- Tổng quan
- Nội dung
- Tiêu chuẩn liên quan
- Lược đồ
- Tải về
Tiêu chuẩn TCVN 13523-4:2024 Thử nghiệm phản ứng với lửa - Tính lan truyền lửa - Phần 4: Thử nghiệm tính lan truyền lửa theo phương đứng trên mô hình tỉ lệ trung bình của mẫu thử đặt thẳng đứng
| Số hiệu: | TCVN 13523-4:2024 | Loại văn bản: | Tiêu chuẩn Việt Nam |
| Cơ quan ban hành: | Đang cập nhật | Lĩnh vực: | Xây dựng , Công nghiệp |
| Trích yếu: | ISO 5658-4:2001 Thử nghiệm phản ứng với lửa - Tính lan truyền lửa - Phần 4: Thử nghiệm tính lan truyền lửa theo phương đứng trên mô hình tỉ lệ trung bình của mẫu thử đặt thẳng đứng | ||
|
Ngày ban hành:
Ngày ban hành là ngày, tháng, năm văn bản được thông qua hoặc ký ban hành.
|
24/12/2024 |
Hiệu lực:
|
Đã biết
|
| Người ký: | Đang cập nhật |
Tình trạng hiệu lực:
Cho biết trạng thái hiệu lực của văn bản đang tra cứu: Chưa áp dụng, Còn hiệu lực, Hết hiệu lực, Hết hiệu lực 1 phần; Đã sửa đổi, Đính chính hay Không còn phù hợp,...
|
Đã biết
|
TÓM TẮT TIÊU CHUẨN VIỆT NAM TCVN 13523-4:2024
TCVN 13523-4:2024: Thử nghiệm tính lan truyền lửa theo phương đứng
Tiêu chuẩn quốc gia TCVN 13523-4:2024 (ISO 5658-4:2001) đã được ban hành bởi Bộ Xây dựng, có hiệu lực từ năm 2024. Tiêu chuẩn này quy định phương pháp thử nghiệm lan truyền lửa theo phương đứng trên mẫu thử lắp đặt thẳng đứng nhằm đo lường sự lan truyền của ngọn lửa. Nó là một phần trong bộ tiêu chuẩn TCVN 13523 về phản ứng với lửa, được xây dựng để đảm bảo an toàn trong lĩnh vực xây dựng.
Tiêu chuẩn quy định rõ rằng việc thử nghiệm sẽ đánh giá sự lan truyền ngọn lửa theo cả hai phương dọc và ngang. Điều này có ý nghĩa quan trọng trong việc so sánh tính năng của vật liệu, giúp các kỹ sư và nhà thầu xây dựng xác định được ưu và nhược điểm của vật liệu khi xảy ra sự cố cháy nổ. Việc này đặc biệt cần thiết để đảm bảo an toàn cho đời sống của người dân cũng như các công trình xây dựng.
Tiêu chuẩn áp dụng cho việc đo và mô tả đặc tính của các loại vật liệu và sản phẩm khi đối diện với bức xạ nhiệt mà không có ngọn lửa mồi. Cụ thể, điều này có thể từ việc bắt cháy từ những nguồn nhiệt như thùng rác hoặc ghế bọc, mà không cần có ngọn lửa sẵn có. Thông điệp quan trọng ở đây là các vật liệu này cần được đánh giá một cách chính xác để quyết định tính phù hợp của chúng trong xây dựng.
Về cấu tạo mẫu thử, tiêu chuẩn yêu cầu mẫu có kích thước chiều dài 1.525 mm và chiều rộng 1.025 mm với chiều dày tương ứng với sản phẩm thực tế. Đặc biệt, cần có ít nhất ba mẫu thử cho mỗi loại bề mặt lộ lửa nhằm đảm bảo tính chính xác và đáng tin cậy trong kết quả thử nghiệm.
Bên cạnh đó, tiêu chuẩn cung cấp hướng dẫn rõ ràng về quá trình ổn định mẫu thử, yêu cầu mẫu phải được đặt trong điều kiện nhiệt độ và độ ẩm cụ thể trước khi thử nghiệm. Điều này đảm bảo mẫu thử có độ tin cậy và chính xác cao nhất khi tiến hành thử nghiệm.
Tài liệu tham khảo tại tiêu chuẩn cũng bao gồm một số tiêu chuẩn quốc tế khác, giúp nâng cao tính đồng bộ và chuẩn hóa trong quy trình thử nghiệm. Những yếu tố này không chỉ tăng cường độ tin cậy của kết quả thử nghiệm mà còn giúp các sản phẩm có sự tương thích tốt nhất với nhu cầu sử dụng thực tế.
Tóm lại, TCVN 13523-4:2024 cung cấp một khuôn khổ cần thiết cho việc thử nghiệm và đánh giá tính lan truyền của ngọn lửa trên các vật liệu xây dựng, góp phần quan trọng trong công tác đảm bảo an toàn phòng cháy chữa cháy tại các công trình xây dựng.
Tải tiêu chuẩn Việt Nam TCVN 13523-4:2024
TIÊU CHUẨN QUỐC GIA
TCVN 13523-4:2024
(ISO 5658-4:2001)
THỬ NGHIỆM PHẢN ỨNG VỚI LỬA - TÍNH LAN TRUYỀN LỬA - PHẦN 4: THỬ NGHIỆM TÍNH LAN TRUYỀN LỬA THEO PHƯƠNG ĐỨNG TRÊN MÔ HÌNH TỶ LỆ TRUNG BÌNH CỦA MẪU THỬ ĐẶT THẲNG ĐỨNG
Reaction to fire tests - Spread of flame - Part 4: Intermediate-scale test of vertical spread of flame with vertically oriented specimen
Lời nói đầu
TCVN 13523-4:2024 hoàn toàn tương đương ISO 5658-4:2001.
TCVN 13523-4:2024 do Viện Khoa học Công nghệ Xây dựng - Bộ xây dựng biên soạn, Bộ Xây dựng đề nghị, Tổng cục Tiêu chuẩn Đo lường Chất lượng thẩm định, Bộ Khoa học và Công nghệ công bố.
Bộ TCVN 13523, Thử nghiệm phản ứng với lửa - Tính lan truyền lửa gồm các phần sau:
- Phần 2: Tính lan truyền lửa theo phương ngang trên sản phẩm xây dựng và giao thông đặt thẳng đứng;
- Phần 4: Thử nghiệm tính lan truyền lửa theo phương đứng trên mô hình tỷ lệ trung bình của mẫu thử đặt thẳng đứng.
THỬ NGHIỆM PHẢN ỨNG VỚI LỬA - TÍNH LAN TRUYỀN LỬA - PHẦN 4: THỬ NGHIỆM TÍNH LAN TRUYỀN LỬA THEO PHƯƠNG ĐỨNG TRÊN MÔ HÌNH TỶ LỆ TRUNG BÌNH CỦA MẪU THỬ ĐẶT THẲNG ĐỨNG
Reaction to fire tests - Spread of flame - Part 4: Intermediate-scale test of vertical spread of flame with vertically oriented specimen
1 Phạm vi áp dụng
1.1 Tiêu chuẩn này quy định phương pháp thử nghiệm trên mô hình tỷ lệ trung bình để đo sự lan truyền (lên phía trên hoặc xuống phía dưới) của ngọn lửa trên một mẫu thử của một sản phẩm được lắp đặt thẳng đứng. Việc đo sự lan truyền của lửa theo phương ngang ở thí nghiệm này cũng có thể tiến hành. Tiêu chuẩn này cung cấp số liệu thích hợp để so sánh tính năng của các loại vật liệu, vật liệu composite hoặc cụm vật liệu được dùng để làm mặt lộ nhiệt của cấu kiện tường hoặc của các sản phẩm khác đặt theo phương thẳng đứng trong công trình xây dựng. Một vài sản phẩm với bề mặt có dạng định hình cũng có thể được thử nghiệm với một quy trình điều chỉnh, thể hiện các điều kiện sử dụng thực tế của sản phẩm.
1.2 Sự lan truyền lên phía trên của ngọn lửa không chỉ giới hạn ở các bề mặt thẳng đứng. Thực tế còn thấy rằng hình thức phát triển sự lan truyền ngọn lửa lên phía trên với ảnh hưởng của gió cũng có thể xảy ra ở bề mặt nghiêng một góc lớn hơn 20 °C so với phương ngang. Hình thức lan truyền lửa này có thể xảy ra ở cả bề mặt nghiêng phẳng và bề mặt cấu tạo bậc như cầu thang. Sự lan truyền của ngọn lửa trong tình huống này có thể trở nên rất nhanh và gây ra hậu quả nghiêm trọng trong các đường thoát nạn như ở các buồng thang bộ. Khi đánh giá các vật liệu của bề mặt dạng bậc hoặc dốc thì dùng thử nghiệm lan cháy theo phương thẳng đứng có thể thích hợp hơn là dùng thử nghiệm lan cháy cho mẫu đặt ngang.
1.3 Tiêu chuẩn này áp dụng cho việc đo và mô tả đặc tính của các loại vật liệu, sản phẩm, vật liệu composite hoặc cụm vật liệu khi phản ứng với bức xạ nhiệt trong trường hợp không có ngọn lửa mồi, ở điều có kiểm soát của phòng thí nghiệm. Nguồn nhiệt ở đây có thể được coi là từ một vật dụng đơn lẻ bị cháy ví dụ như thùng đựng rác giấy hoặc ghế có bọc phủ. Và tình huống này nói chung được xem xét áp dụng ở giai đoạn phát triển ban đầu của ngọn lửa (xem ISO/TR 11696-1 và ISO/TR 11696-2). Không được sử dụng chỉ riêng tiêu chuẩn này để mô tả hoặc đánh giá tính nguy hiểm cháy đối với các loại vật liệu, sản phẩm, vật liệu composite hoặc cụm vật liệu trong điều kiện xảy ra đám cháy thực tế.
2 Tài liệu viện dẫn
Các tài liệu viện dẫn sau rất cần thiết cho việc áp dụng tiêu chuẩn này. Đối với các tài liệu viện dẫn ghi năm ban hành thì áp dụng phiên bản được nêu. Đối với các tài liệu viện dẫn không ghi năm ban hành thì áp dụng phiên bản mới nhất, bao gồm cả các sửa đổi bổ sung (nếu có).
ISO 554, Standard atmospheres for conditioning and/or testing - Specifications.
ISO/TR 11696-1, Uses of reaction to fire test results - Part 1: Application of test results to predict fire performance of internal linings and other building products.
ISO/TR 11696-2, Uses of reaction to fire test results - Part 2: Fire hazard assessment of construction products.
TCVN 13249:2023 (ISO 13943:2017), An toàn cháy - Từ vựng.
ISO/TR 14697, Fire test - Guidance rules on the choice of substrates for building products.
3 Thuật ngữ và định nghĩa
Tiêu chuẩn này áp dụng các thuật ngữ cho trong TCVN 13249:2023 và các thuật ngữ sau.
3.1
Cụm vật liệu (assembly)
Chế phẩm của các vật liệu và/hoặc vật liệu composite, ví dụ tấm dạng sandwich.
CHÚ THÍCH: Cụm vật liệu có thể bao gồm cả khe thông khí (xem 6.3.6)
3.2
Tấm đỡ (backing board)
Tấm có cùng kích thước với mẫu thử và được sử dụng để đỡ mặt sau mẫu thử nhằm mô tả điều kiện sử dụng thực tế của mẫu.
CHÚ THÍCH: Xem 7.10
3.3
Vùng bị cháy (burned area)
Là phần diện tích bị hư hỏng của một vật liệu, mà nó bị phá hủy do cháy hoặc do nhiệt phân trong các điều kiện thử nghiệm quy định.
3.4
Vật liệu composite (composite)
Vật liệu được tạo thành bởi sự kết hợp các vật liệu mà trong công trình xây dựng chúng thường ở dạng riêng rẽ.
VÍ DỤ Các vật liệu được phủ bọc hoặc vật liệu có nhiều lớp mỏng.
3.5
Diện tích hư hại (damaged area)
Toàn bộ diện tích bị hư hỏng của vật liệu do tác động nhiệt trong các điều kiện thử nghiệm quy định.
CHÚ THÍCH: Xem 10.11
3.6
Bề mặt lộ lửa (exposed surface)
Bề mặt của mẫu thử chịu các điều kiện gia nhiệt của thử nghiệm.
3.7
Mặt trước ngọn lửa (flame front)
Biên của vùng cháy ở pha khí trên bề mặt của một vật liệu.
CHÚ THÍCH: Đối với ngọn lửa theo phương thẳng đứng, mặt trước ngọn lửa là đỉnh của ngọn lửa liên tục, bỏ qua các phần ngọn lửa cháy không ổn định được tách ra.
3.8
Chớp cháy (flashing)
Ngọn lửa tồn tại ở trên hoặc phía trên bề mặt mẫu thử trong khoảng thời gian nhỏ hơn 1 s.
3.9
Cường độ bức xạ (irradiance) (tại một điểm của một bề mặt)
Tỉ số của thông lượng nhiệt bức xạ truyền tới một phân tố vô cùng bé của bề mặt chứa điểm đó và diện tích của phân tố đó.
3.10
Vật liệu (material)
Một chất đơn lẻ hoặc một hỗn hợp các chất được phân bố đều.
VÍ DỤ Kim loại, đá, gỗ, bê tông, sợi khoáng, polyme.
3.11
Sản phẩm (products)
Vật liệu, vật liệu composite hoặc cụm vật liệu với các thông tin yêu cầu đối với chúng.
3.12
Thông lượng nhiệt bức xạ (radiant heat flux)
Năng lượng được tỏa ra, truyền đi hoặc hấp thụ dưới dạng bức xạ nhiệt.
3.13
Mẫu thử (specimen)
Phần đại diện cho sản phẩm được đưa vào thử nghiệm cùng với các vật liệu nền hoặc có gia công xử lý.
3.14
Lan truyền của ngọn lửa (spread of flame)
Sự lan truyền của mặt trước ngọn lửa trên bề mặt của một sản phẩm dưới tác động của cường độ bức xạ xác định và không tiếp xúc với ngọn lửa mồi.
3.15
Vật liệu nền (substrate)
Vật liệu được sử dụng hoặc đại diện cho vật liệu được sử dụng trong thực tế nằm ngay dưới sản phẩm bề mặt.
VÍ DỤ: Tấm thạch cao được bả bề mặt nằm ngay phía sau lớp phủ bề mặt tường.
3.16
Ngọn lửa cháy ổn định (sustained flaming)
Ngọn lửa tồn tại trên bề mặt mẫu thử trong khoảng thời gian lớn hơn 4 s.
3.17
Ngọn lửa cháy không ổn định (transitory flaming)
Ngọn lửa tồn tại trên bề mặt mẫu thử trong khoảng thời gian 1 đến 4 s.
3.18
Lan cháy theo phương ngang (lateral flame spread)
Sự phát triển của mặt trước ngọn lửa theo phương ngang theo bề rộng mẫu thử
3.19
Lan cháy theo phương thẳng đứng (vertical flame spread)
Sự phát triển của mặt trước ngọn lửa theo phương thẳng đứng (lên trên hoặc xuống dưới) theo chiều cao của mẫu thử.
4 Nguyên lý
4.1 Phương pháp thử nghiệm này bao gồm việc đặt các mẫu thử đã được ổn định mẫu theo phương thẳng đứng vào một môi trường thông lượng nhiệt bức xạ cho trước (xem Hình 1), đo thời gian bắt cháy, độ lan truyền ngọn lửa theo phương đứng và quan sát ghi nhận những ảnh hưởng khác của sự cháy lan như nóng chảy nhỏ giọt hoặc vỡ vụn và lan cháy ngang.

Hình 1 - Phân bố bức xạ nhiệt trên tấm mẫu hiệu chuẩn
4.2 Một mẫu thử được đặt theo phương thẳng đứng gần với tấm bức xạ nhiệt đốt bằng khí gas. Mẫu để lộ phần thấp phía dưới với một trường thông lượng nhiệt bức xạ xác định. Một đầu đốt ngọn lửa mồi dạng thẳng ngang, không tiếp xúc, được đặt phía trên vùng chịu bức xạ nhiệt của mẫu thử để có thể đốt cháy các loại khí dễ bắt cháy thoát ra từ bề mặt mẫu (xem Hình 2 và 3).
4.3 Sau khi bắt lửa, mọi mặt trước ngọn lửa hình thành đều phải được lưu ý, đồng thời cũng phải ghi nhận lại về diễn biến theo thời gian của sự lan truyền theo phương thẳng đứng của mặt trước ngọn lửa đến các vị trí khác nhau dọc theo chiều cao của mẫu thử.
4.4 Các kết quả được thể hiện dưới dạng thời gian bắt lửa và quan hệ giữa khoảng lan cháy trên bề mặt mẫu thử với thời gian.
Hao tổn khối lượng, sự giải phóng nhiệt và sinh khói có thể được đo nếu cần thiết. Đối với các phép đo này, thiết bị đo phải được đặt dưới một dụng cụ hiệu chuẩn dạng mũ hoặc ống, xem ISO 9705.

CHÚ DẪN:
1 Mẫu thử
2 Đầu đốt ngọn lửa mồi
3 Tấm bức xạ nhiệt theo phương đứng, tạo một góc 350 so với mẫu thử
4 Ống cấp khí
5 Hướng quay của ống cấp khí
6 Khay đựng chất thải sau khi đốt
Hình 2 - Thiết bị thử nghiệm
Các kích thước đo bằng milimét

CHÚ DẪN:
| 1 Nón chụp hút khói 2 Vùng lộ lửa của mẫu thử 3 Đầu đốt ngọn lửa mồi 4 Tấm bức xạ nhiệt | 5 Khay đựng chất thải sinh ra trong khi đốt 6 Sàn nhà 7 Mẫu thử
|
Hình 3 - Sơ đồ thiết bị thử nghiệm
5 Tính phù hợp của một sản phẩm đối với phép thử
Một sản phẩm có một trong các đặc tính bề mặt dưới đây được coi là phù hợp để áp dụng phương pháp thử nghiệm này:
a) Bề mặt lộ lửa là bề mặt phẳng cơ bản;
CHÚ THÍCH: Bề mặt phẳng cơ bản là một bề mặt mà sự nhấp nhô không đều của nó so với một mặt phẳng không vượt quá ± 1 mm
b) Đặc tính bất thường được phân bố đều trên bề mặt lộ lửa song mọi vết nứt, khe hở hoặc các lỗ đều không được rộng quá 8 mm hoặc sâu quá 10 mm. Tổng diện tích của các vết nứt, khe hở hoặc các lỗ đó không được vượt quá 30 % diện tích của hình vuông đại diện cho bề mặt lộ lửa có kích thước cạnh là 155 mm;
c) Sản phẩm với bề mặt có dạng định hình (ví dụ ống thoát, tấm panel, ống nối) có thể thử nghiệm ở điều kiện sử dụng thực tế nhưng nó cũng cho thấy tốc độ và khoảng cách lan truyền ngọn lửa và khoảng cách đo được không thể so sánh trực tiếp với các thử nghiệm trên sản phẩm có bề mặt phẳng cơ bản.
6 Mẫu thử nghiệm
6.1 Bề mặt lộ lửa của mẫu
Sản phẩm được thử nghiệm trên bề mặt thường bị lộ lửa trong thực tế, có tính đến các trường hợp sau đây.
a) Đối với các sản phẩm bất đối xứng, có thể một hoặc cả hai mặt lộ lửa trong sử dụng thực tế thì cả hai mặt đều phải thử nghiệm.
b) Nếu bề mặt của sản phẩm có sự nhấp nhô bề mặt nhưng có định hướng rõ ràng (ví dụ các đường gấp nếp, rãnh hướng chế tạo...) mà trong thực tế các đường gấp nếp có thể bố trí cả theo phương đứng và phương ngang thì sẽ phải thử nghiệm theo cả hai phương đó.
c) Nếu bề mặt lộ lửa có các diện tích hoàn thiện hoặc gia công bề mặt khác nhau rõ rệt, để đánh giá thì cần cung cấp số lượng mẫu thử thích hợp cho từng diện tích đó.
d) Nếu sản phẩm là dạng thảm mềm hoặc có bề mặt có khả năng đầu đốt ngọn lửa mồi ép vào, thì cần kiểm tra trước, bằng cách đưa mẫu thử tới đầu đốt ngọn lửa mồi ở vị trí thử nghiệm nhưng đầu đốt đó chưa được cấp khí. Nếu cần thiết, mặt bích đầu đốt phải được điều chỉnh để khoảng cách giữa đầu đốt và mẫu thử là 25 mm.
6.2 Số lượng và kích thước mẫu thử
6.2.1 Cần có 03 mẫu thử sẽ được thử nghiệm cho mỗi dạng bề mặt hoặc hướng của bề mặt lộ lửa.
6.2.2 Mẫu thử có kích thước (1 525 ± 25) mm chiều dài và (1 025 ± 25) mm chiều rộng với chiều dày sử dụng theo thực tế. Các mẫu thử phải là đại diện tiêu biểu cho sản phẩm cần thử nghiệm. Mẫu thử có thể được cấu tạo từ các phần ghép nối lại với nhau. Đối với các mẫu thử bao gồm một hoặc nhiều mối nối dọc thì một mối nối phải được đặt ở vị trí cách 250 mm từ cạnh trái (hoặc cánh nóng) trên bề mặt lộ lửa của mẫu. Đối với các mẫu thử bao gồm một hoặc nhiều mối nối ngang thì một mối nối phải được đặt ở vị trí cách 350 mm từ cạnh phía dưới của mẫu thử.
6.2.3 Chiều dày của mẫu thử đối với sản phẩm có bề mặt không bằng phẳng (xem 6.1) phải được đo từ điểm cao nhất trên bề mặt mẫu. Các sản phẩm có chiều dày bằng 300 mm hoặc ít hơn phải được thử nghiệm với chiều dày thực tế.
6.3 Cấu tạo cụm mẫu thử
6.3.1 Đối với các vật liệu hoặc vật liệu composite mỏng dùng để chế tạo một cụm vật liệu thì sự xuất hiện của một khe thông khí và / hoặc bản chất của bất kỳ vật liệu cấu tạo lớp dưới nào cũng có ảnh hưởng đáng kể đến đặc tính của bề mặt lộ lửa. Ảnh hưởng của các lớp vật liệu dưới này cần được tìm hiểu kỹ để đảm bảo kết quả thử nghiệm trên bất kỳ cụm vật liệu nào cũng phản ánh đúng việc sử dụng nó trong thực tế. Mẫu thử cần được lắp ghép trong bộ phận gá lắp mẫu (xem 7.4). Tuy nhiên, một số loại mẫu thử có thể cồng kềnh hoặc nặng (ví dụ có vật liệu nền gạch xây). Trong trường hợp này, mẫu thử có thể được lắp ghép trên sàn, với mặt lộ lửa, khoảng cách thông thường so với sàn và tấm bức xạ dùng cho mẫu tuân theo các nguyên tắc trình bày trong Hình 3.
6.3.2 Khi sản phẩm là một lớp phủ bề mặt thì lớp phủ phải được phủ vào một vật liệu nền (xem Phụ lục B) với phương pháp và tỷ lệ phủ được khuyến cáo cho sử dụng chúng trong thực tế.
6.3.3 Khi sản phẩm là một vật liệu hoặc vật liệu composite, thường được gắn với vật liệu nền, nên nó cần được thử nghiệm trong liên kết với vật liệu nền được lựa chọn (xem Phụ lục B) khi dùng kỹ thuật gắn kết được khuyến nghị (ví dụ liên kết bằng chất kết dính thích hợp hoặc cố định dạng cơ học). Quy trình cố định các mẫu thử với vật liệu nền cần được ghi rõ ràng trong báo cáo thử nghiệm (xem 13 f)).
6.3.4 Nếu sản phẩm được sử dụng mà không có khe thông khí phía sau thì sau các quy trình ổn định mẫu theo 6.4, đặt mẫu thử lên một tấm đỡ và đưa cả hai vào bộ phận gá lắp mẫu (xem Hình 4a).
6.3.5 Nếu một sản phẩm trong thực tế được sử dụng như một sản phẩm kết cấu đứng tự do (ví dụ như vách ngăn, tấm sandwich, kính) thì chỉ đưa riêng mẫu vào bộ phận gá lắp mẫu (xem Hình 4b).
6.3.6 Trong trường hợp sản phẩm thường được sử dụng với khe thông khí phía sau, sau khi thực hiện quá trình ổn định mẫu theo 6.4, đặt mẫu thử phía trên các con kê tạo khe (đã được ổn định mẫu) nằm quanh chu vi mẫu thử và gắn lên tấm đỡ sao cho có một khe thông khí (25 ± 2) mm ở giữa bề mặt không lộ lửa của mẫu thử và tấm đỡ. Đặt sản phẩm lên một tấm đỡ và đưa cả hai vào bộ phận gá lắp mẫu (xem Hình 5). Sản phẩm có khe thông khí nhỏ hơn 25 mm nên được thử nghiệm ở điều kiện sử dụng thực tế của sản phẩm. Để gắn những vật liệu mỏng dễ uốn nên dùng cách kẹp chặt mẫu thử với tấm đỡ.
6.4 Ổn định mẫu thử
6.4.1 Tất cả mẫu thử phải được ổn định trước khi thử nghiệm ở nhiệt độ (23 ± 2) °C và độ ẩm (50 ± 5) % theo một trong các lựa chọn sau (xem ISO 554).
a) Ổn định mẫu ít nhất 4 ngày đến khi đạt được khối lượng không đổi. Khối lượng được coi là không đổi khi hai lần cân kế tiếp nhau được thực hiện trong khoảng thời gian 24 h, khác nhau không quá 0,1 % khối lượng của mẫu.
b) Ổn định mẫu ít nhất 3 tuần. Sử dụng lựa chọn này không cho phép đối với các sản phẩm từ gỗ, xi măng và thạch cao.
c) Ổn định mẫu ít nhất 4 tuần. Khối lượng cuối cùng và độ chênh lệch khối lượng tương đối giữa hai lần cân kế tiếp nhau thực hiện tại các thời điểm (24 ± 2) h và (2 ± 2) h trước khi thử nghiệm phải được báo cáo.
6.4.2 Các tấm đỡ và các con kê (xem 7.10) phải được sấy khô và bảo quản ít nhất 2 ngày trước khi sử dụng trong cùng điều kiện ổn định mẫu với mẫu thử (xem 6.4.1).
Các mẫu thử được sắp xếp trong môi trường ổn định mẫu sao cho không khí có thể lưu thông quanh các mặt mẫu thử.
6.4.3 Các phần cấu thành lên một mẫu thử (sản phẩm và tấm đỡ phía sau để cố định sản phẩm) phải được ổn định mẫu riêng hoặc như một mẫu thử đã được gá lắp. Các mẫu thử dán vào tấm đỡ thì phải được dán trước khi ổn định mẫu.
6.4.4 Toàn bộ quy trình thử nghiệm (xem điều 10) phải được tiến hành trong vòng 2 h sau khi đưa các mẫu thử ra khỏi môi trường ổn định mẫu.
6.5 Đánh dấu các đường quan sát trên mẫu
6.5.1 Đánh dấu hai đường trên mẫu thử để xác định cạnh dưới và cạnh đứng của mẫu thử để lộ lửa ở vùng lân cận tấm bức xạ nhiệt (xem Hình 6a). Những đường này tương ứng với các mép gấp của bộ gá lắp mẫu.
6.5.2 Đánh dấu thêm hai đường trên bề mặt lộ lửa của mẫu thử như sau:
a) Một đường ngang ở phía trên cách 480 mm tính đến đường ngang đã vẽ trong 6.5.1. Đường này được gọi là đường tham chiếu Y0;
b) Một đường thẳng đứng cách 200 mm tính đến đường thẳng đứng đã vẽ trong 6.5.1, đường này gọi là đường tham chiếu X0;
c) Giao điểm của đường X0 và Y0 được coi là điểm gốc tham chiếu 0 và vị trí này sẽ được sử dụng để thiết lập phần mềm theo dõi sự lan truyền của ngọn lửa (xem Hình 6b).

CHÚ DẪN:
| 1 Bộ phận gá lắp mẫu thử 2 Tấm đỡ 3 Mẫu thử (có thể bao gồm một vật liệu nền) | 4 Mẫu thử 5 Mép gắp bộ gá lắp mẫu 6 Khung đẩy |
Hình 4 - Các kiểu gá lắp mẫu thử

CHÚ DẪN:
| 1 Bộ phận gá lắp mẫu thử 2 Khung đẩy 3 Khe thông khí | 4 Tấm dỡ 5 Mẫu thử 6 Con kê tạo khe |
Hình 5 - Cách gá lắp mẫu với tấm đỡ và các con kê để tạo một khe thông khí
6.5.3 Đánh dấu thêm các đường thẳng nằm ngang trên bề mặt lộ lửa của mẫu thử lần lượt ở các chiều cao 80, 680, 880, 1080 và 1280 mm phía trên đường ngang đã vẽ trong 6.5.1.
6.5.4 Đánh dấu thêm các đường thẳng đứng trên bề mặt lộ lửa của mẫu thử ở các khoảng cách 400, 600 và 800 mm từ đường thẳng đứng đã vẽ trong 6.5.1 (xem Hình 6c).
Việc đánh dấu này không được làm ảnh hưởng đến tính chất của mẫu thử, ví dụ làm hỏng bề mặt hoặc tăng độ hấp thụ nhiệt của mẫu thử.
CHÚ THÍCH: Một số mẫu vật liệu có thể biến đổi màu sắc khi tiếp xúc với nhiệt độ cao do đó có thể làm mất các đường đã đánh dấu.
6.5.5 Có thể bổ sung thêm các đường tham chiếu khác (xem Hình 15) để ghi nhận sự cháy lan của ngọn lửa bằng máy tính. Nếu ngọn lửa cháy lan được ghi nhận bằng các đường tham chiếu bổ xung, một đầu đo nhiệt có thể được gắn ở phía cạnh dưới của bộ phận gá lắp mẫu và thiết bị dữ liệu sẽ tự động khởi động khi đầu đo xác định được nhiệt độ gia tăng thêm 10 °C. Các phương pháp này có thể tính toán tốc độ lan truyền của ngọn lửa theo phương đứng hoặc phương ngang mẫu thử (xem Điều 11). Nếu trong thử nghiệm không dùng bất kỳ phần mềm nào thì có thể không đạt được cùng mức độ lặp lại trong các thử nghiệm liên phòng (xem Phụ lục E).
6.6 Bảo quản cụm mẫu thử
Các cụm mẫu thử, tấm đỡ, con kê được chuẩn bị theo quy định tại 6.3 phải được bảo quản trong môi trường ổn định mẫu quy định tại 6.4.1 cho đến khi có yêu cầu thử nghiệm.
Các kích thước đo bằng milimét

| CHÚ DẪN: 1 Kích thước đoạn gấp mép a) Vị trí các vùng gấp mép của bộ phận gá lắp mẫu | CHÚ DẪN: 1 Viền lộ lửa cạnh bên của mẫu thử 2 Điểm gốc 0 3 Viền lộ lửa ở phía dưới của mẫu thử b) Vị trí điểm gốc 0 trên mẫu thử |

CHÚ DẪN:
1 Viền lộ lửa cạnh bên của mẫu thử
2 Vị trí của tấm bức xạ nhiệt
3 Viền lộ lửa ở phía dưới của mẫu thử
c) Vị trí của các đường vạch quan sát trên mẫu thử
Hình 6 - Vị trí của điểm gốc 0 và các đường vạch quan sát trên mẫu thử
7 Thiết bị thử nghiệm
Thiết bị thử nghiệm bao gồm 4 bộ phận chính: Tấm bức xạ nhiệt, khung đỡ và cụm bàn đẩy mẫu để đưa mẫu thử vào vị trí thích hợp so với tấm bức xạ nhiệt, bộ phận gá lắp mẫu và đầu đốt ngọn lửa mồi.
7.1 Khung đỡ tấm bức xạ nhiệt
Khung có tác dụng đỡ tấm bức xạ nhiệt cùng với các đường ống cho không khí và khí đốt, các thiết bị an toàn, van điều tiết và đồng hồ lưu lượng.
7.1.1 Gối đỡ tấm bức xạ nhiệt
Có tác dụng đỡ tám bức xạ nhiệt, với cạnh dưới cao hơn mặt sàn ít nhất 500 mm để đảm bảo môi trường lưu thông không khí.
Mặt bức xạ nhiệt của tấm bức xạ phải theo phương đứng và góc giữa mặt bức xạ nhiệt và mặt phía trước của mẫu thử là 35° ± 3°
7.1.2 Tấm bức xạ nhiệt
Bao gồm một cụm các tấm gốm xốp chịu nhiệt được gắn ở phía trước một khoang trộn khí bằng thép không gỉ, cung cấp một mặt phẳng bức xạ nhiệt với kích thước một chiều là (480 ± 5) mm và một chiều là (280 ± 5) mm.
Khoang trộn khí bao gồm các tấm vách ngăn và bộ khuếch tán để cung cấp hỗn hợp khí đốt/không khí đều khắp trên bề mặt bức xạ.
Một lưới thép được gắn cố định ngay phía trước mặt bức xạ nhiệt của tấm bức xạ để tăng cường độ bức xạ và bảo vệ tấm bức xạ khỏi các mảnh vụn rơi xuống. Lưới này thường được làm bằng các sợi thép không gỉ đường kính 3 mm và có kích thước tổng thể 500 mm x 285 mm; có 20 sợi theo phương ngang cách đều nhau và có thể được hàn ở các tiếp điểm với 4 thanh dọc thẳng đứng. Bộ phận đỡ lưới thép được gắn vào hai cạnh của khoang trộn khí để lưới thép cố định ở khoảng cách 15 mm so với mặt bức xạ của tấm bức xạ nhiệt.
7.2 Đường cấp không khí và khí đốt
Hỗn hợp không khí và khí đốt sẽ được đưa tới tấm bức xạ nhiệt thông qua van điều áp, thiết bị an toàn và đồng hồ đo lưu lượng. Hỗn hợp khí này đi vào khoang trộn khí thông qua mặt ngắn để dễ dàng kết nối khi tấm bức xạ được gắn từ khung thép ống.
Hệ thống cấp khí bao gồm như sau:
a) Một đường cấp khí đốt tự nhiên, khí metal hoặc propan với lưu lượng ít nhất là 0,3 l/s ở một mức áp suất nhất định đủ để vượt qua các tổn thất ma sát trên đường ống, van điều tiết, đồng hồ lưu lượng, tấm bức xạ nhiệt...
b) Một đường cấp không khí với lưu lượng ít nhất 5,0 l/s ở một mức áp suất nhất định đủ để vượt qua tổn thất ma sát trên đường ống ...
c) Van ngăn cách cho không khí và khí đốt;
d) Van một chiều và van điều áp trong đường cấp khí đốt;
e) Van điện từ để tự động ngắt nguồn cấp khí đốt trong trường hợp mất điện, không đạt áp suất hoặc không đạt nhiệt độ ở bề mặt đầu đốt.
f) Bộ lọc và van điều chỉnh lưu lượng trong đường cấp không khí;
g) Đồng hồ đo lưu lượng cho khí đốt tự nhiên, khí metan hoặc propan có dải đo từ 0,3 l/s đến 1,5 l/s ở nhiệt độ và áp suất môi trường với độ phân giải đến 1 % hoặc cao hơn.
CHÚ THÍCH 1 Yêu cầu này được sử dụng để hỗ trợ cho việc điều chỉnh lưu lượng dòng khí đốt tới một giá trị tạo ra nhiệt độ thích hợp trên tấm bức xạ nhiệt. Việc hiệu chỉnh đồng hồ đo lưu lượng là không cần thiết. Lưu lượng của các loại khí đốt khác nhau sẽ khác nhau để đạt được nhiệt độ vật đen tuyệt đối yêu cầu và phân bố bức xạ nhiệt trên bề mặt của mẫu thử.
h) Đồng hồ đo lưu lượng cho không khí có dải đo từ 1 l/s đến 12 l/s ở nhiệt độ và áp suất môi trường và có độ phân giải đến 1 % hoặc cao hơn. Việc hiệu chỉnh đồng hồ này cũng không cần thiết.
CHÚ THÍCH 2 Các thiết bị trên có thể được lắp đặt ở phía trong và gá lắp trên khung thép ống, cách xa tấm bức xạ nhiệt.
Các kích thước đo bằng milimét

CHÚ DẪN:
1 Bộ gá lắp mẫu thử
2 Mẫu thử
3 Chốt nêm trên mỗi cạnh của bộ gá lắp mẫu (chét vào các lỗ của khung bàn đẩy mẫu)
4 Khung bàn đẩy đỡ bộ gá lắp mẫu
5 Khay đựng các mảnh vụn khi thử nghiệm
6 Ray dẫn hướng
Hình 7 - Bộ gá lắp mẫu thử và bàn đẩy mẫu thường dùng
7.3 Bàn đẩy mẫu thử
Kết hợp bàn đẩy và ray dẫn hướng để đưa bộ phận gá lắp mẫu vào vị trí thử nghiệm yêu cầu so với tấm bức xạ nhiệt và đầu đốt ngọn lửa mồi.
Bàn đẩy cho phép bộ gá lắp mẫu di chuyển về phía tấm bức xạ nhiệt tới góc nghiêng yêu cầu (xem 7.1.1 và Hình 7). Bàn đẩy này cũng phải có khay hứng mảnh vụn được cố định phía dưới cạnh dưới của bộ gá lắp mẫu (xem Hình 7).
Hệ thống di chuyển bộ gá lắp mẫu có thể được vận hành bằng tay hoặc tự động theo các yêu cầu trong 7.1.1. Phải có hệ ray dẫn hướng để đảm bảo sự di chuyển của bàn đẩy nằm trong dung sai cho phép (xem Hình 7).
7.4 Bộ gá lắp mẫu thử
Thường được làm từ thép không rỉ với chiều dày (2 ± 0,5) mm và kích thước được thể hiện trong Hình 8 để bề mặt lộ lửa của mẫu thử là (1 475 ± 25) mm chiều cao và (975 ± 25) mm chiều rộng.
Trên đó có gắn các bu lông giúp thao tác nhanh hoặc kẹp để cố định mẫu thử đúng vị trí và ép sát mẫu lên gờ phía trước. Dùng các chốt nêm, chốt vào các lỗ của khung bàn đẩy để gắn bộ gá lắp mẫu.
Số lượng bộ gá lắp mẫu yêu cầu phụ thuộc vào số lượng các thử nghiệm dự kiến thực hiện. Đối với các mẫu thử có chiều dày lớn hơn 200 mm thì cần bộ gá lắp mẫu và khay đựng mảnh vụn lớn hơn. Khay đựng mảnh vụn nên được mở rộng 100 mm ra phía trước mẫu thử (xem Hình 13).
7.5 Đầu đốt ngọn lửa mồi
Bao gồm một ống bằng thép không gỉ với đường kính trong (10 ± 1) mm, đường kính ngoài (12 ± 1) mm và chiều dài (160 ± 5) mm. Trên đó có 15 lỗ khoan xuyên tâm cách đều nhau với đường kính 1 mm dọc theo đường tim của ống (xem Hình 9). Ống cấp khí đốt kết nối với đầu chữ T của đầu đốt ngọn lửa mồi được làm từ ống thép không gỉ với chiều dày ít nhất là 2 mm. Trong quá trình vận hành, dòng khí propan sẽ được điều chỉnh để đạt lưu lượng 0,6 l/min (xem 9.3). Khí đốt được sử dụng trong thử nghiệm là khí propan thương phẩm với nhiệt lượng xấp xỉ 83 MJ/m3.
Đầu đốt ngọn lửa mồi phải được gắn ở vị trí tương quan giữa mặt mẫu thử và thẳng hàng với đỉnh của tấm bức xạ nhiệt như thể hiện trong Hình 3. Khoảng cách giữa tâm đầu phun và bề mặt mẫu thử là (25 ± 1) mm (xem Hình 10).
Phải lưu ý giữ sạch các lỗ trong đầu đốt ngọn lửa mồi. Có thể sử dụng bàn chải với dây chải bằng niken-crom hoặc bằng thép không gỉ đường kính ngoài 0,5 mm để làm sạch.
Sử dụng tấm mẫu giả tại vị trí thử nghiệm trong quá trình điều chỉnh dòng khí đốt đến đầu đốt ngọn lửa mồi (xem 7.13,9.3 và Hình 10).
Đối với các mẫu thử có khả năng chịu nén dễ dàng bởi trọng lượng của đầu đốt ngọn lửa mồi (ví dụ thảm có độ bông xốp cao), cần điều chỉnh tấm mẫu giả cùng với đầu đốt ngọn lửa mồi để tạo ra khoảng cách 25 mm giữa ống đầu đốt và bề mặt mẫu bằng cách điều chỉnh mặt bích ở mặt bên của đầu đốt (xem Hình 9b, 9c).
7.6 Đầu đo thông lượng nhiệt bức xạ
Ít nhất phải có hai đầu đo thông lượng nhiệt bức xạ loại Schmidt-Boelter với dải đo từ 0 kW/m2 đến 50 kW/m2 và hằng số thời gian không quá 3 s (tương ứng với thời gian để đạt được 95 % kết quả cuối cùng không quá 10 s). Một đầu đo là đầu đo làm việc trong thử nghiệm và một đầu đo dùng để làm chuẩn tham chiếu.
CHÚ THÍCH: Trên thị trường đã có những thiết bị phù hợp, có thể được gọi là “cảm biến thông lượng nhiệt bức xạ”, hoặc “đồng hồ đo thông lượng nhiệt bức xạ”.
Đầu cảm biến bức xạ nhiệt phải phẳng, tròn, đường kính không lớn hơn 10 mm, được phủ lớp sơn đen mờ có tuổi thọ cao. Bộ cảm biến này được đặt trong một bộ phận làm mát bằng nước, có mặt trước hình tròn, phẳng, đường kính 25 mm và trùng với mặt phẳng của đầu cảm biến bức xạ nhiệt. Toàn bộ mặt phía trước của bộ phận làm mát được đánh bóng với độ bóng cao. Bức xạ nhiệt phải không đi qua một lỗ hở nào trước khi đến đầu cảm biến. Nhiệt độ của nước làm mát sẽ được điều chỉnh để nhiệt độ của đầu đo thông lượng nhiệt duy trì trong khoảng chênh lệch vài độ so với nhiệt độ phòng nhằm tránh ngưng tụ nước trên bề mặt.
Nếu đường kính của đầu đo thông lượng nhiệt bức xạ nhỏ hơn 25 mm thì nó phải được đặt trong một ống đồng có đường kính ngoài 25 mm, đảm bảo tiếp xúc nhiệt tốt được duy trì giữa ống đồng và bộ phận làm mát. Điểm cuối của ống và mặt tiếp nhận bức xạ cùng nằm trên một mặt phẳng. Đầu đo thông lượng nhiệt bức xạ phải đảm bảo chắc chắn, dễ dàng lắp đặt và sử dụng, không nhạy cảm với gió lùa và ổn định khi hiệu chuẩn. Đầu đo có độ chính xác trong khoảng ± 3 % và khả năng lặp lại trong khoảng ± 0,5 %.
Việc hiệu chuẩn đầu đo thông lượng nhiệt bức xạ làm việc được thực hiện 2 tháng một lần bằng cách so sánh với đầu đo thông lượng nhiệt bức xạ làm chuẩn tham chiếu (xem phụ lục C). Đầu đo làm chuẩn tham chiếu phải được giữ gìn đảm bảo và không được sử dụng với bất kỳ mục đích nào khác.
7.7 Thiết bị ghi số liệu
Số liệu đầu ra từ các đầu đo thông lượng nhiệt phải được ghi nhận bằng một phương pháp thích hợp.
Có thể sử dụng một máy đo điện thế ghi biểu đồ liên tục có điện trở đầu vào nhỏ nhất 1 MΩ. Độ nhạy được chọn đảm bảo yêu cầu nhỏ hơn độ lệch toàn thang đo của đầu đo thông lượng nhiệt bức xạ. Nhiệt độ làm việc hiệu quả của tấm bức xạ nhiệt trong quá trình làm việc không được vượt quá 900 °C.
Máy đo điện thế kỹ thuật số cỡ nhỏ, có khả năng hiển thị những thay đổi trong khoảng 10 μV hoặc nhỏ hơn cũng có thể sử dụng để theo dõi biểu hiện làm việc của tấm bức xạ nhiệt.
7.8 Thiết bị đo thời gian
Thiết bị đo thời gian, kể cả đồng hồ điện tử, đồng hồ giây đeo tay hoặc đồng hồ kỹ thuật số đều có thể sử dụng để đo thời gian bắt cháy và xu hướng phát triển của ngọn lửa.
Thiết bị đo thời gian bắt cháy và sự phát triển của ngọn lửa ban đầu cũng có thể bao gồm máy ghi dải biểu đồ ra giấy với tốc độ ghi ít nhất là 5 mm/s.
Cả thiết bị ghi ra giấy và đồng hồ điện tử phải hoạt động thông qua một bộ chuyển đổi để đảm bảo vận hành đồng thời khi mẫu thử bắt lửa.
Quá trình này có thể tiến hành thủ công hoặc tự động khi hoàn thành việc lắp đặt mẫu thử.
7.9 Tấm hiệu chuẩn và bàn đẩy mẫu
Tấm hiệu chuẩn phải được làm bằng vật liệu không cháy (ví dụ tấm calcium silicat), có kích thước tổng thể là (1 025 ± 25) mm nhân (650 ± 5) mm, chiều dày là (11 ± 2) mm và khối lượng riêng sấy khô là (750 ± 100) kg/m3. Tấm hiệu chuẩn được khoan 5 lỗ đường kính 25 mm ở các vị trí theo Hình 11 để gắn đầu đo thông lượng nhiệt để đo cường độ bức xạ trong mặt phẳng tương ứng với mặt lộ lửa của mẫu thử trong thử nghiệm. Năm lỗ trên tấm hiệu chuẩn được đặt thẳng hàng với đường tim của tấm bức xạ nhiệt (ví dụ các lỗ sẽ ở vị trí 640 mm phía trên mặt sàn trong bố trí thể hiện trong Hình 3). Một hoặc nhiều hơn đầu đo thông lượng nhiệt có thể sử dụng, đặt lần lượt đầu đo vào mỗi lỗ hoặc sử dụng nhiều đầu đo cùng lúc. Tuy nhiên những lỗ không đặt đầu đo thông lượng nhiệt cần được lấp đầy bởi các nút bịt làm bằng vật liệu giống với tấm mẫu hiệu chuẩn.
Mặt tiếp nhận bức xạ của đầu đo thông lượng nhiệt phải cùng nằm trên một mặt phẳng với bề mặt lộ lửa của tấm hiệu chuẩn.
Tấm hiệu chuẩn có thể được đặt trên bộ gá lắp mẫu giả (xem Hình 12) và lắp đặt vào bàn đẩy mẫu (xem 7.13).
Các kích thước đo bằng milimét

CHÚ DẪN
a Kích thước trong
Hình 8 - Bộ gá lắp mẫu thử thường dùng
Các kích thước đo bằng milimét

a) Khoảng cách các lỗ trên đường ống đầu đốt ngọn lửa mồi (mặt trước)

| b) Vị trí đầu đốt ngọn lửa mồi so với mặt mẫu thử (mặt bên xem a)) | c) Sự di chuyển của ngọn lửa mồi |

d) Bố trí chung đầu đốt ngọn lửa mồi
CHÚ DẪN:
| 1 Thép ống, đường kính ngoài 12 mm, đường kính trong 10 mm | 4 Nguồn cấp khí propan |
| 2 15 Lỗ khoan đường kính 1mm | 5 Tấm chắn gió |
| 3 Bề mặt mẫu thử | 6 Mặt bích điều chỉnh |
Hình 9 - Đầu đốt ngọn lửa mồi
Các kích thước đo bằng milimét

CHÚ DẪN:
1 Ống của đầu đốt ngọn lửa mồi
2 Bề mặt phía trước của mẫu thử
Hình 10 - Vị trí của ngọn lửa mồi không chạm vào mẫu thử
Các kích thước đo bằng milimét

Hình 11 - Vị trí của đầu đo thông lượng nhiệt trên bề mặt của tấm hiệu chuẩn
7.10 Các tấm đỡ và con kê tạo khe
Các tấm đỡ được cắt từ tấm làm bằng vật liệu không cháy (ví dụ tấm calcium silicat) có chiều dày (11 ± 2) mm và cùng kích thước với mẫu thử, khối lượng riêng sau sấy khô là (750 ± 100) kg/m3 (xem ISO/TR 14697). Các con kê để tạo khe thông khí quy định trong 6.3.6 được làm cùng loại vật liệu với tấm đỡ, được cắt thành các miếng rộng (25 ± 2) mm. Các con kê được gắn trên toàn bộ chu vi của tấm đỡ.
Các con kê và tấm đỡ có thể được tái sử dụng nếu không dính lẫn các tạp chất khi cháy. Trước khi tái sử dụng, các tấm này cần được ổn định mẫu trong điều kiện môi trường quy định trong 6.4.1. Khi có bất kỳ nghi ngờ nào về độ sạch của các tấm đỡ và con kê, thì phải sấy lại trong tủ sấy có thông gió ở nhiệt độ (60 ± 5) °C trong khoảng thời gian 2 h để loại bỏ các tạp chất dễ bay hơi. Nếu vẫn còn nghi ngờ thì không được sử dụng những tấm đỡ và con kê đó.
7.11 Máy ghi hình
Một máy quay được đặt tại vị trí (xem 9.1e) đảm bảo có góc nhìn rõ ràng về toàn bộ mẫu thử.
7.12 Nhiệt kế bức xạ
Một nhiệt kế bức xạ với khoảng đo 700 °C đến 850 °C (nhiệt độ vật đen tuyệt đối) và có độ chính xác trong khoảng ± 5 °C, thích hợp để theo dõi khu vực hình tròn đường kính (30 ± 5) mm, ở khoảng cách 750 mm. Đầu đo này được sử dụng để theo dõi nhiệt độ phát ra từ tấm bức xạ nhiệt. Độ nhạy của đầu đo phải tương đối ổn định trong dải sóng từ 1 mm và 9 mm.
Để thuận tiện cho việc vận hành, nhiệt kế bức xạ này có thể được đặt trên bàn đẩy mẫu giả (xem 7.13 và Hình 12).
7.13 Tấm mẫu giả và bàn đẩy mẫu
Tấm mẫu giả phải được cắt từ các tấm làm bằng vật liệu không cháy (ví dụ tấm calcium silicat) với khối lượng riêng sấy khô là (950 ± 100) kg/m3, có kích thước chiều rộng (1 025 ± 25) mm, chiều cao (650 ± 5) mm và chiều dày (25 ± 2) mm. Các tấm không cháy mỏng hơn và có cùng khối lượng riêng cũng có thể được sử dụng khi các tấm này được cố định lại với nhau để tạo thành một tấm có chiều dày (25 ± 2) mm mà không có khe hở đáng kể nào. Tấm mẫu giả được đặt tại vị trí mẫu thử nghiệm trong 10 min trước khi vận hành thiết bị thử nghiệm. Nó chỉ được gỡ ra khi mẫu thử nghiệm được đưa vào phía trước tấm bức xạ nhiệt.
Tấm mẫu giả có thể được đặt trên bàn đẩy mẫu thử (xem Hình 12) theo cách tương tự với tấm hiệu chuẩn.
7.14 Khay đựng chất thải
Một khay bằng thép dày 1 mm có kích thước (1 100 ± 5) mm chiều dài, (300 ± 5) mm chiều rộng và (100 ± 5) mm chiều sâu được cố định trên xe đẩy mẫu thử (xem Hình 7 và Hình 13) sao cho đáy của khay nằm phía dưới cạnh dưới của bộ gá lắp mẫu 50 mm. Khay đựng chất thải này bao gồm tấm calcium silicat dày 10 mm được lót bằng tấm lá nhôm và một thanh calcium silicat kích thước (1 095 x 40) mm dày 40 mm được bọc trong tấm lá nhôm (xem Hình 13b).
8 Bố trí khu vực thiết bị thử nghiệm
8.1 Thiết bị thử nghiệm được đặt trong khu vực thoáng khí nằm cách ít nhất 1 m với các bức tường của phòng thí nghiệm. Nguồn nhiệt bức xạ không được đặt trong khoảng cách 2 m so với các vật liệu dễ bắt lửa trên trần, tường hoặc sàn nhà.
Các kích thước đo bằng milimét

CHÚ DẪN:
1 Nhiệt kế bức xạ
2 Tấm mẫu giả gắn ở phía sau
3 Gối đỡ ray dẫn hướng
Hình 12 - Bàn đẩy tấm mẫu giả
8.2 Nguồn cấp khí từ bên ngoài để bù đắp lại lượng khí đã bị hút ra bởi hệ thống hút khói sẽ được bố trí để đảm bảo nhiệt độ môi trường được duy trì ổn định trong khoảng 10 °C đến 30 °C.
8.3 Phải tiến hành đo vận tốc luồng khí ở gần tấm mẫu thử giả khi hệ thống quạt hút khói vận hành, với điều kiện tấm bức xạ và hệ thống cấp khí cho nó đã tắt. Lưu lượng dòng khí vuông góc với cạnh dưới và điểm giữa của mẫu thử không được vượt quá 0,3 m/s theo mọi hướng khi đo ở khoảng cách 100 mm từ mẫu thử.
8.4 Để đảm bảo an toàn cho người vận hành, lưu lượng dòng khí hút ra phải là 0,3 m3/s để loại bỏ khói và các tạp chất khỏi gian phòng thử nghiệm (xem A.2).
9 Quy trình thiết lập và hiệu chuẩn
9.1 Thiết lập
Hầu hết việc hiệu chuẩn các bộ phận của hệ thống thiết bị thử nghiệm có thể được tiến hành trong điều kiện nguội. Thông lượng nhiệt bức xạ ở bề mặt mẫu thử là tiêu chí chính cần kiểm soát trong hiệu chuẩn ban đầu ở điều kiện sử dụng và cả trong chu kỳ hiệu chuẩn. Cần lưu ý việc đọc trị số đo nhiệt bức xạ cũng có thể bị ảnh hưởng bởi sự tăng lên của luồng khí hoặc tấm mẫu hiệu chuẩn bị ấm lên. Thông lượng nhiệt bức xạ này được đo bởi đầu đo thông lượng gắn trên tấm hiệu chuẩn (xem Hình 11).
Vị trí ban đầu của bề mặt chịu lửa của mẫu thử với tấm bức xạ phải tương ứng theo các kích thước được chỉ ra trong Hình 3.
Các kích thước đo bằng milimét

a) Bố trí chung

b) Vị trí của khay đựng chất thải và các lớp lót trên khay
CHÚ DẪN:
| 1 Mẫu thử | 3 Khay đựng chất thải sinh ra trong khi đốt | 5 Tấm calcium silicat được bọc tấm lá nhòm |
| 2 Bộ gá lắp mẫu | 4 Tấm lá nhôm | 6 Tấm calcium silicat |
Hình 13 - Khay đựng chất thải sinh ra trong khi đốt
Quy trình để thiết lập các điều kiện thử nghiệm ban đầu như sau:
a) Đặt tốc độ luồng khí vào khoảng 5 l/s thông qua tấm bức xạ. Bật nguồn cấp khí đốt, mồi lửa tấm bức xạ nhiệt cho đến khi đạt trạng thái cân bằng nhiệt như trị số nhiệt độ ổn định chỉ ra trên nhiệt kế bức xạ.
Nếu vận hành đúng, sẽ không nhìn thấy ngọn lửa trên tấm bức xạ nhiệt khi nhìn song song với bề mặt từ một phía. Từ hướng nhìn này sẽ chỉ thấy một màng lửa mỏng màu xanh rất gần với bề mặt của tấm bức xạ. Sau 15 min của quá trình gia nhiệt, khi nhìn chéo tấm bức xạ nhiệt sẽ thấy bề mặt tấm bức xạ có mầu cam sáng.
b) Điều chỉnh tốc độ dòng khí đốt đến khi thông lượng nhiệt bức xạ đo được bằng đầu đo bức xạ nhiệt gắn trên tấm hiệu chuẩn tương ứng với các giá trị thể hiện trong Bảng 1 ở các vị trí 1 và 2. Nếu cần thiết, có thể giảm vận tốc dòng khí để không có ngọn lửa đáng kể trên bề mặt tấm bức xạ, ví dụ chiều dài ngọn lửa nhỏ hơn 20 mm. Tâm hiệu chuẩn phải đạt tới trạng thái cân bằng nhiệt trước khi tiến hành đo thông lượng nhiệt bức xạ.
c) Khi thông lượng nhiệt bức xạ đạt tới các giá trị ở vị trí 1 và 2, xác định thông lượng nhiệt cho các vị trí khác cho ở Bảng 1 và đảm bảo rằng các giá trị này nằm trong khoảng dung sai cho phép.
d) Trong quá trình xử lý số liệu kết quả thử nghiệm, giả thiết đặt ra là thông lượng nhiệt bức xạ ở vị trí nhất định trên mẫu thử thực tế là tương đương với thông lượng nhiệt đo được ở cùng vị trí tương ứng trên tấm hiệu chuẩn.
e) Việc vận hành tấm bức xạ nhiệt được diễn ra với lưu lượng dòng khí cần thiết để đạt được các yêu cầu thử nghiệm và tốc độ dòng khí đốt có thể được thay đổi để đạt tới thông lượng nhiệt theo yêu cầu.
f) Đặt thiết bị ghi hình ở khoảng cách xấp xỉ 3 m từ mặt trước của mẫu thử sao cho có thể theo dõi toàn bộ mẫu thử mà không cần di chuyển thiết bị ghi hình. Đảm bảo các đường vạch quan sát trên mẫu thử có thể được nhìn thấy rõ ràng trên thiết bị ghi hình.
Bảng 1 - Thông lượng nhiệt bức xạ dọc theo tấm mẫu hiệu chuẩn
| Vị trí (Xem Hình 11) | Thông lượng nhiệt bức xạ kW/m2 | Dung sai cho phép kW/m2 |
| 1 | 25 | ±3 |
| 2 | 40 | ±3 |
| 3 | 25 | ±3 |
| 4 | 15 | ±3 |
| 5 | 13 | ±3 |
9.2 Kiểm tra các thông số
Xác nhận sự phân bố thông lượng nhiệt (xem Bảng 1) trên tấm hiệu chuẩn bằng cách hiệu chuẩn theo chu kỳ hàng ngày và hàng tháng như sau:
a) Kiểm tra hàng ngày: Đo thông lượng nhiệt bức xạ ở các vị trí 1 và 2 (xem Hình 11).
b) Kiểm tra hàng tháng: Đo thông lượng nhiệt bức xạ ở các vị trí 1, 2, 3, 4 và 5 (xem Hình 11).
9.3 Điều chỉnh ngọn lửa mồi
Kiểm tra khoảng cách từ đầu đốt ngọn lửa mồi đến bề mặt tấm mẫu giả là (25 ± 1) mm.
Việc điều chỉnh khoảng cách này có thể thực hiện bằng cách đặt tấm mẫu giả được chế tạo từ tấm vật liệu không cháy (ví dụ tấm calcium silicate) với khối lượng riêng sấy khô là (950 ± 100) kg/m3 vào bộ phận gá lắp mẫu hoặc sử dụng xe đẩy mẫu (xem Hình 12).
Điều chỉnh nguồn cấp khí propane sao cho ngọn lửa dọc theo thân đầu đốt cách khoảng 2 mm so với bề mặt tấm mẫu giả, ghi lại tốc độ dòng khí propane. Kiểm tra việc điều chỉnh ngọn lửa mồi ít nhất mỗi ngày.
Đối với các vật liệu dễ bị nén như thảm nhung dày (xem 6.1d), mặt bích đệm trên đầu đốt ngọn lửa mồi có thể phải điều chỉnh để tạo khoảng cách khoảng 25 mm giữa bề mặt mẫu thử và thân đầu đốt. Các điều chỉnh này được tiến hành với mẫu thử ở vị trí thử nghiệm khi không cấp khí propane vào đầu đốt. Lưu lượng dòng khí propane theo yêu cầu là khoảng 0,6 l/min (xem 7.5).
10 Quy trình thử nghiệm
10.1 Đặt mẫu thử vào bộ phận gá lắp mẫu gắn trên bàn đẩy mẫu. Đặt khay thu chất thải (xem 7.14) vào vị trí và khởi động hệ thống quạt hút.
10.2 Vận hành tấm bức xạ nhiệt để đạt tới điều kiện thử nghiệm quy định trong Bảng 1.
10.3 Khi tấm bức xạ nhiệt đạt tới trạng thái ổn định nhiệt độ (xem 9.1), bật ngọn lửa mồi với lưu lượng dòng khí propane phù hợp.
10.4 Di chuyển xe đẩy mẫu nhẹ nhàng với vận tốc khoảng 1,5 m/s tới vị trí thử nghiệm (xem Hình 3). Vận hành đầu đốt ngọn lửa mồi để nhanh chóng di chuyển ngọn lửa mồi về phía bề mặt mẫu thử. Khởi động đồng hồ, thiết bị bấm giờ và đồng hồ của thiết bị ghi hình.
10.5 Ghi nhận lại thời điểm bắt lửa của mẫu thử cũng như thời gian ngọn lửa cháy ổn định trên mẫu thử (xem 3.16) mọi hiện tượng cháy khác, ví dụ như ngọn lửa cháy không ổn định (xem 3.17), kiểu chất thải tạo ra hoặc chất thải có tiếp tục cháy sau khi rơi xuống khay chứa.
10.6 Trong suốt quá trình thử nghiệm, không cần thiết phải thay đổi lưu lượng của nguồn cấp khí tới tấm bức xạ nhiệt để bù đắp các thay đổi ở từng cấp hoạt động.
10.7 Vận hành thiết bị đo thời gian để xác định thời gian duy trì của mọi ngọn lửa (xem 3.16), bao gồm cả ngọn lửa cháy lan theo chiều dọc hoặc theo chiều ngang tại các đường vạch quan sát trên bề mặt mẫu thử (xem Hình 6c) và các cạnh của mẫu thử.
10.8 Duy trì ngọn lửa mồi trong suốt thời gian thử nghiệm.
10.9 Rút xe đẩy mẫu thử nếu:
a) Mẫu thử không bắt lửa sau 20 min, hoặc
b) Ngọn lửa ngừng lan dọc theo mẫu thử và tắt và không có bất kỳ ngọn lửa nào xuất hiện trong 5 min sau đó, hoặc
c) Mẫu thử bị cháy hoàn toàn, hoặc
d) Quá trình thử nghiệm diễn ra được 30 min nhưng vẫn quan sát thấy ngọn lửa trên mẫu thử.
10.10 Nếu mẫu thử vẫn còn dấu hiệu của sự cháy (ví dụ có ngọn lửa hoặc có ánh lửa than) sau 30 min kể từ thời điểm rút xe đẩy mẫu thì phải dập tắt các dấu hiệu đó bằng bình xịt nước cầm tay.
Phải cẩn thận khi phun nước dập lửa, tránh phun lên các thiết bị điện hoặc tấm bức xạ nhiệt.
Ghi nhận vùng bị cháy và kiểu phá hủy mẫu thử cả bằng hình ảnh và phác họa chi tiết (xem Hình 14 và các điều 3.3 và 3.5).
Khi dùng thuật ngữ “diện tích hư hại”, thì phải xác định rõ kiểu phá hủy quan sát được.
Biến mầu, hình thành muội và thay đổi trong cấu trúc như biến dạng, uốn cong vùng cạnh, hình thành bong bóng... không được xem xét trong thử nghiệm. Đối với các mẫu thử có thành phần có khả năng trương phồng bảo vệ hoặc nhiều lớp, những thay đổi của các thành phần này là kết quả của quá trình carbon hóa và không được tính đến. Để xác định chiều dài chưa bị phá hủy của lớp vật liệu bảo vệ (xem Hình 14), phải tiến hành dỡ bỏ lớp bảo vệ này bằng cách chải sạch hoặc rửa sạch.

CHÚ DẪN:
1 Diện tích bị cháy
Chiều dài bị cháy lớn nhất theo phương thẳng đứng = dV2 - dV1
Chiều dài bị cháy lớn nhất theo phương ngang = dL2 - dL1
Hình 14 - Đo kích thước diện tích hư hại trên các mẫu thử
10.11 Lặp lại quá trình quy định trong 10.1 và 10.4 đến 10.11 với hai mẫu bổ xung, đảm bảo tấm bức xạ nhiệt đạt tới trạng thái ổn định nhiệt độ trước mỗi lần thử nghiệm.
10.12 Quan sát cẩn thận biểu hiện làm việc của mẫu thử và lưu ý đặc biệt những hiện tượng sau:
a) Chớp cháy;
b) Ngọn lửa cháy không ổn định (mặt trước ngọn lửa không ổn định)
c) Cháy âm ỉ;
d) Ánh lửa than duy trì trong khoảng thời gian hơn 4 s.
Việc quan sát cũng được áp dụng cho các hiện tượng khác như xuất hiện các mảnh vụn rơi khỏi mẫu thử và có hiện tượng cháy hay có sự nóng sáng được quy định trong thời gian 4 s hay không. Ngoài ra có hiện tượng phồng rộp, biến dạng, phân tách, nứt vỡ, bong nổ, nóng chảy ... trên mẫu thử hay không. Các mảnh vụn có thể xuất hiện sự nóng chảy nhỏ giọt, quan sát quá trình cháy nếu xảy ra hiện tượng những giọt nhỏ xuống bốc cháy.
Hướng dẫn báo cáo về các ứng xử bất thường của mẫu thử được đưa ra ở Phụ lục D.
11 Tính toán các đặc trưng lan truyền lửa
11.1 Tổng quát
Mục đích của việc tính toán này là để xác định tốc độ lan truyền của ngọn lửa (theo phương thẳng đứng và theo phương ngang) theo các phương pháp thích hợp được đưa ra dưới đây khi đo được các khoảng cách lan truyền của ngọn lửa từ các đường tham chiếu X0 và Y0.
11.2 Phương pháp 1
Trường hợp mẫu thử bị cháy trong khoảng thời gian hơn 180 s
|
| (1) |
| (2) |
Trong đó:
RV Tốc độ lan truyền của ngọn lửa theo phương thẳng đứng, đơn vị milimet trên giây (mm/s);
RL Tốc độ lan truyền của ngọn lửa ở cạnh bên, đơn vị milimet trên giây (mm/s);
d Chiều dài lan cháy trong thời gian từ lúc bắt lửa đến 180 s, đơn vị là milimet (mm);
11.3 Phương pháp 2a)
Khi mẫu thử bị cháy tới đường quan sát Y4 trước thời điểm 180 s:
|
| (3) |
Trong đó:
RV Tốc độ lan truyền của ngọn lửa theo phương thẳng đứng, đơn vị milimet trên giây (mm/s);
tV Thời gian, tính bằng giây (s), để mặt trước ngọn lửa tới vị trí đường quan sát 800 mm;
tlg Thời gian bắt lửa, đơn vị giây (s).
11.4 Phương pháp 2b)
Khi mẫu thử bị cháy tới đường quan sát X3 trước thời điểm 180 s:
|
| (4) |
Trong đó:
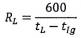
RL Tốc độ lan truyền của ngọn lửa theo phương ngang, đơn vị milimet trên giây (mm/s);
TL Thời gian, tính bằng giây (s), để mặt trước ngọn lửa tới vị trí đường quan sát 600 mm;
tlg Thời gian bắt lửa, đơn vị giây (s).
11.5 Phương pháp 3
Khi chiều dài lan cháy lớn nhất đạt được trong khoảng thời gian ít hơn 180 s nhỏ hơn khoảng cách tới đường quan sát Y4 hoặc Y3 trên bề mặt mẫu thử:
|
| (5) |
Trong đó:
RV Tốc độ lan truyền của ngọn lửa theo phương thẳng đứng, đơn vị milimet trên giây (mm/s);
dV.max Khoảng cách, tính bằng milimet (mm) đạt được của mặt trước ngọn lửa tới đường quan sát Y xa nhất;
tV.max Thời gian để mặt trước ngọn lửa tới đường quan sát Y xa nhất, đơn vị giây (s).
tlg Thời gian bắt lửa, đơn vị giây (s).
|
| (6) |
Trong đó:
RV Tốc độ lan truyền của ngọn lửa theo phương ngang, đơn vị milimet trên giây (mm/s);
DL.max Khoảng cách, tính bằng milimet (mm) đạt được của mặt trước ngọn lửa tới đường quan sát X xa nhất;
tL.max Thời gian để mặt trước ngọn lửa tới đường quan sát X xa nhất, đơn vị giây (s).
tlg Thời gian bắt lửa, đơn vị giây (s).
12 Độ chính xác của phép thử
Tính biến đổi về thời điểm bắt lửa và các phép đo sự lan truyền của ngọn lửa trong quá trình thử nghiệm đã được nghiên cứu trong một thử nghiệm liên phòng thí nghiệm (xem Phụ lục E).
13 Báo cáo kết quả thử nghiệm
Báo cáo kết quả thử nghiệm phải bao gồm các thông tin sau:
a) Tiêu chuẩn thử nghiệm sử dụng;
b) Tên và địa chỉ phòng thí nghiệm;
c) Tên và địa chỉ của khách hàng;
d) Tên và địa chỉ của nhà cung cấp/nhà sản xuất;
e) Mô tả về sản phẩm thử nghiệm bao gồm tên thương mại, cấu tạo, định hướng, chiều dày, khối lượng riêng và mặt phù hợp để làm thử nghiệm. Trong trường hợp mẫu thử đã được sơn hoặc sơn lót, số lượng các lớp phủ cùng với bản chất của các vật liệu hỗ trợ phải được ghi nhận. Trong trường hợp sản phẩm với bề mặt định hình, sơ đồ về mẫu thử cũng cần phải được ghi nhận (xem Điều 5);
f) Vật liệu nền được sử dụng và phương pháp gắn mẫu thử vào vật liệu nền;
g) Số liệu trong quá trình thử nghiệm bao gồm:
- Số lượng mẫu được thử nghiệm;
- Thời gian của mỗi thử nghiệm (10.9);
- Thời điểm bắt cháy (10.5);
- Quan sát sự di chuyển của mặt trước ngọn lửa theo các đường quan sát và các viền của mẫu thử theo 10.7;
CHÚ THÍCH: Hình ảnh ghi lại của thử nghiệm có thể được phòng thí nghiệm đối chiếu lại thời điểm mặt trước ngọn lửa đến các đường quan sát. Những video này không được coi là một phần bắt buộc của báo cáo, có thể giữ lại để tham khảo thêm cho các biểu hiện bất thường của mẫu thử (xem Phụ lục D).
- Các quan sát khác về biểu hiện làm việc của mẫu thử (xem 10.12);
- Các đặc tính lan truyền của ngọn lửa như miêu tả trong mục 11 (tùy chọn);
- Phác họa vùng bị cháy và phá hủy đi kèm với các hình ảnh (xem 10.12);
h) Phạm vi áp dụng của báo cáo, ví dụ như: “Các kết quả trong báo cáo thử nghiệm chỉ phản ánh ứng xử của sản phẩm dưới điều kiện thử nghiệm cụ thể, không phải là tiêu chí duy nhất để đánh giá tính nguy hiểm cháy của sản phẩm trong thực tế sử dụng”.
Các kích thước đo bằng milimét

CHÚ DẪN:
1 Vị trí của ngọn lửa mồi
Hình 15 - Các đường quan sát trên mẫu thử

| a) Mẫu thử dịch dần tới tấm bức xạ | b) Vị trí thử nghiệm |
CHÚ DẪN:
1 Đầu đo nhiệt độ dùng khởi động
2 Ray dẫn hướng
3 Mẫu thử
4 Tấm bức xạ nhiệt
Hình 16 - Sơ đồ thử nghiệm - Mô tả việc sử dụng đầu đo nhiệt để khởi động phần mềm bắt đầu thử nghiệm
Phụ lục A
(quy định)
Các yêu cầu về an toàn
A.1 Nguy cơ bắt lửa
Việc sử dụng phương pháp thử nghiệm này có liên quan đến việc tạo ra cường độ bức xạ ở mức cao, có khả năng gây ra các trường hợp bắt lửa đối với một số vật liệu như quần áo ngay cả khi tiếp xúc ở thời gian ngắn. Phải thực hiện các biện pháp phòng ngừa để tránh các tai nạn kể trên.
A.2 Nguy cơ khói độc
Một kinh nghiệm đã được rút ra từ thực tế là khói từ các vật liệu khi bị cháy sẽ thường bao gồm cacbon monoxide (CO) và các khí độc hại khác. Nhiều sản phẩm khí độc hại hơn có thể được sinh ra trong các tình huống khác. Phải thực hiện các biện pháp phòng ngừa để tránh tiếp xúc trực tiếp với các sản phẩm khói này.
A.3 Bảo vệ mắt
Khả năng phát nổ khi nóng chảy hoặc các mảnh vỡ sắc nhọn sinh ra từ một số loại vật liệu khi tiếp xúc bức xạ nhiệt độ cũng gây nguy hiểm và người thử nghiệm phải sử dụng các thiết bị để bảo vệ mắt.
Phụ lục B
(quy định)
Chế tạo mẫu thử
B.1 Ảnh hưởng của các đặc tính nhiệt đến tính chất của các cụm vật liệu
Với vật liệu hoặc vật liệu composite mỏng, đặc biệt là những loại vật liệu có hệ số dẫn nhiệt cao, sự xuất hiện của các khe thông khí và bản chất tự nhiên của bất kỳ loại vật liệu lớp dưới nào cũng có thể ảnh hưởng đến khả năng bắt lửa và sự lan truyền của ngọn lửa trên bề mặt lộ lửa. Việc tăng nhiệt dung của các lớp dưới sẽ làm tăng hiệu ứng “giảm nhiệt” và có thể làm chậm sự bắt lửa cũng như tốc độ lan truyền của ngọn lửa ở bề mặt lộ lửa. Các tấm đỡ và các bộ phận phía sau tiếp xúc trực tiếp với mẫu thử như con kê tạo khe (xem 7.10) có thể làm thay đổi hiệu ứng giảm nhiệt và có thể là cơ sở cho kết quả thử nghiệm của mẫu thử. Ảnh hưởng của các lớp vật liệu bên dưới đối với tính chất của cụm vật liệu phải được nghiên cứu kỹ càng để đảm bảo các kết quả thử nghiệm đối với mẫu thử có liên quan chặt chẽ tới việc sử dụng chúng trong thực tế.
B.2 Chuẩn bị các mẫu thử nghiệm
Các chỉ dẫn dưới đây trình bày về chế tạo và chuẩn bị các mẫu thử nghiệm:
a) Trong trường hợp đặc tính về nhiệt của sản phẩm không gây ra các tổn thất nhiệt đáng kể tới các lớp vật liệu bên dưới (ví dụ vật liệu/vật liệu composite có chiều dày lớn hơn 6 mm, có nhiệt dung cao và/hoặc hệ số dẫn nhiệt thấp). Các sản phẩm này nên được thử nghiệm chỉ dùng tấm đỡ phía sau.
b) Trường hợp sản phẩm thường được sử dụng như là một tấm mỏng tự do và các đặc tính nêu trong mục a) không được áp dụng, cần tạo một khe thông khí bằng các con kê là những miếng cách nhiệt, không cháy ở phía sau của sản phẩm.
c) Trường hợp sản phẩm được sử dụng thực tế với vật liệu nền có khối lượng riêng thấp, không cháy và các đặc điểm nêu trong mục a) không được áp dụng thì sản phẩm cần được thí nghiệm kết hợp với vật liệu nền đó.
d) Trường hợp sản phẩm được sử dụng thực tế với vật liệu nền dễ cháy và các đặc tính nêu trong mục a) không được áp dụng, sản phẩm cần được thử nghiệm kết hợp với vật liệu nền đó.
Cần tuân thủ các hướng dẫn về lựa chọn vật liệu nền được đưa ra trong tiêu chuẩn ISO/TR 14697.
Phụ lục C
(tham khảo)
Hiệu chuẩn đầu đo thông lượng nhiệt làm việc
Sự so sánh nội bộ giữa các dụng cụ quy định trong 7.6 có thể được thực hiện bằng các thiết bị thử nghiệm với mỗi dụng cụ được gắn lần lượt trên các tấm hiệu chuẩn ở vị trí tiêu chuẩn (1 và 2), đảm bảo toàn bộ các thiết bị và tấm hiệu chuẩn ở trạng thái cân bằng nhiệt (xem ISO 14934-1). Có một cách khác là xây dựng thiết bị so sánh đặc biệt (xem BS 6809).
Việc sử dụng hai dụng cụ tham chiếu tiêu chuẩn cung cấp nhiều biện pháp ngăn ngừa những sự thay đổi trong độ nhạy của dụng cụ tham chiếu, như được giải thích cụ thể trong phụ lục E của tiêu chuẩn BS 6809:1987. Một trong những dụng cụ tiêu chuẩn tham chiếu phải được hiệu chuẩn đầy đủ tại các phòng thí nghiệm tiêu chuẩn định kỳ hàng năm.
Phụ lục D
(quy định)
Giải thích các kết quả của quy trình thử nghiệm
Mục tiêu của phụ lục này là cung cấp các thông tin trên cơ sở thống nhất các kết quả trong quá trình tiến hành thử nghiệm đốt.
| Ứng xử bất thường | Phương pháp báo cáo | |
| 1 | Xuất hiện hiện tượng nhấp chớp cháy hoặc ngọn lửa cháy không ổn định, không có ngọn lửa ổn định | Báo cáo sự phát triển xa nhất của ngọn lửa và thời gian |
| 2 | Xuất hiện hiện tượng bong nổ, không chớp cháy hoặc không bắt lửa | Báo cáo mức độ của hiện tượng bong nổ |
| 3 | Chớp cháy nhanh và ngọn lửa cháy không ổn định trên toàn bộ bề mặt, sau đó xuất hiện ngọn lửa ổn định | Báo cáo kết quả cho cả hai dạng mặt trước ngọn lửa |
| 4 | Mẫu thử hoặc bề mặt sơn phủ bị nóng chảy và nhỏ giọt nhưng các giọt chảy xuống không cháy | Báo các các ứng xử và mức độ phá hủy trên mẫu thử |
| 5 | Xuất hiện hiện tượng bong nổ và bắt lửa trên bề mặt lộ lửa của mẫu thử | Báo cáo sự phát triển của hiện tượng bong nổ và ngọn lửa trên bề mặt lộ lửa |
| 6 | Mẫu thử hoặc bề mặt sơn phủ bị nóng chảy, nhỏ giọt và cháy | Báo cáo mặt trước của ngọn lửa và mức độ phá hủy cũng như thời điểm nóng chảy nhỏ giọt quan sát được |
| 7 | Ngọn lửa mồi bị tắt | Báo cáo hiện tượng xảy ra và kiểm tra lại |
| 8 | Xuất hiện hiện tượng lồi ra của mẫu thử so với bề mặt bộ gá lắp mẫu, làm giảm khoảng cách tới ngọn lửa mồi và gây ra sự bắt lửa nhanh chóng | Báo cáo ứng xử của mẫu thử (xem 10.12) |
| 9 | Mẫu thử bị gãy vỡ và rời ra khỏi bộ phận gá lắp | Báo cáo ứng xử của mẫu thử |
| 10 | Sự giải phóng đột ngột các chất khí dễ cháy trong quá trình nhiệt phân từ mẫu thử, các chất kết dính hoặc keo liên kết | Báo cáo ứng xử của mẫu thử |
| 11 | Xuất hiện ngọn lửa nhỏ duy trì dọc theo mép viền của mẫu thử | Báo cáo ứng xử của mẫu thử và chấm dứt thử nghiệm sau 30 min (xem 10.9d) |
| 12 | Ngọn lửa xuất hiện trên mẫu thử ở các vùng rời rạc | Báo cáo quy mô và vị trí của ngọn lửa |
| 13 | Mẫu thử với các khe thông khí (xem hình 5) với các mảnh vụn bị cháy hoặc nhỏ giọt, rơi xuống phía sau mẫu thử, bên trong khe thông khí và tấm đệm. | Báo cáo ứng xử của mẫu thử và quan sát khi các mảnh vụn tiếp tục bị cháy phía trong khe thông khí |
Phụ lục E
(tham khảo)
Sự biến đổi về tính bắt cháy và sự lan truyền của ngọn lửa đo được trong một thử nghiệm liên phòng thí nghiệm
Độ chính xác của phương pháp thử nghiệm cho trong tiêu chuẩn này đã được kiểm tra trong một thử nghiệm liên phòng thí nghiệm vào năm 1997. Mười một phòng thí nghiệm từ tám quốc gia tham gia đã thử nghiệm 16 sản phẩm. Mỗi sản phẩm được thử nghiệm với sáu mẫu thử lặp lại. Các kết quả về sự lan truyền của ngọn lửa được ghi nhận lại bằng phần mềm đặc biệt, cho phép ghi lại sự lan truyền của ngọn lửa ở các ô lưới 100 mm x 100 mm vạch ra trên toàn bộ bề mặt lộ lửa của mẫu thử. (Xem 5.5)
Các kết quả thử nghiệm được phân tích theo tiêu chuẩn TCVN 6910. Các giá trị cơ bản về khả năng lặp lại của kết quả thử nghiệm và về khả năng lặp lại của sản phẩm thử nghiệm thỏa mãn quy trình thử nghiệm là các hệ số biến đổi của chúng, được trình bày dưới dạng tỷ lệ phần trăm (xem Bảng E.1).
Các giá trị hệ số biến đổi được thể hiện trong bảng E.2 cho các giá trị trung bình của thời gian bắt cháy và diện tích lan truyền ngọn lửa. Dải biến đổi cho các tham số được tổng hợp trong Bảng E.1.
Bảng E.1 - Tổng hợp sự biến đổi của các tham số
| Tham số | Hệ số biến đổi (CV) | Dải % | Trung bình % |
| Thời gian bắt cháy | Khả năng lặp lại của kết quả thử nghiệm | 12 đến 46 | 26 |
| Khả năng lặp lại của sản phẩm thử nghiệm | 28 đến 133 | 59 | |
| Vùng lan truyền của ngọn lửa | Khả năng lặp lại của kết quả thử nghiệm | 0 đến 36 | 17 |
| Khả năng lặp lại của sản phẩm thử nghiệm | 0 đến 61 | 31 |
Giới hạn khả năng lặp lại kết quả thử nghiệm (r) và giới hạn khả năng lặp lại của sản phẩm thử nghiệm (R) được quy định như sau:
- r là giá trị mà thấp hơn nó thì hiệu số tuyệt đối giữa hai kết quả thử nghiệm đơn lẻ dưới các điều kiện lặp lại thí nghiệm (liên phòng thí nghiệm) được dự kiến nằm trong xác suất xấp xỉ khoảng 95 %;
- R là giá trị mà thấp hơn nó thì hiệu số tuyệt đối giữa hai kết quả thử nghiệm đơn lẻ dưới điều kiện lặp lại sản phẩm thí nghiệm (liên phòng thí nghiệm) được dự kiến nằm trong xác suất xấp xỉ khoảng 95 %;
Giới hạn khả năng lặp lại kết quả thử nghiệm r được tính bằng 2,8Sr với Sr là độ lệch tiêu chuẩn tương ứng. Giới hạn khả năng lặp lại sản phẩm thử nghiệm R được tính bằng 2,8SR với SR là độ lệch tiêu chuẩn tương ứng.
Thử nghiệm liên phòng thí nghiệm này cho thấy tính bắt cháy của một số loại vật liệu có nhiều biến động hơn các loại khác. Sự biến thiên này tăng lên đặc biệt đối với các vật liệu chậm cháy (ví dụ 2,15) và vật liệu ốp bề mặt (ví dụ 3). Đối với các loại vật liệu này, có thể sử dụng ngọn lửa mồi chạm vào mẫu thay thế cho ngọn lửa mồi không chạm vào mẫu theo tiêu chuẩn.
Sự biến đổi về tính bắt cháy và sự lan truyền của ngọn lửa được thể hiện trong so sánh các kết quả trong thử nghiệm liên phòng thí nghiệm về các phản ứng của sản phẩm với lửa và các kết quả trong thử nghiệm liên phòng trước đó.
Bảng E.2 - Sự biến đổi của các kết quả thử nghiệm
| Sản phẩm | Mô tả sản phẩm | Thời gian bắt cháy, s | Vùng lan truyền của ngọn lửa, m2 × 10-2 | ||||
| Giá trị trung bình | CV(r) % | CV(R) % | Giá trị trung bình | CV(r) % | CV(R) % | ||
| 1 | Giấy phủ bề mặt tấm thạch cao | 267 | 27 | 37 | 6,3 | 24 | 61 |
| 2 | FR-EPS | 141 | 31 | 101 | 91,2 | 17 | 31 |
| 3 | Tấm xốp phủ nhôm hai mặt PUR | 243 | 42 | 133 | 5,3 | 25 | 35 |
| 4 | Tấm xốp PUR | 3 | 46 | 82 | 150,0 | 0 | 0 |
| 5 | Gỗ thông sơn phủ | 26 | 29 | 42 | 86,3 | 14 | 22 |
| 6 | Tấm 3 lớp PC | 89 | 27 | 51 | 18,7 | 36 | 48 |
| 7 | Vách giấy phủ trên tấm thạch cao | 41 | 16 | 43 | 35,1 | 12 | 23 |
| 8 | Vách PVC phủ trên tấm thạch cao | 19 | 15 | 30 | 44,3 | 13 | 53 |
| 9 | Vách vải sợi phủ trên tấm thạch cao | 47 | 31 | 68 | 62,9 | 26 | 41 |
| 10 | Gỗ thông không sơn phủ | 37 | 19 | 49 | 83,9 | 15 | 25 |
| 11 | MF - tấm ốp MDF | 76 | 12 | 28 | 79,1 | 10 | 16 |
| 12 | NFR-chipboard | 72 | 23 | 39 | 100,9 | 12 | 22 |
| 13 | Giấy phủ trên chipboard | 54 | 16 | 32 | 91,2 | 8 | 27 |
| 14 | Ván cứng - LD | 11 | 29 | 44 | 144,3 | 3 | 5 |
| 15 | FR-ván ép | 395 | 34 | 112 | 7,8 | 33 | 46 |
| 16 | NFR - Ván ép | 29 | 21 | 51 | 65,2 | 24 | 34 |
Thư mục tài liệu tham khảo
[1] ISO/TR 3814, Tests for measuring reaction to fire of building materials - Their development and application.
[2] ISO/TR 5658-1, Reaction to fire tests - Spread of flame - Part 1: Guidance on flame spread.
[3] TCVN 13253-2, Thử nghiệm phản ứng với lửa - Tính lan truyền lửa - Phần 2: Tính lan truyền lửa theo phương ngang trên sản phẩm xây dựng và giao thông đặt thẳng đứng.
[4] TCVN 6910-1:2001 (ISO 5725-1:1994), Độ chính xác (độ đúng và độ chụm) của phương pháp đo và kết quả đo. Phần 1: Nguyên tắc và định nghĩa chung.
[5] TCVN 6910-2:2001 (ISO 5725-2:1994), Độ chính xác (độ đúng và độ chụm) của phương pháp đo và kết quả đo. Phần 2: Phương pháp cơ bản xác định độ lặp lại và độ tái lập của phương pháp đo tiêu chuẩn.
[6] TCVN 6879:2007 (ISO 6941:2003), Vải dệt. Đặc tính cháy. Xác định tính lan truyền lửa của các mẫu đặt theo phương thẳng đứng.
[7] ISO 9705, Fire tests - Full-scale room test for surface products.
[8] ISO 14934-1, Reaction to fire tests - Calibriation of heat flux meters - Part 1: General principles.
[9] BS 6809:1987, Method for calibration of radiometers for using in fire testing.
Bạn chưa Đăng nhập thành viên.
Đây là tiện ích dành cho tài khoản thành viên. Vui lòng Đăng nhập để xem chi tiết. Nếu chưa có tài khoản, vui lòng Đăng ký tại đây!
