các bon (canister) bằng hơi xăng (mục 5.1.5 Phụ lục này), thùng nhiên liệu của xe phải lắp cảm biến nhiệt độ để đo được nhiệt độ ở điểm giữa của phần nhiên liệu trong thùng khi rót nhiên liệu tới 40% dung tích của thùn g.
Các đầu nối có thể được lắp đặt thêm vào hệ thống nhiên liệu để có thể tháo hết xăng ra khỏi bình. Để làm việc này, không cần thiết phải thay đổi vỏ bình nhiên liệu.
Nhà sản xuất có thể đề xuất một phương pháp thử để tính được cả việc thất thoát hydrocacbon do bay hơi chỉ từ hệ thống nhiên liệu của xe.
5.1.2. Phải đưa xe vào khu vực thử nghiệm có nhiệt độ xung quanh từ 293 K đến 303K (từ 20oC đến 30oC).
5.1.3. Độ già hóa của hộp các bon phải được kiểm tra. Có thể thực hiện điều này bằng cách chứng minh rằng hộp các bon đã sử dụng ít nhất 3.000km. Nếu không thể chứng minh bằng cách này, thì phải áp dụng quy trình sau để già hóa (từ mục 5.1.3.1 đến mục 5.1.3.11 Phụ lục này). Trong trường hợp xe sử dụng nhiều hộp các bon thì mỗi hộp các bon phải thực hiện quy trình dưới một cách riêng rẽ.
5.1.3.1. Tháo hộp các bon khỏi xe. Phải thực hiện việc này một cách cẩn thận để tránh làm hỏng thiết bị và tính toàn vẹn của hệ thống nhiên liệu.
5.1.3.2. Kiểm tra khối lượng của hộp các bon.
5.1.3.3. Hộp các bon được nối vào một bình xăng, có thể là bình xăng lắp ngoài, được đổ 40% thể tích bằng nhiên liệu chuẩn.
5.1.3.4. Nhiệt độ bình xăng phải nằm trong khoảng 183K đến 287K (10°C đến 14°C).
5.1.3.5. Bình xăng (ngoài) được hâm nóng từ 288K đến 318K (15°C đến 45°C) (Tăng 1°C sau mỗi 9 phút).
5.1.3.6. Nếu hộp các bon đạt đến điểm bão hòa (xem mục 5.1.3.7 Phụ lục này) trước khi nhiệt độ đạt 318K (45°C) thì nguồn nhiệt sẽ được tắt. Hộp các bon được đem đi cân. Nếu hộp các bon không đạt được điểm bão hòa khi nhiệt độ đã đạt 45°C thì quy trình từ mục 5.1.3.3 phải được lặp lại cho đến khi xảy ra bão hòa.
5.1.3.7. Sự bão hòa có thể kiểm tra như mô tả ở mục 5.1.5 và 5.1.6 Phụ lục này. Hoặc sử dụng cách lấy mẫu và phân tích để phát hiện hydrocacbon phát thải từ hộp các bon trong quá trình xảy ra bão hòa.
5.1.3.8. Hộp các bon phải được làm sạch bằng việc thổi 25±5 lít/phút bằng không khí trong phòng thử nghiệm khí thải cho đến khi đạt tổng lượng khí đi qua bằng 300 lần thể tích của hộp các bon.
5.1.3.9. Sau đó kiểm tra khối lượng của hộp các bon.
5.1.3.10. Các bước trong quy trình từ mục 5.1.3.4 đến 5.1.3.9 Phụ lục này phải được tiến hành 9 lần. Phép thử có thể được dừng sau ít nhất 3 chu trình già hóa (chu trình già hóa là các bước từ mục 5.1.3.4 đến 5.1.3.9 Phụ lục này), nếu khối lượng hộp các bon trong các chu trình cuối đã ổn định.
5.1.3.11. Hộp các bon được lắp lại vào xe và phục hồi xe lại trạng thái hoạt động bình thường.
5.1.4. Một trong các phương pháp nêu trong mục 5.1.5 và 5.1.6 Phụ lục này phải được sử dụng để thuần hóa sơ bộ hộp các bon. Đối với xe sử dụng nhiều hộp các bon, mỗi hộp các bon phải được thuần hóa sơ bộ riêng rẽ.
5.1.4.1. Hộp các bon phải được đo để xác định điểm bão hòa.
Điểm bão hòa ở đây được định nghĩa là điểm mà khối lượng phát thải hydrocacbon đạt đến 2 gam.
5.1.4.2. Điểm bão hòa có thể được xác định bằng cách sử dụng buồng bay hơi loại kín như mô tả ở mục 5.1.5 và 5.1.6 Phụ lục này. Ngoài ra, điểm bão hòa có thể được xác định bằng cách sử dụng hộp các bon phụ nối với hộp các bon của xe. Hộp các bon phụ phải được làm sạch bằng không khí khô trước khi sử dụng.
5.1.4.3. Buồng kín phải được làm sạch trong vài phút trước khi ngay trước khi bắt đầu phép thử, đến khi có được có được không khí nền ổn định. Quạt gió phải đ ược bật trong thời điểm này.
Máy phân tích hydrocacbon phải được hiệu chuẩn điểm 0 và hiệu chuẩn thang đo ngay trước khi bắt đầu phép thử.
5.1.5. Chất tải hộp các bon bằng cách hâm nóng để đạt điểm bão hòa.
5.1.5.1. Thùng nhiên liệu của xe phải được tháo hết nhiên liệu bằng các đường thoát nhiên liệu có trong thùng. Phải tiến hành việc này sao cho không gây ra sự làm sạch hoặc chất tải một cách bất bình thường các thiết bị kiểm soát sự bay hơi lắp trên xe. Bình thường, việc tháo nắp thùng nhiên liệu là đủ để đạt được điều này.
5.1.5.2. Thùng nhiên liệu được nạp bằng nhiên liệu thử quy định ở nhiệt độ giữa khoảng 283K (10oC) và 287K (14oC) tới mức bằng 40% ± 2% của dung tích nhiên liệu bình thường của nó. Không được thay nắp thùng nhiên liệu vào lúc này.
5.1.5.3. Trong vòng 1 giờ kể từ khi được đổ xăng, xe phải được tắt máy và đặt trong buồng bay hơi kín. Cảm biến nhiệt độ thùng nhiên liệu được nối với hệ thống ghi lại nhiệt độ. Nguồn nhiệt phải được đặt hợp lý vào thùng nhiên liệu và được nối với bộ điều khiển nhiệt độ. Nguồn nhiệt được được mô tả ở mục 4.4 ở trên. Trong trường hợp xe lắp hai thùng nhiên liệu trở lên, tất cả các thùng phải được làm nóng lên bằng cùng một cách như mô tả dưới đây. Nhiệt độ của các thùng phải như nhau với sai lệch ± 1,5K.
5.1.5.4. Nhiên liệu phải được hâm nóng tới nhiệt độ khởi động bằng 293K (20oC) ± 1K.
5.1.5.5. Ngay khi nhiệt độ nhiên liệu đạt mức thấp nhất 292K (19oC), các bước sau đây phải được tiến hành ngay lập tức: tắt quạt làm sạch, cửa buồng thử phải được đóng và làm kín, thực hiện việc đo nồng độ hydrocacbon nền trong buồn g.
5.1.5.6. Ngay khi nhiên liệu trong thùng đạt được nhiệt độ 293K (20oC), quá trình gia nhiệt 15K (15oC) bắt đầu. Nhiệt độ nhiên liệu trong quá trình tăng nhiệt phải theo hàm số dưới đây với sai số ± 1,5K. Thời gian gia nhiệt và sự tăng nhiệt độ phải được ghi lại.
Tr = T0 + 0,2333 t
Trong đó:
Tr - Nhiệt độ yêu cầu (K);
T0 - Nhiệt độ ban đầu của thùng (K);
t - Thời gian từ khi bắt đầu tăng nhiệt thùng (phút ).
5.1.5.7. Ngay khi diễn ra sự bão hòa hoặc nhiệt độ nhiên liệu đạt 308K (35oC), tùy theo điều nào xảy ra trước, phải tắt nguồn nhiệt, cửa buồng kín phải được mở và nắp thùng nhiên liệu phải được tháo ra. Nếu sự bão hòa không diễn ra khi nhiệt độ nhiên liệu đạt đến 308K (35oC), phải ngắt nguồn nhiệt và đưa xe ra ngoài buồng kín, quy trình được nêu ở mục 5.1.7 phải được lặp lại cho đến khi xảy ra sự bão hòa.
5.1.6. Nạp butane cho đến khi đạt điểm bão hòa.
5.1.6.1. Nếu buồng kín được sử dụng để xác định điểm bão hòa (xem mục 5.1.4.2), xe phải được tắt máy và đặt trong buồng kín.
5.1.6.2. Hộp các bon phát thải bay hơi phải được chuẩn bị cho quá trình chất tải. Hộp các bon này không được tháo khỏi xe, trừ trường hợp việc tiếp cận hộp các bon bị hạn chế do vị trí lắp đặt nên phải tháo khỏi xe để chất tải. Việc tháo dỡ phải được thực hiện một cách cẩn thận để tránh làm hỏng các bộ phận và sự nguyên vẹn của hệ thống cung cấp nhiên liệu.
5.1.6.3. Hộp các bon này phải được chất tải bằng hỗn hợp có tỷ lệ thể tích 50% butane và 50% nitơ và với tốc độ 40g butane/h.
5.1.6.4. Khi đạt điểm bão hòa, phải cắt ngay nguồn cấp khí.
5.1.6.5. Sau đó, hộp các bon phải được lắp lại vào xe và phục hồi xe về trạng thái làm việc bình thường.
5.1.7. Tháo, rót thùng nhiên liệu
5.1.7.1. Thùng nhiên liệu trên xe phải được tháo hết nhiên liệu. Việc làm này không đ ược ảnh hưởng đến việc hoạt động của các thiết bị kiểm soát bay hơi được lắp trên xe. Tháo nắp thùng nhiên liệu là cách thông thường để thực hiện điều này.
5.1.7.2. Thùng nhiên liệu phải được và được rót đầy lại bằng nhiên liệu thử ở nhiệt độ từ 291K ± 8K (18oC ± 8oC) tới 40% ± 2% dung tích bình thường. Không được đậy nắp thùng nhiên liệu của xe vào lúc này.
5.2. Chu trình thuần hóa sơ bộ
5.2.1. Trong vòng 1 giờ từ khi kết thúc làm nóng thùng nhiên liệu lần thứ 2, xe phải được đặt lên băng thử và phải được chạy trong suốt một chu trình gồm 1 lần Phần 1 và 2 lần Phần 2 của Phép thử loại I. Không lấy mẫu khí thải trong giai đoạn này.
5.3. Ngâm xe
Trong vòng 5 phút sau khi kết thúc giai đoạn thuần hóa sơ bộ được quy định trong mục 5.2.1 phải đóng hoàn toàn nắp che động cơ (ca pô) và đưa xe ra khỏi băng thử và đặt vào khu vực ngâm xe. Phải đỗ xe trong thời gian ít nhất là 12 giờ, nhiều nhất là 36 giờ. Nhiệt độ làm mát và dầu bôi trơn động cơ phải bằng nhiệt độ của khu vực thử ± 3K sau khi kết thúc giai đoạn này.
5.4. Chạy xe trên băng thử
5.4.1. Sau khi kết thúc việc ngâm xe, xe phải được chạy một chu trình đầy đủ của phép thử loại I (Phần I và Phần II), sau đó phải tắt động cơ. Không lấy mẫu khí thải trong giai đoạn này.
5.4.2. Trong vòng 2 phút sau khi kết thúc việc chạy xe theo chu trình của phép thử loại I, phải tiếp tục chạy xe thêm một lần Phần I của chu trình này. Sau đó tắt động cơ. Không lấy mẫu khí thải trong giai đoạn này.
5.5. Phép thử phát thải bay hơi do ngấm nóng
5.5.1. Trước khi bắt đầu phép thử, buồng thử phải được làm sạch cho đến khi có được nồng độ nền hydrocacbon ổn định. Quạt trong buồng thử cũng phải được bật trong lúc này.
5.5.2. Máy phân tích hydrocacbon phải được hiệu chuẩn điểm 0 và hiệu chuẩn thang đo ngay trước khi bắt đầu phép thử.
5.5.3. Sau khi kết thúc chạy xe, phải đóng nắp che động cơ (ca pô) và tháo xe khỏi băng thử. Hạn chế sử dụng chân ga khi lái xe đến buồng thử bay hơi. Phải tắt động cơ trước khi đưa xe vào buồng thử. Tại thời gian động cơ được tắt, phải ghi lại trên hệ thống ghi số liệu đo phát thải bay hơi và phải bắt đầu ghi nhiệt độ. Vào giai đoạn này phải mở các cửa sổ và các khoang hành lý của xe.
5.5.4. Xe phải được đẩy hoặc dịch chuyển vào buồng thử với động cơ đã được tắt.
5.5.5. Phải đóng và làm kín khí các cửa của buồng kín trong vòng 2 phút sau khi động cơ tắt và trong 7 phút sau khi chạy thuần hóa xong.
5.5.6. Giai đoạn hâm nóng 60 phút ± 0,5 phút bắt đầu khi buồng kín được đóng kín, phải đo nồng độ HC, nhiệt độ và áp suất không khí để có kết quả chỉ thị ban đầu CHC,i, Pi và Ti cho phép thử phát thải bay hơi do ngấm nóng. Những số liệu này được dùng để tính toán phát thải bay hơi (Mục 6). Nhiệt độ T của không khí xung quanh không được thấp hơn 296K (23oC) và không lớn hơn 304K (31oC) trong giai đoạn ngấm nóng 60 phút.
5.5.7. Máy phân tích HC phải được hiệu chuẩn zêro và hiệu chuẩn thang đo ngay trước khi kết thúc giai đoạn thử 60 phút ± 0,5 phút.
5.5.8. Khi kết thúc giai đoạn thử 60 phút ± 0,5 phút phải đo nồng độ HC trong buồng đo. Phải đo nhiệt độ và áp suất không khí. Đây là những kết quả chỉ thị cuối cùng CHC,f, Pf và Tf của thử hâm nóng được dùng để tính toán trong Mục 6 Phụ lục này. Việc này kết thúc quy trình thử phát thải bay hơi.
5.6. Ngâm xe
Xe phải được đẩy hoặc di chuyển đến khu vực ngâm mà không sử dụng động cơ và phải được ngâm ít nhất 6 giờ và nhiều nhất 36 giờ giữa phép thử bay hơi do ngấm nóng và phép thử bay hơi thùng nhiên liệu. Ít nhất 6 giờ trong giai đoạn này, xe phải được ngâm ở nhiệt độ 293K ± 2K (20 ± 2°C).
5.7. Thử phát thải bay hơi do bay hơi thùng nhiên liệu
5.7.1. Xe thử phải được phơi nhiễm nhiệt độ xung quanh theo một chu trình có nhiệt độ thay đổi theo đường đặc tính được quy định tại Phụ lục 11 Quy chuẩn này với sai số tối đa cho phép về nhiệt độ là ± 2K tại bất kỳ thời điểm nào. Sai lệch nhiệt độ t rung bình so với đường đặc tính được tính bằng cách sử dụng trị tuyệt đối của từng giá trị sai lệch đo được không được vượt quá ± 1K. Nhiệt độ môi trường phải được đo theo từng phút. Chu trình thay đổi nhiệt độ bắt đầu tại thời điểm Tstart = 0, chi tiết được nêu tại mục 5.7.6 Phụ lục này.
5.7.2. Trước khi thực hiện phép thử, phải làm sạch buồng thử cho đến khi đạt được nồng độ nền ổn định. Cùng lúc đó phải bật quạt hòa trộn của buồng đo.
5.7.3. Trước khi đẩy xe vào buồng thử, phải tắt động cơ, mở hoàn toàn cửa sổ và khoang hành lý. Quạt hòa trộn phải được điều chỉnh để duy trì lượng gió có tốc độ tối thiểu là 8 km/h tuần hoàn phía dưới thùng xăng.
5.7.4. Máy phân tích hydrocacbon phải được hiệu chuẩn điểm 0 và hiệu chuẩn thang đo ngay trước khi thực hiện phép thử.
5.7.5. Các cửa buồng thử phải được đóng và làm kín bằng khí nén.
5.7.6. Trong vòng 10 phút kể từ khi đóng và làm kín các cửa, nồng độ hydrocacbon (CHCi), nhiệt độ (Ti) và áp suất (Pi) phải được đo. Đây là thời điểm bắt đầu phép thử Tstart = 0.
5.7.7. Máy phân tích hydrocacbon phải được hiệu chuẩn điểm 0 và hiệu chuẩn thang đo ngay khi phép thử kết thúc.
5.7.8. Quá trình lấy mẫu diễn ra trong vòng 24 giờ ± 6 phút kể từ khi bắt đầu lấy mẫu ban đầu như mô tả tại mục 5.7.6 Phụ lục này. Thời gian diễn ra phép thử sẽ được ghi lại. Nồng độ hydrocacbon (CHC,f), nhiệt độ (Tf) và áp suất môi trường (Pf) được đo và sử dụng để tính toán theo Mục 6 Phụ lục này. Kết thúc quy trình thử phát thải do bay hơi nhiên liệu.
6. Tính toán
6.1. Các phép thử phát thải bay hơi mô tả trong mục 5 sẽ cho phép tính toán được lượng phát thải HC từ các pha bay hơi do thông hơi thùng nhiên liệu và do ngấm nóng. Những tổn hao do bay hơi từ mỗi một trong các pha này phải được tính bằng cách sử dụng nồng độ HC, nhiệt độ và áp suất không khí ban đầu và cuối cùng trong buồng thử cũng như thể tích có ích của buồng thử.
Phải sử dụng công thức sau đây:

Trong đó:
MHC - Khối lượng HC phát thải trong pha thử (g);
MHC,out - Khối lượng HC thất thoát khỏi buồng thử, trong trường hợp sử dụng buồng kín loại thể tích không đổi cho phép thử bay hơi từ thùng nhiên liệu (g);
MHC,i - Khối lượng hydrocacbon lọt vào trong buồng thử, trong trường hợp sử dụng buồng kín loại thể tích không đổi cho phép thử bay hơi từ thùng nhiên liệu (g);
CHC - Nồng độ HC đo được trong buồng kín (ppm thể tích C1 tương đương);
V - Thể tích buồng kín có ích (m3) được hiệu chỉnh đúng đối với thể tích của xe với các cửa sổ và khoang hành lý được mở. Nếu không xác định được thể tích đó của xe thì phải trừ đi 1,42 m3;
T - Nhiệt độ buồng đo xung quanh (K);
P - áp suất không khí (kPa);
H/C - tỉ lệ H/C;
k = 1,2 (12 + H/C);
với:
i - là số đo ban đầu;
f - là số đo cuối cùng.
H/C được tính bằng 2,33 cho tổn thất do thông hơi thùng nhiên liệu;
H/C được tính bằng 2,20 cho tổn thất do làm ngấm nóng.
6.2. Kết quả cuối cùng của phép thử
Khối lượng phát thải HC toàn bộ đối với xe được tính là:
MTB = MTH + MHS
Trong đó:
MTB - Khối lượng phát thải toàn bộ của xe (g)
MTH - Khối lượng phát thải HC do hâm nóng thùng nhiên liệu (g)
MHS - Khối lượng phát thải toàn bộ do ngấm nóng (g)
7. Sự phù hợp của sản phẩm trong sản xuất
7.1. Xe mẫu để kiểm tra sự phù hợp của sản phẩm trong sản xuất phải đáp ứng các yêu cầu sau đây:
7.2. Kiểm tra sự rò rỉ
7.2.1. Những lỗ thông hơi với không khí từ hệ thống kiểm soát phát thải phải được tách biệt.
7.2.2. Phải tạo ra áp suất 370mm H2O ± 10mm H2O cho hệ thống nhiên liệu.
Áp suất phải được ổn định ngay trước khi tách hệ thống nhiên liệu khỏi nguồn áp suất.
7.2.3 Sau sự cách ly hệ thống nhiên liệu, áp suất không được giảm hơn 50mm H2O trong 5 phút.
7.3. Kiểm tra sự thông hơi
7.3.1. Những lỗ thông hơi với không khí từ hệ thống kiểm soát sự phát thải phải được tách biệt.
7.3.2. Phải tạo ra áp suất 370mm H2O ± 10mm H2O cho hệ thống nhiên liệu.
7.3.3. Áp suất đo phải được ổn định ngay trước khi tách hệ thống nhiên liệu khỏi nguồn áp suất.
7.3.4. Các lỗ thông hơi từ hệ thống kiểm soát sự phát thải ra không khí bên ngoài phải được phục hồi trong các điều kiện sản xuất.
7.3.5. Áp suất hệ thống nhiên liệu phải giảm xuống dưới 100mm H2O trong thời gian từ 30s đến 2 phút.
7.3.6. Theo đề nghị của nhà sản xuất, khả năng thông hơi thực tế có thể được thể hiện bằng một quy trình thay thế tương đương. Quy trình cụ thể phải được nhà sản xuất làm thử trước cơ sở thử nghiệm trong quá trình phê duyệt kiểu.
7.4. Kiểm tra sự làm sạch
7.4.1. Thiết bị có thể đo được một lưu lượng 1 lít/phút phải được lắp với lỗ đầu vào làm sạch và một bình áp suất có đủ kích thước để không có ảnh hưởng đáng kể đối với hệ thống làm sạch được nối với lỗ đầu vào làm sạch qua một van, hoặc một cách khác.
7.4.2. Nhà sản xuất có thể sử dụng đồng hồ lưu lượng theo sự lựa chọn riêng nếu được cơ quan có thẩm quyền chấp nhận.
7.4.3. Xe phải được vận hành sao cho bất kỳ đặc điểm kết cấu nào của hệ thống làm sạch có thể hạn chế hoạt động làm sạch đều được phát hiện và ghi lại.
7.4.4. Trong khi động cơ đang làm việc trong phạm vi được nêu trong mục 7.4.3 Phụ lục này, lưu lượng không khí phải được xác định như sau:
7.4.4.1. Nếu sử dụng thiết bị nêu tại mục 7.4.1 Phụ lục này, phải quan sát được sự sụt áp từ áp suất không khí xuống tới mức mà lưu lượng không khí đi vào hệ thống kiểm soát phát thải bay hơi là 1 lít/phút.
7.4.4.2. Hoặc nếu sử dụng một thiết bị đo lưu lượng thay thế khác thì thiết bị này phải phát hiện được một mức lưu lượng không nhỏ hơn 1 lít/phút.
7.4.4.3. Theo đề nghị của nhà sản xuất, có thể áp dụng một quy trình thử sự làm sạch thay thế nếu quy trình đó được trình bày và được sự chấp nhận của cơ sở thử nghiệm trong quá trình phê duyệt kiểu.
PHỤ LỤC 10
Hiệu chuẩn thiết bị thử phát thải bay hơi
1. Tần số và phương pháp hiệu chuẩn
1.1. Tất cả các thiết bị phải được hiệu chuẩn trước khi bắt đầu sử dụng và sau đó cần được hiệu chuẩn thường xuyên nếu cần thiết, trong bất kỳ trường hợp nào cần phải hiệu chuẩn vào tháng trước khi thử phê duyệt kiểu. Các phương pháp hiệu chuẩn được mô tả trong Phụ lục này.
1.2. Thông thường, phải áp dụng dải nhiệt độ được nêu ở cột đầu tiên (Đường đặc tính nhiệt độ cho việc hiệu chuẩn buồng kín và phép thử bay hơi do thất thoát thùng nhiên liệu) của Bảng đường đặc tính nhiệt độ cho các phép thử và hiệu chuẩn trong Phụ lục 11 Quy chuẩn này. Dải nhiệt độ ở cột hai (Đường đặc tính nhiệt độ cho việc hiệu chuẩn buồng kín theo mục 1.2 và mục 2.3.9 Phụ lục 10 Quy chuẩn này) là phương án thay thế.
2. Hiệu chuẩn buồng kín
2.1. Xác định thể tích ban đầu bên trong của buồng kín
2.1.1. Trước khi bắt đầu sử dụng, thể tích bên trong của buồng phải được xác định như sau: Các kích thước trong của buồng phải được đo cẩn thận, cho phép có một số ngoại lệ nào đó như các thanh giằng. Thể tích bên trong của buồng phải được xác định từ những phép đo này.
Đối với buồng kín loại thể tích thay đổi, buồng kín phải được cố định thể tích khi nhiệt độ trong buồng đạt 303K (30°C) [302K (29°C)]. Thể tích danh nghĩa này phải nằm trong khoảng ± 0,5% giá trị được báo cáo.
2.1.2 Thể tích bên trong có ích phải được xác định bằng thể tích bên trong của buồng trừ đi 1,42m3. Thể tích của xe thử với các cửa sổ và khoang hành lý mở có thể được coi là bằng 1,42m3.
2.1.3. Sự không rò rỉ phải được kiểm tra như quy định trong mục 2.3 Phụ lục này. Nếu khối lượng propan không bằng khối lượng được phun vào với sai số ± 2% thì cần phải hiệu chỉnh cho đúng.
2.2. Xác định phát thải nền của buồng kín
Công việc này xác định xem liệu buồng kín có chứa những chất gì phát thải HC với số lượng đáng kể. Việc kiểm tra phải được thực hiện khi buồng kín được đưa vào bảo dưỡng sau bất kỳ những hoạt động nào trong buồng mà có thể ảnh hưởng đến phát thải nền, theo chu kỳ ít nhất mỗi năm một lần.
2.2.1. Buồng kín loại thể tích thay đổi có thể được hoạt động theo cách điều chỉnh thể tích cố định hoặc không cố định, như mô tả ở mục 2.1.1 Phụ lục này. Nhiệt độ trong buồng phải ổn định ở mức 308K ± 2K (35°C ± 2°C) [309K ± 2K (35°C ± 2 °C)], trong giai đoạn 4 giờ như nêu dưới đây.
2.2.2. Buồng kín loại thể tích cố định phải được hoạt động trong điều kiện hai đường khí vào và ra được đóng kín. Nhiệt độ trong buồng phải ổn định trong khoảng 308K ± 2K (35 ± 2°C) (309K ± 2K (36 ± 2 °C)), trong giai đoạn 4 giờ như nêu dưới đây.
2.2.3. Buồng kín phải được làm kín và quạt hòa trộn phải chạy hơn 12 giờ trước khi giai đoạn lấy mẫu nền bắt đầu.
2.2.4. Hiệu chuẩn máy phân tích (nếu cần), sau đó hiệu chuẩn điểm 0 và hiệu chuẩn thang đo.
2.2.5. Làm sạch buồng kín cho tới khi đạt được số đo chỉ thị HC ổn định. Phải bật các quạt hòa trộn lên nếu chưa bật.
2.2.6. Đóng kín buồng và đo nồng độ HC, nhiệt độ và áp suất không khí nền. Đây là những số đo ban đầu CHC.i, Pi và Ti được dùng trong tính toán nền buồng kín.
2.2.7. Buồng kín phải được đặt trong trạng thái không bị xáo trộn bởi các quạt hòa trộn trong 4 giờ.
2.2.8. Vào cuối thời gian này phải sử dụng cùng một máy phân tích để đo nồng độ HC trong buồng thử. Phải đo cả nhiệt độ và áp suất không khí. Đây là những số đo cuối cùng CHC.f, Pf và Tf.
2.2.9. Sự thay đổi về khối lượng HC trong thời gian thử phải được tính toán như đã nêu trong mục 2.4 Phụ lục này và không được vượt quá 0,05g.
2.3. Hiệu chuẩn và kiểm tra sự duy trì HC của buồng kín
Việc hiệu chuẩn và kiểm tra sự duy trì HC của buồng kín nhằm kiểm tra về thể tích tính toán, như đề cập trong mục 2.1 Phụ lục này và xác định lượng rò rỉ bất kỳ.
2.3.1. Làm sạch buồng kín cho tới khi đạt được số đo chỉ thị HC ổn định. Phải bật các quạt hòa trộn lên nếu chưa bật. Máy phân tích HC phải được hiệu chuẩn điểm 0 và hiệu chuẩn thang đo nếu cần.
2.3.2. Đối với buồng kín loại thể tích thay đổi, thể tích buồng phải được cố định theo thể tích danh định. Đối với buồng kín loại thể tích không đổi, đường khí vào và ra phải được đóng kín.
2.3.3. Hệ thống điều khiển nhiệt độ trong phòng phải được bật lên (nếu chưa bật) và đặt nhiệt độ làm việc là 308K (35°C) (309K (36°C)).
2.3.4. Khi nhiệt độ trong phòng ổn định ở mức 308K ± 2K (35°C ± 2°C) (309K ± 2K (35°C ± 2°C)), buồng thử được làm kín và bắt đầu đo các giá trị: nồng độ nền hydrocacbon (CHCi), áp suất (Pi), nhiệt độ (Ti). Các giá trị này được sử dụng để hiệu chuẩn buồng thử.
2.3.5 Phun khoảng 4 gam propan vào buồng kín. Phải đo khối lượng propan với độ chính xác ± 2% giá trị đo được.
2.3.6. Cho phép khuấy trộn trong buồng 5 phút và sau đó đo nồng độ HC, nhiệt độ và áp suất không khí. Đây là những số đo cuối cùng CHC.f, Pf và Tf để hiệu chuẩn buồng kín.
2.3.7. Sử dụng các số đo trong mục 2.3.4 và mục 2.3.6 và công thức thiết lập trong mục 2.4 Phụ lục này để tính toán khối lượng propan trong buồng kín. Khối lượng này phải trong khoảng ± 2% của khối lượng propan được đo trong mục 2.3.5 Phụ lục này.
2.3.8. Đối với buồng kín loại thể tích thay đổi, không được cố định thể tích trong buồng theo giá trị thể tích danh định. Đối với buồng kín loại thể tích cố định, đường khí vào và ra phải được mở.
2.3.9. Quy trình thử phải bắt đầu trong vòng 15 phút kể từ khi làm kín buồng thử: Trong vòng 24 giờ giảm nhiệt độ môi trường từ 308K (35°C) xuống 293K (20°C) rồi trở lại 308K (35°C) (308,6K (35,6°C) xuống 295,2K (22,2°C) rồi quay trở lại 308,6K (35,6°C)) theo đường đặc tính nhiệt độ được nêu ở Phụ lục 11 của Quy chuẩn này (Sai số cho phép được nêu trong mục 5.7.1 Phụ lục 9 của Quy chuẩn này).
2.3.10. Sau khi kết thúc quy trình thử 24 giờ, nồng độ hydrocacbon cuối cùng, nhiệt độ và áp suất môi trường trong buồng thử được đo và ghi lại. Đây chính là kết quả CHCf, Pf và Tf của phép kiểm tra độ lọt khí hydrocacbon.
2.3.11. Sử dụng công thức trong mục 2.4 dưới đây để tính khối lượng HC theo các số đo lấy trong mục 2.3.6 và mục 2.3.10 Phụ lục này. Khối lượng này không được sai khác hơn 3% so với khối lượng HC được cho trong mục 2.3.7 Phụ lục này.
2.4. Tính toán
Việc tính toán sự thay đổi khối lượng HC trong buồng kín phải được sử dụng để xác định nền HC và vận tốc rò rỉ của nó. Các số đo đầu và cuối của nồng độ HC, nhiệt độ và áp suất không khí phải được sử dụng trong công thức sau đây để tính toán sự thay đổi khối lượng

Trong đó:
MHC - Khối lượng HC (g);
MHC,out - Khối lượng HC thất thoát khỏi buồng thử, trong trường hợp sử dụng buồng kín loại thể tích không đổi cho phép thử bay hơi do thất thoát thùng nhiên liệu (g);
MHC,i - Khối lượng hydrocacbon lọt vào trong buồng thử, trong trường hợp sử dụng buồng kín loại thể tích không đổi cho phép thử bay hơi do thất thoát thùng nhiên liệu (g);
CHC - Nồng độ HC trong buồng kín (ppm cacbon);
(Chú thích: ppm cacbon = ppm propan lũy thừa 3)
V - Thể tích buồng kín (m3);
T - Nhiệt độ xung quanh trong buồng kín, K;
P - áp suất không khí, kPa;
k = 17,6;
khi i - là số đo đầu, f - là số đo cuối.
3. Kiểm tra máy phân tích hyđrocacbon FID (Máy dò iôn hóa ngọn lửa)
3.1. Tối ưu hóa sự đáp trả của máy dò
FID phải được điều chỉnh theo quy định của nhà sản xuất thiết bị. Phải sử dụng propan trong không khí để tối ưu hóa sự đáp trả trên dải làm việc phổ biến nhất.
3.2. Hiệu chuẩn máy phân tích HC.
Máy phân tích phải được hiệu chuẩn bằng sử dụng propan trong không khí và không khí tổng hợp tinh khiết. Xem D.4.5.2 Phụ lục D TCVN 6785:2006 (các loại khí hiệu chuẩn).
Lập một đường cong hiệu chuẩn như mô tả trong mục 4.1 và mục 4.5 của Phụ lục này.
3.3. Kiểm tra nhiễu ôxy và các giới hạn
Hệ số đáp trả (Rf), đối với các loại HC đặc biệt là tỷ số của số đo C1 của FID đối với nồng độ bình khí, được biểu thị bằng ppm C1.
Đối với những dải hoạt động thông thường được sử dụng, nồng độ khí kiểm tra phải là mức có sự đáp trả gần bằng 80% của độ lệch cao nhất của thang đo. Nồng độ đó phải được biết với độ chính xác ± 2% so với chuẩn trọng lực tính theo thể tích.
Ngoài ra bình khí phải được chuẩn hóa điều kiện môi trường trước 24 giờ, ở nhiệt độ từ 293K đến 303K (20oC - 30oC).
Các hệ số đáp trả phải được xác định khi đưa máy phân tích vào bảo dưỡng và sau đó là ở những kỳ bảo dưỡng chính.
Khí chuẩn được sử dụng là propan với không khí tinh khiết cân bằng mà chúng phải được thực hiện để có một hệ số đáp trả là 1,00.
Khí kiểm tra được sử dụng cho kiểm tra nhiễu ôxy và giới hạn hệ số đáp trả là:
Propan và nitơ: 0,95 £ Rf £ 1,05
4. Hiệu chuẩn máy phân tích HC
Phải hiệu chuẩn từng dải hoạt động thường được sử dụng theo quy trình sau đây:
4.1. Phải lập đường cong hiệu chuẩn bằng ít nhất 5 điểm hiệu chuẩn càng cách đều nhau càng tốt trên dải hoạt động. Nồng độ danh định của khí hiệu chuẩn với các nồng độ cao nhất ít nhất phải bằng 80% giá trị cao nhất của thang đo.
4.2. Đường cong hiệu chuẩn phải được tính bằng phương pháp bình phương bé nhất. Nếu bậc của đa thức kết quả lớn hơn 3 thì số điểm hiệu chuẩn phải ít nhất bằng bậc của đa thức cộng với 2.
4.3. Đường cong hiệu chuẩn không được sai khác quá 2% so với giá trị danh định của từng khí hiệu chuẩn.
4.4. Bằng cách sử dụng các bậc của đa thức có được trong mục 4.2 Phụ lục này, phải vẽ một bảng các số chỉ thị theo nồng độ thực theo các bước không lớn hơn 1% toàn thang đo. Điều này được thực hiện theo từng khoảng hiệu chuẩn của máy phân tích. Bảng này cũng phải có số liệu khác thích hợp như:
Ngày hiệu chuẩn;
Các số đo điểm 0 và dải đo (nếu có thể);
Thang đo danh định;
Giá trị thực và chỉ báo của từng khí hiệu chuẩn được sử dụng và sai khác theo %;
Nhiên liệu và kiểu FID;
Áp suất không khí của FID.
4.5. Nếu cơ sở thử nghiệm có thể biết công nghệ thay thế nào đó (Ví dụ: máy tính, bộ chuyển mạch dải đo điều khiển điện tử) cho được độ chính xác tương đương thì có thể sử dụng những công nghệ thay thế đó.
PHỤ LỤC 11
Đường đặc tính nhiệt độ cho các phép thử và hiệu chuẩn
|
Đường đặc tính nhiệt độ cho việc hiệu chuẩn buồng kín và phép thử bay hơi do thất thoát thùng nhiên liệu. |
Đường đặc tính nhiệt độ cho việc hiệu chuẩn buồng kín theo mục 1.2 và mục 2.3.9 Phụ lục 10 Quy chuẩn này. |
|||
|
Thời gian (giờ) |
Nhiệt độ (°Ci) |
Thời gian (giờ) |
Nhiệt độ (°Ci) |
|
|
Hiệu chuẩn |
Phép thử |
|||
|
13 |
0/24 |
20,0 |
0 |
35,6 |
|
14 |
1 |
20,2 |
1 |
35,3 |
|
15 |
2 |
20,5 |
2 |
34,5 |
|
16 |
3 |
21,2 |
3 |
33,2 |
|
17 |
4 |
23,1 |
4 |
31,4 |
|
18 |
5 |
25,1 |
5 |
29,7 |
|
19 |
6 |
27,2 |
6 |
28,2 |
|
20 |
7 |
29,8 |
7 |
27,2 |
|
21 |
8 |
31,8 |
8 |
26,1 |
|
22 |
9 |
33,3 |
9 |
25,1 |
|
23 |
10 |
34,4 |
10 |
24,3 |
|
24/0 |
11 |
35,0 |
11 |
23,7 |
|
1 |
12 |
34,7 |
12 |
23,3 |
|
2 |
13 |
33,8 |
13 |
22,9 |
|
3 |
14 |
32,0 |
14 |
22,6 |
|
4 |
15 |
30,0 |
15 |
22,2 |
|
5 |
16 |
28,4 |
16 |
22,5 |
|
6 |
17 |
26,9 |
17 |
24,2 |
|
7 |
18 |
25,2 |
18 |
26,8 |
|
8 |
19 |
24,0 |
19 |
29,6 |
|
9 |
20 |
23,0 |
20 |
31,9 |
|
10 |
21 |
22,0 |
21 |
33,9 |
|
11 |
22 |
20,8 |
22 |
35,1 |
|
12 |
23 |
20,2 |
23 |
35,4 |
|
|
|
|
24 |
35,6 |
PHỤ LỤC 12
Quy trình thử đối với xe được trang bị hệ thống tái sinh định kỳ
1. Mở đầu
Phụ lục này nêu ra các yêu cầu chi tiết trong kiểm tra khí thải xe được trang bị hệ thống tái sinh định kỳ.
2. Phạm vi áp dụng và mở rộng phê duyệt kiểu
2.1 Họ xe được trang bị hệ thống tái sinh định kỳ
Quy trình này áp dụng cho các xe được trang bị hệ thống tái sinh định kỳ như được định nghĩa ở mục 1.3.37 Quy chuẩn này. Để áp dụng Phụ lục này có thể tạo ra các họ xe. Theo đó, các kiểu xe được trang bị hệ thống tái sinh nếu có các thông số dưới đây giống nhau hoặc nằm trong khoảng sai lệch cho phép, thì được coi là thuộc về một họ xe liên quan đến các phép đo đặc trưng đối với các hệ thống tái sinh định kỳ đã được định nghĩa.
2.1.1 Các thông số.
- Động cơ:
Quá trình cháy.
- Hệ thống tái sinh định kỳ (ví dụ: bộ xúc tác, lọc hạt):
+ Cấu tạo (ví dụ: kiểu bọc kín, loại kim loại quý, loại chất nền, mật độ lỗ);
+ Kiểu và nguyên lý hoạt động;
+ Hệ thống định lượng và bổ sung;
+ Thể tích ± 10%;
+ Vị trí của hệ thống (tại đó nhiệt độ của hệ thống ở trong khoảng ± 500oC ở tốc độ 120 km/h hoặc chênh lệch nhiệt độ/áp suất lớn nhất trong khoảng 5%).
2.2 Các kiểu xe có khối lượng chuẩn khác nhau
Các hệ số Ki, được tính bởi quy trình trong Phụ lục này để phê duyệt kiểu xe được trang bị hệ thống tái sinh định kỳ như được định nghĩa ở mục 1.3.37 Quy chuẩn này có thể được mở rộng áp dụng cho các xe khác trong cùng họ có khối lượng chuẩn ở trong hai dải quán tính tương đương cao hơn tiếp theo hoặc trong bất kỳ dài quán tính tương đương nào thấp hơn.
3. Quy trình thử
Xe có thể được trang bị bộ chuyển mạch để ngăn chặn hoặc cho phép quá trình tái sinh diễn ra, miễn là hoạt động này không ảnh hưởng đến việc hiệu chuẩn động cơ nguyên thủy. Bộ chuyển mạch này chỉ được phép dùng để ngăn chặn việc tái sinh trong quá trình chất tải hệ thống tái sinh hoặc trong các chu trình thuần hóa sơ bộ. Tuy nhiên, bộ chuyển mạch này không được phép sử dụng lúc đo khí thải trong giai đoạn tái sinh; đúng hơn là phép thử phải được thực hiện với bộ điều khiển thiết bị nguyên gốc của nhà sản xuất thiết bị này.
3.1. Đo khí thải giữa hai chu trình xảy ra quá trình tái sinh
3.1.1. Phát thải trung bình giữa các giai đoạn tái sinh và trong quá trình chất tải của thiết bị tái sinh phải là giá trị trung bình cộng của một số chu trình thử loại I gần như cách đều nhau (nếu > 2) hoặc của một số chu trình trên băng thử động cơ tương đương. Nếu nhà sản xuất có số liệu chứng minh được rằng khí thải giữa các giai đoạn tái sinh là ổn định (±15%), thì khí thải đo được trong phép thử loại I thông thường có thể được sử dụng. Trong các trường hợp khác, phải hoàn thành việc đo khí thải ít nhất là 2 chu trình phép thử loại I hoặc 2 chu trình trên băng thử động cơ tương đương: một chu trình ngay sau quá trình tái sinh (trước quá trình chất tải mới) và chu trình còn lại càng sát ngay trước giai đoạn tái sinh càng tốt. Tất cả việc đo và tính toán khí thải phải được tiến hành theo mục D.5, D.6, D.7 và D.8 Phụ lục D TCVN 6785. Việc xác định khối lượng khí thải trung bình đối với một hệ thống tái sinh phải được tính toán theo mục 3.3 của Phụ lục này và đối với nhiều hệ thống tái sinh thì phải tính toán theo mục 3.4 của Phụ lục này.
3.1.2. Quá trình chất tải và xác định hệ số Ki phải được thực hiện trong chu trình của phép thử loại I trên băng thử xe hoặc trên băng thử động cơ bằng việc sử dụng chu trình thử tương đương. Các chu trình này có thể chạy liên tục (không cần tắt động cơ giữa các chu trình). Sau khi hoàn thành số lượng chu trình nhất định, xe có thể được đưa ra khỏi băng thử và phép thử đó sẽ được tiếp tục sau.
3.1.3. Số lượng chu trình (D) giữa hai chu trình xảy ra quá trình tái sinh, số lượng chu trình thực hiện việc đo khí thải (n) và mỗi lần đo khí thải (M’sij) phải được khai báo trong mục 2.2.11.2, a) hoặc 2.2.11.2, e) Phụ lục 1 Quy chuẩn này(nếu có).
3.2. Đo khí thải trong quá trình tái sinh
3.2.1. Việc chuẩn bị xe, nếu yêu cầu, đối với phép thử khí thải trong giai đoạn tái sinh phải được hoàn thành theo các chu trình chuẩn bị được nêu trong D.5.3 Phụ lục D TCVN 6785 hoặc theo chu trình trên băng thử động cơ tương đương, tùy theo quy trình chất tải được nêu tại mục 3.1.2 Phụ lục này.
3.2.2. Điều kiện về phép thử và xe đối với phép thử loại I nêu trong Phụ lục D TCVN 6785 phải được thỏa mãn trước khi tiến hành phép thử khí thải đầu tiên.
3.2.3. Quá trình tái sinh không được xảy ra trong quá trình chuẩn bị xe. Việc này có thể được đảm bảo bằng các phương pháp sau:
3.2.3.1. Một hệ thống tái sinh “giả” hoặc một phần của hệ thống tái sinh có thể được lắp đặt trên xe cho các chu trình thuần hóa sơ bộ.
3.2.3.2. Các phương pháp khác được nhà sản xuất và cơ quan quản lý chất lượng đồng ý.
3.2.4. Phép thử khí thải tại đuôi ống xả sau khi khởi động ở trạng thái nguội bao gồm quá trình tái sinh phải được thực hiện theo chu trình của phép thử loại I hoặc theo chu trình trên băng thử động cơ tương đương. Nếu các phép thử khí thải giữa hai chu trình tái sinh được tiến hành trên băng thử động cơ, thì cũng phải thực hiện phép thử có quá trình tái sinh đó trên băng thử động cơ (xem hình 2).
3.2.5. Nếu quá trình tái sinh đó yêu cầu nhiều hơn một chu trình thử thì (các) chu trình thử tiếp theo phải được thực hiện ngay lập tức (không tắt động cơ), cho đến khi hoàn thành quá trình tái sinh (từng chu trình phải được hoàn thành). Thời gian cần thiết để chuẩn bị một phép thử mới phải ngắn nhất có thể (ví dụ: thay giấy lọc hạt …). Động cơ phải được tắt trong giai đoạn này.
3.2.6. Giá trị khí thải trong quá trình tái sinh (Mri) phải được tính toán theo mục D.8 Phụ lục D TCVN 6785. Số lượng chu trình thử (d) được đo để hoàn thành quá trình tái sinh phải được ghi lại.

|
M'sij |
= |
Khối lượng phát thải chất ô nhiễm (i) (g/km) trong một chu trình phép thử loai I (hoặc chu trình trên băng thử động cơ tương đương) không có quá trình tái sinh; |
|
M'rij |
= |
Khối lượng phát thải chất ô nhiễm (i) (g/km) trong một chu trình phép thử loại I (hoặc chu trình trên băng thử động cơ tương đương) có diễn ra quá trình tái sinh (nếu d > 1, phép thử loại I đầu chạy nguội, các chu trình tiếp theo chạy nóng); |
|
Msi |
= |
Giá trị trung bình của khối lượng phát thải chất ô nhiễm (i) (g/km) không có quá trình tái sinh; |
|
Mri |
= |
Giá trị trung bình của khối lượng phát thải chất ô nhiễm (i) (g/km) có xảy ra quá trình tái sinh; |
|
Mpi |
= |
Khối lượng phát thải chất ô nhiễm (i) (g/km); |
|
n |
= |
Số lượng điểm đo mà ở đó việc đo khí thải (các chu trình phép thử loại I hoặc các chu trình trên băng thử động cơ tương đương) được thực hiện giữa hai chu trình tái sinh, n ≥ 2; |
|
d |
= |
Số lượng chu trình cần thiết để xảy ra quá trình tái sinh; |
|
D |
= |
Số lượng chu trình thử giữa hai chu trình tái sinh. |

3.3.1 Cách tính toán hệ số tái sinh K cho từng chất ô nhiễm
Ki = Mpi / Msi
Kết quả của Msi, Mpi và Ki phải được lưu trong báo cáo thử nghiệm của cơ sở thử nghiệm
Ki có thể được xác định sau khi hoàn thành một chuỗi công việc.


|
Msi |
= |
Khối lượng phát thải trung bình của tất cả giai đoạn k của chất ô nhiễm (i) (g/km) không có quá trình tái sinh; |
||
|
Mri |
= |
Khối lượng phát thải trung bình của tất cả giai đoạn k của chất ô nhiễm (i) (g/km) có xảy ra quá trình tái sinh; |
||
|
Mpi |
= |
Khối lượng phát thải trung bình của tất cả giai đoạn k của chất ô nhiễm (i) (g/km); |
||
|
Msik |
= |
Khối lượng phát thải trung bình của giai đoạn k của chất ô nhiễm (i) (g/km) không có quá trình tái sinh; |
||
|
Mrik |
= |
Khối lượng phát thải trung bình của giai đoạn k của chất ô nhiễm (i) (g/km) có xảy ra quá trình tái sinh; |
||
|
M'sik,j |
= |
Khối lượng phát thải của giai đoạn k của chất ô nhiễm (i) (g/km) trong một chu trình vận hành phép thử loai I (hoặc chu trình trên băng thử động cơ |
||
|
|
|
tương đương), không có quá trình tái sinh, được đo tại điểm j; 1 ≤ j ≤ nk; |
||
|
M'rik,j |
= |
Khối lượng phát thải của giai đoạn k của chất ô nhiễm (i) (g/km) trong một chu trình vận hành phép thử loại I (hoặc chu trình trên băng thử động cơ tương đương), có xảy ra quá trình tái sinh (nếu j > 1, phép thử loại I đầu tiên chạy nguội và các chu kỳ tiếp theo chạy nóng), được đo tại chu trình vận hành j: 1 ≤ j ≤ nk; |
||
|
nk |
= |
Số lượng điểm đo của giai đoạn k mà việc đo khí thải (chu trình vận hành phép thử loại I hoặc chu trình trên băng thử động cơ tương đương) được thực hiện giữa hai chu trình tái sinh, ≥ 2; |
||
|
dk |
= |
Số lượng chu trình trình vận hành của kết quả k cần có để quá trình tái sinh diễn ra; |
||
|
Dk |
= |
Số lượng chu trình vận hành của kết quả k, giữa hai chu trình tái sinh. |
||
Để rõ hơn xem Hình 2 bên dưới

Hình 2. Các thông số được đo khi thử nghiệm phát thải trong và giữa hai chu trình xảy ra quá trình tái sinh
Để rõ hơn xem Hình 3 bên dưới

Hình 3 - Thông số được đo khi diễn ra phép thử khí thải, trong và giữa hai chu trình xảy ra quá trình tái sinh
Áp dụng cho những trường hợp thực tế và đơn giản, phần thuyết minh dưới đây sẽ giải thích chi tiết cho sơ đồ trong Hình 3:
- DPF (Diesel particulate filter): tái sinh, quá trình tương đương, giá trị phát thải tương đương (±15%):
Dk = Dk+1 = D1
dk = dk+1 = d1
Mrik - Msik = Mrik+1 - Msik+1
nk = n
- Khử NOx: quá trình khử lưu huỳnh (SO2) được bắt đầu trước khi ảnh hưởng của lưu huỳnh đến khí thải được phát hiện (±15% của khí thải đo được) và trong ví dụ này đối với lý do giãn nở cùng với lần tái sinh cuối cùng DPF xảy ra.
M'sik,j=1 = constant à Msik = Msik+1 = Msi2
Mrik = Mrik+1 = Mri2
Lần khử lưu huỳnh: Mri2, Msi2, d2, D2, n2 = 1
- Hệ thống (DPF + DeNOx):

Việc tính toán hệ số (Ki) cho nhiều hệ thống tái sinh định kỳ chỉ có thể được thực hiện sau khi đã có một số giai đoạn tái sinh nhất định trên từng hệ thống. Sau khi hoàn thành quy trình (A đến B, như Hình 2), tiếp tục quay lại thực hiện từ bước A.
3.4.1. Mở rộng phê duyệt cho hệ thống nhiều thiết bị tái sinh định kỳ.
3.4.1.1. Nếu (các) thông số kỹ thuật và/hoặc phương thức tái sinh của hệ thống nhiều thiết bị tái sinh, trong tất cả các lần thử, của hệ thống tổng hợp này bị thay đổi, một quy trình bao gồm tất cả thiết bị tái sinh phải được đo để cập nhật hệ số K.
3.4.1.2 Nếu một thiết bị đơn trong hệ thống nhiều thiết bị tái sinh chỉ thay đổi các thông số phương thức (ví dụ: “D” và/hoặc “d” đối với DPF) và nhà sản xuất có thể đưa các dữ liệu và thông tin rằng:
- Không phát hiện việc ảnh hưởng đến các thiết bị khác trong hệ thống, và
- Những thông số quan trọng (ví dụ: cấu trúc, nguyên lý làm việc, thể tích, vị trí v.v…) là không đổi.
Quy trình cần thiết để cập nhật ki có thể được đơn giản hóa.
Nếu có sự thống nhất giữa nhà sản xuất và phòng thử nghiệm như trong trường hợp chỉ một quá trình lấy mẫu/ lưu trữ và tái sinh được thực hiện và các kết quả (“Msi”, “Mri”) được kết hợp với các hệ số được thay đổi (“D”, hoặc/ và “d”) có thể được đưa vào các công thức phù hợp để cập nhật hệ số Ki bằng toán học để thay thế các công thức Ki cơ bản đã có.
Bạn chưa Đăng nhập thành viên.
Đây là tiện ích dành cho tài khoản thành viên. Vui lòng Đăng nhập để xem chi tiết. Nếu chưa có tài khoản, vui lòng Đăng ký tại đây!
Bạn chưa Đăng nhập thành viên.
Đây là tiện ích dành cho tài khoản thành viên. Vui lòng Đăng nhập để xem chi tiết. Nếu chưa có tài khoản, vui lòng Đăng ký tại đây!