- Tổng quan
- Nội dung
- Tiêu chuẩn liên quan
- Lược đồ
- Tải về
Tiêu chuẩn Quốc gia TCVN 10586:2014 ISO 1172:1996 Chất dẻo gia cường sợi thủy tinh dệt - Prepreg, hợp chất đúc và tấm nhiều lớp (laminate)-Xác định hàm lượng sợi thủy tinh dệt và chất độn-Phương pháp nung
| Số hiệu: | TCVN 10586:2014 | Loại văn bản: | Tiêu chuẩn Việt Nam |
| Cơ quan ban hành: | Bộ Khoa học và Công nghệ | Lĩnh vực: | Công nghiệp |
|
Ngày ban hành:
Ngày ban hành là ngày, tháng, năm văn bản được thông qua hoặc ký ban hành.
|
2014 |
Hiệu lực:
|
Đã biết
|
| Người ký: | Đang cập nhật |
Tình trạng hiệu lực:
Cho biết trạng thái hiệu lực của văn bản đang tra cứu: Chưa áp dụng, Còn hiệu lực, Hết hiệu lực, Hết hiệu lực 1 phần; Đã sửa đổi, Đính chính hay Không còn phù hợp,...
|
Đã biết
|
TÓM TẮT TIÊU CHUẨN VIỆT NAM TCVN 10586:2014
Nội dung tóm tắt đang được cập nhật, Quý khách vui lòng quay lại sau!
Tải tiêu chuẩn Việt Nam TCVN 10586:2014
TIÊU CHUẨN QUỐC GIA
TCVN 10586:2014
ISO 1172:1996
CHẤT DẺO GIA CƯỜNG SỢI THỦY TINH DỆT – PREPREG, HỢP CHẤT ĐÚC VÀ TẤM NHIỀU LỚP (LAMINATE) – XÁC ĐỊNH HÀM LƯỢNG SỢI THỦY TINH DỆT VÀ CHẤT ĐỘN – PHƯƠNG PHÁP NUNG
Textile-glass-reinforced plastics - Prepregs, moulding compounds and laminates - Determination of the textile-glass and mineral-filler content - Calcination methods
Lời nói đầu
TCVN 10586:2014 hoàn toàn tương đương với ISO 1172:1996. ISO 1172:1996 đã được rà soát và phê duyệt lại vào năm 2011 với bố cục và nội dung không thay đổi.
TCVN 10586:2014 do Tiểu ban kỹ thuật Tiêu chuẩn quốc gia TCVN/TC61/SC13 Composite và sợi gia cường biên soạn, Tổng cục Tiêu chuẩn Đo lường Chất lượng đề nghị, Bộ Khoa học và Công nghệ công bố.
CHẤT DẺO GIA CƯỜNG SỢI THỦY TINH DỆT – PREPREG, HỢP CHẤT ĐÚC VÀ TẤM NHIỀU LỚP (LAMINATE) – XÁC ĐỊNH HÀM LƯỢNG SỢI THỦY TINH DỆT VÀ CHẤT ĐỘN – PHƯƠNG PHÁP NUNG
Textile-glass-reinforced plastics - Prepregs, moulding compounds and laminates - Determination of the textile-glass and mineral-filler content - Calcination methods
CẢNH BÁO Tiêu chuẩn này không đưa ra các phòng ngừa cần thiết đối với các yêu cầu về an toàn và sức khỏe. Các phương pháp được mô tả trong tiêu chuẩn có sử dụng nhiệt độ cao và axit đậm đặc. Trách nhiệm của người sử dụng tiêu chuẩn này phải tuân theo các quy định phù hợp về an toàn và sức khỏe.
1. Phạm vi áp dụng
Tiêu chuẩn này quy định hai phương pháp nung dùng để xác định hàm lượng sợi thủy tinh dệt và hàm lượng chất độn của chất dẻo gia cường sợi thủy tinh:
Phương pháp A: xác định hàm lượng sợi thủy tinh dệt khi không có chất độn.
Phương pháp B: xác định hàm lượng sợi thủy tinh dệt và chất độn khi có cả hai thành phần này.
Tiêu chuẩn này áp dụng được cho các loại vật liệu sau đây:
- prepreg làm từ sợi, roving, băng hoặc vải;
- hợp chất đúc SMC, BMC và DMC;
- các hạt và vật liệu đúc nhiệt dẻo gia cường sợi thủy tinh dệt;
- tấm nhiều lớp sợi thủy tinh dệt, có độn hoặc không độn trên nền nhựa nhiệt rắn hoặc nhựa nhiệt dẻo. Phương pháp này không áp dụng cho các loại chất dẻo gia cường sau:
- các chất có chứa vật liệu gia cường không phải là sợi thủy tinh dệt;
- các chất có chứa vật liệu không bị cháy hoàn toàn ở nhiệt độ thử (ví dụ, các chất trên nền nhựa silicon);
- các chất có chứa chất độn bị phân hủy ở nhiệt độ thấp hơn nhiệt độ nung tối thiểu.
Đối với các vật liệu này có thể sử dụng TCVN 9565 (ISO 11667), Chất dẻo gia cường sợi – Hợp chất đúc và prepreg – Xác định hàm lượng nhựa, sợi gia cường và chất độn – Phương pháp hòa tan.
2. Tài liệu viện dẫn
Các tài liệu viện dẫn sau rất cần thiết cho việc áp dụng tiêu chuẩn này. Đối với các tài liệu viện dẫn ghi năm công bố thì áp dụng bản được nêu. Đối với các tài liệu viện dẫn không ghi năm công bố thì áp dụng phiên bản mới nhất, bao gồm cả các sửa đổi.
ISO 472:1988, Plastics - Vocabulary (Chất dẻo - Từ vựng).
ISO 4793:1980, Laboratory sintered (fritted) filters - Porosity grading, classification and designation (Phễu lọc thủy tinh xốp trong phòng thí nghiệm - Cỡ lỗ xốp, phân loại và ký hiệu).
ISO 8604:1988, Plastics - Prepregs - Definition of terms and symbols for designations (Chất dẻo - Prepreg - Định nghĩa các thuật ngữ và ký hiệu).
3. Thuật ngữ và định nghĩa
Trong tiêu chuẩn này, áp dụng các thuật ngữ và định nghĩa được nêu trong ISO 472 và ISO 8604.
4. Nguyên tắc
Mẫu thử được cân và nung ở nhiệt độ xác định. Sau đó, mẫu thử được cân lại và hàm lượng các chất không bị cháy (thủy tinh + chất độn) được xác định từ chênh lệch khối lượng của mẫu thử trước và sau khi nung theo một trong các cách dưới đây:
a) Trong trường hợp vật liệu không chứa chất độn, hàm lượng sợi thủy tinh được tính toán trực tiếp từ chênh lệch khối lượng (phương pháp A);
b) Trong trường hợp vật liệu có chứa cả sợi thủy tinh và chất độn thì sợi thủy tinh và chất độn còn lại sau khi nung được tách riêng bằng cách hoà tan chất độn trong axit clohydric. Chênh lệch giữa khối lượng mẫu thử trước khi nung và khối lượng mẫu thử khô sau khi phản ứng với axit được sử dụng để tính hàm lượng sợi thủy tinh. Hàm lượng chất độn được xác định bằng cách tính toán chênh lệch khối lượng mẫu thử sau khi nung và khối lượng mẫu thử khô sau khi phản ứng với axit (phương pháp B).
Phương pháp này yêu cầu tất cả các khối lượng phải là khối lượng không đổi sau khi nung và/hoặc sấy khô lặp đi lặp lại. Trong các trường hợp này khi các vật liệu đã biết được thử thường xuyên thì thời gian tối thiểu để nung và sấy khô có thể được xác định từ thực nghiệm để đảm bảo đạt được khối lượng không đổi.
CHÚ THÍCH
1. Nếu vật liệu được thử chứa nhựa bị cháy dưới điều kiện thử và/hoặc chất độn không bị phân hủy bởi quá trình nung thì tổn thất khi cháy tương đương với hàm lượng nhựa. Cần lưu ý rằng hàm lượng nhựa được tính toán theo cách này bao gồm cả phần bị cháy của các chất khác có trong thành phần (như chất xử lý sợi thủy tinh, pigment, v.v...) nhưng giá trị này thường nhỏ so với hàm lượng nhựa.
2. Trong các trường hợp có chất độn bị phân hủy ở nhiệt độ thử thì không thể xác định được chính xác hàm lượng sợi thủy tinh, nhựa hoặc chất độn.
5. Lấy mẫu
5.1. Việc xác định hàm lượng sợi thủy tinh và chất độn phải được thực hiện song song trên hai mẫu thử càng giống nhau càng tốt. Kết quả thử là giá trị trung bình cộng của các giá trị xác định trên hai mẫu thử, miễn là chênh lệch giữa hai giá trị này phải nhỏ hơn 5 %. Nếu không được như vậy, phải thử mẫu thứ ba, càng giống hai mẫu kia càng tốt. Ba giá trị này sau đó được sử dụng để tính toán kết quả thử.
5.2 Để thực hiện một thử nghiệm đánh giá mà kết quả đại diện cho hàm lượng chất độn và sợi thủy tinh của đơn vị cơ sở hoặc mẫu phòng thí nghiệm, cần phải lặp lại quy trình thử này một vài lần ở các vị trí nhất định của đơn vị cơ sở được kiểm tra. Số lần thử và vị trí thực tế phải được đưa ra trong yêu cầu của sản phẩm hoặc bởi người yêu cầu phân tích. Trong trường hợp thứ hai, số lượng và vị trí sẽ được quyết định theo kinh nghiệm hoặc theo kết quả của lần thử nghiệm trước.
5.3 Đối với tất cả các phép thử ngoài các phép thử trên đơn vị cơ sở, lấy các mẫu thử đại diện cho vật liệu được thử tùy theo điều kiện cho phép.
6. Chuẩn bị mẫu thử
Mẫu thử phải đại diện đầy đủ cho mẫu hoặc lô được kiểm tra. Mẫu thử phải được lấy theo Điều 5.
Trừ khi có quy định khác, mẫu thử nên được cắt theo hình dạng sao cho có thể để vừa trong thuyền silica hoặc chén sứ.
Khối lượng của mỗi mẫu phải nằm trong khoảng
từ 2 g đến 20 g đối với prepreg và hợp chất đúc;
từ 2g đến 10 g đối với tấm nhiều lớp.
Đối với từng kết quả thử, sử dụng tối thiểu hai mẫu thử (xem 5.1).
Trong trường hợp prepreg và hợp chất đúc có chứa dung môi hoặc monome tự do, phải tránh làm mất các chất bay hơi. Đối với SMC, không được lấy màng chống dính bảo vệ ra khỏi mẫu phòng thí nghiệm hoặc mẫu thử cho đến ngay trước khi bắt đầu phép thử. Tất cả các mẫu phòng thí nghiệm prepreg và hợp chất đúc, bao gồm cả SMC phải được bọc trong túi nhựa kín khí ngay sau khi được lấy.
7. Xác định
Việc lựa chọn phương pháp xác định hàm lượng sợi thủy tinh và chất độn tùy thuộc vào việc có hoặc không có chất độn. Các phương pháp được mô tả trong tiêu chuẩn này gồm
Phương pháp A: xác định hàm lượng sợi thủy tinh khi không có chất độn.
Phương pháp B: xác định hàm lượng sợi thủy tinh và chất độn khi có cả hai thành phần này.
7.1. Phương pháp A
7.1.1. Thuốc thử
Không có yêu cầu về thuốc thử đối với phương pháp A.
7.1.2. Thiết bị, dụng cụ
Sử dụng thiết bị, dụng cụ thí nghiệm thông thường và các thiết bị, dụng cụ sau:
7.1.2.1. Cân phân tích, có độ chính xác đến 0,1 mg.
7.1.2.2. Thuyền silica hoặc chén sứ có kích thước phù hợp để chứa mẫu thử.
7.1.2.3. Lò Muffle, được đặt dưới chụp hút thông gió và có khả năng duy trì ở nhiệt độ lựa chọn (xem 7.1.3.2) trong khoảng ± 20 oC.
7.1.2.4. Bình hút ẩm, chứa chất làm khô thích hợp (ví dụ silica gel).
7.1.2.5. Tủ sấy thông gió, đặt ở nhiệt độ 105 oC ± 3 oC.
7.1.3. Cách tiến hành
Đối với từng mẫu, tiến hành như sau:
7.1.3.1. Chuẩn bị thuyền hoặc chén
Cân thuyền hoặc chén khô sạch (7.1.2.2) chính xác đến 0,1 mg bằng cân phân tích (7.1.2.1). Cho thuyền hoặc chén vào lò muffle (7.1.2.3) đã được đặt ở nhiệt độ lựa chọn (xem 7.1.3.2) và để trong 10 min. Sau khi làm nguội đến nhiệt độ môi trường trong bình hút ẩm (7.1.2.4), kiểm tra xem khối lượng có không đổi hay không. Nếu có thay đổi, lặp lại các bước này cho đến khi đạt được khối lượng không đổi.
7.1.3.2. Nung
Cân thuyền hoặc chén khô sạch đã được chuẩn bị theo 7.1.3.1. Ghi lại khối lượng này, tính theo gam là m1.
Cho mẫu thử vào trong thuyền hoặc chén và sấy trong tủ sấy thông gió (7.1.2.5) ở nhiệt độ 105 oC đến khối lượng không đổi.
Làm nguội đến nhiệt độ môi trường trong bình hút ẩm và cân lại. Ghi lại khối lượng này, tính theo gam là m2.
Trong trường hợp mẫu chứa chất bay hơi, cẩn thận để tránh làm mất chất bay hơi. Bỏ qua công đoạn sấy khô. Lấy mẫu thử từ túi kín khí và bóc màng chống dính. Cho mẫu vào thuyền hoặc chén, cân và ghi lại khối lượng này, tính theo gam là m6.
Đặt thuyền hoặc chén có chứa mẫu thử vào trong lò muffle đã được gia nhiệt trước đến 625 oC và nung đến khối lượng không đổi.
Đối với sản phẩm gia cường có sợi thủy tinh hoặc chất độn không chịu được ở nhiệt độ nung này thì có thể sử dụng nhiệt độ từ 500 oC đến 600 oC, phù hợp với yêu cầu kỹ thuật của sợi thủy tinh hoặc chất độn. Cần thiết phải duy trì nhiệt độ đã chọn không đổi trong khoảng ± 20 oC.
Cho thuyền hoặc chén cùng với phần cặn nguội đến nhiệt độ môi trường trong bình hút ẩm và cân lại. Ghi lại khối lượng này, tính theo gam là m3.
7.1.4 Biểu thị kết quả
Đối với từng mẫu thử, tính hàm lượng sợi thủy tinh, Mglass, biểu thị bằng phần trăm so với khối lượng ban đầu, theo công thức (1):
Mglass =
x 100 (1)
trong đó
m1 là khối lượng ban đầu của thuyền hoặc chén khô, tính bằng gam;
m2 khối lượng ban đầu của thuyền hoặc chén khô có mẫu thử khô, tính bằng gam;
m3 là khối lượng cuối của thuyền hoặc chén có cặn sau khi nung, tính bằng gam.
Trong trường hợp các mẫu thử có chứa chất bay hơi và khi giai đoạn sấy khô được bỏ qua, thay m2 trong công thức (1) bằng m6 , trong đó m6 là khối lượng ban đầu của thuyền hoặc chén khô có mẫu thử chưa khô, tính bằng gam.
Nếu các kết quả của các lần xác định riêng rẽ khác nhau quá 5 % giá trị tương đối, tiến hành xác định thêm mẫu thứ ba lấy từ cùng vị trí trong đơn vị cơ sở hoặc mẫu phòng thí nghiệm.
Biểu thị kết qủa thử là giá trị trung bình cộng của hai (hoặc ba) lần xác định riêng rẽ.
7.2. Phương pháp B
7.2.1. Thuốc thử
Các thuốc thử sau được yêu cầu đối với phương pháp B.
7.2.1.1. Axit clohydric, nồng độ 35 % (V/V), loại thương phẩm.
7.2.1.2. Etanol.
7.2.1.3. Hỗn hợp axit cromic, để làm sạch.
Thành phần khuyến nghị của hỗn hợp này là 7 % natri dicromat trong axit sunphuric đậm đặc.
7.2.2. Thiết bị, dụng cụ
Sử dụng thiết bị, dụng cụ cho trong 7.1.2 và các thiết bị, dụng cụ sau:
7.2.2.1. Phễu lọc thủy tinh xốp đường kính 40 mm, cỡ lỗ xốp P 160, nghĩa là từ 100 mm đến 160 mm (xem ISO 4793).
7.2.2.2. Cốc có mỏ, dung tích 250 ml.
7.2.2.3. Bình hút.
7.2.2.4. Đũa thủy tinh.
7.2.2.5. Kẹp.
7.2.3. Cách tiến hành
Đối với từng mẫu thử tiến hành như sau:
7.2.3.1. Chuẩn bị thuyền hoặc chén
Theo quy trình nêu trong 7.1.3.1.
7.2.3.2. Chuẩn bị phễu lọc thủy tinh
Trước mỗi phép thử, làm sạch phễu lọc thủy tinh xốp (7.2.2.1) bằng cách ngâm trong hỗn hợp axit cromic (7.2.1.3). Đặt phễu trên bình hút (7.2.2.3) và hút, tráng rửa phễu lần đầu tiên bằng nước ấm, sau đó bằng etanol (7.2.1.2). Sấy khô phễu trong tủ sấy (7.1.2.5) đến khối lượng không đổi. Ghi lại khối lượng này, tính theo gam là m4.
7.2.3.3. Nung
Theo quy trình nêu trong 7.1.3.2.
7.2.3.4. Tách riêng sợi thủy tinh và chất độn khi chất độn tan hoàn toàn trong axit clohydric
Tách riêng chất độn khỏi sợi thủy tinh như sau:
Cho 5 ml axit clohydric (7.2.1.1) vào cốc có mỏ 250 ml (7.2.2.2) trên một gam cặn còn lại trong thuyền hoặc chén sau khi nung.
Sử dụng đũa thủy tinh, cho từ từ cặn trong thuyền hoặc chén vào axit trong cốc. Khuấy cẩn thận để đảm bảo tất cả cặn phản ứng với axit này và cẩn thận để hiện tượng sôi sục xảy ra do axit phản ứng với chất độn cacbonat không tạo thành các giọt bắn ra khỏi cốc.
Khi hiện tượng sôi sục này kết thúc, đổ nước đến ba phần tư thuyền hoặc chén và đổ hết vào cốc 250 ml, lặp lại nếu cần cho đến khi chuyển hết cặn vào trong cốc.
Cho thêm 50 ml nước vào trong cốc.
Đặt phễu lọc, đã khô và được cân theo 7.2.3.2 lên trên bình hút và hút.
Đổ từ từ axit ở phía trên sợi thủy tinh vào phễu lọc.
Rửa sợi thủy tinh ở trong cốc bằng nước và đổ nước vào phễu lọc; sau đó tráng bằng cồn, khuấy bằng đũa thủy tinh và đổ cồn lên phễu lọc.
Lặp lại thao tác này bốn đến năm lần cho đến khi sợi thủy tinh sạch hoàn toàn. Chuyển sợi thủy tinh lên phễu lọc bằng đũa thủy tinh và bằng tia etanol.
Tráng hai lần bằng etanol.
Sấy khô phễu lọc đến khối lượng không đổi trong tủ sấy.
Để nguội trong bình hút ẩm đến nhiệt độ môi trường và cân. Ghi lại khối lượng này, tính theo gam là m5
Nếu sợi dài hơn 12 mm, có thể sử dụng quy trình mô tả trong Phụ lục A. Tuy nhiên, quy trình nêu trong 7.2.3.4 luôn được sử dụng là phương pháp chuẩn.
7.2.3.5. Tách riêng sợi thủy tinh và chất độn khi chất độn không tan hoàn toàn trong axit clohydric
Nếu chất độn không tan trong axit clohydric còn lại trên phễu lọc, xác định khối lượng m5 như mô tả trong 7.2.3.4, tiếp tục như sau:
Sử dụng kẹp (7.2.2.5) gắp tất cả sợi thủy tinh ra khỏi phễu lọc. Cân lại phễu lọc có chất độn không hòa tan trong đó. Ghi lại khối lượng này, tính theo gam là m7.
CHÚ THÍCH Nếu sợi đơn thủy tinh rất ngắn, khó có thể tách chúng ra khỏi chất độn bằng phương pháp thủ công. Trong trường hợp này, phương pháp nêu trong tiêu chuẩn không đưa ra được các giá trị chính xác về hàm lượng sợi thủy tinh và chất độn riêng biệt mặc dù có thể xác định hàm lượng tổng của chúng.
7.2.4. Biểu thị kết quả
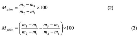
Đối với từng mẫu thử, tính hàm lượng sợi thủy tinh Mglass và hàm lượng chất độn, Mfiller, biểu thị bằng phần trăm khối lượng ban đầu, tương ứng theo công thức (2) và (3):

Trong đó
m1 là khối lượng ban đầu của thuyền hoặc chén khô, tính bằng gam;
m2 khối lượng ban đầu của thuyền hoặc chén khô có mẫu thử khô, tính bằng gam;
m3 là khối lượng cuối của thuyền hoặc chén có cặn sau khi nung, tính bằng gam;
m4 là khối lượng của phễu lọc khô, tính bằng gam;
m5 là khối lượng của phễu lọc có chất sau phản ứng của cặn với axit, tính bằng gam.
Trong trường hợp hợp chất đúc có chứa chất bay hơi và khi giai đoạn sấy khô được bỏ qua, thay m2 trong công thức này bằng m6 , trong đó m6 là khối lượng ban đầu của thuyền hoặc chén khô có mẫu thử chưa khô, tính bằng gam.
Nếu chất độn không hòa tan trong axit clohydric còn lại trên phễu lọc, thay m4 trong công thức (2) và (3) bằng m7 , trong đó m7 là khối lượng phễu lọc khô có chất độn chưa hòa tan, tính bằng gam.
Nếu các kết quả của các lần xác định riêng rẽ khác nhau quá 5 % giá trị tương đối, tiến hành xác định thêm mẫu thứ ba lấy từ cùng vị trí trong đơn vị cơ sở hoặc mẫu phòng thí nghiệm.
Biểu thị kết qủa thử là giá trị trung bình cộng của hai (hoặc ba) lần xác định riêng rẽ.
8. Độ chụm
Độ chụm của phép thử này chưa biết vì chưa có số liệu thử nghiệm liên phòng.
CHÚ THÍCH Thử nghiệm liên phòng sẽ bao gồm việc nghiên cứu độ chụm tương đối của quy trình được nêu trong 7.2.3.4 và quy trình nêu trong Phụ lục A.
9. Báo cáo thử nghiệm
Báo cáo thử nghiệm phải bao gồm các nội dung sau:
a) Viện dẫn tiêu chuẩn này;
b) Sử dụng phương pháp A hay phương pháp B;
c) Tất cả các chi tiết cần thiết để nhận biết hoàn toàn vật liệu được thử;
d) Phương pháp lấy mẫu được sử dụng;
e) Số lượng mẫu thử được thử;
f) Kích thước và/hoặc khối lượng của mẫu thử;
g) Nhiệt độ nung, nếu khác nhiệt độ 625 oC ± 20 oC;
h) Kết quả thử đối với hàm lượng sợi thủy tinh dệt;
i) Kết quả thử đối với hàm lượng chất độn nếu sử dụng phương pháp B;
j) Ngày thử;
k) Chi tiết hiện tượng bất kỳ xảy ra làm ảnh hưởng đến kết quả thử, đặc biệt như:
1) Sự có mặt của chất độn không tan,
2) Khó khăn của việc tách thủ công sợi thủy tinh dệt và chất độn không tan.
PHỤ LỤC A
(tham khảo)
Phương pháp khác thay thế để tách riêng sợi thủy tinh cắt ngắn ra khỏi chất độn
Có thể sử dụng phương pháp sau nếu vật liệu thử có chứa sợi cắt ngắn, có chiều dài ít nhất 12 mm.
Sử dụng một túi bằng vải dệt thô giống như vải màn chống muỗi, rộng khoảng 15 cm và dài khoảng 16 cm (đo khi túi được đặt phẳng).
Vải màn này được làm bằng sợi phủ PVC với mật độ sợi là 7 sợi/centimét.
Sau khi nung, cân tại nhiệt độ môi trường.
Đặt mẫu thử vào trong túi làm bằng vải màn.
Cho túi vào cốc có chứa axit clohydric, giữ túi thẳng đứng trong cốc.
Khi hiện tượng sôi sục gần như hết, lấy túi ra và đặt vào trong một cốc khác chứa axit mới (axit clohydric có thể được sử dụng cho vài lần xác định).
Khi hiện tượng sôi sục kết thúc, rửa túi bằng nước vòi cho đến khi mẫu trắng hoàn toàn.
Lấy mẫu thử ra khỏi túi, vắt và kiểm tra bằng mắt xem tất cả chất độn đã được loại bỏ chưa.
Sấy mẫu thử ở nhiệt độ 105 oC trong 30 min.
Bạn chưa Đăng nhập thành viên.
Đây là tiện ích dành cho tài khoản thành viên. Vui lòng Đăng nhập để xem chi tiết. Nếu chưa có tài khoản, vui lòng Đăng ký tại đây!