- Tổng quan
- Nội dung
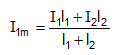
- Tiêu chuẩn liên quan
- Lược đồ
- Tải về
Tiêu chuẩn Quốc gia TCVN 5575:2012 Kết cấu thép-Tiêu chuẩn thiết kế
| Số hiệu: | TCVN 5575:2012 | Loại văn bản: | Tiêu chuẩn Việt Nam |
| Cơ quan ban hành: | Bộ Khoa học và Công nghệ | Lĩnh vực: | Công nghiệp |
|
Ngày ban hành:
Ngày ban hành là ngày, tháng, năm văn bản được thông qua hoặc ký ban hành.
|
27/12/2012 |
Hiệu lực:
|
Đã biết
|
| Người ký: | Đang cập nhật |
Tình trạng hiệu lực:
Cho biết trạng thái hiệu lực của văn bản đang tra cứu: Chưa áp dụng, Còn hiệu lực, Hết hiệu lực, Hết hiệu lực 1 phần; Đã sửa đổi, Đính chính hay Không còn phù hợp,...
|
Đã biết
|
TÓM TẮT TIÊU CHUẨN VIỆT NAM TCVN 5575:2012
Nội dung tóm tắt đang được cập nhật, Quý khách vui lòng quay lại sau!
Tải tiêu chuẩn Việt Nam TCVN 5575:2012
TIÊU CHUẨN QUỐC GIA
TCVN 5575 : 2012
KẾT CẤU THÉP - TIÊU CHUẨN THIẾT KẾ
Steel structures - Design standard
Lời nói đầu
TCVN 5575:2012 thay thế TCVN 5575:1991.
TCVN 5575:2012 được chuyển đổi từ TCXDVN 338:2005 thành Tiêu chuẩn Quốc gia theo qui định tại khoản 1 Điều 69 của Luật Tiêu chuẩn và Quy chuẩn kỹ thuật và điểm b khoản 2 Điều 7 Nghị định số 127/2007/NĐ-CP ngày 1/8/2007 của Chính phủ qui định chi tiết thi hành một số điều của Luật tiêu chuẩn và Quy chuẩn kỹ thuật.
TCVN 5575:2012 do Viện Khoa học Công Nghệ Xây Dựng - Bộ xây dựng biên soạn, Bộ xây dựng đề nghị, Tổng cục Tiêu chuẩn Đo lường Chất lượng thẩm định, Bộ Khoa học và Công nghệ công bố.
KẾT CẤU THÉP - TIÊU CHUẨN THIẾT KẾ
Steel structures - Design standard
1 Phạm vi áp dụng
Tiêu chuẩn này dùng để thiết kế kết cấu thép các công trình xây dựng dân dụng, công nghệ. Tiêu chuẩn này không dùng để thiết kế các công trình giao thông, thủy lợi như các loại cầu, công trình trên đường, cửa van, đường ống, v.v…
2 Tài liệu viện dẫn
Các tài liệu viện dẫn sau là cần thiết cho việc áp dụng tiêu chuẩn này. Đối với các tài liệu viện dẫn ghi năm công bố thì áp dụng bản được nêu. Đối với các tài liệu viện dẫn không ghi năm công bố thì áp dụng phiên bản mới nhất, bao gồm cả các sửa đổi, bổ sung (nếu có).
TCVN 197:2002, Kim loại. Phương pháp thử kéo.
TCVN 198:2008, Kim loại. Phương pháp thử uốn.
TCVN 312:2007, Kim loại. Phương pháp thử uốn va đập ở nhiệt độ thường.
TCVN 313:1985, Kim loại. Phương pháp thử xoắn.
TCVN 1691:1975, Mối hàn hồ quang điện bằng tay. Kiểu, kích thước cơ bản.
TCVN 1765:1975, Thép các bon kết cấu thông thường. Mác thép và yêu cầu kỹ thuật.
TCVN 1766:1975, Thép các bon kết cấu chất lượng tốt. Mác thép và yêu cầu kỹ thuật.
TCVN 1916:1995: Bu lông,vít, vít cấy và đai ốc. Yêu cầu kỹ thuật.
TCVN 2737:1995, Tải trọng và tác động. Tiêu chuẩn thiết kế.
TCVN 3104:1979, Thép kết cấu hợp kim thấp. Mác, yêu cầu kỹ thuật.
TCVN 3223:2000, Que hàn điện dùng cho thép các bon thấp và thép hợp kim thấp. Ký hiệu, kích thước và yêu cầu kỹ thuật chung.
TCVN 3909:2000, Que hàn điện dùng cho thép các bon thấp và thép hợp kim thấp. Phương pháp thử.
TCVN 5400:1991, Mối hàn. Yêu cầu chung về lấy mẫu để thử cơ tính.
TCVN 5401:1991, Mối hàn. Phương pháp thử uốn.
TCVN 5402:2010, Mối hàn. Phương pháp thử uốn va đập.
TCVN 5709:2009, Thép các bon cán nóng dùng làm kết cấu trong xây dựng. Yêu cầu kỹ thuật.
TCVN 6522:2008, Thép tấm kết cấu cán nóng.
3 Đơn vị đo và ký hiệu
3.1 Đơn vị đo
Tiêu chuẩn này sử dụng các đơn vị đo theo hệ SI, cụ thể là đơn vị dài: mét (m); đơn vị lực: niutơn (N); đơn vị ứng suất: pascan (Pa); đơn vị khối lượng: kilogam (kg); thời gian: giây (s).
3.2 Ký hiệu
a) Các đặc trưng hình học
A diện tích tiết diện nguyên
An diện tích tiết diện thực
Af diện tích tiết diện cánh
Aw diện tích tiết diện bản bụng
Abn diện tích tiết diện thực của buông
Ad diện tích tiết diện thanh xiên.
b chiều rộng
bt chiều rộng cánh
bo chiều rộng phần nhô ra của cánh
bs chiều rộng của sườn ngang
h chiều cao của tiết diện
hw chiều cao của bản bụng
hf chiều cao của đường hàn gốc
htk khoảng cách giữa trục của các cánh dầm
i bán kính quán tính của tiết diện
ix, iy bán kính quán tính của tiết diện đối với các trục tương ứng x-x, y-y
imin bán kính quán tính nhỏ nhất của tiết diện
If mômen quán tính của tiết diện nhánh
Im, Id mômen quán tính của thanh cánh và thanh xiên của giàn
Ib mômen quán tính tiết diện bản giằng
Is, Isl mômen quán tính tiết diện sườn ngang và dọc
It mômen quán tính xoắn
Itr mômen quán tính xoắn của ray, dầm
Ix, Iy các mômen quán tính của tiết diện nguyên đối với các trục tương ứng x-x và y-y
Inx, Iny các mômen quán tính của tiết diện thực đối với các trục tương ứng x-x, y-y
L chiều cao của thanh đứng, cột hoặc chiều dài nhịp dầm
l chiều dài nhịp
ld chiều dài của thanh xiên
lm chiều dài khoang các thanh cánh của giàn hoặc cột rỗng
lo chiều dài tính toán của cấu kiện chịu nén
lx, ly chiều dài tính toán của cấu kiện trong các mặt phẳng vuông góc với các trục tương ứng x-x, y-y
lw chiều dài tính toán của đường hàn
S mômen tĩnh
s bước lỗ bu lông
t chiều dày
tf, tw chiều dài của bản cánh và bản bụng
u khoảng cách đường lỗ bu lông
Wnmin môđun chống uốn (mômen kháng) nhỏ nhất của tiết diện thực đối với trục tính toán
Wx, Wy môđun chống uốn (mômen kháng) của tiết diện nguyên đối với trục tương ứng x-x, y-y
Wnx,min, Wny,min môđun chống uốn (mômen kháng) nhỏ nhất của tiết diện thực đối với các trục tương ứng x-x, y-y
b) Ngoại lực và nội lực
F, P ngoại lực tập trung
M mômen uốn
Mx, My mômen uốn đối với trục tương ứng x-x, y-y
Mt mômen xoắn cục bộ
N lực dọc
Nd nội lực phụ
NM lực dọc trong nhánh do mômen gây ra
p áp lực tính toán
V lực cắt
Vt lực cắt qui ước tác dụng trong một mặt phẳng thanh (bản) giằng
Vs lực cắt qui ước tác dụng trong thanh (bản) giằng của một nhánh
c) Cường độ và ứng suất
E môđun đàn hồi
fy cường độ tiêu chuẩn lấy theo giới hạn chảy của thép
fu cường độ tiêu chuẩn của thép theo sức bền kéo đứt
f cường độ tính toán của thép chịu kéo, nén, uốn lấy theo giới hạn chảy
ft cường độ tính toán của thép theo sức bền kéo đứt
fv cường độ tính toán chịu cắt của thép
fc cường độ tính toán của thép khi ép mặt theo mặt phẳng tì đầu (có gia công phẳng)
fcc cường độ tính toán ép mặt cục bộ trong các khớp trụ (mặt cong) khi tiếp xúc chặt
fth cường độ tính toán chịu kéo của sợi thép cường độ cao
fub cường độ kéo đứt tiêu chuẩn của bulông
ftb cường độ tính toán chịu kéo của bulông
fvb cường độ tính toán chịu cắt của bulông
fcb cường độ tính toán chịu ép mặt của bulông
fba cường độ tính toán chịu kéo của bulông neo
fhb cường độ tính toán chịu kéo của bulông cường độ cao
fcd cường độ tính toán chịu ép mặt theo đường kính con lăn
fw cường độ tính toán của mối hàn đối đầu chịu nén, kéo, uốn theo giới hạn chảy
fwu cường độ tính toán của mối hàn đối đầu chịu nén, kéo, uốn theo sức bền kéo đứt
fw v cường độ tính toán của mỗi mối hàn đối đầu chịu cắt
fwf cường độ tính toán của đường hàn góc (chịu cắt qui ước) theo kim loại mối hàn
fws cường độ tính toán của đường hàn góc (chịu cắt qui ước) theo kim loại ở biên nóng chảy
fwun cường độ tiêu chuẩn của kim loại đường hàn theo sức bền kéo đứt
G môđun trượt
ứng suất thấp
ứng suất pháp cục bộ
các ứng suất pháp song song với các trục tương ứng x-x, y-y
các ứng suất pháp tới hạn và ứng suất cục bộ tới hạn
ứng suất tiếp
ứng suất tiếp tới hạn
d) Kí hiệu các thông số
c1, cx, cy các hệ số dùng để kiểm tra bền của dầm chịu uốn trong một mặt phẳng chính hoặc trong hai mặt phẳng chính khi có kể đến sự phát triển của biến dạng dẻo
e độ lệch tâm của lực
m độ lệch tâm tương đối
me độ lệch tâm tương đối tính đổi
n, p, m các thông số để xác định chiều dài tính toán của cột
na số lượng bulông trên một nữa liên kết
nc số mũ
nQ chu kỳ tải trọng
nv số lượng các mặt cắt tính toán;
các hệ số tính toán đường hàn góc theo kim loại đường hàn và ở biên nóng chảy của thép cơ bản
hệ số điều kiện làm việc của kết cấu.
hệ số điều kiện làm việc của liên kết bulông
hệ số độ tin cậy về cường độ
hệ số độ tin cậy về tải trọng
hệ số độ tin cậy trong các tính toán theo sức bền tức thời
hệ số ảnh hưởng hình dạng của tiết hiện
độ mảnh của cấu kiện (l = lo/i)
độ mảnh qui ước 
độ mảnh tương đương của thanh tiết diện rỗng
độ mảnh tương đương qui ước của thanh tiết diện rỗng 
độ mảnh qui ước của bản bụng 
độ mảnh tính toán của cấu kiện trong các mặt phẳng vuông góc với các trục tương ứng x-x, y-y
hệ số chiều dài tính toán của cột
hệ số uốn dọc
hệ số giảm cường độ tính toán khi mất ổn định dạng uốn xoắn
hệ số giảm cường độ tính toán khi nén lệch tâm,nén uốn
hệ số xác định hệ số
khi tính toán ổn định của dầm (Phụ lục E)
4 Nguyên tắc chung
4.1 Các qui định chung
4.1.1 Khi thiết kế kết cấu thép của một số loại công trình chuyên dụng như kết cấu lò cao, công trình thủy công, công trình ngoài biển hoặc kết cấu thép có tính chất đặc biệt như kết cấu thành mỏng, kết cấu thép tạo hình nguội, kết cấu ứng lực trước, kết cấu không gian, v.v…, cần theo những yêu cầu riêng qui định trong các tiêu chuẩn chuyên ngành.
4.1.2 Kết cấu thép phải được thiết kế đạt yêu cầu chung qui định trong Quy chuẩn Xây dựng Việt Nam là đảm bảo an toàn chịu lực và đảm bảo khả năng sử dụng bình thường trong suốt thời hạn sử dụng công trình.
4.1.3 Khi thiết kế kết cấu thép còn cần tuân thủ các tiêu chuẩn tương ứng về phòng chống cháy, về bảo vệ chống ăn mòn. Không được tăng bề dày của thép với mục đích bảo vệ chống ăn mòn hoặc nâng cao khả năng chống cháy của kết cấu.
4.1.4 Khi thiết kế kết cấu thép cần phải:
Tiết kiệm vật liệu thép;
Ưu tiên sử dụng các loại thép do Việt Nam sản xuất;
Lựa chọn sơ đồ kết cấu hợp lí, tiết diện cấu kiện hợp lí về mặt kinh tế - kĩ thuật;
Ưu tiên sử dụng công nghệ chế tạo tiên tiến như hàn tự động, hàn bán tự động, bulông cường độ cao;
Chú ý việc công nghiệp hóa cao quá trình sản xuất và dựng lắp, sử dụng những liên kết dựng lắp liên tiếp như liên kết mặt bích, liên kết bulông cường độ cao; cũng có thể dùng liên kết hàn để lắp nếu có căn cứ hợp lí;
Kết cấu phải có cấu tạo để dễ quan sát, làm sạch bụi, sơn, tránh tụ nước. Tiết diện hình ống phải được bịt kín hai đầu.
4.2 Các yêu cầu đối với thiết kế
4.2.1 Kết cấu thép phải được tính toán với tổ hợp tải trọng bất lợi nhất, kể cả tải trọng theo thời gian và mọi yếu tố tác động khác. Việc xác định nội lực có thể thực hiện theo phương pháp phân tích đàn hồi hoặc phân tích dẻo.
Trong phương pháp đàn hồi, các cấu kiện thép được giả thiết là luôn đàn hồi dưới tác dụng của tải trọng tính toán, sơ đồ kết cấu là sơ đồ ban đầu không biến dạng.
Trong phương pháp phân tích dẻo, cho phép kể đến biến dạng không đàn hồi của thép trong một bộ phận hay toàn bộ kết cấu, nếu thỏa mãn các điều kiện sau:
Giới hạn chảy của thép không được lớn quá 450 MPa, có vùng chảy dẻo rõ rệt;
Kết cấu chỉ chịu tải trọng tác dụng tĩnh (không có tải trọng động lực hoặc va chạm hoặc tải trọng lặp gây mỏi);
Cấu kiện sử dụng thép cán nóng, có tiết diện đối xứng.
4.2.2 Các cấu kiện thép hình phải được chọn theo tiết diện nhỏ nhất thỏa mãn các yêu cầu của Tiêu chuẩn này. Tiết diện của cấu kiện tổ hợp được thiết lập theo tính toán sao cho ứng suất không lớn hơn 95% cường độ tính toán của vật liệu.
4.2.3 Trong các bản vẽ thiết kế kết cấu thép và văn bản đặt hàng vật liệu thép, phải ghi rõ mác và tiêu chuẩn tương ứng của thép làm kết cấu và thép làm liên kết, yêu cầu phải đảm bảo tính năng cơ học hay về thành phần hóa học hoặc cả hai, cũng như những yêu cầu riêng đối với vật liệu được qui định trong các tiêu chuẩn kĩ thuật Nhà nước hoặc của nước ngoài.
5 Cơ sở thiết kế kết cấu thép
5.1 Nguyên tắc thiết kế
5.1.1 Tiêu chuẩn này sử dụng phương pháp tính toán kết cấu thép theo trạng thái giới hạn. Kết cấu được thiết kế sao cho không vượt quá trạng thái giới hạn của nó.
5.1.2 Trạng thái giới hạn là trạng thái mà khi vượt quá thì kết cấu không còn thỏa mãn các yêu cầu sử dụng hoặc khi dựng lắp được đề ra đối với nó khi thiết kế. Các trạng thái giới hạn gồm:
Các trạng thái giới hạn về khả năng chịu lực là các trạng thái mà kết cấu không còn đủ khả năng chịu lực, sẽ bị phá hoại, sụp đổ hoặc hư hỏng làm nguy hại đến sự an toàn của con người, của công trình. Đó là các trường hợp:kết cấu không đủ độ bền (phá hoại bền), hoặc kết cấu bị mất ổn định, hoặc kết cấu bị phá hoại dòn, hoặc vật liệu kết cấu bị chảy.
Các trạng thái giới hạn về sử dụng là các trạng thái mà kết cấu không còn sử dụng bình thường được nữa do bị biến dạng quá lớn hoặc do hư hỏng cục bộ. Các trạng thái giới hạn này gồm: trạng thái giới hạn về độ võng và biến dạng làm ảnh hưởng đến việc sử dụng bình thường của thiết bị máy móc, của con người hoặc làm hỏng sự hoàn thiện của kết cấu, do đó hạn chế việc sử dụng công trình; sự rung động quá mức; sự han gỉ quá mức.
5.1.3 Khi tính toán kết cấu theo trạng thái giới hạn phải dùng các hệ số độ tin cậy sau:
Hệ số độ tin cậy về cường độ gM (xem 6.1.4 và 6.2.2);
Hệ số độ tin cậy về tải trọng gQ (xem 5.2.2);
Hệ số điều kiện làm việc gC (xem 5.4.1 và 5.4.2);
Cường độ tính toán của vật liệu là cường độ tiêu chuẩn nhân với hệ số
và chia cho hệ số gM;; tải trọng tính toán là tải trọng tiêu chuẩn nhân với hệ số
.
5.2 Tải trọng
5.2.1 Tải trọng dùng trong thiết kế kết cấu thép được lấy theo TCVN 2737:1995 hoặc tiêu chuẩn thay thế tiêu chuẩn trên (nếu có).
5.2.2 Khi tính kết cấu theo các giới hạn về khả năng chịu lực thì dùng tải trọng tính toán là tải trọng tiêu chuẩn nhân với hệ số độ tin cậy về tải trọng gQ (còn gọi là hệ số tăng tải hoặc hệ số an toàn về tải trọng ). Khi tính kết cấu theo các trạng thái giới hạn về sử dụng và tính toán về mỏi thì dùng trị số của tải trọng tiêu chuẩn.
5.2.3 Các trường hợp tải trọng đều được xét riêng rẽ và được tổ hợp để có tác dụng bất lợi nhất đối với kết cấu. Giá trị của tải trọng, các loại tổ hợp tải trọng, các hệ số tổ hợp, các hệ số độ tin cậy về tải trọng được lấy theo các điều của TCVN 2737:1995.
5.2.4 Với kết cấu trực tiếp chịu tải trọng động, khi tính toán về cường độ và ổn định thì trị số tính toán của tải trọng phải nhân với hệ số động lực. Khi tính toán về mỏi và biến dạng thì không nhân với hệ số này. Hệ số động lực được xác định bằng lý thuyết tính toán kết cấu hoặc cho trong các Qui phạm riêng đối với loại kết cấu tương ứng.
5.2.5 Khi thiết kế cho giai đoạn sử dụng và dựng lắp kết cấu, nếu cần xét đến sự thay đổi nhiệt độ, có thể giả thiết sự thay đổi nhiệt độ ở các vùng phía Bắc là từ 5 oC đến 40 oC, ở các vùng phía Nam là từ 10 oC đến 40 oC. Sự phân chia hai vùng Bắc và Nam dựa theo Qui chuẩn Xây dựng Việt Nam, tập III, Phụ lục 2. Tuy nhiên, phạm vi biến động nhiệt độ có thể dựa theo số liệu khí hậu cụ thể của địa điểm xây dựng để xác định chính xác hơn.
5.3 Biến dạng cho phép của kết cấu
5.3.1 Biến dạn của kết cấu thép được xác định theo tải trọng tiêu chuẩn, không kể đến hệ số động lực và không xét sự giảm yếu tiết diện do các lỗ liên kết.
5.3.2 Độ võng của cấu kiện chịu uốn không được vượt quá trị số cho phép trong Bảng 1.
5.3.3 Chuyển vị ngang ở mức mép mái của nhà công nghiệp kiểu khung một tầng, không cầu trục, gây bởi tải trọng gió tiêu chuẩn được giới hạn như sau:
Khi tường bằng tấm tôn kim loại: H/100;
Khi tường là tấm vật liệu nhẹ khác: H/150;
Khi tường bằng gạch hoặc bê tông: H/240;
với H là chiều cao cột.
Nếu có những giải pháp cấu tạo để đảm bảo sự biến dạng dễ dàng của liên kết tường thì các chuyển vị giới hạn trên có thể tăng lên tương ứng.
5.3.4 Chuyển vị ngang của đỉnh khung nhà một tầng (không thuộc loại nhà ở 3.3.3) không được vượt quá 1/300 chiều cao khung. Chuyển vị ngang của đỉnh khung nhà nhiều tầng không được vượt quá 1/500 của tổng chiều cao khung. Chuyển vị tương đối tại mỗi tầng của nhà nhiều tầng không được vượt quá 1/300 chiều cao mỗi tầng.
5.3.5 Đối với cột nhà xưởng có cầu trục chế độ làm việc nặng và cột của cầu tải ngoài trời có cầu trục chế độ làm việc vừa và nặng thì chuyển vị gây bởi tải trọng nằm ngang của một cầu trục lớn nhất tại mức đỉnh dầm cầu trục không được vượt quá trị số cho phép ghi trong Bảng 2.
Bảng 1 - Độ võng cho phép của cấu kiện chịu uốn
| Loại cấu kiện | Độ võng cho phép |
| Dầm của sàn nhà và mái: 1. Dầm chính 2. Dầm của trần có trát vữa, chỉ tính võng cho tải trọng tạm thời 3. Các dầm khác, ngoài trường hợp 1 và 2 4. Tấm bản sàn |
L /400 L /350 L /250 L /150 |
| Dầm có đường ray: 1. Dầm đỡ sàn công tác có đường ray nặng 35 kg/m và lớn hơn 2. Như trên, khi đường ray nặng 25 kg/m và nhỏ hơn |
L /600 L /400 |
| Xà gồ: 1. Mái nhà ngói không đắp vữa, mái tấm tôn nhỏ 2. Mái lợp ngói có đắp vữa, mái tôn múi và các mái khác |
L /150 L /200 |
| Dầm hoặc giàn đỡ cầu trục: 1. Cầu trục chế độ làm việc nhẹ, cầu trục tay, palăng 2. Cầu trục chế độ làm việc vừa 3. Cầu trục chế độ làm việc nặng và rất nặng |
L /400 L /500 L /600 |
| Sườn tường: 1. Dầm đỡ tường xây 2. Dầm đỡ tường nhẹ (tôn, fibro xi măng), dầm đỡ cửa kính 3. Cột tường |
L /300 L /200 L /400 |
| CHÚ THÍCH: L là nhịp của cấu kiện chịu uốn. Đối với dầm công xôn thì L lấy bằng 2 lần độ vươn của dầm. | |
Bảng 2 - Chuyển vị cho phép của cột đỡ cầu trục
| Chuyển vị | Tính theo kết cấu phẳng | Tính theo kết cấu không gian |
| 1. Chuyển vị theo phương ngang nhà của cột nhà xưởng | HT / 1250 | HT / 2000 |
| 2. Chuyển vị theo phương ngang nhà của cột cầu tải ngoài trời | HT / 2500 | - |
| 3. Chuyển vị theo phương dọc nhà của cột trong và ngoài nhà | HT / 4000 | - |
| CHÚ THÍCH 1: HT là độ cao từ mặt đáy chân cột đến mặt đỉnh dầm cầu trục hay giản cầu trục. CHÚ THÍCH 2: Khi tính chuyển vị theo phương dọc nhà của cột trong nhà hay ngoài trời, có thể giả định là tải trọng theo phương dọc của cầu trục sẽ phân phối cho tất cả các hệ giằng và hệ khung dọc giữa các cột trong phạm vi khối nhiệt độ. CHÚ THÍCH 3: Trong các nhà xưởng có cầu trục ngoạm và cầu trục cào san vật liệu, trị số chuyển vị cho phép của cột nhà tương ứng phải giảm đi 10%. | ||
5.4 Hệ số điều kiện làm việc gC
5.4.1 Khi tính toán kiểm tra khả năng chịu lực của các kết cấu thuộc những trường hợp nêu trong Bảng 3, cường độ tính toán của thép cho trong Bảng 5, 6 và của liên kết cho trong Bảng 7, 8, 10, 11, 12, B.5 (Phụ lục B) phải được nhân với hệ số điều kiện làm việc gC . Mọi trường hợp khác không nêu trong bảng này và không được qui định trong các điều tương ứng thì đều lấy gC = 1.
5.4.2 Giá trị của hệ số điều kiện làm việc gC được cho trong Bảng 3.
Bảng 3 - Giá trị của hệ số điều kiện làm việc gC
| Loại cấu kiện | gC |
| 1. Dầm đặc và thanh chịu nén trong giàn của các sàn những phòng lớn ở các công trình như nhà hát, rạp chiếu bóng, câu lạc bộ, khán đài, các gian nhà hàng, kho sách, kho lưu trữ, v.v…khi trọng lượng sàn lớn hơn hoặc bằng tải trọng tạm thời | 0,9 |
| 2. Cột của các công trình công cộng, cột đỡ tháp nước | 0,95 |
| 3. Các thanh chịu nén chính của hệ thanh bụng dàn liên kết hàn ở mái và sàn nhà (trừ thanh tại gối tựa) có tiết diện chữ T tổ hợp từ thép góc (ví dụ: vì kèo và các dàn, v.v…), khi độ mảnh l lớn hơn hoặc bằng 60 | 0,8 |
| 4. Dầm đặc khi tính toán về ổn định tổng thể khi jb < 1,0 | 0,95 |
| 5. Thanh căng, thanh kéo, thanh néo, thanh treo được làm từ thép cán | 0,9 |
| 6. Các thanh của kết cấu hệ thanh ở mái và sàn: a. Thanh chịu nén (trừ loại tiết diện ống kín) khi tính về ổn định b. Thanh chịu kéo trong kết cấu hàn |
0,95 0,95 |
Bảng 3
| Loại cấu kiện | gC |
| 7. Các thanh bụng chịu nén của kết cấu không gian rỗng gồm các thép góc đơn đều cạnh hoặc không đều cạnh (hoặc liên kết theo cánh lớn): a. Khi liên kết trực tiếp với thanh cánh trên theo một cạnh bằng đường hàn hoặc bằng hai bulông trở lên, dọc theo thanh thép góc: |
|
| - Thanh xiên theo Hình 9 a | 0,9 |
| - Thanh ngang theo Hình 9 b, c | 0,9 |
| - Thanh xiên theo Hình 9 c, d, e | 0,8 |
| b. Khi liên kết trực tiếp với thanh cánh trên theo một cạnh bằng một bulông (ngoài mục 7 của bảng này) hoặc khi liên kết qua bản mã bằng liên kết bất kỳ. | 0,75 |
| 8. Các thanh chịu nén là thép góc đơn được liên kết theo một cạnh (đối với thép góc không đều cạnh chỉ liên kết cạnh ngắn), trừ các trường hợp đã nêu ở mục 7 của bảng này, và các giàn phẳng chỉ gồm thép góc đơn | 0,75 |
| 9. Các loại bể chứa chất lỏng | 0,8 |
| CHÚ THÍCH 1: Các hệ số điều kiện làm việc gC < 1 không được lấy đồng thời. CHÚ THÍCH 2: Các hệ số điều kiện làm việc gC trong các mục 3, 4, 6a, 7 và 8 cũng như các mục 5 và 6b (trừ liên kết hàn đối đầu) sẽ không được xét đến khi tính toán liên kết các cấu kiện đó. | |
6 Vật liệu của kết cấu và liên kết
6.1 Vật liệu thép dùng trong kết cấu
6.1.1 Vật liệu thép dùng trong kết cấu phải được lựa chọn thích hợp tùy theo tính chất quan trọng của công trình, điều kiện làm việc của kết cấu, đặc trưng của tải trọng và phương pháp liên kết, v.v…
Thép dùng làm kết cấu chịu lực cần chọn loại thép lò Mactanh hoặc lò quay thổi oxy, rót sôi hoặc nữa tĩnh và tĩnh, có mác tương đương với các mác thép CCT34, CCT38 (hay CCT38Mn), CCT42, theo TCVN 1765:1975 và các mác tương ứng của TCVN 5709:1993 các mác thép hợp kim thấp theo TCVN 3104:1979. Thép phải được đảm bảo phù hợp với các tiêu chuẩn nêu trên về tính năng cơ học và cả về thành phần hóa học.
6.1.2 Không dùng thép sôi cho các kết cấu hàn làm việc trong điều kiện nặng hoặc trực tiếp chịu tải trọng động lực như dầm cầu trục chế độ nặng, dầm sát đặt máy, kết cấu hành lang băng tải, cột vượt của đường dây tải điện cao trên 60 mét, v.v…
6.1.3 Cường độ tính toán của vật liệu thép cán và thép ống đối với các trạng thái ứng suất khác nhau được tính theo các công thức của Bảng 4. Trong bảng này, fy và fu là cường độ tiêu chuẩn lấy theo giới hạn chảy của thép và cường độ tiêu chuẩn của thép theo sức bền kéo đứt, được đảm bảo bởi tiêu chuẩn sản xuất thép và được lấy là cường độ tiêu chuẩn của thép;
là hệ số độ tin cậy về vật liệu, lấy bằng 1,05 cho mọi mác thép.
6.1.4 Cường độ tiêu chuẩn fy, fu và cường độ tính toán f của thép cácbon và thép hợp kim thấp cho trong Bảng 5 và Bảng 6 (với các giá trị lấy tròn tới 5 MPa).
Đối với các loại thép không nêu tên trong Tiêu chuẩn này và các loại thép của nước ngoài được phép sử dụng trong Bảng 4, lấy fy là cường độ tiêu chuẩn lấy theo giới hạn chảy nhỏ nhất và fu là cường độ tiêu chuẩn theo sức bền kéo đứt nhỏ nhất được đảm bảo của thép.
là hệ số độ tin cậy về vật liệu, lấy bằng 1,1 cho mọi mác thép.
Với các loại vật liệu kim loại khác như dây cáp, khối gang đúc, v.v…phải sử dụng các loại tiêu chuẩn riêng tương ứng.
Bảng 4 - Cường độ tính toán của thép cán và thép ống
| Trạng thái làm việc | Ký hiệu | Cường độ tính toán |
| Kéo, nén, uốn | f | f = fy /gM |
| Trượt | fv | fv = 0,58 fy /gM |
| Ép mặt lên đầu mút (khi tì sát) | fc | fc = fu /gM |
| Ép mặt trong khớp trụ khi tiếp xúc chặt | fcc | fcc = 0,5 fu /gM |
| Ép mặt theo đường kính của con lăn | fcd | fcd = 0,025 fu /gM |
Bảng 5 - Cường độ tiêu chuẩn fy, fu cường độ tính toán f của thép các bon
(TCVN 5709:1993)
Đơn vị tính bằng megapascan
| Mác thép | Cường độ tiêu chuẩn fy và cường độ tính toán f của thép với độ dày t mm | Cường độ kéo đứt tiêu chuẩn fu không phụ thuộc bề dày t, mm | |||||
| t ≤ 20 | 20 < t ≤ 40 | 40 < t ≤ 100 | |||||
| fy | f | fy | f | fy | f | ||
| CCT34 CCT38 CCT42 | 220 240 260 | 210 230 245 | 210 230 250 | 200 220 240 | 200 220 240 | 190 210 230 | 340 380 420 |
Bảng 6 - Cường độ tiêu chuẩn fy, fu và cường độ tính toán f của thép hợp kim thấp
Đơn vị tính bằng megapascan
| Mác thép | Độ dày, mm | ||||||||
| t ≤ 20 | 20 < t ≤ 30 | 30 < t ≤ 60 | |||||||
| fu | fy | f | fu | fy | f | fu | fy | f | |
| 09Mn2 | 450 | 310 | 295 | 450 | 300 | 285 | - | - | - |
| 14Mn2 | 460 | 340 | 325 | 460 | 330 | 315 | - | - | - |
| 16MnSi | 490 | 320 | 305 | 480 | 300 | 285 | 470 | 290 | 275 |
| 09Mn2Si | 480 | 330 | 315 | 470 | 310 | 295 | 460 | 290 | 275 |
| 10Mn2Si1 | 510 | 360 | 345 | 500 | 350 | 335 | 480 | 340 | 325 |
| 10CrSiNiCu | 540 | 400* | 360 | 540 | 400* | 360 | 520 | 400* | 360 |
| CHÚ THÍCH: * Hệ số gM đối với trường hợp này là 1,1; bề dày tối đa là 40 mm. | |||||||||
6.2 Vật liệu thép dùng trong liên kết
6.2.1 Kim loại hàn dùng cho kết cấu thép phải phù hợp với các yêu cầu sau:
1. Que hàn khi hàn tay lấy theo TCVN 3223:1994. Kim loại que hàn phải có cường độ kéo đứt tức thời không nhỏ hơn trị số tương ứng của thép được hàn.
2. Dây hàn và thuốc hàn dùng trong hàn tự động và bán tự động phải phù hợp với mác thép được hàn. Trong mọi trường hợp, cường độ của mối hàn không được thấp hơn cường độ của que hàn tương ứng.
6.2.2 Cường độ tính toán của mối hàn trong các dạng liên kết và trạng thái làm việc khác nhau được tính theo các công thức trong Bảng 7.
Trong liên kết đối đầu hai loại thép khác nhau thì dùng trị số cường độ tiêu chuẩn nhỏ hơn.
Chiều dài tính toán của mối hàn góc của một số loại que hàn cho trong Bảng 8.
Bảng 7 - Cường độ tính toán của mối hàn
| Dạng liên kết | Trạng thái làm việc | Ký hiệu | Cường độ tính toán | ||
| Hàn đối đầu | Nén, kéo và uốn khi kiểm tra chất lượng đường hàn bằng các phương pháp vật lý | Theo giới hạn chảy | fw | fw = f | |
| Theo sức bền kéo đứt | fwu | fwu = ft | |||
| Kéo và uốn | fw | fw = 0,85 f | |||
| Trượt | fwv | fwv = fv | |||
| Hàn góc | Cắt (qui ước) | Theo kim loại mối hàn | fwf | fwf = 0,55 fwun / gM | |
| Theo kim loại ở biên nóng chảy | fws | fws = 0,45 fu | |||
| CHÚ THÍCH 1: fv và fv là cường độ tính toán chịu kéo và cắt của thép được hàn; fu và fwun là ứng suất kéo đứt tức thời theo tiêu chuẩn sản phẩm (cường độ kéo đứt tiêu chuẩn) của thép được hàn và của kim loại hàn. CHÚ THÍCH 2: Hệ số độ tin cậy về cường độ của mối hàn gM lấy bằng 1,25 khi fwun ≤ 490 Mpa và bằng 1,35 khi fwun ³ 590 Mpa. | |||||
Bảng 8 - Cường độ kéo đứt tiêu chuẩn fwun và cường độ tính toán fwf của kim loại hàn trong mối hàn góc
Đơn vị tính bằng megapascan
| Loại que hàn theo TCVN 3223:1994 | Cường độ kéo đứt tiêu chuẩn fwun | Cường độ tính toán fwf |
| N42, N42 - 6B | 410 | 180 |
| N46, N46 - 6B | 450 | 200 |
| N50, N50 - 6B | 490 | 215 |
6.2.3 Bu lông phổ thông dùng cho kết cấu thép phải phù hợp với các yêu cầu của TCVN 1916:1995. Cấp độ bền của bulông chịu lực phải từ 4.6 trở lên. Bulông cường độ cao phải tuân theo các qui định riêng tương ứng. Cường độ tính toán của liên kết một bulông được xác định theo các công thức ở Bảng 9.
Trị số cường độ tính toán chịu cắt và kéo của bulông theo cấp độ bền của bulông cho trong Bảng 10. Cường độ tính toán chịu ép mặt của thép trong liên kết bulông cho trong Bảng 11.
Bảng 9 - Cường độ tính toán của liên kết một bulông
| Trạng thái làm việc | Ký hiệu | Cường độ chịu cắt và kéo của bulông ứng với cấp độ bền | Cường độ chịu ép mặt của cấu kiện thép có giới hạn chảy dưới 440 MPa | ||
| 4.6; 5.6; 6.6 | 4.8; 5.8 | 8.8; 10.9 | |||
| Cắt | fvb | fvb = 0,38 fub | fvb = 0,4 fub | fvb = 0,4 fub | - |
| Kéo | ftb | ftb = 0,42 fub | ftb = 0,4 fub | ftb = 0,5 fub | - |
| Ép mặt a. Bulông tinh | fcb | - | - | - |
|
| b. Bulông thô và bulông thường | - | - | - |
| |
Bảng 10 - Cường độ tính toán chịu cắt và kéo của bulông
Đơn vị tính bằng megapascan
| Trạng thái làm việc | Ký hiệu | Cấp độ bền | ||||||
| 4.6 | 4.8 | 5.6 | 5.8 | 6.6 | 8.8 | 10.9 | ||
| Cắt | fvb | 150 | 160 | 190 | 200 | 230 | 320 | 400 |
| Kéo | ftb | 170 | 160 | 210 | 200 | 250 | 400 | 500 |
Bảng 11 - Cường độ tính toán chịu ép mặt của bulông fcb
Đơn vị tính bằng megapascan
| Giới hạn bền kéo đứt của thép cấu kiện liên kết | Giá trị fcb | |
| Bulông tinh | Bulông thô và thường | |
| 340 380 400 420 440 450 480 500 520 540 | 435 515 560 600 650 675 745 795 850 905 | 395 465 505 540 585 605 670 710 760 805 |
6.2.4 Cường độ tính toán chịu kéo của bulông neo fba được xác định theo công thức fba = 0,4 x fub.
Trị số cường độ tính toán chịu kéo của bulông neo cho trong Bảng 12
Bảng 12 - Cường độ tính toán chịu kéo của bulông neo
Đơn vị tính bằng megapascan
| Đường kính bulông, mm | Làm từ thép mác | ||
| CT38 | 16MnSi | 09Mn2Si | |
| Từ 12 đến 32 Từ 33 đến 60 Từ 61 đến 80 Từ 81 đến 140 | 150 150 150 150 | 192 190 185 185 | 190 185 180 165 |
6.2.5 Cường độ tính toán chịu kéo của bulông cường độ cao trong liên kết truyền lực bằng ma sát được xác định theo công thức fhb = 0,7 x fub. Cường độ kéo đứt tiêu chuẩn fub của thép làm bulông cường độ cao cho trong Bảng B.5, Phụ lục B.
6.2.6 Cường độ tính toán chịu kéo của sợi thép cường độ cao được xác định theo công thức fth = 0,63 x fu .
7 Tính toán các cấu kiện
7.1 Cấu kiện chịu kéo đúng tâm
7.1.1 Cấu kiện chịu kéo đúng tâm tính toán về bền theo công thức
(1)
trong đó:
N là lực kéo đúng tâm tính toán;
An là diện tích tiết diện thực của cấu kiện.
7.2.1 Diện tích tiết diện thực bằng diện tích tiết diện nguyên trừ đi diện tích giảm yếu. Diện tích giảm yếu là diện tích bị mất đi do yêu cầu chế tạo. Đối với liên kết bulông (trừ bulông cường độ cao) khi các lỗ xếp thẳng hàng thì diện tích giảm yếu bằng tổng lớn nhất của diện tích các lỗ tại một tiết diện ngang bất kỳ vuông góc với chiều của ứng suất trong cấu kiện. Khi các lỗ xếp so le thì diện tích giảm yếu lấy trị số lớn hơn trong hai trị số sau (Hình 1a):
Giảm yếu do các lỗ xếp trên đường thẳng 1-5;
Tổng diện tích ngang của các lỗ nằm trên đường chữ chi 1 - 2 - 3 - 4 - 5 trừ đi lượng s2tl(4u) cho mỗi đoạn đường chéo giữa các lỗ;
trong đó:
s là bước lỗ so le, tức là khoảng cách song song với phương của lực giữa tâm của các lỗ trên hai đường liên tiếp nhau;
t là bề dày thanh thép có lỗ;
u là khoảng đường lỗ, là khoảng cách vuông góc với phương của lực giữa tâm các lỗ trên hai đường liên tiếp.
Đối với thép có lỗ trên hai cánh thì khoảng đường lỗ u là tổng các khoảng cách từ tâm lỗ đến sống thép góc, trừ đi bề dày cánh (Hình 1b).

Hình 1 - Cách xác định diện tích thực
7.2 Cấu kiện chịu uốn
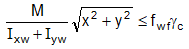
7.2.1 Tính toán về bền
7.2.1.1 Cấu kiện bụng đặc chịu uốn trong một mặt phẳng chính được tính theo công thức:
(2)
trong đó:
M là mômen uốn quanh trục tính toán;
Wn,min là môđun chống uốn nhỏ nhất của tiết diện thực đối với trục tính toán.
7.2.1.2 Độ bền chịu cắt của cấu kiện bụng đặc chịu uốn trong một mặt phẳng chính được tính theo công thức:
(3)
trong đó:
V là lực cắt trong mặt phẳng bản bụng của tiết diện tính toán;
S là mômen tĩnh đối với trục trung hòa của phần tiết diện nguyên ở bên trên vị trí tính ứng suất;
I là mômen quán tính của tiết diện nguyên;
tw là bề dày bản bụng;
fv là cường độ tính toán chịu cắt của thép.
7.2.1.3 Khi trên cánh dầm có tải trọng tập trung tác dụng trong mặt phẳng bản bụng mà bên dưới không có sườn tăng cường, phải kiểm tra độ bền nén cục bộ của mép trên bản bụng theo công thức:
(4)
trong đó:
F là tải trọng tập trung;
lz là độ dài phân bố qui đổi của tải trọng tập trung dọc theo mép trên của bản bụng tại cao độ ứng với biên trên của chiều cao tính toán hw của bản bụng:
lz = b + 2hy (5)
với b là chiều dài phân bố lực của tải trọng tập trung theo chiều dài dầm; hy là khoảng cách từ mặt trên của cánh dầm đến biên trên của chiều cao tính toán của bản bụng (Hình 2).

a) Dầm hàn; b) Dầm thép cán; c) Dầm bulông (đinh tán)
Hình 2 - Sơ đồ tính chiều dài phân bố tải trọng lên bụng dầm
Chiều cao tính toán hw của bản bụng lấy như sau: với dầm thép cán là khoảng cách giữa các điểm bắt đầu uốn cong của bản bụng, chỗ tiếp giáp của bản bụng với cánh trên và cánh dưới (Hình 2b); với dầm hàn là chiều cao bản bụng (Hình 2a); với dầm đinh tán hay bulông là khoảng cách giữa các mép gần nhau nhất của các thép góc trên hai cánh (Hình 2c).
7.2.1.4 Tại cao độ ứng với biên trên của chiều cao tính toán của bản bụng dầm, khi đồng thời có ứng suất pháp, ứng suất tiếp và có thể có cả ứng suất cục bộ thì cần kiểm tra theo ứng suất tương đương:
(6)
trong đó s, t, sc là các ứng suất pháp,ứng suất tiếp và ứng suất cục bộ vuông góc với trục dầm ở cùng một điểm tại cao độ ứng với biên trên của chiều cao tính toán của bản bụng; t và sc tính theo công thức (3) và (4); còn s tính theo công thức sau:
(7)
trong đó:
và sc mang dấu dương nếu là kéo, dấu âm nếu là nén;
In là mômen quán tính của tiết diện thực của dầm;
y là khoảng cách từ biên trên của chiều cao tính toán của bản bụng đến trục trung hòa;
7.2.1.5 Cấu kiện đặc chịu uốn trong hai mặt phẳng chính được kiểm tra bền theo công thức:
(8)
trong đó: x, y là khoảng cách từ điểm đang xét của tiết diện tới trục chính tương ứng.
Đồng thời với công thức (8) bản bụng dầm phải được kiểm tra bền theo các công thức (3) và (6).
7.2.1.6 Dầm đơn giản có tiết diện đặc, bằng thép có giới hạn chảy fy ≤ 530 MPa, chịu tải trọng tĩnh, uốn trong các mặt phẳng chính, được phép tính toán có kể đến sự phát triển của biến dạng dẻo, công thức kiểm tra bền như sau:
Chịu uốn ở một trong các mặt phẳng chính và khi ứng suất tiếp t ≤ 0,9 fv (trừ tiết diện ở gối):
(9)
Chịu uốn trong hai mặt phẳng chính và khi ứng suất tiếp t ≤ 0,5 fv (trừ đi tiết diện ở gối):
![]()
(10)
trong đó:
Mx, My là các giá trị tuyệt đối của mômen uốn;
c1, cx, cy lấy theo Bảng C.1, Phụ lục C.
Tiết diện gối dầm (khi M = 0, Mx = 0; My = 0) được kiểm tra bền theo công thức:
(11)
7.2.1.7 Đối với dầm có tiết diện thay đổi, chỉ được tính toán kể đến sự phát triển của biến dạng dẻo cho một tiết diện có tổ hợp nội lực M và V lớn nhất.
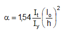
7.2.1.8 Dầm liên tục và dầm ngàm, có tiết diện chữ I không đổi, chịu uốn trong mặt phẳng có độ cứng lớn nhất, chiều dài các nhịp lân cận khác nhau không quá 20, chịu tải trọng tĩnh, tính toán bền theo công thức (9) có kể đến sự phân bố lại mômen tại gối và nhịp. Giá trị tính toán của mômen uốn M được lấy như sau:
M = axMmax (12)
trong đó:
Mmax là mômen uốn lớn nhất tại nhịp hoặc gối khi tính như dầm liên tục với giả thiết vật liệu làm việc đàn hồi;
a là hệ số phân bố lại mômen, tính theo công thức:
(13)
với Me là mômen uốn qui ước được lấy như sau:
a) Với những dầm liên tục có hai đầu mút là khớp, lấy trị số lớn hơn trong hai trị số sau:
(14)
Me = 0,5 M2 (15)
trong đó:
M1 là mômen uốn ở nhịp biên, được tính như dầm đơn giản một nhịp, kí hiệu max tức là lấy trị số lớn nhất có thể có của biểu thức đứng sau nó;
M2 là mômen uốn lớn nhất trong nhịp trung gian được tính như dầm đơn giản một nhịp;
a là khoảng cách từ tiết diện có mômen M1 đến gối biên;
l là chiều dài nhịp biên.
b) Trong dầm một nhịp và dầm liên tục có hai đầu mút liên kết ngàm thì Me = 0,5M3, với M3 là giá trị lớn nhất trong các mômen tính được khi coi gối tựa là các khớp.
c) Dầm có một đầu liên kết ngàm, đầu kia liên kết khớp thì Me được lấy theo công thức (14).
Giá trị của lực cắt V trong công thức (11) lấy lại tiết diện có Mmax tác dụng, nếu Mmax là mômen uốn ở nhịp thì kiểm tra tiết diện ở gối dầm.
7.2.1.9 Dầm liên tục và dầm ngàm thỏa mãn 7.2.1.8, chịu uốn trong hai mặt phẳng chính, có t ≤ 0,5 fv được kiểm tra bền theo công thức (10) có kể đến sự phân bổ lại mômen theo các chỉ dẫn ở 7.2.1.8.
7.2.2 Tính toán về ổn định
7.2.2.1 Dầm tiết diện chữ I, chịu uốn trong mặt phẳng bản bụng được kiểm tra ổn định tổng thể theo công thức:
(16)
trong đó:
Wc là môđun chống uốn của tiết diện nguyên cho thớ biên của cánh chịu nén;
jb là hệ số, xác định theo Phụ lục E
Khi xác định jb, chiều dài tính toán l0 của cánh chịu nén lấy như sau:
a) Trường hợp dầm đơn giản:
Là khoảng cách giữa các điểm cố kết của cánh chịu nén không cho chuyển vị ngang (các mắt của hệ giằng dọc, giằng ngang, các điểm liên kết của sàn cứng).
Bằng chiều dài nhịp dầm khi không có hệ giằng.
b) Trường hợp dầm côngxôn:
Bằng khoảng cách giữa các điểm liên kết của cánh chịu nén trong mặt phẳng ngang khi có các liên kết này ở đầu mút và trong nhịp côngxôn.
Bằng chiều dài côngxôn khi đầu mút cánh chịu nén không được liên kết chặt trong mặt phẳng ngang
7.2.2.2 Không cần kiểm tra ổn định của dầm khi:
a) Cánh chịu nén của dầm được liên kết chặt với sàn cứng (sàn bê tông cốt thép bằng bê tông nặng, bê tông nhẹ, bê tông xốp; các sàn thép phẳng, thép hình, thép ống, v.v…).
b) Đối với dầm có tiết diện chữ I đối xứng và những dầm có cánh chịu nén mở rộng nhưng chiều rộng cánh chịu kéo không nhỏ hơn 0,75 chiều rộng cánh chịu nén, thì tỉ số giữa chiều dài tính toán l0 và chiều rộng cánh chịu nén bf của dầm không lớn hơn giá trị tính theo các công thức của Bảng 13.
Bảng 13 - Giá trị lớn nhất lo / bf để không cần kiểm tra ổn định của dầm
| Vị trí đặt tải trọng | Dầm cán và dầm hàn (khi 1≤ hf/bf ≤ 6 và 15 ≤ bf/tf ≤ 35) |
| Ở cánh trên |
|
| Ở cánh dưới |
|
| Không phụ thuộc vị trí đặt tải khi tính các đoạn dầm giữa các điểm giằng hoặc khi uốn thuần túy |
|
| CHÚ THÍCH: bf, tf là chiều rộng và bề dày của cánh chịu nén; hfk là khoảng cách giữa trục của các cánh dầm; Đối với dầm bulông cường độ cao, giá trị của lo / bf trong Bảng 13 được nhân với 1, 2; Đối với dầm có tỉ số bf, tf < 15 trong các công thức của Bảng 13 dùng bf, tf = 15. | |
7.3 Cấu kiện chịu nén đúng tâm
7.3.1 Tính toán về bền
Tính toán về bền của cấu kiện nén đúng tâm giống cấu kiện chịu nén đúng tâm, theo công thức (1), 7.1.1.
7.3.2 Tính toán về ổn định
7.3.2.1 Tính toán về ổn định của cấu kiện đặc chịu nén đúng tâm theo công thức:
(20)
trong đó:
A là diện tích tiết diện nguyên;
j là hệ số uốn dọc, phụ thuộc vào độ mãnh qui ước
được tính theo các công thức:
Khi 0 <
≤ 2,5:
(21)
Khi 2,5 <
≤ 4,5:
(22)
Khi
> 4,5:
(23)
Giá trị số của hệ số j có thể lấy theo Bảng D.8, Phụ lục D.
7.3.2.2 Các cấu kiện chịu nén có bản bụng đặc, hở dạng P, có lx < 3ly (với lx, ly là độ mảnh tính toán theo các trục tương ứng x-x và y-y, xem Hình 3), được liên kết bằng các bản giằng hoặc thanh giằng cần được tính theo các chỉ dẫn ở 7.3.2.3 và 7.3.2.5.

Hình 3 - Các cấu kiện có tiết diện dạng P
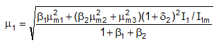
7.3.2.3 Các thanh rỗng tổ hợp từ các nhánh, được liên kết với nhau bằng các bản giằng hoặc thanh giằng, chịu nén đúng tâm thì hệ số uốn dọc j đối với trục ảo (trục vuông góc với mặt phẳng của bản giằng hoặc thanh giằng) được tính theo các công thức (21), (22), (23) hoặc tra theo Bảng D.8 Phụ lục D, trong đó thay
bằng độ mảnh tương đương quy ước
. Giá trị của
được tính theo các công thức ở Bảng 14.
Với những thanh tổ hợp liên kết bằng thanh giằng, ngoài việc kiểm tra ổn định của cả thanh còn phải kiểm tra ổn định của từng nhánh trong khoảng lf giữa các mắt.
Độ mảnh riêng của từng nhánh l1, l2, l3 không được lớn hơn 40.
Khi dùng một tấm thay cho một mặt phẳng bản giằng (Hình 3) thì độ mảnh của nhánh tính theo bán kính quán tính của một nửa tiết diện đối xứng với trục vuông góc với mặt phẳng của bản giằng của phần tiết diện đó.
Đối với thanh tổ hợp liên kết bằng thanh giằng, độ mảnh riêng của các nhánh nằm giữa các mắt không được lớn hơn 80 và không vượt quá độ mảnh tương đương lo của cả thanh.
7.3.2.4 Cấu kiện tổ hợp từ các thép góc, thép chữ [(như thanh dàn, v.v…) được ghép sát nhau hoặc qua các bản đệm được tính toán như thanh bụng đặc khi khoảng tự do của nhánh lf giữa các bản đệm (lấy như 7.3.2.3) không vượt quá:
40 i, đối với cấu kiện chịu nén;
80 i, đối với cấu kiện chịu kéo.
trong đó i là bán kính quán tính của thép góc, thép chữ [đối với trục song song với mặt phẳng của bản đệm; khi tiết diện thanh dạng chữ thập (ghép từ hai thép góc) là bán kính quán tính nhỏ nhất của thép góc.
Trong phạm vi chiều dài thanh nén, cần đặt ít nhất hai bản đệm.
7.3.2.5 Bản giằng, thanh giằng của cấu kiện tổ hợp được tính theo lực cắt qui ước Vt không đổi theo chiều dài thanh. Vf được tính theo công thức:
Vf = 7,15. 10-6 (2330 - E / f) N / j (33)
trong đó:
N là lực nén tính toán trong thanh tổ hợp;
j là hệ số uốn dọc của thanh tổ hợp xác định theo lo.
Lực cắt qui ước Vf được phân phối như sau:
Đối với tiết diện loại 1 và 2 (Bảng 14), mỗi mặt phẳng chứa bản (thanh) giằng vuông góc với trục tính toán một lực là 0,5 Vf;
Đối với tiết diện loại 3 (Bảng 14) mỗi mặt phẳng bản (thanh) giằng chịu một lực bằng 0,8 Vf.
7.3.2.6 Bản giằng và liên kết của nó với nhánh cột (Hình 5) được tính theo các nội lực sau:
Lực cắt trong bản: Tb = Vs l / b (34)
Mômen uốn trong bản: Mb = Vs l / 2 (35)
trong đó Vs là lực cắt qui ước tác dụng trong bản của một nhánh.
|
a) Cột liên kết hàn b) Cột liên kết bulông Hình 4 - Sơ đồ thanh giằng xiên |
a) Cột liên kết hàn b) Cột liên kết bulông Hình 5 - Cột tổ hợp bằng bản giằng |
Bảng 14 - Công thức tính độ mảnh tương đương của cấu kiện rỗng
| Loại tiết diện | Sơ đồ tiết diện | Độ mảnh tương đương lo | ||
| Với bản giằng khi | Với thanh giằng | |||
| Ib l / (If b) < 5 | Ib l / (If b) ³ 5 | |||
| 1 |
|
(24) |
(27) |
(30) |
| 2 |
|
(25) |
(28) |
(31) |
| 3 |
| (26) |
(29) |
(32) |
| CHÚ THÍCH 1: b là khoảng cách giữa trục của các nhánh; l là khoảng cách giữa trọng tâm của các bản giằng;
A là diện tích tiết diện toàn cột; Ad1, Ad2, Ad là diện tích tiết diện các thanh xiên của hệ giằng (khi thanh giằng dạng chữ thập là diện tích của hai thanh) nằm trong các mặt phẳng thẳng góc với các trục tương ứng 1-1 và 2-2, hoặc nằm trong một mặt phẳng nhánh (đối với cột 3 nhánh); a1, a2 là các hệ số, xác định theo công thức: Ib là mômen quán tính của bản giằng đối với trục bản thân x-x (Hình 5); If là mômen quán tính của một nhánh lấy với trục 1-1 (tiết diện loại 1); 1-1 và 2-2 (tiết diện loại 2); 3-3 (tiết diện loại 3); n, n1, n2, n3 tương ứng là các hệ số được xác định theo các công thức sau:
ở đây: If1 và If3 là Mômen quán tính của tiết diện từng nhánh lấy với trục tương ứng 1-1 và 3-3 (đối với tiết diện loại 1 và loại 3); If1 và If2 là Mômen quán tính của các tiết diện thép chữ l lấy với trục 1-1 và 2-2 (đối với tiết diện loại 2); Ib1 và Ib2 là Mômen quán tính của một bản giằng nằm tương ứng trong mặt phẳng vuông góc với trục các trục tương ứng 1-1 và 2-2 (đối với tiết diện loại 2). | ||||
7.3.2.7 Thanh giằng được tính như hệ thanh bụng của dàn. Khi tính các thanh xiên giao nhau của hệ chữ thập, có thanh chống ngang (Hình 6) phải xét thêm nội lực phụ Nd trong thanh xiên do lực nén trong nhánh cột gây nên:
(36)
trong đó:
Nf là lực nén trong một nhánh;
Af là diện tích tiết diện một nhánh;
Ad là diện tích tiết diện một thanh xiên;
a là hệ số, xác định theo công thức:

a, b, l - Các kích thước, xác định theo Hình 6.

Hình 6 - Sơ đồ thanh giằng chữ thập
7.3.2.8 Các thanh dùng để giảm chiều dài tính toán của các cấu kiện chịu nén được tính theo lực cắt quy ước trong cấu kiện chịu nén, xác định theo công thức (33).
7.4 Cấu kiện chịu nén uốn, kéo uốn
7.4.1 Tính toán về bền
7.4.1.1 Không cần tính toán về bền của cấu kiện chịu nén lệch tâm, nén uốn đồng thời khi độ lệch tâm tương đối tính đổi me ≤ 20, tiết diện không bị giảm yếu và giá trị của mômen uốn để tính toán về bền và ổn định là như nhau.
7.4.1.2 Tính toán về bền cấu kiện chịu nén lệch tâm, nén uốn, kéo lệch tâm, kéo uốn, làm bằng thép có giới hạn chảy fy ≤ 530 MPa, không chịu trực tiếp tác dụng của tải trọng động, khi
≤ 0,5 fv và N/(Anf)>0,1 được thực hiện theo công thức:
(37)
trong đó:
N, Mx, My là giá trị tuyệt đối tương ứng của lực dọc, mômen uốn của tổ hợp nội lực bất lợi nhất.
nc, cx, cy là các hệ số, lấy theo Phụ lục C.
Nếu
thì chỉ được dùng công thức (37) khi thỏa mãn các yêu cầu ở 7.6.3.2.
Trong các trường hợp khác, tính toán về bền theo công thức:
(38)
trong đó: x, y là các tọa độ của thớ khảo sát đối với các trục chính của tiết diện.
7.4.2 Tính toán về ổn định
7.4.2.1 Cấu kiện chịu nén lệch tâm, nén uốn phải được kiểm tra ổn định trong mặt phẳng tác dụng của mômen (dạng mất ổn định phẳng) và ngoài mặt phẳng tác dụng của mômen (dạng mất ổn định uốn xoắn).
7.4.2.2 Tính toán về ổn định cấu kiện chịu nén lệch tâm, nén uốn, có tiết diện không đổi trong mặt phẳng của mômen uốn trùng với mặt phẳng đối xứng được thực hiện theo công thức:
(39)
trong đó je được xác định như sau:
a) Đối với các thanh đặc lấy theo Bảng D.10, Phụ lục D phụ thuộc vào độ mảnh qui ước
và độ lệch tâm tương đối tính đổi me được xác định theo công thức:
me = hm (40)
trong đó:
h là hệ số ảnh hưởng hình dạng tiết diện, lấy theo Bảng D.9, Phụ lục D;
là độ lệch tâm tương đối (e = M/N là độ lệch tâm; Wc là môđun chống uốn của thớ chịu nén lớn nhất).
b) Đối với thanh rỗng, khi các thanh giằng hoặc bản giằng nằm trong các mặt phẳng song song với các mặt phẳng uốn, lấy theo Bảng D.11, Phụ lục D, phụ thuộc độ mảnh tương đương qui ước
(khi tính lấy
theo Bảng 14) và độ lệch tâm tương đối m:
(41)
trong đó:
a là khoảng cách từ trục chính vuông góc với mặt phẳng uốn của tiết diện đến trọng tâm của nhánh chịu nén lớn nhất, nhưng không nhỏ hơn khoảng cách đến trục của bản bụng nhánh;
e= M/N là độ lệch tâm; giá trị của M và N lấy theo 7.4.2.3.
Độ lệch tâm tương đối m của thanh rỗng ba mặt, liên kết bằng thanh giằng hoặc bản giằng, chịu nén uốn, nén lệch tâm lấy theo 11.5.4.
7.4.2.3 Giá trị của lực dọc N và mômen uốn M ở trong cùng một tổ hợp tải trọng và khi đó M được lấy như sau:
a) Với cột tiết diện không đổi của hệ khung, là mômen lớn nhất trong chiều dài cột;
b) Với cột bậc, là mômen lớn nhất ở đoạn cột có tiết diện không đổi;
c) Với cột dạng công xôn, là mômen ở ngàm nhưng không nhỏ hơn mômen tại tiết diện cách ngàm một đoạn bằng 1/3 chiều dài cột;
d) Với thanh chịu nén hai đầu tựa khớp và tiết diện có một trục đối xứng trùng với mặt phẳng uốn, giá trị của M lấy theo Bảng 15;
Bảng 15 - Giá trị M
| Độ lệch tâm tương đối ứng với Mmax | Giá trị tính toán của M khi độ mảnh qui ước | |
|
|
| |
| m ≤ 3 |
|
|
| 3 < m ≤ 20 |
|
|
| CHÚ THÍCH: Mmax là mômen uốn lớn nhất trong chiều dài thanh; M1 là mômen uốn lớn nhất trong khoảng 1/3 chiều dài của thanh nhưng không nhỏ hơn 0,5Mmax; m là độ lệch tâm tương đối: m = MmaxA / (N Wc) ; Trong mọi trường hợp lấy M ³ 0,5Mmax. | ||
e) Với cánh trên chịu nén của giàn và của hệ lưới thanh không gian, chịu tải trọng tập trung không đúng mắt, là mômen lớn nhất trong khoảng 1/3 chiều dài khoang mắt khi tính cánh trên như dầm liên tục trên gối đàn hồi.
Với thanh chịu nén hai đầu tựa khớp và tiết diện có hai trục đối xứng, giá trị của độ lệch tâm tương đối tính đổi me lấy theo Bảng D.12, Phụ lục D.
7.4.2.4 Tính toán về ổn định ngoài mặt phẳng uốn cấu kiện chịu nén lệch tâm có tiết diện không đổi, mômen uốn tác dụng trong mặt phẳng có độ cứng lớn nhất (Ix>IY) trùng với mặt phẳng đối xứng, được thực hiện theo công thức:
(42)
trong đó:
c là hệ số lấy theo 7.4.2.5;
jy là hệ số lấy theo 7.3.2.1.
7.4.2.5 Hệ số c trong công thức (42) được tính như sau:
Khi độ lệch tâm tương đối mx ≤ 5:
(43)
trong đó các hệ số a và b được lấy theo Bảng 16.
Khi mx ³ 10:
(44)
trong đó:
jb là hệ số lấy theo 7.2.2.1 và Phụ lục E như trong dầm có cánh chịu nén với từ hai điểm cố kết trở lên; đối với tiết diện kín thì jb = 1,0.
Khi 5 < mx < 10:
(45)
trong đó:
C5 tính theo các công thức (43) khi mx = 5;
C10 tính theo công thức (44) khi mx = 10.
Khi xác định độ lệch tâm tương đối mx, mômen tính toán Mx lấy như sau:
a) Với thanh hai đầu được giữ không cho chuyển vị trong phương vuông góc với mặt phẳng tác dụng của mômen, là mômen lớn nhất trong khoảng 1/3 chiều dài thanh (nhưng không nhỏ hơn 0,5 lần mômen lớn nhất trên cả chiều dài thanh);
b) Với thanh công xôn, là mômen ở ngàm (nhưng không nhỏ hơn mômen ở tiết diện cách ngàm một đoạn bằng 1/3 chiều dài thanh).
Khi độ mảnh
thì hệ số c lấy như sau:
Với thanh tiết diện kín, c = 1;
Với thanh tiết diện chữ I, có hai trục đối xứng, c không vượt quá:
(46)
trong đó:

bi, ti là chiều rộng và chiều dày các bản (cánh, bụng) của tiết diện;
h là khoảng cách giữa trục hai cánh.
Với thanh tiết diện chữ I và chữ T có một trục đối xứng, hệ số c không vượt quá giá trị tính theo công thức D.9, Phụ lục D.
Bảng 16 - Hệ số a và b
| Loại tiết diện | Giá trị của các hệ số | ||||
| a khi | b khi | ||||
| mx ≤ 1 | 1 < mx ≤ 5 | ly ≤ lc | ly > lc | ||
| Hở
| 0,7 | 0,65 + 0,05mx | 1 |
| |
|
|
| 1 |
khi | ||
| Kín | 0,6 | 0,55 + 0,05mx | 1 |
| |
| thanh (bản) giằng | đặc | ||||
|
|
| ||||
| CHÚ THÍCH: I1, I2 lần lượt là các mômen quán tính của cánh lớn và nhỏ đối với trục đối xứng y-y của tiết diện; jc là giá trị của jy khi ly = lc = 3,14 Đối với cột rỗng thanh giằng (bản giằng) chỉ lấy giá trị của a và b theo tiết diện kín nếu trên chiều dài thanh có ít nhất 2 vạch cứng, trong trường hợp ngược lại lấy theo tiết diện chữ I hở. | |||||
7.4.2.6 Cấu kiện chịu nén lệch tâm, uốn trong mặt phẳng có độ cứng nhỏ nhất (Iy < Ix và ey ¹ 0), nếu lx > ly thì tính toán về ổn định theo công thức (39) và kiểm tra ổn định ngoài mặt phẳng có mômen tác dụng như thanh nén đúng tâm theo công thức.
![]()
(47)
trong đó:
jx là hệ số lấy theo 7.3.2.1
Nếu lx ≤ ly thì kiểm tra ổn định ra ngoài mặt phẳng tác dụng của mômen là không cần thiết.
7.4.2.7 Đối với thanh rỗng chịu nén lệch tâm, có các thanh giằng nằm trong những mặt phẳng song song với mặt phẳng uốn, ngoài việc kiểm tra ổn định của cả thanh theo công thức (39) còn phải kiểm tra ổn định của từng nhánh riêng như thanh chịu nén đúng tâm theo công thức (20). Khi xác định lực dọc trong mỗi nhánh phải kể thêm lực nén NM do mômen gây ra. Giá trị của NM khi uốn trong mặt phẳng vuông góc với trục y-y (Bảng 14) như sau:
NM = M/b đối với tiết diện loại 1 và 3;
NM = M/2b đối với tiết diện loại 2;
Với tiết diện loại 3 khi uốn trong mặt phẳng vuông góc với trục x-x, NM = 1,16M/b (b là khoảng cách giữa trục các nhánh).
Các nhánh của thanh rỗng chịu nén lệch tâm, có các bản giằng, được kiểm tra ổn định như cấu kiện chịu nén lệch tâm, khi đó phải kể thêm lực nén NM do mômen và sự uốn cục bộ của nhánh do lực cắt thực tế hoặc qui ước (như cánh của giàn không thanh xiên, lực cắt qui ước lấy theo 7.4.2.10).
7.4.2.8 Ổn định của thanh bụng đặc, chịu nén uốn trong hai mặt phẳng chính, khi mặt phẳng có độ cứng lớn nhất (Ix > Iy) trùng với mặt phẳng đối xứng, được kiểm tra theo công thức:
(48)
trong đó:
;
ở đây
lấy theo 7.4.2.2 nhưng thay các đại lượng m và l tương ứng bằng my và ly;
c lấy theo 7.4.2.5.
Khi tính độ lệch tâm tương đối tính đổi mey = hmy đối với các tiết diện chữ I có các cạnh không giống nhau, hệ số h được lấy như đối với tiết diện loại 8 Bảng D.9, Phụ lục D.
Nếu me < mx thì ngoài việc kiểm tra theo công thức (48) còn phải kiểm tra theo công thức (39) và (42) khi lấy ey = 0.
Giá trị của độ lệch tâm tương đối tính như sau:
mx = ex (A / Wx) và my = ey (A / Wy)
trong đó:
Wx và Wy là các mômen chống uốn của tiết diện đối với các thớ chịu nén lớn nhất đối với các trục x-x và y-y.
Nếu lx > ly thì ngoài việc tính theo công thức (48) cần kiểm tra thêm công thức (39) với ey = 0.
Trong trường hợp mặt phẳng có độ cứng lớn nhất (Ix > Iy) không trùng với mặt phẳng đối xứng thì giá trị của mx được tăng lên 25%.
7.4.2.9 Kiểm tra ổn định của thanh rỗng gồm hai nhánh bụng đặc, trục đối xứng y-y (Hình 7), các thanh giằng nằm trong hai mặt phẳng song song, chịu nén uốn trong hai mặt phẳng chính như sau:
a) Về ổn định của cả thanh trong mặt phẳng song song với mặt phẳng của các thanh giằng theo 7.4.2.2, lấy ey = 0;
b) Về ổn định của các nhánh riêng, như cấu kiện chịu nén lệch tâm theo các công thức (39), (42). Khi đó lực dọc trong mỗi nhánh có kể thêm lực nén do Mx (xem 7.4.2.7), còn My phân phối cho các nhánh theo tỉ lệ độ cứng của chúng (nếu My nằm trong mặt phẳng của một trong các nhánh thì coi như nó truyền hoàn toàn lên nhánh đó). Khi kiểm tra theo công thức (39) thì độ mảnh của nhánh lấy thỏa mãn yêu cầu trong 7.5.2.5, khi kiểm tra theo công thức (42) thì độ mảnh của nhánh lấy ứng với khoảng cách lớn nhất giữa mắt các thanh giằng.
7.4.2.10 Bản giằng và thanh giằng trong thanh nén lệch tâm tính theo 7.3.2.6, 7.3.2.7. Lực cắt lấy bằng giá trị lớn hơn trong hai giá trị: lực cắt thực tế và lực cắt qui ước (tính theo 7.3.2.5).

Hình 7 - Tiết diện rỗng gồm hai nhánh bụng đặc
7.5 Chiều dài tính toán của các cấu kiện chịu nén và nén uốn
7.5.1 Thanh của giàn phẳng và hệ giằng
7.5.1.1 Chiều dài tính toán lo của các thanh trong giàn phẳng và hệ giằng (trừ các thanh bụng chữ thập) lấy theo Bảng 17.
Bảng 17 - Chiều dài tính toán của các thanh trong giàn phẳng và hệ giằng
| Phương uốn dọc | Chiều dài tính toán lo | ||
| Thanh cánh | Thanh xiên, thanh đứng ở gối tựa | Các thanh bụng khác | |
| 1. Trong mặt phẳng dàn: a) Đối với các dàn, trừ những giàn ở mục 1.b b) Đối với giàn có các thanh là thép góc đơn và giàn có các thanh bụng liên kết dạng chữ T với các thanh cánh. 2. Trong phương vuông góc với mặt phẳng giàn (ngoài mặt phẳng dàn): a) Đối với các dàn, trừ những giàn ở mục 2.b b) Giàn có các thanh cánh là định hình cong, các thanh bụng liên kết dạng chữ T với thanh cánh |
l
l
l1 l1 |
l
l
l1 l1 |
0,8l
0,9l
l1 0,9l1 |
| Các kí hiệu trong Bảng 17 (theo Hình 8); l là chiều dài hình học của thanh (khoảng cách giữa tâm các mắt) trong mặt phẳng dàn; l1 là khoảng cách giữa các mắt được liên kết không cho chuyển vị ra ngoài mặt phẳng giản (bằng các thanh giằng, các tấm mái cứng được hàn hoặc bắt bulông chặt với cánh dàn, v.v…). | |||
7.5.1.2 Nếu theo chiều dài thanh (cánh, bụng) có các lực nén N1 và N2 (N1 > N2) thì chiều dài tính toán ngoài mặt phẳng giàn của thanh (Hình 8 c, d) là:
(49)
Khi đó thanh được tính toán về ổn định theo lực N1.
7.5.1.3 Chiều dài tính toán l0 của các thanh bụng chữ thập (Hình 8, e) lấy như sau:
Trong mặt phẳng giàn, bằng khoảng cách từ tâm của mắt giàn đến điểm giao nhau của chúng (lo = l);
Ngoài mặt phẳng dàn, đối với các thanh chịu nén lấy theo Bảng 18, đối với các thanh chịu kéo lấy bằng chiều dài hình học của thanh (lo = l1).
7.5.1.4 Bán kính quán tính i của tiết diện thanh thép góc đơn lấy như sau:
Khi tính chiều dài tính toán của thanh bằng l hoặc 0,9l (l là khoảng cách giữa các mắt gần nhất), lấy giá trị nhỏ nhất, i = imin;
Trong các trường hợp còn lại: lấy đối với trục của thép góc vuông góc hoặc song song với mặt phẳng giàn (i = ix hoặc i = iy phụ thuộc vào phương uốn dọc).
|
| a) Hệ tam giác có thanh đứng; b) Hệ thanh bụng xiên; c) Hệ tam giác có giàn phân nhỏ; d) Hệ thanh bụng hình chữ K; e) Hệ thanh bụng chữ thập. |
Hình 8 - Các sơ đồ thanh bụng giàn để xác định chiều dài tính toán các thanh
Bảng 18 - Chiều dài tính toán ngoài mặt phẳng giàn của thanh bụng chữ thập chịu nén
| Đặc điểm mặt giao nhau của các thanh bụng | Chiều dài tính toán lo nếu thanh giao nhau với thanh khảo sát là thanh | ||
| chịu kéo | không chịu lực | chịu nén | |
| Cả hai thanh đều không gián đoạn Thanh giao nhau với thanh khảo sát gián đoạn và có phủ bản mã: - Thanh khảo sát không gián đoạn; - Thanh khảo sát gián đoạn; | l
0,7 l1 0,7 l1 | 0,7 l1
l1 - | l1
1,4 l1 - |
| CHÚ THÍCH (Hình 8, e): l là khoảng cách từ tâm mắt giàn đến điểm giao nhau của các thanh; l1 là chiều dài hình học của thanh. | |||
7.5.2 Cột
7.5.2.1 Chiều dài tính toán của cột có tiết diện không đổi hoặc các đoạn của cột bậc được tính theo công thức:
lo = ml (50)
trong đó:
l là chiều dài của cột, từng đoạn của nó hoặc chiều cao của tầng;
m là hệ số chiều dài tính toán.
7.5.2.2 Hệ số chiều dài tính toán m của cột có tiết diện không đổi (đứng độc lập) phụ thuộc vào cách liên kết ở hai đầu cột và dạng tải trọng.
Đối với một số trường hợp liên kết và dạng tải trọng lấy theo Bảng D.1, Phụ lục D.
7.5.2.3 Hệ số chiều dài tính toán m của cột có tiết diện không đổi, trong mặt phẳng khung, khi xà ngang liên kết ngàm với cột được lấy như sau:
a) Với khung có chuyển vị ngang khi chịu tải (tại các nút khung không có liên kết chống chuyển vị ngang) và tải trọng tại các nút như nhau: lấy theo Bảng 19.
b) Với khung không có chuyển vị ngang khi chịu tải (các nút khung có liên kết chống chuyển vị ngang) và tải trọng tại các nút như nhau:
(55)
Trong công thức (55) p và n lấy như sau:
Với khung 1 tầng: 
Với khung nhiều tầng:
+ Đối với tầng trên cùng: 
+ Đối với các tầng giữa: 
+ Đối với tầng dưới cùng: 
trong đó p1, p2, n1, n2 lấy theo Bảng 19.
c) Đối với cột có tiết diện không đổi của khung, khi một đầu của cột liên kết khớp với xà ngang còn đầu kia ngàm với móng thì trong công thức (52) của khung một tầng; (53), (54) của khung nhiều tầng; (55) của khung không có chuyển vị ngang, các giá trị của n và r lấy như sau:
Đầu trên của cột là khớp (dưới ngàm): n = 0, (Ib = 0); r = 50, (II = ¥);
Đầu trên của cột là ngàm (dưới khớp): n = 50, (Ib = ¥); r = 0, (II = 0);
Bảng 19 - Hệ số chiều dài tính toán m của cột có tiết diện không đổi
| Sơ đồ tính của khung có chuyển vị ngang tự do | Công thức tính m | Hệ số n và p | |
| Một nhịp | Nhiều nhịp | ||
|
|
|
|
|
|
|
| ||
|
| Khi n ≤ 0,2
(53)
Khi > 0,2
(54) | Tầng trên cùng | |
|
|
| ||
| Các tầng giữa | |||
|
|
| ||
| Tầng dưới cùng | |||
|
|
| ||
| CHÚ THÍCH: n1 = (Ib1lc)/(l1Ic); n2 = (Ib2lc)/(l2Ic); p1 = (Ii1lc)/(l1Ic); p2 = (Ii2lc)/(l2Ic); k là số nhịp; l, l1, l2 là các nhịp khung; Ic , lc là mômen quán tính tiết diện và chiều dài của cột khảo sát; Ib, Ib1, Ib2 là mômen quán tính của các xà liên kết với đầu trên của cột; II, Ii1, Ii2 là mômen quán tính của các xà liên kết với đầu dưới của cột; - Đối với cột ngoài của khung nhiều nhịp tính như đối với cột khung 1 nhịp. | |||
d) Đối với nhà một tầng, có chuyển vị ngang, khi tải trọng tại nút các cột không đều nhau, nhà có khối mái cứng hoặc có hệ giằng dọc nối đầu trên của tất cả các cột, thì hệ số chiều dài tính toán me của cột chịu tải lớn nhất tính như sau:
(56)
trong đó:
m là hệ số tính theo các công thức (51), (52), Bảng 19;
Ic, Nc là mômen quán tính và lực nén lớn nhất trong cột khảo sát;
tương tứng là tổng lực nén và tổng mômen quán tính tiết diện của tất cả các cột ở khung khảo sát và của 4 khung lân cận (2 khung mỗi phía). Tất cả các lực Ni đều trong cùng một tổ hợp tải trọng với Nc.
Giá trị của me tính theo công thức (56) không được nhỏ hơn 0,7.
CHÚ THÍCH: Khi tỉ số H/B > 6 (H là chiều cao của nhà nhiều tầng; B là chiều rộng của nhà), phải kiểm tra thêm ổn định tổng thể của khung như thanh tổ hợp, ngàm ở móng.
Đối với cột biên, hệ số m lấy như cột của khung một nhịp.
7.5.2.4 Hệ số chiều dài tính toán đối với các đoạn của cột bậc lấy theo Phụ lục D.
Khi xác định hệ số m của cột bậc trong khung nhà công nghiệp một tầng cho phép:
Không kể đến ảnh hưởng sự chịu tải và độ cứng của các cột lân cận;
Chỉ xác định chiều dài tính toán của cột đối với tổ hợp tải trọng cho lực nén lớn nhất trong các đoạn và giá trị m nhận được này sẽ dùng cho các tổ hợp tải trọng khác;
Đối với khung nhiều nhịp (từ hai trở lên), khi có khối mái cứng hoặc hệ giằng dọc nối đầu trên của các cột đảm bảo sự làm việc không gian của cả hệ khung thì chiều dài tính toán của cột khung được xác định như đối với một cột độc lập được liên kết cố định ở mức xà ngang;
Đối với cột một bậc, khi tỉ số l2/l1 ≤ 0,6 và N1,N2 > 3 thì giá trị của m lấy theo Bảng 20.
7.5.2.5 Chiều dài tính toán của cột theo hướng dọc nhà (ngoài mặt phẳng khung) bằng khoảng cách giữa các điểm liên kết không cho cột chuyển vị ra ngoài mặt phẳng khung ( gối tựa của cột, dầm cầu trục, giàn đỡ kèo, mắt liên kết với hệ giằng, với xà ngang, v.v…).
7.5.2.6 Chiều dài tính toán của thanh (đặc, rỗng) có tiết diện thay đổi có thể tham khảo Phụ lục D.3.
7.5.3 Kết cấu không gian rỗng
7.5.3.1 Khi xác định độ mảnh của các thanh thép góc đơn chịu nén hoặc không chịu lực trong kết cấu không gian rỗng, chiều dài tính toán lo và bán kính quán tính I của các thanh lấy theo Bảng 21.
Bảng 20 - Hệ số chiều dài tính toán m của cột bậc
| Điều kiện liên kết ở đầu trên của cột | Hệ số m đối với | ||
|
| Đoạn cột dưới khi | Đoạn cột trên | |
|
| 0,1 < I2/I1 ≤ 0,3 | 0,05 < I2/I1 ≤ 0,1 |
|
| Đầu tự do Chỉ liên kết không cho xoay Tựa khớp cố định Liên kết ngàm | 2,5 2,0 1,6 1,2 | 3,0 2,0 2,0 1,5 | 3,0 3,0 2,5 2,0 |
| CHÚ THÍCH: l1, I1, N1 là chiều dài, mômen quán tính tiết diện và lực dọc của đoạn cột dưới; l2, I2, N2 là chiều dài, mômen quán tính tiết diện là lực dọc của đoạn cột trên; | |||
7.5.3.2 Khi xác định độ mảnh của thanh chịu kéo bằng thép và góc đơn, chiều dài tính toán và bán kính quán tính của chúng lấy như sau:
Với thanh cánh: theo Bảng 21;
Với thanh xiên:
+ Theo Hình 9 a, e: trong mặt phẳng giàn - ld và imin; ngoài mặt phẳng giàn - Ld (khoảng cách giữa hai mắt liên kết với thanh cánh) và ix (lấy với trục song song với mặt phẳng dàn);
+ Theo Hình 9 b, c, d: chiều dài ld và imin.
Bảng 21 - Chiều dài tính toán lo và bán kính quán tính i của các thanh
| Thanh | lo | i |
| Cánh: - Theo Hình 9, a, b, c - Theo Hình 9, d, e Xiên: - Theo Hình 9, b, c, d - Theo Hình 9, a, e Ngang: - Theo Hình 9, b - Theo Hình 9, c |
lm 1,14 lm
mdld mdldc
0,8 lc 0,65 lc |
imin ix hoặc iy
imin imin
imin imin |
| CHÚ THÍCH: ldc là chiều dài qui ước của thanh xiên, lấy theo Bảng 22; md là hệ số chiều dài tính toán của thanh xiên lấy theo Bảng 23; Trong hình 9, a, e, các thanh xiên phải liên kết với nhau tại giao điểm của chúng. Giá trị lo đối với thanh ngang theo Hình 9c ứng với thép góc đơn đều cạnh. | ||

a, b, c - các mắt ở hai mặt tiếp giáp trùng nhau;
d, e - các mắt ở hai mặt tiếp giáp không trùng nhau.
Hình 9 - Sơ đồ kết cấu không gian rỗng, các thanh từ thép góc đơn
Bảng 22 - Chiều dài qui ước ldc của thanh xiên
| Đặc điểm mắt giao nhau của các thanh xiên | Giá trị ldc của thanh xiên khảo sát nếu thanh giao nhau với thanh khảo sát là thanh | ||
| Chịu kéo | Không chịu lực | Chịu nén | |
| 1. Cả hai thanh không gián đoạn 2. Thanh giao nhau với thanh khảo sát gián đoạn và có phủ bản mã: - Kết cấu theo Hình 9 a; - Kết cấu theo Hình 9 e, khi: 1< n ≤ 3 n > 3 3. Mắt giao nhau của các thanh xiên được liên kết tránh chuyển vị ra ngoài mặt phẳng giàn | ld
1,3ld
(1,75 - 0,15n)ld 1,3ld
ld | 1,3ld
1,6ld
(1,9 - 0,1n)ld 1,6ld
ld | 0,8Ld
Ld
Ld Ld
ld |
| CHÚ THÍCH: Ld là chiều dài thanh xiên theo Hình 9 a, e; n = (Im,minld)/(Id,minlm); Im,min và Id,min là mômen quán tính nhỏ nhất của thanh cánh và thanh xiên. | |||
Bảng 23 - Hệ số chiều dài tính toán của thanh xiên md
| Liên kết của thanh xiên với thanh cánh | n | Giá trị của md khi l/imin bằng | ||
| ≤ 60 | 60 < l/imin ≤ 160 | ³ 160 | ||
| Bằng đường hàn hoặc bulông (không nhỏ hơn 2), không có bản mã | ≤ 2 ³ 6 | 1,14 1,04 | 0,54 + 36(imin/l) 0,56 + 28,8(imin/l) | 0,765 0,74 |
| Bằng 1 bulông, không có bản mã | Không phụ thuộc n | 1,12 | 0,64 + 28,8(imin/l) | 0,82 |
| CHÚ THÍCH: n xem Bảng 22; l là chiều dài thanh, lấy bằng ld đối với Hình 9, b, c, d; bằng ldc theo Bảng 21 (đối với Hình 9, a, e); - Giá trị của md khi n từ 2 đến 6 xác định theo nội suy tuyến tính; - Khi liên kết trực tiếp một đầu của thanh xiên với thanh cánh bằng đường hàn hoặc bulông, còn đầu kia qua bản mã thì hệ số chiều dài tính toán là 0,5(1+md); khi liên kết cả hai đầu thanh qua bản mã thì md = 1. | ||||
7.5.3.3 Chiều dài tính toán và bán kính quán tính của thanh thép ống và tiết diện ghép từ hai thép góc lấy theo 7.5.1.
7.5.4 Hệ mái lưới thanh không gian
Chiều dài tính toán của các thanh trong hệ mái lưới không gian lấy theo Bảng 24.
Bảng 24 - Chiều dài tính toán của các thanh trong hệ mái lưới không gian
| Các thanh của hệ mái lưới | Chiều dài tính toán lo |
| 1. Ngoài các thanh nêu ở mục 2 và 3 ở dưới đây 2. Thanh cánh liên tục (không gián đoạn tại mắt) và liên kết hàn dạng chữ T với mắt cầu (thanh xuyên qua mắt cầu và hàn ở chu vi giao nhau với mặt cầu) 3. Là thép góc đơn, liên kết vào mắt theo một cánh bằng: a) Đường hàn hoặc bulông (không ít hơn hai) bố trí dọc theo thanh khi: - l/imin ≤ 90; - 90 ≤ l/imin ≤ 120; - 120 ≤ l/imin ≤ 150 (chỉ đối với các thanh bụng); - 150 ≤ l/imin ≤ 200 (chỉ đối với các thanh bụng). b) Một bulông khi: - l/imin ≤ 90; - 90 ≤ l/imin ≤ 120; - 120 ≤ l/imin ≤ 150 (chỉ đối với các thanh bụng); - 150 ≤ l/imin ≤ 200 (chỉ đối với các thanh bụng). | l 0,85l
l 0,9l 0,75l 0,7l
l 0,95l 0,85l 0,8l |
| CHÚ THÍCH: l là chiều dài hình học của thanh (khoảng cách giữa các mắt) | |
7.5.5 Độ mảnh giới hạn của các thanh
7.5.5.1 Độ mảnh giới hạn của các thanh chịu nén lấy theo Bảng 25
Bảng 25 - Độ mảnh giới hạn của các thanh chịu nén
| Các thanh | Độ mảnh giới hạn |
| 1. Thanh cánh, thanh xiên và thanh đứng nhận phản lực gối: a) Của giàn phẳng, hệ mái lưới thanh không gian, hệ thanh không gian rỗng (có chiều cao H ≤ 50 m) bằng thép ống hoặc tổ hợp từ hai thép góc; |
180 - 60a |
| b) Của hệ thanh không gian rỗng bằng thép góc đơn, hệ thanh không gian rỗng (chiều cao H > 50 m) nhưng bằng thép ống hay tổ hợp từ hai thép góc. | 120 |
| 2. Các thanh (trừ những thanh đã nêu ở mục 1 và 7): a) Của giàn phẳng bằng thép góc đơn; hệ mái lưới thanh không gian và hệ thanh không gian rỗng bằng thép góc đơn, tổ hợp từ hai thép góc hoặc thép ống; | 210 - 60a |
| b) Của hệ mái lưới thanh không gian, hệ thanh không gian rỗng bằng thép góc đơn, dùng liên kết bulông. | 220 - 40a |
| 3. Cánh trên của giàn không được tăng cường khi lắp ráp (khi đã lắp ráp lấy theo mục 1) | 220 |
| 4. Cột chính | 180 - 60a |
| 5. Cột phụ (cột sườn tường, thanh đứng của cửa mái, v.v…), thanh giằng của cột rỗng, thanh của hệ giằng cột (ở dưới gầm cầu trục) | 210 - 60a |
| 6. Các thanh giằng (trừ các thanh đã nêu ở mục 5), các thanh dùng để giảm chiều dài tính toán của thanh nén và những thanh không chịu lực mà không nêu ở mục 7 dưới đây. | 200 |
| 7. Các thanh chịu nén hoặc không chịu lực của hệ thanh không gian rỗng, tiết diện chữ T, chữ thập, chịu tải trọng gió khi kiểm tra độ mảnh trong mặt phẳng thẳng đứng. | 150 |
| CHÚ THÍCH: a = N / (jAfgc) - Hệ số j lấy không nhỏ hơn 0,5 (khi nén lệch tâm, nén uốn thay j bằng je). | |
7.5.5.2 Độ mảnh giới hạn của các thanh chịu kéo lấy theo Bảng 26.
Bảng 26 - Độ mảnh giới hạn của các thanh chịu kéo
| Các thanh | Khi kết cấu chịu tải trọng | ||
| động trực tiếp | tĩnh | cầu trục | |
| 1. Thanh cánh, thanh xiên ở gối của giàn phẳng (kể cả giàn hãm) và của hệ mái lưới thanh không gian | 250 | 400 | 250 |
| 2. Các thanh giàn và của hệ mái lưới thanh không gian (trừ các thanh nêu ở mục 1) | 350 | 400 | 300 |
| 3. Thanh cánh dưới của dầm cầu trục, dàn | - | - | 150 |
| 4. Các thanh của hệ giằng cột (ở dưới dầm cầu trục) | 300 | 300 | 200 |
| 5. Các thanh giằng khác | 400 | 400 | 300 |
| 6. Thanh cánh và thanh xiên ở gối của cột đường dây tải điện | 250 | - | - |
| 7. Các thanh của cột đường dây tải điện (trừ các thanh nêu ở mục 6 và 8) | 350 | - | - |
| 8. Các thanh của hệ thanh không gian rỗng có tiết diện chữ T hoặc chữ thập chịu tác dụng của tải trọng gió khi kiểm tra độ mảnh trong mặt phẳng thẳng đứng. | 150 | - | - |
| CHÚ THÍCH 1: Trong các kết cấu không chịu tải trọng động chỉ cần kiểm tra độ mảnh của thanh trong mặt phẳng thẳng đứng. CHÚ THÍCH 2: Không hạn chế độ mảnh của thanh chịu kéo ứng lực trước. CHÚ THÍCH 3: Tải trọng động đặt trực tiếp lên kết cấu là tải trọng dùng trong tính toán về bền mỏi hoặc trong tính toán có kể đến hệ số động. | |||
7.6 Ổn định cục bộ của các cấu kiện có tấm mỏng
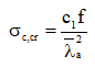
7.6.1 Ổn định cục bộ của bản bụng dầm
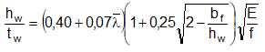
7.6.1.1 Để đảm bảo ổn định cục bộ, bản bụng của dầm tổ hợp phải được tăng cường bằng các sườn cứng theo các qui định sau:
a. Nếu độ mảnh qui ước của bản bụng
> 3,2 khi dầm chịu tải trọng tĩnh, hoặc
> 2,2 khi dầm chịu tải trọng di động thì bản bụng phải được tăng cường bằng các sườn cứng ngang (Hình 10), trong đó
, (hw là chiều cao tính toán của bản bụng dầm, xem 7.2.1.3, Hình 2; tw là chiều dày của bản bụng).
Khoảng cách giữa các sườn cứng ngang a ≤ 2hw nếu
> 3,2 và a ≤ 2,5hw nếu
≤ 3,2.
Nếu chỉ tăng cường bản bụng bằng sườn cứng ngang thì kích thước của chúng lấy như sau: khi bố trí cặp sườn đối xứng, chiều rộng của sườn bs ³ hw/30 + 40 mm;khi chỉ bố trí các sườn ở một bên của bản bụng bs ³ hw/24 + 50 mm. Chiều dài của sườn
.
b. Tại gối tựa của dầm và tại những chỗ có tải trọng tĩnh tập trung lớn đặt ở cánh trên phải đặt các sườn tăng cường ngang. Sườn ở gối tựa (sườn đầu dầm) được tính toán theo 7.6.1.7.
c. Nếu độ mảnh của bản bụng
> 5,5 thì ngoài sườn ngang còn phải tăng cường bản bụng bằng sườn tăng cường dọc (Hình 11). Sườn dọc được đặt cách mép chịu nén của bản bụng một đoạn h1 = (0,2 ¸ 0,3)hw. Khi có sườn dọc thì kích thước các sườn lấy như sau:
Đối với sườn ngang:
; Is là mômen quán tính của cặp sườn ngang đối với trục dọc của bản bụng;
Đối với sườn dọc:
; Isl là mômen quán tính của sườn dọc đối với trục thẳng đứng của tiết diện dầm.
Khi chỉ bố sườn ngang và dọc ở một bên của bản bụng thì mômen quán tính của các sườn được tính đối với các trục tương ứng trên nhưng nằm ở mặt tiếp xúc của sườn với bản bụng.
7.6.1.2 Khi kiểm tra ổn định cục bộ bản bụng dầm phải kể đến tất cả các thành phần của trạng thái ứng suất (s, t, sc).
Các thành phần ứng suất được tính với giả thiết vật liệu làm việc đàn hồi theo tiết diện nguyên, không kể đến hệ jb.
Ứng suất nén s (lấy dấu "+") ở biên của ô bản khảo sát và ứng suất tiếp trung bình t được tính theo các công thức:
(57)
(58)
trong đó: M,V là giá trị trung bình của mômen và lực cắt trong phạm vi của ô bản. Nếu chiều dài của ô nhỏ hơn hoặc bằng chiều cao tính toán của nó (a ≤ hw) thì M,V lấy tại tiết diện giữa ô; nếu a > hw thì M và V lấy tại tiết diện giữa của phần ô bản có ứng suất lớn hơn và có chiều dài hw; nếu trong phạm vi ô kiểm tra có M và V đổi dấu thì giá trị trung bình của chúng lấy trên phần ô có giá trị tuyệt đối của nội lực lớn.
Ứng suất cục bộ sc trong bản bụng do tải trọng tập trung được tính theo công thức (4) và 10.5.6 (khi g1 = 1,1).
Nếu trong ô có tải trọng tập trung đặt ở cánh chịu kéo thì kiểm tra do tác dụng đồng thời của hai thành phần ứng suất s và t hoặc sc và t.
7.6.1.3 Không cần kiểm tra ổn định cục bộ của bản bụng dầm khi:
≤ 3,5, trong trường hợp không có ứng suất cục bộ;
≤ 2,5, trong trường hợp có ứng suất cục bộ.
Khi đó chỉ cần đặt các sườn cứng ngang theo chỉ dẫn ở 7.6.1.1.
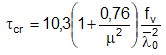
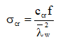
7.6.1.4 Kiểm tra ổn định của bản bụng dầm có tiết diện đối xứng, chỉ tăng cường bằng các sườn cứng ngang, khi ứng suất cục bộ sc = 0, và độ mảnh qui ước
< 6 theo công thức:
(59)
trong đó:
(60)
(61)
Trong công thức (60) hệ số ccr lấy như sau:
Đối với dầm hàn, theo Bảng 27, phụ thuộc hệ số:
(62)
trong đó:
bf, tf là chiều rộng và chiều dày của cánh chịu nén;
b là hệ số, lấy theo Bảng 28.
Bảng 27 - Hệ số ccr
| d | ≤ 0,8 | 1,0 | 2,0 | 4,0 | 6,0 | 10,0 | ³ 30 |
| ccr | 30,0 | 31,5 | 33,3 | 34,6 | 34,8 | 35,1 | 35,5 |
Bảng 28 - Hệ số b
| Dầm | Điều kiện làm việc của cánh chịu nén | b |
| Cầu trục | Ray không hàn Ray được hàn | 2 ¥ |
| Các dầm khác | Khi có sàn cứng đặt liên tục trên cánh nén Trong các trường hợp khác | ¥
0,8 |
| CHÚ THÍCH: Đối với dầm cầu trục, khi có lực tập trung đặt ở cánh chịu kéo, khi tính hệ số d lấy b = 0,8 | ||
Đối với dầm bulông cường độ cao lấy ccr = 35,2.
Trong công thức (61): 
trong đó:
d là cạnh bé của ô bản (hw hoặc a);
m là tỉ số giữa cạnh lớn của ô bản chia cho cạnh nhỏ.
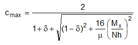
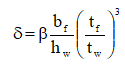
7.6.1.5 Kiểm tra ổn định của bản bụng dầm có tiết diện đối xứng, chỉ tăng cường bằng các sườn ngang (Hình 10a), khi ứng suất cục bộ sc ¹ 0, theo công thức:
(63)
trong đó:
s, sc, t được tính theo các công thức ở 7.6.1.2;
tcr tính theo công thức (61);
(64)
với:

c1 là hệ số, đối với dầm hàn lấy theo Bảng 29 phụ thuộc vào giá trị của a/hw và d (theo công thức (62); đối với dầm bulông cường độ cao lấy theo Bảng 30.
Nếu tải trọng đặt ở cánh chịu kéo (Hình 10 b) thì kiểm tra ổn định của bản bụng được thực hiện theo hai tổ hợp ứng suất:
s và t (cho biên chịu nén)
sc và t, (cho biên chịu kéo), khi đó tính hệ số d theo công thức (62) thì bf và tf là chiều rộng và dày của cánh chịu kéo.
b) Khi a/hw > 0,8 là tỉ số sc/s lớn hơn các giá trị cho trong Bảng 31 thì:
(65)
trong đó:
c2 là hệ số lấy trong Bảng 32;
sc,cr là tính theo công thức (64), trong đó nếu a/hw > 2 thì lấy a = 2hw
Bảng 29 - Giá trị của c1 đối với dầm hàn
| d | Giá trị của c1 đối với dầm hàn khi a/hw bằng | ||||||||
| ≤ 0,5 | 0,6 | 0,8 | 1,0 | 1,2 | 1,4 | 1,6 | 1,8 | ³ 2 | |
| ≤ 1 2 4 6 10 ³ 30 | 11,5 12,0 12,3 12,4 12,4 12,5 | 12,4 13,0 13,3 13,5 13,6 13,7 | 14,8 16,1 16,6 16,8 16,9 17,0 | 18,0 20,4 21,6 22,1 22,5 22,9 | 21,1 25,7 28,1 29,1 30,0 31,0 | 27,1 32,1 36,3 38,3 39,7 41,6 | 32,6 39,2 45,2 48,7 51,0 53,8 | 38,9 46,5 54,9 59,4 63,3 68,2 | 45,6 55,7 65,1 70,4 76,5 83,6 |
Bảng 30 - Giá trị của c1 đối với dầm bulông cường độ cao
| a/hw | 0,5 | 0,6 | 0,8 | 1,0 | 1,2 | 1,4 | 1,6 | 1,8 | 2,0 |
| c1 | 13,7 | 15,9 | 20,8 | 28,4 | 38,75 | 51,0 | 64,2 | 79,8 | 94,9 |
Bảng 31 - Giá trị giới hạn của sc/s
| Loại dầm | d | Giá trị giới hạn của sc/s khi a/hw bằng | |||||||
| 0,8 | 0,9 | 1,0 | 1,2 | 1,4 | 1,6 | 1,8 | ³ 2 | ||
| Hàn | ≤ 1 2 4 6 10 ³ 30 | 0 0 0 0 0 0 | 0,146 0,109 0,072 0,066 0,059 0,047 | 0,183 0,169 0,129 0,127 0,122 0,112 | 0,267 0,277 0,281 0,288 0,296 0,300 | 0,359 0,406 0,479 0,536 0,574 0,633 | 0,445 0,543 0,711 0,874 1,002 1,283 | 0,540 0,652 0,930 1,192 1,539 2,249 | 0,618 0,799 1,132 1,468 2,154 3,939 |
| Bulông cường độ cao | - | 0 | 0,121 | 0,184 | 0,378 | 0,643 | 1,131 | 1,614 | 2,347 |
Bảng 32 - Hệ số c2
| a/hw | ≤ 0,8 | 0,9 | 1,0 | 1,2 | 1,4 | 1,6 | 1,8 | ³ 2 |
| c2 | Theo Bảng 27, c2 = ccr | 37,0 | 39,2 | 45,2 | 52,8 | 62,0 | 72,6 | 84,7 |
c) Khi a/hw < 0,8 và tỉ số sc/s không lớn hơn các giá trị cho trong Bảng 31 thì:
scr tính theo công thức (60);
sc, cr tính theo công thức (64) nhưng đặt a/2 thay cho a khi tính
cũng như ở trong Bảng 30. Trong mọi trường hợp tcr đều được tính theo kích thước thực của ô bản.

a) Tải trọng tập trung F đặt ở cánh chịu nén, (st - ứng suất kéo);
b) Tải trọng tập trung F đặt ở cánh chịu kéo.
CHÚ DẪN:
1. Sườn cứng ngang;
2. Sườn cứng dọc.
Hình 10 - Sơ đồ dầm được tăng cường bằng các sườn cứng ngang

CHÚ DẪN:
1. Sườn cứng ngang;
2. Sườn cứng dọc.
Hình 11 - Sơ đồ dầm được tăng cường bằng các sườn cứng dọc và ngang
7.6.1.6 Kiểm tra ổn định của bản bụng dầm có tiết diện không đối xứng (cánh chịu nén mở rộng) theo chỉ dẫn ở 7.6.1.4, 7.6.1.5 nhưng có kể đến các thay đổi sau: trong công thức (60), (65) và Bảng 32 giá trị của hw lấy bằng hai lần khoảng cách từ trục trung hòa đến biên tính toán chịu nén của ô bản. Nếu a/hw > 0,8 và sc ¹ 0 thì cần kiểm tra cả hai trường hợp theo 7.6.1.5b và 7.6.1.5c không phụ thuộc vào giá trị của sc/s.
7.6.1.7 Tại gối tựa, bản bụng của dầm tổ hợp phải được tăng cường bằng các sườn ngang (sườn đầu dầm). Sườn đầu dầm được tính theo uốn dọc ra ngoài mặt phẳng của bản bụng như một thanh đứng chịu phản lực gối. Tiết diện tính toán của thanh gồm tiết diện của sườn và phần bản bụng ở hai bên sườn, mỗi bên rộng bằng
.
Chiều dài tính toán của thanh bằng chiều cao bản bụng. Tiết diện mút dưới của sườn gối (Hình 12) phải được bào nhẵn, tì sát hoặc hàn vào cánh dưới của dầm. Ứng suất tại tiết diện này do phản lực gối tựa trong trường hợp thứ nhất (Hình 12, a) không vượt quá cường độ tính toán của thép cán về ép mặt khi a ≤ 1,5ts và về nén khi a > 1,5ts; trong trường hợp thứ hai (Hình 12, b) không vượt quá cường độ ép mặt).
Khi hàn sườn gối với cánh dưới của dầm thì đường hàn được tính với phản lực gối tựa.

a) Sườn gối ở đầu mút dầm, mặt tựa được bào nhẵn;
b) Sườn gối ở gần đầu mút dầm, tì sát hoặc hàn vào cánh dưới.
Hình 12 - Sơ đồ đặt sườn cứng ở gối
7.6.2 Ổn định cục bộ của bản bụng cột
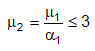
7.6.2.1 Cột chịu nén đúng tâm (m = 0), cột chịu nén lệch tâm và nén uốn (m > 0, tiết diện chữ I hoặc hình hộp, Hình 13) ngoài việc được kiểm tra ổn định theo các công thức (20), (39), (48) thì tỉ số giữa chiều cao tính toán và chiều dày của bản bụng hw/tw không được vượt quá trị số giới hạn [hw/tw] cho trong Bảng 33.
7.6.2.2 Đối với cột chịu nén lệch tâm và nén uốn, tiết diện chữ I hoặc hình hộp (Hình 13) mà điều kiện ổn định được kiểm tra theo công thức (42) thì giá trị giới hạn của hw/tw phụ thuộc vào giá trị của thông số a = (s - s1)/s (với s là ứng suất nén lớn nhất tại biên của bản bụng, mang dấu "+", khi không kể đến các hệ số je, jexy hoặc cj; s1 là ứng suất tại biên tương ứng của bản bụng), được lấy như sau:
Khi a ≤ 0,5, lấy theo 7.6.2.1;
Khi a ³ 1, tính theo công thức:
(66)
trong đó:
, (với
là ứng suất tiếp trung bình trong tiết diện khảo sát).
Khi 0,5 < a < 1, nội suy tuyến tính giữa các giá trị được tính với a = 0,5 và a = 1.

Hình 13 - Sơ đồ cột chịu nén
lệch tâm có tiết diện chữ I và hình hộp
Bảng 33 - Giá trị giới hạn [hw/tw]
| Độ lệch tâm tương đối | Loại tiết diện cột | Giá trị | Công thức tính [hw/tw] |
| m = 0 | Chữ I |
|
|
| Hình hộp, chữ [ cán |
|
| |
| Chữ [ tổ hợp |
|
| |
| m ³ 1,0 | Chữ I, Hình hộp |
|
|
| CHÚ THÍCH:
- Tiết diện hình hộp là các tiết diện kín (tổ hợp, uốn cong dạng chữ nhật hay vuông); - Đối với tiết diện hình hộp, khi m > 0, giá trị của [hw/tw] lấy cho bản bụng nằm song song với mặt phẳng tác dụng của mômen uốn; - Khi 0 < m < 1,0 giá trị của [hw/tw] được nội suy tuyến tính theo các giá trị với m = 0 và m = 1,0. | |||
7.6.2.3 Đối với cột chịu nén lệch tâm, nén uốn có tiết diện khác chữ I hoặc hình hộp (trừ tiết diện chữ T), giá trị của [hw/tw] ở 7.6.2.2 được nhân với hệ số 0,75.
7.6.2.4 Đối với các cột chịu nén đúng tâm, nén uốn, nén lệch tâm tiết diện chữ T, có độ mảnh qui ước
từ 0,8 đến 4 và khi 1 ≤ bf/hw ≤ 2 (với bf là chiều rộng của cánh chữ T;hw là chiều cao bản bụng chữ T). thì tỉ số hw/tw không được vượt quá giá trị tính theo công thức:
(67)
Khi
< 0,8 hoặc
> 4 thì trong công thức (67) lấy tương ứng
= 0,8 hoặc
= 4.
Khi tiết diện của cấu kiện được chọn theo độ mảnh giới hạn thì giá trị giới hạn của hw/tw được nhân với hệ số
, nhưng không lớn hơn 1,25 hw/tw.
7.6.2.5 Với cột tiết diện chữ I, khi giá trị thực tế của hw/tw vượt quá trị giới hạn [hw/tw] qui định ở 7.6.2.1 (đối với cột chịu nén đúng tâm không lớn hơn 2 lần) thì:
a) Khi kiểm tra ổn định cột chịu nén đúng tâm theo công thức (20) diện tích tiết diện A chỉ gồm diện tích của hai cánh và hai phần bản bụng tiếp giáp với hai cánh, mỗi phần rộng 0,5tw[hw/tw].
b) Khi kiểm tra ổn định của cột nén lệch tâm và nén uốn theo công thức (39), (48), diện tích tiết diện A chỉ gồm diện tích hai cánh và hai phần bản bụng tiếp giáp với hai cánh, mỗi phần rộng 0,85tw[hw/tw].
Giá trị của [hw/tw] được lấy tương ứng theo Bảng 33.
7.6.2.6 Khi bản bụng của cột đặc có hw/tw
thì phải gia cường bằng các sườn cứng ngang đặt cách nhau một khoảng từ 2,5hw đến 3hw. Trong trường hợp cột phải vận chuyển thì mỗi đoạn cột phải được gia cường không ít hơn 2 sườn. Kích thước của các sườn cứng ngang lấy theo 7.6.1.1.
7.6.3 Ổn định cục bộ của bản cánh dầm và cột
7.6.3.1 Chiều rộng tính toán bo của bản cánh lấy như sau:
Trong cấu kiện hàn: bằng khoảng cách từ biên của bản bụng đến mép của bản cánh;
Trong các thép cán định hình: từ điểm bắt đầu uốn cong phía trong của cánh đến mép của bản cánh;
Trong các định hình cong: từ điểm cuối đoạn cong của bản bụng đến mép của bản cánh (Hình 14).
7.6.3.2 Trong dầm, tỉ số giữa chiều rộng tính toán và chiều dài của bản cánh bc/tf không được lớn hơn giá trị [bc/tf] giới hạn cho ở Bảng 34.
Phần nhô ao của mép viền định hình cong (Hình 14) không được nhỏ hơn 0,3bo khi không có bản giằng; không nhỏ hơn 0,2bo khi có bản giằng; chiều dày của mép viền không được nhỏ hơn 
7.6.3.3 Đối với cột chịu nén đúng tâm, nén lệch tâm, nén uốn có độ mảnh qui ước 0,8 ≤
≤ 4, tỉ số [botf] không được lớn hơn các giá trị xác định theo các công thức trong Bảng 35.
Khi
< 0,8 hoặc
> 4 thì các công thức trong Bảng 35 lấy tương ứng với
= 0,8 hoặc
= 4.

Hình 14 - Sơ đồ tiết diện ngang của định hình cong
Bảng 34 - Giá trị giới hạn [bc/tf]
| Tính toán dầm | Đặc điểm phần nhô ra | Giá trị [bc/tf] |
| Trong giới hạn đàn hồi | Không viền mép |
|
| Có viền mép |
| |
| Kể đến sự phát triển của biến dạng dẻo (1) | Không viền mép | 0,11hw/tw nhưng không lớn hơn |
| Có viền mép | 0,16hw/tw nhưng không lớn hơn | |
| CHÚ THÍCH: (1): Khi hw/tw - Đối với cánh không viền: [bo/tf] = - Đối với cánh viền bằng sườn: [bo/tf] = - hw, tw là chiều cao tính toán và chiều dày của bản bụng. | ||
Bảng 35 - Giá trị giới hạn của [bo/tf]
| Đặc điểm của bản cánh và tiết diện | Giá trị [bo/tf] |
| Cánh của tiết diện chữ I và chữ T không liền mép |
|
| Thép góc đều cánh và định hình cong không viền bằng sườn (trừ tiết diện chữ [ ) |
|
| Định hình cong có sườn viền |
|
| Cánh lớn của thép góc không đều cánh và cánh của tiết diện chữ [ |
|
7.6.3.4 Đối với cột chịu nén đúng tâm có tiết diện hình hộp giá trị [bo/tf] lấy theo Bảng 33 như đối với bản bụng của tiết diện hình hộp.
Đối với cột chịu nén lệch tâm, nén uốn có tiết diện hình hộp, giá trị của [bo/tf] được lấy như sau:
Khi m ≤ 0,3: như đối với cấu kiện chịu nén đúng tâm;
Khi m ³ 1,0 và
≤ 2 + 0,04m; [bo/tf] = 
Khi m ³ 1,0 và
> 2 + 0,04m; [bo/tf] = 
Khi giá trị của độ lệch tâm tương đối 0,3 < m < 1 thì [bo/tf] được nội suy tuyến tính theo các giá trị ứng với m = 0,3 và m = 1.
7.6.3.5 Khi tiết diện của cột chịu nén đúng tâm, nén lệch tâm, nén uốn được chọn theo độ mảnh giới hạn và của dầm theo độ võng giới hạn thì giá trị của [bo/tf] được nhân với hệ số
nhưng không lớn hơn 1,25, trong đó jm và s lấy như sau:
Đối với cột chịu nén đúng tâm, nén lệch tâm và nén uốn: jm là giá trị nhỏ nhất trong các giá trị của j, je, jexy, cj dùng khi kiểm tra ổn định của cột; còn s = N/A.
Đối với cấu kiện chịu uốn: jm = 1; còn s là giá trị lớn hơn trong hai giá trị tính theo vế trái của các công thức (8) và (16).
7.7 Kết cấu thép tấm
7.7.1 Tính toán về bền
7.7.1.1 Kiểm tra độ bền của kết cấu tấm vỏ tròn xoay theo trạng thái ứng suất phi mômen theo công thức:
(68)
trong đó:
sx và sy là các ứng suất pháp theo hai phương vuông góc với nhau;
txy là ứng suất tiếp.
Ngoài ra, các giá trị tuyệt đối của các ứng suất chính không được lớn hơn fgc.
7.7.1.2 Các ứng suất trong vỏ mỏng tròn xoay tính theo lý thuyết phi mômen (Hình 15), chịu áp lực của chất lỏng, chất khí hoặc vật liệu hạt được xác định theo công thức:
(69)
(70)
trong đó:
s1 và s2 là các ứng suất tương ứng theo phương kinh tuyến và phương vòng;
r1 và r2 là bán kính cong theo các phương chính của mặt trung bình của vỏ;
p là áp lực tính toán trên một đơn vị bề mặt của vỏ;
t là chiều dày của vỏ;
F là hình chiếu lên trục z-z của toàn bộ áp lực tính toán tác dụng lên phần vỏ abc (Hình 15);
r và b là bán kính và góc như trên Hình 15.
|
Hình 15 - Sơ đồ vỏ tròn xoay |
Hình 16 - Sơ đồ vỏ nón tròn xoay |
7.7.1.3 Vỏ mỏng kín, tròn xoay, chịu áp lực phân bố đều bên trong, khi tính theo trạng thái phi mômen các ứng suất được xác định theo những công thức:
Đối với vỏ trụ:
(71)
Đối với vỏ cầu:
(72)
Đối với vỏ nón:
(73)
trong đó:
p là áp lực tính toán bên trong trên một đơn vị diện tích bề mặt vỏ;
r là bán kính mặt trung bình của vỏ (Hình 16);
b là góc giữa đường sinh của mặt nón và trục z-z của nó (Hình 16).
7.7.1.4 Ở những chỗ vỏ thay đổi hình dạng, thay đổi chiều dày, cũng như có tải trọng thay đổi phải kể đến ứng suất cục bộ (hiệu ứng biên).
7.7.2 Tính toán về ổn định
7.7.2.1 Vỏ trụ kín, chịu nén đều song song với đường sinh, được kiểm tra ổn định theo công thức:
(74)
trong đó:
s1 là ứng suất tính toán trong vỏ;
scr1 là ứng suất tới hạn, lấy bằng giá trị nhỏ hơn trong hai giá trị: yf hoặc cEt/r (ở đây r là bán kính của mặt trung bình của vỏ, t là chiều dài vỏ).
Giá trị của hệ số y khi 0 < r/t ≤ 300 được tính theo công thức:
(75)
Giá trị của hệ số c lấy theo Bảng 36.
Bảng 36 - Giá trị của hệ số c
| r/t | 100 | 200 | 300 | 400 | 600 | 800 | 1000 | 1500 | 2500 |
| c | 0,22 | 0,18 | 0,16 | 0,14 | 0,11 | 0,09 | 0,08 | 0,07 | 0,06 |
Khi vỏ chịu nén lệch tâm song song với đường sinh, hoặc chịu uốn thuần túy trong mặt phẳng đường kính, nếu ứng suất tiếp ở chỗ mômen lớn nhất
, thì giá trị của ứng suất scr1 được tăng lên bằng cách nhân với (1,1-0,1s'1/s1), trong đó: s'1 là ứng suất nhỏ nhất (ứng suất kéo được qui ước là âm).
7.7.2.2 Thép ống có độ mảnh qui ước
và khi tỉ số:
(76)
sẽ được tính theo cấu kiện chịu nén hoặc nén uốn. Ổn định tổng thể của chúng được kiểm tra theo các công thức ở 7 không phụ thuộc vào việc kiểm tra ổn định của thành ống. Đối với các loại ống không có đường hàn dọc, không cần kiểm tra ổn định của thành ống nếu tỉ số r/t không lớn quá một nửa giá trị tính theo công thức (76).
7.7.2.3 Vỏ trụ kín tròn xoay, chịu tác động của áp lực phân bố đều từ phía ngoài vuông góc với mặt vỏ, được tính toán về ổn định theo công thức:
(77)
trong đó:
s2 = pr/t là ứng suất vòng tính toán trong vỏ;
scr2 là ứng suất tới hạn, xác định theo các công thức sau:
Khi 0,5 ≤ l/r ≤ 10:
(78)
Khi l/r ³ 20:
(79)
Khi 10 ≤ l/r ≤ 20, giá trị của scr2 được nội suy tuyến tính theo các giá trị ứng với l/r = 10 và l/r = 20.
(ở đây l là chiều dài vỏ trụ).
Nếu vỏ được tăng cường bằng các sườn vòng có khoảng cách giữa các trục sườn là S ³ 0,5r, thì khi kiểm tra ổn định theo các công thức (77) đến (79), giá trị của l được thay bằng s. Khi đó để đảm bảo tính ổn định của vành, mômen quán tính của nó lấy theo trục song song với đường sinh không được nhỏ hơn giá trị psr3/3E. Diện tích tính toán gồm diện tích của sườn cộng thêm diện tích phần vỏ có chiều rộng
về mỗi phía của sườn (tính từ trục sườn). Còn độ mảnh quy ước
không được lớn hơn 6,5. Trường hợp sườn chỉ đặt ở một phía của vỏ thì mômen quán tính được lấy đối với trục trùng với mặt tiếp xúc của vỏ và sườn.
7.7.2.4 Vỏ trụ kín chịu tác dụng đồng thời của các tải trọng nêu ở 7.7.2.1 và 7.7.2.3 được kiểm tra ổn định theo công thức:
(80)
trong đó:
scr1 được tính theo 7.7.2.1;
scr2 được tính theo 7.7.2.3;
7.7.2.5 Vỏ nón tròn xoay, có góc nghiêng
, chịu lực nén dọc trục N (Hình 17), được kiểm tra về ổn định theo công thức:
N ≤ gcNcr (81)
trong đó:
Ncr là lực nén tới hạn, tính theo công thức:
(82)
với:
t là chiều dày của vỏ;
scr1 là ứng suất tới hạn, tính theo 7.7.2.1 nhưng thay bán kính r bằng bán kính rm:
(83)

Hình 17 - Sơ đồ vỏ nón tròn xoay chịu lực nén dọc trục
7.7.2.6 Vỏ nón tròn xoay, chịu áp lực phân bố đều từ phía ngoài p vuông góc với mặt vỏ, được kiểm tra về ổn định theo công thức:
(84)
trong đó:
s2 = prm/t là ứng suất tính toán trong vỏ;
scr2 là ứng suất tới hạn, tính theo công thức sau:
(85)
Với: h là chiều cao của vỏ nón (khoảng cách giữa hai đáy);
rm là bán kính, tính theo công thức (83).
7.7.2.7 Vỏ nón tròn xoay, chịu tác dụng đồng thời của các tải trọng nêu ở điều 7.7.2.5 và 7.7.2.6 được kiểm tra về ổn định theo công thức
(86)
trong đó các giá trị của Ncr và scr2 được tính theo các công thức (82) và (85).
7.7.2.8 Vỏ cầu (hoặc chỏm cầu) có tỉ số r/t ≤ 750, chịu áp lực phân bố đều từ phía ngoài vuông góc với mặt vỏ kiểm tra ổn định theo công thức:

trong đó:
s = pr/2t là ứng suất tính toán;
scr = 0,1Et/r là ứng suất tới hạn, lấy không lớn hơn f;
r là bán kính trung bình của vỏ.
7.7.2.9 Các yêu cầu bổ sung khi tính toán giàn thép ống tham khảo Phụ lục G
8 Tính toán liên kết
8.1 Liên kết hàn
8.1.1 Hàn đối đầu
8.1.1.1 Liên kết hàn đối đầu chịu kéo hoặc nén đúng tâm với lực dọc N được tính theo công thức:
(88)
trong đó:
t là chiều dày nhỏ nhất của các cấu kiện được liên kết;
lw là chiều dài tính toán của đường hàn, bằng chiều dài thực (chiều dài hình học) trừ đi 2t, hoặc bằng chiều dài thực nếu hai đầu của đường hàn kéo dài quá giới hạn nối (khi hàn trên bản lót).
Không cần kiểm tra bền liên kết hàn đối đầu khi dùng loại que hàn theo Bảng B.1, Phụ lục B, khi các cấu kiện liên kết được hàn đầy và có kiểm tra chất lượng mối hàn bằng các phương pháp vật lý.
8.1.1.2 Liên kết hàn đối đầu được kiểm tra chất lượng bằng phương pháp vật lý, chịu tác dụng đồng thời của ứng suất pháp và tiếp, được kiểm tra bền theo công thức (6) trong đó thay s, sc, t và f tương ứng bằng sxw, syw, tw và fw (lần lượt là các ứng suất pháp theo hai phương vuông góc, ứng suất tiếp trong đường hàn và cường độ tính toán của đường hàn đối đầu).
8.1.2 Liên kết hàn góc
8.1.2.1 Liên kết hàn dùng đường hàn góc, chịu tác dụng của lực dọc và lực cắt được kiểm tra bền (cắt qui ước) theo hai tiết diện:
Theo kim loại đường hàn (tiết diện 1 trên Hình 18):
(89)
Theo kim loại ở biên nóng chảy (tiết diện 2 trên Hình 18):
(90)
trong đó:
lw là chiều dài tính toán của đường hàn, bằng chiều dài thực của nó trừ đi 10 mm;
hf là chiều cao của đường hàn góc;
bf và bs là các hệ số lấy như sau: khi các cấu kiện được hàn là thép có giới hạn chảy fy ≤ 530 MPa, lấy theo Bảng 37; khi fy > 530 MPa không phụ thuộc vào phương pháp hàn, vị trí đường hàn và đường kính que hàn lấy bf = 0,7 và bs = 1.

CHÚ DẪN:
1 - Tiết diện theo kim loại đường hàn
2 - Tiết diện theo kim loại ở biên nóng chảy
Hình 18 - Sơ đồ tiết diện tính toán của đường hàn góc
Bảng 37 - Hệ số bf và bs
| Phương pháp hàn, đường kính que (dây) hàn d, mm | Vị trí đường hàn | Hệ số | Giá trị bf và bs của khi chiều cao đường hàn hf, mm | |||
| Từ 3 đến 8 | Từ 9 đến 12 | Từ 14 đến 16 | ³18 | |||
| Hàn tự động khi d = 3 ¸ 5 | Trong máng | bf | 1,1 | 0,7 | ||
| bs | 1,15 | 1,0 | ||||
| Nằm | bf | 1,1 | 0,9 | 0,7 | ||
| bs | 1,15 | 1,05 | 1,0 | |||
| Hàn tự động, bán tự động khi d = 1,4 ¸ 2 | Trong máng | bf | 0,9 | 0,8 | 0,7 | |
| bs | 1,05 | 1,0 | ||||
| Nằm, ngang, đứng | bf | 0,9 | 0,8 | 0,7 | ||
| bs | 1,05 | 1,0 | ||||
| Hàn tay, bán tự động với dây hàn đặc d < 1,4 hoặc dây hàn có lõi thuốc | Trong máng, ngang, đứng, ngược | bf | 0,7 | |||
| bs | 1,0 | |||||
| CHÚ THÍCH: Giá trị của các hệ số ứng với chế độ hàn tiêu chuẩn. | ||||||
8.1.2.2 Liên kết hàn dùng đường hàn góc chịu mômen:
Khi mômen tác dụng nằm trong mặt phẳng vuông góc với mặt phẳng bố trí đường hàn, độ bền của đường hàn được tính theo công thức:
+ Theo kim loại đường hàn:
(91)
+ Theo kim loại ở biên nóng chảy:
(92)
trong đó:
Wf, Ws là mô đun chống uốn của tiết diện tính toán theo kim loại đường hàn và theo biên nóng chảy của thép cơ bản.
Khi mômen tác dụng nằm trong mặt phẳng bố trí đường hàn, độ bền của đường hàn được tính theo công thức:
+ Theo kim loại đường hàn:
(93)
+ Theo kim loại ở biên nóng chảy:
(94)
trong đó:
Ixw, Iyw là các mômen quán tính của tiết diện tính toán theo kim loại đường hàn đối với các trục chính x-x, y-y của nó;
Ixs, Iys là cũng như trên nhưng theo kim loại ở biên nóng chảy của thép cơ bản;
x, y là các tọa độ của những điểm xa nhất so với gốc tọa độ trọng tâm theo các trục chính x-x, y-y (Hình 19).

Hình 19 - Đường hàn góc chịu mômen tác dụng trong
mặt phẳng bố trí đường hàn
8.1.2.3 Đường hàn góc chịu đồng thời tác dụng của lực dọc, lực cắt và mômen được kiểm tra bền theo công thức:
(95)
trong đó:
twf và tws là các ứng suất trong tiết diện tính toán theo kim loại đường hàn và kim loại ở biên nóng chảy, bằng tổng hình học các ứng suất gây bởi lực dọc, lực cắt và mômen.
8.2 Liên kết bulông
8.2.1 Khi liên kết bulông chịu tác dụng của lực dọc N đi qua trọng tâm chịu kéo của liên kết thì lực phân phối lên các bulông coi như đều nhau.
8.2.2 Khả năng chịu lực tính toán của một bulông được tính như sau:
Chịu cắt: [N]vb = fvbgbAnv (96)
Chịu ép mặt: [N]cb = fcbgbdSt (97)
Chịu kéo: [N]tb = ftbAbn (98)
trong đó:
fvb, fcb, ftb lần lượt là cường độ tính toán chịu cắt, chịu ép mặt và chịu kéo của bulông;
d là đường kính ngoài của bulông;
A = pd2/4 là diện tích tiết diện tính toán của thân bulông;
Abn là diện tích tiết diện thực của thân bulông, lấy theo Bảng B.4, Phụ lục B;
St là tổng chiều dài nhỏ nhất của các bản thép cùng trượt về một phía;
nv là số lượng các mặt cắt tính toán;
gb là hệ số điều kiện làm việc của liên kết bulông, lấy theo Bảng 38.
8.2.3 Số lượng bulông trong liên kết khi chịu lực dọc N được tính theo công thức:
(99)
trong đó:
[N]min là giá trị nhỏ nhất trong các khả năng chịu lực của một bulông tính theo 8.2.2
Bảng 38 - Hệ số điều kiện làm việc gb
| Đặc điểm của liên kết | Giá trị gb |
| 1. Liên kết nhiều bulông khi tính toán chịu cắt và ép mặt: - Đối với bulông tinh (độ chính xác nâng cao) - Bulông thô và bulông độ chính xác bình thường, bulông cường độ cao không điều chỉnh lực xiết đai ốc. |
1,0 0,9 |
| 2. Liên kết có một hoặc nhiều bulông, được tính toán chịu ép mặt khi a = 1,5d và b = 2d, thép được liên kết có giới hạn chảy: |
|
| - fy ≤ 285 MPa - fy > 285 MPa | 0,8 0,75 |
| CHÚ THÍCH: Các hệ số điều kiện làm việc ở mục 1 và 2 được lấy đồng thời; a là khoảng cách dọc theo lực, từ mép cấu kiện đến trọng tâm của lỗ gần nhất; b là khoảng cách giữa trọng tâm các lỗ. d là đường kính lỗ bulông. | |
8.2.4 Khi tác dụng của mômen gây trượt các cấu kiện được liên kết thì lực phân phối cho các bulông tỷ lệ với khoảng cách từ trọng tâm của liên kết đến bulông khảo sát.
8.2.5 Bulông chịu cắt và kéo đồng thời được kiểm tra chịu cắt và kéo riêng biệt.
Bulông chịu cắt do tác dụng đồng thời của lực dọc và mômen được kiểm tra theo hợp lực của các nội lực thành phần.
8.2.6 Khi các cấu kiện được liên kết với nhau qua cấu kiện trung gian, hoặc khi dùng bản nối ở một phía thì số lượng bulông phải tăng lên 10% so với tính toán.
8.3 Liên kết bulông cường độ cao
8.3.1 Liên kết bulông cường độ cao được tính toán với giả thiết là nội lực trong liên kết được truyền bằng ma sát nảy sinh trên mặt tiếp xúc của các cấu kiện được nối do lực xiết bulông.
8.3.2 Lực trượt tính toán mà mỗi mặt ma sát của những cấu kiện được liên kết có thể chịu được khi xiết một bulông cường độ cao được tính toán theo công thức:
(100)
trong đó:
fhb là cường độ tính toán chịu kéo của bulông cường độ cao, lấy theo 6.2.5;
m là hệ số ma sát, lấy theo Bảng 39;
gb2 là hệ số độ tin cậy, lấy theo Bảng 39;
Abn là diện tích tiết diện thực của bulông, lấy theo Bảng B.4, Phụ lục B;
gb1 là hệ số điều kiện làm việc của liên kết, phụ thuộc số lượng bulông chịu lực na trong liên kết, giá trị của gb1 lấy như sau:
gb1 = 0,8 nếu na <5;
gb1 = 0,9 nếu 5 ≤ na < 10;
gb1 = 1,0 nếu na ³ 10.
Số lượng bulông cường độ cao na cần thiết để chịu lực dọc N được tính theo công thức:
(101)
trong đó: nf là số lượng ma sát của liên kết.
Lực kéo trong thân bulông xiêt êcu gây nên: P = fhbAbn.
8.3.3 Kiểm tra bền các bản thép được liên kết theo tiết diện giảm yếu bởi lỗ bulông được tiến hành khi coi như một nửa lực đi qua mỗi bulông đã được truyền bằng lực ma sát. Do đó diện tích của tiết diện giảm yếu được tính như sau:
Khi chịu tải trọng động: bằng diện tích thực An;
Khi chịu tải trọng tĩnh:bằng diện tích tiết diện nguyên A nếu An ³ 0,85A;
bằng diện tích qui ước Ac = 1,18An nếu An nếu An < 0,85A.
Bảng 39 - Hệ số ma sát m và hệ số độ tin cậy gb2
| Phương pháp làm sạch mặt phẳng của các cấu kiện được liên kết | Phương pháp điều chỉnh lực xiết bulông | Hệ số ma sát m | Hệ số gb2 khi tải trọng và độ dung sai giữa đường kính bulông và lỗ d, mm | |
| Động và d = 3 ¸ 6; Tĩnh và d = 5 ¸ 6 | Động và d = 1; Tĩnh và d = 1 ¸ 4 | |||
| 1. Phun cát thạch anh hoặc bột kim loại. | Theo M Theo a | 0,58 0,58 | 1,35 1,2 | 1,12 1,02 |
| 2. Phun cát hoặc bột kim loại sau đó phun sơn kẽm hoặc nhôm. | Theo M Theo a | 0,5 0,5 | 1,35 1,2 | 1,12 1,02 |
| 3. Bằng ngọn lửa hơi đốt, không có lớp bảo vệ mặt kim loại. | Theo M Theo a | 0,42 0,42 | 1,35 1,2 | 1,12 1,02 |
| 4. Bằng bàn chải sắt, không có lớp sơn bảo vệ. | Theo M Theo a | 0,35 0,35 | 1,35 1,25 | 1,17 1,06 |
| 5. Không gia công bề mặt | Theo M Theo a | 0,25 0,25 | 1,7 1,5 | 1,3 1,2 |
| CHÚ THÍCH: Phương pháp điều chỉnh theo M tức là theo mômen xoắn; theo a tức là theo góc quay của êcu. | ||||
9 Tính toán kết cấu thép theo độ bền mỏi
9.1 Các kết cấu chịu trực tiếp tác dụng của tải trọng di động, tải trọng rung động hoặc các tải trọng khác, có số lượng chu kỳ tải trọng từ 105 trở lên, thí dụ: dầm cầu trục, dầm sàn công tác, cầu đỡ tải, bun-ke, kết cấu đỡ động cơ, v.v… cần được tính toán theo điều kiện bền mỏi.
Các công trình cao như: ăng ten, ống khói, trụ, tháp, cầu trục khi kiểm tra cộng hưởng do tác dụng của tải trọng gió cần tính toán theo điều kiện bền mỏi.
Số lượng chu kỳ tải trọng nQ lấy theo yêu cầu công nghệ khi sử dụng.
Tải trọng để tính toán về bền mỏi lấy theo các qui định của TCVN 2737:1995
Các loại kết cấu kiểm tra theo điều kiện bền mỏi phải được thiết kế cấu tạo sao cho ứng suất tập trung chúng không lớn.
9.2 Công thức kiểm tra theo điều kiện bền mỏi như sau:
(102)
trong đó:
ff là cường độ tính toán về mỏi, lấy theo Bảng 40 phụ thuộc vào cường độ kéo đứt tức thời của thép và nhóm cấu kiện ở Bảng F.1, Phụ lục F;
a là hệ số, kể đến số lượng chu kỳ tải trọng nQ và được tính theo công thức:
Khi nQ < 3,9 x 106:
Đối với các nhóm cấu kiện 1 và 2:
(103)
Đối với các nhóm cấu kiện 3 và 8:
(104)
Khi nQ ³ 3,9 x 106, lấy a = 0,77;
gf là hệ số, lấy theo Bảng 41, phụ thuộc vào trạng thái ứng suất và hệ số không đối xứng của ứng suất r = smin/smax, với smax và smin tương ứng là các ứng suất lớn nhất và nhỏ nhất (tính theo trị tuyệt đối) trong cấu kiện, tính theo tiết diện giảm yếu, không kể đến các hệ số j, je, jb. Khi các ứng suất khác dấu nhau, hệ số r mang dấu "-".
Khi kiểm tra theo công thức (102), tích số affgf không được vượt quá giá trị fu/gM; gM = 1,3.
9.3 Đối với các kết cấu chịu tác dụng trực tiếp tải trọng động có số lượng chu kỳ nhỏ hơn 105 thì phải dùng các giải pháp cấu tạo sao cho ứng suất tập trung trong chúng là nhỏ và khi cần thiết vẫn phải kiểm tra về bền mỏi theo số lượng chu kỳ nhỏ.
Bảng 40 - Cường độ tính toán về mỏi ff
Đơn vị tính bằng megapascan
| Nhóm cấu kiện | Trị số của ff khi cường độ kéo đứt tức thời fu | ||||
| ≤ 420 | Từ 420 đến 440 | Từ 440 đến 520 | Từ 520 đến 580 | Từ 580 đến 635 | |
| 1 2 | 120 100 | 128 106 | 132 108 | 136 110 | 145 116 |
| 3 4 5 6 7 8 | Đối với mọi mác thép 90 Đối với mọi mác thép 75 Đối với mọi mác thép 60 Đối với mọi mác thép 45 Đối với mọi mác thép 36 Đối với mọi mác thép 27 | ||||
Bảng 41 - Hệ số gf
| smax | Hệ số không đối xứng của ứng suất r | Công thức tính hệ số gf |
| Kéo | -1 ≤ r ≤ 0 0 < r ≤ 0,8 0,8 < r < 1 | gf = 2,5 / (1,5 - r) gf = 2,0 / (1,2 - r) gf = 1,0 / (1 - r) |
| Nén | -1 ≤ r < 1 | gf = 2,0 / (1 - r) |
10 Các yêu cầu kỹ thuật và cấu tạo khác khi thiết kế cấu kiện cấu thép
10.1 Dầm
10.1.1 Trong dầm hàn tiết diện chữ I chỉ dùng bản cánh bằng một lớp thép tấm (trừ dầm cầu trục). Trong dầm bulông cường độ cao bản cánh có thể gồm nhiều tấm thép nhưng số lượng lớp thép tấm không lớn hơn 3. Khi đó diện tích các thép góc cánh không được nhỏ hơn 30% diện tích toàn bộ cánh.
10.1.2 Chiều rộng cánh dầm hàn nên thỏa mãn các điều kiện: bf ³ 180 mm và bf ³ (1/10)h và phải thỏa mãn yêu cầu về ổn định cục bộ ở 7.6.3.2. Chiều dài bản cánh tf ≤ 40 mm.
10.1.3 Các đường hàn liên kết bản cánh và bản bụng cũng như liên kết các cấu kiện phụ vào dầm (ví dụ sườn cứng) là đường hàn liên tục.
10.1.4 Tại những chỗ cánh dầm có tải trọng tập trung (kể cả tải trọng của các tấm bê tông có sườn), bản bụng dầm thường được gia cường bằng các sườn cứng ngang.
10.1.5 Các sườn cứng ngang của dầm hàn được đặt cách đầu nối của bản bụng một khoảng không nhỏ hơn 10 lần chiều dày bản bụng, còn các đường hàn của sườn dọc với bản bụng nằm cách đầu nối này một đoạn là 40 mm.
10.1.6 Trong các dầm hàn tiết diện chữ I chịu tải trọng tĩnh, hoặc của các kết cấu phụ thường dùng sườn cứng ngang một bên (trừ sườn đầu dầm) bố trí cả ở một mặt của bản bụng. Nếu dùng đường hàn góc một phía để liên kết cánh và bụng dầm thì các sườn cứng ngang được bố trí ở phía đối diện các bản bụng.
10.1.7 Đối với các sườn gối, khi tính theo điều kiện ép mặt, mặt tì của đầu dưới sườn với cánh dầm (hoặc với gối kê) phải được bào nhẵn, tiếp xúc chặt. Khi dùng sườn gối hàn vào mút đầu dầm, độ nhô của sườn ra khỏi cánh dưới dầm lấy nhỏ hơn hoặc bằng 1,5ts (ts - chiều dài của sườn gối).
10.1.8 Liên kết cánh của dầm tổ hợp:
10.1.8.1 Đường hàn và bulông cường độ cao liên kết bản bụng và bản cánh của dầm chữ I tổ hợp được tính toán theo Bảng 42.
Khi không có các sườn cứng để truyền các tải trọng tập trung lớn cố định, việc tính toán cánh trên được tiến hành như đối với tải trọng trung di động.
Khi đặt tải trọng tập trung cố định lên cánh dưới của dầm thì đường hàn và bulông cường độ cao dùng liên kết cánh này với bản bụng được tính theo các công thức từ (110) đến (112) của Bảng 42, không phụ thuộc vào sự có mặt của sườn cứng tại chỗ đặt tải trọng.
Đường hàn cánh được hàn thấu hết toàn bộ chiều dài của bản bụng coi như có độ bền bằng độ bền của bản bụng.
10.1.8.2 Trong dầm dùng liên kết bulông cường độ cao có bản cánh ghép nhiều tấm, liên kết của mỗi tấm ở sau điểm cắt lý thuyết của nó được tính với một nữa nội lực mà tiết diện của tấm có thể chịu được. Liên kết của mỗi tấm ở trên khoảng giữa điểm cắt thực tế của nó và điểm cắt đứt của tấm trước được tính với toàn bộ nội lực mà tiết diện của tấm có thể chịu được.
Bảng 42 - Công thức tính liên kết trong dầm tổ hợp
| Đặc điểm của tải trọng | Dạng liên kết | Công thức | |
| Cố định | Đường hàn góc: | hai phía |
|
| một phía |
| ||
| Bulông cường độ cao |
| ||
| Di động | Đường hàn góc hai phía |
| |
| Bulông cường độ cao |
| ||
| CHÚ THÍCH: T = VS/If là lực trượt của cánh trên một đơn vị chiều dài do lực cắt V gây ra; S là mômen tĩnh nguyên của cánh dầm đối với trục trung hòa; VP = P/lz là áp lực do tải trọng tập trung P (với dầm cầu chạy là áp lực bánh xe cầu trục khi không kể đến hệ số động); lz là chiều dài phân bố qui ước của tải trọng tập trung lấy theo chỉ dẫn của 7.2.1.3 và 10.5.6; a là bước của bulông cường độ cao; a là hệ số, a = 0,4 khi tải trọng đặt ở cánh trên và bản bụng tì sát cánh trên; a = 1,0 khi bản bụng không tì sát cánh trên và khi tải trọng đặt ở cánh dưới; [N]b là lực tính toán của bulông cường độ cao, được tính theo công thức (100). | |||
10.2 Cột
10.2.1 Các đoạn của cột rỗng khi vận chuyển được gia cường bằng các vách cứng bố trí ở hai đầu mỗi đoạn. Trong cột rỗng các vách cứng ngang được bố trí cách nhau không quá 4 m theo chiều dài cột.
10.2.2 Khi các thanh bụng của cột rỗng được hàn trực tiếp vào nhánh cột, cho phép trục của các thanh bụng hội tụ tại mép ngoài của nhánh.
Khi các thanh bụng được nối với nhánh qua bản mã, các đường hàn góc tại liên kết chồng của bản mã với nhánh cột lấy theo tính toán và có thể bố trí gián đoạn. Khoảng cách gián đoạn giữa đầu mút của các đoạn được hàn không vượt quá 15 lần chiều dày bản mã.
10.2.3 Khi nối lắp ghép, các đầu mút cột được phay nhẵn, dùng đường hàn đối đầu, bản ghép với đường hàn góc hoặc với bulông. Khi dùng bản ghép, đường hàn đặt cách chỗ nối 30 mm về mỗi phía. Cho phép dùng mặt bích để truyền lực nén bằng tiếp xúc và truyền lực kéo bằng bulông.
10.2.4 Kích thước mặt bằng của bản đế chân cột được xác định theo điều kiện bền nén của vật liệu móng. Chiều dày của bản đế được tính theo điều kiện bền khi uốn (của các ô bản) do áp lực của mặt móng. Chiều dày của bản đế không được nhỏ hơn 10 mm và không lớn hơn 40 mm khi có sườn và dầm đế, không lớn hơn 60 mm khi không có sườn và dầm đế.
10.2.5 Bulông neo chân cột được tính theo lực nhổ ở chân cột. Cánh tay đòn của mômen chống nhổ bằng khoảng cách giữa trục bulông chịu kéo đến trọng tâm vùng ứng suất nén mặt dưới bản đế. Loại và kích thước bulông neo lấy theo Bảng 12. Với cột liên kết khớp, bu lông neo lấy theo cấu tạo từ hai đến bốn chiếc, đường kính không nhỏ hơn 16 mm.
10.2.6 Bulông neo không chịu lực cắt tại chân cột. Lực cắt này do lực ma sát giữa bản đế và bêtông móng chịu. Khi lực cắt lớn, nên đặt thêm các chốt chịu cắt riêng.
10.3 Giàn phẳng và hệ thanh không gian
10.3.1 Trục của các thanh giàn và hệ thanh không gian phải hội tụ tại tâm các nút (nằm trên trục các thanh cánh). Trong giàn hàn, trục thanh phải đi qua trọng tâm của tiết diện thanh (làm tròn đến 5 mm), trong giàn dùng liên kết bulông là trục của dãy bulông nằm gần sống thép góc nhất.
Cho phép không tính đến độ lệch trục của các cánh giàn khi thay đổi tiết diện nếu độ lệch đó không vượt quá 1,5% chiều cao của thanh cánh.
Khi có lệch tâm tại các nút thì việc tính toán các thanh giàn và hệ thanh không gian phải kể đến mômen uốn tương ứng.
Khi tải trọng đặt ngoài nút dàn, các thanh giàn phải được tính theo nén, uốn (chịu tác dụng đồng thời của lực dọc và mômen uốn).
10.3.2 Khi giàn mái có nhịp lớn hơn 36 m, nên làm độ vồng cấu tạo. Độ vồng cấu tạo lấy bằng độ võng của giàn do tĩnh tải và hoạt tải dài hạn gây ra. Đối với các loại mặt mái bằng (giàn có cánh song song), độ vồng cấu tạo của giàn lấy không phụ thuộc độ lớn của nhịp và bằng độ võng do tổng tải trọng tiêu chuẩn gây nên công với 1/200 nhịp)
10.3.3 Khi tính toán nội lực của giàn có các thanh là thép góc hoặc thép chữ T, nút liên kết các thanh được coi là khớp.
Với các thanh giàn có tiết diện chữ I, chữ H, hoặc thép ống chỉ được coi các nút là khớp khi tỉ số giữa chiều cao của tiết diện với chiều dài của thanh không lớn hơn 1/10. Nếu vượt quá tỉ số này, phải kể đến mômen phụ trong các thanh do độ cứng của các nút gây nên. Việc kể đến độ cứng của nút giàn khi tính có thể thực hiện theo các phương pháp gần đúng. Cho phép xác định lực dọc trong các thanh theo sơ đồ khớp.
10.3.4 Khoảng cách giữa đầu các thanh bụng và thanh cánh trong giàn có bản mã lấy không nhỏ hơn a (a = 6t - 20 mm) nhưng không lớn hơn 80 mm (t là chiều dày bản mã, tính bằng milimét (mm)). Khe hở giữa các đầu mút của các thanh nối ở cánh giàn có phủ các bản ghép không được nhỏ hơn 50 mm.
Đường hàn liên kết thanh bụng của giàn với bản mã được kéo dài thêm vào cạnh đầu thanh một đoạn 20 mm.
10.3.5 Tại các nút giàn có thanh cánh là thép chữ T, chữ I hoặc thép góc đơn, liên kết đối đầu bản mã với cánh bằng đường hàn thấu hết chiều dày bản mã.
10.3.6 Chiều dày bản mã giàn lấy theo nội lực của thanh lớn nhất (thường là thanh xiên ở gối) và không đổi cho các nút của cả dàn.
10.3.7 Đối với thanh giàn ghép từ hai thép góc, tại khe hở giữa hai thép góc đặt các tấm đệm hàn với các thép góc. Khoảng cách giữa tâm các tấm đệm không vượt quá 40i (đối với thanh nén) và 80i (đối với thanh kéo), i là bán kính quán tính của một thép góc lấy với trục trọng tâm song song với mặt phẳng dàn.
10.4 Hệ giằng
10.4.1 Trong mỗi khối nhiệt độ của nhà cần bố trí một hệ thống giằng riêng.
10.4.2 Hệ giằng đứng giữa các cột chính ở mức dầm cầu trục của cột hai nhánh được bố trí trong mặt phẳng của từng nhánh cột. Các nhánh của hệ giằng hai nhánh được liên kết với nhau bằng các thanh giằng hoặc bản giằng.
10.4.3 Hệ giằng ngang theo phương ngang nhà được bố trí ở mức cánh trên hoặc cánh dưới của giàn vì kèo tại các nhịp ở đầu mỗi khối nhiệt độ.
Khi khối nhiệt độ dài hơn 144m cần đặt thêm hệ giằng ngang trung gian. Những giàn vì kèo không nối trực tiếp với hệ giằng ngang cần được tăng cường trong mặt phẳng bố trí hệ giằng này bằng các thanh chống hoặc thanh kéo. Tại chỗ bố trí hệ giằng ngang đặt hệ giằng đứng giữa các dàn. Khi có khối mái cứng, tại mức cánh trên đặt hệ giằng tạm để định vị kết cấu và đảm bảo ổn định của chúng trong quá trình lắp ráp.
10.4.4 Hệ giằng dọc cánh dưới của các giàn vì kèo được bố trí dọc các dãy cột biên trong các trường hợp sau: nhà có cầu trục với chế độ làm việc nặng hoặc rất nặng; mái có giàn đỡ kèo; nhà một hoặc hai nhịp có cầu trục sức nâng 10 tấn trở lên và khi cao độ cánh dưới của giàn vì kèo lớn hơn 18 m không phụ thuộc vào sức nâng cầu trục.
Trong các nhà có ba nhịp trở lên, hệ giằng dọc cánh dưới còn được bố trí dọc các dãy cột giữa và không được cách nhau quá một nhịp đối với các nhà có cầu trục có chế độ làm việc nặng hoặc rất nặng, không được cách nhau quá hai nhịp đối với các nhà khác.
10.4.5 Cánh dưới của dầm và giàn cầu trục có nhịp lớn hơn 12 m phải được tăng cường bằng hệ giằng ngang.
10.4.6 Khi bố trí hệ giằng chéo chữ thập, việc tính toán chúng cho phép tiến hành theo sơ đồ qui ước với giả thiết thanh xiên chỉ chịu kéo (bỏ qua sự làm việc của các thanh xiên chịu nén).
Khi xác định nội lực trong các thanh của hệ giằng cho phép không kể đến lực nén trong các cánh dàn.
10.5 Dầm cầu trục
10.5.1 Kiểm tra độ bền của dầm cầu trục do tác dụng của tải trọng đứng và ngang theo các qui định ở 7.2.1.5.
10.5.2 Kiểm tra độ bền của bản bụng dầm cầu trục (trừ các dầm được tính toán theo bền mỏi với số chu kỳ của tải trọng từ 2x106 trở lên) theo công thức (6), trong đó khi kiểm tra tiết diện gối dầm liên tục thay hệ số 1,15 bằng 1,3.
10.5.3 Kiểm tra ổn định tổng thể của dầm cầu trục theo qui định ở 7.2.2.1.
10.5.4 Kiểm tra ổn định của bản bụng và bản cánh của dầm cầu trục theo qui định ở 7.6.1 và 7.6.3.
10.5.5 Tính toán về bền mỏi của dầm cầu trục theo các qui định ở điều 9.
Đối với dầm cầu trục có số chu kỳ của tải trọng nQ > 2X106 bản bụng dầm phải được kiểm tra thêm về độ bền theo 10.5.6 và mỏi theo 10.5.7.
Tải trọng cầu trục dùng để kiểm tra dầm cầu trục theo bền và mỏi được lấy theo các qui định của tiêu chuẩn TCVN 2737:1995
Số chu kỳ tải trọng của dầm cầu trục là số lượt nâng tải trong thời gian phục vụ của cầu trục do các yêu cầu sản xuất.
10.5.6 Vùng chịu nén của bản bụng dầm cầu trục bằng thép có giới hạn chảy từ 400 MPa trở xuống phải thỏa mãn điều kiện:
(113)
(114)
(115)
(116)
trong đó:
(117)
b là hệ số bằng 1,15 khi tính toán dầm đơn giản; bằng 1,3 khi tính toán tiết diện tại gối của dầm liên tục;
M và V tương ứng là mômen uốn và lực cắt trong tiết diện của dầm do tải trọng tính toán;
P là áp lực tính toán của bánh xe cầu trục không kể đến hệ số động;
g1 là hệ số tăng tải trọng tập trung thẳng đứng lên một bánh xe cầu trục lấy theo qui định của TCVN 2737:1995
là tổng
các mômen quán tính xoắn bản thân của ray và của cánh;
tf và bf là chiều dày và chiều rộng của cánh trên (chịu nén) của dầm;
Itr là mômen quán tính xoắn của ray;
lz là chiều dài chịu tải qui ước, được xác định theo công thức:
(118)
trong đó:
c là hệ số, lấy bằng 3,25 đối với dầm hàn và dầm cán; bằng 4,5 đối với dầm bulông cường độ cao;
I1t là tổng các mômen quán tính bản thân của cánh dầm và của ray cầu trục hoặc là mômen quán tính chung của ray và cánh khi hàn ray bằng đường hàn đảm bảo sự làm việc đồng thời của ray và cánh;
Mt - mômen xoắn cục bộ, được xác định theo công thức:
Mt = Pe + 0,75Vthr
trong đó:
e là độ lệch tâm qui ước, lấy bằng 15 mm;
Vt là tải trọng ngang (lực xô) tính toán gây bởi sự nghiêng lệch của cầu trục và sự không song song của đường ray cầu trục lấy theo TCVN 2737:1995
hr là chiều cao của ray cầu trục.
Trong tất cả các công thức từ (113) đến (117) ứng suất lấy dấu dương.
10.5.7 Kiểm tra độ bền mỏi vùng trên của bụng dầm cầu trục hàn được tiến hành theo công thức:
(119)
trong đó:
ff là cường độ tính toán về mỏi, với mọi mác thép lấy bằng: 75 MPa đối với vùng trên chịu nén của bản bụng (tiết diện tại nhịp dầm); 65 MPa đối với vùng trên chịu kéo của bản bụng (tại tiết diện gối của gối dầm liên tục).
Giá trị của các đại lượng trong công thức (119) được xác định theo 10.5.6.
Khi tính toán theo điều kiện về mỏi với số chu kỳ tải trọng nQ ³ 2X106, đường hàn liên kết cánh trên với bản bụng phải hàn thấu hết chiều dày bản bụng.
10.5.8 Các mép tự do của cánh chịu kéo của dầm cầu chạy và các dầm sàn công tác chịu trực tiếp tại trọng di động phải được cán hoặc bào nhẵn.
10.5.9 Các kích thước của sườn cứng trong dầm cầu trục được lấy theo 7.6.1.1, khi đó chiều rộng phần nhô ra của sườn hai bên bản bụng không được nhỏ hơn 90 mm. Sườn cứng ngang hai bên không cần hàn với cánh dầm, nhưng phải bào nhẵn và tì sát với cánh trên dầm.
Trong các dầm cầu trục có chế độ làm việc nhẹ và trung bình cho phép dùng các sườn cứng ngang bố trí ở một bên bản bụng, hàn với bản bụng và cánh trên dầm, bố trí sườn theo 5.6.1.1.
10.5.10 Khi kiểm tra độ bền của các dầm cầu trục treo, phải kể đến các ứng suất pháp cục bộ do áp lực của bánh xe cầu trục theo hướng dọc và ngang trục dầm.
10.6 Liên kết
10.6.1 Liên kết hàn
10.6.1.1 Trong các kết cấu dùng liên kết hàn nên chọn phương pháp sản xuất cơ khí hóa cao khi hàn.
10.6.1.2 Mép bản thép tại chỗ hàn được gia công theo qui định ở tiêu chuẩn TCVN 1961:1975
10.6.1.3 Kích thước và hình dạng của đường hàn góc được qui định như sau:
a) Chiều cao của đường hàn góc hf không được lớn hơn 1,2tmin (tmin là chiều dày nhỏ nhất của các cấu kiện được liên kết).
b) Chiều cao của đường hàn góc hf lấy theo tính toán, nhưng không được nhỏ hơn hơn các giá trị cho trong Bảng 43.
c) Chiều dài tính toán của đường hàn góc không được nhỏ hơn 4hf và không nhỏ hơn 40 mm.
d) Chiều dài tính toán của đường hàn góc bên không được lớn hơn 85 bfhf (bf là hệ số lấy ở Bảng 37).
e) Kích thước các phần chồng nhau( trong liên kết chồng) không được nhỏ hơn 5 lần chiều dày nhỏ nhất của các cấu kiện được hàn.
f) Tỉ số kích thước hai cạnh góc vuông của đường hàn góc bằng 1:1; khi các cấu kiện được hàn có chiều dày khác nhau cho phép dùng đường hàn có hai cạnh không đều nhau, khi đó cạnh gắn với cấu kiện có chiều dày mỏng hơn lấy theo qui định ở điều 10.6.1.3.a, còn cạnh gắn với cấu kiện chiều dày lớn hơn theo điều 10.6.1.3.b.
g) Đối với các kết cấu chịu tải trọng động và tải trọng rung động dùng đường hàn góc thoải, tỉ lệ hai cạnh góc vuông của đường hàn là 1:1,5 (cạnh dài nằm theo hướng lực tác dụng) và được tính toán theo bền mỏi hoặc theo phá hoại giòn.
10.6.1.4 Liên kết hàn đối đầu các tấm thường là đường hàn thẳng, hàn thấu hết bề dày và dùng các bản lót. Trong điều kiện lắp ghép, cho phép hàn một phía có hàn đầy thêm ở đáy đường hàn và hàn vào bản thép lót được giữ lại.
10.6.1.5 Không được dùng liên kết hỗn hợp mà trong đó một phần lực được tiếp nhận bằng đường hàn, một phần bằng bulông.
10.6.1.6 Đường hàn gián đoạn chỉ dùng trong các liên kết phụ, nơi có nội lực nhỏ. Khi đó khoảng cách amax giữa các đầu mút của hai đường hàn liên tiếp lấy như sau:
amax ≤ 15 tmin, đối với cấu kiện chịu nén;
amax ≤ 30 tmin, đối với cấu kiện chịu kéo;
trong đó tmin là chiều dày nhỏ nhất của các bản thép được liên kết.
10.6.1.7 Trong thiết kế cần chỉ rõ: phương pháp hàn, loại que hàn hoặc dây hàn, vị trí và thự tự hàn của các mối hàn.
10.6.2 Liên kết bulông.
10.6.2.1 Lỗ của các loại bulông được chế tạo theo các qui định kỹ thuật của tiêu chuẩn về bulông.
10.6.2.2 Bulông thô và bulông thường được dùng trong các kết cấu làm bằng thép có giới hạn chảy từ 380 MPa trở xuống.
10.6.2.3 Cho phép liên kết các cấu kiện vào nút liên kết bằng một bulông.
Bảng 43 - Chiều cao nhỏ nhất của đường hàn góc hf
| Dạng liên kết | Phương pháp hàn | Giới hạn chảy của thép fy MPa | Giá trị nhỏ nhất hf khi chiều dài lớn nhất của các cấu kiện được hàn t, mm | ||||||
| 4¸5 | 6¸10 | 11¸16 | 17¸22 | 23¸32 | 33¸40 | 41¸80 | |||
| Chữ T với đường hàn góc hai phía; chồng và góc | Tay | ≤ 430 | 4 | 5 | 6 | 7 | 8 | 9 | 10 |
| 430 < fy ≤ 530 | 5 | 6 | 7 | 8 | 9 | 10 | 12 | ||
| Tự động và bán tự động | ≤ 430 | 3 | 4 | 5 | 6 | 7 | 8 | 9 | |
| 430 < fy ≤ 530 | 4 | 5 | 6 | 7 | 8 | 9 | 10 | ||
| Chữ T với đường hàn góc một phía | Tay | ≤ 380 | 5 | 6 | 7 | 8 | 9 | 10 | 12 |
| Tự động và bán tự động | 4 | 5 | 6 | 7 | 8 | 9 | 10 | ||
| CHÚ THÍCH: Các kết cấu làm từ thép có giới hạn chảy fy > 530 MPa và với tất cả các loại thép khi chiều dày các cấu kiện lớn hơn 80 mm, chiều cao nhỏ nhất của đường hàn góc lấy theo các qui định kỹ thuật riêng. | |||||||||
10.6.2.4 Trong các liên kết bulông làm việc chịu cắt không được dùng các bulông mà trên chiều dài của phần không ren có các đoạn với đường kính khác nhau.
10.6.2.5 Dưới đai ốc (êcu) của các bulông phải đặt vòng đệm, riêng bulông cường độ cao đặt vòng đệm cả ở dưới mũ bulông. Khi dung sai giữa đường kính của lỗ và của thân bulông không vượt quá 3 mm cho phép đặt một vòng đệm dưới đai ốc.
10.6.2.6 Với các bulông làm việc chịu trượt (trừ bulông cường độ cao), phần có ren không ăn vào quá một nữa chiều dày của bản thép ngoài cùng (nằm dưới đai ốc) hoặc không quá 5 mm.
10.6.2.7 Các loại bulông (kể cả bulông cường độ cao) được bố trí theo các qui định ở Bảng 44.
Trong các liên kết không chịu lực hoặc chủ yếu do yêu cầu cấu tạo, các bulông thường được bố trí theo khoảng cách lớn nhất, trong các liên kết chịu lực bulông được bố trí theo khoảng cách nhỏ nhất.
Khi bố trí bulông kiểu so le nên lấy khoảng cách giữa tâm của chúng dọc theo phương của lực không nhỏ hơn a + 1,5d (a là khoảng cách giữa các hàng theo phương vuông góc với lực; d là đường kính lỗ bulông). Khi bố trí như vậy tiết diện thực của cấu kiện An kể đến giảm yếu chỉ do các lỗ bulông nằm theo phương vuông góc với phương của lực (không theo đường zích zắc).
10.6.2.8 Phải dùng bulông cường độ cao (hoặc liên kết hàn) cho liên kết dựng lắp các kết cấu chịu lực chính của nhà và công trình có dầm cầu trục (tính theo bền mỏi), các kết cấu ở dưới đường sắt.
Trong liên kết dựng lắp, bulông thô và bulông thường được dùng trong các trường hợp sau:
Để liên kết xà gồ, các cấu kiện của cửa mái, hệ giằng cánh trên của giàn (khi có hệ giằng cánh dưới hoặc mái cứng), hệ giằng đứng giữa các giàn và cửa mái, các cấu kiện của hệ sườn tường;
Bảng 44 - Qui định bố trí bulông
| Đặc điểm của khoảng cách | Trị số của khoảng cách |
| 1. Giữa tâm hai bulông theo hướng bất kỳ: |
|
| a) Nhỏ nhất | 2,5d |
| b) Lớn nhất trong các dãy biên khi không có thép góc viền, chịu kéo và chịu nén. | 8d hoặc 12t |
| c) Lớn nhất trong các dãy giữa và các dãy biên khi có thép góc viền: |
|
| - Khi chịu kéo - Khi chịu nén | 16d hoặc 24t 12d hoặc 18t |
| 2. Khoảng cách từ tâm bulông đến mép của cấu kiện: |
|
| a) Nhỏ nhất dọc theo lực b) Nhỏ nhất khi vuông góc với lực: - Khi mép cắt - Khi mép cán c) Lớn nhất | 2d
1,5d 1,2d 4d hoặc 8d |
| d) Nhỏ nhất đối với bulông cường độ cao khi mép bất kỳ và hướng bất kỳ | 1,3d |
| CHÚ THÍCH: Trong các cấu kiện liên kết làm bằng thép có giới hạn chảy cao hơn 380 MPa, khoảng cách nhỏ nhất giữa tâm hai bulông là 3d Các ký hiệu dùng trong Bảng 44: d là đường kính lỗ bulông; t là chiều dày mỏng hơn của các cấu kiện ngoài. | |
Để liên kết hệ giằng cánh dưới của các giàn khi có khối mái cứng (các tâm bêtông cốt thép, bêtông lưới thép, các tấm thép định hình, v.v…);
Để liên kết giàn vì kèo và giàn đỡ kèo với cột, giàn vì kèo với giàn đỡ kèo với điều kiện phản lực gối thẳng đứng truyền qua gối đỡ;
Để liên kết Để liên kết các dầm cầu trục đơn giản với nhau, liên kết cánh dưới của chúng với vai cột;
Để liên kết các dầm của sàn công tác không chịu tác dụng của tải trọng động;
Để liên kết các kết cấu phụ.
10.6.2.9 Khi dùng bulông cường độ cao, trong thiết kế phải ghi rõ phương pháp gia công bề mặt các bản thép
10.7 Các yêu cầu bổ sung khi thiết kế dầm có lỗ
10.7.1 Dầm có lỗ được thiết kế từ dầm chữ I cán, thường làm bằng thép có giới hạn chảy từ 530 MPa trở xuống.
Liên kết hàn của bản bụng cần dùng đường hàn đối đầu thấu hết chiều dày.
10.7.2 Độ bền của dầm khi chịu uốn trong mặt phẳng của bản bụng (Hình 20) được kiểm tra theo các công thức Bảng 45.
Bảng 45 - Các công thức để kiểm tra độ bền của tiết diện dầm (Hình 20)
| Chữ T phía trên | Chữ T phía dưới | Gối | ||
| Điểm 1 |
| Điểm 3 |
|
|
| Điểm 2 |
| Điểm 4 |
| |
| CHÚ THÍCH: M là mômen uốn trong tiết diện dầm; V1, V2 là lực cắt do các phần tử T tiếp nhận Với V là lực cắt trong tiết diện dầm; I1, I2 là các mômen quán tính của phần tiết diện chữ T phía trên và phía dưới đối với trục bản thân và song song với cánh; V3 là lực cắt trong tiết diện của dầm tại khoảng cách gối một đoạn (c + s - 0,5a) (Hình 20); Ix là mômen quán tính của tiết diện dầm có lỗ đối với trục x-x; W1max, W1min lần lượt là mômen kháng uốn lớn nhất và nhỏ nhất của tiết diện chữ T ở trên; W2max, W2min lần lượt là mômen kháng uốn lớn nhất và nhỏ nhất của tiết diện chữ T ở dưới; f1, fu1, f2, fu2 lần lượt là các cường độ tính toán của thép cán đối với các tiết diện chữ T ở trên và ở dưới; gc là hệ số điều kiện làm việc của kết cấu; gc là hệ số độ tin cậy trong các tính toán theo sức bền tức thời. | ||||

Hình 20 - Sơ đồ một đoạn dầm có lỗ
10.7.3 Ổn định của dầm cần được kiểm tra theo các chỉ dẫn của 7.2.2.1, trong đó các đặc trưng hình học được tính đối với tiết diện có lỗ.
Không cần kiểm tra ổn định của dầm khi đã thoải mãn các yêu cầu của 7.2.2.2.
10.7.4 Tại các tiết diện gối nếu hwtw > 40 (tw là chiều dày nhỏ nhất của bản bụng) thì cần gia cường bản bụng bằng các sườn cứng và phải kiểm tra theo các yêu cầu của 7.6.1.7, khi đó bên tiết diện gối cần lấy c ³ 250 mm (Hình 20)
10.7.5 Tại các tiết diện của dầm khi tỉ số hwtw >
hoặc khi không thỏa mãn các yêu cầu trong các chỉ dẫn ở 7.2.1.3 thì phải đặt các sườn cứng theo yêu cầu của 7.6.1.1.
Chỉ được đặt tải trọng tập trung tại các tiết diện không có lỗ giảm yếu.
Chiều cao bản bụng của tiết diện chữ I chịu nén phải thoả mãn các yêu cầu của 7.6.2.4, trong công thức (67) dùng
= 1,4.
10.7.6 Khi xác định độ võng của dầm có tỉ số l/hw ³ 12 (với l là nhịp của dầm) thì mômen quán tính của tiết diện dầm có lỗ phải được nhân với hệ số 0,95.
11 Các yêu cầu kỹ thuật và cấu tạo khác khi thiết kế nhà và công trình
11.1 Nhà công nghiệp
11.1.1 Biến dạng, độ võng và chuyển vị của kết cấu lấy theo qui định ở 5.3
11.1.2 Khoảng cách lớn nhất giữa các khe nhiệt độ của khung thép nhà một tầng lấy theo Bảng 46.
Khi vượt quá 5% so với các giá trị cho trong Bảng 46, cũng như khi tăng độ cứng của khung bằng tường hoặc các kết cấu khác phải tính đến tác dụng của nhiệt độ, biến dạng không đàn hồi của kết cấu.
Bảng 46 - Khoảng cách lớn nhất giữa các khe nhiệt độ của khung thép nhà và công trình một tầng
Đơn vị tính bằng mét
| Đặc điểm của nhà và công trình | Khoảng cách lớn nhất | ||
| Giữa các khe nhiệt độ | Từ khe nhiệt độ hoặc từ đầu mút nhà đến trục của hệ giằng đứng gần nhất | ||
| Theo dọc nhà | Theo ngang nhà | ||
| - Nhà có cách nhiệt | 230 | 150 | 90 |
| - Nhà không cách nhiệt và các xưởng nóng | 200 | 120 | 75 |
| - Cầu cạn lộ thiên | 130 |
| 50 |
| CHÚ THÍCH: Khi trong phạm vi khối nhiệt độ của nhà và công trình có hai hệ giằng đứng thì khoảng cách giữa các trục của chúng không vượt quá: Từ 40 đến 50 m đối với nhà; từ 25 đến 30 m đối với cầu cạn lộ thiên | |||
11.2 Nhà khung thấp tầng
11.2.1 Độ võng cho phép của các cấu kiện chịu uốn lấy theo 5.3.2.
11.2.2 Chuyển vị ngang của khung do thành phần tĩnh của tải trọng gió tiêu chuẩn (không kể đến biến dạng của móng và độ cứng của tường bao che, tường ngăn), không được vượt quá các giá trị ở 5.3.4.
11.2.3 Để phân phối lại mômen uốn trong các cấu kiện của khung, tại nút liên kết của dầm và cột cho phép dùng các bản ghép làm việc trong giai đoạn dẻo. Các bản ghép được làm bằng thép có giới hạn chảy fy ≤ 345 MPa. Nội lực nhỏ nhất trong bản ghép (dùng để xác định khả năng chịu lực Mmin của nút) được tính theo ứng suất smin = fy; và nội lực lớn nhất (để xác định Mmax của nút) được tính theo ứng suất smax = fy + 100 MPa.
Các cạnh dọc của bản ghép phải được bào hoặc phay nhẵn.
11.3 Kết cấu thép tấm
11.3.1 Các sườn cứng ngang của vỏ phải có chu vi kín.
11.3.2 Tải trọng tập trung không được truyền trực tiếp lên vỏ mà phải thông qua các sườn cứng trung gian.
11.3.3 Để giảm ứng suất cục bộ, chỗ nối các vỏ có hình dạng khác nhau được làm trơn thoải.
11.3.4 Các đường hàn đối đầu được hàn hai phía hoặc hàn một phía có hàn đầy thêm ở mặt sau, hoặc hàn trên bản lót.
Trong thiết kế phải ghi rõ các điều cần thiết để đảm bảo tính đặc kín của liên kết theo yêu cầu sử dụng.
11.3.5 Trong kết cấu thép tấm thường dùng liên kết hàn đối đầu. Khi chiều dày các tấm t ≤ 5 mm, hoặc khi liên kết lắp ghép cho phép dùng liên kết chồng.
11.3.6 Khi cấu tạo kết cấu thép tấm nên chọn phương pháp sản xuất và lắp ghép công nghiệp bằng cách dùng:
Các tấm hoặc băng có kích thước lớn (có thể chế tạo sẵn thân và đáy vỏ ở dạng cuộn);
Hình khai triển, để khi cắt thép có ít phế liệu nhất;
Hàn tự động.
11.4 Kết cấu tháp, trụ
11.4.1 Khi thiết kế tháp trụ nên chú ý các điều sau:
Giảm sức cản khí động của công trình và các bộ phận riêng của nó;
Phân bố hợp lý nội lực trong các cấu kiện của kết cấu bằng các giải pháp cấu tạo hoặc dùng ứng suất trước;
Phối hợp chức năng chịu lực và chức năng công nghệ.
11.4.2 Các dây neo được làm bằng thép tròn mạ kẽm hoặc cáp bện. Trong môi trường có mức độ ăn mòn trung bình và cao dùng cáp mạ kẽm.
Mút của cáp thép ở cốc neo hoặc ống nối được giữ bằng cách rót hợp kim theo đúng kỹ thuật neo cáp.
11.4.3 Khi tính toán tháp, trụ lấy hệ số điều khiển làm việc theo 5, Bảng 47 và Bảng 49.
11.4.4 Độ lệch ngang tương đối của cột không được vượt quá các giá trị cho trong Bảng 48 (trừ các cột được thiết kế theo các yêu cầu kỹ thuật riêng).
11.4.5 Cho phép lấy giá trị tải trọng gió tác dụng vào thân trụ tại vị trí giữa các lớp dưới dây neo hoặc tác dụng vào dây neo ở vị trí 2/3 chiều cao dây neo và coi như các giá trị đó không đổi trên cả chiều dài đoạn thân hoặc dây neo.
11.4.6 Cho phép coi lực tập trung của các sự cách điện treo trên dây như lực phân bố đều có giá trị được lấy theo điều kiện mômen tương đương khi coi dây như dầm đơn giản.
11.4.7 Khi tính toán các cấu kiện nằm nghiêng (cáp neo, thanh chống xiên, v.v…) chỉ kể đến hình chiếu của các lực tác dụng lên phương vuông góc với trục của cấu kiện hoặc dây cung của nó.
11.4.8 Kiểm tra ổn định tổng thể của trụ theo các tổ hợp tải trọng sau:
Lực kéo lắp ráp của dây căng khi không có gió;
Tải trọng gió trong phương song song với mặt phẳng thẳng đứng chứa một trong các dây neo.
Khi kiểm tra ổn định tổng thể của trụ, lực tính toán trong thân phải nhỏ hơn lực tới hạn ít nhất 1,3 lần.
Bảng 47 - Hệ số điều kiện làm việc gc
| Các cấu kiện của kết cấu | Giá trị gc |
| - Các thanh ứng suất trước của hệ thanh bụng - Mặt bích: + Dạng vành khuyên + Các dạng còn lại - Các thép của dây neo trụ khi số lượng của chúng: + Từ 3 đến 5 dây trong một lớp + Từ 6 đến 8 dây trong một lớp + Từ 9 dây trong một lớp trở lên - Các chi tiết neo kẹp đầu cáp hoặc dập điểm trong ống lồng - Bện cáp ở chổ nối hoặc sứ cách điện - Các bộ phận liên kết dây neo với kết cấu gối và móng neo - Các thanh neo không có ren chịu kéo uốn - Các tai đỡ chịu kéo | 0,9
1,1 0,9
0,8 0,9 0,95 0,75 0,55 0,9 0,65 0,65 |
Bảng 48 - Độ lệch ngang tương đối
| Dạng tải trọng | Độ lệch ngang tương đối (so với chiều cao) |
| - Gió - Các thiết bị ăngten treo một bên cột khi không có gió | 1/100 1/300 |
11.4.9 Trong thiết kế cần ghi rõ giá trị lực kéo lắp ráp của dây cáp neo trụ ở nhiệt độ không khí trung bình của năm tại nơi xây dựng.
11.4.10 Liên kết lắp ghép các cấu kiện của kết cấu được thiết kế bằng bulông thường khi nội lực nhỏ hơn hoặc bằng 197 kN (20 T) và bằng bulông cường độ cao khi tải trọng đổi dấu và nội lực lớn hơn.
Trong liên kết mặt bích nên dùng bu lông cường độ cao. Dùng đường hàn lắp ghép hoặc bulông tinh phải phù hợp với điều kiện thi công.
11.4.11 Các thanh xiên có độ mảnh lớn hơn 250 trong hệ thanh bụng chữ thập phải được liên kết với nhau tại các chỗ giao nhau.
11.4.12 Độ võng trong phương thẳng đứng và phương ngang của các thanh ngang của vách cứng và các cấu kiện của sàn công tác không được vượt quá 1/250 chiều dài của nhịp.
11.4.13 Trong kết cấu cột rỗng khoảng cách giữa các vách cứng không được lớn hơn 3 lần cạnh của tiết diện ngang trung bình của các đoạn cột và được đặt tại chỗ có tải trọng tập trung hoặc nơi gẫy góc của các thanh cánh.
11.4.14 Bulông neo liên kết các mặt bích của những thép ống được bố trí trên một đường tròn với đường kính nhỏ nhất có thể có, và khoảng cách giữa các bulông đều nhau.
11.4.15 Các thanh xiên của giàn tại một nút hội tụ ở điểm giao nhau giữa trục các thanh cánh và các thanh xiên. Ở chổ liên kết thanh xiên với mặt bích cho phép lệch tâm, nhưng độ lệch tâm không lớn hơn 1/3 kích thước tiết diện ngang của thanh cánh. Khi độ lệch tâm lớn hơn, việc tính toán các thanh phải kể đến mômen lệch tâm tại nút.
Trong các bản mã có xẻ rãnh để liên kết thanh xiên là thép tròn bằng đường hàn, ở đầu khe (sát mút của thép tròn) bản mã được khoan lỗ với đường kính lớn hơn đường kính thanh 1,2 lần (để giảm ứng suất tập trung).
11.4.16 Dây neo của trụ thân rỗng hội tụ tại điểm giao nhau của trục thanh cánh và các thanh ngang. Trục qui ước của dây neo là dây cung của nó.
Để tránh uốn cong, tại liên kết dây neo với thân được gia cường bằng các sườn cứng.
11.4.17 Các giá đỡ và thanh treo của sàn công tác được liên kết với các mắt chính của thân cột.
11.4.18 Thiết bị căng (tăng đơ) dùng để điều chỉnh chiều dài và giữ dây neo trụ phải được ghì với thiết bị neo bằng cáp mảnh, riêng chiều dài của cáp luồn vào ống lồng (dùng nối cáp) không được nhỏ hơn 20 lần đường kính cáp.
11.4.19 Để giảm dao động của dây, trên dây neo của trụ và dây dẫn treo liên tiếp các thiết bị giảm rung tần số thấp (từ 1 đến 2,5 Hz) và tần số cao (từ 4 đến 40 Hz) dạng lò xo. Thiết bị giảm rung tần số thấp được chọn theo tần số dao động chính của dây. Khoảng cách s từ chỗ đầu neo cáp đến điểm treo thiết bị giảm rung được xác định theo công thức sau:
(120)
trong đó:
d là đường kính dây, tính bằng milimét (mm);
m là khối lượng 1 m dài dây, tính bằng kilôgam (kg);
P là lực căng trước trong cáp treo hoặc dây dẫn, tính bằng niuton (N);
b là hệ số bằng 0,00041.
Thiết bị giảm rung tần số cao được đặt cao hơn thiết bị giảm rung tần số thấp một đoạn là s. Khi nhịp của cáp neo hoặc của dây dẫn vượt quá 300 m, bộ giảm rung được đặt không phụ thuộc vào tính toán.
14.4.20 Các công trình ăngten phải được sơn màu sắc phù hợp với qui định của ngành hàng không.
14.4.21 Các chi tiết cơ khí của cáp neo, lõi thép của sứ cách điện, cũng như các chi tiết kim loại khác phải được mạ kẽm.
11.5 Cột đường dây tải điện
11.5.1 Liên kết bulông thô, bulông thường và bulông tinh dùng trong cột có chiều cao từ 100 m trở xuống không cần tính toán theo bền mỏi, khi chiều cao cột lớn hơn 100 m, chúng phải được tính toán theo bền mỏi.
11.5.2 Khi thiết kế cột điện, lấy hệ số làm việc theo Bảng 3 và Bảng 49.
11.5.3 Khi xác định độ mảnh tương đương theo Bảng 14, độ mảnh lớn nhất của toàn thanh l được tính theo công thức:
Đối với thanh bốn mặt, có các cánh song song, hai đầu tựa khớp:
(121)
Đối với các thanh ba mặt đều, có các cánh song song, hai đầu tựa khớp:
(122)
Bảng 49 - Hệ số điều kiện làm việc gc khi thiết kế cột điện
| Các cấu kiện của kết cấu | Giá trị gc |
| 1. Các cánh chịu nén làm bằng thép góc đơn trong hai khoang đầu kể từ mặt móng của cột đứng tự do: |
|
| a) Khi dùng liên kết hàn b) Khi dùng liên kết bulông | 0,95 0,9 |
| 2. Các thanh chịu nén của xà ngang rỗng (để treo dây) bằng các thép góc đơn đều cạnh được liên kết trên một cạnh (Hình 21) |
|
| a) Thanh cánh liên kết trực tiếp với thân cột bằng hai bulông trở lên. b) Thanh cánh liên kết với thân cột bằng một bulông hoặc qua bản mã. c) Thanh xiên và thanh ngang. 3. Dây neo bằng cáp thép hoặc bó sợi cường độ cao: a) Đối với cột trung gian và cột có chế độ làm việc bình thường b) Đối với các cột neo, cột neo ở góc và cột góc: - Chế độ làm việc bình thường - Chế độ làm việc có sự cố | 0,9 0,75 0,75
0,9
0,8 0,9 |
| CHÚ THÍCH: Các hệ số điều kiện làm việc không dùng để tính liên kết của các cấu kiện tại nút | |
Đối với các cột đứng độc lập dạng tháp (Hình 9):
(123)
trong đó:
là hệ số chiều dài tính toán;
L là chiều dài hình họ của thanh rỗng;
b là khoảng cách giữa trục của các cánh song song trên mặt hẹp nhất của thân cột;
h là chiều cao của cột đứng độc lập;
bt và bd là khoảng cách giữa trục các cánh của cột dạng tháp ứng với phía trên và dưới chân của mặt hẹp nhất.
|
a) Thanh bụng tam giác; |
b) Thanh bụng tam giác có thanh chống |
| Hình 21 - Sơ đồ xà ngang | |
11.5.4 Thanh rỗng có tiết diện không đổi theo chiều dài, chịu nén lệch tâm hoặc nén uốn, được kiểm tra ổn định theo các chỉ dẫn ở 7.4.
Độ lệch tâm tương đối m của thanh rỗng ba mặt đều và không đổi theo chiều dài, dùng thanh giằng hoặc bản giằng, được tính theo công thức:
Khi uốn trong mặt phẳng vuông góc với một trong các mặt của thân cột:
m = 3,48bM / (Nb) (124)
Khi uốn trong mặt phẳng song song với một trong các mặt của thân cột:
m = 3bM / (Nb) (125)
trong đó:
b là khoảng cách giữa trục của các cánh song song trong một mặt của thân;
b là hệ số, bằng 1,2 khi liên kết bulông và bằng 1,0 khi liên kết hàn.
11.5.5 Khi tính cột tiết diện rỗng, chịu nén lệch tâm hoặc nén uốn theo các chỉ dẫn ở 7.4, giá trị của độ lệch tâm tăng lên 1,2 lần nếu dùng bulông để liên kết các thanh.
11.5.6 Cho phép kiểm tra ổn định của thanh cánh bằng các thép góc đơn như thanh chịu nén đúng tâm với điều kiện nhận lực dọc tính toán trong thanh với hệ số a để kể đến ảnh hưởng độ lệch tâm của nội lực thanh xiên đặt vào thanh cánh. Giá trị của a lấy không nhỏ hơn 1,05 và được xác định theo công thức:
(126)
trong đó:
Ndf là tổng thành phần hình chiếu nội lực của các thanh xiên lên trục của thanh cánh và truyền vào nút thuộc khoang tính toán thép góc cánh trong cùng một tổ hợp tải trọng tính thép góc cánh;
Nf là nội lực tính toán trong cánh;
a là khoảng cách trên mặt phẳng bản cánh của thép góc cánh tính từ trọng tâm của nó đến trục hội tụ của các thanh xiên;
c là khoảng cách trên mặt phẳng bản cánh của thép góc cánh tính từ trọng tâm đến sống của nó;
là độ mảnh qui ước của thanh cánh.
Khi kiểm tra kết cấu trong chế độ làm việc có sự cố do tác dụng đồng thời của lực dọc, lực cắt và mômen xoắn, lấy a = 1,0.
Khoảng cách a lấy như sau:
a ≤ c khi
;
a ≤ 1,2c khi
;
a ≤ 1,4c khi
;
Cho phép các thanh xiên hội tụ tại sống thép góc cánh nếu Ndf / Nf ≤ 0,4, lúc đó khi tính lấy a = c.
Khi giá trị của a và Ndf / Nf vượt quá các trị số trên, các thanh xiên phải qui tụ tại trọng tâm của thép góc cánh hoặc phải tính toán thanh cánh theo chịu nén lệch tâm.
11.5.7 Trong cột rỗng đứng độc lập, độ mảnh của các thanh xiên đầu tiên ở chân cột bằng thép góc đơn không được vượt quá 160.
11.5.8 Độ lệch của đỉnh cột và độ võng theo phương thẳng đứng của xà ngang không được lớn hơn các giá trị cho trong Bảng 50.
11.5.9 Cột rỗng có các thanh là những thép góc đơn được tăng cường bằng các vách cứng ngang đặt cách nhau không quá 15 m theo chiều dài cột, cũng như tại chỗ đặt tải trọng tập trung và nơi gẫy góc của các thanh cánh.
Bảng 50 - Độ lệch đỉnh cột và độ võng theo phương thẳng đứng của xà ngang
| Kết cấu và hướng lệch | Độ lệch tương đối của cột (so với chiều cao h) | Độ võng tương đối của xà ngang (so với chiều dài của nhịp hoặc công xôn) | |||
| Phương đứng | Phương ngang | ||||
| Trong nhịp | Trên công xôn | Trong nhịp | Trên công xôn | ||
| 1. Cột neo (đầu dây dẫn được neo chặt vào cột qua sứ cách điện) ở đầu và góc rẽ của tuyến dây có chiều cao h ≤ 60m, dọc dây dẫn | 1/120 | 1/200 | 1/70 | Không hạn chế | |
| 2. Cột neo của tuyến dây có chiều cao h ≤ 60m, dọc dây dẫn | 1/100 | 1/200 | 1/70 | Không hạn chế | |
| 3. Cột trung gian của tuyến dây (ngoài cột vượt) dọc dây dẫn | Không hạn chế | 1/150 | 1/50 | Không hạn chế | |
| 4. Cột vượt của tuyến dây, có chiều cao h ³ 60m, dọc dây dẫn | 1/140 | 1/200 | 1/70 | Không hạn chế | |
| 5. Cột của các giá đỡ thiết bị | 1/100 | - | - | - | |
| 6. Dầm đỡ các thiết bị | - | 1/300 | 1/250 | - | |
| CHÚ THÍCH 1: Không qui định độ lệch của cột và xà ngang trong chế độ sự cố và lắp ráp. CHÚ THÍCH 2: Độ lệch và độ võng qui định ở điều 5 và 6 phải giảm bớt khi điều kiện kỹ thuật về sử dụng thiết bị qui định yêu cầu khắt khe hơn. | |||||
11.5.10 Trong các thanh được liên kết bằng một bulông của hệ thanh bụng (thanh xiên và thanh ngang), trừ những thanh chỉ làm việc chịu kéo, có chiều dày bản cánh t ≤ 6 mm, làm bằng thép có giới hạn chảy fy ≤ 380 MPa, được phép lấy khoảng cách từ mép thanh đến trọng tâm của lỗ (dọc theo lực) bằng 1,35d (d là đường kính lỗ), và cần ghi rõ điều này trong thiết kế. Khi đó, trong tính toán liên kết theo ép mặt lấy hệ số điều kiện làm việc gb = 0,65.
Trong các thanh chỉ làm việc chịu kéo, khoảng cách từ mép thanh đến tâm của lỗ (dọc theo phương lực) lấy không nhỏ hơn 2d.
11.5.11 Khi dùng bulông liên kết trực tiếp các thanh xiên vào thanh cánh, các thanh xiên nên đặt trên hai mặt khác nhau của bản cánh thép góc cánh.
11.5.12 Trong các mắt nối đối đầu bằng bulông của các thanh cánh là thép góc đều cánh, số lượng bulông nên lấy chẵn và bố trí đều trên các bản cánh của thép góc cánh.
Số lượng bulông khi bố trí một dãy, bố trí so le hoặc song song không nên lớn hơn 5 cái trên một bản cánh thép góc ở một phía đầu nối.
Phụ lục A
(Qui định)
Vật liệu dùng cho kết cấu thép và cường độ tính toán
Bảng A.1 - Thép các bon TCVN 1765:1975
| Mác thép | Độ bền kéo fu, MPa | Giới hạn chảy fy, MPa cho độ dày t, mm | Độ dãn dài D, %, cho độ dày t, mm | ||||
| ≤ 20 | 20<t≤40 | 40<t≤100 | ≤20 | 20<t≤40 | >40 | ||
| Không nhỏ hơn | Không nhỏ hơn | ||||||
| CT31 | ³ 310 | - | - | - | 23 | 22 | 20 |
| CT33s | 310 ¸ 400 | - | - | - | 35 | 34 | 32 |
| CT33n, CT33 | 320 ¸ 420 | - | - | - | 34 | 33 | 31 |
| CT34s | 330 ¸ 420 | 220 | 210 | 200 | 33 | 32 | 30 |
| CT34n, CT34 | 340 ¸ 440 | 230 | 220 | 210 | 32 | 31 | 29 |
| CT38s | 370 ¸ 470 | 240 | 230 | 220 | 27 | 26 | 24 |
| CT38n, CT38 | 380 ¸ 490 | 250 | 240 | 230 | 26 | 25 | 23 |
| CT38nMn | 380 ¸ 500 | 250 | 240 | 230 | 26 | 25 | 23 |
| CT42s | 410 ¸ 520 | 260 | 250 | 240 | 25 | 24 | 22 |
| CT42n, CT42 | 420 ¸ 540 | 270 | 260 | 250 | 24 | 23 | 21 |
| CT51n, CT51 | 510 ¸ 640 | 290 | 280 | 270 | 20 | 19 | 17 |
| CT52nMn | 460 ¸ 600 | 290 | 280 | 270 | 20 | 19 | 17 |
| CT61n, CT61 | ³ 610 | 320 | 310 | 300 | 15 | 14 | 12 |
Bảng A.2 - Tính năng cơ học của một số loại thép nước ngoài (Tham khảo)
| Nước | Ký hiệu thép | Loại thép | Ứng suất giới hạn nhỏ nhất, MPa | Chú thích | |
| Chảy fy | Bền đứt fu | ||||
| Nga - Liên xô cũ (ΓOCT hay TY) | BCт3кп2-1 BCт3кп5-1 09Γ2 09Γ2C 14G2 15XCHД 10XCHД | Thép cacbon sôi Thép cacbon lắng Thép hợp kim thấp Thép hợp kim thấp Thép hợp kim thấp Thép hợp kim thấp Thép hợp kim thấp | 225 245 305 325 355 345 390 | 360 370 440 470 470 490 530 | Thép tấm 11 mm - 12 mm |
| Thép tấm 4 mm - 32 mm | |||||
| Hoa kỳ (theo ASTM) | A36 A500 gr.C A570 gr.50 A572 gr.50 A607 gr.65 A514 | Thép cacbon Thép cacbon Thép cacbon Thép hợp kim thấp Thép hợp kim thấp Thép hợp kim nhiệt luyện | 250 345 345 345 450 690 | 400 427 450 450 550 760 | Các loại thép cán Thép ống Thép cuộn và tấm Thép tấm và hình Chống rỉ Thép tấm |
| Anh | BS 4360 gr.40 BS 4360 gr.43 BS 4360 gr.50 BS 4360 gr.55 | Thép kết cấu không hợp kim Thép kết cấu không hợp kim Thép kết cấu không hợp kim Thép hợp kim thấp | 240 275 355 450 | 340 410 480 550 | ≤ 16 mômen |
| Châu Âu (EN) | S235 S275 S355 S460 | Thép kết cấu không hợp kim Thép kết cấu không hợp kim Thép kết cấu không hợp kim Thép hợp kim thấp | 235 275 355 460 | 340 410 490 550 | ≤ 16 mm |
| Nhật ( JIS - G3101) | SS330 SS400 SS490 SS540 | Thép kết cấu cán nóng Thép kết cấu cán nóng Thép kết cấu cán nóng Thép kết cấu cán nóng | 205 245 275 400 | 330 400 490 540 | ≤ 16 mm |
Bảng A.2 - (kết thúc)
| Nước | Ký hiệu thép | Loại thép | Ứng suất giới hạn nhỏ nhất, MPa | Chú thích | |
| chảy fy | bền đứt fu | ||||
| Trung Quốc | Số 3 (hay Q235) 16Mn (hay Q345) 15MnV (hay Q390) Số 3 (hay Q235) | Thép cacbon Thép hợp kim thấp Thép hợp kim thấp Thép cacbon | 235 345 390 235 | 370 510 530 370 | ≤ 16 mm |
| Úc | AS 3678 gr.250 AS 3678 gr.300 AS 3679 gr.250 AS 3679 gr.350 | Thép tấm Thép tấm Thép hình Thép hình | 250 30 250 340 | 410 430 410 480 | ≤ 50 mm ≤ 20 mm ≤ 40 mm ≤ 40 mm |
| CHÚ THÍCH: Các kí hiệu thép nêu trong bảng này chỉ gồm các kí tự gốc nói lên tính chất cơ học, không ghi các kí tự đuôi nói lên đặc điểm sử dụng và chế tạo của thép. Thép có chung kí tự gốc đều dùng được trị số cho trong bảng, ví dụ: thép Anh BS 4360 gr.40C dùng được trị số của BS 4360 gr. 40; thép châu Âu S355JOC dùng như trị số S355; thép Trung Quốc Q235B - YF dùng được trị số như Q235. | |||||
Bảng A.3 - Yêu cầu về độ dai va đập đối với thép các bon TCVN 5709:1993
Đơn vị tính bằng niutơn mét trên centimet vuông
| Mác thép | Độ dày, mm | Không nhỏ hơn | |||||
| Ở nhiệt độ, oC | Sau khi hóa già cơ học | ||||||
| +20 | -20 | Dọc | Ngang | ||||
| Dọc | Ngang | Dọc | Ngang | ||||
| XCT34 XCT38 XCT42 XCT52 | Từ 12 đến 40 | 100 90 80 10 | 80 60 60 50 | 60 60 50 50 | 50 40 40 40 | 60 60 40 40 | 40 30 30 30 |
Bảng A.4 - Cường độ tính toán của thép cán chịu ép mặt tì đầu, ép mặt cục bộ trong các khớp trụ, ép theo đường kính con lăn
Đơn vị tính bằng megapascan
| Giới hạn bền MPa | Cường độ tính toán | ||
| Ép mặt | Ép theo đường kính con lăn (trong các kết cấu có độ di động hạn chế) | ||
| Tì đầu (có gia công mặt phẳng mặt) | Cục bộ trong các khớp trụ (giữa các thớt cong với trục hình trụ) khi tiếp xúc chặt | ||
| 360 365 370 380 390 400 430 440 450 460 470 480 490 500 510 520 530 540 570 590 635 | 327 332 336 346 355 364 391 400 409 418 427 436 445 455 464 473 473 482 504 522 578 | 164 166 168 173 178 182 196 200 205 209 214 218 223 228 232 237 237 241 252 261 289 | 8 8 8 9 9 10 10 10 10 10 11 11 11 11 12 12 12 12 13 13 14 |
| CHÚ THÍCH: Giá trị của cường độ tính toán lấy theo các công thức ở Bảng 4, với gM = 1,1. | |||
Bảng A.5 - Các đặc trưng vật lý của thép
| Các đặc trưng vật lý | Giá trị |
| 1. Khối lượng riêng ρ, kg/m3: - Thép cán và khối đúc bằng thép - Khối đúc bằng gang 2. Hệ số dãn dài do nhiệt ao, C-1 3. Môđun đàn hồi E, MPa - Thép cán và khối đúc bằng thép - Khối đúc bằng gang - Bó sợi thép song song - Các thép xoắn và cáp thép xoắn có lớp bọc ngoài 4. Môđun trượt của thép và khối đúc bằng gang G, MPa 5. Hệ số nở ngang (hệ số Poát xông) |
7850 7200 0,12x10-4
2,1x105 0,85x106 2,0x106 1,7x106 0,81x106 0,3 |
| CHÚ THÍCH: Giá trị môđun đàn hồi của cáp thép cho trong bảng ứng với khi lực kéo không bé hơn 60 % lực kéo đứt sợi cáp | |
Phụ lục B
(Qui định)
Vật liệu dùng cho liên kết kết cấu thép
Bảng B.1 - Que hàn dùng ứng với mác thép (Tham khảo)
| Mác thép | Loại que hàn có thuốc bọc | |
| TCVN 3223:1994 | ΓOCT 9467 - 75 (Nga) | |
| XCT34; XCT38; XCT42; XCT52 | N42; N46 | э42; э46 |
| 09Mn2; 14Mn2; 09Mn2Si; 10Mn2Si1; | N46; N50 | э46; э50 |
Bảng B.2 - Kích thước que hàn điện TCVN 3223:1994 (Tham khảo)
| Đường kính lõi que hàn d mm | Chiều dày thép cơ bản t, mm | Chiều dài que hàn (L ± 2), mm |
| 1,6 2,0 2,5 | Từ 3 đến 5 | 250 (200) 250 (300) 300 (350) |
| 3,0 (3,25) | Từ 6 đến 10 | 350 (400) |
| 4,0 | Từ 10 đến 14 | 400 (450) |
| 5,0 6,0 | Từ 16 đến 20 | 450 450 |
Bảng B.3 - Qui định sử dụng các cấp bền của bulông trong các điều kiện làm việc khác nhau
| Bulông trong các kết cấu | Điều kiện làm việc của bulông | Cấp bền của bulông được sử dụng |
| Không tính đến mỏi | Kéo hoặc cắt | 4.6; 5.6; 4.8; 5.8; 6.6; 8.8; 10.9 |
| Có tính đến mỏi | Kéo hoặc cắt | 4.6; 5.6; 6.6; 8.8; 10.9 |
| CHÚ THÍCH: Khi đặt hàng, đối với bulông cấp độ bền 6.6; 8.8 và 10.9 phải ghi rõ mác thép và tiêu chuẩn tương ứng. | ||
Bảng B.4 - Diện tích tiết diện của bulông A, Abn
Đơn vị tính bằng centimet vuông
| TCVN 1916:1995 d, mm | 16 | 18 | 20 | 22 | 24 | 27 | 30 | 36 | 42 | 48 |
| Bước ren p, mm | 2 | 2,5 | 2,5 | 2,5 | 3 | 3 | 3,5 | 4 | 4,5 | 5 |
| A Abn | 2,01 1,57 | 2,54 1,92 | 3,14 2,45 | 3,80 3,03 | 4,52 3,52 | 5,72 4,59 | 7,06 5,60 | 10,17 8,16 | 13,85 11,20 | 18,09 14,72 |
Bảng B.5 - Đặc trưng cơ học của bulông cường độ cao
| Đường kính danh nghĩa của ren, mm | Mác thép | Độ bền kéo nhỏ nhất fub, MPa | Đường kính danh nghĩa của ren, mm | Mác thép | Độ bền kéo nhỏ nhất fub, MPa |
| Từ 16 đến 27 | 40Cr | 1 100 | 36 | 40Cr | 750 |
| 38CrSi; 40CrVA | 1 350 | 30Cr3MoV | 1 100 | ||
| 30Cr3MoV | 1 350 | 42 | 40Cr | 650 | |
| 30Cr2NiMoVA | 30Cr3MoV | 1 000 | |||
| 30 | 40Cr | 950 | 48 | 40Cr | 600 |
| 30Cr3MoV; 35Cr2AV | 1 200 | 30Cr3MoV | 900 |
Phụ lục C
(Qui định)
Các hệ số để tính độ bền của các cấu kiện
Khi kể đến sự phát triển của biến dạng dẻo
Bảng C1 - Các hệ số: c1; cx; cy; nc
| Loại tiết diện | Hình dạng tiết diện |
| Giá trị các hệ số | ||
| c1 (cx) | cy | nc khi My = 0 | |||
| 1 |
| 0,25 0,5 1,0 2,0 | 1,19 1,12 1,07 1,04 | 1,47 | 1.5 |
| 2 |
| 0,5 1,0 2,0 | 1,40 1,28 1,18 | 1,47 | 2,0 |
| 3 |
| 0,25 0,5 1,0 2,0 | 1,19 1,12 1,07 1,04 | 1,07 1,12 1,19 1,26 | 1,5 |
| 4 |
| 0,5 1,0 2,0 | 1,40 1,28 1,18 | 1,12 1,20 1,31 | 2,0 |
| 5 |
| - | 1,47 | 1,47 | a) 2,0 b) 3,0 |
| 6 |
| 0,25 0,5 1,0 2,0 | 1,47 | 1,04 1,07 1,12 1,19 | 3,0 |
| 7 |
| - | 1,26 | 1,26 | 1,5 |
| 8 |
| - | 1,60 | 1,47 | a) 3,0 b) 1,0 |
| 9 |
| 0,5 1,0 2,0 | 1,60 | 1,07 1,12 1,19 | a) 3,0 b) 1,0 |
| CHÚ THÍCH: - Khi My ¹ 0 lấy nc = 1,5 (trừ tiết diện loại 5a lấy nc = 2 và loại 5b lấy nc = 3). - Khi giá trị Af/Aw trung gian thì các hệ số xác định theo nội suy tuyến tính. | |||||
Phụ lục D
(Qui định)
Các hệ số để tính toán ổn định của cấu kiện chịu nén đúng tâm, nén lệch tâm và nén uốn
D.1 Xác định hệ số chiều dài tính toán của cột
D.1.1 Cột có tiết diện không đổi
Hệ số chiều dài tính toán m của cột có tiết diện không đổi được xác định theo Bảng D.1
Bảng D.1 - Hệ số m xác định chiều dài tính toán của cột có tiết diện không đổi
| Cách liên kết và dạng tải trọng |
|
|
|
|
|
|
|
|
| Hệ số m theo lý thuyết | 1,0 | 0,7 | 0,5 | 2,0 | 1,0 | 2,0 | 0,725 | 1,12 |
| Hệ số m khi các điều kiện liên kết gần sát với lý thuyết (Tham khảo) | 1,0 | 0,8 | 0,65 | 2,1 | 1,2 | 2,0 | - | - |
D.1.2 Cột một bậc
Hệ số chiều dài tính toán m1 đối với phần dưới của cột một bậc xác định tùy thuộc vào tỉ số:
và trị số 
trong đó: I1, I2, l1, l2 là mômen quán tính của tiết diện và chiều dài tương ứng của phần cột dưới và phần cột trên (Hình D.1);

Khi đầu trên cột tự do, m1 tra theo Bảng D.2;
Khi đầu trên cột là ngàm trượt, m1 tra theo Bảng D.3;
Khi đầu trên là khớp cố định hoặc ngàm thì m1 thì đối với phần cột dưới tính theo công thức:
(D.1)
trong đó:
m12 là hệ số chiều dài tính toán của phần cột dưới khi N1 = 0;
m11 là hệ số chiều dài tính toán của phần cột dưới khi N2 = 0;
Trị số của m12 và m11 lấy như sau:
Khi đầu trên cột tựa khớp, theo Bảng D.4;
Khi đầu trên cột là liên kết ngàm, theo Bảng D.5.
Hệ số chiều dài tính toán m2 của phần cột trên trong tất cả mọi trường hợp đều được tính theo công thức:
(D.2)

Hình D.1 - Sơ đồ cột một bậc
D.1.3 Cột hai bậc
Hệ số chiều dài tính toán m1 đối với phần dưới của cột hai bậc (Hình D.2) khi đầu trên của cột được liên kết như trong Bảng D.6, tính theo công thức:
(D.3)
trong đó:
là các hệ số, xác định theo bảng D.6 như đối với cột một bậc ở Hình D.3;

N1, N2, N3 là các lực dọc đặt tương ứng tại các bậc và đỉnh cột (Hình D.2);
I1m là mômen quán tính trung bình của các cột l1 và l2, được tính theo công thức:
(D.4)
I2m là mômen quán tính trung bình của các cột l2 và l3, được tính theo công thức:
(D.5)
I1; I2, I3 và l1; l2; l3 là mômen quán tính của tiết diện và chiều dài tương ứng của các đoạn cột dưới, giữa và trên cùng.
|
|
|
|
Hình D.2 - Sơ đồ cột | a) lực N đặt tại phần cột dưới; b) lực N đặt tại phần cột giữa; c) lực N đặt tại đỉnh cột Hình D.3 - Các sơ đồ cột một bậc (cho Bảng D.5) |
Hệ số chiều dài tính toán m2 của phần cột giữa, ứng với l2 được tính theo công thức:
(D.6)
và hệ số m3 đối với phần cột trên cùng, ứng với l3, theo công thức:
(D.7)
trong đó:

Bảng D.2 - Hệ số chiều dài tính toán m1 đối với cột một bậc có đầu trên tự do
| Sơ đồ tính | a1 | Hệ số m1 khi n | |||||||||||||||||||
| 0,0 | 0,1 | 0,2 | 0,3 | 0,4 | 0,5 | 0,6 | 0,7 | 0,8 | 0,9 | 1,0 | 1,2 | 1,4 | 1,6 | 1,8 | 2,0 | 2,5 | 5,0 | 10,0 | 20,0 | ||
|
| 0 0,2 0,4 0,6 0,8 1,0 1,5 2,0 2,5 3,0 | 2,0 2,0 2,0 2,0 2,0 2,0 3,0 4,0 5,0 6,0 | 2,0 2,01 2,04 2,11 2,25 2,50 3,43 4,44 5,55 6,65 | 2,0 2,02 2,08 2,20 2,42 2,73 3,77 4,90 6,08 7,25 | 2,0 2,03 2,11 2,28 2,56 2,94 4,07 5,29 6,56 7,82 | 2,0 2,04 2,13 2,36 2,70 3,13 4,35 5,67 7,00 - | 2,0 2,05 2,18 2,44 2,83 3,29 4,61 6,03 - - | 2,0 2,06 2,21 2,52 2,96 3,44 4,86 - - - | 2,0 2,06 2,25 2,59 3,07 3,59 5,05 - - - | 2,0 2,07 2,28 2,66 3,17 3,74 - - - - | 2,0 2,08 2,32 2,73 3,27 3,87 - - - - | 2,0 2,09 2,35 2,80 3,36 4,00 - - - - | 2,0 2,10 2,42 2,93 3,55 - - - - - | 2,0 2,12 2,48 3,05 3,74 - - - - - | 2,0 2,14 2,54 3,17 - - - - - - | 2,0 2,15 2,60 3,28 - - - - - - | 2,0 2,17 2,66 3,39 - - - - - - | 2,0 2,21 2,80 - - - - - - - | 2,0 2,40 - - - - - - - - | 2,0 2,76 - - - - - - - - | 2,0 3,38 - - - - - - - - |
Bảng D.3 - Hệ số chiều dài tính toán m1 đối với cột có đầu trên là ngàm trượt
| Sơ đồ tính | a1 | Hệ số m1 khi n | |||||||||||||||||||
| 0,0 | 0,1 | 0,2 | 0,3 | 0,4 | 0,5 | 0,6 | 0,7 | 0,8 | 0,9 | 1,0 | 1,2 | 1,4 | 1,6 | 1,8 | 2,0 | 2,5 | 5,0 | 10,0 | 20,0 | ||
|
| 0 0,2 0,4 0,6 0,8 1,0 1,5 2,0 2,5 3,0 | 2,0 2,0 2,0 2,0 2,0 2,0 2,0 2,0 2,5 3,0 | 1,92 1,93 1,94 1,95 1,97 2,00 2,12 2,45 2,94 3,43 | 1,86 1,87 1,88 1,91 1,94 2,00 2,25 2,66 3,17 3,70 | 1,80 1,82 1,83 1,86 1,92 2,00 2,33 2,81 3,34 3,93 | 1,76 1,76 1,77 1,83 1,90 2,00 2,38 2,91 3,50 4,12 | 1,70 1,71 1,75 1,79 1,88 2,00 2,43 3,00 - - | 1,67 1,68 1,72 1,77 1,87 2,00 2,48 - - - | 1,64 1,64 1,69 1,76 1,86 2,00 2,52 - - - | 1,60 1,62 1,66 1,72 1,85 2,00 - - - - | 1,57 1,59 1,62 1,71 1,83 2,00 - - - - | 1,55 1,56 1,61 1,69 1,82 2,00 - - - - | 1,50 1,52 1,57 1,66 1,80 - - - - - | 1,46 1,48 1,53 1,63 1,79 - - - - - | 1,43 1,45 1,50 1,61 - - - - - - | 1,40 1,41 1,48 1,59 - - - - - - | 1,37 1,39 1,45 - - - - - - - | 1,32 1,33 1,40 - - - - - - - | 1,18 1,20 - - - - - - - - | 1,10 1,11 - - - - - - - - | 1,05 - - - - - - - - - |
Bảng D.4 - Hệ số chiều dài tính toán m12 và m11 đối với cột một bậc có đầu tựa khớp cố định
| Sơ đồ tính |
| Hệ số m12 và m12 khi l2/l1 | ||||||||||||||
| 0,1 | 0,2 | 0,3 | 0,4 | 0,5 | 0,6 | 0,7 | 0,8 | 0,9 | 1,0 | 1,2 | 1,4 | 1,6 | 1,8 | 2,0 | ||
| Hệ số m12 | ||||||||||||||||
|
| 0,04 0,06 0,08 0,1 0,2 0,3 0,4 0,5 1,0 | 1,02 0,91 0,86 0,83 0,79 0,78 0,78 0,78 0,78 | 1,84 1,47 1,31 1,21 0,98 0,90 0,88 0,86 0,85 | 2,25 1,93 1,73 1,57 1,23 1,09 1,02 0,99 0,92 | 2,59 2,26 2,05 1,95 1,46 1,27 1,17 1,10 0,99 | 2,85 2,57 2,31 2,14 1,67 1,44 1,32 1,22 1,06 | 3,08 2,74 2,49 2,33 1,85 1,60 1,45 1,35 1,13 | 3,24 2,90 2,68 2,46 2,02 1,74 1,58 1,47 1,20 | 3,42 3,05 2,85 2,60 2,15 1,86 1,69 1,57 1,27 | 3,70 3,24 3,00 2,76 2,28 1,98 1,81 1,67 1,34 | 4,00 3,45 3,14 2,91 2,40 2,11 1,92 1,76 1,41 | 4,55 3,88 3,53 3,28 2,67 2,35 2,14 1,96 1,54 | 5,25 4,43 3,93 3,61 2,88 2,51 2,31 2,15 1,68 | 5,80 4,90 4,37 4,03 3,11 2,76 2,51 2,34 1,82 | 6,55 5,43 4,85 4,43 3,42 2,99 2,68 2,50 1,97 | 7,20 5,94 5,28 4,85 3,71 3,25 2,88 2,76 2,10 |
| Hệ số m11 | ||||||||||||||||
|
| 0,04 0,06 0,08 0,1 0,2 0,3 0,4 0,5 1,0 | 0,67 0,67 0,67 0,67 0,67 0,67 0,67 0,67 0,67 | 0,67 0,67 0,67 0,67 0,67 0,67 0,67 0,67 0,67 | 0,83 0,81 0,75 0,73 0,69 0,67 0,67 0,67 0,67 | 1,25 1,07 0,98 0,93 0,75 0,71 0,69 0,69 0,68 | 1,43 1,27 1,19 1,11 0,89 0,80 0,75 0,73 0,71 | 1,55 1,41 1,32 1,25 1,02 0,90 0,84 0,81 0,74 | 1,65 1,51 1,43 1,36 1,12 0,99 0,92 0,87 0,78 | 1,70 1,60 1,51 1,45 1,21 1,08 1,00 0,94 0,82 | 1,75 1,64 1,58 1,52 1,29 1,15 1,07 1,01 0,87 | 1,78 1,70 1,63 1,57 1,36 1,22 1,13 1,07 0,91 | 1,84 1,78 1,72 1,66 1,46 1,33 1,24 1,17 0,99 | 1,87 1,82 1,77 1,72 1,54 1,41 1,33 1,26 1,07 | 1,88 1,84 1,81 1,77 1,60 1,48 1,40 1,33 1,19 | 1,90 1,87 1,82 1,80 1,65 1,54 1,47 1,39 1,19 | 1,92 1,88 1,84 1,82 1,69 1,59 1,51 1,44 1,24 |
Bảng D.5 - Hệ số chiều dài tính toán m12 và m11 đối với cột một bậc có đầu trên liên kết ngàm
| Sơ đồ tính |
| Hệ số m12 và m12 khi l2/l1 | ||||||||||||||
| 0,1 | 0,2 | 0,3 | 0,4 | 0,5 | 0,6 | 0,7 | 0,8 | 0,9 | 1,0 | 1,2 | 1,4 | 1,6 | 1,8 | 2,0 | ||
| Hệ số m12 | ||||||||||||||||
|
| 0,04 0,06 0,08 0,1 0,2 0,3 0,4 0,5 1,0 | 0,78 0,70 0,68 0,67 0,64 0,62 0,60 0,59 0,55 | 1,02 0,86 0,79 0,76 0,70 0,68 0,66 0,65 0,60 | 1,53 1,23 1,05 1,00 0,79 0,74 0,71 0,70 0,65 | 1,73 1,47 1,31 1,20 0,93 0,85 0,78 0,77 0,70 | 2,01 1,73 1,54 1,42 1,07 0,95 0,87 0,82 0,75 | 2,21 1,93 1,74 1,61 1,23 1,06 0,99 0,93 0,80 | 2,38 2,08 1,91 1,78 1,41 1,18 1,07 0,99 0,85 | 2,54 2,23 2,05 1,92 1,50 1,28 1,16 1,08 0,90 | 2,65 2,38 2,20 2,04 1,60 1,39 1,26 1,17 0,95 | 2,85 2,49 2,31 2,20 1,72 1,48 1,34 1,23 1,00 | 3,24 2,81 2,55 2,40 1,92 1,67 1,50 1,39 1,10 | 3,70 3,17 2,80 2,60 2,11 1,82 1,65 1,53 1,20 | 4,20 3,50 3,11 2,86 2,28 1,96 1,79 1,66 1,30 | 4,76 3,92 3,45 3,18 2,45 2,12 1,94 1,79 1,40 | 5,23 4,30 3,73 3,41 2,64 2,20 2,08 1,92 1,50 |
| Hệ số m11 | ||||||||||||||||
|
| 0,04 0,06 0,08 0,1 0,2 0,3 0,4 0,5 1,0 | 0,66 0,65 0,64 0,64 0,62 0,60 0,58 0,57 0,55 | 0,68 0,67 0,66 0,65 0,64 0,63 0,63 0,61 0,58 | 0,75 0,68 0,67 0,65 0,65 0,64 0,63 0,63 0,60 | 0,94 0,76 0,68 0,65 0,65 0,65 0,64 0,64 0,61 | 1,08 0,94 0,84 0,78 0,66 0,66 0,64 0,64 0,62 | 1,24 1,10 1,00 0,92 0,73 0,67 0,66 0,65 0,63 | 1,37 1,25 1,12 1,05 0,83 0,73 0,68 0,68 0,65 | 1,47 1,35 1,25 1,15 0,92 0,81 0,75 0,72 0,67 | 1,55 1,44 1,34 1,25 1,01 0,89 0,82 0,77 0,70 | 1,64 1,50 1,41 1,33 1,09 0,94 0,88 0,83 0,73 | 1,72 1,61 1,53 1,45 1,23 1,09 1,01 0,94 0,80 | 1,78 1,69 1,62 1,55 1,33 1,20 1,10 1,04 0,88 | 1,81 1,74 1,68 1,62 1,41 1,28 1,19 1,12 0,93 | 1,85 1,79 1,75 1,68 1,48 1,35 1,26 1,19 1,01 | 1,89 1,82 1,79 1,71 1,54 1,41 1,32 1,25 1,05 |
Bảng D.6 - Hệ số chiều dài tính toán mm1, mm2, mm3
| Liên kết đầu trên của cột |
| ||
| mm1 | mm2 | mm3 | |
| Với tải trọng | |||
| Theo hình D.3, a | Theo hình D.3, b | Theo hình D.3, c | |
| Tự do | mm1 = 2,0 | mm2 = 2,0 | mm3 = m1 (m1 theo bảng D.2 khi
|
| Chỉ liên kết không cho xoay | mm1 = m1 (m1 theo bảng D.3 với a1 = 0) | mm2 = m1 (m1 theo bảng D.3 với a1 = 0) | mm3 = m1 (m1 theo bảng D.3 khi
|
| Liên kết khớp cố định | mm1 = m11 (m11 theo bảng D.4) | mm2 = m11 (m11 theo bảng D.4) | mm3 = m12 (m12 theo bảng D.4) |
| Liên kết ngàm | mm1 = m11 (m11 theo bảng D.5) | mm2 = m11 (m11 theo bảng D.5) | mm3 = m12 (m12 theo bảng D.5) |
D.1.4 Cột có tiết diện thay đổi (tham khảo)
Trong trường hợp thanh có tiết diện thay đổi, khi xác định chiều dài tính toán cần kể đến hệ số chiều dài tính toán bổ sung mb cho trong Bảng D.7. Khi đó, chiều dài tính toán lo được tính theo công thức:
lo = mm1l (D.8)
trong đó l là chiều dài hình học; m là hệ số chiều dài tính toán như trong trường hợp tiết diện không đổi.
Bảng D.7 - Hệ số chiều dài tính toán bổ sung m1 đối với thanh có tiết diện thay đổi
| Sơ đồ thanh | l1/l | Khi tỉ số Imin/Imax bằng | ||||||
| 0,01 | 0,1 | 0,2 | 0,4 | 0,6 | 0,8 | 1,0 | ||
|
| - | - | 1,35 | 1,24 | 1,14 | 1,08 | 1,02 | 1,00 |
|
| - | - | 1,66 | 1,45 | 1,24 | 1,14 | 1,06 | 1,00 |
|
| 0,0 | 1,69 | 1,35 | 1,25 | 1,14 | 1,08 | 1,03 | 1,00 |
| 0,2 | 1,45 | 1,22 | 1,15 | 1,08 | 1,05 | 1,02 | - | |
| 0,4 | 1,23 | 1,11 | 1,07 | 1,04 | 1,02 | 1,01 | - | |
| 0,6 | 1,07 | 1,03 | 1,02 | 1,01 | 1,01 | 1,00 | - | |
| 0,8 | 1,01 | 1,00 | 1,00 | 1,00 | 1,00 | 1,00 | - | |
D.2 Các hệ số khác
D.2.1 Hệ số uốn dọc j lấy theo Bảng D.8, hệ số ảnh hưởng của hình dạng tiết diện h lấy theo Bảng D.9, hệ số je lấy theo Bảng D.10, D.11, độ lệch tâm tính đổi me lấy theo Bảng D.12.
D.2.2 Hệ số cmax đối với tiết diện chữ I và chữ T.
D.2.2.1 Đối với tiết diện chữ I
Đối với tiết diện chữ I có 1 trục đối xứng (Hình D.4), hệ số cmax được tính theo công thức:
(D.9)
trong đó:
ax = (h1I1 - h2I2)/(Iyh);
ex = Mx/N là độ lệch tâm của lực nén so với trục x-x, lấy theo dấu tương ứng (như trên Hình D.4 là dấu dương);
h là khoảng cách giữa các trục của cánh;

Ở đây:
I1, I2 lần lượt là mômen quán tính của cánh lớn và cánh nhỏ lấy với trục y-y;

It và b là các giá trị tính theo các công thức ở Bảng E.3 và Bảng E.4.
D.2.2.2 Đối với tiết diện chữ T
Đối với tiết diện chữ T, giá trị của hệ số cmax được xác định như đối với tiết diện chữ I nhưng khi tính It lấy: I2 = 0; b2 = 0; t2 = 0 (Hình D.4)

Hình D.4 - Sơ đồ tiết diện chữ I một trục đối xứng chịu nén lệch tâm
Bảng D.8 - Hệ số uốn dọc j của cấu kiện chịu nén đúng tâm
| Độ mảnh l | Hệ số j đối với các cấu kiện bằng thép có cường độ tính toán f, MPa | |||||||||||
| 200 | 240 | 280 | 320 | 360 | 400 | 440 | 480 | 520 | 560 | 600 | 640 | |
| 10 20 30 40 50 60 70 80 90 100 110 120 130 140 150 160 170 180 190 200 210 220 | 988 967 939 906 869 827 782 734 665 599 537 479 425 376 328 290 259 233 210 191 174 160 | 987 962 931 894 852 805 784 686 612 542 478 719 364 315 276 244 218 196 177 161 147 135 | 985 959 924 883 836 785 724 641 565 493 427 366 313 272 239 212 189 170 154 140 128 118 | 984 955 917 873 822 766 687 602 522 448 381 321 276 240 211 187 167 150 136 124 113 104 | 983 952 911 863 809 749 654 566 483 408 338 287 247 215 189 167 150 135 122 111 102 094 | 982 949 905 854 796 721 623 532 447 369 306 260 223 195 171 152 136 123 111 101 093 086 | 981 946 900 846 785 696 595 501 413 335 280 237 204 178 157 139 125 112 102 093 085 077 | 980 943 895 849 775 672 568 471 380 309 258 219 189 164 145 129 115 104 094 086 079 073 | 979 941 891 832 764 650 542 442 349 286 239 203 175 153 134 120 107 097 088 080 074 068 | 978 938 887 825 746 628 518 414 326 267 223 190 163 143 126 112 100 091 082 075 069 064 | 977 936 883 820 729 608 494 386 305 250 209 178 153 134 118 105 094 085 077 071 065 060 | 977 934 879 814 712 588 470 359 287 235 197 167 145 126 111 099 089 081 073 067 062 057 |
| CHÚ THÍCH: Giá trị của hệ số j trong bảng đã được tăng lên 1000 lần. | ||||||||||||
Bảng D.9 - Hệ số ảnh hưởng của hình dạng tiết diện h
| Loại tiết diện | Sơ đồ tiết diện |
| Trị số của h khi | ||||
| 0 ≤ |
| ||||||
| 0,1 ≤ m ≤ 5 | 5 < m ≤ 20 | 0,1 ≤ m ≤ 5 | 5 < m ≤ 20 | ||||
| 1 |
| - | 1,0 | 1,0 | 1,0 | ||
| 2 |
| - | 0,85 | 0,85 | 0,85 | ||
| 3 |
| - | 0,75 + 0,02 | 0,75 + 0,02 | 0,85 | ||
| 4 |
| - | (1,35 - 0,05m) - 0,01(5 - m) | 1,1 | 1,1 | ||
| 5 |
| 0,25 | (1,45 - 0,05m) - 0,01 (5 - m) | 1,2 | 1,2 | ||
| 0,5 | (1,75 - 0,1m) - 0,02 (5 - m) | 1,25 | 1,25 | ||||
| ³ 1 | (1,90 - 0,1m) - 0,02 (6 - m) | 1,4 - 0,2 | 1,3 | ||||
| 6 |
| - |
| h5 | h5 | ||
| 7 |
| - |
|
|
| ||
| 8 |
| 0,25 | (0,75 + 0,05m) - 0,01 (5 - m) | 1,0 | 1,0 | ||
| 0,5 | (0,5 + 0,1m) + 0,02 (5 - m) | 1,0 | 1,0 | ||||
| ³ 1 | (0,25 + 0,15m) - 0,03 (5 - m) | 1,0 | 1,0 | ||||
| 9 |
| 0,5 | (1,25 - 0,05m) - 0,01 (5 - m) | 1,0 | 1,0 | ||
| ³ 1 | (1,5 - 0,1m) - 0,02 (5 - m) | 1,0 | 1,0 | ||||
| 10 |
| 0,5 | 1,4 | 1,4 | 1,4 | 1,4 | |
| 1,0 | 1,6 - 0,01 (5 - m) | 1,6 | 1,35 + 0,05 m | 1,6 | |||
| 2,0 | 1,8 - 0,02 (5 - m) | 1,8 | 1,3 + 0,1m | 1,8 | |||
| 11 |
| 0,5 | 1,45 + 0,04 m | 1,65 | 1,45 + 0,04m | 1,65 | |
| 1,0 | 1,8 + 0,12 m | 2,4 | 1,8 + 0,12m | 2,4 | |||
| 1,5 | 2,0 + 0,25m + 0,1 | - | - | - | |||
| 2,0 | 3,0 + 0,25m + 0,1 | - | - | - | |||
| CHÚ THÍCH: Đối với các loại tiết diện từ 5 tới 7 khi tính tỉ số Af/Aw không kể đến phần cánh đặt thẳng đứng; Đối với các loại tiết diện từ 6 đến 7 giá trị của h5 lấy bằng giá trị của h của loại tiết diện 5, tương ứng với các giá trị của Af/Aw. | |||||||
Bảng D.10 - Hệ số je để kiểm tra ổn định của cấu kiện tiết diện đặc, chịu nén lệch tâm (nén uốn), mặt phẳng tác dụng của mômen trùng với mặt phẳng đối xứng
| Độ mảnh qui ước | Hệ số je khi độ lệch tâm tương đối tính đổi me bằng | ||||||||||||
| 0,1 | 0,25 | 0,5 | 0,75 | 1,0 | 1,25 | 1,5 | 1,75 | 2,0 | 2,5 | 3,0 | 3,5 | 4,0 | |
| 0,5 1,0 1,5 2,0 2,5 3,0 3,5 4,0 4,5 5,0 5,5 6,0 6,5 7,0 8,0 9,0 10,0 11,0 12,0 13,0 14,0 | 967 925 875 813 742 667 587 505 418 354 302 258 223 194 152 122 100 083 069 062 052 | 922 854 804 742 672 597 522 447 382 326 280 244 213 186 146 117 097 079 067 061 049 | 850 778 716 653 587 520 455 394 342 295 256 223 196 173 138 112 093 077 064 054 049 | 782 711 647 587 526 465 408 356 310 273 240 210 185 163 133 107 091 076 063 053 048 | 722 653 593 536 480 425 375 330 288 253 224 198 176 157 128 103 090 075 062 052 048 | 669 600 548 496 442 395 350 309 272 239 212 190 170 152 121 100 085 073 060 051 047 | 620 563 507 457 410 365 325 289 257 225 200 178 160 145 117 098 081 071 059 051 047 | 577 520 470 425 383 342 303 270 242 215 192 172 155 141 115 096 080 069 059 050 046 | 538 484 439 397 357 320 287 256 229 205 184 166 149 136 113 093 079 068 056 049 045 | 469 427 388 352 317 287 258 232 208 188 170 153 140 127 106 088 075 063 055 049 044 | 417 382 347 315 287 260 233 212 192 175 158 145 132 121 100 085 072 062 054 048 043 | 370 341 312 286 262 238 216 197 178 162 148 137 125 115 095 082 070 061 053 048 043 | 337 307 283 260 238 217 198 181 165 150 138 128 117 108 091 079 069 060 052 047 042 |
Bảng D.10 - (kết thúc)
| Độ mảnh qui ước | Hệ số je khi độ lệch tâm tính đổi khi me | ||||||||||||
| 4,5 | 5,0 | 5,5 | 6,0 | 6,5 | 7,0 | 8,0 | 9,0 | 10 | 12 | 14 | 17 | 20 | |
| 0,5 1,0 1,5 2,0 2,5 3,0 3,5 4,0 4,5 5,0 5,5 6,0 6,5 7,0 8,0 9,0 10,0 11,0 12,0 13,0 14,0 | 307 283 262 240 220 202 183 168 155 143 132 120 112 102 087 075 065 057 051 045 041 | 280 259 240 222 204 187 172 158 146 135 124 115 106 098 083 072 062 055 050 044 040 | 260 240 223 206 190 175 162 149 137 126 117 109 101 094 081 069 060 053 049 043 040 | 237 225 207 193 178 166 153 140 130 120 112 104 097 091 078 066 059 052 048 042 039 | 222 209 195 182 168 156 145 135 125 117 108 100 094 087 076 065 058 051 047 041 039 | 210 196 182 170 158 147 137 127 118 111 104 096 089 083 074 064 057 050 046 041 038 | 183 175 163 153 144 135 125 118 110 103 095 089 083 078 068 061 055 048 044 039 037 | 164 157 148 138 130 123 115 108 101 095 089 084 080 074 065 058 052 046 042 038 036 | 150 142 134 125 118 112 106 098 093 088 084 079 074 070 062 055 049 044 040 037 036 | 125 121 114 107 101 097 092 088 083 079 075 072 068 064 057 051 046 040 037 035 034 | 106 103 099 094 090 086 082 078 075 072 069 066 062 059 053 048 043 038 035 033 032 | 090 086 082 079 076 073 069 066 064 062 060 057 054 052 047 043 039 035 032 030 029 | 077 074 070 067 065 063 060 057 055 053 051 049 047 045 041 038 035 032 029 027 026 |
| CHÚ THÍCH: Giá trị của hệ số je trong bảng đã được tăng lên 1000 lần; Giá trị của hệ số je không lấy lớn hơn giá trị của j. | |||||||||||||
Bảng D.11 - Hệ số je để kiểm tra ổn định của cấu kiện tiết diện rỗng, chịu nén lệch tâm (nén uốn), mặt phẳng tác dụng của mômen trùng với mặt phẳng đối xứng
| Độ mảnh qui ước | Hệ số je khi độ lệch tâm tương đối khi m | ||||||||||||
| 0,1 | 0,25 | 0,5 | 0,75 | 1,0 | 1,25 | 1,5 | 1,75 | 2,0 | 2,5 | 3,0 | 3,5 | 4,0 | |
| 0,5 1,0 1,5 2,0 2,5 3,0 3,5 4,0 4,5 5,0 5,5 6,0 6,5 7,0 8,0 9,0 10,0 11,0 12,0 13,0 14,0 | 908 872 830 774 708 637 562 484 415 350 300 255 211 192 148 117 097 082 068 060 050 | 800 762 727 673 608 545 480 422 365 315 273 237 208 184 142 114 094 078 066 059 049 | 666 640 600 556 507 455 402 357 315 277 245 216 190 168 136 110 091 077 064 054 048 | 571 553 517 479 439 399 355 317 281 250 223 198 178 160 130 107 090 076 063 053 047 | 500 483 454 423 391 356 320 288 258 230 203 183 165 150 123 102 087 073 061 052 046 | 444 431 407 381 354 324 294 264 237 212 192 174 157 141 118 098 084 071 060 051 046 | 400 387 367 346 322 396 270 246 223 201 182 165 149 135 113 094 080 068 058 050 045 | 364 351 336 318 297 275 251 228 207 186 172 156 142 130 108 090 076 066 057 049 044 | 333 328 311 293 274 255 235 215 196 178 163 149 137 125 105 087 073 064 056 049 043 | 286 280 271 255 238 222 206 191 176 161 147 135 124 114 097 082 070 060 054 048 043 | 250 243 240 228 215 201 187 173 160 149 137 126 117 108 091 079 067 058 053 047 042 | 222 218 211 202 192 182 170 160 149 138 128 119 109 101 085 075 064 056 050 046 042 | 200 197 190 183 175 165 155 145 136 127 118 109 102 095 082 072 062 054 049 045 041 |
Bảng D.11 - (kết thúc)
| Độ mảnh qui ước | Hệ số je khi độ lệch tâm tương đối khi m | ||||||||||||
| 4,5 | 5,0 | 5,5 | 6,0 | 6,5 | 7,0 | 8,0 | 9,0 | 10 | 12 | 14 | 17 | 20 | |
| 0,5 1,0 1,5 2,0 2,5 3,0 3,5 4,0 4,5 5,0 5,5 6,0 6,5 7,0 8,0 9,0 10,0 11,0 12,0 13,0 14,0 | 182 180 178 170 162 153 143 133 124 117 110 103 097 091 079 069 060 053 048 044 041 | 167 165 163 156 148 138 130 124 116 108 102 097 092 087 077 067 058 052 047 044 040 | 154 151 149 143 136 130 123 118 110 104 098 093 088 083 073 064 056 050 045 042 039 | 143 142 137 132 127 121 115 110 105 100 095 090 085 079 070 062 054 048 043 041 039 | 133 131 128 125 120 116 110 105 100 095 091 085 080 076 067 059 052 046 042 040 038 | 125 121 119 117 113 110 106 100 096 092 087 083 077 074 065 056 050 044 040 038 037 | 111 109 108 106 103 100 096 093 089 086 081 077 072 068 060 053 047 043 039 037 036 | 100 098 096 095 093 091 088 084 079 076 074 070 066 063 055 050 045 042 038 036 035 | 091 090 088 086 083 081 078 076 073 071 068 065 061 058 052 048 043 041 037 035 034 | 077 077 077 076 074 071 069 067 065 062 059 056 054 051 048 045 041 038 034 032 031 | 067 066 065 064 062 061 059 057 055 054 052 051 050 047 044 042 038 035 032 030 029 | 056 055 053 052 051 051 050 049 048 047 046 045 044 043 041 039 036 032 030 028 027 | 048 046 045 045 044 043 042 041 040 039 039 038 037 036 035 035 033 030 028 026 025 |
| CHÚ THÍCH: Giá trị của hệ số je trong bảng đã được tăng lên 1000 lần; Giá trị của hệ số je không lấy lớn hơn giá trị của j. | |||||||||||||
Bảng D.12 - Độ lệch tâm tính đổi me đối với thanh có đầu tựa khớp
|
|
| Độ lệch tâm tính đổi me khi me 1 khớp | ||||||||||
| 0,1 | 0,5 | 1,0 | 1,5 | 2,0 | 3,0 | 4,0 | 5,0 | 7,0 | 10,0 | 20,0 | ||
| d = - 1,0
| 1 2 3 4 5 6 7 | 0,10 0,10 0,10 0,10 0,10 0,10 0,10 | 0,30 0,17 0,10 0,10 0,10 0,10 0,10 | 0,68 0,39 0,22 0,10 0,10 0,10 0,10 | 1,12 0,68 0,36 0,18 0,10 0,10 0,10 | 1,60 1,03 0,55 0,30 0,15 0,10 0,10 | 2,62 1,80 1,17 0,57 0,23 0,15 0,10 | 3,55 2,75 1,95 1,03 0,48 0,18 0,10 | 4,55 3,72 2,77 1,78 0,95 0,40 0,10 | 6,50 5,65 4,60 3,35 2,18 1,25 0,50 | 9,40 8,60 7,40 5,90 4,40 3,00 1,70 | 19,40 18,50 17,20 15,40 13,40 11,40 9,50 |
| d = - 0,5
| 1 2 3 4 5 6 7 | 0,10 0,10 0,10 0,10 0,10 0,10 0,10 | 0,31 0,22 0,17 0,14 0,10 0,16 0,22 | 0,68 0,46 0,38 0,32 0,26 0,28 0,32 | 1,12 0,73 0,58 0,49 0,41 0,40 0,42 | 1,60 1,05 0,80 0,66 0,57 0,52 0,55 | 2,62 1,88 1,33 1,05 0,95 0,95 0,95 | 3,55 2,75 2,00 1,52 1,38 1,25 1,10 | 4,55 3,72 2,77 2,22 1,80 1,60 1,35 | 6,50 5,65 4,60 3,50 2,95 2,50 2,20 | 9,40 8,60 7,40 5,90 4,70 4,00 3,50 | 19,40 18,50 17,20 15,40 13,40 11,50 10,80 |
Bảng D.12 - (kết thúc)
|
|
| Độ lệch tâm tính đổi me khi me1 bằng | ||||||||||
| 1,0 | 0,5 | 1,0 | 1,5 | 2,0 | 3,0 | 4,0 | 5,0 | 7,0 | 10,0 | 20,0 | ||
| d = 0,5
| 1 2 3 4 5 6 7 | 0,10 0,10 0,10 0,10 0,10 0,10 0,10 | 0,32 0,28 0,27 0,26 0,25 0,28 0,32 | 0,70 0,60 0,55 0,52 0,52 0,52 0,52 | 1,12 0,90 0,84 0,78 0,78 0,78 0,78 | 1,60 1,28 1,15 1,10 1,10 1,10 1,10 | 2,62 1,96 1,75 1,60 1,55 1,55 1,55 | 3,55 2,75 2,43 2,20 2,10 2,00 1,90 | 4,55 3,72 3,17 2,83 2,78 2,70 2,60 | 6,50 5,65 4,80 4,00 3,85 3,80 3,75 | 9,40 8,40 7,40 6,30 5,90 5,60 5,50 | 19,40 18,50 17,20 15,40 14,50 13,80 13,00 |
| d = 0,5
| 1 2 3 4 5 6 7 | 0,10 0,10 0,10 0,10 0,10 0,10 0,10 | 0,40 0,40 0,40 0,40 0,40 0,40 0,40 | 0,80 0,78 0,77 0,75 0,75 0,75 0,75 | 1,23 1,20 1,17 1,13 1,10 1,10 1,10 | 1,68 1,60 1,55 1,55 1,55 1,50 1,40 | 2,62 2,30 2,30 2,30 2,30 2,30 2,30 | 3,55 3,15 3,10 3,05 3,00 3,00 3,00 | 4,55 4,10 3,90 3,80 3,80 3,80 3,80 | 6,50 5,85 5,55 5,30 5,30 5,30 5,30 | 9,40 8,60 8,13 7,60 7,60 7,60 7,60 | 19,40 18,50 18,00 17,50 17,00 16,50 16,00 |
| CHÚ THÍCH: | ||||||||||||
Phụ lục E
(Qui định)
Hệ số jb để tính ổn định của dầm
E.1 Đối với dầm tiết diện chữ I có hai trục đối xứng
Để xác định jb cần tính giá trị của hệ số j1:
(E.1)
trong đó giá trị của y lấy theo bảng E.1 và E.2 phụ thuộc vào đặc điểm tải trọng và thông số a. Trị giá của a tính như sau:
a) Đối với thép cán I cán:
(E.2)
trong đó:
lo là chiều dài tính toán của dầm hoặc công xôn, lấy theo 7.2.2.1;
h là chiều cao của tiết diện dầm;
lt là mômen quán tính của tiết diện dầm khi xoắn.
b) Đối với dầm tổ hợp hàn từ 3 tấm thép hoặc dầm bulông cường độ cao:
(E.3)
trong đó:
Đối với dầm hàn tiết diện chữ I:
t là chiều dày bản bụng;
bf, tf là chiều rộng và chiều dày bản cánh;
h là khoảng cách giữa trọng tâm hai cánh;
a = 0,5h
Đối với dầm chữ I, liên kết cánh và bụng bằng bulông cường độ cao:
t là tổng chiều dày bản bụng và các cánh thép góc thẳng đứng đặt sát bản bụng;
bf là chiều rộng tấm cánh (bản phủ);
t1 là tổng chiều dày các tấm cánh và của cánh nằm ngang của thép góc cánh;
h là khoảng cách giữa các trục của hai tập bản phủ ở hai cánh;
a là chiều rộng của cánh thép góc thẳng đứng, không kể đến chiều dày của các tấm cánh.
Giá trị của hệ số jb trong công thức (16) lấy như sau:
Nếu j1 ≤ 0,85 thì jb = j1;
Nếu j1 > 0,85 thì jb = 0,68 + 0,21jb, nhưng không lớn hơn 1,0.
E.2 Đối với dầm tiết diện chữ I có trục đối xứng (Hình E.1)
Để xác định jb cần tính các hệ số j1 và j2:

trong đó:
h1 là khoảng cách từ trọng tâm của tiết diện đến trục của cánh lớn;
h2 là như trên nhưng đến trục của cánh nhỏ;
lo là xác định như ở công thức (E.2)
y là hệ số, tính theo công thức:
(E.6)
Các hệ số D, C, B trong công thức (E.6) lấy theo Bảng E.3 và E.4
Đối với tiết diện chữ I khi 0,9 < n < 1,0, hệ số y được xác định bằng nội suy tuyến tính theo công thức (E.5), khi đó với tiết diện chữ I lấy n = 0,9 và chữ T lấy n = 1.
Đối với tiết diện chữ T, chịu lực tập trung hoặc phân bố đều và khi a < 40, hệ số y sẽ được nhân với giá trị (0,8 + 0,004a).
Khi n > 0,7 và 5 ≤ lo/b2 ≤ 25 thì hệ số j2 sẽ lấy giảm đi bằng cách nhân với giá trị (1,025 - 0,015 lo/b2) nhưng không lớn hơn 0,95.
Không cho phép dùng dầm tiết diện không đối xứng có lo/b2 > 25.
Hệ số jb trong công thức (16) tính theo các công thức ở Bảng E.5 nhưng không được lớn hơn 1,0.
E.3 Đối với dầm tiết diện chữ [
Hệ số jb được xác định như đối với dầm có tiết diện chữ I đối xứng, giá trị của a được tính theo công thức (E.2), nhưng giá trị của j1 được nhân với 0,7.
Các giá trị của Ix, Iy và It trong các công thức (E.1), (E.2) lấy theo tiết diện chữ [.

Hình D.4 - Sơ đồ tiết diện chữ I một trục đối xứng chịu nén lệch tâm
Bảng E.1 - Hệ số y đối với dầm tiết diện chữ I có hai trục đối xứng
| Số lượng điểm cố kết cánh nén trong nhịp | Dạng tải trọng | Cánh được chất tải | Công thức tính y khi a | |
| 0,1 ≤ a ≤ 40 | 40 < a ≤ 400 | |||
| Không cố kết | Tập trung | Cánh trên Cánh dưới | y = 1,75 + 0,09a y = 5,05 + 0,09a | y = 3,3 + 0,053a - 4,5.10-5a2 y = 6,6 + 0,053a - 4,5.10-5a2 |
| Phân bố đều | Cánh trên Cánh dưới | y = 1,6 + 0,08a y = 3,8 + 0,08a | y = 3,15 + 0,04a - 2,7.10-5a2 y = 5,35 + 0,04a - 2,7.10-5a2 | |
| Hai hay nhiều, chia nhịp thành các phần đều nhau | Bất kỳ | Bất kỳ | y = 2,25 + 0,07a | y = 3,6 + 0,04a - 3,5.10-5a2 |
| Một ở giữa | Tập trung ở giữa | Bất kỳ | y = 1,75y1 | y = 1,75y1 |
| Tập trung ở 1/4 nhịp | Cánh trên Cánh dưới | y = 1,14y1 y = 1,6 y1 | y = 1,14y1 y = 1,6 | |
| Phân bố đều | Cánh trên Cánh dưới | y = 1,14y1 y = 1,3 y1 | y = 1,14y1 y = 1,3 y1 | |
| CHÚ THÍCH: Trị số của y1 lấy bằng y khi cánh nén được cố kết bằng hai hoặc nhiều điểm | ||||
Bảng E.2 - Hệ số y đối với dầm công xôn, tiết diện chữ I có hai trục đối xứng
| Dạng tải trọng | Cánh được chất tải | Công thức tính y khi cánh nén của dầm không được cố kết, và khi a | |
| 4 ≤ a ≤ 28 | 28 < a ≤ 100 | ||
| Tập trung ở đầu mút côngxôn | Cánh trên | y = 1,0 + 0,16a | y = 4,0 + 0,05a |
| Cánh dưới | y = 6,2 + 0,08a | y = 7,0 + 0,05a | |
| Phân bố đều | Cánh trên |
| |
| CHÚ THÍCH: Khi cánh nén của côngxôn được cố kết trong phương ngang ở đầu mút hoặc theo chiều dài thì hệ số y được lấy như đối với côngxôn không cố kết, ngoài trường hợp tải trọng tập trung đặt tại cánh trên ở mút côngxôn, khi đó y = 1,75y1 (giá trị của y1 lấy theo CHÚ THÍCH trong Bảng E.1). | |||
Bảng E.3 - Hệ số D và C
| Dạng tải trọng | D | Hệ số C khi tiết diện | |
| Chữ I, n ≤ 0,9 | Chữ T, n = 1 | ||
| Tập trung ở giữa nhịp Phân bố đều Uốn thuần túy | 3,265 2,247 4,315 | 0,330m 0,481m 0,101m | 0,0826a 0,1202a 0,0253a |
| CHÚ THÍCH: Các kí hiệu trong Bảng E.3:
trong đó: với: I1, I2 tương ứng là mômen quán tính của cánh lớn và cánh nhỏ đối với trục đối xứng của tiết diện, được tính theo công thức (D.4); Mômen quán tính xoắn được tính như sau:
ở đây bi và ti tương ứng là các chiều rộng và chiều dày của các tấm cánh; d = 1,25 đối với tiết diện chữ I một trục đối xứng; d = 1,20 đối với tiết diện chữ T; a xác định như trong Bảng E.2 | |||
Bảng E.4 - Hệ số B
| Sơ đồ tiết diện và vị trí đặt tải | Hệ số B khi sơ đồ đặt tải | ||
| Tập trung ở giữa nhịp | Phân bố đều | Uốn thuần túy | |
|
| d | m | b |
|
| d - 1 | m - 1 | b |
|
| 1 - d | 1 - m | - b |
|
| - d | - m | - b |
| CHÚ THÍCH: Các kí hiệu dùng trong Bảng E.4: d = n + 0,734b ; m = n +1,145b ;
trong đó: b1 là chiều rộng cánh lớn hơn của dầm; n là kí hiệu xem Bảng E.3 | |||
Bảng E.5 - Hệ số jb
| Giá trị của j2 | Hệ số jb khi cánh chịu nén là | |
| Cánh lớn hơn | Cánh nhỏ hơn | |
| j2 ≤ 0,85 | jb = j1 | jb = j2 |
| j2 > 0,85 |
| jb = 0,68 + 0,21j2 |
Bảng E.6 - Mômen quán tính xoắn
| Số hiệu thép I | It, cm4 | Số hiệu thép I | It, cm4 | Số hiệu thép I | It, cm4 |
| 10 12 14 16 18 18a 20 20a | 2,28 2,88 3,59 4,46 5,60 6,54 6,92 7,94 | 22 22a 24 24a 27 27a 30 30a | 8,60 9,77 11,10 12,80 13,60 16,70 17,40 20,30 | 33 36 40 45 50 55 60 | 23,8 31,4 40,6 54,7 75,4 100,0 135,0 |
Phụ lục F
(Qui định)
Bảng tính toán về mỏi
Bảng F.1 - Bảng phân nhóm cấu kiện để tính về bền mỏi
| Thứ tự | Sơ đồ cấu kiện và vị trí của tiết diện tính toán | Đặc điểm của cấu kiện | Nhóm cấu kiện |
| 1 |
| - Mép của thép cơ bản được cán hoặc gia công cơ khí - Mép của thép cơ bản được cắt bằng máy cắt hơi | 1
1 |
| 2 |
| Mép của thép cơ bản được gia công cơ khí, khi bán kính cong chuyển ở chỗ có chiều rộng khác nhau là: r = 200 mm; r = 10 mm. |
1 4 |
| 3 |
| Thép cơ bản trong liên kết bulông cường độ cao | 1 |
| 4 |
| Thép cơ bản trong liên kết bulông (bulông tinh), tiết diện khảo sát đi qua lỗ: a) Khi liên kết hai bản ghép b) Khi dùng liên kết chồng |
4 5 |
| 5 |
| Bản mã hình chữ nhật, hàn đối đầu hay hàn thẳng góc kiểu chữ T với cấu kiện, mép chuyển tiếp từ cấu kiện đến bản mã không được gia công cơ khí | 7 |
| 6 |
| Bản mã được hàn đối đầu hoặc kiểu chữ T với bản bụng, bản cánh dầm hoặc với thanh giàn khi a ≤ 45o | 4 |
| 7 |
| Bản mã hình chữ nhật hay hình thang, liên kết chồng với cánh dầm, thép ở chu vi đường hàn không gia công cơ khí | 7 |
| 8 |
| Đường hàn đối đầu không gia công mép; lực vuông góc với đường hàn; thép cơ bản có chiều rộng và dày như nhau | 2 |
| 9 |
| Đường hàn đối đầu không gia công mép; thép cơ bản có chiều rộng và dày khác nhau | 5 |
| 10 |
| Thép cơ bản bằng gia công cơ khí cho đường hàn dày lên được vát tại chỗ nối đối đầu: Khi các bản thép được nối có chiều dày và rộng như nhau Khi chiều dày và rộng khác nhau |
2 3 |
| 11 |
| Đường hàn đối đầu, khi hàn có bản lót ở dưới, lực vuông góc với đường hàn | 4 |
| 12 |
| Đường hàn đối đầu nối thép ống, khi hàn có đoạn ống lót ở trong | 4 |
| 13 |
| Liên kết đối đầu thép định hình | 4 |
| 14 |
| Tiết diện tổ hợp hàn chữ I, chữ T, hoặc các loại khác được hàn bằng các đường hàn dọc, lực tác dụng dọc theo đường hàn | 2 |
| 15 |
| Chi tiết phụ, được liên kết bằng đường hàn góc khi góc: a ≤ 45o a ≤ 90o |
4 7 |
| 16 |
| Thép cơ bản có đường hàn ngang, đường hàn hai phía, hàn thoải dần xuống thép cơ bản | 4 |
| 17 |
| Thép cơ bản của cánh dầm chịu kéo, các cấu kiện của giàn gần vách cứng, sườn cứng được liên kết bằng các đường hàn góc | 5 |
| 18 |
| Thép cơ bản ở chỗ chuyển tiếp với đường hàn góc đầu | 6 |
| 19 |
| Thép cơ bản trong liên kết dùng đường hàn góc bên (chỗ chuyển tiếp từ cấu kiện đến mút của đường hàn) khi: |
|
| a) Dùng hai đường hàn góc bên | 8 | ||
| b) Đường hàn góc bên và góc đầu | 7 | ||
| c) Khi truyền lực qua thép cơ bản | 7 | ||
| d) Chi tiết neo để giữ cáp | 8 | ||
| 20 |
| Thép cơ bản của các thanh xiên chịu kéo bằng thép ống khi tỉ số giữa chiều dày và đường kính ngoài của thanh cánh là: tm/dm ³ 1/14 1/20 ≤ tm/dm ≤ 1/14 |
7 8 |
| 21 |
| Thép cơ bản của thanh xiên chịu kéo bằng thép ống, khi tỉ số giữa đường kính của thanh xiên và thanh cánh dd / dm = 0,4 ¸ 0,7 và tỉ số giữa chiều dày với đường kính ngoài của thanh cánh: |
|
| tm/dm ³ 1/14 1/20 ≤ tm/dm ≤ 1/14 1/35 < tm/dm ≤ 1/20 | 6 7 8 |
Phụ lục G
(Qui định)
Các yêu cầu bổ sung khi tính toán giàn thép ống
G.1 Tỉ số giữa đường kính ống D và chiều dày ống t, (D/t), không được vượt quá:
Đối với thanh cánh: 30;
Đối với thanh xiên và thanh bụng: từ 80 đến 90.
G.2 Tỉ số giữa đường kính thanh xiên d và đường kính thanh cánh D không được nhỏ hơn 0,3 (d/D ³ 0,3) để tránh hiện tượng ép lõm thanh cánh.
G.3 Trục hình học của các thanh được lấy làm trục để định vị. Trong trường hợp không sử dụng hết khả năng chịu lực của thanh cánh cho phép trục có độ lệch tâm là 1/4 đường kính thanh cánh.
G.4 Khi hàn các thanh thép ống phải đảm bảo độ kín khít ở đầu ống để tránh hiện tượng xuất hiện ăn mòn mặt bên trong ống.
G.5 Để liên kết thanh xiên vào thanh cánh có nhiều biện pháp. Thông thường người ta dùng các biện pháp liên kết như Hình G.1.

a) Liên kết hàn không bản mã; b) Liên kết hàn có bản đệm cong
c,d) Liên kết hàn đầu ống đã đập bẹt; e,f) Liên kết hàn dùng bản mã
Hình G.1 - Các dạng liên kết thanh thép ống xiên vào thanh cánh
G.6 Ứng suất dọc theo chiều dài đường hàn phân bố không đều và phụ thuộc vào tỉ số các đường kính của các ống thép được hàn, chiều dày thành ống của thanh cánh, góc nghiêng của ống, các đặc trưng của vật liệu làm thép ống làm thanh cánh.
G.7 Độ bền đường hàn được kiểm tra theo điều kiện:
(G.1)
trong đó:
0,85 là hệ số điều kiện làm việc của đường hàn kể đến sự phân bố ứng suất không đều dọc đường hàn;
hf là chiều cao đường hàn;
lw là chiều dài đường hàn, được tính như sau:
(G.2)
Giá trị x phụ thuộc vào đường kính ống thép, cho trong Bảng G.1:
Bảng G.1 - Giá trị của hệ số x
| d/D | 0,2 | 0,5 | 0,6 | 0,7 | 0,75 | 0,8 | 0,85 | 0,9 | 0,95 | 1,0 |
| x | 1,0 | 1,01 | 1,02 | 1,03 | 1,04 | 1,05 | 1,06 | 1,08 | 1,12 | 1,22 |
G.8 Thành ống thanh cánh tại những vị trí tiếp xúc với thanh bụng hoặc tại những vị trí có các cấu kiện khác đè lên (xà gồ) cần được kiểm tra độ bền về uốn cục bộ theo các điều sau:
a) Các thanh thép ống chịu nén, nén uốn khi độ mảnh qui ước
phải thỏa mãn điều kiện:
(G.3)
Ngoài ra cần kiểm tra ổn định thành ống theo điều kiện:
(G.4)
trong đó:
s1 là ứng suất tính toán trong thành ống;
scr là ứng suất tới hạn, lấy bằng giá trị nhỏ hơn trong hai giá trị yf hoặc
(ở đây r là giá trị trung bình của bán kính ngoài và trong của ống, t là chiều dày ống).
Giá trị y và c được xác định tương ứng theo Bảng G.2 và G.3.
Bảng G.2 - Giá trị của hệ số y
| Giá trị f, MPa | Hệ số y khi | ||||||||
| 0 | 25 | 50 | 75 | 100 | 125 | 150 | 200 | 250 | |
| f ≤ 140 | 1,00 | 0,98 | 0,88 | 0,79 | 0,72 | 0,65 | 0,59 | 0,45 | 0,39 |
| f ³ 280 | 1,00 | 0,94 | 0,78 | 0,67 | 0,57 | 0,49 | 0,42 | 0,29 | - |
| CHÚ THÍCH: Giá trị của hệ số y khi 140 MPa ≤ f < 280 MPa và đối với các giá trị trung gian của r/t, được lấy nội suy tuyến tính. | |||||||||
Bảng G.3 - Giá trị của hệ số c
| Giá trị | ≤ 50 | 100 | 150 | 200 | 250 | 500 |
| Hệ số c | 0,30 | 0,22 | 0,20 | 0,18 | 0,16 | 0,12 |
| CHÚ THÍCH: Đối với các giá trị trung gian của r/t, hệ số c được lấy nội suy tuyến tính. | ||||||
Trong trường hợp nén lệch tâm có phương song song với đường sinh trục ống hay uốn thuần túy trong mặt phẳng tiết diện ngang mà ứng suất tiếp tại vị trí có mômen lớn nhất không vượt quá giá trị
, ứng suất scr1 phải được tăng lên bằng cách nhân với giá trị (
, với
là ứng suất nhỏ nhất (qui ước ứng suất kéo lấy dấu "_").
b) Không cần kiểm tra ổn định thanh thép ống không có đường hàn dọc nếu r/t không vượt quá giá trị
hoặc 35.
G.9 Khi chiều dày thanh cánh không đủ, có thể gia cường bằng các bản ốp cong. Các bản ốp cong này có thể được cắt từ những ống thép có cùng đường kính, hoặc được uốn từ thép tấm có chiều dày không nhỏ hơn chiều dày thanh cánh và không lớn hơn 2 lần chiều dày thanh cánh (Hình G.1, b).
G.10 Có thể dập bẹt đầu ống thép (chỉ được áp dụng đối với thép các bon thấp hoặc loại thép dẻo khác) (Hình G.1, c,d); trong một số trường hợp đặc biệt có thể hàn như Hình G.11, e, f.
G.11 Các ống thép có cùng đường kính được hàn với nhau trên ống lót bằng thép (Hình G.2, a). Tính toán kiểm tra chịu nén và kéo như sau:
(G.5)
trong đó Dtb là đường kính trung bình của ống thép có chiều dày nhỏ hơn; t là chiều dày thanh thép ống nhỏ hơn.

a) Liên kết hàn 2 ống lót và đường hàn thẳng
b) Liên kết hàn dùng ống lót và đường hàn xiên
c) Liên kết hàn 2 ống thép dùng bản cong ốp bên ngoài
d) Liên kết hàn 2 ống thép khác đường kính
e) Liên kết bùng bulông
Hình G.2 - Các dạng liên kết thanh thép ống xiên vào thanh cánh
Cường độ của mối hàn sẽ bằng cường độ của thép cơ bản nếu cường độ tính toán của thép hàn không nhỏ hơn cường độ tính toán của thép cơ bản (đối với thép không giảm cường độ do hàn). Trong trường hợp cường độ của thép hàn nhỏ hơn cường độ của thép cơ bản thì có thể dùng đường hàn xiên có ống đệm bên trong (Hình G.2, b)
Trong trường hợp không đảm bảo được liên kết đối đầu và cường độ của liên kết, liên kết các ống thép cùng đường kính có thể được thực hiện bằng hai ống thép tròn cuộn từ thép tấm hoặc được cắt ra từ ống có cùng hoặc đường kính lớn hơn một chút với thép ống cần hàn (Hình G.2,c)
Bản ốp cần được cắt theo đường cong để tăng chiều dài đường hàn đảm bảo cho cường độ mối hàn bằng cường độ thép cơ bản. Chiều dày ống lót bằng thép hoặc bản ốp và chiều cao đường hàn nên lấy bằng 20 % chiều dày các ống thép cần hàn.
Chiều dài đường hàn khi sử dụng bản ốp cong được tính theo công thức sau:
(G.6)
trong đó: a là chiều dài đường cong của bản ốp dọc theo trục ống thép; n là số lượng bản đệm cong bao quanh chu vi ống thép.
Liên kết hàn các ống thép chịu nén có đường kính khác nhau, hoặc liên kết tại những vị trí trục thanh bị gãy khúc có thể được thực hiện bằng cách dùng các bản mặt bích bịt đầu ống (Hình G.2, d).
Tại công trường cũng hay dùng liên kết bulông (Hình G.2, e).
Phụ lục H
(Tham khảo)
Bảng chuyển đổi đơn vị kỹ thuật cũ sang hệ đơn vị SI
| Đại lượng | Đơn vị kỹ thuật cũ | Hệ đơn vị SI | Quan hệ chuyển đổi | |
| Tên gọi | Ký hiệu | |||
| Lực | kG T (tấn) | Niutơn kilô Niutơn mega Niutơn | N kN MN | 1 kG = 9,81 N » 10 N 1 kN = 1000 N 1 T = 9,81 kN » 10 kN 1 MN = 1 000 000 N |
| Mômen | kGm Tm | Niutơn mét kilô Niutơn mét | Nm kNm | 1 kGm = 9,81 Nm » 10 Nm 1 Tm = 9,81 kNm » 10 kNm |
| Ứng suất; Cường độ; Môđun đàn hồi | kG/mm2 kG/cm2 T/m2 | Niutơn/mm2 Pascan Mêga Pascan | N/mm2 Pa MPa | 1 Pa = 1 N/m2 » 0,1 kG/m2 1 kPa = 1 000 Pa = 1 000 N/m2 = 100 kG/m2 1 MPa = 1 000 000 Pa = 1 000 kPa » 100 000 kG/m2 = 10 kG/cm2 1 MPa = 1 N/mm2 1 kG/mm2 = 9,81 N/mm2 1 kG/cm2 = 9,81 x 104 N/m2 » 0,1 MN/m2 = 0,1 MPa 1 kG/m2 = 9,81 N/m2 = 9,81 Pa » 10 N/m2 = 1 daN/m2 |
MỤC LỤC
Mục lục
Lời nói đầu
1. Phạm vi áp dụng
2. Tài liệu viện dẫn
3. Đơn vị đo và ký hiệu
4. Nguyên tắc chung
4.1 Các quy định chung
4.2 Các yêu cầu đối với thiết kế
5 Cơ sở thiết kế kết cấu thép
5.1 Nguyên tắc thiết kế
5.2 Tải trọng
5.3 Biến dạng cho phép của kết cấu
5.4 Hệ số điều kiện làm việc gc
6. Vật liệu của kết cấu và liên kết
6.1 Vật liệu thép dùng trong kết cấu
6.2 Vật liệu thép dùng trong liên kết
7. Tính toán các cấu kiện
7.1 Cấu kiện chịu kéo đúng tâm
7.2 Cấu kiện chịu uốn
7.3 Cấu kiện chịu nén đúng tâm
7.4 Cấu kiện chịu nén uốn, kéo uốn
7.5 Chiều dài tính toán của các cấu kiện chịu nén và nén uốn
7.6 Ổn định cục bộ của các cấu kiện có tấm mỏng
7.7 Kết cấu thép tấm
8. Tính toán liên kết
8.1 Liên kết hàn
8.2 Liên kết bu lông
8.3 Liên kết bu lông cường độ cao
9. Tính toán kết cấu thép theo độ bền mỏi
10. Các yêu cầu kỹ thuật và cấu tạo khác khi thiết kế cấu kiện kết cấu thép
10.1 Dầm
10.2 Cột
10.3 Giàn phẳng và hệ thanh không gian
10.4 Hệ giằng
10.5 Dầm cầu trục
10.6 Liên kết
10.7 Các yêu cầu bổ sung khi thiết kế dầm có lỗ
11. Các yêu cầu kỹ thuật và cấu tạo khác khi thiết kế nhà và công trình
11.1 Nhà công nghiệp
11.2 Nhà khung thấp tầng
11.3 Kết cấu thép tầm
11.4 Kết cầu tháp, trụ
11.5 Cột đường dây tải điện
Phụ lục A (Quy định) Vật liệu dùng cho kết cấu thép và cường độ tính toán
Phụ lục B (Quy định) Vật liệu dùng cho liên kết kết cấu thép
Phụ lục C (Quy định) Các hệ số để tính độ bền của các cấu kiện
Phụ lục D (Quy định) Các hệ số để tính toán ổn định của cấu kiện chịu nén đúng tâm, nén lệch tâm và nén uốn
Phụ lục E (Quy định) Hệ số jb để tính ổn định của dầm
Phụ lục F (Quy định) Bảng tính toán về mỏi
Phụ lục G (Quy định) Các yêu cầu bổ sung khi tính toán giàn thép ống
Phụ lục H (Tham khảo) Bảng chuyển đổi đơn vị kỹ thuật cũ sang hệ đơn vị SI
Bạn chưa Đăng nhập thành viên.
Đây là tiện ích dành cho tài khoản thành viên. Vui lòng Đăng nhập để xem chi tiết. Nếu chưa có tài khoản, vui lòng Đăng ký tại đây!


(17)
(18)
(19)










là độ mảnh lớn nhất của thanh;
là độ mảnh của từng nhánh đối với các trục 1-1, 2-2, 3-3, tương ứng với chiều dài nhánh lf, đối với cột hàn là khoảng cách giữa các mép gần nhau của hai bản giằng liên tiếp (Hình 5.a), đối với cột bulông là khoảng cách giữa trọng tâm của hai bulông ngoài cùng của hai bản giằng liên tiếp (Hình 5.b);
, trong đó: a, b, l lấy theo Hình 4;
< 4
³ 4















(51)


(52)








và 
< 2,0
³ 2,0
nhưng không lớn hơn 
< 1,0
³ 1,0
; nhưng không lớn hơn 
< 0,8
³ 0,8
; nhưng không lớn hơn 
1 < 2,0
1 ³ 2,0
; nhưng không lớn hơn 
là độ mảnh qui ước khi tính toán ổn định của cột chịu nén đúng tâm;
là độ mảnh qui ước khi tính toán ổn định trong mặt phẳng tác dụng của mômen;



giá trị [bo/tf] lấy như sau:
;
;





(105)
(106)
(107)
(108)
(109)
(110)
(111)
(112)




























≤ 5
³ 5






































































bằng